Главная // Актуальные документы // Актуальные документы (обновление 2025.03.29-2025.04.26) // ГОСТ (Государственный стандарт)СПРАВКА
Источник публикации
В данном виде документ опубликован не был.
Первоначальный текст документа опубликован в издании
М.: Стандартинформ, 2019.
Информацию о публикации документов, создающих данную редакцию, см. в справке к этим документам.
Примечание к документу
Документ включен в
Перечень документов в области стандартизации, в результате применения которых на добровольной основе обеспечивается соблюдение требований Федерального
закона от 30.12.2009 N 384-ФЗ "Технический регламент о безопасности зданий и сооружений" (
Приказ Росстандарта от 02.04.2020 N 687).
Изменение N 1 введено в действие на территории Российской Федерации
Приказом Росстандарта от 20.11.2024 N 1716-ст с 01.04.2025.
Название документа
"ГОСТ 5180-2015. Межгосударственный стандарт. Грунты. Методы лабораторного определения физических характеристик"
(введен в действие Приказом Росстандарта от 03.11.2015 N 1694-ст)
(ред. от 20.11.2024)
"ГОСТ 5180-2015. Межгосударственный стандарт. Грунты. Методы лабораторного определения физических характеристик"
(введен в действие Приказом Росстандарта от 03.11.2015 N 1694-ст)
(ред. от 20.11.2024)
агентства по техническому
регулированию и метрологии
от 3 ноября 2015 г. N 1694-ст
МЕЖГОСУДАРСТВЕННЫЙ СТАНДАРТ
ГРУНТЫ
МЕТОДЫ ЛАБОРАТОРНОГО ОПРЕДЕЛЕНИЯ ФИЗИЧЕСКИХ ХАРАКТЕРИСТИК
Soils. Laboratory methods for determination
of physical characteristics
ГОСТ 5180-2015
| | Список изменяющих документов Приказом Росстандарта от 20.11.2024 N 1716-ст) | |
Дата введения
1 апреля 2016 года
Цели, основные принципы и основной порядок проведения работ по межгосударственной стандартизации установлены в
ГОСТ 1.0-2015 "Межгосударственная система стандартизации. Основные положения" и
ГОСТ 1.2-2015 "Межгосударственная система стандартизации. Стандарты межгосударственные, правила и рекомендации по межгосударственной стандартизации. Правила разработки, принятия, обновления и отмены"
1 РАЗРАБОТАН Открытым акционерным обществом "Производственный и научно-исследовательский институт по инженерным изысканиям в строительстве" (ОАО "ПНИИИС")
2 ВНЕСЕН Техническим комитетом по стандартизации ТК 465 "Строительство"
3 ПРИНЯТ Межгосударственным советом по стандартизации, метрологии и сертификации (протокол от 22 июля 2015 г. N 78-П)
За принятие проголосовали:
Краткое наименование страны по МК (ИСО 3166) 004-97 | Код страны по МК (ИСО 3166) 004-97 | Сокращенное наименование национального органа по стандартизации |
Армения | AM | ЗАО "Национальный орган по стандартизации и метрологии" Республики Армения |
Беларусь | BY | Госстандарт Республики Беларусь |
Казахстан | KZ | Госстандарт Республики Казахстан |
Киргизия | KG | Кыргызстандарт |
Россия | RU | Росстандарт |
Таджикистан | TJ | Таджикстандарт |
Туркмения | TM | Главгосслужба "Туркменстандартлары" |
(в ред.
Изменения N 1, введенного в действие Приказом Росстандарта от 20.11.2024 N 1716-ст)
4
Приказом Федерального агентства по техническому регулированию и метрологии от 3 ноября 2015 г. N 1694-ст межгосударственный стандарт ГОСТ 5180-2015 введен в действие в качестве национального стандарта Российской Федерации с 1 апреля 2016 г.
6 ПЕРЕИЗДАНИЕ. Февраль 2019 г.
Информация об изменениях к настоящему стандарту публикуется в ежегодном информационном указателе "Национальные стандарты", а текст изменений и поправок - в ежемесячном информационном указателе "Национальные стандарты". В случае пересмотра (замены) или отмены настоящего стандарта соответствующее уведомление будет опубликовано в ежемесячном информационном указателе "Национальные стандарты". Соответствующая информация, уведомление и тексты размещаются также в информационной системе общего пользования - на официальном сайте Федерального агентства по техническому регулированию и метрологии в сети Интернет (www.gost.ru)
Настоящий стандарт распространяется на дисперсные песчаные и глинистые грунты, устанавливает методы лабораторного определения физических характеристик, применяемые при лабораторных испытаниях грунтов в процессе инженерно-геологических изысканий для строительства.
Настоящий стандарт не распространяется на крупнообломочные грунты.
(в ред.
Изменения N 1, введенного в действие Приказом Росстандарта от 20.11.2024 N 1716-ст)
В настоящем стандарте использованы нормативные ссылки на следующие межгосударственные стандарты:
ГОСТ 166 (ИСО 3599-76) Штангенциркули. Технические условия
Ссылка исключена с 01.04.2025. -
Изменение N 1, введенное в действие Приказом Росстандарта от 20.11.2024 N 1716-ст.
Ссылка исключена с 01.04.2025. -
Изменение N 1, введенное в действие Приказом Росстандарта от 20.11.2024 N 1716-ст.
ГОСТ 8984 Силикагель-индикатор. Технические условия
ГОСТ 9147 Посуда и оборудование лабораторные фарфоровые. Технические условия
--------------------------------
<1> Утратил силу в Российской Федерации с 01.01.95.
ГОСТ 12071 Грунты. Отбор, упаковка, транспортирование и хранение образцов
ГОСТ 18481 Ареометры и цилиндры стеклянные. Общие технические условия
ГОСТ 22524 Пикнометры стеклянные. Технические условия
Ссылка исключена с 01.04.2025. -
Изменение N 1, введенное в действие Приказом Росстандарта от 20.11.2024 N 1716-ст.
ГОСТ 25336 Посуда и оборудование лабораторные стеклянные. Типы, основные параметры и размеры
ГОСТ 28498 Термометры жидкостные стеклянные. Общие технические требования. Методы испытаний
(в ред.
Изменения N 1, введенного в действие Приказом Росстандарта от 20.11.2024 N 1716-ст)
ГОСТ OIML R 76-1 <2> Государственная система обеспечения единства измерений. Весы неавтоматического действия. Часть 1. Метрологические и технические требования. Испытания
(ссылка введена
Изменением N 1, введенным в действие Приказом Росстандарта от 20.11.2024 N 1716-ст)
--------------------------------
<2> В Российской Федерации также действует
ГОСТ Р 53228-2008 "Весы неавтоматического действия. Часть 1. Метрологические и технические требования. Испытания".
(сноска 2 в ред.
Изменения N 1, введенного в действие Приказом Росстандарта от 20.11.2024 N 1716-ст)
Примечание - При пользовании настоящим стандартом целесообразно проверить действие ссылочных стандартов и классификаторов на официальном интернет-сайте Межгосударственного совета по стандартизации, метрологии и сертификации (www.easc.by) или по указателям национальных стандартов, издаваемым в государствах, указанных в предисловии, или на официальных сайтах соответствующих национальных органов по стандартизации. Если на документ дана недатированная ссылка, то следует использовать документ, действующий на текущий момент, с учетом всех внесенных в него изменений. Если заменен ссылочный документ, на который дана датированная ссылка, то следует использовать указанную версию этого документа. Если после принятия настоящего стандарта в ссылочный документ, на который дана датированная ссылка, внесено изменение, затрагивающее положение, на которое дана ссылка, то это положение применяется без учета данного изменения. Если ссылочный документ отменен без замены, то положение, в котором дана ссылка на него, применяется в части, не затрагивающей эту ссылку.
(примечание в ред.
Изменения N 1, введенного в действие Приказом Росстандарта от 20.11.2024 N 1716-ст)
В настоящем стандарте применены термины по
ГОСТ 25100 и
ГОСТ 30416, а также следующий термин с соответствующим определением:
3.1 суммарная влажность мерзлого грунта wtot: Отношение массы всех видов воды (ледяных включений, прослоев, линз, порового льда и незамерзшей воды) в мерзлом грунте к массе этого грунта, высушенного до постоянной массы.
3.2 плотность песчаного грунта в рыхлом состоянии: Масса единицы объема песчаного грунта в воздушно-сухом рыхлом состоянии.
(п. 3.2 введен
Изменением N 1, введенным в действие Приказом Росстандарта от 20.11.2024 N 1716-ст)
3.3 плотность песчаного грунта в плотном состоянии: Масса единицы объема песчаного грунта в воздушно-сухом уплотненном состоянии.
(п. 3.3 введен
Изменением N 1, введенным в действие Приказом Росстандарта от 20.11.2024 N 1716-ст)
3.4 угол естественного откоса песчаного грунта: Предельный угол наклона откоса, при котором грунт находится в устойчивом состоянии.
(п. 3.4 введен
Изменением N 1, введенным в действие Приказом Росстандарта от 20.11.2024 N 1716-ст)
4.1 Отбор, упаковку, транспортирование и хранение образцов грунта ненарушенного (монолитов) и нарушенного сложения следует проводить в соответствии с
ГОСТ 12071.
4.2 Подготовку к испытаниям и определение плотности мерзлых грунтов следует проводить в помещении с отрицательной температурой на не подвергавшихся оттаиванию образцах с учетом положений
ГОСТ 30416.
(в ред.
Изменения N 1, введенного в действие Приказом Росстандарта от 20.11.2024 N 1716-ст)
4.3 Физические характеристики следует определять не менее чем для двух параллельных проб, отбираемых из исследуемого образца грунта.
4.4 Значение характеристик вычисляют как среднее арифметическое результатов параллельных определений. Разница между параллельными определениями не должна превышать значений по
приложению А. Если разница превышает допустимую, количество определений следует увеличить. При этом среднее арифметическое значение характеристик определяют между ближайшими полученными результатами, имеющими наименьшую разницу.
(в ред.
Изменения N 1, введенного в действие Приказом Росстандарта от 20.11.2024 N 1716-ст)
4.5 При обработке результатов испытаний плотность и влажность вычисляют с точностью согласно
ГОСТ 30416.
4.6 Погрешность измерения массы (взвешивания) не должна превышать: при массе от 10 до 1000 г - 0,02 г, при массе свыше 1000 г - 5 г.
4.7 Метод определения характеристики грунта выбирается в зависимости от его свойств в соответствии с ГОСТ 30416-2020
(приложение А). Определение нижнего предела пластичности допускается определять методом прессования согласно
приложению К. Определение плотности частиц засоленных грунтов возможно определять, используя метод двух пикнометров
(приложение Л).
(в ред.
Изменения N 1, введенного в действие Приказом Росстандарта от 20.11.2024 N 1716-ст)
4.8 Применяемые средства измерений должны быть утвержденного типа в соответствии с действующим законодательством <1> государства, принявшего настоящий стандарт, и внесены в реестр средств измерений <2>, действующий на территории государства, принявшего настоящий стандарт. Результаты поверки средств измерений подтверждаются сведениями о результатах поверки средств измерений, включенными в реестр средств измерений <2> или свидетельством о поверке <3>.
(п. 4.8 введен
Изменением N 1, введенным в действие Приказом Росстандарта от 20.11.2024 N 1716-ст)
--------------------------------
<1> В Российской Федерации в соответствии с Федеральным законом от 26 июня 2008 г. N 102-ФЗ "Об обеспечении единства измерений"
(статья 12, пункт 1).
<2> В Российской Федерации в соответствии с Государственным реестром средств измерений (https://fgis.gost.ru).
<3> В Российской Федерации в соответствии с Федеральным законом от 26 июня 2008 г. N 102-ФЗ "Об обеспечении единства измерений"
(статья 13, пункт 4).
(сноски введены
Изменением N 1, введенным в действие Приказом Росстандарта от 20.11.2024 N 1716-ст)
4.9 Результаты лабораторных испытаний заносят в журналы (ведомости) в соответствии с ГОСТ 30416-2020
(пункт 4.18).
(п. 4.9 введен
Изменением N 1, введенным в действие Приказом Росстандарта от 20.11.2024 N 1716-ст)
5 Определение влажности (в т.ч. гигроскопической) грунта методом высушивания до постоянной массы
5.1 Необходимое оборудование:
- сушильный шкаф;
(в ред.
Изменения N 1, введенного в действие Приказом Росстандарта от 20.11.2024 N 1716-ст)
- металлические или стеклянные бюксы по
ГОСТ 25336;
- сито с сеткой 1 мм по действующим документам по стандартизации <4>.
(введено
Изменением N 1, введенным в действие Приказом Росстандарта от 20.11.2024 N 1716-ст)
--------------------------------
<4> В Российской Федерации в соответствии с
ГОСТ Р 51568-99 "Сита лабораторные из металлической проволочной сетки. Технические условия".
(сноска введена
Изменением N 1, введенным в действие Приказом Росстандарта от 20.11.2024 N 1716-ст)
5.2 Подготовка к испытанию
5.2.1 Пробу грунта для определения влажности отбирают массой 15 - 50 г, помещают в заранее высушенный, взвешенный (
m) и пронумерованный бюкс и плотно закрывают крышкой. При отборе пробы из образца нарушенной структуры грунт нужно тщательно перемешать, чтобы влажность распределилась по образцу равномерно. Если в исследуемом грунте присутствуют включения, то при отборе пробы на влажность нужно удалить все видимые включения.
5.2.2 Пробу грунта для определения гигроскопической влажности
wг грунта массой 15 - 20 г следует отбирать методом квартования по
ГОСТ 30416 из грунта в воздушно-сухом состоянии, растертого, просеянного сквозь сито с сеткой 1 мм и выдержанного открытым не менее 2 ч при данных температуре и влажности воздуха.
(в ред.
Изменения N 1, введенного в действие Приказом Росстандарта от 20.11.2024 N 1716-ст)
5.3.1 Пробу грунта в закрытом бюксе взвешивают.
5.3.2 Открытую бюксу помещают в нагретый сушильный шкаф. Грунт высушивают до постоянной массы при температуре (105 +/- 2) °C.
Загипсованные грунты высушивают при температуре (80 +/- 2) °C. Постоянная масса может быть достигнута после выдерживания грунта в сушильном шкафу с принудительной конвекцией в течение установленного периода времени, который определяется опытным путем в зависимости от свойств грунта и характеристик сушильного шкафа либо по
5.3.3 -
5.3.6.
(в ред.
Изменения N 1, введенного в действие Приказом Росстандарта от 20.11.2024 N 1716-ст)
5.3.3 Песчаные грунты высушивают в течение не менее 3 ч, а остальные - в течение не менее 5 ч.
(в ред.
Изменения N 1, введенного в действие Приказом Росстандарта от 20.11.2024 N 1716-ст)
Последующие высушивания песчаных грунтов производят в течение не менее 1 ч, а остальных - в течение не менее 2 ч.
(в ред.
Изменения N 1, введенного в действие Приказом Росстандарта от 20.11.2024 N 1716-ст)
5.3.4 Загипсованные грунты высушивают в течение не менее 8 ч. Последующие высушивания проводят в течение не менее 2 ч.
(в ред.
Изменения N 1, введенного в действие Приказом Росстандарта от 20.11.2024 N 1716-ст)
5.3.5 После каждого высушивания закрытую бюксу охлаждают до температуры помещения и взвешивают.
Высушивание проводят до получения разности масс грунта с бюксой при двух последующих взвешиваниях не более 0,02 г.
5.3.6 Если при повторном взвешивании грунта, содержащего органические вещества, наблюдается увеличение массы, то за результат взвешивания принимают наименьшую массу.
5.4 Обработка результатов
Влажность грунта w, %, вычисляют по формуле

