Low power television transmitters. Basic parameters. Technical requirements. Measuring methods

ГОСТ Р 50890-96

ГОСУДАРСТВЕННЫЙ СТАНДАРТ РОССИЙСКОЙ ФЕДЕРАЦИИ

 

ПЕРЕДАТЧИКИ ТЕЛЕВИЗИОННЫЕ
МАЛОМОЩНЫЕ

ОСНОВНЫЕ ПАРАМЕТРЫ. ТЕХНИЧЕСКИЕ
ТРЕБОВАНИЯ.
МЕТОДЫ ИЗМЕРЕНИЙ

 

 

 

ГОССТАНДАРТ РОССИИ

Москва

 

 

Предисловие

1 РАЗРАБОТАН И ВНЕСЕН Министерством связи РФ

2 ПРИНЯТ И ВВЕДЕН В ДЕЙСТВИЕ Постановлением Госстандарта Российской Федерации от 17 апреля 1996 г. № 283

3 Введен впервые

СОДЕРЖАНИЕ

1 область применения. 2

2 нормативные ссылки. 2

3 определения. 3

4 основные параметры.. 3

4.1 общие положения. 3

4.2 параметры канала изображения. 3

4.3 параметры канала звукового сопровождения. 6

5 технические требования. 7

5.1 общие требования. 7

5.2 требования к устойчивости при климатических и механических воздействиях. 8

5.3 требования электромагнитной совместимости. 8

5.4 требования безопасности. 9

6 методы измерений. 9

6.1 общие положения. 9

6.2 измерительная аппаратура и оборудование. 9

6.3 проведение измерений. 12

Приложение а. Библиография. 24

ГОСТ Р 50890-96

ГОСУДАРСТВЕННЫЙ СТАНДАРТ РОССИЙСКОЙ ФЕДЕРАЦИИ

ПЕРЕДАТЧИКИ ТЕЛЕВИЗИОННЫЕ МАЛОМОЩНЫЕ

Основные параметры. Технические требования. Методы измерений

Low-power television transmitters. Basic parameters. Technical requirements.

Measuring methods

Дата введения

- для вновь разрабатываемых и импортируемых передатчиков 1997-01-01

- для изготавливаемых передатчиков 1997-07-01

1 ОБЛАСТЬ ПРИМЕНЕНИЯ

Настоящий стандарт распространяется на телевизионные радиопередатчики (далее - передатчики) мощностью менее 1 кВт, предназначенные для эфирного телевизионного вещания по ГОСТ 7845 в I - V частотных диапазонах, и на радиопередатчики для вещания в системе кабельного телевидения (далее - передатчики СКТВ) в частотных диапазонах по ГОСТ 28324.

Стандарт устанавливает нормы на основные параметры передатчиков и методы их измерения при испытаниях и эксплуатации.

Стандарт не распространяется на ретрансляторы-преобразователи.

2 НОРМАТИВНЫЕ ССЫЛКИ

В настоящем стандарте использованы ссылки на следующие стандарты:

ГОСТ 12.1.003-83 ССБТ. Шум. Общие требования безопасности

ГОСТ 12.1.006-84 ССБТ. Электромагнитные поля радиочастот. Допустимые уровни на рабочих местах и требования к проведению контроля

ГОСТ 12.2.006-87 (МЭК 65-85) Безопасность аппаратуры электронной сетевой и сходных с ней устройств, предназначенных для бытового и аналогичного общего применения. Общие требования и методы испытаний

ГОСТ 12.3.019-80 ССБТ. Испытания и измерения электрические. Общие требования безопасности

ГОСТ 7845-92 Система вещательного телевидения. Основные параметры. Методы измерений

ГОСТ 11001-80 Приборы для измерения индустриальных радиопомех. Технические требования и методы испытаний

ГОСТ 13109-87 Электрическая энергия. Требования к качеству электрической энергии в электрических сетях общего назначения

ГОСТ 13924-80 Передатчики радиовещательные стационарные. Основные параметры, технические требования и методы измерений

ГОСТ 14777-76 Радиопомехи индустриальные. Термины и определения

ГОСТ 15150-69 Машины, приборы и другие технические изделия. Исполнения для различных климатических районов. Категории, условия эксплуатации, хранения и транспортирования в части воздействия климатических факторов внешней среды

ГОСТ 16019-78 Радиостанции сухопутной подвижной службы. Требования по устойчивости к механическим и климатическим воздействиям и методы испытаний

ГОСТ 19871-83 Каналы изображения аппаратно-студийного комплекса и передвижной телевизионной станции вещательного телевидения. Основные параметры и методы измерений

ГОСТ 20532-83 Радиопередатчики телевизионные I - V диапазонов. Основные параметры, технические требования и методы измерений

ГОСТ 21879-88 Телевидение вещательное. Термины и определения

ГОСТ 23511-79 Радиопомехи индустриальные от электротехнических устройств, эксплуатируемых в жилых домах или подключаемых к их электрическим сетям

ГОСТ 28324-89 Сети распределительные приемных систем телевидения и радиовещания. Классификация приемных систем, основные параметры и технические требования

ГОСТ 29156-91 (МЭК 801-4-88) Совместимость технических средств электромагнитная. Устойчивость к наносекундным импульсным помехам. Технические требования и методы испытаний

ГОСТ 29191-91 (МЭК 801-2-91) Совместимость технических средств электромагнитная. Устойчивость к электростатическим разрядам. Технические требования и методы испытаний.

ГОСТ Р 50007-92 Совместимость технических средств электромагнитная. Устойчивость к микросекундным импульсным помехам большой энергии. Технические требования и методы испытаний

ГОСТ Р 50397-92 Совместимость технических средств электромагнитная. Термины и определения

ГОСТ Р 50627-93 Совместимость технических средств электромагнитная. Устойчивость к динамическим изменениям напряжения сети электропитания. Технические требования и методы испытаний

ГОСТ Р 50657-94 Совместимость технических средств электромагнитная. Устройства радиопередающие народнохозяйственного применения. Требования на допустимые отклонения частоты. Методы измерений и контроля

ГОСТ Р 50842-95 Совместимость радиоэлектронных средств электромагнитная. Устройства радиопередающие народнохозяйственного применения. Требования к побочным радиоизлучениям. Методы измерения и контроля

3 ОПРЕДЕЛЕНИЯ

3.1. Термины, применяемые в настоящем стандарте, по ГОСТ 14777, ГОСТ 21879, ГОСТ Р 50397.

4 ОСНОВНЫЕ ПАРАМЕТРЫ

4.1 Общие положения

4.1.1 Телевизионный передатчик содержит два канала прохождения сигналов: канал изображения с амплитудной модуляцией несущей изображения и канал звукового сопровождения с частотной модуляцией несущей звукового сопровождения. Параметры выходного радиосигнала изображения измеряют по видеочастоте на видеовыходе телевизионного демодулятора, параметры выходного радиосигнала звукового сопровождения измеряют по низкой частоте на низкочастотном выходе телевизионного демодулятора или на выходе девиометра.

