Главная // Актуальные документы // Актуальные документы (обновление 2024.11.04-2024.11.30) // Журнал (форма)СПРАВКА
Источник публикации
М.: Стройиздат, 1979
Примечание к документу
Название документа
"Руководство по проектированию опускных колодцев, погружаемых в тиксотропной рубашке"
"Руководство по проектированию опускных колодцев, погружаемых в тиксотропной рубашке"
РУКОВОДСТВО
ПО ПРОЕКТИРОВАНИЮ ОПУСКНЫХ КОЛОДЦЕВ,
ПОГРУЖАЕМЫХ В ТИКСОТРОПНОЙ РУБАШКЕ
Рекомендовано к изданию объединенным научно-техническим советом института "Харьковский Промстройниипроект".
Руководство составлено к Инструкции СН 476-75 и содержит пояснения и вспомогательные материалы, а также примеры расчета и конструирования опускных колодцев, погружаемых в тиксотропной рубашке.
Руководство предназначено для инженерно-технических работников, занимающихся проектированием подземных сооружений.
Руководство по проектированию опускных колодцев, погружаемых в тиксотропной рубашке, разработано к Инструкции СН 476-75.
Использованный в Руководстве текст Инструкции СН 476-75 выделен полужирным шрифтом, а его пункты, формулы, таблицы и рисунки имеют двойную нумерацию: вначале по Руководству, а затем в скобках по Инструкции. В случае использования текста приложения к Инструкции к номеру в скобках приписывается номер приложения. Если внутри цитированного текста Инструкции есть ссылка на какие-либо ее пункты, то их нумерация в этом тексте сохранена по Инструкции, а для удобства пользования в скобках приведена нумерация по Руководству.
Руководство разработано Харьковским Промстройниипроектом Госстроя СССР (ответственный исполнитель - канд. техн. наук А.И. Байцур, исполнители: кандидаты техн. наук Б.Т. Тищенко, Э.Ю. Малый; инженеры Н.А. Кащеева, Г.С. Никульченко, А.Н. Приймак); при участии НИИОСП Госстроя СССР - устройство тиксотропной рубашки (д-р техн. наук М.И. Смородинов, канд. техн. наук С.А. Тер-Галустов; инженеры А.А. Арсеньев, В.Д. Иванов), НИИЖБ Госстроя СССР - стыки и расчет железобетонных элементов (кандидаты техн. наук И.Г. Людковский, Л.В. Касабьян, А.Н. Стульчиков), НИИСК Госстроя СССР - колодцы на подрабатываемых территориях (кандидаты техн. наук Н.С. Метелюк, Г.А. Червинский), института Приднепровский Промстройпроект Госстроя СССР - колодцы из плоских панелей (инженеры В.А. Пахманов, Б.Л. Белоцерковский, А.Ф. Мартюхина, Н.В. Гладышев), Ленинградского Промстройпроекта Госстроя СССР - монолитные железобетонные колодцы (инж. И.Б. Палатников), Донецкого Промстройниипроекта Госстроя СССР - колодцы на подрабатываемых территориях (кандидаты техн. наук Г.Р. Розенвассер, И.С. Дубянский, инж. Л.М. Шварц), ВНИИГС Минмонтажспецстроя СССР - расчеты колодцев (кандидаты техн. наук Е.М. Перлей, В.Ф. Раюк, А.Я. Серебро, инж. Г.А. Придчина), института Фундаментпроект Минмонтажспецстроя СССР - требования производства строительных работ (инженеры Н.К. Коньков, В.С. Александровский), Белгородского Технологического института строительных материалов Минвуза СССР - колодцы из блоков и гидроизоляция (канд. техн. наук В.А. Ивахнюк, инженеры М.П. Винаков, Н.Б. Соловьев) и Алтайского политехнического института Минвуза РСФСР - трение колодца по грунту (канд. техн. наук П.М. Хрупов).
Замечания и предложения просьба направлять в Харьковский Промстройниипроект по адресу: 310059, Харьков, проспект Ленина, 9.
1.1. Настоящее Руководство, составленное к "Инструкции по проектированию опускных колодцев, погружаемых в тиксотропной рубашке" (СН 476-75), рекомендуется использовать при проектировании заглубленных сооружений и глубоких опор во всех областях строительства.
1.2 (1.1). Требования настоящей Инструкции должны выполняться при проектировании железобетонных опускных колодцев (именуемых в дальнейшем "колодцами"), погружаемых в тиксотропной рубашке <1> и предназначенных для устройства заглубленных сооружений и глубоких опор.
--------------------------------
<1> Использован принцип, предусмотренный авторским свидетельством N 66941 "Способ уменьшения трения между грунтом и перемещаемым в нем сооружением", опубликованным в журнале "Открытия, изобретения, промышленные образцы, товарные знаки". М., 1946, N 8.
1.3 (1.2). Колодцы, погружаемые в тиксотропной рубашке, не допускается предусматривать при наличии на строительной площадке вечномерзлых грунтов, на геологически неустойчивых площадках (с оползнями, карстами, пустотами и т.п.), на площадках, где основания фундаментов рядом расположенных зданий и сооружений находятся в зоне обрушения грунта у колодца (за исключением случаев, когда специально предусмотренными мерами обеспечивается сохранность существующих фундаментов и сооружений), а также при производстве работ с открытым водоотливом в мелких и пылеватых песках, глинистых грунтах текучепластичной и текучей консистенции.
При определении размеров зоны обрушения грунта у колодца рекомендуется принимать поверхность скольжения ее под углом

к горизонту, где

- расчетное значение угла внутреннего трения грунта или усредненное значение его при слоистой толще, рад. При этом обрушение грунта может произойти только в результате аварии при погружении колодца, сопровождающейся ликвидацией тиксотропной рубашки.
1.4. При опускании колодцев в скальных грунтах (средней прочности, малопрочных и полускальных) производится предварительное рыхление породы. При этом степень ее дробления проектируется из условия недопущения утечки глинистого раствора из рубашки. Рекомендуется применение оконтуренных взрывов.
Разработку скальных грунтов, а также прослоек, имеющих скальные или полускальные включения, следует производить не только под банкеткой ножа, но и за пределами его наружной грани (причем ширина пазух должна быть не менее 10 см), и пазухи по мере опускания колодца должны подбиваться глинистым грунтом. Препятствия в виде валунов и т.п. при обнаружении должны сразу удаляться, а образовавшуюся полость следует заполнять грунтом, желательно глинистым.
1.6. Колодцы должны проектироваться на основании:
а) строительного задания, содержащего данные о назначении, габаритах и классе сооружения, нагрузках, воздействиях в условиях последующей эксплуатации, о влажностном режиме заглубленных помещений и категории допустимого увлажнения конструкций;
б) материалов инженерно-геологических и гидрогеологических изысканий и данных о климатических условиях района строительства;
в) генплана площадки с существующими и проектируемыми зданиями и сооружениями; по зданиям и сооружениям, попадающим в зону обрушения грунта у колодца, необходимо иметь данные о типе фундаментов, глубине их заложения, характеристиках грунтов ниже подошвы фундаментов и конструкции несущих элементов зданий и сооружений;
г) технических условий на проектирование, учитывающих местные условия строительства.
1.7. Инженерно-геологические изыскания, необходимые для проектирования и опускания колодцев, должны производиться в соответствии с требованиями главы СНиП по инженерным изысканиям для строительства и других нормативных документов, перечень которых приведен в п. 1.5 "Руководства по проектированию оснований зданий и сооружений" (М.: Стройиздат, 1978) с учетом следующих дополнительных условий:
при диаметре колодца менее 15 м в песчаных и глинистых грунтах количество инженерно-геологических скважин должно быть не менее 3, а глубина их должна быть на 5 м больше глубины колодца;
при диаметре колодца более 15 м, а также в сложных геологических и гидрогеологических условиях количество скважин и их глубина назначаются проектной организацией по специальной программе.
Скважины должны располагаться в пределах контура проектируемого опускного колодца либо вблизи него на расстоянии не более 5 м от наружного контура.
В описании геологического строения площадки приводятся геологические разрезы, на которых должны быть показаны напластования грунтов со всеми грунтовыми прослойками, мощности слоев и их наклон, а также должно быть указано наличие крупных включений, валунов и т.д. с их качественной и количественной характеристиками (размер, прочность, процентное содержание).
В инженерно-геологическом отчете должны быть приведены прогнозы максимального подъема уровня грунтовых вод и повышения степени агрессивности вод.
При наличии вблизи колодца водоема должны быть указаны расстояние до уреза воды, характер сезонного колебания уровня и связь грунтовых вод площадки с водоемом.
В случае применения искусственного водопонижения материалы изысканий должны быть представлены в объеме требований п. 4.9 СНиП III-9-74. Во время погружения глубоких колодцев в сложных гидрогеологических условиях рекомендуется проводить по контуру колодца опережающее зондирование.
1.8. В технических условиях на проектирование колодца определяются основные конструктивные решения, увязанные с характером производства строительных работ. Решения согласовываются с генпроектировщиком, специализированной строительной организацией и должны содержать:
основные принципы конструктивного решения;
очередность монтажа и опускания колодца по ярусам, максимальный вес сборных элементов (для сборных колодцев), условия бетонирования (для монолитных колодцев);
отметку дна первоначального котлована, с которого намечается производить погружение колодца;
порядок снятия опускного колодца с временного основания;
условия строительства примыкающих сооружений и коммуникаций;
способы опускания колодца (без водоотлива, с открытым водоотливом, с применением искусственного водопонижения, с подводной разработкой грунта);
рекомендуемый способ осушения площадки;
способы разработки и транспортировки грунта, места для отвала грунта;
рекомендуемые глины для приготовления тиксотропного раствора и состав его.
Конструктивное решение колодца выбирается на основе предварительной разработки и технико-экономической оценки возможных вариантов сооружения.
1.9. Колодцы погружаются с горизонтально спланированной поверхности грунта, или со дна первоначально отрытого котлована, или с поверхности искусственно отсыпанного острова. При этом временное основание колодца должно возвышаться не менее чем на 0,5 м над расчетным уровнем грунтовых вод или воды в водоеме (с учетом высоты накатывания волны). Размыв островка до полного опускания колодца не допускается. Бермы островков должны иметь ширину не менее 2 м.
Глубина первоначального котлована определяется геологическими условиями площадки, например необходимостью срезки заторфованных или илистых грунтов, а также размерами унифицированных конструкций колодца.
После погружения верх стен колодца должен возвышаться над поверхностью грунта не менее чем на 0,1 м.
1.10. Опускание колодцев вблизи существующих сооружений должно сопровождаться инструментальными наблюдениями за деформациями последних.
1.11. Во время опускания колодца в пределах зоны обрушения грунта допускается размещать строительные краны при условии учета нагрузки от них в расчете устойчивости грунтовой стенки тиксотропной рубашки, но запрещается располагать отвалы грунта, склады сборных железобетонных элементов, других конструкций и материалов.
1.12 (1.4). В проектах следует предусматривать погружение колодцев до возведения располагаемых вблизи фундаментов и других подземных частей зданий и сооружений.
1.13 (1.3). Сооружения, частично опирающиеся на колодец, должны быть отделены деформационными швами от конструкций, фундаменты которых имеют осадку, отличную от осадки колодца.
1.14 (1.5). Колодцы должны проектироваться с очертанием в плане в форме круга или вписанного в него многоугольника. Монолитные колодцы допускается проектировать прямоугольной формы.
Допускается проектировать колодцы овальной формы в плане.
Размеры колодцев должны приниматься по внутренним габаритам (диаметр или размер стороны) согласно табл. 1.1 (1) и 1.2 (2).
Габаритные схемы сборных железобетонных колодцев | N схемы | Размеры, мм | N схемы | Размеры, мм |
D0 | H0 | D0 | H0 |
| 1 | 6 | 9 | 27 | 30 | 9 |
2 | 9 | 9 | 28 | 12 |
3 | 12 | 9 | 29 | 15 |
4 | 12 | 30 | 18 |
5 | 15 | 31 | 24 |
6 | 18 | 32 | 30 |
7 | 15 | 9 | 33 | 36 | 9 |
8 | 12 | 34 | 12 |
9 | 15 | 35 | 15 |
10 | 18 | 36 | 18 |
11 | 18 | 9 | 37 | 24 |
12 | 12 | 38 | 30 |
13 | 15 | 39 | 42 | 12 |
14 | 18 | 40 | 15 |
15 | 21 | 9 | 41 | 18 |
16 | 12 | 42 | 24 |
17 | 15 | 43 | 30 |
18 | 18 | 44 | 48 | 18 |
19 | 24 | 45 | 24 |
20 | 30 | 46 | 30 |
21 | 24 | 9 | 47 | 54 | 18 |
22 | 12 | 48 | 24 |
23 | 15 | 49 | 30 |
| | ИС МЕГАНОРМ: примечание. Текст во второй графе дан в соответствии с официальным текстом документа. | |
|
| 23 | | 18 | 50 | 60 | 24 |
25 | 24 | 51 | 30 |
26 | 30 | 52 | 36 |
Габаритные схемы монолитных железобетонных колодцев (0,5a <= b <= 2a) | N схемы | Размеры, мм |
D0 (a) | H0 |
| 1 | 3 | 6 - 9,6 |
2 | 4, 5 |
3 | 6 |
4 | 9 | 9,6 - 12 |
5 | 12 |
6 | 15 | 9,6 - 20,4 |
7 | 18 |
8 | 21 | 9,6 - 20,4 |
9 | 24 |
10 | 30 | 15,6 - 42 |
11 | 36 |
12 | 42 |
13 | 48 |
14 | 54 |
15 | 60 |
Допускается принимать для сборных колодцев диаметр, равный 7, 8, 10, 11, 13, 14, 16, 17, 66, 72 и 78 м, а для монолитных колодцев - диаметр или длину стороны кратными 1 м.
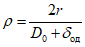
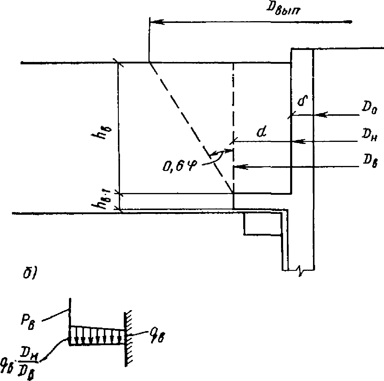
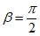
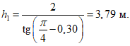
1.15 (1.6). Внутренние размеры колодцев в плане (используемых для помещений) должны быть более размеров, необходимых для размещения оборудования и устройства проходов, на величину
, м [рис. 1.1 (1)], определяемую по формуле

[1.1
(1)]
где H0 - внутренняя глубина колодца, м.
Рис. 1.1 (1).
Габариты опускного колодца
1 - габарит помещения по технологическому заданию;
2 - габарит сооружения, опирающегося на колодец; 
и
- дополнительные размеры, определяемые
по формулам [1.1 (1)] и [1.2 (2)]
Пример. Определить глубину первоначального котлована Hпк, м, и внутренние размеры сборного железобетонного колодца для помещения с отметкой пола - 18,9 м и оборудованием, которое размещается с проходами (в плане) в пределах круга диаметром 29,6 м.
Принимаем глубину колодца H0 = 15 м из условия решения стен из одного яруса плоских панелей.
Определяем глубину первоначального котлована:
Hпк = 18,9 - 15 + 0,1 = 4 м.
Определяем величину

по формуле [
1.1 (1)]:
Определяем диаметр колодца:
D0 = 29,6 + 0,35 = 29,95 ~= 30 м.
Проемы и отверстия в наружных стенах колодцев следует предусматривать больше размеров технологического оборудования по высоте на 0,2 м и по ширине на 0,1 м. В опорах днища и перекрытий следует предусматривать допускаемые отклонения на +/- 0,1 м от проектных отметок уступов, консолей и обрезов на наружных стенах колодцев.
1.16 (1.7). Наружные размеры колодцев для глубоких опор в плане поверху должны быть шире надфундаментной части на величину
[см. рис. 1.1 (1)], определяемую по формуле

[1.2
(2)]
где Hк - глубина погружения колодца, м.
Допускается надфундаментную часть, имеющую в плане размеры,