, (1)
где m1 - масса влажного грунта с бюксой, г;
m0 - масса высушенного грунта с бюксой, г;
m - масса пустой бюксы, г.
Допускается выражать влажность грунта в долях единицы.
6 Определение суммарной влажности мерзлого грунта
6.1 Необходимое оборудование
Используют оборудование по
5.1.
6.2 Подготовка к испытаниям
6.2.1 Образец мерзлого грунта массой 0,5 - 2 кг (в зависимости от криогенной текстуры грунта) помещают в полиэтиленовый пакет, плотно завязывают; для предотвращения вытекания из пакета влаги пакет с грунтом помещают в предварительно высушенную чашку.
6.2.2 Дают грунту оттаять.
6.2.3 Весь образец грунта перемешивают, доводят до однородного состояния.
6.2.4 Пробу грунта отбирают согласно
5.2.1.
6.3 Проведение испытаний
Пробу грунта в бюксе взвешивают и высушивают в соответствии с требованиями
5.3.
6.4 Обработка результатов
Суммарную влажность мерзлого грунта
wtot рассчитывают согласно
5.4 по
формуле (1).
7 Определение верхнего предела пластичности - влажности грунта на границе текучести методом балансирного конуса
7.1 Границу текучести следует определять как влажность приготовленной из исследуемого грунта пасты, при которой балансирный конус погружается под действием собственной массы за 5 с на глубину 10 мм.
7.2 Необходимое оборудование:
- сушильный шкаф;
(в ред.
Изменения N 1, введенного в действие Приказом Росстандарта от 20.11.2024 N 1716-ст)
- металлические или стеклянные бюксы по
ГОСТ 25336;
- балансирный конус Васильева с цилиндрической чашкой (внутренний диаметр чашки (50 +/- 5) мм, внутренняя высота чашки (40 +/- 5) мм);
(в ред.
Изменения N 1, введенного в действие Приказом Росстандарта от 20.11.2024 N 1716-ст)
- фарфоровая по
ГОСТ 9147 или металлическая чашка диаметром 7 - 8 см;
- сито с сеткой 1 мм по действующим документам по стандартизации
<1>;
(в ред.
Изменения N 1, введенного в действие Приказом Росстандарта от 20.11.2024 N 1716-ст)
- мелкая терка;
- вазелин.
--------------------------------
<1> В Российской Федерации в соответствии с
ГОСТ Р 51568-99 "Сита лабораторные из металлической проволочной сетки. Технические условия".
(сноска в ред.
Изменения N 1, введенного в действие Приказом Росстандарта от 20.11.2024 N 1716-ст)
Примечание - Балансирный конус представляет собой металлический пенетрационный конус (угол при вершине 30°) с двумя противовесами, жестко закрепленными на нем так, что центр тяжести устройства в рабочем положении опущен ниже вершины конуса для устойчивости при измерениях. Конус имеет кольцевую риску - 10 мм от вершины и общую массу (76 +/- 0,2) г. Комплектуется чашкой для грунтовой пасты и подставкой.
7.3 Подготовка к испытаниям
7.3.1 Для определения границы текучести используют монолиты или образцы нарушенного сложения, для которых требуется сохранение природной влажности.
Для грунтов, содержащих органические вещества и илы, границу текучести определяют сразу после вскрытия образца, не допускается использование данных грунтов в воздушно-сухом состоянии.
Для грунтов, не содержащих органических веществ, возможно использование образцов грунтов в воздушно-сухом состоянии.
7.3.2 Образец грунта природной влажности разминают шпателем в чашке или натирают на мелкой терке с добавкой дистиллированной воды, если это требуется, удалив из него растительные остатки крупнее 1 мм, отбирают из размельченного грунта методом квартования по
ГОСТ 30416 пробу массой около 100 г. При наличии в грунтовой пасте включений размером более 1 мм требуется пропустить грунтовую пасту сквозь сито с сеткой N 1.
(в ред.
Изменения N 1, введенного в действие Приказом Росстандарта от 20.11.2024 N 1716-ст)
Пробу выдерживают в закрытом стеклянном сосуде не менее 2 ч. Для тяжелых суглинков и глин время выдержки увеличивают до 6 ч.
7.3.3 При проведении испытания с использованием образца грунта в воздушно-сухом состоянии его растирают в фарфоровой ступке или в растирочной машине, не допуская дробления частиц грунта и одновременно удаляя из него растительные остатки крупнее 1 мм, просеивают сквозь сито с сеткой 1 мм. Прошедший сквозь сито грунт увлажняют дистиллированной водой до состояния густой пасты, перемешивая шпателем, и выдерживают в закрытом стеклянном сосуде согласно
7.3.2.
(в ред.
Изменения N 1, введенного в действие Приказом Росстандарта от 20.11.2024 N 1716-ст)
7.3.4 Для удаления избытка влаги из образцов илов производят обжатие грунтовой пасты, помещенной в хлопчатобумажную ткань между листами фильтровальной бумаги, под давлением (пресс, груз). Грунтовую пасту из илов не допускается выдерживать в закрытом стеклянном сосуде.
7.3.5 Добавлять сухой грунт в грунтовую пасту не допускается.
7.4 Проведение испытаний
7.4.1 Подготовленную грунтовую пасту тщательно перемешивают шпателем и небольшими порциями плотно (без воздушных полостей) укладывают в цилиндрическую чашку. Поверхность пасты заглаживают шпателем вровень с краями чашки.
7.4.2 Балансирный конус, смазанный тонким слоем вазелина, подводят к поверхности грунтовой пасты так, чтобы его острие касалось пасты. Затем плавно отпускают конус, позволяя ему погружаться в пасту под действием собственного веса.
7.4.3 Погружение конуса в пасту в течение 5 с на глубину 10 мм показывает, что грунт имеет влажность, соответствующую границе текучести.
7.4.4 При погружении конуса в течение 5 с на глубину менее 10 мм грунтовую пасту извлекают из чашки, присоединяют к оставшейся пасте, добавляют немного дистиллированной воды, тщательно перемешивают ее и повторяют операции, указанные в
7.4.1 -
7.4.3.
(в ред.
Изменения N 1, введенного в действие Приказом Росстандарта от 20.11.2024 N 1716-ст)
7.4.5 При погружении конуса за 5 с на глубину более 10 мм грунтовую пасту из чашки перекладывают в фарфоровую чашку, слегка подсушивают на воздухе, непрерывно перемешивая шпателем, и повторяют операции, указанные в
7.4.1 -
7.4.3.
7.4.6 По достижении границы текучести
(7.4.3) из пасты отбирают пробы массой 15 - 30 г для определения влажности в соответствии с требованиями
5.2 -
5.3.
7.5 Обработка результатов
Влажность грунта на границе текучести
wL рассчитывают в соответствии с требованием
5.4.
8 Определение нижнего предела пластичности - влажности грунта на границе раскатывания
8.1 Границу раскатывания (пластичности) следует определять как влажность приготовленной из исследуемого грунта пасты, при которой паста, раскатываемая в жгут диаметром 3 мм, начинает распадаться на кусочки длиной 3 - 10 мм.
8.2 Необходимое оборудование
- сушильный шкаф;
(в ред.
Изменения N 1, введенного в действие Приказом Росстандарта от 20.11.2024 N 1716-ст)
- металлические или стеклянные бюксы по
ГОСТ 25336;
- балансирный конус Васильева с цилиндрической чашкой;
- фарфоровая по
ГОСТ 9147 или металлическая чашка диаметром 7 - 8 см;
- сито с сеткой 1 мм по действующим документам по стандартизации
<1>;
(в ред.
Изменения N 1, введенного в действие Приказом Росстандарта от 20.11.2024 N 1716-ст)
- мелкая терка;
- вазелин.
--------------------------------
<1> В Российской Федерации в соответствии с
ГОСТ Р 51568-99 "Сита лабораторные из металлической проволочной сетки. Технические условия".
(сноска введена
Изменением N 1, введенным в действие Приказом Росстандарта от 20.11.2024 N 1716-ст)
8.3 Подготовка к испытаниям
Подготовку грунта производят в соответствии с
7.3 или используют часть грунта (40 - 50 г), подготовленного для определения влажности на границе текучести.
(в ред.
Изменения N 1, введенного в действие Приказом Росстандарта от 20.11.2024 N 1716-ст)
8.4 Проведение испытаний
8.4.1 Подготовленную грунтовую пасту тщательно перемешивают, берут небольшой кусочек и раскатывают ладонью на стеклянной или пластмассовой пластинке до образования жгута диаметром около 3 мм. Также допускается раскатывание жгута пальцами одной руки по ладони другой. Если при этой толщине жгут сохраняет связность и пластичность, его собирают в комок и вновь раскатывают до образования жгута диаметром около 3 мм. Раскатывать следует, слегка нажимая на жгут, длина жгута не должна превышать ширины ладони. Раскатывание продолжают до тех пор, пока жгут не начинает распадаться по поперечным трещинам на кусочки длиной 3 - 10 мм.
8.4.2 Кусочки распадающегося жгута собирают в бюксы, накрываемые крышками. Когда масса грунта в стаканчиках достигнет 10 - 15 г, определяют влажность в соответствии с требованиями
5.2 -
5.3.
8.5 Обработка результатов
Влажность грунта на границе раскатывания
wр рассчитывают в соответствии с требованиями
5.4.
9 Определение плотности грунта (в т.ч. мерзлого) методом режущего кольца
9.1 Необходимое оборудование
- кольцо-пробоотборник;
- кольцо-насадка;
(в ред.
Изменения N 1, введенного в действие Приказом Росстандарта от 20.11.2024 N 1716-ст)
- нож;
- винтовой пресс;
- пластинки с гладкой поверхностью (из стекла, металла и т.д.);
- плоская лопатка;
- вазелин или консистентная смазка.
9.2 Подготовка к испытаниям
9.2.1 Согласно требованиям таблицы 1 выбирают режущее кольцо-пробоотборник.
Таблица 1
Размеры кольца-пробоотборника
Наименование и состояние грунтов | Размеры кольца-пробоотборника |
Толщина стенки, мм | Диаметр внутренний d, мм | Высота h | Угол заточки наружного режущего края |
Немерзлые глинистые грунты | 1,5 - 2,0 | >= 50 | 0,8 d >= h > 0,3 d | Не более 30° |
Немерзлые и сыпучемерзлые песчаные грунты | 2,0 - 4,0 | >= 70 | d > h > 0,3 d | Не более 30° |
Мерзлые глинистые грунты | 3,0 - 4,0 | >= 80 | h = d | 45° |
Примечание - При контроле плотности дорожных конструкций из несвязных грунтов рекомендуется применять режущее кольцо объемом 500 см3, схема которого приведена на рисунке 1. |
(примечание введено Изменением N 1, введенным в действие Приказом Росстандарта от 20.11.2024 N 1716-ст) |
Рисунок 1 - Схема режущего кольца
Приказом Росстандарта от 20.11.2024 N 1716-ст)
9.2.2 Кольца-пробоотборники изготавливают из стали с антикоррозионным покрытием или из других материалов, не уступающих по твердости и коррозионной стойкости.
9.2.3 Кольца нумеруют, штангенциркулем измеряют внутренний диаметр и высоту с погрешностью не более 0,1 мм и взвешивают. По результатам измерений вычисляют объем кольца с точностью до 0,1 см3.
9.2.4 Пластинки с гладкой поверхностью (из стекла, металла и т.д.) нумеруют и взвешивают.
9.3 Проведение испытания
9.3.1 Кольцо-пробоотборник смазывают с внутренней стороны тонким слоем вазелина или консистентной смазки.
9.3.2 Верхнюю зачищенную плоскость образца грунта выравнивают, срезая излишки грунта ножом, устанавливают на ней режущий край кольца и винтовым прессом или вручную через насадку слегка вдавливают кольцо в грунт, фиксируя границу образца для испытаний. Затем грунт снаружи кольца обрезают на глубину 5 - 10 мм ниже режущего края кольца, формируя столбик диаметром на 1 - 2 мм больше наружного диаметра кольца. Периодически, по мере срезания грунта, легким нажимом пресса или насадки насаживают кольцо на столбик грунта, не допуская перекосов. После заполнения кольца грунт подрезают на 8 - 10 мм ниже режущего края кольца и отделяют его.
Грунт, выступающий за края кольца, срезают ножом, зачищают поверхность грунта вровень с краями кольца и закрывают торцы пластинками.
9.3.3 При пластичном или сыпучем грунте кольцо плавно, без перекосов вдавливают в него и удаляют грунт вокруг кольца. Затем зачищают поверхность грунта, накрывают кольцо пластинкой и подхватывают его снизу плоской лопаткой.
9.3.4 Кольцо с грунтом и пластинками взвешивают.
9.4 Обработка результатов
Плотность грунта

