Главная // Актуальные документы // Актуальные документы (обновление 2025.04.26-2025.05.31) // ГрафикСПРАВКА
Источник публикации
М.: Стройиздат, 1977
Примечание к документу
Название документа
"Руководство по проектированию клееных деревянных конструкций"
"Руководство по проектированию клееных деревянных конструкций"
ПО ПРОЕКТИРОВАНИЮ КЛЕЕНЫХ ДЕРЕВЯННЫХ КОНСТРУКЦИЙ
Рекомендовано к изданию решением секции деревянных конструкций Ученого совета ЦНИИСК.
В Руководстве приведены типы и область применения клееных конструкций, требования к материалам, методы по обеспечению их долговечности и капитальности, правила расчета и конструирования как общие, так и отдельных видов соединений и наиболее массовых видов конструкций (балок, арок, рам, ферм, панелей покрытий), а также даны методы расчета изгибаемых и сжато-изгибаемых элементов с учетом обеспечения устойчивости плоской формы изгиба, рекомендации по устройству и расчету связей жесткости, обеспечивающих устойчивость и пространственную неизменяемость конструкций.
Руководство предназначено для инженерно-технических работников проектных и строительных организаций.
Табл. 39. Рис. 93.
В Руководство включены в основном материалы, связанные с проектированием несущих и ограждающих клееных деревянных конструкций заводского изготовления, для которых в настоящее время создается производственная база.
В Руководство включены также некоторые новые материалы: по расчетным сопротивлениям березовой фанеры под углом к направлению волокон, данные по фанере из древесины лиственницы, формулы и правила для проверки устойчивости плоской формы изгиба, рекомендации по обеспечению пространственной неизменяемости конструкций, формулы для расчета связей и т.д.
Ввиду того что Руководство дано в развитие главы
СНиП II-В.4-71 "Деревянные конструкции. Нормы проектирования", которая составлена в системе CGS единиц (кгс, тс, кгс·м, кгс/см
2 и т.д.), все примеры, включаемые в Руководство, также выполнены в этой системе единиц. Однако в связи с введением системы СИ единиц всюду нагрузки, усилия, моменты, напряжения и модули упругости даны дополнительно, в скобках, в новой системе единиц, т.е. в ньютонах (Н), килоньютонах (кН) и мегапаскалях (МПа).
Кроме того, в
прил. 1 дана таблица соотношений между некоторыми физическими величинами в системе CGS и в системе СИ единиц.
Руководство разработано отделением деревянных конструкций ЦНИИСК им. В.А. Кучеренко Госстроя СССР (кандидаты техн. наук С.М. Жак, Е.М. Знаменский, А.Ф. Михайлов, д-р техн. наук проф. Ю.М. Иванов, кандидаты техн. наук Л.В. Касабьян, Г.В. Свенцицкий, И.М. Линьков, Л.О. Лепарский, В.И. Фролов, д-ра техн. наук Л.М. Ковальчук, А.С. Фрейдин, кандидаты техн. наук И.Г. Овчинникова, А.В. Перцов, инженеры В.И. Аганин, А.И. Мезенцев, В.Г. Натахин, Д.К. Арленинов, Ю.Ю. Славик, Г.Н. Мышелова, И.Н. Хайруллина, В.В. Сорокин) при участии ВИА им. Куйбышева (д-р техн. наук проф. Г.Г. Карслен, инж. А.Н. Кистяпин), ЛИСИ (кандидаты техн. наук Е.И. Светозарова, С.А. Корзон, Е.Н. Серов), НИСИ им. Куйбышева (кандидаты техн. наук Ю.К. Осипов, В.Ф. Бондин, П.А. Дмитриев, Ф.А. Бойтемиров), ЦНИИЭП зрелищных зданий и спортивных сооружений (канд. техн. наук В.И. Травуш, инж. М.Ю. Заполь), Хабаровского политехнического института (кандидаты техн. наук В.И. Кулиш, Б.В. Накашидзе), Уральского политехнического института (канд. техн. наук В.А. Шляпин), проектного института ПИ-2 (канд. техн. наук И.С. Филимонов), ЦНИИЭП учебных зданий (инж. В.Ф. Кротюк).
Замечания и предложения просьба направлять по адресу: 109389, 2-я Институтская ул., д. 6, ЦНИИСК им. В.А. Кучеренко, отделение деревянных конструкций.
Дирекция ЦНИИСК им. В.А. Кучеренко
1.1. Настоящее Руководство составлено в развитие главы
СНиП II-В.4-71 "Деревянные конструкции. Нормы проектирования".
Руководство распространяется на конструкции зданий и сооружений постоянного назначения. Проектирование временных зданий и сооружений регламентируется "Указаниями по проектированию деревянных конструкций временных зданий и сооружений" (СН 432-71).
1.2. Проектирование деревянных конструкций должно осуществляться с использованием соответствующих глав СНиП и других нормативных документов.
1.3. Клееные деревянные конструкции рассчитаны на механизированное заводское изготовление в специализированных цехах в соответствии с требованиями "
Руководства по изготовлению деревянных клееных конструкций для строительства" и относятся к категории индустриальных.
| | ИС МЕГАНОРМ: примечание. Взамен ГОСТ 20850-75 Постановлением Госстроя СССР от 15.03.1983 N 25 с 01.01.1985 введен в действие ГОСТ 20850-84. | |
В соответствии с "
Руководством по изготовлению деревянных клееных конструкций для строительства" предприятие должно иметь разрешение на производство конструкций из клееной древесины, выдаваемое ведомством, в подчинении которого находится предприятие (министерство, главк), с соблюдением всех изложенных в этом Руководстве требований. Качество этих конструкций должно соответствовать требованиям ГОСТ 20850-75.
1.4. Применение в строительных конструкциях клееной древесины является целесообразным:
при необходимости получения конструктивных элементов больших размеров по сечению и по длине;
для эффективного использования лесоматериалов различной сортности и достижения высокого качества изделия за счет заводского способа производства и облагораживания древесины (сушки, удаления пороков, защитной обработки);
при необходимости удовлетворения архитектурных требований, а также повышенных требований к огнестойкости и коррозионной стойкости конструкций.
Все это достигается строгим соблюдением правил и требований заводской технологии изготовления, транспортирования, хранения и монтажа клееных деревянных конструкций.
1.5. Клееные деревянные конструкции рекомендуется в первую очередь применять:
в зданиях и сооружениях с химически агрессивной средой в отношении стали и железобетона;
в производственных и общественных зданиях и сооружениях различного назначения с температурно-влажностным режимом для групп конструкций А
1, А
2 и Б
1 по
табл. 1 главы СНиП II-В.4-71.
1.6. Рекомендуются для первоочередного применения следующие типы клееных деревянных конструкций:
а) из массивной клееной древесины прямоугольного сечения (дощатоклееные): балки; рамы гнутые и ломаного очертания; фермы треугольные, с параллельными поясами, сегментные и шпренгельные;
б) из комбинированной клееной древесины (клеефанерные): облегченные балки с плоской или волнистой фанерной стенкой и дощатоклееными поясами; плоские панели коробчатого сечения для стен и покрытий с обшивками из водостойкой фанеры с ребрами из досок или гнутых фанерных профилей; плоские панели для стен и покрытий с ребрами из досок и асбестоцементными обшивками.
Примечание. Элементы из массивной клееной древесины (дощатоклееные) склеиваются по пласти из отдельных слоев, образованных из остроганных досок, соединенных по длине на зубчатый стык, а по ширине - в одну или несколько досок, склеенных по кромке.
Номенклатура рекомендуемых типов несущих и ограждающих конструкций приведена в
табл. 1.
Схема конструкции | Дополнительные данные |
| Балки | Балки всех типов с индексом "а" - прямоугольного сечения из массивной клееной древесины (дощатоклееные). Балки с индексом "б" - двутавровые или коробчатого сечения с поясами из клееной древесины и плоскими фанерными стенками, а с индексом "в" - с волнистой фанерной стенкой (клеефанерные) |
1 | а |
б |
2 | а |
а |
3 | б |
б |
4 | а |
а |
5 | б |
в |
| Арки | Все арки - прямоугольного сечения из массивной клееной древесины. Арки типа 1 (пологие) - кругового очертания, двухшарнирные и трехшарнирные с передачей распора на затяжку или опоры. Арки типа 2 (высокие) - стрельчатые трехшарнирные, с передачей распора, как правило, на опоры |
1 |
2 |
| Трехшарнирные рамы | Стойки и ригели всех рам прямоугольного сечения из массивной клееной древесины (дощатоклееные). Полурамы типов 1, 3 и 4 - заводского изготовления. |
1 | |
2 | |
3 | |
4 | | Рамы типов 2, 5 и 6 собираются из стоек, ригелей и подкосов на месте строительства |
5 | |
6 | |
| Фермы | Верхние пояса всех ферм - прямоугольного сечения из массивной клееной древесины (дощатоклееные). Нижний пояс всех ферм, как правило, стальной. |
1 | |
2 | |
3 | |
4 | |
5 | |
6 | | Решетка - из брусьев (цельных или дощатоклееных) и стальных тяжей |
7 | |
8 | |
9 | |
10 | |
| Панели покрытий | Панель 1 - с поперечным проветриванием, панель 2 - с продольным проветриванием - для рулонной кровли; панель 3 - для кровли из волнистых асбестоцементных листов, укладываемых на месте. Неутепленные панели предназначены для устройства рулонной кровли. Обшивка всех панелей - из водостойкой фанеры или асбестоцементные |
а) Утепленные |
1 | |
2 | |
3 | |
б) Неутепленные |
| |
1.7. Для несущих конструкций рекомендуется применять элементы из массивной клееной древесины преимущественно прямоугольного сечения как более технологичные и огнестойкие; несущие конструкции из комбинированной клееной древесины рекомендуются для облегченных зданий с пониженными требованиями по огнестойкости.
При назначении размеров сечений из массивной клееной древесины или из отдельных досок следует принимать ширину и толщину досок по ГОСТ и учитывать припуски на усушку и механическую обработку в соответствии с
пп. 2.3 и
3.27 "Руководства по изготовлению деревянных клееных конструкций для строительства".
1.8. При компоновке объемно-планировочных решений и выборе конструктивных схем следует отдавать предпочтение бесфонарным покрытиям с боковым дневным светом и наружным отводом воды с кровли. Многопролетные деревянные покрытия с внутренним отводом воды допускаются только в отапливаемых зданиях при условии устройства обогреваемых водосборных железобетонных лотков, сечение которых исключает скопление ливневых вод выше верха их бортов.
2. МАТЕРИАЛЫ ДЛЯ КЛЕЕНЫХ ДЕРЕВЯННЫХ КОНСТРУКЦИЙ
2.1. Для изготовления клееных деревянных конструкций должны применяться пиломатериалы из сосны или ели по ГОСТ 8486-66. Применение пиломатериалов других пород допускается при наличии технических условий, учитывающих особенности изготовления и эксплуатации конструкций из древесины этих пород.
| | ИС МЕГАНОРМ: примечание. Взамен ГОСТ 20850-75 Постановлением Госстроя СССР от 15.03.1983 N 25 с 01.01.1985 введен в действие ГОСТ 20850-84. | |
2.2. Пиломатериалы, предназначенные для клееных деревянных конструкций, должны иметь влажность во время изготовления и приемки в пределах 8 - 12% и удовлетворять требованиям ГОСТ 20850-75. Фанера, предназначенная для клееных конструкций, должна удовлетворять требованиям ГОСТ 3916-69.
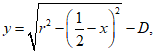
2.3. Расчетные сопротивления и модули упругости древесины следует принимать по главе
СНиП II-В.4-71 "Расчетные сопротивления древесины растяжению под углом", принимаются по
рис. 1.
Рис. 1. Расчетное сопротивление древесины сосны и ели
растяжению под углом
к направлению волокон
МПа
2.4. Расчетные сопротивления, модули упругости, модули сдвига, коэффициенты Пуассона вдоль и поперек волокон наружных слоев фанеры клееной березовой марок ФСФ и ФК и фанеры бакелизированной марок ФБС и ФБСВ толщиной 7 мм и более должны приниматься в соответствии с
табл. 14 и
15 главы СНиП II-В.4-71.
2.5. Расчетные сопротивления фанеры в плоскости листа под углом к направлению волокон определяют по
рис. 2,
3 и
4.
Рис. 2. Расчетное сопротивление фанеры марок ФСФ и СК,
сорта В/ВВ из древесины березы при сжатии
под углом
к волокнам
а - семислойной; б - пятислойной; в - трехслойной
Рис. 3. Расчетное сопротивление фанеры марок ФСФ и ФК,
сорта В/ВВ из древесины березы при растяжении
под углом
к волокнам
а - семислойной; б - пятислойной; в - трехслойной
Рис. 4. Расчетные сопротивления пяти- и семислойной фанеры
из древесины лиственницы под углом
к волокнам
а - растяжению Rр.ф; б - сжатию Rс.ф
2.6. Синтетические клеи для склеивания древесины, древесины с фанерой, а также древесины с металлом в клееных деревянных конструкциях должны применяться в соответствии с
табл. 7 главы СНиП II-В.4-71. Рекомендуются следующие марки клеев: фенолоформальдегидный КБ-3, резорциноформальдегидный ФР-12, алкилрезициноформальдегидные ФР-100, ДФК-1АМ, карбамидные (мочевиноформальдегидные) УКС, КС-68, М-19-62.
Составы клеев, порядок их приготовления и применения, а также нормативные характеристики клеевых соединений приведены в "
Руководстве по изготовлению деревянных клееных конструкций для строительства" и "
Пособии по расчетным характеристикам клеевых соединений для строительных конструкций".
2.7. Применение металлических деталей в деревянных конструкциях должно осуществляться в соответствии с главой
СНиП II-В.4-71. Для растянутых элементов применяется фасонная или арматурная сталь класса А-I, А-II и А-III, а для стальных нагелей и стяжных болтов сталь класса А-I. Расчетные характеристики листовой стали и фасонного проката, расчетные характеристики соединений, коэффициенты условий работы стальных элементов и др. принимаются по соответствующим главам СНиП.
3. ОБЕСПЕЧЕНИЕ ДОЛГОВЕЧНОСТИ И КАПИТАЛЬНОСТИ
3.1. Меры по обеспечению долговечности и капитальности деревянных клееных конструкций должны осуществляться в соответствии с требованиями
раздела 7 главы СНиП II-В.4-71 и других нормативных документов.
3.2. Биостойкость деревянных конструкций обеспечивается выполнением требований
пп. 7.2 -
7.9 главы СНиП II-В.4-71, а также соблюдением следующих правил:
а) места соприкасания древесины клееных конструкций с бетоном и другими материалами должны быть защищены тиоколовыми мастиками или герметиками, а детали небольших размеров (опорные подушки и т.д.) должны пропитываться в ваннах с подогревом водными растворами фтористого натрия или обрабатываться пастой марки 200. Антисептированные элементы, соприкасающиеся с бетоном, металлом, камнем и др., должны дополнительно изолироваться рулонными материалами: толем, рубероидом и т.д.;
б) номенклатура защищаемых конструкций и способы защитной обработки деревянных элементов в зависимости от эксплуатационной характеристики зданий должны приниматься для несущих по
табл. 2 и для ограждающих конструкций по
табл. 3.
| Обрабатываемая часть конструкции | Способ обработки | Защитные составы |
А2 А3 Б2 | а) Поверхность элементов | Нанесение влагозащитного лакокрасочного покрытия | Пентафталевая эмаль ПФ-115, допускается алкидно-карбамидная эмаль МЧ-181, уретаново-алкидная эмаль УРФ-1128 |
б) Места соприкасания деревянных элементов с бетоном, камнем, металлом и т.п. | Нанесение тиоколовых мастик или герметиков с последующей гидроизоляцией рулонным материалом (рубероид, изол, бризол и др.). | Тиоколовая мастика АМ-05, тиоколовый герметик У-30М, УТ-32 |
в) Деревянные прокладки, подкладки и другие элементы, соприкасающиеся с бетоном, камнем, металлом и т.д. | Пропитка в холодных ваннах с предварительным прогревом с последующей гидроизоляцией рулонным материалом; допускается нанесение паст с последующей гидроизоляцией рулонным материалом | Фтористый натрий технический. Паста марки 200 |
Примечания: 1. Для групп конструкций А2 толщина лакокрасочной пленки должна быть 100 +/- 10 мкм; для А3 и Б2 - 140 +/- 10 мкм.
2. Для групп конструкций А2 допускается использование пасты марки 100.
| Обрабатываемая часть конструкций | Способ обработки | Защитные составы |
А2, А3, Б2 | а) Поверхность дощатой или фанерной обшивки панелей стен, покрытий и подвесного потолка внутри помещения | Нанесение влагозащитного лакокрасочного покрытия | Пентафталевая эмаль ПФ-115, допускается алкидно-карбамидная эмаль МЧ-181. Уретаново-алкидная эмаль УРФ-1128 |
А1, А2, А3, Б1, Б2 | б) Наружная поверхность дощатой или фанерной обшивки панелей стен, подвергающаяся атмосферному воздействию | То же | Пентафталевая эмаль ПФ-115, допускается перхлорвиниловая эмаль ХВ-5169, поливинилхлоридная эмаль ХВ-110, ХВ-1100, ХВ-124, УРФ-1128 |
А2, А3, Б2 | в) Внутренняя поверхность дощатой или фанерной обшивки панелей стен, покрытий и подвесного потолка, а также наружная поверхность дощатой или фанерной обшивки панелей покрытий под рулонным ковром Деревянные элементы (ребра, вкладыши) внутри панелей | Поверхностная обработка | Тетрафторборат аммония, допускается состав ДСК-П с кремнефтористым аммонием, ХМБ-444 |
Примечания: 1. Для групп конструкций А2 толщина лакокрасочной пленки должна быть 100 +/- 10 мкм, для А3, Б2 - 140 +/- 10 мкм.
2. Для панелей покрытий и стен с вентиляцией внутреннего пространства между утеплителем и наружной облицовкой (в обоих случаях необходима пароизоляция) допускается поверхностная обработка деревянных элементов каркаса раствором тетрафторбората аммония или кремнефтористого аммония гидропультированием или окунанием.
| | ИС МЕГАНОРМ: примечание. В официальном тексте документа, видимо, допущена опечатка: пункт "г" в таблице 3 отсутствует. | |
3. Обработанные по п. "г"
табл. 3 деревянные элементы предназначены для неклееных конструкций.
3.3. Применение деревянных конструкций в условиях химически агрессивной среды должно осуществляться в соответствии с
пп. 7.10 -
7.17 главы СНиП II-В.4-71, а степень агрессивности среды по отношению к древесине определяется в соответствии с главой
СНиП II-28-73 "Защита строительных конструкций от коррозии".
4. ОСОБЕННОСТИ РАСЧЕТА СЖАТЫХ, ИЗГИБАЕМЫХ
И СЖАТО-ИЗГИБАЕМЫХ ЭЛЕМЕНТОВ
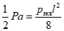
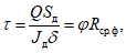
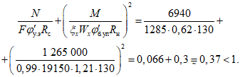
4.1. Расчет центрально-сжатых сплошных клееных элементов производится по формулам
пп. 4.2 -
4.5 главы СНиП II-В.4-71. При этом элементы с сечением постоянной ширины
b, но переменной высоты по длине рассчитываются на устойчивость с введением приведенной высоты сечения
hпр по формулам

(4.1)

(4.2)
Для случаев, показанных на
рис. 5, приведенная высота сечения определяется по формуле

(4.3)
а гибкость - по формулам

(4.4)

(4.5)
Рис. 5. Расчетные схемы стоек переменного сечения по длине
Прочность элементов переменного сечения по длине проверяется по формуле

(4.6)
где Nс - расчетная сжимающая сила;

и

- коэффициенты продольного изгиба, определяемые по
п. 4.3 главы СНиП II-В.4-71;
Rс - расчетное сопротивление сжатию древесины по
табл. 8 и
9 главы СНиП II-В.4-71;
h0 и h - наименьшая и наибольшая высота сечения;
b - ширина сечения;
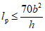
lр - расчетная длина элемента, принимаемая в соответствии с
п. 4.5 главы СНиП II-В.4-71.
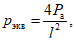
4.2. Расчет прямолинейных изгибаемых клееных элементов прямоугольного сечения на прочность при сплошном раскреплении со стороны сжатой кромки или при соблюдении условия, что шаг связей

производится в соответствии с
пп. 4.7 и
4.9 главы СНиП II-В.4-71; расчетное сопротивление изгибу принимается по
п. 1 "а" табл. 8 (с учетом
табл. 9 главы СНиП II-В.4-71) равным расчетному сопротивлению сжатия (
Rи =
Rс).
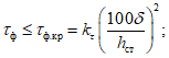
Расчетная длина элемента при наличии продольных связей определяется как расстояние между точками закрепления элемента из плоскости изгиба со стороны сжатой кромки (расстояние между прогонами или местами крепления панелей покрытий, присоединенных к связевым фермам или устойчивым торцовым стенам).
Высота сечения
h балок переменной высоты (двускатных, односкатных, консольных) определяется как приведенная высота

, где
h - наибольшая высота сечения, а
kж - коэффициент, принимаемый в зависимости от характера загружения и формы элемента по
табл. 7 настоящего Руководства.
При шаге связей

расчет следует производить с учетом устойчивости плоской формы изгиба по формуле

(4.7)
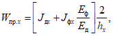
где M - изгибающий момент в расчетном сечении;
Wx - момент сопротивления расчетного сечения, определяемого для балок на двух опорах переменного сечения в соответствии с
формулой (6.1) настоящего Руководства;
mб - коэффициент, определяемый по
табл. 18 главы СНиП II-В.4-71.
в области упругой устойчивости, т.е. при

, по формуле

(4.8)
в области неупругой устойчивости, т.е. когда по
формуле (4.8) 
, в зависимости от полученного его значения принимается по второй строке
табл. 4 настоящего Руководства.
Коэффициенты: | | | | | | | | | |
| 0,7 | 0,8 | 0,9 | 1 | 1,2 | 1,4 | 1,6 | 1,8 | 2 и более |
| 0,7 | 0,76 | 0,8 | 0,84 | 0,89 | 0,93 | 0,96 | 0,98 | 1 |
Коэффициент
k в зависимости от условий закрепления балки и вида нагрузки принимается по
табл. 5 настоящего Руководства.
N п.п. | Расчетная схема | Значение коэффициента k | Условия закрепления балки перпендикулярно плоскости изгиба и приложения нагрузки |
1 | | 140 | Шарнирное закрепление по концам и под грузами со стороны сжатой кромки, препятствующее кручению относительно продольной оси балки и горизонтальному перемещению, при любом положении нагрузки по высоте сечения |
2 | | 140 |
3 | | 310 |
| | 270 390 | Шарнирное закрепление, препятствующее кручению и горизонтальному перемещению, только по концам; нагрузка приложена в центре тяжести сечения |
| | | Шарнирное закрепление, препятствующее кручению и горизонтальному перемещению, только по концам; нагрузка приложена в центре тяжести сечения |
| | | Свободный конец не закреплен в горизонтальной плоскости, нагрузка приложена в центре тяжести сечения |
7 | | 245 | Свободный конец закреплен от кручения при любом положении нагрузки по высоте сечения |
8 | | 310 | Свободный конец закреплен от кручения и горизонтального перемещения; положение нагрузки - любое по высоте сечения |
| | | Свободный конец не закреплен в горизонтальной плоскости; нагрузка приложена в центре тяжести сечения |
10 | | 340 | Свободный конец закреплен от кручения и горизонтального перемещения; нагрузка приложена на любом уровне по высоте сечения |
--------------------------------
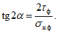
<*> В случае приложения нагрузки по верхней или нижней грани балки без ее закрепления из плоскости изгиба в пролете следует вводить дополнительный коэффициент
k1, равный

; значения

принимаются в зависимости от расчетной схемы равными
Если величина

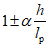
, то проверки устойчивости плоской формы изгиба производить не нужно.
Примечание. В тех случаях, когда имеет место раскрепление балки со стороны растянутой кромки в
формуле (4.7), коэффициент

заменяется коэффициентом

, который определяется по
формуле (4.12) настоящего раздела при

, а при

- в зависимости от полученного значения по второй строке
табл. 4 настоящего Руководства.
При закреплении балки из плоскости изгиба по верхней или нижней грани в местах приложения нагрузки коэффициент K1 принимается 1 независимо от ее местоположения по высоте сечения.
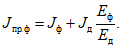
4.3. Устойчивость верхнего сжатого пояса двутавровых и коробчатых балок с фанерной стенкой из плоскости изгиба проверяется по формуле

(4.9)
где M - изгибающий момент в расчетном сечении;
Wпр - момент сопротивления в расчетном сечении, приведенный к материалу поясов (см.
пп. 6.10 и
6.11 настоящего Руководства);

- коэффициент устойчивости, определяемый по
пп. 4.3 и
4.4 главы СНиП II-В.4-71 в зависимости от гибкости из плоскости изгиба.
4.4. Расчет на прочность внецентренно-сжатых и сжато-изгибаемых прямолинейных элементов прямоугольного сечения при сплошном раскреплении со стороны сжатой кромки (см.
п. 4.3 настоящего Руководства) производится по
формуле (20) главы СНиП II-В.4-71. При

или отсутствии закрепления, кроме того, производится расчет с учетом устойчивости плоской формы изгиба по формуле

(4.10)
где

определяется по
п. 4.14 главы СНиП II-В.4-71; при этом для элементов переменного сечения гибкость и площадь сечения определяются по приведенной высоте сечения (см.
п. 4.2 настоящего Руководства).
4.5. При сплошном раскреплении (см.
п. 4.2 настоящего Руководства) прямолинейных внецентренно-сжатых и сжато-изогнутых элементов прямоугольного сечения со стороны растянутой кромки расчет производится в соответствии с
п. 4.4 настоящего Руководства с заменой

и

на

и

, определяемым соответственно по нижеследующим формулам:

(4.11)

(4.12)
Расчетная длина элемента в этих формулах определяется как расстояние между точками закрепления его концов, а при наличии вертикальных связей, раскрепляющих сжатую кромку, как расстояние между ними. Значения коэффициентов
ky и

можно определить по графикам
прил. 2.
Примечание. Указания
пп. 4.2,
4.3 и
4.5 настоящего Руководства распространяются также на криволинейные брусья с отношением высоты сечения к радиусу кривизны менее 0,2.
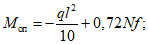
4.6. Сжато-изгибаемые элементы рам и арок, имеющие ломаное или криволинейное очертание, проверяются на устойчивость плоской формы изгиба согласно
пп. 4.4 и
4.5 настоящего Руководства с заменой их условными прямолинейными элементами соответствующей длины, а эпюра моментов и условия закрепления из плоскости при этом не меняются.
В
табл. 6 приведены расчетные схемы трехшарнирных рам и арок при нагружении равномерно распределенной нагрузкой, а также заменяющие их эквивалентные схемы и значения коэффициента
k.
Примечание. Нулевые точки в ригелях рам определяются при загружении всего пролета постоянной и временной равномерно распределенной нагрузкой.
N п.п. | Расчетная схема полурамы или полуарки | Эпюра моментов в заменяющем прямолинейном элементе | Значение коэффициента k |
| | | 190 |
270 |
390 |
| | | 285 |
| 245 |
3 | | | 160 |
| | | 210 |
| | | 285 |
| 140 |
| 285 |
| | | 160 |
| | | 210 |
| | | 210 |
| 140 |
| 210 |
--------------------------------
<*> В схемах предусматривается постановка раскрепляющих связей из плоскости изгиба в промежуточных сечениях по всей их высоте.
5. РАСЧЕТ СОЕДИНЕНИЙ ЭЛЕМЕНТОВ
КЛЕЕНЫХ ДЕРЕВЯННЫХ КОНСТРУКЦИЙ
5.1. Расчет соединений элементов клееных деревянных конструкций должен производиться в соответствии с
разделом 5 главы СНиП II-В.4-71.
5.2. Соединение растянутых стыков клееных элементов выполняется, как правило, с помощью деревянных накладок на стальных нагелях, расчет которых производится в соответствии с
п. 5.14 главы СНиП II-В.4-71. Допускается применение стальных накладок на глухих нагелях (отрезках арматурной стали, винтах, глухарях), не проходящих через всю толщину элемента.
Рекомендуется подбирать диаметр нагеля
d таким образом, чтобы несущая способность сопряжения определялась работой нагеля на изгиб. В симметричных соединениях этому соответствует

и

, где
a - толщина крайних элементов, а
c - толщина средних элементов. Для растянутых стыков диаметр стального нагеля рекомендуется принимать не менее 12 мм.
5.3. В соединениях элементов под углом значение коэффициента

, учитывающего влияние угла наклона волокон к направлению передаваемого нагелем усилия, принимается для стальных нагелей по
рис. 6, а для дубовых - по
табл. 21 главы СНиП II-В.4-71.
Рис. 6. Коэффициент
для расчета стальных нагелей
при направлении усилий под углом
к волокнам
соединяемых элементов
5.4. В случае применения шурупов или винтов в качестве нагелей они должны завинчиваться в предварительно рассверленное отверстие глубиной, равной всей длине шурупа или винта, а диаметром на 2 - 4 мм меньшим диаметра нагеля в ненарезанной его части.
5.5. В условиях агрессивной среды следует применять дубовые нагели, а также нагели и гвозди из однонаправленного стеклопластика АГ-4С с пределом прочности при изгибе не менее 600 кгс/см2 и нагели из древеснослоистого пластика ДСК-Б. Несущая способность на срез по изгибу в симметричных и несимметричных соединениях при действии силы вдоль волокон соединяемых элементов для нагелей из стеклопластика АГ-4С принимается равной: Tи = 145d2 + 2a2, но не более 180d2 кгс (1800d2 Н), а для нагелей из древеснослоистого пластика Tи = 80d2 + 2a2, но не более 100d2 кгс (1000d2 Н), где d - диаметр нагеля, см, a - толщина крайних элементов соединения, см.
Несущая способность соединения по смятию древесины вдоль волокон соединяемых элементов определяется для нагелей из стеклопластика, как и для стальных нагелей и гвоздей, по
табл. 20 главы СНиП II-В.4-71. При этом необходимо учитывать повышенную деформативность пластмассовых нагелей в соединениях под углом к волокнам древесины, снижая полученные значения расчетной несущей способности умножением (дополнительно к коэффициенту

по
рис. 6) на 0,9 для угла

; на 0,7 для угла

, на 0,6 для угла

. Для промежуточных значений угла величину коэффициента берут по линейной интерполяции. Расстановка пластмассовых нагелей выполняется в соответствии с правилами
п. 5.19, а гвоздей -
п. 5.24 главы СНиП II-В.4-71.
6. БАЛКИ. ОСНОВНЫЕ ПОЛОЖЕНИЯ ПО ПРОЕКТИРОВАНИЮ
6.1. Для покрытий рекомендуются клееные балки следующих типов:
прямолинейные постоянного сечения горизонтальные или наклонные (односкатные);
двускатные или односкатные с нижней горизонтальной гранью под рулонную кровлю с малыми уклонами (< 1:10);
двускатные гнутоклееные постоянного сечения под рулонную кровлю с малыми уклонами (< 1:10), имеющие в коньке гнутый участок.
По виду поперечного сечения и применяемого материала рекомендуются клееные балки: из массивной клееной древесины прямоугольного сечения (дощатоклееные); из комбинированной древесины (клеефанерные) с поясами из массивной клееной древесины и плоскими стенками из водостойкой фанеры: двутавровые (с одной стенкой) и коробчатые (с двумя стенками). Этот вид сечения применим для балок односкатных и двускатных с горизонтальной нижней гранью и для балок прямолинейных постоянного сечения. Могут применяться балки с волнистой фанерной стенкой.
6.2. Дощатоклееные балки рекомендуются для пролетов до 24 м. Применение клееных балок большего пролета допускается при специальном обосновании. Высота балок назначается не менее
1/
15 пролета. Стыкование досок по длине и ширине в слои и склеивание их по высоте выполняются с учетом
пп. 5.5,
5.6 и
5.8 главы СНиП II-В.4-71. Балки должны изготовляться из слоев толщиной не более 4,5 см разной категории по высоте поперечного сечения в соответствии с
табл. 2 главы СНиП II-В.4-71. Двускатные и односкатные с горизонтальной нижней гранью балки склеиваются из горизонтально расположенных слоев разной длины и после отверждения клея опиливаются по скату. Двускатные гнутоклееные балки должны изготовляться из слоев равной длины: выгиб в коньке выполняется с радиусом кривизны не менее 250 толщин досок пакета.
При изготовлении балок всех типов рекомендуется придавать им строительный подъем, равный 1/200 пролета, путем выгиба досок в процессе склеивания.
6.3. Расчет дощатоклееных балок на прочность и устойчивость при изгибе производится в соответствии с
пп. 4.2 и
4.3 настоящего Руководства.
Расчетное сечение в двускатных, а также в односкатных с горизонтальной нижней гранью балках прямоугольного сечения при симметричном загружении тремя и более сосредоточенными грузами или равномерно распределенной нагрузке (сечение с наибольшими нормальными напряжениями) находится от опоры с наименьшей высотой поперечного сечения на расстоянии

(6.1)
где l - пролет балки;
hоп - высота балки на опоре (для односкатной балки наименьшая);
hср - высота балки в середине пролета.
Высота расчетного сечения определяется по формуле
где i - уклон верхнего пояса балки.
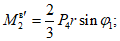
6.4. При расчете гнутоклееных балок постоянного сечения следует проверить радиальные растягивающие напряжения (поперек волокон) на криволинейном участке балки по клеевому шву по формуле

(6.3)
где M - изгибающий момент по середине пролета балки;
r - радиус кривизны гнутой части;
h - высота сечения;
bр - расчетная ширина сечения, равная с учетом непроклея 0,6b;
Rр90 - расчетное сопротивление древесины растяжению поперек волокон, равное 7 кгс/см
2 (см.
рис. 1).
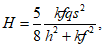
При расчете колонн или стен, на которые опираются гнутоклееные балки, следует учитывать передаваемый ими распор
H, который может быть определен исходя из расчетной схемы
рис. 7 по формуле

(6.4)
в которой

(6.5)
где q - расчетная нагрузка на 1 м балки;
h - высота колонн;
f - стрела подъема;
s - длина полуската;
Jб и Jк - моменты инерции балки и колонны в плоскости изгиба;
Eб и Eк - модули упругости материала балки и колонны.
Рис. 7. Расчетная схема рамы
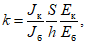
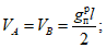
6.5. Скалывающие напряжения в дощатоклееных балках прямоугольного сечения по нейтральной оси (или в ближайшем к ней шве) определяются по формуле

