Скачать ГОСТ 34380-2017 Трубы обсадные и насосно-компрессорные для нефтяной и газовой промышленности. Рекомендации по эксплуатации и обслуживаниюДата актуализации: 01.01.2021
|
| Обозначение: | ГОСТ 34380-2017 |
| Обозначение англ: | GOST 34380-2017 |
| Статус: | введен впервые |
| Название рус.: | Трубы обсадные и насосно-компрессорные для нефтяной и газовой промышленности. Рекомендации по эксплуатации и обслуживанию |
| Название англ.: | Casing and tubing for petroleum and natural gas industries. Recommendations for use and care |
| Дата добавления в базу: | 01.01.2019 |
| Дата актуализации: | 01.01.2021 |
| Дата введения: | 01.11.2018 |
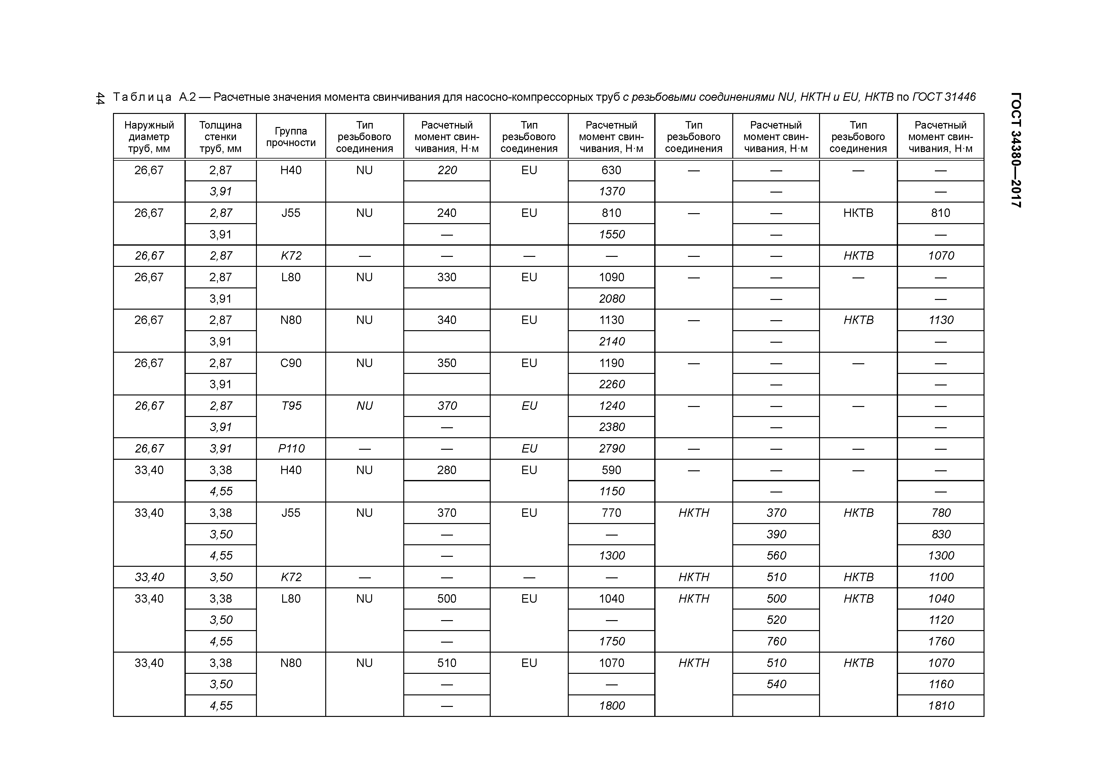
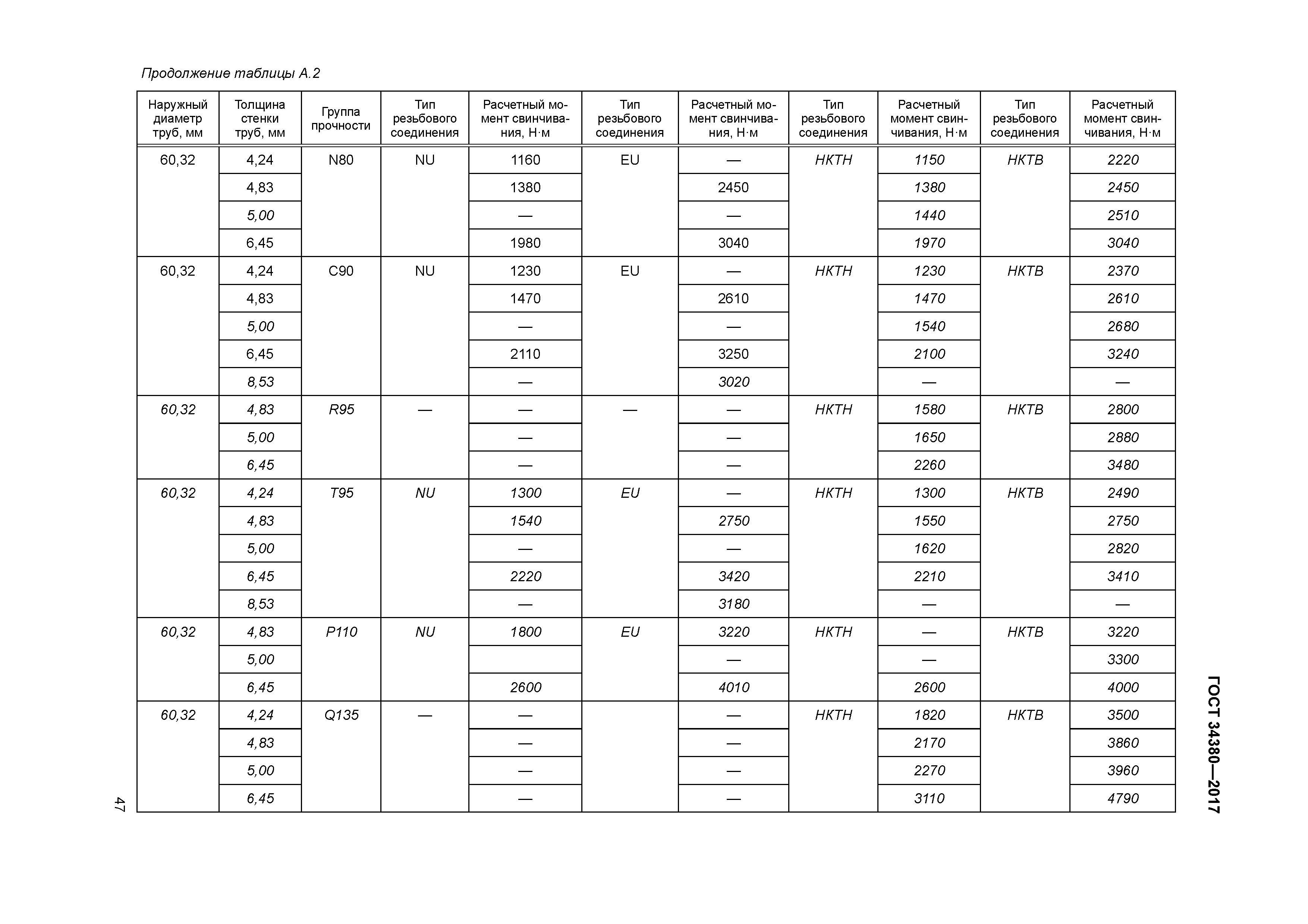
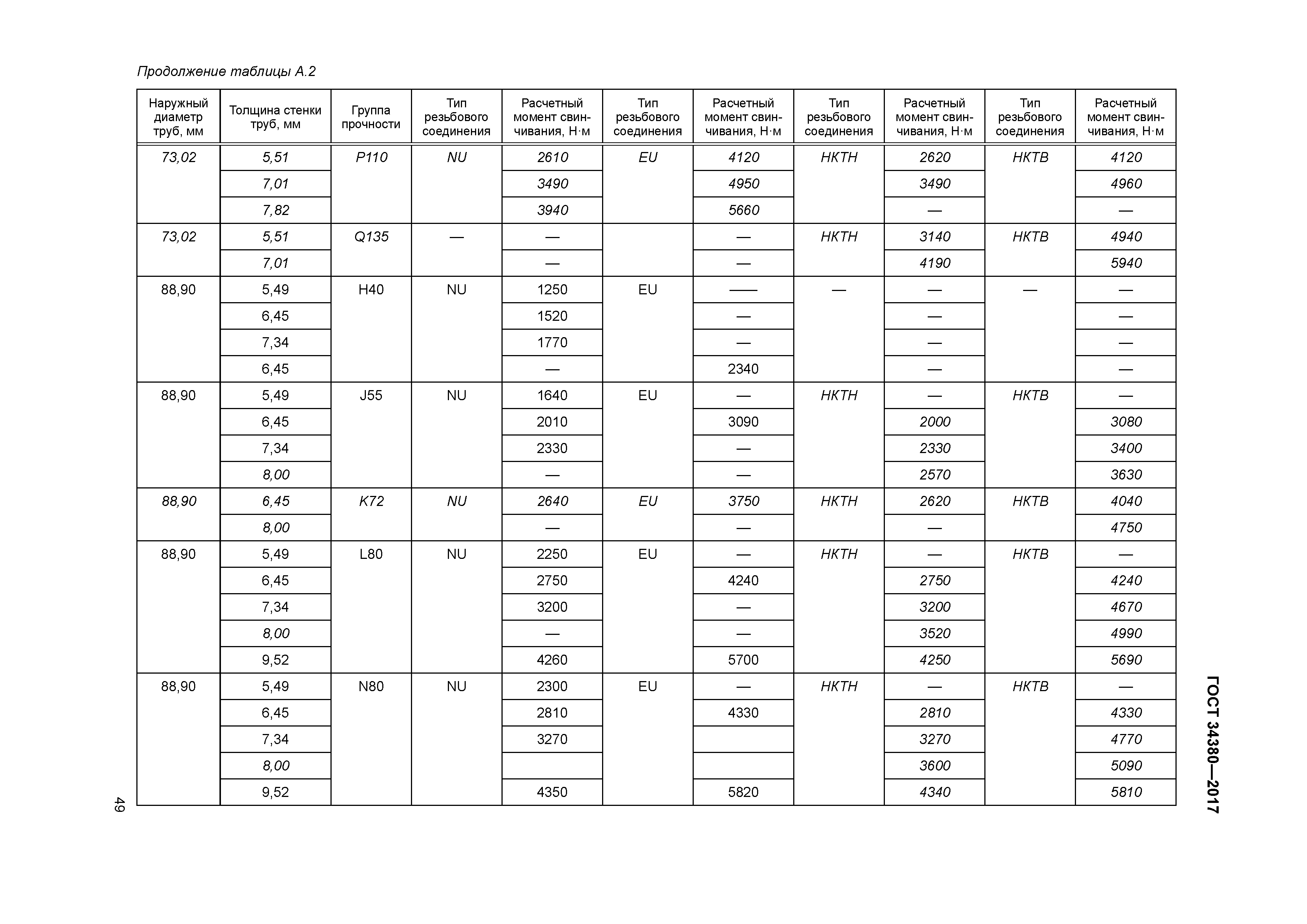
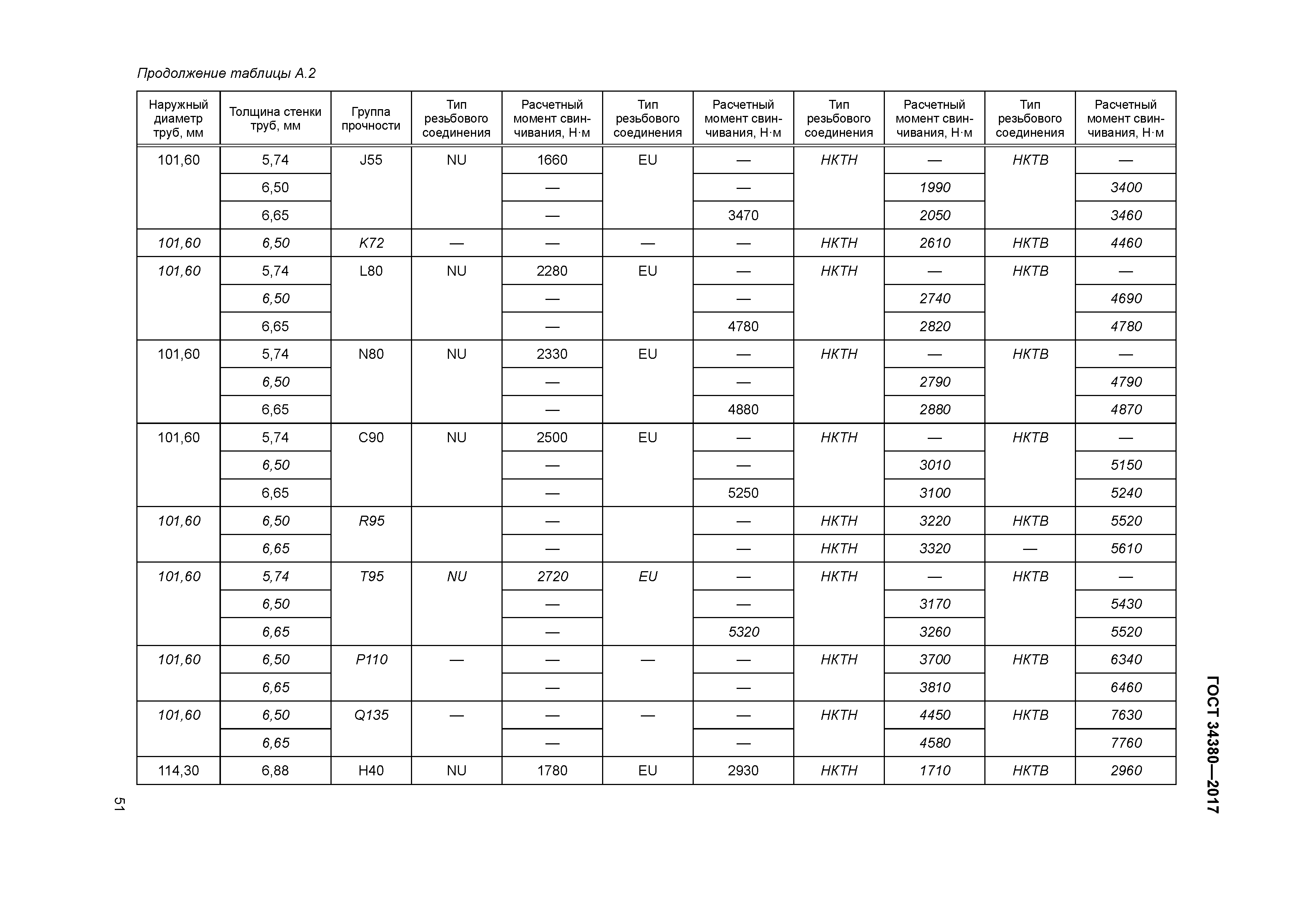
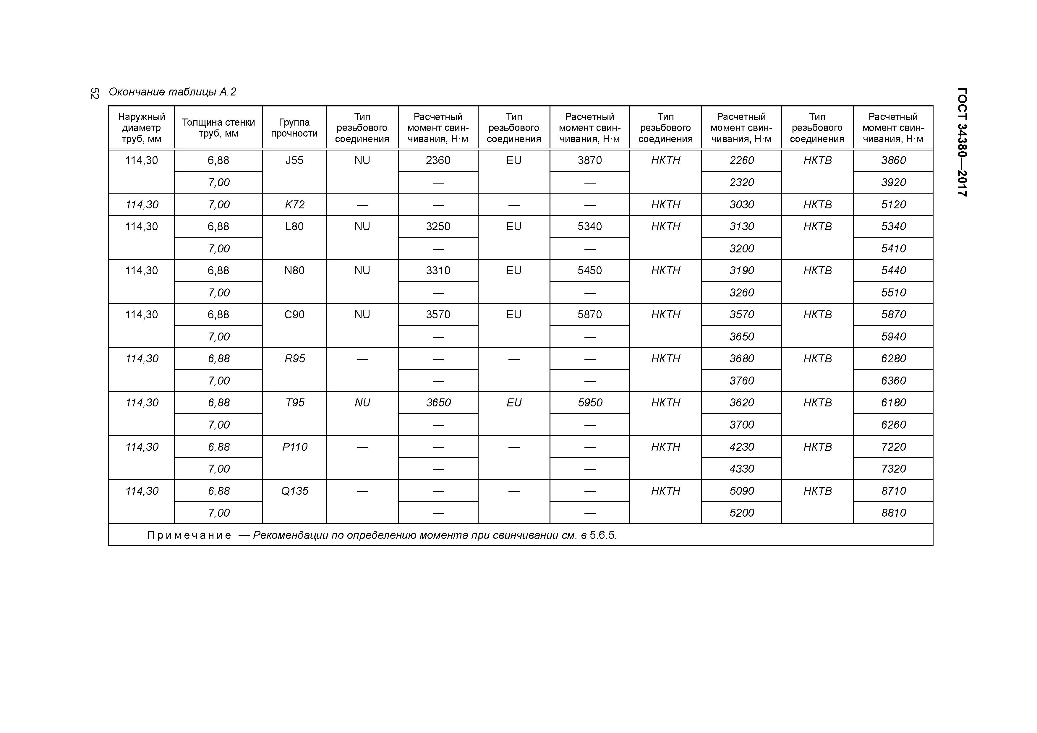
