Скачать ГОСТ Р 57837-2017 Двутавры стальные горячекатаные с параллельными гранями полок. Технические условия

Дата актуализации: 01.01.2021

ГОСТ Р 57837-2017

Двутавры стальные горячекатаные с параллельными гранями полок. Технические условия

Обозначение: ГОСТ Р 57837-2017
Обозначение англ: GOST R 57837-2017
Статус:введен впервые
Название рус.:Двутавры стальные горячекатаные с параллельными гранями полок. Технические условия
Название англ.:Hot-rolled steel I-beams with parallel edges of flanges. Specifications
Дата добавления в базу:01.01.2019
Дата актуализации:01.01.2021
Дата введения:01.05.2018
Область применения:Стандарт распространяется на стальные горячекатаные двутавровые профили с параллельными гранями полок из нелегированной и легированной стали, предназначенные для стальных строительных конструкций со сварными и болтовыми соединениями. Двутавровые профили могут быть использованы для любых видов строительных конструкций (балок, колонн, элементов ферм, элементов вертикальных и горизонтальных связей), а также для зданий и сооружений любого уровня ответственности (в соответствии с терминологией и при условии соблюдения положений [1]) и любого назначения. Примеры способов стыковки двутавров приведены в приложении А. Двутавровые профили, изготовляемые по стандарту, допускается использовать по другому назначению.
Оглавление:1 Область применения
2 Нормативные ссылки
3 Термины и определения
4 Классификация
5 Условия заказа
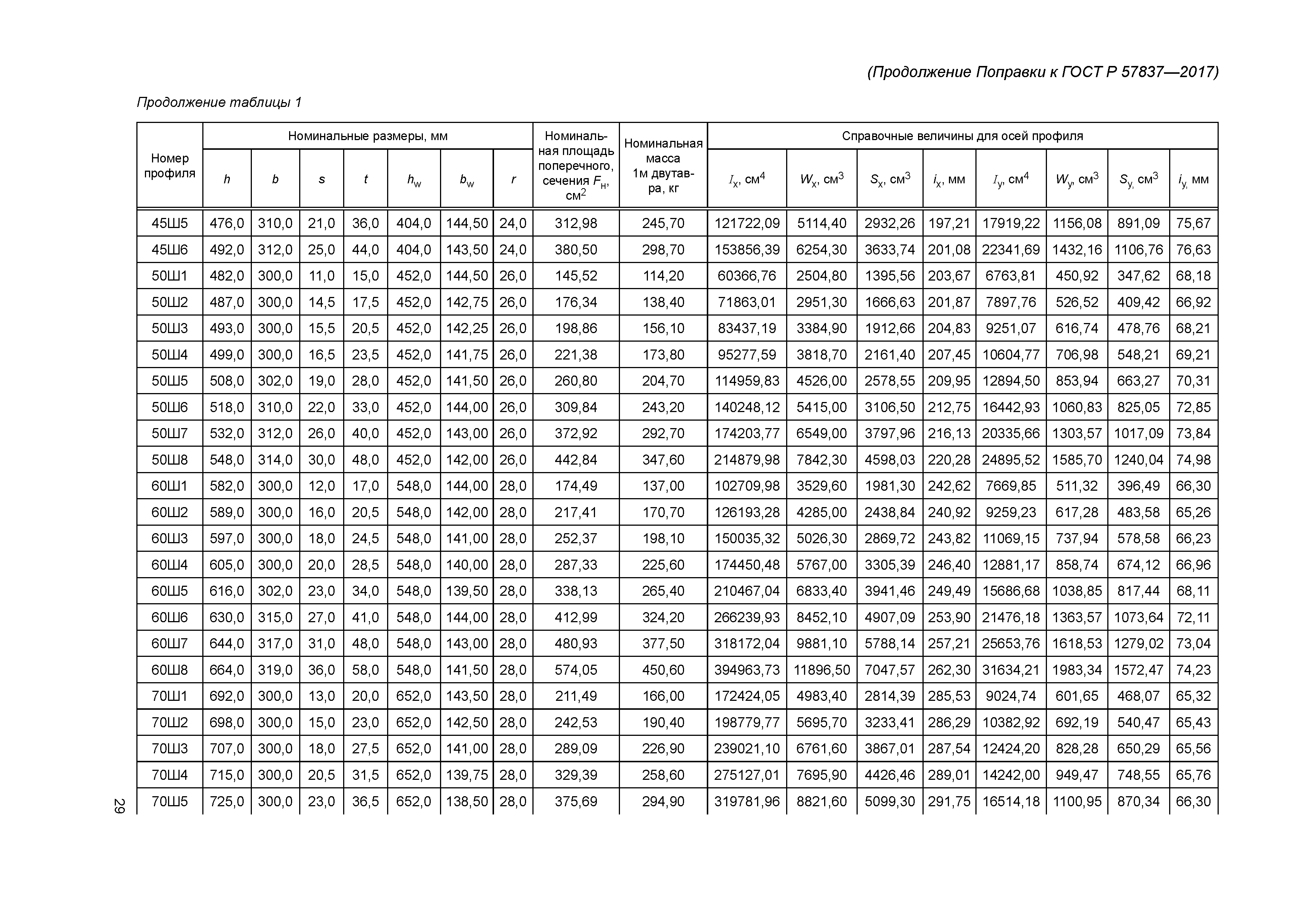
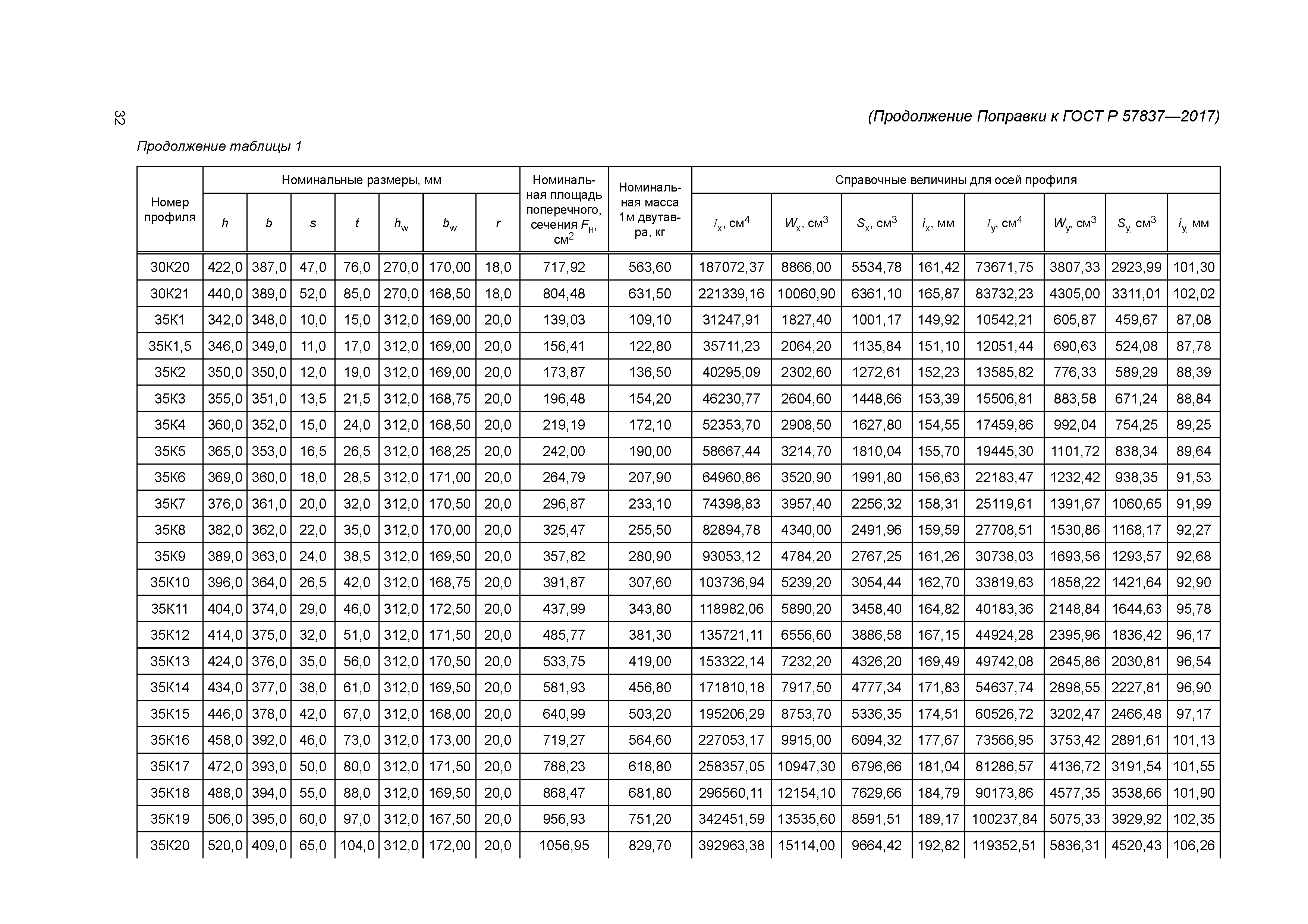
6 Сортамент
7 Технические требования
8 Правила приемки
9 Методы испытаний
10 Упаковка, маркировка, транспортирование и хранение
11 Требования безопасности и охраны окружающей среды
Приложение А (справочное) Примеры способов стыковки двутавров
Приложение Б (обязательное) Примеры условных обозначений двутавров при заказе
Библиография
Разработан: ФГУП ЦНИИчермет им. И.П. Бардина
Центральный научно-исследовательский институт строительных конструкций им. В.А. Кучеренко (АО НИЦ Строительство )
АО ЕВРАЗ Нижнетагильский металлургический комбинат
Ассоциация Объединение участников бизнеса по развитию стального строительства
ОАО Мечел
Утверждён:24.10.2017 Федеральное агентство по техническому регулированию и метрологии (1515-ст)