(6.6)
где
Rск - расчетное сопротивление скалыванию древесины при изгибе по
табл. 8 главы СНиП II-В.4-71;
Qmax - поперечная сила на опоре балки;
hоп - высота балки на опоре;
bр - расчетная ширина сечения, равная с учетом непроклея 0,6b.
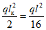
6.6. Прогиб клееных балок прямоугольного сечения переменной высоты определяется с учетом изменения сечения по пролету введением к моменту инерции по середине пролета коэффициента
kж по
табл. 7. Приведенный момент инерции сечения
Jпр =
kжJmax.
N п.п. | Расчетные схемы балок | Значение коэффициента kж |
1 | | |
2 | | |
3 | | |
| | |
5 | | |
| | |
| | |
Прогиб определяется от нормативной нагрузки и не должен превышать 1/300 пролета при отсутствии строительного подъема и 1/200 пролета при наличии строительного подъема.
6.7. Для обеспечения устойчивости плоской формы балок при изгибе они должны быть раскреплены элементами покрытия, присоединенными к горизонтальным связевым фермам или устойчивым стенам (см.
разделы 4 и
11 настоящего Руководства).
6.8. Клеефанерные балки с плоскими стенками рекомендуются для пролетов до 18 м. Высота их назначается равной
1/
8 -
1/
12 пролета. Для балок применяется древесина, удовлетворяющая требованиям
табл. 2 главы СНиП II-В.4-71, и многослойная фанера толщиной не менее 8 мм, удовлетворяющая требованиям
п. 2.8 главы СНиП II-В.4-71.
6.9. Пояса клеефанерных балок выполняются обычно из вертикальных слоев толщиной не более 4,5 см. В двутавровых балках каждый пояс состоит, как правило, из четырех (по два с каждой стороны) слоев шириной не более 100 мм, присоединяемых непосредственно к стенке с зазором между ними по 5 мм, и широких (на всю высоту пояса) слоев - с наружной стороны. В балках коробчатого сечения со стороны стенок также размещаются по два узких слоя. Допускается выполнять пояса балок коробчатого сечения из горизонтально расположенных слоев; при этом, если высота пояса больше 100 мм, в нем со стороны стенки должны быть устроены пропилы на глубину 30 - 50 мм так, чтобы к стенке прилегали слои шириной не более 10 см
(рис. 8).
Рис. 8. Конструкция поясов балок с фанерными стенками
1 - пояс балки; a <= 100 мм; 2 - фанерная стенка
По длине балки должны ставиться ребра жесткости из досок с шагом, равным 1/8 - 1/10 пролета, которыми балка делится на панели: в двутавровых балках снаружи, в коробчатых внутри, между стенками. В крайних панелях балки применяется более частое расположение ребер жесткости, в случае необходимости с дополнительными горизонтальными ребрами. Допускается применение в крайних панелях диагональных подкосов, что позволяет при проверке стенки на устойчивость принимать расчетное расстояние между ребрами равным 2/3 фактического. Допускается в двутавровых балках усилять опорное сечение двумя дополнительными листами фанеры, прикрепленными к поясам и ребрам жесткости, с наружной стороны.
Обычное расположение волокон рубашек фанеры - вдоль продольной оси балки; при этом вертикальные стыки стенки выполняются "на ус" длиной не менее 10 толщин стенки. Целесообразно совмещать стыки с расположением ребер; не допускается расположение стыка в пределах первой от опоры панели.
При расположении волокон рубашек фанеры перпендикулярно оси балки стыки выполняются впритык, совмещенными с ребрами жесткости.
6.10. Расчет клеефанерных балок с плоской стенкой при поперечном расположении волокон рубашки должен производиться как целого сечения без учета работы стенки на изгиб. Расчет клеефанерных балок с плоской стенкой при продольном расположении волокон рубашки производится как для цельного сечения с учетом совместной работы поясов из древесины и фанерной стенки и приведением момента инерции, статического момента и площади сечения по модулю упругости к материалу, в котором проверяются напряжения. Так, например, их величины, приведенные к материалу поясов (древесины), будут определяться по формулам:
для момента инерции

(6.7)
для статического момента

(6.8)
для площади сечения

(6.9)
где индексами "д" и "ф" обозначены величины, относящиеся к древесине и фанере.
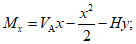
6.11. Расчетное сечение двускатных и односкатных балок с плоской фанерной стенкой при равномерно распределенной нагрузке не совпадает с серединой пролета, а смещено в сторону опоры с меньшей высотой сечения балки. Расстояние расчетного сечения от опоры находится по формуле

где

(6.10)
здесь

- высота балки на опоре между осями поясов;
i - уклон верхнего пояса балки.
6.12. Проверка нормальных напряжений в поясах из древесины и фанерной стенке балки производится в расчетном сечении на действие расчетного момента по формулам:
для сжатого пояса (см.
п. 4.4 настоящего Руководства)

(6.11)
для растянутого пояса

(6.12)
для фанерной стенки

(6.13)
где mф - коэффициент, учитывающий снижение сопротивления материала стенки растяжению в стыке (при соединении фанерной стенки "на ус" mф = 0,6), а величина приведенного момента сопротивления для симметричного сечения определяется по формуле

(6.14)
где
hx - высота балки в расчетном сечении, определяемая по
формуле (6.2);
Jд.x и Jф.x - моменты инерции пояса и стенки в расчетном сечении.
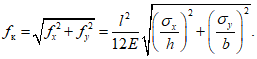
6.13. Касательные напряжения в швах между поясом и стенкой проверяются по формуле

(6.15)
где
Sд - статический момент пояса, равный

(

- высота опорного селения балки по осям поясов,
b - суммарная ширина пояса);
Qmax - поперечная сила от расчетной нагрузки на опоре;
hп - высота пояса, прилегающего к стенке (за вычетом величины зазора или пропила);
n - число вертикальных клеевых швов, связывающих стенку с поясом (в двутавровых балках с одной стенкой и в балках коробчатого сечения n = 2);
Jпр.ф - полный приведенный к материалу стенки момент инерции сечения на опоре, определяемый по формуле
6.14. В однопролетных свободно опертых клеефанерных балках при распределенной нагрузке или четырех и более сосредоточенных грузах фанерная стенка должна быть проверена в опорном сечении на срез и главные растягивающие напряжения по формулам:

(6.16)

(6.16
')
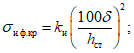
где

- суммарная толщина фанерных стенок.
6.15. В однопролетных свободно опертых клеефанерных балках, нагруженных одним, двумя или тремя сосредоточенными грузами, а также в консольных балках при любом загружении фанерная стенка должна быть проверена в опасном сечении, которое располагается в свободно опертых балках, нагруженных сосредоточенными силами, под ближайшей к опоре силой, а в консольных балках - над опорами, на главные растягивающие напряжения под углом

по формуле

(6.17)
где нормальные напряжения от изгиба определяются на уровне внутренней кромки поясов по формуле

(6.18)
а касательные напряжения принимаются на уровне нейтральной оси по
формуле (6.16) для
Q в расчетном сечении;

- расчетное сопротивление фанеры на растяжение под углом

находится по графику
рис. 3, а сам угол

- из зависимости
| | ИС МЕГАНОРМ: примечание. Нумерация формул дана в соответствии с официальным текстом документа. | |

(6.18)
6.16. Панели стенки балок, заключенные между дощатыми поясами и поперечными ребрами жесткости, представляют собой защемленные по всему контуру четырехугольные пластинки, которые помимо расчета на прочность проверяются на местную устойчивость с учетом соотношения сторон, марки фанеры и вида напряженного состояния; ребра жесткости рекомендуется ставить на расстоянии в опорной зоне не более hст (высоты стенки между внутренними гранями дощатоклееных поясов); в остальной части балки расстояние между ребрами может быть увеличено, но не более чем в два раза.
Толщину фанерной стенки рекомендуется принимать не менее 1/130 высоты стенки.
6.17. При расположении волокон в наружных слоях фанеры параллельно продольной оси балки стенка будет воспринимать нормальные и касательные напряжения и должна проверяться на местную устойчивость от их совместного действия в наиболее опасном сечении по формуле

(6.19)
Критические напряжения находятся из выражений:

(6.20)

(6.21)
когда a >= hст,

(6.22)
когда a < hст,
где a - расстояние между осями поперечных ребер жесткости;

- толщина фанерной стенки.
Коэффициенты
kи и

определяются по графикам
рис. 9 и
10 в зависимости от марки фанеры (ФБС или ФСФ), отношения

и ориентации наружных волокон стенки; причем если

, то для нахождения по графику

надо пользоваться обратным отношением

и кривой, соответствующей повернутому на 90° расположению наружных волокон стенки. Проверка стенки на местную устойчивость при совместном действии

и

не требуется, если

.
Рис. 9. Коэффициенты kи для определения краевых критических
напряжений изгиба
при расположении волокон
в наружных слоях фанеры вдоль пролета
1 - для бакелизированной фанеры марок ФБС и ФБСВ толщиной

;
2 - для березовой фанеры марок ФСФ и ФК, сорта В/ВВ
толщиной

Рис. 10. Коэффициенты
для определения
критических касательных напряжений 
1-А - для бакелизированной фанеры марок ФБС и ФБСВ толщиной
7 мм и более при направлении волокон наружных слоев фанеры
параллельно малой стороне панели; 1-Б - для бакелизированной
фанеры марок ФБС и ФБСВ толщиной 7 мм и более
при направлении волокон наружных слоев фанеры
перпендикулярно малой стороне панели; 2-А и 2-Б -
то же, для березовой фанеры марок ФСФК и ФК,
сорта В/ВВ толщиной 8 мм и более
6.18. В свободно опертых клеефанерных балках при распределенной нагрузке или при четырех и более сосредоточенных грузах проверка устойчивости стенки производится с учетом указаний
п. 6.17 настоящего Руководства в опорной панели только от действия касательных напряжений по формулам:
при


(6.23)
при


(6.23
')
6.19. Проверка на местную устойчивость стенки при действии только

не требуется, если

.
6.20. Фанерная стенка с расположением наружных волокон перпендикулярно оси балки рассчитывается на восприятие одних касательных напряжений и проверяется на местную устойчивость по тем же
формулам (6.23) и
(6.23'), но коэффициент

определяется по графику
рис. 10 с учетом изменения направления волокон.
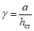
6.21. Прогиб клеефанерных балок вычисляется с учетом приведенной жесткости, определяемой по формуле

(6.24)
здесь
kж - коэффициент, учитывающий переменность сечения, определяемый в соответствии с
табл. 7 настоящего Руководства;

- коэффициент, учитывающий влияние касательных напряжений и определяемый по формуле
где

- высота сечения между осями поясов по середине пролета;
l - расчетный пролет балки.
6.22. Клеефанерные балки с волнистой стенкой рекомендуются для пролетов до 12 м. Ширина поясов балки принимается в пределах 2 - 2,85 их высоты, а высота балки назначается равной 1/10 - 1/15 пролета. Требования к материалу для поясов и стенки принимаются в соответствии с
п. 6.8 настоящего Руководства, минимальная толщина фанерной стенки допускается 6 мм.
6.23. Верхний и нижний пояса балок выполняются одинакового сечения из двух и более слоев плашмя, толщиной до 45 мм с зубчатыми стыками по длине, располагаемыми вразбежку. В каждом склеенном поясе выбирается продольный волнистый (синусоидального очертания) паз трапециевидного сечения, служащий для присоединения на клею фанерной стенки. Глубина паза принимается не менее

(

- толщина стенки), а ширина должна соответствовать толщине фанерной стенки; наклон сторон трапеции 1:10. Высоту волны рекомендуется принимать не менее
1/
3 ширины пояса, отношение высоты волны к ее длине назначается в пределах от 1/12 до 1/18. По длине балки размещают целое количество полуволн.
Фанерная стенка склеивается из фанерных листов в ленту нужной длины со стыкованием листов "на ус" и расположением волокон наружных шпонов перпендикулярно оси балки. Допускается расположение волокон наружных шпонов под углом 45° к оси балки; при этом листы стыкуются также под углом 45°.
Продольные кромки фанерной ленты срезаются в виде трапеции, соответствующей размерам пазов в поясах. Стенка склеивается клеем КБ-3 с поясами на специализированной заводской линии. Опорное сечение балок усиливается ребрами жесткости.
6.24. Проверка нормальных напряжений в растянутом поясе производится по формуле

(6.25)
где M - расчетный изгибающий момент;
Rр.д - расчетное сопротивление материала поясов растяжению;
Wрас - расчетный момент сопротивления сечения балки с волнистой стенкой из фанеры, вычисляемый по формуле
где

- момент сопротивления сечения балки без учета стенки;
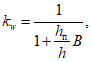
kw - коэффициент к моменту сопротивления, определяемый по формуле

(6.26)
где hп - высота пояса балки;
h - высота балки;
B - коэффициент податливости волнистой фанерной стенки, вычисляемый по формуле

(6.27)
где

- толщина стенки;
l - пролет балки;
Eд - модуль продольной упругости материала пояса;
Gф - модуль упругости материала стенки (фанеры) при сдвиге;
S - статический момент пояса шириной b относительно нейтральной оси, определяемый по формуле
в которой

- высота балки между осями поясов.
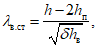
6.25. При определении прогиба балки с волнистой стенкой из фанеры момент инерции поперечного сечения вычисляют без учета стенки с умножением его на коэффициент kж, равный:

(6.28)
6.26. Проверка стенки на срез по нейтральной оси у опоры балки с учетом местной устойчивости производится по формуле

(6.29)
где Qmax - расчетная поперечная сила;
Sд - статический момент половины сечения балки относительно нейтральной оси (без учета стенки);

- толщина стенки;
Rср.Ф - расчетное сопротивление материала стенки (фанеры) срезу;

- коэффициент устойчивости волнистой фанерной стенки, вычисляется по формуле

(6.30)
где
k1 и
k2 - коэффициенты, принимаемые для фанеры по
табл. 8 и
9;

- гибкость волнистой фанерной стенки, определяемая по формуле

(6.31)
где h - высота балки;
hп - высота пояса балки;
hв - высота волны стенки;

- толщина стенки.
Число слоев фанеры | Значение коэффициента k1 для строительной березовой фанеры сорта |
АВ, В | ВВ |
3 | 1795 | 1615 |
5 | 1630 | 1467 |
7 | 1525 | 1372 |
Отношение hв/lв | Коэффициент k1 |
1/12 | 0,45 |
1/15 | 0,41 |
1/18 | 0,39 |
Если величина коэффициента устойчивости, вычисленная по
формуле (6.30), окажется больше 1, его значение принимается равным 1.
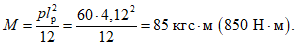
Пример 6.1. Запроектировать двускатную дощатоклееную из сосновых слоев балку под кровлю из утепленных панелей шириной 150 см с рулонным ковром с уклоном 1:15
(рис. 11).
Рис. 11. Двускатная дощатоклееная балка
I, II, III - категории древесины
Исходные данные
Пролет балки l = 15 м.
Нагрузки:
расчетная qр = 1500 кгс/м (15 кН/м);
нормативная qн = 1150 кгс/м (11,5 кН/м).
Материалы: сухие сосновые строганые доски, многослойная водостойкая фанера ФСФ сорта В/ВВ, клей КБ-3.
Расчетные сопротивления древесины:
на изгиб Rи = 130 кгс/см2 (13 МПа);
на скалывание Rск = 24 кгс/см2 (2,4 МПа).
Модуль упругости E = 105 кгс/см2 (104 МПа).
Подбор сечения
Опорная реакция

, а максимальный изгибающий момент по середине пролета

.
Принимаем ширину балки
b = 17 см. Высота балки на опоре из условия скалывания по
формуле (6.6) должна быть не менее
Минимальная высота балки по середине пролета должна определяться с учетом принимаемого по
табл. 18 главы СНиП II-В.4-71 коэффициента
mб = 0,8 по величине максимального изгибающего момента по формуле
Учитывая, что расчетным является сечение, расположенное ближе к опоре, принимаем
hср = 130 см, что соответствует

. Тогда при принятом уклоне кровли получим из
формулы (6.2) значение высоты балки на опоре
hоп = 130 - 50 = 80 см > 68 см.
Сечение с наибольшим нормальным напряжением находится по
формуле (6.1)
Высота расчетного сечения
hр, определенная по
формуле (6.2), равна 110,6 см ~= 111 см.
Балка склеивается из 29 слоев толщиной 45 мм. В соответствии с
табл. 2 главы СНиП II-В.4-71 в растянутой зоне четыре нижних слоя толщиной 18 см (~ 0,17
hр) принимаем из древесины I категории; на опоре верхний слой принимаем из древесины II категории, что в расчетном сечении составит 35 см, т.е. больше, чем 0,17
hр; средние слои принимаем из древесины III категории (см.
рис. 11). При ширине панелей покрытия 150 см расстояние между присоединяющими их связями, т.е. свободная длина верхней сжатой кромки балки будет не более 150 см. В соответствии с
п. 4.3 настоящего Руководства
т.е. имеет место сплошное раскрепление сжатой кромки, и проверки с учетом устойчивости плоской формы изгиба не требуется.
Величина расчетного изгибающего момента в расчетном сечении (x = 4,62 м) равна
Значение момента сопротивления в расчетном сечении, определяемого по
формуле (6.3), при
mб = 0,8 равно
а максимальные значения нормальных напряжений
Величина относительного прогиба определяется от нормативной нагрузки qн = 11,5 кгс/см при величине момента инерции в среднем сечении
и коэффициенте
что соответствует требованиям
п. 6.3 главы СНиП II-В.4-71 и
п. 6.6 настоящего Руководства.
Пример 6.2. Запроектировать двускатную клеефанерную балку коробчатого сечения под кровлю из утепленных панелей с рулонным ковром и уклоном 5%
(рис. 12).
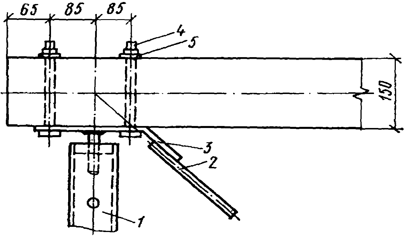
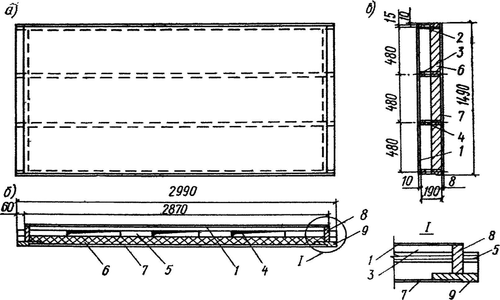
Рис. 12. Двускатная клеефанерная коробчатая балка
а - общий вид; б - деталь опорного сечения; в - поперечное
сечение; 1 - верхний пояс; 2 - нижний пояс; 3 - фанерные
стенки; 4 - промежуточные ребра жесткости; 5 - опорные ребра
жесткости; 6 - накладки; 7 - пропил
Исходные данные
Пролет балки по осям опор l = 12 м.
Нагрузки:
расчетная qр = 1200 кгс/м (12 кН/м);
нормативная qн = 920 кгс/м (9,2 кН/м).
Материалы: сухие сосновые строганые доски, многослойная водостойкая фанера ФСФ сорта В/ВВ, клей КБ-3.
Расчетные сопротивления древесины:
на сжатие Rс.д = 130 кгс/см2 (13 МПа);
на растяжение Rр.д = 100 кгс/см2 (10 МПа);
на изгиб Rи.д = 130 кгс/см2 (13 МПа).
Расчетные сопротивления фанеры:
на сжатие Rс.ф = 100 кгс/см2 (10 МПа);
на растяжение (при mф = 0,6) Rр.ф = 78 кгс/см2 (7,8 МПа);
на срез Rср.ф = 60 кгс/см2 (6 МПа);
на растяжение под углом 45° Rр.ф45 = 40 кгс/см2 (4 МПа);
на скалывание Rск.ф = 6 кгс/см2 (0,6 МПа).
Модуль упругости древесины Eд = 105 кгс/см2 (104 МПа).
Модуль упругости фанеры Eф = 0,85·105 кгс/см2 (0,85·104 МПа).
Коэффициент условий работы mф = 0,6 учитывает ослабление фанеры при стыковании ее "на ус" вдоль волокон наружных шпонов.
Подбор сечения
Высоту поперечного сечения балки в середине пролета принимаем равной hср = l/10 = 12/10 = 1,2 м. Полученный размер не выходит за пределы стандартной ширины фанерного листа. При заданном уклоне кровли высота сечения на опоре будет
Толщину фанерной стенки принимаем равной 0,01
hср, т.е.

. Ширину поясов принимаем равной
bп = 15 см, а высоту верхнего и нижнего пояса одинаковой, равной 14 см (четыре слоя по 3,5 см каждый). Опасное сечение двускатной клеефанерной балки может быть определено по
формуле (6.10)
в которой
откуда
Высота балки в расчетном сечении в соответствии с
формулой (6.2) будет
hx = hоп + ix = 0,9 + 0,05·5,05 = 1,15 м,
а расчетный наибольший момент
Для восприятия этого изгибающего момента необходим момент сопротивления (приведенный к материалу фанерной стенки)
которому соответствует приведенный момент инерции
Необходимую величину момента инерции поясов находим из формулы
Момент инерции деревянных поясов высотой 14 см равен:
Проверка прочности поясов на действие нормальных напряжений при изгибе производится в расчетном сечении с моментом сопротивления, приведенным к материалу деревянных поясов:
Тогда растягивающие (сжимающие) напряжения в поясах от изгиба будут:
а растягивающее напряжение в фанерной стенке
Проверка устойчивости верхнего сжатого пояса балки из плоскости изгиба. По балкам уложены кровельные панели шириной 150 см, прикрепленные в торцах к верхнему поясу (см.
пример 6.1), откуда его свободная длина из плоскости балки
lр = 150 см, а гибкость из плоскости изгиба
которой в соответствии с
п. 4.3 главы СНиП II-В.4-71 соответствует коэффициент продольного изгиба

. Тогда с учетом этого коэффициента сжимающие напряжения в древесине пояса
т.е. меньше расчетного сопротивления древесины на сжатие Rс.д = 130 кгс/см2 (13 МПа), и устойчивость пояса обеспечена.
Проверка фанерной стенки в опорной панели. Расстояние между осями ребер жесткости в опорной панели a = 60 см; расчетная высота стенки
и условие
a <=
hст для опорной панели выполняется, а так как

, то проверка фанерной стенки на местную устойчивость не требуется. Ограничиваемся проверкой прочности стенки на срез и главных растягивающих напряжений согласно
п. 6.14 настоящего Руководства в опорном сечении
и для вычисления приведенных к материалу фанерной стенки статического момента и момента инерции сечения найдем:
статический момент половины сечения фанерной стенки
момент инерции фанерной стенки
статический момент одного деревянного пояса
момент инерции деревянных поясов
Тогда статический момент опорного сечения балки, приведенный к материалу стенки,
а момент инерции опорного сечения балки, приведенный к материалу стенки,
что менее 60 кгс/см2 (6 МПа).
Для опорного сечения

, и, следовательно, при проверке главных растягивающих напряжений

и

[см.
формулу (6.16')]. Необходимо, кроме того, проверить прочность клеевого соединения стенки с поясом на сдвиг [см.
формулу (6.15)]:
Определение прогиба балки в середине пролета. Приведенная жесткость балки определяется по
формуле (6.24)
где суммарная жесткость сечения в середине пролета равна:
kж - коэффициент, учитывающий влияние переменной высоты балки на ее жесткость, определяем по
табл. 7 настоящего Руководства:

- коэффициент, учитывающий влияние касательных напряжений в фанерной стенке на жесткость балки, определяем по формуле
Подставив значения этих коэффициентов, получим приведенную жесткость
при которой относительный прогиб балки от нормативной нагрузки будет равен:
т.е. удовлетворяет требованиям
п. 6.3 главы СНиП II-В.4-71.
Для уменьшения вредного влияния на работу балки более деформативного по сравнению с монолитным зубчатым стыком на клею лобового упора в коньковом узле верхнего пояса необходимо обеспечивать тщательную приторцовку его с промазкой клеем и ставить боковые накладки из фанеры на клею или выполнить верхний пояс гнутоклееным.
Пример 6.3. Запроектировать клеефанерную балку с волнистой стенкой под рулонную кровлю по утепленным панелям шириной 150 см.
Исходные данные
Пролет балки в осях опор l = 8,9 м.
Нагрузки:
нормативная qн = 615 кгс/м (6,15 кН/м);
расчетная qр = 800 кгс/м (8 кН/м).
Материалы: сухие сосновые доски, водостойкая фанера марки ФСФ сорта В/ВВ, клей КБ-3.
Расчетные сопротивления древесины:
на растяжение Rр = 100 кгс/см2 (10 МПа);
на смятие поперек волокон Rсм = 24 кгс/см2 (2,4 МПа);
на скалывание Rск = 24 кгс/см2 (2,4 МПа).
Расчетное сопротивление фанеры на срез Rср.ф = 65 кгс/см2 (6,5 МПа).
Модули упругости:
древесины Eд = 105 кгс/см2 (104 МПа);
фанеры при сдвиге Gф = 7500 кгс/см2 (750 МПа).
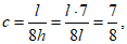
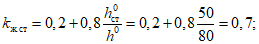
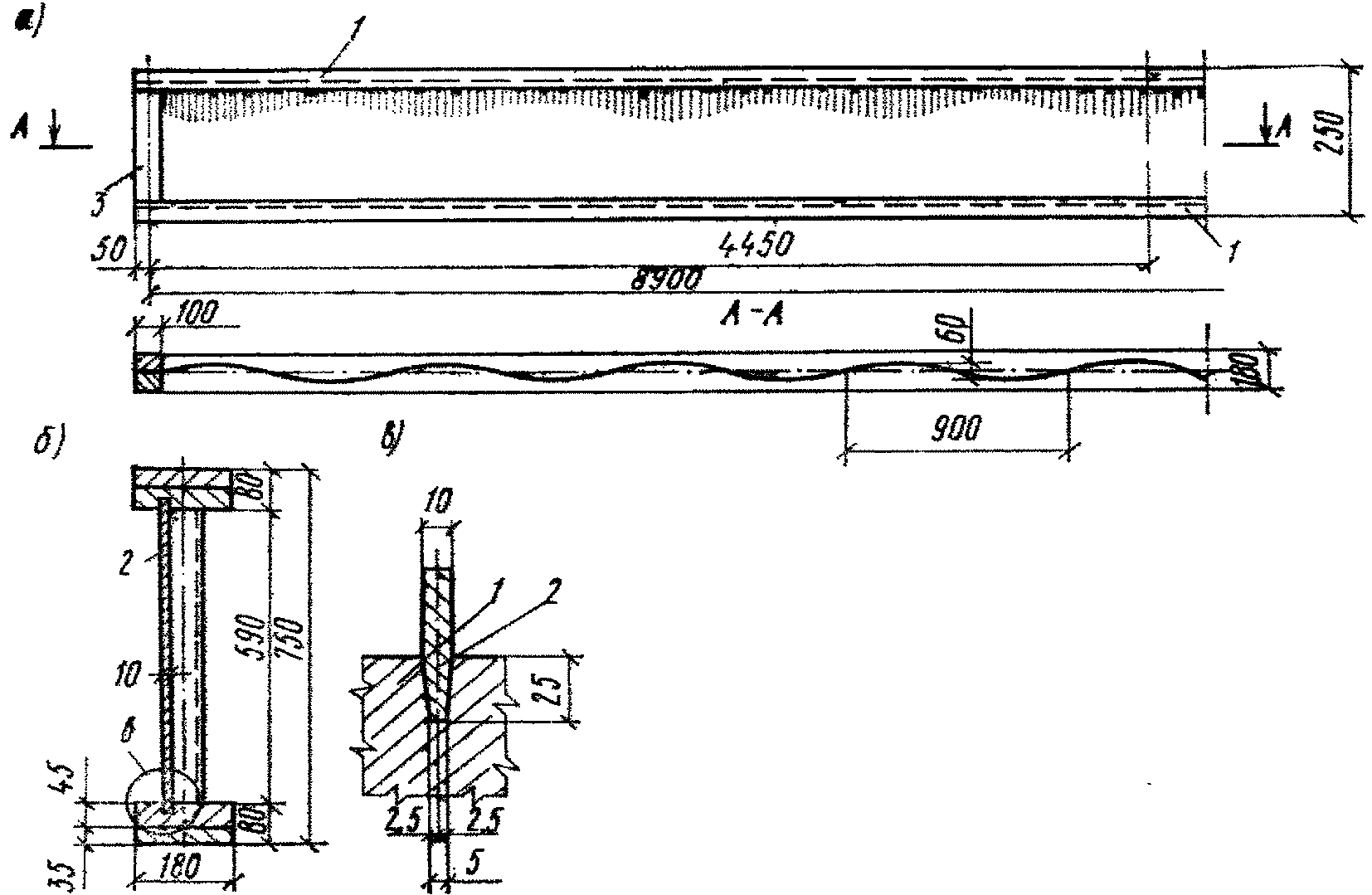
Балка постоянной высоты двутаврового сечения
(рис. 13). Верхний и нижний пояса одинаковые и склеиваются из двух слоев толщиной 45 и 35 мм (
hп = 8 см) и шириной 180 мм. Стенка балки волнистой формы принята из фанеры толщиной

, длина волны стенки
lв = 900 мм, высота волны
hв = 60 мм. В опорных сечениях поставлены ребра жесткости из брусков шириной 100 мм. Для подбора сечения высоту балки принимаем равной
h = 75 см, что составляет 1/12 пролета.
Рис. 13. Клеефанерная балка с волнистой стенкой
а - общий вид; б - поперечное сечение; в - деталь;
1 - пояса балки; 2 - волнистая фанерная стенка;
3 - опорное ребро жесткости
Расчетный изгибающий момент в середине пролета балки
Расчетная поперечная сила на опоре балки
Момент инерции поперечного сечения без учета стенки
а момент сопротивления сечения
Статический момент пояса относительно нейтральной оси
Коэффициент податливости волнистой фанерной стенки определяем по
формуле (6.27)
Вычисляем значение коэффициента к моменту сопротивления по
формуле (6.26)
Тогда расчетный момент сопротивления сечения в соответствии с
п. 6.24 настоящего Руководства будет:
Wр = Wkw = 0,921·8660 = 7975 см3.
Проверка напряжений в поясах:
т.е. прочность обеспечивается. Расчет волнистой фанерной стенки на срез с учетом местной устойчивости производится по
формуле (6.29) настоящего Руководства. Предварительно определяем для семислойной фанеры сорта
B по
табл. 8 настоящего Руководства значение коэффициента
k1 = 1525 и при отношении высоты волны к ее длине
hв/
lв = 1/15 по
табл. 9 настоящего Руководства - значение коэффициента
k2 = 0,41. Тогда
k1k2 = 1525·0,41 = 625.
В соответствии с
п. 6.26 настоящего Руководства коэффициент устойчивости волнистой стенки принимается равным

.
Проверка прочности волнистой стенки с учетом местной устойчивости производится по
формуле (6.29):
где Q - поперечная сила на опоре;
Sд - статический момент пояса относительно нейтральной оси:
Jд - момент инерции сечения;
Проверка прочности клеевого соединения стенки с поясом из условия работы его на скалывание при расчетной ширине, равной двум глубинам заделки стенки в паз (2·2,5 = 5 см), и коэффициенте, учитывающем непроклей, равном 0,6, т.е. bр = 5·0,6 = 3 см:
Проверка прогиба балки производится с учетом коэффициента, определяемого по
формуле (6.28):
Тогда относительный прогиб балки от нормативной нагрузки будет
что удовлетворяет требованиям
п. 6.3 главы СНиП II-В.4-71.
Проверка опорной площадки балки на смятие. Длина опорной площадки принята равной 10 см, а ширина ее равна ширине балки - 18 см, откуда опорная площадь
F = 10·18 = 180 см
2, а

7. АРКИ. ОСНОВНЫЕ ПОЛОЖЕНИЯ ПО ПРОЕКТИРОВАНИЮ
7.1. Дощатоклееные деревянные арки представляют собой пакет склеенных по пласти гнутых слоев. Поперечное сечение арок рекомендуется принимать прямоугольным и постоянным по всей длине. Другие виды сечений допускается применять при надлежащем технико-экономическом обосновании. Рекомендуются следующие основные типы арок:
пологие - двухшарнирные и трехшарнирные кругового очертания;
высокие - стрельчатые трехшарнирные из элементов кругового очертания.
7.2. Клееные деревянные арки рекомендуется применять при пролетах от 12 до 60 м и более.
Для пологих арок стрела их подъема принимается равной не менее 1/6l (пролета) и только при соответствующем технико-экономическом обосновании может быть уменьшена до 1/7l - 1/8l. Стрела подъема высоких арок принимается обычно в пределах 1/3l - 2/3l. Высоту поперечного сечения арок всех типов рекомендуется назначать от 1/30l до 1/50l. Толщина слоев для изготовления арок при радиусе кривизны до 15 м принимается не более 4 см, а при большем радиусе - не более 5 см.
7.3. В соответствии с
п. 6.24 главы СНиП II-В.4-71 распор арок воспринимается фундаментами, железобетонными или каменными несущими конструкциями здания, а также стальными затяжками, которые в случае необходимости могут размещаться в конструкции пола или перекрытия.
7.4. Опирание арок на фундаменты или несущие конструкции здания может осуществляться:
а) непосредственным упором части торцовой поверхности, центрированной по оси арки; при этом фиксация опорных участков арки в проектном положении осуществляется с использованием специальных элементов (пластин, уголков, швеллеров), заделанных в опорные конструкции;
б) через стальной шарнир.
Опорные узлы арок со стальными затяжками выполняются в виде стального башмака, присоединенного к затяжке. В арках с затяжками пролетом более 30 м одна из опор устраивается подвижной. Сопряжение элементов трехшарнирной арки в коньке может быть выполнено:
а) непосредственным упором части сечения, центрированной по оси арки;
б) через стальной шарнир;
в) через цилиндрический шарнир из древесины твердых пород.
При всех вариантах сопряжения должны быть поставлены боковые накладки - деревянные на болтах или стальные на глухарях.
7.5. Рекомендуемые типы арок могут применяться в зданиях различного назначения с утепленными или неутепленными ограждающими конструкциями из панелей или листовых материалов.
7.6. Расчет арок производится по правилам строительной механики, причем распор пологих двухшарнирных арок при стреле подъема не более
1/
4 пролета разрешается определять в предположении наличия шарнира в ключе (глава СНиП II-В.4-71,
п. 6.23).
7.7. Предпочтение следует отдавать двухшарнирным аркам. Пролеты их, исходя из условий заводского изготовления и транспортирования, принимаются не более 30 м. Трехшарнирные арки рекомендуются при больших пролетах, а также в тех случаях, когда условия заводской технологии или транспортирования не позволяют применить целые двухшарнирные арки.
7.8. Геометрическая ось высоких стрельчатых трехшарнирных арок определяется из условий обеспечения заданного внутреннего габарита помещения; при этом стрела подъема полуарок принимается не менее 1/15 длины хорды полуарки (расстояние между опорным и коньковым шарнирами).
7.9. Расчет арок на прочность производится при следующих сочетаниях нагрузок:
а) в пологих арках:
расчетная постоянная и временная (снеговая) нагрузка на всем пролете арки и временные нагрузки от подвесного оборудования;
расчетная постоянная нагрузка на всем пролете арки, односторонняя временная (снеговая) нагрузка на половине пролета и временная нагрузка от подвесного оборудования.
Примечание. В покрытиях с фонарями или при наличии соседних пролетов сооружения расположение снеговой нагрузки принимается с учетом
табл. 5 главы СНиП II-6-74 "Нагрузки и воздействия";
б) в высоких стрельчатых арках:
расчетная постоянная и временная (снеговая) нагрузки на всем пролете и временная нагрузка от подвесного оборудования;
расчетная постоянная нагрузка на всем пролете арки, временная (снеговая) на половине пролета арки или части его в соответствии с главой
СНиП II-6-74 и временная нагрузка от подвесного оборудования;
ветровая нагрузка (в сочетании с постоянными и временными нагрузками).
Примечания: 1. При одновременном учете снеговой, ветровой и постоянной нагрузок к двум первым вводится коэффициент сочетания
nс = 0,9 (
п. 1.12 главы СНиП II-6-74).
2. Расположение временной нагрузки от подвесного оборудования принимается в соответствии с заданием на проектирование.
7.10. Расчетным сечением арки для каждого сочетания нагрузок является сечение с наибольшим изгибающим моментом, для которого определяется также нормальная сила. Положение расчетного сечения определяется аналитически или по эпюре изгибающих моментов для всей арки, а проверка нормальных напряжений в нем от сжатия с изгибом производится в соответствии с
пп. 4.4 -
4.6 настоящего Руководства.
| | ИС МЕГАНОРМ: примечание. Нумерация пунктов дана в соответствии с официальным текстом документа. | |
7.1. Устройство и расчет связей, раскрепляющих арки, производится в соответствии с указаниями
раздела 11 настоящего Руководства. В арках прямоугольного сечения и постоянной высоты проверка на скалывание по клеевому шву не производится.
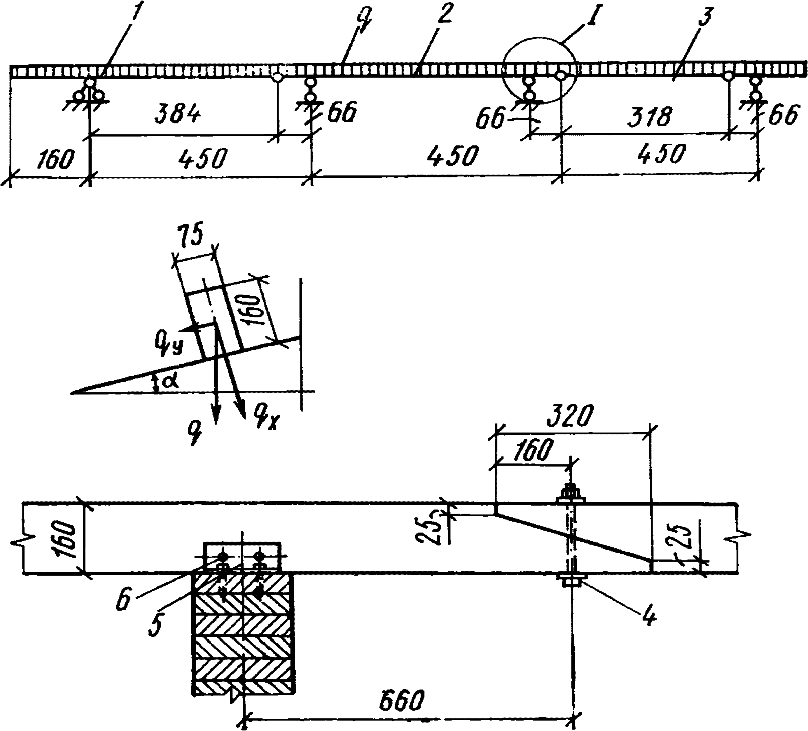
Пример 7.1. Запроектировать трехшарнирную дощатоклееную арку для покрытия отапливаемого спортивного здания.
Исходные данные
Арки прямоугольного сечения пролетом 60 м при шаге 6 м устанавливаются на железобетонные опоры. По архитектурным соображениям стрела подъема арок принята равной 11 м; т.е. 1/5,5 пролета, что удовлетворяет требованиям
п. 6.24 главы СНиП II-В.4-71 и
п. 7.2 настоящего Руководства. Район строительства III.
Ограждающая часть покрытия состоит из теплых кровельных панелей размером 6 x 1,5 м, укладываемых непосредственно на арки. По панелям устраивается кровля из оцинкованного железа. Продольная устойчивость покрытия обеспечивается деревянными ребрами панелей и стальными диагональными связями, которые расположены в торцах здания и через 24 м вдоль здания. Деревянные ребра панелей выполняют функции продольных связей между арками, поэтому должно быть предусмотрено их надежное прикрепление к верхней грани арок. Поперечный разрез здания показан на
рис. 14. Геометрические размеры оси арки. При расчетном пролете
l = 60 м и стреле подъема ее
f = 11 м радиус арки находим по формуле
Рис. 14. Поперечный разрез здания
Центральный угол дуги полуарки

