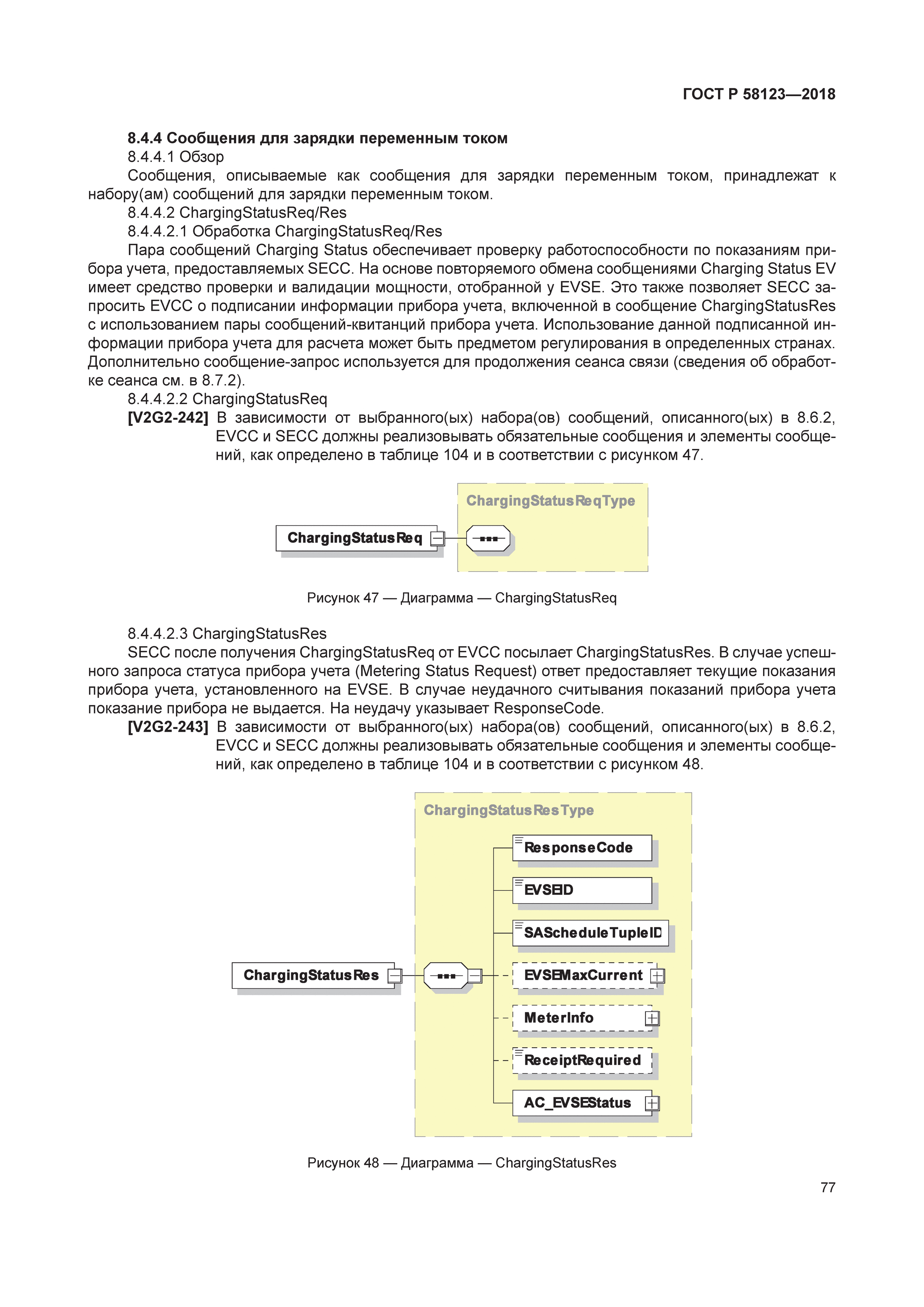
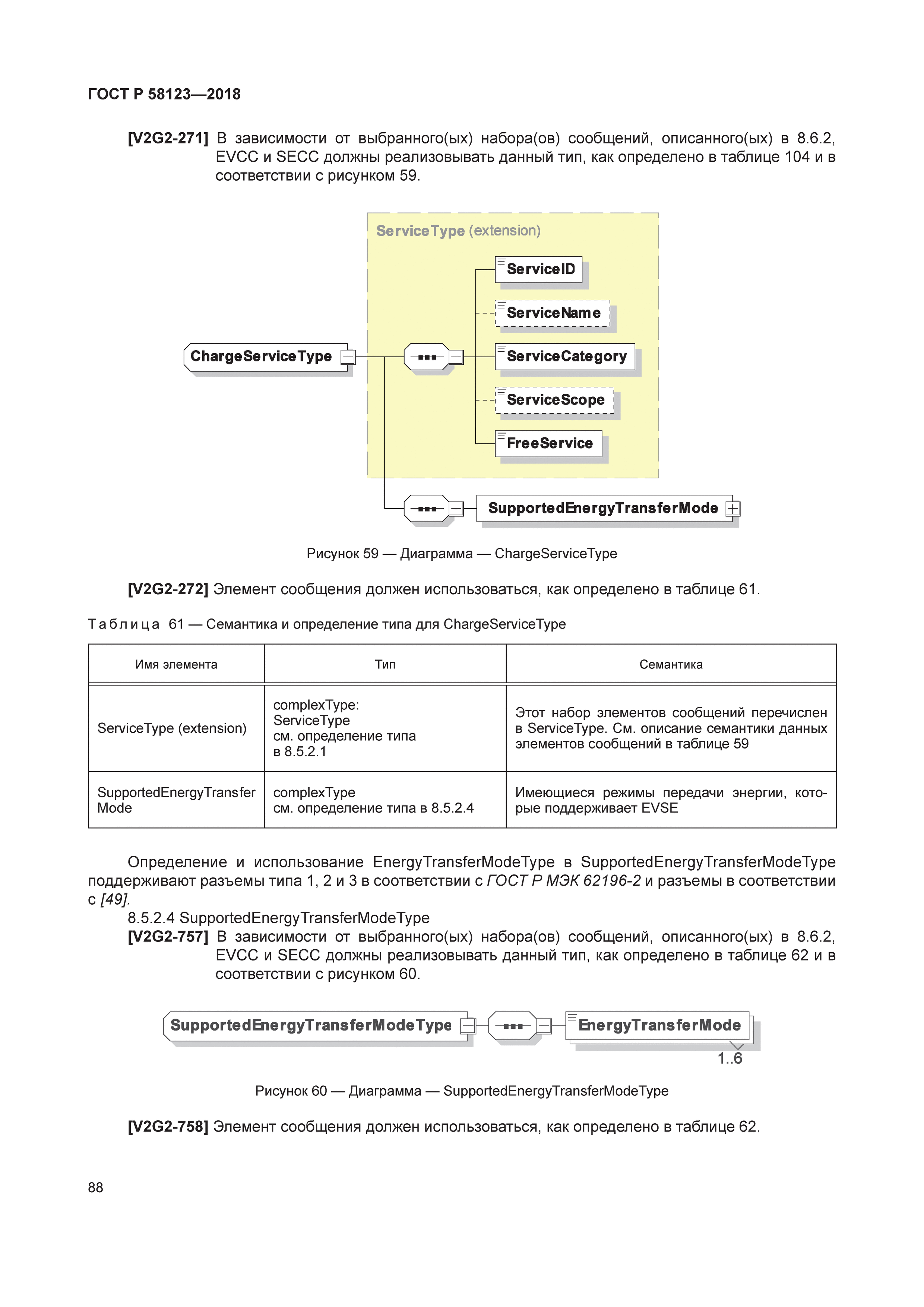
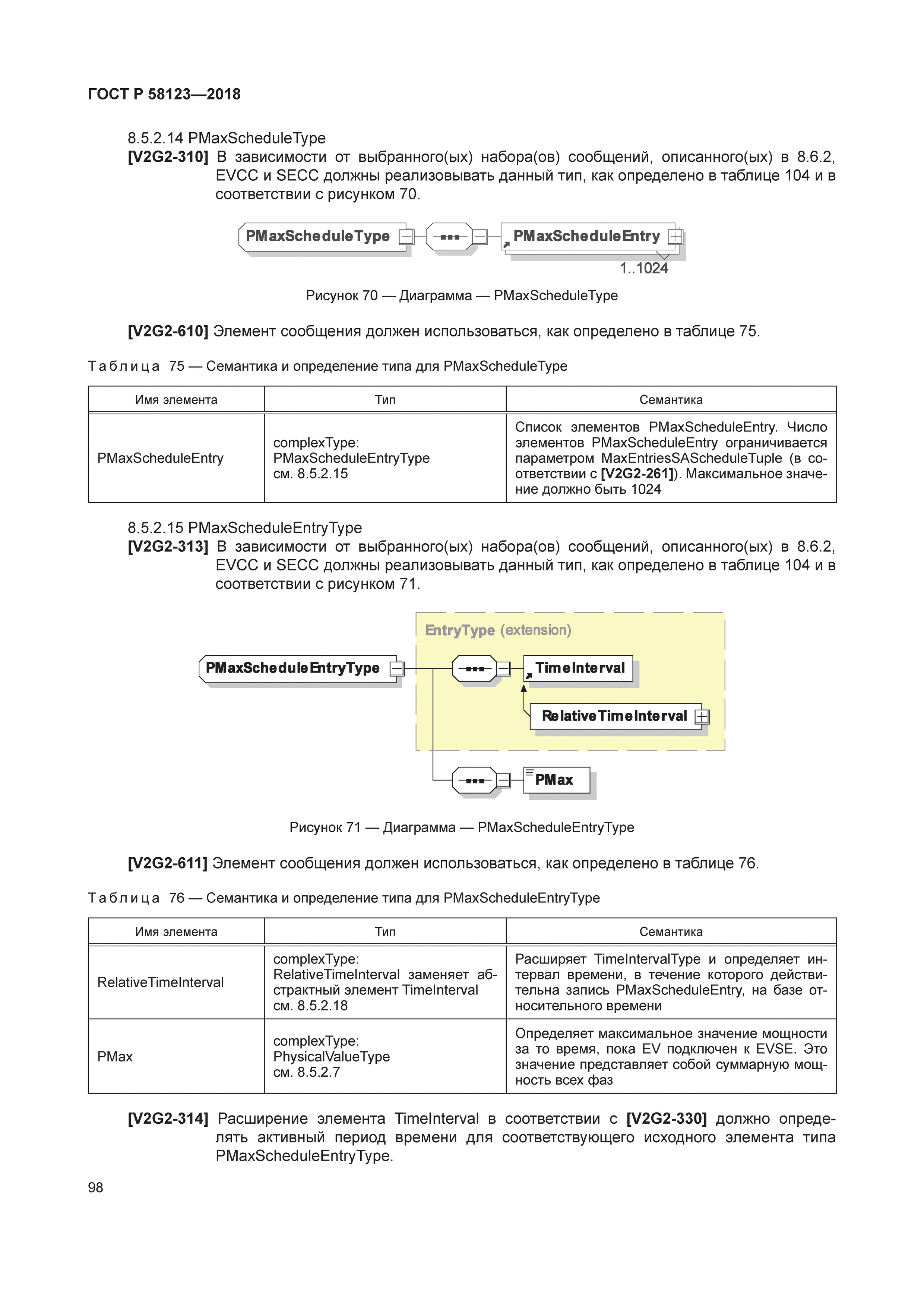
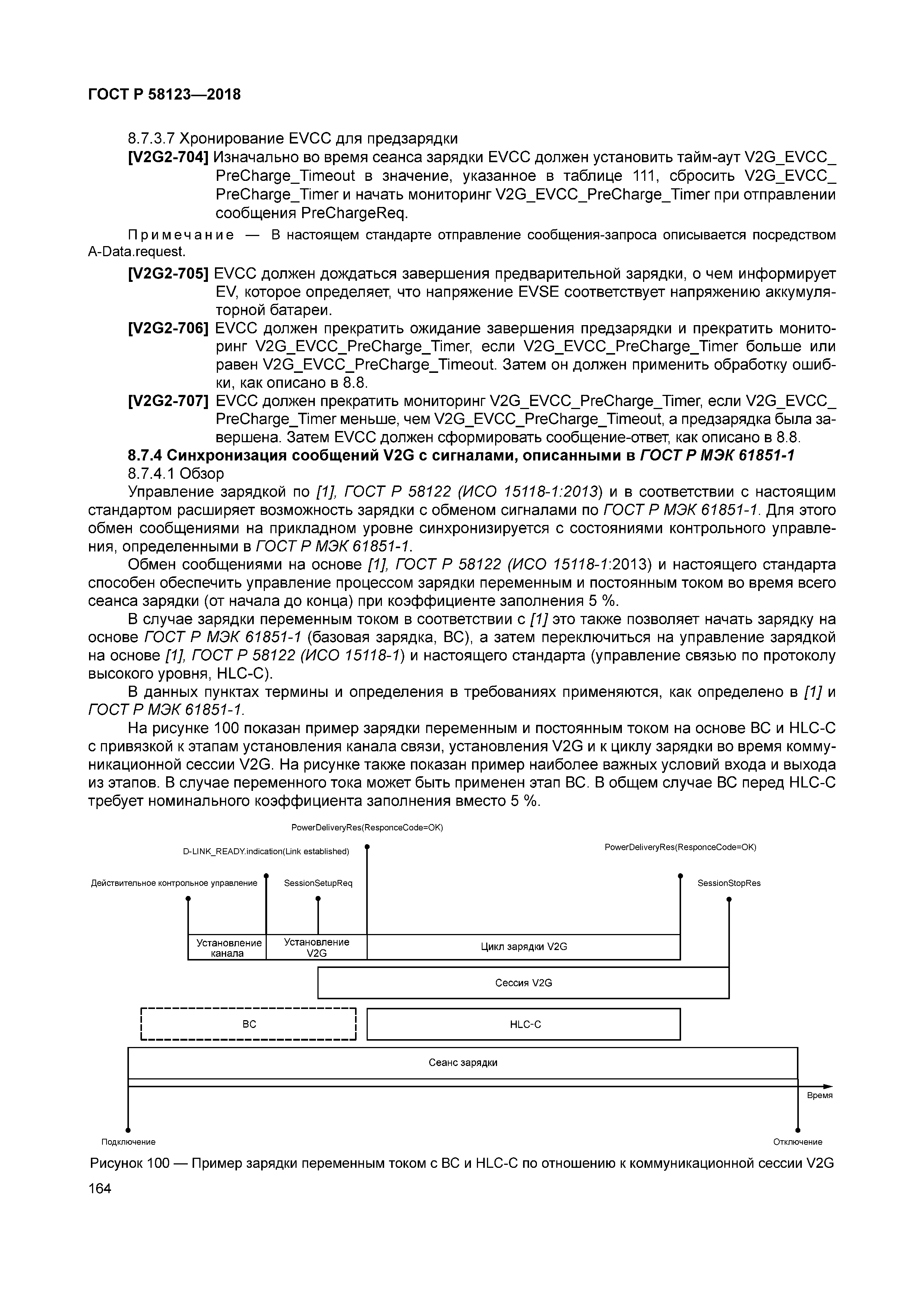
Скачать ГОСТ Р 58123-2018 Транспорт дорожный. Интерфейс связи автомобиль-электрическая сеть. Часть 2. Требования к протоколу сетевого и прикладного уровнейДата актуализации: 01.01.2021
|
| Обозначение: | ГОСТ Р 58123-2018 |
| Обозначение англ: | GOST R 58123-2018 |
| Статус: | введен впервые |
| Название рус.: | Транспорт дорожный. Интерфейс связи автомобиль-электрическая сеть. Часть 2. Требования к протоколу сетевого и прикладного уровней |
| Название англ.: | Road vehicles. Vehicle-to-Grid Communication Interface. Part 2. Network and application protocol requirements |
| Дата добавления в базу: | 01.02.2020 |