, г/см
3, вычисляют по формуле

, (2)
где m1 - масса грунта с кольцом и пластинками, г;
m0 - масса кольца, г;
m2 - масса пластинок, г;
V - внутренний объем кольца, см3.
10 Определение плотности грунта методом взвешивания в воде
10.1 Необходимое оборудование
- нож;
(в ред.
Изменения N 1, введенного в действие Приказом Росстандарта от 20.11.2024 N 1716-ст)
- нить;
- парафин;
- песчаная баня;
- штатив.
10.2 Подготовка к испытаниям
10.2.1 Вырезают образец грунта объемом не менее 50 см3 и придают ему округлую форму, срезая острые выступающие части.
10.2.2 Образец обвязывают тонкой прочной нитью со свободным концом длиной 15 - 20 см, имеющим петлю для подвешивания к серьге весов.
10.2.3 Парафин, не содержащий примесей, нагревают до температуры 57 °C - 60 °C.
10.3 Проведение испытания
10.3.1 Обвязанный нитью образец грунта взвешивают.
10.3.2 Образец грунта покрывают парафиновой оболочкой, погружая его на 2 - 3 с в нагретый парафин. При этом пузырьки воздуха, обнаруженные в застывшей парафиновой оболочке, удаляют, прокалывая их и заглаживая места проколов нагретой иглой. Эту операцию повторяют до образования плотной парафиновой оболочки.
10.3.3 Охлажденный парафинированный образец взвешивают.
10.3.4 Затем парафинированный образец взвешивают в сосуде с водой. Для этого над чашей весов устанавливают подставку для сосуда с водой так, чтобы исключить ее касание к чаше весов (или снимают подвес с чашей с серьги, уравновесив весы дополнительным грузом). К серьге коромысла подвешивают образец и опускают в сосуд с водой. Объем сосуда и длина нити должны обеспечить полное погружение образца в воду. При этом образец не должен касаться дна и стенок сосуда.
Примечание - Допускается применять метод обратного взвешивания. На чашу циферблатных весов устанавливают сосуд с водой и взвешивают его. Затем в жидкость догружают образец, подвешенный к штативу, и вновь взвешивают сосуд с водой и погруженным в нее образцом.
10.3.5 Взвешенный образец вынимают из воды, промокают фильтровальной бумагой и взвешивают для проверки герметичности оболочки. Если масса образца увеличилась более чем на 0,02 г по сравнению с первоначальной, образец следует забраковать и повторить испытание с другим образцом.
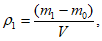
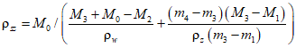
10.4 Обработка результатов
10.4.1 Плотность грунта

, г/см
3, вычисляют по формуле

, (3)
где m - масса образца грунта до парафинирования, г;
m1 - масса парафинированного образца грунта, г;
m2 - результат взвешивания образца в воде - разность масс парафинированного образца и вытесненной им воды, г;

- плотность парафина, принимаемая равной 0,900 г/см
3;

- плотность воды при температуре испытаний, г/см
3.
Примечание - Плотность парафина следует уточнять для каждой партии парафина. Плотность воды в зависимости от температуры следует принимать по справочному
приложению И.
10.4.2 При применении метода обратного взвешивания плотность грунта вычисляют по формуле