может быть определен из выражения
откуда

. Тогда центральный угол дуги арки

, длина дуги арки
Координаты точек оси арки y, вычисленные по формуле
где
D =
r -
f = 46,41 - 11 = 35,41 м, приведены в
табл. 10.
Ось | Координаты, м |
x | 0 | 1 | 2 | 3 | 5 | 7 | 10 | 15 | 20 | 25 | 30 |
y | 0 | 0,79 | 1,59 | 2,29 | 3,69 | 4,88 | 6,45 | 8,49 | 9,89 | 10,69 | 11 |
Постоянные расчетные нагрузки на 1 м
2 горизонтальной проекции покрытия определяются с введением коэффициента перегрузки
n в соответствии с
пп. 2.1 и
5.7 главы СНиП II-6-74 и коэффициента

, учитывающего разницу между длиной дуги арки и ее проекцией. Сбор постоянных нагрузок приведен в
табл. 11.
Наименование элемента | Нормативная нагрузка, кгс/м2 (кН/м2) | n | k | Расчетная нагрузка, кгс/м2 (кН/м2) |
Панель покрытия: | | | | |
асбестоцементный лист | 17,5 (0,175) | 1,1 | 1,1 | 21,2 (0,212) |
каркас и утеплитель | 34 (0,34) | 1,2 | 1,1 | 44,8 (0,448) |
Кровля - сталь | 4 (0,04) | 1,1 | 1,1 | 4,9 (0,049) |
Арка | 36 (0,36) | 1,1 | 1,1 | 43,6 (0,436) |
Подвесное оборудование | - | - | - | 3 (0,03) |
Итого | 91,5 (0,915) | - | - | 117,5 (1,175) |
Вес снегового покрова для III района
p0 = 100 кгс/м
2 (1 кН/м
2) горизонтальной проекции; отношение нормативного собственного веса покрытия к весу снегового покрова

; по табл.
п. 5,
7 главы СНиП II-6-74 коэффициент перегрузки
n = 1,45. Коэффициент
c1, учитывающий форму покрытия, в соответствии с
табл. 7 главы СНиП II-6-74 будет равен:
Тогда временная равномерно распределенная расчетная снеговая нагрузка на 1 м2 горизонтальной проекции будет равна:
p1 = p0nc = 100·1,45·0,682 = 99 кгс/м2 (0,99 кН/м2).
При снеговой нагрузке, распределенной по треугольнику, коэффициент

по интерполяции и
p2 =
p0nc2 = 100·1,45·2,1 = 305 кгс/м
2 (3,05 кН/м
2).
Расчетные нагрузки, приходящиеся на 1 м горизонтальной проекции арки, при шаге арок 6 м будут:
от собственного веса покрытия qр = 117,5·6 = 705 кгс/м = 0,7 тс/м (7 кН/м);
от снега

;
p2р = 305·6 = 1830 кгс/м = 1,83 тс/м (18,3 кН/м).
Расчетные сопротивления древесины сжатию и изгибу Rс = Rи = 130 кгс/см2 (13 МПа); скалыванию вдоль волокон Rск = 24 кгс/см2 (2,4 МПа).
Статический расчет арки
Схемы нагрузок показаны на
рис. 15. Расчет арки производим на следующие сочетания нагрузок:
постоянной и снеговой по всему пролету;
постоянной по всему пролету и снеговой равномерно распределенной на половине пролета;
постоянной по всему пролету и снеговой, распределенной по треугольнику на половине пролета (в соответствии с
п. 5.3 главы СНиП II-6-74).
Рис. 15. Схема загружения арки
Определение усилий при снеговой равномерно
распределенной нагрузке
Находим опорные реакции от единичной нагрузки 1 т/м (1 кН/м):
а) равномерно распределенной по всему пролету:
горизонтальная (распор):
б) равномерно распределенной на полупролете (слева) вертикальные:
горизонтальная (распор):
Значения
Mx,
Nx и
Qx от распределенной единичной нагрузки
p = 1 по всему пролету, приведенные в
табл. 12, вычислены по формулам:
Координаты оси арки | Значение величины |
x, м | y, м | | Mx, тс·м (кН·м) | Qx, тс (кН) | Nx, тс (кН) |
0 | 0 | 40°15' | 0,0 | -3,6 | -50,7 |
5 | 3,69 | 32°30' | -13,8 | -1,7 | -48 |
10 | 6,45 | 25°30' | -14,5 | 0,3 | -44,6 |
15 | 8,49 | 19°10' | -10,6 | 0,5 | -43,6 |
20 | 9,89 | 12°30' | -5,5 | 1 | -42,2 |
25 | 10,69 | 6°10' | -0,8 | 0,5 | -41,3 |
30 | 11 | 0 | 0 | 0 | -41 |
Значения
Mx;
Nx и
Qx от единичной нагрузки
p = 1 на половине пролета арки, приведенные в
табл. 13, вычислены по формулам:
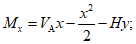
на участке

на участке

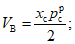
Mx = VB(l - x) - Hy;
Координаты от арки | Значение величины |
x, м | y, м | | Mx, тс·м (кН·м) | Qx, тс (кН) | Nx, тс (кН) |
0 | 0 | 40°15' | 0 | 3,9 | -30,2 |
5 | 3,69 | 32°30' | 24 | 3,7 | -26,7 |
10 | 6,45 | 25°30' | 43 | 2,5 | -23,9 |
15 | 8,49 | 19°10' | 50 | 0,5 | -23,8 |
20 | 9,89 | 12°30' | 47 | -2 | -20,7 |
25 | 10,69 | 6°10' | 31 | -4,7 | -20,7 |
30 | 11 | 0 | 0 | -7,5 | -20,5 |
35 | 10,69 | 6°10' | -31 | -5,3 | -21,2 |
40 | 9,89 | 12°30' | -53 | -2,9 | -21,8 |
45 | 8,49 | 19°10' | -62 | -0,5 | -21,8 |
50 | 6,45 | 25°30' | -57 | 2 | -22,7 |
55 | 3,69 | 32°30' | -38 | 4,5 | -21,3 |
60 | 0 | 40°15' | 0 | 7,6 | -20,5 |
Расчетные значения изгибающих моментов в арке при различных сочетаниях нагрузок приведены в
табл. 14, из которой видно, что наиболее невыгодным оказывается сочетание постоянной нагрузки на всем пролете с временной на полупролете.
Схема загружения | Опорные реакции | Изгибающие моменты, тс·м (кН·м), для точек с абсциссой, м |
V, тс (кН) | H, тс (кН) | 5 | 10 | 15 | 20 | 25 | 30 | 35 | 40 | 45 | 50 | 55 |
1 | 39 (390) | 53,3 (533) | -17,9 (-179) | -18,9 (-189) | -13,8 (-138) | -7,2 (-72) | -1 (-10) | 0 | -1 (-10) | -7,2 (-72) | -13,8 (-138) | -18,9 (-189) | -17,9 (-179) |
2 | 34,5 (345) | 41 (410) | 4,9 (49) | 15,5 (155) | 23,2 (232) | 24,5 (245) | 18,2 (182) | 0 | -19,6 (-196) | -35,5 (-355) | -44,7 (-447) | -44,5 (-445) | -32,6 (-326) |
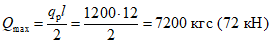
Максимальный изгибающий момент возникает на расстоянии 15 м от правой опоры (в случае временной нагрузки слева) и составляет -44,7 тсм (-447 кНм). Для того же сочетания нагрузок в этом сечении нормальная сжимающая сила равна:
Nрас = Ng + Np = 43,6·0,7 + 21,8·0,6 = 43,6 тс (436 кН).
Определение усилий при снеговой нагрузке, распределенной
по треугольнику на половине пролета арки
Рис. 16. Расчетная схема при втором варианте
снеговой нагрузки
Определяем изгибающие моменты для сечений, находящихся от опор на расстоянии 10 и 15 м, т.е. при x = 10, 15, 45 и 50 м, для снеговой расчетной нагрузки p2р = 1,83 тс/м (18,3 кН/м).
Опорные реакции:
вертикальные
горизонтальная (распор)
Изгибающие моменты в арке определяются из выражения

, где

- момент в рассматриваемом сечении простой балки, равный
при

при

Вычисление изгибающих моментов от снеговой нагрузки по треугольнику на половине пролета и постоянной нагрузки приведено в
табл. 15 (значения моментов от постоянной нагрузки получены ранее).
Координаты, м | Изгибающие моменты, тс·м (кН·м), при нагрузке |
x | y | односторонней треугольной | постоянной | суммарной |
M0 | Hy | Mр | Mg | Mрасч = Mg + Mр |
| | ИС МЕГАНОРМ: примечание. Значение в графе "M0" дано в соответствии с официальным текстом документа. | |
|
50 | 6,45 | +1,7 (+1470) | -80,2 (-802) | +66,8 (+668) | -10,3 (-103) | +56,5 (+565) |
45 | 8,49 | 171,4 (1714) | -105,4 (-1054) | +66 (+660) | -7,42 (-74,2) | +58,58 (+585,6) |
15 | 8,49 | +68,4 (684) | -105,4 (1054) | 37 (370) | -7,42 (-74,2) | -44,42 (-444,2) |
10 | 6,45 | +45,6 (456) | -80,2 (802) | -34,6 (-346) | -10,3 (-103) | -45,9 (-459) |
Сопоставление изгибающих моментов от снеговой нагрузки обоих вариантов приведено в
табл. 16, из которой следует, что расчетным является одностороннее загружение снеговой нагрузкой по треугольнику.
x, м | Изгибающие моменты, тс·м (кН·м), при нагрузке |
постоянной и односторонней треугольной | постоянной во всем пролете и снеговой равномерной в половине пролета |
50 | +56,5 (565) | +15,5 (+155) |
45 | +58,58 (+585,8) | +23,2 (+232) |
15 | -44,42 (-444,2) | -44,7 (-447) |
10 | -45,9 (-459) | -44,5 (-445) |
Расчетные моменты:
положительный M45 = +58,58 тс·м (585,8 кН·м);
| | ИС МЕГАНОРМ: примечание. Текст дан в соответствии с официальным текстом документа. | |
отрицательный M10 = -45,9 тс·м (459 кН·м).
Для этих сечений находим нормальные силы по формуле:
где Q0 - поперечная сила в простой балке при данном загружении.
От треугольной снеговой нагрузки:
при x = 10 м
при x = 45 м
От собственного веса
| | ИС МЕГАНОРМ: примечание. Формула дана в соответствии с официальным текстом документа. | |
Полное значение

:
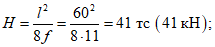
При этом загружении распор равен:
H = 12,45 + 0,7·41 = 41,15 тс (411,5 кН).
Вычисление нормальных сил в расчетных сечениях приведено в
табл. 17.
Расчетное сечение, м | | | | H | | Q0 | | |
10 | 25°30' | 0,43 | 0,9 | 41,15 | 37,2 | 18,56 | 8 | 45,2 |
45 | 19°10' | 0,328 | 0,945 | 41,15 | 38,8 | 19,9 | 6,52 | 45,42 |
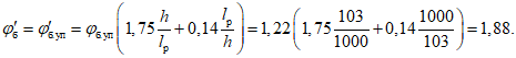
Подбор сечения арки
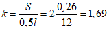
Принимаем сечение арки из 31 слоя толщиной 4,5 см и шириной 26 см. Тогда высота сечения
h = 139,5 см, что составляет
1/
43 пролета, т.е. соответствует рекомендациям
п. 7.2 настоящего Руководства. Отношение радиуса оси арки к толщине слоя равно

, т.е. в соответствии с
табл. 12 главы СНиП II-В.4-71, коэффициент
mгн = 1. Покрытие из панелей шириной 150 см раскрепляет верхнюю кромку арки по всей длине. Максимальный шаг связей

, т.е. в соответствии с
п. 4.2 настоящего Руководства имеет место сплошное раскрепление при положительном моменте сжатой кромки, а при отрицательном - растянутой. В соответствии с указаниями
п. 4.5 настоящего Руководства расчет арки на совместное действие нормальной силы и положительного момента должен выполняться на прочность по
формуле (20) главы СНиП II-В.4-71:

Расчет на прочность сечения с отрицательным моментом не требуется, так как он меньше положительного, достаточно проверить это сечение на устойчивость плоской формы изгиба при совместном действии нормальной силы и изгибающего момента по
формуле (4.10) п. 4.4 настоящего Руководства, в которой

и

должны заменяться на

и

:
где F = bh - площадь поперечного сечения, равная 26 x 139,5 = 3630 см2;
mб - коэффициент, определяемый по
табл. 18 главы СНиП II-В.4-71 и равный 0,8 для сечения высотой более 120 см;
Wx - момент сопротивления сечения в плоскости изгиба, равный
Для определения коэффициента

необходимо вычислить предварительно:
расчетную длину полуарки
гибкость полуарки
Ввиду того, что нормальные силы в обоих расчетных сечениях почти равны, коэффициент

будет также одинаков. По
формуле (21) главы СНиП II-В.4-71 найдем
Для сечения x = 45 м
Подставив найденные значения в приведенную выше
формулу (20) главы СНиП II-В.4-71, получим
т.е. прочность сечения достаточна.
Для сечения x = 10 м
Для определения коэффициентов

и

воспользуемся
формулами (4.12) и
(4.11) настоящего Руководства. Найдем предварительно гибкость полуарки из плоскости изгиба:
| | ИС МЕГАНОРМ: примечание. Формула дана в соответствии с официальным текстом документа. | |
Находим величину

по
формуле (4.8) настоящего Руководства при величине коэффициента
k = 160 (см.
табл. 6 настоящего Руководства):
Подставив найденные значения в приведенную выше формулу, получим
Таким образом, условие устойчивости выполнено и сечение достаточно без раскрепления сжатой кромки. В соответствии с
п. 11.5 а настоящего Руководства вертикальная связь устраивается только у конькового шарнира. Общий вид и сечения арки показаны на
рис. 17.
Рис. 17. Общий вид и сечения арки
Расчет узлов арки
Определим предварительно опорные реакции, нормальные и поперечные силы в узлах при различных вариантах загружения. Значения опорных реакций приведены в
табл. 18.
N п.п. | Схема загружения | Опорные реакции, тс |
VA | VB | H |
1 | | 39 | 39 | 53,3 |
2 | | 43 | 25,56 | 41,1 |
3 | | 34,5 | 25 | 40,9 |
Нормальные и поперечные силы в опорном сечении и коньковом шарнире для этих же вариантов загружения приведены в
табл. 19, из которой видно, что опорный и коньковый узлы следует рассчитывать на нормальную силу по первой схеме загружения и на поперечную силу по второй схеме загружения.
Сечение | | Нормальные и поперечные силы, тс (кН) |
H | Q0 | N | Q |
Опорное  | 1 | 53,3 (553) | 39 (390) | 65,9 (659) | 2,5 (25) |
2 | 41,1 (411) | 43 (430) | 58,9 (589) | 8,1 (81) |
3 | 40,9 (409) | 34,5 (345) | 53,5 (535) | 1,7 (17) |
В коньковом шарнире  | 1 | 53,3 (533) | 0 | 53,3 (533) | 0 |
2 | 41,1 (411) | 4,56 (45,6) | 41,1 (411) | 4,56 (45,6) |
3 | 40,9 (409) | 4,5 (45) | 40,9 (409) | 4,5 (45) |
1 - стальной шарнир; 2 - боковые ребра опорного башмака;
3 - оголовок; 4 - гнутый профиль; 5 - среднее ребро башмака;
6 - болты; 7 - опорная плита; 8 - накладка (конструктивно)
Расчетные усилия (см.
табл. 19). Нормальная сила
N = 65,9 тс (659 кН), поперечная сила
Q = 8,1 тс (81 кН).
Материалы башмака:
шарнира - сталь класса С 38/23; гнутый профиль из трубы диаметром 50 мм с толщиной стенки 5 мм по ГОСТ 8732-70; остальные элементы из стали ст. 3.
Проверка напряжений в шарнире на смятие производится по формуле п. 4 главы СНиП II-В.3-72:
где A = Nр = 65,9 тс (659 кН);
rш - радиус шарнира;
lш - длина шарнира 18 см;
Rсм.м = 1600 кгс/см2 (160 МПа) - расчетное сопротивление местному смятию при плотном касании (табл. 2 главы СНиП II-В.3-72) для стали класса С 28/23.
Требуемый радиус шарнира
Конструктивно принимаем стержень d = 40 мм. При этом для гнутого профиля башмака принимаем половину трубы диаметром 50 мм с толщиной стенки 5 мм по ГОСТ 8732-70.
Проверка торцового упора арки на смятие. Величина напряжений смятия при действии расчетной продольной силы не должна превышать расчетного сопротивления смятию
Rсм = 130 кгс/см
2 (13 МПа). Усилие от шарнира передается на башмак длиной
lб = 40 см через гнутый профиль двумя боковыми ребрами и средним ребром (см.
рис. 18,
19 и
20). Площадь смятия торца арки под башмаком
Fсм = 22·40 = 880 см2;
Рис. 19. К расчету ребер башмака
Рис. 20. К расчету ребер башмака
Площадь смятия ребер под гнутым профилем (см.
рис. 20)
Требуемая толщина ребер башмака
Принимаем ребра толщиной 20 мм.
В пределах башмака оголовок работает как плита, опертая по трем сторонам и защемленная короткой стороной, с размерами в плане 20 x 15 см (см.
рис. 20). Для этого соотношения размеров максимальный изгибающий момент определяем по
таблицам А.С. Калманка:
Mmax = 0,055pl2 = 0,055·74·152 = 915 кгс/см (9,15 кН/см).
Требуемый момент сопротивления
откуда
Принимаем лист толщиной 16 мм. На болты, присоединяющие оголовок, действуют усилия, вызываемые поперечной силой при второй схеме загружения
(рис. 21)
Рис. 21. К расчету болтов
Необходимый диаметр болта определим исходя из его несущей способности по изгибу (
п. 5.17 главы СНиП II-В.4-71):
Tб = n·250d2 = Nб при n = 2;
Принимаем болты диаметром 18 мм.
1 - упорный штырь; 2 - опорная пластина; 3 - спаренный
штырь; 4 - оголовок; 5 - болты; 6 - накладка (конструктивно)
Расчет опорной пластины. Принимаем пластину размером 30 x 22 см. Нормальная сила, сжимающая пластину, N = 53,3 тс (533 кН). Напряжения смятия торца арки в ключе
Толщину пластины находим из условия ее работы на изгиб по схеме двухконсольной балки
(рис. 23), для которой:
нагрузка
изгибающий момент
Рис. 23. К расчету опорной пластины
Требуемый момент сопротивления (с учетом пластичности)
Требуемая толщина пластины
Принимаем толщину пластины равной 4,5 см.
| | ИС МЕГАНОРМ: примечание. Формула дана в соответствии с официальным текстом документа. | |
Расчет упорного штыря (см.
рис. 22) производим на изгиб, как консоли. Изгибающий момент
M0 =
Qр·5 = 45605 = 27 800 кгс·м (2780 кН·м).
Требуемый момент сопротивления с учетом пластичности
При ширине штыря b = 10 см требуемая толщина
Принимаем

. Аналогично рассчитываются спаренные штыри, вваренные справа в опорную пластину. Оголовок и его крепление принимаем такими же, как и в опорных узлах арки.
Пример 7.2. Запроектировать трехшарнирную дощатоклееную стрельчатую арку для неотапливаемого склада сыпучих материалов.
Исходные данные
Арки прямоугольного сечения пролетом
l = 24 м при шаге 4,5 м устанавливаются на железобетонные опоры, воспринимающие распор и вертикальные опорные реакции. Стрела подъема в коньке арки
f = 16 м, или
2/
3l, что удовлетворяет рекомендациям
п. 7.2 настоящего Руководства. Район строительства - г. Калинин.
Ограждающая часть покрытия состоит из прогонов, расположенных через 1,5 м, и кровли из асбестоцементных листов УВ-1750. Продольная устойчивость здания обеспечивается прогонами и стальными диагональными связями в плоскости покрытия, образующими связевые фермы, которые располагаются у торцов склада и по его длине через 27 м. Поперечный разрез склада показан на
рис. 24.
Рис. 24. Поперечный разрез здания и основные узлы арки
I - опорный узел; II - коньковый узел;
1 - уголки 200 x 125 x 11 мм;
2 - болты диаметром 16 мм;
3 - три слоя рубероида
Геометрические размеры оси арки
(рис. 25). Длина хорды полуарки
Рис. 25. Построение оси арки
Стрелу подъема дуги полуарки принимаем равной
f0 = 1,4 м, что более
1/
15l0, т.е. удовлетворяет требованиям
п. 7.8 настоящего Руководства.
Длина дуги полуарки
Радиус кривизны оси полуарки
Угол

раствора полуарки
Угол

наклона хорды полуарки к горизонту
Угол

наклона радиуса, проходящего через опору арки,
Для определения расчетных усилий каждую полуарку делим на пять равных частей (см.
рис. 25). Длина дуги и центральный угол, соответствующие одному делению, равны:
Принимаем за начало координат левую опору арки, тогда координаты центра кривизны оси полуарки будут равны:
Координаты расчетных сечений арки определяем по формулам
где

(
n - номер рассматриваемого сечения).
Вычисление координат приведено в
табл. 20.
N сечения | | | | |  , м |  , м | xn, м | yn, м |
0 | 0 | 20°55' | 0,934 | 0,357 | 34 | 13 | 0 | 0 |
1 | 6°23' | 27°18' | 0,889 | 0,459 | 32,34 | 16,69 | 1,65 | 3,69 |
2 | 12°46' | 33°41' | 0,832 | 0,555 | 30,28 | 20,18 | 3,72 | 7,19 |
3 | 19°09' | 40°04' | 0,765 | 0,644 | 27,84 | 23,44 | 6,15 | 10,44 |
4 | 25°32' | 46°27' | 0,689 | 0,725 | 25,08 | 26,39 | 8,92 | 13,39 |
5 | 31°55' | 52°50' | 0,604 | 0,797 | 22 | 29 | 12 | 16 |
На арку действуют: собственный вес покрытия арки и транспортной галереи, снеговая нагрузка, вес временной нагрузки галереи, вес нагрузочной тележки и ветровая нагрузка. Схема загружения арки приведена на
рис. 26.
Рис. 26. Схемы загружения арки
а - постоянная нагрузка от веса покрытия и арки;
б - постоянная и временная нагрузка от транспортной галереи;
в - снеговая нагрузка; г - ветровая нагрузка
Постоянные равномерно распределенные нагрузки на 1 м
2 горизонтальной проекции покрытия определяем с введением коэффициента перегрузки
n по
п. 2.1 и
5.2 главы СНиП II-6-74 и коэффициента

, учитывающего разницу между длиной дуги полуарки и ее горизонтальной проекцией. Сбор постоянных нагрузок от веса покрытия приведен в
табл. 21.
Элементы | Вес 1 м2 покрытия, кгс/м2 (Н/м2) | K | Нормативная нагрузка, кгс/м2 (Н/м2) | Коэффициент перегрузки n | Расчетная нагрузка, кгс/м2 (Н/м2) |
Асбестоцементные листы УВ-1750 | 16,7 (167) | 1,69 | 28,22 (282,2) | 1,1 | 31,04 (310,4) |
Прогоны сечением 0,15 x 0,13 через 1,5 м | 4,35 (43,5) | 1,69 | 7,35 (73,5) | 1,1 | 8,06 (80,6) |
Итого | 21,05 (210,5) | - | 35,6 (356) | - | 39,1 (391) |
Сосредоточенные нагрузки от технологического оборудования - транспортной галереи, приложенные в точках подвески ее на расстоянии 2 м по обе стороны конькового шарнира, слагаются из постоянной (собственного веса) - 410 кгс/м (4,1 кН/м), временной распределенной на 1 м галереи - 40 кгс/м (0,4 кН/м) и временной - от давления нагрузочной тележки - 4800 кгс (48 кН) (см.
рис. 26, б). Постоянные и временные нагрузки, передаваемые на арку, приведены в
табл. 22.
Нагрузка | Нормативная нагрузка, кгс (кН) | Коэффициент перегрузки n | Расчетная нагрузка, кгс (кН) |
Постоянная от веса галереи | 922,5 (9,225) | 1,2 | 1110 (11,1) |
Временная: | | | |
от нагрузочной тележки | 2400 (24) | 1,2 | 2880 (28,8) |
от равномерной нагрузки на галерею | 90 (0,9) | 1,4 | 126 (1,26) |
Суммарная временная нагрузка | 2490 (24,9) | - | 3000 (30) |
Для определения собственного веса арки, а также коэффициента перегрузки для снеговой нагрузки необходимо определить нормативную эквивалентную равномерную нагрузку от сосредоточенной постоянной нагрузки и нормативную снеговую нагрузку.
Интенсивность равномерно распределенной по всему пролету арки нагрузки, эквивалентной сосредоточенной нагрузке от собственного веса галереи, определяем из условия равенства моментов по середине пролета простой балки пролетом l = 24 м от обоих видов загружения

или

где P = 410 кгс - сосредоточенная нагрузка;
a - расстояние от опоры до сосредоточенного груза, равное 10 м.
Подставив числовые значения, получим эквивалентную нагрузку
Снеговая нагрузка согласно
п. 2 табл. 5 главы СНиП II-6-74 учитывается на участке кровли, ограниченном уклоном

, с учетом коэффициента формы
c1, равного 0,4. Для заданного района строительства нормативная снеговая нагрузка в первом варианте загружения
pн = 100·0,4 = 40 кгс/м
2 (400 Н/м
2). Второй вариант загружения, указанный в
п. 2 табл. 5, учитывать не следует, так как снеговая нагрузка в данном случае не определяет размеры сечений арки (см.
п. 5.4 главы СНиП II-6-74).
| | ИС МЕГАНОРМ: примечание. В официальном тексте документа, видимо, допущена опечатка: формула в приложении 2 отсутствует. Возможно, имеется в виду формула приложения 3. | |
Собственный вес арки в зависимости от нормативного веса покрытия, снега и транспортной галереи определим по
формуле прил. 2.
где kсв принимаем равным 4.
Постоянная равномерно распределенная нормативная нагрузка (нормативный условный собственный вес покрытия с учетом веса транспортной галереи) равна:
Отношение ее к нормативному весу снегового покрова (см.
п. 5.7 главы СНиП II-6-74):
чему соответствует коэффициент перегрузки n = 1,5 и расчетная снеговая нагрузка на 1 м2 горизонтальной проекции покрытия
Равномерно распределенные расчетные нагрузки на 1 м
горизонтальной проекции арки
Постоянная нагрузка от собственного веса покрытия и арки
Временная (снеговая) нагрузка
Расчетную ветровую нагрузку, нормальную к поверхности сооружения, определяем по главе
СНиП II-6-74
где k - коэффициент, зависящий от высоты сооружения (при высоте до 10 м k = 1, а при высоте более 10 м k = 1,1);
c - аэродинамический коэффициент, принимаемый при f/l = 0,666 с наветренной стороны c1 = +0,7, с подветренной c2 = -0,4;

- нормативный скоростной напор; для I ветрового района

;
n = 1,2 - коэффициент перегрузки.
Боковые зоны ветрового давления ограничены точками, имеющими ординату
y = 10 м (см.
рис. 26); в нашем случае - в точках
3 и
3' с ординатами 10,44 м. Расчетная ветровая нагрузка на 1 м арки по участкам:
p1 = 1·0,7·27·1,2·4,5 = 102,06 кгс/м (1021 Н/м);
p2 = 1,1·0,7·27·1,2·4,5 = 112,27 кгс/м (1123 Н/м);
p3 = 1,1(-0,4)27·1,2·4,5 = -64,13 кгс/м (-641,3 Н/м);
p4 = 1(-0,4)27·1,2·4,5 = -58,32 кгс/м (-583,2 Н/м).
Определяем равнодействующие ветрового давления на каждом из участков, считая их приложенными по середине соответствующих дуг:
P1 = p1·3S1 = 102,06·3·4,05 = 1240 кгс (12,4 кН);
P2 = p2·2S1 = 112,27·2·4,05 = 909,39 кгс (9,09 кН);
P3 = p3·2S1 = 64,13·2·4,05 = 519,61 кгс (52 кН);
P4 = p4·3S1 = 58,32·3·4,05 = 708,59 кгс (7,09 кН).
Статический расчет арки
Расчет арки выполняется на следующие сочетания нагрузок:
постоянной и снеговой;
постоянной, снеговой, ветровой и от загрузочной тележки.
Схемы нагрузок показаны на
рис. 26. Опорные реакции от постоянной нагрузки на всем пролете
Опорные реакции от снеговой нагрузки по пролету в пределах уклона кровли

:
где
xс - горизонтальная проекция участка кровли с уклоном до 50°, равная 5,85 м (см.
рис. 26).
Опорные реакции от снеговой нагрузки на половине пролета
Реакции от ветровой нагрузки:
вертикальные
горизонтальные
где P1, P2, P3, P4 - равнодействующие соответствующих зон ветрового давления;
a1, a2, a3, a4 - плечи равнодействующих относительно опорных шарниров;
b1,
b2 - то же, относительно ключевого шарнира (см.
рис. 25 и
26).
Значения равнодействующих ветрового давления вычислены ранее, а величины плеч равнодействующих равны:
где
Нагрузки и опорные реакции приведены в
табл. 23, а изгибающие моменты от вертикальных нагрузок - в
табл. 24 и вычислены по формуле:

, где
M0 - изгибающий момент простой балки от рассматриваемой нагрузки.
Нагрузки и загружения | Нагрузка, тс/м (кН/м) | Опорные реакции, тс (кН) |
VA | VB | HA | HB |
Постоянная равномерно распределенная | 0,23 (2,3) | 2,74 (27,4) | 2,74 (27,4) | 1,04 (10,4) | 1,04 (10,4) |
Постоянная сосредоточенная, тс (кН) | 1,11 (11,1) | 1,11 (11,1) | 1,11 (11,1) | 0,61 (6,1) | 0,61 (6,1) |
Снеговая равномерно распределенная: | | | | | |
в пределах уклона кровли до 50° | 0,27 (2,7) | 1,58 (15,8) | 1,58 (15,8) | 0,9 (9) | 0,9 (9) |
на левом полупролете | - | 0,98 (9,8) | 0,6 (6) | 0,45 (4,5) | 0,45 (4,5) |
Временная сосредоточенная, тс (кН) | 3 (30) | 3 (30) | 3 (30) | 1,88 (18,8) | 1,88 (18,8) |
Ветровая (слева) | - | -0,14 (-1,4) | 0,69 (6,9) | -1,4 (-14) | 1,26 (12,6) |
N сечения | Координата, м | Изгибающие моменты, тс·м (кН·м), от нагрузки |
равномерно распределенной | сосредоточенной |
x | y | постоянной | снеговой на левой полуарке | снеговой на правой полуарке | снеговой на всем пролете | временной | постоянной |
1 | 1,65 | 3,69 | 0,38 (3,8) | -0,04 (-0,4) | -0,67 (-6,7) | -0,71 (-7,1) | -1,96 (-19,6) | -0,72 (-7,2) |
2 | 3,72 | 7,19 | 1,1 (11) | 0,41 (4,1) | -1 (-10) | -0,59 (-5,9) | -3,32 (-33,2) | -0,86 (-8,6) |
3 | 6,15 | 10,44 | 1,85 (18,5) | 1,35 (13,5) | -1,01 (-10,1) | 0,34 (3,4) | -1,12 (-11,2) | -0,41 (-4,1) |
4 | 8,92 | 13,39 | 1,3 (13) | 1,76 (17,6) | -0,67 (-6,7) | 1,09 (10,9) | 1,65 (16,5) | 0,61 (6,1) |
5 | 12 | 16 | 0 | 0 | 0 | 0 | 0 | 0 |
Вычисление изгибающих моментов от ветровой нагрузки приведено в
табл. 25 и выполнено по формулам:
в левой полуарке