размеров колодцев, опирать на перекрытие и консоли колодца.
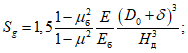
1.17 (1.8). Железобетонные стены колодцев следует проектировать из тяжелого бетона плотной структуры проектной марки не ниже М 200 для монолитных и не ниже М 300 для сборных конструкций. Проектную марку бетона или раствора для замоноличивания стыков сборных конструкций следует принимать не ниже проектной марки бетона соединяемых элементов.
Железобетонные днища колодцев следует проектировать монолитными из тяжелого бетона плотной структуры проектной марки не ниже М 150, а при подводном бетонировании - не ниже М 200.
Бетон для колодцев, погружаемых в обводненные грунты, должен иметь проектную марку по водонепроницаемости не ниже B4, марку по морозостойкости не ниже Мрз 50 и объемный вес не менее 2,2 тс/м3.
1.18 (1.9). При проектировании колодцев, предназначенных для эксплуатации в условиях агрессивной среды, надлежит выполнять требования главы СНиП по защите строительных конструкций от коррозии.
1.19. Объем, содержание и оформление проектов колодцев должны соответствовать требованиям нормативных документов, при этом рабочий проект колодца рекомендуется разрабатывать в следующем составе:
общестроительные чертежи (на разрезах следует показывать прилегающие к сооружению напластования грунтов);
маркировочные чертежи сборных элементов и детали узлов;
опалубочные чертежи с закладными элементами;
арматурные чертежи (для монолитных колодцев высотой более 15 м арматурные чертежи следует увязывать с разбивкой на блоки бетонирования);
чертежи стальных конструкций, в том числе щитов для временного заполнения больших проемов на период погружения, и др.;
указания по технологической последовательности и особым требованиям к возведению колодца, взаимосвязанные с конструктивным решением.
1.20. Проект искусственного водопонижения на время возведения колодца разрабатывается проектной организацией и входит составной частью в проект производства работ.
Время отключения водопонизительных скважин после опускания колодца и бетонирования днища должно быть оговорено в рабочих чертежах с учетом расчета на всплывание.
1.21. Для колодцев I класса сооружений, а также имеющих диаметр более 42 м, сооружаемых в сложных геологических и гидрогеологических условиях, рекомендуется предусматривать контроль внешних сил напряжений и деформаций при опускании. Расположение и крепление датчиков и кабельные разводки к ним предусматриваются в проекте.
2. НАГРУЗКИ И ВОЗДЕЙСТВИЯ
2.1 (2.1). При проектировании колодцев должны учитываться нагрузки и воздействия, возникающие в условиях строительства и эксплуатации сооружения.
2.2 (2.2). Нормативные нагрузки, коэффициенты перегрузки и сочетания нагрузок должны приниматься в соответствии с требованиями глав СНиП по нагрузкам и воздействиям и по проектированию оснований зданий и сооружений с учетом дополнительных требований, приведенных в пп. 2.3 - 2.33 (2.3 - 2.20).
Нагрузки и воздействия, возникающие
в условиях строительства
2.3 (2.3). Нагрузки и воздействия, возникающие в условиях строительства колодцев, и соответствующие им коэффициенты перегрузки должны приниматься по табл. 2.1 (3).
Нагрузки и воздействия | Единица измерения | Обозначение нагрузок и воздействий [ рис. 2.1 и 2.2 ( 2 и 3)] | Коэффициент перегрузки n | Номер пункта Руководства (Инструкции), по которому определяются нагрузки и воздействия |
Постоянные | | | | |
1. Веса строительных конструкций (стен, днища и тампонажа щели рубашки) | тс | G0; GD; Gт | 1,1 (0,9) | |
2. Основное давление грунта (горизонтальное) на колодец | тс/м2 | pг | 1,1 (0,9) | |
3. Дополнительное давление грунта (горизонтальное) на колодец, вызываемое наклоном пластов грунта | " | pг.1 | 1,1 (0,9) | |
4. Гидростатическое давление грунтовых вод (горизонтальное) на стены и (вертикальное) на днище колодца | " | pW | 1,1 (0,9) | |
5. Усилия трения ножа колодца и тампонажа щели тиксотропной рубашки по грунту, вызванные при всплывании колодца | тс | Tн.1; Tт.1 | 1,0 | |
6. Пригрузка колодца анкерами в прилегающем грунте против всплывания | " | Qпр.а | 1,0 | |
Кратковременные | | | | |
7. Гидростатическое давление глинистого раствора в зоне тиксотропной рубашки | тс/м2 | pт | 1,2 (0,8) | |
8. Дополнительное давление грунта (горизонтальное) на колодец, вызываемое нагрузками, расположенными на поверхности грунта, креном и навалом колодца | " | pг.2; pг.2а; pг.2б; pг.2в; pг.3; pг.4 | 1,0 | |
9. Усилия трения ножа колодца и уплотнителя по грунту, вызванные при погружении колодца | тс | Tн; Tу | 1,1 | |
10. Пригрузка колодца при погружении | " | Qпр | 1,0 | |
11. Усилие сопротивления грунта под подошвой ножа при погружении колодца и сопротивление грунта под днищем | тс | Rн; RD | - | |
12. Активное давление грунта (горизонтальное), уравновешиваемое давлением глинистого раствора в щели тиксотропной рубашки | тс/м2 | pгщ.к; pгщ; pгщ.м | 1,1 | |
Примечания: 1. Значения коэффициента перегрузки, указанные в скобках, должны приниматься при расчете конструкций на погружение, всплывание, устойчивость положения против опрокидывания, а также в других случаях, когда ухудшаются условия работы конструкции.
2. При расчете колодцев и их оснований по деформациям коэффициент перегрузки следует принимать равным единице.
3.
Поз. 10 относится также к случаю задавливания колодца с помощью домкратов, усилия которых воспринимаются грунтовыми анкерами.
Рис. 2.1 (2). Схемы колодца с расчетными нагрузками
и воздействиями, возникающими в условиях строительства
при погружении [обозначение нагрузок и воздействия
Рис. 2.2 (3). Схема колодца с расчетными нагрузками
и воздействиями, возникающими в условиях строительства
при всплывании [обозначение нагрузок и воздействий
2.4. При расчете сборных элементов колодцев на воздействие усилий, возникающих при их подъеме, транспортировании и монтаже, нагрузку от собственного веса элемента следует вводить в расчет с коэффициентом динамичности, равным: 1,8 - при транспортировании и 1,5 - при подъеме и монтаже. В этом случае коэффициент перегрузки к нагрузке от собственного веса элемента не вводится.
2.5 (2.4). Нормативные значения веса стен
, тс, днища
, тс, и тампонажа щели рубашки
, тс, следует определять по проектным размерам элементов, принимая вес железобетонных конструкций в соответствии с требованиями главы СНиП по проектированию бетонных и железобетонных конструкций.
Для колодцев, погружаемых в обводненные грунты без водопонижения с подводной разработкой грунта, собственный вес части стен колодца в период погружения, находящихся ниже уровня грунтовых вод, следует определять с учетом взвешивающего действия воды, вытесненной стенами колодца.
2.6 (2.5). Давление грунта (горизонтального) на колодец должно определяться как сумма давлений: основного - от грунта с горизонтальной поверхностью и дополнительного - от наклона пластов, расположенной на поверхности нагрузки, а также давления, вызываемого креном и навалом погружаемого колодца.
2.7 (2.6). Нормативное значение основного давления грунта (горизонтального)
, тс/м2, на колодец следует определять как давление грунта в состоянии покоя с горизонтальной поверхностью по формуле

[2.1
(3)]
где k0 - коэффициент бокового давления грунта в состоянии покоя, принимаемый: для крупнообломочных грунтов 0,3; для песков и супесей 0,4; для суглинков 0,5; для глин 0,7;

-
нормативное значение объемного веса грунта в состоянии природной влажности, тс/м3;
H - расстояние от поверхности грунта до рассматриваемого сечения колодца, м.
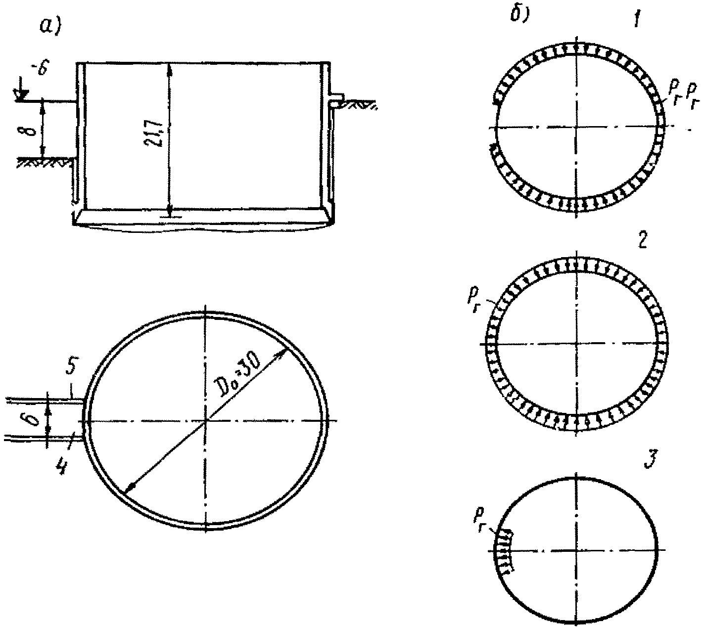
Если колодец погружается в грунт с разнородными напластованиями (рис. 2.3), значение основного давления грунта
, тс/м2, должно определяться для каждого i-го слоя (i = 1, 2, 3...) по формуле [2.2 (4)]; при этом вес вышележащей толщи грунтов принимается как пригрузка

[2.2
(4)]
где k0 i -
коэффициент бокового давления грунта в состоянии покоя рассматриваемого пласта грунта (i), принимаемый таким, как в формуле [2.1 (3)];

и
Hi -
соответственно (для рассматриваемого пласта) объемный вес грунта, тс/м3, и расстояние от поверхности данного пласта до уровня рассчитываемого сечения колодца, м;

и
hc -
соответственно объемный вес грунта, тс/м3, и толщина каждого вышележащего пласта грунта, м.
Рис. 2.3. Эпюра основного давления грунта с разнородными
напластованиями (горизонтального) на колодец
Значение основного давления грунта
на участке стены колодца ниже тиксотропной рубашки (т.е. на участке ножа) определяется по формулам [2.1 (3)] или [2.2 (4)] для глубины H =
Hк - 0,5
Hн и принимается равномерно распределенным по высоте ножа (здесь Hк -
глубина погружения колодца, м, а Hн -
высота ножевой части, м).
Основное давление грунта в пределах плана колодца принимается: для круглых колодцев - осесимметричным, для прямоугольных - равномерно распределенным.
Пример. Определить расчетное значение основного давления грунта (горизонтального) на нож колодца во время погружения с водопонижением на глубину
Hк = 15 м. Высота ножевой части
Hн = 2 м. Грунты: с поверхности до глубины 10 м залегают пески с объемным весом

, ниже - суглинки с объемным весом

и коэффициентом бокового давления
k0 = 0,5. Коэффициент перегрузки
n = 1,1. Принимаем расчетную глубину
H = 15 - 0,5·2 = 14 м. Определяем расчетное значение основного давления грунта (горизонтального) на колодец
pг, тс/м
2, по формуле [
2.2 (4)].
pг = 1,1·0,5(1,9·10 + 2·4) = 14,85 тс/м2.
2.8. Нормативное значение основного давления грунта на колодцы, заглубленные в обводненные грунты, определяется по формулам:
выше водоупорного слоя

(2.3)
в водоупорном слое

(2.4)
где pб - нормативное значение природного (бытового) давления грунта на уровне рассчитываемого сечения колодца с учетом взвешивающего действия грунтовых вод;
k0 i - значение то же, что и в
п. 2.7 (2.6);
hв.с - разность отметок поверхности грунта и водоупорного слоя, м;
hв - разность отметок поверхности грунта и уровня грунтовых вод, м;

- нормативное значение объемного веса воды, равное 1 тс/м
3.
Пример. Определить расчетное значение основного давления грунта (горизонтального) на колодец на глубине
Hк = 15 м. Уровень грунтовых вод залегает на глубине 5 м. Грунты: с поверхности до глубины 10 м - пески, имеющие выше уровня грунтовых вод объемный вес

; ниже - залегают глины с объемным весом

и коэффициентом бокового давления
k0 = 0,7. Коэффициент перегрузки
n = 1,1. Определяем объемный вес песка (удельный вес

, коэффициент пористости
e = 0,6) ниже уровня грунтовых вод

, тс/м
3, по
формуле (2.6) (6):
Определяем значения:
pб = 1,9·5 + 1,03·5 + 2·5 = 24,65 тс/м2;
hв.с = 10 м; hв = 5 м.
Определяем основное давление грунта (горизонтальное) на колодец
pг, тс/м
2, по
формуле (2.4):
pг = 1,1[24,65 + (10 - 5)1]0,7 = 23,9 тс/м2.
2.9 (2.7). Нормативное значение дополнительного давления грунта (горизонтального) на колодец, вызываемого наклоном пластов грунта
, тс/м2, определяется по формуле

[2.5
(5)]
где 
-
коэффициент, зависящий от угла наклона пластов, принимаемый при:

, рад

0,139 ..................................... 0,02
0,175 ..................................... 0,06
0,262 ..................................... 0,13
0,349 ..................................... 0,25
0,437 ..................................... 0,37
0,524 ..................................... 0,5

- угол наклона к горизонту плоскости, построенный по усредненным значениям наклона поверхности подстилаемого слоя или прослоек, рад;

-
нормативное значение основного давления грунта, определяемое по формуле [2.1 (3)].
| | ИС МЕГАНОРМ: примечание. Номер формулы дан в соответствии с официальным текстом документа. | |
Формула [
2.5 (3)] применяется: для обводненных песчаных грунтов, супесей и суглинков, если они подстилаются скальными или крупнообломочными грунтами или полутвердыми и твердыми глинами с наклоном поверхности, равным

, рад; для глин с наклоненными на

, рад, прослойками обводненных песков; для супесей и суглинков, подстилаемых обводненными скальными, крупнообломочными или песчаными грунтами с наклоном поверхности, равным

, рад.
Дополнительное давление грунта на колодец, вызываемое наклоном пластов грунта, неравномерно нагружает колодец с одной стороны, вызывая симметричный отпор грунта с противоположной стороны.
Для круглых колодцев эту нагрузку следует принимать изменяющейся в плане по синусоиде 
[
рис. 2.4 (4)],
где 
-
полярный угол, а полярная ось совпадает с горизонтальным следом наклонной плоскости. Для прямоугольных колодцев дополнительное давление равномерно распределенное и принимается для отдельных сторон в зависимости от угла, образуемого главными осями колодца и следом наклонной плоскости.
Рис. 2.4 (4). Схема дополнительного давления грунта
в пределах плана круглого колодца, вызываемого наклоном
пластов грунта, креном или навалом колодца

-
полярный угол
Пример. Определить расчетное значение дополнительного давления глинистого грунта (горизонтального) на прямоугольный колодец, вызываемого наличием прослоек супесей с
IL > 0,75, наклоненными на

. Угол между осью колодца, параллельной длинной стороне, и следом наклонной плоскости
(рис. 2.5). Принимаем

.
Рис. 2.5. Схемы прямоугольного колодца, нагруженного
дополнительным давлением грунта (горизонтальным), вызванного
наклоном слоев грунта
1 - след наклонной плоскости; 2, 3 - направление уклона
и угол наклона прослойки супеси
и то же, на короткую сторону
2.10 (2.8). Гидростатическое давление грунтовых вод pW,
тс/м2 (горизонтальное) на стены и (вертикальное) на днище колодца следует учитывать для частей колодца, погружаемых ниже уровня грунтовых вод в пески, супеси, суглинки, илы и другие грунты, кроме водоупорных грунтов в основании.
Горизонт грунтовых вод следует принимать наиболее высокий при данных условиях работы сооружения.
Гидростатическое подъемное давление грунтовых вод на днище колодца должно приниматься приложенным по низу железобетонной плиты днища.
Нормативное значение общего горизонтального давления на колодец, погруженный ниже уровня грунтовых вод, должно определяться как сумма давлений: гидростатического давления грунтовых вод
, основного
и дополнительного
давлений грунта. При этом основное давление грунта определяется как для пласта, расположенного ниже уровня грунтовых вод, по формуле [2.2 (4)], в которой объемный вес грунта с учетом взвешивающего действия воды
, тс/м3, определяется по формуле

[2.6
(6)]
где 
-
нормативное значение удельного веса грунта, принимаемое по данным инженерно-геологических изысканий;

-
нормативное значение объемного веса воды, принимаемое равным 1 тс/м3;
e - коэффициент пористости грунта природного сложения.
2.11 (2.9). Нормативное значение усилия трения ножа колодца по грунту
, тс, возникающего при всплывании колодца, следует определять по формуле

[2.7
(7)]
где m - коэффициент условий работы, учитывающий происшедшее нарушение контакта колодца с грунтом при возникновении кренов во время погружений колодца, принимаемый равным 0,5;
u - наружный периметр колодца на уровне ножа, м;
Hн - высота ножа, м;
fн -
нормативное сопротивление грунта на боковой поверхности ножевой части погружаемого колодца, определяемое по табл. 2.2 (4).
Глубина погружения основания ножа, м | Нормативное сопротивление грунта на боковой поверхности ножевой части погружаемого колодца fн, тс/м2 |
пески | глинистые грунты |
гравелистые, крупные и средней крупности | мелкие и пылеватые | суглинки и глины твердые и полутвердые, а также тугопластичные глины | супеси твердые и пластичные, суглинки туго- и мягкопластичные, глины мягкопластичные | супеси текучие, суглинки и глины текучие и текучепластичные и илы текучие |
плотные | средней плотности | рыхлые | плотные и средней плотности | рыхлые |
10 | 6,0 | 5,3 | 4,7 | 4,3 | 4,7 | 3,3 | 2,0 |
15 | 7,1 | 6,3 | 5,6 | 5,1 | 6,0 | 4,4 | 2,5 |
20 | 8,2 | 7,3 | 6,5 | 5,9 | 7,3 | 5,5 | 3,0 |
25 | 9,3 | 8,3 | 7,4 | 6,7 | 8,6 | 6,6 | 3,5 |
30 | 10,4 | 9,3 | 8,3 | 7,5 | 9,9 | 7,7 | 4,0 |
35 | 11,5 | 10,3 | 9,2 | 8,3 | 11,2 | 8,8 | 4,5 |
40 | 12,6 | 11,3 | 10,1 | 9,1 | 12,5 | 9,9 | 5,0 |
Примечание. Для промежуточных глубин погружения колодца значения fн определяются интерполяцией.
Нормативное значение усилий трения тампонажа щели тиксотропной рубашки по грунту
, тс, возникающего при всплывании колодца, следует определять по формуле