4.2 Параметры канала изображения

4.2.1 Номинальные выходные мощности радиосигнала на уровне, соответствующем вершинам синхроимпульсов, выбирают из ряда: 1, 5, 10, 25, 50, 100, 250, 500, 750 Вт для передатчиков эфирного вещания; номинальный выходной уровень для передатчиков СКТВ 120 дБмкВ.

4.2.2 Уровни входного видеосигнала должны соответствовать рисунку 1.

Рисунок 1

Рисунок 2

4.2.3 Уровни выходного радиосигнала изображения и их допуски, измеренные по видеочастоте на выходе телевизионного демодулятора, должны соответствовать рисунку 2.

4.2.4 Допуски уровней радиосигнала (рисунок 2) должны сохраняться при:

а) любом изменении содержания изображения;

б) наличии во входном сигнале напряжения помехи частотой 50 Гц и размахом до 50 % полного размаха входного сигнала или напряжения помехи размахом до 10 % частотой от 50 до 1000 Гц;

в) одновременном воздействии выше указанных помех частотой 50 Гц и изменении уровня синхроимпульсов во входном сигнале от 0,5 до 1,5 их номинального значения;

г) увеличении напряжения сигнала изображения на входе на 50 % по отношению к его номинальному значению уровень белого в выходном сигнале не должен превышать его номинальный уровень более чем на 2,5 %. При этом схема ограничения не должна оказывать влияния на цветовую поднесущую.

4.2.5 Изменение выходной мощности при медленных колебаниях напряжения сети от плюс 10 до минус 15 % номинального значения при частоте (50 ± 1) Гц должно быть не более ±0,25 дБ.

4.2.6 Пределы размаха модуляционного сигнала, обеспечивающие номинальный уровень модуляции при ручной регулировке, - не менее (1,0 ± 0,5) В.

4.2.7 Номинальное входное сопротивление - 75 Ом при обратных потерях в полосе частот от 0 до 6 МГц - не менее 30 дБ.

4.2.8 Дифференциальное усиление - не более 8 %.

4.2.9 Нелинейность сигнала яркости - не более 10 %.

4.2.10 Дифференциальная фаза - не более 4°.

4.2.11 Характеристика боковых полос, измеренная на среднем уровне от 20 до 60 % с насадкой размахом 20 %, должна соответствовать рисунку 3.

4.2.12 Сквозная амплитудно-частотная характеристика (АЧХ) тракта вход передатчика - выход демодулятора, работающего в режиме со стандартной АЧХ, измеренная на среднем уровне от 20 до 60 %, должна соответствовать рисунку 4.

4.2.13 Перекос плоской части прямоугольных импульсов частоты полей - не более ±1 %.

4.2.14 Перекос плоской части прямоугольных импульсов частоты строк - не более ±1 %.

Частота относительно несущей, МГц

Предельное значение характеристики, дБ

Частота относительно несущей, МГц

Предельное значение характеристики, дБ

не менее

не более

не менее

не более

-4,786

-

-30; -20

+1,5

0

0

-3,786

+1,6

-0,5

+0,5

-1,25

-20; +0,5

+3,0

-1,0

-

-0,75

-∞; -4

-

+4,5

-0,5

-1,5

+5,5

-2,0

-0,1

-0,5

+0,5

+6,0

-∞; -4,0

+0,1

+6,5

-

-20; +0,5

+1,4

Рисунок 3

4.2.15 Переходная характеристика (фронт и срез импульса частотой от 15 до 250 кГц) должна соответствовать рисунку 5.

4.2.16 Расхождение во времени сигналов яркости и цветности - не более ±40 нс.

4.2.17 Различие усиления сигналов яркости и цветности - не более ±1 дБ.

Частота, МГц

Предельное значение характеристики, дБ

не менее

не более

0,25

-1

+1

1,4

1,5

0

0

1,6

-1

+1

4,5

-1,5

5,5

-4,5

0

Рисунок 4

Время, мкс

Предельное значение переходной характеристики, %

не менее

не более

±1,2

-5; +95

+5; +105

±0,4

±0,2

-7

+107

±0,1

-10

+110

±0,0625

+10

+90

Рисунок 5

4.2.18 Перекрестные искажения цветность-яркость - не более ±1 %.

4.2.19 Уровень фона, как отношение сигнала изображения к размаху фоновой помехи в полосе частот до 1 кГц, должен быть не менее 46 дБ.

4.2.20 Уровень шума в канале яркости, как отношение сигнала изображения к эффективному значению взвешенной флуктуационной помехи, должен быть не менее 58 дБ.

Примечания

1 Требования 4.2.19 - 4.2.21 должны выполняться при одновременном включении канала звукового сопровождения передатчика и его 100 %-ной модуляции частотами от 30 до 15000 Гц.

2 При измерении по 4.2.20 допускается учитывать уровень собственного шума демодулятора.

4.2.21 Интермодуляционный продукт (у передатчиков с совместным трактом усиления радиосигналов изображения и звука) на частотах f1 + f3 - f2 и 2f3 - f2, (f1 - несущая изображения с уровнем минус 7 дБ, f2 - несущая звукового сопровождения с уровнем минус 10 дБ, f3 - цветовая поднесущая с уровнем минус 17 дБ; уровни отнесены к уровню вершин синхроимпульсов) должен быть не более минус 51 дБ.

4.3 Параметры канала звукового сопровождения

4.3.1 Отношение выходных уровней радиосигналов канала изображения и канала звукового сопровождения должно быть (10 ± 1) дБ.

4.3.2 Номинальная девиация несущей частоты, соответствующая 100 %-ной модуляции на частоте 1000 Гц, равна ±50 кГц.

4.3.3 Уровень входного сигнала частотой 1000 Гц для получения номинальной девиации несущей частоты должен быть равен 0 дБ (0,775Вэфф) с возможностью его регулировки не менее ±6 дБ.

4.3.4 Номинальное значение постоянной времени цепи предыскажения АЧХ 50 мкс; отклонение АЧХ от характеристики идеальной цепи предыскажений (рисунок 6) в полосе частот от 30 до 15000 Гц - не более ±0,5 дБ.

4.3.5 Входное сопротивление в диапазоне модулирующих частот - (600 ± 60) Ом.

4.3.6 Уровень несимметрии симметричного входа в диапазоне модулирующих частот - не более 1 %.

Примечание - Для передатчиков СКТВ допускается применение несимметричного входа.

4.3.7 Нелинейные искажения в полосе модулирующих частот от 30 до 15000 Гц - не более 0,5 % при девиации ±50 кГц и не более 1 % при девиации ±75 кГц.

4.3.8 Уровень ЧМ фона и шума на несущей частоте - не менее 60 дБ при измерении без псофометрического фильтра и 62 дБ - с использованием псофометрического фильтра, АЧХ которого должна соответствовать характеристике, приведенной в ГОСТ 20532, приложение 4.