;
в правой полуарке

,
где

и

- моменты от ветровой нагрузки, расположенной слева и справа от сечения
n:
N сечения | Вычисление изгибающих моментов от ветровой нагрузки, тс·м (кН·м) |
VAxn | -HAyn | | Mn | VBxn | -HByn | | |
1 | -0,23 | 5,17 | -0,84 | 4,10 (41) | 1,14 | -4,65 | 0,48 | -3,03 (-30,3) |
2 | -0,51 | 10,1 | -3,35 | 6,24 (62,4) | 2,56 | -9,06 | 1,91 | -4,59 (-45,9) |
3 | -0,84 | 14,62 | -7,5 | 6,28 (62,8) | 4,24 | -13,16 | 4,28 | -4,64 (-46,4) |
4 | -1,12 | 18,75 | 13,32 | 4,21 (42,1) | 6,15 | -16,87 | 7,6 | -3,12 (-31,2) |
5 | -1,64 | 22,4 | -20,83 | 0 | 8,28 | -20,17 | 11,89 | 0 |
В
табл. 26 приведены значения изгибающих моментов от постоянной, снеговой, ветровой нагрузки и от технологического оборудования, а также расчетные значения моментов при неблагоприятных сочетаниях постоянных и временных нагрузок. При учете одновременно двух и более временных нагрузок вводился коэффициент сочетаний
nс = 0,9.
N сечения | Изгибающие моменты, тс·м (кН·м) |
от собственного веса | от снеговой нагрузки | от ветровой нагрузки | от оборудования | расчетные |
слева | справа | полной | слева | справа | постоянного | временного | положительные --------------------- отрицательные |
1 | 0,38 (3,8) | -0,04 (-0,4) | -0,67 (-6,7) | -0,71 (-7,1) | 4,1 (41) | -3,03 (-30,3) | -0,72 (-7,2) | -1,96 (-19,6) | 3,76 (37,6) ---------------- -5,36 (-53,6) |
2 | 1,1 (11) | +0,41 (+4,1) | -1 (-10) | -0,59 (-5,9) | 6,24 (62,4) | -4,59 (-45,9) | -0,86 (-8,6) | -2,32 (-23,2) | 6,21 (62,1) ---------------- -6,88 (-68,8) |
3 | 1,85 (18,5) | 1,35 (13,5) | -1,01 (-10,1) | 0,34 (3,4) | 6,28 (62,8) | -4,64 (-46,4) | -0,41 (-4,1) | -1,12 (-11,2) | 7,73 (77,3) ---------------- -4,66 (-46,6) |
4 | 1,3 (13) | 1,76 (17,6) | -0,67 (-6,7) | 1,09 (10,9) | 4,21 (42,1) | -3,12 (-31,2) | 0,61 (6,1) | 1,65 (16,5) | 9,39 (93,9) ---------------- -1,49 (-14,9) |
5 | 0 | 0 | 0 | 0 | 0 | 0 | 0 | 0 | 0 |
Как видно из
табл. 26, наибольший положительный момент - в сечении 4, а отрицательный - в сечении 2. Для расчетных сечений 4 и 2 определим значения нормальных сил.
Сечение 4:
x = 8,92 м;

;

;

.
Нормальная сила определяется по формуле
Расчетные усилия получены в результате учета всех видов загружения, причем к значениям снеговой, ветровой и крановой нагрузок вводим коэффициенты сочетания nс = 0,9.
Для вертикальных нагрузок определяем значение балочных поперечных сил:
от собственного веса

;
от постоянной сосредоточенной нагрузки

;
от снеговой нагрузки

;
от временной сосредоточенной нагрузки

.
Суммарное значение балочной поперечной силы в сечении 4 - Q0 = 5,19 тс (51,9 кН).
Суммарный распор от тех же загружений
H = 1,04 + 0,61 + 0,9(0,90 + 1,88) = 4,15 тс (41,5 кН).
Нормальная сжимающая сила от вертикальных нагрузок
Nр = -(5,19·0,69 + 4,15·0,725) = -6,56 тс (65,6 кН).
Нормальная сила от ветровой нагрузки определяется по формуле
VA = 0,137 тс (1,37 кН); HA = -1,4 тс (14 кН).
Остальные входящие в формулу величины равны:
P1 = 1,24 тс (12,4 кН); P2 = 0,91 тс (9,1 кН);
Тогда с учетом коэффициента сочетания нагрузок
Суммарное значение нормальной силы в сечении 4 равно
Сечение 2:
x2 = 3,72 м;

;

;

.
Для этого сечения получаем аналогично сечению 4:
поперечную балочную силу Q0 = 6,28 тс (62,8 кН);
суммарный распор H = 4,15 тс (41,5 кН);
нормальную силу от вертикальных нагрузок Nр = 7,51 тс (75,1 кН);
нормальную силу от ветровых нагрузок

;
суммарную нормальную силу N2 = 8,57 тс (85,7 кН).
Подбор сечения арки
Арка раскреплена прогонами кровли, соединенными со связевыми фермами.
В части арки с положительным моментом имеет место раскрепление сжатой кромки, а в части арки с отрицательным моментом - растянутой. Проверка должна выполняться на сжатие с изгибом в обоих сечениях: в сечении 4 - по формулам
п. 4.4, в сечении 2 - по формулам
п. 4.6 настоящего руководства.
Задаемся высотой сечения, равной
1/
40 пролета, что соответствует рекомендациям
п. 7.2 настоящего руководства; принимаем высоту сечения
h = 58,5 см - из 13 слоев толщиной 4,5 см, а ширину сечения
b = 14 см. Для принятых размеров
F = hb = 58,5·14 = 819 см2;
а коэффициент, учитывающий высоту сечения, mб = 1,06.
Находим величину коэффициента

в сечении 4, в котором
M = 9,39 тс·м (93,9 кН·м),
N4 = 5,88 тс (58,8 кН), по формуле
Расстояние между связями
т.е. имеет место сплошное раскрепление сжатой кромки.
В соответствии с
п. 4.4 настоящего руководства расчет выполняем по
формуле (20) главы СНиП II-В.4-71
и напряжения сжатия, вычисленные по приведенной выше формуле, будут равны:
Сечение 2:
M2 = -6,88 тс·м (68,8 кН·м),
N2 = 8,57 тс (85,7 кН). Сечение раскреплено со стороны растянутой кромки. Поэтому расчет производим по
формуле (4.10) с учетом
п. 4.5 настоящего руководства, т.е. с проверкой устойчивости плоской формы изгиба. Для этого определяем сначала величину

при расчетной длине
lр = 2026 см, ширине поперечного сечения
b = 14 см и гибкости
Получаем
Для определения

находим предварительно

по
формуле (4.8) при величине коэффициента
k = 160 (
п. 6 табл. 6 настоящего руководства):
Для данного сечения
Вычисляем напряжение сжатия по
формуле (20) главы СНиП II-В.4-71:
Проверяем условия устойчивости по
формуле (4.10) настоящего руководства:
Таким образом, наиболее напряженным является сечение 4, которое должно быть проверено после расчета связевых ферм в соответствии с указаниями
п. 11.15 настоящего руководства на действие дополнительных моментов в плоскости арок от горизонтальных усилий. Опирание арок на фундаменты и устройство конькового шарнира показано на
рис. 24.
8. РАМЫ. ОСНОВНЫЕ ПОЛОЖЕНИЯ ПО ПРОЕКТИРОВАНИЮ
8.1. Клееные деревянные рамы рекомендуются однопролетные трехшарнирные с дощатоклееными ригелями и стойками прямоугольного поперечного сечения переменной высоты по длине следующих типов:
а) из прямолинейных ригелей и стоек, соединенных в карнизном узле на зубчатый стык;
б) из прямолинейных элементов с соединением ригелей и стоек в карнизном узле с помощью гнутоклееной или трапециевидной вставки на зубчатом стыке;
в) из гнутоклееных полурам;
г) из ригелей, стоек и упирающихся в фундамент подкосов, с помощью которых образуется рамный карнизный узел;
д) из ригелей и стоек, соединяемых в карнизном узле сжатым раскосом и стяжным болтом или стальными накладками в растянутой зоне.
Рамы типов "а" -
"в" собираются из целых полурам заводского изготовления. Рамы типов "г" и
"д" поставляются заводами в виде линейных элементов (ригелей, стоек, раскосов и подкосов) и собираются в полурамы или целые рамы на месте строительства.
8.2. Рекомендуемые геометрические размеры определяются: для
рам типов "а" -
"в" из условий перевозки (пролеты 12 - 24 м, высота стоек 2,6 - 4,5 м), для
рам типов "г" и
"д" высота стоек не ограничивается, а пролеты принимаются равными 12 - 24 м. При двухконсольных рамах с большим вылетом консоли допускается увеличивать пролет (см.
пример 8.3); для рам всех типов уклон ригеля
1/
4 -
1/
3, шаг 3 - 6 м.
Высота сечения ригеля в карнизном узле принимается в пределах
1/
12 -
1/
30 пролета, высота сечения ригелей в коньке не менее 0,3 высоты сечения ригелей в карнизном узле, высота сечения стоек у опор
рам типов "а" -
"в" и
"д" принимается не менее 0,4 высоты в карнизном узле.
8.3. Дощатоклееные рамы могут применяться в зданиях различного назначения с утепленными или неутепленными ограждающими конструкциями из панелей или по прогонам с рулонными, асбестоцементными или стальными кровлями.
8.4. Все прямолинейные элементы рам склеиваются из слоев толщиной не более 50 мм, а все криволинейные (гнутоклееные полурамы, гнутоклееные вставки) - из слоев не толще
1/
150 радиуса кривизны.
8.5. Прямолинейные ригели и стойки переменной высоты по длине, убывающей от карнизного узла к коньку и пяте рамы, могут быть получены распиловкой ранее склеенных прямолинейных пакетов постоянной высоты или выполняются ступенчатыми из слоев разной длины; при этом в зоне наибольших моментов рекомендуется уступы делать плавными с общим уклоном
1/
5 -
1/
7. Возможна также опиловка ступенчатых элементов изнутри рамы для придания им трапециевидной формы.
8.6. Прямолинейные участки гнутоклееных полурам выполняются переменной высоты аналогично указанному в
п. 8.5 настоящего руководства.
8.7. Соединение в карнизном узле ригелей и стоек рам типа "а" производится по биссектрисе с помощью зубчатого стыка, фрезеровка которого выполняется механизированно.
8.8. Соединение гнутоклееных или трапециевидных вставок с ригелями и стойками в карнизном узле
рам типа "б" выполняется механизированно с помощью зубчатого стыка.
8.9. Все элементы, включая стойки и подкосы,
рам типа "г" выполняются из клееной древесины. Ригель в
рамах типа "г" может быть продолжен наружу для образования карниза или навеса; в последнем случае при большом вылете может применяться также внешний подкос, поддерживающий консоль, - дополнительный или заменяющий стойку (см.
пример 8.3 настоящего руководства).
8.10. Ригели рам всех типов соединяются в коньке непосредственно лобовым упором части сечения, центрированного по оси ригеля или с помощью стального шарнира, так же, как в арках (
п. 7.4 настоящего руководства).
8.11. Статический расчет трехшарнирных рам производится аналогично трехшарнирным аркам.
8.12. Расчет рам на прочность и устойчивость производится при следующих схемах загружения:
а) расчетная постоянная и временная нагрузки на всем пролете рамы;
б) расчетная постоянная нагрузка на всем пролете и расчетная временная нагрузка на половине пролета;
Примечание. При высоте стойки рамы до 4 м расчет на ветровую нагрузку может не производиться.
8.13. Проверку нормальных напряжений в рамах следует производить:
в сечениях по биссектрисе и нормальных к поясу или стойке у конца биссектрисного сечения
рам типов "а" и
"д";
в криволинейной части в месте наибольшего момента и в нормальных сечениях ригеля и стойки в месте зубчатого стыка
рам типа "б";
в криволинейной части в месте наибольшего момента
рам типа "в";
в сечении, нормальном к оси ригеля у конца подкоса и между стойкой и подкосом (если на этом участке применено меньшее сечение, чем у конца подкоса)
рам типа "г".
В других сечениях ригеля и стойки проверка нормальных напряжений не требуется, если выполнены указания
п. 8.2 настоящего руководства в отношении высот сечений в коньке и пяте стойки к высоте сечения в карнизном узле. Проверку на скалывание следует производить в пяте стоек, а в
рамах типа "г" - между верхом стойки и подкоса.
8.14. При соблюдении рекомендуемых в
п. 8.2 настоящего руководства размеров сечений элементов рам проверка прогиба их в коньке не требуется; должен определяться прогиб консоли в
рамах типа "г".
8.15. При расчете карнизного узла
рам типа "а", выполненного на зубчатом стыке по биссектрисе, учитывается криволинейность эпюры напряжений, для чего расчетная высота биссектрисного сечения принимается
hр = 0,85
hб, где
hб - размер биссектрисного сечения. Расчетный момент сопротивления для этого сечения определяется по формуле

(8.1)
где b - ширина сечения;
mб - коэффициент, определяемый по
табл. 18 п. 4.9 главы СНиП II-В.4-71 для расчетной высоты сечения.
Расчетная площадь биссектрисного сечения
Fб = 0,85hбb. (8.2)
Проверка краевых напряжений в биссектрисном сечении производится по формуле

(8.3)
в которой N и M - нормальная сила и изгибающий момент в биссектрисном сечении;

- расчетное сопротивление сжатию (смятию) под углом

, образуемым биссектрисным сечением с нормалью к оси стойки, принимаемое по кривой
a рис. 1 главы СНиП II-В.4-71.
где

определяется по приведенному радиусу инерции и
Fбр - по приведенной высоте сечения в соответствии с указаниями
п. 8.17 настоящего руководства.
8.16. При расчете криволинейного участка в карнизном узле рам типов "б" и "в" проверка напряжений сжатия производится по формуле

(8.4)
где N и M - нормальная сила и изгибающий момент в расчетном сечении;
Fрас и Wрас - расчетная площадь поперечного сечения и момент сопротивления, вычисленные для полной высоты h и ширины b сечения криволинейного участка;
kс - коэффициент, учитывающий распределение напряжений в кривом брусе в зависимости от отношения среднего радиуса кривизны к высоте поперечного сечения
h и принимаемый по графику
рис. 27;
mгн - коэффициент, определяемый по
табл. 12 главы СНиП II-В.4-71;
где

определяется по приведенному радиусу инерции, а
Fбр - по приведенной высоте сечения
hпр, определяемым в соответствии с
п. 8.17 настоящего руководства.
Примечание. Проверка растягивающих напряжений в расчетном сечении криволинейного элемента не требуется.
Рис. 27. Коэффициент kс, учитывающий распределение
напряжений в сжатой зоне кривого бруса
rср - средний радиус кривизны бруса;
h - высота поперечного сечения
8.17. Приведенная высота сечения рамы определяется в соответствии с данными
табл. 7 настоящего руководства применительно к эпюрам моментов в стойке и ригеле по формуле

(8.5)
где hпр.ст, hпр.р - приведенные высоты сечений стойки и ригеля, получаемые умножением максимальной высоты их сечения на коэффициент kh;
hвст - высота сечения криволинейной части карнизного узла;
Sст, Sвст, Sр - длины стойки, криволинейной части карнизного узла и ригеля;
l0 = 0,5S - расчетная длина оси рамы, принимаемая равной половине ее полной длины.
Гибкость рам определяется по формуле

(8.6)
Примечание. Для рам типа "г":
l0 - длина ригеля от конькового шарнира до конца подкоса, раскрепленного из плоскости изгиба, или длина консоли до аналогично раскрепленного подкоса;
hпр - приведенная высота ригеля или консоли на участке, равном l0.
8.18. Проверка устойчивости плоской формы изгиба рам выполняется в соответствии с
пп. 4.5 и
4.6 настоящего руководства, как правило, для случая раскрепления рам элементами кровельных покрытий со стороны растянутой кромки.
8.19. Проверка на скалывание по клеевому шву при прямоугольном поперечном сечении рам производится по формуле

(8.7)
где Q - наибольшая поперечная сила в рассматриваемом сечении;
h - высота сечения;
bрас - расчетная ширина сечения, принимаемая равной 0,6b.
Пример 8.1. Запроектировать трехшарнирную гнутоклееную раму из сосновых слоев под кровлю из утепленных панелей с рулонным ковром.
Исходные данные
Внешние габариты рамы: пролет 18 м, высота в коньке 5,24 м, высота прямолинейной части стойки 0,6 м; высота стойки до точки пересечения касательных к внешним граням стойки и ригеля 3 м. В соответствии с
п. 8.2 настоящего руководства задаемся предварительно: высотой поперечного сечения в гнутой части полурамы (в карнизном узле), равной
hгн = 80 см, или
1/
22 пролета; высотой в коньке
hk = 30 см, что более 0,3·80 = 24 см; высотой сечения в пяте стойки
hст = 50 см, что больше 0,4·80 = 32 см, шириной сечения
b = 16 см. Радиусы кривизны приняты: внешний
rнар = 3,1 м, внутренний
rвн = 2,25 м, средний
rср = 2,65 м. Толщина слоев

. Отношение толщины слоя к радиусу кривизны
что соответствует требованиям
п. 8.4 настоящего руководства.
Геометрическая схема полурамы, построение ее расчетной оси и характерные сечения показаны на
рис. 28, а расчетная схема - на
рис. 29. Расчетный пролет рамы
l = 17,5 м, высота в коньке
f = 5,09 м, уклон оси ригеля

, уклон верхней кромки ригеля 1:4 (14°), уклон оси стойки 81°.
Рис. 28. Гнутоклееная трехшарнирная рама. Геометрия полурамы
Рис. 29. Расчетная схема и схема загружения рамы
Продольная устойчивость здания обеспечивается связевыми фермами и панелями стен и кровли.
Расчетные нагрузки:
временная (снег) P = 630 кгс/м (6,3 кН/м);
постоянная g = 340 кгс/м (3,4 кН/м);
полная q = 970 кгс/м (9,7 кН/м).
Расчетные сопротивления древесины:
на изгиб Pи = 130 кгс/см2 (13 МПа);
на скалывание Rск = 24 кгс/см2 (2,4 МПа).
Расчет рамы
Максимальные усилия в гнутой части рамы возникают при действии полной расчетной нагрузки (постоянной и временной) по всему пролету рамы q = 970 кгс/м (9,7 кН/м). Возникающие при этом опорные реакции:
вертикальные
горизонтальные (распор)
Координаты точки на криволинейном участке оси рамы с максимальным изгибающим моментом определяем из условия равенства нулю поперечной силы
где

- угол наклона касательной к оси рамы в расчетном сечении, определяемый подбором;
x - координата расчетного сечения по оси абсцисс, равная в нашем примере

.
x = 0,15 + 2,65(0,99 - 0,72) = 0,87 м,
и поперечная сила равна:
Ордината расчетного сечения
Максимальный изгибающий момент в расчетном сечении
Нормальная сила в расчетном сечении
Геометрические характеристики расчетного сечения: площадь поперечного сечения
Fрас = bh = 16·80 = 1280 см2;
расчетный момент сопротивления при
mб = 0,9, определенном по
табл. 18 главы СНиП II-В.4-71:
момент инерции
Проверка напряжений сжатия в расчетном сечении
Определяем предварительно приведенную высоту сечения по
п. 8.17 и
табл. 7 настоящего руководства:
длина стойки по оси
Sст = 93 см;

;
h = 80 см;
длина гнутой части Sгн = 300 см; hгн = 80 см;
длина ригеля
Sр = 695 см;

;
h = 80 см;
длина полурамы l0 = 93 + 300 + 695 = 1088 см.
При этом приведенные высоты:
для стойки
для ригеля
Приведенную высоту сечения полурамы определим по
формуле (8.5) настоящего руководства:
а приведенный радиус инерции
rпр = 0,29hпр = 0,29·71 = 20,6 см.
Принятым и найденным значениям размеров конструкции соответствуют:
площадь поперечного сечения
Fбр = hпрb = 71·16 = 1136 см2;
гибкость
величина коэффициента, учитывающего снижение расчетных сопротивлений для гнутых элементов при отношении

, согласно
табл. 12 главы СНиП II-В.4-71,
mгн = 0,8, тогда
Величина расчетного сопротивления сжатию и изгибу в гнутой части рамы равна:
Rсmгн = 130·0,8 = 104 кгс/см2 (10,4 МПа),
а при соотношении

по
рис. 27 kс = 1,11.
т.е. меньше расчетного, равного 104 кгс/см2 (10,4 МПа).
Проверка устойчивости плоской формы изгиба
(по п. 8.18 настоящего руководства)
По ригелю рамы уложены панели покрытия шириной 150 см, а к стойке присоединены стеновые панели такой же ширины. В карнизном узле (см.
рис. 28) для крепления панелей предусмотрены дополнительно стойка и ригель. Расстояние между связями, крепящими панели к раме, не более 150 см. В пределах карнизного узла должно быть обеспечено раскрепление верхней кромки по граням крайних панелей.
Свободная длина верхней кромки между связями будет равна 200 см, что меньше, чем

, а поэтому в соответствии с
п. 4.3 настоящего руководства имеет место сплошное раскрепление растянутой кромки и расчет должен быть выполнен согласно
п. 4.6 настоящего руководства.
Рассмотрим заменяющий прямолинейный сжато-изогнутый элемент длиной от опоры до точки нулевого момента в ригеле при действии равномерно распределенной нагрузки на всем пролете рамы. Координаты нулевой (см.
рис. 29) точки находим из нижеследующих уравнений:
где
A = 8,49 тс (84,9 кН),
H = 7,3 тс (73 кН),
q = 0,97 тс/м (9,7 кН/м),
y' = 3,16 м,

,
x' = 2,06 м. После подстановки числовых значений и необходимых преобразований получим уравнение
x2 - 13,2x + 38,8 = 0,
откуда x1 = 4,43 м, x2 = 8,75 м. Значение x2 соответствует точке конькового шарнира. При значении x1 = 4,43 м расчетная длина рамы будет равна:
гибкость
а площадь поперечного сечения F = 1136 см2.
Тогда
В соответствии с
п. 4.6 настоящего руководства проверку выполняем по
формуле (4.10) с заменой

и

на

и

:
Гибкость рамы из плоскости изгиба
Таким образом, устойчивость обеспечивается без устройства вертикальных связей.
Стойка рамы проверяется в пяте на скалывание по клеевому шву по
формуле (8.7) настоящего руководства
где Q = H = 7300 кгс (73 кН); hст = 50 см,
откуда
При расчете опорного башмака
(рис. 30) его высота определяется из условия смятия стойки поперек волокон под воздействием распора
H. При
Rсм = 24 кгс/см
2 необходимая высота башмака
Рис. 30. Опирание рамы на фундамент
1 - башмак из листа

;
2 - болт диаметром 20 мм;
3 - глухари диаметром 12 мм; 4 - шов впритык с подваркой
корня; 5 - три слоя рубероида; 6 - расчетная схема башмака
Принимаем hб = 20 см.
Вертикальную пластину башмака, воспринимающую распор, рассчитываем на изгиб, как балку, частично защемленную на опорах, с учетом пластического перераспределения моментов на действие изгибающего момента
Этому моменту сопротивления должен равняться момент сопротивления, определяемый по формуле
в которой

- толщина пластинки,
откуда
Принимаем

,
W = 4,8 см
3.
Боковые пластины принимались той же толщины. В запас прочности принимаем Fб.п = 20·1,2 = 24 см2, W = 4,8 см3.
Растягивающее усилие
Башмак крепим к фундаменту двумя болтами, работающими на срез и растяжение. Сжимающие усилия передаем непосредственно на фундамент. Изгибающий момент, передающийся от башмака, M = 7300·10 = 73 000 кгс·см (7,3 кН·м), а момент сопротивления опорной плоскости башмака
где b = 9 см - ширина опорной плоскости башмака;
l = 28 см - длина опорной плоскости башмака.
Сжимающие напряжения под башмаком
при бетоне М-150.
Принимаем болты диаметром 20 мм (
Fбр = 3,14 см
2;
Fн = 2,18 см
2). Для того чтобы срез воспринимался полным сечением болта, ставим под гайками шайбы толщиной 10 мм. Усилия в болтах (см. расчетную схему на
рис. 30) будут:
растягивающее (на один болт)
срезывающее
Напряжение растяжения в пределах нарезки (см.
п. 3.4 главы СНиП II-В.4-71)
Напряжение растяжения по целому сечению
Напряжения среза
Прочность болтов, присоединяющих накладки в коньковом узле
На накладки действует поперечная сила от односторонней снеговой нагрузки
где p = 630 кгс/м (6,3 кН/м) - снеговая нагрузка.
Размеры и расчетная схема накладок приведены на
рис. 31. На каждый из болтов, ближайших к коньку, будет передаваться усилие
где l1 - расстояние между болтами на ригеле полурамы;
l2 - расстояние между крайними болтом и осью симметрии рамы.
1 - накладка 170 x 100 мм;
2 - болты диаметром 16 мм
На крайний болт передается усилие
N2 = 2N1 - Qн = 1836 - 1378 =
= 458 кгс (4,58 кН) < 918 кгс (9,8 кН).
По
рис. 6 находим коэффициент

для расчета стальных цилиндрических нагелей диаметром 1,6 см при направлении усилий под углом к волокнам

:

- усилие,
приходящееся на один срез болта (n = 2 - число срезов).
Из условий изгиба болта
откуда
принимаем болты диаметром 1,6 см.
Проверку боковых накладок на изгиб не производим ввиду очевидного запаса прочности.
Пример 8.2. Запроектировать дощатоклееную трехшарнирную раму из прямолинейных элементов с зубчатым соединением в карнизном узле под кровлю из утепленных панелей шириной 150 см с рулонной кровлей.
Исходные данные
Внешние габариты рамы и ее геометрические размеры показаны на
рис. 32. Расчетный пролет
l = 17,6 м, высота в коньковом шарнире
f = 5,68 м. Сечение стоек и ригелей - прямоугольное шириной
b = 14 см. Соединение ригеля и стойки в карнизном узле выполняется с помощью зубчатого стыка на клее КБ-3. Ригель и стойка изготовляются путем распиловки пакетов из сосновых слоев толщиной 4,5 см. Схема распиловки показана на
рис. 33.
Рис. 32. Дощатоклееная трехшарнирная рама
с зубчатым соединением в карнизном узле
Рис. 33. Схема распиловки дощатоклееного блока
на элементы ригеля
h0 - высота сечения в коньке; h - высота ригеля в карнизном
узле; lр - длина ригеля; 4 - припуск для нарезки зубьев
Для изготовления ригелей принимаем пакет из 28 слоев, а для стоек - из 30 слоев. С учетом припусков на распиловку, острожку наклонных кромок и образования зубчатого стыка принимаем сечения:
в карнизном узле
в пяте стойки
hп = 40 см (> 0,4hу = 36,8 см);
в коньке
hк = 30 см (> 0,3hу = 27,6 см),
что соответствует рекомендациям
п. 8.2 настоящего руководства.
Нормативные нагрузки (с учетом собственного веса ригеля):
постоянная gн = 300 кгс/м (3 кН/м);
временная (снеговая) pн = 300 кгс/м (3 кН/м);
полная qн = 600 кгс/м (6 кН/м).
Отношение постоянной нормативной нагрузки к снеговой
в соответствии с
п. 5.7 главы СНиП II-6-74 коэффициент перегрузки
n = 1,4. При

в соответствии с
п. 1 табл. 5 главы СНиП II-6-74
C = 1. Для постоянной нагрузки коэффициент перегрузки принят равным 1,1.
Расчетные нагрузки:
постоянная g = 330 кгс/м (3,2 кН/м);
временная (снеговая) p = 420 кгс/м (4,2 кН/м);
полная qр = 750 кгс/м (7,5 кН/м).
В соответствии с
п. 8.12 настоящего руководства расчет рамы с учетом ветровой нагрузки производить не требуется.
Расчетные сопротивления древесины:
на изгиб Rи = 130 кгс/см2 (13 МПа);
на скалывание Rск = 24 кгс/см2 (2,4 МПа).
Расчет рамы
Максимальные усилия возникают в карнизном узле рамы при действии полной расчетной нагрузки (постоянной и временной) по всему пролету рамы qр = 750 кгс/м (7,5 кН/м).
Опорные реакции:
вертикальные
горизонтальные (распор)
Усилия в расчетном сечении
1-1 (
x = 0,26 м,
y = 2,79 м) по оси биссектрисы карнизного узла
(рис. 34):
изгибающий момент
нормальная сила
где
Рис. 34. К расчету карнизного узла
а - эпюра

в сечении
1-1;
б - эпюра

в сечении
1-2 и
1-3
Тогда
N1-1 = (6,6 - 0,75·0,26)0,8 + 5,1·0,6 = 8,18 тс (81,8 кН).
Усилия в сечениях 1-2 и 1-3 карнизного узла:
M1-2 = M1-3 = 12,65 тс·м (126,5 кН·м);
N1-2 = A = 6,6 тс (66 кН);
N1-3 = (A - qрx)sin 18°42' + H cos 18°42' =
= (6,6 - 0,75·0,26)0,32 + 5,1·0,95 = 6,94 тс (69,4 кН).
Геометрические характеристики расчетных сечений определяем в соответствии с
п. 8.15 настоящего руководства.
Для биссектрисного сечения 1-1:
расчетная площадь
Fр = 0,85hбb = 0,85·115·14 = 1370 см2
расчетный момент сопротивления определяем по
формуле (8.1) настоящего руководства с учетом в соответствии с
табл. 18 главы СНиП II-В.4-71 коэффициента
mб = 0,86 для высоты расчетного сечения
hр = 0,85·115 = 97 см:
Для сечений 1-2 и 1-3:
расчетная площадь
F1-2 = F1-3 = hуb = 92·14 = 1285 см2;
расчетный момент сопротивления с учетом коэффициента mб = 0,87 для hу = 92 см
Проверка напряжений сжатия в биссектрисном
сечении 1-1 карнизного узла
Определяем приведенную высоту сечения с учетом переменной жесткости ригеля, стойки и полурамы (см.
п. 8.17 и
табл. 7 настоящего руководства), для которых:
длина стойки Sст = 2,8 м; h0 = hп = 40 см; h = hУ = 92 см;
длина ригеля Sр = 9,015 м, h0 = hк = 30 см, h = hУ = 92 см.
Применительно к характеру эпюры моментов коэффициенты жесткости принимаем для стойки по
схеме 6, а для ригеля - по
схеме 7 табл. 7 настоящего руководства:
Длина полурамы l0 = 2,79 + 9,015 = 11,81 м. Приведенные высоты равны:
для стойки
для ригеля
для сечения полурамы
Этим размерам соответствуют:
приведенная площадь
Fпр = 75,5·14 = 1055 см2;
гибкость
Расчетное сопротивление сжатию под углом

определяем по кривой
a,
рис. 1 главы СНиП II-В.4-71;
Rсм = 76 кгс/см
2 (7,6 МПа). Используя
формулу (8.3), определяем напряжение сжатия в биссектрисном сечении
1-1:
Проверка напряжений в сечениях 1-2 и 1-3, нормальных
к внешним кромкам стойки и ригеля и проходящих через вершину
внутреннего угла
Углы между направлениями нормальной силы и волокнами древесины:
для сечения
1-
2 (в стойке)

;
для сечения
1-3 (в ригеле)

.
Ввиду малости углов расчетное сопротивление древесины не уменьшается и

.
Проверка напряжений в раме с учетом устойчивости
По ригелю уложены панели покрытия, а к стойке присоединены стеновые панели шириной 150 см, максимальное расстояние между присоединяющими их связями меньше

, т.е. имеет место сплошное раскрепление растянутой кромки (см.
п. 4.2 настоящего руководства). В соответствии с
п. 8.18 и
4.6 настоящего руководства заменим ломаную полураму прямолинейным сжато-изогнутым элементом переменного сечения длиной от пяты стойки до точки нулевого момента в ригеле от равномерно распределенной нагрузки на всем пролете рамы, сохранив при этом значение расчетного момента
M1-1.
Координаты нулевой точки находим из уравнения
Заменив в этом уравнении величину ординаты ее выражением

, в котором

, и подставив величины опорных реакций и расчетной нагрузки в уравнение момента, получим после преобразований квадратное уравнение
x2 - 13x + 36,7 = 0,
из которого x1 = 4,2 м, x2 = 8,8 м (коньковый шарнир), а величина
Условная расчетная длина будет равна:
lр = Sст + Sр = 2,8 + 4,1 = 6,9 м.
Приведенная высота сечения рамы hпр = 75,5 см; радиус инерции rпр = 0,29·75,5 = 22 см, а гибкость
Нормальную силу определяем как полусумму N1-2 и N1-3, т.е.
Находим для сечений 1-2 и 1-3
В соответствии с
п. 4.6 настоящего руководства расчет выполняем по
формуле (4.10) с заменой

и

на

и

.
Гибкость рамы из плоскости изгиба
Коэффициент
k для вычисления

определяем интерполяцией по
п. 1 табл. 6 настоящего руководства:
Таким образом, устойчивость обеспечивается без постановки в карнизном узле дополнительных связей, раскрепляющих сжатую кромку.
Проверка болтовых соединений в накладках конькового узла
Конструкция узла и расчетная схема приведены на
рис. 35. На накладку действует поперечная сила
Qн от односторонней снеговой нагрузки, вызывающая в болтах растяжение силами
N1 и
N2:
а - общий вид; б - расчетная схема;
1 - клееная коньковая подкладка; 2 - болты диаметром 16 мм
Усилия в болтах:
N2 = 1710 - 920 = 790 кгс (7,9 кН).
Конструктивно ставим болты диаметром 16 мм;
Fбр = 2 см
2,
Fн = 1,35 см
2. Напряжение по ослабленному нарезкой сечению с учетом
k = 0,8 (глава СНиП II-В.4-71,
п. 3.4)
Проверка опорного сечения стойки рамы на скалывание
по клеевому шву
где Q = 5100 кгс (51 кН) - распор;
hп = 40 см - высота сечения на опоре.
Подставляя значения величин, получаем
Конструирование и расчет башмака могут быть выполнены так же, как и в
примере 8.1.
Пример 8.3. Запроектировать двухконсольную трехшарнирную дощатоклееную раму здания холодного склада с асбестоцементной кровлей по прогонам.
Исходные данные
Расчетная схема и конструкция рамы показаны на
рис. 36 и
37. Рама состоит из консольных ригелей переменного сечения и V-образных подкосных стоек постоянного сечения, связанных с ригелем двухсторонними накладками на болтах; полурамы соединяются в коньке непосредственным упором и подкладкой на болтах. Пролет рамы 24 м, вылет консолей 12 м, шаг рам 4,5 м. Угол наклона ригеля к горизонту

,

,

.
Рис. 36. Геометрическая схема, схема загружения и эпюра
моментов рамы
Рис. 37. Двухконсольная трехшарнирная рама. Общий вид
(прогоны связей не показаны)
Рамы несут холодную кровлю из волнистых асбестоцементных листов усиленного профиля ВУ-2, уложенных по прогонам, шаг прогонов по скату кровли 103 см и в плане - 1 м. Торцовые стены склада глухие, продольные - открытые. В плоскости кровли по длине здания предусмотрены связевые фермы, а против них в плоскости стоек - продольные связи, воспринимающие опорные давления ветровых ферм (см.
пример 11.3 раздела 11). Район строительства по снеговой нагрузке - III, по ветровой - II.
Расчетные сопротивления древесины:
на изгиб Rи = 130 кгс/см2 (13 МПа);
на скалывание Rск = 24 кгс/см2 (2,4 МПа).
Нормативные нагрузки на 1 м2 кровли:
постоянная от веса кровли и прогонов gн = 32 кгс/м2 (320 Н/м2);
временная снеговая pн = 100 кгс/м2 (1 кН/м2);
полная qн = 132 кгс/м2 (1,32 кН/м2).
Коэффициент перегрузки для собственного веса
n = 1,1. Коэффициент перегрузки для снега в соответствии с
п. 5.7 главы СНиП II-6-74 при отношении

равен:
n = 1,6.
Расчетные нагрузки на 1 м2 кровли:
постоянная gр = 32·1,10 = 35 кгс/см2 (350 Н/м2);
временная снеговая pр = 100·1,60 = 160 кгс/м2 (1600 Н/м2);
полная qр = 195 кгс/м2 (1950 Н/м2).
Нормативные нагрузки на 1 м ригеля:
от веса ригеля
от веса кровли и прогонов 32·4,5 = 144 кгс/м (1 44 кН/м);
суммарная постоянная gн = 224 кгс/м (2,24 кН/м);
временная (снеговая) Pн = 100·4,5 = 450 кгс/м (4,5 кН/м);
полная qн = 674 кгс/м (6,74 кН/м).
Коэффициент перегрузки для временной нагрузки на ригель при отношении

равен:
n = 1,57.
Расчетные нагрузки на 1 м ригеля:
постоянная gр = 224·1,10 = 246 кгс/м (2,46 кН/м);
временная (снеговая) Pр = 450·1,57 = 704 кгс/м (7,04 кН/м);
полная qр = 950 кгс/м (9,5 кН/м).
Ветровое давление на кровлю здания без продольных стен (положительное или отрицательное) определяем в соответствии с
табл. 8 главы СНиП II-6-74. На
рис. 38 приведены значения аэродинамических коэффициентов ветровой нагрузки и распределение ее вдоль одного ската рамы. Положительное ветровое давление, распределенное в пределах консоли по закону трапеции, должно учитываться при расчете прогонов кровли и консоли рамы, отрицательное давление (отсос), приложенное к ригелю, должно учитываться при расчете крепления элементов кровли.
Рис. 38. Ветровая нагрузка на консоль
а - аэродинамические коэффициенты в здании
б - схема ветровой нагрузки на консоль
Ветровая нагрузка
Ветровой напор для района строительства при высоте здания до 10 м составляет

