Главная // Актуальные документы // Актуальные документы (обновление 2025.09.01-2025.09.27) // РуководствоСПРАВКА
Источник публикации
М.: Стройиздат, 1975
Примечание к документу
Название документа
"Руководство по зимнему бетонированию с применением метода термоса"
"Руководство по зимнему бетонированию с применением метода термоса"
ПО ЗИМНЕМУ БЕТОНИРОВАНИЮ С ПРИМЕНЕНИЕМ МЕТОДА ТЕРМОСА
Руководство содержит основные положения и рекомендации по технологии производства бетонных работ в зимнее время с применением метода термоса. Приведены требования к материалам, приготовлению, транспортированию и укладке бетонной смеси, данные по нарастанию прочности бетона на плотных и пористых заполнителях при его твердении в диапазоне температур от -3 до +50 °C, рекомендации по расчету времени выдерживания бетона при положительных температурах до набора им заданной прочности, по контролю производства и качества бетона.
Руководство предназначено для инженерно-технических работников проектных, строительных и производственных организаций.
Непрерывное увеличение объема монолитного строительства в зимних условиях, и в особенности на Севере и Востоке страны, где зимний период длится более 6 мес, а температура наружного воздуха в отдельных случаях снижается до -50 °C, вызывает необходимость обеспечения при зимнем бетонировании надлежащих условий для твердения бетона и предохранения его от замерзания.
Одним из основных методов выдерживания бетона, наиболее эффективным и экономичным, является метод термоса. Поэтому его целесообразно применять в первую очередь при возведении монолитных конструкций в зимних условиях.
Сочетание метода термоса с другими способами интенсификации твердения бетона позволяет расширить границы его применения в построечных условиях при возведении конструкций с модулем поверхности до 12 м-1 и температуре наружного воздуха до -40 °C.
При современном многообразии методов тепловой обработки выбор каждого из них в отдельности или рациональное сочетание их с методом термоса в каждом конкретном случае должны осуществляться строителями и технологами совместно с центральной лабораторией строительства, для чего необходимы инструктивные пособия.
Со времени издания "Инструкции по производству бетонных работ в зимнее время способом термоса"
<1> прошло более 30 лет. За это время получены новые данные в области бетонирования с применением метода термоса, включая метод применения бетонов с противоморозными добавками, накоплен и обобщен опыт производственного внедрения.
--------------------------------
<1> "Инструкция по производству бетонных работ в зимнее время способом термоса". М. - Л., Стройиздат, 1940.
Так, в последние годы производилось изучение физических, физико-химических и химических процессов, протекающих в бетоне.
В частности, были проведены научные исследования: по изучению влияния раннего замораживания на свойства бетона; определена критическая прочность, при которой можно производить распалубку изделий в зависимости от марки бетона; получены данные по нарастанию прочности бетонов при твердении в диапазоне температур от -3 до +50 °C; установлены границы отрицательных температур, при которых бетон, приготовленный с химическими добавками и без них, набирает прочность; выявлен тепловой эффект от экзотермии различных цементов в широком диапазоне температур; разработаны новые и уточнены действующие методики расчета остывания конструкций с учетом и без учета их термонапряженного состояния.
Систематизированы рекомендации по производству технологических и теплофизических расчетов продолжительности выдерживания бетона, требуемого температурного режима, обеспечивающего заданную прочность бетона; обобщен опыт по возведению сооружений и укладке бетона в контакте с промороженным основанием и вечномерзлым грунтом, а также в зоне переменного уровня воды при отрицательных температурах наружного воздуха и морской воды и др.
Настоящее Руководство регламентирует технологию производства бетонных работ в зимнее время методом термоса. Руководство составлено в развитие главы СНиП III-В.1-70 "Бетонные и железобетонные конструкции монолитные. Правила производства и приемки работ" с учетом результатов научно-исследовательских работ и современного уровня строительного производства.
Руководство разработано НИИ бетона и железобетона Госстроя СССР (д-р техн. наук, проф. С.А. Миронов, канд. техн. наук О.С. Иванова, инженеры Е.Г. Глазырина, Р.А. Лукичев, В.П. Маслов, Э.К. Деев) совместно с ВНИПИТеплопроектом Минмонтажспецстроя СССР (кандидаты техн. наук И.Б. Заседателев, В.Г. Петров-Денисов, Б.Д. Тринкер, инженеры И.В. Дудников, С.А. Шифрин), ЦНИИС Минтрансстроя СССР (д-р техн. наук, проф. В.С. Лукьянов, кандидаты техн. наук А.Р. Соловьянчик, И.И. Денисов, В.П. Величко), Норильским отделением Красноярского Промстройниипроекта (канд. техн. наук В.Е. Полуэктов, инж. О.И. Павленко), Северным комплексным отделением ВНИИСТ Мингазпрома СССР (канд. техн. наук С.Ф. Бугрим), Южгипрониисельстроем (канд. техн. наук В.П. Ганин) и НИИ экономики строительства Госстроя СССР (д-р техн. наук, проф. И.Г. Совалов).
Все замечания и предложения по содержанию настоящего Руководства просим направлять в НИИЖБ по адресу: 109389, Москва, Ж-389, 2-я Институтская ул., 6.
Дирекция НИИЖБа
1.1. Настоящее Руководство распространяется на производство бетонных и железобетонных работ в зимнее время с применением метода термоса.
1.2. Замораживание бетона в раннем возрасте отрицательно влияет на его свойства после оттаивания при последующем твердении вследствие необратимого разрушающего воздействия мороза на структуру. При этом нарушается связь между компонентами бетона, что приводит к снижению его плотности и прочности. Поэтому в соответствии с требованиями главы
СНиП III-В.1-70 "Бетонные и железобетонные конструкции монолитные. Правила производства и приемки работ" не допускается замерзание бетона в конструкциях до достижения им "критической" прочности, которая должна быть не менее:
а) для бетонных и железобетонных конструкций с ненапрягаемой арматурой - 50% проектной прочности при марке бетона до 150, 40% для бетона марок 200 и 300 и 30% для бетона марок 400 и 500;
б) для конструкций с предварительно напрягаемой арматурой, для пролетных строений мостов и других особо ответственных железобетонных конструкций - 70% проектной прочности.
1.3. Прочность бетона к моменту снятия несущей опалубки железобетонных конструкций должна быть не менее указанной в
табл. 1.
Таблица 1
Требуемая прочность бетона при распалубке
(в % от проектной)
Строительные конструкции | Фактическая нагрузка от нормативной, % |
свыше 70 | 70 и менее |
1. Конструкции с напрягаемой арматурой | 100 | 80 |
2. Конструкции, находящиеся в вечномерзлом грунте, и колонны | 100 | 80 |
3. Несущие конструкции (балки, ригели, плиты) пролетом 6 м и более | 100 | 80 |
4. Несущие конструкции пролетом до 6 м | 100 | 70 |
5. Плиты пролетом до 3 м | 100 | 70 |
Примечания: 1. При невозможности обеспечить требуемую прочность бетона к моменту загрузки конструкции нормативной нагрузкой допускается при соответствующем технико-экономическом обосновании применение бетона марки, увеличенной на одну ступень.
2. Загружение распалубленной конструкции полной расчетной нагрузкой допускается после приобретения бетоном проектной прочности.
3. Боковая ненесущая опалубка может сниматься после достижения бетоном прочности не менее "критической", но не ранее момента, определяемого требованиями
п. 1.15.
1.4. Для достижения бетоном прочности, требуемой проектом, наиболее простым и экономичным является метод термоса, основанный на принципе использования тепла, введенного в бетон путем прогрева материалов или бетонной смеси, до укладки ее в опалубку и экзотермического тепла, выделяемого цементом в процессе твердения бетона.
Общий запас тепла в бетоне должен соответствовать его потерям при остывании конструкции (при соответствующем утеплении) до набора бетоном заданной прочности.
1.5. Метод термоса обычно следует применять при производстве бетонных и железобетонных работ в зимних условиях при среднесуточной температуре наружного воздуха ниже 5 °C и минимальной ниже 0 °C при наличии проектов (или технологических карт) производства работ.
Примечание. Этот метод может использоваться и в летних условиях для ускорения твердения бетона и предотвращения возникновения внутренних температурных напряжений в конструкциях.
1.6. Целесообразность применения термосного выдерживания бетона определяется массивностью бетонируемой конструкции, активностью цемента, температурой бетонной смеси, метеорологическими условиями (главным образом температурой наружного воздуха и скоростью ветра) и допускаемой графиком работ продолжительностью выдерживания бетона. Сочетание этих факторов устанавливает область применения метода термоса, за пределами которой либо невозможно обеспечить требуемую проектом прочность бетона к моменту его распалубки или замерзания, либо другие методы выдерживания бетона окажутся более экономичными.
Возможность и целесообразность применения метода термоса устанавливается теплотехническим расчетом и технико-экономическим обоснованием.
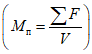
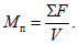
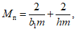
1.7. Выполнение работ методом термоса рекомендуется производить при бетонировании массивных конструкций (модуль поверхности Mп <= 5), а также в тех случаях, когда к бетону предъявляются повышенные требования по морозостойкости, водонепроницаемости и трещиностойкости, так как применение этого метода позволяет получать наиболее благоприятное термонапряженное состояние бетона в конструкциях.
Определение модуля поверхности
Mп, выражающего отношение суммы площадей

охлаждаемых поверхностей конструкций в м
2 к ее объему
V в м
3 
, приведено для некоторых видов конструкций в
прил. 1 настоящего Руководства.
Термонапряженное состояние массивных конструкций (связанное с их массивностью и последовательностью возведения) и величина температурных напряжений различного вида в настоящем Руководстве не рассматриваются. Эти специфические вопросы должны решаться в зависимости от конкретных условий строительства.
Допустимые перепады температур для отдельно стоящих массивов можно определить, пользуясь данными, приведенными в
прил. 3 настоящего Руководства.
Расчет температурных полей в конструкциях, необходимых для определения температурных напряжений в бетоне, может быть выполнен в соответствии с рекомендациями, приведенными в
прил. 6 настоящего Руководства.
1.8. Для расширения области применения метода термоса рекомендуется осуществлять предварительный электроразогрев или пароразогрев бетонной смеси перед укладкой ее в опалубку, применять цементы с повышенным тепловыделением и быстротвердеющие, химические добавки-ускорители и противоморозные, поверхностно-активные вещества (ПАВ), а также в отдельных случаях необходимо сочетать термос с электрообогревом конструкций.
Метод термоса в этом случае может применяться для выдерживания бетона в конструкциях с модулем поверхности
Mп до 12
(табл. 2). За начальную температуру бетона
tб.н принимается температура уложенного в опалубку бетона сразу после его уплотнения и укрытия.
Таблица 2
Рекомендуемый вид конструкций, выдерживаемых методом термоса
Mп | tн.в, °C | Конструкции | При укладке бетонной смеси |
с температурой до tб.с = 35 °C и tб.н = 25 - 30 °C | предварительно разогретой до tб.с = 70 °C при tб.н = 50 °C |
метод выдерживания бетона | цемент | марка цемента | метод выдерживания бетона | цемент | марка цемента |
До 3 | До -20 | Массивные фундаменты, гидротехнические сооружения | Термос | Шлакопортландцемент | 300 - 400 | Термос с укладкой разогретой бетонной смеси в ядро конструкции | Шлакопортландцемент и пуццолановый портландцемент | 300 - 400 |
Портландцемент | 300 | Портландцемент | 300 |
От -21 до -40 | То же | Термос с добавками - ускорителями твердения | Портландцемент | 400 | То же | Шлакопортландцемент | 400 - 500 |
Шлакопортландцемент | 500 | Портландцемент | 400 |
4 - 5 | До -20 | Фундаменты зданий и крупного оборудования, массивные плиты и стены толщиной 40 - 50 см, балки высотой 70 см | То же | Портландцемент | 400 | Термос | Шлакопортландцемент | 400 |
Шлакопортландцемент | 500 | Портландцемент | 300 |
От -21 до -40 | То же | Термос с противоморозными добавками | Портландцемент | 500 - 600 | Термос с добавками - ускорителями твердения | Портландцемент | 500 |
6 - 8 | До -20 | Фундаменты под колонны и оборудование, колонны сечением 50 - 70 см и балки высотой 50 - 70 см, стены и плиты толщиной 25 - 30 см | Термос с добавками - ускорителями твердения или с противоморозными добавками | Портландцемент | 500 - 600 | Термос с добавками - ускорителями твердения | Шлакопортландцемент, портландцемент | 400 - 500 |
От -21 до -40 | То же | То же, или в сочетании с предварительным электрообогревом | То же | 600 | Термос с добавками - ускорителями твердения и нитритом натрия | Портландцемент | 500 - 600 |
8 - 12 | До -20 | Рамные конструкции, колонны сечением 30 - 40 см, плиты и стены толщиной 20 - 25 см, балки высотой 30 - 40 см, покрытие дорог | Термос в сочетании с греющей опалубкой | Портландцемент | 500 - 600 | Термос с добавками - ускорителями твердения и нитритом натрия | Портландцемент | 500 - 600 |
От -21 до -40 | | Не рекомендуется | - | - | Термос в сочетании с греющей опалубкой | То же | 500 - 600 |
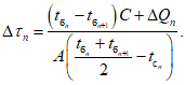
1.9. При подготовке технической документации к производству работ в зимнее время расчетные месячные температуры наружного воздуха
tн.в и скорость ветра следует принимать согласно
табл. 31 настоящего Руководства.
1.10. При необходимости получения данных, не приведенных в
табл. 31, следует пользоваться формулой

(1)
где

- среднемесячная температура наружного воздуха, °C;

- максимальная амплитуда суточных колебаний для данного месяца, °C.
Величины

и

принимаются для данного пункта и данного месяца в соответствии с требованиями главы
СНиП II-А.6-72 "Строительная климатология и геофизика".
В случае отсутствия географического пункта в
табл. 31 настоящего Руководства расчетное значение скорости ветра следует принимать по
табл. 7 главы СНиП II-А.6-72 для всего зимнего периода по январю.
1.11. Влияние скорости ветра на режим выдерживания бетона учитывается назначением соответствующего коэффициента внешнего теплообмена или величины, обратной ему, - термическим сопротивлением теплопередаче на границе опалубка - наружный воздух.
1.12. Наружный слой тепловой изоляции опалубки или засыпки должен выполняться из непродуваемого, водоотталкивающего материала. Конструкция опалубки должна исключать возможность образования продуваемых ветром зазоров между опалубкой и покровным слоем.
1.13. В ряде случаев в качестве непродуваемого и влагонепроницаемого покрытия целесообразно использовать пленочные материалы.
Величины коэффициента теплопередачи
K для ряда конкретных конструкций опалубок в зависимости от скорости ветра приведены в
табл. 32 настоящего Руководства.
1.14. Значения теплофизических характеристик материалов, используемых при изготовлении опалубок и тепловой изоляции, приведены в
табл. 33 настоящего Руководства.
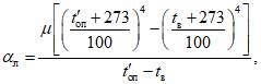
Температурный режим и прочность бетона в конструкции определяются по контрольной точке, расположенной на глубине 50 мм от середины поверхности бетона в расчетном сечении.
Под расчетным сечением понимается среднее сечение по отношению к наибольшему размеру бетонируемой конструкции.
1.15. При решении вопроса о сроках снятия опалубки или тепловой защиты бетонируемых конструкций необходимо руководствоваться следующим:
а) нельзя допускать распалубку или снятие тепловой изоляции с конструкции, если температура бетона в ее центре продолжает повышаться;
б) снятие опалубки или тепловой защиты конструкций разрешается не ранее достижения в контрольной точке требуемой прочности (40, 70 или 100% от R28);
в) опалубка или тепловая изоляция конструкции может быть удалена не ранее момента, когда разность температур между бетоном в контрольной точке и наружным воздухом достигает допустимых пределов:

для конструкций с
Mп от 2 до 5 и

для конструкций с
Mп = 5 и выше;
г) при возведении массивных конструкций с
Mп до 2 распалубка и снятие теплозащиты допускается, кроме того, при перепаде температур между центром конструкции и средней температурой наружного воздуха (в ближайшие 10 дней после распалубки) не более 32 °C при оптимальной теплоизоляции и 27 °C при теплоизоляции выше оптимальной. Термическое сопротивление
Rт оптимальной теплоизоляции при этом может определяться по рекомендациям, приведенным в
прил. 3 настоящего Руководства;
д) примерзание опалубки к бетону не допускается. Снятие ее или отрыв от бетона следует производить в соответствии с требованиями п. 5.6 главы СНиП III-В.1-70 (не позднее достижения температуры в контрольной точке конструкции 5 °C). Дальнейшее выдерживание бетона в опалубке экономически нецелесообразно, так как при более низких температурах рост его прочности резко замедляется.
Примечание. При низких температурах наружного воздуха (-20 °C и ниже) необходимо соблюдать требования
подпунктов "в" и
"г" и выдерживать бетон в опалубке вплоть до появления в контрольной точке соответствующих отрицательных температур, несмотря на получение к моменту остывания до 5 °C заданной прочности. После достижения 5 °C рекомендуется отрывать опалубку от бетона, не допуская раскрытия последнего. Дальнейшее выдерживание бетона должно производиться либо в этой же, отодвинутой от бетона опалубке, либо под непродуваемым теплоизолирующим покрытием, например брезентом, причем термосопротивление покрытия должно соответствовать термосопротивлению снятой опалубки. В обоих случаях должна быть исключена возможность непосредственного контакта поверхности бетона с окружающей средой (продуваемые щели, неплотности и т.п.).
1.16. При разработке проектов производства работ, когда в задании указывается марка бетона, но не указан расход цемента, последний может быть ориентировочно принят по "Типовым нормам расхода цемента в бетоне сборных бетонных и железобетонных изделий массового производства"
(СН 386-74).
2. ВЫБОР ТЕХНОЛОГИЧЕСКИХ ПАРАМЕТРОВ БЕТОНА
А. ТРЕБОВАНИЯ К МАТЕРИАЛАМ
| | ИС МЕГАНОРМ: примечание. Постановлением Госстроя СССР от 10.07.1985 N 116 с 01.01.1987 введен в действие ГОСТ 10178-85. | |
2.1. Для приготовления бетонных смесей при укладке бетона в конструкции с модулем поверхности
Mп > 3 рекомендуется применять высокоалитовые и быстротвердеющие портландцементы марки 400 и выше, удовлетворяющие требованиям ГОСТ 10178-62* "Портландцемент, шлакопортландцемент, пуццолановый портландцемент и их разновидности". Применение пуццоланового портландцемента допускается только в случае специального указания в проекте.
Шлакопортландцемент и портландцемент марки 300 с умеренной экзотермией (C3S до 50% и C3A до 6%) рекомендуется применять при возведении массивных сооружений с Mп до 3 и при температуре наружного воздуха до -20 °C или в конструкциях с большим Mп при применении предварительно разогретой до 70 °C бетонной смеси и при укладке в опалубку при tб.н >= 50 °C.
Глиноземистый цемент рекомендуется применять при возведении конструкций с Mп от 6 до 12 при соответствующем технико-экономическом обосновании.
| | ИС МЕГАНОРМ: примечание. Взамен ГОСТ 10268-70 Постановлением Госстроя СССР от 22.07.1980 N 111 с 01.01.1982 введен в действие ГОСТ 10268-80. | |
2.2. Заполнители для тяжелых и легких бетонов должны удовлетворять требованиям ГОСТ 10268-70 "Заполнители для тяжелого бетона. Технические требования" и
ГОСТ 9757-61 "Заполнители пористые неорганические для легких бетонов. Классификация".
Бетоны марки выше 200 рекомендуется приготовлять на щебне, а не на гравии.
При производстве работ методом термоса заполнители подогреваются до температуры, требуемой по теплотехническому расчету. Температура заполнителей и воды может быть определена в зависимости от требуемой температуры бетонной смеси по номограмме
рис. 1.
Рис. 1. Номограмма для определения температуры
заполнителей и воды
Для приготовления бетонных смесей, подвергаемых предварительному электроразогреву или паропрогреву, возможно применение холодных, но оттаявших и не имеющих смерзшихся комьев заполнителей.
2.3. Вода для затворения бетонной смеси должна применяться обычная водопроводная, удовлетворяющая требованиям
п. 4.11 главы СНиП III-В.1-70.
2.4. Материалы, используемые для приготовления гидротехнического бетона, должны удовлетворять требованиям ГОСТ 4797-69* "Бетон гидротехнический. Технические требования к материалам для его приготовления".
2.5. При производстве работ методом термоса для ускорения твердения бетона особенно при низких положительных температурах наружного воздуха в соответствии с "Руководством по применению бетонов с химическими добавками" (М., Стройиздат, 1975) рекомендуется применять следующие добавки - ускорители твердения - в количестве 1,5 - 2% массы вяжущего: хлорид кальция CaCl
2, нитрат кальция Ca(NO
3)
2, нитрит-нитрат кальция (ННК), нитрит-нитрат хлорида кальция (ННХК), нитрит натрия NaNO
2 и сочетание последнего с хлоридом натрия NaCl или хлоридом кальция CaCl
2 и добавок ПАВ: СДБ или ССБ, СНВ, СПД, ГКЖ-94 и др.
Количество добавки ПАВ должно применяться по нижнему пределу, указанному в названном выше Руководстве.
При применении медленно твердеющих цементов в случае бетонирования неармированных конструкций или армированных конструктивной арматурой добавка хлористых солей может быть увеличена до 3%.
При применении добавок хлористых солей в предварительно разогретых бетонных смесях количество их не должно превышать 2% массы цемента для неармированных и 0,5 - 1% для армированных конструкций при соблюдении следующих условий: арматура располагается в плотном бетоне и толщина защитного слоя бетона равна не менее 15 мм.
Применение добавок хлористых солей не допускается:
а) для конструкций с рабочей арматурой 5 мм и менее;
б) в предварительно-напряженных конструкциях;
в) в конструкциях, эксплуатирующихся в среде с переменной влажностью;
г) в подземных конструкциях городского хозяйства большой протяженности.
2.6. С целью обеспечения условий твердения бетона при отрицательных температурах в бетонную смесь рекомендуется вводить противоморозные добавки, снижающие температуру замерзания жидкой фазы: хлорид кальция и хлорид натрия CaCl2 и NaCl, нитрит натрия NaNO2 и поташ K2CO3, сочетая их с добавками ПАВ.
Перечисленные добавки должны отвечать требованиям соответствующих ГОСТов.
2.7. Количество противоморозных добавок в зависимости от температуры твердения бетона должно быть не более приведенного в
табл. 3.
Таблица 3
Рекомендуемые количества противоморозных добавок
Температура твердения бетона, °C | Количество безводной соли, % от массы цемента |
хлористый натрий + хлористый кальций (NaCl + CaCl2) | нитрит натрия (NaNO2) | поташ (K2CO3) |
-5 | 3 + 0 | 4 - 6 | 5 - 6 |
-10 | 3,5 + 1,5 | 6 - 8 | 6 - 8 |
-15 | | 8 - 10 | 8 - 10 |
-20 | - | - | 10 - 12 |
-25 | - | - | 12 - 15 |
--------------------------------
<*> Для неармированного бетона.
Оптимальное количество добавки (в указанных пределах) уточняется строительной лабораторией.
2.8. Нарастание прочности бетона на портландцементе с противоморозными добавками приведено в
табл. 4.
Таблица 4
Нарастание прочности бетона на портландцементе
с противоморозными добавками
Добавки | Температура твердения бетона, °C | Прочность бетона в % от R28 при твердении его на морозе через число суток |
7 | 14 | 28 | 90 |
Хлористые соли | -5 | 35 | 65 | 80 | 100 |
-10 | 25 | 35 | 45 | 70 |
-15 | 15 | 25 | 35 | 50 |
Нитрит натрия (кристаллический) | -5 | 30 | 50 | 70 | 90 |
-10 | 20 | 35 | 55 | 70 |
-15 | 10 | 20 | 35 | 50 |
Поташ | -5 | 50 | 65 | 75 | 100 |
-10 | 30 | 50 | 70 | 90 |
-15 | 25 | 40 | 60 | 80 |
-20 | 25 | 40 | 55 | 70 |
-25 | 20 | 30 | 50 | 60 |
При использовании быстротвердеющих портландцементов указанные в
табл. 4 величины могут быть умножены на коэффициент 1,2.
2.9. Для ускорения твердения бетона, уложенного методом термоса с противоморозными добавками в конструкциях с Mп от 8 до 12 при температурах наружного воздуха от -20 до -40 °C, возможно применение термоактивной опалубки или периферийного электропрогрева.
2.10. Применение противоморозных добавок в бетонах должно вестись в соответствии с требованиями главы
СНиП III-В.1-70. При применении добавок необходимо строго соблюдать правила техники безопасности согласно требованиям главы
СНиП III-А.11-70 "Техника безопасности в строительстве".
Б. ОСОБЕННОСТИ ПОДБОРА СОСТАВА БЕТОНА
2.11. Подбор состава бетона, укладываемого в зимних условиях по методу термоса, следует производить любым проверенным на практике способом, обеспечивающим получение бетона с заданными свойствами в установленные сроки при минимальном расходе цемента. Состав бетона уточняется лабораторией путем приготовления его на имеющихся в наличии материалах.
Осадка конуса бетонной смеси при укладке в опалубку определяется при рабочей температуре бетонной смеси и должна соответствовать требованиям, приведенным в
табл. 5. При производстве работ в зимнее время следует стремиться к уменьшению подвижности смеси, так как это будет способствовать ускорению твердения бетона в начальные сроки.
Таблица 5
Осадка конуса бетонной смеси (при укладке в опалубку
в зависимости от массивности конструкций
и насыщения арматурой)
Конструкции | Осадка конуса, см |
Массивные неармированные или малоармированные (фундаменты, блоки массивов, подпорные стенки) с Mп <= 3 | 1 - 3 |
Массивные армированные конструкции (плиты, балки, колонны большого и среднего сечения) с Mп <= 5 | 3 - 6 |
Железобетонные конструкции 5 < Mп < 12, сильно насыщенные арматурой, конструкции, бетонируемые в скользящей опалубке | 6 - 8 |
Подготовка под фундаменты и полы, основания дорог и аэродромов, покрытия дорог и аэродромов | 0 - 3 |
2.12. Водоцементное отношение в бетоне, укладываемом в зимнее время, следует снижать до минимально возможного, и оно не должно превышать величин, приведенных в
табл. 6.
Таблица 6
Зависимость между проектной маркой бетона, маркой цемента
и водоцементным отношением
Проектная марка бетона | Водоцементное отношение при марке цемента |
300 | 400 | 500 |
150 | 0,65 | - | - |
200 | 0,55 | 0,65 | - |
300 | 0,38 | 0,45 | 0,5 |
400 | - | 0,38 | 0,4 |
500 | - | - | 0,38 |
2.13. При укладке бетона в зимнее время расход воды в бетонной смеси должен быть минимальным исходя из условия удобоукладываемости смеси.
2.14. Расход воды и соответственно цемента в бетонной смеси при введении пластификаторов и воздухововлекающих ПАВ и ускорителей твердения уменьшается примерно на 10%.
3. ВЛИЯНИЕ ТЕМПЕРАТУРЫ НА НАРАСТАНИЕ ПРОЧНОСТИ БЕТОНА НА ПЛОТНЫХ И ПОРИСТЫХ ЗАПОЛНИТЕЛЯХ
3.1. При назначении тепловлажностного режима выдерживания бетона с целью получения заданной прочности в требуемые сроки при производстве работ методом термоса следует руководствоваться графиками, приведенными на
рис. 2 -
7, и данными
табл. 7 -
12, устанавливающими прочность бетона на цементах различных видов и марок в зависимости от температуры бетона (в пределах от -3 до +50 °C).
Рис. 2. Нарастание прочности бетона марок 200 - 300
на портландцементе марки 400 (в % от R28)
при температурах от -3 до +50 °C
Рис. 3. Нарастание прочности бетона марки 200
на портландцементе марки 300 (в % от R28)
при температурах от -3 до +40 °C
Рис. 4. Нарастание прочности бетона марки 400
на портландцементе марки 500 (в % от R28)
при температурах от -3 до +40 °C
Рис. 5. Нарастание прочности бетона марок 200 - 300
на шлакопортландцементе марки 400 (в % от R28)
при температурах от -3 до +50 °C
Рис. 6. Нарастание прочности бетона марки 200
на шлакопортландцементе марки 300 (в % от R28)
при температурах от -3 до +40 °C
Рис. 7. Нарастание прочности бетона марки 500
на портландцементе марки 600 (в % от R28)
при температурах от 0 до 40 °C
Таблица 7
Нарастание прочности бетона марок 200 - 300
на портландцементе марки 400 (% от R28)
Возраст бетона, сут | Температура бетона, °C |
-3 | 0 | 5 | 10 | 20 | 30 | 40 | 50 | 60 |
1/2 | - | 1 | 4 | 5 | 12 | 17 | 28 | 38 | 50 |
1 | 3 | 5 | 9 | 12 | 23 | 35 | 45 | 55 | 63 |
2 | 6 | 12 | 19 | 25 | 40 | 55 | 65 | 75 | 80 |
3 | 8 | 18 | 27 | 37 | 50 | 65 | 77 | 85 | - |
5 | 12 | 28 | 38 | 50 | 65 | 78 | 90 | - | - |
7 | 15 | 35 | 48 | 58 | 75 | 87 | 98 | - | - |
14 | 20 | 50 | 62 | 72 | 87 | 100 | - | - | - |
28 | 25 | 65 | 77 | 85 | 100 | - | - | - | - |
Таблица 8
Нарастание прочности бетона марки 200 на портландцементе
марки 300 (% от R28)
Возраст бетона, сут | Температура бетона, °C |
-3 | 0 | 5 | 10 | 20 | 30 | 40 | 50 | 60 |
1/2 | - | - | 2 | 5 | 8 | 15 | 20 | - | - |
1 | - | 4 | 6 | 10 | 18 | 27 | 36 | 45 | 52 |
2 | - | 8 | 12 | 18 | 30 | 43 | 55 | 65 | 72 |
3 | 5 | 12 | 20 | 25 | 40 | 52 | 65 | 75 | - |
5 | 8 | 20 | 30 | 40 | 55 | 65 | 78 | - | - |
7 | 10 | 30 | 38 | 48 | 64 | 74 | 85 | - | - |
14 | 12 | 40 | 52 | 64 | 80 | 90 | 100 | - | - |
28 | 15 | 55 | 68 | 80 | 100 | - | - | - | - |
Таблица 9
Нарастание прочности бетона марки 400 на портландцементе
марки 500 (% от R28)
Возраст бетона, сут | Температура бетона, °C |
-3 | 0 | 5 | 10 | 20 | 30 | 40 | 50 | 60 |
1 | - | 8 | 12 | 18 | 28 | 40 | 55 | 65 | 70 |
2 | - | 16 | 22 | 32 | 50 | 63 | 75 | 85 | 90 |
3 | 10 | 22 | 32 | 45 | 60 | 74 | 85 | 92 | 98 |
5 | 16 | 32 | 45 | 58 | 74 | 85 | 96 | - | - |
7 | 19 | 40 | 55 | 66 | 82 | 92 | 100 | - | - |
14 | 25 | 57 | 70 | 80 | 92 | 100 | - | - | - |
28 | 30 | 70 | 90 | 90 | 100 | - | - | - | - |
Таблица 10
Нарастание прочности бетона марок 200 - 300
на шлакопортландцементе марки 400 (% от R28)
Возраст бетона, сут | Температура бетона, °C |
-3 | 0 | 5 | 10 | 20 | 30 | 40 | 50 | 60 |
1/2 | - | - | 2 | 4 | 7 | 20 | 25 | 32 | 42 |
1 | - | 3 | 6 | 10 | 16 | 30 | 40 | 50 | 65 |
2 | 3 | 8 | 12 | 18 | 30 | 40 | 60 | 75 | 90 |
3 | 5 | 13 | 18 | 25 | 40 | 55 | 70 | 90 | - |
5 | 8 | 20 | 27 | 35 | 55 | 65 | 85 | - | - |
7 | 10 | 25 | 34 | 43 | 65 | 70 | 92 | - | - |
14 | 12 | 35 | 50 | 60 | 80 | 96 | 100 | - | - |
28 | 15 | 45 | 65 | 80 | 100 | - | - | - | - |
Таблица 11
Нарастание прочности бетона марки 200
на шлакопортландцементе марки 300 (% от R28)
Возраст бетона, сут | Температура бетона, °C |
-3 | 0 | 5 | 10 | 20 | 30 | 40 | 50 | 60 |
1/2 | - | - | - | 3 | 6 | 12 | 20 | - | - |
1 | - | - | 3 | 6 | 12 | 20 | 35 | 45 | 60 |
2 | - | 4 | 7 | 12 | 20 | 35 | 50 | 65 | 76 |
3 | 2 | 7 | 12 | 18 | 30 | 46 | 63 | 80 | - |
5 | 4 | 13 | 20 | 30 | 45 | 60 | 80 | - | - |
7 | 6 | 18 | 25 | 40 | 55 | 70 | 92 | - | - |
14 | 8 | 25 | 40 | 55 | 75 | 90 | - | - | - |
28 | 10 | 35 | 55 | 70 | 100 | - | - | - | - |
Таблица 12
Нарастание прочности бетона марки 500
на портландцементе марки 600 (% от R28)
Возраст бетона, сут | Температура бетона, °C |
0 | 5 | 10 | 20 | 30 | 40 |
1 | 8 | 13 | 21 | 32 | 45 | 59 |
2 | 17 | 25 | 36 | 52 | 65 | 75 |
3 | 23 | 35 | 46 | 62 | 74 | 83 |
7 | 42 | 57 | 68 | 83 | 90 | 98 |
14 | 58 | 73 | 82 | 94 | 100 | - |
28 | 71 | 83 | 92 | 100 | - | - |
3.2. Таблицы и графики нарастания прочности составлены для бетона с подвижностью, соответствующей осадке конуса бетонной смеси 1 - 3 см. При применении более подвижных смесей темп нарастания прочности замедляется.
3.3. Учитывая, что интенсивность твердения бетона при различных температурах неодинакова, рекомендуется устанавливать среднюю температуру по отдельным интервалам остывания бетона. За максимальную продолжительность интервала следует принимать время, необходимое для изменения температуры бетона не более чем на 10° (см.
п. 7.25 настоящего Руководства).
3.4. В случае применения портландцементов с содержанием C
3A > 6% темп нарастания прочности по сравнению с графиками, приведенными на
рис. 2 -
4 и
7 и данными
табл. 7 -
9 и
12, увеличивается на 5 - 10%
(табл. 13).
Таблица 13
Нарастание прочности бетона марок 200 - 300
на портландцементе марки 400 Белгородского
и Воскресенского заводов
Возраст бетона, сут | Температура бетона, °C |
-3 | 0 | 5 | 10 | 20 | 30 | 40 |
А | Б | А | Б | А | Б | А | Б | А | Б | А | Б | А | Б |
1/2 | - | - | 2 | 2 | 4 | 4 | 6 | 6 | 10 | 14 | 15 | 25 | 25 | 30 |
1 | 2 | 4 | 5 | 6 | 9 | 12 | 12 | 14 | 22 | 28 | 41 | 48 | 53 | 55 |
2 | 5 | 6 | 10 | 14 | 18 | 24 | 26 | 30 | 40 | 48 | 53 | 63 | 70 | 70 |
3 | 8 | 10 | 18 | 22 | 25 | 32 | 35 | 40 | 50 | 60 | 69 | 75 | 85 | 90 |
5 | 14 | 17 | 28 | 35 | 38 | 46 | 50 | 55 | 65 | 70 | 81 | 85 | 98 | 98 |
7 | 18 | 20 | 37 | 43 | 48 | 53 | 56 | 60 | 75 | 80 | 91 | 95 | 100 | 102 |
14 | 20 | 25 | 51 | 59 | 67 | 72 | 72 | 80 | 87 | 92 | 104 | 105 | - | - |
28 | 25 | 30 | 70 | 75 | 84 | 85 | 93 | 93 | 100 | 100 | - | - | - | - |
Примечание. А - портландцемент Белгородского завода (C3A < 6%); Б - то же, Воскресенского завода (C3A > 6%).
3.5. Нарастание прочности бетона марок 200 - 300 на шлакопортландцементах марок 300 и 400 приведено на
рис. 5 и
6. Твердение бетона на шлакопортландцементе происходит медленнее при низких положительных температурах (5; 10 °C), а при температурах выше 50 °C темп нарастания прочности увеличивается по сравнению с бетоном на портландцементе той же марки на 5 - 10%.
В случае применения пуццоланового портландцемента нарастание прочности может быть ориентировочно принято по данным для бетона на шлакопортландцементе.
3.6. Для бетона на глиноземистом цементе оптимальной температурой твердения является 15 - 25 °C. Повышение температуры не ускоряет твердения в начальные сроки и приводит к снижению конечной прочности.
3.7. Нарастание прочности легкого бетона марки 200 на керамзитовом гравии и аглопоритовом щебне приведено на
рис. 8 и в
табл. 14. При температурах от -3 до +10 °C прочность легкого и тяжелого бетона растет относительно одинаково, а при температурах выше 20 °C нарастание прочности легкого бетона происходит более интенсивно.
Рис. 8. Нарастание прочности легкого бетона марки 200
на портландцементе марки 400 (в % от R28)
при температурах от -3 до +40 °C
Таблица 14
Нарастание прочности легкого бетона марки 200
на портландцементе марки 400
Возраст бетона, сут | Средняя температура бетона о конструкции, °C |
-3 | 0 | 5 | 10 | 20 | 30 | 40 |
керамзитобетон | аглопоритобетон | керамзитобетон | аглопоритобетон | керамзитобетон | аглопоритобетон | керамзитобетон | аглопоритобетон | керамзитобетон | аглопоритобетон | керамзитобетон | аглопоритобетон | керамзитобетон | аглопоритобетон |
1 | 1 | 2 | 3 | 3 | 5 | 6 | 10 | 10 | 25 | 24 | 50 | 48 | 61 | 61 |
2 | 3 | 4 | 9 | 11 | 14 | 13 | 24 | 26 | 50 | 50 | 63 | 65 | 75 | 76 |
3 | 4 | 5 | 18 | 20 | 23 | 24 | 37 | 40 | 63 | 62 | 73 | 75 | 85 | 86 |
7 | 6 | 7 | 35 | 37 | 48 | 45 | 58 | 53 | 80 | 80 | 91 | 91 | 97 | 97 |
28 | 15 | 16 | 65 | 67 | 79 | 73 | 83 | 82 | 100 | 100 | - | - | - | - |
Дальнейшее (после 28 сут) нарастание прочности легкого бетона продолжается более длительное время.
3.8. Замораживание бетона в раннем возрасте приводит к потере части конечной прочности, причем потери тем больше, чем раньше произошло замораживание.
3.9. Твердение бетона на морозе может продолжаться, однако темп его в большой степени зависит от температуры наружного воздуха (или окружающей среды) и прочности бетона до замерзания. Увеличение прочности бетона на морозе приведено в
табл. 15.
Таблица 15
Нарастание прочности бетона при отрицательной температуре
в зависимости от температуры и прочности бетона
к моменту замораживания
Прочность бетона до замораживания (% от R28) | Увеличение прочности бетона в % после 28 сут пребывания при температуре, °C |
0 | -2 | -3 | -5 | -10 | -20 |
0 | 50 - 70 | 20 - 25 | 15 - 25 | 5 - 10 | 1 - 3 | 1 |
5 - 10 | 50 - 60 | 40 - 50 | 30 | 15 - 20 | 3 - 5 | 2 - 4 |
15 - 20 | 40 - 60 | 35 | 20 | 25 | - | 10 |
40 - 50 | 30 - 40 | 20 | 15 | 20 | - | 10 |
70 - 80 | 15 | 15 | - | 10 - 15 | - | 0 |
3.10. Нарастание прочности бетона при различных температурах твердения может быть вычислено расчетным путем с помощью переходных коэффициентов

