Скачать Правила безопасности при геологоразведочных работахДата актуализации: 01.01.2021 |
| Статус: | справочные материалы, мп, тпр |
| Название рус.: | Правила безопасности при геологоразведочных работах |
| Дата добавления в базу: | 01.02.2020 |
| Дата актуализации: | 01.01.2021 |
| Область применения: | Правила обязательны для всех министерств и ведомств, предприятий, организаций и учреждений, ведущих поиски и разведку месторождений полезных ископаемых, научно-исследовательские, инженерно-изыскательские, проектные и конструкторские работы для этих целей, а также для заводов-изготовителей всех видов геологоразведочного оборудования, применяемого при геологоразведочных работах. |
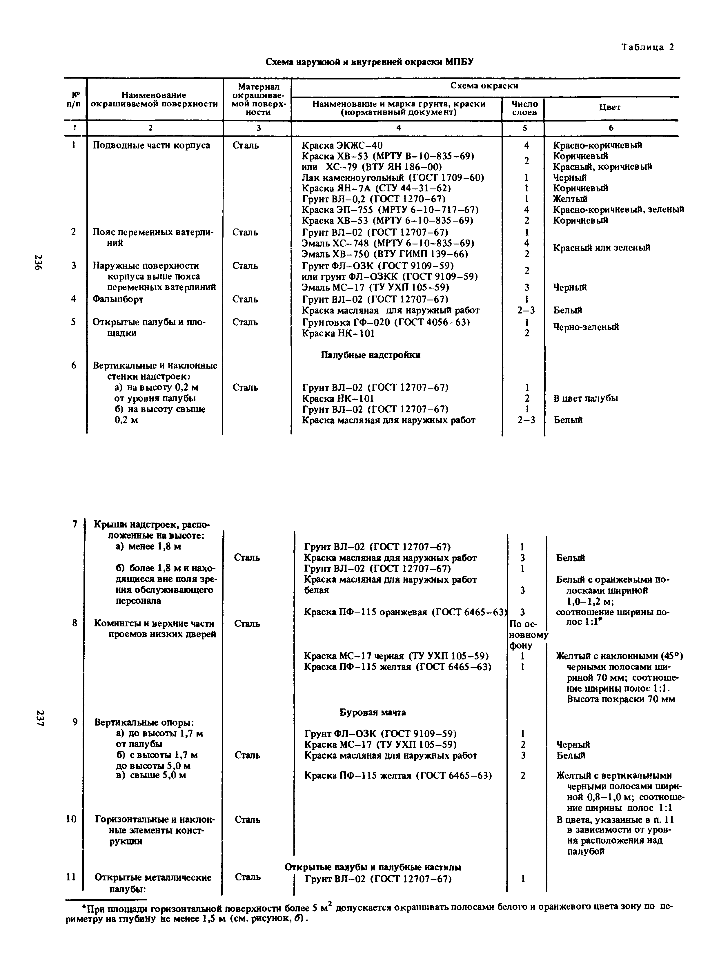
| Оглавление: | Раздел 1. Общие правила Раздел 2. Геологосъемочные и геологопоисковые работы Раздел 3. Геофизические работы Раздел 4. Гидрогеологические и инженерно-геологические работы Раздел 5. Буровые работы Раздел 6. Горноразведочные работы Раздел 7. Морские геологоразведочные работы Раздел 8. Опробовательские работы Раздел 9. Лабораторные работы Раздел 10. Электротехнические работы Раздел 11. Транспорт Раздел 12. Производственная санитария Раздел 13. Ответственность за нарушение правил безопасности Приложение 1. Перечень нормативных документов по охране труда и технике безопасности, обязательных для геологических организации Приложение 2. Журнал проверки состояния техники безопасности Приложение 3. Шкала ветров Приложение 4. Перечень средств техники безопасности и охраны труда для геологосъемочных и геологопоисковых партий и топографо-геодезических бригад Приложение 5. Типовой акт проверки готовности партии (отряда) к выезду на полевые работы Приложение 6. Журнал регистрации маршрутов (переходов) Приложение 7. Акт о приеме буровой установки в эксплуатацию Приложение 8. Акт опрессовки буровых насосов и обвязки буровой установки, смонтированной на скважине Приложение 9. Паспорта крепления и проветривания подземных горноразведочных выработок и инструкции по их составлению Приложение 10. Журнал осмотра крепи и состояния горных выработок Приложение 11. Журнал осмотра подъемной установки Приложение 12. Журнал осмотра подъемных канатов и их расхода Приложение 13. Журнал приемки и сдачи смен машинистами подъемной установки Приложение 14. Журнал осмотра водоотливных установок Приложение 15. Положение о добровольных вспомогательных горноспасательных командах в геологоразведочных организациях, ведущих подземные горные работы Приложение 16. Инструкция по составлению планов ликвидации аварий в разведочных штольнях, шахтах и шурфах с рассечками. Приложение 17. Общие технические требования к гидрометеорологическому обеспечению морских геологоразведочных работ Приложение 18. Шкала состояния моря Приложение 19. Порядок освидетельствования маломерных судов Приложение 20. Минимально допустимые нормы комплектования судовых экипажей маломерных геологоразведочных судов Приложение 21. Табель снабжения маломерных судов Приложение 22. Табель оснащения маломерных плавучих буровых установок (МПБУ) Приложение 23. Выбор массы якорей для маломерных плавучих буровых установок (МГХБУ) Приложение 24. Положение о порядке составления планов предупреждения и ликвидации аварий на маломерных плавучих буровых установках (МПБУ) Приложение 25. Типовая схема окраски маломерных плавучих буровых установок Приложение 26. Журнал осмотра и измерения заземления Приложение 27. Журнал осмотра электрооборудования Приложение 28. Акт проверки готовности скважины к геофизическим работам |
| Разработан: | ВНИИморгео ЦНИГРИ ВИМС (Всесоюзный научно-исследовательский институт минерального сырья) ВНИИГеофизика ВИТР Союзгеотехника Союзгеофизика |
| Утверждён: | 20.03.1979 Госгортехнадзор СССР (USSR Gosgortekhnadzor ) |
| Принят: | 16.02.1979 ВЦСПС (VTsSPS ) 24.01.1979 Министерство газовой промышленности (Ministry of the Gas Industry ) 10.01.1979 Министерство угольной промышленности СССР (USSR Ministry of the Coal Industry ) 25.01.1979 Министерство геологии СССР 22.05.1979 Министерство черной металлургии СССР 25.01.1979 Министерство цветной металлургии СССР 15.01.1979 Министерство нефтяной промышленности 14.03.1979 Госстрой СССР 18.01.1979 Министерство промышленного строительных материалов СССР |
| Издан: | Недра (1979 г. ) |
| Нормативные ссылки: |
|


















































































































































































































































