Скачать ГОСТ Р 57902-2017 Модули фотоэлектрические. Испытания на деградацию, вызванную высоким напряжением. Часть 1. Фотоэлектрические модули на основе кристаллического кремнияДата актуализации: 01.01.2021
|
| Обозначение: | ГОСТ Р 57902-2017 |
| Обозначение англ: | GOST R 57902-2017 |
| Статус: | введен впервые |
| Название рус.: | Модули фотоэлектрические. Испытания на деградацию, вызванную высоким напряжением. Часть 1. Фотоэлектрические модули на основе кристаллического кремния |
| Название англ.: | Photovoltaic modules. Potential induced degradation tests. Part 1. Crystalline silicon photovoltaic modules |
| Дата добавления в базу: | 01.01.2019 |
| Дата актуализации: | 01.01.2021 |
| Дата введения: | 01.07.2018 |
| Область применения: | Стандарт распространяется на наземные фотоэлектрические модули на основе кристаллического кремния. Стандарт устанавливает методы испытаний на стойкость к кратковременному воздействию высокого напряжения, приводящему к деградации фотоэлектрических модулей в процессе эксплуатации. Стандарт распространяется на фотоэлектрические модули, которые содержат: - фотоэлектрические элементы из кристаллического кремния с пассивирующим/просветляющим диэлектрическим покрытием, механизмы деградации которых могут быть обусловлены подвижностью ионов, влияющих на электрическое поле вблизи поверхности фотоэлектрических элементов или электрически взаимодействующих с ними; - стеклянное покрытие на рабочей поверхности. Стандарт не распространяется на фотоэлектрические модули с концентраторами солнечного излучения, а также модули, выполненные из тандемных фотоэлектрических элементов. |
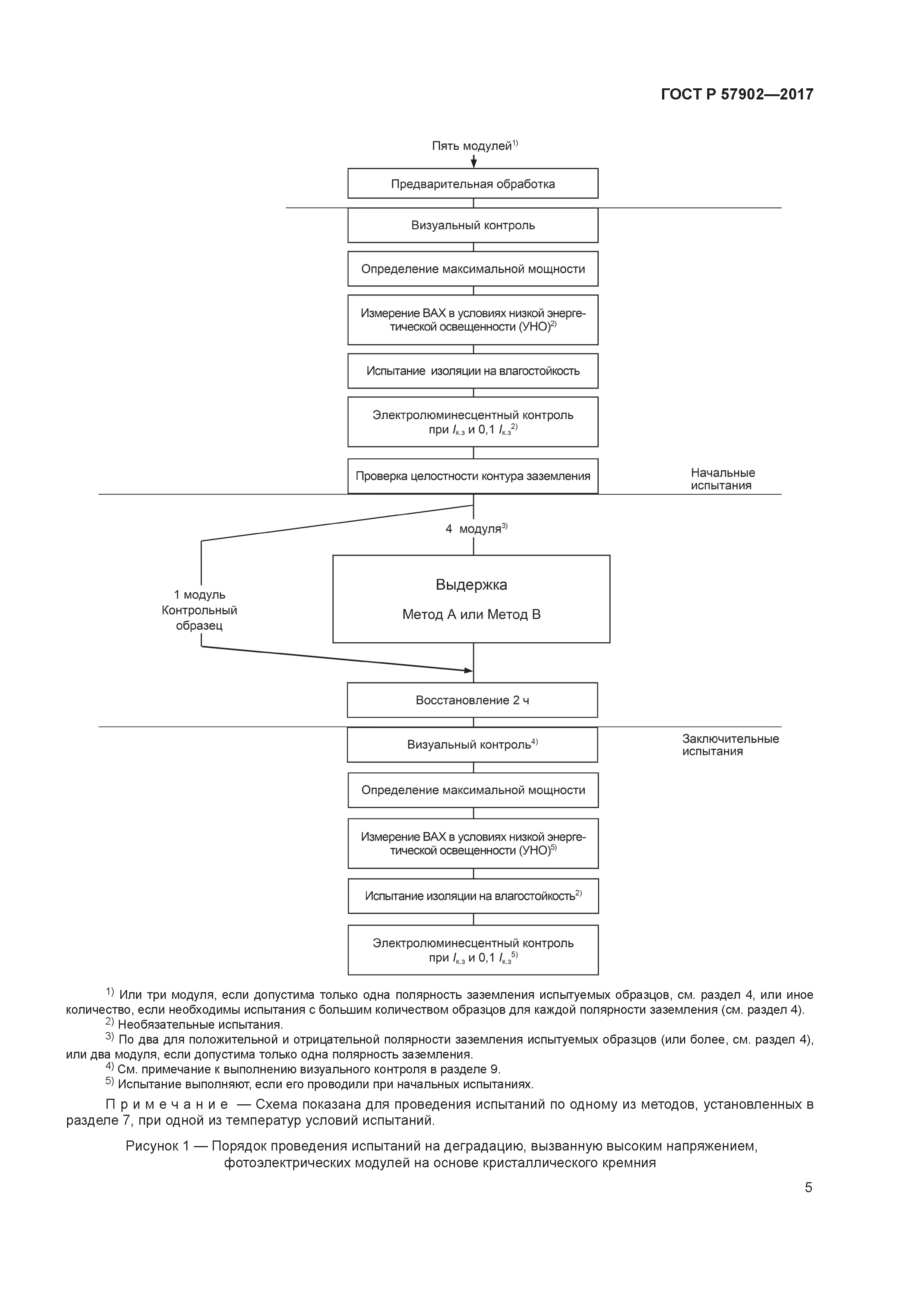
| Оглавление: | 1 Область применения 2 Нормативные ссылки 3 Выбор образцов 4 Порядок проведения испытаний 5 Предварительная обработка 6 Начальные испытания 7 Выдержка 7.1 Испытательное оборудование и материалы 7.2 Метод А 7.3 Метод В 8 Восстановление 9 Заключительные испытания 10 Протокол испытаний Приложение ДА (справочное) Сведения о соответствии ссылочных межгосударственных и национальных стандартов международным стандартам, использованным в качестве ссылочных в примененном международном документе Библиография |
| Разработан: | ООО ВИЭСХ-ВОЗОБНОВЛЯЕМЫЕ ИСТОЧНИКИ ЗНЕРГИИ (ООО ВИЭСХ-ВИЭ ) |
| Утверждён: | 03.11.2017 Федеральное агентство по техническому регулированию и метрологии (1645-ст) |
| Издан: | Стандартинформ (2017 г. ) |
| Нормативные ссылки: |
|






