или по расчетным формулам. Переходные коэффициенты

, формулы и пример расчета нарастания прочности приведены в
прил. 4 настоящего Руководства.
3.11. Для ускорения твердения бетона допускается введение добавок ускорителей твердения, например хлористого кальция, в воду, применяемую для приготовления бетонной смеси.
Добавка безводного хлористого кальция не должна превышать 1,5 - 2% массы цемента для железобетонных конструкций.
Ускорение твердения бетона на портландцементе и шлакопортландцементе при введении добавки хлористого кальция может быть определено приближенно согласно данным, приведенным в
табл. 16.
Таблица 16
Ускорение твердения бетона при добавке
хлористого кальция, %
Возраст бетона, сут | % добавки CaCl2 в бетон |
на портландцементе | на шлакопортландцементе |
1 | 2 | 3 | 1 | 2 | 3 |
2 | 140 | 165 | 200 | 150 | 200 | 250 |
3 | 130 | 150 | 165 | 140 | 170 | 185 |
5 | 120 | 130 | 140 | 130 | 140 | 150 |
7 | 115 | 120 | 125 | 120 | 125 | 135 |
30 | 105 | 110 | 110 | 110 | 115 | 120 |
Примечания: 1. Приведенные в
табл. 16 данные об ускорении твердения бетона за счет добавки хлористого кальция относятся к нормальным температурам твердения бетона (10 - 20 °C).
С понижением температуры бетона относительный эффект ускорения твердения повышается.
2. За 100% принята прочность бетона в соответствующем возрасте без добавки CaCl2.
3.12. Нарастание прочности бетона в контакте с вечномерзлым грунтом при температурах минус 2 - 4 °C ориентировочно может быть определено по графикам
рис. 9 -
11.
Рис. 9. Нарастание прочности бетона марки 300 (в % от
R28)
в контакте с вечномерзлым грунтом
при температурах от -3 до +4 °C
а - предварительное выдерживание в нормальных условиях
0,1 сут; б - то же, 1 сут; в - то же, 3 сут; г - то же,
5 сут; 1 - бетон без химических добавок; 2 - бетон
с добавками 3% NaNO2 + 0,2% ССБ; 3 - бетон с добавками
1,5% NaNO2 + 0,5% CaCl2 + 0,2% ССБ
Рис. 10. Влияние времени предварительного выдерживания
в нормальных условиях на нарастание прочности бетона
марки 200 в контакте с вечномерзлым грунтом
при температуре -2 °C (в % от R28)
1, 2, 3 и 4 - предварительное выдерживание бетона,
приготовленного на портландцементе марки 500 в нормальных
условиях соответственно в течение 0, 1, 3 и 7 сут бетона;
5, 6, 7 и 8 - то же, бетона на портландцементе марки 300
Рис. 11. Влияние добавок хлористого кальция на темп
нарастания прочности бетона в контакте с вечномерзлым
грунтом при температуре -2 °C (в % от R28)
1 - бетон марки 200 на портландцементе марки 300
без добавок; 2 - то же, с добавкой 2% CaCl2 (от массы
цемента); 3 - бетон марки 150 на портландцементе марки 300
без добавок; 4 - то же, с добавкой 2% CaCl2; 5 - бетон
марки 200 на портландцементе марки 500; 6 - то же,
с добавкой 2% CaCl2; 7 - бетон марки 100 на портландцементе
марки 500
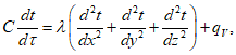
4. ОПРЕДЕЛЕНИЕ ДЛИТЕЛЬНОСТИ ОСТЫВАНИЯ БЕТОНА И ТЕМПЕРАТУРНОГО РЕЖИМА КОНСТРУКЦИЙ
4.1. При выдерживании бетонных и железобетонных конструкций методом термоса следует учитывать, что температурный режим зависит от таких факторов:
размеров и формы конструкции;
тепловой изоляции;
теплофизических свойств бетона и железобетона (теплоемкости, теплопроводности);
экзотермии цемента;
температуры бетона после его укладки в опалубку;
тепловых воздействий внешней среды (температуры наружного воздуха, скорости ветра).
4.2. Прогнозирование температурного режима бетонной или железобетонной конструкции необходимо для разработки мероприятий, обеспечивающих:
набор требуемой прочности бетона (как материала) за время его выдерживания;
благоприятное напряженное состояние конструкции (после вызревания бетона и выравнивания температуры по объему);
снижение отрицательного воздействия окружающей среды (низких температур наружного воздуха) на конструкцию в период распалубки.
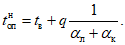
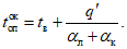
Под временем выдерживания бетона при производстве работ методом термоса следует считать период набора заданной прочности при условии обеспечения к этому времени допустимых перепадов температуры между бетоном и наружным воздухом согласно
п. 1.15 в,
г настоящего Руководства.
4.3. При термосном выдерживании бетона возникает необходимость определить:
время остывания бетона и величину набранной им за это время прочности при заданных термическом сопротивлении, изоляции, начальных и граничных условиях;
величину термического сопротивления изоляции, требуемой для достижения бетоном заданной прочности в установленные сроки при известных начальных и граничных условиях;
оптимальную величину термического сопротивления изоляции, обеспечивающей наряду с набором требуемой прочности бетоном также и формирование благоприятного термонапряженного состояния конструкции;
распределение температуры бетона в конструкции к моменту распалубки для решения вопроса о назначении сроков распалубки или нанесения теплоизолирующего покрытия;
температуру в конструкции в условиях твердения бетона, влияющую на формирование собственного термонапряженного состояния и на разрезку сооружений временными и постоянными температурно-усадочными швами на блоки бетонирования.
4.4. В зависимости от требуемой точности поставленная задача может быть решена одним из следующих способов прогнозирования температурного режима или длительности остывания бетона:
с помощью таблиц для расчета выдерживания бетона и выбора тепловой защиты конструкций различной массивности
(прил. 5). Таблицы могут быть использованы для определения мощности тепловой изоляции, обеспечивающей набор требуемой прочности при распалубке при заданных начальных и граничных условиях для ряда бетонов на портландцементах марок 400 и 500 и шлакопортландцементе марки 400;
расчетом температурного режима бетонных и железобетонных конструктивных элементов по методу В.С. Лукьянова
(прил. 6). Этот метод является универсальным, так как он позволяет определять не только мощность тепловой изоляции, требуемой для достижения бетоном проектной прочности, в конструкциях любой массивности, но и находить температурные поля, что особенно важно для оценки величины собственных температурных напряжений в конструкции, возникающих при выравнивании температуры по ее толщине после затвердевания бетона, а также для определения термонапряженного состояния конструкций, остывающих после распалубки.
Недостатками этого метода являются его относительная сложность и трудоемкость;
расчетом термосного выдерживания бетона по способу Б.Г. Скрамтаева
(прил. 7). Этот метод очень прост и может быть рекомендован для прогнозирования времени остывания бетонных конструкций с
Mп = 4 - 6 при проведении расчетов, не требующих большой точности;
по номограммам для определения параметров термосного выдерживания немассивных бетонных и железобетонных конструкций
(прил. 8).
4.5. Решение задач по прогнозированию температурного режима конструкций из твердеющего бетона при более сложной постановке может быть выполнено методом гидравлических аналогий В.С. Лукьянова, а также на электронных вычислительных машинах
(прил. 5).
4.6. При расчете длительности остывания бетона термическое сопротивление укрытия поверхностей без опалубки следует принимать равным термическому сопротивлению опалубки и изоляции.
Угловые выступающие части, металлические закладные детали и другие элементы, остывающие быстрее основной части конструкций, необходимо утеплять дополнительно для обеспечения одинаковых условий остывания всей конструкции. Термическое сопротивление тепловой изоляции этих элементов должно быть в два раза выше, чем термическое сопротивление опалубки с изоляцией.
4.7. Теплофизические характеристики некоторых теплоизоляционных материалов при определенной объемной массе и влажности приведены в
табл. 33 настоящего Руководства.
4.8. Рекомендуемые в строительстве виды опалубки приведены в
табл. 32 настоящего Руководства.
5. ПРИГОТОВЛЕНИЕ И ТРАНСПОРТИРОВАНИЕ БЕТОННОЙ СМЕСИ
5.1. При выдерживании бетона по методу термоса бетонная смесь должна готовиться на стационарных или передвижных бетоносмесительных установках, располагающихся, как правило, в отапливаемом помещении с использованием подогретых заполнителей и воды, температура которых должна обеспечивать получение бетонной смеси установленной расчетом температуры. Наибольшая допустимая температура бетонной смеси и ее составляющих при загрузке и по выходе из бетоносмесителя приведена в
табл. 17.
Таблица 17
Наибольшая допустимая температура бетонной смеси
и ее составляющих при загрузке и по выходе
из бетоносмесителя
Вид цемента | Наибольшая допустимая температура, °C |
воды | заполнителей | бетонной смеси |
Шлакопортландцемент, портландцемент марки 300 и пуццолановый портландцемент марки 200 | 80 | 50 | 40 |
Портландцемент и шлакопортландцемент марки 400 и выше, пуццолановый портландцемент марок 300 и выше | 60 | 40 | 35 |
Глиноземистый цемент | 40 | 20 | 25 |
5.2. Продолжительность перемешивания бетонной смеси, как правило, определяется строительной лабораторией опытным путем на имеющихся в наличии материалах. Однако она не должна быть меньше величин, приведенных в
табл. 18.
Таблица 18
Наименьшая продолжительность перемешивания бетонной смеси
в смесителях цикличного действия, с
Объем готового замеса смесителя, л | Смесители |
гравитационные для смеси с осадкой конуса, см | принудительного перемешивания |
2 - 6 | более 6 |
500 и менее | 95 | 75 | 75 |
Более 500 | 150 | 115 | 75 |
Умеренно жесткие и малоподвижные смеси (с осадкой конуса 2 см) следует приготовлять преимущественно в смесителях принудительного перемешивания. При использовании гравитационных смесителей время перемешивания увеличивается против величин, приведенных в
табл. 17, не менее чем на 30%.
5.3. При применении химических добавок растворы солей для удобства хранения рекомендуется готовить насыщенными, являющимися исходными для определения количества добавки и приготовления водного раствора.
Приготовление бетонной смеси с химическими добавками может вестись в холодном помещении при соблюдении следующих условий:
заполнители применяются в холодном состоянии;
песок просеивается для удаления смерзшихся комьев крупнее 5 мм;
ледяные включения не допускаются;
вода не подогревается.
Бетонная смесь с 70% воды затворения перемешивается в течение не менее 75 с, затем вводится 30% оставшейся воды с требуемой концентрацией добавки и смесь дополнительно перемешивается в течение 90 - 120 с.
5.4. Транспортирование бетонной смеси должно производиться в утепленной и укрытой транспортной таре, предохраняющей ее в пути от остывания и попадания атмосферных осадков. При температуре наружного воздуха ниже -15 °C рекомендуются предварительный прогрев бадей и кузовов бетоновозов перед загрузкой смеси, использование выхлопных газов для обогрева кузова, укрытие смеси деревянными щитами, брезентом, одеялами из шлаковаты, упакованной в полиэтиленовую пленку.
5.5. Ориентировочно температура бетонной смеси в конце транспортирования ее в автосамосвалах, укрытых брезентом, или в утепленных бадьях может определяться в зависимости от температуры наружного воздуха и длительности перевозки по
табл. 19. При подсчете теплопотерь при транспортировании температура бетонной смеси по выходе с завода
tб.с была принята 35 °C.
Таблица 19
Температура бетонной смеси после перевозки в автомашинах
или утепленных бадьях (K = 12,8 Вт/м2·°C)
с укрытием брезентом
Вид транспорта | Емкость кузова или бадьи, м3 | tб.с, °C | Температура наружного воздуха, °C |
0 | -10 | -20 | -30 | -40 |
10 | 20 | 30 | 40 | 50 | 60 | 10 | 20 | 30 | 40 | 50 | 60 | 10 | 20 | 30 | 40 | 50 | 60 | 10 | 20 | 30 | 40 | 50 | 60 | 10 | 20 | 30 | 40 | 50 | 60 |
Автосамосвал | 1 - 1,4 | 35 | 33,5 | 32,2 | 31 | 30 | 28,5 | 27,5 | 33 | 31,5 | 30 | 28,5 | 26,5 | 25,5 | 32,5 | 31 | 29 | 27 | 25 | 23 | 32 | 30 | 28 | 25 | 23 | 21 | 31,5 | 29 | 26 | 24 | 21 | 19 |
То же | 2 | 35 | 34 | 33 | 32 | 31 | 30 | 29 | 33,5 | 32 | 31 | 30 | 28,5 | 27 | 33 | 32 | 30 | 28 | 26 | 25 | 32,5 | 31 | 29 | 27 | 25 | 23 | 32,5 | 30,5 | 28 | 26 | 24 | 23 |
Бадья прямоугольной или конической формы опрокидная с затвором | До 1,6 | 35 | 34 | 33 | 32 | 31 | 29,5 | 29 | 34 | 33 | 32 | 30 | 29 | 28 | 34 | 32 | 31 | 30 | 28 | 27 | 33 | 32 | 31 | 29 | 27 | 26 | 33 | 32 | 30 | 28 | 26 | 25 |
5.6. Перегрузки смеси должны быть сведены до минимума. Организация работ должна предусматривать укладку смеси в конструкцию непосредственно из транспортных бункеров и бадей. Места выгрузки бетонной смеси следует защищать от ветра. В галереях магистральных и коробах распределительных транспортеров должна поддерживаться положительная температура, для чего их также следует утеплять, а перед началом работ отогревать горячим воздухом.
Фактические теплопотери бетонной смеси во время транспортирования не должны превышать 4 °C за 0,5 ч.
5.7. Время транспортирования бетонной смеси исходя из условия удобоукладываемости не должно превышать 30 мин при температуре смеси
tб.с = 40 °C, 45 мин при
tб.с = 20 - 30 °C и 120 мин при
tб.с = 5 - 10 °C.
5.8. Оптимальная температура отпускаемой с завода бетонной смеси при производстве работ методом термоса составляет 35 °C, а "расширенного термоса" с применением (перед укладкой) предварительного разогрева бетонной смеси 10 °C.
Температура бетонной смеси с противоморозными добавками по выходе из бетономешалки назначается строительной лабораторией с учетом влияния добавок на сроки схватывания, но не должна быть ниже минус 5 °C.
5.9. Электроразогрев бетонной смеси перед укладкой в опалубку осуществляется переменным электрическим током напряжением до 380 В в специально оборудованных бункерах или в бадьях, обеспечивающих равномерный прогрев, а также в кузовах автомобилей путем разогрева смеси опускающимися в него электродами.
Предварительный электроразогрев бетонных смесей с солевыми добавками в кузовах автосамосвалов не рекомендуется.
5.10. Температура разогрева бетонной смеси не должна превышать для бетонов на портландцементах 60 °C и на шлакопортландцементах - 70 °C. Оптимальная подвижность смеси до разогрева 6 - 8 см. Время разогрева зависит от имеющихся электрических мощностей и в среднем составляет 10 - 15 мин.
Разогрев бетонных смесей за время меньше 8 мин не рекомендуется вследствие недостаточного прогрева крупного заполнителя.
5.11. Требуемая для разогрева бетонной смеси электрическая мощность зависит от объема одновременно разогреваемой смеси и скорости разогрева. Ориентировочно для электроразогрева 1 м3 бетонной смеси на 60 °C (с 10 до 70 °C) необходимы следующие мощности:
180 кВт для разогрева в течение 20 мин
240 " " " " " 15 "
360 " " " " " 10 "
Расход электроэнергии может быть принят ориентировочно (с учетом потерь тепла) равным 1 кВт·ч на каждый градус разогрева 1 м3 бетонной смеси.
6. ПОДГОТОВКА ОСНОВАНИЯ И УКЛАДКА БЕТОННОЙ СМЕСИ
6.1. Состояние основания, на которое укладывается бетонная смесь, а также способ укладки с последующим выдерживанием бетона методом термоса должны исключать возможность замерзания бетона в контакте с основанием и деформации основания. Укладка бетона методом термоса или "расширенного термоса" на промороженное основание (ранее уложенный бетон, монолитное скальное основание, сезонно-мерзлые пучинистые и непучинистые грунты, а также вечномерзлые грунты) должна производиться в соответствии с требованиями подраздела "Укладка бетона на промороженное основание" настоящей главы.
6.2. Подготовленное основание должно удовлетворять следующим требованиям:
а) должны быть удалены снег и наледь, пятна мазута, нефти, битума и масла;
б) скальное основание должно обладать здоровой невыветрившейся породой, имеющиеся трещины должны быть расчищены и заинъецированы цементным раствором.
Для обеспечения прочного и плотного сцепления бетонного основания со свежеуложенным бетоном, кроме того, требуется:
удалить поверхностную цементную пленку со всей площади блока бетонирования;
вырубить наплывы и раковины до здорового бетона;
удалить опалубку штраб, пробки и другие ненужные закладные части;
очистить поверхность бетона от сора и пыли, а перед началом бетонирования поверхность старого бетона продуть струей сжатого воздуха.
6.3. Опалубка и арматура перед бетонированием должны быть очищены от снега, наледи, цементной пленки и грязи струей горячего воздуха желательно под колпаком. Снимать наледь паром или горячей водой запрещается. При температуре наружного воздуха ниже -10 °C арматура диаметром более 25 мм, а также арматура из жестких прокатных профилей и крупные закладные металлические детали отогреваются до положительной температуры. Отогрев может осуществляться указанным выше способом или индукционным методом.
Для устранения теплопотерь все выступающие закладные части: трубы, металлические выпуски и другие устройства, связанные с производством работ, должны быть утеплены.
6.4. В железобетонных и армированных конструкциях отдельных сооружений состояние ранее установленной арматуры должно быть перед бетонированием проверено на соответствие рабочим чертежам и требованиям главы СНиП III-В.1-70 на арматурные работы. При этом следует обращать внимание во всех случаях на выпуски арматуры, закладные части и элементы уплотнения, которые должны быть тщательно очищены от ржавчины, окалины и следов раствора.
6.5. При укладке бетонной смеси в массивные сооружения горизонтальными слоями выбор толщины укладываемого слоя бетонной смеси должен увязываться с типом применяемого глубинного вибратора. При использовании ручных глубинных вибраторов типа "вибробулавы" последние могут погружаться в бетонную смесь при ее уплотнении на глубину, равную 1,25 длины рабочей части вибратора. В практике толщина укладываемых слоев обычно не превышает 50 см.
6.6. Укладка бетонной смеси послойно должна вестись такими темпами, чтобы время перекрытия каждого слоя не превышало 2,5 - 3 ч. Предельно допустимая продолжительность перекрытия слоев должна назначаться строительной лабораторией. При цементах с началом схватывания не менее 1 ч 30 мин допустимая продолжительность перекрытия слоев бетонной смеси может быть назначена в соответствии с данными
табл. 20.
Таблица 20
Допустимая продолжительность перекрытия слоев бетонной смеси
Температура бетонной смеси, °C | Предельно допустимый возраст бетонной смеси к началу ее укладки | Предельно допустимая продолжительность укладки слоя |
5 - 10 | 1 ч 30 мин | 3 ч |
10 - 15 | 1 ч 15 мин | 2 ч 30 мин |
15 - 20 | 45 мин | 2 ч 15 мин |
Примечание. В таблице приведены данные для бетонных смесей, приготовляемых с добавками ССБ и СДБ в количестве 0,2% массы цемента.
После вынужденной приостановки бетонирования (консервация блоков) работы могут быть возобновлены по достижении ранее уложенным бетоном прочности не менее 2,5 МПа. При этом должны быть выполнены все работы, предусмотренные при подготовке оснований к бетонированию.
6.7. Послойное бетонирование массивных монолитных конструкций по методу термоса надлежит вести так, чтобы температура бетона в уложенном слое до перекрытия его следующим не падала ниже предусмотренной по расчету. Уложенный бетон немедленно укрывается брезентом, полиэтиленовой пленкой и требуемой по расчету теплоизоляцией.
6.8. Уплотнение бетонной смеси в массивных конструкциях, как правило, должно производиться с помощью глубинных ручных или тяжелых подвесных вибраторов, большей частью объединенных по нескольку штук в пакеты. В случае применения поверхностных вибраторов толщина уплотняемого слоя не должна превышать 25 см в неармированных конструкциях или в конструкциях с одиночной арматурой и 12 см - в конструкциях с двойной арматурой.
6.9. Продолжительность вибрирования бетонной смеси должна быть установлена экспериментально для каждого отдельного случая в зависимости от типа вибратора, состава и подвижности бетонной смеси, толщины слоя и других факторов.
Визуально время вибрирования может быть определено по следующим признакам: прекращение оседания бетонной смеси, прекращение выделения воздушных пузырьков, начало появления цементного молока на поверхности вибрируемого слоя бетонной смеси в зоне действия вибратора.
6.10. Шаг перестановки глубинных вибраторов не должен превышать полуторного радиуса их действия. Шаг перестановки поверхностных вибраторов должен обеспечивать перекрытие площадкой вибратора границы уже провибрированной зоны на 10 - 20 см.
6.11. При многоярусном бетонировании не допускается во время уплотнения бетонной смеси опирать работающие вибраторы на арматуру и другие закладные части, выступающие из бетона, не набравшего критической прочности.
Нельзя устанавливать вибратор во время уплотнения бетонной смеси у деревянной опалубки на расстоянии ближе 10 см. У бетонной опалубки или у шва сопряжения со смежным блоком вибратор следует устанавливать возможно ближе, однако он не должен касаться опалубки или ранее уложенного бетона, не набравшего критической прочности.
Вибрирование железобетонных конструкций через арматуру допускается в том случае, если вибрирование всей конструкции заканчивается до потери подвижности бетонной смеси.
6.12. Уложенный на основание бетон должен предохраняться от замерзания до приобретения им прочности не менее критической, если проектом организации работ не предусмотрено достижение бетоном более высокой прочности.
6.13. Во избежание деформации опалубки при замерзании и оттаивании грунта стойки, поддерживающие опалубку, следует опирать на готовые конструкции, а при их отсутствии - на лежни или подкладки, уложенные на непучинистое грунтовое основание.
6.14. При устройстве опалубки из железобетонных плит, оболочек и бетонных блоков тенты-оболочки должны иметь с наружной стороны надежно прикрепленное утепление и устанавливаться насухо. При необходимости выравнивания постели под блок должен укладываться слой сухой цементно-песчаной смеси толщиной не более 20 мм.
6.15. Укладка бетонной смеси с противоморозными добавками должна производиться с соблюдением требований
п. 6.2 настоящего раздела и следующих условий:
а) при укладке бетонной смеси на грунт под полы промышленных зданий покрытия дорог и тому подобные основания уплотняются так же, как и при укладке бетона в летнее время;
б) укладка может производиться на промерзшие непучинистые основания, уложенные и уплотненные в летнее время (желательно устройство основания из песчаных или супесчаных грунтов);
в) выравнивание основания перед укладкой бетонной смеси производится сухим или талым песком либо шлаком;
г) при бетонировании армированных конструкций необходимо тщательно следить за дозировкой солей и за соблюдением толщины защитного слоя.
6.16. Снижение температуры бетона за время его укладки и уплотнения для конструкций типа плит, стен и балок при разности температур бетонной смеси и наружного воздуха в 1° может ориентировочно определяться по
табл. 21.
Таблица 21
Снижение температуры бетона за время укладки и уплотнения
(при перепаде температур 1°)
Наименование и размеры конструкции, см | Снижение температуры бетона в долях °C при длительности укладки и уплотнения, мин |
1 | 5 | 10 | 15 |
Плиты и стены толщиной: | | | | |
6 | 0,03 | 0,15 | 0,3 | 0,45 |
8 | 0,022 | 0,11 | 0,22 | 0,33 |
10 | 0,018 | 0,9 | 0,18 | 0,27 |
12 | 0,015 | 0,075 | 0,15 | 0,23 |
15 | 0,012 | 0,06 | 0,12 | 0,18 |
20 | 0,009 | 0,045 | 0,09 | 0,14 |
25 | 0,008 | 0,04 | 0,08 | 0,12 |
30 | 0,007 | 0,035 | 0,07 | 0,11 |
40 | 0,005 | 0,025 | 0,05 | 0,08 |
50 | 0,004 | 0,02 | 0,04 | 0,06 |
Балки высотой: | | | | |
25 | 0,006 | 0,04 | 0,08 | 0,12 |
30 | 0,007 | 0,035 | 0,07 | 0,11 |
40 | 0,005 | 0,025 | 0,05 | 0,08 |
50 | 0,003 | 0,015 | 0,03 | 0,04 |
60 | 0,003 | 0,015 | 0,03 | 0,05 |
70 | 0,003 | 0,015 | 0,03 | 0,05 |
Примечание. При других перепадах температур значения, взятые из
табл. 21, умножаются на величину температурного перепада

, между температурой бетонной смеси и наружного воздуха.
Снижение температуры при бетонировании колонн практически можно не учитывать.
А. УКЛАДКА БЕТОНА НА ПРОМОРОЖЕННОЕ ОСНОВАНИЕ
6.17. До начала производства бетонных работ промороженное основание следует подготовить к укладке бетонной смеси в соответствии с требованиями
п. 6.2 настоящего Руководства.
6.18. Перед началом бетонирования промерзшее бетонное или скальное основание обычно рекомендуется отогревать до положительных температур. При этом ранее уложенный бетон и сезонно промерзшее скальное основание следует отогревать на глубину 300 мм, вечномерзлое скальное основание - на глубину 500 мм. Эти рекомендации не распространяются на работы, связанные с применением бетонов, содержащих противоморозные добавки.
Мерзлые пучинистые грунты должны обязательно отогреваться до положительной температуры на глубину не менее 500 мм и защищаться от промерзания до укладки бетонной смеси.
6.19. Отогревание основания и соприкасающихся элементов может выполняться:
а) в местных тепляках из брезента, полиэтилена, фанеры, обогреваемых электропечами сопротивления или воздухоподогревателями, работающими на любом топливе (электро- и парокалориферами и калориферами на жидком топливе);
б) электропрогревом при помощи вертикальных или горизонтальных электродов;
в) прогревом плоскими жидкостно-топливными нагревателями.
Отогрев должен производиться способами, не вызывающими снижения качества старого бетона в стыке.
6.20. При оттаивании основания способ отогрева следует выбирать с учетом имеющегося оборудования, температур наружного воздуха, утепления опалубки, размеров конструкции, стоимости энергоресурсов и глубины отогрева.
Работы по отогреву оснований на глубину более 300 мм необходимо производить по индивидуальному проекту, разработанному проектной организацией, о чем должно быть указано в проекте производства работ.
6.21. Ориентировочные значения энергозатрат на отогревание основания в соответствии с "Временными указаниями по отогреванию бетонных и скальных оснований при производстве бетонных работ в зимнее время на гидростроительствах Крайнего Севера" (ВУ 2-66), М., Оргэнергострой, 1967 приведены в
табл. 22.
Таблица 22
Энергозатраты при отогревании 1 м2 основания
на глубину 300 мм
Средства отогревания | Единица измерения | Расход энергоресурсов в натуральных показателях в расчете на отогревание 1 м2 основания на глубину 300 мм при температурах, °C |
tосн = -10; tн.в = -10 | tосн = -20 | tосн = -30 |
tн.в = -10 | tн.в = -20 | tн.в = -30 | tн.в = -50 |
Электрокалориферы | кВт·ч/м2 | 28,8 | 41,5 | 83,3 | 197 | 296 |
Парокалориферы | т/м2 | 0,048 | 0,07 | 0,141 | 0,331 | 0,5 |
Калориферы на жидком топливе - керосине | кг/м2 | 4,2 | 6,1 | 10 | 19,4 | 28,2 |
Плоские жидкостные топливные нагреватели на дизельном топливе | л/м2 | 2,7 | 3,9 | 7,5 | 11,4 | 11,4 |
6.22. В процессе отогревания необходимо осуществлять производственный контроль за температурным режимом основания с помощью термисторов или проволочных термометров сопротивления, устанавливаемых в скважины в центральной части отогреваемого участка и в одном из его углов на расстояния 30 - 50 см от его вершины. При этом в каждую скважину для замеров должно быть установлено не менее двух датчиков - на половину и на полную глубину отогревания. Скважина должна быть закрыта пробкой.
В тепляках следует поддержать температуру воздуха в пределах 10 - 35 °C.
6.23. При отогревании оснований необходимо соблюдать правила техники безопасности согласно требованиям главы
СНиП III-А.11-70 "Техника безопасности в строительстве".
6.24. В отдельных случаях в проектах производства работ следует предусматривать защиту оснований от промерзания путем устройства изоляции до наступления морозов или оттаивания оснований за счет тепла, поступающего из глубины земли.
Оттаивание основания за счет тепла, поступающего из глубины земли, достигается при устройстве теплоизоляции с термическим сопротивлением, устанавливаемым по расчету на АВМ и ЭВМ [но не менее 0,86 (м2·°C)/Вт] на промороженном основании не позднее чем за 1 мес до начала производства бетонных работ.
Теплоизоляция должна перекрывать предполагаемые участки бетонирования во все стороны не менее чем на 1 м.
6.25. На сезонно-мерзлые непучинистые грунты бетонная смесь может быть уложена без предварительного прогрева основания. Если по расчету не удается обеспечить незамерзаемость бетона в контакте с таким основанием, то последнее необходимо отогреть на глубину 30 см. При этом не допускаются оттаивание мерзлых грунтов поливкой горячей водой или растворами хлористых солей, а также пуск пара в котлован.
6.26. При соблюдении определенных правил бетонирования при возведении массивных бетонных конструкций шириной не менее 2 м по основанию, 1,5 м по высоте и температуре основания не ниже -15 °C бетон можно укладывать методом термоса и без прогрева сезонно-промороженного бетонного или скального основания.
6.27. Для определения температуры бетонной смеси при укладке на неотогретое бетонное или скальное основание рекомендуется пользоваться номограммой
рис. 12 <*>.
--------------------------------
<*> Номограмма составлена В.Н. Лемеховым.
Рис. 12. Номограмма для определения температуры
бетонной смеси, укладываемой на неотогретое основание
1 - одна поверхность охлаждения; 2 - две поверхности
охлаждения; 3 - три поверхности охлаждения
При производстве бетонных работ таким способом должны соблюдаться следующие требования:
толщина первого укладываемого бетонного слоя при температуре основания до -10 °C должна быть не менее 20 см;
перекрытие слоев бетона должно производиться в течение 1 ч;
при укладке бетона на неотогретое основание с температурой ниже -10 °C температура бетонной смеси для ребер и углов блока бетонирования должна быть в 1,5 - 2 раза выше, чем определенная по приведенной номограмме;
при температуре наружного воздуха ниже -10 °C над блоком бетонирования должен быть устроен тепляк из брезента, фанеры и т.п. Температура воздуха в тепляке должна быть не ниже -10 °C;
при укладке бетона на основание с температурой ниже -15 °C следует производить электропрогрев уложенного бетона.
Б. УКЛАДКА И ВЫДЕРЖИВАНИЕ БЕТОНА В УСЛОВИЯХ ВЕЧНОМЕРЗЛЫХ ГРУНТОВ
6.28. В соответствии с требованием главы СНиП II-Б.6-66 "Основания и фундаменты зданий и сооружений на вечномерзлых грунтах. Нормы проектирования" в зависимости от природных условий и особенностей зданий и сооружений принимается один из следующих двух принципов использования вечномерзлых грунтов в качестве основания зданий и сооружений:
принцип I - грунты основания используются в мерзлом состоянии в течение всего периода эксплуатации здания или сооружения;
принцип II - грунты основания используются в оттаивающем и оттаявшем состоянии.
Принципы использования грунтов в качестве оснований следует отличать от способов подготовки оснований.
Принцип использования грунтов в качестве основания определяет состав инженерных изысканий, методы исследования мерзлых грунтов, расчет оснований по предельным состояниям, правила и приемы производства работ нулевого цикла и особенности эксплуатации зданий и сооружений.
Способы подготовки основания при использовании грунтов в мерзлом состоянии могут заключаться в предварительном понижении температуры грунтов основания, промораживании его отдельных талых участков или повышении верхней поверхности вечномерзлых грунтов, если она в пределах строительной площадки не везде сливается со слоем сезонного промерзания-оттаивания.
При использовании грунтов в талом состоянии осуществляется предварительное оттаивание мерзлых грунтов или допускается оттаивание этих грунтов во время эксплуатации здания или сооружения. Предварительному оттаиванию обычно подвергаются мерзлые грунты лишь на некоторую глубину, и дальнейшее их оттаивание происходит в процессе эксплуатации здания или сооружения.
6.29. В зависимости от принятого принципа использования вечномерзлых грунтов в качестве основания в необходимых случаях следует производить его предпостроечную подготовку в соответствии с проектом организации работ. При использовании грунтов по первому принципу производятся промораживание отдельных талых участков, намораживание с целью поднятия уровня вечномерзлых грунтов и тому подобные работы. При использовании грунтов по второму принципу возможно предпостроечное оттаивание грунтов на определенную глубину.
Приступать к производству бетонных работ в вечномерзлых грунтах допускается лишь в том случае, когда мерзлотно-грунтовые условия основания соответствуют данным проекта.
6.30. Проектирование фундаментов зданий и сооружений из монолитного бетона следует производить с учетом теплового взаимодействия твердеющего бетона с вечномерзлым грунтом. Недоучет теплового взаимодействия может привести к изменению мерзлотно-грунтовых условий основания и как следствие этого - к авариям или повреждениям.
6.31. При устройстве монолитных бетонных фундаментов на вечной мерзлоте возникает необходимость независимо от принципа использования вечномерзлых грунтов в качестве основания определять величину прослойки протаивания, возможную просадку фундамента от сжатия грунта при оттаивании в случае приложения эксплуатационной нагрузки или без нее, время замерзания бетона и прочность к моменту замерзания. При устройстве монолитных бетонных фундаментов на вечномерзлых грунтах с использованием этих грунтов в качестве основания по первому принципу, кроме того, требуется определять время и условия смерзания бетона с грунтом.
6.32. Величину прослойки протаивания вечномерзлого грунта и время смерзания бетона с грунтом рекомендуется определять с помощью аналитических формул, приведенных в
прил. 9, или других достоверных уравнений, а для сложных и ответственных сооружений - с помощью аналоговых и электронных машин с учетом технологии устройства котлованов и скважин.
6.33. Величину относительного сжатия вечномерзлого грунта основания, оттаивающего при тепловом взаимодействии с твердеющим бетоном, рекомендуется определять на основании прогнозирования величины прослойки протаивания и требований главы
СНиП II-Б.6-66. Допустимые осадки фундаментов от сжатия вечномерзлых грунтов при оттаивании следует определять по главе
СНиП II-15-74 "Основания зданий и сооружений".
6.34. Для прогнозирования теплового взаимодействия в соответствии с
пп. 6.33 и
6.34 настоящего Руководства, а также для выбора оптимальной технологии бетонных работ в рабочих чертежах фундаментов должны быть приведены мерзлотно-грунтовые разрезы с наличием сведений о видах грунта, их физико-механических характеристиках (плотность, объемная масса скелета), влажности, льдистости, засоленности, содержании незамерзшей влаги, температуре, о наличии и глубине залегания грунтовых вод.
6.35. При производстве бетонных работ следует учитывать, что бетон в контакте с вечномерзлым грунтом, имеющим температуру до -3 °C, продолжает твердеть и при остывании ниже 0 °C. Нагружать фундамент, как правило, возможно лишь после восстановления мерзлотного состояния грунта, нарушенного при производстве бетонных работ. Поэтому достижение проектной марки бетона в фундаментах на вечномерзлых грунтах целесообразно назначать к моменту восстановления мерзлотного режима основания, увязав со сроками окончания строительных работ, что даст значительную экономию цемента.
6.36. Укладывать бетон в вечномерзлые грунты, как правило, рекомендуется с применением ускоренных методов твердения. Лишь при пластичномерзлых грунтах основания при использовании их по первому принципу целесообразно естественное твердение бетона, приготовленного на высокомарочном портландцементе.
Вместе с тем для сокращения сроков восстановления мерзлотного режима основания ускорение твердения бетона должно осуществляться при минимальном внесении тепла. Это требование не распространяется на бетонирование в скальных непросадочных грунтах.
6.37. При выборе оптимальной технологии бетонирования в вечномерзлых грунтах следует учитывать также и глубину заложения фундаментов, выделив следующие зоны:
активную на глубине 0 - 3 м, температура грунта в которой в значительной мере зависит от сезонных колебаний температуры наружного воздуха;
промежуточную на глубине 3 - 10 м, в которой сезонное колебание температур невелико;
стабильных температур (глубже 10 м).
К бетону, эксплуатируемому в зоне стабильных температур и в промежуточной зоне, дополнительных требований по плотности и морозостойкости не предъявляется. К бетону, эксплуатируемому в активной зоне грунта, полагается предъявлять повышенные требования по морозостойкости и плотности. Морозостойкость бетона в этой зоне должна быть не ниже Мрз 300, водоцементное отношение не выше 0,45 для бетона без воздухововлечения и не выше 0,6 - для бетона с воздухововлечением 4 - 6% по объему.
6.38. Для приготовления бетонных смесей рекомендуется применять преимущественно портландцементы высоких марок, приведенные в
табл. 23.
Таблица 23
Рекомендации по выбору вида вяжущего
Зона грунта | Способ бетонирования | Рекомендуемые виды вяжущего | Допустимые виды вяжущего |
Активная | Расширенный термос или термос | Гидрофобный портландцемент марок 400 - 600 или портландцемент марок 400 - 600 | БТЦ |
Промежуточная и стабильных температур | То же | Портландцемент марок 400 - 600 | ОБТЦ, БТЦ, гидрофобный портландцемент марок 400 - 600 |
Применение пуццолановых портландцементов и шлакопортландцемента не допускается.
6.39. Для ускорения твердения бетона в вечномерзлых грунтах рекомендуется широко применять способ расширенного термоса с применением химических добавок в качестве ускорителей твердения.
При выборе вида и назначении дозировок химических добавок следует учитывать возможность миграции солей из бетона в грунт, снижение температуры замерзания грунта и как следствие уменьшение несущей способности фундамента. При нескальных грунтах в качестве ускорителей твердения следует применять добавку хлористого кальция или комплексную добавку нитрата кальция с мочевиной (НКМ) в количествах, приведенных в
табл. 24. Эффективность других видов и количеств добавок следует подвергать специальной проверке с установлением их миграции в грунт.
Таблица 24
Рекомендуемые дозировки химических
добавок - ускорителей твердения
Вид грунта | Количество безводных солей при температурах грунта (°C), % от массы цемента |
до -1 | от -1,1 до -3 | ниже -3 |
Хлористый кальций |
Пески, супеси | 2 | 3 | 3 |
Суглинки и глины | 1 | 2 | 3 |
Комплексная добавка НКМ |
Пески, супеси | 3 | 4 | 8 |
Суглинки и глины | 2 | 3 | 8 |
Примечания: 1. Для армированных по расчету конструкций добавка хлористого кальция не должна превышать 2% массы цемента.
2. Комплексная добавка НКМ не ускоряет коррозии арматуры и ее применение для армированных конструкций не ограничены.
3. При глубине заложения фундаментов более полуторной глубины сезонного промерзания допускается увеличивать дозировку солей в бетоне, укладываемого выше уровня сезонного оттаивания грунта, в соответствии с нормативами зимнего бетонирования.
6.40. При скальных, непросадочных грунтах основания миграцию солей из бетона в грунт можно не учитывать. В частности, при бетонировании фундаментов с опиранием на скалу при температуре вечномерзлого грунта до -5 °C рекомендуется комплексная добавка следующего состава (в % массы цемента):
для железобетонных конструкций
1,5