Частота, кГц

Значение характеристики, дБ

Частота, кГц

Значение характеристики, дБ

0,03

-0,41

4,0

3,71

0,05

6,0

6,17

0,1

-0,4

8,0

8,23

0,2

-0,39

10,0

9,95

0,4

-0,34

12,0

11,41

0,8

-0,14

14,0

12,68

1,0

0

15,0

13,25

2,0

1,04

-

-

Рисунок 6

Примечание - Указанные требования следует выполнять также при включении канала изображения с номинальной модуляцией импульсами 50 Гц.

4.3.9 Уровень ЧМ фона и шума на разностной частоте 6,5 МГц при наличии в канале изображения модуляции импульсами 50 Гц уровнем от 15 до 75 %, измеренный с помощью псофометрического фильтра, должен быть не менее 50 дБ.

4.3.10 Паразитная амплитудная модуляция при номинальной модуляции канала изображения импульсами 50 Гц должна быть не более 1 % для передатчиков с раздельным усилением радиосигналов изображения и звука и не более 3 % для передатчиков с совместным усилением.

4.3.11 Паразитная сопутствующая амплитудная модуляция при 100 %-ной модуляции канала звукового сопровождения сигналом частотой 1000 Гц должна быть не более 1 %.

5 ТЕХНИЧЕСКИЕ ТРЕБОВАНИЯ

5.1 Общие требования

5.1.1 Передатчики следует изготавливать в соответствии с требованиями настоящего стандарта, и они должны иметь комплект эксплуатационных документов: техническое описание, инструкцию по эксплуатации, паспорт, ведомость запасного имущества.

5.1.2 Частотные диапазоны, полосы частот и значения несущих частот радиоканалов должны соответствовать требованиям ГОСТ 7845 и ГОСТ 28324.

5.1.3 Передатчики (кроме передатчиков СКТВ) должны работать в системе смещения несущих частот (СНЧ).

Значения смещения несущей частоты изображения и разнос несущих частот изображения и звукового сопровождения - по ГОСТ 7845.

Примечание - Допустимо использование передатчика, не работающего в системе СНЧ, если по условиям эксплуатации этого не требуется.

5.1.4 Передатчики должны быть рассчитаны на круглосуточную непрерывную работу в течение не менее одного месяца с сохранением параметров, указанных в разделе 4, без дополнительной подстройки.

5.1.5 Введение в состав передатчика схемы автоматического его включения и выключения в зависимости от наличия модулирующего сигнала, переход на резерв, подключение устройств дистанционного управления осуществляется по согласованию с заказчиком.

5.1.6 Передатчик с выходной мощностью более 10 Вт должен быть снабжен эквивалентом антенны, оперативно подключаемым к его выходу, с параметрами по 6.2.3.

5.1.7 Параметры передатчика, указанные в разделе 4, должны сохранять значения при показателях качества электроэнергии в соответствии с ГОСТ 13109 и отклонениях напряжения сети от плюс 10 до минус 15 % номинального значения при частоте (50 ± 1) Гц.

5.1.8 Передатчики с выходной мощностью более 1 Вт должны иметь автоматическую защиту активных усилительных элементов от перегрева и превышения в выходном фидере значения КСВ, установленного для конкретного типа передатчика.

5.1.9 В передатчике должна быть предусмотрена возможность отключения несущей звукового сопровождения.

5.2 Требования к устойчивости при климатических и механических воздействиях

5.2.1 Параметры передатчиков должны соответствовать значениям, указанным в разделе 4, при следующих климатических условиях:

- температура воздуха от 5 до 45 °С;

- относительная влажность 80 % при температуре 20 °С;

- высота над уровнем моря не более 2500 м.

5.2.2 Требования к устойчивости при механических воздействиях должны соответствовать ГОСТ 16019 для оборудования по категории 1.

5.3 Требования электромагнитной совместимости

5.3.1 Допустимое отклонение частоты несущей изображения и несущей звукового сопровождения для передатчиков эфирного вещания при испытаниях на предприятиях-изготовителях и в условиях эксплуатации не должно превышать значений, установленных ГОСТ Р 50657.

Для передатчиков СКВТ нестабильность частоты несущей изображения и несущей звукового сопровождения должна быть не более ±5 кГц.

5.3.2 Уровень любого побочного радиоколебания, передаваемого передатчиком в антенно-фидерное устройство на частоте побочного радиоизлучения в соответствии с ГОСТ Р 50842 должен быть не менее чем на:

- 40 дБ ниже пиковой мощности основного колебания, но не более 10 мкВт для передатчиков I - III диапазонов с выходной мощностью, не превышающей 100 мВт;

- 40 дБ ниже пиковой мощности основного колебания, но не более 25 мкВт для передатчиков I - III диапазонов с выходной мощностью от 100 мВт до 25 Вт и для передатчиков IV, V диапазонов с выходной мощностью не более 25 Вт;

- 60 дБ ниже пиковой мощности основного колебания у передатчиков I - V диапазонов с выходной мощностью более 25 Вт.

5.3.3 Напряжение индустриальных радиопомех, создаваемых передатчиками на сетевых зажимах, не должно превышать значений, установленных:

- по ГОСТ 23511 (черт. 1, линия 1) для передатчиков, эксплуатируемых в жилых домах или подключаемых к их электрическим сетям;

- по Нормам 8 [1] (таблица 1 п. 1) для передатчиков, эксплуатируемых вне жилых домов и не связанных с их энергетическими сетями.

5.3.4 Передатчики должны быть устойчивы к воздействию внешних стандартизованных электромагнитных помех следующих видов:

- электростатических разрядов по ГОСТ 29191 со степенью жесткости испытаний 2;

- наносекундных импульсных помех в цепях электропитания и управления по ГОСТ 29156 со степенью жесткости испытаний 2;

- микросекундных импульсных помех большой энергии в цепях электропитания по ГОСТ Р 50007 со степенью жесткости испытаний 2;

- динамических изменений напряжения сети электропитания по ГОСТ 50627 со степенью жесткости испытаний 2.

При воздействии внешних электромагнитных помех выше указанных видов передатчики должны нормально функционировать в соответствии с эксплуатационной документацией. Установленные режимы работы передатчика, контролируемые по показаниям его индикаторных устройств, не должны измениться после прекращения воздействия помехи.

5.4 Требования безопасности

5.4.1 Аппаратура передатчика должна соответствовать требованиям ГОСТ 12.2.006, а также «Правилам технической эксплуатации электроустановок потребителей (ПТЭ)» [2] и «Правилам техники безопасности при эксплуатации электроустановок потребителей» [3].

5.4.2 Установку передатчиков осуществляют в соответствии с требованиями санитарных Норм СН № 4262 [4] и с ВСН № 2963 [5].

5.4.3 Требования к организации и проведению измерений, к помещениям для измерений, средствам измерений, рабочим местам и средствам защиты работающих и их применению - по ГОСТ 12.3.019-80

5.4.4 Предельно допустимые значения напряженности и плотности потока энергии электромагнитного поля на рабочих местах обслуживающего персонала - по ГОСТ 12.1.006.

5.4.5 Уровень шума на рабочих местах - по ГОСТ 12.1.003 и не должен превышать 60 дБ для передатчиков с выходной мощностью не более 100 Вт и 65 дБ для передатчиков мощностью более 100 Вт.

