Скачать ГОСТ Р 58671-2019 Карты идентификационные. Карты на интегральных схемах. Часть 11. Верификация личности биометрическими методамиДата актуализации: 01.01.2021
|
| Обозначение: | ГОСТ Р 58671-2019 |
| Обозначение англ: | GOST R 58671-2019 |
| Статус: | взамен |
| Название рус.: | Карты идентификационные. Карты на интегральных схемах. Часть 11. Верификация личности биометрическими методами |
| Название англ.: | Identification cards. Integrated circuit cards. Part 11. Personal verification through biometric methods |
| Дата добавления в базу: | 01.01.2021 |
| Дата актуализации: | 01.01.2021 |
| Дата введения: | 01.06.2020 |
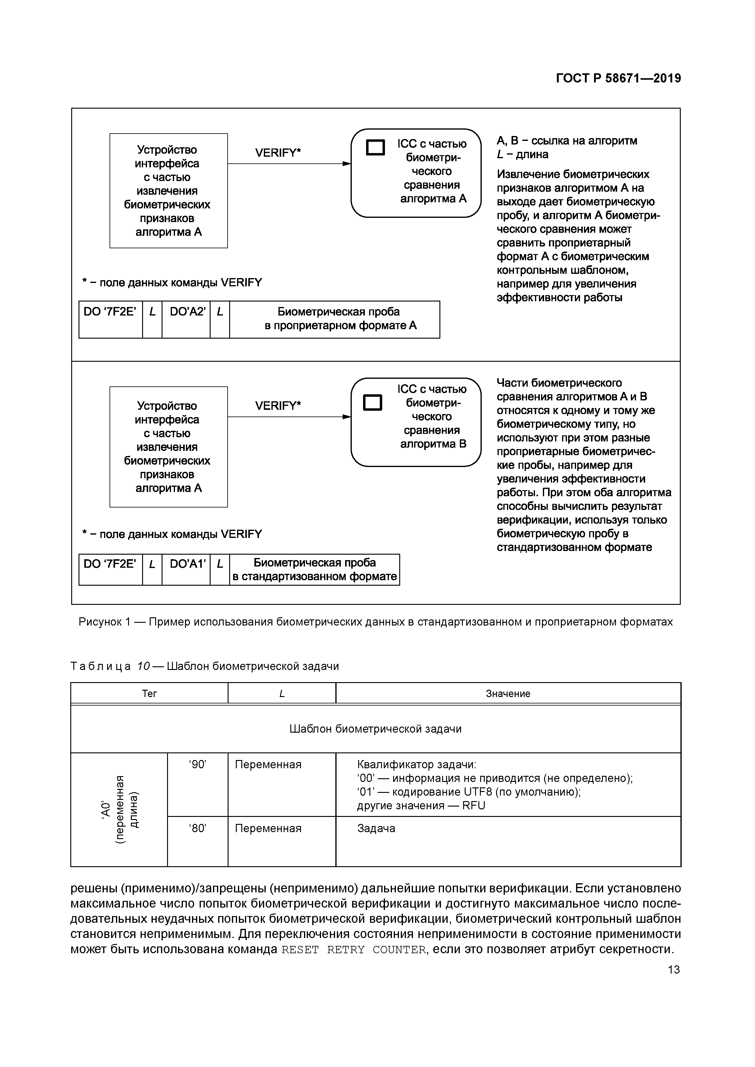
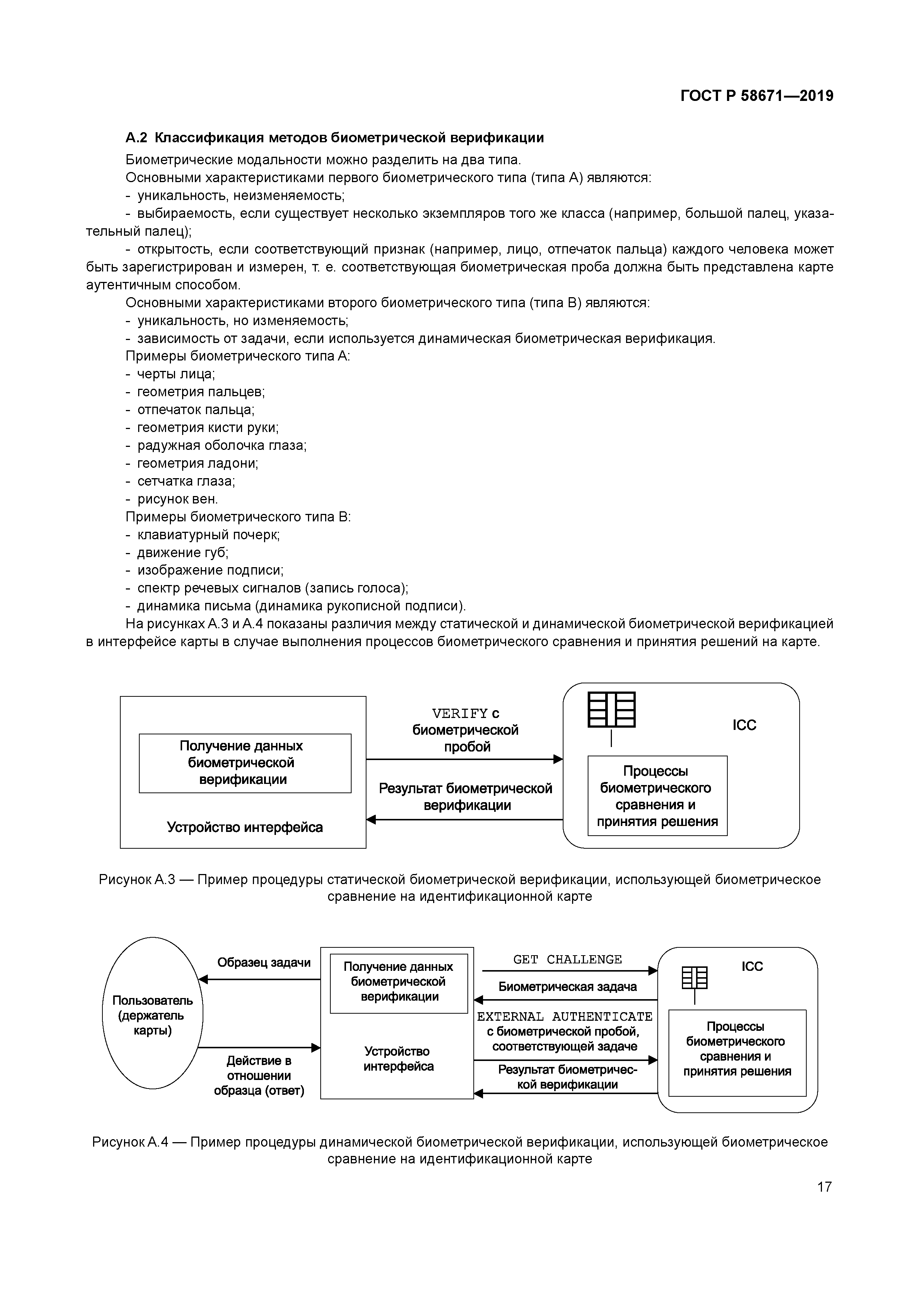
| Область применения: | Стандарт устанавливает межотраслевые команды, связанные с системой защиты и используемые для биометрической верификации личности с помощью карт на интегральных схемах. В стандарте также определены структура данных и методы доступа к данным для использования карты в качестве носителя биометрического контрольного шаблона и/или устройства, позволяющего выполнить верификацию биометрической пробы владельца карты (т.е. биометрическое сравнение на идентификационной карте). Биометрическая идентификация личности, а также требования к криптографической защите информации, которые используются для обеспечения подлинности, целостности и конфиденциальности хранимых и передаваемых биометрических данных, выходят за рамки стандарта. |