+ 1,5

+ 0,2 ССБ;
0,5 " + 2 " + 0,2 ССБ;
для бетонных конструкций
3

+ 2

+ 0,2 ССБ.
Требуемую прочность бетона для подбора составов получают делением заданной проектом марки бетона на технологический коэффициент. Величина технологического коэффициента для бетонов марок 200 - 300, твердеющих в вечномерзлых грунтах, приведена в
табл. 25.
Таблица 25
Величина технологического коэффициента для бетонов
марок 200 - 300, твердеющих в вечномерзлых грунтах
Дозировка химических добавок, % от массы цемента | Возраст бетона к моменту достижения заданной прочности, мес | Технологический коэффициент при температуре грунта, °C |
от 0 до -2 | от -2 до -5 |
1,5 CaCl2 + 1,5 NaNO2 + 0,2 ССБ | 1 | 0,8 | 0,7 |
2 | 0,9 | 0,8 |
3 | 0,95 | 0,9 |
6 | 1 | 1 |
3 CaCl2 +2 NaNO2 + 0,2 ССБ | 1 | 0,85 | 0,8 |
2 | 0,25 | 0,9 |
3 | 1 | 1 |
6 | 1,1 | 1,1 |
6.41. Вяжущие, заполнители, вода, добавки - ускорители твердения и воздухововлекающие должны удовлетворять требованиям
пп. 2.1 -
2.3 настоящего Руководства и соответствующих стандартов и технических условий, как и для обычных бетонов. Применение добавок алюминиевой пудры для воздухововлечения не допускается.
При подборе составов бетона для бетонирования в вечномерзлых грунтах по методу расширенного термоса с применением химических добавок по
п. 6.40 проектная марка бетона должна быть увеличена путем деления на технологический коэффициент, приведенный в
табл. 26.
Таблица 26
Технологический коэффициент и рекомендуемая марка бетона,
твердеющего в контакте с вечномерзлыми грунтами
при применении добавок - ускорителей твердения
(без электропрогрева)
Проектная марка бетона | Возраст бетона к моменту достижения заданной марки, сут | Технологический коэффициент при дозировке добавок, % от массы цемента |
хлористого кальция | комплексной добавки НКМ |
1 | 2 | 3 | 2 | 3 | 4 | 6 | 8 |
При температуре грунта до -1 °C |
300 - 200 | 28 | 0,65 | 0,75 | - | 0,6 | 0,7 | - | - | - |
90 | 0,8 | 1 | - | 0,7 | 0,9 | - | - | - |
180 | 1 | 1,1 | - | 1 | 1 | - | - | - |
150 - 100 | 28 | 0,7 | 0,8 | - | 0,65 | 0,75 | - | - | - |
90 | 0,8 | 1 | - | 0,75 | 1 | - | - | - |
180 | 1 | 1,1 | - | 1 | 1 | - | - | - |
При температуре грунта от -1 до -3 °C |
300 - 200 | 28 | - | 0,75 | 0,8 | - | 0,7 | 0,75 | - | - |
90 | - | 1 | 1 | - | 0,9 | 0,9 | - | - |
180 | - | 1,1 | 1,1 | - | 1,1 | 1,1 | - | - |
150 - 100 | 28 | - | 0,8 | 0,85 | - | 0,75 | 0,8 | - | - |
90 | - | 1 | 1 | - | 1 | 1 | - | - |
180 | - | 1,1 | 1,1 | - | 1,1 | 1,1 | - | - |
При температуре грунта ниже -3 °C |
300 - 200 | 28 | - | - | 0,8 | - | - | - | 0,75 | 0,8 |
90 | - | - | 1 | - | - | - | 1 | 1 |
180 | - | - | 1,1 | - | - | - | 1,1 | 1,1 |
150 - 100 | 28 | - | - | 0,85 | - | - | - | 0,8 | 0,9 |
90 | - | - | 1 | - | - | - | 1 | 1 |
180 | - | - | 1 | - | - | - | 1,1 | 1,1 |
6.42. В некоторых случаях при пластичномерзлых нескальных грунтах основания целесообразно производить бетонирование по методу термоса без применения химических добавок. При твердомерзлых грунтах, а также при скальных непросадочных грунтах основания в ряде случаев целесообразно производить бетонирование методом расширенного термоса с применением разогрева бетонной смеси перед укладкой.
6.43. Технологический коэффициент и рекомендуемая марка цемента при его применении без добавок - ускорителей твердения приведены в
табл. 27.
Таблица 27
Технологический коэффициент и рекомендуемая марка цемента
при его применении без добавок - ускорителей твердения
Проектная марка бетона | При достижении бетоном 100%-ной прочности в возрасте |
28 сут | 6 мес |
без предварительного прогрева | с прогревом до 50% от R28 | без предварительного прогрева | с прогревом до 50% от R28 |
200 - 300 | 0,65 ----- 500 | 0,7 ----------- 400 - 500 | 0,75 ----- 500 | 1 ----------- 400 - 500 |
150 | 0,6 ----- 500 | 0,65 ----------- 400 - 500 | 0,75 ----- 400 | 1 ----------- 300 - 400 |
100 | Применять не рекомендуется | 1 ----------- 300 - 400 |
Примечания: 1. Цифры над чертой относятся к технологическому коэффициенту, под чертой - рекомендуемая марка цемента.
2. Технологические коэффициенты в
табл. 26 и
27 приведены для конструкций средней массивности с
Mп >= 4.
6.44. Подготовку котлована непосредственно перед бетонированием следует выполнять в соответствии с требованиями
пп. 6.1 -
6.2 настоящего Руководства. При пластичномерзлых нескальных грунтах для уменьшения протаивания основания допускается устройство теплоизолирующей прослойки по подготовке из сыпучего песка или из деревянного бруса хвойных пород сечением 10 x 10 см. Применяющаяся при этом древесина не должна иметь признаков гнили.
Для более массивных конструкций технологический коэффициент может быть увеличен на 0,05.
Необходимо также принять меры, чтобы грунт не оттаивал летом или чрезмерно не промерзал зимой.
6.45. Бетонирование следует начинать сразу после окончания подготовки котлована и по возможности проводить без перерыва с тщательным виброуплотнением смеси в соответствии с
пп. 6.5 -
6.15 настоящего Руководства.
6.46. Выбор способа ускорения твердения бетона в вечномерзлых грунтах производится на основе тщательного технико-экономического анализа с учетом конкретных условий строительства. При этом основной целью ставится максимальное сокращение сроков подготовки фундамента под нагрузку при экономном расходовании цемента и высоком качестве бетона.
В качестве основного рекомендуется комбинированный метод ускорения твердения бетона в вечномерзлых грунтах: применение смесей с добавками - ускорителями твердения и при необходимости предварительный разогрев бетонной смеси в сочетании с последующим термосным выдерживанием.
6.47. При выборе метода выдерживания бетона в вечномерзлых грунтах следует учитывать мерзлотно-грунтовые и климатические условия, а также сроки загружения конструкций проектной нагрузкой, которые зависят от длительности сооружения надземной части строительного объекта и составляют в зависимости от этажности для гражданских сооружений 1,5 - 4,5 мес, а для промышленных сооружений - 3 - 6 мес.
Поэтому достижение проектной марки бетона в фундаментах на вечномерзлых грунтах целесообразно назначать к окончанию строительных работ возводимого сооружения, так как бетон в контакте с вечномерзлым грунтом, имеющим температуру до -3 °C, продолжает твердеть и при остывании ниже 0 °C.
6.48. Загружение бетонных и железобетонных конструкций должно вестись после достижения бетоном проектной прочности, а также после восстановления обусловленного проектом мерзлотного режима грунта основания.
Строительно-монтажные работы допускается выполнять при прочности бетона 70% проектной и с учетом того, что фактическая нагрузка на фундамент не должна превышать 70% расчетной.
Несущую опалубку можно снимать, если фактическая нагрузка на фундамент:
выше 70% нормативной после достижения 100%-ной проектной марки бетона;
менее 70% после достижения 80%-ной проектной марки бетона.
6.49. Прочность бетона в конструкции, возводимой в контакте с мерзлым грунтом, определяется путем испытания контрольных образцов-кубов, изготовленных из той же смеси, что и забетонированная конструкция, и хранившихся в одинаковых с конструкцией условиях. Хранить образцы рекомендуется в специальных скважинах, обсаженных опалубкой. Изготовление и испытание образцов следует производить по методике, приведенной в ГОСТ 10180-67 "Бетон тяжелый. Методы определения прочности".
При соблюдении всех требований настоящего Руководства можно производить оценку прочности бетона в конструкции по результатам испытаний образцов нормального твердения в возрасте 28 сут путем умножения на технологический коэффициент, приведенный в
табл. 25 -
27.
6.50. При устройстве на вечномерзлых нескальных грунтах сборных свайных или столбчатых фундаментов

до 0,4 м с погружением их в предварительно пробуренные скважины, заполненные цементным раствором, при использовании грунтов по первому принципу сроки вмерзания свай в грунт могут быть ориентировочно определены по данным, приведенным в
табл. 28.
Таблица 28
Сроки вмерзания свай в грунт при применении
термомеханического способа бурения скважин
и цементно-песчаного раствора
Показатель | Сезон производства работ и температура вечномерзлого грунта, °C |
лето - осень | зима - весна |
-0,5 | -1 | -1,5 | -3 | -0,5 | -1 | -1,5 | -3 |
Время вмерзания, сут | 80 | 40 | 25 | 12 | 50 | 30 | 15 | 6 |
В. ОСОБЕННОСТИ УКЛАДКИ И ВЫДЕРЖИВАНИЯ БЕТОНА ПРИ УСТРОЙСТВЕ МОНОЛИТНЫХ ИЛИ СБОРНО-МОНОЛИТНЫХ СВАЙНЫХ ФУНДАМЕНТОВ В ВЕЧНОМЕРЗЛЫХ ГРУНТАХ
6.51. При производстве бетонных и железобетонных работ на Крайнем Севере и в зонах вечномерзлых грунтов необходимо учитывать специфику строительства в этих районах. В частности, следует предусмотреть особенности укладки и выдерживания бетона в вечномерзлых грунтах при устройстве:
буронабивных и трубобетонных свай-стоек диаметром 500 - 1000 мм, глубиной заложения до 50 м;
сборно-монолитных свай-стоек с уширенной пятой либо без уширения, устраиваемых из сборной верхней части и монолитной части в основании сваи, с глубиной заложения 5 - 6 м.
Устройство висячих свай с применением монолитного бетона не рассматривается из-за недостаточной изученности вопроса миграции солей из бетона в грунт.
6.52. Подбор состава монолитного бетона следует производить с учетом рекомендаций, приведенных в
пп. 2.1,
2.2 и
6.41. Следует применять высокопрочный портландцемент не ниже марки 400, а также комплексную добавку в соответствии с
п. 6.39. Водоцементное отношение должно быть в пределах от
В/Ц = 0,4 до
В/Ц = 0,7. Рекомендуемая подвижность смеси характеризуется осадкой стандартного конуса 6 - 8 см при бетонировании с помощью хобота и 12 - 14 см при применении вертикально перемещающейся трубы (ВПТ).
При строительстве в условиях с агрессивной средой должны быть учтены требования глав
СНиП II-Б.6-66 и
СНиП II-28-73 "Защита строительных конструкций от коррозии".
6.53. При бетонировании свайных фундаментов рекомендуется применять монолитный бетон. Раздельный метод бетонирования с инъецированием цементного раствора в крупный заполнитель, предварительно уложенный в скважину, не рекомендуется из-за повышенной трудоемкости, низкой экономичности и низкой прочности бетона. Исключением могут служить сваи с уширенной пятой, которые могут применяться в пластичномерзлых и переувлажненных грунтах.
Бетонную смесь рекомендуется доставлять с центрального бетонного узла в автосамосвалах, обогреваемых выхлопными газами и укрытых брезентом.
6.54. Перед началом бетонирования необходимо определить остаток шлама в скважине с помощью специального металлического щупа, опускаемого на тросике. Остаток шлама не должен превышать 10 см.
6.55. Бетонную смесь в пробуренные и подготовленные скважины в зависимости от их глубины рекомендуется укладывать следующими способами:
с помощью хобота и виброхобота для свай с уширенной пятой, а также для буронабивных и трубобетонных свай глубиной заложения до 10 м;
применением вибробункера и ВПТ диаметром 180 - 200 мм при глубине заложения скважины более 10 м.
При бетонировании с помощью хобота и вибробункера в холодное время года они должны быть утеплены.
При бетонировании методом ВПТ нижняя секция бетоновода устанавливается на высоте 0,8 м над забоем скважины. Бетонная смесь выгружается в вибробункер с помощью приемного бункера и автокрана и по бетоноводу подается в скважину.
По мере укладки и уплотнения смеси высокочастотным вибратором бетоновод в рабочем положении плавно поднимается с остановкой через каждые 0,5 м на 30 - 40 с и посекционно укорачивается.
Вся система ВПТ поднимается краном.
6.56. Бетонирование должно производиться непрерывно до полного заполнения скважины с переливом на 0,5 - 0,6 м выше проектной отметки оголовка сваи; эта верхняя часть сваи, состоящая из обедненного шламом бетона, обладает пониженной прочностью и подлежит срубке перед бетонированием ростверка.
6.57. Бетон следует выдерживать методом расширенного термоса. В осенне-зимний период части свай, выступающие из грунта, а также заглубленные на
3/
4 сезонного промерзания, рекомендуется подвергать электропрогреву в соответствии с указаниями
пп. 6.45 и
6.46 настоящего Руководства.
6.58. Выбор способа выдерживания бетона в различных мерзлотно-грунтовых условиях в зависимости от сроков нагружения фундаментов приведен в
табл. 29.
Таблица 29
Выбор способа выдерживания бетона в различных
мерзлотно-грунтовых условиях в зависимости
от сроков нагружения фундаментов
Конструкции фундамента | Сроки выдерживания бетона марки 300 для достижения 100%-ной прочности при укладке (в мес) |
в зимнее время | в летнее время |
1,5 - 2 | 3 | 6 | 1,5 - 2 | 3 | 6 |
Сборно-монолитные буронабивные и трубобетонные сваи, стойки, защемленные в скалу или опирающиеся на непросадочные вечномерзлые грунты | | | | | | | | | | | | |
То же, на грунты с температурой от 0 до -2 °C | Термос с химическими добавками при k = 0,77 или с предварительным разогревом смеси до 70 °C и химическими добавками при k = 1 | Термос с химическими добавками при k = 0,83 | Термос с химическими добавками при k = 1 | Термос с химическими добавками при k = 0,83 или с предварительным разогревом смеси до 70 °C и химическими добавками при k = 1 | Термос с химическими добавками при k = 0,91 | Термос при температуре грунта, близкой к 0 °C, с утеплением оголовка, в остальном - термос с химическими добавками при k = 1 |
То же, на грунты с температурой от -2 до -5 °C | | Термос с химическими добавками при k = 0,72 или термос с химическими добавками и кратковременным прогревом смеси в конструкции с расчетной температурой при k = 1 | | То же, при k = 0,77 | | То же | | Термос с химическими добавками при k = 0,77 или с предварительным разогревом смеси до 70 °C и химическими добавками при k = 1 | | Термос с химическими добавками при k = 0,83 | | Термос с химическими добавками при k = 1 |
Примечания: 1. k - технологический коэффициент, повышающий марку бетона, учитывающий медленное нарастание его прочности в контакте с вечномерзлым грунтом, и срок полного нагружения фундаментов.
2. Температура бетона при укладке в скважину должна быть во всех случаях не менее 20 °C.
3. При бетонировании буронабивных и трубобетонных свай в зимнее время верхняя часть сваи подлежит электропрогреву на 5 м от оголовка до достижения 70%-ной прочности от R28.
Г. УКЛАДКА БЕТОНА В ЗОНЕ ПЕРЕМЕННОГО УРОВНЯ ВОДЫ ПРИ ОТРИЦАТЕЛЬНЫХ ТЕМПЕРАТУРАХ НАРУЖНОГО ВОЗДУХА И МОРСКОЙ ВОДЫ
<1>
--------------------------------
<1> Температура морской воды при солености 35% может понижаться до -1,9 °C.
6.59. Сооружения, находящиеся в воде (причальные пирсы, подпорные стенки, набережные и т.п.), могут быть запроектированы из стального шпунта с железобетонными оголовками с целью защиты шпунта от коррозии в зоне переменного уровня воды
(рис. 13). Шпунт предусматривается бетонировать ниже горизонта воды на глубину не менее 1 м.
Рис. 13. Виды причальных стенок стального шпунта
с железобетонными оголовками, находящимися в зоне
переменного уровня воды
а - без кнехтов; б - с кнехтами
6.60. При бетонировании конструкций подобного типа в зоне переменного уровня воды необходимо обеспечивать повышенную коррозиестойкость и морозостойкость бетона не ниже Мрз 300.
6.61. Для обеспечения требуемой коррозиестойкости бетона при бетонировании конструкций гидротехнических сооружений, находящихся в агрессивной среде, в зимних условиях следует применять только сульфатостойкий портландцемент марок 400 и выше. Для повышения морозостойкости в бетоне необходимо вводить добавки ПАВ (см.
п. 2.5 настоящего Руководства).
6.62. Если невозможно обеспечить заданную проектом морозостойкость бетона при укладке его в воду с отрицательной температурой, бетонирование следует производить насухо в теплоизолирующей водонепроницаемой опалубке.
6.63. При производстве работ в зимнее время и в случае применения в основании металлического шпунта, выполняющего одновременно роль арматуры, создаются трудности в обеспечении водонепроницаемости днища опалубки. В связи с этим допускается подводным способом укладывать в опалубку тампонажный слой бетона толщиной 0,5 м ниже проектной отметки подошвы оголовка пирса или подпорной стенки.
6.64. Водонепроницаемую опалубку наружной стороны конструкции (обращенную к водоему) рекомендуется устраивать из щитов длиной 6 - 7 м из такого расчета, чтобы длина секции бетонирования составляла около 20 м.
6.65. Опалубочный щит водонепроницаемой опалубки оголовка приведен на
рис. 14. Он состоит из лицевой части и днища. Лицевая часть набирается из двух плотно пригнанных слоев досок толщиной 5 см (либо из металлических листов и ненамокающего водостойкого пенопласта толщиной 5 см). Такая толщина опалубки необходима для обеспечения теплоизоляции бетона. С наружной стороны деревянный щит следует обтягивать брезентом или усиленной полиэтиленовой пленкой, обеспечивающей водонепроницаемость. Доски крепятся к четырем вертикальным швеллерам, составляющим вместе с приваренным к ним днищем и раскосами (в первом варианте) основу опалубки.
Рис. 14. Схема опалубочного щита
водонепроницаемой опалубки оголовка
1 - паровые трубы

;
2 - доски толщиной 5 см (2 слоя);
3 - брезент; 4 - листовая сталь толщиной 5 мм; 5 - раскос
80 x 80 x 8 мм (через 2 м); 6 - швеллер N 12 (через 2 м);
7 - болт

;
8 - стяжные болты

через 1,6 м;
9 - болты

через 1,6 м;
10 - временная распорка;
11 - контур тыловой опалубки
6.66. Для предотвращения проникания воды через болтовое отверстие, поскольку болт прошивает не только доски, но и брезент, под швеллер укладывается прокладка из листовой резины. Пример стыкования днища опалубки с металлическим шпунтом приведен на
рис. 15.
Рис. 15. Схема стыкования днища опалубки
с металлическим шпунтом
6.67. Днище опалубочного щита изготовляется из стальных уголков и листов. За счет изменения размеров горизонтального листа производится подгонка опалубки к шпунту при отклонении его от оси. К сплошному днищу на двух болтах крепятся отдельные металлические листы, имеющие форму впадин в шпунтовой стенке
(рис. 15).
Отверстия под крепежные болты и днище должны иметь овальную форму с тем, чтобы листы при необходимости можно было сдвигать в ту или иную сторону в зависимости от отклонений шпунтин от проектного положения. Зазор между кромками металлических листов и шпунтовой стенки должен быть не более 2 см. На днище опалубки в качестве теплоизоляции настилаются два слоя досок толщиной каждая 5 см.
6.68. Опалубки тыловой и наружной конструкции должны быть одинаковыми по термическому сопротивлению.
6.69. До установки опалубки производится установка паропроводных труб на одну или несколько секций сразу и пазы шпунта конопатят пенькой или другим не пропускающим воду материалом.
6.70. Установку опалубочных щитов необходимо производить в следующем порядке:
в шпунте под водой на соответствующем уровне в каждом щите по шаблону прорезаются по четыре отверстия под болты 25 мм;
на днище опалубки закрепляются металлические листы в соответствии с конфигурацией шпунтовой стенки на данном участке;
опалубочный щит опускается под воду, подводится к месту его установки, и два водолаза с двух сторон шпунтовой стенки пропускают болты сквозь отверстия в шпунте и в вертикальном металлическом листе днища и слегка навинчивают гайки;
одновременно щит крепится в своей верхней части у шпунтовой стенки с помощью металлического тяжа с болтовой головкой и резьбой на противоположном конце (см.
рис. 14);
окончательно затягиваются все гайки как под водой, так и над ней.
6.71. До укладки тампонажного слоя бетона желательно произвести засыпку тела сооружения (пирса, подпорной стенки) грунтом вплотную к установленной опалубке до отметки +1 м (за нулевую отметку принимается проектная отметка основания низа бетонируемой конструкции).
6.72. Для предотвращения от замерзания бетона тампонажного слоя и обеспечения обогрева металлического шпунта, являющегося мостиком холода, вода в опалубке в месте укладки бетонной смеси должна быть прогрета до температуры 15 - 20 °C.
6.73. Впадины в шпунтовой стенке, пропускающие воду, могут быть заделаны следующим образом: сверху во впадины в шпунтовой стенке на веревке опускаются мешки с бетоном, заполненные на 1/2 - 2/3 объема. Масса мешка 50 - 60 кг. Мешок с бетоном опускается на металлический лист, бетонная смесь расплывается по его поверхности и перекрывает зазоры между стенками и днищем опалубки.
Водолаз проверяет снизу плотность перекрытия зазоров и в случае необходимости дает указание приподнять или переместить мешок в сторону.
6.74. Тампонажный слой бетона необходимо укладывать с температурой не ниже 30 °C на днище опалубки под воду. Рекомендации по способу подводного бетонирования должны разрабатываться на месте в зависимости от имеющегося на стройке оборудования.
6.75. Тампонажный слой бетона и металлического шпунта рекомендуется прогревать с помощью двух паровых труб диаметром 76 - 86 мм, находящихся в теле тампонажного слоя по обе стороны шпунта (см.
рис. 14).
6.76. Тампонажный слой бетона после его укладки следует прогревать непрерывно в течение 1 - 1,5 сут.
6.77. После отвердения тампонажного слоя бетона необходимо выкачать воду из опалубки, установить недостающую арматуру, отогреть горячим воздухом опалубку и ранее уложенный бетон до температуры укладываемого бетона и бетонировать "насухо".
6.78. Для обеспечения требуемой прочности бетона (см.
п. 6.98) температура бетонной смеси должна быть не ниже 30 - 35 °C. Каждый блок необходимо бетонировать непрерывно. Высота бетонируемых блоков должна находиться в пределах 1,5 - 2 м.
6.79. Уложенный бетон должен быть защищен от охлаждения сверху толем и слоем опилок толщиной не менее 15 см или шлаковатой толщиной 8 - 10 см при температуре наружного воздуха до -15 °C. При более низких температурах толщину теплоизоляции следует определять по расчету (см.
прил. 5) с учетом максимально возможного увлажнения теплоизоляционных материалов в процессе производства работ.
6.80. Учитывая значительные колебания температуры наружного воздуха, в прибрежных районах необходимо предусматривать защиту теплоизоляции от атмосферных осадков.
6.81. Теплоизоляционные материалы необходимо укладывать немедленно после укладки бетона.
6.82. Для обеспечения рационального температурного режима твердения бетона, гарантирующего набор требуемой прочности и его морозостойкость, при производстве работ методом термоса необходимо применять бетон с расходом цемента не менее 500 кг на 1 м3 бетонной смеси.
6.83. С целью максимального использования экзотермических свойств цемента и обеспечения требуемой прочности и морозостойкости бетона не рекомендуется использовать цемент, хранившийся на складе более 2 мес.
6.84. Водонепроницаемую опалубку оголовков и стенок с
Mп = 2 при температуре морской воды до -1,9 °C и наружного воздуха до -15 °C рекомендуется устраивать из деревянных щитов толщиной 10 см или пенопласта толщиной не менее 5 см. С наружной стороны щит теплоизоляции должен быть обтянут брезентом или усиленной полиэтиленовой пленкой, обеспечивающей водонепроницаемость. При температуре наружного воздуха ниже -15 °C теплоизоляция должна назначаться по расчету в соответствии с рекомендациями, приведенными в
прил. 5 настоящего Руководства.
6.85. Конструкция и крепление опалубки должны быть разработаны с учетом местных условий.
6.86. При наличии выступающих частей (например, в оголовке пирса), имеющих
Mп >= 2, а также углы выступов, соприкасающиеся с наружным воздухом, должны быть защищены теплоизоляцией толщиной, назначаемой по расчету, приведенному в
прил. 5.
6.87. До установки опалубки необходимо произвести установку паропроводных труб на одну или несколько секций бетонирования.
6.88. Бетон при термосном выдерживании конструкций оголовков пирсов и причальных стенок в зоне переменного уровня воды к моменту замерзания должен набрать прочность не менее 70% R28.
6.89. Для уменьшения теплопотерь уложенным бетоном через металлический шпунт рекомендуется производить обогрев шпунта в течение времени, требуемого для набора бетоном прочности, равной 70% R28.
6.90. Учитывая особые условия бетонирования, в дополнение к рекомендациям
разд. 7 следует руководствоваться следующими положениями:
в процессе термосного выдерживания необходимо установить контроль за температурой твердеющего бетона начиная с момента его укладки и до набора прочности не менее 70% R28;
количество точек для замера температур в одном сечении блока бетонирования должно быть не менее 5 (в выступающих углах конструкции, у металлического шпунта над водой и под водой и в центре конструкции);
при проведении замеров необходимо обратить особое внимание на температуру углов и выступающих частей, для чего следует обязательно замерять ее на расстоянии не более 5 см от угла выступающей части конструкции.
Периодичность замеров температур в твердеющем бетоне должна быть в первые сутки не реже 3 - 4, а в последующие - не реже 2 раз в сутки.
Д. ПОДВОДНОЕ БЕТОНИРОВАНИЕ СВАЙ В СТАЛЬНЫХ ОБОЛОЧКАХ И РОСТВЕРКОВ В ЗОНЕ ПЕРЕМЕННОГО УРОВНЯ ВОДЫ
6.91. Настоящий подраздел распространяется на бетонирование при минимальной температуре наружного воздуха до -20 °C элементов, характерных для конструкций типа тяжелых причалов:
а) свай в стальных оболочках способом ВПТ при температуре воды от -1,9 до +8 °C. Бетонирование способом ВПТ следует производить до отметки (согласно указаниям проекта), отделяющей подводный бетон от укладываемого насухо;
б) ростверков и оголовков свай (часть сваи выше отметки окончания подводного бетонирования) в зоне переменного уровня воды.
6.92. Бетонирование должно осуществляться в соответствии с проектом производства работ, требованиями главы СНиП III-В.1-70, "Инструкцией по изготовлению и защите бетонных и железобетонных конструкций морских гидротехнических сооружений, возводимых в районах с суровыми климатическими условиями" (ВСН 118-65), М., Минтранстрой СССР, 1965 и "Инструкцией по производству бетонирования конструкций тяжелых морских причалов, возводимых в условиях низкотемпературной среды" ВСН 336-74/ММСС СССР Минмонтажспецстроя СССР.
Примечание. Приводимые ниже данные по подводному заполнению оболочек бетонными смесями касаются лишь основных положений способа ВПТ и особенностей производства работ по бетонированию свай в стальных оболочках в условиях низкотемпературной водной среды.
6.93. Марка бетона задается проектом. Проектирование и подбор состава бетона для свай в металлических оболочках и ростверков производятся по плотности и прочности исходя из условий обеспечения заданной подвижности, связности и нерасслаиваемости при вибрировании бетонной смеси и приобретения затвердевшим бетоном требуемой прочности и долговечности.
6.94. Величина требуемой прочности бетона, достаточной для восприятия забетонированной сваей монтажных нагрузок без нарушения прочности сцепления бетона с армокаркасом и оболочкой, определяется проектом, но не должна быть ниже 50% от R28. В оголовках свай и ростверках к моменту остывания бетона в контрольной точке до 0 °C прочность его должна составлять не менее 70% от R28.
6.95. В условиях контакта подводного бетона с низкотемпературной водной средой процесс набора 50%-ной прочности от R28 для защитного слоя происходит за 10 - 15 сут, а 100%-ной - при тех же условиях за 55 - 60 сут.
| | ИС МЕГАНОРМ: примечание. Нумерация пунктов дана в соответствии с официальным текстом документа. | |
9.96. Интенсивный теплообмен большей части поверхности забетонированной оболочки с низкотемпературной водной средой задерживает рост температуры бетона в периферийных слоях (защитный слой) при общем подъеме за счет экзотермии температуры в основном массиве сваи и прежде всего в заделке. Разность температуры бетона защитного слоя между заделкой и омываемой частью сваи в 25 - 30 °C может стать причиной снижения качества конструкции. Для устранения этих перепадов температуры и связанных с ними температурных напряжений, а также для интенсификации твердения бетона необходимо применять приведенные ниже методы его выдерживания.
6.97. При возведении свай в стальных оболочках и ростверков тяжелого причала следует применять бетон в соответствии с требованиями ГОСТ 4795-68 "Бетон гидротехнический. Технические требования".
Затвердевший бетон должен иметь марку не ниже:
300 - для подводного бетона по прочности;
400 - для ростверков по прочности;
300 - по морозостойкости для переменного уровня и ростверков;
В-8 - по водонепроницаемости.
6.98. При проектировании и подборе составов бетона следует обязательно предусмотреть введение в бетонную смесь ПАВ. Вид применяемых ПАВ определяется требованиями к бетону.
Рекомендуются следующие индивидуальные и комплексные добавки: СДБ (ССБ) (0,15 - 0,2%) или СНВ (0,01 - 0,2%), СДБ (0,1 - 0,2%) + СНВ (0,005 + 0,015%), СДБ (0,1 - 0,2%) + ГКЖ-94 (0,05 - 0,08%). (Количество добавки указано на сухое вещество от массы цемента, при этом количество вовлеченного воздуха в бетоне должно быть в пределах 3,5 - 5,0%).
6.99. При бетонировании способом ВПТ подвижность бетонной смеси при укладке в оболочку должна соответствовать требованиям главы СНиП III-В.1-70. При бетонировании обычным способом осадка конуса бетонной смеси должна при укладке составлять 4 - 6 см.
6.100. Бетонная смесь при бетонировании способом ВПТ должна сохранять подвижность в течение 40 мин, т.е. в течение времени, необходимого для ее транспортирования и укладки под воду.
6.101. Рекомендуемые составы бетона для бетонирования свай и ростверков приведены в
табл. 30.
Таблица 30
Рекомендуемые составы бетона для бетонирования
свай и ростверков
Бетон | В/Ц | Осадка конуса, см | Расход материала на 1 м3 бетона, кг |
цемент | щебень | песок | вода | СДБ + СНВ |
Для бетонирования сваи способом ВПТ | 0,45 | 18 - 20 | 490 | 830 | 830 | 220 | 0,1 + 0,06 |
То же, для первой порции | 0,37 | 16 - 18 | 635 | 800 | 800 | 235 | - |
Для бетонирования сваи и ростверка обычным способом | 0,4 | 7 - 9 | 400 | 1200 | 640 | 160 | 0,06 |
Примечание. Приведенные составы бетона требуют уточнения на месте работ каждый раз по получении новых партий материалов. Составы подобраны с применением песка с Mкр = 2,2, щебня с Hкр = 50 и сульфатостойкого портландцемента с нормальной густотой теста 25%.
6.102. Требуемая величина температуры бетонной смеси, отпускаемой с завода, tб.з определяется по формуле

(2)
где tб.н - начальная температура бетона, уложенного в оболочку, °C;

- величина снижения температуры бетонной смеси при транспортировании (см.
пп. 5.5,
5.6);

- то же, при перегрузках (1 - 2 °C);

- то же, при укладке (5 - 6 °C).
6.103. Бетон в сваях со стальной оболочкой в зависимости от требуемой интенсивности его твердения выдерживается либо по методу термоса, либо по методу регулируемого термоса.
6.104. Применение специальных методов выдерживания бетона позволяет сократить сроки набора требуемой прочности, совместить на одном плавкондукторе производственные процессы по бурению скважин, установке оболочек и их бетонированию и повысить качество конструкции. При этом в контрольной точке может быть получено 50% от R28 по методу термоса за 5 сут, а по методу регулируемого термоса - за 3 сут.
6.105. При выдерживании подводного бетона по методу термоса на внешнюю поверхность оболочки следует нанести тепловую изоляцию. При этом необходимо, чтобы температура уложенного бетона составляла, °C:
В зоне скала-морена ..................... 5 - 6
" остальном объеме сваи ................. 14 - 16
6.106. Для свай в стальных оболочках рекомендуется применять тепловую изоляцию двух типов: намокающую и ненамокающую. Наиболее доступным видом намокающей изоляции является минеральный войлок, выпускаемый в виде мягких плит.
Объемная масса плит из минерального войлока

, коэффициент теплопроводности в сухом состоянии

.
Лучшим видом ненамокающей изоляции является пористая резина

,

.
6.107. Оптимальная толщина изоляции определяется теплотехническим расчетом исходя из необходимости снижения интенсивности теплообмена с водной средой в 100 - 150 раз по сравнению с неизолированной сваей. В частности, для условий Баренцева моря со средней температурой воды в зимних условиях от -1 до +2 и в летних условиях 6 - 8 °C изоляция должна обеспечивать снижение эффективного коэффициента теплоотдачи

до величины 3,48 - 5,8 Вт/(м
2·°C). Значение эффективного коэффициента теплоотдачи может быть подсчитано по формуле

(3)
где

- коэффициент теплопроводности изоляции, Вт/(м·°C);

- толщина изоляции, м;

- коэффициент теплообмена на открытой поверхности, Вт/(м
2·°C).
Эти условия обеспечиваются при толщине теплоизоляции из минерального войлока