6 МЕТОДЫ ИЗМЕРЕНИЙ

6.1 Общие положения

6.1.1 Параметры передатчиков, указанные в разделе 4, измеряют при работе на нормированной нагрузке (эквивалент антенны).

6.1.2 Все измерения следует проводить в нормальных климатических условиях по ГОСТ 15150.

6.2 Измерительная аппаратура и оборудование

6.2.1 Телевизионный демодулятор, имеющий детектор огибающей и синхронный детектор в канале изображения, детектор ЧМ на разностной частоте (6,5 МГц) в канале звукового сопровождения со следующими основными параметрами:

а) по каналу изображения:

- поле допуска АЧХ в соответствии с рисунком 7;

- поле допуска характеристики группового времени запаздывания в соответствии с рисунком 8;

- нелинейность в уровнях от 8 до 100 % пикового уровня несущей при измерении в полосе частот от 0 до 6 МГц - не менее 0,95;

- дифференциальная фаза в уровнях от 8 до 85 % - не более 2°;

- уровень фона - не менее 52 дБ;

- уровень эффективного взвешенного значения шума в канале яркости - не менее 60 дБ;

- номинальное выходное напряжение (размах видеосигнала от уровня белого до уровня вершин синхроимпульсов) на нагрузке 75 Ом - 1 В;

- КСВ на высокочастотном входе - не более 1,1;

- возможность включения импульса нулевого уровня;

б) по каналу звукового сопровождения:

- уровень ЧМ фона и шума на разностной частоте при включенных обратной коррекции 50 мкс и псофометрическом фильтре - не менее 56 дБ.

Частота относительно несущей, МГц

Предельные значения характеристики, %

не менее

не более

-1,65

-

0,8; 2,0

-1,35

0,8

-1,0

0

8,5

-0,5

15

25

0

48

52

+0,5

75

85

+1,0

91,5

101,5

+1,4

95

106

+1,5

100

100

+1,6

95

106

+5,0

+5,4

85

106

+5,85

0; 50

+6,35

-

0,5; 106

+6,65

0,5; 1,0

Рисунок 7

Частота, МГц

Предельное значение группового времени задержки, нс

не менее

не более

0,1

-15

+15

0,5

-23

+7

1,0

-55

-25

2,0

-100

-70

3,0

-107

-77

4,0

-80

-40

4,43

-45

-5

4,7

-30

+30

5,5

+200

+320

Рисунок 8

6.2.2 Анализатор боковых полос со следующими основными параметрами:

- КСВ на ВЧ входе - не более 1,1;

- неравномерность АЧХ в полосе частот канала от минус 1 до плюс 6 МГц относительно значения АЧХ на частоте 1,5 МГц - не более ±0,25 дБ.

6.2.3 Согласованная нагрузка (эквивалент антенны) соответствующей мощности с фиксированным аттенюатором со следующими параметрами:

- КСВ в рабочем радиоканале - не более 1,05;

- КСВ в рабочем диапазоне - не более 1,2;

- КСВ на частотах до 1 ГГц для I - III диапазонов и до 2,5 ГГц для IV, V диапазонов - не более 1,4.

6.2.4 Направленный ответвитель со следующими основными параметрами (для передатчиков с выходной мощностью более 100 Вт):

- коэффициент направленности в рабочем канале - не менее 30 дБ;

- КСВ - не более 1,2.

6.2.5 Генератор телевизионных измерительных сигналов с основными параметрами - по ГОСТ 19871.

6.2.6 Телевизионный осциллограф с основными параметрами - по ГОСТ 19871 с наличием фильтров выделения сигналов частотами 0 - 2 МГц; 4,43 МГц; 1,2 МГц.

6.2.7 Фильтр со следующими основными параметрами:

- подавление одной несущей передатчика не менее 30 дБ или подавление обеих несущих (изображения и звукового сопровождения) - не менее 20 дБ;

- затухание при расстройке ±2 МГц относительно несущей - не более 6 дБ.

6.2.8 Генератор сигналов НЧ с основными параметрами - по ГОСТ 13924.

6.2.9 Девиометр с основными параметрами - по ГОСТ 13924.

6.2.10 Вольтметр НЧ с основными параметрами - по ГОСТ 13924.

6.2.11 Вольтметр ВЧ с основными параметрами:

- диапазон измеряемых частот от 30 до 1000 МГц;

- диапазон измеряемых эффективных значений напряжений сигналов ВЧ с пиковым детектированием - от 0,1 до 300 В.

6.2.12 Измеритель нелинейных искажений с основными параметрами - по ГОСТ 13924.

6.2.13 Селективный микровольтметр со следующими основными параметрами:

- диапазон - от 30 до 1000 МГц;

- чувствительность - не более 100 мкВ;

- погрешность измерений - не более ±10 %;

- полоса пропускания - не более 6 кГц;

- избирательность по каналу, отстоящему от основного более чем на 18 кГц, - минус 40 дБ.

6.2.14 Анализатор спектра со следующими основными параметрами:

- диапазон частот от 30 до 2500 МГц;

- полоса обзора - от 10 до 3 · 106 Гц;

- погрешность частоты ±10-7;

- погрешность измерения уровня - ±1 дБ;

- динамический диапазон - от 60 до 90 дБ.

6.2.15 Частотомер электронно-счетный с основными параметрами по ГОСТ 7845.

6.2.16 Приборы для измерения напряжения индустриальных радиопомех, создаваемых передатчиками, по ГОСТ 11001.

6.2.17 Оборудование для испытаний передатчиков на устойчивость к внешним электромагнитным помехам, в том числе:

- наносекундным импульсным помехам в цепях электропитания и ввода-вывода - по ГОСТ 29156;

- микросекундным импульсным помехам в цепях электропитания - по ГОСТ Р 50627;

- динамическим изменениям напряжения в сети электропитания - по ГОСТ Р 50627;

- электростатическим разрядам - по ГОСТ 29191.

6.2.18 Универсальный взвешивающий фильтр - по ГОСТ 19871-83.

6.2.19 Фильтр нижних частот с полосой до 6 МГц - по ГОСТ 19871-83.

6.2.20 Допускается применять специальные приборы и оборудование, обеспечивающие необходимую точность измерений.

6.3 Проведение измерений

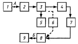
6.3.1 Измерение мощности передатчика проводят в соответствии со структурной схемой рисунка 9.

1 - генератор ТВ измерительных сигналов по 6.2.5; 2 - передатчик; 3 - тройниковый переход для подключения ВЧ головки вольтметра; 4 - эквивалент антенны с фиксированным аттенюатором по 6.2.3; 5 - ВЧ вольтметр по 6.2.11; 6 - направленный ответвитель по 6.2.4; 7 - дополнительный аттенюатор; 8 - демодулятор по 6.2.1; 9 - осциллограф по 6.2.6

Рисунок 9

1 - прибор для исследования АЧХ; 2 - согласованная детекторная головка; 3 - бухта кабеля длиной не менее 30 м с волновым сопротивлением (75 ± 1) Ом в диапазоне частот от 0,1 до 6 МГц; 4 - передатчик

Рисунок 10

Под мощностью по каналу изображения подразумевают мощность высокочастотных колебаний на уровне вершин синхроимпульсов в радиосигнале изображения - пиковая мощность.