, коэффициент перегрузки
n = 1,2. Расчетный ветровой напор

.
Дополнительную нагрузку от ветра учитываем для прогонов, расположенных на расстоянии 2 м от конца консоли. По
рис. 38 находим ее значение с учетом одновременного действия ветровой и снеговой нагрузок с помощью коэффициента сочетаний, равного в соответствии с главой
СНиП II-6-74 nс = 0,9:
Сопоставление нагрузок, приходящихся на 1 м
2 кровли с учетом и без учета ветровой нагрузки, приведено в
табл. 27. Расчетным является первое сочетание нагрузок, так как при учете ветровой нагрузки расчетная нагрузка увеличивается на 5%, а расчетное сопротивление древесины должно быть увеличено на 20% (см.
табл. 11 главы СНиП II-В.4-71).
Нагрузка | Нагрузка на кровлю, кгс/м2 |
без ветровой | с ветровой |
нормативная | расчетная | нормативная | расчетная |
Постоянная | 32 (320) | 45 (450) | 32 (320) | 45 (450) |
Снеговая | 100 (1000) | 160 (1600) | 90 (900) | 146 (1460) |
Ветровая | - | - | 20 (200) | 24 (240) |
| | ИС МЕГАНОРМ: примечание. Значение в графе "с ветровой нормативная" дано в соответствии с официальным текстом документа. | |
|
Полная | 132 (1320) | 205 (2050) | 42 (1420) | 215 (2150) |
Для расчета консоли рамы (см.
рис. 38) определяем равномерно распределенную ветровую нагрузку, вызывающую такой же изгибающий момент, как и действительная, из условия
откуда эквивалентная нагрузка на 1 м
2 равна:

, а нагрузка на 1 м консоли при шаге рам 4,5 м
pэкв = 21,8·4,5 = 98 кгс/м (980 Н/м).
В
табл. 28 приведены значения нагрузок на 1 м консоли ригеля по двум вариантам. Таким образом, для расчета консоли ригеля не следует учитывать ветровую нагрузку.
Нагрузка | Нагрузка на консоль рамы, кгс/м (Н/м) |
без ветровой | с ветровой |
нормативная | расчетная | нормативная | расчетная |
Постоянная | 224 (2240) | 246 (2460) | 224 (2240) | 246 (2460) |
Снеговая | 450 (4500) | 704 (7040) | 405 (4050) | 630 (6300) |
Ветровая | - | - | 88 (880) | 98 (980) |
Полная | 674 (6740) | 950 (9500) | 717 (7170) | 994 (9940) |
Расчет прогонов
Наклонно расположенные прогоны
(рис. 39) испытывают от вертикальной нагрузки косой изгиб, так как составляющая нагрузки, параллельная скату, не может быть воспринята асбестоцементными листами кровли. Расчет прогона производим по консольно-балочной схеме с длиной консоли
lк = 0,1465
l = 0,1465·450 = 66 см. Изгибающие моменты в средних пролетах и на опорах

. Для того чтобы в крайних пролетах сохранить те же сечения прогонов, что и в средних, используем карнизный свес и выпускаем кровлю и концы прогонов за торцовую стенку на величину

, которую подбираем из условия равенства моментов на консоли и в пролете:

, откуда

. Шаг прогонов в плане равен 1 м.
Рис. 39. Расчетная схема и деталь прогона
1 - элемент длиной 560 см; 2 - элемент длиной 614 см;
3 - элемент длиной 350 см; 4 - болт диаметром 12 мм;
5 - уголок 50 x 50 x 5 мм; 6 - гвозди
Нагрузки на прогон:
нормальная к скату
параллельная скату
Изгибающие моменты в расчетном сечении
Задаемся соотношением высоты поперечного сечения к его ширине

.
При уклоне ригеля 1:4

и, следовательно,
h/
b = 2.
Тогда
Условия прочности при косом изгибе
Подставив в него значения изгибающих моментов, моментов сопротивления и расчетного сопротивления, получим
откуда
Wx = 287 см
3 и

. Принимаем
h = 16 см,
b = 7,5 см. Для этих размеров имеем:
Суммарное напряжение
Прогиб прогона от равномерно распределенной нагрузки при принятых размерах консолей и пролета определяем по формуле
Суммарный прогиб балки при косом изгибе
Прогиб вычисляем от действия нормативной нагрузки, равной

расчетной. Напряжения изгиба от нормативной нагрузки будут:
Подставив эти значения в вышеприведенную формулу, получим
или
Расчет рамы
Определение усилий в элементах рамы. Рама рассчитывается, как трехшарнирная пролетом 24 м с консолями вылетом 12 м. Усилия в опорных подкосах получаются путем разложения опорных реакций на направления подкосов. При консолях, вылет которых равен половине пролета рамы, распор от нагрузки, расположенной по всей длине ригеля, равен нулю. Поэтому расчетным сочетанием нагрузок для ригелей и стоек будет: постоянная по всей длине ригеля и временная (снеговая) на половине этой длины. Величины расчетных изгибающих моментов, нормальных и поперечных сил, а также опорных реакций приводятся в
табл. 29, а эпюра изгибающих моментов дана на
рис. 36.
Элементы рамы | Сечение | Усилие | Величина усилия от | Изгибающий момент | Продольная сила |
собственного веса | снега |
на консоли | на полупролете | на полураме |
Ригель | 1 | M, тс·м | -0,57 | -6,32 | 3,39 | -2,93 | -3,5 | - |
| N, тс | -0,12 | 2,58 | -2,95 | -0,37 | - | -0,49 |
2 | M, тс·м | -2,56 | -13 | 4,46 | -8,54 | -11,1 | - |
| N, тс | -0,22 | 2,59 | -3,39 | -0,8 | - | -1,02 |
3 | M, тс·м | -6,4 | -20,06 | 1,62 | -18,44 | -24,84 | - |
| N, тс | -0,39 | 2,59 | -3,96 | -1,37 | - | -1,76 |
В | M, тс·м | -11,8 | -28 | -6,4 | -34,4 | -46,26 | - |
| N, тс | -0,49 | 2,59 | -4,36 | -1,73 | (-462,6) | -2,22 |
4 | M, тс·м | -11,88 | -32 | -2,35 | -34,35 | -46,2 | - |
| N, тс | 1,18 | 2,94 | 0 | 2,94 | - | -4,12 |
Б | M, тс·м | -12,6 | -37 | 0 | -37 | -49,6 | - |
| N, тс | 0,94 | 2,89 | -0,14 | 2,75 | - | 3,69 |
5 | M, тс·м | -3,14 | -9,1 | 0 | -9,1 | -12,24 | - |
| N, тс | -0,3 | 0,88 | 0 | 0,88 | - | 0,58 |
Подкос 1 | Д1 | N, тс | -3,14 | -10,4 | 1,26 | -9,14 | - | -12,28 |
Подкос 2 | Д2 | N, тс | -3,14 | -1 | -8,14 | -9,14 | - | -12,78 |
Опора | | A, тс | 5,87 | 10,65 | 6,5 | 17,15 | - | 23,02 |
H, тс | 0 | 3,2 | -3,2 | 0 | - | |
Коньковый шарнир | | Q, тс | 0 | 2,14 | -2,14 | 0 | - | |
H, тс | 0 | 3,22 | -3,22 | 0 | - | |
--------------------------------
<*> При загружении снеговой нагрузкой только консоли для одного полупролета.
Подбор сечений элементов рамы
Сечение ригеля принимаем прямоугольным постоянной высоты между подкосами и переменной - за их пределами, из слоев толщиной 4,5 см, шириной 21 см. Сжатая кромка ригеля раскреплена в месте опирания подкосов продольными прогонами и продольными связями, а в коньке и на концах консоли ригель раскреплен продольными элементами связевых ферм. Расчетный изгибающий момент от постоянной и снеговой нагрузки (в опорном сечении консоли) Mб = 49,6 тс·м (496 кН·м).
Производим предварительный подбор сечения без учета нормальной силы ввиду незначительной ее величины. Предполагаем, что высота сечения консоли на опоре будет 1/20 пролета рамы, т.е. больше 1 м, чему соответствует коэффициент
mб = 0,8 (см.
табл. 18 главы СНиП II-В.4-71). Задаемся величиной

(см.
раздел 4 настоящего руководства). Тогда требуемая высота сечения будет
Высоту конца консоли назначаем равной 40 см. Тогда
Момент сопротивления на опоре
Нормальная сила в консоли, равная 3,93 тс (39,3 кН) разгружает сжатую кромку; ввиду малой величины в расчете ее не учитываем. Производим проверку сечения с учетом устойчивости плоской формы изгиба. Находим предварительно по
формуле (4.8) настоящего руководства
где b = 21 см - ширина сечения;
lр = 10 м - свободная длина сжатой кромки;
h =
hпр - приведенная высота сечения, определяемая с учетом коэффициента
kж по
схеме 7 табл. 7 настоящего руководства.
Тогда
Растянутая кромка консоли раскреплена прогонами кровли, присоединенными к связевым фермам. Шаг прогонов
(см.
п. 4.2 настоящего руководства). Следовательно, имеет место сплошное раскрепление растянутой кромки, что должно быть учтено в соответствии с
п. 4.5 настоящего руководства.
Этому значению

во второй строке
табл. 4 соответствует

, и напряжения сжатия в расчетном сечении будут в соответствии с
формулой (4.7) настоящего руководства равны:
что меньше расчетного сопротивления, равного 130 кгс/см
2 (13 МПа). Принятый для сечения
Б ригеля (см.
рис. 36) размер поперечного сечения, равный 126 см, оставляем для участка
Б-В. Высоту ригеля в коньке принимаем такой же, как на конце консоли. При получающихся соотношениях высот сечения (
h0/
h >= 0,3) в соответствии с
п. 8.13 настоящего руководства необходимо проверить ригель на участке
Б-В. Свободная длина сжатой кромки на этом участке равна расстоянию между прогонами вертикальных связей
lр = 3,5 м.
Аналогично предыдущему при величине коэффициента
k = 140 (см.
табл. 6) находим

;

;

. Изгибающий момент в сечении
4 равен:
M = 46 200 кгс·м (462 кН·м), а напряжения

, что удовлетворяет условиям прочности с учетом устойчивости плоской формы изгиба.
Сечение В ослаблено врубкой глубиной 15 см, и поэтому требуется проверить его прочность на изгиб на действие изгибающего момента M = 46,2 тс·м (462 кН·м). Для этого сечения расчетная высота h = 126 - 15 = 111 см, момент сопротивления Wx = 42 300 см3, коэффициент mб = 0,83. Величина изгибающих напряжений
что меньше расчетного сопротивления, равного 130 кгс/см2 (13 МПа).
Проверяем на скалывание опорное сечение ригеля В со стороны большого пролета. Поперечная сила в этом сечении
Касательные напряжения по
формуле (6.6) настоящего руководства равны:
Подкосы Д
1 и Д
2 работают на центральное сжатие от действия сил, равных 12,28 тс (122,8 кН) (см.
табл. 29). Они присоединяются лобовым упором к ригелю
(рис. 40) в точках Б и В (в точке В с помощью врубки). Ширина сечения подкосов такая же, как и у ригеля, - 21 см. Минимальную высоту сечения определяем исходя из расчетного сопротивления смятию древесины под углом

в точке Б и

в точке В.
1 - ригель рамы; 2 - подкос сечением 270 x 210 мм;
3 - накладка сечением 190 x 90 мм; 4 - болты
диаметром 12 мм; 5 - прогоны продольных связей
6 - гнутые накладки для крепления прогонов
По кривой
а (
рис. 1 главы СНиП II-В.4-71) находим
Rсм84 = 31 кгс/см
2, соответственно площадь

и
Конструктивно принимаем высоту сечения подкоса
h = 27 см (6 слоев по 4,5 см). Площадь сечения при этом равна 567 см
2. Длина подкоса Д
2 = 412 см (см. узлы на
рис. 37 и
42). Гибкость
Коэффициент продольного изгиба по
рис. 3 главы СНиП II-В.4-71

. Величина сжимающих напряжений
Присоединение подкосов к ригелю (см.
рис. 40) осуществляется с помощью двухсторонних деревянных накладок на болтах. В нижней зоне ригеля к нему с двух сторон примыкают парные прогоны продольных связей, располагаемые в плоскости подкоса (см. конструкцию и расчет связей в
примере 11.3, там же приведен расчет накладок и присоединяющих их болтов).
На
рис. 41 показан вариант узла без врубки подкоса в ригель; подкос упирается в подкладку, приклеенную к ригелю после его изготовления и дополнительно укрепленную стальными нагелями. Сдвигающая сила, на которую работает подкладка,

. Размеры подкладки назначены конструктивно - 108·21 см. Напряжения скалывания при этом равны:
а - подкладка, присоединяемая к ригелю после его
изготовления; б - нагели (остальные элементы узла
Соединения ригелей в коньковом узле выполнены непосредственным упором, симметрично относительно оси сечения с помощью накладок на болтах. Расчет аналогичного сопряжения приведен в предыдущем примере. В опорном узле
(рис. 42) оба подкоса упираются в фундамент через торцы и конструктивно соединяются болтами.
Рис. 42. Узел III (опорный)
1 - подкос; 2 - гнутая соединительная накладка; 3 - болты
диаметром 12 мм; 4 - анкерный болт диаметром 20 мм; 5 - два
слоя битуминизированного картона на битуме; 6 - фундамент
Прогиб консоли определяем от нормативной нагрузки
qн = 674 кгс/м (6,74 кН/м) (см.
табл. 28). Рассматриваем прогиб консоли на участке от ее конца до оси опоры на длине 12 м.
Влиянием нагрузки на ригеле, уменьшающей прогиб консоли, пренебрегаем. Эпюра изгибающих моментов от нормативной нагрузки на этом участке приведена на
рис. 43. Значения моментов МБ = 34 тс·м (340 кН·м),
M4 = 28,2 тс·м (282 кН·м).
Рис. 43. К определению прогиба консоли
Прогиб определяем с помощью интеграла Мора

, для чего строим эпюру моментов от единичного груза
P = 1, прилагаемого к концу консоли,

,

. Интеграл вычисляем перемножением эпюр
M и

на участках
l1 и
l2; переменность сечения консоли на участке
l1 учитываем введением коэффициента по
п. 7 табл. 7
Момент инерции сечения в точке Б и на участке Б-4
На участке консоли А-Б
На участке Б-4
Суммарный прогиб
f = f1 + f2 = 4,73 + 1,45 = 6,18 см.
9. ФЕРМЫ. ОСНОВНЫЕ ПОЛОЖЕНИЯ ПО ПРОЕКТИРОВАНИЮ
9.1. Фермы для покрытий рекомендуются однопролетные с дощатоклееным верхним поясом следующих типов:
а) при рулонных кровлях - сегментные, многоугольные, пятиугольные, шпренгельные и с параллельными поясами (или с уклоном верхнего пояса 1/10 - 1/20). В сегментных и многоугольных фермах, а также в пятиугольных при уклоне верхнего пояса не менее 1/4 допускается применение стальных кровель;
б) при асбестоцементных, шиферных, стальных и т.п. кровлях - треугольные (с решеткой и без решетки).
9.2. Рекомендуется назначать следующие величины высот ферм (по середине пролета между осями поясов):
сегментных, многоугольных, пятиугольных, шпренгельных и с параллельными поясами - 1/6 пролета;
треугольных с решеткой - 1/5 пролета;
треугольных без решетки - 1/5 - 2/3 пролета;
металлодеревянных всех типов - 1/6 пролета.
Минимальная допустимая высота треугольных металлодеревянных ферм без решетки 1/8, а всех остальных типов ферм - 1/7 пролета.
Пролеты ферм могут приниматься для:
сегментных, многоугольных, пятиугольных, с параллельными поясами и треугольных с решеткой - до 36 м;
треугольных без решетки, пологих (при отношении высоты к пролету 1/8 - 1/5) - до 18 м, а высоких (при отношении высоты к пролету 1/3 - 2/3) - до 45 м;
шпренгельных - до 15 м.
9.3. Сечение верхнего пояса ферм всех типов принимается прямоугольным из горизонтальных слоев. При надлежащем технико-экономическом обосновании верхний пояс треугольных ферм без решетки может быть принят иного поперечного сечения. Нижний пояс выполняется обычно из профильной или круглой стали; при надлежащем заводском контроле допускается применение дощатоклееного нижнего пояса. Решетка выполняется из цельных или дощатоклееных элементов. Высокие треугольные фермы, не имеющие решетки, проектируют, как правило, с размещением затяжки в конструкции пола или без затяжки с опиранием верхних поясов непосредственно на фундаменты.
9.4. Верхний пояс сегментных ферм рекомендуется неразрезным на весь пролет либо на его половину или разрезанным в узлах и собираемым из гнутоклееных блоков, если по условиям заводской технологии и транспортирования пояс не может быть изготовлен на весь пролет фермы. Применение неразрезного пояса предусматривает заводскую сборку фермы и перевозку ее в целом виде и предпочтительнее с точки зрения большей жесткости пояса, снижения трудоемкости монтажа и расхода материалов.
При неразрезном верхнем поясе рекомендуется нижний пояс разбивать на панели одинаковой длины, а раскосы назначать таким образом, чтобы длина первой от опорного узла панели верхнего пояса была не более 0,7 длины остальных панелей. При верхнем поясе из отдельных блоков, стыкуемых в узлах, верхний пояс разбивается на панели одинаковой длины (см.
пример 9.1).
9.5. Верхний пояс многоугольных ферм проектируется из отдельных блоков, стыкуемых в узлах.
9.6. В фермах с прямолинейным верхним поясом последний, как правило, устраивается неразрезным от опорного до конькового узла. В фермах с параллельными поясами пролетом до 30 м весь верхний пояс рекомендуется проектировать неразрезным. В тех случаях, когда не может быть обеспечено изготовление или транспортирование целых ферм, они могут изготовляться и перевозиться в виде отдельных укрупненных блоков или элементов, собираемых на месте строительства.
9.7. Фермы проектируются с минимально возможным числом узлов; длину панелей верхнего пояса рекомендуется принимать не менее 5 м.
9.8. Стыки элементов верхнего пояса осуществляются, как правило, в узлах или вблизи узлов непосредственным упором; в случае присоединения в стыке раскосов с большими усилиями стыковка торцов может производиться через вкладыш, к которому прикрепляются стальные планки решетки; стыки перекрываются деревянными или стальными накладками.
9.9. Присоединение решетки к поясам следует выполнять в соответствии с требованиями
п. 6.21 главы СНиП II-В.4-71.
9.10. Поясам ферм следует придавать строительный подъем, равный 1/200 пролета.
9.11. Продольные усилия в элементах ферм с указанными в
п. 9.2 соотношениями высоты и пролета в соответствии с
п. 6.19 главы СНиП II-В.4-71 определяются в предположении шарниров в узлах; проверку прогиба при этом допускается не производить. Фермы с меньшими отношениями высоты к пролету следует рассчитывать с учетом дополнительных напряжений, возникающих в неразрезных поясах в результате прогиба ферм с учетом деформаций податливых соединений, которые принимаются в соответствии с
табл. 22 главы СНиП II-В.4-71.
9.12. При определении расчетных усилий в элементах фермы принимаются следующие сочетания постоянной и временной (снеговой) нагрузок: постоянная и временная нагрузки по всему пролету - для определения продольных усилий в поясах всех типов ферм, а также во всех элементах треугольных ферм; постоянная нагрузка по всему пролету и временная на половине пролета - для определения продольных усилий в решетке всех типов ферм, кроме треугольных.
Примечания: 1. В фермах с фонарями расположение снеговой нагрузки принимается с учетом коэффициентов по
табл. 5 главы СНиП II-6-74.
2. В фермах с подвесным эксплуатационным потолком дополнительно к весу оборудования и материалов принимается временная нагрузка 75 кгс/м
2 (750 Н/м
2) (см.
табл. 3 главы СНиП II-6-74), расположенная по всему пролету.
3. Расположение временной нагрузки от подвесного оборудования принимается в соответствии с заданием на проектирование.
4. При расчете верхнего пояса ферм с внеузловой нагрузкой и внецентренно приложенной осевой силой проверку напряжений в расчетной панели следует производить для загружения временной нагрузкой на всем пролете и на половине пролета слева и справа.
9.13. Сегментные фермы целесообразно проектировать с расположением вертикальной нагрузки по всему верхнему поясу. Поэтому при устройстве теплого эксплуатируемого подвесного потолка рекомендуется подвешивать его к верхнему поясу в узлах и между узлами, создавая таким образом межузловую нагрузку, разгружающую панели верхнего пояса.
9.14. Расчет верхнего пояса на прочность и устойчивость как в плоскости, так и из плоскости ферм производится в соответствии с главой
СНиП II-В.4-71 и указаниями
раздела 4 настоящего руководства.
9.15. Изгибающие моменты в пролетах
Mпр и на опорах
Mоп панелей неразрезного пояса сегментных ферм определяются для крайних (опорных) панелей по формулам:
при равномерно распределенной нагрузке интенсивностью q

(9.1)
при одном сосредоточенном грузе P по середине панели

(9.2)
Для средних панелей фермы изгибающие моменты определяются по формулам:
при равномерно распределенной нагрузке

(9.3)
при одном сосредоточенном грузе по середине панели

(9.4)
Здесь l - горизонтальная проекция панели между центрами узлов;
N - расчетное продольное усилие в панели;

- стрела подъема панели, зависящая от длины хорды между центрами узлов
lп и радиуса верхнего пояса фермы
r, определяемого из выражения
в котором h - высота фермы в середине пролета между осями поясов, а L - пролет фермы.
9.16. Изгибающий момент в панелях разрезного верхнего пояса сегментных ферм принимается равным:
где M0 - изгибающий момент в свободно лежащей балке пролетом l;
N - продольная сила;
f - стрела подъема панели.
9.17. В фермах с прямолинейными неразрезными поясами при расположении нагрузки от кровли непосредственно на верхнем поясе изгибающие моменты определяются, как в неразрезной балке, а продольные усилия в элементах - в соответствии с
п. 9.11 настоящего руководства.
9.18. Прямолинейные панели поясов ферм прямоугольного сечения, несущие внеузловую нагрузку от покрытия или подвесного потолка, должны быть проверены на скалывание по клеевому шву по
формуле (6.6) настоящего руководства. Проверка на скалывание поясов прямоугольного сечения сегментных ферм не производится.
9.19. В тех случаях, когда это позволяет конструкция узлов ферм с прямолинейными или ломаными верхними поясами, при межузловой нагрузке рекомендуется обеспечивать передачу сжимающих усилий в верхних поясах с эксцентриситетом, создающим обратный (разгружающий) изгибающий момент. При этом в случае внецентренного опирания (частью сечения) прямоугольного верхнего пояса на стальной опорный башмак следует учитывать местную концентрацию скалывающих напряжений. Для расчета на скалывание по клеевому шву в этом случае в
формулу (6.5) вводится коэффициент
Kск, принимаемый по
рис. 44.
Рис. 44. Коэффициенты Kск, учитывающие влияние опирания
пояса на башмак частью сечения
9.20. Расчетную длину
lр сжатого пояса при расчете на устойчивость в плоскости ферм следует принимать:
а) в фермах с неразрезным верхним поясом и расположением нагрузки от покрытия по его длине:
при проверке напряжений сечения в пролете крайней (опорной) панели lр = 0,8lп, а в средних панелях lр = 0,6lп;
при проверке напряжений в опорном сечении панели (над узлами присоединения решетки) lр = 0,2lп;
б) в фермах с разрезным в узлах верхним поясом, а также в фермах с неразрезным верхним поясом, но с узловым приложением нагрузки lр = lп (lп - расстояние между центрами узлов в фермах с прямолинейным верхним поясом или длина хорды между центрами узлов сегментных ферм).
9.21. Расчетную длину сжатого верхнего пояса при расчете из плоскости фермы принимают равной расстоянию между прогонами или другими элементами кровли, присоединенными к горизонтальным связевым фермам или устойчивым торцовым стенам в соответствии с указаниями
раздела 11 настоящего руководства.
9.22. Расчетную длину сжатых элементов решетки принимают равной расстоянию между центрами узлов, к которым они присоединяются.
Пример 9.1. Запроектировать металлодеревянную сегментную ферму с дощатоклееным верхним поясом и решеткой под рулонную кровлю по утепленным панелям с асбестоцементными обшивками.
Исходные данные
Требуется рассчитать металлодеревянную ферму пролетом 24 м при шаге ферм 6 м. Район строительства по снеговой нагрузке IV. В соответствии с
п. 9.2 настоящего руководства высота фермы принята
h = 3,43 м (
1/
7 пролета). Радиус кривизны верхнего пояса фермы

Конструктивные решения элементов фермы приняты в двух вариантах верхнего пояса прямоугольного сечения из слоев толщиной 3,5 см: разрезанным в узлах на отдельные гнутоклееные блоки и неразрезным на весь пролет фермы. Нижний пояс принят из парных уголков. Решетка фермы треугольная; разбивка узлов решетки выполнена также в двух вариантах, исходя из членения нижнего пояса на четыре равные панели длиной 6 м и исходя из членения верхнего пояса на пять равных панелей длиной 5,06 м. Первое членение
(рис. 45) рационально для неразрезного пояса [см.
п. 9.3 и
формулы (9.1) и
(9.3) настоящего руководства], так как горизонтальная проекция первой панели в два раза короче остальных. Членение на равные части (см.
рис. 47) верхнего пояса целесообразно при разрезном поясе. Присоединение раскосов к верхнему поясу принято с помощью стальных планок: в неразрезном варианте пояса с помощью центрального болта, стальных накладок и глухарей (см.
рис. 52), а в разрезном - с помощью центрального болта, деревянных накладок и стального вкладыша (см.
рис. 53), а также без вкладыша (см.
рис. 54). Присоединение планок раскосов к нижнему поясу осуществляется с помощью центрального болта (см.
рис. 55). Соединение верхнего и нижнего поясов в опорном узле предусмотрено с помощью стального башмака (см.
рис. 49).

Рис. 45. Схема фермы с неразрезным верхним поясом
Расчетные сопротивления древесины:
сжатию и изгибу Rс = Rи = 130 кгс/см2 (13 МПа);
растяжению Rр = 100 кгс/см2 (10 МПа);
скалыванию Rск = 24 кгс/см2 (2,4 МПа).
Расчетные сопротивления стали растяжению, сжатию и изгибу R = 2100 кгс/см2 (210 МПа).
Нагрузки
Нагрузки на горизонтальную проекцию покрытия складываются из веса панели покрытия 65 кгс/м
2 (650 Н/м
2) и двух слоев рубероида 8 кгс/м
2, (80 Н/м
2), собственного веса фермы и веса снегового покрова, принимаемого для IV географического района равным
p0 = 150 кгс/м
2 (1,5 кН/м
2). В соответствии с
п. 2 табл. 5 главы СНиП II-6-74 вводим к снеговой нагрузке коэффициент
c, учитывающий форму покрытия:
откуда нормативная снеговая равномерно распределенная нагрузка составит:
Собственный вес фермы определяется в соответствии с
прил. 3 по формуле
gс.в = k(g + pвр);
где g - постоянная нагрузка от элементов покрытия, т.е. панелей и рулонного ковра, равная 73 кгс/м2 (730 Н/м2);
pвр - временная (снеговая) нагрузка pн = 131 кгс/м2 (1310 Н/м2);
k - коэффициент, определяемый по графику
прил. 3 (при
Kсв = 2,5 и
l = 24 м), равный 0,065.
Подставив эти значения в вышеприведенную формулу, получим
gс.в = 0,065(73 + 131) = 13 кгс/м2 (130 Н/м2).
Постоянная нормативная нагрузка равна: gн = 65 + 8 + 13 = 86 кгс/м2 (860 Н/м2), коэффициент перегрузки 1,1, а постоянная расчетная нагрузка gр = 86·1,1 = 95 кгс/м2 (0,95 кН/м2).
Коэффициент перегрузки для снега определяем по
табл. 5 главы СНиП II-6-74 в зависимости от отношения
По интерполяции находим
n = 1,56, откуда расчетная снеговая нагрузка

.
При снеговой нагрузке по второму варианту
п. 2 табл. 5, т.е. распределенной по закону треугольника, коэффициент
c2 для отношения
f/
l =
1/
7 по интерполяции будет равен 1,8 и ордината снеговой нагрузки будет равна:
Расчетная нагрузка на ферму при шаге 6 м:
постоянная g = 95·6 = 570 кгс/м (5,7 кН/м);
временная (снеговая) p' = 205·6 = 1230 кгс/м (12,3 кН/м);
p" = 420·6 = 2520 кгс/м (25,2 кН/м);
полная q = g + p' = 1800 кгс/м (18 кН/м).
Определение усилий в элементах фермы
Схемы загружения в соответствии с
п. 9.12 настоящего руководства принимаем для определения максимальных усилий в поясах - постоянную и снеговую нагрузки на всем пролете фермы, а для определения расчетных усилий в решетке - постоянную нагрузку на всем пролете фермы и снеговую на половине пролета фермы (равномерно распределенную и по закону треугольника); при этом сочетании нагрузок определяются также усилия в верхнем поясе фермы. Величины усилий в элементах фермы, полученные по диаграмме Кремоны, по
рис. 45, приведены в
табл. 30.
Схема загружения | Усилия в элементах фермы, тс (кН), для |
верхнего пояса |
О1 | О2 | О3 |
1 | | -40,2 (-402) | -38 (-380) | -35,6 (-356) |
2 | | - | -29,5 (-295) | - |
3 | | -32,6 (-326) | -26 (-260) | - |
Продолжение табл. 30
Схема загружения | Усилия в элементах фермы, тс (кН), для |
нижнего пояса | раскосов |
U1 | U2 | Д1 | Д2 | Д3 |
1 | | 35,6 (356) | 37 (370) | -1,68 (-16,8) | 1,14 (11,4) | 3,56 (35,6) |
2 | | - | - | 2,8 (28) | -1,85 (-18,5) | -3,56 (-35,6) |
3 | | - | - | 3,56 (35,6) | -2,8 (-28) | -3,4 (-34) |
а) Подбор сечения верхнего пояса в неразрезном варианте
Для неразрезной схемы фермы в случае разбивки ее на панели таким образом, что проекция первой панели вдвое меньше второй, расчетной является вторая (средняя) панель пояса. Стрела подъема панели (см.
п. 9.15 настоящего руководства) равна:
Верхний пояс принимаем высотой 31,5 см из девяти слоев толщиной 3,5 см и шириной 15 см, т.е. площадь поперечного сечения в пролете панели
Fр = 31,5·15 = 472,5 см
2, а на опоре, за вычетом ослабления болтом в узле,
Fн = 448 см
2 (рис. 46). Отношение толщины слоя к радиусу

, откуда
mгн = 1 (см.
табл. 12 главы СНиП II-В.4-71).
Рис. 46. Поперечное сечение верхнего неразрезного пояса
Для высоты сечения 31,5 см
mб = 1,15 (
табл. 18 главы СНиП II-В.4-71).
Момент сопротивления сечения
Панель проверяем на два сочетания нагрузок: от собственного веса и снега на всем пролете и от собственного веса на всем пролете и снега на половине пролета фермы. Гибкость панели (с учетом
п. 9.20 настоящего руководства) для проверки сечения в пролете средней панели равна:
а для проверки сечения на опоре
Для обоих сочетаний нагрузок вычисляем изгибающие моменты по формулам
п. 9.15 настоящего руководства

и

Коэффициент

находим по
формуле (21), а нормальные напряжения - по
формуле (20) главы СНиП II-В.4-71. Результаты расчета сведены в
табл. 31, из которой видно, что опасным оказалось сечение на опоре при втором сочетании нагрузок (третья схема загружения).
Сечение панели | | Расчетные величины усилий в панели фермы |
M, кгс·м (кН·м) | N, тс (кН) | |  , кгс/см 2 (МПа) |
В пролете | 1 | 50 (0,5) | 38 (380) | 0,67 | 83,5 (8,35) |
2 | 635 (6,35) | 29,5 (295) | 0,75 | 92 (9,2) |
3 | 910 (9,1) | 26 (260) | 0,83 | 94 (9,4) |
На опоре | 1 | -100 (-1) | 38 (380) | 0,96 | 90 (9) |
2 | -1270 (-12,7) | 29,5 (295) | 0,97 | 112 (11,2) |
3 | -1820 (-18,2) | 26 (260) | 0,97 | 125 (12,5) |
б) Подбор сечения верхнего пояса в разрезном варианте
при разбивке пояса на панели одинаковой длины (рис. 47)
Рис. 47. Схема фермы с разрезным верхним поясом
Принимаем сечение пояса высотой 38,5 см из 11 слоев толщиной 3,5 см и шириной 15 см
(рис. 48), т.е. площадь поперечного сечения
F = 38,5·15 = 587 см
2; момент сопротивления
W = 4220 см
3.
Рис. 48. Поперечное сечение верхнего разрезного пояса
Значения усилий в первой и второй панелях, изгибающих моментов, вычисленных по
формуле (9.5) настоящего руководства, и нормальных напряжений приведены в
табл. 32, из которой видно, что расчетной является первая панель при снеговой нагрузке по треугольнику (третья схема загружения).
Номер панели | Проекция панели, м | f, м | | Расчетные величины усилий в панелях ферм |
M, кгс·м (кН·м) | N, тс (кН) | |  , кгс/см 2 (МПа) |
1 | 4,5 | 0,147 | 1 | -1100 (-11) | 38 (380) | 0,68 | 103 (10,3) |
| | | 2 | 38 (0,38) | 31 (310) | - | - |
| | | 3 | -2350 (-23,5) | 29,3 (293) | 0,75 | 124 (12,4) |
2 | 4,97 | 0,147 | 1 | -220 (-2,2) | 37 (370) | - | - |
| | | 2 | -1430 (-14,3) | 28 (280) | 0,76 | 102 (10,2) |
| | | 3 | -1400 (-14) | 24,5 (245) | - | - |
в) Подбор сечения нижнего пояса
Максимальное растягивающее усилие в нижнем поясе 35,6 тс (356 кН). Пояс принимаем из стальных уголков. При расчетном сопротивлении стали Rр = 2100 кгс/см2 (210 МПа) необходимая площадь сечения уголков
Принимаем сечение из двух уголков 90 x 56 x 6 мм, суммарное сечение которых равно 17,08 см2.
г) Подбор сечения раскосов
Максимальное сжимающее и растягивающее усилие в раскосах (см.
рис. 45)
Д3 = +/- 3,56 тс (см.
табл. 30). Длина раскоса между центрами узлов
l = 4,4 м; исходя из предельной гибкости

(см.
табл. 19 главы СНиП II-В.4-71), наименьший допустимый размер поперечного сечения раскосов
Принимаем
h = 12 см. Тогда гибкость раскоса будет равна:

, а коэффициент

. Ширину сечения раскоса принимаем равной ширине пояса, т.е. 15 см. Площадь поперечного сечения
F = 180 см
2. Напряжения сжатия в раскосе
Все остальные раскосы принимаем того же сечения - 12 x 15 см. Стальные планки, присоединяющие раскосы в узлах, принимаем из полосы сечением 8 x 80 мм; крепление их к раскосам осуществляется с помощью глухарей и нагелей. Планки двух раскосов, сходящихся в узле, устанавливаются одна над другой (см.
рис. 52). Для обеспечения плотного прилегания накладок к раскосам ширина их в фермах с неразрезным поясом принимается равной ширине пояса плюс две толщины боковых накладок, т.е.
b = 15 + 0,8·2 = 16,6 см. При всех вариантах поясов у одной пары накладок привариваются подкладки толщиной