или пористой резины

.
6.108. Изоляция монтируется на оболочку сваи бандажами, длина которых равна периметру сваи, а высота составляет 0,5 - 1 м.
Учитывая возможность монтажа изоляции на оболочку водолазами, конструкция затяжных устройств бандажей должна быть простой и надежной (ремни с пряжкой, накидные защелки).
6.109. Нижней границей изоляции оболочки является поверхность пород, верхняя граница располагается на 0,5 м выше проектной отметки бетонирования сваи.
6.110. При монтаже бандажей изоляции должны обеспечиваться: плотное прилегание их по всему периметру к оболочке и плотная стыковка между собой. Для облегчения монтажа бандажи из пористой резины должны иметь инвентарные пригрузы, снижающие ее плавучесть.
6.111. Изоляция монтируется перед началом бетонирования после установки оболочки в проектное положение, а демонтируется через 3 - 5 сут после окончания бетонирования в зависимости от принятого метода выдерживания бетона.
6.112. Бандажи из пористой резины предназначаются для многократного использования по всей высоте сваи, включая зону переменного уровня воды.
Бандажи из намокающей изоляции предназначаются для двух-трехкратного использования, но они не пригодны для применения в зоне переменного уровня. Поскольку стоимость намокающей и ненамокающей изоляции примерно одинакова, то в качестве оптимальной рекомендуется применять изоляцию из пористой резины.
6.113. Метод регулируемого термоса заключается в создании термоактивности защитного слоя бетона сваи с нанесенной на ее оболочку тепловой изоляцией за счет его электропрогрева.
Основной массив бетона выдерживается по методу термоса. Электропрогреву подвергается лишь часть защитного слоя, находящаяся в омываемой зоне сваи (см.
рис. 16). Прогрев бетона при этом осуществляется таким образом, чтобы температурные режимы прогрева повторяли температурные режимы соответствующих частей сваи, выдерживаемых методом термоса.
Рис. 16. Электропрогрев защитного слоя бетона
1 - оболочка; 2 - армокаркас; 3 - прогреваемая часть
защитного слоя; 4 - текстолитовые направляющие; 5 - тепловая
изоляция; 6 - фазовый провод; 7 - нулевой провод;
8 - трансформатор; 9 - контрольные термопары;
10 - РУ (регулирующее устройство); 11 - моренные
породы; 12 - скальное основание
6.114. Для обеспечения указанных режимов выдерживания бетона в свае до начала бетонирования устанавливаются термопары. Они могут быть установлены либо в защитном слое омываемой зоны и зоны заделки, либо в защитном слое омываемой зоны и в центре сваи (см.
рис. 16). При последнем варианте расположения термопар центральная термопара устанавливается после окончания бетонирования с помощью специального приспособления через бетонолитную трубу.
6.115. Температура уложенной в конструкцию бетонной смеси должна быть в пределах 6 - 8 °C.
6.116. Бетон прогревается током пониженного напряжения (30 - 50 В). Электродами служат армокаркас и оболочка, источниками питания - группа сварочных трансформаторов, соединенных параллельно по низкой стороне.
6.117. Для достижения соосности армокаркаса и оболочки и в целях электрической изоляции их друг от друга на армокаркасе устанавливаются текстолитовые направляющие (см.
рис. 16).
6.118. Нижняя часть армокаркаса, расположенная в морене и скале, перед установкой его в оболочку должна быть покрыта электроизолирующим водостойким лаком.
6.119. Бетон в конструкциях, находящихся в зоне переменного уровня воды (оголовки свай и ростверки), необходимо выдерживать по методу термоса. Температура уложенной бетонной смеси должна быть 15 - 20 °C.
При этом тепловой защитой бетона ростверка служит его постоянная опалубка (два слоя досок по 0,04 м с полиизобутиленовой прокладкой между ними). Открытая поверхность бетона ростверка должна быть изолирована двумя слоями пергамина или толя со слоем опилок толщиной до 0,15 м (или шлаковаты до 0,1 м) между ними (см.
рис. 17).
Рис. 17. Термосное выдерживание бетона
в оголовках свай и ростверках
1 - оболочка; 2 - армокаркас; 3 - отметка окончания
подводного бетонирования; 4 - изоляция оголовка сваи
бандажами из пористой резины; 5 - ростверк; 6 - защитная
опалубка ростверка; 7 - тепловая изоляция открытой
поверхности ростверка; 8 - минимальный уровень
морской воды; 9 - промежуточный уровень воды;
10 - максимальный уровень воды
На наружную поверхность оголовков свай следует наносить тепловую изоляцию в виде бандажей из пористой резины толщиной 0,04 м
(рис. 17). Бандажи, заполненные шлаковатой, в зоне переменного уровня воды применять не допускается.
6.120. Сваи следует бетонировать непрерывно на всю проектную высоту. Скорость движения смеси по бетонолитной трубе не должна превышать 0,12 м/с.
6.121. Перед загрузкой бетонной смеси в горловине трубы (под бункером) устанавливается скользящая пробка в виде корзины, изготовленной из круглой стали, с уплотнением в нижней части.
Состав первой порции бетонной смеси должен приготовляться в количестве 9 м3 с В/Ц = 0,37.
6.122. После окончания бетонирования сваи методом ВПТ до отметки, отделяющей подводный бетон от укладываемого насухо, вода из оболочки откачивается, после чего удаляется верхний слой бетона толщиной 25 см.
В зимний период верхний торец сваи укрывается слоем утеплителя (например, опилок толщиной 100 мм).
6.123. После окончания бетонирования, если торец сваи не контактирует с водой, в летний период его укрывают полиэтиленовой пленкой для предотвращения испарения влаги из бетона.
6.124. Бетонную смесь необходимо укладывать в оболочку не позднее чем через 30 мин после выгрузки из бетономешалки.
6.125. При выдерживании бетона по методу регулируемого термоса бетонолитная труба после прекращения подачи бетона в оболочку сваи и установки термопар обязательно удаляется из полости оболочки.
6.126. Электрический ток следует включать через 18 - 24 ч после окончания бетонирования, что обеспечивает наибольший эффект в снижении разности температур по высоте сваи.
6.127. Скорость прогрева бетона защитного слоя не должна превышать 3 °C/ч.
6.128. Защитный слой следует прогревать до температуры 30 - 35 °C. Ориентировочное время прогрева 6 - 8 ч.
6.129. Рабочее напряжение следует изменять в основном за счет изменения схемы соединения трансформаторов по высокой стороне. Для более тонкой регулировки можно использовать дроссели сварочного трансформатора, при этом следует обратить особое внимание на равномерную загрузку трансформаторов.
6.130. Время изотермического выдерживания бетона при t = 30 - 35 °C составляет 15 - 20 ч, после чего ток отключается и происходит естественное остывание бетона конструкции.
6.131. Регулирование электропрогрева бетона должно производиться каждый раз при нарушении принятой скорости прогрева более чем на 30%.
6.132. Наибольший эффект от применения прогрева достигается при ведении режимов прогрева и выдерживания по показаниям контрольных термопар.
6.133. Снятие теплоизоляции со сваи допускается не ранее чем через 3 сут после окончания электропрогрева.
7. КОНТРОЛЬ ЗА ПРОИЗВОДСТВОМ РАБОТ И КАЧЕСТВОМ БЕТОНА
7.1. Контроль за производством работ и качеством бетона осуществляется согласно требованиям главы СНиП III-В.1-70 и настоящего Руководства на всех стадиях бетонных работ, начиная от контроля за качеством применяемых материалов, приготовления бетонной смеси и кончая уходом за уложенным бетоном.
7.2. Лабораторией строительства на крупных стройках должны быть составлены и утверждены главным инженером треста (управления) местные инструктивные указания, учитывающие конкретные условия приемки и хранения материалов, приготовления бетонных смесей, производства бетонных работ и контроля за качеством бетона в зимних условиях, а в зонах вечномерзлых грунтов - и в летний период.
7.3. Лабораторией строительства осуществляется контроль за:
качеством материалов и их достаточным запасом для приготовления бетона, их хранением и точным соблюдением назначенных дозировок;
подготовленностью мест укладки бетона;
подготовленностью бетонного завода к работе в зимних условиях;
качеством бетонной смеси при ее изготовлении, транспортировании и укладке;
правильностью применения утепления бетона конструкции в соответствии с расчетом;
температурой бетонной смеси после приготовления при доставке к приемному бункеру, при электроразогреве в контейнере, после разогрева и при укладке в опалубку;
уходом за уложенным бетоном (измерением температурного режима его твердения и температуры наружного воздуха);
работой оборудования систем электроразогрева, электрообогрева;
отсутствием дефектов в уложенном бетоне и принятием мер к их устранению.
Контроль качества бетона осуществляется проведением стандартных испытаний, анализов и ведением технической документации на всех стадиях производства бетонных работ.
7.4. На строительстве должно быть обеспечено систематическое получение ежедневных метеорологических сведений и краткосрочных прогнозов по температуре наружного воздуха, силе и направлению ветра и осадкам.
| | ИС МЕГАНОРМ: примечание. Постановлением Госстроя СССР от 10.07.1985 N 116 с 01.01.1987 введен в действие ГОСТ 10178-85. | |
7.5. Применяемые для приготовления бетона цементы и химические добавки - ускорители твердения и поверхностно-активные вещества должны удовлетворять требованиям соответствующих ГОСТов и ТУ на отдельные виды материалов. Цемент, удовлетворяющий всем требованиям ГОСТ 10178-62*, можно использовать для приготовления бетонной смеси (при подвижности более 2 см), если через 1 ч после затворения смеси рабочего состава при температуре 20 °C подвижность ее уменьшается не более чем в 2,5 раза.
7.6. Расходование цемента и химических добавок должно производиться только с разрешения лаборатории строительства после проверки их качества.
| | ИС МЕГАНОРМ: примечание. Взамен ГОСТ 10268-70 Постановлением Госстроя СССР от 22.07.1980 N 111 с 01.01.1982 введен в действие ГОСТ 10268-80. | |
7.7. Заполнители для приготовления бетонных смесей должны удовлетворять требованиям ГОСТ 10268-70 "Заполнители для тяжелого бетона. Технические требования" с учетом следующих указаний:
на складах заполнителей следует устраивать бетонное основание. Заполнители каждого вида фракции складируются раздельно, не допуская их перемешивания и загрязнения посторонними примесями;
чистота, гранулометрия и однородность заполнителей должны контролироваться визуально и лабораторными методами путем отбора проб от каждой поступающей партии. При визуальной оценке качества заполнителей следует обращать внимание на отсутствие в них смерзшихся комьев, почвы от вскрыши и других примесей. Результаты визуальной и лабораторной проверки должны заноситься в журнал контроля заполнителей. Подогрев воды, а также заполнителей производится по соответствующему расчету.
7.8. Контроль приготовления бетонной смеси в зимних условиях должен заключаться в систематической проверке:
подготовленности бетонного завода к работе в зимних условиях, исправности работы всего оборудования и устройств;
точности работы дозировочных устройств, счетчиков, указателей и регистрирующих приборов;
влажности и плотности заполнителей;
плотности растворов вводимых поверхностно-активных веществ и ускорителей твердения;
длительности перемешивания смеси в бетоносмесителе и ее однородности;
объемной массы бетонной смеси;
качества бетонной смеси путем определения ее состава, удобоукладываемости, расслаиваемости, а в случае необходимости - объема вовлеченного воздуха.
7.9. При приготовлении бетонной смеси особое внимание следует обращать на точность дозировки ее компонентов и особенно на точность дозировки химических добавок и воды.
Изменение количества воды или химических добавок - ускорителей или замедлителей твердения влияет на удельное электрическое сопротивление бетона и может нарушить режим электроразогрева его до заданной температуры. Изменение количества добавки поверхностно-активных веществ резко меняет подвижность бетонной смеси и скорость ее твердения.
7.10. Чистоту и влажность заполнителей необходимо проверять из расходных бункеров бетоносмесительного завода не реже одного-двух раз в смену; одновременно с этим нужно проверять правильность дозировки составляющих бетонной смеси и ее подвижность.
Особое внимание надо обращать на влажность каждой партии песка, поступающей в расходный бункер бетонного завода. На основании результатов испытаний следует при необходимости изменить весовую дозировку составляющих на один замес. При этом все изменения должны быть занесены в журнал бетонного завода.
7.11. При использовании метода предварительного электроразогрева бетонной смеси с целью обеспечения соблюдения его режима ежесменно из первой выпущенной с бетонного завода машины берется проба смеси и одновременно с проверкой подвижности проверяется ее удельное сопротивление.
7.12. Контроль за режимом электроразогрева бетонной смеси в контейнере (бункере) следует производить по показаниям вольтметров, амперметров и термосигнализатора ТС-100 или ТПП IV-4, установленного на расстоянии 50 - 70 мм от электрода, с надежной электроизоляцией хлорвиниловой лентой и диэлектрических прокладок термобаллона, соединительного капилляра и корпуса термосигнализатора от замыкания на электроды. Термометры данного типа позволяют автоматизировать регулирование температуры бетона и предохранить его от перегрева, а также осуществлять световую и звуковую сигнализацию.
7.13. При бетонировании конструкций необходимо вести контроль за своевременностью подачи и укладки электроразогретой или пароразогретой бетонной смеси и уплотнением ее. Все указанные технологические операции осуществляются в минимально короткие сроки.
7.14. Контроль за транспортированием бетонной смеси в зимний период заключается в систематической проверке:
исправного состояния и чистоты всех средств транспорта и механизмов непосредственно перед их загрузкой бетонной смесью;
полного освобождения от смеси и последующей очистки бадей, автобетоносмесителей, кузовов самосвалов, лент транспортеров и т.д. после их разгрузки;
фактической продолжительности нахождения бетонной смеси в пути;
сохранения подвижности и однородности бетонной смеси во время транспортирования и в местах, где происходит свободное ее падение;
температуры бетонной смеси в начале и в конце пути.
7.15. Допустимое время нахождения бетонной смеси в пути, считая от момента выгрузки из бетономешалки до начала укладки, устанавливается лабораторией строительства в зависимости от вида цемента, вида и количества химических добавок, состояния погоды и начальной температуры бетонной смеси, но не должно превышать времени, указанного в
п. 5.7.
Потеря подвижности и однородности бетонной смеси после ее транспортирования контролируется сравнением указанных свойств после выгрузки из бетономешалки и перед укладкой в конструкцию.
Отбор проб и определение свойств бетонной смеси следует производить в соответствии с требованиями ГОСТа.
7.16. Перед укладкой бетонных смесей необходимо осуществлять контроль за качеством подготовки основания (проверка монолитности поверхности и отсутствия в ней слабых и трещиноватых участков, наледи и др., а при основании из ранее уложенного бетона - отсутствия слабых участков и надлежащей обработки его поверхности).
7.17. Перед началом бетонирования конструкции нужно проверить:
готовность бетонного хозяйства: наличие исправного оборудования для работы в зимних условиях и необходимых механизмов для укладки и уплотнения бетонной смеси с заданной интенсивностью, с тем, чтобы обеспечить непрерывное бетонирование;
наличие необходимых для приготовления бетона запасов материалов;
подготовленность опалубки (утепления и др.) и мест укладки к приему бетонной смеси и наличие средств защиты уложенного бетона от снега, дождя и ветра;
наличие освещения для работы в вечерние и ночные смены.
7.18. Качество укладки и уплотнения бетонной смеси контролируется путем наблюдения за:
осуществлением мероприятий, направленных на предупреждение охлаждения и расслоения бетонной смеси при ее выгрузке или перегрузке из бадей, лотков и укладке в конструкцию;
подвижностью бетонной смеси при испытании стандартным конусом;
плотностью и жесткостью опалубки и ее утеплением, чистотой арматуры и ее отогревом;
принятием необходимых мер при перерывах в бетонировании конструкции и при возобновлении производства бетонных работ;
отсутствием на поверхности уложенного бетона льда, снега, воды перед укладкой свежей бетонной смеси.
7.19. При производстве бетонных работ следует измерять температуру:
наружного воздуха - не реже двух раз в смену;
материалов, применяемых для приготовления бетонной смеси, - не реже двух раз в смену;
бетонной смеси на месте ее приготовления и перед выгрузкой на месте укладки;
бетонной смеси в уложенном слое до перекрытия новым слоем (нельзя допускать снижения температуры бетона в уложенном слое ниже 5 °C);
бетона сразу после укладки в конструкцию (через каждые 2 ч в первые сутки после окончания бетонирования и затем не реже двух раз в смену в течение трех суток твердения, а в последующие сутки один раз в смену в течение периода остывания бетона до 0 °C).
7.20. Температуру бетона в конструкции измеряют термопарами или техническими термометрами.
Термопары типа ХК изготовляют на месте из хромелевого провода диаметром 0,5 мм и копелевого того же диаметра, которые замоноличивают в бетон. Выступающие из бетона куски термопарного провода после измерения температуры могут быть обрезаны и использованы вторично. Спаи термопар устанавливаются в центре поперечного сечения бетона и на расстоянии 50 мм от наружной поверхности (в контрольной точке).
Измерение температуры бетона термометрами осуществляется через наклонные под углом 45° скважины диаметром 20 мм, которые заливаются на 1/4 своей длины маслом. В местах устройства скважин в щитах опалубки просверливаются отверстия того же диаметра. Зазор между стенками отверстия и термометром должен быть уплотнен.
Длина хвостовой части термометра, погруженного в скважину, должна позволять снимать его показания, не извлекая термометр из скважины. Глубина скважины при угле наклона 45° составляет 50 - 100 мм и более. В интервалах между замерами отверстия закрывают пробками. Все отверстия для измерения температуры бетона должны быть пронумерованы и нанесены на схему конструктивного элемента.
Примечания: 1. Температуру бетона в конструкциях допускается измерять дистанционными манометрическими термосигнализаторами типа ТС-100 или ТПП IV-4. Термобаллоны помещают в отверстия диаметром 20 мм, которые просверливают в опалубке, и деревянными шаблонами фиксируют скважину в бетоне глубиной 50 - 200 мм.
2. Скважины для измерения температуры бетона необходимо также устраивать в углах и ребрах конструкции, работающих на сжатие.
7.21. Температуру бетонной смеси перед укладкой в опалубку в процессе твердения, а также температуру наружного воздуха записывают в специальный журнал в сроки, указанные в
п. 7.19.
7.22. Уход за уложенным в конструкцию бетоном следующий:
защищаются от сотрясений и сдвигов недостаточно окрепший бетон, а также выступающая арматура и закладные части, соблюдаются устанавливаемые лабораторией сроки распалубки и загружения бетона конструкций;
в зимнее время бетон утепляется, укрывается и т.д.
7.23. Лаборатории строительства следует осматривать распалубленные поверхности конструкций и давать указания об исправлении обнаруженных дефектов (раковин, щебеночной поверхности и др.).
7.24. При контроле за качеством уложенного бетона должна производиться проверка:
прочности бетона на сжатие (растяжение при изгибе) и его однородности;
водонепроницаемости и морозостойкости и др. при предъявлении к бетону специальных требований;
состояния поверхности бетона (наличие раковин, трещин, слабых мест) и качества работ по исправлению дефектных мест.
7.25. Прочность бетона в конструкции в % от
R28 следует определять по результатам измерения температуры твердеющего бетона (см.
п. 7.19). Ориентировочно при небольших объемах бетонных работ для этого можно пользоваться изотермическими кривыми нарастания прочности (см.
рис. 2 -
11). График изотермических кривых нарастания прочности бетона рабочего состава, применяемого на строительстве для бетонирования конструкций при различных температурах, подготовляет лаборатория строительства в процессе проектирования и подбора состава бетона.
При определении прочности бетона по изотермическим кривым нарастания прочности подсчитывают среднюю температуру бетона для интервала времени, перепад температур в котором не превышает 10°. Отсчет прочности в % от R28 ведется по оси ординат по соответствующей температурной кривой (для данного интервала). Переход на последующие средние температуры твердения бетона осуществляется параллельно оси абсцисс. Отсчет времени производится путем суммирования его интервалов, соответствующих средним температурам.
Пример построения кривой набора прочности предварительно разогретого бетона марки 300, остывающего по температурному режиму 12 ч при 45 °C, 3 ч при 50 °C, 3 ч при 43 °C, 6 ч при 35 °C, 7 ч при 30 °C и 14 ч при 18 °C приведен на
рис. 18.
Рис. 18. Пример определения прочности бетона (в % от
R28)
7.26. Если вид и марка цемента, имеющегося на строительстве, отличаются от вида и марки цементов, приведенных на
рис. 2 -
11, то для установления характера нарастания прочности бетона при любой температуре достаточно в строительной лаборатории определить нарастание прочности в нормальных температурно-влажностных условиях, а переход к другим температурам осуществить с помощью коэффициентов

(см.
прил. 4 настоящего Руководства).
7.27. Контроль за прочностью бетона осуществляется отбором проб бетонной смеси на бетонном заводе и на месте укладки в конструкции.
На бетонном заводе для определения марки бетона ежесуточно отбирается не менее одной пробы каждого состава, из которой изготовляются три образца, испытываемых в возрасте 28 сут после твердения в нормальных условиях.
На месте укладки бетонной смеси каждые сутки отбирается не менее трех проб каждого состава. Из каждой пробы изготовляют по три образца, которые выдерживают в условиях, близких к условиям выдерживания уложенного бетона методом термоса (с теплоизоляцией).
Примечание. Рекомендуется измерять температуру бетона в образцах и сопоставлять ее с температурой твердеющего бетона.
Первая серия образцов (в количестве трех) испытывается, когда температура бетона в конструкции снизится до 1 - 2 °C, вторая - в возрасте 28 сут, третья служит для получения дополнительных контрольных данных.
7.28. Контрольные образцы изготовляют в металлических формах размером 20 x 20 x 20 см (при применении щебня наибольшей крупности Hкр = 70 мм), 15 x 15 x 15 см (при применении щебня Hкр = 40 мм) и 10 x 10 x 10 см (при применении щебня Hкр = 20 мм).
Все контрольные образцы должны быть пронумерованы острым предметом по сырому бетону. Результаты испытания образцов заносят в лабораторный журнал изготовления бетона, лабораторный паспорт и журнал производства работ.
| | ИС МЕГАНОРМ: примечание. Взамен ГОСТ 17625-72 Постановлением Госстроя СССР от 29.06.1983 N 132 с 01.01.1984 введен в действие ГОСТ 17625-83. | |
7.29. Контроль за качеством бетона в конструкциях рекомендуется производить также радиоизотопным и ультразвуковым методами и просвечиванием ионизирующими излучениями в соответствии с требованиями ГОСТ 17623-72, ГОСТ 17624-72 и ГОСТ 17625-72.
7.30. Для получения объективных данных по качеству бетона в конструкциях следует руководствоваться ГОСТ 18105-72 "Бетоны. Контроль и оценка однородности и прочности".
7.31. В процессе производства бетонных работ следует вести журналы и ведомости по:
приготовлению бетонных смесей;
производству бетонных работ;
контролю основных этапов производства, включая контроль за качеством материалов, замерами температуры, испытаниями контрольных образцов и др.
Записи следует производить в пронумерованных по страницам, прошнурованных и опечатанных книгах, журналах и дневниках.
ПРИМЕРЫ ОПРЕДЕЛЕНИЯ МОДУЛЯ ПОВЕРХНОСТИ
Mп НЕКОТОРЫХ КОНСТРУКЦИЙ
Модуль поверхности определяется отношением суммы площадей охлаждаемых поверхностей конструкций

к ее объему
V, причем при укладке бетона на талое основание поверхности конструкций, соприкасающихся с ним, при подсчете модуля поверхности в

не входят:

(4)
Для упрощения подсчетов ниже приводится ряд формул, по которым можно определить Mп конструкций разных очертаний:
а) для колонн и балок прямоугольного сечения со сторонами b1 и b2, м:

(5)
б) для колонн и балок квадратного сечения со стороной b

(6)
в) для куба

(7)
г) для параллелепипеда (со сторонами a, b, c):
отдельно стоящего

(8)
примыкающего к массиву

(9)
д) для плит и стен толщиной a

(10)
е) для сплошного цилиндра с диаметром d и высотой h, м

(11)
ж) для цилиндрической оболочки

(12)
где b1 - наибольшая толщина стенки, м;
m - коэффициент, учитывающий заделку торцов оболочек пробками.
Для цилиндрических оболочек без заделки торцов m <= 1, с пробкой на одном торце m = 1,5 и пробками на обоих торцах m <= 2.
РАСЧЕТНЫЕ ВЕЛИЧИНЫ
Таблица 31
Расчетная температура наружного воздуха и скорость
ветра для зимнего периода для различных пунктов
территории СССР по месяцам
Пункты | Месяцы | Скорость ветра, м/с |
IX | X | XI | XII | I | II | III | IV | V |
Абакан | - | -11,2 | -21,2 | -32,6 | -36,2 | -32,1 | -27,9 | -12,6 | - | 6,5 |
Актогай (Казахская ССР) | - | 0 | -22,2 | -28,8 | -34 | -32,8 | -23,3 | 0 | - | 4,4 |
Актюбинск (Казахская ССР) | - | 0 | -17,5 | -24,9 | -25,6 | -27,3 | -19,6 | -6,8 | - | 7,4 |
Алдан (Якутская АССР) | - | -17,1 | -29,8 | -38,9 | -39,2 | -36,6 | -26,6 | -16,4 | 0 | 4,1 |
Аральск (Казахская ССР) | - | - | -12 | -20 | -27 | -27,8 | -14,4 | - | - | 7,4 |
Архангельск | - | -6,7 | -12,5 | -20,8 | -23,7 | -22,8 | -19,5 | -10,6 | - | 5,9 |
Ашхабад | - | - | - | 0 | 0 | 0 | - | - | - | 2,8 |
Аян (Хабаровский край) | - | 0 | -22 | -29 | -30,5 | -28,1 | -23 | 15 | 0 | 4,2 |
Барнаул | - | -9,9 | -20,7 | -28,5 | -31,2 | -29 | -22,6 | 12,2 | - | 5,9 |
Баку | - | - | - | - | 0 | 0 | - | - | - | 8,4 |
Братск | - | -15 | -24,7 | -35,8 | -38,2 | -35,9 | -23,4 | -14 | - | 3,4 |
Брест (Белорусская ССР) | - | - | -5,8 | -11,5 | -12,5 | -13 | -8,9 | - | - | 5,2 |
Владивосток | - | - | -10,2 | -20,3 | -23,0 | -18,4 | -11,3 | 0 | - | 9 |
Воркута | 0 | -14 | -27,2 | -33,8 | -33,9 | -33,5 | -31,1 | -21,4 | -12,6 | 10,1 |
Воронеж | - | - | -9,2 | -17,4 | -20,5 | -19 | -13,3 | - | - | 5,4 |
Вилюйск (Якутская АССР) | 0 | -19,2 | -38,4 | -51,5 | -49,8 | -43,2 | -34,2 | -22,2 | 0 | 3 |
Верхотурье (Свердловская обл.) | - | -10,9 | -20,2 | -29,4 | -29,8 | -29,1 | -23,8 | -11 | - | 4,4 |
Верхоянск (Якутская АССР) | -10,4 | -27,8 | -50,4 | -58,3 | -64,9 | -51,6 | -46,3 | -30 | -10,8 | 2,1 |
Витим (Якутская АССР) | - | -15,1 | -33,4 | -34,3 | -45,6 | -39,2 | -31,8 | -20,1 | - | 4,9 |
Гурьев (Казахская ССР) | - | -3,1 | -9,9 | -16,3 | -20,5 | -21 | -12,3 | - | - | 7,8 |
Джарджан (Якутская АССР) | -6 | -23,5 | -40,7 | -51,7 | -54,6 | -45,6 | -35,6 | -25,1 | -10,4 | 6,1 |
Ессей (Красноярский край) | -8,1 | -22,3 | -41,6 | -51,2 | -50,8 | -48,2 | -40,3 | -29 | -16,2 | 3,7 |
Енисейск (Красноярский край) | - | -11,5 | -26,4 | -37,3 | -34,7 | -33,2 | -26,4 | -15,6 | - | 3,7 |
Жиганск (Якутская АССР) | 0 | -19,9 | -41,1 | -49,8 | -52,9 | -47,1 | -36,6 | -24,6 | -10,4 | 5,1 |
Зайсан (Казахская ССР) | - | - | -20,9 | -28,9 | -18,5 | -27,7 | -18,2 | - | - | 2,7 |
Зырянка (Якутская АССР) | -6,7 | -20,6 | -42 | -49,2 | -48,5 | -46,7 | -40,6 | -26,2 | -9,6 | 4,3 |
Ивдель (Свердловская обл.) | - | -10,8 | -23,8 | -29,9 | -33,9 | -30,9 | -24,3 | -13 | - | 4,4 |
Илирней (Магаданская обл.) | -9,3 | -26,3 | -38,4 | -49,7 | -48,7 | -47,7 | -40,6 | -32 | -15,5 | 4,3 |
Калининград | - | - | 0 | -7,6 | -14,8 | -12,5 | -10 | - | - | 4,5 |
Караганда | 0 | -9,8 | -18,8 | -28,8 | -30,8 | -28,6 | -20,6 | -8,7 | - | 7,7 |
Каракуль (Таджикская ССР) | - | -13,9 | -21,2 | -26,5 | -30,8 | -28,8 | -23,7 | -16,2 | -9,8 | 5,2 |
Кемь (Карельская АССР) | - | -5,2 | -11,7 | -18,9 | -23,2 | -22,7 | -19,5 | -10,4 | - | 4,8 |
Кзыл-Орда (Казахская ССР) | - | - | -11,9 | -16,4 | -21,2 | -18,7 | -11,2 | - | - | 6,5 |
Киев | - | - | -6,4 | -12 | -15,6 | -16 | -8,8 | - | - | 4,3 |
Киров | - | -5,4 | -16,5 | -24,7 | -25,7 | -24,3 | -16,6 | -7,9 | - | 5,3 |
Комсомольск-на-Амуре | - | -6,6 | -20,2 | -32,6 | -35,4 | -31,3 | -21,9 | -9,4 | - | 5,7 |
Котлас (Архангельская обл.) | - | -7,8 | -15,8 | -23,2 | -26,9 | -24,1 | -20,7 | -11,4 | - | 5,6 |
Краснодар | - | - | - | -10,7 | -14,4 | -14,6 | 0 | - | - | 3,6 |
Красноярск | - | -9,5 | -21,3 | -28,6 | -29,9 | -33,1 | -20,3 | -9,9 | - | 6,2 |
Крест-Халджай (Якутская АССР) | - | -28,7 | -42,1 | -54,7 | -55,8 | -49,5 | -22,2 | -5,8 | - | 4,9 |
Кустанай (Казахская ССР) | - | -9,8 | -17,4 | -27 | -31 | -29,9 | -23,6 | -9,4 | - | 5,8 |
Кызыл (Тувинская АССР) | - | -12,3 | -27 | -30,5 | -43,1 | -41,4 | -41,1 | -13,2 | - | 1,7 |
Лярьяк (Тюменская обл.) | - | -11,6 | -29 | -35,2 | -35,8 | -33,3 | -27,9 | -16,1 | -8,5 | 4,5 |
Ленинград | - | 0 | -8,5 | -14,9 | -17,9 | -19,1 | -13,5 | -7,05 | - | 4,2 |
Львов | - | - | 0 | -9 | -14,1 | -11,9 | -10,3 | - | - | 6,4 |
Магадан | - | -10,6 | -21,7 | -25,3 | -30,9 | -28,8 | -24,25 | -13,3 | -5,5 | 6,6 |
Минск | - | - | -6,7 | -13,2 | -17,4 | -16,2 | -12,3 | - | - | 5,4 |
Москва | - | - | -8 | -19,1 | -20,4 | -19,1 | -13,2 | -4,5 | - | 4,9 |
Могоча (Читинская обл.) | - | -19,5 | -32,1 | -42,2 | -44,7 | -40 | -32,6 | -17,1 | - | 5,2 |
Мурманск | - | -6,3 | -13,2 | -18,4 | -20,1 | -18,1 | -15,6 | -10,8 | 0 | 7,5 |
Нарын (Киргизская ССР) | - | - | -13,8 | -23,9 | -26,8 | -23,4 | -14,55 | - | - | 1,7 |
Нарьян-Мар (Архангельская обл.) | - | -11 | -21,4 | -28,95 | -30,9 | -33,2 | -28,5 | -18,3 | -10,6 | 6,3 |
Николаевск-на-Амуре | - | -9,8 | -23,3 | -33,2 | -33,4 | -31,6 | -25,6 | -14 | 0 | 4,3 |
Норильск | - | -14,7 | -30,5 | -34,1 | -37,1 | -36,9 | -29,1 | -22,4 | -8,8 | 6,6 |
Новосибирск | - | -8,9 | -23,9 | -29,8 | -34,1 | -29,1 | -22,1 | -10,7 | - | 5,7 |
Одесса | - | - | - | -11 | -11 | -11,1 | 0 | - | - | 8,5 |
Оленек (Якутская АССР) | -10,8 | -25,8 | -44,5 | -51,8 | -56,5 | -51,3 | -42,2 | -29,2 | -14,5 | 2,4 |
Омолон (Магаданская обл.) | -10,7 | -22,7 | -42,4 | -51 | -53,8 | -53,4 | -45,4 | -29,5 | -13,3 | 4,2 |
Омск | - | -9,2 | -22,5 | -30 | -32,2 | -31,7 | -22,9 | -11,1 | - | 5,1 |
Оренбург | - | 0 | -15,4 | -23 | -28 | -27,3 | -18,75 | -6,3 | - | 6,1 |
Ош (Киргизская ССР) | - | - | 0 | -9,6 | -13,7 | -10,7 | - | - | - | 1,8 |
Павлодар (Казахская ССР) | - | -7,6 | -19,8 | -27,7 | -33,1 | -32,6 | -23,8 | -9,4 | - | 6,7 |
Петропавловск (Казахская ССР) | - | -9,9 | -19,7 | -30,3 | -30 | -29,9 | -24,35 | -14,7 | - | 6,9 |
Петропавловск-Камчатский | - | 0 | -9,5 | -13,7 | -17,4 | -17,2 | -13,3 | -6,2 | 0 | 7,6 |
Пермь | - | -8,6 | -17,7 | -19 | -27,9 | -24,4 | -19,4 | -7,4 | - | 3,6 |
Печора (Коми АССР) | - | -9,7 | -23,5 | -31,6 | -33,4 | -31,5 | -27,9 | -17,3 | 0 | 5,5 |
Помоздино (Коми АССР) | - | -10,6 | -19,5 | -29 | -29,5 | -27,5 | -23,5 | -12,4 | - | 5,5 |
Псков | - | - | -7 | -17,5 | -24,2 | -18,9 | -15,5 | 0 | - | 4,8 |
Пудино (Томская обл.) | - | -10,8 | -23,1 | -32,2 | -35,8 | -31,8 | -26,35 | -15,4 | - | 3,9 |
Рига | - | - | -5,6 | -13,2 | -13,2 | -15,8 | -12,3 | 0 | - | 4,5 |
Сангар (Якутская АССР) | - | -17,7 | -38,1 | -47,2 | -48,6 | -44,3 | -34,2 | -21,3 | 0 | 4,9 |
Саскылах (Якутская АССР) | -7,9 | -21,7 | -39,6 | -47,6 | -51,1 | -47,1 | -40,2 | -33,3 | -18,3 | 5,6 |
Свердловск | - | -8,5 | -17,1 | -27,4 | -16,3 | -25,2 | -19,3 | -7,8 | - | 5 |
Сеймчан (Магаданская обл.) | -9,8 | -27 | -42,6 | -51,3 | -52,2 | -48,8 | -40,8 | -27,5 | -9,7 | 4,9 |
Семипалатинск | - | -7,5 | -20,1 | -26,6 | -30,7 | -28,9 | -21,3 | -8,3 | - | 4,3 |
Сретенск (Читинская обл.) | - | -14 | -28,4 | -40,4 | -43 | -39,3 | -28,6 | -18,6 | - | 3,9 |
Сусамыр (Киргизская ССР) | - | -14,6 | -24,4 | -32,4 | -33,5 | -32,5 | -26,6 | -15,3 | - | 0,5 |
Сыктывкар (Коми АССР) | - | -8,1 | -17,1 | -25,8 | -27,7 | -26,5 | -20,7 | -12,2 | - | 5,5 |
Саратов | - | - | -11,1 | -19,7 | -21,3 | -22,1 | -15 | - | - | 6 |
Среднеколымск | -7 | -20,9 | -41,9 | -46,6 | -48,2 | -45 | -39,6 | -27,7 | -12,9 | 2,9 |
Тазовский (Тюменская обл.) | -4,1 | -16,4 | -32,1 | -41,2 | -43,6 | -40,3 | -36,2 | -28,7 | -15,7 | 9,7 |
Таллин | - | - | -5,5 | -11,9 | -12,5 | -16,5 | -10,8 | -6,1 | - | 7,7 |
Талды-Курган | - | - | -15,6 | -20,6 | -27,1 | -24,9 | -13,5 | - | - | 2,1 |
Тарко-Сале (Тюменская обл.) | - | -15,5 | -33,4 | -38,2 | -41,4 | -39,3 | -36,5 | -23,1 | -11,9 | 5 |
Ташауз (Туркменская ССР) | - | - | 0 | -12,2 | -15,2 | -13,2 | 0 | - | - | 3,9 |
Тайшет (Иркутская обл.) | - | -15 | -25,2 | -32,8 | -34,4 | -32,5 | -26,4 | -13,3 | - | 6,4 |
Тбилиси | - | - | - | 0 | 0 | 0 | - | - | - | 3,9 |
Тобольск (Тюменская обл.) | - | -8 | -20,9 | -28 | -31,3 | -28,9 | -22,7 | -9,7 | - | 6,3 |
Томск | - | -9,3 | -23,7 | -30,5 | -33,4 | -29,6 | -23,5 | -12,3 | - | 5,6 |
Туой-Хая (Якутская АССР) | 0 | -19,3 | -40 | -50 | -50,3 | -43,3 | -37,3 | -23,7 | 0 | 3 |
Тура (Красноярский край) | -7,5 | -18,7 | -38 | -49,8 | -50,5 | -43,8 | -35,6 | -23,8 | -10,3 | 2,7 |
Тургай (Казахская ССР) | - | -5,9 | -14,5 | -25,6 | -30,8 | -30,9 | -28 | -6,6 | - | 7,4 |
Туркестан (Казахская ССР) | - | - | 0 | -16,9 | -15,1 | -15,1 | - | - | - | 3,7 |
Улан-Удэ | - | -11,4 | -21,9 | -31,7 | -35,5 | -32,4 | -23,2 | -11,1 | - | 6,1 |
Усть-Мая (Якутская АССР) | - | -19,3 | -40,7 | -43,3 | -52,3 | -48,6 | -36,7 | -20,9 | - | 2,2 |
Уральск (Казахская ССР) | - | -7,2 | -15,2 | -23,6 | -24,7 | -26,5 | -19 | -7,3 | - | 6,8 |
Целиноград (Казахская ССР) | - | -9,1 | -22 | -28,3 | -31,7 | -28,5 | -22,9 | -10,6 | - | 7,7 |
Чагыл (Туркменская ССР) | - | - | - | - | 0 | 0 | - | - | - | 6,4 |
Чара (Читинская обл.) | - | -18 | -35,2 | -45,5 | -48,5 | -44,9 | -35,6 | -21,5 | 0 | 5,2 |
Чердынь (Пермская обл.) | - | -7,9 | -19 | -25 | -27,7 | -26,5 | -18,8 | -8,1 | - | 5,5 |
Чита | - | -13,7 | -25,5 | -37,4 | -40,3 | -37 | -26,2 | -14,5 | - | 3,9 |
Южно-Сахалинск | - | - | -12,5 | -21,7 | -26,6 | -28,6 | -19,7 | -11,8 | - | 8,5 |
Таблица 32
Коэффициенты теплопередачи опалубок различной конструкции
Тип опалубки | Конструкции опалубки | Материал опалубки | Толщина слоя, мм | Коэффициент K, Вт/м2·°C при скорости ветра, м/с |
0 | 5 | 15 |
I | | Доска | 25 | 2,44 | 5,2 | 5,98 |
II | | Доска | 40 | 2,03 | 3,6 | 3,94 |
III | | Доска | 25 |  1,8 | 3 | 3,25 |
Толь | - |
Доска | 25 |
IV | | Доска | 25 |  0,67 | 0,8 | 0,82 |
Пенопласт | 30 |
Фанера | 4 |
V | | Доска | 25 |  0,87 | 1,07 | 1,1 |
Толь | - |
Вата минеральная | 50 |
Фанера | 4 |
VI | | Металл | 3 |  1,02 | 1,27 | 1,33 |
Вата минеральная | 50 |
Фанера | 4 |
| | Фанера | 10 |  2,44 | 5,1 | 5,8 |
Асбест | 4 |
Фанера | 10 |
VIII | | Толь | - |  0,74 | 0,89 | 0,9 |
Опилки | 100 |
IX | | Толь | - |  1,27 | 1,77 | 1,87 |
Шлак | 150 |
X | | Толь | - |  1,01 | 1,31 | 1,37 |
Вата минеральная | 50 |
--------------------------------
<*> Применяется с сетчатым нагревателем, расположенным между слоями асбеста.
Таблица 33
Величины теплофизических характеристик
строительных и теплоизоляционных материалов
Материал | Объемная масса в сухом состоянии, кг/м3 | Коэффициент теплопроводности в сухом состоянии  , Вт/м·°C | Расчетная величина коэффициента теплопроводности  , Вт/м·°C | Удельная теплоемкость в сухом состоянии Cо, кДж/кг·°C |
1. Железобетон (Wб = 3%) | 2500 | 1,68 | 2,03 | 0,84 |
2. Бетон на гравии или щебне из природного камня (Wб = 3%) | 2400 | 1,56 | 1,86 | 0,84 |
3. Шлакобетон на топливных (котельных) шлаках и бетон на аглопорите (Wб = 8%) | 1800 | 0,7 | 0,93 | 0,84 |
4. То же | 800 | 0,23 | 0,35 | 0,84 |
5. Шлакобетон на доменных гранулированных шлаках | 1800 | 0,58 | 0,81 | 0,84 |
6. То же | 1000 | 0,29 | 0,41 | 0,84 |
7. Керамзитобетон (Wб = 10%) | 1600 | 0,52 | 0,75 | 0,84 |
8. То же | 600 | 0,16 | 0,23 | 0,84 |
9. Шлак | | 600 | 0,14 | 0,29 | - |
800 | 0,17 | 0,34 | - |
10. Бетон на вулканическом шлаке (Wб = 10%) | 1200 | 0,32 | 0,45 | 0,97 |
11. То же | 800 | 0,2 | 0,29 | 0,97 |
12. Вата минеральная (Wб = 5%) | 100 | 0,04 | 0,49 | 0,76 |
13. То же | 150 | 0,049 | 0,055 | 0,76 |
14. Плиты мягкие, полужесткие и жесткие минераловатные на синтетическом связующем (Wб = 5%) | 100 | 0,046 | 0,052 | 0,76 |
15. То же | 175 | 0,051 | 0,06 | 0,76 |
16. Плиты мягкие и полужесткие минераловатные на битумном связующем (Wб = 5%) | 100 | 0,046 | 0,052 | 0,92 |
17. То же | 200 | 0,058 | 0,067 | 0,92 |
18. " | 300 | 0,069 | 0,081 | 0,92 |
19. Маты минераловатные прошивные, МРТУ 7-19-68 | 100 | 0,044 | 0,048 | 0,76 |
20. То же | 200 | 0,053 | 0,06 | 0,76 |
21. Маты минераловатные, рулонированные, на синтетическом связующем, ТУ 36-917-67 ММСС СССР (Wб = 5%) | 50 | 0,039 | 0,046 | 0,75 |
22. То же | 75 | 0,043 | 0,049 | 0,76 |
23. Маты и полосы из стеклянного волокна (Wб = 5%) | 175 | 0,049 | 0,056 | 0,84 |
24. Хвойные породы (Wб = 20%) | 50 | 0,093 | 0,17 | 2,52 |
25. Лиственные породы (поперек волокон) | 700 | 0,104 | 0,23 | 2,52 |
| | ИС МЕГАНОРМ: примечание. Нумерация пунктов дана в соответствии с официальным текстом документа. | |
|
28. Фанера клееная (Wб = 13%) | 600 | 0,116 | 0,17 | 2,52 |
27. Плиты древесноволокнистые и древесностружечные (Wб = 12%) | 1000 | 0,15 | 0,29 | 2,1 |
28. То же | 600 | 0,104 | 0,16 | 2,1 |
29. " | 400 | 0,081 | 0,14 | 2,1 |
30. " | 200 | 0,058 | 0,08 | 2,1 |
31. Опилки | 250 | 0,069 | 0,24 | - |
32 Оргалит | 300 | 0,064 | 0,16 | - |
200 | 0,049 | 0,147 | - |
33. Пенопласт плиточный (Wб = 10%) | 74 | 0,041 | 0,043 | 1,34 |
34. Пенопласт плиточный (Wб = 10%) | 100 | 0,041 | 0,043 | 1,34 |
35. То же (Wб = 5%) | 150 | 0,46 | 0,49 | 1,34 |
36. " | 200 | 0,58 | 0,6 | 1,34 |
37. Мипора (Wб = 30%) | 15 | 0,041 | 0,052 | 1,34 |
38. Пенопласт плиточный ПХВ-1 (Wб = 10%) | 100 | 0,046 | 0,05 | 1,26 |
39. То же | 125 | 0,058 | 0,062 | 1,26 |
40. Пенопласт плиточный (Wб = 10%) | 75 | 0,041 | 0,044 | 1,26 |
41. То же | 125 | 0,046 | 0,05 | 1,26 |
42. Картон строительный многослойный "Энсонит" | 650 | 0,12 | 0,17 | 1,34 |
43. Рубероид, пергамин кровельный, толь кровельный | 600 | 0,17 | 0,17 | 1,47 |
44. Сталь | 7600 | 52 | - | - |
45. Снег рыхлый, сухой | 300 | 0,29 | - | 2,1 |
46. Лед | 900 | 2,32 | - | 2,1 |
Примечание. Wб - влажность материала, соответствующая нормальным и влажностным условиям эксплуатации.
НАЗНАЧЕНИЕ ТЕПЛОИЗОЛЯЦИИ И УСЛОВИЙ РАСПАЛУБКИ КОНСТРУКЦИЙ,
БЕТОНИРУЕМЫХ ПО МЕТОДУ ТЕРМОСА
А. С МОДУЛЕМ ПОВЕРХНОСТИ
Mп МЕНЕЕ 2
1. Бетонирование конструкций следует производить с оптимальной теплоизоляцией, обеспечивающей требуемую прочность бетона и вместе с тем повышающей трещиностойкость конструкций. Термическое сопротивление
R оптимальной теплоизоляции должно определяться по двум кривым, приведенным на
рис. 19, из которых первая дана для
R1 торцовых плоских или закругленных поверхностей конструкций вместе с частями боковых поверхностей, прилегающих на 2 м к углам или закруглениям, а вторая - для
R2 оставшихся боковых поверхностей (см.
рис. 20). График на
рис. 19 составлен для бетона с температурой выше 15 °C и непродуваемой теплоизоляцией.
Рис. 19. Определение оптимальной теплоизоляции торцовых
и боковых поверхностей, прилегающих на 2 м к углам
конструкции R1 и оставшихся боковых поверхностей R2
Рис. 20. Схемы расположения теплоизоляции в конструкциях
1 - теплоизоляция торцовых поверхностей и боковых
частей конструкции, прилегающих на 2 м к углам
конструкции с термическим сопротивлением R1;
2 - теплоизоляция оставшихся боковых поверхностей
с термическим сопротивлением R2
При укладке бетона с температурой
tб ниже 15 °C
R1 и
R2 соответственно увеличиваются умножением на отношение

