Скачать ГОСТ Р 58721-2019 Соединения сварные из сталей марок 10ГН2МФА, 15Х2НМФА деталей оборудования и трубопроводов атомных энергетических установок. Требования к сварке, наплавке и термической обработкеДата актуализации: 01.01.2021
|
| Обозначение: | ГОСТ Р 58721-2019 |
| Обозначение англ: | GOST R 58721-2019 |
| Статус: | введен впервые |
| Название рус.: | Соединения сварные из сталей марок 10ГН2МФА, 15Х2НМФА деталей оборудования и трубопроводов атомных энергетических установок. Требования к сварке, наплавке и термической обработке |
| Название англ.: | Welded connections of steel grades 10ГН2МФА, 15Х2НМФА of the equipments details and pipelines of nuclear power plants. Requirements to welding, surfacing and heat treatment |
| Дата добавления в базу: | 01.01.2021 |
| Дата актуализации: | 01.01.2021 |
| Дата введения: | 01.04.2020 |
| Область применения: | Стандарт распространяется на оборудование и трубопроводы классов безопасности 1 и 2 в соответствии с федеральными нормами и правилами, предназначенные для атомных энергетических установок и выполненные из сталей марок 10ГН2МФА, 15Х2НМФА, 15Х2НМФА-А и 15Х2НМФА класса 1 в соответствии с требованиями федеральных норм и правил. Стандарт устанавливает требования к сварке, наплавке и термической обработке сварных соединений и наплавленных поверхностей деталей оборудования и трубопроводов из сталей марок 10ГН2МФА, 15Х2НМФА, 15Х2НМФА-А и 15Х2НМФА класса 1, в том числе с плакирующим слоем из коррозионно-стойких хромоникелевых сталей аустенитного класса, а также сварных соединений и наплавленных поверхностей деталей из перечисленных сталей с деталями из сталей марок 22К, 08Х18Н10Т и 06Х12Н3Д (06Х12Н3ДЛ), а также из стали 20 в части приварки патрубков системы управления и защиты (СУЗ) к крышке корпуса реактора из стали марки 15Х2НМФА с наплавленным антикоррозионным покрытием. Стандарт предназначен для использования при изготовлении, монтаже и эксплуатации оборудования и трубопроводов атомных энергетических установок. |
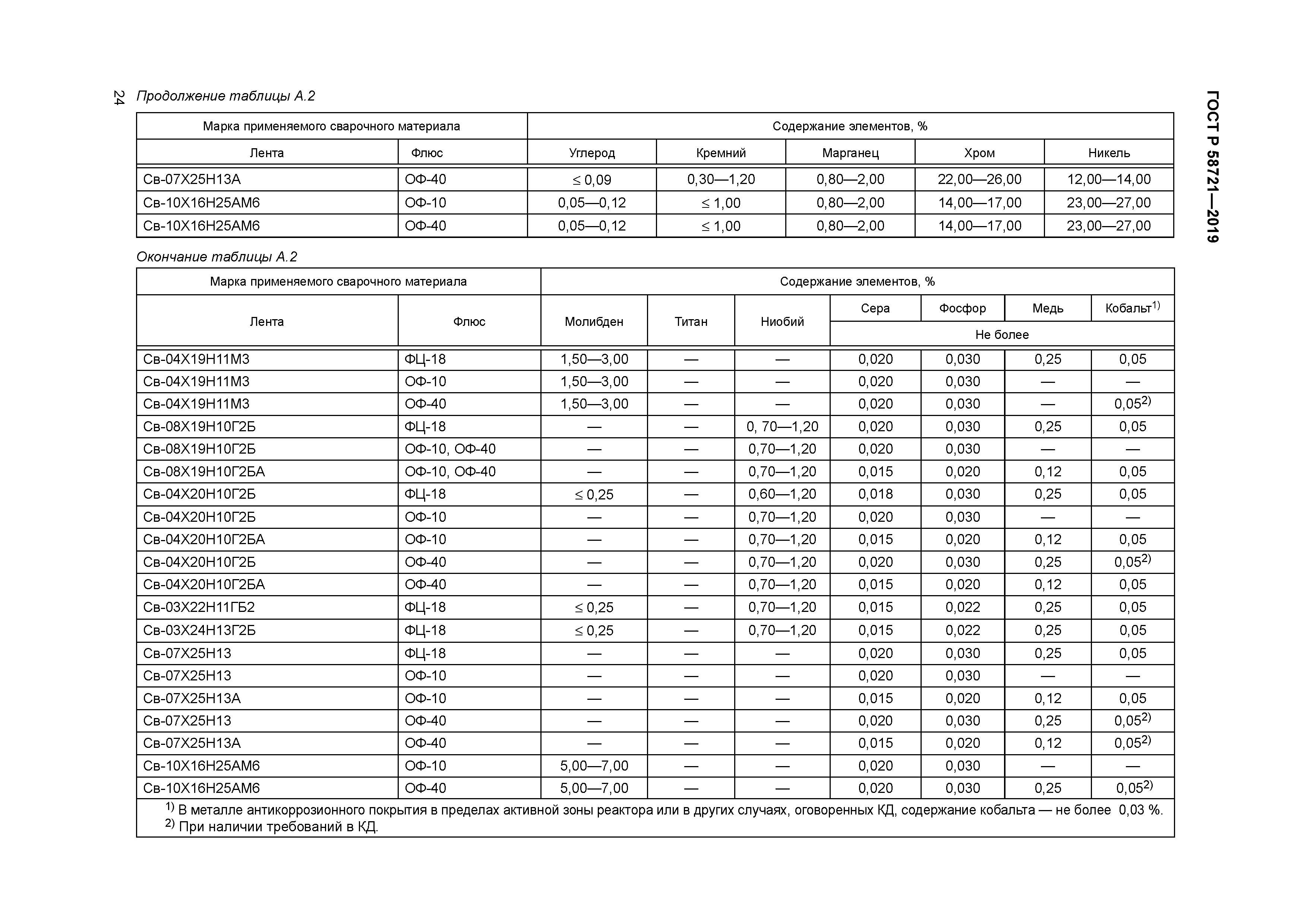
| Оглавление: | 1 Область применения 2 Нормативные ссылки 3 Термины и определения 4 Обозначения и сокращения 5 Общие положения 6 Применение сварочных материалов 7 Предварительный и сопутствующий подогрев 8 Сварка и наплавка 9 Термическая обработка 10 Исправление дефектов 11 Контроль качества сварочных материалов, сварных соединений и наплавленных поверхностей Приложение А (обязательное) Нормы химического состава наплавленного металла и металла шва Приложение Б (обязательное) Нормы механических свойств наплавленного металла, металла шва и сварных соединений Приложение В (справочное) Указатель стандартов и технических условий на сварочные (наплавочные) материалы Библиография |
| Разработан: | АО Концерн Росэнергоатом АО НПО ЦНИИТМАШ |
| Утверждён: | 05.12.2019 Федеральное агентство по техническому регулированию и метрологии (1342-ст) |
| Издан: | Стандартинформ (2020 г. ) |
| Нормативные ссылки: |
|
















