. Планки вблизи верхнего пояса стягиваются болтом диаметром 12 мм. Планки проверяем на сжатие, считая свободную длину от центра узлового болта до центра стяжного болта
l = 35 см. Гибкость планки
Этой гибкости соответствует коэффициент продольного изгиба

. Тогда напряжения сжатия будут равны:
Прикрепление планок к раскосу выполняем с помощью глухарей и стальных нагелей диаметром 12 мм. Допустимое усилие на один срез из условий работы нагеля на изгиб Tн = 250d2 = 250·1,22 = 360 кгс (3,6 кН), откуда число нагелей для прикрепления каждой планки
Минимальное расстояние между нагелями: вдоль волокон
s1 = 7
d = 7·1,2 = 8,4 см, а поперек волокон
s2 = 3,5
d = 4,2 см. Расстановка нагелей показана на
рис. 52 -
54.
д) Расчет опорного узла
Верхний пояс опирается на опорную плиту башмака, приваренную к вертикальным фасонкам и усиленную ребрами (
рис. 49,
50). Смятие торца верхнего пояса проверяем на действие сжимающего усилия
N = 40,2 тс (402 кН)
1 - упорная плита; 2 - боковые листы; 3 - уголок;
4 - опорная плита; 5 - уголки нижнего пояса 90 x 156 x 6 мм;
6 - сварные швы
Рис. 50. Расчетная схема башмака
а - поперечное сечение; б - вид с торца
(обозначения
1 -
5 - см.
рис. 49);
6 - сварные швы
Опорная плита рассчитывается приближенно, как балка таврового сечения длиной
l = 15 см, шириной 7,4 см с ребрами 80 x 8 мм (см. заштрихованную часть на
рис. 50). На расчетную часть плиты приходится
1/
3 усилия примыкающей панели верхнего пояса. Изгибающий момент от этого усилия
Требуемый для восприятия этого момента момент сопротивления (с учетом пластичности) находим из выражения
Для принятых размеров таврового сечения расстояние от центра тяжести до наиболее удаленного волокна z = 6,2 см, момент инерции Jx = 88,4 см4, а момент сопротивления
Опорное давление фермы от полной равномерно распределенной нагрузки равно:
Напряжение смятия под опорной плитой размером 20 x 25 составляет:
Изгибающий момент консольной части плиты (на ширине 1 см) от напряжений смятия при длине консоли l = 5,9 см
Необходимый момент сопротивления (с учетом пластичности)
откуда необходимая толщина плиты (при ширине 1 см)
Принимаем

.
Сварные швы, прикрепляющие уголки нижнего пояса к вертикальным фасонкам в опорном узле, должны воспринимать растягивающее усилие в первой панели нижнего пояса, равное 35,6 тс (17,8 тс на один уголок). Уголки привариваются к фасонке у обушка и пера. На обушок каждого уголка передаем 70% усилия, т.е. N' = 12 400 кгс, а на перо - 30% усилия, т.е. N" = 5400 кгс. Необходимая длина сварного шва при высоте шва h = 0,6 см у обушка равна:
Длина шва у пера
Конструктивно принято l' = 30 см, l" = 20 см.
Сварные швы, присоединяющие уголки к стыковым накладкам в узлах нижнего пояса (см.
рис. 55), должны воспринимать усилие, равное 37 тс (370 кН). Усилие на один уголок 18 500 кгс (185 кН). Усилие, приходящееся на швы у обушка,
U' = 0,7·18 500 = 12 950 кгс (129,5 кН), а на швы у пера 5550 кгс (55,5 кН). Необходимая длина швов у обушка должна быть при
h = 0,8 см не менее
Длина шва у пера при h = 0,6 см
Принимаем длину обоих швов равной по 15 см.
Узел верхнего пояса (второй от опоры) рассчитываем при схеме разбивки решетки фермы по
рис. 45. Усилия в раскосах (по
табл. 30):
Д2 = 1,85 тс (18,5 кН),
Д3 = 3,56 тс (35,6 кН). Их равнодействующая
R = 4 тс (40 кН) определена графически
(рис. 51).
Рис. 51. Определение усилия R для расчета
центрального болта
I вариант (неразрезной пояс) предусматривает установку центрального болта в заранее просверленное в поясе отверстие; боковые стальные накладки присоединяются к поясу с помощью глухарей после установки центрального болта
(рис. 52). Затем к центральному болту присоединяются планки раскосов. Такая последовательность сборки позволяет учитывать совместную работу болта и глухарей, присоединяющих боковые накладки. При расчете на усилие
R, которое передается на накладки и пояс через центральный болт, работающий на срез, необходимая площадь сечения центрального болта из условий среза по двум плоскостям определяется по формуле
Рис. 52. Присоединение раскосов
к неразрезному верхнему поясу
1 - накладка; 2 - глухари диаметром 10 мм; 3 - центральный
болт диаметром 16 мм; 4 - планки раскосов; 5 - стяжные болты
диаметром 12 мм; 6 - глухари диаметром 12 мм
Принимаем болт d = 16 мм с площадью сечения F = 2 см2. Тогда толщина накладок из условий их смятия под болтом
Глухари и центральный болт, передающие усилие от накладок к поясу, работают как нагели. Угол смятия между направлением равнодействующей и волокнами пояса

. По
рис. 6 настоящего руководства находим величину коэффициента

. Усилие на один срез нагеля определяем по формулам
табл. 20 главы СНиП II-В.4-71 с учетом указаний
п. 5.15 а и
5.15 б по условию изгиба центрального болта
Соответственно для глухаря диаметром 12 мм
где c = 6 см - длина части глухаря, заделанной в древесине. Тогда при шести глухарях на каждой накладке получим
Tн = 2T1 + 2·6T2 = 2·625 + 12·252 = 4274 кгс (42,74 кН) >
> 4000 кгс (40 кН).
II вариант (разрезной пояс) предусматривает установку стальных вкладышей
(рис. 53) в узлах верхнего пояса между торцами соседних блоков размером 15 x 22 см. Смятие торца верхнего пояса от усилия в нем, равного 40,2 тс (402 кН), будет
Рис. 53. Присоединение раскосов к разрезному верхнему поясу
1 - деревянная накладка; 2 - болты диаметром 12 мм;
3 - стальной вкладыш; 4 - центральный болт диаметром 22 мм;
5 - планка раскосов; 6 - стяжные болты диаметром 12 мм
Изгибающий момент в пластинке вкладыша расчетной шириной 1 см может быть приближенно определен по формуле
где l = 5 см - расстояние между ребрами вкладыша;

.
Необходимый момент сопротивления пластинки составляет
W = 0,106 см
3, и соответственно толщина ее

. Узловой болт, воспринимающий равнодействующую усилий в раскосах, рассчитывается на изгиб от момента
Необходимый момент сопротивления W = 1,13 см3, а диаметр болта d = 2,24 см. Принимаем болт диаметром 22 мм. Деревянные накладки перекрывают стык панелей верхнего пояса и присоединяются конструктивно восемью болтами диаметром 12 мм.
В случае разрезного пояса без вкладышей с непосредственным лобовым упором
(рис. 54), центральный болт устанавливается в отверстие, просверленное в месте стыка панелей пояса, после чего к нему присоединяются стальные планки раскосов. Боковые деревянные накладки с заранее просверленными отверстиями для центрального болта надеваются на него, и весь пакет соединяется болтами. Центральный болт может рассматриваться как четырехсрезный, однако, учитывая различные условия его работы в поясе и в накладках, вводим коэффициент условий работы
m = 0,75. Тогда усилие, приходящееся на один срез болта в пределах пояса,
Рис. 54. Присоединение раскосов к разрезному верхнему поясу
1 - деревянные накладки; 2 - болты диаметром 12 мм:
3 - центральный болт диаметром 25 мм; 4 - планки раскосов;
5 - стяжные болты диаметром 12 мм
С учетом угла смятия 23°50' и соответствующего ему коэффициента

в соответствии с
пп. 5.14 и
5.15 главы СНиП II-В.4-71 находим диаметр болта по условию изгиба
Принимаем болт диаметром 25 мм. Болты, прикрепляющие стыковые накладки к поясу, ввиду очевидного запаса не проверяем.
Расчет узла нижнего пояса
В каждом узле нижнего пояса
(рис. 55) уголки прерываются и перекрываются пластинками сечением 10 x 120 мм. В центре пластинки просверлено отверстие для узлового болта. Диаметр болта определяется из условий его изгиба от силы, равной разности усилий в соседних панелях нижнего пояса. Максимальная разность усилий возникает при односторонней снеговой нагрузке и равна:
N = 4,45 тс (44,5 кН). Момент, изгибающий болт, равен:
где

- толщина пластины, присоединяющей раскос.
Рис. 55. Узел нижнего пояса фермы
1 - центральный болт диаметром 25 мм; 2 - накладки
120 x 10 мм; 3 - уголки нижнего пояса 90 x 56 x 6 мм;
4 - сварные швы, h = 8 мм; 5 - сварные швы, h = 6 мм;
6 - накладка 140 x 80 x 6 мм; 7 - планки раскосов
Необходимый диаметр болта при Rи = 2100 кгс/см2 (210 МПа) равен 2,33 см. Принимаем болт диаметром 25 мм.
Необходимо проверить стыковые накладки на растягивающее усилие U2 = 37 тс (370 кН). Напряжения в накладках с учетом ослабления их болтовыми отверстиями равны:
Сварные швы, присоединяющие уголки к накладкам, воспринимают 70% усилия среза у обушка
Усилие у пера уголка T2 = 18 500 - 13 000 = 5500 кгс (55 кН).
Необходимая длина шва у обушка при h = 8 мм
Длина шва у пера при h = 6 мм
Принимаем конструктивно оба шва по 15 см.
Пример 9.2. Запроектировать металлодеревянную безраскосную треугольную ферму с дощатоклееным верхним поясом прямоугольного сечения под утепленное покрытие с кровлей из волнистых асбестоцементных листов.
Исходные данные
Пролет фермы
l = 18 м, шаг ферм 3 м, высота

, угол наклона верхних поясов

,

,

,

.
Верхний пояс выполняется из слоев шириной 14 см и толщиной 4,5 см. Нижний пояс (затяжка) выполняется из арматурной стали класса А-III. По верхнему поясу уложены утепленные панели покрытия шириной 150 см а по ним - кровля из волнистых асбестоцементных листов. Район строительства - Московская область. Общий вид фермы показан на
рис. 56.
Рис. 56. Треугольная безраскосная ферма
I - опорный узел; II - стык затяжки; III - коньковый узел;
1 - опорный стальной башмак; 2 - дощатоклееный верхний пояс;
3 - стальные подвески; 4 - коньковые деревянные накладки;
5 - стальная затяжка
Нагрузки
Нормативные нагрузки на 1 м фермы:
постоянная (вес покрытия и фермы) gн = 250 кгс/м (2,5 кН/м);
временная (снеговая) p0 = 300 кгс/м (3 кН/м);
полная qн = 550 кгс/м (5,5 кН/м).
Отношение постоянной нагрузки к снеговой

; для этого значения в соответствии с
п. 5.7 главы СНиП II-6-74 находим коэффициент перегрузки
n = 1,47, а по
табл. 5 главы СНиП II-6-74 значение коэффициента
c = 1.
Расчетные нагрузки на 1 м фермы:
постоянная g = 250·1,12 = 280 кгс/м (2,8 кН/м);
временная (снеговая) p = 300·1,47 = 440 кгс/м (4,4 кН/м);
полная q = 720 кгс/м (7,2 кН/м).
Расчетные сопротивления древесины:
на сжатие и изгиб Rс = Rи = 130 кгс/см2 (13 МПа);
на скалывание Rск = 24 кгс/см2 (24 МПа).
Расчетное сопротивление стали R = 2100 кгс/см2 (210 МПа).
Определение усилий в элементах фермы
Ферма рассчитывается на два сочетания нагрузок
(рис. 57): постоянная и временная нагрузки по всему пролету (первое сочетание) и постоянная нагрузка по всему пролету и временная на половине пролета (второе сочетание).
Рис. 57. Расчетная схема и схема загружения фермы
а - первое сочетание нагрузок; б - второе сочетание нагрузок
При первом сочетании нагрузок:
опорные реакции
усилие в затяжке
сжимающие усилия в верхнем поясе
изгибающий момент от нагрузки по верхнему поясу
поперечная сила в верхнем поясе у опор
сила смятия в опорном сечении верхнего пояса
(рис. 58)
Рис. 58. К расчету опорного сечения
верхнего пояса фермы
При втором сочетании нагрузок:
опорные реакции
усилие в затяжке
сжимающее усилие в верхнем поясе у опоры
сила смятия в опорном сечении верхнего пояса
а) Подбор сечения верхнего пояса
Высоту сечения пояса определим из условия получения максимально допустимых скалывающих напряжений у опор фермы, для чего используем
формулу (6.5) настоящего руководства и введем в нее коэффициент
Kск по
рис. 44:
Для определения значения коэффициента
Kск зададимся отношением высоты упорной площадки к высоте сечения, равным 0,5, тогда по
рис. 44 настоящего руководства получим
Kск = 2,1 и, следовательно,

.
Принимаем h = 50 см.
б) Проверка напряжений в сечении верхнего пояса
с максимальным изгибающим моментом
Для принятых размеров имеем площадь поперечного сечения
F = 50 x 14 = 700 см
2, расчетный момент сопротивления (с учетом коэффициента
mб = 1,15 по
табл. 18 главы СНиП II-В.4-71)
Расчетная длина элемента верхнего пояса

а гибкость
При высоте опорной площадки
C = 0,5
h эксцентриситет приложения нормальной сжимающей силы равен:
e = 0,25
h = 0,25·50 = 12,5 см. Расчетный изгибающий момент в соответствии с
п. 9.12 настоящего Руководства:
при первом сочетании нагрузок
при втором сочетании нагрузок
В соответствии с
п. 4.14 главы СНиП II-В.4-71:
при первом сочетании нагрузок
при втором сочетании нагрузок
Сжатая кромка верхнего пояса раскреплена панелями покрытия шириной 1,5 м, что определяет расстояние между закрепляющими связями:
, и расчет производится без учета устойчивости плоской формы изгиба (см.
п. 4.2 настоящего Руководства). В соответствии с
формулой (20) главы СНиП напряжения сжатия в поясе составляют:
при первом сочетании нагрузок
при втором сочетании нагрузок
Таким образом, расчетным в данном примере является первое сочетание нагрузок.
в) Расчет опорного узла
Проверяем на смятие верхний пояс в месте упора. Сжимающая сила
N' = 14 550 кгс (145,5 кН). Угол между направлением волокон и нормалью к опорной площадке определяется величиной

и равен:

. Соответственно

. По
рис. 1 главы СНиП II-В.4-71

. Площадь смятия
(рис. 59):
а напряжения смятия
Рис. 59. Узел I (опорный)
1 - верхний пояс;
2 - боковые пластины башмака,

;
3 - болт
диаметром 16 мм; 4 - стержни затяжки диаметром 18 мм;
5 - опорная пластина,

;
6 - упорная пластина башмака,

;
7 - ребра упорной пластины
Башмак изготовляется из листа толщиной

. Его упорная пластина усилена ребрами (см.
рис. 59). Расчет ее может быть выполнен аналогично изложенному в предыдущем примере и здесь не приводится. Так же аналогично предыдущему рассчитывается опорная пластина (плита) башмака.
г) Расчет затяжки
Усилие в затяжке
H = 13 000 кгс (130 кН). Затяжка в пределах опорного узла выполнена из двух арматурных стержней класса А-III, а на среднем участке пролета - из одного стержня. Требуемая площадь двух стержней затяжки с учетом коэффициента
m2 = 0,85, учитывающего неравномерность распределения усилий между стержнями (
п. 3.4 главы СНиП II-В.4-71),
Принимаем два стержня диаметром 18 мм, F = 5,08 см2 > 4,5 см2.
Расчетные усилия в сварных швах, присоединяющих затяжку к башмаку, с учетом коэффициента неравномерности 0,85
Принимаем суммарную длину швов lш = (20 - 2)4 = 72 см.
Усилие, передающееся на 1 см шва,
Требуемая высота шва
где 0,5 - коэффициент расчетной высоты шва, присоединяющего круглый стержень к пластине.
Конструктивно принимаем h = 0,6 см.
Одиночный стержень среднего участка затяжки соединяется с парными стержнями с помощью муфты. Требуемая площадь сечения стержня в муфте будет

,
где Rр = 1700 кгс/см2;
0,8 - коэффициент ослабления резьбой.
Тогда
Принимаем стержень диаметром 45 мм под резьбу М-42, для которого Fбр = 12,56 см2; F = 0,8·12,56 = 10,25 см2 > 9,56 см2.
Принимаем суммарную длину сварных швов, присоединяющих концевой участок к стержням затяжки, l = 4·6 = 24 см. Усилие, передаваемое на 1 см шва, равно 540 кгс (5,4 кН), а требуемая высота шва h = 0,51 см. Принимаем h = 0,6 см.
Стяжную муфту выполняем из трубы по
ГОСТ 8732-70, труба ВН 30x10, материал трубы сталь Ст20, толщина стенок 8 мм. Площадь поперечного сечения муфты с учетом ослабления ее отверстием
(рис. 60)
Рис. 60. Узел II (стык затяжки)
1 - стяжная муфта; 2 - концевой стержень затяжки диаметром
45 мм; 3 - стержни затяжки диаметром 18 мм
д) Расчет конькового узла
Болты, присоединяющие накладки к поясу
(рис. 61), рассчитываем на поперечную силу от одностороннего загружения фермы снеговой нагрузкой
Рис. 61. Узел III (коньковый)
а - общий вид; б - расчетная схема накладки; 1 - пояс фермы;
2 - деревянные накладки толщиной 70 мм; 3 - болты
диаметром 14 мм
Тогда усилия в болтах (см.
рис. 61,
б)
| | ИС МЕГАНОРМ: примечание. Текст дан в соответствии с официальным текстом документа. | |
Принимаем толщину накладки 7 см и болты диаметром 1,4 см. Расчетное усилие на один срез болта по изгибу нагеля при смятии древесины поперек волокон (

см.
рис. 6 настоящего Руководства):
Tн = (180·1,4
2 + 2·7
2)0,72 = 323 кгс (3,23 кН) < 250
d2 = 488 кгс (4,88 кН). Ставим в сечении
1 два болта, тогда на четыре среза можно передать усилие

. В сечении
2 ставим один болт, на два среза которого можно допустить усилие
N = 3·323 = 646 кгс (6,46 кН).
10. ПАНЕЛИ (ПЛИТЫ) ПОКРЫТИЙ
10.1. Утепленные панели для покрытий рекомендуются следующих типов:
а) под рулонную трехслойную кровлю (один слой рулонного ковра наклеивается на заводе):
клеефанерные с двусторонними обшивками из водостойкой фанеры;
с двусторонними обшивками из плоских асбестоцементных листов на шурупах по деревянному каркасу;
с внешней обшивкой из плоских асбестоцементных листов и внутренней обшивкой из декоративного фибролита и других звукопоглощающих материалов на шурупах по деревянному каркасу;
б) под жесткую кровлю из волнистых асбестоцементных листов, стали и т.п.:
клеефанерные с нижней обшивкой из водостойкой фанеры по деревянному каркасу;
с нижней обшивкой из плоских асбестоцементных листов или декоративного фибролита и других звукопоглощающих материалов на шурупах по деревянному каркасу.
В качестве утеплителя рекомендуются минераловатные плиты на синтетическом связующем (ГОСТ 9573-72), укладываемые на нижнюю обшивку по слою наклеечной или покрасочной пароизоляции.
10.2. Панели предназначены для кровель отапливаемых зданий, как правило, с наружным отводом воды для районов с расчетной температурой наружного воздуха до -50 °C.
10.3. В панелях всех типов должна быть обеспечена сквозная естественная вентиляция внутренних полостей наружным воздухом. Вентиляция может осуществляться поперек или вдоль панели. В первом случае продольные ребра каркаса панели выполняются составными на коротких приклеиваемых прокладках, промежутки между которыми образуют вентиляционные отверстия, расположенные над слоем утеплителя. Во втором случае продольные ребра каркаса выполняются сплошными, а вентиляционные отверстия предусматриваются в торцовых и поперечных ребрах каркаса панели. В панелях, предназначенных для кровли из волнистых асбестоцементных листов, продольные ребра каркаса устраиваются сплошными, а поперечная вентиляция обеспечивается через волны кровельных листов.
Площадь вентиляционных отверстий определяется по расчету в зависимости от температурно-влажностного режима помещения, климатического района и протяженности вентилируемого ската.
10.4. Панели с продольным проветриванием могут укладываться непосредственно на несущие пролетные конструкции; в этом случае вентиляция их осуществляется вдоль здания. При опирании панелей на прогоны, уложенные на несущие конструкции, проветривание осуществляется вдоль ската от карниза к коньку; возможно также эти панели укладывать непосредственно на несущие конструкции, а проветривание осуществлять вдоль ската, устраивая над несущими конструкциями сборные каналы от карниза до конькового продуха. Панели с поперечным проветриванием предназначены для укладки непосредственно на несущие пролетные конструкции, вентиляция в этом случае осуществляется от карниза к коньку. Предпочтительнее устройство вентиляции поперек ската кровли.
10.5. Крепление панелей к несущим конструкциям в местах их опирания рекомендуется устраивать сверху. Конструкция крайних продольных ребер должна допускать выполнение утепленного стыка между панелями.
10.6. Рекомендуемые размеры панелей: номинальная ширина 1,5 м, высота 1/35 - 1/20 пролета, длина до 6 м при опирании на несущие конструкции, располагаемые поперек здания. При шаге несущих конструкций 3 м рекомендуется применять двухпролетные панели длиной 6 м и доборные длиной 3 м; укладка тех и других панелей должна выполняться вразбежку; при шаге несущих конструкций 4,5 и 6 м рекомендуются однопролетные панели номинальной длиной 4,5 и 6 м. В случае опирания панелей на несущие конструкции, расположенные вдоль здания, при двухскатных и односкатных кровлях допускаются также панели с номинальной длиной 9 и 12 м.
10.7. Обшивки клеефанерных панелей изготовляются из водостойкой фанеры толщиной не менее 6 мм, а деревянный каркас - из пиломатериалов хвойных пород II категории (см.
табл. 2 главы СНиП II-В.4-71). Каркас состоит из продольных ребер, размещаемых с шагом 0,5 м, торцовых ребер, а в панелях длиной более 3 м - также поперечных ребер, располагаемых с шагом более 3 м. Фанерные обшивки и продольные ребра каркаса, связанные между собой водостойким клеем в одно целое, образуют коробчатое или тавровое рабочее сечение.
10.8. Расчет клеефанерных панелей должен производиться в соответствии с указаниями
п. 4.23 главы СНиП II-В.4-71. Толщина нижней обшивки панелей определяется из условий работы ее на растяжение при изгибе целого коробчатого или таврового сечения. Толщина верхней сжатой обшивки определяется из условия устойчивости при работе на изгиб всего сечения и дополнительно проверяется на местный изгиб сосредоточенным грузом. Стыки фанерных обшивок рекомендуется выполнять "на ус" длиной 8 - 10 толщин фанеры. Допускается стыкование фанеры с помощью накладок. В случае применения для обшивок бакелизированной фанеры в зависимости от типа стыков ее (с двумя накладками или с одной накладкой) в уточнение коэффициента
Kф в
формуле (26) главы СНиП II-В.4-71 его величина принимается по
табл. 33 настоящего Руководства.
Стык | Коэффициент Kф при стыковании листов бакелизированной фанеры при отношении длины склейки к толщине листа фанеры |
4 | 8 | 12 | 16 | 20 |
С двумя накладками | 0,45 | 0,65 | 0,7 | 0,7 | 0,7 |
С одной накладкой | 0,16 | 0,19 | 0,22 | 0,25 | 0,29 |
10.9. Для панелей с асбестоцементными обшивками применяются плоские асбестоцементные листы размером 1,5 x 3 м, толщиной 8 - 10 мм. Продольные ребра устанавливаются с шагом 0,5 м, а поперечные по торцам и по середине длины под стыком асбестоцементных листов. Сплошные ребра панелей выполняются из целых досок, а при отсутствии нужного сортамента - клееными из брусков. Ребра, в которых необходимо устраивать вентиляционные отверстия, изготовляются клееными на коротких прокладках. Высота верхнего бруска и коротких прокладок принимается не более 5 см. Нижний брусок допускается применять целого сечения необходимой высоты.
Асбестоцементные листы присоединяются к каркасу шурупами с потайной головкой через раззенкованные отверстия диаметром на 2 мм больше диаметра шурупа и в расчетное сечение панелей не вводятся.
10.10. Верхняя обшивка рассчитывается на прочность и жесткость, как трехпролетная плита, находящаяся под воздействием собственного веса, веса кровли и снеговой нагрузки, и дополнительно проверяется на прочность под воздействием сосредоточенного груза P = 120 кгс при расчетной ширине плиты 100 см. Нижняя обшивка также рассчитывается, как трехпролетная плита, на воздействие ее собственного веса и веса утеплителя. Продольные сплошные ребра рассчитываются, как однопролетные или двухпролетные балки, а продольные ребра с вентиляционными отверстиями рассчитываются, как балки с короткими прокладками на жестких связях. Максимальный прогиб асбестоцементных листов от равномерно распределенной нормативной нагрузки не должен превышать 1/400 расстояния между осями продольных ребер. Максимальный прогиб продольных ребер от нормативной нагрузки не должен превышать 1/250 их расчетного пролета.
10.11. Неутепленные панели рекомендуются для покрытий под рулонную кровлю следующие:
клеефанерные с внешней обшивкой из водостойкой фанеры по деревянному каркасу;
с внешней обшивкой из плоских асбестоцементных листов на шурупах по деревянному каркасу.
Рекомендуемые размеры панелей, шаг ребер каркаса, требования к материалам и правила расчета такие же, как для утепленных панелей.
Примечание. В случае применения для неутепленных покрытий кровли из листовых материалов рекомендуется устраивать ее по прогонам, укладываемым непосредственно на несущие конструкции.
Пример 10.1. Запроектировать утепленную клеефанерную панель покрытия.
Исходные данные
Номинальные размеры панели
(рис. 62) в плане 1,5 x 6 м; обшивки из водостойкой фанеры марки ФСФ сорта В/ВВ по
ГОСТ 3916-69 (нижней толщиной 6 мм, верхней толщиной 9 мм); ребра из сосновых досок II категории. Клей КБ-3. Утеплитель - минераловатные плиты толщиной 8 см на синтетическом связующем по
ГОСТ 9573-72. Объемный вес утеплителя 100 кгс/м
3 (1 кН/м
3). Пароизоляции - из полиэтиленовой пленки толщиной 0,2 мм. Воздушная прослойка над утеплителем - вентилируемая вдоль панели. Район строительства - г. Смоленск.
Рис. 62. Клеефанерная утепленная панель покрытия
а - план; б - продольный разрез; в - поперечный разрез;
г - расчетная схема поперечного сечения; 1 - верхняя
фанерная обшивка,

;
2 - нижняя фанерная обшивка,

;
3 - утеплитель; 4 - пароизоляция; 5 - продольные ребра
из досок; 6 - поперечные ребра из досок; 7 - торцовая доска
для крепления панелей к несущим конструкциям
Каркас панели состоит из четырех продольных ребер с шагом
c = 47,4 см, высотой 17,4 см, толщиной 4,6 см. Ширина панели понизу 149 см, поверху 147 см. Ширина площадки опирания панели на несущую конструкцию 6 см. Расчетный пролет панели
lр = 594 см. Принятая высота панели
h = 18,9 см, что составляет

пролета.
Нагрузки на панель
Панели предназначены для укладки по балкам и фермам в зданиях без фонарей при уклоне кровли до 12% в районах со средней скоростью ветра
v = 3 м/с и весом снегового покрова
p0 = 100 кгс/м
2 (1 кН/м
2). В соответствии с
п. 5.5 главы СНиП II-6-74 при определении нормативной снеговой нагрузки коэффициент
c = 1(1,2 - 0,1
v) = 1(1,2 - 0,1·3) = 0,9 и
pн = 100·0,9 = 90 кгс/м
2 (0,9 кН/м
2). Нормативная постоянная нагрузки от собственного веса панели и рулонной кровли
gк = 40 кгс/м
2 (0,4 кН/м
2). Полная нормативная нагрузка
qк = 90 + 40 = 130 кгс/м
2 (1,3 кН/м
2).
Коэффициент перегрузки для постоянной нагрузки, учитывая, что около половины ее составляет вес утеплителя и рулонной кровли, принимаем 1,2. Коэффициент перегрузки для снеговой нагрузки в соответствии с
п. 5.7 главы СНиП II-6-74 для отношения нормативного веса покрытия к весу снегового покрова

равен:
nс = 1,6.
Расчетные нагрузки на 1 м2 панели:
постоянная g = 40·1,2 = 48 кгс/м2 (0,48 кН/м2);
временная p = 90·1,6 = 144 кгс/м2 (1,44 кН/м2);
полная

.
Полные нагрузки на 1 м панели:
нормативная qн = 130·1,5 = 195 кгс/м (1,95 кН/м);
расчетная qр = 200·1,5 = 300 кгс/м (3 кН/м).
Расчетные характеристики материалов
Для фанеры марки ФСФ вдоль волокон наружных шпонов в соответствии с
табл. 14,
15 главы СНиП II-В.4-71 имеем:
расчетное сопротивление растяжению при толщине 6 мм
Rф.р. = 135 кгс/см2 (13,5 МПа);
расчетное сопротивление сжатию при толщине 9 мм
Rф.с = 100 кгс/см2 (10 МПа);
расчетное сопротивление скалыванию
Rф.ск = 6 кгс/см2 (0,6 МПа);
модуль упругости:
Eф(6) = 95 000 кгс/см2 (9500 МПа) при толщине 6 мм;
Eф(9) = 85 000 кгс/см2 (8500 МПа) при толщине 9 мм.
Для древесины ребер по
табл. 8 главы СНиП II-В.4-71:
Rн = 130 кгс/см2 (13 МПа);
Rск = 24 кгс/см2 (2,4 МПа);
E = 100 000 кгс/см2 (104 МПа).
Геометрические характеристики сечения
Расчетная ширина фанерных обшивок принимается согласно
п. 4.23 главы СНиП II-В.4-71 на 10% меньше действительной и равна:
bф.р = 0,9·147= 133,2 см.
Сечение клеефанерной панели приводим к сжатой фанерной обшивке (толщиной 9 мм). Коэффициенты приведения:
для ребра
для 6-мм фанеры
Приведенная площадь сечения
Приведенный статический момент сечения относительно нижней его плоскости (см.
рис. 62).
где

и

- толщины нижней и верхней обшивок;
hр = 17,4 см; bр = 4,6 см - высота и толщина ребер.
Координаты нейтральной оси:
(h - Y0) = 18,9 - 9,8 = 9,1 см.
Приведенный момент инерции (без учета собственных моментов инерции обшивок)
где Fф - расчетная площадь поперечного сечения растянутой нижней обшивки

- расчетная площадь поперечного сечения верхней обшивки
Fр - площадь поперечного сечения ребер
Fр = 4hрbр = 4·17,4·4,6 = 320,2 см2;
Jр - момент инерции ребер
Yр - расстояние от нейтральной оси до центра тяжести ребра

- расстояние от нейтральной оси до центра тяжести верхней обшивки
Yф - расстояние от нейтральной оси до центра тяжести нижней обшивки
Проверка панели на прочность
Расчетный изгибающий момент в середине пролета
Напряжения в растянутой обшивке
(здесь 0,6 - коэффициент, учитывающий снижение расчетного сопротивления фанеры в растянутом стыке при соединении "на ус").
Проверяем устойчивость сжатой обшивки в соответствии с
п. 4.23 главы СНиП II-В.4-71
При расстоянии между ребрами в свету 42,9 см и толщине фанеры

Тогда
и
Проверяем верхнюю обшивку на местный изгиб сосредоточенной силой 120 кгс (1,2 кН), как заделанную по концам (у ребер) балку шириной 100 см,
где c = 47,4 см - расстояние между ребрами в осях. Момент сопротивления обшивки шириной b = 100 см
В соответствии с
п. 6.15 главы СНиП II-В.4-71 умножаем расчетное сопротивление фанеры изгибу поперек волокон на коэффициент 1,2:
Rф.и·1,2 = 50·1,2 = 60 кгс/см
2 (6 МПа).
Напряжения от изгиба сосредоточенной силой
Проверяем скалывающие напряжения по клеевому слою фанерной обшивки (в пределах ширины дощатых ребер). Поперечная сила равна опорной реакции:
Приведенный статический момент верхней обшивки относительно нейтральной оси равен

. При расчетной ширине клеевого соединения
bр = 4·4,6 = 18,4 см находим касательные напряжения
Относительный прогиб панели равен:
Пример 10.2. Запроектировать утепленную панель покрытия с асбестоцементными обшивками.
Исходные данные
Номинальные размеры панели в плане 149 x 299 см, толщина 208 мм. Каркас деревянный из четырех клееных продольных ребер, связанных по торцам поперечными ребрами и нижними горизонтальными досками, через которые панель пришивается гвоздями к несущей конструкции. Обшивки из плоских асбестоцементных листов толщиной: нижняя 8 мм, верхняя 10 мм. По нижней обшивке с внутренней стороны нанесена пароизоляция и уложен утеплитель из минераловатных плит толщиной 10 см
(ГОСТ 9573-72) с объемной массой

. Для обеспечения вентиляции продольные ребра панели выполнены составными с тремя щелевыми отверстиями
(рис. 63). Панели предназначены для укладки по балкам или фермам под рулонную кровлю с уклоном не более 20% в зданиях без фонарей. Район строительства - Игарка; нормативный вес снегового покрова
p0 = 200 кгс/м
2 (2 кН/м
2).
Рис. 63. Утепленная панель покрытия
с асбестоцементными обшивками
а - план; б - продольный разрез; в - поперечный разрез;
1 - верхняя обшивка; 2 - крайние клееные ребра
с вентиляционными отверстиями; 3 - средние клееные ребра
с вентиляционными отверстиями; 4 - вентиляционные отверстия;
5 - прокладки на клею; 6 - утеплитель по слою пароизоляции;
7 - нижняя обшивка; 8 - торцовое ребро; 9 - торцовая доска
для крепления панелей к несущим конструкциям
Нагрузки
В соответствии с
п. 5.5 главы СНиП II-6-74 для указанных выше географических условий к значению коэффициента
C вводится коэффициент
K = 0,85, и тогда нормативная снеговая нагрузка
pн = 200·0,85 = 170 кгс/м
2 (1,7 кН/м
2). Коэффициент перегрузки для снега в соответствии с
п. 5.7 этой же главы СНиП определяется в зависимости от отношения собственного веса к весу снегового покрова; в нашем случае при возможном максимальном собственном весе панели 60 кгс/м
2 (0,6 кН/м
2) и весе снегового покрова
p0 это отношение равно:

, т.е. меньше 0,4, откуда
nс = 1,6. С учетом этого составлены
табл. 34 и
35 нагрузок на верхнюю обшивку и на всю панель в целом.
Вид нагрузки | Нагрузка на верхнюю обшивку |
нормативная | коэффициент перегрузки | расчетная |
Постоянная от веса обшивки и кровли g, кгс/м2 (Н/м2) | 29 (290) | 1,2 | 35 (350) |
Временная (снеговая) p, кгс/м2 (Н/м2) | 170 (1700) | 1,6 | 270 (2700) |
Полная равномерно распределенная q, кгс/м2 (Н/м2) | 200 (2000) | - | 305 (3050) |
Сосредоточенный груз P, кгс (Н) | - | - | 120 (1200) |
Вид нагрузки | Нагрузка на 1 м2 панели |
нормативная, кгс/м2 (кН/м2) | коэффициент перегрузки | расчетная кгс/м2 (кН/м2) |
Постоянная: | | | |
вес обшивок, кровли и утеплителя | 40 (400) | 1,2 | 48 (480) |
вес каркаса | 15 (150) | 1,1 | 16,5 (165) |
общая | 55 (550) | | 65 (650) |
Временная снеговая | 170 (1700) | 1,6 | 270 (2700) |
Полная | 235 (2350) | - | 335 (3350) |
Расчетные характеристики материалов
Для асбестоцементных листов в соответствии с СН 265-63:
расчетное сопротивление изгибу:
при продольном расположении волокон Rи = 140 кгс/см2 (14 МПа);
при поперечном расположении волокон Rи90 = 115 кгс/см2 (11,5 МПа);
модуль упругости Eа = 105 кгс/см2 (104 МПа).
Для древесины ребер:
расчетное сопротивление изгибу Rи = 130 кгс/см2 (13 МПа);
расчетное сопротивление скалыванию Rск = 24 кгс/см2 (2,4 МПа);
модуль упругости E = 105 кгс/см2 (104 МПа).
Проверка верхней обшивки на изгиб
Момент сопротивления и момент инерции полосы обшивки шириной
b = 100 см при толщине