или определяются специальным расчетом. Для конструкций, забетонированных с теплоизоляцией выше оптимальной величины,

не должна превышать 27 °C.
2. Конструкции, для которых не предусмотрена разрезка на отдельные блоки, следует бетонировать без перерывов с возможно большей скоростью. Температуру бетонной смеси и скорость ее укладки нужно держать по высоте конструкции с отклонениями +/- 5%, верх конструкции после бетонирования надо укрывать теплоизоляцией с термическим сопротивлением, назначенным для боковых поверхностей конструкции (кривая
R2 на
рис. 19). Перерывы в бетонировании конструкций могут допускаться лишь в исключительных, вынужденных случаях. Разбивка на блоки должна предусматриваться проектом производства работ.
При перерывах бетонирования разность средних температур нового и ранее возведенного смежных массивов в момент максимального разогрева нового массива не должна превышать 15°. Сокращение разности средних температур на практике может достигаться сокращением перерывов бетонирования, понижением температуры укладываемого бетона или прогревом массива, возведенного до перерыва.
Б. С МОДУЛЕМ ПОВЕРХНОСТИ
Mп БОЛЕЕ 2
3. При бетонировании конструкций с
Mп > 2 при условии предъявления к ним специальных требовании по трещиностойкости распалубка допускается при разности температур поверхности и воздуха, не превышающей допустимой величины

, определяемой по формулам:
для конструкций с раскрытыми охлаждаемыми поверхностями

(13)
где

- допускаемая деформация растяжения бетона к моменту распалубки, мм/м, принимаемая по опытным данным, полученным для бетона, изготовленного из тех же материалов, того же состава и теми же методами, что и бетон конструкции. При отсутствии опытных данных величина

принимается равной для тяжелого бетона

, а для керамзитобетона

;

- коэффициент, учитывающий геометрическую форму конструкций. Для конструкций с ребрами (брус, тавр и другие)

, без ребер (цилиндр, оболочки и другие)

;
Vмакс - максимальная по прогнозу метеостанции скорость ветра, м/с;
Mп - модуль поверхности, м-1;
для конструкций с поверхностями, защищенными съемной теплоизоляцией с термическим сопротивлением Rиз (м2·°C)/Вт

(14)
Примеры расчета
для конструкций с Mп более 2
Пример 1. Необходимо определить, при какой разности температур

раскрытой поверхности и наружного воздуха можно производить распалубку колонны, если максимальная скорость ветра 9 м/с.
Цилиндрическая колонна диаметром 1,6 м и высотой 8 м. Допускается деформация растяжения бетона 0,1 мм/м:
Следовательно, колонну можно распалубить при разности температур ее поверхности и воздуха, не превышающей 16,5 °C.
Пример 2. Необходимо определить, при какой разности температур ребер стены и наружного воздуха

можно производить распалубку стены, если максимальная скорость ветра 4 м/с.
Стена из керамзитобетона сечением 4 x 0,5 м и высотой 5 м.
Допускаемая деформация растяжения керамзитобетона 0,15 мм/м.
Следовательно, стену можно распалубить при разности температур ребер стены и воздуха, не превышающей 23,5 °C.
Пример 3. Необходимо определить термическое сопротивление временной теплоизоляции, позволяющей произвести распалубку колонны при разности температур ребер колонны и воздуха
, равной 35°, и максимальной скорости ветра 9 м/с.
Прямоугольная колонна сечением 1 x 1 м и высотой 10 м. Допускаемая деформация растяжения бетона 0,1 мм/м:
откуда Rиз = 0,32(м2·°C)/Вт.
Следовательно, для колонны, имеющей временную теплоизоляцию с термическим сопротивлением 0,32(м2·°C)/Вт, может допускаться разность температур ребер колонны и воздуха, не превышающая 35°.
Временную теплоизоляцию с колонны можно удалить при разности температур ребер колонны и воздуха

, не превышающей
РАСЧЕТ ТЕПЛОВЫДЕЛЕНИЯ ЦЕМЕНТА И ПРОЧНОСТИ БЕТОНА
ПРИ РАЗЛИЧНЫХ ТЕМПЕРАТУРАХ ВЫДЕРЖИВАНИЯ
А. С ПРИМЕНЕНИЕМ ПЕРЕХОДНЫХ КОЭФФИЦИЕНТОВ
1. Ожидаемое тепловыделение цемента или прочность бетона при переменных температурах твердения могут быть определены на основе гипотезы приведенного времени, предложенной В.С. Лукьяновым, при известных данных кинетики этого процесса в нормальных условиях твердения.
Суть этой гипотезы заключается в том, что время твердения бетона при любой температуре можно с помощью переходных коэффициентов выразить через время твердения при нормальной температуре, т.е.

(15)
где

- время, требуемое для достижения определенного относительного тепловыделения цемента от
Q28 или относительной прочности бетона от
R28 при температуре твердения
t °C;
t20 - время, требуемое для набора того же относительного тепловыделения цемента или прочности бетона при температуре твердения 20 °C;

- переходный коэффициент - отношение константы скорости гидратации цемента при температуре 20 °C к константе скорости гидратации при средней температуре твердения
t за расчетный интервал времени

.
2. Величина переходного коэффициента

может быть определена для разных портландцементов при твердении бетона в интервале температур 0 <=
t <= 20 °C по формуле

(16)
где

- характерная температурная разность, °C (

для портландцемента;

для шлакопортландцемента;

для пуццолановых портландцементов).
3. При твердении бетона в интервале температур 20 <= t <= 100 °C.
Переходной коэффициент

(17)
где

- вязкость воды при температуре
t, °C, Па·с·10
3 (табл. 34);
k' - коэффициент, учитывающий влияние технологических факторов и вида цемента на скорость гидратации; k' = 4 °C для портландцемента; k' = 3 °C для портландцемента с пуццолановой добавкой 4 - 5%; k' = 0 °C для портландцементов с пуццолановой добавкой 10 - 14%; k' = -3 °C для пуццолановых портландцементов; k' = -2 °C для шлакопортландцемента.
Таблица 34
Температура, °C | Вязкость, Па·с·103 | Температура, °C | Вязкость, Па·с·103 | Температура, °C | Вязкость, Па·с·103 | Температура, °C | Вязкость, Па·с·103 |
20 | 1,0005 | 40 | 0,656 | 60 | 0,4688 | 80 | 0,3565 |
21 | 0,981 | 41 | 0,6439 | 61 | 0,4618 | 81 | 0,3521 |
22 | 0,9579 | 42 | 0,6321 | 62 | 0,455 | 82 | 0,3478 |
23 | 0,9358 | 43 | 0,6207 | 63 | 0,4483 | 83 | 0,3436 |
24 | 0,9142 | 44 | 0,6097 | 64 | 0,4418 | 84 | 0,3395 |
25 | 0,8937 | 45 | 0,5988 | 65 | 0,4355 | 85 | 0,3355 |
26 | 0,8737 | 46 | 0,5883 | 66 | 0,4293 | 86 | 0,3315 |
27 | 0,8545 | 47 | 0,5782 | 67 | 0,4233 | 87 | 0,3276 |
28 | 0,836 | 48 | 0,5683 | 68 | 0,4174 | 88 | 0,3239 |
29 | 0,818 | 49 | 0,5588 | 69 | 0,4117 | 89 | 0,3202 |
30 | 0,8007 | 50 | 0,5494 | 70 | 0,4061 | 90 | 0,3165 |
31 | 0,784 | 51 | 0,5404 | 71 | 0,4006 | 91 | 0,318 |
32 | 0,7679 | 52 | 0,5315 | 72 | 0,3952 | 92 | 0,3095 |
33 | 0,7523 | 53 | 0,5229 | 73 | 0,39 | 93 | 0,306 |
34 | 0,7371 | 54 | 0,5146 | 74 | 0,3849 | 94 | 0,3027 |
35 | 0,7225 | 55 | 0,5064 | 75 | 0,3799 | 95 | 0,2994 |
36 | 0,7085 | 56 | 0,4985 | 76 | 0,3751 | 96 | 0,2962 |
37 | 0,6947 | 57 | 0,4907 | 77 | 0,3702 | 97 | 0,293 |
38 | 0,6814 | 58 | 0,4832 | 78 | 0,3655 | 98 | 0,2899 |
39 | 0,6685 | 59 | 0,4759 | 79 | 0,361 | 99 | 0,2868 |
| | | | | | 100 | 0,2838 |
В
табл. 35 приведены значения переходных коэффициентов для различных температур (через 10°).
Таблица 35
Значения переходных коэффициентов 
Температура бетона, °C | Нормальные условия твердения и тепловлажностная обработка |
Портландцемент | Портландцемент с пуццолановой добавкой, % | Портландцемент с добавкой хлористых солей | Шлакопортландцемент | Пуццолановый портландцемент | БТЦ |
4 - 5 | 10 - 14 |
0 | 3,12 | - | - | 3,12 | 15,15 | 25,15 | 3,06 |
10 | 1,62 | - | - | 1,62 | 2,53 | 2,86 | 2,15 |
15 | 1,25 | 1,22 | - | 1,25 | 1,51 | 1,58 | 1,26 |
20 | 1 | 1 | 1 | 1 | 1 | 1 | 1 |
30 | 0,67 | 0,75 | 0,67 | 0,67 | 0,54 | 0,51 | 0,67 |
40 | 0,47 | 0,5 | 0,44 | 0,47 | 0,33 | 0,3 | 0,47 |
50 | 0,36 | 0,36 | 0,3 | 0,36 | 0,23 | 0,21 | 0,36 |
60 | 0,29 | 0,29 | 0,22 | 0,29 | 0,17 | 0,16 | 0,29 |
70 | 0,22 | 0,22 | 0,16 | 0,22 | 0,14 | 0,11 | 0,27 |
80 | 0,19 | 0,17 | 0, 12 | 0,19 | 0,1 | 0,085 | 0,19 |
Примеры пользования переходными коэффициентами
а) Пример определения тепловыделения портландцемента,
твердеющего при различных температурах
Требуется определить тепловыделение 1 кг портландцемента, твердеющего при температуре 25 °C 2 ч; 30 °C 1,5 ч; 32 °C 4 ч; 28 °C 12 ч, если известно изотермическое тепловыделение при 20 °C.
1. Определяем время, которое потребовалось для выделения этого количества тепла, если бы температура твердеющего цемента была равна 20 °C:
2. По графику удельного изотермического тепловыделения портландцемента
(рис. 21) находим, что тепловыделение за 28,6 ч составляет 144,9 кДж/кг.
Рис. 21. Удельное изотермическое тепловыделение
портландцемента при твердении бетона
в нормальных температурно-влажностных условиях
3. По известному расходу цемента на 1 м3 бетона находим, сколько выделяется на это количество тепла.
Аналогичным путем определяется нарастание прочности бетона, твердеющего при различных температурах, если имеется график нарастания прочности бетона, твердеющего в нормальных температурно-влажностных условиях при 20 °C.
б) Пример определения нарастания относительной прочности бетона, твердеющего при различных температурах
Требуется определить относительную прочность бетона, твердеющего при температуре 25 °C 10 ч, 30 °C 12 ч, 32 °C 23 ч, если известно нарастание прочности бетона при 20 °C.
1. Определяем время, которое потребовалось для нарастания этой же относительной прочности, если бы температура твердения бетона была равна 20 °C:
2. По графику, приведенному на
рис. 22, находим относительную прочность бетона, оказавшуюся равной 46% от
R28.
Рис. 22. Нарастание прочности бетона марок 200 - 300
на портландцементе марки 400
при температуре 20 °C (в % от R28)
Б. ПО ЭМПИРИЧЕСКИМ ФОРМУЛАМ
а) При положительных температурах
1. Нормальные условия твердения бетона для получения его проектной марки в возрасте 28 сут принимаются согласно требованиям ГОСТ 10180-72 при температуре 20 +/- 2 °C. При других температурах время выдерживания, эквивалентное нормальному твердению, определяется по формуле

(18)
где

- продолжительность твердения при температуре
t, сут;

- то же, при нормальной температуре, или приведенный возраст (зрелость) бетона, сут

;
k" - температурный коэффициент, принимаемый по
табл. 36.
Таблица 36
Температурные коэффициенты k" для определения
приведенного возраста бетона при беспрогревном выдерживании
N позиций | Группа цемента | Вид цемента | Основная марка цемента | Средняя температура твердения, °C |
0 | 2 | 5 | 10 | 15 | 22 | 25 | 30 |
1 | | Высокоалитовые низкоалюминатные портландцементы без кремнеземистых добавок (в том числе БТЦ) | 500 и более | 0,38 | 0,43 | 0,52 | 0,67 | 0,84 | 1,12 | 1,3 | 1,5 |
| | Среднеалюминатные портландцементы без кремнеземистых добавок | 400 - 500 | 0,35 | 0,42 | 0,49 | 0,65 | 0,83 | 1,13 | 1,3 | 1,5 |
| | Портландцементы, содержащие кремнеземистую добавку до 10% | 400 | 0,31 | 0,37 | 0,45 | 0,62 | 0,81 | 1,15 | 1,3 | 1,6 |
| | То же, при наличии активных добавок до 15% | 300 | 0,25 | 0,31 | 0,39 | 0,56 | 0,78 | 1,16 | 1,4 | 1,8 |
5 | | Шлакопортландцементы, в том числе БТШПЦ | 400 - 300 | 0,19 | 0,24 | 0,33 | 0,5 | 0,74 | 1,21 | 1,48 | 2 |
6 | | Пуццолановые портландцементы | 300 | 0,18 | 0,22 | 0,3 | 0,48 | 0,72 | 1,23 | 1,5 | 2,1 |
Примечания: 1. При температурах твердения 18 - 20 °C коэффициент k" = 1.
2. Температурные коэффициенты выведены для бетонов со средним расходом воды 168 - 172 л/м3 на портландцементах и 180 - 185 л/м3 на пуццолановых и шлакопортландцементах. При другом водосодержании значения коэффициентов меняются обратно пропорционально изменению расхода воды.
2. Приведенный возраст бетона, эквивалентный определенной продолжительности твердения его при нормальных температурах, определяется по формуле

(19)
здесь

- приведенный возраст, сут.
Если бетон твердел при различных температурах, то суммируются приведенные возрасты на каждом из участков. По общему приведенному возрасту расчетом или по контрольному графику определяется достигнутая прочность. На
рис. 23 приведен график температуры твердения бетона при беспрогревном выдерживании, который содержит семь характерных участков со своими средними температурами и, следовательно, коэффициентами
k".
Рис. 23. Пример разбивки на участки графика
определения беспрогревного выдерживания бетона

(20)
Пусть бетон приготовлялся на цементе, приведенном в
поз. 3 табл. 36, тогда, взяв по интерполяции промежуточные значения температурных коэффициентов, получим
При более сложных температурных графиках средняя температура по участкам определяется известными способами как определенный интеграл площади, описываемой температурным графиком, деленный на время твердения. Определение интеграла (площади температурного графика) может производиться приближенными методами, например, методом трапеций.
3. При известной длительности твердения бетона в нормальных условиях

или известном приведенном возрасте

прочность бетона в % от
R28 определяется по формуле

(21)
или

(22)
где
B - предэкспоненциальный множитель, характеризующий условную начальную прочность бетона данного состава; принимается согласно
табл. 37 или
рис. 24;

- коэффициент скорости твердения, принимаемый по тем же данным;

- определяется по
рис. 25 или по таблицам математических справочников.
Таблица 37
Определение группы бетона и коэффициентов
и B
в зависимости от марки бетона и интенсивности
его твердения в возрасте 1 сут
N п.п. | Группа бетона | Марка бетона | Суточная прочность, % от марки | В/Ц | Расход воды, л/м3 | Вид цемента и бетона | Значения констант твердения |
B | |
| 1 | | | | | | 7 | 8 |
| I | 400 - 600 | 36 - 45 | 0,3 - 0,45 | 140 - 160 | ОБТЦ, высокопрочный портландцемент марки 600 | 78 | 0,28 |
2 | II | 300 - 400 | 28 - 35 | 0,36 - 0,5 | 150 - 180 | БТЦ, портландцемент марки 500 без добавок, быстротвердеющий портландцемент | 81 | 0,21 |
3 | III | 200 - 300 | 21 - 27 | 0,45 - 0,7 | 160 - 190 | Портландцемент марки 400 с добавкой до 10%, быстротвердеющий шлакопортландцемент | 87 | 0,17 |
4 | IV | 200 - 300 | 13 - 20 | 0,5 - 0,7 | 170 - 200 | Портландцемент с добавками до 15%, шлакопортландцемент марок 400 - 300 | 95 | 0,14 |
5 | V | 100 - 200 | 6 - 12 | 0,55 - 0,75 | 175 - 210 | Портландцемент марки 300 и менее с добавками, шлакопортландцемент | 102 | 0,12 |
6 | VI | 50 - 200 | Менее 6 | 0,6 - 0,8 | 180 - 230 | Пуццолановые и низкомарочные портландцементы, бетоны из пластичных смесей | 107 | 0,105 |
Примечание. Группа легких бетонов по интенсивности их твердения назначается только по относительной прочности в возрасте 1 сут, т.е. по
графе 3 табл. 37.
Рис. 24. Зависимость коэффициентов скорости
твердения

и
B от марки и прочности бетона
Рис. 25. Значение функции
e-x
Расчеты по
формулам (21),
(22) ведутся при длительности твердения или

не менее 1 сут для I - III группы бетона и не менее 1,5 сут для IV - VI группы бетона, определяемых по
табл. 37.
4. Основными критериями при определении группы бетона являются его марка и прочность в возрасте 1 сут
(табл. 37). В случае расхождения этих критериев, например у белитовых или лежалых цементов, а также у бетонов с добавкой пластификаторов, когда прочность в суточном возрасте может быть ниже на одну группу, расчет следует вести в зависимости от уровня предполагаемой прочности. Если прогнозируется прочность менее 60%, то расчет ведется, как для группы бетона, определяемой по прочности бетона в возрасте 1 сут
(табл. 37). В том случае когда ожидается более высокая прочность, расчет ведется по группе бетона, определяемой его маркой
(графа 2).
Графы 4,
5 и
6 табл. 37 не строго ограничивают группу бетона и служат для предварительной ее оценки, если неизвестны марка и суточная прочность бетона.
5. Расчетные и фактические графики твердения бетона ряда составов групп I - VI приведены на
рис. 26. Они служат для определения группы бетона по известной прочности в любом возрасте нормального твердения или эквивалентном приведенном возрасте.
Рис. 26. График твердения бетонов в нормальных условиях
BIII - предэкспоненциальный множитель для бетонов III группы
6. Переход от относительной к абсолютной прочности бетона производится путем умножения относительной прочности в % на эквивалентное 1-му % значение прочности в МПа.
В ряде случаев (напряженные конструкции, определение минимальной загрузочной прочности и др.) целесообразно производить расчет нарастания прочности в абсолютных единицах по формуле

(23)
здесь R28 - марка бетона в возрасте 28 сут.
Если фактическое R28 неизвестно, то определение группы бетона для прогнозирования нарастания его прочности допускается принимать расчетное значение R28 в зависимости от В/Ц и активности цемента, например, по формуле И.М. Френкеля.
7. Расчет нарастания прочности бетона в возрасте менее 1 - 1,5 сут нормального твердения или соответствующего приведенного возраста при других температурах твердения может быть произведен ориентировочно по формуле

(24)
здесь a - коэффициент скорости твердения, равный 0,9; 1,1; 1,4; 1,7; 2; 2,4 соответственно для I - VI группы бетона;

или

- возраст в сут или долях сут;
Rс - начальная структурная прочность, равная 0,3 - 0,5% от R28.
б) При отрицательных и знакопеременных температурах
8. Температурные коэффициенты
k" для подсчета приведенного возраста бетона при отрицательных температурах принимаются по значениям, приведенным в
табл. 38.
Таблица 38
Температурные коэффициенты k" для определения
приведенного возраста бетона при отрицательных температурах
N п.п. | Вид цемента | Коэффициент k" при температуре, °C |
-10 | -5 | -3 | -1 | 0 |
1 | Высокоактивные портландцементы марки не ниже 400 | 0,05 | 0,1 | 0,11 | 0,14 | 0,38 |
| Портландцемент марок 300 - 400 и быстротвердеющий шлакопортландцемент | 0,03 | 0,05 | 0,06 | 0,07 | 0,31 |
Примечание. Пуццолановые и шлакопортландцементы при зимнем бетонировании в условиях отрицательных температур применять без обогрева не рекомендуется.
9. Средняя температура твердения бетона должна подсчитываться отдельно для положительных и отрицательных температур, при этом участки с нулевой температурой учитываются самостоятельно. Расчет приведенного возраста бетона ведется по
формуле (19), прочность определяется по
формуле (22) при приведенном возрасте бетона более 1 - 1,5 сут или по
формуле (24) для более раннего возраста.
в) При повышенных температурах
10. Температурные коэффициенты при повышенных температурах твердения применяются по
табл. 39. При этом учитывается, что они выведены при усредненных расходах воды 168 - 172 л/м
3 для бетонов на портландцементах и 180 - 185 л/м
3 на пуццолановых и шлакопортландцементах. При других расходах воды значение температурного коэффициента меняется обратно пропорционально водосодержанию.
Таблица 39
Температурные коэффициенты k" для определения приведенного
возраста бетона при повышенных температурах твердения
| Коэффициент k" при температуре, °C |
30 | 40 | 50 | 60 | 70 | 80 | 90 | 95 |
| 1,5 | 2 | 2,7 | 3,3 | 4,1 | 4,9 | 5,9 | 6,4 |
| 1,5 | 2 | 2,8 | 3,6 | 4,5 | 5,4 | 6,6 | 7,1 |
| 1,6 | 2,3 | 3,2 | 4,2 | 5,4 | 6,7 | 8,2 | 9 |
| 1,7 | 2,7 | 4 | 5,6 | 7,4 | 9,6 | 12,3 | 13,8 |
| 2 | 3,3 | 5,2 | 7,7 | 11 | 15 | 20,2 | - |
| 2,1 | 3,5 | 5,6 | 8,5 | 12,4 | 17,2 | 23,3 | 26,1 |
Примечания: 1. Высокопрочные портландцементы группы 1 марок 500 и выше при наличии кремнеземистых добавок имеют температурный коэффициент как группа 3 или 4 (в зависимости от величины и активности добавки).
2. Температурные коэффициенты для бетонов из жирных смесей с расходом цемента более 450 кг/м3 и воды более 230 л/м3 должны уточняться опытным путем.
11. При кратковременных режимах прогрева, когда приведенный возраст

менее 1,5 сут у бетона I - III группы и менее 2,5 сут у бетона IV - VI группы, расчет нарастания прочности может быть сделан ориентировочно по
формуле (23) и с коэффициентом
a согласно
п. 7 раздела Б настоящего приложения.
12. Расчет нарастания прочности бетона при режимах прогрева с приведенными возрастами более указанных в
п. 11 производится по
формуле (22) с коэффициентами

и
B по
табл. 37.
13. Определение средней температуры разогрева в зависимости от формы графика может быть сделано по полусумме начальной и конечной температур разогрева (прямолинейный график) или по способу, указанному в
п. 2 раздела Б настоящего приложения.
Средняя температура остывания при длительности 4 ч и менее определяется как полусумма начальной и конечной температур, а при более длительном остывании учитывается кривизна графика по способу, указанному в
п. 2, или графически по треугольнику вогнутой (выпуклой) кривой остывания (способ Б.Г. Скрамтаева). При отсутствии температурных графиков средняя температура бетона за время остывания
tб.ср определяется по формуле

(25)
где tб.н - начальная температура бетона на данном участке остывания, °C;
tб.к - конечная (или расчетная) температура бетона, до которой учитывается остывание бетона, °C;
Mп - модуль поверхности конструкции.
Примеры расчета длительности твердения в условиях знакопеременных температур
Пример 1. Бетон марки 200 с расходом воды 180
л/м3 приготовляется на портландцементе марок 300 - 400, содержащем кремнеземистую добавку до 15%. Бетон был использован для фундаментов с модулем поверхности 5. Температурный график бетона приведен на
рис. 27.
Рис. 27. График температур при выдерживании
бетона методом термоса
Приняв коэффициент теплопередачи опалубки равным 1 Вт/(м
2·°C), получим по
формуле (25) среднюю температуру за время остывания:
Температурный коэффициент для данного цемента определяем по
поз. 4 табл. 36 с учетом поправки на повышенное водосодержание. Интерполяцией находим, что для 12 °C
с учетом поправки на повышенное водосодержание
Приведенный возраст за время остывания по
формуле (19) будет равен:
По значениям, приведенным в
табл. 37, данный бетон можно отнести к IV группе (
B = 95,

). Тогда, согласно
формуле (22), прочность бетона за это время составит:
R = 100 - 95e-0,14·4·27 = 48%.
По главе СНиП III-В.1-70 (п. 5.3) бетон с прочностью 48% можно заморозить.
Однако с точки зрения несущей способности прочность бетона недостаточна, поэтому есть смысл использовать дальнейшее твердение бетона при отрицательных температурах. Определяем, какую прочность наберет бетон за время нахождения при отрицательных температурах в периоды 1, 2, 3 и 4, приведенные на
рис. 27. Период 4 - опускание температуры бетона ниже -10 °C не учитываем. Нельзя также учитывать и период 5 - вплоть до полного оттаивания, так как бетон, побывав при температуре ниже -10 °C, сохраняет потом некоторое количество льда.
Приведенный возраст за периоды 1, 2, 3 и 4 определится с использованием коэффициентов, приведенных в
табл. 38 (поз. 2):
Таким образом, общий приведенный возраст бетона составит:
Или прочность к этому времени достигнет:
R = 100 - 95e-0,14·5 = 53.
Увеличение прочности за время отрицательных температур произошло на 5%. Для практики это не столь существенно, но следует учесть, что температуры -10 °C предельные, а значения температурных коэффициентов взяты минимальные.
Пример 2. Требуется определить время выдерживания бетона до набора им 70%-ной прочности, если после остывания до 0 °C он находился при температурах 0, -1 °C (например, в условиях вечной мерзлоты, показано пунктиром на
рис. 27).
Для бетона IV группы определяем, что в этом возрасте
По таблицам математических справочников или по
рис. 24 находим, что это соответствует значению

