Скачать ГОСТ Р 58122-2018 Транспорт дорожный. Интерфейс связи автомобиль-электрическая сеть. Часть 1. Общая информация и определение случаев использованияДата актуализации: 01.01.2021
|
| Обозначение: | ГОСТ Р 58122-2018 |
| Обозначение англ: | GOST R 58122-2018 |
| Статус: | введен впервые |
| Название рус.: | Транспорт дорожный. Интерфейс связи автомобиль-электрическая сеть. Часть 1. Общая информация и определение случаев использования |
| Название англ.: | Road vehicles. Vehicle to grid communication interface. Part 1. General information and use-case definition |
| Дата добавления в базу: | 01.02.2020 |
| Дата актуализации: | 01.01.2021 |
| Дата введения: | 01.06.2019 |
| Область применения: | Стандарт определяет связь между электромобилями (EV), включая электромобиль на аккумуляторных источниках питания и гибридный автомобиль с подзарядкой от электросети, и оборудованием электроснабжения электромобиля (EVSE). Поскольку частями этой системы связи являются контроллер связи электромобиля (EVCC) и контроллер связи оборудования электроснабжения (SECC), то в стандарте описывается взаимодействие (связь) между этими компонентами. Хотя в стандарте основное внимание уделяется зарядке электромобилей, он может относиться и к другим транспортным средствам. Стандарт разъясняет термины, определения и общие требования, а также случаи использования в качестве основы для других частей стандарта. В стандарте дается общий обзор и общее понимание аспектов, влияющих на процесс зарядки, на порядок осуществления оплаты и выравнивания нагрузки. В стандарте не рассматривается внутренняя связь между аккумуляторной батареей и зарядным оборудованием в ТС, а также взаимодействие SECC с другими поставщиками электроэнергии или оборудованием (за