, (4)
m3 - масса сосуда с водой, г;
m4 - масса сосуда с водой и погруженным в нее парафинированным образцом, г.
11 Определение плотности мерзлого грунта методом взвешивания в нейтральной жидкости
11.1 Необходимое оборудование
- нейтральная жидкость (керосин, лигроин и др.);
- нить;
(в ред.
Изменения N 1, введенного в действие Приказом Росстандарта от 20.11.2024 N 1716-ст)
- штатив.
11.2 Подготовка к испытаниям
11.2.1 Образец грунта и нейтральная жидкость (керосин, лигроин и др.) должны иметь отрицательную температуру.
11.2.2 Образец грунта отбирают округлой формы массой 100 - 150 г и обвязывают нитью
(10.2.2). Для грунтов с немассивной криогенной текстурой масса образца может быть увеличена.
11.2.3 Определяют плотность нейтральной жидкости ареометром при температуре испытания.
11.3 Проведение испытаний
11.3.1 Обвязанный нитью образец грунта взвешивают.
11.3.2 Затем образец взвешивают, погрузив его в нейтральную жидкость. Взвешивание производят в соответствии с указаниями
10.3.4.
11.4 Обработка результатов
Плотность грунта

, г/см
3, вычисляют по формуле

, (5)
где m - масса образца (до погружения), г;
m1 - результат взвешивания образца в нейтральной жидкости - разность масс образца и вытесненной им жидкости, г;

- плотность нейтральной жидкости при температуре испытаний, г/см
3.
При применении метода обратного взвешивания плотность грунта вычисляют по формуле

, (6)
m3 - масса сосуда с нейтральной жидкостью, г;
m4 - масса сосуда с нейтральной жидкостью и погруженным в нее образцом, г.
12 Определение плотности скелета (сухого) грунта расчетным методом
12.1 Для определения плотности сухого грунта предварительно определяют влажность грунта и его плотность при этой влажности в соответствии с требованиями
разделов 5 -
6 и
9 -
11 настоящего стандарта.
12.2 Плотность сухого грунта

, г/см
3, вычисляют по формуле

, (7)
где

- плотность грунта, г/см
3;
w - влажность грунта, %.
13 Определение плотности частиц грунта пикнометрическим методом
Примечание - Плотность частиц грунта определяется отношением массы частиц грунта к их объему.
13.1 Необходимое оборудование
(в ред.
Изменения N 1, введенного в действие Приказом Росстандарта от 20.11.2024 N 1716-ст)
- сушильный шкаф;
(в ред.
Изменения N 1, введенного в действие Приказом Росстандарта от 20.11.2024 N 1716-ст)
- металлические или стеклянные бюксы по
ГОСТ 25336;
- термометр по
ГОСТ 28498 или погружной электронный термометр с погрешностью измерения +/- 0,5 °C;
(в ред.
Изменения N 1, введенного в действие Приказом Росстандарта от 20.11.2024 N 1716-ст)
- песчаная баня;
- дистиллированная вода;
(в ред.
Изменения N 1, введенного в действие Приказом Росстандарта от 20.11.2024 N 1716-ст)
- сито с сеткой 2 мм по действующим документам по стандартизации <1>.
(в ред.
Изменения N 1, введенного в действие Приказом Росстандарта от 20.11.2024 N 1716-ст)
--------------------------------
<1> В Российской Федерации в соответствии с
ГОСТ Р 51568-99 "Сита лабораторные из металлической проволочной сетки. Технические условия".
(сноска введена
Изменением N 1, введенным в действие Приказом Росстандарта от 20.11.2024 N 1716-ст)
13.2 Подготовка к испытаниям
13.2.1 Образец грунта в воздушно-сухом состоянии размельчают в фарфоровой ступке, отбирают методом квартования по
ГОСТ 30416 среднюю пробу массой 100 - 200 г и просеивают сквозь сито с сеткой 2 мм, остаток на сите растирают в ступке и просеивают сквозь то же сито.
(в ред.
Изменения N 1, введенного в действие Приказом Росстандарта от 20.11.2024 N 1716-ст)
13.2.2 Из перемешанной средней пробы берут навеску грунта из расчета 15 г на каждые 100 мл емкости пикнометра и высушивают до постоянной массы в соответствии с требованиями
5.2 -
5.3.
(в ред.
Изменения N 1, введенного в действие Приказом Росстандарта от 20.11.2024 N 1716-ст)
Допускается использовать грунт в воздушно-сухом состоянии, определив его гигроскопическую влажность.
13.2.3 Исключен с 01.04.2025. -
Изменение N 1, введенное в действие Приказом Росстандарта от 20.11.2024 N 1716-ст.
13.3 Проведение испытаний
13.3.1 Пикнометр, наполненный на 1/3 дистиллированной водой, взвешивают. Затем через воронку всыпают в него высушенную пробу грунта и снова взвешивают.
13.3.2 Пикнометр с водой и грунтом взбалтывают и ставят кипятить на песчаную баню. Продолжительность спокойного кипячения (с момента начала кипения) должна составлять: для песков и супесей - 30 мин, для суглинков и глин - 1 ч.
13.3.3 После кипячения пикнометр следует охладить и долить дистиллированной водой до мерной риски на горлышке, а если пикнометр с капилляром в пробке - до шейки пикнометра.
Пикнометр охлаждают до комнатной температуры в ванне с водой. Температуру пикнометра определяют по температуре воды в ванне, измеряемой с точностью до +/- 0,5 °C термометром, расположенным в средней части ванны между пикнометрами.
13.3.4 После охлаждения пикнометра следует поправить положение мениска воды в нем, добавляя из капельницы дистиллированную воду. В пикнометре с мерной риской низ мениска должен совпадать с ней. Возможные капли воды выше риски удаляют фильтровальной бумагой. Пикнометр с капилляром доливают примерно до середины шейки пикнометра, закрывают пробку и удаляют выступившую из капилляра воду фильтровальной бумагой. Проверяют отсутствие пузырьков воздуха под пробкой и при их наличии вновь доливают воду.
Пикнометр вытирают снаружи и взвешивают.
13.3.5 Далее выливают содержимое пикнометра, ополаскивают его, наливают в него дистиллированную воду и выдерживают в ванне с водой при той же температуре. Затем выполняют операции, указанные в
13.3.4, и взвешивают пикнометр с водой.
Примечание - При большом количестве испытаний следует заранее определить объемы пикнометров (до мерной риски) и их массы с водой при различных температурах, находящихся в интервале температур испытаний.
Объем пикнометра Vп, см3, вычисляют по формуле

, (8)
где

- масса пикнометра с дистиллированной водой (или нейтральной жидкостью) - при температуре тарировки, г;
mп - масса пустого пикнометра, г;

- плотность воды (или нейтральной жидкости) при той же температуре, г/см
3 (см.
приложение И - для дистиллированной воды).
Массу пикнометра с дистиллированной водой или нейтральной жидкостью m2, г, при температуре испытаний вычисляют по формуле

, (9)
где

- плотность воды (или нейтральной жидкости) при температуре испытаний.
13.4 Обработка результатов
Плотность частиц грунта

, г/см
3, вычисляют по формуле

, (10)
где m0 - масса сухого грунта, г;
m1 - масса пикнометра с водой и грунтом после кипячения при температуре испытания, г;
m2 - масса пикнометра с водой при той же температуре, г;

- плотность воды при той же температуре, г/см
3.
Примечание - Массу сухого грунта
m0 определяют как разность результатов двух взвешиваний, выполненных по
13.3.1.
В случае использования грунта в воздушно-сухом состоянии m0 вычисляют по формуле