При измерении пиковой мощности с помощью ВЧ вольтметра несущую канала изображения модулируют пилообразным сигналом без насадки, устанавливают номинальную глубину модуляции в соответствии с рисунком 2, отключают несущую звукового сопровождения.

Пиковую мощность Рпик, Вт, рассчитывают по формуле

Рпик = Uси2/Rн,                                                             (1)

где Uси - эффективное значение напряжения несущей частоты на уровне вершин синхроимпульсов, В;

Rн - сопротивление согласованной нагрузки, Ом.

Допускается метод определения пиковой мощности с помощью высокочастотного ваттметра: передатчик модулируют только гасящими и синхронизирующими импульсами, измеренное значение мощности Ргас пересчитывают в пиковую мощность как Рпик = 1,68Ргас.

6.3.2 Уровни выходного сигнала измеряют по схеме, приведенной на рисунке 9.

Несущую канала изображения передатчика модулируют пилообразным сигналом размахом 1 В без наложения синусоидального сигнала. В демодуляторе включают импульсы нулевого уровня.

В передатчике устанавливают номинальную глубину модуляции в соответствии с рисунком 2 при размахе выходного видеосигнала, равным 1 В. Измеренные уровни выходного видеосигнала сравнивают с допусками по рисунку 2.

6.3.3 Методы измерений нестабильности уровней на соответствие допускам рисунка 2 при условиях по 4.2.4, приведены ниже.

6.3.3.1 Несущую канала изображения номинально модулируют пилообразным сигналом без наложения синусоидального сигнала с пропуском на среднем уровне.

Измерения проводят с помощью осциллографа с открытым входом при переключении пропуска в модулирующем сигнале на уровень белого и затем на уровень черного.

6.3.3.2 Несущую канала изображения модулируют переключаемым сигналом по 6.3.3.1 с добавлением помехи частотой 50 Гц или помехи на частотах от 50 до 1000 Гц с уровнями, указанными в 4.2.4, перечисление 6.

6.3.3.3 Несущую канала изображения модулируют переключаемым сигналом по 6.3.3.2. При этом уровень синхроимпульсов во входном сигнале изменяют от 0,5 до 1,5 их номинального значения.

6.3.3.4 Несущую канала изображения модулируют пилообразным сигналом без насадки. Размах сигнала на входе увеличивают в 1,5 раза по сравнению с номинальным и отсчитывают уровень белого в выходном сигнале. Затем включают насадку частот 4,43 МГц и оценивают влияние на нее ограничителя белого.

6.3.4 Нестабильность выходного уровня при колебаниях напряжения сети по 4.2.5 определяют измерением отклонения от номинального уровня вершин синхроимпульсов в демодулированном сигнале.

Измерения проводят по схеме, приведенной на рисунке 9. Напряжение питания на передатчик подают от сети через регулятор напряжения, обеспечивающий предельные значения напряжения питания по 4.2.5. Радиопередатчик модулируют пилообразным сигналом с уровнем в соответствии с рисунком 2.

Отклонение уровня синхронизирующих импульсов отсчитывают по осциллографу. В демодуляторе включают импульсы нулевого уровня. Относительную нестабильность ΔU, дБ, рассчитывают по формуле

ΔU = 20lgU1/U2,                                                           (2)

где U1 - уровень синхроимпульсов при номинальном напряжении сети, В;

U2 - уровень синхроимпульсов при одном из предельных отклонений напряжений сети, В.

Измерения проводят при положительном и отрицательном отклонениях напряжения сети.

6.3.5 Пределы размаха модуляционного сигнала по 4.2.6 измеряют по схеме, приведенной на рисунке 9.

Выход генератора отключают от входа передатчика в точке А и подключают его к 75-омному входу осциллографа в точке Б. Устанавливают размах пилообразного сигнала без насадки на выходе генератора, равным 0,5 В, с соотношением уровней по рисунку 1. Восстанавливают соединения по рисунку 9 и с помощью ручной регулировки в передатчике убеждаются в возможности установки уровней модуляции в соответствии с рисунком 2.

Измерения повторяют при установке размаха видеосигнала на выходе генератора равным 1,5 В.

6.3.6 Измерение входного сопротивления канала изображения проводят одним из способов:

а) с помощью измерителя полных сопротивлений.

Значение обратных потерь К, дБ, рассчитывают по формуле

                                                             (3)

где Z0 - номинальное входное сопротивление, Ом;

Z - измеренное сопротивление, Ом;

б) с помощью прибора для исследования АЧХ по схеме рисунка 10 (поверочный способ).

Сигнал качающейся частоты с выхода прибора для исследования АЧХ через бухту кабеля подается на вход канала изображения передатчика. На индикаторе прибора наблюдают результирующую падающей и отраженной волн. Обратные потери К, дБ, рассчитывают по формуле

                                                        (4)

где Umах и Umin - соответственно максимальное и минимальное уровневые значения результирующей на экране прибора, В (рисунок 11).

Рисунок 11

6.3.7 Дифференциальное усиление измеряют по схеме, приведенной на рисунке 9. Несущую канала изображения передатчика модулируют в соответствии с рисунком 2 пилообразным сигналом от 15 до 75 % пикового уровня несущей с насадкой частотой 4,43 МГц размахом 10 %. Форма сигнала на выходе демодулятора показана на рисунке 12.

На осциллографе включают фильтр «4,43 МГц» и по осциллограмме выделенной насадки отсчитывают уровни Umax и Umin в соответствии с рисунком 12. При этом выбросы на краях пакетов, обусловленные переходными процессами в фильтре, не учитывают.

Рисунок 12

Дифференциальное усиление ΔA, %, рассчитывают по формуле

                                                      (5)

где Umin - минимальный размах насадки, В;

Umax - максимальный размах насадки, В.

Дифференциальное усиление измеряют при передаче уровней черного и белого в промежуточных строках испытательного сигнала и берут большее из полученных значений.

6.3.8 Нелинейность сигнала яркости измеряют по схеме, приведенной на рисунке 9.

Несущую канала изображения модулируют пилообразным испытательным сигналом от 15 до 75 % пикового уровня несущей с насадкой частотой 1,2 МГц размахом 10 %. На осциллографе включают фильтр «1,2 МГц» и производят измерение нелинейности по методике, изложенной в 6.3.7.

Примечание - Измерения по 6.3.7 и 6.3.8 допускается проводить с помощью специальных приборов, предназначенных для измерения нелинейных искажений видеосигнала.

6.3.9 Дифференциальную фазу измеряют прибором, предназначенным специально для этой цели, по схеме, приведенной на рисунке 9.