[2.8
(8)]
где m - коэффициент условий работы, принимаемый равным 0,5;
u - наружный периметр колодца на уровне ножа, м;
Hт - высота тиксотропной рубашки, м;

-
нормативное сопротивление грунта на боковой поверхности тампонажа щели тиксотропной рубашки при всплывании, принимаемое при тампонаже цементно-песчаным раствором по
табл. 2.2 (4), если значение
fн <= 4 тс/м
2, и равным 4 тс/м
2 в остальных случаях.
Нормативное сопротивление грунта
на боковой поверхности колодца в зоне тиксотропной рубашки колодца при всплывании без устройства тампонажа следует принимать равным нулю.
Пример. Определить расчетные значения усилия трения ножа высотой
Hн = 2 м, имеющего наружный периметр
u = 98 м, и усилия трения тампонажа щели тиксотропной рубашки высотой
Hт = 19 м по грунту, вызванные при всплывании колодца. Нормативное сопротивление песчаного грунта на боковой поверхности ножевой части
fн = 8,2 тс/м
2 и тампонажа

. Коэффициент перегрузки
n = 1
. Определяем расчетные значения усилий трения при всплывании по формулам [
2.7 (7)] и [
2.8 (8)]:
Tн.1 + Tт.1 = 1·0,5·98·2·8,2 + 1·0,5·98·19·4 = 4540 тс.
2.12 (2.10). Нормативное значение пригрузки колодца анкерами в прилегающем грунте против всплывания
, тс, следует определять в зависимости от несущей способности конструкции заанкеривания. Несущую способность анкеров колодцев следует определять расчетом по предельным состояниям конструкции анкеров и их оснований, принимая меньшее из двух значений. При этом определенная расчетом деформация подъема колодца при всплывании не должна превышать 20 мм. Рекомендуется проводить статические испытания не менее двух анкеров.
2.13 (2.11). Нормативное значение гидростатического давления глинистого раствора
, тс/м2, действующего в зоне тиксотропной рубашки, в период погружения колодца следует определять по формуле

[2.9
(9)]
где 
-
нормативное значение удельного веса тиксотропного раствора, тс/м3;
Hт - расстояние от проектного уровня глинистого раствора тиксотропной рубашки до рассматриваемого сечения колодца, м.
2.14 (2.12). Нормативное значение кратковременных дополнительных давлений грунта (горизонтальных) на колодец должно определяться от нагрузок и воздействий, вызываемых нагрузками, расположенными на поверхности грунта, креном и навалом колодца, которые неравномерно нагружают колодец с одной стороны, вызывая симметричный отпор грунта с противоположной стороны.
Для круглых колодцев давления, вызываемые креном или навалом, следует принимать изменяющимися в плане по синусоидам 
;

,
см. рис. 2.4 (4). Для прямоугольных колодцев давление, вызываемое креном или навалом, принимается приложенным поочередно к каждой паре параллельных сторон. Максимумы давлений, вызываемые креном и навалом колодца, могут быть приложены с любой стороны колодца.
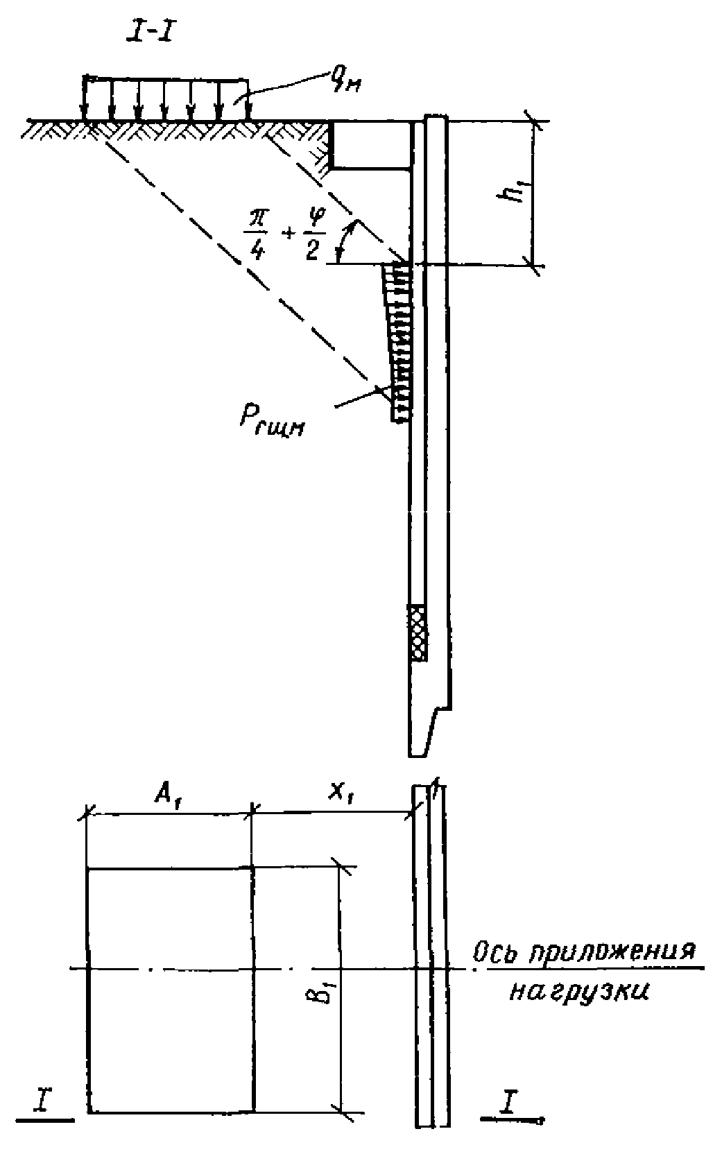
При отрывке вблизи колодца одностороннего котлована (например, для подводящих коммуникаций) нормативное значение кратковременного давления грунта (горизонтального) на колодец следует определять:
для зоны выше дна котлована - как местное давление (на участках без выемки) по формуле [2.1 (3)];
для зоны ниже дна котлована - как сумму давлений: основного, определяемого по формуле [2.1 (3)], и дополнительного от местной нагрузки на поверхности вышележащей насыпи, определяемого по формуле [2.12 (2 прил. 1)].
2.15 (2.12 и прил. 1). Нормативные значения кратковременных дополнительных давлений грунта (горизонтальных) от нагрузок, расположенных на поверхности

, тс/м
2, определяются от следующих нагрузок:
сплошной вертикальной равномерно распределенной нагрузки 
,

[2.10
(10)]
где k0 -
значение то же, что и в формуле [2.1 (3)];
пригрузки поверхности вертикальной сосредоточенной силой 
,
тс, или вертикальной равномерно распределенной на прямоугольной площадке поверхности нагрузки
, тс/м2, следует определять как местное, имеющее пространственную форму эпюры, которая строится по точкам регулярной сетки, разбитой со стороны нагрузки по наружной поверхности колодца [рис. 2.6 (рис. 1, прил. 1)]. При этом дополнительное давление грунта с одной стороны колодца вызывает симметричный отпор грунта с противоположной стороны.
Рис. 2.6 (1 прил. 1). Схема воздействий горизонтальных
давлений на прямоугольный колодец от сосредоточенной
вертикальной силы
и местной вертикальной, равномерно
распределенной нагрузки 
а - сетка на наружной поверхности колодца; б - значение
давления в точках пересечения сетки [pг.2б или pг.2в -
Давление в каждой точке следует определять с учетом концентрации напряжений в грунте, вызываемых жесткостью сооружений, по следующим формулам:
от вертикальной сосредоточенной силы
, тс

[2.11 (
1 прил. 1)]
от вертикальной равномерно распределенной нагрузки
, тс/м2, приложенной на прямоугольной площадке с размерами сторон 2A x 2B

[2.12 (
2 прил. 1)]
где значения коэффициентов
и
для точек, замаркированных на рис. 2.6 (1 прил. 1), приведены для разных видов грунтов в табл. 2.3; при этом значение

соответствует условию
x + B >=
H0; для
x + B = 0,75
H0,
x + B = 0,5
H0 и
x + B = 0,25
H0 следует принимать соответственно

;

и

;
x - расстояние по горизонтали от сосредоточенной силы или равнодействующей равномерно распределенной нагрузки до колодца, м.
В расчетах круглых колодцев дополнительное давление принимается как радиально направленная нагрузка, при этом значение ее, вычисленное для отдельных точек наружной поверхности по формулам [2.11 (1 прил. 1)] и [2.12 (2 прил. 1)], следует умножить на
, где
- угол между первоначальным направлением нагрузки и продолжением радиуса, проведенного через рассматриваемую точку [рис. 2.7 (2 прил. 1)].
Рис. 2.7 (2 прил. 1). Схема воздействий
горизонтальных давлений на круглый колодец
1 - значения давлений, вычисленные по формулам
2 - соответствующие им радиальные давления
Пример. Определить расчетное значение дополнительного давления грунта (горизонтального) на колодец после засыпки первоначального котлована, вызываемого пригрузкой поверхности во время строительства гусеничным краном марки СКГ-100
(рис. 2.8). Вес крана 130,5 т и груза 40 т. Минимальное приближение полосы гусеницы крана к стене колодца равно 1,52 м. Грунты - пески;
k0 = 0,4. Коэффициент перегрузки
n = 1,1;
n' = 0,8.
Рис. 2.8. Схема местной пригрузки поверхности у колодца
гусеничным краном СКГ-100 (а) в условиях строительства
Определяем расчетное давление полос гусениц на грунт:
Разбиваем каждую полосу на три равных прямоугольника и заменяем равномерно распределенную нагрузку на них эквивалентными сосредоточенными силами Qп, тс, приложенными по центру прямоугольников:
Дополнительное давление грунта (горизонтальное) на колодец
pг.2б, тс/м
2, определяем для точек сетки по формуле [
2.11 (
1 прил. 1)] и
табл. 2.3 (
1 прил. 1). Расстояние до колодца от силы ближней полосы

и от силы дальней полосы

.
N точки | Коэффициент бокового давления грунта состояния покоя k0 | Коэффициент  | Коэффициент  , при отношениях |
| |
| 1,0 | 2,0 | | 1,0 | 2,0 |
1 | 0,4 (при песках и супесях) | 0,102 | 0,130 | 0,160 | 0,189 | 0,270 | 0,276 | 0,280 |
2 | 0,188 | 0,250 | 0,307 | 0,364 | 0,377 | 0,389 | 0,400 |
3 | 0,130 | 0,110 | 0,158 | 0,226 | 0,130 | 0,234 | 0,308 |
4 | 0,052 | 0,041 | 0,073 | 0,106 | 0,054 | 0,102 | 0,181 |
5 | 0,020 | 0,022 | 0,029 | 0,035 | 0,024 | 0,044 | 0,066 |
6 | 0,065 | 0,089 | 0,132 | 0,176 | 0,163 | 0,228 | 0,272 |
7 | 0,127 | 0,175 | 0,244 | 0,313 | 0,216 | 0,332 | 0,395 |
8 | 0,096 | 0,096 | 0,143 | 0,190 | 0,103 | 0,203 | 0,300 |
9 | 0,047 | 0,036 | 0,061 | 0,086 | 0,046 | 0,097 | 0,173 |
10 | 0,017 | 0,019 | 0,028 | 0,032 | 0,020 | 0,042 | 0,056 |
11 | 0,033 | 0,045 | 0,104 | 0,164 | 0,080 | 0,174 | 0,260 |
12 | 0,053 | 0,071 | 0,167 | 0,263 | 0,125 | 0,268 | 0,388 |
13 | 0,048 | 0,060 | 0,107 | 0,155 | 0,069 | 0,166 | 0,290 |
14 | 0,027 | 0,032 | 0,054 | 0,071 | 0,037 | 0,090 | 0,163 |
15 | 0,012 | 0,015 | 0,023 | 0,029 | 0,016 | 0,039 | 0,042 |
1 | 0,5 (при суглинках) | 0,123 | 0,156 | 0,258 | 0,350 | 0,371 | 0,377 | 0,381 |
2 | 0,211 | 0,282 | 0,353 | 0,424 | 0,478 | 0,490 | 0,500 |
3 | 0,137 | 0,116 | 0,188 | 0,260 | 0,182 | 0,294 | 0,410 |
4 | 0,057 | 0,045 | 0,081 | 0,116 | 0,085 | 0,156 | 0,286 |
5 | 0,023 | 0,025 | 0,040 | 0,054 | 0,054 | 0,109 | 0,144 |
6 | 0,077 | 0,105 | 0,222 | 0,339 | 0,251 | 0,329 | 0,373 |
7 | 0,137 | 0,189 | 0,298 | 0,407 | 0,319 | 0,398 | 0,496 |
8 | 0,102 | 0,102 | 0,174 | 0,216 | 0,136 | 0,240 | 0,402 |
9 | 0,050 | 0,038 | 0,073 | 0,109 | 0,073 | 0,142 | 0,276 |
10 | 0,020 | 0,022 | 0,036 | 0,051 | 0,048 | 0,095 | 0,129 |
11 | 0,035 | 0,048 | 0,129 | 0,210 | 0,091 | 0,275 | 0,362 |
12 | 0,055 | 0,074 | 0,196 | 0,299 | 0,102 | 0,296 | 0,490 |
13 | 0,051 | 0,064 | 0,147 | 0,230 | 0,078 | 0,174 | 0,392 |
14 | 0,029 | 0,034 | 0,064 | 0,096 | 0,058 | 0,126 | 0,260 |
15 | 0,014 | 0,017 | 0,028 | 0,040 | 0,039 | 0,079 | 0,110 |
1 | 0,7 (при глинах) | 0,163 | 0,209 | 0,307 | 0,405 | 0,560 | 0,578 | 0,582 |
2 | 0,241 | 0,320 | 0,396 | 0,471 | 0,680 | 0,692 | 0,700 |
3 | 0,152 | 0,129 | 0,213 | 0,296 | 0,396 | 0,475 | 0,610 |
4 | 0,066 | 0,052 | 0,094 | 0,137 | 0,184 | 0,348 | 0,481 |
5 | 0,028 | 0,031 | 0,050 | 0,069 | 0,106 | 0,190 | 0,304 |
6 | 0,098 | 0,134 | 0,263 | 0,391 | 0,450 | 0,530 | 0,573 |
7 | 0,154 | 0,212 | 0,332 | 0,451 | 0,500 | 0,605 | 0,696 |
8 | 0,113 | 0,113 | 0,184 | 0,256 | 0,330 | 0,428 | 0,601 |
9 | 0,056 | 0,043 | 0,086 | 0,129 | 0,159 | 0,332 | 0,464 |
10 | 0,025 | 0,028 | 0,046 | 0,065 | 0,088 | 0,177 | 0,288 |
11 | 0,037 | 0,050 | 0,170 | 0,290 | 0,196 | 0,472 | 0,562 |
12 | 0,059 | 0,079 | 0,203 | 0,328 | 0,269 | 0,500 | 0,691 |
13 | 0,056 | 0,070 | 0,136 | 0,203 | 0,169 | 0,370 | 0,588 |
14 | 0,034 | 0,040 | 0,073 | 0,105 | 0,129 | 0,313 | 0,436 |
15 | 0,018 | 0,022 | 0,037 | 0,051 | 0,067 | 0,162 | 0,260 |
Расчетная величина давлений определяется как сумма радиальных давлений от сил ближней и дальней полос с учетом круглой формы колодца. Результаты расчета значений
pг.2б, тс/м
2, приведены в
табл. 2.4.
Глубина точки от поверхности грунта z, м | Давление от одной силы на ближней полосе, тс/м2 | Давление от одной силы на дальней полосе, тс/м2 | Расчетное давление, тс/м2 |
y = 0 | y = 2,07 м | y = 0 | y = 2,07 м | y = 0 | y = 2,07 м |
0,52 | 0,595 | 0,191 | - | - | 0,977 | 0,786 |
1,03 | 1,09 | 0,31 | 0,048 | 0,039 | 2,97 | 2,2 |
2,07 | 0,76 | 0,28 | 0,07 | 0,05 | 1,49 | 1,1 |
3,1 | 0,31 | 0,157 | 0,09 | 0,057 | 0,828 | 0,614 |
4,15 | 0,116 | 0,07 | - | - | 0,256 | 0,186 |
2.16 (2.12). Нормативное значение кратковременного давления грунта (горизонтального), вызываемого креном колодца (давлением упругого отпора грунта в зоне ножа)

, тс/м
2, в расчетах с учетом совместной работы колодца с грунтом определяется по формуле

[2.13
(11)]
где Hн - высота ножа, м;
E - значение средневзвешенного модуля деформации грунта, прилегающего к стене колодца, тс/м2;
Dн - наружный диаметр колодца в зоне ножа, м;
Hт - высота тиксотропной рубашки, м.
В расчетах без учета упругого отпора грунта в ножевой части давление

, тс/м
2, определяется по формуле

(2.14)
Пример. Определить расчетное значение кратковременного давления грунта (горизонтального), вызываемого креном колодца, диаметром Dн = 31,3 м, имеющего высоту тиксотропной рубашки Hт = 16 м и высоту ножа Hн = 2 м. Колодец погружается в суглинки с объемным весом 1,8 тс/м3; коэффициент бокового давления k0 = 0,5, а коэффициенты перегрузки n = 1 и n' = 0,8.
Определяем расчетное значение давления грунта, вызываемого креном
pг.3, тс/м
2, по
формуле 2.13 (11):
Определяем расчетное значение основного давления грунта
pг, тс/м
2, по формуле [
2.1 (3)] на глубине
H = 16 + 1 = 17 м:
pг = 1,1·0,5·1,8·17 = 16,8 тс/м2;
2.17 (2.12).
Нормативное значение кратковременных дополнительных давлений грунта (горизонтальных), вызываемых навалом колодца (давлением в зоне тиксотропной рубашки
, тс/м2, определяется по формуле