равны:
В соответствии с
п. 10.9 настоящего Руководства определяем максимальный изгибающий момент и максимальный прогиб, как для трехпролетной неразрезной балки с пролетами, равными
l = 48 см (
рис. 64,
а). Максимальный изгибающий момент на второй опоре от полной равномерно распределенной нагрузки
и напряжения от изгиба
Рис. 64. Расчетная схема верхней обшивки
а - равномерная нагрузка; б - сосредоточенный груз
Относительный прогиб от нормативной нагрузки в первом пролете обшивки
Максимальный изгибающий момент от действия сосредоточенного груза
P = 120 кгс (1200 Н) в первом пролете (см.
рис. 64,
б):
M = M0 - 0,5Mоп = 0,2Pl = 0,2·48·120 =
= 1150 кгс·см (11,5 кН·см),
и напряжения от изгиба
Расчет среднего ребра на прочность
Клееное ребро состоит из двух сплошных брусков, соединенных между собой короткими прокладками. Высота верхнего бруска 4 см, нижнего - 10 см (толщина слоя утеплителя), высота прокладок 5 см, ширина сечения всех элементов 4 см (см.
рис. 63). Нагрузки, приходящиеся на 1 м ребра:
нормативная qн = 0,48·235 = 113 кгс/м (1,13 кН/м);
расчетная qр = 0,48·335= 160 кгс/м (1,6 кН/м).
Ребро рассчитывается с учетом ослабления сечения отверстиями
(рис. 65). Напряжения в верхних и нижних брусках складываются из напряжений от общего изгиба

, напряжений от местного изгиба брусков

в пределах вентиляционных отверстий (от действия распределенной нагрузки) и напряжений

от действия поперечной силы. Проверка напряжений в нижнем бруске может выполняться без учета местного изгиба от веса подшивки и утеплителя.
Рис. 65. К расчету продольного среднего ребра
а - общий вид; б - поперечное сечение 1-1-1-5; в - схема
работы ребра в пределах вентиляционного отверстия
под воздействием сил Q
Напряжения от общего изгиба определяем по величинам изгибающих моментов в сечениях при расчетном пролете lр = 2,94 м и расчетной нагрузке qр = 160 кгс/м (1,6 кН/м):
где x - расстояние от опоры до рассматриваемого сечения.
Расстояние от оси
0-0 до центра тяжести сечения ребра в месте ослабления (см.
рис. 65,
б)
y0 = 8,4 см и момент инерции ребра относительно оси
z-z равен 1997 см
4. Напряжение определяем на уровне внешней и внутренней кромок верхнего бруска в сечениях
1-1,
2-2,
3-3,
4-4,
5-5 (см.
рис. 65,
а):
где y1 = 10,6 см - расстояние от оси z-z до кромки 1;
y2 = 6,6 см - расстояние от оси z-z до кромки 2.
Напряжения в нижних волокнах от общего изгиба вычисляем в сечениях 3-3, 4-4 и 5-5:
Сечение ребра | X, м | M, кгс·м (кН·м) | Нормальные напряжения в элементах среднего ребра панели, кгс/см2 (МПа) | Дополнительные указания |
в верхнем бруске | в нижнем бруске |
от общего изгиба | от местного изгиба | от поперечной силы | суммарные | от общего изгиба | от поперечной силы | суммарные |
1 | | 3 | | | 6 | | 8 | 9 | 10 | 11 |
1-1 | 0,45 | 90 (0,9) | -52,3 -------- -34,8 | 28,4 -------- -28,4 | 17,2 -------- -17,2 | -67 -------- -80 | - | - | - | - |
2-2 | 0,7 | 125 (1,25) | -73 -------- -47,5 | -14,2 -------- 14,2 | - | -87,2 -------- -33,3 | - | - | - | - |
3-3 | 0,95 | 151 | -88 -------- -58,5 | 28,4 -------- -28,4 | -17,2 -------- 17,2 | -76,8 -------- -69,7 | 64,2 | 43 | 107,2 (10,72) | Максимальное напряжение в нижнем бруске |
4-4 | 1,25 | 158 (1,58) | -92,2 -------- -62,6 | 18,8 -------- -18,8 | - | -73,4 -------- -81,4 | 66,8 | - | 66,8 | - |
5-5 | 1,47 | 172 (1,72) | -99 -------- -68,2 | -9,4 -------- 9,4 | - | -108,4 -------- -58,8 | 71,5 | - | 71,5 (7,15) | Максимальное напряжение в верхнем бруске |
| | | | | | | | | | |
Примечание. Над чертой приведены значения напряжений для волокон в точке 1, а под чертой в точке 2.
Напряжения от местного изгиба под действием равномерно распределенной нагрузки определяем только в верхнем бруске, на который передается нагрузка от обшивки, кровли и снега на полосе шириной b = 0,48 м,
qв = 0,48·305 = 146 кгс/м (1,46 кН/м).
Рассчитываем брусок в пределах вентиляционного отверстия, как защемленный обоими концами. Пролет бруска равен длине первого вентиляционного отверстия l = 50 см. Изгибающие моменты будут:
в пролете
в месте защемления
Момент сопротивления верхнего бруска
и напряжения на его внешней и внутренней кромках будут:
в сечениях 1-1 и 3-3 на опорах:
в сечении 2-2:
Аналогично находим величины напряжений в зоне второго вентиляционного отверстия в сечениях
4-4 и
5-5. Значения напряжений приведены в
графе 5 табл. 36.
Определяем напряжения от дополнительного изгиба брусков под действием поперечной силы. Изгибающие моменты в верхнем и нижнем брусках, возникающие по краям вентиляционного отверстия от поперечной силы (см.
рис. 65,
в), можно принять равными:
где l - длина вентиляционного отверстия;
Q - поперечная сила в сечении ребра, приходящаяся на брусок.
Рассчитываем брусок в пределах первого вентиляционного отверстия, так как по середине второго вентиляционного отверстия поперечная сила равна нулю. Поперечную силу распределяем между верхними и нижними брусками пропорционально их моментам инерции. Поперечная сила в ребре на опоре
а поперечная сила в сечении 2-2, т.е. по середине свободной длины бруска на расстоянии x = 70 см от опоры,
Q = Qmax - qрx = 235 - 160·0,7 = 123 кгс (1,23 кН).
Моменты инерции брусков:
верхнего
нижнего
Доля поперечной силы, приходящейся на верхний брусок, определяется с помощью коэффициента
откуда поперечная сила в сечении 2-2 будет равна:
Qв = QK = 123·0,06 = 7,35 кгс (73,5 Н);
соответственно изгибающий момент от поперечной силы в сечениях 1-1 и 3-3 верхнего бруска
а нормальные напряжения в сечении 1-1:
в точке 1
в точке 2
Напряжения в сечении 3-3 те же, но имеют обратные знаки. Доля поперечной силы, приходящаяся на нижний брусок,
Qн = Q - Qв = 123 - 7,3 = 115,70 кгс (1,157 кН).
Изгибающий момент от поперечной силы в сечении 3-3 нижнего бруска
а момент сопротивления
Нормальные напряжения в крайнем волокне нижнего бруска
Суммарные нормальные напряжения в верхнем и нижнем брусках получаются путем сложения нормальных напряжений от общего изгиба, местного изгиба и изгиба поперечной силой с учетом их знаков. Величины их указаны в
табл. 36, из которой видно, что максимальные нормальные напряжения возникают в верхнем бруске по сечению
5-5 и составляют 108,4 кгс/см
2 < 130 кгс/см
2 (13 МПа).
Проверка напряжений в брусках-прокладках "а"
Вырежем часть ребра от опоры до сечения
2-
2 и рассмотрим равновесие верхней части ребра на линии
6-
6'. На
рис. 66 показаны усилия, действующие на верхнюю часть ребра, приведена эпюра нормальных напряжений в верхнем бруске, а также заменяющая ее осевая сила
R1 =
N1 +
N2 и изгибающий момент
Mв.
Рис. 66. К расчету прокладки "а"
Здесь:
N1 - равнодействующая прямоугольной части эпюры;
N2 - равнодействующая треугольной части эпюры;
Равнодействующая усилий R1 = 570 + 412 = 982 кгс (9,82 кН). Усилие N2 приложено на расстоянии 6,7 мм от центра тяжести верхнего бруска. Изгибающий момент, возникающий за счет внецентренного приложения этого усилия, равен:
Расчетная нагрузка на верхний брусок q = 146 кгс/м (1,46 кН/м) и величина поперечной силы, приходящаяся на верхний брусок в сечении 2-2, Qв = 7,35 кгс. Суммарное воздействие всех усилий, действующих на вырезанную часть ребра, уравновешивается касательными и нормальными напряжениями, возникающими в сечении 6-6'. Сдвигающие напряжения в клеевом шве 6-6' получим, приравняв нулю сумму проекций всех усилий на продольную ось x:
Откуда
Нормальные напряжения в шве 6-6' определим, приравняв нулю сумму проекций всех усилий на вертикальную ось и сумму всех моментов относительно точки 0. Проектируем нормальные силы на вертикальную ось
где l = 0,7 м - длина участка, на котором приложена расчетная нагрузка. Тогда
Рассмотрим условие равенства нулю моментов относительно точки 0:
где xр = 12,5 - расстояние до равнодействующей равномерно распределенной нагрузки;
xQ = 47,5 см - расстояние до сечения 2-2;
h1 = 9 см - расстояние до центра тяжести верхнего бруска.
Тогда
M = -146·0,7·12,5 - 7,35·47,5 + 982·7 + 275 = 5500 кгс·см.
Момент сопротивления сечения по клеевому шву 6-6
Напряжения от момента M в точках 6 и 6'
а наибольшее растягивающее напряжение
Равнодействующее напряжение будет равно:
Оно будет направлено под углом
(рис. 67), определяемым по величине
и равным

. По
рис. 1 настоящего Руководства расчетное сопротивление растяжению сосны под углом 30° равно:
Rр30 = 18 кгс/см
2 > 11 кгс/см
2 (1,1 МПа), т.е. прочность обеспечивается.
Рис. 67. Растягивающие напряжения в сечении 6-6
Рис. 68. К расчету прокладки "б" (сечение 7-7)
Величины
R1 и

определены при расчете прокладки
а. Аналогично определяем
N1 = 942 кгс (9,42 кН),
N2 = 398 кгс (3,98 кН),
R2 = 942 + 398 = 1340 кгс (13,4 кН),
Определяем напряжения в шве
7-7 (с учетом силы
R1 и момента

). Проектируем все силы на продольную ось
x:
откуда
Проектируем все силы на вертикальную ось y
откуда
Рассматриваем условие равенства нулю суммы моментов относительно точки 0:
где
qв = 146 кгс/м (1,46 кН/м);
R1 = 982 кгс (9,82 кН);
xр = 1,75 см;
R2 = 1340 кгс (13,4 кН);
Qв = 7,35 кгс (73,5 Н);
hx = 7 см;
xQ = 40 см;

;

.
Подставив эти значения, определим изгибающий момент в сечении 7-7:
M = 146·0,765·1,75 - 7,35·40 - (1340 - 982)·7 - 275 + 267 =
= 2611 кгс·см (2,61 кН·см).
Расчетный момент сопротивления сечения 7-7'
а нормальные напряжения в точках 7 и 7':
Наибольшее напряжение растяжения
Равнодействующая напряжения
и направлена под углом

. По
рис. 1 настоящего Руководства для этого угла

.
Проверка прогиба плиты
Относительный прогиб однопролетной балки с короткими прокладками на жестких связях определяется по формуле
где Q - значение поперечной силы по середине свободной длины брусков;
a - свободная длина брусков;
Jв - моменты инерции отдельных ветвей.
Подсчеты показывают, что в данном примере вторым членом формулы можно пренебречь, так как его доля в общей величине прогиба не превышает 2%. С достаточной точностью прогиб можно определять как в сплошной балке, принимая вместо полного момента инерции момент инерции нетто, вычисленный по сечению, ослабленному вентиляционным отверстием,
11. ОБЕСПЕЧЕНИЕ ПРОСТРАНСТВЕННОЙ ЖЕСТКОСТИ И УСТОЙЧИВОСТИ
ПЛОСКИХ ДЕРЕВЯННЫХ КОНСТРУКЦИЙ ПОКРЫТИЙ И СООРУЖЕНИЙ
11.1. Пространственное крепление несущих конструкций покрытий (балок, арок, рам и ферм) должно обеспечиваться связями жесткости, соединяющими элементы ограждающих и несущих конструкций (пояса балок, арок, рам, ферм, панелей покрытий и стен) в общую неизменяемую связевую систему, которая доводится до неподвижных частей здания или сооружения
(рис. 69).
Рис. 69. Схемы горизонтальных и продольных связей
а - план поперечных связевых ферм в плоскости покрытия;
б - план поперечных связевых ферм по нижнему поясу несущих
конструкций; 1 - поперечные связевые фермы; 2 - вертикальные
продольные связи; 3 - наклонные продольные связи;
4 - прогоны или панели покрытия; 5 - прогоны, соединяющие
узлы поперечных связевых ферм; 6 - стены
11.2. Связевая система должна воспринимать горизонтальные нагрузки, действующие вдоль здания (нормальные к рабочей плоскости несущих конструкций). Горизонтальные нагрузки, действующие перпендикулярно продольным стенам здания, должны быть восприняты этими стенами (или колоннами), а при несущих конструкциях в виде арок или рам, опирающихся на фундаменты, - самими несущими конструкциями.
11.3. Связевая система состоит из связевых ферм, располагаемых поперек здания, продольных связей в виде элементов покрытия, а в случае необходимости также и продольных (вертикальных или наклонных) связей, располагаемых нормально к несущим конструкциям и раскрепляющих их внутреннюю кромку или нижний пояс ферм.
11.4. Связевые поперечные фермы рекомендуется располагать в плоскости верхнего пояса или по верху основных ферм, балок арок, рам непосредственно у торцовых стен или между ближайшими к ним несущими конструкциями, а в случае необходимости и в промежутках не реже чем через 30 м. Связевые фермы у торцов здания могут не устраиваться, если торцовые каменные или железобетонные стены в состоянии воспринимать горизонтальные нагрузки.
В качестве поясов связевых ферм используются верхние пояса или все сечения пролетных несущих конструкций; решетка связевых ферм принимается раскосой из деревянных элементов или перекрестных стальных тяжей, работающих на растяжение (см.
рис. 69). В качестве стоек связевых ферм могут быть использованы прогоны или панели кровли. В зданиях с несущими конструкциями в виде ферм с жестким стальным нижним поясом из прокатных профилей с подвесным потолком или с подвесным крановым оборудованием возможно устройство связевых ферм в плоскости этих поясов, которые одновременно используются в качестве поясов связевых ферм; при этом решетка устраивается стальная, а узлы ветровых ферм по всей длине здания соединяются стальными прогонами. Горизонтальные усилия, действующие в плоскости покрытия, должны быть, как правило, переданы на консольные участки торцовых стен, расположенные выше уровня связевых ферм (см.
рис. 69). Конструкция связевых ферм не должна затруднять установку временных связей при монтаже, а также монтаж последующих конструкций.
11.5. Продольные вертикальные или наклонные связи жесткости, располагаемые нормально к рабочей плоскости несущих конструкций, устраиваются:
а) в арочных, рамных и тому подобных конструкциях при наличии сжимающих усилий по внутренней кромке для предотвращения выхода ее из рабочей плоскости, если устойчивость не обеспечивается при расчете по
п. 4.6 настоящего Руководства без промежуточного раскрепления сжатой кромки;
б) в системах шпренгельного типа, а также в фермах, имеющих пониженное по отношению к линии опор очертание нижнего пояса, при прямолинейном верхнем поясе, расположенном по линии опор;
в) при наличии усилий, действующих на нижний пояс конструкций перпендикулярно их плоскости (например, тормозная сила при подвеске к фермам тельфера и т.п.);
г) в опорных сечениях поперечных связевых ферм для передачи их опорных давлений на продольные стены, если эти давления не могут быть переданы непосредственно.
11.6. Продольные связи конструкций, указанных в
п. 11.5, а,
б, должны соединять их попарно; продольные связи для восприятия тормозных усилий от подвешенного к несущим конструкциям оборудования (см.
п. 11.5, в) допускается устраивать только в отсеках, где в плоскости покрытия расположены связевые поперечные фермы; передача горизонтальных усилий (тормозных) на эти связи должна осуществляться через крановые пути.
11.7. Шаг вертикальных (или наклонных) связей, устраиваемых для раскрепления сжатой кромки арок или рам (см.
п. 11.5, а), определяется из условия обеспечения устойчивости внецентренно-сжатого элемента в соответствии с
пп. 4.5 и
4.6 настоящего Руководства. Продольные связи для раскрепления нижнего пояса шпренгельных систем (см.
п. 11.5, б) располагаются в плоскости их стоек, а для восприятия тормозных усилий (см.
п. 11.5, в) - в местах подвески оборудования.
11.8. Конструкцию вертикальных и наклонных связей рекомендуется принимать по одной из схем
рис. 70 в зависимости от типа, высоты сечения и шага несущих пролетных конструкций.
Рис. 70. Типы вертикальных связей
А - связи для сплошных конструкций малой высоты; а - в виде
рам; б - в виде сплошной балки; Б - связи для сплошных
несущих конструкций большой высоты; а1 - решетчатая;
б2 - в виде сплошной балки; В - связи для конструкций типа
ферм; C - шаг несущих конструкций; 1 - несущая конструкция;
2 - прогон (ригель); 3 - косынка (стойка) П-образной рамы;
4 - дощатоклееная или клеефанерная связь-балка; 5 - несущая
конструкция; 6 - решетчатая связь; 7 - клеефанерная сплошная
связь; 8 - ферма; 9 - решетчатая связь
11.9. Расчет связевой системы производится на горизонтальные нагрузки, действующие вдоль здания на всем пролете. Они складываются из внешних силовых воздействий (ветра, сейсмики, тормозных усилий кранов и т.д.) и внутренних усилий в несущих конструкциях, возникающих в них под воздействием вертикальных нагрузок вследствие отклонения от вертикали при монтаже и погнутости из рабочей плоскости.
11.10. Для восприятия связевой системой горизонтальных нагрузок, вызванных внешними силовыми воздействиями и внутренними усилиями в самих конструкциях, должно быть обеспечено по расчету надежное взаимное крепление ее элементов.
11.11. Величины внешних горизонтальных нагрузок принимаются по соответствующим нормам и распределяются поровну между всеми связевыми поперечными фермами или устойчивыми торцовыми стенами. Горизонтальная нагрузка на 1 м от внутренних усилий (см.
п. 11.9) принимается равномерно распределенной на всем пролете; величина ее, приходящаяся на одну поперечную связевую ферму или заменяющую ее торцовую стену, определяется по формулам:
а) в покрытиях по фермам, однопролетным балкам и пологим аркам


(11.1)
б) в покрытиях по трехшарнирным рамам и высоким аркам


(11.2)
при положительном изгибающем моменте в пролете

(11.3)
при отрицательном изгибающем моменте в пролете

(11.4)
Узловая нагрузка на связевую поперечную ферму или на точку крепления элементов покрытия к несущим конструкциям определяется по формуле
qв - расчетная равномерно распределенная вертикальная нагрузка на 1 м горизонтальной проекции несущей конструкции покрытия, кгс/м (Н/м); при наличии иных видов нагрузок (сосредоточенной, распределенной на части пролета и т.п.) они должны быть приведены к эквивалентной равномерно распределенной по всему пролету;
n - общее число основных несущих конструкций на всю длину здания в рассматриваемом пролете;
t - общее число поперечных связевых ферм (в том числе заменяющих их торцовых стен) на всю длину здания в одном пролете;
Sсв - горизонтальная проекция длины панели связевой фермы или расстояние между точками крепления элементов покрытия к несущим конструкциям, м.
11.12. Продольные (вертикальные или наклонные) связи, раскрепляющие внутреннюю сжатую кромку рам в карнизном узле или арок в промежуточных сечениях по длине ее дуги, должны рассчитываться на усилия по формулам
табл. 37. Эти усилия при расчете поперечных связевых ферм не учитываются.
Тип связи | Усилия Pв, кгс (Н) |
в карнизном узле рам | в арках |
| | Pв = 0,015qвSсв |
Примечания: 1. Формулы справедливы для рам 2, 4 и 5 арок 7 и 8
табл. 6 при сплошном раскреплении растянутой кромки (см.
п. 4 настоящего Руководства).
2. l - пролет рамы, м.
3.
qв - расчетная равномерно распределенная вертикальная нагрузка на 1 м проекции несущей конструкции, кгс/м (Н/м) (см.
п. 11.11 настоящего Руководства).
4. Sсв - горизонтальная проекция расстояния между вертикальными связями.
11.13. Продольные вертикальные связи, раскрепляющие растянутый пояс шпренгельных систем, рассчитываются на усилия по формуле
P = 0,01V, (11.6)
где V - расчетные сжимающие усилия в стойках шпренгельных систем, соединяемых связями. Эти усилия должны быть переданы на поперечные связевые фермы с учетом числа последних и общего числе несущих конструкций:

(11.7)
11.14. Тормозные усилия должны передаваться через вертикальные связи на поперечные связевые фермы.
11.15. Связевые фермы, устраиваемые в уровне покрытий по рамам, сегментным, полигональным и трапециевидным фермам, а также по пологим треугольным фермам и аркам, рассчитываются, как обычные фермы, имеющие пролет, равный развертке скрепляемых решеткой поясов несущих конструкций, с узловым приложением нагрузки.
Связевые фермы, устраиваемые в уровне покрытий по высоким аркам и треугольным фермам, должны рассчитываться, как пространственные системы, состоящие из поясов двух соседних арок или ферм, соединенных решетчатыми связями. Принцип расчета таких систем приведен в книге "Металлические конструкции" (под ред. проф. Беленя Е.И. М., Стройиздат, 1973).
При покрытиях из панелей с листовыми обшивками или других конструкций, образующих жесткий диск, местный изгиб поясов связевых ферм от внеузловой горизонтальной нагрузки не учитывается; при покрытии по прогонам с кровлей из листовых материалов напряжения от местного изгиба в поясах под действием горизонтальной нагрузки должны учитываться. При этом нагрузка от каждого прогона передается на два пояса связевой фермы поровну. Пояса связевых ферм, являющиеся одновременно элементами несущих конструкций, проверяются на совместное действие горизонтальных и вертикальных нагрузок.
11.16. При определении суммарных горизонтальных нагрузок на связевые фермы или заменяющие их торцовые стены от ветра и внутренних усилий и тормозных усилий кранов, а также при проверке основных несущих конструкций на совместное действие горизонтальных и вертикальных усилий к значениям временных нагрузок от снега, ветра и тормозных усилий вводится коэффициент сочетаний
nс = 0,9 (в соответствии с
п. 1.12 главы СНиП II-6-74).
11.17. Крепление элементов покрытия к несущим конструкциям рассчитывается на совместное действие ветровых нагрузок и нагрузок от внутренних усилий, определяемых по формулам
п. 11.11 с учетом коэффициента сочетания нагрузок
nс = 0,9.
Пример 11.1. Запроектировать систему связей жесткости по сегментным фермам покрытия зала с кирпичными стенами.
Исходные данные
Зал
(рис. 71) имеет размеры в плане 24 x 36 м; стены кирпичные; фермы - сегментные со стальными нижними поясами, имеют шаг 6 м. Кровля рубероидная по утепленным панелям шириной 1,5 м с асбестоцементными обшивками и деревянными клееными ребрами; панели опираются на ферму концами продольных ребер, расположенных через 50 см
(рис. 72); для опирания плоских панелей на криволинейный пояс ферм без подкладок средние ребра подрезаны на необходимую величину. Конструкция панелей не позволяет образовать из них диск, воспринимающий горизонтальные нагрузки. Поэтому предусмотрены две горизонтальные связевые фермы, размещенные в пристенных участках зала в уровне верхнего пояса сегментных ферм.
Рис. 71. Схема зала с покрытием по сегментным фермам
а - поперечный разрез; б - продольный разрез; I - узел
опирания кровельных панелей на торцовую стенку; II - узел
опирания кровельных панелей на ферму (см.
рис. 72);
1 - продольная кирпичная стена; 2 - сегментная
металлодеревянная ферма; 3 - торцовая кирпичная стена;
4 - панели покрытия; 5 - связевая ферма в плоскости
верхнего пояса сегментных ферм; 6 - доска, крепится
к концам ребер панелей; 7 - верхний пояс сегментной
фермы; 8 - пояс из гнутых досок; 9 - анкеры
Рис. 72. Опирание панелей покрытия на ферму или стену
(обшивка не показана)
а - план; б - фасад; 1 - верхний пояс фермы; 2 - крайние
ребра панели; 3 - средние продольные ребра панели;
4 - торцовые ребра панели; 5 - уголок 50 x 50 x 5 мм;
6 - гвозди; 7 - шурупы; I - деталь крепления крайних
ребер панели
Одним поясом связевой фермы служат три гнутых доски сечением 4 x 15 см, сшитых гвоздями, уложенные на кирпичной стене и заанкеренные в кладке (см.
рис. 71 и
73). Другим поясом связевой фермы служит верхний пояс ближайшей сегментной фермы. Стойки выполнены из легких газоводопроводных труб по
ГОСТ 3262-75, перекрестные раскосы - из круглой стали А-1. Панели кровли опираются на кирпичные стены через уложенные по ним составные пояса связевых ферм (см.
рис. 73). Расчетная снеговая нагрузка составляет 210 кгс/м
2 (2,1 кН/м
2), а полная расчетная нагрузка - 300 кгс/м
2 (3 кН/м
2). Полная расчетная нагрузка на 1 м фермы равна:
qв = 1800 кгс/м (18 кН/м). Усилия в верхнем поясе сегментных ферм показаны на
рис. 71.
Рис. 73. Панели пояса связевой фермы, уложенного на стену
а - фасад; б - геометрическая схема; в - план; 1 - пояс
из трех гнутых досок; 2 - стена; 3 - анкеры; 4 - стойка
связевой фермы; 5 - раскосы связевой фермы
Нагрузки, действующие на связевую ферму
Горизонтальная нагрузка от внутренних сжимающих в верхнем поясе усилий, передаваемая через панели кровли, определяется по
формуле (11.1) настоящего Руководства:
В нашем случае число сегментных ферм в здании n = 5, число связевых ферм t = 2, откуда горизонтальная нагрузка на 1 м связевой фермы
Расчетная ветровая нагрузка
(рис. 74) для III ветрового района

. Часть ветровой нагрузки, действующей на торцовые стены, передается на две связевые фермы, соединенные между собой панелями покрытий. Величина ее, приходящаяся на каждую ферму,
где H = 10,8 м - расстояние от земли до центра тяжести криволинейной части торца зала, а давление на одну ферму
откуда расчетная ветровая нагрузка
Снеговая нагрузка
При одновременном учете ветровой и снеговой нагрузок вводим к ним коэффициент
n = 0,9 (
п. 1.12 главы СНиП II-6-74). Тогда полная расчетная нагрузка на 1 м связевой фермы будет складываться из ветровой и снеговой нагрузок, взятых с коэффициентом сочетания, и нагрузки от собственного веса покрытия:
pсв = 152·0,9 + 0,7·81·0,9 + 0,3·81 = 215 кгс/м (2,15 кН/м).
Рис. 74. Расчетная схема торцовой стены
Узловая нагрузка на связевую ферму при Sсв = 6 м будет равна:
Pсв = pсвSсв = 215·6 = 1290 кгс (12,65 кН).
Ввиду того, что периметр верхнего пояса сегментной фермы больше ее пролета всего на 3,5%, в качестве расчетной схемы принимаем не развертку, а горизонтальную проекцию связевой фермы. Расчетная схема и усилия в элементах связевой фермы показаны на
рис. 75.
Рис. 75. Расчетная схема связевой фермы
Расчет связевой фермы
Изгибающий момент, возникающий вследствие кривизны в поясе, опирающемся на стену
(рис. 73), из плоскости связевой фермы равен:
M = fO2,
где O2 - усилие в элементе 2 сжатого пояса, равное 2,53 тс (25,3 кН);
f - стрела выгиба в пределах свободного пролета, определяемая по формуле
в которой l = 300 см - расстояние между анкерными болтами, а r = 22,9 м - радиус кривизны сегментной фермы. Тогда изгибающий момент в поясе
M = 2530·4,9 = 12 400 кгс·см (1,24 кН·м).
Чтобы уравновесить этот момент, должна быть приложена вертикальная нагрузка, определяемая из выражения
Вертикальная нагрузка от собственного веса покрытия, прижимающая пояс к стене, равна:
Таким образом, изгиб пояса из плоскости отсутствует. Местный изгиб от ветровой нагрузки не учитывается, так как пояс в горизонтальной плоскости раскреплен кровельными панелями (см.
п. 11.15 настоящего Руководства). Пояс должен быть рассчитан на сжатие силой
O2 = 2530 кгс (25,3 кН) и на растяжение силой
U1 = 1900 кгс (19 кН).
Сжимающие усилия передаются непосредственно при стыковании досок в торец
(рис. 76). Доски толщиной 4 см сшиваются гвоздями диаметром 4 и 5 мм, длиной 125 мм с шагом по длине 50 см. Площадь сечения пояса
F =
bh = 12 x 15 = 180 см
2, расстояние между анкерами
l = 300 см, расстояние между гвоздями вдоль пояса
l1 = 50 см. Расчетное число швов элементов
nш = 2, расчетное число связей в одном шве на 1 м элемента
nс = 4·2 = 8. Коэффициент податливости связей (см. главу СНиП II-В.4-71,
табл. 16)
Рис. 76. Сечение пояса и разбивка гвоздей
Приведенная гибкость пояса определяется с учетом податливости связей по
формуле (11) главы СНиП II-В.4-71
где

- гибкость всего элемента сечением 12 x 15 см, закрепленного анкерами:

- гибкость досок толщиной 4 см, закрепленных гвоздями (при

):

- коэффициент приведения гибкости, определяемый по
формуле (12) главы СНиП II-В.4-71,
Приведенная жесткость равна
а соответствующий ей коэффициент продольного изгиба по
рис. 3 главы СНиП II-В.4-71

. Тогда напряжения сжатия в поясе
O2 будут
При стыках вразбежку на растяжение в них работают две доски пояса, площадь сечения которых равна: F = 2·4·15 = 120 см2. Напряжения растяжения в элементе 1 от усилия в нем равно:
Усилие, передаваемое на стыки от одной доски,
Nст = 960 кгс (9,6 кН). Для восприятия усилия ставим гвозди диаметром 5,5 мм. Из условий изгиба (см.
табл. 20 главы СНиП II-В.4-71) расчетная несущая способность гвоздя
Tгв = 250d2 + a2 = 250·0,552 + 42 = 91 кгс (910 Н),
а из условий смятия древесины Tгв = 35·0,55·4 = 77 кгс (770 Н). Требуемое число гвоздей находим из условия смятия древесины
Принимаем 12 гвоздей (расстановка показана на
рис. 77).
Рис. 77. Стык досок пояса
В сжатом поясе сегментной фермы возникают следующие усилия:
от собственного веса Nп = 9,5 тс (95 кН);
от снеговой нагрузки Nс = 22 тс (220 кН);
от ветровой нагрузки O2 = 2,53 тс (25,3 кН).
Суммарное усилие, с учетом коэффициента сочетания для снеговой и ветровой нагрузок, равно:
N = (Nс + O2)nс + Nп = (22 + 2,53)0,9 + 9,5 =
= 31,5 тс (315 кН).
Поскольку суммарное усилие равно усилию от полной нагрузки
Nп +
Nс = 31,5 тс (315 кН), то производить проверку пояса дополнительно не требуется. Местный изгиб пояса от горизонтальных воздействий не учитывается (см.
п. 11.15 настоящего Руководства).
Стойки связевой фермы приняты из легких труб (ГОСТ 3662-75) диаметром 90 мм. Площадь сечения F = 10,75 см2, радиус инерции r = 3,46 см, расчетная длина l0 = 600 см, усилие в опорной стойке
V = 2,57 тс (25,7 кН).
Гибкость стоек

, т.е. меньше 200.
По
табл. 53 прил. 4 главы СНиП II-В.3-72 находим коэффициент

. Проверяем напряжения в стойке:
Раскосы связевой фермы приняты из гладкой стали А-1 на стяжных муфтах. Максимальное усилие в раскосе D = 2700 кгс (27 кН).
При расчетном сопротивлении стали А-1 на растяжение R = 2100 кгс/см2 (210 МПа) и коэффициенте, учитывающем ослабление сечения нарезкой, равном 0,7, требуемая площадь сечения брутто
Принимаем все раскосы из круглой стали диаметром 16 мм.
F = 2,04 см
2 > 1,84 см
2. Присоединение решетки к поясам связевой фермы - см. на
рис. 78 -
82.
Рис. 78. Схема крайней панели связевой фермы
1 - торцовая стена; 2 - продольная стена; 3 - сегментная
ферма; 4 - настенный пояс связевой фермы; 5 - опорная стойка
связевой фермы; 6 - раскосы связевой фермы; 7 - опорный
башмак сегментной фермы: I, II, III и IV - узлы связевой
1 - стойка из трубы диаметром 90 мм; 2 - раскос диаметром
16 мм; 3 - фасонка 120 x 10 мм; 4 - болты диаметром 22 мм;
5 - шайбы 70 x 70 x 10 мм
1 - 5 - см.
рис. 79;
6 - заглушка с нарезкой;
7 - нарезной штырь; 8 - отверстие для рычага
1 - 5 - см.
рис. 79;
9 - заглушка с отверстием диаметром
24 мм; 10 - штырь диаметром 20 мм, приваренный к фасонке 3
а - план;
б - фасад;
1 - 3 - см.
рис. 79;
11 - башмак
сегментной фермы; 12 - опорный лист башмака; 13 - вырез
для анкерного болта; 14 - анкерный болт; 15 - стяжная
муфта (на каждом раскосе)
Стойка из трубы имеет с одной стороны заглушку с нарезкой, а с другой - заглушку с отверстием. Труба одним концом навинчивается на нарезной штырь, приваренный к узловой фасонке, а другим - надевается на штырь фасонки противоположного узла.
Труба устанавливается вместе с накладками, которые приболчиваются в узле. Такое устройство позволяет откорректировать отклонения в расстояниях между узлами двух соседних ферм. Раскосы, снабженные стяжными муфтами, привариваются к фасонкам. В опорном узле сегментной фермы фасонки привариваются к опорному башмаку (см.
рис. 82).
Расчет крепления стойки и раскоса
Максимальное усилие в стойке (см.
рис. 82)
V1 = 2570 кгс (25,7 кН). Требуемая площадь нарезного штыря
Принимаем конструктивно штырь диаметром 20 мм,
F = 3,14 см
2. Раскосы присоединяем на сварке к фасонкам. Усилие в раскосе
D1 = 2700 кгс (27 кН). Длина швов 5 см, а расчетная длина
lш = 5 - 1 = 4 см. При расчетном сопротивлении углового шва срезу
Rсв = 1500 кгс/см
2 (150 МПа) и коэффициенте