Прибор подключают между демодулятором и осциллографом. Несущую канала изображения модулируют в соответствии с рисунком 2 пилообразным сигналом от 15 до 75 % пикового уровня несущей с синусоидальным наложением частотой 4,43 МГц размахом 10 %. Значение дифференциальной фазы вычисляют как разность максимальной и минимальной фаз насадки в интервале уровней от черного до белого. Измерения проводят при передаче уровней черного и белого в промежуточных строках испытательного сигнала и берут большее из полученных значений.

6.3.10 Характеристику боковых полос измеряют по схеме, приведенной на рисунке 13.

1 - анализатор боковых полос по 6.2.2; 2 - передатчик; 3 - согласованная нагрузка по 6.2.3; 4 - аттенюатор дополнительный; 5 - согласованный тройник; 6 - демодулятор по 6.2.1; 7 - осциллограф по 6.2.6; 8 - направленный ответвитель по 6.2.4

Рисунок 13

Анализатором боковых полос измеряют уровень боковых полос сигнала качающейся частоты на выходе передатчика.

Несущую канала изображения модулируют сигналом качающейся частоты при передаче уровня 45 % (рисунок 14).

Рисунок 14

Характеристику боковых полос на экране анализатора сравнивают на соответствие с полем допуска по рисунку 3.

Вертикальный размер осциллограммы и ее положение на экране выбирают так, чтобы ее нулевой уровень и уровень сигнала на частоте fнес + 1,5 МГц осциллограммы совпадали с соответствующими уровнями трафарета рисунка 3. Длительность развертки подбирают так, чтобы частотный масштаб осциллограммы совпадал с частотным масштабом трафарета. Сигнал качающейся частоты поочередно выставляют на уровне 20 и 60 % (рисунок 14) и наблюдают при этом за отклонениями характеристики боковых полос от ее значения на уровне 45 %.

6.3.11 Сквозную АЧХ тракта вход передатчика - выход демодулятора измеряют по схеме, приведенной на рисунке 13.

Несущую канала изображения модулируют сигналом качающейся частоты по 6.3.10.

С выхода демодулятора сигнал КЧ поступает на видеовход анализатора боковых полос. Огибающую сигнала на экране АБП сравнивают с полем допуска по рисунку 4.

Измерение сквозной АЧХ равным образом можно провести по схеме рисунка 9 с помощью сигнала КЧ, поступающего на видеовход передатчика с выхода генератора ТВ измерительных сигналов. В этом случае оценивается размах сигнала КЧ на экране осциллографа, подключенного к выходу демодулятора.

6.3.12 Перекос плоской части прямоугольных импульсов частоты полей измеряют по схеме, приведенной на рисунке 9. Несущую канала изображения передатчика модулируют импульсами частот 50 Гц уровнем от 15 до 75 % пикового уровня несущей.

Искажения сигнала оценивают по осциллографу, на экране которого измеряют перекосы Δ1 и Δ2, не учитывая интервалы 0,25 мс (рисунок 15), и вычисляют в процентах по отношению к значению М.

Рисунок 15

6.3.13 Перекос плоской части прямоугольных импульсов частоты строк измеряют по схеме, приведенной на рисунке 9. Несущую канала изображения передатчика модулируют полустрочными импульсами уровнем от 15 до 75 %.

На осциллографе отсчитывают отклонения Δ1 и Δ2 (рисунок 16) и выражают в процентах по отношению к значению M.

Рисунок 16

6.3.14 Переходную характеристику измеряют по схеме, приведенной на рисунке 9. Несущую канала изображения передатчика модулируют импульсами от 15 до 250 кГц уровнем от 50 до 75 % (рисунок 17).

Рисунок 17

Форму переходного процесса оценивают по изображению на экране осциллографа на соответствие полю допуска по рисунку 5. При этом скорость развертки должна соответствовать шкале времени, указанной на рисунке 5.

Осциллограмму перепада напряжения устанавливают так, чтобы нулевой и 100 %-ный уровни импульса совпадали с рисками А и Б. При наличии колебательного процесса от ±0,9 до ±1,0 мкс пиковые значения колебаний должны быть установлены симметрично относительно рисок А и Б. Время нарастания и спада импульсов самого генератора, определенных тем же самым осциллографом, должно быть от 70 до 90 нc, выбросы менее 2 %.

6.3.15 Различие усиления и расхождение во времени сигналов яркости и цветности измеряют по схеме, приведенной на рисунке 9. Несущую канала изображения передатчика модулируют сложным синусквадратичным импульсом sin220Т уровнем от 50 до 75 % пикового значения несущей. Измеряют размах импульса и размахи первого и второго отклонений огибающей его основания U1 и U2. Различие усиления сигналов яркости и цветности Δk и расхождение во времени между сигналами яркости и цветности Δt рассчитывают по ГОСТ 20532, приложение 1.

При наличии специального прибора возможно непосредственное измерение различия усиления сигналов и расхождения их во времени.

6.3.16 Перекрестные искажения цветность - яркость измеряют по схеме, приведенной на рисунке 9. Несущую канала изображения модулируют трехступенчатым сигналом цветовой поднесущей частотой 4,43 МГц с максимальным размахом от 15 до 75 % пикового уровня несущей.

Форма сигнала на выходе демодулятора показана на рисунке 18а.

Проведение измерений возможно следующими способами (способы по перечислениям б и в - поверочные):

а) при наличии в демодуляторе синхронного детектора и при получении осциллограммы на его выходе в соответствии с рисунком 18а включить на осциллографе фильтр «0 - 2 МГц» и измерить ΔU, как показано на рисунке 18б. Перекрестные искажения цветность - яркость Uц.я, %, рассчитывают по формуле

                                                        (6)

где ΔU - максимальное отклонение сигнала яркости от пьедестала, на котором располагаются пакеты поднесущей цветности;

М - размах сигнала изображения;

Рисунок 18

б) при отсутствии в демодуляторе синхронного детектора, но при наличии АПЧГ измерения проводят при отключенной АПЧГ и расстройке вручную частоты гетеродина демодулятора в сторону, соответствующую увеличению размаха сигнала яркости до снижения относительного размаха поднесущей цветности не менее чем в 5 раз. Включают фильтр «0 - 2 МГц» и по осциллограмме рисунка 18б проводят измерение искажений пьедестала в сигнале вышеописанным способом. При этом М определяют как размах сигнала изображения между уровнями от 15 до 75 % пикового значения несущей (уровень вершин синхроимпульсов) в полученной осциллограмме;

в) с помощью режектирующего фильтра по 6.2.7 при возможности его перестройки на 4,43 МГц от несущей изображения. Значение подавления на частоте режекции должно быть не менее 15 дБ. Фильтр включается на вход демодулятора для получения осциллограммы по рисунку 18б при отключенном фильтре «0 - 2 МГц» осциллографа. При измерениях данный фильтр при необходимости включают для дополнительного подавления поднесущей и вычисляют значение искажений выше описанным способом.