или
Для набора 70%-ной прочности после твердения при положительных температурах недостает 8,3 - 0,61·7 = 4 сут нормального твердения. Следовательно, при температуре 0, -1 °C бетон нужно дополнительно выдерживать:
Для практики такой срок вполне реален (а в условиях вечной мерзлоты другого выхода может не быть), поэтому есть смысл использовать последующее твердение бетона при -1 °C.
Если в этом же примере взять бетон на группу выше или даже в этой группе использовать более активный портландцемент, например по
поз. 2 табл. 36 и
поз. 1 табл. 37, то у этого цемента при 12 °C
а при -1 °C k" = 0,14.
Тогда для набора бетоном 70%-ной прочности при t = -1 °C потребуется
Таким образом, при отрицательных температурах твердения целесообразно применять высокоактивные портландцементы марок не ниже 400 (без кремнеземистых добавок). Длительность выдерживания 23 сут при -1 °C вполне реальна, особенно в условиях южной зоны вечной мерзлоты и осенне-весеннего периода.
МЕТОД РАСЧЕТА ВЫДЕРЖИВАНИЯ БЕТОНА И ВЫБОР ТЕПЛОВОЙ ЗАЩИТЫ
КОНСТРУКЦИЙ РАЗЛИЧНОЙ МАССИВНОСТИ ПО ТАБЛИЦАМ
1. При разработке метода расчета выдерживания бетона преследовались в основном две цели:
первая - разработка методики и составление программы решения основного дифференциального уравнения теплопроводности для твердеющего бетона на ЭВМ. Наличие этой методики позволяет решать практически все задачи термосного выдерживания бетона в любом вычислительном центре;
вторая - используя возможности вычислительной техники, дать проектировщикам и производителям работ простой и надежный способ расчета термосного выдерживания бетона в конструкции.
2. При разработке метода расчета по таблицам сложные вычислительные операции были заранее выполнены на ЭВМ, а все необходимые выходные параметры выдерживания бетона сведены в таблицы.
При выполнении ориентировочных расчетов, т.е. расчетов, предназначенных для предварительной оценки возможностей метода в конкретных условиях, используются непосредственно данные таблиц (см. примеры расчетов).
При уточненном расчете, т.е. при расчете элементов опалубки, назначении режимов выдерживания и т.д., данные таблиц корректируются в соответствии с приводимой ниже методикой с помощью простейших алгебраических операций.
3. Метод расчета по таблицам позволяет решать задачу термосного выдерживания бетонов марок 200, 300 и 400 на портландцементах марок 400 и 500, а также бетона марки 300 на шлакопортландцементе марки 400 для конструкций с 2 <= Mп <= 10.
Расчет выдерживания бетона основан на использовании таблиц основных параметров (
табл. 40 -
42), вспомогательных таблиц (
табл. 43,
44), а также номограммы
рис. 28. В таблицах основных параметров для каждого сочетания модуля поверхности, расхода цемента, начальной температуры бетона и температуры среды даны значения трех параметров, расположенных по вертикали один под другим. Верхнее - полное термосопротивление опалубки, среднее - температура окончания выдерживания бетона, нижнее - время выдерживания. В ряде случаев для получения 40 и 70% прочности бетона от
R28 для одной и той же температуры среды дается ряд комплексов, т.е. имеется возможность форсировать режимы выдерживания.
ОСНОВНЫЕ ПАРАМЕТРЫ ТЕРМОСНОГО ВЫДЕРЖИВАНИЯ БЕТОНА
<1>
--------------------------------
<1> В таблицах для каждого расхода цемента приведены значения трех параметров:
верхняя строка - термическое сопротивление опалубки, м2·°C/Вт; средняя строка - температура окончания выдерживания бетона, °C; нижняя - время выдерживания, ч.
Таблица 40
Портландцемент 400, конечная прочность 40% от R28
Модуль поверхности, м-1 | Марка бетона | Расход цемента, кг/м3 | Начальная температура бетона, °C |
25 | 50 |
Температура среды, °C |
0 | -10 | -20 | -30 | -40 | 0 | -10 | -20 | -30 | -40 |
2 | 200 | 226 | 0,073 | 0,089 | 0,113 | 0,125 | 0,15 | 0,174 | 0,228 | 0,304 | 0,36 | 0,038 | 0,052 | 0,022 | 0,081 | 0,114 | 0,137 | 0,183 |
6 | 8 | 11 | 15 | 5 | 9 | 5 | 5 | 5 | 5 | 9 | 5 | 5 | 5 | 5 | 5 |
72 | 57 | 49 | 43 | 63 | 52 | 60 | 59 | 58 | 59 | 43 | 63 | 46 | 41 | 39 | 38 |
400 | 0,043 | 0,064 | 0,078 | 0,106 | 0,098 | 0,12 | 0,155 | 0,197 | 0,24 | 0,028 | 0,034 | 0,043 | 0,043 | 0,078 | 0,103 | 0,12 |
6,5 | 11 | 14 | 20 | 6 | 12 | 5 | 5 | 5 | 6 | 8 | 12 | 5 | 5 | 5 | 5 |
74 | 51 | 45 | 38 | 63 | 46 | 59 | 57 | 55 | 56 | 46 | 37 | 44 | 38 | 35 | 33 |
300 | 300 | 0,052 | 0,06 | 0,077 | 0,094 | 0,115 | 0,146 | 0,181 | 0,242 | 0,302 | 0,029 | 0,036 | 0,046 | 0,069 | 0,095 | 0,121 | 0,146 |
6 | 7 | 9 | 13 | 5 | 11 | 5 | 5 | 5 | 5 | 7 | 15 | 5 | 5 | 5 | 5 |
74 | 61 | 53 | 46 | 62 | 47 | 57 | 55 | 55 | 58 | 49 | 45 | 45 | 39 | 37 | 35 |
500 | 0,04 | 0,043 | 0,052 | 0,069 | 0,087 | 0,109 | 0,129 | 0,183 | 0,206 | 0,026 | 0,043 | - | 0,051 | 0,0775 | 0,095 | 0,112 |
7 | 9 | 12 | 16 | 7 | 15 | 5 | 5 | 5 | 6 | 15 | - | 5 | 8 | 5 | 5 |
68 | 56 | 49 | 43 | 64 | 43 | 59 | 57 | 55 | 56 | 32 | - | 43 | 37 | 34 | 32 |
4 | 200 | 226 | 0,138 | 0,155 | 0,179 | 0,208 | 0,242 | 0,275 | 0,35 | 0,405 | 0,56 | 0,078 | 0,086 | 0,099 | 0,124 | 0,161 | 0,198 | 0,233 |
5 | 8 | 10 | 13 | 5 | 8 | 5 | 5 | 5 | 6 | 9 | 13 | 5 | 5 | 5 | 5 |
59 | 51 | 46 | 43 | 54 | 47 | 52 | 51 | 50 | 46 | 35 | 31 | 37 | 35 | 34 | 32,5 |
400 | 0,09 | 0,094 | 0,099 | 0,145 | 0,172 | - | 0,241 | 0,309 | 0,366 | 0,06 | 0,07 | - | 0,102 | 0,121 | 0,149 | 0,176 |
5 | 6 | 7 | 16 | 5 | - | 5 | 5 | 5 | 8 | 11 | - | 5 | 5 | 5 | 5 |
56 | 56 | 53 | 40 | 52 | - | 50,5 | 49 | 48 | 44 | 33 | - | 35 | 32 | 31 | 30 |
300 | 300 | 0,104 | 0,115 | 0,129 | 0,146 | 0,206 | 0,238 | 0,284 | 0,378 | 0,466 | 0,071 | - | 0,09 | 0,106 | 0,138 | 0,183 | 0,198 |
5 | 6 | 9 | 11 | 5 | 10 | 5 | 5 | 5 | 8 | - | 16 | 5 | 5 | 5 | 5 |
58 | 55 | 50 | 46 | 53 | 46 | 51 | 50 | 49 | 45 | - | 28 | 36 | 33,5 | 32 | 31 |
500 | 0,081 | 0,12 | 0,129 | - | 0,206 | - | 0,204 | 0,258 | 0,318 | 0,043 | - | - | 0,083 | 0,112 | 0,129 | 0,155 |
6 | 16 | 21 | - | 5 | - | 5 | 5 | 5 | 5 | - | - | 5 | 10 | 5 | 5 |
55 | 38 | 33 | - | 51 | - | 50 | 48 | 47 | 43 | - | - | 35 | 31,05 | 30,5 | 29 |
10 | 200 | 226 | 0,346 | 0,434 | 0,585 | 0,88 | 0,62 | 0,73 | 0,815 | 1,01 | 1,24 | 0,191 | 0,258 | 0,31 | 0,287 | 0,344 | 0,405 | 0,474 |
5 | 10 | 16 | 24 | 7 | 12 | 5 | 5 | 6 | 5 | 21 | 30 | 5 | 5 | 5 | 5 |
53 | 43 | 37 | 29 | 49 | 40 | 47,5 | 47 | 46,5 | 36 | 19 | 16 | 29 | 28 | 27 | 26 |
400 | 0,249 | 0,284 | 0,36 | - | 0,413 | 0,483 | 0,557 | 0,705 | 0,86 | 0,155 | 0,18 | 0,206 | 0,221 | 0,273 | 0,305 | 0,344 |
5 | 9 | 16 | - | 5 | 13 | 5 | 5 | 5 | 5 | 17 | 28 | 5 | 5 | 5 | 5 |
51 | 43 | 35 | - | 47 | 38 | 45 | 44 | 43 | 33 | 21 | 15 | 26,5 | 25,5 | 24,5 | 23,5 |
300 | 300 | 0,288 | 0,346 | 0,437 | 0,585 | 0,48 | 0,542 | 0,645 | 0,84 | 1,02 | 0,163 | 0,189 | 0,222 | 0,232 | 0,292 | 0,354 | 0,404 |
5 | 10 | 16 | 23 | 5 | 10 | 5 | 5 | 5 | 5 | 11 | 25 | 5 | 5 | 5 | 5 |
52 | 43 | 37 | 29 | 48 | 42 | 46 | 45 | 44 | 34 | 26 | 17 | 28 | 6 | 25,5 | 25 |
500 | 0,215 | 0,266 | 0,334 | - | 0,358 | 0,413 | 0,495 | 0,67 | 0,8 | 0,132 | - | - | 0,21 | 0,253 | 0,266 | 0,31 |
5 | 11 | 22 | - | 5 | 19 | 5 | 5 | 5 | 5 | - | - | 5 | 5 | 5 | 5 |
50 | 40 | 29 | - | 46 | 36 | 44 | 43 | 42 | 32 | - | - | 25 | 24,5 | 24 | 23 |
Таблица 40а
Портландцемент 400, конечная прочность 70% от R28
Модуль поверхности, м-1 | Марка бетона | Расход цемента, кг/м3 | Начальная температура бетона, °C |
25 | 50 |
Температура среды, °C |
0 | -10 | -20 | -30 | -40 | 0 | -10 | -20 | -30 | -40 |
2 | 200 | 226 | 0,192 | 0,344 | 0,48 | 0,618 | 0,72 | 0,109 | 0,198 | 0,258 | 0,318 | 0,378 |
5 | 5 | 5 | 5 | 5 | 5 | 5 | 5 | 5 | 5 |
180 | 158 | 150 | 148 | 143 | 139 | 120 | 111 | 106 | 106 |
400 | 0,12 | 0,206 | 0,275 | 0,353 | 0,412 | 0,086 | 0,122 | 0,147 | 0,176 | 0,206 |
5 | 5 | 5 | 5 | 5 | 8 | 5 | 5 | 5 | 5 |
161 | 135 | 124 | 120 | 116 | 126 | 98 | 80 | 74 | 68 |
300 | 300 | 0,152 | 0,258 | 0,344 | 0,455 | 0,55 | 0,088 | 0,146 | 0,198 | 0,215 | 0,249 |
5 | 5 | 5 | 5 | 5 | 5 | 5 | 5 | 5 | 5 |
167 | 144 | 135 | 132 | 129 | 132 | 102 | 95 | 79 | 74 |
500 | 0,103 | 0,184 | 0,223 | 0,318 | 0,397 | 0,07 | 0,103 | 0,129 | 0,155 | 0,181 |
5 | 5 | 5 | 5 | 5 | 5 | 5 | 5 | 5 | 5 |
153 | 127 | 117 | 114 | 111 | 124 | 92 | 77 | 70 | 66 |
4 | 200 | 226 | 0,37 | 0,617 | 0,81 | 1,0 | 1,18 | 0,197 | 0,27 | 0,336 | 0,404 | 0,482 |
5 | 5 | 5 | 5 | 5 | 5 | 5 | 5 | 5 | 5 |
152 | 139 | 130 | 126 | 123 | 100 | 80 | 73 | 71 | 71 |
400 | 0,252 | 0,353 | 0,452 | 0,55 | 0,653 | 0,138 | 0,184 | 0,232 | 0,293 | 0,31 |
5 | 5 | 5 | 5 | 5 | 5 | 5 | 5 | 5 | 5 |
132 | 110 | 100 | 96 | 94 | 84 | 67 | 63 | 61 | 56 |
300 | 300 | 0,294 | 0,438 | 0,575 | 0,73 | 0,86 | 0,181 | 0,206 | 0,282 | 0,344 | 0,37 |
5 | 5 | 5 | 5 | 5 | 5 | 5 | 5 | 5 | 5 |
138 | 125 | 117 | 114 | 113 | 90 | 73 | 67 | 65 | 61 |
500 | 0,198 | 0,284 | 0,361 | 0,446 | 0,525 | 0,119 | 0,161 | 0,189 | 0,232 | 0,262 |
5 | 5 | 5 | 5 | 5 | 5 | 5 | 5 | 5 | 5 |
117 | 98 | 91 | 88 | 87 | 82 | 63 | 57 | 55 | 52 |
10 | 200 | 226 | 0,875 | 1,48 | 1,91 | 2,49 | 2,72 | 0,432 | 0,6 | 0,755 | 0,87 | 1,04 |
5 | 5 | 5 | 5 | 5 | 5 | 5 | 5 | 5 | 5 |
136 | 125 | 122 | 119 | 117 | 84 | 74 | 64 | 60 | 59 |
400 | 0,603 | 0,86 | 1,11 | 1,14 | 1,53 | 0,31 | 0,43 | 0,517 | 0,593 | 0,69 |
5 | 5 | 5 | 5 | 5 | 5 | 5 | 5 | 5 | 5 |
110 | 100 | 95 | 93 | 91 | 71 | 58 | 52 | 50 | 49 |
300 | 300 | 0,735 | 1,09 | 1,4 | 1,7 | 2,02 | 0,388 | 0,5 | 0,62 | 0,73 | 0,81 |
5 | 5 | 5 | 5 | 5 | 5 | 5 | 5 | 5 | 5 |
128 | 113 | 109 | 107 | 104 | 77 | 64 | 58 | 56 | 55 |
500 | 0,507 | 0,69 | 0,86 | 1,03 | 1,2 | 0,284 | 0,37 | 0,42 | 0,49 | 0,557 |
5 | 5 | 5 | 5 | 5 | 5 | 5 | 5 | 5 | 5 |
106 | 94 | 88 | 85 | 83 | 62 | 52 | 46 | 45 | 44 |
Таблица 40б
Портландцемент 400, конечная прочность 100% от R28
Модуль поверхности, м-1 | Марка бетона | Расход цемента кг/м3 | Начальная температура бетона, °C |
25 | 50 |
Температура среды, °C |
0 | -10 | -20 | -30 | -40 | 0 | -10 | -20 | -30 | -40 |
2 | 200 | 226 | 0,73 | 1,02 | 1,43 | 1,73 | 2,04 | 0,28 | 0,48 | 0,58 | 0,69 | 0,77 |
5 | 5 | 5 | 5 | 5 | 5 | 5 | 5 | 5 | 5 |
599 | 497 | 474 | 450 | 439 | 334 | 282 | 258 | 238 | 235 |
400 | 0,36 | 0,48 | 0,64 | 0,73 | 0,83 | 0,22 | 0,36 | 0,46 | 0,56 | 0,63 |
5 | 5 | 5 | 5 | 5 | 5 | 5 | 5 | 5 | 5 |
398 | 332 | 320 | 294 | 287 | 284 | 212 | 195 | 180 | 174 |
300 | 300 | 0,55 | 0,75 | 0,9 | 1,14 | 1,29 | 0,24 | 0,41 | 0,49 | 0,58 | 0,67 |
5 | 5 | 5 | 5 | 5 | 5 | 5 | 5 | 5 | 5 |
451 | 378 | 367 | 355 | 347 | 306 | 257 | 237 | 216 | 210 |
| | ИС МЕГАНОРМ: примечание. При публикации в издании М.: Стройиздат, 1975 допущен типографский брак. Текст, не пропечатанный в официальном тексте документа, в электронной версии данного документа заменен символом "!". | |
|
| | 500 | 0,25 | 0,38 | 0,54 | 0,63 | 0,7! | 0,19 | 0,32 | 0,42 | 0,48 | 0,55 |
5 | 5 | 5 | 5 | 5 | 5 | 5 | 5 | 5 | 5 |
338 | 293 | 276 | 265 | 258 | 256 | 198 | 178 | 170 | 165 |
4 | 200 | 226 | 1,46 | 1,95 | 2,31 | 2,75 | 3,2 | 0,65 | 0,76 | 1,0 | 1,18 | 1,38 |
5 | 5 | 5 | 5 | 5 | 5 | 5 | 5 | 5 | 5 |
576 | 465 | 410 | 395 | 388 | 290 | 242 | 230 | 228 | 220 |
400 | 0,69 | 1,09 | 1,44 | 1,84 | 2,1 | 0,55 | 0,66 | 0,81 | 0,99 | 1,19 |
5 | 5 | 5 | 5 | 5 | 5 | 5 | 5 | 5 | 5 |
372 | 328 | 312 | 294 | 290 | 228 | 190 | 178 | 173 | 158 |
300 | 300 | 0,89 | 1,36 | 1,73 | 2,06 | 2,45 | 0,59 | 0,68 | 0,88 | 1,06 | 1,26 |
5 | 5 | 5 | 5 | 5 | 5 | 5 | 5 | 5 | 5 |
425 | 372 | 358 | 350 | 340 | 280 | 216 | 196 | 190 | 186 |
300 | 0,59 | 0,85 | 1,13 | 1,36 | 1,69 | 0,54 | 0,63 | 0,78 | 0,94 | 1,12 |
5 | 5 | 5 | 5 | 5 | 5 | 5 | 5 | 5 | 5 |
317 | 275 | 266 | 260 | 252 | 220 | 178 | 164 | 159 | 150 |
10 | 200 | 226 | - | - | - | - | - | 2,58 | 3,1 | 3,52 | 4,16 | 4,8 |
- | - | - | - | - | 5 | 5 | 5 | 5 | 5 |
- | - | - | - | - | 320 | 260 | 240 | 230 | 220 |
400 | - | - | - | - | - | 1,18 | 1,68 | 1,81 | 2,2 | 2,58 |
- | - | - | - | - | 5 | 5 | 5 | 5 | 5 |
- | - | - | - | - | 235 | 190 | 175 | 165 | 160 |
300 | 300 | - | - | - | - | - | 1,89 | 2,24 | 2,62 | 3,15 | 3,53 |
- | - | - | - | - | 5 | 5 | 5 | 5 | 5 |
- | - | - | - | - | 270 | 210 | 194 | 183 | 179 |
500 | - | - | - | - | - | 1,05 | 1,48 | 1,7 | 2,1 | 2,45 |
- | - | - | - | - | 5 | 5 | 5 | 5 | 5 |
- | - | - | - | - | 214 | 177 | 165 | 155 | 147 |
Таблица 41
Портландцемент 500, конечная прочность 40% от R28
Модуль поверхности, м-1 | Марка бетона | Расход цемента, кг/м3 | Начальная температура бетона, °C |
25 | 50 |
Температура среды, °C |
0 | -10 | -20 | -30 | -40 | 0 | -10 | -20 | -30 | -40 |
2 | 400 | 450 | 0,04 | 0,042 | 0,046 | 0,076 | 0,083 | 0,112 | 0,146 | 0,163 | 0,023 | 0,026 | 0,033 | 0,046 | 0,048 | 0,065 | 0,082 | 0,097 |
5 | 9 | 10 | 5 | 10 | 7 | 5 | 5 | 5 | 6 | 7 | 5 | 6 | 5 | 5 | 5 |
71 | 54 | 49 | 58 | 48 | 54 | 52 | 50 | 65 | 55 | 51 | 43 | 41 | 35 | 31 | 28 |
4 | 400 | 450 | 0,069 | - | - | - | 0,121 | 0,168 | 0,213 | 0,232 | 0,043 | 0,0516 | 0,062 | 0,061 | 0,069 | 0,085 | 0,115 | 0,124 |
6 | - | - | - | 7 | 5 | 5 | 5 | 5 | 12 | 18 | 5 | 12 | 5 | 5 | 5 |
| | ИС МЕГАНОРМ: примечание. При публикации в издании М.: Стройиздат, 1975 допущен типографский брак. Текст, не пропечатанный в официальном тексте документа, в электронной версии данного документа заменен символом "!". | |
|
| | | 5! | - | - | - | 45 | 43 | 42 | 4! | 43 | 26 | 21 | 35 | 24 | 30 | 27 | 25 |
6 | 400 | 450 | - | 0,103 | 0,121 | 0,169 | 0,17 | 0,228 | 0,281 | 0,302 | 0,066 | 0,071 | 0,077 | 0,095 | 0,099 | 0,119 | 0,137 | 0,171 |
- | 6 | 13 | 5 | 7 | 5 | 5 | 5 | 5 | 11 | 15 | | 12 | 5 | 5 | 9 |
- | 46 | 31 | 42 | 36 | 38 | 36 | 35 | 33 | 23 | 21 | 65 | 21 | 24 | 22 | 20 |
10 | 400 | 450 | 0,179 | 0,195 | 0,214 | 0,292 | - | 0,344 | 0,43 | 0,507 | 0,106 | 0,11 | 0,113 | 0,158 | - | 0,185 | 0,222 | 0,253 |
5 | 13 | 17 | 5 | - | 5 | 5 | 5 | 5 | 6 | 9 | 5 | - | 5 | 5 | 5 |
42 | 29 | 26 | 37 | - | 34 | 32 | 30 | 26 | 24 | 22 | 23 | - | 21 | 20 | 18 |
Таблица 41а
Портландцемент 500, конечная прочность 70% от R28
Модуль поверхности, м-1 | Марка бетона | Расход цемента, кг/м3 | Начальная температура бетона, °C |
25 | 50 |
Температура среды, °C |
0 | -10 | -20 | -30 | -40 | 0 | -10 | -20 | -30 | -40 |
2 | 400 | 450 | 0,083 | 0,136 | 0,181 | 0,229 | 0,266 | 0,056 | 0,092 | 0,106 | 0,131 | 0,159 |
5 | 5 | 5 | 5 | 5 | 5 | 5 | 5 | 5 | 5 |
137 | 109 | 99 | 94 | 88 | 120 | 88 | 75 | 73 | 70 |
4 | 400 | 450 | 0,163 | 0,223 | 0,282 | 0,357 | 0,43 | 0,095 | 0,13 | 0,172 | 0,206 | 0,232 |
5 | 5 | 5 | 5 | 5 | 5 | 5 | 5 | 5 | 5 |
97 | 82 | 75 | 73 | 71 | 69 | 59 | 52 | 51 | 48 |
6 | 400 | 450 | 0,258 | 0,326 | 0,422 | 0,498 | 0,567 | 0,155 | 0,189 | 0,241 | 0,289 | 0,327 |
5 | 5 | 5 | 5 | 5 | 5 | 5 | 5 | 5 | 5 |
93 | 78 | 73 | 70 | 67 | 61 | 53 | 47 | 45 | 42 |
10 | 400 | 450 | 0,395 | 0,527 | 0,689 | 0,816 | 0,937 | 0,256 | 0,328 | 0,387 | 0,46 | 0,525 |
5 | 5 | 5 | 5 | 5 | 5 | 5 | 5 | 5 | 5 |
84 | 72 | 68 | 67 | 64 | 58 | 48 | 44 | 42 | 41 |
Таблица 41б
Портландцемент 500, конечная прочность 100% от R28
Модуль поверхности, м-1 | Марка бетона | Расход цемента, кг/м3 | Начальная температура бетона, °C |
25 | 50 |
Температура среды, °C |
0 | -10 | -20 | -30 | -40 | 0 | -10 | -20 | -30 | -40 |
2 | 400 | 450 | 0,288 | 0,361 | 0,49 | 0,535 | 0,62 | 0,17 | 0,218 | 0,24 | 0,304 | 0,344 |
5 | 5 | 5 | 5 | 5 | 5 | 5 | 5 | 5 | 5 |
350 | 266 | 250 | 241 | 226 | 210 | 190 | 180 | 175 | 170 |
4 | 400 | 450 | 0,5 | 0,635 | 0,765 | 0,86 | 0,939 | 0,304 | 0,42 | 0,448 | 0,52 | 0,605 |
5 | 5 | 5 | 5 | 5 | 5 | 5 | 5 | 5 | 5 |
280 | 230 | 215 | 210 | 195 | 184 | 161 | 152 | 142 | 138 |
6 | 400 | 450 | 0,7 | 0,925 | 1,12 | 1,32 | 1,52 | 0,555 | 0,645 | 0,765 | 0,85 | 0,95 |
5 | 5 | 5 | 5 | 5 | 5 | 5 | 5 | 5 | 5 |
265 | 215 | 205 | 200 | 190 | 176 | 156 | 147 | 138 | 135 |
10 | 400 | 450 | 0,895 | 1,4 | 1,8 | 2,2 | 2,58 | 0,689 | 0,9 | 1,14 | 1,35 | 1,54 |
5 | 5 | 5 | 5 | 5 | 5 | 5 | 5 | 5 | 5 |
250 | 200 | 196 | 190 | 180 | 167 | 154 | 143 | 134 | 130 |
Таблица 42
Шлакопортландцемент 400, конечная прочность 40% от R28
Модуль поверхности, м-1 | Марка бетона | Расход цемента, кг/м3 | Начальная температура бетона, °C |
25 | 50 |
Температура среды, °C |
0 | -10 | -20 | -30 | -40 | 0 | -10 | -20 | -30 | -40 |
2 | 300 | 390 | 0,0945 | 0,111 | 0,178 | 0,206 | 0,274 | 0,326 | 0,404 | 0,052 | 0,055 | 0,091 | 0,094 | 0,116 | 0,151 | 0,18 |
5 | 9 | 5 | 13 | 5 | 5 | 5 | 5 | 6 | 5 | 13 | 5 | 5 | 5 |
129 | 89 | 106 | 69 | 98 | 94 | 93 | 98 | 77 | 66 | 46 | 59 | 55 | 53 |
4 | 300 | 390 | 0,17 | 0,23 | 0,35 | 0,36 | 0,43 | 0,53 | 0,624 | 0,1 | 0,12 | 0,14 | - | 0,19 | 0,215 | 0,24 |
8 | 13 | 5 | 6 | 5 | 5 | 5 | 7 | 22 | 5 | - | 5 | 5 | 5 |
109 | 64 | 89 | 82 | 82 | 77 | 75 | 61 | 30 | 51 | - | 45 | 42 | 38 |
6 | 300 | 390 | 0,33 | - | 0,448 | - | 0,516 | 0,697 | 0,89 | 0,146 | 0,15 | 0,2 | 0,21 | 0,26 | 0,31 | 0,361 |
5 | - | 5 | - | 5 | 5 | 5 | 5 | 6 | 5 | 11 | 5 | 5 | 5 |
104 | - | 80 | - | 75 | 73 | 70 | 54 | 50 | 45 | 37 | 42 | 39 | 38 |
10 | 300 | 390 | - | - | - | - | - | - | - | 0,24 | 0,25 | 0,336 | 0,342 | 0,414 | 0,499 | 0,57 |
- | - | - | - | - | - | - | 5 | 6 | 5 | 6 | 5 | 5 | 5 |
- | - | - | - | - | - | - | 51 | 47 | 43 | 40 | 39 | 38 | 36 |
Таблица 42а
Шлакопортландцемент 400, конечная прочность 70% от R28
Модуль поверхности, м-1 | Марка бетона | Расход цемента, кг/м3 | Начальная температура бетона, °C |
25 | 50 |
Температура среды, °C |
0 | -10 | -20 | -30 | -40 | 0 | -10 | -20 | -30 | -40 |
2 | 300 | 390 | 0,24 | 0,25 | 0,35 | 0,38 | 0,472 | 0,618 | 0,722 | 0,13 | 0,138 | 0,18 | 0,196 | 0,23 | 0,284 | 0,315 |
5 | 7 | 5 | 7 | 5 | 5 | 5 | 15 | 9 | 5 | 14 | 5 | 5 | 5 |
269 | 235 | 228 | 200 | 211 | 204 | 198 | 186 | 135 | 140 | 97 | 123 | 116 | 106 |
4 | 300 | 390 | 0,463 | 0,49 | 0,67 | - | 0,86 | 1,0 | 1,19 | 0,238 | 0,25 | 0,31 | - | 0,37 | 0,377 | 0,46 |
5 | 10 | 5 | - | 5 | 5 | 5 | 5 | 16 | 5 | - | 5 | 5 | 5 |
230 | 171 | 192 | - | 184 | 174 | 164 | 133 | 77 | 100 | - | 95 | 89 | 83 |
6 | 300 | 390 | 0,68 | 0,73 | 0,99 | 0,995 | 1,3 | 1,55 | 1,8 | 0,43 | - | 0,442 | - | 0,52 | 0,63 | 0,68 |
5 | 11 | 5 | 8 | 5 | 5 | 5 | 5 | - | 5 | - | 5 | 5 | 5 |
210 | 156 | 186 | 165 | 177 | 168 | 166 | 130 | - | 94 | - | 88 | 81 | 79 |
10 | 300 | 390 | - | - | - | - | - | - | - | 0,55 | - | 0,64 | - | 0,84 | 0,96 | 1,12 |
- | - | - | - | - | - | - | 5 | - | 5 | - | 5 | 5 | 5 |
- | - | - | - | - | - | - | 115 | - | 87 | - | 82 | 77 | 73 |
Таблица 42б
Шлакопортландцемент 400, конечная прочность 100% от R28
Модуль поверхности, м-1 | Марка бетона | Расход цемента, кг/м3 | Начальная температура бетона, °C |
25 | 50 |
Температура среды, °C |
0 | -10 | -20 | -30 | -40 | -0 | -10 | -20 | -30 | -40 |
2 | 300 | 390 | 0,679 | 0,85 | 1 | 1,29 | 1,55 | 0,236 | 0,284 | 0,449 | 0,516 | 0,62 |
5 | 5 | 5 | 5 | 5 | 5 | 5 | 5 | 5 | 5 |
568 | 505 | 461 | 441 | 440 | 400 | 290 | 280 | 275 | 219 |
4 | 300 | 390 | 1,21 | 1,62 | 2,04 | 2,37 | 2,53 | 0,567 | 0,79 | 1,03 | 1,2 | 1,44 |
5 | 5 | 5 | 5 | 5 | 5 | 5 | 5 | 5 | 5 |
553 | 480 | 430 | 404 | 391 | 320 | 258 | 250 | 249 | 238 |
6 | 300 | 390 | 1,84 | 2,4 | 2,99 | 3,48 | 3,99 | 0,84 | 1,28 | 1,56 | 1,95 | 2,15 |
5 | 5 | 5 | 5 | 5 | 5 | 5 | 5 | 5 | 5 |
548 | 444 | 414 | 391 | 377 | 290 | 272 | 256 | 264 | 256 |
10 | 300 | 390 | - | - | - | - | - | 1,45 | 2,16 | 2,66 | 3,08 | 3,6 |
- | - | - | - | - | 5 | 5 | 5 | 5 | 5 |
- | - | - | - | - | 285 | 285 | 263 | 254 | 252 |
Таблица 43
Методы приведения изделий сложной формы к расчетной форме
Характерные параметры | Значения Mп и L для тел трех групп |
I группа (пластина) | II группа (цилиндр) | III группа (шар) |
Модуль поверхности Mп | | | |
Критерий формы L | | | |
Обозначения: V - объем изделия в плотном теле, м3; Fср - площадь сечения бетона изделий I группы в средней плоскости (нормальной к наименьшему размеру), м; Fбок - площадь боковой поверхности изделия I группы (средняя из двух), м; P - периметр поперечного сечения (нормального к наибольшему размеру), м; Fсеч - площадь исследуемого сечения изделия (нормальной к наименьшему размеру), м2; F - общая площадь поверхности изделия, м2.
Таблица 44
N п.п. | Конструкция | Материал по слоям |
Опалубки |
1 | | Доска |
2 | | Доска Толь Доска |
3 | | Доска Пенопласт Фанера |
4 | | Доска Толь Минвата Фанера |
5 | | Металл Минвата Фанера |
6 | | Фанера |
7 | | Доска Опилки Фанера |
8 | | Доска Шлак Доска |
Засыпки |
9 | | Толь Опилки Толь |
10 | | Толь Шлак Толь |
11 | | Толь Минвата Толь |
Рис. 28. Номограмма для определения термического
сопротивления теплоотдаче опалубки в зависимости
от расчетной скорости ветра и термических сопротивлений
слоев опалубки соответствующих толщин
и коэффициентов теплопроводности
4. За исходные данные при составлении таблиц основных параметров приняты:
а) массивность конструкции (модуль поверхности Mп);
б) марка бетона;
в) тип цемента;
г) расход цемента на 1 м3 бетона;
д) требуемая прочность бетона к моменту окончания его выдерживания (40, 70 или 100% от
R28, с.
пп. 1.1 и
1.2);
е) температура наружного воздуха;
ж) начальная температура уложенного бетона.
5. Решение задачи термосного выдерживания бетона заключается, как правило, в отыскании по известным начальным условиям (начальной температуре бетона) и требуемой к моменту распалубки прочности бетона необходимого термического сопротивления опалубки, температуры и времени окончания выдерживания бетона, выборе конструкции и определении толщины слоев опалубки.
В тех случаях когда конструкция опалубки задана, по таблицам основных параметров может быть подобрана необходимая начальная температура бетона, а также температура и время окончания его выдерживания для получения требуемой прочности.
6. Анализ таблиц основных параметров показывает, что в частности для бетонов на портландцементе 400 повышение начальной температуры бетона с 25 до 50 °C позволяет в 2 - 2,5 раза снизить термическое сопротивление опалубки с изоляцией и сократить на 20 - 35% время выдерживания бетона. Практически это означает, что в ряде случаев за счет применения предварительного электроразогрева бетонных смесей можно отказаться от тепловой изоляции опалубки и увеличить ее оборачиваемость или добиться сокращения продолжительности технологического цикла. Окончательное решение по этому вопросу может быть принято только после соответствующих экономических расчетов.
7. Таблицы основных параметров получены расчетным способом для тел классической формы (неограниченный цилиндр, неограниченная пластина, шар). Однако в представленном варианте таблиц геометрия конструкции в явном виде не фигурирует, а учитывается при подсчете модуля поверхности, что позволяет сократить их объем.
8. В случае несоответствия формы бетонируемой конструкции ни одному из перечисленных классических тел необходимо воспользоваться методами приведения тел произвольной формы к телам классической формы
(табл. 43). Для этого по сочетанию реальных размеров необходимо определить, к какой группе перечисленных в
табл. 43 тел относится данная конструкция.
К телам типа пластины относятся все изделия, у которых два измерения из трех "бесконечно велики" по отношению к третьему (в 5 - 6 раз превышают третье). К телам типа цилиндр относятся все изделия, у которых одно измерение "бесконечно большое", а два других конечны.
К телам типа шар относятся все изделия, у которых все три размера конечны и близки по величине.
Конструкции особо сложной формы следует рассматривать как состоящие из простейших элементов.
9. Приведение тел произвольной формы к телам классической формы заключается в расчете по реальным размерам тела произвольной формы модуля поверхности соответствующего классического тела, определении по полученному модулю поверхности (в сочетании с другими известными параметрами) по
табл. 40 -
42 полного термического сопротивления опалубки и перемножения его значения на коэффициент формы (коэффициент
L табл. 43). Для тел классической формы коэффициент
L = 1.
10. В случае если рассматриваемая конструкция по сочетанию своих размеров не может быть непосредственно отнесена ни к одной из перечисленных в
табл. 43 групп тел, необходимо подсчитать модуль ее поверхности по всем трем приведенным в
табл. 43 формулам и выбрать максимальное значение. При этом при производстве работ необходим более строгий термометрический контроль за выдерживанием бетона и соблюдением условий распалубки таких конструкций (см.
п. 1.15).
11. Выбор температуры окончания выдерживания бетона производится с соблюдением требований
п. 1.15. Максимальная возможная температура окончания выдерживания бетона равна алгебраической сумме температуры наружного воздуха и допустимого перепада температур между наружным воздухом и поверхностью бетона

(26)
За минимальную температуру окончания выдерживания бетона принимается температура 5 °C в контрольной точке (см.
пп. 1.14,
1.15).
12. Тепловая защита забетонированной конструкции должна обеспечивать набор бетоном требуемой прочности в контрольной точке к моменту окончания его выдерживания в опалубке.
Под тепловой защитой понимается совокупность всех слоев опалубки и изоляции, обладающих определенным термическим сопротивлением (термосопротивлением металлических частей опалубки в практических расчетах пренебрегают ввиду их малости).
13. Полное термосопротивление опалубки складывается из термосопротивления собственно опалубки, термосопротивления слоев тепловой изоляции и сопротивления теплоотдаче на границе опалубка - внешняя среда

(27)
где

- термосопротивление
i-го слоя изоляции

,
здесь

и

- соответственно толщина и коэффициент теплопроводности
i-го слоя изоляции.
В качестве слоя изоляции может рассматриваться замкнутая воздушная прослойка. Величина термосопротивления воздушной прослойки в среднем для толщин от 0,01 до 0,05 м составит от 0,12 до 0,165 (м2·°C)/Вт.
14. Для поверхностей бетонируемой конструкции, примыкающих к углам и ребрам на расстоянии до 1 м (для конструкций с наименьшим размером более 5 м - на расстоянии до 2 м), толщина тепловой изоляции удваивается по сравнению с ее расчетным значением, полученным для основной поверхности.
15. Толщина тепловой изоляции торцовых поверхностей для конструкций I и II группы
(табл. 43) с наименьшим размером 2 м и менее увеличивается в два раза по сравнению с расчетом.
16. Рекомендуемый порядок расчета термосного выдерживания бетона следующий:
а) по геометрии и реальным размерам конструкции определяется, к какой группе тел она относится;
б) по
табл. 43 подсчитывается модуль поверхности;
в) в зависимости от типа и марки цемента и требуемой конечной относительной прочности выбирается одна из
табл. 40 -
42;
г) по найденной таблице по заданным значениям перечисленных в ней параметров (модулю поверхности, расходу цемента, начальной температуре бетона, температуре наружного воздуха) определяются величина полного термосопротивления опалубки
Rт (м
2·°C)/Вт, температура окончания выдерживания бетона
tбк и время выдерживания

;
е) определяется расчетное значение полного термосопротивления
R' = RтL; (28)
ж) по номограмме
рис. 28 (нижняя кривая) в зависимости от расчетной скорости ветра определяется сопротивление теплоотдачи
Rн (м
2·°C)/Вт в окружающую среду;
з) определяется суммарное сопротивление собственно опалубки
Rоп и тепловой изоляции
Rиз:
Rоп + Rиз = R' - Rн. (29)
При применении металлической опалубки, сопротивлением которой пренебрегаем в силу его незначительности,
Rиз = R' - Rн; (30)
и) по
табл. 44 выбираются конструкция опалубки и тип засыпки для открытых поверхностей, наиболее подходящие для местных условий;
к) по
табл. 33 для материалов, выбранных в
подпункте "и", выбирается значение коэффициентов теплопроводности

, Вт/м·°C;
л) по номограмме
рис. 28 по известным коэффициентам теплопроводности подбираются толщины собственно опалубки и изоляции с таким расчетом, чтобы соответствующие им значения термосопротивлений в сумме дали величину
Rоп +
Rиз, найденную в
подпункте "з".
Аналогично подбирается толщина засыпки.
Примеры ориентировочных расчетов
1. Необходимо определить принципиальную возможность выдерживания бетона марки 300 на шлакопортландцементе марки 400 (расход цемента 400 кг/м3) при температуре наружного воздуха -30 °C, в конструкции колонны с металлической обечайкой диаметром 1 м, высотой 5 м. Температура уложенной бетонной смеси может быть обеспечена равной 25 °C.
Расчет. Конструкция соответствует II группе
табл. 43 (цилиндр):
Для получения 40, 70 и 100% от
R28 по
табл. 42,
42а и
42б соответственно имеем:
Для изоляции типа шлаковаты толщина слоев в м составит:
Из анализа полученных величин, видимо, следует, что термосный метод при заданных условиях может быть рекомендован для получения 40 и 70%-ной прочности от марки.
2. Какую прочность и в какие сроки можно получить при термосном выдерживании бетона марки 200 на портландцементе марки 400 при следующих условиях:
расход цемента - 230 кг/м3;
конструкция - колонна 0,354 x 0,354 x 3 м;
район строительства - Владивосток;
период строительства - ноябрь.
Расчет. Длина колонны превышает два других размера более чем в шесть раз, следовательно, ее можно отнести к группе цилиндров:
Расчетная температура наружного воздуха по
табл. 31 равна -10 °C.
Для портландцемента марки 400 по
табл. 40 и
40а при расходе цемента 226 кг/м
3 основные параметры будут иметь следующие значения:
для получения 40% от R28:
tб.к = 7 °C;

или
tб.к = 12 °C;

для получения 70% от R28:
tб.к = 5 °C;