| Дата актуализации: | 01.01.2021 |
| Дата введения: | 01.06.2019 |
| Область применения: | Стандарт определяет связь между аккумуляторными электромобилями (BEV), гибридными автомобилями с подзарядкой от электросети (PHEV) и оборудованием электроснабжения электромобиля (EVSE). Набор команд для приложения, требования к которому устанавливает настоящий стандарт, служит для поддержки передачи энергии от EVSE к электроавтомобилю (EV). ГОСТ Р 58122 (ИСО 15118-1:2013) содержит дополнительные элементы случаев использования (часть 1, идентификаторы элементов случаев использования: F4 и F5), описывающие двунаправленную передачу энергии. Реализация указанных случаев использования требует оптимизации набора команд для приложения, описываемого в настоящем стандарте. Настоящий стандарт распространяется на сети между EV (BEV или PHEV) и EVSE и устанавливает требования к особенностям обнаружения EV в коммуникационной сети и подключения по Интернет-протоколу (IP) между EVCC и SECC. В настоящем стандарте описаны сообщения, модель данных, формат представления данных на базе XML/EXI, использующих протоколы связи V2GTP, безопасности транспортного уровня TLS, управления передачей TCP и IPv6. Также в нем описан доступ к сервисам канального уровня с точки зрения уровня 3. |
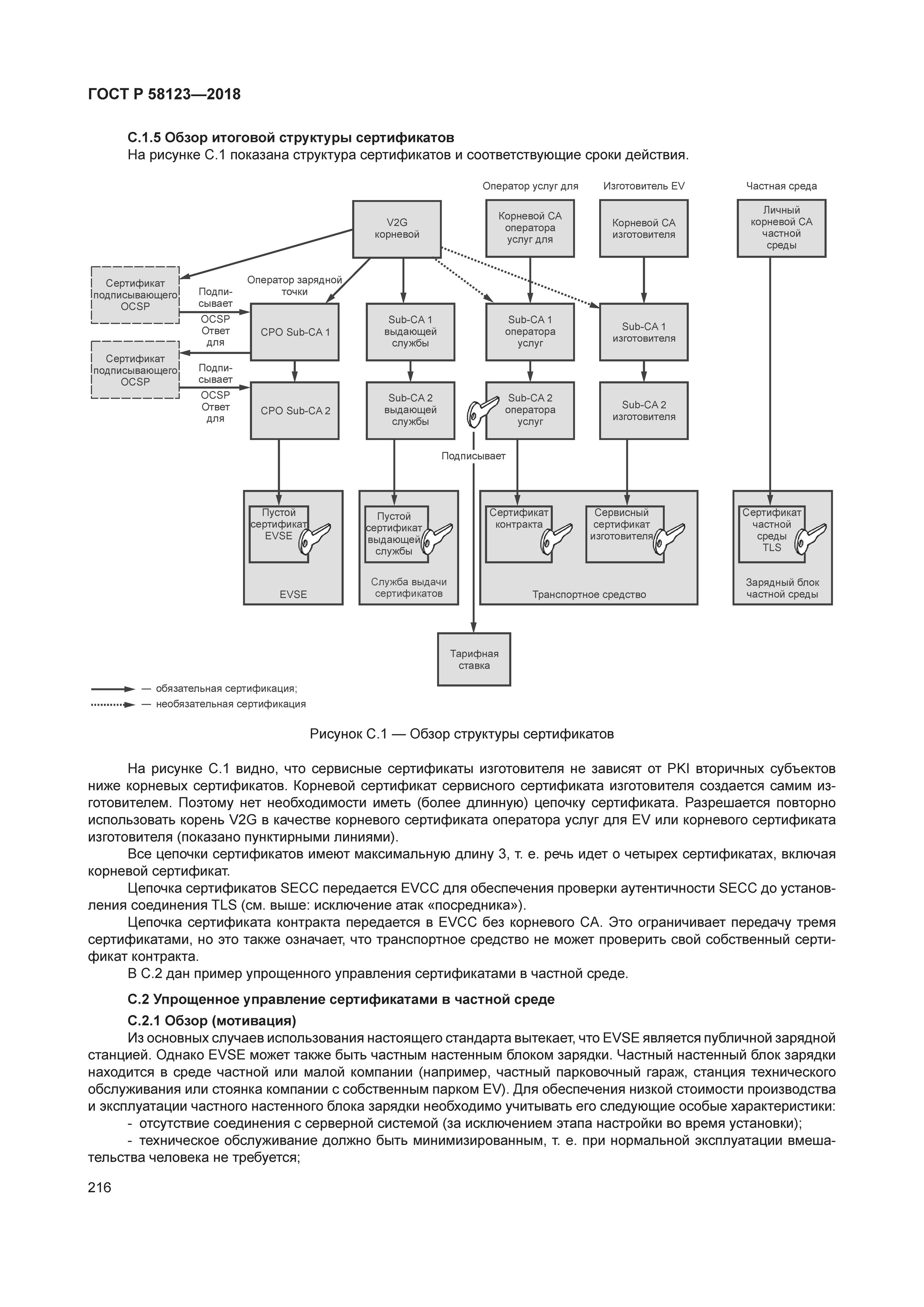
| Оглавление: | 1 Область применения 2 Нормативные ссылки 3 Термины и определения 4 Обозначения и сокращения 5 Понятия 5.1 Определение сервисов на базе стандарта взаимодействия открытых систем (OSI) 5.2 Структура требований 5.3 