6.3.17 Уровень фона в канале изображения измеряют по схеме, приведенной на рисунке 9. Несущую канала изображения передатчика модулируют полустрочными импульсами, не содержащими гасящих и синхронизирующих импульсов полей, уровнем от 15 до 75 %. Измеряют размах UY полустрочных импульсов в выходном сигнале (рисунок 19). Частоту развертки осциллографа устанавливают равной частоте полей и измеряют размах колебаний уровней гашения ΔUг и белого ΔUб. Уровень фона на уровнях белого ΨФб, дБ, и гашения Ψф.г, дБ, рассчитывают по формулам:

                                            (7)

где UY - размах полустрочных импульсов;

∆Uб - размах фоновой помехи на уровне белого;

∆Uг - размах фоновой помехи на уровне гашения и берут меньшее из полученных значений.

Рисунок 19

Допускается измерение уровня фона с помощью специального прибора.

6.3.18 Уровень эффективного значения шума в канале яркости измеряют по схеме, приведенной на рисунке 9.

Для измерения уровня шума в канале яркости (в точке Б) включают последовательно взвешивающий фильтр по 6.2.18 и фильтр с полосой частот до 6 МГц по 6.2.19.

Измеряют размах полустрочных импульсов на входе фильтров UY, а затем (при увеличенной чувствительности осциллографа) - квазипиковый размах флуктуационной помехи Uп на выходе фильтров (рисунок 20).

Уровень эффективного значения флуктуационной помехи Ψп, дБ, рассчитывают по формуле

                                                            (8)

Рисунок 20

Допускается измерение шума с помощью специальных приборов.

6.3.19 Интермодуляционный продукт в канале изображения измеряют по схеме рисунка 9 селективным микровольтметром или анализатором спектра, включенным вместо демодулятора в точку Б.

Селективный микровольтметр (анализатор спектра) калибруют на частоте несущей изображения при передаче уровня гашения, что соответствует уровню минус 2,5 дБ относительно уровня вершин синхроимпульсов. Затем устанавливают уровень несущей звука (без модуляции), равным минус 10 дБ относительно уровня вершин синхроимпульсов.

Несущую канала изображения модулируют сигналом 3 по рисунку 14 с насадкой сигналом частотой 4,43 МГц при номинальной выходной мощности передатчика.

С помощью селективного микровольтметра (анализатора спектра) измеряют уровень на частоте 4,43 МГц от несущей изображения и устанавливают его на уровне минус 17 дБ относительно уровня вершин синхроимпульсов регулировкой размаха насадки в модулирующем сигнале. При этом размах наложенной поднесущей на осциллограмме на входе передатчика и выходе демодулятора должен быть примерно равен сигналу изображения (от черного до белого).

Затем измеряют значения интермодуляционного продукта относительно уровня вершин синхроимпульсов на частотах, отстоящих от несущей изображения на 2,07 МГц и 2,36 МГц.

Примечание - Для предотвращения возможной перегрузки входных цепей селективного вольтметра на вход прибора рекомендуется включение фильтра по 6.2.7. При определении интермодуляционного продукта в этом случае следует учесть значение затухания фильтра на измеряемых частотах.

6.3.20 Отношение выходных уровней радиосигналов канала изображения и канала звукового сопровождения измеряют с помощью анализатора спектра или селективного микровольтметра при их калибровке, как указано в 6.3.19. Несущую звукового сопровождения при этом не модулируют, а ее уровень при измерении пересчитывают к уровню вершин синхроимпульсов.

В передатчиках с раздельными трактами усиления радиосигналов изображения и звука допускается непосредственное измерение мощности несущей канала звукового сопровождения при выключенной несущей изображения с помощью ваттметра или высокочастотного вольтметра методом, изложенным в 6.3.1, и вычисление затем отношения выходных уровней А, дБ, по формуле

А = 10lgРпик.иззв,                                                        (9)

где Рпик.из - пиковая мощность канала изображения, Вт;

Рзв - измеренная мощность канала звукового сопровождения, Вт.

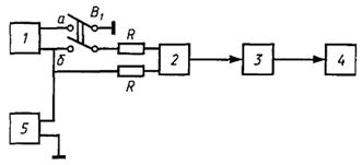
6.3.21 Уровень входного сигнала для получения номинальной девиации несущей и пределы регулировки входного уровня измеряют по схеме рисунка 21.

1 - генератор сигналов НЧ по 6.2.8; 2 - передатчик; 3 - эквивалент антенны по 6.2.3; 4 - девиометр по 6.2.9; 5 - вольтметр НЧ по 6.2.10; 6 - измеритель нелинейных искажений по 6.2.12; 7 - фильтр подавления несущей изображения

Рисунок 21

Несущую канала звукового сопровождения модулируют сигналом частотой 1 кГц уровнем до получения девиации ±50 кГц. Измеряют входной уровень при достижении номинальной модуляции также при положениях регулятора входного сигнала, близких к крайним, и при соответствующем изменении уровня сигнала с выхода генератора.

6.3.22 Амплитудно-частотную характеристику тракта звукового сопровождения и ее отклонение от характеристики идеальной цепи предыскажений измеряют по схеме рисунка 21.

На звуковой вход передатчика подается синусоидальный сигнал частотой от 30 до 15000 Гц. Амплитуду входного сигнала в указанном диапазоне частот поддерживают постоянной на таком уровне, при котором девиация несущей частоты сигналом частоты 15000 Гц равна ±50 кГц.

Корректирующая цепочка 50 мкс в девиометре при этом должна быть отключена.

С помощью осциллографа или вольтметра измеряют напряжение на выходе девиометра при модуляции несущей сигналами в полосе частот от 30 до 15000 Гц. Значение АЧХ на указанных частотах рассчитывают по формуле

S = 20lgUf/U1000,                                                       (10)

где UF - напряжение на выходе девиометра при модуляции сигналами в полосе частот от 30 до 15000 Гц, В;

U1000 - напряжение на выходе девиометра при модуляции сигналом частотой 1000 Гц, В.

Полученные значения сравнивают с характеристикой рисунка 6.

6.3.23 Входное сопротивление низкочастотного входа канала звукового сопровождения в диапазоне частот от 30 до 15000 Гц измеряют с помощью специального моста или по схеме, приведенной на рисунке 22.

1 - генератор сигналов НЧ по 6.2.8; 2 - передатчик; 3 - эквивалент антенны по 6.2.3; 4 - девиометр по 6.2.9; 5 - вольтметр НЧ по 6.2.10; R - измерительное сопротивление 600 Ом ± 0,5 %

Рисунок 22

На вход канала звукового сопровождения подается синусоидальный сигнал частотой 1000 Гц и уровнем, необходимым для осуществления девиации ±50 кГц.

Измеряют напряжения U1 и U2 в точках А и Б с помощью вольтметра НЧ и рассчитывают сопротивление низкочастотного входа Rвх, Ом, по формуле

                                                       (11)

где R = 600 Ом ± 0,5 % - измерительное сопротивление;

U1 - напряжение сигнала на выходе генератора, В;

U2 - напряжение сигнала на входе передатчика, В.

Измерения повторяют на крайних частотах модулирующих частот.