| Область применения: | Стандарт содержит рекомендации по обслуживанию и эксплуатации обсадных и насосно-компрессорных труб, в том числе по порядку спуска и подъема, посадке труб в муфты и свинчиванию в промысловых условиях. В стандарте приведены рекомендации по нанесению резьбовой уплотнительной смазки, моменты свинчивания труб размеров, групп прочности и типов резьбовых соединений по ГОСТ 31446, а также рекомендации по транспортированию, погрузочно-разгрузочным операциям, хранению и проверке соответствия у заказчика. |
| Оглавление: | 1 Область применения 2 Нормативные ссылки 3 Термины и сокращения 4 Порядок спуска и подъема обсадной колонны 4.1 документирование процесса подготовки и спуска колонны 4.2 Контроль и подготовка обсадных труб перед спуском 4.3 Подъем обсадных труб на буровую установку 4.4 Нанесение резьбовой уплотнительной смазки 4.5 Посадка обсадной трубы в муфту 4.6 Свинчивание обсадных труб и спуск колонны 4.7 Защита обсадных труб протекторами 4.8 Подъем колонны из скважины 4.9 Причины неисправностей при сборке и эксплуатации обсадных труб 5 Порядок спуска и подъема насосно-компрессорной колонны 5.1 Документирование процесса подготовки и спуска колонны 5.2 Контроль и подготовка насосно-компрессорных труб перед спуском 5.3 Подъем насосно-компрессорных труб на буровую установку 5.4 Нанесение резьбовой уплотнительной смазки 5.5 Посадка насосно-компрессорной трубы в муфту 5.6 Свинчивание насосно-компрессорных труб и спуск колонны 5.7 Подъем колонны из скважины 5.8 Причины неисправностей при сборке и эксплуатации насосно-компрессорных труб 6 Транспортирование, погрузочно-разгрузочные операции и хранение труб 6.1 Общие положения 