Скачать ГОСТ Р 58341.3-2019 Форма паспорта, свидетельства об изготовлении, свидетельства о монтаже оборудования и трубопроводов, форма свидетельства о монтаже локализующих систем безопасности (элементов локализующих систем безопасности) блока атомной станции. Структура и содержаниеДата актуализации: 01.01.2021 ГОСТ Р 58341.3-2019
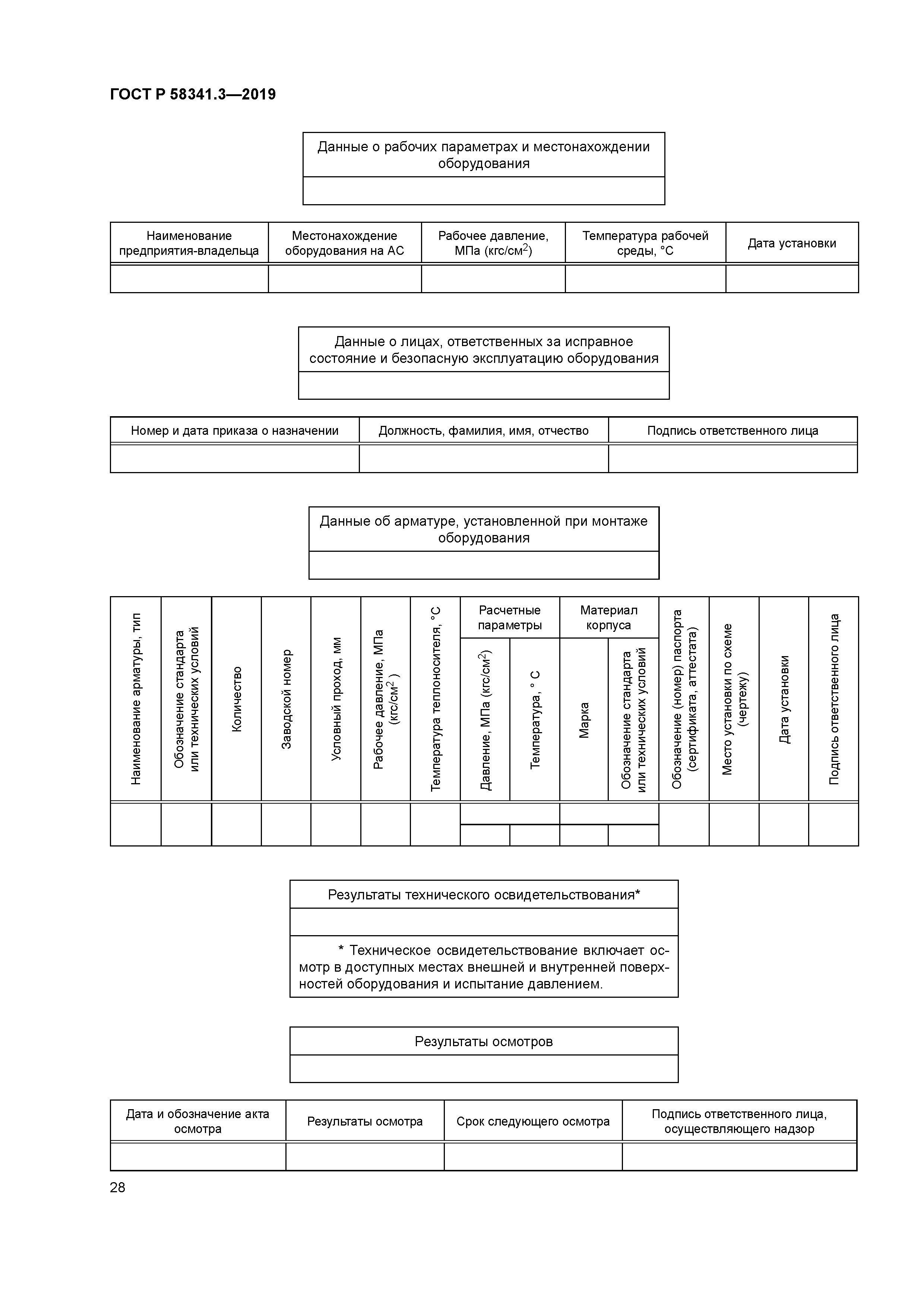
Форма паспорта, свидетельства об изготовлении, свидетельства о монтаже оборудования и трубопроводов, форма свидетельства о монтаже локализующих систем безопасности (элементов локализующих систем безопасности) блока атомной станции. Структура и содержание| Обозначение: | ГОСТ Р 58341.3-2019 | | Обозначение англ: | GOST R 58341.3-2019 | | Статус: | введен впервые | | Название рус.: | Форма паспорта, свидетельства об изготовлении, свидетельства о монтаже оборудования и трубопроводов, форма свидетельства о монтаже локализующих систем безопасности (элементов локализующих систем безопасности) блока атомной станции. Структура и содержание | | Название англ.: | Form of passport, certificate of production, certificate of equipment installation and pipelines, the form of the certificate of installation of localizing safety systems, elements of localizing safety systems of nuclear power plant. The structure and content | | Дата добавления в базу: | 01.02.2020 | | Дата актуализации: | 01.01.2021 | | Дата введения: | 01.02.2020 | | Область применения: | Стандарт устанавливает требования к структуре и содержанию паспорта (кроме арматуры), свидетельства об изготовлении, свидетельства о монтаже оборудования и трубопроводов, свидетельства о монтаже локализующих систем безопасности (элементов локализующих систем безопасности) блока атомной станции с реакторными установками типа водо-водяного энергетического реактора, реактора большой мощности канального, реактора на быстрых нейтронах и энергетического гетерогенного петлевого реактора, для которых установлены требования в [1], [2], [3], [4], [5], [6]. | | Оглавление: | 1 Область применения 2 Нормативные ссылки 3 Термины и определения 4 Сокращения 5 Общие положения Приложение А (обязательное) Форма свидетельства о монтаже оборудования Приложение Б (обязательное) Форма свидетельства о монтаже трубопровода Приложение В (обязательное) Форма свидетельства о монтаже локализующей системы безопасности (элементов локализующей системы безопасности) Приложение Г (обязательное) Форма паспорта трубопровода Приложение Д (обязательное) Форма паспорта оборудования Приложение Е (обязательное) Форма свидетельства об изготовлении деталей и сборочных единиц трубопровода атомной станции Библиография | | Разработан: | АО Концерн Росэнергоатом