[2.15
(12)]
где 
-
нормативное значение гидростатического давления, действующего в зоне тиксотропной рубашки, определяемое в соответствии с требованиями п. 2.13 (2.11), тс/м2.
2.18 (2.13).
Нормативное значение усилия трения ножа колодца по грунту
, тс, вызванного погружением колодца, должно определяться по формуле

[2.16
(13)]
где u - наружный периметр колодца на уровне ножа, м;
Hн - высота ножа, м;
fн -
нормативное сопротивление грунта на боковой поверхности ножевой части погружаемого колодца, определяемое по табл. 2.2 (4).
Нормативное значение усилия трения уплотнителя по грунту
, тс, вызванного погружением колодца, следует определять по формуле

[2.17
(14)]
где Hу - высота уплотнителя, м;

-
нормативное сопротивление грунта на боковой поверхности уплотнителя (требования к конструкции которого приведены в п. 4.24 (4.11) погружаемого колодца, следует принимать равным 2 тс/м2.
2.19 (2.14). Пригрузку колодцев Qпр,
тс, при погружении допускается предусматривать при соответствующем технико-экономическом обосновании и осуществлять грузами или при помощи домкратов и соответствующих анкеров.
В случае применения метода задавливания колодца домкратами расчет конструкций колодца должен учитывать сосредоточенные вертикальные нагрузки от домкратов.
2.20 (2.15). Расчетное значение усилия сопротивления грунта под подошвой ножа колодца при погружении колодца Rн,
тс, следует определять по формуле
где Fн - площадь подошвы ножа, м2;
R -
расчетное давление на основание под подошвой ножа колодца при погружении колодца, тс/м2, определяемое в соответствии с требованиями главы СНиП по проектированию оснований зданий и сооружений.
Расчетное значение усилия сопротивления грунта под днищем RD,
тс, не должно превышать произведения площади основания и расчетного давления на основание R,
тс/м2, определяемого в соответствии с требованиями главы СНиП по проектированию оснований зданий и сооружений. Допускается учитывать уменьшение расчетного давления на основание вследствие обводнения слагающих его грунтов, если это предусматривается проектом производства строительных работ.
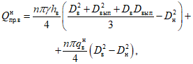
Для маловлажных мелких и пылеватых песков, супесей и суглинков с коэффициентом пористости e < 0,5 и глин с e > 0,8 допускается принимать расчетное давление на основание R = 30 тс/м2, для супесей и суглинков с e < 0,5 - R = 20 тс/м2; при этом для водонасыщенных грунтов вышеприведенные значения уменьшаются вдвое. Для колодцев, погружаемых в крупнообломочные грунты, плотные, крупные и средней крупности пески, глины с e < 0,8, а также при необходимости опережающего заглубления ножа в грунт рекомендуется предусматривать заостренный конец ножей. При ширине горизонтальной проекции заглубленного в грунт ножа, равной или меньшей 0,1 м, площадь подошвы ножа принимается Fн = 0.
Пример. Определить для колодца диаметром
D0 = 15 м и толщиной ножевой части

усилия сопротивления грунта под подошвой ножа шириной

, заглубленной в суглинки (коэффициент пористости
e = 0,46; показатель консистенции
IL = 1).
Определяем площадь подошвы ножа.
Диаметр колодца по оси основания ножа:
Dн 0 = 15,9 - 0,2 = 15,7 м;
Fп = 3,14·15,7·0,2 = 9,86 м2.
Принимаем R = 30·0,5 = 15 тс/м2.
Определяем по формуле [
2.18 (15)] расчетное значение усилия сопротивления грунта под подошвой ножа
Rн = 9,86·15 = 148 тс.
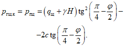
2.21 (2.16). При расчете колодца на сочетание нагрузок от дополнительного горизонтального давления на нож колодца, возникающих в условиях строительства (при погружении колодца), должно быть соблюдено условие

[2.19
(16)]
2.22. Расчетное значение активного давления грунта (горизонтального), уравновешиваемое давлением глинистого раствора в щели тиксотропной рубашки
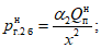
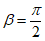
pгщ.к,
pгщ и
pгщ.м, тс/м
2, следует определять по формулам:
а) для круглого колодца, погружаемого в песчаные грунты,
pгщ.к (рис. 2.9):

(2.20)
где

- расчетное значение объемного веса грунта в состоянии природной влажности, тс/м
3;
rщ - радиус грунтовой стенки тиксотропной рубашки, м;

- расчетное значение угла внутреннего трения грунта или усредненное значение его при слоистой толще, рад;

- коэффициент:
rв - абсцисса точки пересечения линии скольжения с горизонтальной поверхностью:
(здесь H - расстояние от поверхности до рассматриваемого сечения колодца, м);
qщ - расчетное значение сплошной вертикальной равномерно распределенной нагрузки, определяемое при коэффициенте перегрузки n = 1 тс/м2;
c - расчетное значение удельного сцепления грунта или усредненное значение его при слоистой толще, тс/м2.
Рис. 2.9. Эпюра активного давления песчаного грунта
(горизонтального), уравновешиваемого давлением глинистого
раствора в щели тиксотропной рубашки круглого колодца
Пример. Определить активное давление грунта (горизонтальное), уравновешиваемое давлением глинистого раствора в щели тиксотропной рубашки на глубине
H = 10 м, для колодца с радиусом грунтовой стенки тиксотропной рубашки
rщ = 15,75 м, погружаемого в песчаные грунты, имеющие расчетное значение объемного веса

; угла внутреннего трения

и удельного сцепления
c = 0,5 тс/м
2 при пригрузке поверхности грунта сплошной вертикальной равномерно распределенной нагрузкой
qщ = 2 тс/м
2.
Определяем вспомогательные величины:
rв = 15,75·10tg0,485 = 21 м.
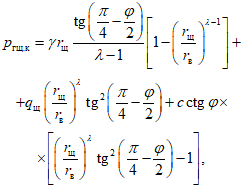
б) для круглого колодца, погружаемого в глинистые грунты,
pгщ.к и прямоугольного колодца, погружаемого в песчаные и глинистые грунты,
pгщ (рис. 2.10):

(2.21)
Рис. 2.10. Эпюра активного давления грунта
(горизонтального), уравновешиваемого давлением глинистого
раствора в щели тиксотропной рубашки круглых колодцев,
погружаемых в глинистые грунты, и прямоугольных колодцев,
погружаемых в глинистые и песчаные грунты
Пример. Определить активное давление грунта (горизонтальное), уравновешиваемое давлением глинистого раствора в щели тиксотропной рубашки на глубине
H = 10 м, для колодца, погружаемого в глинистые грунты, имеющие расчетное значение объемного веса

, угол внутреннего трения

и удельное сцепление
c = 2 тс/м
2 при пригрузке поверхности сплошной вертикальной равномерно распределенной нагрузкой
qщ = 2 тс/м
2.
pгщ = (2 + 2·10)tg2(0,635) - 2·2tg(0,635) = 5,9 тс/м2;
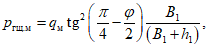
в) для прямоугольного колодца от местной пригрузки поверхности вертикальной равномерно распределенной на прямоугольной площадке поверхности нагрузки
qм (рис. 2.11):

(2.22)
где
(x1 - расстояние от колодца до ближайшей стороны загруженной площадки, м).
Рис. 2.11. Эпюра активного давления грунта
(горизонтального), вызываемого местной пригрузкой
поверхности, уравновешиваемого давлением глинистого раствора
в щели тиксотропной рубашки
Пример. Определить активное давление грунта (горизонтальное), уравновешиваемое давлением глинистого грунта в щели тиксотропной рубашки, для колодца, погружаемого в песчаные грунты, имеющие угол внутреннего трения

, вызываемое вертикальной нагрузкой строительного башенного крана БКСМ-5-5Б, имеющего общий вес с грузом
Qб.к = 80 тс, колею и базу по 4,5 м. Расстояние от наружной грани стены колодца до оси крановых путей 4,5 м. Принимаем, что нагрузка от крана равномерно распределяется на поверхности, имеющей размеры
A1 =
B1 = 5 м. Тогда:
x1 = 4,5 - 2,5 = 2 м;
2.23 (2.16). При расчете колодца на нагрузки и воздействия, возникающие в условиях строительства, расчетные значения кратковременных нагрузок, приведенные в поз. 7 - 12 табл. 2.1 (3), следует снижать на 20%, вводя коэффициент
n' = 0,8.
Нагрузки и воздействия, возникающие в условиях эксплуатации
2.24 (2.17). Нагрузки и воздействия, возникающие в условиях эксплуатации колодцев, и соответствующие им коэффициенты перегрузки должны приниматься по табл. 2.5 (5).
Нагрузки и воздействия | Единица измерения | Обозначение нагрузок и воздействий [ рис. 2.12 (5)] | Коэффициент перегрузки n | Номер пункта Руководства (Инструкции), по которому определяются нагрузки и воздействия |
Постоянные | | | | |
1. Вес строительных конструкций | тс | Gк | 1,1 (0,9) | |
2. Основное давление грунта (горизонтальное) на колодец | тс/м2 | pг | 1,1 (0,9) | |
3. Дополнительное давление грунта (горизонтальное) на колодец, вызываемое наклоном пластов и постоянной нагрузкой на поверхности | " | pг.1; pг.2а; pг.2б; pг.2в | 1,1 (0,9) | |
4. Гидростатические давления грунтовых вод (горизонтальное) на стены и (вертикальное) на днище колодца | " | pW | 1,1 (0,9) | |
5. Усилия трения ножа колодца и тампонажа щели рубашки по грунту, вызванные при всплывании колодца | тс | Tн.1; Tт.1 | 1,0 | |
6. Пригрузка колодца анкерами в прилегающем грунте против всплывания | " | Qпр.а | 1,0 | |
7. Усилие сопротивления грунта под днищем | " | RD | - | |
Временные длительные | | | | |
8. Дополнительное давление грунта (горизонтальное) на колодец, вызываемое длительными нагрузками, расположенными на поверхности грунта, и весом стационарного оборудования | тс/м2 | pг.2б; pг.2в | 1,2 (0,8) | |
Особые | | | | |
9. Давление грунта на колодец, вызываемое деформацией земной поверхности при подработке территории | " | qг.к; qг | | |
| | ИС МЕГАНОРМ: примечание. В официальном тексте документа, видимо, допущена опечатка: пункт 2.34 отсутствует. | |
|
10. Сейсмическое инерционное давление грунта на колодец | тс/м2 | qс.к; qс | - | 2.34 (2.20) |
Примечания: 1. Значения коэффициента перегрузки, указанные в скобках, должны приниматься при расчете конструкций на всплывание, устойчивость положения против опрокидывания, а также в других случаях, когда ухудшаются условия работы конструкции.
2. При расчете колодцев и их оснований по деформациям коэффициент перегрузки следует принимать равным единице.
Рис. 2.12 (5). Схемы колодца с расчетными нагрузками
и воздействиями, возникающими в условиях нормальной
эксплуатации [обозначение нагрузок и воздействий
2.25 (2.18). Нагрузки, приведенные в табл. 2.5 (5) для условий эксплуатации, следует рассчитывать в соответствии с требованиями к определению аналогичных нагрузок, возникающих в условиях строительства, с учетом следующего:
а) нормативное значение веса строительных конструкций колодца
, тс, следует определять исходя из нормативного веса всех элементов, зданий и сооружений, опирающихся на колодец, а также расположенных внутри колодца, с учетом требований, изложенных в п. 2.5 (2.4);
б) при расчете колодца на сочетание нагрузок от дополнительного горизонтального давления грунта, возникающих в условиях эксплуатации колодца, должно быть соблюдено условие

[2.23
(17)]
в) при определении нормативного значения гидростатического давления грунтовых вод
, тс/м2, определяемого в соответствии с требованиями, изложенными в п. 2.10 (2.8), следует учитывать прогнозируемый повышенный средний уровень грунтовых вод, определяемый в соответствии с требованиями главы СНиП по проектированию оснований зданий и сооружений, при этом произведение

не должно превышать гидростатического давления, возникающего при максимально возможном подъеме грунтовых вод;
г) при определении нормативного значения дополнительного давления грунта (горизонтального) на колодец 
и

,
вызываемого нагрузками на поверхности грунта, вертикальная нагрузка от веса вблизи расположенных зданий, сооружений и стационарного оборудования 
и
прикладывается по подошве их фундаментов, где 
и

-
нормативные значения вертикальной сосредоточенной нагрузки и вертикальной нагрузки, равномерно распределенной на прямоугольной площадке поверхности.
Пример. Определить дополнительное давление грунта (горизонтальное) на колодец (
D0 = 24 м;

;
H = 18 м), вызываемое пригрузкой поверхности фундаментом сооружения
(рис. 2.13). Грунты супеси

;
k0 = 0,4. Среднее расчетное давление фундамента на грунт
R = 24 тс/м
2.
Рис. 2.13. Схема местной пригрузки поверхности у колодца
фундаментом здания (а) в условиях эксплуатации
Природное давление грунта (вертикальное) на глубине 2 м
pбz = 2·2 = 4 тс/м
2. Дополнительное расчетное давление от фундамента

.
Дополнительное давление грунта (горизонтальное), радиально направленное на колодец, определяем для точек сетки по
формуле (2.12) и
табл. 2.3:
A = 1,5 м;
B = 3 м;

;
x = 5 м;

;
x +
B = 5 + 3 = 0,444
H0, что соответствует

;
при
y = 0

;
при
y = 2,5 м

,

;
при
y = 5 м

,

.
Результаты расчета значений

;

приведены в
табл. 2.6.
Глубина точки от поверхности грунта z + 2 м | y = 0 | y = 2,5 м | y = 5 м |
3,25 | 2,08 | 1,39 | 0,53 |
4,5 | 4,00 | 2,74 | 0,85 |
7,0 | 1,76 | 1,50 | 0,77 |
9,5 | 0,66 | 0,56 | 0,43 |
12 | 0,35 | 0,30 | 0,19 |
2.26. Дополнительное давление грунта на колодец, вызываемое деформацией земной поверхности при подработке территории, определяется по прогнозируемым деформациям земной поверхности, принимаемым по горно-геологическому обоснованию:

,

- относительным горизонтальным деформациям растяжения-сжатия земной поверхности;
R - минимальному радиусу кривизны земной поверхности;
i - наклону земной поверхности. Коэффициенты условий работы для определения расчетных деформаций земной поверхности принимаются в соответствии с главой СНиП по проектированию зданий и сооружений на подрабатываемых территориях.
2.27. Дополнительные усилия в конструкциях колодцев от различных видов деформаций земной поверхности определяются раздельно. Суммарные дополнительные усилия определяются от следующих сочетаний нагрузок:
а) давление грунта (горизонтальное) на колодец, вызываемое сдвигом грунта при горизонтальных деформациях сжатия; давление грунта (горизонтальное) на колодец, вызываемое наклоном земной поверхности; сжимающие силы, вызываемые трением сдвигающегося грунта по днищу и стенам колодца; отпор грунта под днищем, вызываемый вертикальными деформациями земной поверхности (кривизной вогнутости);
б) давление грунта (горизонтальное) на колодец, вызываемое наклоном земной поверхности; растягивающие силы, вызываемые трением сдвигающегося грунта по днищу; отпор грунта под днищем, вызываемый кривизной выпуклости.
2.28. Расчетное значение дополнительного давления грунта (горизонтального) на колодец, вызываемого сдвигом грунта при горизонтальных деформациях сжатия, определяется по формулам:
а) для круглого колодца
(рис. 2.14) принимается большее из полученных по формулам значений
pп.1к, тс/м
2:

(2.24)

(2.25)
б) для прямоугольного колодца
(рис. 2.15) принимается большее из полученных значений
pп.1, тс/м
2, по формулам:

(2.26)

(2.27)
где

;

;

- расчетное значение объемного веса грунта в состоянии природной влажности, тс/м
3;
Cн;

- соответственно нормативные значения величин удельного сцепления, тс/м
2, и угла внутреннего трения грунта, рад;
hi - заглубление рассматриваемого сечения, м;

- полярный угол, рад;

- сдвижение грунта для сечений, расположенных в плане на расстоянии
x от оси колодца, в направлении, параллельном сдвижению, м;

;
E - модуль деформации грунта на глубине погружения колодца, тс/м2;

;

- соответственно коэффициенты перегрузки и условий работы для относительных горизонтальных деформаций;
x - расстояние от оси, проходящей через центр колодца, до рассматриваемого сечения, м;

- сдвижение грунта, соответствующее полной величине пассивного давления:
pпас - пассивное давление грунта на стенку колодца, тс/м2:
h - заглубление низа днища, м;
Eг - модуль горизонтальной деформации грунта: Eг = 0,5E, тс/м2.
Если полученные значения pп.1к или pп.1 больше pпас, то оно принимается равным pпас.
Рис. 2.14. Схемы круглого колодца с расчетными
дополнительными нагрузками, вызванными подработкой основания
Рис. 2.15. Схемы прямоугольного колодца с расчетными
дополнительными нагрузками, вызванными
подработкой основания
2.29. Расчетное значение дополнительного давления грунта (горизонтального) на колодец, вызываемого наклоном земной поверхности, определяется по формулам:
для круглого колодца pп.2к, тс/м2:

(2.28)
для прямоугольного колодца pп.2, тс/м2:

