Скачать РД 39-30-1093-84 Методика ускоренной оценки срока службы полимерных покрытий для защиты нефтепромыслового оборудования от коррозииДата актуализации: 01.01.2021
|
| Обозначение: | РД
39-30-1093-84 |
| Обозначение англ: | RD
39-30-1093-84 |
| Статус: | истек срок действия |
| Название рус.: | Методика ускоренной оценки срока службы полимерных покрытий для защиты нефтепромыслового оборудования от коррозии |
| Дата добавления в базу: | 01.01.2021 |
| Дата актуализации: | 01.01.2021 |
| Дата введения: | 01.02.1984 |
| Дата окончания срока действия: | 01.02.1989 |
| Область применения: | Методика рекомендуется научно—исследовательским и производственным организациям Миннефтепрома, занимающимся вопросами коррозии и защиты оборудования в сточных водах промыслов. Руководящий документ содержит сведения о методах ускоренной сравнительной оценки противокоррозионных свойств и определения ориентировочного срока службы систем покрытий на основе различных лакокрасочных материалов. Использование данной методики позволяет разработать рекомендации по конкретному применению систем покрытий для защиты оборудования и коммуникаций в системе поддержания пластового давления |
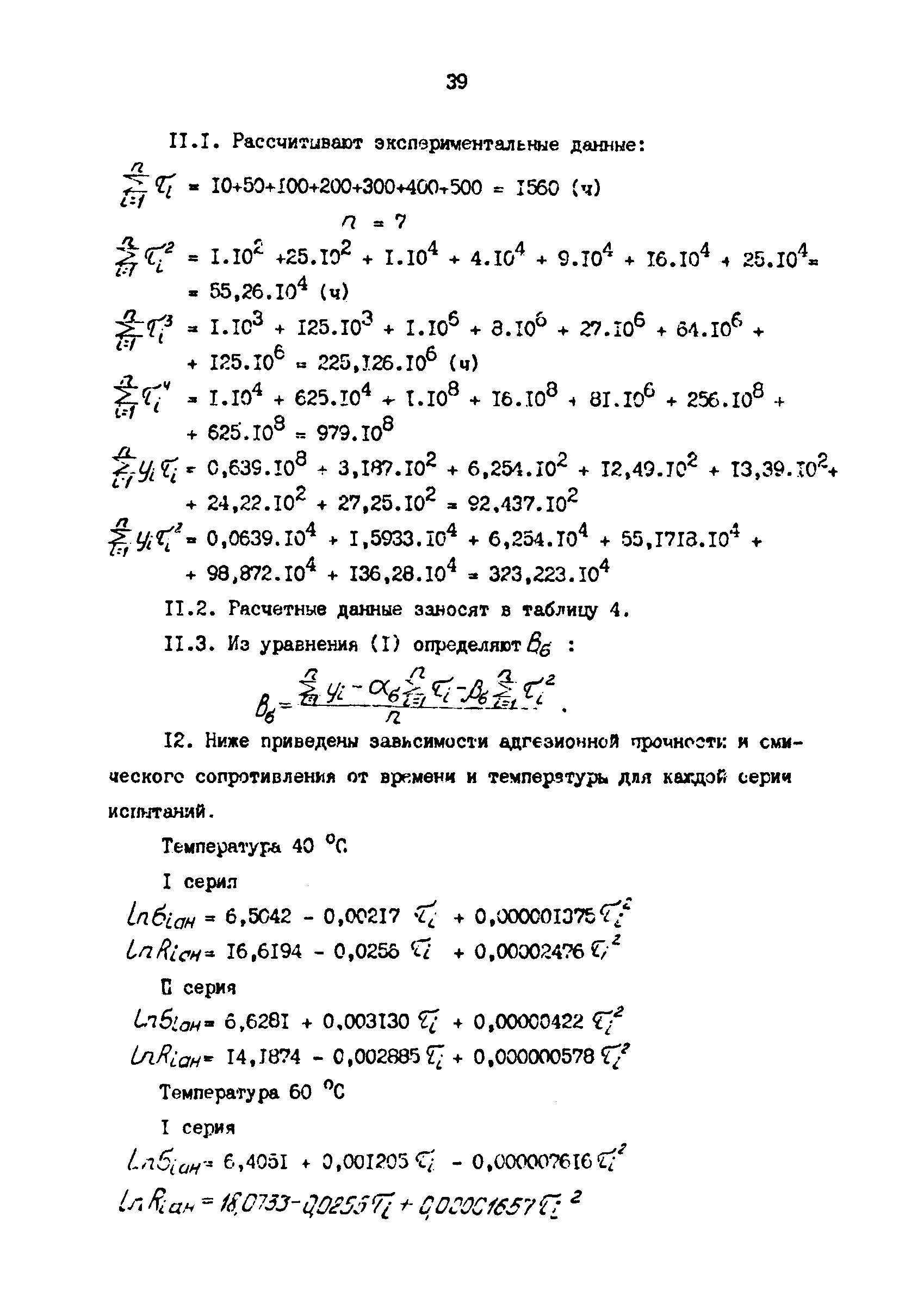
| Оглавление: | 1 Общие положения 2 Требования безопасности 3 Подготовка образцов к испытаниям и оценка их качества 4 Оценка противокоррозионных свойств покрытий 5 Оценка срока службы покрытий Приложение 1. План испытаний Приложение 2. Форма протоколе лабораторных испытаний систем покрытий для определение срока службы Приложение 3 (справочное). Определение необходимого числа образцов Приложение 4 (справочное). Расчет массы фольги Приложение 5. Результаты статистической обработки измерений Приложение 6 (справочное). Расчет экспериментальных коэффициентов Приложение 7 (справочное). Пример обработки экспериментальных данных по определению срока службы покрытия Перечень стандартов и ТУ |
| Утверждён: | 20.04.1984 Министерство нефтяной промышленности СССР (USSR Ministry of the
Petroleum Industry ) |
| Нормативные ссылки: |
|








































































