Скачать ГОСТ Р 57670-2017 Системы тягового электроснабжения железной дороги. Методика выбора основных параметровДата актуализации: 01.01.2021
|
| Обозначение: | ГОСТ Р 57670-2017 |
| Обозначение англ: | GOST R 57670-2017 |
| Статус: | введен впервые |
| Название рус.: | Системы тягового электроснабжения железной дороги. Методика выбора основных параметров |
| Название англ.: | The railway track power supply systems. The methods of selecting fundamental parameters |
| Дата добавления в базу: | 01.01.2019 |
| Дата актуализации: | 01.01.2021 |
| Дата введения: | 01.05.2018 |
| Область применения: | Стандарт распространяется на системы тягового электроснабжения постоянного тока напряжением 3 кВ, переменного тока напряжением 25 и 2Ч25 кВ при скорости движения поездов на электротяге до 250 км/ч и устанавливает методику выбора основных параметров этих систем. |
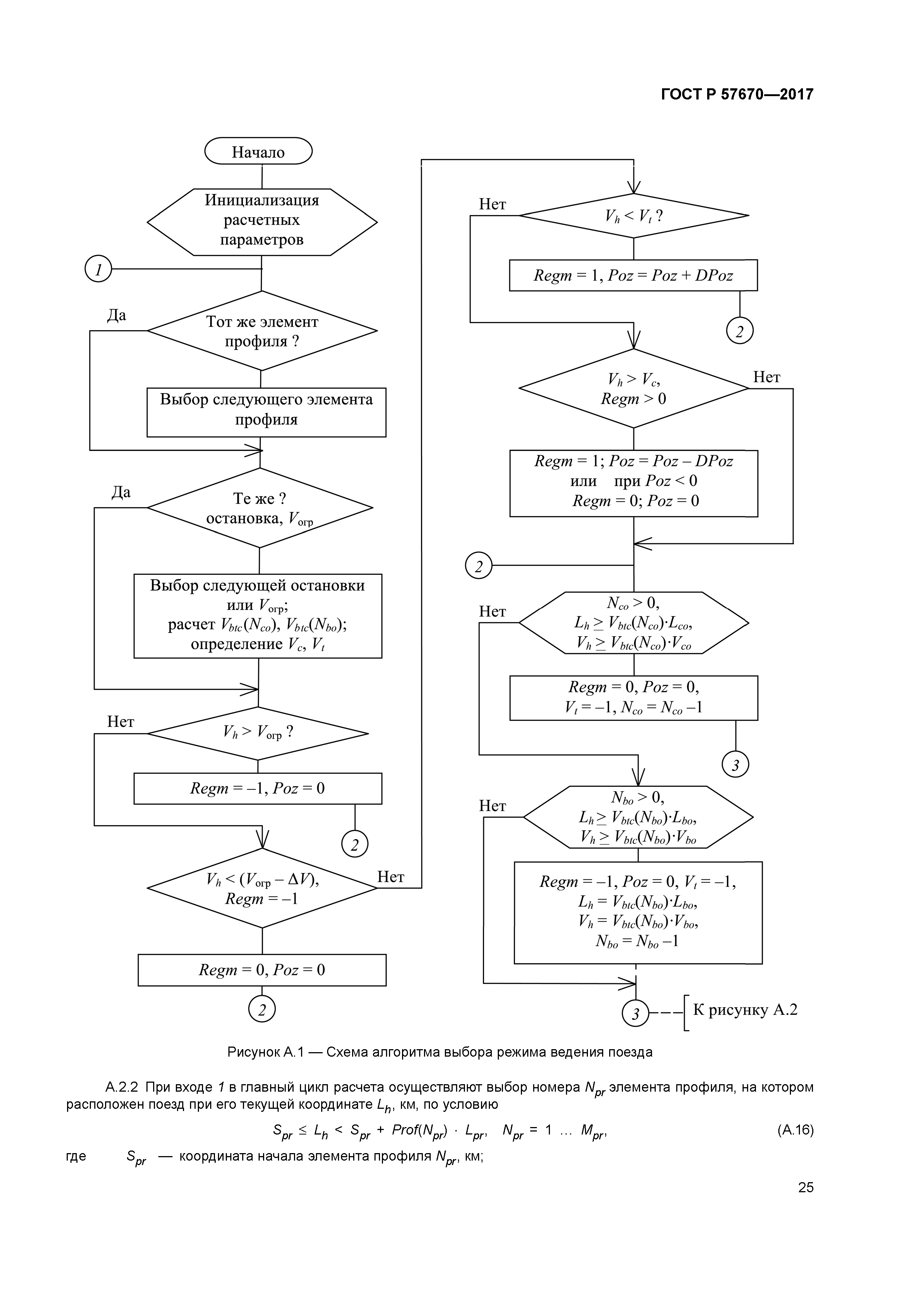
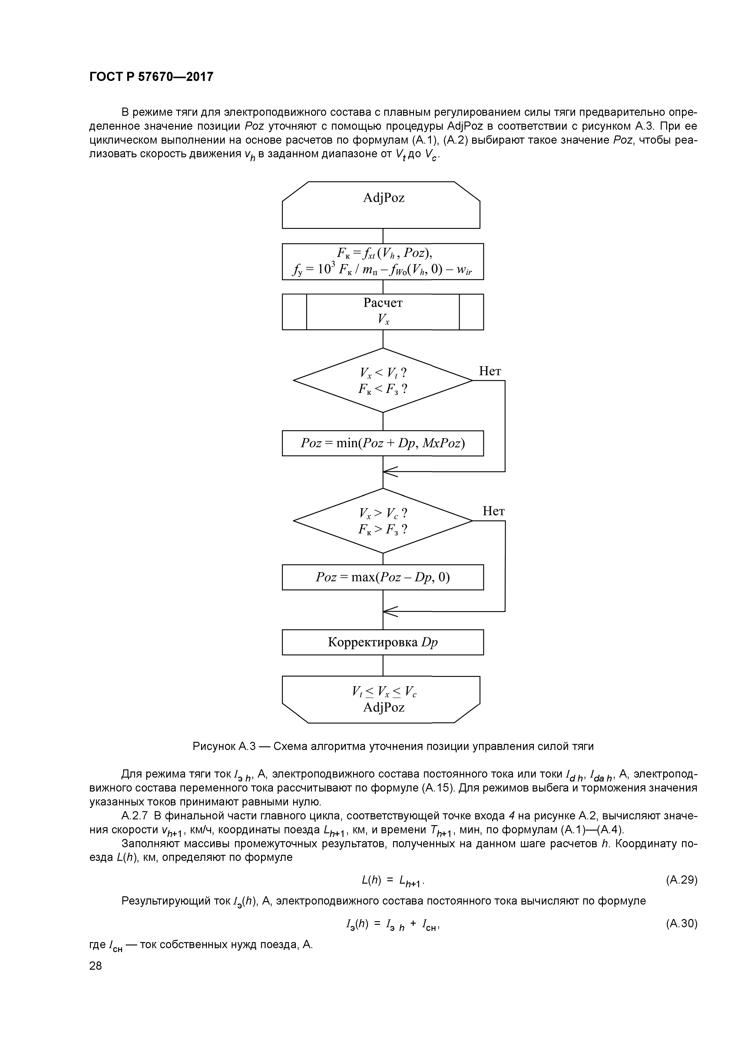
| Оглавление: | 1 Область применения 2 Нормативные ссылки 3 Термины и определения 4 Общие положения 5 Выполнение тяговых расчетов 6 Выполнение электрических расчетов 7 Выбор расстояния между смежными тяговыми подстанциями 8 Выбор мощности и количества силовых трансформаторов 9 Выбор номинального тока на выходе и количества статических преобразователей для системы тягового электроснабжения 10 Выбор номинального тока коммутационных аппаратов и трансформаторов тока 11 Выбор номинального тока отключения выключателей 12 Выбор марки, сечения и количества проводов контактной сети, проводов и кабелей питающих, отсасывающих и шунтирующих линий 13 Выбор марки, сечения и количества проводов сборных и соединительных шин распределительных устройств тяговых подстанций и линейных устройств системы тягового электроснабжения Приложение А (рекомендуемое) Методика тяговых расчетов при выборе основных параметров систем тягового электроснабжения Приложение Б (справочное) Схемы замещения элементов систем тягового электроснабжения и определение их параметров Приложение В (рекомендуемое) Определение параметров рабочего режима систем тягового электроснабжения на основе моделирования графика движения поездов Приложение Г (рекомендуемое) Метод расчета температуры нагрева и допустимого длительного тока проводов контактной сети и воздушных линий Библиография |
| Разработан: | АО ВНИИЖТ |
| Утверждён: | 15.09.2017 Федеральное агентство по техническому регулированию и метрологии (1130-ст) |
| Издан: | Стандартинформ (2017 г. ) |
| Нормативные ссылки: |
|



















