(при сварке круглых стержней с пластиной) высота шва будет равна:
Конструктивно принимаем hш = 6 мм.
Фасонка, к которой привариваются раскосы, работает на внецентренное растяжение с эксцентриситетом e = 1,3 см.
Принимаем фасонку из листа толщиной 1 см, шириной 12 см. При этом площадь поперечного сечения F = 12 см2, момент сопротивления W = 2 см3. Изгибающий момент M = D1e = 2700·1,3 = 3510 кгс·см (35,1 кН·см). Возникающие напряжения
что меньше расчетного сопротивления R = 2100 кгс/см2 (210 МПа).
Болты, присоединяющие накладки к поясу, работают на усилие в поясе O1 = 1900 кгс (19 кН). Кроме того, первый болт у раскоса растянут силой N = 2700·0,71 = 1900 кгс (19 кН). Требуемое сечение болта
Принимаем два болта диаметром 22 мм. Площадь сечения болта F = 3,81 см2. Напряжение растяжения в первом болте
Допускаемые усилия на болт из условий изгиба равно
Усилие, приходящееся на второй болт,

. По условиям смятия (см.
табл. 20 главы СНиП II-В.4-71) усилие, воспринимаемое болтом,
T = 35
cd = 35·15·2,2 = 1150 кгс (11,5 кН), т.е. больше фактического.
Усилие N передается через шайбу, площадь сечения которой определяется из условия смятия,
Принимаем шайбу размером 70 x 70 x 10 мм.
Опорная реакция связевой фермы передается через стойку, приваренную к опорному башмаку сегментной фермы, на анкерные болты последней (см.
рис. 82). Так как болты устанавливаются в открытые вырезы опорного листа башмака, опорная реакция связевой фермы воспринимается одним болтом, работающим на срез. Опорная реакция
A = 2570 кгс (25,7 кН). Требуемая площадь болта
Принимаем болт диаметром 16 мм с площадью сечения F = 2,04 см2.
Горизонтальная нагрузка, передаваемая кровельными панелями на 1 м ферм (см.
рис. 72),
qсв = 81 кгс/м (0,81 кН/м). Усилие, приходящееся на панель шириной
b = 1,5 м, равно:
Pсв =
qсвb = 81·1,5 = 122 кгс (1,2 кН). Дополнительное давление от ветровой нагрузки на стены получается как разность между 0,8
Pр, действующим на торцовую стену, и 0,7
Pр, на которое она рассчитана с учетом передачи нагрузки на обе связевые фермы; отсюда дополнительное усилие на крепления кровельных панелей будет
или на одну панель шириной 1,5 м: Pд = qдb = 19·1,5 = 29 кгс (0,29 кН). При одновременном учете ветровой и снеговой нагрузок с учетом коэффициента сочетаний nс = 0,9 суммарное усилие равно:
P = nс(Pд + Pсв) + 0,3Pсв = 0,9(29 + 122) + 0,3·122 =
= 139 кгс (1,39 кН).
На это усилие должно быть рассчитано присоединение торца каждой панели. Панель опирается на ферму четырьмя ребрами, из которых два крайних крепим к ферме с помощью уголков. Каждый уголок присоединяется к ребру на заводе с помощью двух шурупов, а к поясу ферм на монтаже с помощью гвоздей; принимаем шурупы и гвозди диаметром 4 мм. Допускаемое усилие на шуруп (см.
пп. 5.17 и
5.25 главы СНиП II-В.4-71)
T = 250
d2 = 250·0,4
2 = 40 кгс (0,4 кН). Полное усилие, воспринимаемое четырьмя шурупами,
Tш = 4·40 = 160 кгс (1,6 кН) > 139 кгс (1,39 кН).
Проверки гвоздей производить не требуется. Таким же образом присоединяются панели ко всем промежуточным сегментным фермам.
Для расчета крепления кровельных панелей к поясу связевой фермы, уложенному на стене, необходимо определить усилие от ветровой нагрузки в пределах одной панели:
К продольным ребрам уголки крепим с помощью двух шурупов диаметром 5 мм. Допускаемое усилие на один шуруп: T = 250d2 = 250·0,52 = 62,5 кгс (0,625 кН). Суммарное усилие на четыре шурупа Tш = 4·62,5 = 250 кгс (2,5 кН) > 218 кгс (2,18 кН). Ввиду того, что уголки присоединяются к ребрам на заводе, для всех панелей принимаем крепление их шурупами диаметром 5 мм. К поясу уголки крепятся двумя гвоздями диаметром 4 мм каждый; воспринимаемое ими усилие: Tгв = 4·400d2 = 1600·0,42 = 256 кгс (2,56 кН) > 218 кгс (2,18 кН).
Анкеровка пояса в стене производится анкерами, установленными с шагом
a = 3 м. Усилие, приходящееся на один анкер, равно:
N =
qa = 152·3 = 456 кгс (4,56 кН). Ставим горизонтальные и вертикальные анкеры диаметром 12 мм (см.
рис. 73) конструктивно.
Пример 11.2. Запроектировать систему связей в покрытии по дощатоклееным балкам зала с кирпичными стенами.
Исходные данные
Зал размерами в плане 12 x 24 м
(рис. 83) с кирпичными стенами толщиной 64 см перекрыт двускатными дощатоклееными балками прямоугольного сечения пролетом 12 м, шаг балок 3 м. Панели покрытий шириной
b = 1,5 м с асбестоцементными обшивками и деревянными клееными ребрами (см.
рис. 63) двух длин (6 и 3 м) стыкуются на балках вразбежку и крепятся к ним через торцы, т.е. к каждой балке крепится половина панелей
(рис. 84). Связевые фермы не предусмотрены, а горизонтальные нагрузки передаются на торцовые стены зала, которые вместе с панелями покрытия образуют систему связей.
Рис. 83. Схема зала с покрытием по балкам
а - поперечный разрез; б - продольный разрез;
1 - продольная стена; 2 - дощатоклееная балка;
3 - панели покрытия; 4 - торцовая стена
Рис. 84. Расположение панелей покрытия в плане
1 - балка; 2 - торцовая стена; 3 - панель покрытия
длиной 6 м; 4 - панель покрытия длиной 3 м;
5 - стыки торцов панелей
Расчетные нагрузки на кровлю:
снеговая 210 кгс/м2 (2,1 кН/м2);
собственный вес 90 кгс/м2 (0,9 кН/м2);
полная 300 кгс/м2 (3,0 кН/м2).
Расчетная нагрузка на 1 м балки qр = 900 кгс/м (9 кН/м).
Вертикальные нагрузки на торцовые стены:
от собственного веса gст = 8,37 тс/м (83,7 кН/м);
от кровли и снега gкр = 0,45 тс/м (4,5 кН/м);
суммарная g = 8,82 тс/м (88,2 кН/м).
Ветровой напор для I ветрового района pw = 27 кгс/м2 (0,27 кН/м2), а расчетная ветровая нагрузка pр = 27·1,2 = 33 кгс/м2 (0,33 кН/м2).
Нагрузка от внутренних усилий балки, передаваемая панелями покрытий, определяется по
формуле (11.1) настоящего Руководства при расчетной нагрузке
qр = 900 кгс/м (9 кН/м), числе балок
n = 7 и числе торцовых стен, заменяющих связевые поперечные фермы,
t = 2:
Стены на горизонтальную нагрузку рассчитываем, как заделанные в основание стойки, шарнирно соединенные между собой панелями покрытия. Продольные усилия от ветрового давления и отсоса определяются по формуле
где
H = 7,3 м - высота стены (см.
рис. 83), а
p1 и
p2 - расчетные ветровые давления на торцовые стены, определяемые по формулам
табл. 8 главы СНиП II-6-74:
p1 = c1pр; p2 = c3pр, в которых при закрытых окнах c1 = 0,8; c3 = 0,6, при открытых окнах в стене, противоположной воспринимающей ветровую нагрузку c1 = 1 и c3 = 0.
Тогда в первом случае
а во втором случае:
Учет сочетания нагрузок
Снеговая нагрузка составляет 0,7, а собственный вес 0,3 полной нагрузки. При одновременном учете ветровой и снеговой нагрузок вводим коэффициент сочетаний nс = 0,9. Тогда расчетная горизонтальная нагрузка от ветра на стену будет:
а расчетная нагрузка от балок qсв = 0,9·0,7·54 + 0,3·54 = 51 кгс/м (510 Н/м).
Расчет торцовой стены
Расчетное сопротивление каменной кладки (см. табл. 4 главы СНиП II-В.2-62) марки 100 на растворе марки 10 сжатию равно: Rсж = 10 кгс/см2 (1 МПа). Наибольший изгибающий момент, приходящийся на 1 м стены на уровне верха фундамента, определится для случая закрытых окон, т.е. при учете действия p1 = 24 кгс/м2 (240 Н/м2) и p1 = 8 кгс/м (80 Н/м), из выражения
По главе СНиП II-В.2-62, п. 4.7 эксцентриситет
Поэтому расчет выполняем по формуле
где Nп - приведенная продольная сила, равная в нашем случае полной вертикальной нагрузке на 1 м стены g = 8820 кгс/м (88,2 кН/м);
Rсж - расчетное сопротивление сжатию кладки, равное 10 кгс/см2 (1 МПа);
F - площадь сечения, равная 100·64 = 6400 см2/м;

- коэффициент продольного изгиба; при гибкости
по
табл. 17 главы СНиП II-В.2-62

. Коэффициент

определяется по
табл. 19 для
e0 < 0,45
y = 0,45·32 = 14,3
После подстановки в формулу, получим допускаемое усилие
т.е. сечение стены достаточно.
Расчет крепления кровельных панелей к балкам покрытия
и торцовым стенам
Ввиду того, что панели стыкуются вразбежку и крепятся по торцам через одну
Sсв = 2
b = 2·1,5 = 3 м, усилие, приходящееся на крепления в пределах одной ширины панели, определяемое по
формуле (11.5) настоящего Руководства, будет равно
Pс =
qсвSсв = 54·3 = 162 кгс (1,62 кН). Дополнительное усилие от давления ветра, приходящееся на одну панель, равно

. Полное усилие
N =
Pс +
Nд = 162 + 12 = 174 кгс (1,74 кН).
Панель пришиваем гвоздями диаметром 4 мм. Допускаемое усилие на один гвоздь по
табл. 20 главы СНиП II-В.4-71:
из условий изгиба гвоздя Tгв = 250d2 + a2 = 250·0,42 + 42 = 56 кгс (560 Н);
из условий смятия древесины в крайнем элементе

.
Требуемое количество гвоздей
Ставим конструктивно шесть гвоздей диаметром 4 мм
(рис. 85).
Рис. 85. Опирание панелей покрытия
I - на стену; II - на балку; а - разрез; б - план;
1 - торцовая кирпичная стена; 2 - антисептированная
подкладка 60 x 100 мм по всей стене; 3 - анкеры диаметром
12 мм через 1500 мм; 4 - торцовое ребро панели; 5 - торцовая
доска панели; 6 - продольные ребра панели; 7 - гвозди
диаметром 4 мм; 8 - доска, пришиваемая к продольным ребрам
после установки панели; 9 - балка; 10 - утеплитель
стыка - не показан
При наличии в торцах окон (при дополнительной проверке прочности стен) усилие от давления ветра
Полное усилие
Усилие, приходящееся на один гвоздь,
Таким образом, и при этих условиях число гвоздей для крепления панелей покрытия к балкам достаточно.
Пример 11.3. Запроектировать систему поперечных (горизонтальных) и продольных (наклонных) связей холодного склада по
примеру 8.3.
Исходные данные
Несущими конструкциями здания являются двухконсольные трехшарнирные рамы
(пример 8.3 раздела 8). Шаг рам 4,5 м. Длина здания 67,5 м. Торцовые стены глухие. Продольные стены отсутствуют. Кровля из волнистых асбестоцементных листов по прогонам. В плоскости кровли предусмотрены три поперечные связевые двухконсольные фермы с треугольной решеткой: две - у торцовых стен и одна - по середине длины здания
(рис. 86), что не выходит за пределы указаний
п. 11.4 настоящего Руководства.
Рис. 86. Связевые фермы и продольные связи
а - поперечный разрез по заданию; б - план связевых ферм
и прогонов кровли; в - схема продольных связей в сечении
1-1; г - схема продольных связей в сечении 2-2; 1 - прогоны
кровли; 2 - ригели рам; 3 - обвязка торцовой стены;
4 - прогоны продольных связей; 5, 8 - подкосы продольных
связей;
6 - подкосы рамы (крепление болтами см.
рис. 40);
7 - раскосы связевых ферм; А - узлы связевых ферм
Поясами пристенных связевых ферм служат обвязки торцовых стен и ригели рам, поясами промежуточной фермы - только ригели рам. Наклонные продольные связи располагаются в плоскости подкосов рам и состоят из горизонтальных прогонов по всей длине здания и раскосов, располагаемых в пролетах против поперечных связевых ферм (см.
рис. 86).
Систему связей рассчитываем на ветровую горизонтальную нагрузку, действующую на торцовые стены, и на горизонтальные силы от прогонов кровли, вызванные внутренними усилиями в ригелях рам от расчетной вертикальной нагрузки (см.
пп. 11.9 и
11.11 настоящего Руководства).
Нагрузки, действующие на торцовые стены, и определение
усилий в элементах связевой фермы
Нормативная ветровая нагрузка принимается для IV географического района при высоте до 10 м
pн = 35 кгс/м
2 (350 Н/м
2). Аэродинамические коэффициенты для зданий без продольных стен при действии ветра на торцовые стены приведены на
рис. 87 и соответствуют "
Руководству по расчету зданий и сооружений на действие ветра". Коэффициент перегрузки
n = 1,2. С учетом этих коэффициентов полная расчетная ветровая нагрузка, действующая вдоль здания, будет
pр = pнn(k1 + k2 + k3 + k4) = 35·1,2(0,8 + 0,5 +
+ 0,3 + 0,6) = 92 кгс/м2 (920 Н/м2).
Рис. 87. К расчету связевой фермы
а - торец здания; б - развертка связевой фермы с расчетными
нагрузками и усилиями; в - аэродинамические коэффициенты K
Вся нагрузка через прогоны передается на три связевые фермы, соответственно на каждую из них приходится
pв = 30 кгс/м
2 (300 Н/м
2). Фасад торцовой стены, схема ветровой фермы и формулы для определения узловых ветровых нагрузок приведены на
рис. 87. Значения узловых ветровых нагрузок:
p1 = 6p = 6·30 = 180 кгс (1,8 кН);
p2 = 8p = 8·30 = 240 кгс (2,4 кН);
p3 = 10p = 10·30 = 300 кгс (3 кН);
p4 = 12p = 12·30 = 360 кгс (3,6 кН);
p5 = 14p = 14·30 = 420 кгс (4,2 кН);
p6 = 16p = 16·30 = 480 кгс (4,8 кН).
Горизонтальные нагрузки (вдоль здания), возникающие от внутренних усилий в ригеле рамы, определяем, учитывая, что он воспринимает отрицательный момент; по
формуле (11.4) настоящего Руководства
где qр - расчетная вертикальная нагрузка на раму, равная 950 кгс/м (9,5 кН/м);
n - число рам, равное 14;
t - число связевых ферм, равное 3.
Подставив эти значения, получим
а усилие, передаваемое в каждый узел связевой фермы, определим по
формуле (11.5) настоящего Руководства:
Pсв =
qсвSсв, где
Sсв - расстояние между узлами фермы, равное 4 м,
P = 11,8·4 = 47,2 кгс (472 Н).
Вводя при совместном действии ветровой и снеговой нагрузки коэффициент сочетаний
nс = 0,9, получим (с учетом величины снеговой нагрузки по
табл. 28)
Уменьшение на 10% ветровых нагрузок, приложенных в узлах 5 и 6 связевой поперечной консольной фермы, равно:
В среднем уменьшение ветровых нагрузок будет на 45 кгс (450 Н), что больше дополнительного усилия Pсв = 43,5 кгс (435 Н). Поэтому связевую поперечную ферму рассчитываем только на ветровую нагрузку.
Расчетная схема фермы - двухконсольная балка на четырех опорах над прогонами продольных связей, в точках
А,
Б,
А1 и
Б1 (см.
рис. 87). Ввиду симметрии статической схемы и нагрузок ферма имеет одно неизвестное, за которое принимаем опорную реакцию
X1 в точке
Б. Она может быть определена методом сил из уравнения

, решая которое получим опорную реакцию
Б = 40,6
pв и из условия равновесия внешних сил опорную реакцию
А = 25
pв. Зная опорные реакции, усилия в стержнях связевой фермы можно определить с помощью диаграммы Кремоны. На схеме
рис. 87 показаны значения этих усилий от единичной ветровой нагрузки, а в
табл. 38 приведены значения расчетных усилий в наиболее нагруженных элементах связевой фермы.
Элементы | Усилие, кгс (кН) |
Опора Б | 1218 (12,18) |
Раскос Д | -1212 (-12,12) |
Раскос Д' | 60 (0,6) |
Пояса | +/- 734 (+/- 7,34) |
Следует рассчитать сечение и крепление в узле раскоса, крепление прогонов кровли, а также проверить напряжения в ригелях рам, которые являются поясами связевых ферм, с учетом продольных усилий и местного изгиба, вызываемого в неузловой передачей ветровых нагрузок прогонами.
Расчет раскосов и присоединения их в узлах фермы
Расчетная длина раскоса в осях связевой фермы
lр = 6,1 м. Принимаем конструктивно все раскосы сечением 14 x 14 см. При этом гибкость

, что меньше 200, допускаемой для связей (см.
табл. 19 главы СНиП II-В.4-71). Для этой гибкости по
рис. 3 главы СНиП II-В.4-71 получим

и напряжения сжатия
Раскосы присоединяются к ригелям в узлах связевой фермы с помощью натяжного устройства, передающего как сжимающие, так и растягивающие усилия и позволяющего при установке компенсировать неточности изготовления и монтажа. Конструкция узла показана на
рис. 88.
Рис. 88. Узлы А крепления раскосов связевых ферм
а - план; б - вид по А-А (раскосы не показаны);
в - расчетная схема накладки; 1 - ригель рамы; 2 - раскос;
3 - прогон кровли; 4 - гнутая накладка 150 x 8 мм; 5 - хомут
140 x 8 мм; 6 - болт диаметром 16 мм; 7 - гайка; 8 - головка
болта; 9 - контргайка; 10 - винты диаметром 8 мм; l = 70 мм;
11 - винты диаметром 10 мм; l = 120 мм; 12 - шайба
На концах раскосов имеются хомуты. Гнутый хомут шириной 14 см по оси прогона имеет отверстие диаметром 20 мм для пропуска болта. Он работает, как рама пролетом 14 см под воздействием силы D = 1212 кгс. Учитывая неполное защемление, принимаем расчетный момент в ослабленном отверстием сечении
С учетом пластичности требуется момент сопротивления
При расчетной ширине сечения b = 14 - 2 = 12 см необходимая толщина хомута
Хомут крепим к раскосу 12 шурупами (по 6 с каждой стороны). Необходимый диаметр шурупов:
Гнутая накладка у поясов ферм принимается из полосы шириной
bн = 150 мм и толщиной

. Для размещения болта раскоса в накладке устраивается прорезь высотой 70 мм. Расчетная схема принимается по
рис. 88, где
l1 = 4 см,
l2 = 10 см,
l = 14 см,
D = 1212 кгс (12,12 кН). Опорный изгибающий момент принимаем в размере 80% момента при полном защемлении балки на опоре:
Момент сопротивления сечения гнутой накладки на опоре с учетом пластичности
Изгибающий момент в пролете
Сечение в пролете ослаблено вырезом высотой 70 см, с учетом которого момент сопротивления равен:
а напряжения от изгиба
Крепление гнутой накладки к ригелю выполняем с помощью глухарей. Максимальная отрывающая сила возникает в узле фермы против опоры
Б при обратном (по отношению к изображенному на
рис. 87) приложении ветровой нагрузки
Передаем половину нагрузки на средние два глухаря; учитывая эксцентричность передачи усилий от накладок, вводим коэффициент K = 1,2; получаем выдергивающее усилие, приходящееся на один глухарь:
Ставим глухари диаметром 10 мм. Из
формулы (37) главы СНиП II-В.4-71 находим длину нарезанной части глухаря при расчетном сопротивлении выдергиванию
Rв = 10 кгс/см
2 (1 МПа):
Полная длина глухаря

. Принимаем шесть глухарей длиной 120 мм, диаметром 10 мм. Максимальная сдвигающая сила, действующая на гнутую накладку, равна усилию в панели консоли
N = 18,2
Rв = 18,2·30 = 546 кгс (5,46 кН). На один глухарь диаметром 10 мм, крепящий накладку, приходится усилие
Tгл = 91 кгс (0,91 кН), что меньше допускаемого усилия
T = 250
d2 = 250 кгс (2,5 кН).
Расчет крепления прогонов кровли
Крепление прогонов, расположенных в узлах связевой фермы против продольных связей, должно быть рассчитано на опорную реакцию
Б = 1218 кгс (12,18 кН). Прогон крепится к двум поясам связевых ферм (ригелям рам), на каждое крепление приходится усилие 609 кгс (6,09 кН). Ставим гвозди диаметром 5,5 мм.
Tгв = 400
d2 = 400·0,55
2 = 120 кгс (1,2 кН). Требуемое число гвоздей

. Прогон крепим через два уголка с помощью шести гвоздей (см.
рис. 88).
Крепление прогонов, расположенных в промежуточных узлах связевой фермы, рассчитываем на максимальное усилие в стойке, равное максимальной узловой нагрузке P6 = 480 кгс. Ставим гвозди диаметром 5,5 мм. Требуемое число гвоздей
Крепление прогонов кровли к обвязке торцовой стены должно воспринимать ветровую нагрузку, действующую на эту стену. Расчетное ее значение с учетом аэродинамических коэффициентов
q = (K1 + K2)npн = (0,8 + 0,5)1,2·35 = 54 кгс/м2 (540 Н/м2).
Шаг прогонов S = 1 м. Расчетная нагрузка на 1 м обвязки торцовой стены будет являться и нагрузкой, передаваемой на крепление одного прогона, и в средней части здания на участке усилий P5, где высота здания h = 7 м, она составит
Конец прогона крепим через уголки с помощью гвоздей диаметром 5 мм. Требуемое число гвоздей определяем из условия изгиба на основании формулы
табл. 20 главы СНиП II-В.4-71:
Принимаем два гвоздя диаметром 5 мм (см.
рис. 39).
Соединение ригелей рам, часть которых служит поясами связевых ферм, с прогонами рассчитываем на максимальную ветровую нагрузку, приходящуюся на одну связевую ферму,
Прогон крепится
(рис. 89) к двум поясам ветровой фермы; крепление каждого конца должно быть рассчитано на усилие
P = 60 кгс (600 Н). Конструктивно ставим два гвоздя диаметром 5 мм.
Рис. 89. Продольные связи (см. рис. 86)
а - фасад; б - вид сбоку и расчетная схема; 1-1 - ось
поперечной связевой фермы;
I - III - узлы (см.
рис. 90)
Рис. 90. Узлы продольных связей (см. рис. 89)
1 - ригель рамы; 2 - накладки подкоса рамы
(болты не показаны); 3 - прогон продольных связей;
4 - гнутая накладка,

;
5 - болты диаметром 12 мм;
6 - болты диаметром 18 мм; 7 - подкос продольных связей;
8 - подкос рамы;
9 - двусторонний анкер,

Изгибающий момент от местного изгиба ригелей рам из их плоскости между узлами связевой фермы возникает под действием ветровой нагрузки, передаваемой прогонами. Расстояние между узлами lр = 4,12 м, расчетная нагрузка p = 60 кгс/м (6 кН/м), пояс - неразрезной. Откуда
Минимальное сечение ригеля на расстоянии 2,06 м от конька будет 21 x 57 см. Момент сопротивления сечения
а напряжения от изгиба
От вертикальной нагрузки в этом сечении изгибающий момент M = 0. Максимальные сжимающие усилия в поясе:
от вертикальной нагрузки N1 = 2020 кгс (20,2 кН);
от ветровой нагрузки N2 = 734 кгс (7,34 кН);
от полной нагрузки N = 2754 кгс (27,54 кН).
Сжимающие напряжения
Поскольку напряжения невелики, дополнительные ветровые нагрузки не требуют увеличения сечения ригеля.
Расчет наклонных продольных связей
Опорная реакция
Б горизонтальных ветровых ферм передается на продольные связи через ригель рам в соответствии со схемой на
рис. 89, отсюда усилие в прогоне вертикальных связей определится, как опорная реакция консольной балки пролетом
lр = 4,12 м с консолью
l1 = 0,9 м:
Кроме того, прогон раскрепляет сжатую кромку ригеля в опорном сечении: усилие, передаваемое на него от каждой рамы, определяется по формуле
табл. 37 настоящего Руководства:
Так как прогоны соединяют все ригели, то на продольные наклонные связи будет передаваться дополнительное усилие
При одновременном учете снеговой и ветровой нагрузок вводим коэффициенты сочетания: для вертикальной -

, для ветровой - 0,9. Тогда расчетное усилие в прогоне продольных связей будет
Nп = 1480·0,9 + 425·0,93 = 1720 кгс (17,2 кН).
Усилия в раскосах продольных связей
Сечение раскосов принимаем конструктивно 19 x 21 см. Расчетная длина раскоса от фундамента до оси прогона
Гибкость

(см.
табл. 19 главы СНиП II-В.4-71).
Усилие в прогоне
Nп = 1720 кгс (17,20 кН). Момент от внецентренного приложения усилия в раскосах (см. узел
II рис. 90)
Принимаем конструктивно прогон из двух досок 9 x 19 см, между которыми размещаем раскосы. Кроме того, ставим на болтах две прокладки.
Расчет присоединения раскосов к прогону и фундаментам
и прогонов к ригелям рам
Присоединяем каждый раскос к прогону двумя болтами (см. узел
II рис. 90). Угол смятия волокон прогона

. Задаваясь диаметром болта 16 мм, по
рис. 6 настоящего Руководства находим значение

, а допускаемое усилие на один срез болта находим на основе
табл. 20 и
п. 5.15 главы СНиП II-В.4-71
При четырех срезах минимальный диаметр болта
Принимаем болты диаметром 16 мм. Такими же болтами и анкерными пластинами присоединяем раскосы к фундаментам (узел
III,
рис. 90), кроме того, конструктивно притягиваем раскос связи к подкосу рамы двумя болтами диаметром 12 мм.
Присоединение прогона к ригелю рамы (узел
I,
рис. 90) выполняем с помощью болтов диаметром 12 мм и гнутых накладок. Усилие в прогоне
Nп передается на четыре накладки, на каждую из которых приходится усилие

.
Изгибающий момент в накладке Mн = 420(8 - 1) = 2940 кгс·см (29,4 кН·см).
Требуемый момент сопротивления
а толщина накладки
Принимаем накладки толщиной 8 мм.
Присоединение деревянных накладок к подкосам и ригелю рамы
Как видно из расчетной схемы на
рис. 89, передача опорных давлений от ветровой фермы на продольные (наклонные) связи осуществляется с помощью боковых накладок, связывающих между собой ригель и подкосы; в результате получаются консольные балки с опорами в уровне фундаментов и прогона продольных связей. Сечение накладок, в запас прочности, назначаем из условия восприятия каждой из них половины опорного момента консольной балки
Требуемый момент сопротивления деревянных накладок
При ширине накладки b = 19 см, требуемая толщина
Принимаем h = 9 см.
Учитывая большие габариты конструкции и неизбежное возникновение при монтаже статических и динамических нагрузок, не поддающихся учету, накладки присоединяем конструктивно 12 болтами диаметром 12 мм,
Fбр = 1,12 см
2, по 6 на стойку и ригель. Расчет болтов выполняем по расчетной схеме, приведенной на
рис. 91, на действие изгибающего момента от усилий
N в болтах, установленных на расстоянии
a = 30 см один от другого. Опорная реакция в верхней накладке
A = 3
N, а изгибающий момент:
Mв = 2,5aA - 2Na - Na = 4,5Na.
Рис. 91. Определение усилий в болтах
а - схема работы болтов; б - расчетная схема верхней
накладки; в - расчетная схема нижней накладки
Изгибающий момент в нижней накладке
Mн = 2,5Na + 1,5Na + 0,5Na = 4,5Na;
Mн = Mв = 274 кгс·м (2,74 кН·м).
Усилие, приходящееся на один ряд болтов
Рабочее сечение болта
Fн = 0,7Fвр = 0,7·1,12 = 0,78 см2.
В каждом ряду поставлено по два болта, растягивающие напряжения в которых
Болты поставлены конструктивно.
ТАБЛИЦА СООТНОШЕНИЙ МЕЖДУ НЕКОТОРЫМИ ФИЗИЧЕСКИМИ ВЕЛИЧИНАМИ
В СИСТЕМЕ СГС И СИСТЕМЕ СИ ЕДИНИЦ
Наименование величины | Единицы | Соотношение единиц |
СГС | СИ |
наименование | обозначение | наименование | обозначение |
Сила, нагрузка, вес | Килограмм-сила | кгс | Ньютон | Н | 1 кгс = 10 Н |
Тонна-сила | тс | | кН | 1 тс = 10 кН |
Линейная нагрузка | Килограмм-сила на метр | кгс/м | Ньютон на метр | Н/м | 1 кгс/м = 10 Н/м |
Тонна-сила на метр | тс/м | Килоньютон на метр | кН/м | 1 тс/м = 10 кН/м |
Поверхностная нагрузка | Килограмм-сила на квадратный метр | кгс/м2 | Ньютон на квадратный метр | Н/м2 | 1 кгс/м2 = 10 Н/м2 |
Тонна-сила на квадратный метр | тс/м2 | Килоньютон на квадратный метр | кН/м2 | 1 тс/м2 = 10 кН/м2 |
Механическое напряжение, модуль упругости, модуль сдвига | Килограмм-сила на квадратный сантиметр | кгс/см2 | Паскаль | Па | 1 кгс/см2 = 105 Па = 0,1 МПа |
Мегапаскаль | МПа |
Момент силы, момент пары сил | Килограмм-сила-метр | кгс·м | Ньютон-метр | Н·м | 1 кгс·м = 10 Н·м |
Тонна-сила-метр | тс·м | Килоньютон-метр | кН·м | 1 тс·м = 10 кН·м |
Рис. 92. Графики для определения
и 
ВЕСОВАЯ ОЦЕНКА НЕСУЩИХ ДЕРЕВЯННЫХ КОНСТРУКЦИЙ ПОКРЫТИЙ
Предварительное определение нагрузки от собственного веса проектируемой несущей конструкции (
gс.в) в зависимости от ее типа, пролета (
l) и величины полезной нормативной нагрузки

производится по формуле
| | ИС МЕГАНОРМ: примечание. В официальном тексте документа, видимо, допущена опечатка: имеется в виду рисунок 93, а не 92. | |
kг (грузовой коэффициент) находится по графику
рис. 92 в зависимости от коэффициента собственного веса (
kс.в) и пролета
l в метрах.
Рис. 93. Грузовые коэффициенты kг
Значения коэффициентов собственного веса для некоторых типов деревянных конструкций приводятся ниже.
1. Свободно опертые однопролетные балки: | |
дощатоклееные прямоугольного сечения | 7 - 9 |
клеефанерные | 5 - 6 |
2. Стропильные фермы при внеузловой нагрузке: | |
треугольные деревянные | 4,5 - 6 |
треугольные металлодеревянные | 4 - 5 |
многоугольные деревянные | 3,5 - 4,5 |
сегментные деревянные | 3 - 3,5 |
сегментные металлодеревянные | 2,5 - 3 |
3. Трехшарнирные дощатогнутоклееные арки прямоугольного сечения | 2,5 - 4 |
Для оценки весовой эффективности запроектированной несущей конструкции следует определить фактический коэффициент собственного веса

по формуле
РЕКОМЕНДАЦИИ ПО РАСЧЕТУ ПЛОСКИХ ДЕРЕВЯННЫХ КОНСТРУКЦИЙ
НА МОНТАЖНЫЕ СИЛОВЫЕ ВОЗДЕЙСТВИЯ
| | ИС МЕГАНОРМ: примечание. В официальном тексте документа, видимо, допущена опечатка: пункт 6 в Приложении 4 отсутствует. | |
1. Сквозные плоские деревянные конструкции типа стропильных ферм, пологих арок с затяжкой, монтируемые в целом виде, должны проверяться расчетом на монтажные силовые воздействия в соответствии с принятой для них в проекте схемой оснастки и захвата и с соблюдением требований
пп. 5 и 6 в отношении предельных значений гибкости из рабочей плоскости. В расчете следует учитывать три стадии монтажа:
первую - при кантовке собранной конструкции из горизонтального в вертикальное положение, для которой необходимо проверить надежность пояса и стыковых соединений при выгибе конструкции из рабочей плоскости;
вторую - при подъеме конструкции в вертикальном положении, когда она, как правило, работает по двухконсольной балочной схеме с изменением знака в поясах по сравнению с основным расчетным случаем нагружения; на этом этапе, если оба пояса фермы жесткие, нижний пояс вместо растяжения испытывает сжатие и должен быть проверен на устойчивость из плоскости конструкции, верхний же пояс при подъеме вместо сжатия работает на растяжение, и необходима проверка в нем стыковых соединений. Если же нижний пояс гибкий, как это имеет место в металлодеревянных фермах, то при подъеме с помощью траверсы он выключается, как правило, из работы, а верхний пояс при этом работает на изгиб, и наиболее опасным оказываются стыковые соединения в нем;
третью - при установке конструкции на опоры и раскреплении ее в вертикальном рабочем положении временными гибкими или жесткими связями, когда конструкция работает по основной рабочей схеме, но с меньшим числом точек закрепления верхнего пояса из плоскости, чем это предусматривается постоянными связями жесткости.
2. Расчетной нагрузкой при монтаже является нагрузка от собственного веса конструкции (с учетом коэффициента перегрузки), которая для ферм и балок принимается равномерно распределенной по всему пролету. Так как динамический коэффициент монтажной нагрузки и коэффициент повышения расчетного сопротивления на ее кратковременность по своей величине одинаковы (1, 2), то расчет ведется на статическую нагрузку от собственного веса без повышения расчетных сопротивлений.
3. Сплошные плоские конструкции в виде дощатоклееных трехшарнирных арок и рам с опиранием на фундаменты, монтируемые целиком, проверяются расчетом при кантовке и раскреплении временными связями, а в случае монтажа полуарками и полурамами с временной промежуточной опорой в середине пролета рассчитываются по стадии временного крепления связями.
4. По условиям монтажной жесткости ширины сечений деревянных элементов плоских конструкций в зависимости от пролета рекомендуется принимать не менее указанных в
табл. 39.
Вид конструкций | Пролет, м | Ширина сечения, см |
Балки, арки, фермы с неразрезным верхним поясом и гнутоклееные рамы | До 18 | 12 |
21 - 24 | 14 |
27 - 30 | 17 |
33 - 36 | 21 |
Фермы с разрезным верхним поясом и рамы с биссектрисным соединением в карнизном узле | До 15 | 12 |
18 - 21 | 14 |
24 | 17 |
27 - 30 | 21 |
5. Монтажная гибкость деревянных поясов балок, ферм и арок из рабочей плоскости с учетом возможного повышения жесткости за счет оснастки (траверс и других средств) не должна превышать:
а) при подъеме и установке конструкций на опоры:
для поясов без стыков - 400;
для поясов со стыками - 350;
б) при закреплении конструкций временными оттяжками:
для поясов без стыков - 350;
для поясов со стыками - 300.
Расчетная длина при определении гибкости поясов принимается:
для нижнего пояса (в процессе подъема конструкции) равной всему пролету конструкции, если отсутствуют элементы оснастки, повышающие жесткость пояса из рабочей плоскости, или двойному расстоянию от свободного конца пояса до места перехода к усиленному оснасткой сечению;
для верхнего пояса (в стадии установки конструкций на опоры и временного раскрепления из рабочей плоскости) равной наибольшему расстоянию между точками закрепления обжимающими траверсами или временными связями (оттяжками) и опорными анкерными болтами.
УДК 624.011.1 : 674.028.9 |