Выдерживание при заданных условиях до получения 100% от R28 не рекомендуется.
Пересчет полученных значений термосопротивлений на условные толщины изоляции (например, шлаковаты) показывает реальную возможность осуществления этих режимов выдерживания:
Уточненный вариант расчета (условия соответствуют предыдущей задаче). Необходимо определить величину тепловой изоляции и время выдерживания бетона колонны сечением 0,354 x 0,354 м, длиной 3 м до приобретения 40%-ной прочности от R28 при ведении работ в районе Владивостока в ноябре.
Бетон марки 200 на портландцементе марки 400.
Расход цемента 230 кг/м3 бетона.
Температура бетонной смеси при укладке 25 °C.
1. Поскольку длина колонны превышает два других размера более чем в шесть раз, рассчитываем ее как бесконечный цилиндр (согласно
п. 8 настоящего приложения).
2. Расчетная температура воздуха по
табл. 31 составляет -10 °C, расчетная скорость ветра 9 м/с.
3. По
табл. 40 находим полное термическое сопротивление опалубки
Rт = 0,62 (м
2·°C)/Вт и время выдерживания бетона в конструкции (до момента распалубки) 49 ч.
5. Расчетное значение полного термического сопротивления (с учетом коэффициента формы) равно:
R' = RтL2 = 0,62·1,13 = 0,7 (м2·°C)/Вт.
6. По номограмме
рис. 28 для скорости ветра 9 м/с находим сопротивление теплоотдачи

.
7. Термическое сопротивление опалубки с изоляцией равно:
8. Выбираем по
табл. 44 конструкцию опалубки: доска - пенопласт - фанера.
9. По
табл. 33 находим коэффициенты теплопроводности соответствующих материалов

,

,

.
10. По номограмме
рис. 28 при найденных значениях коэффициентов теплопроводности подбираем соответствующие толщины слоев.
Если принять толщину доски

, фанеры

, а пенопласта

, имеем:
Rд + Rп + Rф = 0,145 + 0,514 + 0,0234 =
= 0,682 (м2·°C)/Вт,
что соответствует с некоторым запасом величине, полученной в
п. 7 настоящего расчета.
РАСЧЕТ ТЕМПЕРАТУРНОГО РЕЖИМА БЕТОННЫХ
И ЖЕЛЕЗОБЕТОННЫХ КОНСТРУКТИВНЫХ ЭЛЕМЕНТОВ
ПРИ БЕТОНИРОВАНИИ ИХ МЕТОДОМ ТЕРМОСА <1>
--------------------------------
<1> Основы метода были опубликованы в работе В.С. Лукьянова "Расчеты температурного режима бетонных и каменных конструкций при зимнем производстве работ". М., Трансжелдориздат, 1934 и в ряде технических условий на зимние работы. В настоящем изложении метод пересмотрен и дополнен автором.
В настоящем приложении рассматриваются расчеты температурного режима конструкций, которые могут выполняться с учетом внутренних источников тепла (например, экзотермии цемента) и теплоизоляционных свойств материала самой конструкции или без их учета.
Неучет экзотермии цемента и теплоизоляционных свойств самой конструкции весьма упрощает расчеты, но может привести к большому отклонению рассчитанного температурного режима от действительного, так как ведет к неучету фактической неравномерности распределения температур в объеме конструкции. Пренебрежение неравномерностью распределения температур допустимо лишь при условии, что она невелика.
В приложении рассматриваются расчеты конструктивных элементов преимущественно в виде плит (стен), прямоугольных призм, цилиндров.
Расчеты основаны на рассмотрении тепловых балансов элементарных объемов при их обмене теплом между собой и с внешней средой в массивных и немассивных конструкциях.
Немассивной
<2> конструкцией или элементарным объемом условно называется элемент конструкции, для которого допустимо считать, что в каждый момент времени температуры в отдельных точках его мало различаются между собой и могут быть приняты равными средней температуре элемента.
--------------------------------
<2> Понятия немассивная или массивная конструкция относятся здесь только к расчету температурного режима остывания бетона.
Массивной конструкцией условно называется конструкция, состоящая из многих элементарных объемов, температуры которых могут быть существенно различными.
Любая конструкция может рассматриваться или как немассивная, или как массивная. Чем меньше линейный размер ее, чем меньше общий коэффициент теплообмена
A, Вт/°C и чем больше коэффициент теплопроводности материала

, Вт/(м·°C), тем равномернее распределение температур в ней, тем больше оснований считать конструкцию немассивной. За знак немассивности для плиты толщиной
b' (при расчете на 1 м
2 плиты) предлагается принимать условие

, а для колонн (при расчете на 1 м колонны)

.
Окончательное решение об отнесении конструкции к немассивным или массивным следует принимать на основании рассмотрения приводимых ниже графиков для расчета температурного режима массивных конструкций (см.
рис. 34) и в соответствии с расчетом.
Вначале излагается метод упрощенного расчета температурного режима немассивных конструкций, во многих случаях вполне приемлемый для решения практических задач.
Затем дается более точный и полный метод расчета температурного режима немассивных и массивных конструкций по графикам, основанный на решении дифференциальных уравнений теплопроводности.
По возрастанию сложности расчеты располагаются в следующем порядке:
1) расчеты немассивных конструкций без экзотермии;
2) расчеты немассивных конструкций с экзотермией;
3) расчеты массивных конструкций без экзотермии;
4) расчеты массивных конструкций с экзотермией.
Расчеты предлагается применять при составлении проекта производства работ и при разработке теплотехнических мероприятий, учитывающих изменения условий в процессе строительства. В расчетах и примерах к ним будут использоваться следующие условные обозначения:
b' - линейный размер конструктивного элемента (например, толщина стены, диаметр цилиндра), м;
F - площадь, м2;
V - объем, м3;

- время, с;

- объемная масса, кг/м
3;
Ц - содержание цемента в бетоне, кг/м3;

- знак суммы;
C - полная теплоемкость элемента, Дж/°C;
Cv - удельная объемная теплоемкость, Дж/(м3·°C);
c - удельная массовая теплоемкость, Дж/(кг·°C);
tс - температура внешней среды, °C;
tб - температура бетона, °C;
tб.н - температура бетона в начальный момент, °C;
- температура бетона в момент

в точке
m, °C;

- коэффициент теплопроводности материала, Вт/(м·°C);

- удельное термическое сопротивление материала, (м·°C)/Вт;
- коэффициент теплообмена с внешней средой, Вт/(м
2·°C);

- термическое сопротивление теплообмену поверхности, (м
2·°C)/Вт;
Rn = rnen - термическое сопротивление n-го слоя материала толщиной en, (м2·°C)/Вт;
K - коэффициент общего теплообмена изоляции, Вт/(м2·°C);
| | ИС МЕГАНОРМ: примечание. Формула дана в соответствии с официальным текстом документа. | |

- общее термическое сопротивление тепловой изоляции, (м
2·°C)/Вт;

- коэффициент теплообмена всего элемента, Вт/°C;
QV - суммарное тепловыделение в 1 м3, Дж/м3;
q - интенсивность тепловыделения во всем элементе, Вт;
qV - интенсивность тепловыделения в 1 м3 бетона, Вт/м3;
e = 2,71828 - основание натуральных логарифмов;

- коэффициент, характеризующий изменение начальной разности температур бетона и внешней среды в точке
m к моменту

;
q28 - тепловыделение 1 кг цемента за 28 сут, Дж/кг;
qm - массовое тепловыделение, Дж/кг;

- удельное массовое тепловыделение, Вт/кг;
Q - суммарное тепловыделение во всем элементе, Дж.
МЕТОД УПРОЩЕННОГО РАСЧЕТА ТЕМПЕРАТУРНОГО РЕЖИМА НЕМАССИВНОЙ КОНСТРУКЦИИ С УЧЕТОМ ПЕРЕМЕННОЙ ЭКЗОТЕРМИИ, ЗАВИСЯЩЕЙ ОТ ТЕМПЕРАТУРЫ И ПЕРЕМЕННОЙ ТЕМПЕРАТУРЫ НАРУЖНОЙ СРЕДЫ
Требуется рассчитать изменения температуры немассивной конструкции во времени после укладки бетона в опалубку.
Дано:
1. Теплоемкость всей конструкции C, Дж/°C.
2. Всеобщий коэффициент теплообмена с внешней средой A, Вт/°C.
3. Начальная температура tб.н, °C.
4. График изменения температуры внешней среды во времени
(рис. 29) 
, °C.
Рис. 29. График изменения температуры
внешней среды во времени
5. График тепловыделения бетона в конструкции по нарастающим итогам при постоянной температуре 20 °C
(рис. 30), составленный на основании удельного изотермического тепловыделения цемента, приведенного на
рис. 31,
Q, кДж/кг.
Рис. 30. График тепловыделения бетона в конструкции
Рис. 31. Удельное тепловыделение цемента при твердении
в изотермических условиях (20 °C)
6. График коэффициента относительной скорости процесса тепловыделения при различных температурах
(рис. 32) 
.
Рис. 32. График коэффициентов относительной скорости
тепловыделения при различных температурах твердения бетона
Принцип метода заключается в том, что расчет изменения температуры элемента ведется поэтапно для интервалов времени

,

, ...,

. При этом величины этих интервалов назначаются такими, чтобы можно было без большой погрешности считать, что температура элемента в течение интервала изменяется по закону прямой.
Приняв заданную начальную температуру элемента
tб.н за исходную
tб1 для первого интервала

, последовательно вычисляются приращения температуры

и начальные температуры для следующих интервалов по формуле
где n - номер интервала.
На
рис. 33 приведены процессы изменения температуры бетонного элемента

и внешней среды

во времени

.
Рис. 33. Схема для расчета изменения температуры
бетонного элемента и внешней среды во времени
1 - температура бетонного элемента

;
2 - то же, внешней среды

Составляем тепловой баланс элемента за интервал времени

.
Поступило тепла за счет экзотермии

, Дж. Израсходовано на теплообмен с внешней средой
Остаток израсходован на нагрев элемента, следовательно:

(31)
отсюда

(32)
Так как

, то в общем виде можно написать:

(33)
Из
рис. 33 видно, что погрешность расчета характеризуется отношением заштрихованных площадей к площадям колонок, ограниченным сверху и снизу горизонтальными линиями расчетных средних температур

и

. Видно, что погрешность мала даже при значительных интервалах времени.
Величину экзотермии

можно последовательно определять по графику экзотермии
(рис. 30), приводя фактическое время

к эквивалентному при 20 °C умножением на коэффициенты

относительной скорости процесса тепловыделения при различных температурах
(рис. 32). Величину

можно уточнить, если повторным расчетом будет уточнена расчетная средняя температура элемента

.
Решая
уравнение (33) относительно

, получаем формулу для расчета времени, необходимого для изменения температуры от

до

:

(34)
Если по
формуле (34) определять время остывания бетона до температуры

в течение одного интервала, приняв, что бетон уложен при температуре

и что

, получим известную формулу Скрамтаева
<1>:

(35)
--------------------------------
<1> Ее обычно пишут в других обозначениях, считая объемную теплоемкость бетона постоянной и равной 600 ккал/(м
3·°C) и вводя модуль поверхности

:
Пользуясь
формулами (33) и
(34), можно решать все практические вопросы по регулированию температурного режима немассивной конструкции с целью получения требуемой прочности бетона в заданный срок в заданных условиях. Для этого для различных условий (начальной температуры, термоизоляции, температуры внешней среды и т.д.) рассчитываются температурные режимы конструкции и, пользуясь коэффициентами

относительной скорости твердения бетона при разных температурах, определяются эквивалентные сроки твердения при нормальной температуре 20 °C, а следовательно, и фактическое нарастание прочности бетона.
Во многих случаях для практических целей весь интересующий период изменения температуры бетона достаточно разбить на небольшое количество интервалов

, например на 2 - 4, что ускоряет расчеты.
Расчет температурного режима конструкций по графикам
Графики составлены по данным численных решений дифференциальных уравнений теплопроводности:
для немассивных конструкций

(36)
где

- время;
q - интенсивность тепловыделения во всем элементе, Вт;
для массивных конструкций

(37)
где

- время;
x, y, z - пространственные координаты точки конструкции;
qV - интенсивность тепловыделения в единице объема, Вт/м3.
Начальные условия - равенство температур во всех точках.
Граничные условия - постоянная температура внешней среды.
Теплоемкость тепловой изоляции не учитывается.
Все расчеты изменения во времени начальной разности температур бетонной конструкции и внешней среды немассивных и массивных конструкций (в различных точках) без экзотермии и с экзотермией ведутся по формуле

(38)
При этом
y определяется по графикам
(рис. 34).
Расчет температурного режима немассивных конструкций
а) Без экзотермии
Интегрирование дифференциального уравнения дает

(39)
или

(40)
где

- доля от начальной разности температур, оставшаяся в момент

.
Величина

находится по графику
рис. 34, а после подсчета величины

. Кривую по графику можно рассматривать как кривую изменения разности температур

с ординатами в масштабе

и абсциссами, выражающими время

в масштабе

.
Рис. 34,
а. Номограмма для определения температурного режима
немассивных бетонных конструкций
При переменной температуре внешней среды

расчет следует вести последовательно в интервалах времени

,

, ...,

, вводя в каждый интервал среднюю температуру внешней среды и начальную температуру элемента, полученную в конце предыдущего интервала, отсчитывая время от начала текущего интервала.
б) С экзотермией
Интенсивность выделения тепла в элементе q, Вт, учитывается только тем, что вместо фактической температуры внешней среды tс в расчет вводится условная температура:
В остальном расчеты ведутся так же, как в случае без экзотермии, по формуле

(41)
и определяя

по графику
рис. 34, а после подсчета величины
.
При переменной во времени величине
tу, зависящей от температуры внешней среды
tс и тепловыделения
q, расчеты ведут последовательно в интервалах времени

с постоянными (средними) величинами

, принимая в каждом интервале

свою величину

и начальную температуру элемента
tб.н, определенную расчетом для конца предыдущего интервала

, отсчитывая время от начала текущего интервала.
Интенсивность тепловыделения q, Вт, в каждом интервале времени определяется по формуле

(42)
При помощи графиков
рис. 34 решаются все практические задачи по расчету и проектированию температурного режима немассивных конструкций: назначение начальных температур, назначение тепловой изоляции, выбор цемента с желательной экзотермией, расчет длительности процесса изменения температуры до заданной температуры.
Расчет температурного режима массивных конструкций
а) Без экзотермии
Для расчета одномерных тепловых процессов в массивных конструкциях в плите по толщине и в цилиндре по радиусу на графиках
рис. 34 б,
в,
г,
д,
е,
ж приводятся коэффициенты

,

и

для определения температуры соответственно у поверхности, в
1/
4 толщины плиты или диаметра и в середине плиты или в центре цилиндра. Коэффициент теплоотдачи определяется для плиты с двух сторон, а для цилиндра - по всему периметру. Массивность конструкции учитывается параметром

для плиты, где
b' - толщина плиты, и параметром

для цилиндра.
Рис. 34,
б. Номограмма для определения температурного режима
поверхности массивной бетонной конструкции типа плиты
Рис. 34,
в. Номограмма для определения температурного режима
на глубине 1/4 толщины от поверхности массивной конструкции
типа плиты
Рис. 34,
г. Номограмма для определения температурного режима
в середине массивной конструкции типа плиты
Рис. 34,
д. Номограмма для определения температурного режима
поверхности массивной конструкции типа цилиндр
Рис. 34,
е. Номограмма для определения температурного режима
на глубине 1/4 диаметра от поверхности массивной конструкции
типа цилиндр
Рис. 34,
ж. Номограмма для определения температурного режима
в середине массивной конструкции типа цилиндр
Расчет ведется на единицу конструкции - 1 м
2 плиты или 1 м цилиндра. По параметру

по графику 34,
а определяется коэффициент

, а по его величине и по параметру

или

по графикам
рис. 34, а,
б,
в,
г для плит и по графикам
рис. 34, д,
е,
ж для цилиндров определяются соответствующие коэффициенты

для поверхности, четверти и середины сечения. Расчет ведется по
формуле (40).
Пример применения графиков при расчете плит с

и

показан на
рис. 34, а,
б,
в,
г и при расчете цилиндров при

и

на
рис. 34, а,
д,
е,
ж.
Анализ дифференциальных уравнений теплопроводности показывает, что в случае расчета двухмерных или трехмерных тепловых процессов в колоннах или призмах можно пользоваться коэффициентами

,

и

, полученными по графикам для расчета одномерных процессов. Для этого следует определить коэффициенты

для данной точки
m для одномерных процессов по соответствующим координатам (назовем их 1, 2 и 3) и полученные коэффициенты перемножить:
Например, для случая, изображенного на
рис. 35,
где

,

- коэффициенты для
1/
4 толщины плиты толщиной соответственно

и

;

- коэффициенты для середины плиты толщиной

.
Следует отметить, что теплоизоляция несимметричных граней призмы может быть принята различной.
| | ИС МЕГАНОРМ: примечание. Нумерация примеров дана в соответствии с официальным текстом документа. | |
Пример 2. Требуется определить температуру поверхности цилиндра на
1/
4 его высоты. Находим

по графику
рис. 34, д для цилиндра и

по графику
рис. 34 в, для плиты толщиной, равной высоте цилиндра. Полученные коэффициенты перемножаем.
б) С экзотермией
Учет экзотермии в расчетах массивных конструкций сложнее.
Для получения простого и верного решения при переменной экзотермии приходится вести расчет не только по интервалам времени

, но и предполагать, что в каждый момент интервала времени тепло выделяется в каждой точке
m конструкции с интенсивностью, пропорциональной величине

в этой точке. Такое предположение приближает к действительности, особенно в начальный период, когда тепловыделение велико. При этом необходимо соблюдать условие, чтобы за весь интервал времени

было учтено во всем элементе выделение определенного количества тепла.
Наиболее характерным, средним, является выделение тепла в 1/4 толщины конструкции. Поэтому рекомендуется за исходную в расчетах принимать интенсивность выделения тепла в 1/4 толщины конструкции qV1/4, Вт/м3.
Учет экзотермии в массивных конструкциях сводится к расчету по графикам и по формулам, применяемым в расчетах без учета экзотермии, но в этих формулах постоянную начальную разность температур (tб.н - tс) следует заменять условной, переменной во времени разностью (tб.н - tс), зависящей от экзотермии. Только в этом и заключается учет экзотермии.
Формула (40) для определения температуры в точке
m в момент

примет вид

(43)
Условная начальная разность температур непрерывно возрастает во времени, начиная с величины (
tб -
tс) с различной интенсивностью в разных интервалах времени

в зависимости от принимаемой интенсивности экзотермии.
В каждом интервале времени

условная начальная разность температур в момент

равна условной начальной разности температур, полученной в конце предыдущего интервала времени, умноженной на переменную величину
en:
здесь

- интенсивность экзотермии в начальный момент интервала

в
1/
4 толщины конструкции;

- время, отсчитываемое от начала рассматриваемого интервала времени (в отличие от времени

при определении величины
y, отсчитываемого от начала укладки бетона);
C - объемная теплоемкость, Дж/(м3·°C);
(tб - tс) - условная начальная разность температур в начальный момент интервала времени (полученная в конце предыдущего интервала).
Рис. 34,
з. Номограмма для определения температурного режима
бетонных конструкций (график для определения величин n и en)
Расчетную величину интенсивности экзотермии

можно уточнять при повторных расчетах температурного режима конструкции с использованием графика экзотермии при постоянной температуре и графика относительной скорости процесса. Нужно помнить, что при назначении

в
1/
4 толщины и в начальный момент интервала времени

в других точках и в продолжение всего интервала интенсивность принимается автоматически изменяющейся пропорционально отношению разности температур:
где

- температура в
1/
4 толщины конструкции в начальный момент интервала времени

.
Поэтому назначенную среднюю величину
qV следует исправлять умножением на коэффициент

т.е. нужно принимать

(44)
где

и

- температуры в
1/
4 толщины соответственно в начале и в конце времени
n.
Рис. 35. Схема распределения точек в конструкции
для определения температуры по номограммам
| | ИС МЕГАНОРМ: примечание. Нумерация примеров дана в соответствии с официальным текстом документа. | |
Пример 1. Анализ возможных температурных режимов различных точек колонны, бетонируемой методом термоса (при различных методах расчета)
1. Колонна сечением 0,4 x 0,8 м
(рис. 36) бетонируется в металлической опалубке при температуре наружного воздуха
tс = -20 °C. Начальная температура уложенного бетона
tб.н = 30 °C. Удельная массовая теплоемкость бетона
c = 837 Дж/(кг·°C), объемная масса

, коэффициент теплопроводности

. Расход цемента
Ц = 320 кг/м
3.
Рис. 36. Расположение точек в колонне для определения
температуры по номограммам
Требуется определить (ориентировочно) тепловую изоляцию граней, при которой колонна в части, удаленной от торцов, через 24 ч (86,4·10
3 с) остынет до температуры

, что по условию обеспечит требуемую прочность бетона через 1 сут.
Применяем упрощенный метод расчета.
Для 1 м колонны поверхность F = 2·0,4·1 + 2·0,8·1 = 2,4 м2, объем V = 0,4·0,8·1 = 0,32 м3; теплоемкость C = 0,32·2500·837 = 670·103 Дж/°C.
Приращение температуры бетона за 24 ч составит:
Экзотермию цемента за 24 ч определим исходя из средней температуры бетона:
По графику экзотермии
(рис. 31), пользуясь графиком коэффициентов
(рис. 32), определим полное тепловыделение 1 кг цемента за 24 ч. При
tб.ср = 25 °C

.
Тогда длительность 24-часового интервала, приведенная для учета экзотермии при 20 °C,

и экзотермия цемента
qm = 134·10
3 Дж/кг. Полная экзотермия в бетоне на 1 м колонны равна:
Требуемое термическое сопротивление теплоизоляции
Проверим по графикам
рис. 34, а,
б,
в,
г, какая будет температура бетона при
A = 5,26 Вт/°C и при всех других принятых условиях.
Интенсивность экзотермии
Условная температура наружного воздуха
2. Проверим, можем ли мы считать колонну немассивной:
Значит колонна массивная. Перепады температур в ее сечении могут быть значительными. Для их снижения и отсюда для превращения колонны в немассивную примем более мощную теплоизоляцию, состоящую из шлаковаты толщиной

;

.
Термическое сопротивление теплоизоляции на 1 м2
где

- коэффициент теплоотдачи наружной поверхности, равный 23,2 Вт/м
2.
Рассчитаем температурный режим колонны как немассивной с экзотермией через

(1 сут) и

(3 сут) уже не упрощенным методом, а по графикам.
Для первого интервала времени 
принимаем
tб.ср =
tб.н = 30 °C.
Тогда
при
tб.ср = 30 °C;

;

;
qm = 151·10
3 Дж/кг;

При
r находим по графику
рис. 34, а y = 0,66 и
Уточним величину экзотермии повторным расчетом, принимая во внимание

и

.
Тогда
qm = 153·10
3 Дж/кг;

Дальнейшее уточнение нецелесообразно.
Для следующих 48 ч принимаем в начале интервала температуру, рассчитанную в конце первого интервала времени 32,5 °C, и задаемся температурой в конце 5 °C, тогда
За 72 ч 
;
qm = 230·10
3 Дж/кг.
Приращение экзотермии цемента за 48 ч

;
При
Уточним величину экзотермии повторным расчетом, принимая во внимание
За 72 ч 
;
qm = 234,7·10
3 Дж/кг.
Приращение экзотермии за 48 ч

;
Дальнейшее уточнение нецелесообразно.
3. Требуется определить температуру бетона через 24 и 48 ч после укладки в точках
0,
1,
2,
3,
4,
5 и
6 колонны
(рис. 36), имеющей ранее определенную мощную теплоизоляцию:
Расчет температурного режима ведем для случая, когда колонна массивная с экзотермией.
За среднюю по сечению в расчетах принимаем экзотермию в точке 5, расположенной в 1/4 толщины колонны.
а) Расчет для первого интервала времени 
Температура бетона в начале интервала tб.н = 30 °C и в конце 22 °C (ориентировочно)
тогда
tб.ср = 26 °C;

qm = 134·10
3 Дж/кг;

Расчет ведем на 1 м3 бетона, а не 1 м, как ранее.
Для 1 м3 бетона qV = 1,55·320 = 495 Вт/м3; C = 837·2500 = 2,09·106 Дж/м3;
Условная начальная разность температур в конце первого интервала равна:
(tб - tс) = (30 + 20)e0,444 = 50·1,56 = 78 °C.
Для 1 м2 плиты толщиной 0,4 м, учитывая обе ее стороны:
C1 = 1·1·0,4·2,09·106 = 0,837·106 Дж/°C.
При
Для 1 м2 плиты толщиной 0,8 м
C2 = 1·1·0,8·2,09·106 = 1,674·106 Дж/°C.
При
Для колонны в точках
0,
1,
2,
3,
4,
5 и
6 
равны:
Температуры в точках 0, 1, 2, 3, 4, 5, 6 равны, °C:
Уточним расчеты, принимая за среднюю по сечению температуру в конце интервала

:
qm = 142·10
3 Дж/кг;

qV = 1,65·320 = 528 Вт/м3;
Температуры в точках 0, 1, 2, 3, 4, 5, 6 равны, °C:
Дальнейшее уточнение нецелесообразно.
б) Расчет для второго интервала времени 
Температуру бетона в начале интервала принимаем равной:

и в конце 8 °C (ориентировочно)
Для
tб.ср = 16,7 °C

;

.
За 48 ч

;
qm = 197·10
3 Дж/кг.
Приращение экзотермии за 24 ч

;
Для 1 м3 бетона:
qV = 0,636·320 = 204 Вт/м3;
Для плиты 1 м2 толщиной 0,4 м
при
При

и

Для 1 м2 плиты толщиной 0,8 м
при
При

и

Для колонны в точках
0,
1,
2,
3,
4,
5 и
6 величины

равны:
Температуры в °C в точках 0, 1, 2, 3, 4, 5 и 6 равны:
Дальнейшее уточнение нецелесообразно, так как

мало отличается от заданной (ориентировочно) температуры 8 °C.
4. Представляет интерес выяснить, что дал учет экзотермии. Поэтому выполняем расчеты температурного режима той же колонны с теплоизоляцией с термическим сопротивлением 0,456 (м2·°C/Вт, но без экзотермии:
а) как немассивной. Расчет ведем на 1 м колонны.
Для первых 24 ч при
tб.н -
tс = 30 + 20 = 50 °C;

(с учетом экзотермии 17,6 °C).
Для последующих 24 ч (48 ч от начала остывания) при
б) как массивной. Расчет ведем на 1 м3.
Значения ординат в точках
0,
1,
2,
3,
4,
5 и
6 будут теми же, что и в
п. 3, тогда температура в °C для первых 24 ч в точках
0,
1,
2,
3,
4,
5,
6 без учета экзотермии и с учетом экзотермии будет соответственно равна:
Для последующих 24 ч:
Таким образом, температуры в точках 0, 1, 2, 3, 4, 5 и 6 через 24 и 48 ч значительно ниже, чем с учетом экзотермии.
Пример 2. Анализ возможных температурных режимов различных точек цилиндрической колонны диаметром 50 см
Требуется рассчитать температуру бетона через 1 и 3 сут после укладки бетона круглой колонны диаметром 50 см для тех же условий (см.
пример 1):
tс = -20 °C;
tб.н = +30 °C;
Rобщ = 0,456 (м
2·°C)/Вт;
Ц = 320 кг/м
3;
C = 837 Дж/(кг·°C);

.
1. Расчет средней температуры
Общий коэффициент теплообмена 1 м круглой колонны
Коэффициент теплопроводности бетона
Характеристика массивности
Перепады температуры в сечении не могут быть большими, поэтому рассчитываем колонну как массивную с учетом экзотермии. Посчитаем объем
V, полную теплоемкость
C 1 м колонны и параметр

:
Величину экзотермии определяем последовательно, уточняя среднюю температуру бетона
tб.ср в интервалах времени

.
а) Продолжительность первого интервала принимаем
.
Приводим фактическое время

к эквивалентному

при 20 °C умножением на коэффициент

относительной скорости процесса тепловыделения (см.
рис. 32).
При
t = 30 °C

;

.
По графику экзотермии (см.
рис. 31) определяем полное тепловыделение 1 кг цемента за интервал времени

:
qm = 150·103 Дж/кг.
Полная экзотермия в 1 м колонны равна:
а ее интенсивность
Условная температура равна:
Температура бетона в конце первого интервала времени равна:
Уточним величину экзотермии повторным расчетом, принимая среднюю температуру бетона за первый интервал времени:
qm = 136·103 Дж/кг;
Q = 136·103·0,19625·320 = 8,54·106 Дж;
Дальнейшее уточнение нецелесообразно.
б) Продолжительность второго интервала времени принимаем
.
Считаем возможным интенсивность тепловыделения определять сразу за весь интервал времени 48 ч (

;

).
За начальную температуру принимаем рассчитанную в конце первого варианта

, а конечную (предположительно)

, тогда:
Приведенная для учета экзотермии длительность второго интервала времени
Суммарная приведенная продолжительность обоих интервалов равна:
Суммарное тепловыделение по графику
рис. 31:
qm = 199·103 Дж/кг.
Приращение тепловыделения за 48 ч:
Изменение температуры бетона в течение второго интервала времени

оказалось слишком большим, поэтому следует считать принятую продолжительность его грубой для учета экзотермии.
Принимая продолжительность второго интервала времени

, задаемся температурой бетона в конце его

, тогда:
qm = 165·10
3 Дж/кг;
При

.
Уточнение нецелесообразно, так как получили температуру, близкую к заданной.
в) Продолжительность третьего интервала времени принимаем
.
За начальную температуру бетона принимаем полученное значение

, а конечной задаемся

, тогда:
qm = 178·10
3 Дж/кг;
Уточнения не требуется. Таким образом, в конце вторых суток температура бетона будет около 3 °C.
г) Продолжительность четвертого интервала принимаем
.
Ход остывания колонны в течение первых двух суток свидетельствует о том, что в течение третьих суток средняя температура бетона будет ниже 0 °C. Следовательно, тепловыделением цемента можно пренебречь. Дальнейший расчет в интервале

ведем без учета экзотермии.
За начальную температуру третьих суток принимаем температуру в конце вторых суток
tб.н = 3 °C, а условную наружную температуру
tс = -20 °C. Продолжительность четвертого интервала

, параметр

и

.
Искомая температура в конце третьих суток равна:
Если тепловыделение не учитывать с самого начала, то получим более низкую температуру колонны в конце третьих суток:
2. Расчет распределения температуры по радиусу
Определим теперь, насколько отличаются друг от друга температуры в отдельных точках сечения круглой колонны, т.е. рассчитаем ее как массивную с экзотермией. Значения температуры будем находить в центре, в 1/4 диаметра и на поверхности колонны через 24 и 72 ч.
а) Расчет для первого интервала времени 
За среднюю по сечению принимаем интенсивность выделения тепла на 1 м
3 бетона в
1/
4 диаметра колонны

.
В начале интервала

. По графику
рис. 32 
.
Приведенная продолжительность интервала

. По графику
рис. 31 получим:
qm = 150·103 Дж/кг;
qV = 1,74·320 = 555 Вт/м3.
Принимая ориентировочно температуру в 1/4 диаметра колонны в конце первого интервала времени равной 19 °C, получим исправленное значение экзотермии
Объемная теплоемкость бетона
Условная начальная разность температур в конце первого интервала равна:
(tб - tс)24 = 50e0,526 = 50·1,71 = 85,5 °C.
По
графику 34, а для параметра

находим

и далее по графикам
рис. 34, д,
е,
ж для параметра

находим
yпов = 0,465;
y1/4 = 0,5;
yсер = 0,52.
Температуры в точках в °C равны:
Уточним расчеты, принимая
qm = 136·103 Дж/кг;
qV = 1,57·320 = 502,4 Вт/м3;
(tб - tс)24 = 50e0,446 = 50·1,56 = 78 °C.
Искомые температуры в °C равны:
Дальнейшее уточнение нецелесообразно.
Таким образом, в конце первых суток температуры в отдельных точках близки к результату, полученному в расчете колонны как немассивной конструкции, а общий перепад температуры по сечению равен 4,4 °C.
б) Расчет для второго интервала времени 
Принимая во внимание опыт расчета круглой колонны как немассивной конструкции, продолжительность второго интервала времени берем равной не 48, а 12 ч.
В начале второго интервала

, а в конце ориентировочно

.
По графику
рис. 31 qm = 165·10
3 Дж/кг. Приращение экзотермии:
qV = 0,67·320 = 214 Вт/м3;
Условная начальная разность температур в конце второго интервала времени равна:
(tб - tс)36 = 78e0,065 = 78·1,07 = 83,5 °C.
Для второго интервала времени

. По графикам
рис. 34, а находим

и далее по графикам
рис. 34, д,
е,
ж для параметра

находим
yпов = 0,335; y1/4 = 0,35; yсер = 0,365.
Температуры в °C в сечении колонны равны:
Уточним расчеты, принимая:
Для температуры 14,1 °C:
qm = 163·10
3 Дж/кг;
qV = 0,63·320 = 201,6 Вт/м3;
(tб - tс)36 = 78e0,061 = 78·1,065 = 83 °C;
Дальнейшее уточнение нецелесообразно.
в) Расчет для третьего интервала времени 
Температура бетона в
1/
4 диаметра в начале интервала времени

, в конце (ориентировочно)
при которой:
qm = 176·10
3 Дж/кг;
qV = 0,3·320 = 96 Вт/м3;
(tб - tс)48 = 83e0,027 = 83·1,03 = 85,5 °C.
Для третьего интервала времени:
yпов = 0,235; y1/4 = 0,25; yсер = 0,26.
Температуры в сечении в °C равны:
Уточнение нецелесообразно, так как поправка будет невелика.
г) Расчет для четвертого интервала времени 
Тепловыделением цемента в этом интервале можно пренебречь, так как уже в предыдущем оно было небольшим. Условную начальную разность температур берем в конце предыдущего интервала:
(tб - tс) = 85,5°;
yпов = 0,12; y1/4 = 0,13; yсер = 0,135.
Искомые температуры в °C равны:
Полученный результат близок к результату расчета колонны как немассивной конструкции. Перепад температуры по сечению колонны в конце третьих суток равен 1,2 °C.
Сопоставим температуры в тех же точках диаметра колонны в конце первых и третьих суток с учетом экзотермии и без нее.
Для первых суток

:
при
tб.н = 30 °C;
yпов = 0,465;
y1/4 = 0,5;
yсер = 0,52.
Без учета экзотермии и с учетом экзотермии температуры будут соответственно равны:
Для третьих суток

:
tб.н = 30 °C;
yпов = 0,12;
y1/4 = 0,13;
yсер = 0,135.
Без учета экзотермии и с учетом экзотермии температуры будут соответственно равны:
Учет экзотермии был необходим.
РАСЧЕТ ПРОДОЛЖИТЕЛЬНОСТИ ОСТЫВАНИЯ БЕТОНА В КОНСТРУКЦИИ
Продолжительность остывания бетона, уложенного в опалубку и подвергающегося термосному выдерживанию, может быть рассчитана по формуле Б.Г. Скрамтаева, уточненной С.А. Мироновым с целью учета потерь тепла бетоном на нагрев опалубки и арматуры. Настоящим расчетом вместо применявшихся ранее коэффициентов продуваемости опалубки учитывается скорость ветра, а также приводится методика расчета температуры на наружной поверхности опалубки для определения потерь тепла излучением

(45)
где

- продолжительность остывания бетона, ч;
C - удельная теплоемкость бетона, кДж/кг·°C;

- объемная масса бетона, кг/м
3;
tб.н - начальная температура бетонной смеси перед укладкой в конструкцию, °C;
tб.к - конечная температура бетона, до которой осуществляется расчет продолжительности остывания, °C;
q - тепловыделение 1 кг цемента за время остывания бетона
(табл. 45), кДж;
Ц - расход цемента на 1 м3 бетона, кг;
K - коэффициент теплопередачи опалубки, Вт/м2·°C;
Mп - модуль поверхности остываемой конструкции, м-1;
tб.ср - среднее значение температуры бетона за время остывания, °C;
tв - температура наружного воздуха, °C.
Таблица 45
Тепловыделение цементов q различных видов и марок
в зависимости от температуры твердения и времени твердения
Вид и марка цемента | Температура, °C | Тепловыделения цементов в кДж/кг при времени их твердения, сут |
0,25 | 0,5 | 1 | 2 | 3 | 7 | 14 | 28 |
Портландцемент 300 | 5 | - | - | 25,2 | 58,6 | 83,8 | 167,6 | 209,5 | 230,5 |
10 | 8,4 | 25,2 | 41,9 | 83,8 | 125,7 | 188,6 | 230,6 | 272,4 |
20 | 25,2 | 41,9 | 75,4 | 125,7 | 167,6 | 230,5 | 251,4 | 293,3 |
40 | 50,3 | 83,8 | 146,7 | 188,6 | 230,5 | 251,4 | 293,3 | - |
60 | 83,8 | 146,7 | 188,6 | 230,5 | 272,4 | 298,3 | - | - |
Портландцемент 400 | 5 | - | - | 29,3 | 62,9 | 108,9 | 188,4 | 209,5 | 251,4 |
10 | 12,6 | 25,2 | 50,3 | 104,8 | 146,7 | 209,5 | 251,4 | 293,3 |
20 | 41,9 | 66,9 | 104,8 | 167,6 | 209,5 | 272,4 | 314,3 | 335,2 |
40 | 83,7 | 133,9 | 188,6 | 230,5 | 272,4 | 314,3 | 335,2 | - |
60 | 129,8 | 188,4 | 230,5 | 272,4 | 314,3 | 335,2 | - | - |
Портландцемент 500 | 5 | 12,6 | 25,2 | 41,9 | 88,8 | 125,7 | 188,6 | 230,5 | 272,4 |
10 | 25,2 | 41,9 | 62,9 | 104,8 | 167,6 | 251,4 | 393,3 | 314,3 |
20 | 41,9 | 83,8 | 125,7 | 188,6 | 251,4 | 293,3 | 335,2 | 377,1 |
40 | 104,8 | 167,6 | 209,5 | 272,4 | 293,3 | 356,2 | 377,1 | - |
60 | 188,6 | 230,5 | 272,4 | 314,3 | 356,2 | 377,1 | - | - |
Портландцемент быстротвердеющий 600 | 5 | 25,2 | 33,5 | 50,3 | 104,8 | 146,7 | 209,5 | 251,4 | 314,3 |
10 | 33,5 | 50,3 | 75,4 | 125,7 | 167,6 | 372,4 | 335,2 | 377,1 |
20 | 62,9 | 104,8 | 146,7 | 209,5 | 293,3 | 335,2 | 377,1 | 419 |
40 | 117,3 | 188,6 | 230,5 | 293,3 | 335,2 | 377,1 | 419 | - |
60 | 209,5 | 251,4 | 293,3 | 335,2 | 377,1 | 419 | - | - |
Шлакопортландцемент и пуццолановый портландцемент 300 | 5 | - | 12,6 | 25,2 | 41,9 | 62,9 | 125,7 | 167,6 | 188,6 |
10 | - | 25,2 | 33,5 | 62,9 | 104,8 | 167,6 | 209,5 | 230,5 |
20 | - | 33,5 | 62,9 | 125,7 | 146,7 | 209,5 | 251,4 | 272,4 |
40 | 41,9 | 75,4 | 117,3 | 167,6 | 209,5 | 251,4 | 272,4 | - |
60 | 62,9 | 104,8 | 146,7 | 209,5 | 230,5 | 272,4 | - | - |
Данная формула позволяет определить продолжительность остывания забетонированной конструкции и величину получаемой бетоном прочности к моменту достижения на поверхности бетона температуры tб.к, если известны: размеры конструкции, расход стали на 1 м3 бетона, вид и марка бетона, вид и активность цемента и его расход на 1 м3 бетона, температура наружного воздуха, скорость ветра, начальная температура бетона и конструкция опалубки.
Расчет состоит в следующем: определяются объем бетона, поверхность охлаждения и модуль поверхности конструкции, количество тепла, расходуемого на нагрев арматуры и опалубки. Уточняется начальная температура бетона с учетом потерь тепла, идущего на нагрев арматуры и опалубки. По уточненной начальной температуре бетона и известным эмпирическим формулам определяется средняя температура твердения бетона в процессе его остывания. По формуле определяется продолжительность остывания конструкции без учета экзотермии при известных значениях величин, входящих в формулу. По полученным значениям времени остывания конструкции и средней температуре твердения бетона определяют тепло, выделяемое 1 кг цемента при гидратации (см.
табл. 45); зная расход цемента на 1 м
3 определяют общее количество тепла, выделяемого цементом за время остывания. По этой же формуле при полученных значениях уточняют продолжительность остывания бетона, зная среднюю температуру твердения и продолжительность остывания бетона с учетом экзотермии цемента; по графикам набора прочности бетона определяют прочность, которую приобретет бетон за это время в % от марочной. Если в данном случае бетон не приобретает требуемой прочности, то назначают тип опалубки с другим коэффициентом теплопередачи. Кроме того, по этой формуле можно подобрать конструкцию опалубки при заданной по проекту продолжительности остывания бетона и прочности бетона к моменту остывания поверхности конструкции до
tб.к, если известны размеры конструкции, расход стали на 1 м
3 бетона, вид и марка бетона, вид и активность цемента и его расход на 1 м
3 бетона, температура наружного воздуха и скорость ветра, начальная температура бетона. Этот случай является наиболее распространенным в практических решениях задач, поэтому методика его расчета приводится полностью.
Последовательность расчета состоит в следующем. Определяют:
объем бетона в конструкции
поверхность (полную) охлаждения конструкции
F = 2(
hB1 +
B1L +
hL), (47)
где h, B1 и L - соответственно толщина, высота и длина бетонируемой конструкции, м;
модуль поверхности конструкции
начальную температуру бетона с учетом нагрева арматуры