Издан: Стандартинформ (2017 г. )
Стандартинформ (2019 г. )
Список изменений:
Нормативные ссылки:
ГОСТ Р 57837-2017ГОСТ Р 57837-2017ГОСТ Р 57837-2017ГОСТ Р 57837-2017ГОСТ Р 57837-2017ГОСТ Р 57837-2017ГОСТ Р 57837-2017ГОСТ Р 57837-2017ГОСТ Р 57837-2017ГОСТ Р 57837-2017ГОСТ Р 57837-2017ГОСТ Р 57837-2017ГОСТ Р 57837-2017ГОСТ Р 57837-2017ГОСТ Р 57837-2017ГОСТ Р 57837-2017ГОСТ Р 57837-2017ГОСТ Р 57837-2017ГОСТ Р 57837-2017ГОСТ Р 57837-2017ГОСТ Р 57837-2017ГОСТ Р 57837-2017ГОСТ Р 57837-2017ГОСТ Р 57837-2017ГОСТ Р 57837-2017ГОСТ Р 57837-2017ГОСТ Р 57837-2017ГОСТ Р 57837-2017ГОСТ Р 57837-2017ГОСТ Р 57837-2017ГОСТ Р 57837-2017ГОСТ Р 57837-2017ГОСТ Р 57837-2017ГОСТ Р 57837-2017ГОСТ Р 57837-2017ГОСТ Р 57837-2017ГОСТ Р 57837-2017ГОСТ Р 57837-2017ГОСТ Р 57837-2017ГОСТ Р 57837-2017ГОСТ Р 57837-2017ГОСТ Р 57837-2017ГОСТ Р 57837-2017ГОСТ Р 57837-2017

Текстовое изменение Поправка от 15.05.2018

ПоправкаПоправкаПоправкаПоправкаПоправкаПоправкаПоправкаПоправкаПоправкаПоправкаПоправкаПоправкаПоправкаПоправкаПоправка

Текстовое изменение № 1 от 01.08.2020

№ 1№ 1№ 1№ 1№ 1№ 1№ 1№ 1№ 1