(11)
Приказом Росстандарта от 20.11.2024 N 1716-ст)
где m - масса пробы воздушно-сухого грунта, г;
wg - гигроскопическая влажность грунта, %.
14 Определение плотности частиц грунта пикнометрическим методом с нейтральной жидкостью
14.1 Необходимое оборудование
(в ред.
Изменения N 1, введенного в действие Приказом Росстандарта от 20.11.2024 N 1716-ст)
- сушильный шкаф;
(в ред.
Изменения N 1, введенного в действие Приказом Росстандарта от 20.11.2024 N 1716-ст)
- металлические или стеклянные бюксы по
ГОСТ 25336;
- муфельная печь;
- нейтральная жидкость;
- ареометр для нейтральной жидкости по
ГОСТ 18481;
- сито с сеткой 2 мм по действующим документам по стандартизации <1>.
(в ред.
Изменения N 1, введенного в действие Приказом Росстандарта от 20.11.2024 N 1716-ст)
--------------------------------
<1> В Российской Федерации в соответствии с
ГОСТ Р 51568-99 "Сита лабораторные из металлической проволочной сетки. Технические условия".
(сноска введена
Изменением N 1, введенным в действие Приказом Росстандарта от 20.11.2024 N 1716-ст)
14.2 Подготовка к испытаниям
14.2.1 Подготовку пробы грунта производят в соответствии с указаниями
13.2.1 и
13.2.2.
14.2.2 Нейтральная жидкость (например, керосин) должна быть обезвожена и профильтрована. Керосин обезвоживают путем взбалтывания его с силикагелем, прокаленным в муфельной печи при температуре 500 °C в течение 4 ч. Силикагель берут из расчета 250 г на 1 л керосина.
Плотность керосина после обезвоживания и очистки должна быть установлена с помощью ареометра.
14.3 Проведение испытаний
Испытания проводят в соответствии с указаниями
13.3.1 -
13.3.5, применяя обезвоженный керосин вместо дистиллированной воды и вакуумирование вместо кипячения: степень разряжения при вакуумировании следует определять по началу выделения пузырьков воздуха; вакуумирование следует продолжать до прекращения выделения пузырьков, но не менее 1 ч. При всех взвешиваниях температура керосина должна быть постоянной, в пределах +/- 1 °C.
14.4 Обработка результатов
Плотность частиц грунта

, г/см
3, определенную с помощью нейтральной жидкости, вычисляют по формуле

, (12)
где m0 - масса сухого грунта, г;
m1 - масса пикнометра с керосином и грунтом, г;
m2 - масса пикнометра с керосином, г;

- плотность керосина при температуре испытания, г/см
3.
15 Определение плотности песчаного грунта в предельно рыхлом и предельно плотном состояниях
(раздел 15 введен
Изменением N 1, введенным в действие Приказом Росстандарта от 20.11.2024 N 1716-ст)
15.1 Необходимое оборудование
Оборудование включает в себя:
- стакан для уплотнения грунта (например, металлический цилиндр с плоским дном, объемом 250 см3 и внутренним диаметром (60 +/- 5) мм).
Примечание - Допускается применение стаканов для уплотнения грунта различной конструкции, позволяющих получать результат с заданной точностью;
- колотушка деревянная ((высота - (225 +/- 5) мм, диаметр - (40 +/- 5) мм));
- воронка конусообразная с длинным стеблем с диаметром выходного отверстия 7 мм;
- сито с диаметром отверстия или сеткой 5 мм по действующим документам по стандартизации
<1>;
- линейка металлическая негнущаяся длиной не менее 150 мм;
- противень лабораторный.
--------------------------------
<1> В Российской Федерации в соответствии с
ГОСТ Р 51568-99 "Сита лабораторные из металлической проволочной сетки. Технические условия".
15.2 Подготовка к испытаниям
15.2.1 Песчаный грунт, предназначенный для испытания в воздушно-сухом состоянии, высушивают на воздухе до тех пор, пока разница в его массе будет не более (0,5 +/- 0,1) г в сутки. Песчаный грунт в воздушно-сухом состоянии просеивают через сито.
15.2.2 Отбирают среднюю пробу песчаного грунта методом квартования по
ГОСТ 30416 из образца нарушенного сложения массой не менее 1000 г.
15.3 Проведение испытаний
15.3.1 Взвешивают пустой сухой стакан.
15.3.2 Для определения плотности песчаного грунта в предельно рыхлом состоянии стакан заполняют песчаным грунтом через воронку непрерывно до полного стакана (с горкой). Стебель воронки при заполнении стакана держат на расстоянии 10 - 20 мм от поверхности грунта в стакане.
15.3.3 Для определения плотности песчаного грунта в предельно плотном состоянии стакан заполняют песчаным грунтом слоями толщиной 10 - 20 мм, проводят уплотнение каждого слоя 40 простукиваниями деревянной колотушкой о стенки стакана.
15.3.4 Избыток грунта при полном заполнении стакана удаляют линейкой по уровню его края.
15.3.5 Взвешивают стакан с грунтом.
15.4 Обработка результатов
15.4.1 Плотность песчаного грунта в предельно рыхлом и предельно плотном состояниях следует определять, как отношение масс грунта в названных состояниях к их объемам.
15.4.2 Плотность грунта в предельно рыхлом состоянии

, г/см
3, вычисляют по формуле

(13)
где m1 - масса стакана с грунтом в рыхлом состоянии, г;
m0 - масса пустого стакана, г;
V - внутренний объем стакана, см3.
15.4.3 Плотность грунта в предельно плотном состоянии