(2.29)
где pг - расчетное значение основного давления грунта (горизонтального) на колодец;

- расчетное значение давления грунта (горизонтального) на колодец, вызываемого наклоном земной поверхности:
Здесь

- коэффициент активного давления грунта:

- прогнозируемая величина наклона земной поверхности, рад;
ni; mi - соответственно коэффициенты перегрузки и условий работы для деформаций наклона земной поверхности.
2.30. Расчетное значение силы, вызываемой трением сдвигающегося грунта по днищу
tg, тс/м
2, определяется в зависимости от величины предельного сдвига грунта

, м, и соответствующего ему расстояния
x0, м, от оси колодца, при котором прекращается нарастание сопротивления грунта сдвигу.
Принимаются:

;

.
На участке от оси колодца до x0 сдвигающая нагрузка на 1 м2 днища пропорционально увеличивается от нуля до предельного значения сопротивления грунта сдвигу, а далее считается постоянной, равной предельному значению tg, тс/м2:

(2.30)
где q - расчетное давление на основание днища, тс/м2.
При 0 <= x <= x0 ординату сопротивления грунта сдвигу (в тс/м2) рекомендуется определять по формуле
2.31. Расчетное значение силы, вызываемой трением сдвигающего грунта по стенам колодца
tст;
tст.к, тс/м, определяется аналогично силе трения по днищу по формулам:
а) для круглого колодца принимается большее из полученных значений tст.к, тс/м2, по формулам

(2.31)

(2.32)
б) для прямоугольного колодца

(2.33)
При 0 <= x <= x0 ординату сопротивления грунта сдвигу рекомендуется определять по формуле
Углы

и

для круглых колодцев по достижении силой трения по боковым поверхностям величины
tст.к, допускается определять по формулам:

(2.34)

(2.35)
2.32. Расчетные значения отпора грунта под днищем, вызываемого вертикальными деформациями земной поверхности, определяются в зависимости от характера кривизны земной поверхности и величины осадки сооружения. При расчете колодца в условиях кривизны земной поверхности не учитываются усилия от сопротивления грунта под днищем, подсчитанные для условий нормальной эксплуатации.
Для круглого колодца производится расчет отдельных полос днища, вырезаемых параллельно плоскости кривизны.
При этом выбор расчетной схемы работы колодца в условиях деформации кривизны земной поверхности рекомендуется производить в зависимости от коэффициента

. При

принимаются
схемы 1 и
3; при

-
схемы 2 и
4.
Расчетные величины ординат эпюры отпора и давление грунта вычисляются по следующим формулам:
Схема 1 - кривизна выпуклости при неполном контакте днища с грунтом:

(2.36)

(2.37)

(2.38)
где R - прогнозируемый радиус кривизны земной поверхности, м;
q - расчетное давление на основание днища, тс/м2;
nк; mк - соответственно коэффициенты перегрузки и условий работы для кривизны земной поверхности;
l - длина полосы либо стороны прямоугольного колодца, параллельной плоскости кривизны, м;
C - коэффициент жесткости основания:

(2.39)
Здесь

- безразмерный коэффициент, определяемый в зависимости от соотношения сторон основания: при отношении, равном 0,5,

равно 1,09; при 0,66 и 1,5 - 1,07 и при 1 - 1,06;
F - площадь днища колодца, м2.
Схема 2 - кривизна выпуклости при полном контакте днища с грунтом:

(2.40)

(2.41)

(2.42)

(2.43)
Схема 3 - кривизна вогнутости при неполном контакте днища с грунтом:

(2.44)

(2.45)

(2.46)

(2.47)

(2.48)
Схема 4 - кривизна вогнутости при полном контакте днища с грунтом: значения
y1 и
pпд определяются по
формулам (2.40) -
(2.43).
Пример. Определить давление грунта, вызываемое деформацией земной поверхности при подработке территории, на колодец диаметром 24 м и глубиной 30 м
(рис. 2.16). Основание колодца сложено глинистыми грунтами, имеющими показатели: нормативное удельное сцепление
Cн = 2 тс/м
2; нормативный угол внутреннего трения

; расчетный объемный вес

; модуль деформации
E = 4000 тс/м
2; коэффициент Пуассона

. Равномерно распределенная нагрузка на днище 5 тс/м
2. Параметры деформаций земной поверхности приведены в
табл. 2.7.
Рис. 2.16. Расчетная схема круглого колодца
в условиях подработки основания
Прогнозируемые деформации земной поверхности | Коэффициенты перегрузки | Коэффициенты условий работы |
вид деформации | обозначение | величина | обозначение | величина | обозначение | величина |
Относительные горизонтальные деформации растяжения-сжатия | | 0,012 | | 1,4 | | 0,85 |
Радиус кривизны выпуклости | R | 1 км | nк | 1,8 | mк | 0,7 |
Наклон | i | 0,02 | ni | 1,4 | mi | 0,85 |
1. Определяем дополнительное давление (горизонтальное) на колодец, вызываемое сдвигом грунта при горизонтальных деформациях сжатия. Вычисляем вспомогательные величины:
pпас = 0,5·1,8·302·1,42812 + 2·2·30·1,4281 = 1722 тс/м2;
Так как

, то

;
r = 12,6 м;
F = 3,14·12,62 = 499 м2.
Определяем горизонтальное давление по
формуле (2.24): при

,
x = 12,6 м и
h = 30 м
pп.1к = 0,85·1,4·0,012·4000 = 57 тс/м2.
Принимаем горизонтальное давление pп.1к, изменяющееся в плане от 0 до 57 тс/м2 и равномерное по высоте.
2. Определяем дополнительное давление грунта (горизонтальное) на колодец, вызываемое наклоном земной поверхности
pп.2к, по
формуле (2.28):
при
h = 30 м и
pп.2к = 0;
при
h = 30 м и
pп.2к = 1,8·30·0,508 - 1,8·30·0,49 = 2 тс/м
2;
при
h = 0 и
pп.2к = 0;
при
h = 0 и
pп.2к = 0.
3. Определяем силы, вызываемые трением грунта по днищу, по
формуле (2.30):
tg = 2 + 16,5·0,364 = 8 тс/м2;
4. Определяем силы
tст.к, вызываемые трением грунта по стенам колодца, по
формуле (2.32):
сначала углы

и

, соответствующие достижению силой трения по боковым поверхностям величины
tст, определяем по
формулам (2.34) и
(2.35):
при
n = 0

и

;
при
n = 1

и

;
при
n = 2

и

;
при
n = 3

и

;
при

и
h = 30 м
tст.к = 2 + (1,8·0,7
2·30 + 1,4·0,85·0,012·4000·0,1179)0,364 = 14,05 тс/м
2;
при

и
h = 30 м
tст.к = 2 + (1,8·0,7
2·30 + 1,4·0,85·0,012·4000·0,9928)0,364 = 32,2 тс/м
2;
при

и
h = 0
tст.к = 2 + 1,4·0,85·0,012·4000·0,1179·0,364 = 4,44 тс/м
2;
при

и
h = 0
tст.к = 2 + 1,4·0,85·0,012·4000·0,9928·0,364 = 22,6 тс/м
2.
5. Определяем отпор грунта под днищем, вызываемый кривизной выпуклости земной поверхности при полном контакте днища с грунтом, по
формулам (2.40) -
(2.43). Днище колодца делим на полосы шириной по 2 м:
Полоса 1:
y3 = 0,0764 - 0,0496 = 0,027 м;
Полоса 2:
pпд.2 = 26,6 тс/м2; pпд.3 = 6,3 тс/м2.
Полоса 3:
pпд.2 = 25,6 тс/м2; pпд.3 = 7,35 тс/м2.
Полоса 4:
pпд.2 = 24 тс/м3; pпд.3 = 9 тс/м2.
Полоса 5:
pпд.2 = 21,7 тс/м2; pпд.3 = 11,2 тс/м2.
Полоса 6:
pпд.2 = 18,35 тс/м2; pпд.3 = 13,2 тс/м2.
2.33 (2.20). Расчетное значение сейсмического инерционного давления несвязанного грунта pс.к и pс,
тс/м2, следует определять по формулам:

[2.49
(20)]
б) для прямоугольного колодца

[2.50
(21)]
где pг -
расчетное значение основного давления грунта, равное
[здесь n -
коэффициент перегрузки, определяемый по поз. 2 табл. 2.5 (5)], и 
-
нормативное значение основного давления грунта, определяемое по формуле [2.1 (3)];
kс - коэффициент сейсмичности, принимаемый равным 0,025 при расчетной сейсмичности 7 баллов и соответственно 0,05 и 0,1 при 8 и 9 баллах;

-
расчетное значение угла внутреннего трения грунта, рад;

-
полярный угол.
Рис. 2.17. Схема колодца с расчетной нагрузкой
сейсмического инерционного давления несвязанного грунта
Нагрузка сейсмического давления грунта может быть приложена с любой стороны колодца; при этом с противоположной стороны возникает сопротивление грунта, эпюра которого симметрична нагрузке.
3. ОСНОВНЫЕ ПОЛОЖЕНИЯ РАСЧЕТА
3.1 (3.1). Расчет колодцев и их оснований на силовые воздействия должен производиться по первой и второй группам предельных состояний. Расчет по второй группе предельных состояний должен производиться из условия совместной работы сооружения и грунта. Колодцы следует рассчитывать как единые пространственные системы.
3.2. Необходимые для последующих расчетов предварительные геометрические параметры круглых колодцев допускается принимать исходя из толщин стен

, м, в зоне тиксотропной рубашки, приведенных для колодцев из плоских панелей в
табл. 3.1, а для колодцев из пустотелых блоков - в
табл. 3.2. При этом высота нижней уширенной части ножа
Hн, м, принимается при глубине колодца
H < 15 м равной 1,5 - 2 м; при 15 <
H < 2,5 м - 2 - 2,5 м и при
H > 25 м - 2,5 - 4 м; толщина этих участков стен

, м, принимается при глубинах колодца
H < 15 м на 0,1 м толще стены в зоне рубашки и при
H >= 15 м толще на 0,15 м.
D0, м | Толщина стен  , м, при H0, м |
9 | 18 | 30 |
9 | 0,25 | 0,3 | - |
18 | 0,3 | 0,4 | 0,4 |
30 | 0,4 | 0,5 | 0,6 |
42 | 0,5 | 0,6 | 0,7 |
D0, м | Толщина стен  , м, при H0, м |
9 | 18 | 30 |
18 | 0,6 | 0,8 | 1 |
30 | 0,8 | 1 | 1,2 |
42 | 1,2 | 1,4 | 1,6 |
3.3 (3.2). Расчеты колодцев следует производить на наиболее невыгодные сочетания нагрузок:
в условиях строительства - по расчетным схемам, учитывающим требования принятых в проекте способов производства работ [см. п. 3.4 (3.3)];
в условиях эксплуатации - по расчетным схемам, учитывающим наличие днища, внутренних стен, колонн, перекрытий и т.п., включая нагрузки и воздействия от всех расположенных внутри колодца строительных конструкций и оборудования, от опирающегося на колодец здания, сооружения и оборудования, а также рядом расположенных фундаментов зданий, сооружений и оборудования [п. 3.23 (3.11)];
в условиях эксплуатации на подрабатываемых территориях и в сейсмических районах с расчетной сейсмичностью от 7 баллов и выше - по расчетным схемам для условий эксплуатации с учетом соответствующих особых нагрузок.
Расчет на строительные нагрузки
3.4 (3.3). На нагрузки и воздействия, возникающие в условиях строительства колодцев, должны выполняться следующие расчеты:
А. По расчетным схемам, учитывающим наличие только наружных стен:
прочности колодца или его первого яруса, подлежащего погружению, при снятии с временного основания (если это предусмотрено проектом производства работ);
погружения колодца;
прочности и устойчивости формы наружных стен при погружении колодца.
Колодцы овальной или прямоугольной формы, имеющие внутренние стены, с которыми они погружаются, рассчитываются с учетом этих стен.
Б. По расчетным схемам, учитывающим наличие наружных стен и днища:
прочности днища;
всплывания колодца;
прочности и устойчивости формы стен, а также сдвига по подошве и опрокидывания при отрытии односторонних выемок вблизи колодца (если они предусматриваются проектом производства работ).
Сборные элементы, кроме того, должны рассчитываться на нагрузки, возникающие в процессе их изготовления, транспортирования и монтажа. Опоры (подкладки) при укладке и транспортировании сборных элементов, а также петли для подъема рекомендуется располагать на расстоянии, равном 0,207l от края элемента. Трубки для монтажных приспособлений - на расстоянии, равном 0,29l от верхнего края элемента (где l - длина элемента, м).
3.5 (3.4). Расчет прочности колодца или его первого яруса, подлежащего погружению при снятии с временного основания, следует производить как расчет оболочки, стоящей на опорах, число которых определяется проектом. Рекомендуется предусматривать симметрично расположенные четыре опоры.
Расчеты круглых колодцев на четырех опорах на изгиб в вертикальной плоскости и кручение следует производить при условии

(3.1)
где Hя - высота погружаемой части колодца, м.
Максимальные величины вертикальных изгибающих моментов опорных
Mоп, тс·м, пролетных
Mпр, тс·м, и крутящих
Mкр, тс·м,
(рис. 3.1) определяются по формулам:

(3.2)

(3.3)

(3.4)
где qя - расчетное значение веса 1 м стены колодца или его первого яруса, опирающегося на временное основание, тс/м, коэффициенты перегрузки принимаются n = 1,1; n' = 0,8;

- расстояние от внутренней поверхности колодца до вертикальной линии, проходящей через центр тяжести вертикального сечения стены, м.
Рис. 3.1. Схема колодца на 4 опорах временного основания (а)
б - эпюра вертикальных изгибающих моментов (развертка);
в - эпюра крутящих моментов; 1 - 4 - опоры
Пример. Определить изгибающий и крутящий моменты в первом ярусе колодца, возникающие при снятии его с четырех опор временного основания. Диаметр колодца
D0 = 30 м; высота яруса
Hя = 5,7 м; толщина стены 0,5 м; высота консоли ножа
H = 0,7 м; толщина консоли понизу

и поверху

.
Определяем расстояние

:
Определяем расчетный вес стены qя:
qя = 1,1·0,8(5·0,5 + 0,7·0,25)2,4 = 5,28 тс/м.
Вычисляем наибольшие расчетные усилия:
Mоп = -0,05375·5,28(30 + 2·0,299)2 = -265,7 тс·м;
Mпр = 0,02757·5,28(30 + 2·0,299)2 = 136,28 тс·м;
Mкр = 0,00743·5,28(30 + 2·0,299)2 = 36,73 тс·м.
3.5 (3.5). Расчет погружения колодца следует производить на расчетные нагрузки по формуле
[3.5 (22)]
где G0;
Gт;
Qпр;
Tн;
Tу;
Rн -
значения нагрузок, подсчитанных с соответствующими коэффициентами перегрузки, определяемыми по табл. 2.1 (3);
kн - коэффициент надежности, равный 1.2.
В расчете должна приниматься проектная (наибольшая) глубина погружения колодца.
Стены колодцев, наращиваемые во время погружения, должны быть разбиты на ярусы по высоте. Высота первого яруса назначается из условий прочности железобетонной оболочки, несущей способности временного основания, а также с учетом грузоподъемности и высоты подъема кранового оборудования и принимается не менее 5 м. Расчет на погружение колодца должен производиться для каждого яруса.
Колодец, погружаемый в грунт с разнородными напластованиями, следует рассчитывать по глубине погружения, для которой значение знаменателя в формуле [3.5 (22)] является максимальным; при этом проектом должны предусматриваться временные опоры, обеспечивающие закрепление колодца против самопроизвольного погружения ниже проектной отметки. Усилия, передающиеся на опоры Rоп, тс, должны определяться по формуле
Rоп = G0 + Gт - Tн - Tу, [3.6 (23)]
где G0 и Gт - расчетные нагрузки собственного веса стены и тампонажа, принимаемые с
значениями коэффициентов перегрузки [табл. 2.1 (табл. 3)];
Tн и Tу - расчетные значения усилий трения ножа колодца и уплотнителя по грунту [табл. 2.1 (табл. 3)].
При погружении колодца с искусственным водопонижением в слои мелких водонасыщенных песчаных грунтов, подстилаемых водоупорными глинами, следует принимать заостренную конструкцию ножа [
п. 4.19 (п. 4.7)], обеспечивая опережающее заглубление его в грунт на 0,8 - 1,5 м ниже дна забоя. При этом следует проверить погружение колодца на глубину до поверхности водоупора по формулам [
3.5 (22)] и [
2.18 (15)], принимая значение
Fн равным площади горизонтальной проекции заглубленной в грунт части ножа и расчетное сопротивление основания при заглублении до 0,8 м
R = 30 тс/м
2 и заглублении до 1,5 м -
R = 40 тс/м
2.
При погружении колодца с подводной разработкой грунта значения части веса стен и тампонажа G0 и Gт, расположенных ниже уровня грунтовых вод, принимаются с учетом их взвешенного состояния.
3.6 (3.6). Расчет прочности наружных стен в условиях строительства следует производить, когда колодец погружен до проектной (наибольшей) глубины, и для каждого яруса стен при погружении колодца ярусами.
Круглые колодцы со сплошными стенами следует рассчитывать как оболочки с верхним и нижним свободными краями.
Прямоугольные колодцы и круглые колодцы с наружными стенами сложной конструкции (например, из пустотелых блоков) допускается рассчитывать по поперечным сечениям горизонтальных поясов высотой 1 м, принимая расстояние между поясами равным 5 м.
Пустотелые блоки колодцев следует рассчитывать на горизонтальные нагрузки как элементы кольцевой замкнутой рамы [рис. 3.2 (рис. 7)].
Рис. 3.2 (7). Расчетная схема пустотелого блока
M; N; Q - соответственно изгибающий момент, продольное
и поперечное усилия, возникающие в оболочке колодца
от расчетных нагрузок; pт - горизонтальное давление
тиксотропной суспензии или pг = основное давление грунта
на колодец; pг.1 - pг.4 - дополнительные давления грунта
Нижний конец железобетонной ножевой части колодца следует рассчитывать как консоль, защемленную в оболочке колодца, на которую грунт давит снаружи или изнутри [рис. 3.3 (рис. 8)]. При этом расчетные нагрузки увеличиваются на коэффициент, равный 1,2, учитывающий резкие посадки колодца.
Рис. 3.3 (8). Схемы положения железобетонной консоли ножа
колодца при погружении колодца и соответствующие
расчетные схемы
а - при разработке грунта у ножа; б - при крене колодца;
- пассивное давление грунта [(обозначение нагрузок
При применении металлического приставного ножа (например, по рис. 4.16) его следует рассчитывать как короткую оболочку, шарнирно-соединенную вверху с железобетонной стеной колодца, на вертикальную нагрузку от собственного веса сооружения и горизонтальную от давления грунта.
3.7. Колодцы рекомендуется рассчитывать по существующим программам расчета оболочек на ЭВМ, желательно с учетом совместной работы с грунтом. Например, по программе расчета опускных колодцев, разработанной Харьковским Водоканалпроектом в 1978 г.
3.8. Для сооружений III и IV классов колодцы с постоянной толщиной стен в зоне тиксотропной рубашки (двухступенчатые оболочки) допускается рассчитывать на горизонтальные нагрузки (с учетом изгибающего момента от консоли ножа), возникающие в условиях погружения, по формулам:

(3.7)

(3.8)

(3.9)

(3.10)

(3.11)
где

;

;

- наибольшая величина кольцевого изгибающего момента, соответствующая ему в том же сечении нормальная сила и наибольшая величина меридионального изгибающего момента в верхней ступени (в зоне тиксотропной рубашки), тс·м/м и тс/м;

;

- наибольшая величина кольцевого изгибающего момента и соответствующая ему в том же сечении нормальная сила в нижней ступени (в зоне ножа), тс·м/м и тс/м;
a1;
a2;
a3;
a4;
a5 - коэффициенты, значения которых в зависимости от размеров колодца принимаются по
табл. 3.3. Для промежуточных значений
D0 и
H0 допускается определять коэффициенты
a1 -
a5 интерполяцией.
D0, м | a | H0, м |
9 | 18 | 30 |
| | | | | |
9 | a1 | -0,3896 | 0,3594 | - | - | - | - |
a2 | 4,1501 | 2,6403 |
a3 | -0,1417 | 0,1306 |
a4 | -0,6673 | 0,6150 |
a5 | 7,7320 | 4,9182 |
18 | a1 | -0,42662 | 0,3932 | -0,3896 | 0,3594 | -0,3526 | 0,3155 |
a2 | 4,5444 | 2,8886 | 4,1501 | 2,6403 | 3,7558 | 2,3920 |
a3 | -0,13845 | 0,1276 | -0,1418 | 0,1306 | -0,1452 | 0,1336 |
a4 | -0,7303 | 0,67283 | -0,6673 | 0,6150 | -0,6073 | 0,5572 |
a5 | 8,459 | 5,3807 | 7,7320 | 4,9182 | 7,005 | 4,4557 |
30 | a1 | -0,45016 | 0,4149 | -0,42662 | 0,3932 | -0,3896 | 0,3594 |
a2 | 4,7952 | 3,04803 | 4,5444 | 2,8886 | 4,1501 | 2,6403 |
a3 | -0,1330 | 0,1226 | -0,13845 | 0,1276 | -0,1418 | 0,1306 |
a4 | -0,77032 | 0,70997 | -0,7303 | 0,6728 | -0,6673 | 0,6150 |
a5 | 8,9257 | 5,6776 | 8,459 | 5,3807 | 7,7320 | 4,9182 |
42 | a1 | -0,46178 | 0,4256 | -0,45016 | 0,4149 | -0,42662 | 0,3932 |
a2 | 4,9119 | 3,1043 | 4,7952 | 3,04803 | 4,5444 | 2,8886 |
a3 | -0,12543 | 0,1156 | -0,133 | 0,1226 | -0,13845 | 0,1276 |
a4 | -0,79018 | 0,72828 | -0,77032 | 0,70997 | -0,7303 | 0,67283 |
a5 | 9,156 | 6,8241 | 8,9257 | 5,6776 | 8,459 | 5,3807 |
Коэффициенты соответствуют условиям [
2.15 (12)] и [
2.19 (16)]. Если сумма дополнительных неосесимметричных горизонтальных давлений в зоне ножа превышает 0,25
pг, то коэффициенты
a4 и
a5 следует умножать на отношение

.
Меридиональный изгибающий момент в нижней ступени принимается равным изгибающему моменту консоли ножа от нагрузки, приложенной снаружи колодца.
В глубоких колодцах армирование в зоне тиксотропной рубашки допускается изменять по поясам, имеющим высоту 5 - 6 м. В колодцах, погружаемых в однородных грунтах, допускается усилие в поясах принимать равным произведению величин усилий, определенных по
формулам (3.7) -
(3.11), на коэффициент
Kn, значение которого приведено в
табл. 3.4.
Глубина пояса | Значение kn |
До 0,3Hт | 0,3 |
От 0,3Hт до 0,5Hт | 0,6 |
От 0,5Hт до 0,7Hт | 0,8 |
От 0,7Hт до Hт | 1 |
3.9 (3.7). Тонкостенные оболочки колодцев следует проверять расчетом против возможной потери устойчивости формы при погружении на проектную глубину, при этом расчетное критическое давление pкр должно равняться или быть больше максимальной суммы расчетных горизонтальных давлений pт +
pг.4, значение которых и соответствующие им коэффициенты перегрузки приведены в табл. 2.1 (3).
3.10 (прил. 2). Расчетное критическое давление на круглый колодец pт.кр следует определять как для оболочки с верхним и нижним незакрепленными торцами (из условия погружения колодца) по формуле
<*> [3.12 (1 прил. 2)]
где Eб - начальный модуль упругости бетона при сжатии и растяжении, тс/м2;
(здесь
- толщина стенки колодца, м);
Dр - значение расчетного диаметра колодца, м;
- число волн в поперечном направлении;
; здесь Hк - глубина колодца.
--------------------------------
<*> В формуле учтен коэффициент надежности, равный 2,5.
В формуле [3.12 (1 прил. 2)] следует подставлять поочередно значения
от 2 до 10; критической силой будет полученная из данных расчетов минимальная величина pт.кр.
3.11 (3.7). Расчет устойчивости стен прямоугольных колодцев допускается производить как расчет прямоугольных пластин с опертыми краями. Допускается производить расчет по схеме стержня, нагруженного внецентренной нагрузкой с учетом соответствующего закрепления его концов.
3.12 (3.8). Расчет прочности железобетонного днища должен производиться как пластинки с краями, шарнирно-опертыми на колодец, на следующие нагрузки:
а) сумму нагрузок - сопротивления грунта RD и гидростатического давления грунтовых вод pW, если величина постоянных вертикальных нагрузок колодца больше силы всплывания. При этом должно всегда соблюдаться условие:
где

- сумма всех постоянных вертикальных нагрузок на колодец (с учетом сил трения);
RD - распределяется по эпюре линейно-деформированного полупространства.
б) гидростатическое давление грунтовых вод pW, если величина постоянных вертикальных нагрузок колодца менее силы всплывания (когда колодец заанкерен в прилегающем грунтовом массиве).
3.13. Расчет прочности днища колодцев без внутренних стен и колонн на нагрузку - отпора грунта производится как пластины, лежащей на упругом основании. Для круглых пластин, имеющих конечную жесткость, лежащих на упругом основании, допускается определять радиальные изгибающие моменты
MR, тс·м, тангенциальные изгибающие моменты
Mt, тс·м, и нормальные силы
NR, тс, по формулам:

(3.13)

(3.14)

(3.15)
где

;

и

- коэффициенты, значения которых приведены в
табл. 3.5 в зависимости от

и
Sg;

- относительная координата;
r - расстояние точки от центра пластины, м;

- ширина опорной части днища, м;
Sg - показатель жесткости пластины; пластина считается конечной жесткости при 0,5 < Sg < 10;

(3.16)
Hд - толщина днища;
q0 - опорная реакция, равномерно распределенная с края пластины по окружности, тс/м:

(3.17)
(

- сумма вертикальных нагрузок в основании стены, тс).
3.14. Расчет прочности днища колодцев без внутренних стен и колонн на нагрузку - гидростатическое давление грунтовых вод - pW производится как пластины с шарнирными опорами, нагруженной равномерно распределенной нагрузкой.
Для круглых колодцев допускается определять радиальные изгибающие моменты MR.1, тс·м, тангенциальные изгибающие моменты Mt.1, тс·м, и нормальные силы NR.1, тс, по формулам:

(3.18)

(3.19)

(3.20)
где qд - вес 1 м2 днища, тс/м2;
Sg | |
0,0 | 0,1 | 0,2 | 0,3 | 0,4 | 0,5 | 0,6 | 0,7 | 0,8 | 0,9 | 1,0 |
|
0,5 | 0,264 | 0,264 | 0,256 | -0,247 | 0,233 | 0,215 | 0,191 | 0,161 | 0,122 | 0,071 | 0 |
1 | 0,247 | 0,246 | 0,241 | 0,233 | 0,222 | 0,206 | 0,184 | 0,157 | 0,120 | 0,071 | 0 |
2 | 0,220 | 0,219 | 0,216 | 0,210 | 0,201 | 0,189 | 0,172 | 0,149 | 0,117 | 0,070 | 0 |
3 | 0,097 | 0,196 | 0,194 | 0,190 | 0,176 | 0,162 | 0,143 | 0,143 | 0,114 | 0,069 | 0 |
5 | 0,161 | 0,161 | 0,161 | 0,160 | 0,158 | 0,154 | 0,146 | 0,133 | 0,109 | 0,069 | 0 |
10 | 0,106 | 0,106 | 0,108 | 0,112 | 0,116 | 0,120 | 0,120 | 0,115 | 0,100 | 0,067 | 0 |
|
0,5 | 0,264 | 0,263 | 0,260 | 0,256 | 0,249 | 0,241 | 0,230 | 0,217 | 0,200 | 0,179 | 0,151 |
1 | 0,247 | 0,247 | 0,245 | 0,241 | 0,235 | 0,228 | 0,219 | 0,206 | 0,191 | 0,171 | 0,145 |
2 | 0,220 | 0,219 | 0,218 | 0,215 | 0,211 | 0,206 | 0,199 | 0,189 | 0,176 | 0,158 | 0,133 |
3 | 0,197 | 0,196 | 0,195 | 0,194 | 0,191 | 0,187 | 0,182 | 0,174 | 0,163 | 0,147 | 0,124 |
5 | 0,161 | 0,161 | 0,161 | 0,161 | 0,160 | 0,159 | 0,156 | 0,151 | 0,143 | 0,130 | 0,103 |
10 | 0,106 | 0,105 | 0,107 | 0,109 | 0,111 | 0,113 | 0,115 | 0,114 | 0,111 | 0,103 | 0,095 |
|
0,5 | 0 | 0,05 | 0,09 | 0,14 | 0,20 | 0,26 | 0,33 | 0,42 | 0,54 | 0,71 | 1,00 |
1 | 0 | 0,04 | 0,08 | 0,12 | 0,17 | 0,23 | 0,30 | 0,39 | 0,51 | 0,69 | 1,00 |
2 | 0 | 0,03 | 0,05 | 0,09 | 0,13 | 0,18 | 0,24 | 0,33 | 0,46 | 0,66 | 1,00 |
3 | 0 | 0,02 | 0,03 | 0,06 | 0,09 | 0,13 | 0,19 | 0,28 | 0,42 | 0,61 | 1,00 |
5 | 0 | 0,00 | 0,00 | 0,01 | 0,03 | 0,05 | 0,12 | 0,20 | 0,35 | 0,58 | 1,00 |
10 | 0 | -0,02 | -0,04 | -0,05 | -0,5 | 0,04 | 0,01 | 0,09 | 0,24 | 0,51 | 1,00 |
3.15. Днище, на которое опираются внутренние стены или колонны с регулярным шагом, рассчитывается соответственно как многопролетная пластина, состоящая из прямоугольных панелей, или пластина, опертая в вершинах прямоугольной сетки.
Вертикальные буровые анкеры, заделываемые в днище, учитываются в расчете днища как сосредоточенные нагрузки, имеющие направление, обратное давлению грунта.
3.16 (3.9). Колодцы, погруженные ниже горизонта грунтовых вод, после устройства днища следует рассчитывать на всплывание, за исключением случая, когда нож заглублен в водоупорные глины и под днищем сделан постоянно действующий дренаж. При этом следует проверить расчетом возможность прорыва напорными водами данного водоупорного слоя.
Расчет колодца на всплывание в условиях строительства следует производить на расчетные нагрузки по формуле
[3.21 (24)]
где G0; Gд; Tн.1; Tт.1 и Qпр.а - обозначения расчетных нагрузок и воздействий (и соответствующие им коэффициенты перегрузки), определяемые по табл. 2.1 (3);
F0 - площадь основания колодца, м2;
HW и
- соответственно расстояние от низа днища до уровня грунтовых вод, который следует принимать в соответствии с требованиями п. 2.10 (2.8) и расчетное значение объемного веса воды, тс/м3;
kн - коэффициент надежности, равный 1,2.
3.17 (3.9). Заанкеривание колодца в прилегающем грунте против всплывания должно предусматриваться в проекте, если
[3.22 (25)]
Пригрузка осуществляется тампонажем щели тиксотропной рубашки, устройством воротника, горизонтальных анкеров-свай, шпор в днище и вертикальных анкеров. Допускается одновременное применение нескольких конструкций пригрузки (заанкеривающих устройств), заполнение пустот в блоках, а также временное заполнение внутренних отсеков колодца водой и другие мероприятия.
3.18. Расчетное значение пригрузки колодца тампонажем щели тиксотропной рубашки Qпр.т, тс, определяется по формуле

(3.23)
3.19. Воротник рассчитывается по пригрузке (
n = 0,9) и по прочности (
n = 1,1) на нагрузки от массы выпора грунта засыпки над воротником и веса конструкций воротника. Массу выпора грунта засыпки следует определять, принимая угол наклона поверхности скольжения грунта к вертикали, возникающий при всплывании колодца, равным

. Угол внутреннего трения грунта

, рад, и его объемный вес

, тс/м
3, в расчетах для условий эксплуатации принимаются с учетом долговременного уплотнения грунта. Расчетное значение пригрузки круглых колодцев воротником

, тс, допускается определять по формуле

(3.24)
где
hв;
Dв;
Dвып;
Dн - см. обозначения на
рис. 3.4, м;
qн - нормативное значение собственного веса конструкций воротника, тс/м2.
Рис. 3.4. Схема (а) и расчетная схема
консольного воротника (б)
Pв - вес призмы выпора грунта, тс/м; b - вес конструкций
и засыпки воротника, тс/м2
Вес части пригрузки воротника, расположенной ниже уровня грунтовых вод (при высоком УГВ), определяется с учетом их взвешенного состояния. Сборные воротники рассчитываются как консоли. Монолитные воротники круглых колодцев рассчитываются на вертикальную нагрузку как кольцевые диски в зависимости от принятой конструкции с шарнирным опиранием на уступ стены или с заделкой в стену колодца. Опорные радиальный и тангенциальный изгибающие моменты воротника от вертикальной нагрузки распределяются между верхними и нижними участками примыкающих наружных стен обратно пропорционально их погонной жесткости в вертикальном направлении. При жестком соединении со стеной воротник работает как ребро оболочки. На горизонтальную нагрузку, передающуюся от стен колодца, воротник рассчитывается как кольцо. Высота монолитных железобетонных воротников принимается из условия конструирования их без поперечной арматуры.
Пример. Определить для колодца диаметром
D0 = 24 м и толщиной стены

расчетное значение пригрузки сборным воротником вылетом
a = 2 м, засыпанного песком, с объемным весом

и углом внутреннего трения

. Толщина слоя засыпки
hв = 5 м.
Определяем диаметры:
Dв = 24 + 0,4·2 = 24,8 м;
Dн = 24,8 + 2·2 = 28,8 м;
Dвып = 28,8 + 0,445·5·2 = 33,25 м.
3.20. Расчетное значение пригрузки колодца горизонтальными анкерами-сваями

, тс, определяется по формуле

(3.25)
где H - количество свай;
n - коэффициент перегрузки, равный единице;

- нормативное значение несущей способности одной горизонтальной сваи, принимаемое по минимальному значению из расчетов основания и конструкции сваи по
формулам (3.26) -
(3.28), тс.
Свая рассчитывается как брус постоянного сечения, защемленный в стене колодца и опирающийся поверху на упругое основание типа винклеровского с трапециевидной формой распределения коэффициентов жесткости основания
Kв.о по длине
(рис. 3.5) по формулам:

(3.26)

(3.27)

(3.28)
где Sв - деформация всплывания колодца, м;