| Оглавление: | 1 Область применения 2 Нормативные ссылки 3 Термины и определения 4 Обозначения и сокращения 5 Команды для процессов, связанных с биометрической верификацией 5.1 Общие положения 5.2 Команды для процесса статической биометрической верификации 5.3 Команды для процесса динамической биометрической верификации 5.4 Команда PBO 6 Элементы данных 6.1 Биометрическая информация 6.2 Биометрические данные 6.3 Информация о верификации Приложение A (справочное) Процесс биометрической верификации Приложение B (справочное) Примеры объектов данных биометрической информации Приложение C (справочное) Перечень тегов объектов биометрических данных в шаблоне биометрической информации Приложение ДА (справочное) Сведения о соответствии ссылочных национальных и межгосударственных стандартов международным стандартам, использованным в качестве ссылочных в примененном международном стандарте Приложение ДБ (справочное) Сопоставление структуры настоящего стандарта со структурой примененного в нем международного стандарта Библиография |
| Разработан: | МГТУ им. Н.Э. Баумана АО ВНИИС АО Ангстрем-Т Некомерческое партнерство Русское биометрическое общество |
| Утверждён: | 20.11.2019 Федеральное агентство по техническому регулированию и метрологии (1198-ст) |
| Издан: | Стандартинформ (2020 г. ) |
| Заменяет собой: | |
| Нормативные ссылки: |
|






