, г/см
3, вычисляют по формуле

(14)
где m2 - масса стакана с грунтом в плотном состоянии, г.
15.4.4 Результаты испытаний округляют с точностью до 0,01 г/см3.
За результат испытаний принимают среднее арифметическое значение плотности грунта в предельно рыхлом или предельно плотном состоянии (не менее двух измерений плотности).
Данные испытаний и результаты следует указывать в журнале (рекомендуемая форма журнала приведена в
приложении М).
16 Определение угла естественного откоса песчаных грунтов
(раздел 16 введен
Изменением N 1, введенным в действие Приказом Росстандарта от 20.11.2024 N 1716-ст)
16.1 Необходимое оборудование
Оборудование включает в себя:
- прибор для определения угла естественного откоса песчаных грунтов (далее - прибор).
Примечание - Допускается применение приборов, имеющих различную конструкцию, позволяющих получать результат с заданной точностью;
- воронка конусообразная с длинным стеблем с диаметром выходного отверстия 7 мм;
- сито с сеткой 2 мм по действующим документам по стандартизации
<1>;
- линейка металлическая негнущаяся длиной не менее 150 мм;
- секундомер по действующим документам по стандартизации со средней абсолютной погрешностью за 30 мин +/- 1,0 с;
- лабораторный термометр с погрешностью измерения не более 0,5 °C по
ГОСТ 28498.
--------------------------------
<1> В Российской Федерации в соответствии с
ГОСТ Р 51568-99 "Сита лабораторные из металлической проволочной сетки. Технические условия".
16.2 Подготовка к испытаниям
16.2.1 Испытание проводят в воздушно-сухом и водонасыщенном состояниях песчаного грунта. Метод не распространяется на песчаные грунты, содержащие более 3% органических веществ.
16.2.2 Песчаный грунт, предназначенный для испытания в воздушно-сухом состоянии, высушивают на воздухе до тех пор, пока разница в его массе будет не более (0,5 +/- 0,1) г в сутки. Песчаный грунт в воздушно-сухом состоянии просеивают через сито.
16.2.3 Отбирают среднюю пробу песчаного грунта методом квартования по
ГОСТ 30416 из образца нарушенного сложения массой не менее 1000 г.
16.3 Проведение испытаний
16.3.1 Метод заключается в измерении угла между плоскостью свободного откоса насыпного грунта и горизонтальной плоскостью основания.
16.3.2 Прибор устанавливают на лабораторный противень на ровную поверхность и заполняют грунтом через воронку непрерывно до образования горки. Избыток грунта удаляют линейкой по уровню края вкладыша или обоймы прибора.
16.3.3 Осторожно устанавливают вкладыш или обойму с грунтом в прибор так, чтобы он оставался в горизонтальном положении.
16.3.4 Плавно за 5 - 6 с поворачивают вкладыш с помощью ручки на угол 45° до упора или поднимают обойму (створку), в зависимости от используемого прибора. Песок частично пересыпается в другое отделение, пока не наступает положение устойчивого равновесия. Угол между плоскостью свободного откоса и горизонтальной плоскостью является определяемым углом естественного откоса.
16.3.5 При определении угла естественного откоса грунта в водонасыщенном состоянии, после заполнения отделения или обоймы грунтом в соответствии с
16.3.1 -
16.3.2, резервуар наполняют водой температурой (20 +/- 5) °C. После полного насыщения пробы водой (появление пленки воды на поверхности грунта) определяют угол естественного откоса по
16.3.3.
16.4 Обработка результатов
16.4.1 Угол естественного откоса определяют по шкале градусов, нанесенной на стенки вкладыша или обоймы прибора. Показание определяют с точностью до 1°.
16.4.2 За результат испытаний принимают среднее арифметическое результатов не менее трех измерений угла естественного откоса.
16.4.3 Данные испытаний и результаты следует указывать в журнале (рекомендуемая форма журнала приведена в
приложении Н).
(обязательное)
ДОПУСТИМАЯ РАЗНИЦА
r РЕЗУЛЬТАТОВ ПАРАЛЛЕЛЬНЫХ ОПРЕДЕЛЕНИЙ
| Влажность грунта w, % |
до 5 | > 5 | > 10 | > 50 | > 100 |
r, % | 0,2 | 0,6 | 2,0 | 4,0 | 5,0 |
| Влажность грунта на границе текучести wL, % |
до 80 | 80 и более |
r, % | 2,0 | 4,0 |
| Влажность грунта на границе раскатывания wр, % |
до 40 | 40 и более |
r, % | 2,0 | 4,0 |
| Плотность грунта  , г/см 3 |
Песчаные грунты | Глинистые грунты |
r, г/см3 | 0,04 | 0,03 |
| Плотность частиц грунта  , г/см 3 |
До 2,75 | 2,75 и более |
r, г/см3 | 0,02 | 0,03 |
| Плотность песчаного грунта в рыхлом и плотном состояниях, г/см3 |
r, г/см3 | 0,02 |
(введено Изменением N 1, введенным в действие Приказом Росстандарта от 20.11.2024 N 1716-ст) |
| Угол естественного откоса песчаных грунтов, ° |
r, ° | 2 |
(введено Изменением N 1, введенным в действие Приказом Росстандарта от 20.11.2024 N 1716-ст) |
(рекомендуемое)
ЖУРНАЛ ОПРЕДЕЛЕНИЯ ВЛАЖНОСТИ ГРУНТА
N п/п | Дата | Лабораторный номер образца | Номер выработки | Глубина отбора образца грунта, м | Номер бюксы | Масса бюксы m, г | Масса влажного грунта с бюксой m0, г | Масса высушенного грунта с бюксой и крышкой m0, г | Влажность w, % |
1-е взвешивание | 2-е взвешивание | отдельной пробы | средняя |
1 | 2 | 3 | 4 | 5 | 6 | 7 | 8 | 9 | 10 | 11 | 12 |
| | | | | | | | | | | |
(рекомендуемое)
ЖУРНАЛ ОПРЕДЕЛЕНИЯ ГРАНИЦ ТЕКУЧЕСТИ
И РАСКАТЫВАНИЯ ГЛИНИСТЫХ ГРУНТОВ
N п/п | Дата | Лабораторный номер образца | Номер выработки | Глубина отбора образца грунта, м | Граница текучести |
Номер бюксы | Масса бюксы m, г | Масса влажного грунта с бюксой m1, г | Масса высушенного грунта с бюксой m0, г | Граница текучести wL, % |
1-е взвешивание | 2-е взвешивание | отдельной пробы | средняя |
1 | 2 | 3 | 4 | 5 | 6 | 7 | 8 | 9 | 10 | 11 | 12 |
| | | | | | | | | | | |
Продолжение
Граница раскатывания | Число пластичности Ip, %, Ip = wL - wр | Примечания |
Номер бюксы | Масса бюксы m, г | Масса влажного грунта с бюксой m1, г | Масса высушенного грунта с бюксой m0, г | Граница раскатывания wр, % |
1-е взвешивание | 2-е взвешивание | отдельной пробы | средняя |
13 | 14 | 15 | 16 | 17 | 18 | 19 | 20 | 21 |
| | | | | | | | |
(рекомендуемое)
ЖУРНАЛ ОПРЕДЕЛЕНИЯ ПЛОТНОСТИ ГРУНТА МЕТОДОМ РЕЖУЩЕГО КОЛЬЦА
N п/п | Дата | Лабораторный номер образца | Номер выработки | Глубина отбора образца грунта, м | Номер кольца | Номер пластинок | Масса кольца с грунтом и пластинками m1, г | Масса кольца m0, г | Масса пластинок, г | Масса грунта, г | Объем грунта V, см3 | Плотность грунта  , г/см 3 |
верхней | нижней | верхней | нижней | образца | средняя |
1 | 2 | 3 | 4 | 5 | 6 | 7 | 8 | 9 | 10 | 11 | 12 | 13 | 14 | 15 | 16 |
| | | | | | | | | | | | | | | |
(рекомендуемое)
ЖУРНАЛ ОПРЕДЕЛЕНИЯ ПЛОТНОСТИ ГРУНТА МЕТОДОМ
ВЗВЕШИВАНИЯ В ВОДЕ ПАРАФИНИРОВАННЫХ ОБРАЗЦОВ
N п/п | Дата | Лабораторный номер образца грунта | Номер выработки | Глубина отбора образца грунта, м | Масса, г | Плотность  , г/см 3 |