- предельная деформация подъема колодца при всплывании принимается равной 0,02 м;
Kср - средний коэффициент жесткости основания: Kср = 0,8Kв.оH при H < 25 м и Kср = 20Kв.о при H >= 25 м;
H - среднее расстояние от поверхности грунта до оси сваи, м;
Kв.о - коэффициент определяется по
табл. 3.6;
b; l - ширина и длина сваи, м (для наклонных буронабивных свай принимается длина горизонтальной проекции сваи);
Rв - давление на основание в месте заделки сваи в колодец, тс/м2;
R - расчетное давление на основание
R, тс/м
2, определяется по
формуле (17) главы СНиП II-15-74;
Qх.б - расчетная поперечная сила, воспринимаемая железобетонным сечением, определяется по главе
СНиП II-21-75 (для круглых буронабивных свай допускается принимать сечение в форме вписанного квадрата).
Рис. 3.5. Расчетная схема горизонтальной анкерной сваи
1 - проектное положение сваи; 2 - положение деформированной
сваи; 3 - эпюра коэффициентов жесткости основания
Вид грунта | Kв.о |
Текучепластичные суглинки, глины, илы | 65 - 250 |
Мягкопластичные супеси, суглинки и глины, пылеватые и рыхлые пески | 250 - 500 |
Тугопластичные супеси, суглинки и глины, мелкие и средней крупности пески | 500 - 800 |
Твердые супеси, суглинки и глины, крупные пески | 800 - 1300 |
Гравелистые пески, гравий, галька | 1300 - 2500 |
По полученному значению

определяется изгибающий момент
Mв, тс·м, в месте заделки сваи по
формуле (3.29):

(3.29)
Пример. Определить для колодца с параметрами, приведенными в примере
п. 3.19, требующееся количество горизонтальных буронабивных свай диаметром 0,72 м, длиной 2 м, устраиваемых на глубине 25 м в суглинки (
Kв.о = 800 тс/м
2;
R = 167 тс/м
2).
Определяем сторону вписанного квадрата:
Средний коэффициент жесткости Kср = 20·800 = 16 000.
по
формуле (3.28) (по прочности железобетонного сечения на действие поперечной силы):
бетон сваи марки М 300; хомуты

(
Fx = 9,42 см
2), А-II и

(
Fx = 2,96 см
2), А-I, шаг хомутов 15 см;
Принимаем минимальное значение

. Количество свай, требующихся на колодец:

3.21. Для пригрузки колодцев принимаются вертикальные анкеры: буровые цилиндрические и с уширением, а также буровые инъекционные
(рис. 3.6), которые рассчитываются по грунту и по прочности анкерной тяги при условии обеспечения неразуплотнения грунта основания.
Рис. 3.6. Схемы вертикальных анкеров
а - цилиндрических; б - с уширением; в - инъекционных;
1 - цементно-песчаный раствор; 2 - уплотнитель; 3 - тяга
с антикоррозионным покрытием; 4 - песок; 5 - ребристый
патрубок, заполняемый бетоном; 6 - днище; 7 - стопорное
устройство; 8 - инъекционная труба с отверстием;
9 - зацементированная скважина; 10 - грунт, закрепленный
цементным раствором
Длина анкера определяется из условия обеспечения устойчивости против всплывания колодца присоединяемой ими массой грунта. Расстояние от низа днища до центра рабочей части анкера Hа определяется по формуле

(3.30)
где Fд - площадь поверхности днища, на которой расположены анкеры, м2.
Несущая способность по грунту одного анкера
(рис. 3.7) определяется: для бурового цилиндрического
Qпр.а.ц, тс - расчетным сопротивлением грунта по боковой поверхности, для бурового инъекционного и с уширением
Qпр.а.и, тс - расчетным сопротивлением грунта по лобовой и боковой поверхностям по формулам:

(3.31)

(3.32)
где k - коэффициент однородности грунта, равный 0,6;
m - коэффициент условий работы для буровых инъекционных анкеров m = 1; для буровых анкеров цилиндрических и с уширением: в песках m = 0,6; в супесях, суглинках и глинах m = 0,5;
u - периметр, определяемый по диаметру скважины анкера или инъекционной зоны, м;

- нормативное сопротивление грунта по боковой поверхности сваи, принимаемое по
табл. 3.7, тс/м
2;
Hа.i - толщина i-го слоя грунта, соприкасающегося с боковой поверхностью ствола анкера, м;
A;
B - безразмерные коэффициенты, принимаемые по
табл. 3.8 в зависимости от нормативного значения угла внутреннего трения в рабочей зоне (прилегающего к лобовой поверхности уширения слоя грунта толщиной, равной диаметру уширения
u);
Cн - нормативное значение удельного сцепления грунта в рабочей зоне, тс/м2;

- объемный вес грунта, тс/м
3;
Hа - расстояние от центра уширенной части анкера до низа днища колодца, м;
F - рабочая площадь уширения за вычетом площади сечения тяги, м2.
Рис. 3.7. Расчетная схема вертикального анкера
Расчетный радиус Rиа, м, рабочей части инъекционного анкера:

(3.33)
где Vр - объем инъецированного раствора, м3;

- коэффициент пористости грунта;
Hр - длина рабочей зоны, м.
Пример. Определить несущую способность бурового инъекционного анкера с параметрами: диаметр скважины 0,15 м; длина рабочей зоны
Hр = 4 м; расстояние от центра анкера до низа днища
Hа = 6 м; объем инъецированного раствора
Vр = 0,6 м
3. Грунт - песок средней плотности с коэффициентом пористости

; нормативным углом внутреннего трения

, объемный вес грунта

; параметр линейности песка
Cн = 0,4 тс/м
2;
m = 1.
Qпр.а.и = 0,6·1·2·3,14·0,33·6,2·4 + 0,6·1[44,6 x
x 0,4 + 31(1,8 - 1)6]3,14(0,662 - 0,152) = 95,17 тс.
Средняя глубина расположения слоя грунта Hа, м |  , тс/м 2, для песчаных грунтов средней плотности |
крупных, средней крупности | мелких | пылеватых | - | - | - |
для глинистых грунтов консистенции Ii |
<= 0,2 | 0,3 | 0,4 | 0,5 | 0,6 | 0,7 |
5 | 5,6 | 4,0 | 2,9 | 2,4 | 1,0 | 0,6 |
7 | 6,0 | 4,3 | 3,2 | 2,5 | 1,1 | 0,7 |
10 | 6,5 | 4,6 | 3,4 | 2,6 | 1,2 | 0,8 |
15 | 7,2 | 5,1 | 3,8 | 2,8 | 1,4 | 1,0 |
Нормативный угол внутреннего трения грунта в рабочей зоне, рад | 0,244 | 0,279 | 0,314 | 0,349 | 0,384 | 0,419 | 0,454 | 0,489 | 0,524 | 0,559 | 0,593 | 0,628 |
A | 7,1 | 7,7 | 8,6 | 9,2 | 11,11 | 13,5 | 16,8 | 21,2 | 26,9 | 34,4 | 44,6 | 59,6 |
B | 2,8 | 3,3 | 3,8 | 4,5 | 5,5 | 7,0 | 9,2 | 12,2 | 16,5 | 22,5 | 31,0 | 44,4 |
Количество вертикальных анкеров, требующихся на колодец примера
п. 3.19
Принимаем 29 шт.
3.22 (3.10). Расчет прочности и устойчивости формы наружных стен при отрытии односторонних выемок вблизи колодца следует производить как проверочный расчет конструкций, сечения которых принимаются в соответствии с требованиями пп. 3.6, 3.9 и 3.24 (пп. 3.6, 3.7 и 3.12).
Расчет сдвига по подошве и опрокидывания колодца при отрытии односторонних выемок вблизи колодца следует производить в соответствии с требованиями главы СНиП по проектированию оснований зданий и сооружений.
Расчет на эксплуатационные нагрузки
3.23 (3.11). На нагрузки и воздействия, возникающие в условиях эксплуатации колодца, должны выполняться следующие расчеты:
прочности и устойчивости формы наружных и внутренних стен, колонн, днища и перекрытий;
всплывания колодца;
осадки колодца;
сдвига по подошве и опрокидывания колодца (при больших односторонних горизонтальных нагрузках).
3.24 (3.12). Расчет прочности и устойчивости формы наружных стен колодца в условиях эксплуатации, а также в условиях строительства после тампонирования щели тиксотропной рубашки и изготовления днища
следует производить с учетом происшедшего во время погружения обжатия оболочки колодца давлением тиксотропного раствора pт, причем величину нагрузки, при воздействии которой произошло первоначальное обжатие, следует принимать равной 80% расчетного давления тиксотропного раствора.
3.25. Колодцы для сооружений I и II классов рассчитываются как оболочки на ЭВМ. Для сооружений III и IV классов круглые колодцы без внутренних стен допускается рассчитывать на горизонтальные нагрузки, возникающие в условиях эксплуатации как оболочки, по формулам:

(3.34)
NR = (0,5 + a2i·10-2)pэD0; (3.35)

(3.36)
где MR и NR - наибольшее значение кольцевого изгибающего момента, тс·м/м, и соответствующей нормальной силы, тс/м;
My - наибольшее значение меридионального изгибающего момента, тс·м/м;
pэ - горизонтальное давление, тс/м2; pэ = pг - 0,8pт;
a1i;
a2i;
a3i - коэффициенты, величины которых в зависимости от размеров и расчетной схемы колодца принимаются: по
табл. 3.9 - для оболочки со свободным верхним и шарнирно-опертым нижним концами и треугольной по высоте эпюры горизонтальной нагрузки (
i = 1); по
табл. 3.10 - для оболочки со свободными верхними и шарнирно-опертыми нижними концами и равномерно распределенной по высоте горизонтальной нагрузкой (
i = 2); по
табл. 3.11 - для оболочки с шарнирно-опертыми концами и треугольной по высоте эпюрой горизонтальной нагрузки (
i = 3); по
табл. 3.12 - для оболочки с шарнирно-опертыми концами и равномерно распределенной по высоте горизонтальной нагрузкой (
i = 4).
D0, м | a | H0, м |
9 | 18 | 30 |
| | | | | |
9 | a11 | -0,18816 | 0,17472 | - | - | - | - |
a21 | 1,49184 | 1,25664 |
a31 | -0,07594 | 0,06888 |
18 | a11 | -0,1740 | 0,1586 | -0,18816 | 0,17472 | -0,1980 | 0,18528 |
a21 | 1,290 | 1,0628 | 1,49184 | 1,25664 | 1,6700 | 1,435 |
a31 | -0,07153 | 0,0648 | -0,07594 | 0,06888 | -0,0810 | 0,0742 |
30 | a11 | -0,1550 | 0,1385 | -0,1740 | 0,1585 | -0,18816 | 0,17472 |
a21 | 1,072 | 0,888 | 1,290 | 1,0628 | 1,49184 | 1,25664 |
a31 | -0,0660 | 0,0589 | -0,07153 | 0,0648 | -0,07594 | 0,06888 |
42 | a11 | -0,132 | 0,1176 | -0,1550 | 0,1388 | -0,1740 | 0,1585 |
a21 | 0,93 | 0,720 | 1,072 | 0,888 | 1,3203 | 1,0628 |
a31 | -0,0695 | 0,0554 | -0,0660 | 0,0589 | -0,07853 | 0,0648 |
D0, м | a | H0, м |
9 | 18 | 30 |
| | | | | |
9 | a12 | -0,3136 | 0,2912 | - | - | - | - |
a22 | 2,4864 | 2,094 |
a32 | -0,1249 | 0,1148 |
18 | a12 | -0,29708 | 0,27360 | -0,3136 | 0,2912 | -0,3267 | 0,3051 |
a22 | 2,3142 | 1,938 | 2,4864 | 2,094 | 2,6946 | 2,347 |
a32 | -0,1240 | 0,1139 | -0,1249 | 0,1148 | -0,1258 | 0,1158 |
30 | a12 | -0,27657 | 0,253 | -0,29708 | 0,27360 | -0,3136 | 0,2912 |
a22 | 2,0355 | 1,702 | 2,3142 | 1,938 | 2,4864 | 2,094 |
a32 | -0,1230 | 0,11293 | -0,1240 | 0,1139 | -0,1243 | 0,1148 |
42 | a12 | -0,2552 | 0,22736 | -0,27757 | -0,253 | -0,29708 | 0,27360 |
a22 | 1,7980 | 0,4848 | 2,0355 | 1,702 | 2,3142 | 1,938 |
a32 | -0,1218 | 0,11185 | -0,1230 | 0,11293 | -0,1240 | 0,1139 |
D0, м | a | H0, м |
9 | 18 | 30 |
| | | | | |
9 | a13 | -0,1512 | 0,1404 | - | - | - | - |
a23 | 1,1988 | 1,0098 |
a33 | -0,06102 | 0,05535 |
18 | a13 | -0,1417 | 0,1308 | -0,1512 | 0,1404 | -0,1607 | 0,1500 |
a23 | 1,1328 | 0,9438 | 1,1988 | 1,0098 | 1,2638 | 1,0758 |
a33 | -0,05998 | 0,05431 | -0,06102 | 0,05535 | -0,06206 | 0,05639 |
30 | a13 | -0,12930 | 0,1183 | -0,1417 | 0,1308 | -0,1512 | 0,1404 |
a23 | 1,0468 | 0,857 | 1,1328 | 0,943 | 1,1988 | 1,0098 |
a33 | -0,05863 | 0,05296 | -0,05998 | 0,05431 | -0,06102 | 0,05535 |
42 | a13 | -0,1169 | 0,1058 | -0,12744 | 0,11664 | -0,14 | 0,1308 |
a23 | 0,9608 | 0,7768 | 0,9556 | 0,7992 | 1,0328 | 0,9438 |
a33 | -0,05728 | 0,05162 | -0,05880 | 0,053 | -0,05918 | 0,05431 |
D0, м | a | H0, м |
9 | 18 | 30 |
| | | | | |
9 | a14 | -0,280 | 0,260 | - | - | - | - |
a24 | 2,22 | 1,87 |
a34 | -0,1130 | 0,1025 |
18 | a14 | -0,261 | 0,024 | -0,280 | 0,260 | -0,3005 | 0,2805 |
a24 | 2,03 | 1,700 | 2,22 | 1,87 | 2,41 | 2,04 |
a34 | -0,1111 | 0,1006 | -0,1130 | 0,1025 | -0,1149 | 0,1044 |
30 | a14 | -0,2405 | 0,2180 | -0,261 | 0,24 | -0,280 | 0,260 |
a24 | 1,79 | 1,49 | 2,03 | 1,70 | 2,21 | 1,87 |
a34 | -0,1086 | 0,0981 | -0,1111 | 0,1006 | -0,1130 | 0,1025 |
42 | a14 | -0,220 | 0,196 | -0,2405 | 0,218 | -0,261 | 0,24 |
a24 | 1,55 | 1,28 | 1,79 | 1,49 | 2,03 | 1,70 |
a34 | -0,1061 | 0,0956 | -0,1086 | 0,0988 | -0,1111 | 0,1006 |

N точки | aM | N участка | aN |
Тип нагрузки | Тип нагрузки |
I | II | I | II |
1 | +7,74 | -88,0 | 1 - 2 | -517,17 | +400,75 |
2 | +3,63 | -60,03 | 2 - 3 | -519,64 | +413,75 |
3 | -0,58 | -25,93 | 3 - 4 | -522,15 | +421,70 |
4 | -4,85 | +20,38 | 4 - 5 | -525,00 | +432,05 |
5 | -7,81 | +77,30 | 5 - 6 | -527,86 | +444,35 |
6 | -8,08 | +143,30 | 6 - 7 | -530,36 | +458,30 |
7 | -4,42 | +216,35 | 7 - 8 | -532,83 | +475,65 |
87 | +17,76 | +374,40 | 8 - 9 | -532,83 | +14,95 |
89 | +17,76 | -354,05 | 9 - 10 | -530,36 | +37,50 |
9 | -4,42 | -199,53 | 10 - 11 | -527,85 | +51,20 |
10 | -8,08 | -128,00 | 11 - 12 | -525,00 | +63,30 |
11 | -7,81 | -63,25 | 12 - 13 | -522,15 | +73,50 |
12 | -4,85 | -7,25 | 13 - 14 | -519,64 | +81,50 |
13 | -0,58 | +38,45 | 14 - 15 | -517,17 | +88,75 |
14 | +3,63 | +72,25 | 15 - 16 | -517,17 | +88,75 |
15 | +7,74 | +100,65 | 16 - 17 | -519,64 | +81,50 |
16 | +3,63 | +72,25 | 17 - 18 | -522,15 | +73,50 |
17 | -0,58 | +38,45 | 18 - 19 | -525,00 | +63,30 |
18 | -4,85 | -7,25 | 19 - 20 | -527,85 | +51,20 |
19 | -7,81 | -63,25 | 20 - 21 | -530,36 | +37,50 |
20 | -8,08 | -128,00 | 21 - 22 | -532,83 | +14,95 |
21 | -4,42 | -199,53 | 22 - 23 | -532,83 | +475,65 |
2221 | +17,76 | -354,05 | 23 - 24 | -530,36 | +458,30 |
2228 | +17,76 | +374,40 | 24 - 25 | -527,85 | +444,35 |
23 | -4,42 | +216,35 | 25 - 26 | -525,00 | +432,05 |
24 | -8,08 | +143,30 | 26 - 27 | -522,15 | +421,70 |
25 | -7,81 | +77,30 | 27 - 28 | -519,61 | +413,75 |
26 | -4,85 | +20,38 | 28 - 1 | -517,17 | +400,75 |
27 | -0,58 | -25,93 | 8 - 22 | +31,11 | +2,25 |
28 | +3,62 | -60,03 | | | |
829 | - | -728,28 | | | |
2229 | - | -728,28 | | | |
29 | 0 | +521,72 | | | |
Таблица 3.14