исключением некоторых сообщений, относящихся к процессу подзарядки). Все соединения, осуществляемые в обход SECC, а также способ обмена сообщениями не входят в область применения, и считаются особыми случаями использования. |
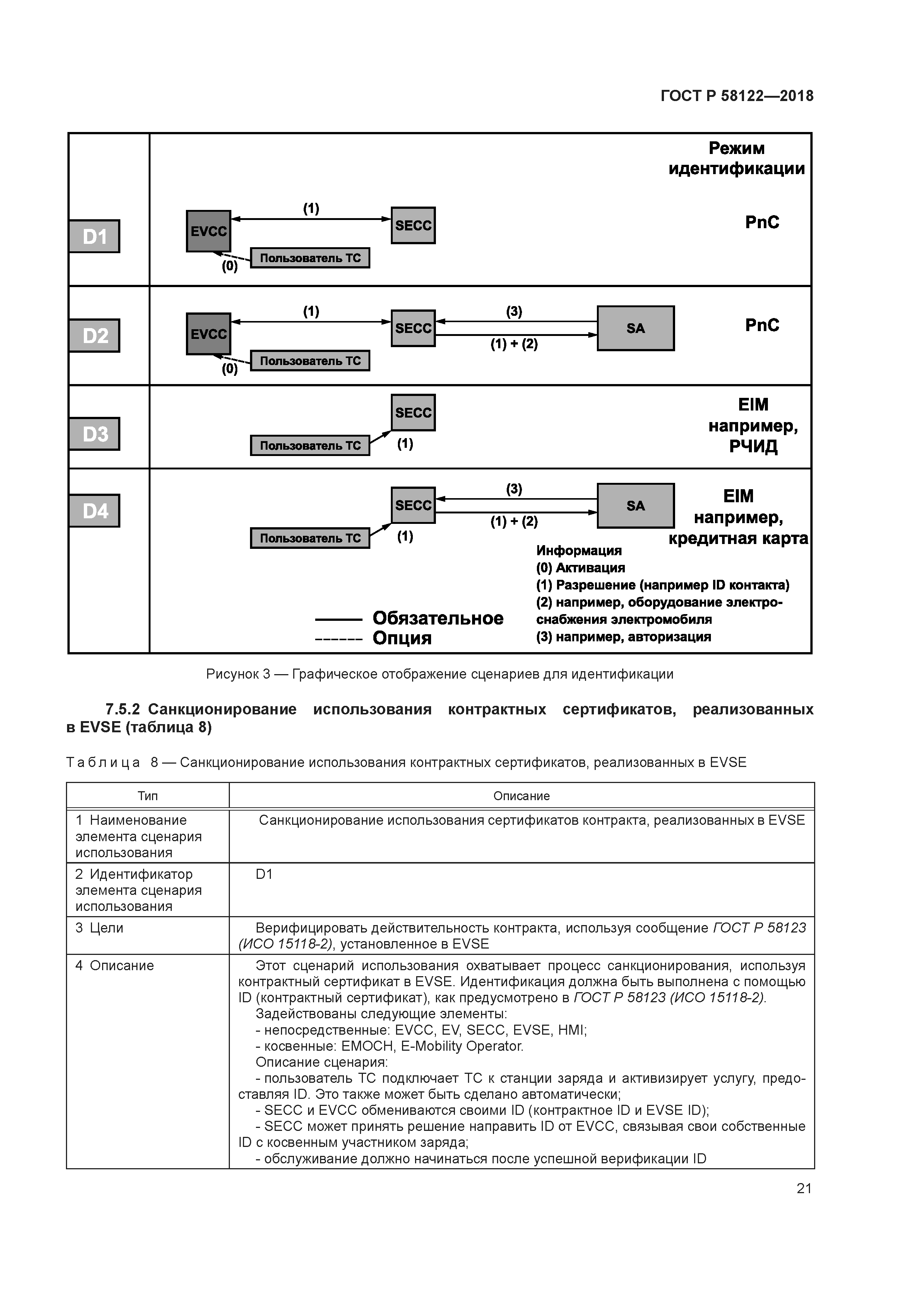
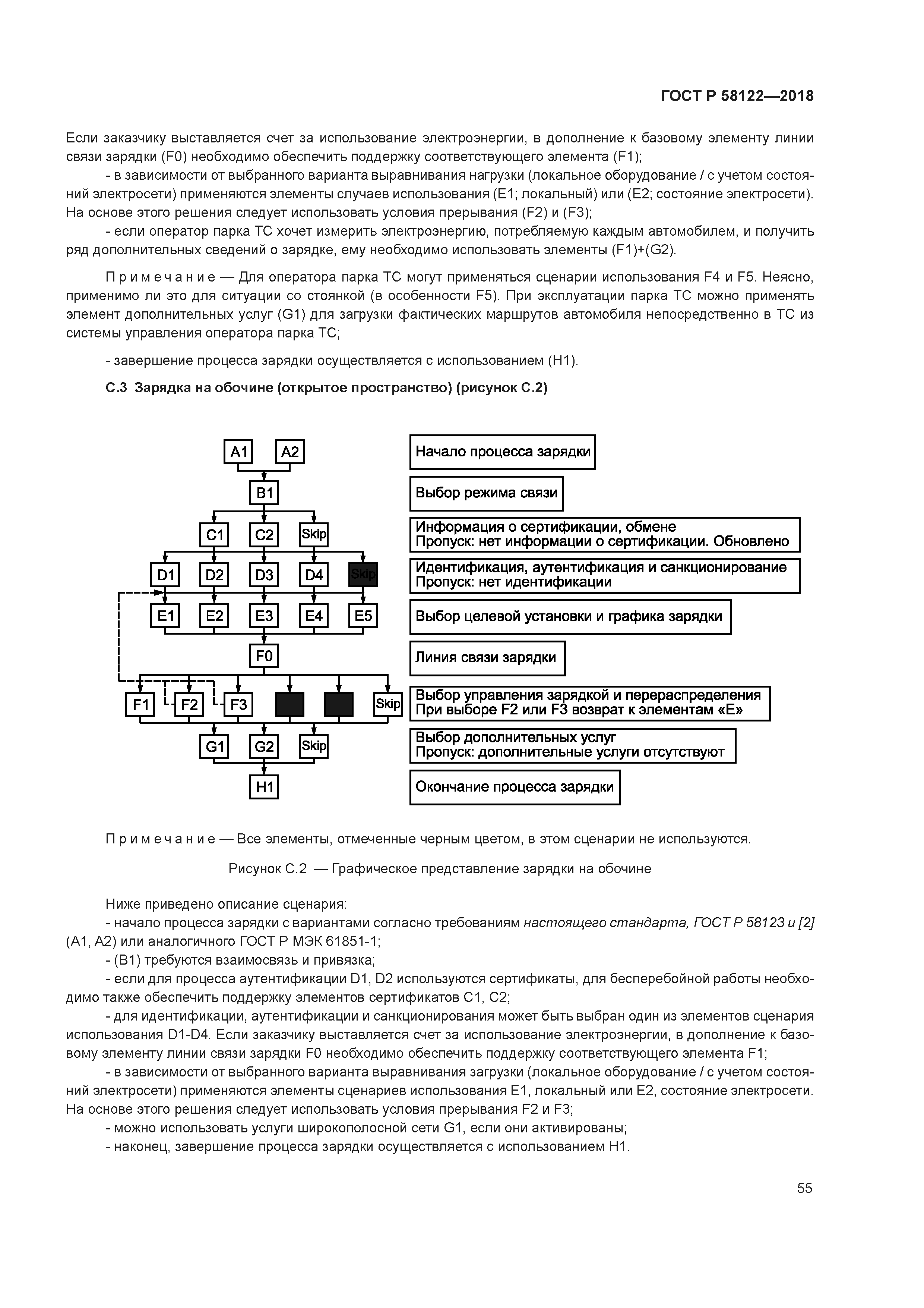
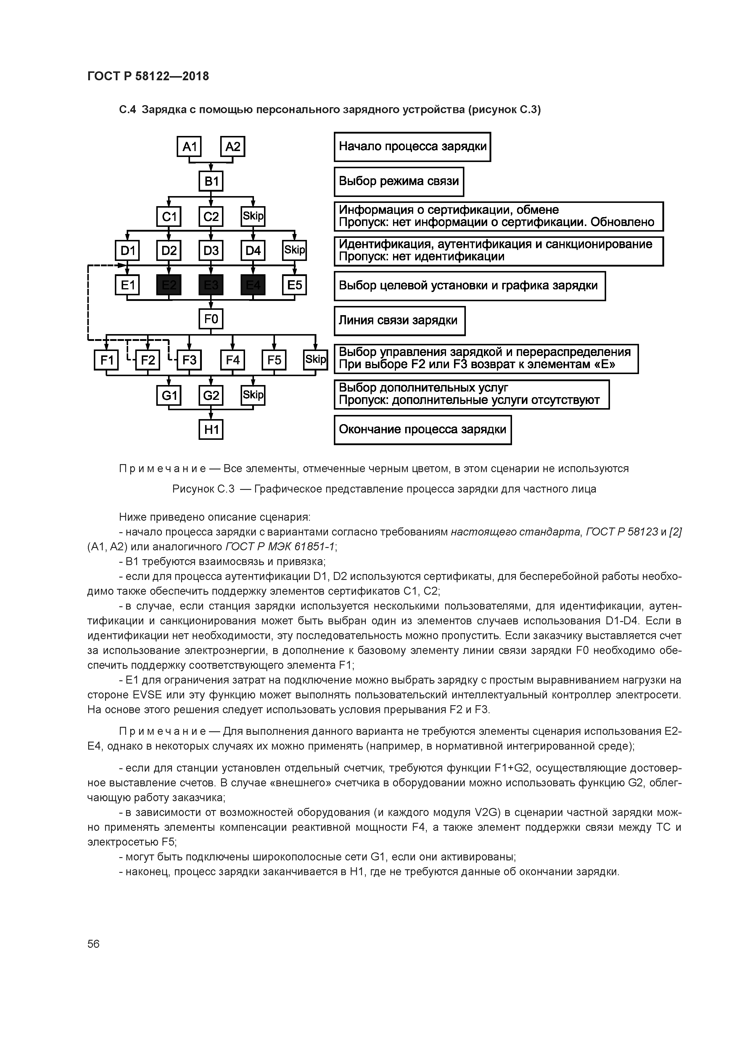
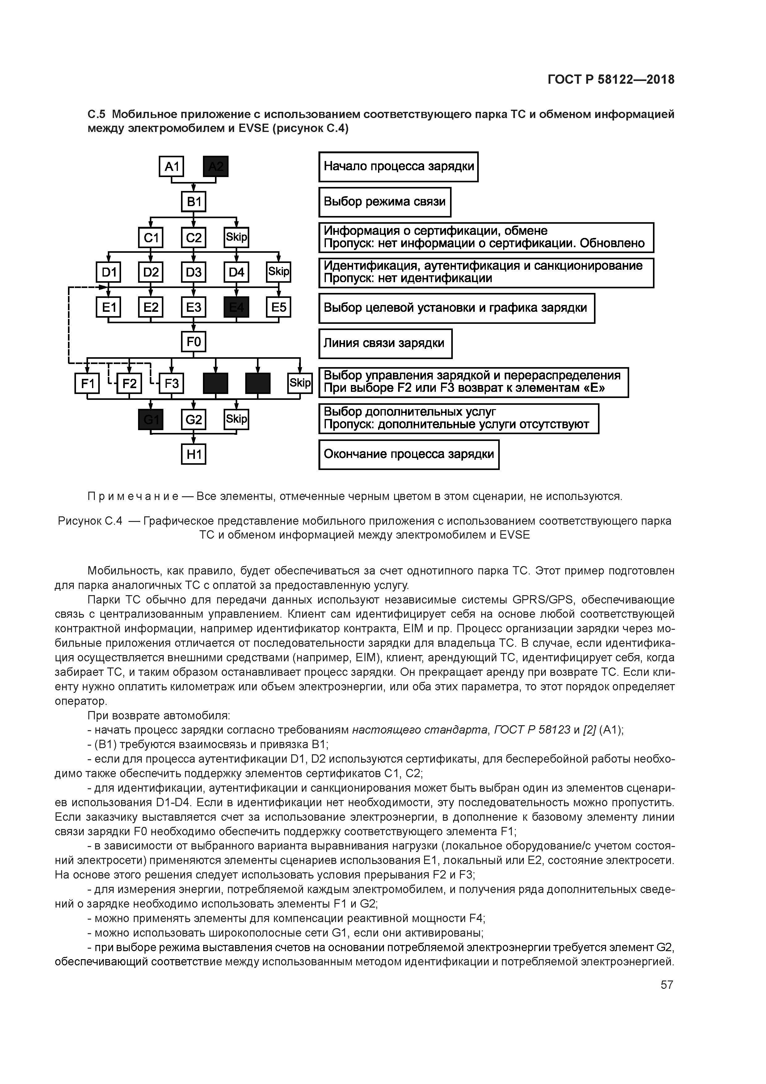
| Оглавление: | 1 Область применения 2 Нормативные ссылки 3 Термины и определения 4 Обозначения и сокращения 5 Требования 5.1 Концепция осуществления связи 5.2 Общие факторы 5.3 Требования, специфические для пользователя 5.4 Требования, относящиеся к производителям оборудования 5.5 Требования к функциональности 6 Продавцы электроэнергии 6.1 Общие положения 7 Элементы сценария использования 7.1 Общие положения 7.2 Начало процесса зарядки [A] 7.3 Установление связи [B] 7.4 Обработка сертификата [C] 7.5 Идентификация и авторизация [D] 7.6 Постановка целей и составление графика зарядки [E] 7.7 Контроль зарядки и повторное составление графика [F] 7.8 Дополнительные услуги [G] 7.9 Окончание процесса зарядки [H] Приложение A (справочное) Архитектура инфраструктуры зарядки Приложение B (справочное) Безопасность Приложение C (справочное) Примеры зарядки, полученные на основе сценариев использования . Приложение ДА (справочное) Сведения о соответствии ссылочного национального стандарта международному стандарту, использованному в качестве ссылочного в примененном международном стандарте Библиография |
| Разработан: | ФГУП НАМИ |
| Утверждён: | 02.10.2018 Федеральное агентство по техническому регулированию и метрологии (687-ст) |
| Издан: | Стандартинформ (2018 г. ) |
| Нормативные ссылки: |

































