(48)
где C1 - удельная теплоемкость арматуры, кДж/кг·°C;
P1 - расход арматуры, кг/м3.
По графику нарастания прочности бетона при разных температурах (см.
рис. 2 -
7) находят среднюю температуру его твердения
tб.ср, при которой можно получить требуемую величину прочности за заданное время

.
Для соблюдения этого условия определяют (ориентировочно) коэффициент теплопередачи опалубки
<1> по формуле

(49)
--------------------------------
<1> Область применения этой формулы ограничивается условием
По
табл. 32 назначают конструкцию опалубки.
Определяют удельный тепловой поток через опалубку по формуле

(50)
По графику
рис. 16 определяют коэффициент теплоотдачи опалубки конвекцией

.
Задаваясь температурой на наружной поверхности опалубки

, близкой к температуре наружного воздуха, определяют коэффициент теплоотдачи излучением в Вт/(м·°C) по формуле

(51)
где

- коэффициент излучения материала опалубки, Вт/м
2·°C, принимаемый по данным соответствующих справочников или по
табл. 46.
Таблица 46
Значения коэффициентов излучения материалов, наиболее часто
применяемых в строительстве
Материал | Поверхность | Коэффициент излучения,  , Вт/(м 2·°C) |
Бетон | Шероховатая | 3,61 |
Бумага строительная | Матовая | 5,37 |
Дерево (ель) | Строганая | 4,44 |
То же (дуб) | " | 5,12 |
Алюминий | Неполированная | 0,26 |
" | Окисленная | 0,64 |
Сталь листовая | Черная матовая | 3,95 |
Опилки древесные | - | 4,11 |
Песок | - | 4,21 |
Снег (иней) | - | 5,69 |
Толь кровельный | Шероховатая | 5,26 |
Для выбранного типа опалубки уточняют температуру на ее наружной поверхности по формуле

(52)
Полученное значение

должно удовлетворять условию

(53)
Если расхождение между заданной и расчетной температурами на наружной поверхности опалубки будет превышать более +/- 5%, то расчет следует повторить по
формулам (51) и
(53) при других задаваемых значениях температур на наружной поверхности опалубки.
Определяют температуру (среднюю) нагрева опалубки в начальный момент остывания конструкции

(54)
Определяют тепло, расходуемое на нагрев опалубки:

(55)
где
ci,
Fi,

и

- соответственно удельная теплоемкость, площадь, толщина и объемная масса материала опалубки.
Уточняют температуру бетона к началу остывания конструкции с учетом потерь тепла, расходуемых на нагрев арматуры и опалубки:

(56)
Значение коэффициента теплопередачи опалубки уточняют по формуле

(57)
Если проведенный расчет показывает, что принятый вид опалубки не соответствует необходимым требованиям по коэффициенту теплопередачи (см.
табл. 32), то толщину теплоизоляции к принятому типу опалубки уточняют расчетом.
Учитывая, что с повышением температуры теплопроводность материалов меняется, то, согласно эмпирической формуле О.Е. Власова, теплопроводность материалов

, составляющих конструкцию опалубки, нагретых до
tоп, определяют по формуле

(58)
где

- коэффициент теплопроводности материалов опалубки при 0 °C, принимаемый по справочным данным или определяемый опытным путем, Вт/м·°C.
Толщину теплоизоляционного слоя (утеплителя) опалубки определяют по формуле

(59)
где

и

- коэффициент теплопроводности соответственно теплоизоляции и составляющих материалов опалубки при

, Вт/м·°C.
Уточняют удельный тепловой поток через опалубку

(60)
Температуру наружной поверхности опалубки окончательно определяют по формуле

(61)
Уточняют процент ошибки задаваемой

и расчетной температуры

на наружной поверхности опалубки

(62)
Определяют температуру бетона к концу заданного срока остывания

(63)
Проверяют продолжительность остывания бетона до
tб.к <*>:

(64)
--------------------------------
<*> В формуле не учитывается тепло за счет экзотермии цемента, так как оно уже учтено при определении средней температуры твердения бетона из графика нарастания прочности, а также при расчете коэффициента теплопередачи опалубки.
Пример расчета
Исходные данные. Железобетонная конструкция размером 1,2 x 1,5 x 2 м, изготовленная из бетона марки 300 на портландцементе марки 400 с расходом его 400 кг/м
3 и расходом стали 150 кг/м
3, бетонируется в зимнее время в условиях стройплощадки. Температура наружного воздуха равна -10 °C при скорости ветра 10 м/с. Температура бетонной смеси в момент укладки в опалубку составляет 35 °C.
Удельная теплоемкость бетона и арматуры составляет соответственно 1,047 и 0,48 кДж/кг·°C. Объемная масса бетона и арматуры равна соответственно 2400 и 7800 кг/м3.
Требуется подобрать конструкцию опалубки при условии, чтобы бетон приобрел 70% прочности от марочной в течение 6 сут остывания.
Расчет производится следующим образом.
V = 1,2·1,5·2 = 3,6 м3.
По
формуле (47) определяем поверхность охлаждения конструкции
F = 2(2·1,2 + 1,2·1,5 + 2·1,5) = 14,4 м2.
Модуль поверхности конструкции определяется по формуле
По
формуле (48) определяем температуру бетона с учетом нагрева арматуры:
Согласно графику набора прочности бетоном при различной температуре (см.
рис. 1) находим среднюю температуру твердения бетона
tб.ср, равную 20 °C, при которой в течение приблизительно 6 сут бетон конструкции приобретет 70% прочности от марочной.
По
формуле (49) определяем (ориентировочно) коэффициент теплопередачи опалубки
По
табл. 32 назначаем (ориентировочно) конструкцию опалубки, состоящую из доски толщиной 25 мм, слоя толя, слоя минваты 50 мм и слоя фанеры толщиной 4 мм, которые имеют при нормальной влажности и температуре 0 °C расчетные физические показатели, приведенные в
табл. 47.
Таблица 47
Физические показатели некоторых материалов
Материал | Объемная масса  , кг/м 3 | Удельная теплоемкость c, Дж/кг·°C | Коэффициент теплопроводности  , Вт/м·°C |
Сосна и ель поперек волокон | 550 | 2,51 | 0,17 |
Фанера клееная | 600 | 2,51 | 0,17 |
Рубероид, толь, пергамин | 600 | 1,47 | 0,17 |
Вата минеральная | 200 | 0,75 | 0,07 |
Примечание. Данные приведены из книги К.Ф. Фокина "Строительная теплотехника ограждающих частей зданий". М., Госстройиздат, 1953.
По
формуле (50) определяем удельный тепловой поток через опалубку
q = 1,08[33,7 - (-10)] = 47,2 Вт/м2.
По графику
(рис. 37) определяем коэффициент конвективной теплоотдачи опалубки при скорости ветра 10 м/с (см. условие задачи)
Рис. 37. Зависимость коэффициента конвективной теплоотдачи
от скорости ветра
Зная, что лицевая сторона опалубки выполнена из фанеры, для которой (см.
табл. 46) коэффициент излучения равен примерно 4,44 Вт/м
2·°C, зададимся температурой на наружной поверхности опалубки 9 °C.
По
формуле (51) определяем коэффициент теплоотдачи излучением:
По
формуле (52) проверяем правильность заданной температуры на наружной стороне опалубки
В данном случае температура на наружной стороне опалубки выбрана правильно.
По
формуле (54) определяем температуру (среднюю) нагрева опалубки
Согласно
формуле (55) определяем количество тепла, идущего на нагрев опалубки:
Qоп = (2,51·14,74·0,025·550 + 1,47·14,75·0,001·600 +
+ 0,75·15,42·0,05·200 + 2,5·15,49·0,04·600) x
x [12,5 - (-10)] = 16493,73 кДж.
По
формуле (56) определяем температуру бетона с учетом потерь тепла, затраченных на нагрев арматуры и опалубки:
По
формуле (57) уточняем значение коэффициента теплопередачи опалубки
В связи с тем что полученный коэффициент теплопередачи опалубки отличается от полученного, для принятой ранее конструкции опалубки рассчитываем требуемую толщину слоя теплоизоляции (ваты минеральной). Для этой цели по
формуле (58) определяем коэффициент теплопроводности материалов опалубки, нагретых до

.
Доска основная
Фанера клееная
Толь
Вата минеральная
По
формуле (59) определяем толщину теплоизоляции, в данном случае толщину слоя минеральной ваты:
По
формуле (60) уточняем удельный тепловой поток, теряемый бетоном через опалубку:
q' = 0,75(30 + 10) = 30 Вт/м2.
По
формуле (61) окончательно определяем температуру наружной поверхности опалубки
| | ИС МЕГАНОРМ: примечание. Формула дана в соответствии с официальным текстом документа. | |
| | ИС МЕГАНОРМ: примечание. Формула дана в соответствии с официальным текстом документа. | |
Процент ошибки составил менее 5, что свидетельствует о правильности выбранной опалубки.
По
формуле (64) производят окончательную проверку продолжительности остывания бетона
Продолжительность остывания конструкции составила 6 сут, что удовлетворяет условиям задачи.
В итоге расчета установлено, что конструкция опалубки должна состоять из сосновой доски толщиной 25 мм, одного слоя толя толщиной 1 мм, слоя минеральной ваты толщиной 79 мм и фанеры толщиной 4 мм.
ОПРЕДЕЛЕНИЕ ПАРАМЕТРОВ ТЕРМОСНОГО ВЫДЕРЖИВАНИЯ
НЕМАССИВНЫХ БЕТОННЫХ КОНСТРУКЦИЙ ПО НОМОГРАММАМ
Выбор наиболее рациональных условий термосного выдерживания конструкций требует предварительных расчетов при различных комбинациях исходных параметров данного способа производства бетонных работ. Для сокращения трудоемкости расчетов применяются номограммы (
рис. 38 -
42).
Рис. 38. Номограмма для определения длительности остывания
до 0 °C бетона марки 200 - 300 на портландцементе марки 400
Рис. 39. Номограмма для определения длительности остывания
до 0 °C бетона марки 200 на портландцементе марки 300
Рис. 40. Номограмма для определения длительности остывания
до 0 °C бетона марки 400 на портландцементе марки 500
Рис. 41. Номограмма для определения остывания до 0 °C бетона
марки 300 на шлакопортландцементе марки 400
Рис. 42. Номограмма для определения длительности остывания
до 0 °C бетона марки 200 на шлакопортландцементе марки 300
Номограммы предназначены для наиболее часто встречающихся бетонных и железобетонных монолитных конструкций с модулем поверхности
Mп = 4 и более или по классификации, предложенной В.С. Лукьяновым (см.
прил. 6) для немассивных конструкций.
По номограммам можно определить длительность остывания бетона до 0 °C, его прочность к этому времени, время термосного выдерживания бетона до набора им заданной прочности или по заданному времени остывания и прочности бетона определить коэффициент теплопередачи опалубки K.
Для немассивных бетонных конструкций при

отклонение расчетных значений продолжительности остывания до 0 °C, полученных по номограммам, от фактических не превышают 10%.
Расчеты длительности термосного выдерживания конструкций и определение прочности бетона к моменту остывания его до 0 °C выполнены по методу В.С. Лукьянова. Длительность остывания немассивных бетонных конструкций при постоянных исходных условиях (начальной температуры бетона, воздуха, содержания цемента и т.д.) зависит от произведения
K·
Mп. Коэффициент теплопередачи опалубки определяется по
табл. 32.
Модуль поверхности конструкции рассчитывается по формулам
прил. 1. Если коэффициент теплопередачи опалубки и теплоизоляции существенно отличается для различных поверхностей охлаждения, то следует вычислить среднее значение коэффициента теплопередачи опалубки по формуле

(65)
Номограммы рассчитаны для следующих видов цемента:
а) портландцемента марок 500, 400 и 300;
б) шлакопортландцемента марок 400 и 300.
Номограммы составлены для обычных бетонных и железобетонных конструкций с расходом цемента 200 - 400 кг/м3 бетона. В номограммах приведены значения температуры наружного воздуха -1, -5, -20, -40 °C. Промежуточные значения температур наружного воздуха определяются интерполяцией. Температура бетона непосредственно после укладки в опалубку и укрытия принята 10, 20, 40, 60 °C.
Последовательность расчета по номограммам
Номограммы разделены на две части: левую, в которой приводится прочность бетона к моменту остывания его до 0 °C, и правую, устанавливающую длительность остывания бетона до 0 °C. На каждой схеме номограммы по оси ординат отложены значения
KMп. По оси абсцисс в левой части номограммы отложены значения приведенного времени твердения бетона при постоянной температуре 20 °C,

, ч, равнозначное времени твердения при переменной температуре.
В правой части номограммы по оси абсцисс отложено время остывания бетона до 0 °C, выраженное в ч или сут.
Для определения прочности бетона к моменту остывания его до 0 °C отыскивается схема, отвечающая выбранному типу цемента и начальной температуре бетона. Устанавливается расчетная температура наружного воздуха для данного района строительства. На схеме по оси ординат откладывается значение произведения KMп и проводится линия вправо до пересечения с кривой температуры наружного воздуха. Из точки пересечения проводится прямая вертикально вниз до пересечения с осью ординат и устанавливается значение приведенного времени твердения бетона при постоянной температуре 20 °C для расхода цемента 400 кг/м3. В случае если расход цемента составлял менее 400 кг/м3, прямую необходимо продолжить по направляющей до пересечения со шкалой фактического расхода цемента. Приведенное время твердения бетона при постоянной температуре 20 °C позволяет определить прочность бетона к моменту остывания его до 0 °C по шкале, приведенной в нижней части номограммы.
На номограммах проведены границы "критической прочности бетона", до достижения которой в соответствии с главой СНиП III-В.1-70 не допускается замораживание бетона в конструкциях.
Длительность остывания бетона до 0 °C определяется в правой части номограммы. Для этого выполняются построения, аналогичные тем, которые были проведены в левой части номограммы.
Примеры расчета по номограммам
Пример 1. Требуется определить продолжительность остывания бетона до 0 °C и прочность его к этому моменту при термосном выдерживании монолитной колонны сечением 0,5 x 0,5 м и высотой 3 м. Бетон приготовлен на портландцементе марки 400 с расходом его 325 кг/м3. Коэффициент теплопередачи опалубки с учетом скорости ветра 3,5 Вт/м2·°C. Колонна бетонируется предварительно разогретой до 60 °C бетонной смесью. Температура бетона после укладки в опалубку 52 °C. Температура наружного воздуха -20 °C.
Предварительно определяем модуль поверхности колонны (см.
прил. 1)
На правой части номограммы (см.
рис. 38) в схеме с начальной температурой бетона
tб.н = 60 °C из точки
KMп = 28 Вт/м·°C проводим прямую до пересечения с кривой температуры наружного воздуха -20 °C и опускаем перпендикуляр на ось абсцисс до пересечения его со шкалой
Ц = 325 кг/м
3. Устанавливаем, что продолжительность остывания бетона до 0 °C при
tб.н = 60 °C составила 42 ч.
Аналогичные построения выполняем при начальной температуре бетона tб.н = 40 °C. Продолжительность остывания бетона при tб.н = 40 °C составила 34 ч. По линейной интерполяции устанавливаем, что продолжительность остывания бетона до 0 °C при tб.н = 52 °C составляет 38,8 ч.
Подобные построения выполняем и в левой части номограммы для определения приведенного времени твердения бетона при постоянной температуре

. Устанавливаем, что приведенное время составляет 57,6 ч. По нижней шкале в левой части номограммы определяем прочность бетона к моменту остывания его до 0 °C, прочность бетона равна 48%
R28.
Определяем погрешность при расчете по номограмме
| | ИС МЕГАНОРМ: примечание. Формула дана в соответствии с официальным текстом документа. | |
Погрешность расчета не превышает 10%.
Пример 2. Для отдельно стоящего ростверка размером 0,8 x 0,8 x 1,2 м требуется определить коэффициент теплопередачи опалубки, которая позволит бетону набрать прочность 40% от R28 к моменту разопалубливания конструкции. Бетон приготовлен на портландцементе марки 400 с расходом цемента 325 кг/м3. Температура наружного воздуха -20 °C, начальная температура бетона 20 °C. Ростверк бетонируется на отогретом основании, теплопотери в основании отсутствуют.
Определяем модуль поверхности по
прил. 1
В левой части номограммы на шкале прочности бетона откладываем прочность бетона Rб = 40% R28. Выполняем построения, аналогичные первому примеру, но в обратной последовательности.
Устанавливаем, что KMп = 10,5 Вт/м·°C. Следовательно, расчетный коэффициент теплопередачи опалубки
По
табл. 32 определяем тип опалубки. Продолжительность остывания до 0 °C составляет 70 ч. В случае если требуется получить прочность бетона 40%
R28 за более короткий промежуток времени, следует увеличить начальную температуру бетона.
Расчетные значения, полученные по номограммам, и практические результаты могут совпадать при условии, если средняя температура наружного воздуха в период термосного выдерживания конструкции соответствовала значениям, приведенным в номограммах, если качество применяемых цементов и заполнителей отвечало требованиям ГОСТа.
Так как работы производятся при переменной температуре и скорости ветра и качество применяемых цементов может не соответствовать значениям, указанным в номограммах, то необходим контроль за температурным режимом твердения бетона.
Контроль осуществляется путем измерения температуры твердеющего бетона и последующего перерасчета времени твердения при переменной температуре на время твердения при постоянной температуре 20 °C, применяя для этого переходные коэффициенты, предложенные В.С. Лукьяновым (см.
прил. 4 настоящего Руководства).
ПРОГНОЗИРОВАНИЕ ТЕМПЕРАТУРНОГО РЕЖИМА БЕТОНА,
УЛОЖЕННОГО В КОНТАКТЕ С МЕРЗЛЫМ ГРУНТОМ
1. Проектирование фундаментов сооружений из монолитного бетона на вечномерзлых грунтах должно производиться с учетом теплового взаимодействия твердеющего бетона с грунтами основания. Недоучет теплового взаимодействия может привести к изменению мерзлотно-грунтовых условий основания и как следствие этого - к деформации сооружения.
2. Прогнозирование теплового взаимодействия твердеющего бетона с мерзлым грунтом в общем случае включает:
определение величины прослойки протаивания;
расчет возможной просадки фундаментов от сжатия грунта при оттаивании в случае приложения строительной или эксплуатационной нагрузки;
установление по требованиям нормативных документов допустимых осадок фундамента от сжатия вечномерзлых грунтов при оттаивании;
определение времени смерзания бетона с грунтом;
расчет прочности бетона к моменту смерзания.
3. Величину относительного сжатия вечномерзлого грунта основания, оттаивающего при тепловом взаимодействии с твердеющим бетоном, рекомендуется определять на основании прогнозирования величины прослойки протаивания и требований главы СНиП II-Б.6-66 "Основания и фундаменты зданий и сооружений на вечномерзлых грунтах. Нормы проектирования".
Допустимые осадки фундамента от сжатия вечномерзлых грунтов при оттаивании для различных видов сооружений следует определять по главе
СНиП II-15-74 "Основания зданий и сооружений".
4. Величину прослойки протаивания вечномерзлого грунта и время смерзания бетона с грунтом рекомендуется определять по аналитическим формулам или с помощью аналоговых и цифровых вычислительных машин.
5. При прогнозировании теплового взаимодействия твердеющего бетона с мерзлым грунтом расчетные параметры бетона и грунтов следует назначать в соответствии с рекомендациями, приведенными в
прил. 10.
6. При бетонировании стенок фундаментов в распор с мерзлым грунтом следует учитывать изменение температуры мерзлого грунта по глубине фундамента, а прогнозирование величины прослоек протаивания производить послойно. Для каждого слоя следует брать свою среднюю температуру мерзлого грунта

.
7. Величина прослойки протаивания
i-го слоя при бетонировании стенки враспор с мерзлым грунтом может быть ориентировочно определена по
формуле (66) с учетом рекомендаций, приведенных в
п. 11:

(66)
где
Cб.т - удельная теплоемкость твердеющего бетона, определяемая по
п. 13 прил. 10 Б, Дж/кг·°C;

- объемная масса бетона, кг/м
3;
tб.н - начальная температура бетона, уложенного в стенку, °C;
tз - температура замерзания грунта, определяемая по данным
табл. 49, °C;
tср - средняя температура мерзлого грунта в зоне теплового влияния бетонируемой конструкции, °C;
Ц - расход цемента на 1 м3 бетона, кг/м3;
q28 - удельное тепловыделение 1 кг цемента в возрасте 28 сут, Дж/кг;
Cм.г - удельная теплоемкость мерзлого грунта, определяемая по
формуле (76), Дж/кг·°C;

- объемная масса мерзлого грунта, определяемая по
формуле (71), кг/м
3;
b - характерный размер конструкции, м;
W - весовая влажность грунта в % от

;
Wн - содержание незамерзшей воды в грунте, определяемое при геологических изысканиях, в % от

.
8. При бетонировании цилиндрических монолитных столбов враспор с мерзлым грунтом также следует учитывать изменение температуры мерзлого грунта по глубине.
9. Величина прослойки протаивания каждого i-го слоя при бетонировании цилиндрического монолитного столба враспор с мерзлым грунтом ориентировочно может быть определена по формуле

(67)
где Rц - радиус цилиндрического столба, м;

- коэффициент формы для цилиндра.
10. При бетонировании уширенных пят (камуфлетов) свайных фундаментов диаметром 0,8 - 1,4 м величина прослойки протаивания вокруг камуфлета от теплового взаимодействия твердеющего бетона с вечномерзлым грунтом определяется по формуле

(68)
где Rк - радиус камуфлета, м;

- коэффициент формы для шара

.
11. При проведении расчетов величины прослоек протаивания, определенные по
формулам (66) -
(68), следует уточнять путем последовательных приближений с учетом фактического времени смерзания бетона с грунтом и фактической величины тепловыделения к этому времени.
12. При устройстве скважин в вечномерзлом грунте термомеханическим способом величина прослойки протаявшего грунта h ориентировочно может быть определена по формуле

(69)
где h2 - толщина прослойки протаявшего грунта, оставшаяся после устройства скважины (при термомеханическом бурении ориентировочно можно принимать h2 = 0,05 - 0,06 м).
13. Время восстановления мерзлоты вокруг стенок и цилиндров может быть определено на основании расчетов на аналоговых и цифровых вычислительных машинах.
14. Время смерзания бетона камуфлета диаметром 0,8 - 1,4 м с грунтом

, ч, ориентировочно можно определять по формуле

(70)
где

- коэффициент теплопроводности мерзлого грунта Вт/м·°C (определяется по прил. 10,
пп. 7 -
8).
15. Для камуфлетов диаметром 1 м время смерзания бетона с грунтом (при ненарушенных мерзлотно-грунтовых условиях после устройства камуфлетной полости) может быть ориентировочно определено по величинам, приведенным в
табл. 48.
Таблица 48
Ориентировочные сроки смерзания бетона камуфлетов диаметром
1 м с грунтом (при ненарушенных мерзлотно-грунтовых
условиях после устройства камуфлетной полости)
и относительная прочность бетона без добавок к моменту
смерзания с грунтом
Расход портландцемента марки 400, кг/м | Температура мерзлого грунта, °C | Время смерзания бетона с грунтом, сут | Относительная минимальная прочность бетона к моменту смерзания с грунтом, % от R28 |
250 | -0,2 | 61 | 90 |
-1 | 13 | 70 |
-3 | 2 | 25 |
375 | -0,2 | 94 | 100 |
-1 | 22 | 80 |
-3 | 4 | 35 |
500 | -0,2 | 115 | 100 |
-1 | 28 | 85 |
-3 | 5 | 40 |
16. При прогнозировании нарастания прочности бетона в камуфлетах свай в интервале времени от укладки бетона до его смерзания с грунтом при температуре укладываемой бетонной смеси не выше 20 °C рекомендуется в
1/
4 части этого интервала за среднюю температуру бетона принимать
tб.ср = 1/3tб.н,
где tб.н - начальная температура уложенного в камуфлет бетона, °C, в остальные 3/4 этого интервала принимать tб.ср = 0 °C.
17. Прочность бетона к моменту смерзания с грунтом рекомендуется определять по средним температурам его твердения, определенным в соответствии с
п. 16 настоящего приложения, по графику нарастания прочности бетона при 20 °C и переходным коэффициентам

.
ВЫБОР РАСЧЕТНЫХ ПАРАМЕТРОВ МЕРЗЛЫХ
ГРУНТОВ И ТВЕРДЕЮЩЕГО БЕТОНА
Грунты всех видов называются мерзлыми, если они имеют отрицательную или нулевую температуру и содержат в своем составе лед.
Грунты называются вечномерзлыми, если они находятся в мерзлом состоянии в продолжении многих (от 3 и более) лет, сезонно-промерзшими - промерзающими зимой и оттаивающими летом. Слои грунтов, замерзающие зимой и не оттаивающие летом в течение 1 - 2 лет, именуются перелетками.
Мерзлые грунты по их состоянию подразделяются на: твердомерзлые, пластичномерзлые и сыпучемерзлые.
а) Твердомерзлые - это грунты, прочно сцементированные льдом, они характеризуются относительно хрупким разрушением и практической несжимаемостью под нагрузкой от сооружений.
К твердомерзлым грунтам относятся следующие грунты, если их температура (°C) ниже:
Пески пылеватые .................................... 0,3
Супеси ............................................. 0,6
Ил ................................................. 0,8
Суглинки ........................................... 1
Глина .............................................. 1,5
б) Пластичномерзлые - это грунты, сцементированные льдом, но обладающие вязкими свойствами (вследствие содержания в них значительного количества незамерзшей воды), они характеризуются способностью сжиматься под нагрузкой от сооружений. К пластичномерзлым относятся песчаные и глинистые грунты со степенью заполнения пор льдом и незамерзшей водой G >= 0,8, если их температура находится в пределах от 0 °C до значений, указанных для твердомерзлых грунтов.
в) Сыпучемерзлые - это грунты, не сцементированные льдом вследствие малой влажности; к сыпучемерзлым относятся песчаные и крупнообломочные грунты.
При изменении температуры мерзлого грунта изменяется количество незамерзшей воды в нем и грунт может перейти в пластичномерзлое состояние (при повышении температуры, и наоборот).
Сыпучемерзлые и монолитные скальные грунты (в любом мерзлотном состоянии) при изменении отрицательной температуры на положительную, как правило, не изменяют свои механические свойства и не дают осадки. Трещиноватые скальные и крупнообломочные грунты, трещины и пустоты которых заполнены льдом, могут изменять свои механические свойства и давать осадку при оттаивании.
Увеличение содержания солей в грунтах понижает температуру замерзания воды в них, увеличивает количество незамерзшей воды в мерзлых грунтах и снижает их несущую способность.
Предельная засоленность грунта (отношение массы солей грунта к массе сухого скелета грунта) составляет 0,25%, т.е. содержание солей в грунте до 0,25% не влияет на его физико-механические свойства и поэтому не учитывается.
А. ВЫБОР РАСЧЕТНЫХ ПАРАМЕТРОВ МЕРЗЛЫХ ГРУНТОВ
1. Точность прогнозов теплового взаимодействия твердеющего бетона с мерзлым грунтом зависит от правильности выбора исходных расчетных данных и главным образом от теплофизических характеристик грунтов и бетона.
2. Основными показателями, определяющими свойства мерзлых грунтов, являются: суммарная влажность, объемная масса скелета грунта, содержание незамерзающей воды и льдистость. Значения этих показателей рекомендуется определять из опытов, другие свойства мерзлых грунтов, такие, как коэффициент пористости, объемная масса скелета и объемная влажность, могут быть вычислены по указанным показателям.
3. Объемную массу мерзлого грунта можно определить также расчетом. Если исходить из средних значений плотности скелета минеральной составляющей грунта

и воздушной пористости мерзлых грунтов при полном или избыточном их влагонасыщении, равной 3% всего объема грунта, то объемную массу мерзлых грунтов можно определить по формуле

(71)
где
Wс - весовая влажность грунта в долях единицы от

.
Приведенной формулой можно пользоваться при условии, если весовая влажность мерзлого грунта превышает следующие значения в %: для гравийно-галечниковых грунтов - 5; песков - 15; песчано-суглинистых грунтов - 20; полускальных песчаников и известняков - 2; доломито-мергелистых, разрушенных до щебенисто-глинистого состояния, - 10.
4. Объемную массу скелета грунта

, коэффициент пористости

(отношение объема пор к объему скелета) можно определить по формулам:

(72)

(73)
5. Теплофизические свойства грунтов определяются:
коэффициентами теплопроводности талых, оттаивающих и мерзлых грунтов;
удельной и объемной теплоемкостью грунта в талом и мерзлом состояниях;
скрытыми теплотами фазных превращений влаги в грунте;
льдистостью и содержанием незамерзшей воды в мерзлом грунте;
температурой замерзания грунта.
6. Коэффициент теплопроводности грунта зависит от многих факторов. Важнейшими из них являются механический состав, влажность, плотность и температура. Зависимость коэффициента теплопроводности грунта от температуры в диапазоне, не захватывающем зону интенсивных фазовых превращений грунтовой влаги, проявляется незначительно, и при практических расчетах их можно не учитывать, применяя в качестве расчетных величин, определенные при средних температурных условиях в талом и в мерзлом состояниях.
7. В тех случаях когда определить коэффициент теплопроводности грунта опытным путем не представляется возможным, для минеральных песчаных и глинистых грунтов его величину определяют по формуле

(74)
где

и

- коэффициенты теплопроводности соответственно талого и мерзлого грунтов, Вт/м·°C;

- объемная масса скелета грунта, кг/м
3;
W - весовая влажность грунта, %;

- коэффициент, принимаемый равным: 1,5/1,7 для песков, 1,4/1,5 для супесей и 1,3/1,4 для суглинков и глин (в числителе - для талого состояния грунта, в знаменателе - для мерзлого).
8. Значения коэффициентов теплопроводности талых и мерзлых грунтов приведены на
рис. 43 -
48.
Рис. 43. Номограмма для определения коэффициента
теплопроводности талых песчаных грунтов
при влажности W от 5 до 40%
Рис. 44. Номограмма для определения коэффициента
теплопроводности мерзлых песчаных грунтов
при влажности W от 5 до 40%
Рис. 45. Номограмма для определения коэффициента
теплопроводности талых глинистых грунтов
при влажности W от 5 до 50%
Рис. 46. Номограмма для определения коэффициента
теплопроводности талых песчаных грунтов
при влажности W от 5 до 40%
Рис. 47. Номограмма для определения коэффициента
теплопроводности талого торфа при влажности W от 100 до 700%
Рис. 48. Номограмма для определения коэффициента
теплопроводности мерзлого торфа
при влажности W от 100 до 400%
9. Объемная теплоемкость грунтов зависит от их плотности, влажности и температуры. Зависимость теплоемкости талых и мерзлых грунтов от температуры невелика, поэтому допускается ее учитывать лишь при переходе температуры грунта через 0 °C, принимая для положительных и отрицательных температур постоянные средние значения теплоемкости.
Объемная теплоемкость талого и мерзлого грунтов может быть определена по формулам:
а) для талого

(75)
б) для мерзлого

(76)
где

- объемная масса скелета грунта, кг/м
3;
Cу.в - удельная теплоемкость воды, равная 4186,8 Дж/кг·°C;
Cу.л - удельная теплоемкость льда, равная 2093,4 Дж/кг·°C;
Cу.с - удельная теплоемкость скелета грунта, Дж/кг·°C, принимается для песка 755,5; супеси 713,6; покровных суглинков 755,5; пылеватых грунтов 797,4; глин 839,2; гумуса 1678,4; торфа 1967,8.
10. Количество скрытой теплоты фазовых переходов воды, находящейся в 1 м3 грунта Lо, определяется по формуле

(77)
где 334 944 - количество скрытой теплоты, выделяющейся при замерзании или поглощаемой при оттаивании 1 кг льда, Дж/кг;
Wн - содержание незамерзающей воды в грунте при t2 = -2 °C.
11. Содержание льда в мерзлом грунте характеризуется величиной суммарной льдистости Лс:
Лс = Лц + Лв, (78)
где Лц - льдистость за счет льда, находящегося в порах и цементирующего минеральные частицы грунта;
Лв - льдистость за счет ледяных включений - линз и прослоек льда.
Наиболее вероятные пределы значения Лц для различных мерзлых грунтов примерно такие же, как пределы объемной влажности.
12. Температура смерзания бетона с грунтом принимается равной температуре замерзания грунта по величинам, приведенным в соответствии с
табл. 49. При выборе температуры смерзания бетона с грунтом следует учитывать, что температура замерзания засоленных грунтов ниже температуры замерзания незасоленных грунтов. Необходимо также учитывать, что грунт естественного сложения имеет более низкую температуру, чем тот же грунт при нарушенной текстуре. Для засоленных супесей и суглинков, представленных морскими отложениями, с влажностью, большей предела раскатывания, температура замерзания приближенно может быть определена по
табл. 50.
Таблица 49
Температура замерзания грунта
Вид грунта | Температура замерзания грунта, °C | Влажность грунта |
на границе текучести, % | на границе раскатывания, % |
Песок | От 0,0 до -0,1 | - | - |
Супесь | От -0,1 до -0,4 | 10 - 25 | 10 - 20 |
Суглинок | От -0,4 до -0,8 | 25 - 40 | 15 - 25 |
Глина | От -0,8 до -1,5 | 35 - 40 | 20 - 30 |
Таблица 50
Температура замерзания засоленных грунтов
Концентрация порового раствора Ж | 0,005 | 0,01 | 0,03 | 0,05 |
Температура замерзания засоленных суглинков и супесей | -0,2 | -0,5 | -1,4 | -2,2 |
Примечание. Концентрация порового раствора Ж определяется как отношение объемной массы растворенной в воде соли gs к объемной массе грунтового раствора

(79)
где

- объемная масса воды.
Б. ВЫБОР РАСЧЕТНЫХ ПАРАМЕТРОВ ТВЕРДЕЮЩЕГО БЕТОНА
13. От правильного назначения расчетных параметров твердеющего бетона зависит достоверность прогнозирования его теплового взаимодействия с окружающим вечномерзлым грунтом. Для прогноза необходимо знать коэффициент теплопроводности; удельную теплоемкость бетона, а также тепловыделение цемента, зависящее не только от минералогического состава вяжущего и его расхода на 1 м
3 бетона, но и от его марки, тонкости помола, времени твердения и изменяющейся в процессе твердения температуры и других факторов.
Расчетный коэффициент теплопроводности твердеющего бетона рекомендуется принимать

, а удельную теплоемкость твердеющего бетона
Cб.т = 963 - 1047 Дж/кг·°C, где меньшая величина
Cб.т относится к бетонам на известняковом, большая - на гранитном или кварцитовом щебне.
14. Следует всегда помнить, что коэффициент теплопроводности твердеющего бетона отличается от коэффициентов теплопроводности затвердевшего (старого бетона). Динамика изменения коэффициента теплопроводности гидротехнического бетона в процессе твердения отражена в
табл. 51.
Таблица 51
Зависимость величин коэффициента
теплопроводности гидротехнического бетона от возраста
Возраст, мес | Коэффициент теплопроводности  , Вт/м·°C |
0,5 | 2,44 |
2 | 2,32 |
12 | 2,2 |
20 | 2,09 |
Решение обратных задач методом гидроаналогий на гидроинтеграторе В.С. Лукьянова показало, что при прогнозировании температурного режима твердеющего бетона в возрасте 0 - 7 сут при условии изменения диапазона исследуемых температур в пределах 20 - 40 °C величину расчетного коэффициента теплопроводности с некоторым допущением можно считать постоянной.