6.2 Транспортирование 6.3 Погрузочно-разгрузочные операции 6.4 Хранение 7 Контроль и классификация труб, бывших в эксплуатации 7.1 Общие положения 7.2 Порядок контроля и классификации 7.3 Контроль состояния поверхности тела труб и резьбовых соединений 7.4 Оценка пригодности к эксплуатации 8 Защита от коррозии 8.1 Коррозионное разрушение 8.2 Защита от коррозии обсадных труб 8.3 Защита от коррозии насосно-компрессорных труб 9 Ремонт поврежденных труб и резьбовых соединений Приложение А (справочное) Расчетные значения моментов свинчивания резьбовых соединений Приложение ДА (рекомендуемое) Рекомендации по проверке соответствия резьбовых соединений закупленных обсадных и насосно-компрессорных труб Приложение ДБ (справочное) Соответствие резьбовых соединений, упомянутых в настоящем стандарте, и ранее применявшихся резьбовых соединений Приложение ДВ (справочное) Сведения о соответствии ссылочных межгосударственных стандартов международным стандартам, использованным в качестве ссылочных в примененном международном стандарте Приложение ДГ (справочное) Сопоставление структуры настоящего стандарта со структурой примененного в нем международного стандарта Библиография |
| Разработан: | ОАО РосНИТИ Подкомитет ПК 7 Нарезные трубы ТК 357 Стальные и чугунные трубы и баллоны |
| Утверждён: | 12.12.2017 Межгосударственный Совет по стандартизации, метрологии и сертификации (Inter-Governmental Council on Standardization, Metrology, and Certification 104-П) 01.03.2018 Федеральное агентство по техническому регулированию и метрологии (112-ст) |
| Издан: | Стандартинформ (2018 г. ) |
| Нормативные ссылки: |
|


































