Использование RFC-ссылок 5.4 Представление, используемое для диаграмм XML-схем 6 Обзор документов 7 Базовые требования к связи V2G 7.1 Общая информация 7.2 Концепция сервисного примитива уровневой архитектуры OSI 7.3 Концепция безопасности 7.4 Состояния связи V2G и работа с каналом данных 7.5 Канальный уровень 7.6 Сетевой уровень 7.7 Транспортный уровень 7.8 Коммуникационный протокол V2G 7.9 Представительский уровень 7.10 Уровень приложения 8 Сообщения прикладного уровня 8.1 Общая информация и определения 8.2 Определение подтверждения протокола 8.3 Определение сообщения V2G 8.4 Определения сеанса связи V2G и элементов тела сообщения 8.5 Комплексные типы данных 8.6 Идентификационные режимы и определения наборов сообщений 8.7 Хронирование связи V2G 8.8 Задание последовательности сообщений и обработка ошибок 8.9 Примеры последовательностей сообщений запрос-ответ Приложение A (справочное) Сводная таблица требований Приложение B (обязательное) Профили сертификатов Приложение C (справочное) Применение сертификатов Приложение D (справочное) Шифрование для распределения секретных ключей Приложение E (справочное) Обзор XML-подписей Приложение F (рекомендуемое) Определения схем Приложение G (обязательное) Требования к идентификаторам Приложение H (справочное) Задание последовательности сообщений для пересогласования Приложение I (справочное) Привязка имен элементов сообщений ISO 15118 к терминам SAE J847/2 Приложение J (справочное) Примеры сообщений Приложение K (справочное) Привязка элементов случаев использования части 1 Приложение ДА (справочное) Сведения о соответствии ссылочных национальных стандартов международным стандартам, использованным в качестве ссылочных в примененном международном стандарте Приложение ДБ (справочное) Сопоставление структуры настоящего стандарта со структурой примененного в нем международного стандарта Библиография |
| Утверждён: | 02.10.2018 Федеральное агентство по техническому регулированию и метрологии (688-ст) |
| Нормативные ссылки: |
|




















































































































































































































































































































