грунта до парафинирования | парафинированного грунта | парафинированного грунта в воде | контрольное взвешивание парафинированного грунта | образца | средняя |
1 | 2 | 3 | 4 | 5 | 6 | 7 | 8 | 9 | 10 | 11 |
| | | | | | | | | | |
(рекомендуемое)
ЖУРНАЛ ОПРЕДЕЛЕНИЯ ПЛОТНОСТИ ГРУНТА МЕТОДОМ ВЗВЕШИВАНИЯ
ОБРАЗЦА В НЕЙТРАЛЬНОЙ ЖИДКОСТИ
N п/п | Дата | Лабораторный номер образца | Номер выработки | Глубина отбора образца грунта, м | Масса, г | Температура жидкости, °C | Плотность нейтральной жидкости  , г/см 3 | Плотность  , г/см 3 |
образца в воздухе | образца в нейтральной жидкости | образца | средняя |
1 | 2 | 3 | 4 | 5 | 6 | 7 | 8 | 9 | 10 | 11 |
| | | | | | | | | | |
(рекомендуемое)
ЖУРНАЛ ОПРЕДЕЛЕНИЯ ПЛОТНОСТИ ЧАСТИЦ
ГРУНТА ПИКНОМЕТРИЧЕСКИМ МЕТОДОМ
N п/п | Дата | Лабораторный номер образца | Номер выработки | Глубина отбора образца, м | Номер пикнометра | Масса, г | Температура воды (керосина), °C | Плотность частиц грунта  , г/см 3 |
пикнометра, заполненного водой (керосином) на 1/3 его емкости | пикнометра, заполненного водой (керосином) на 1/3 его емкости и грунтом | пикнометра с водой (керосином) и грунтом | пикнометра с водой (керосином) | сухого грунта | образца | средняя |
1 | 2 | 3 | 4 | 5 | 6 | 7 | 8 | 9 | 10 | 11 | 12 | 13 | 14 |
| | | | | | | | | | | | | |
(справочное)
ПЛОТНОСТЬ ВОДЫ ПРИ РАЗЛИЧНЫХ ТЕМПЕРАТУРАХ
Температура, °C | Плотность, г/см3 | Температура, °C | Плотность, г/см3 |
0 - 12 | 1,000 | 24 - 27 | 0,997 |
12 - 18 | 0,999 | 29 - 30 | 0,996 |
19 - 23 | 0,998 | 31 - 33 | 0,995 |
(рекомендуемое)
ОПРЕДЕЛЕНИЕ ГРАНИЦЫ РАСКАТЫВАНИЯ (ПЛАСТИЧНОСТИ)
МЕТОДОМ ПРЕССОВАНИЯ
К.1 Границу раскатывания допускается определять как влажность грунтовой пасты, устанавливающуюся после прессования ее в контакте с целлюлозой (фильтровальной бумагой) под давлением 2 МПа (20 кг/см2) до завершения водоотдачи грунта.
К.2 Необходимое оборудование
- сушильный шкаф;
(в ред.
Изменения N 1, введенного в действие Приказом Росстандарта от 20.11.2024 N 1716-ст)
- металлические или стеклянные бюксы по
ГОСТ 25336;
- фарфоровая по
ГОСТ 9147 или металлическая чашка диаметром 7 - 8 см;
- сито с сеткой 1 мм по действующим документам по стандартизации
<1>;
(в ред.
Изменения N 1, введенного в действие Приказом Росстандарта от 20.11.2024 N 1716-ст)
- фильтровальная бумага;
- деревянные или металлические пластинки;
- пресс.
--------------------------------
<1> В Российской Федерации в соответствии с
ГОСТ Р 51568-99 "Сита лабораторные из металлической проволочной сетки. Технические условия".
(сноска введена
Изменением N 1, введенным в действие Приказом Росстандарта от 20.11.2024 N 1716-ст)
К.3 Подготовка к испытанию
Подготовку грунта проводят в соответствии с
7.3 или используют часть грунта (40 - 50 г), подготовленного для определения текучести.
К.4 Проведение испытаний
К.4.1 Шаблон толщиной 2 мм с отверстием 5 см укладывают на хлопчатобумажную ткань и заполняют грунтовой пастой, подготовленной по
7.3 настоящего стандарта. Избыток пасты удаляют шпателем до уровня края шаблона. Шаблон удаляют, а полученный образец покрывают сверху такой же тканью.
(в ред.
Изменения N 1, введенного в действие Приказом Росстандарта от 20.11.2024 N 1716-ст)
К.4.2 Снизу и сверху подготовленного образца укладывают по 20 листов фильтровальной бумаги размером 9 x 9 см. Подготовленный образец помещают между деревянными или металлическими пластинками и создают с помощью пресса давление на образец 2 МПа (20 кг/см2) в течение 10 мин.
К.4.3 Затем проводят контроль завершения водоотдачи грунта. Для этого снимают давление пресса, вынимают образец и, удалив фильтровальную бумагу и ткань, сгибают образец пополам. Границу раскатывания считают достигнутой, если образец на сгибе дает трещину.
К.4.4 При отсутствии трещины определение повторяют на новой порции пасты, увеличив длительность прессования на 10 мин по сравнению с длительностью предыдущего испытания. Повторные прессования повторяют до тех пор, пока не будет достигнута граница раскатывания грунта в соответствии с
п. К.4.3 настоящего приложения.
К.4.5 По достижении границы раскатывания сразу определяют влажность образца в соответствии с указаниями
раздела 5 настоящего стандарта.
К.4.6 Для контроля применимости метода для грунтов, поступающих в лабораторию, не менее 20% общего числа образцов из каждого инженерно-геологического элемента следует испытывать параллельно методом раскатывания согласно указаниям
раздела 8 настоящего стандарта. Метод прессования допускается применять только при получении сопоставимых результатов контрольных определений.
(рекомендуемое)
ОПРЕДЕЛЕНИЕ ПЛОТНОСТИ ЧАСТИЦ ЗАСОЛЕННЫХ ГРУНТОВ
В ВОДЕ МЕТОДОМ ДВУХ ПИКНОМЕТРОВ
Л.1 Необходимое оборудование
(в ред.
Изменения N 1, введенного в действие Приказом Росстандарта от 20.11.2024 N 1716-ст)
- сушильный шкаф;
(в ред.
Изменения N 1, введенного в действие Приказом Росстандарта от 20.11.2024 N 1716-ст)
- металлические или стеклянные бюксы по
ГОСТ 25336;
- песчаная баня;
- дистиллированная вода;
(в ред.
Изменения N 1, введенного в действие Приказом Росстандарта от 20.11.2024 N 1716-ст)
- сито с сеткой 2 мм по действующим документам по стандартизации <1>.
(в ред.
Изменения N 1, введенного в действие Приказом Росстандарта от 20.11.2024 N 1716-ст)
--------------------------------
<1> В Российской Федерации в соответствии с
ГОСТ Р 51568-99 "Сита лабораторные из металлической проволочной сетки. Технические условия".
(сноска введена
Изменением N 1, введенным в действие Приказом Росстандарта от 20.11.2024 N 1716-ст)
Л.2 Подготовка к испытанию
Подготовку образцов грунта к испытаниям следует проводить в соответствии с указаниями
13.2 настоящего стандарта.
Л.3 Проведение испытаний
Л.3.1 Выполняют операции, указанные в
13.3.1 -
13.3.3 настоящего стандарта.
Л.3.2 С помощью резиновой груши следуют осторожно отсасывать осветленную жидкость из верхней части пикнометра в малый пикнометр, объем которого не должен превышать 60% - 80% объема основного пикнометра. Положение мениска в малом пикнометре устанавливают согласно
13.3.4 настоящего стандарта, добавляя в него по каплям осветленный солевой раствор из большого пикнометра, при этом не допуская взмучивания осадка в большом пикнометре.
Малый пикнометр с жидкостью следует вытереть насухо и взвесить.
Л.3.3 Солевой раствор из малого пикнометра и суспензию из большого пикнометра выливают, прополаскивают их дистиллированной водой, наливают дистиллированную воду и выдерживают в ванне с водой.
Л.3.4 Далее выполняют операции, указанные в
13.3.4 настоящего стандарта, и взвешивают пикнометры с водой.
Л.4 Обработка результатов
Л.4.1 Плотность частиц засоленного грунта

