Скачать Правила охраны сооружений и природных объектов от вредного влияния подземных горных выработок в Челябинском буроугольном бассейне

Дата актуализации: 01.01.2021

Правила охраны сооружений и природных объектов от вредного влияния подземных горных выработок в Челябинском буроугольном бассейне

Статус:отменен
Название рус.:Правила охраны сооружений и природных объектов от вредного влияния подземных горных выработок в Челябинском буроугольном бассейне
Дата добавления в базу:01.02.2020
Дата актуализации:01.01.2021
Область применения:Правила охраны сооружения являются основным и руководящим пособием для работников производства и проектирующих организаций по выбору мер охраны зданий, сооружений и природных объектов от вредного влияния горных выработок на шахтах Челябинского буроугольного бассейна. В Правилах даются нормы и методы защиты охраняемых объектов, излагается методика построения предохранительных целиков и приводятся основные требования по выемке угля под различными объектами.
Оглавление:Раздел I Определение границ зоны опасного влияния подземных разработок на сооружения и другие объекты
Раздел II Установление продолжительности процесса сдвижения
Раздел III Разделение объектов на категории охраны
Раздел IV Меры охраны сооружений и природных объектов от вредного влияния подземных разработок
Раздел V Меры охраны подготовительных выработок от вредного влияния подземных разработок
Раздел VI Правила построения предохранительных целиков
Раздел VII Примеры построения предохранительных целиков
