Скачать Методика оценки соответствия гражданских аэродромов Федеральным авиационным правилам Требования, предъявляемые к аэродромам, предназначенным для взлета, посадки, руления и стоянки гражданских воздушных судовДата актуализации: 01.01.2021
Методика оценки соответствия гражданских аэродромов Федеральным авиационным правилам "Требования, предъявляемые к аэродромам, предназначенным для взлета, посадки, руления и стоянки гражданских воздушных судов"| Статус: | действует | | Название рус.: | Методика оценки соответствия гражданских аэродромов Федеральным авиационным правилам "Требования, предъявляемые к аэродромам, предназначенным для взлета, посадки, руления и стоянки гражданских воздушных судов" | | Дата добавления в базу: | 01.01.2021 | | Дата актуализации: | 01.01.2021 | | Дата введения: | 09.11.2015 | | Область применения: | Методика оценки соответствия гражданских аэродромов Федеральным авиационным правилам «Требования, предъявляемые к аэродромам, предназначенным для взлета, посадки, руления и стоянки гражданских воздушных судов» гражданским аэродромам», утвержденных приказом Минтранса России от 25.08.2015 № 262, предназначена для использования лицами, эксплуатирующими аэродромы в соответствии с указанными федеральными авиационными правилами | | Оглавление: | I. Общие положения II. Класс и физические характеристики аэродромов Таблица 2.1 Таблица соответствия класса и физических характеристик аэродрома морской ВПП 03/21, ВПП 08/26 Приложение 2.1 к МОС ФАП (гл. II). Расчет длины взлетно-посадочной полосы аэродрома в стандартных условиях Приложение 2.2 к МОС ФАП (гл. II). Определение располагаемых дистанций III. Препятствия Таблица 3.1. Таблица соответствия препятствий аэродрома морской ВПП 03/21, ВПП 08/26 Приложение 3.1 к МОС ФАП (гл. III). Получение данных о препятствиях Приложение 3.2 к МОС ФАП. "Затенение" препятствий Приложение 3.3 к МОС ФАП. Акт обследования препятствий аэродрома Приложение 3.4 к МОС ФАП. Лист регистрации периодических сверок препятствий аэродрома Приложение 3.5 к МОС ФАП. Определение объектов, возвышающихся над поверхностями ограничения препятствий Приложение 3.6 к МОС ФАП. Внешняя горизонтальная поверхность IV. Визуальные средства Таблица 4.1. Таблица соответствия визуальных средств аэродрома морской ВПП 03/21 ВПП 08/26 Приложение 4.1 к МОС ФАП. Определения расстояния "D" системы визуальной индикации глиссады V. Радиотехническое оборудование Приложение 5.2 к МОС ФАП. Таблица соответствия радиотехнического оборудования и авиационной электросвязи аэродрома морской ВПП 10/28 VI. Электроснабжение и электрооборудование Таблица 6.1. Таблица соответствия электроснабжения и электрооборудования аэродрома морской ВПП 03/21 ВПП 08/26 | | Утверждён: | 09.11.2015 Федеральное агентство воздушного транспорта (6.ОИ-2464)
| | Нормативные ссылки: | |
                                                                                                                                                                                                 
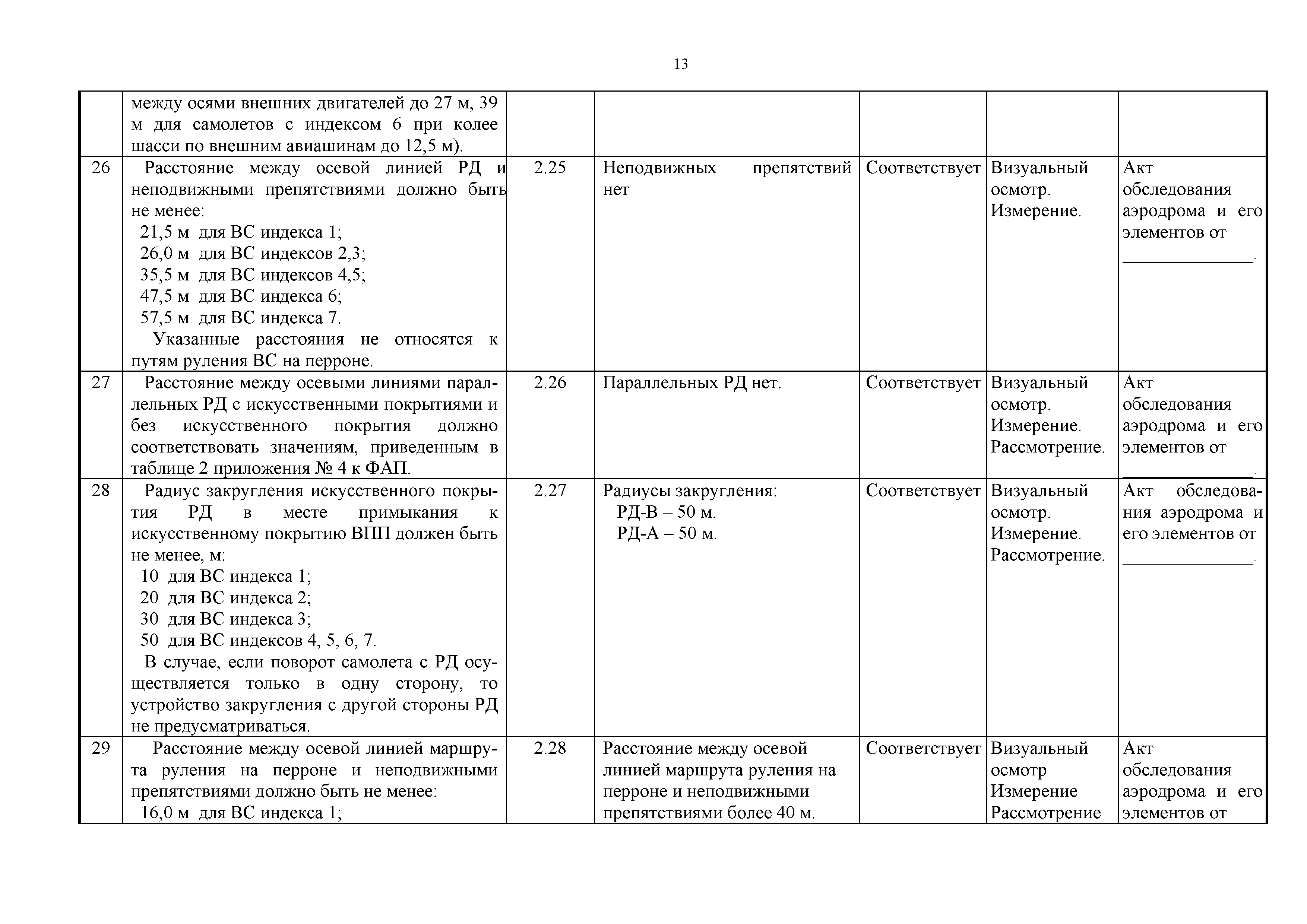
|