| | Утверждён: | 07.11.2019 Федеральное агентство по техническому регулированию и метрологии (1098-ст)
| | Издан: | Стандартинформ (2019 г. )
| | Нормативные ссылки: |   НП 068-05 «Трубопроводная арматура для атомных станций. Общие технические требования»  НП 089-15 «Федеральные нормы и правила в области использования атомной энергии "Правила устройства и безопасной эксплуатации оборудования и трубопроводов атомных энергетических установок"»  НП 096-15 «Федеральные нормы и правила в области использования атомной энергии "Требования к управлению ресурсом оборудования и трубопроводов атомных станций. Основные положения"»  НП 001-15 «Федеральные нормы и правила в области использования атомной энергии "Общие положения обеспечения безопасности атомных станций"»  НП 010-16 «Федеральные нормы и правила в области использования атомной энергии "Правила устройства и эксплуатации локализующих систем безопасности атомных станций"»  РБ 133-17 «Руководство по безопасности при использовании атомной энергии "Установление и методы мониторинга ресурсных характеристик насосов атомных станций"»  РБ 132-17 «Руководство по безопасности при использовании атомной энергии "Установление и методы мониторинга ресурсных характеристик работающих под давлением оборудования и трубопроводов атомных станций"»  РБ 131-17 «Руководство по безопасности при использовании атомной энергии "Установление и методы мониторинга ресурсных характеристик арматуры атомных станций"»  НП 071-18 «Федеральные нормы и правила в области использования атомной энергии "Правила оценки соответствия продукции, для которой устанавливаются требования, связанные с обеспечением безопасности в области использования атомной энергии, а также процессов ее проектирования (включая изыскания), производства, строительства, монтажа, наладки, эксплуатации, хранения, перевозки, реализации, утилизации и захоронения"»  НП 045-18 «Федеральные нормы и правила в области использования атомной энергии "Правила устройства и безопасной эксплуатации трубопроводов пара и горячей воды для объектов использования атомной энергии"»  НП 044-18 «Федеральные нормы и правила в области использования атомной энергии "Правила устройства и безопасной эксплуатации сосудов, работающих под избыточным давлением, для объектов использования атомной энергии"»  НП 046-18 «Правила устройства и безопасной эксплуатации паровых и водогрейных котлов для объектов использования атомной энергии» ГОСТ Р 58341.1-2019 «Элемент блока атомной станции. Порядок управления ресурсом»
|
                                        
|