6.3.24 Несимметричность НЧ входа измеряют по схеме, приведенной на рисунке 23, как отношение между выходным напряжением, измеренным девиометром при модуляции несущей канала звукового сопровождения передатчика сигналом частотой 1 кГц и девиацией ±50 кГц (положение а переключателя В1), и выходным напряжением, измеренным тем же девиометром при подаче того же самого модуляционного напряжения на передатчик несимметрично между корпусом передатчика и входными взаимно соединенными выводами (положение б переключателя В1). Измерения повторяют на крайних частотах диапазона модулирующих частот.

6.3.25 Нелинейные искажения измеряют по схеме, приведенной на рисунке 21.

1 - генератор сигналов НЧ по 6.2.8; 2 - передатчик; 3 - эквивалент антенны по 6.2.3; 4 - девиометр по 6.2.9; 5 - вольтметр НЧ по 6.2.10; R - измерительное сопротивление 300 Ом ± 0,2 %

Рисунок 23

Измерения проводят при девиации несущей звукового сопровождения ±50 кГц и ±75 кГц в диапазоне модулирующих частот от 30 до 15000 Гц.

Корректирующая цепочка 50 мкс в девиометре должна быть включена, полоса пропускания канала измерения девиометра - не менее 60 кГц.

6.3.26 ЧМ шум в канале звукового сопровождения измеряют по схеме рисунка 21 при номинальной модуляции канала изображения прямоугольными импульсами частотой 50 Гц.

Несущую канала звука модулируют частотой 1 кГц с девиацией ±50 кГц и на измерителе шумов устанавливают опорный уровень. Шум измеряют в диапазоне частот до 20 кГц с псофометрическим фильтром и без него.

6.3.27 ЧМ шум на разностной частоте (6,5 МГц) измеряют с помощью телевизионного демодулятора по схеме, приведенной на рисунке 24, при модуляции несущей канала звукового сопровождения частотой 1 кГц с девиацией ±50 кГц. При этом устанавливают номинальную глубину модуляции несущей канала изображения при модуляции прямоугольными импульсами частотой 50 Гц. В ТВ демодуляторе должна быть включена обратная коррекция 50 мкс, а в измерителе шума - псофометрический фильтр.

1 - генератор сигналов НЧ по 6.2.8; 2 - передатчик; 3 - эквивалент антенны по 6.2.3; 4 - девиометр по 6.2.9; 5 - измеритель нелинейных искажений по 6.2.12; 6 - вольтметр НЧ по 6.2.10

Рисунок 24

6.3.28 Паразитную амплитудную модуляцию несущей канала звукового сопровождения измеряют по схеме рисунка 21 с помощью измерителя глубины амплитудной модуляции, входящего в состав девиометра.

Несущую канала звукового сопровождения не модулируют, а несущую канала изображения номинально модулируют импульсами частотой 50 Гц.

Фильтр, включенный на входе девиометра, устраняет возможную ошибку при измерении, связанную с нелинейностью входной цепи девиометра.

6.3.29 Паразитную сопутствующую амплитудную модуляцию измеряют методом, указанным в 6.3.28. При этом несущую канала звукового сопровождения номинально модулируют сигналом частотой 1000 Гц, а несущую канала изображения не модулируют.

6.3.30 Частоты несущих каналов изображения и звукового сопровождения определяют с помощью частотомера путем проведения не менее 10 измерений значений частот.

Частоты несущих измеряют после прогрева передатчика в течение времени, установленного в нормативной документации.

Канал изображения должен работать в режиме передачи уровня гашения, канал звукового сопровождения - в отсутствие девиации несущей. При измерении частоты несущей одного из каналов на выходе передатчика, несущая другого канала должна быть отключена или подавлена фильтром.

Точность частотомера должна не менее чем в 3 раза превышать допуск на отклонение частоты, установленный настоящим стандартом.

6.3.31 Уровни побочных радиоколебаний измеряют по схеме рисунка 25. Передатчик должен работать в режиме излучения непрерывного уровня гашения в канале изображения и немодулированной несущей канала звукового сопровождения. Селективный микровольтметр или анализатор спектра калибруют на частоте несущей изображения по 6.3.19.

1 - генератор ТВ испытательных сигналов по 6.2.5; 2 - передатчик; 3 - эквивалент антенны с фиксированным аттенюатором по 6.2.3; 4 - фильтр по 6.2.7; 5 - селективный вольтметр по 6.2.13 или анализатор спектра по 6.2.14

Рисунок 25

Измерения уровней побочных колебаний проводят относительно пикового уровня несущей изображения в полосах частот от 0,5f1 до f1 - 6 МГц и от f1 + 8 МГц до 1000 МГц у передатчиков I - III диапазонов и до 2500 МГц у передатчиков IV, V диапазонов (f1 - частота несущей изображения, МГц).

6.3.32 Напряжение индустриальных радиопомех, создаваемых передатчиками, измеряют по ГОСТ 23511 и Нормам 8 [1].

6.3.3.3 Испытания передатчиков на устойчивость к электромагнитным помехам проводят при воздействии:

- электростатических разрядов - по ГОСТ 29191;

- наносекундных импульсных помех в цепях электропитания и управления - по ГОСТ 29156;

- микросекундных импульсных помех в цепях электропитания - по ГОСТ Р 50007;

- динамических изменений напряжения сети электропитания - по ГОСТ Р 50627.

6.3.34 Испытания передатчиков на устойчивость при климатических и механических воздействиях проводят при:

- хранении и транспортировании в части воздействия климатических факторов внешней среды - по ГОСТ 15150;

- механических воздействиях в упакованном виде - по ГОСТ 16019.

6.3.35 Соответствие передатчиков общим требованиям техники безопасности проверяют по ГОСТ 12.2.006, уровни электромагнитного излучения передатчиков на рабочих местах обслуживающего персонала измеряют по ГОСТ 12.1.006, уровни шума устройств охлаждения - по ГОСТ 12.1.003.

ПРИЛОЖЕНИЕ А

(обязательное)

БИБЛИОГРАФИЯ

[1] Нормы 8-72 Общесоюзные нормы допускаемых индустриальных радиопомех. Электроустройства, эксплуатируемые вне жилых домов и не связанные с их электрическими сетями. Предприятия (объекты) на выделенных территориях или в отдельных зданиях. Допускаемые величины. Методы испытаний. ГКРЧ России, 1972 г.

[2] Правила технической эксплуатации электроустановок потребителей (ПТЭ). М, Энергоатомиздат, 1989 г.

[3] Правила техники безопасности при эксплуатации электроустановок потребителей. М., Энергоатомиздат, 1989 г.

[4] Нормы СН № 4262-87 Санитарные нормы дифференцированных по частоте предельно допустимых уровней для населения электромагнитного поля (ОВЧ диапазон волн), создаваемого телевизионными станциями. Минздрав СССР, 1987 г.

[5] Санитарные нормы ВСН № 2963-84 Временные санитарные нормы и правила защиты населения от воздействия электромагнитных полей, создаваемых радиотехническими объектами. Минздрав СССР, 1984 г.

 

Ключевые слова: радиопередатчики телевизионные I - V диапазонов маломощные, основные параметры, технические требования, методы измерений.