Приложение 1 Пример определения времени появления опасных деформаций
Приложение 2 Инструкция о порядке утверждения мероприятий по охране сооружений и природных объектов от вредного влияния горных разработок и о порядке ведения горных работ в предохранительных целиках
Приложение 3 Горнотехнические мероприятия по защите эксплуатируемых зданий и сооружений
Приложение 4 Конструктивные меры защиты зданий с жесткой конструктивной схемой и санитарно-технических коммуникаций
Приложение 5 Максимальные расстояния между поперечными конструкциями, при которых покрытия и перекрытия считаются жестокими опорами для стен и столбов
Приложение 6 Расчет сдвижений и деформаций земной поверхности
Приложение 7 Методика приближенного расчета ожидаемых сдвигов по напластованию
Приложение 8 Значение коэффициента К, вычисленного для формулы
Приложение 9 Таблица значений углов
Приложение 10 Средневзвешенные значения основных горных пород Челябинского бассейна
Приложение 11 Значения углов, вычисленные по формуле
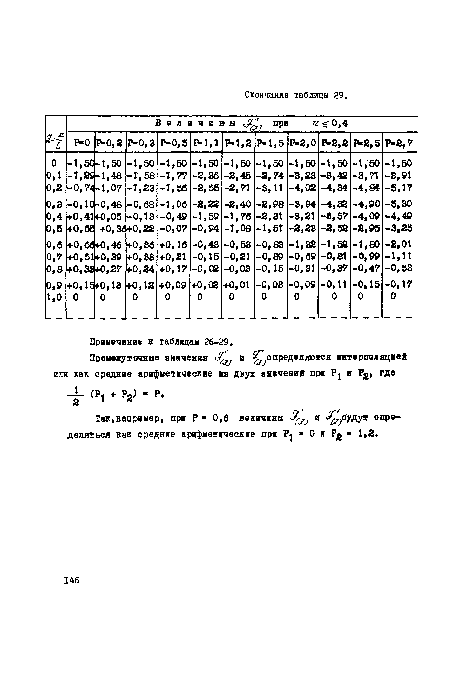
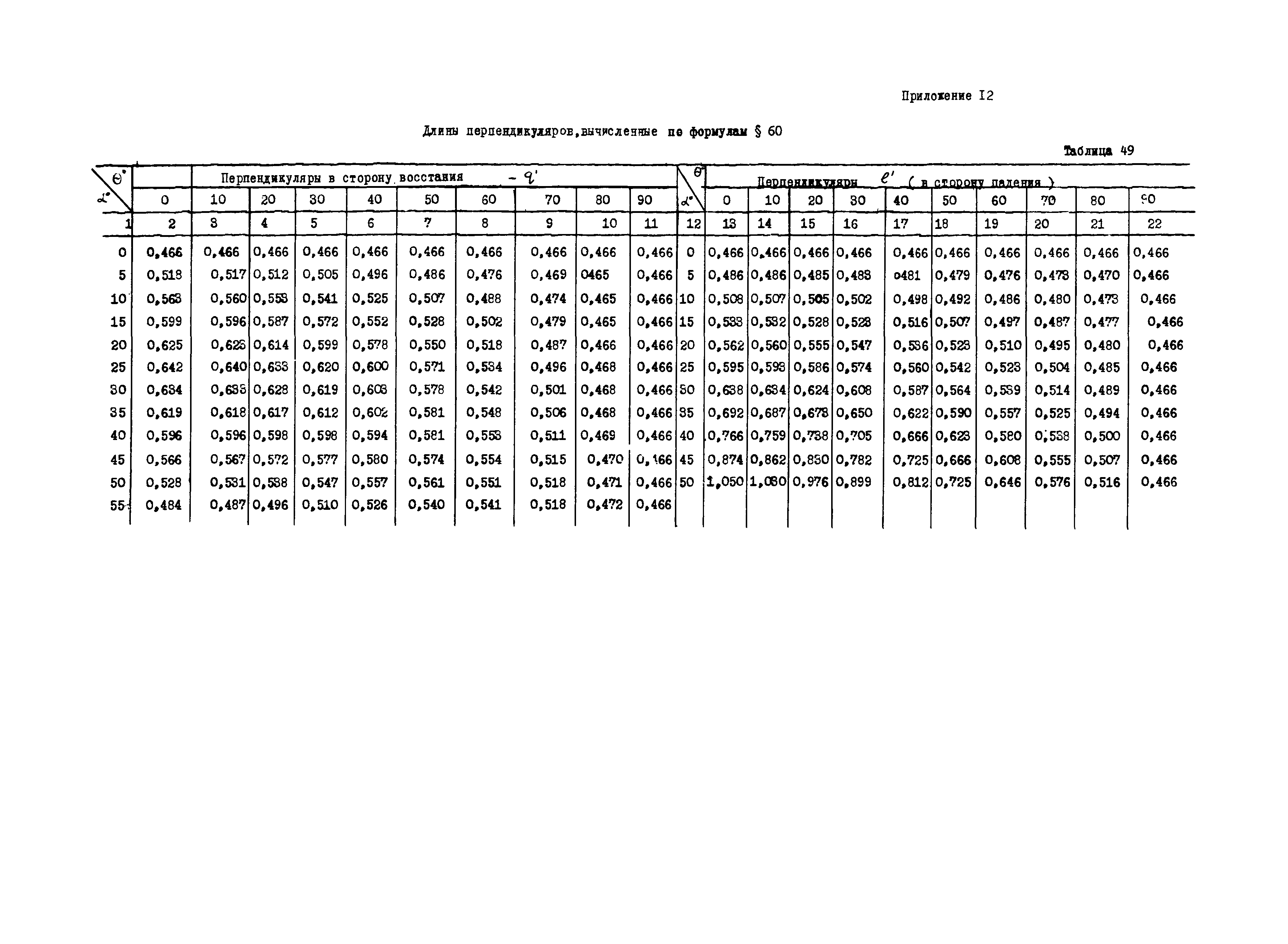
Приложение 12 Длины перпендикуляров, вычисленные по формулам
Приложение 13 Примеры гармонической отработки свиты пластов
Разработан: ВНИМИ
Утверждён:29.04.1967 Министерство угольной промышленности СССР (USSR Ministry of the Coal Industry 203)
26.02.1966 Комитет по надзору за безопасным ведением работ в промышленности и горному надзору при Совете Министров СССР
Чем заменён:
Нормативные ссылки: