Скачать ГОСТ 167-2018 Трубы свинцовые. Технические условия

Дата актуализации: 01.01.2021

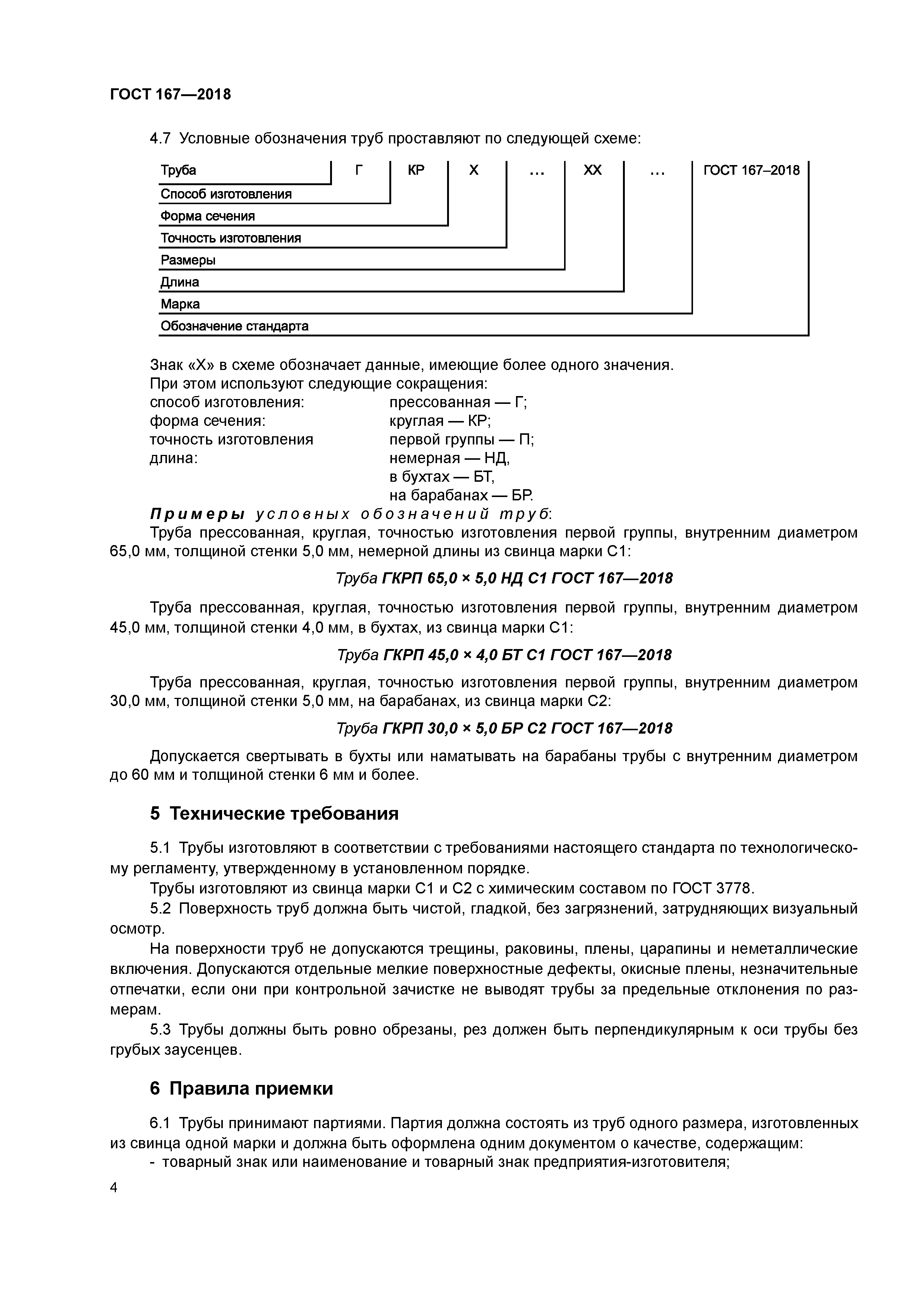
ГОСТ 167-2018

Трубы свинцовые. Технические условия

Обозначение: ГОСТ 167-2018
Обозначение англ: GOST 167-2018
Статус:взамен
Название рус.:Трубы свинцовые. Технические условия
Название англ.:Lead tubes. Specifications
Дата добавления в базу:01.02.2020
Дата актуализации:01.01.2021
Дата введения:01.03.2019
Область применения:Стандарт распространяется на свинцовые трубы, изготовляемые прессованием. Стандарт устанавливает сортамент, технические требования, правила приемки, методы контроля и испытаний, маркировку, упаковку, транспортирование и хранение труб.
Оглавление:1 Область применения
2 Нормативные ссылки
3 Термины и определения
4 Сортамент
5 Технические требования
6 Правила приемки
7 Методы контроля и испытаний
8 Маркировка, упаковка, транспортирование и хранение
Приложение А (справочное) Теоретическая масса 1 м прессованных труб при номинальном внутреннем диаметре и номинальной толщине стенки
Разработан: ТК 106 Цветметпрокат
АО Институт Цветметобработка
Утверждён:30.04.2018 Межгосударственный Совет по стандартизации, метрологии и сертификации (Inter-Governmental Council on Standardization, Metrology, and Certification 108-П)
16.10.2018 Федеральное агентство по техническому регулированию и метрологии (766-ст)
Издан: Стандартинформ (2018 г. )
Стандартинформ (2019 г. )
Список изменений:
Заменяет собой:
Нормативные ссылки:
ГОСТ 167-2018ГОСТ 167-2018ГОСТ 167-2018ГОСТ 167-2018ГОСТ 167-2018ГОСТ 167-2018ГОСТ 167-2018ГОСТ 167-2018ГОСТ 167-2018ГОСТ 167-2018ГОСТ 167-2018ГОСТ 167-2018

Текстовое изменение Поправка от 27.08.2019

Поправка