, г/см
3, вычисляют по формуле

, (Л.1)
где M0 - масса грунта в пикнометре, г;
M1 - масса большого пикнометра (пустого), г;
M2 - масса большого пикнометра с водой и грунтом, г;
M3 - масса большого пикнометра с водой, г;
m1 - масса малого пикнометра (пустого), г;
m3 - масса малого пикнометра с водой, г;
m4 - масса малого пикнометра с солевым раствором, г;

- плотность растворимых солей (допускается принимать

);

- плотность воды при температуре испытания, г/см
3.
(рекомендуемое)
ЖУРНАЛ ОПРЕДЕЛЕНИЯ ПЛОТНОСТИ ПЕСЧАНОГО ГРУНТА
В ПРЕДЕЛЬНО ПЛОТНОМ И ПРЕДЕЛЬНО РЫХЛОМ СОСТОЯНИЯХ
Приказом Росстандарта от 20.11.2024 N 1716-ст)
N п/п | Дата проведения испытания | Лабораторный номер образца | Номер выработки | Глубина отбора образца грунта, м | Номер стакана | Масса стакана m0, г | Объем стакана V, см3 | Масса стакана с грунтом в предельно рыхлом состоянии m1, г | Масса стакана с грунтом в предельно плотном состоянии m2, г | Плотность грунта в предельно рыхлом состоянии  , г/см 3 | Плотность грунта в предельно плотном состоянии  , г/см 3 |
образца | средняя | образца | средняя |
1 | 2 | 3 | 4 | 5 | 6 | 7 | 8 | 9 | 10 | 11 | 12 | 13 | 14 |
| | | | | | | | | | | | | |
(рекомендуемое)
ЖУРНАЛ ОПРЕДЕЛЕНИЯ УГЛА ЕСТЕСТВЕННОГО ОТКОСА
ПЕСЧАНЫХ ГРУНТОВ
Приказом Росстандарта от 20.11.2024 N 1716-ст)
N п/п | Дата проведения испытания | Лабораторный номер образца | Номер выработки | Глубина отбора образца грунта, м | Угол естественного откоса в сухом состоянии, градусы | Угол естественного откоса в водонасыщенном состоянии, градусы |
образца | средняя | образца | средняя |
1 | 2 | 3 | 4 | 5 | 6 | 7 | 8 | 9 |
| | | | | | | | |
УДК 624.131.2:539.215.2:006.354 | |
Ключевые слова: инженерно-геологические изыскания, грунты, физические свойства грунтов, глинистые грунты, влажность грунта, суммарная влажность мерзлого грунта, плотность грунта, плотность частиц грунта, плотность скелета грунта, засоленный грунт, верхняя и нижняя граница пластичности, граница текучести и раскатывания |