N точки | aM | N участка | aN |
Тип нагрузки | Тип нагрузки |
I | II | I | II |
1 | -19,80 | -89,67 | 1 - 2 | -544,35 | +305,75 |
2 | -18,43 | -31,63 | 2 - 3 | -550,20 | +326,45 |
3 | -15,93 | +38,53 | 3 - 4 | -549,50 | +343,00 |
4 | -11,10 | +133,43 | 4 - 5 | -548,20 | +364,30 |
5 | -2,83 | +250,35 | 5 - 6 | -546,15 | +389,50 |
65 | +9,85 | +385,36 | 6 - 7 | -523,80 | -16,60 |
67 | +11,83 | -158,62 | 7 - 8 | -522,80 | -4,80 |
629 | +1,98 | -543,98 | 8 - 9 | -526,00 | +4,80 |
7 | +6,40 | -137,03 | 9 - 10 | -531,55 | +11,55 |
8 | -31,38 | -90,05 | 10 - 11 | -530,40 | +15,70 |
9 | -37,43 | -43,18 | 11 - 12 | -528,75 | +19,35 |
10 | -33,58 | -21,53 | 12 - 13 | -526,90 | +22,50 |
11 | -26,58 | -1,95 | 13 - 14 | -525,20 | +24,90 |
12 | -17,80 | +15,10 | 14 - 15 | -517,20 | +27,00 |
13 | -8,75 | +28,80 | 15 - 16 | -517,20 | +27,00 |
14 | -1,90 | +38,90 | 16 - 17 | -525,20 | +24,90 |
15 | +5,98 | +47,13 | 17 - 18 | -526,90 | +22,50 |
16 | -1,90 | +38,90 | 18 - 19 | -528,75 | +19,35 |
17 | -8,75 | +28,80 | 19 - 20 | -530,40 | +15,70 |
18 | -17,80 | +15,10 | 20 - 21 | -531,55 | +11,55 |
19 | -26,58 | -1,95 | 21 - 22 | -526,00 | +4,80 |
20 | -33,58 | -21,53 | 22 - 23 | -522,80 | -4,80 |
21 | -37,43 | -43,18 | 23 - 24 | -523,80 | -16,60 |
22 | -31,38 | -90,05 | 24 - 25 | -546,15 | +389,50 |
23 | -6,40 | -137,03 | 25 - 26 | -548,20 | +364,30 |
2423 | +11,83 | -158,62 | 26 - 27 | -549,50 | +343,00 |
2425 | +9,85 | +385,36 | 27 - 28 | -550,20 | +326,45 |
2429 | +1,98 | -543,98 | 28 - 1 | -544,35 | + 305,75 |
25 | -2,83 | +250,35 | 6 - 24 | +45,70 | -88,20 |
26 | -11,10 | +133,43 | | | |
27 | -15,93 | +38,53 | | | |
28 | -18,43 | -31,63 | | | |
29 | +1,98 | +393,52 | | | |
Таблица 3.15

N точки | aM | N участка | aN |
Тип нагрузки | Тип нагрузки |
I | II | III | I | II | III |
1 | -14,15 | -11,35 | +13,05 | 1 - 2 | -534,10 | +447,95 | +19,90 |
2 | -15,90 | +3,23 | -17,15 | 2 - 3 | -540,75 | +457,25 | +14,75 |
3 | -17,25 | +20,15 | -36,30 | 3 - 4 | -540,95 | +461,25 | +10,70 |
4 | -17,62 | +42,90 | -57,38 | 4 - 5 | -540,85 | +466,35 | +6,35 |
5 | -15,80 | +70,73 | -79,75 | 5 - 6 | -540,20 | +472,35 | +1,80 |
65 | -10,55 | +102,68 | -102,75 | 6 - 7 | -517,10 | +82,00 | +34,10 |
67 | +6,37 | -234,50 | -47,98 | 7 - 8 | -514,55 | +104,25 | +41,80 |
629 | +16,92 | -337,18 | +54,78 | 8 - 9 | -516,65 | +138,70 | +47,55 |
7 | -6,15 | -133,38 | -18,13 | 9 - 10 | -522,15 | +141,55 | +48,15 |
8 | -23,07 | +24,28 | +23,98 | | | | |
9 | -26,37 | +107,58 | +38,70 | | | | |
10 | -23,52 | +117,78 | +35,10 | | | | |
11 | -18,75 | +106,40 | +24,28 | 10 - 11 | -521,30 | +141,45 | +46,70 |
12 | -13,57 | +73,83 | +6,58 | 11 - 12 | -520,30 | +137,05 | +43,85 |
13 | -9,37 | +21,00 | -17,53 | 12 - 13 | -519,25 | +128,45 | +39,65 |
14 | -8,30 | -50,48 | -47,23 | 13 - 14 | -518,65 | +116,00 | +34,25 |
1514 | -14,80 | -240,13 | -119,80 | 14 - 15 | -512,60 | +90,80 | +24,25 |
1516 | -14,80 | -240,13 | -374,73 | 15 - 16 | -512,60 | +90,80 | +376,50 |
16 | -8,30 | -50,48 | +112,40 | 16 - 17 | -518,65 | +116,00 | +346,65 |
17 | -9,37 | +21,00 | +11,03 | 17 - 18 | -519,25 | +128,45 | +328,90 |
18 | -13,57 | +73,83 | -66,00 | 18 - 19 | -520,30 | +137,05 | +316,10 |
19 | -18,75 | +106,40 | -116,33 | 19 - 20 | -521,30 | +141,45 | +308,85 |
20 | -23,52 | +117,78 | -138,50 | | | | |
21 | -26,37 | +107,58 | -131,83 | | | | |
22 | -23,07 | +24,28 | -33,53 | 20 - 21 | -522,15 | +141,55 | +307,30 |
23 | -6,15 | -133,38 | +166,85 | 21 - 22 | -516,65 | +138,70 | +310,10 |
2425 | -10,55 | +102,68 | +13,93 | 22 - 23 | -514,55 | +104,25 | +340,45 |
2429 | +16,92 | -337,18 | +284,18 | 23 - 24 | -517,10 | +82,00 | +381,20 |
2423 | +6,37 | -234,50 | +298,13 | 24 - 25 | -540,20 | +472,35 | +23,40 |
25 | -15,80 | +70,73 | +23,28 | 25 - 26 | -540,85 | +466,35 | +24,90 |
26 | -17,62 | +42,90 | +28,93 | 26 - 27 | -540,95 | +461,25 | +25,65 |
27 | -17,25 | +20,15 | +30,73 | 27 - 28 | -540,75 | +457,25 | +25,60 |
28 | -15,90 | +3,23 | +28,63 | 28 - 1 | -534,10 | +447,95 | +24,10 |
296 | -21,70 | +66,38 | -200,90 | 15 - 29 | -17,80 | -246,60 | +123,55 |
2924 | -21,70 | +66,38 | +137,48 | 6 - 29 | +32,15 | -275,55 | -39,25 |
2915 | 0 | 0 | +338,38 | 24 - 29 | - | - | +314,95 |
1529 | - | - | +494,53 | | | | |
Таблица 3.16

N точки | aM | N участка | aN |
Тип нагрузки | Тип нагрузки |
I | II | III | I | II | III |
12 | -20,87 | -200,03 | +40,23 | 1 - 2 | -543,70 | +124,30 | +3,55 |
128 | -20,87 | -200,03 | +159,76 | | | | |
129 | 0 | 0 | +119,53 | | | | |
2 | -18,35 | -44,53 | +19,62 | 2 - 3 | -549,36 | +106,05 | +0,35 |
3 | -15,47 | -80,23 | +8,83 | 3 - 4 | -548,60 | +104,90 | -1,80 |
4 | -10,40 | -56,15 | -1,85 | 4 - 5 | -547,30 | +115,65 | -3,90 |
5 | -2,03 | +26,29 | -12,10 | 5 - 6 | -545,20 | +138,05 | -5,90 |
65 | +10,65 | +166,58 | -21,60 | 6 - 7 | -523,90 | -0,90 | -0,45 |
67 | +11,30 | -12,23 | -6,75 | | | | |
629 | +0,65 | -178,81 | -14,85 | 7 - 8 | -522,80 | -0,40 | -0,15 |
7 | -6,88 | -10,75 | -5,78 | 8 - 9 | -525,96 | +0,40 | +0,30 |
8 | -31,68 | -7,03 | -3,73 | 9 - 10 | -531,50 | +0,95 | +0,60 |
9 | -37,55 | -3,30 | -1,70 | 10 - 11 | -530,35 | +1,30 | +0,75 |
10 | -33,65 | -1,58 | -0,85 | 11 - 12 | -528,70 | +1,55 | +0,90 |
11 | -26,58 | -0,20 | +0,025 | 12 - 13 | -526,85 | +1,90 | +1,00 |
12 | -17,75 | +1,28 | +0,70 | 13 - 14 | -525,15 | +2,00 | +1,10 |
13 | -8,70 | +2,35 | +1,25 | 14 - 15 | -517,15 | +2,15 | +1,20 |
14 | -1,78 | +3,13 | +1,63 | 15 - 16 | -517,15 | +2,15 | +0,90 |
15 | +6,13 | +3,70 | +1,85 | 16 - 17 | -525,15 | +2,00 | +0,80 |
16 | -1,78 | +3,13 | +1,43 | 17 - 18 | -526,85 | +1,90 | +0,75 |
17 | -8,70 | +2,35 | +1,03 | 18 - 19 | -528,70 | +1,55 | +0,60 |
18 | -17,75 | +2,28 | +0,5 | 19 - 20 | -530,35 | +1,30 | +0,50 |
19 | -26,58 | -0,20 | -0,15 | 20 - 21 | -531,50 | +0,95 | +0,30 |
20 | -33,64 | -1,58 | -0,85 | 21 - 22 | -525,96 | +0,40 | +0,10 |
21 | -37,55 | -3,30 | -1,65 | 22 - 23 | -522,80 | -0,40 | -0,25 |
22 | -31,68 | -7,03 | -3,30 | 23 - 24 | -523,90 | -0,90 | -0,45 |
23 | -6,88 | -10,75 | -4,90 | 24 - 25 | -545,20 | +138,05 | +143,95 |
2423 | +11,30 | -12,23 | -5,60 | | | | |
2425 | +10,65 | +166,58 | +188,08 | 25 - 26 | -547,30 | +115,65 | +119,65 |
2429 | +0,65 | -178,81 | -193,68 | 26 - 27 | -548,60 | +104,90 | +106,80 |
25 | -2,03 | +26,29 | +39,03 | 27 - 28 | -549,36 | +106,05 | +105,80 |
26 | -10,40 | -56,15 | -54,25 | 28 - 1 | -543,70 | +124,30 | +120,90 |
27 | -15,47 | -80,23 | -89,00 | 1 - 29 | -1,50 | +406,30 | +203,15 |
291 | 0 | 0 | -54,20 | 24 - 29 | +45,10 | +85,55 | +92,15 |
296 | +3,83 | +121,10 | +33,45 | 6 - 29 | - | - | -6,75 |
2924 | +3,83 | +121,10 | +87,65 | | | | |
Таблица 3.17

N точки | aM | N участка | aN |
Тип нагрузки | Тип нагрузки |
I | II | I | II |
1 | -20,97 | -79,83 | 1 - 2 | -545,70 | +144,90 |
2 | -20,02 | +27,30 | 2 - 3 | -551,45 | +178,55 |
32 | -16,45 | +156,40 | 3 - 4 | -547,55 | -1,80 |
34 | -10,47 | +127,03 | 4 - 5 | -546,90 | -17,55 |
4 | -8,53 | +9,85 | 5 - 6 | -545,55 | -17,70 |
5 | -3,37 | -30,03 | 6 - 7 | -523,85 | -0,75 |
65 | +6,07 | +8,65 | 7 - 8 | -522,85 | -0,75 |
67 | +12,00 | -3,45 | 8 - 9 | -526,00 | -0,55 |
630 | +5,93 | -12,1 | 9 - 10 | -531,50 | -0,40 |
7 | -6,35 | -3,35 | 10 - 11 | -530,35 | -0,30 |
8 | -31,33 | -2,73 | 11 - 12 | -528,75 | -0,15 |
9 | -37,30 | -1,8 | 12 - 13 | -526,90 | +0,05 |
10 | -33,55 | -1,23 | 13 - 14 | -525,20 | +0,15 |
11 | -26,57 | -0,6 | 14 - 15 | -517,25 | +0,35 |
12 | -17,87 | +0,13 | 15 - 16 | -517,25 | +0,35 |
13 | -8,9 | +0,8 | 16 - 17 | -525,20 | +0,15 |
14 | -1,25 | +1,47 | 17 - 18 | -526,90 | +0,05 |
15 | +5,73 | +2,65 | 18 - 19 | -528,75 | -0,15 |
16 | -1,25 | +1,45 | 19 - 20 | -530,35 | -0,10 |
17 | -8,9 | +0,8 | 20 - 21 | -531,50 | -0,40 |
18 | -17,87 | +0,125 | 21 - 22 | -526,00 | -0,55 |
19 | -26,57 | -0,6 | 22 - 23 | -522,85 | -0,75 |
20 | -33,55 | -1,22 | 23 - 24 | -523,85 | -0,75 |
21 | -37,30 | -1,80 | 24 - 25 | -545,55 | -17,70 |
22 | -31,33 | -2,73 | 25 - 26 | -546,90 | -17,55 |
23 | -6,35 | -3,35 | 26 - 27 | -597,55 | -1,80 |
2423 | +12,00 | -3,45 | 27 - 28 | -551,45 | +178,55 |
2425 | +6,07 | +8,65 | 3 - 30 | +1,45 | +396,35 |
2429 | +5,93 | -12,1 | 6 - 30 | +42,35 | +81,65 |
25 | -3,37 | -30,03 | 24 - 29 | +42,35 | +396,35 |
26 | -8,53 | +9,85 | 27 - 29 | +1,75 | +396,35 |
2726 | -10,47 | +127,03 | 30 - 3 | +1,75 | +102,10 |
2728 | -16,45 | +156,40 | 28 - 1 | -545,70 | +144,90 |
2729 | +5,98 | -29,37 | | | |
28 | -20,02 | +27,30 | | | |
306 | +2,98 | -112,63 | | | |
303 | +2,83 | +66,80 | | | |
3031 | +0,15 | -179,43 | | | |
2924 | +2,98 | -112,63 | | | |
2927 | -2,83 | -66,80 | | | |
2931 | +0,15 | -179,43 | | | |
330 | -5,98 | +29,37 | | | |
31 | - | +133,12 | | | |
Таблица 3.18

N точки | aM | N участка | aN |
Тип нагрузки | Тип нагрузки |
I | II | III | I | II | III |
12 | +1,04 | -26,40 | +3,75 | 1 - 2 | -530,80 | +418,85 | +6,15 |
2 | -0,36 | -3,93 | +0,55 | 2 - 3 | -532,19 | +430,40 | +5,45 |
3 | -1,25 | +23,45 | -2,40 | 3 - 4 | -533,49 | +436,70 | +4,80 |
4 | -1,01 | +60,5 | -6,13 | 4 - 5 | -534,79 | +445,00 | +4,00 |
5 | +1,59 | +106,15 | -10,53 | 5 - 6 | -535,79 | +454,90 | +3,05 |
65 | +7,75 | +159,08 | -15,37 | 6 - 7 | -529,64 | +76,60 | +291,45 |
67 | +11,82 | -191,77 | +118,65 | 7 - 8 | -532,06 | +99,40 | +267,90 |
629 | +4,07 | -350,85 | +134,02 | 8 - 9 | -532,06 | +119,05 | +267,90 |
7 | +1,32 | +106,32 | +34,83 | 9 - 10 | -529,64 | +124,45 | +291,45 |
8 | -7,95 | -23,93 | -33,93 | 10 - 11 | -535,79 | +35,70 | +3,05 |
9 | +1,32 | +87,27 | +34,85 | 11 - 12 | -534,79 | +43,85 | +4,00 |
109 | +11,83 | +91,11 | +118,65 | 12 - 13 | -533,49 | +50,95 | +4,80 |
1011 | +7,75 | -123,96 | -15,45 | 13 - 14 | -532,19 | +56,50 | +5,45 |
1030 | -4,08 | -215,07 | -134,10 | 14 - 15 | -530,80 | +61,55 | +6,15 |
11 | +1,59 | -78,95 | -10,50 | 15 - 16 | -530,80 | +61,55 | +6,70 |
12 | -1,01 | -40,02 | -6,13 | 16 - 17 | -532,19 | +56,50 | +6,35 |
13 | -1,25 | -8,27 | -2,40 | 17 - 18 | -533,49 | +50,95 | +5,90 |
14 | -0,36 | +15,32 | +0,55 | 18 - 19 | -534,79 | +43,85 | +5,25 |
15 | +1,04 | +35,25 | +3,75 | 19 - 20 | -535,79 | +35,40 | +4,45 |
16 | -0,36 | +15,32 | +3,05 | 20 - 21 | -529,64 | +124,45 | +6,35 |
17 | -1,25 | -8,27 | +1,18 | 21 - 22 | -532,06 | +119,05 | +6,90 |
18 | -1,01 | -40,02 | -1,60 | 22 - 23 | -532,06 | +99,40 | +6,90 |
19 | +1,59 | -78,95 | -5,25 | 23 - 24 | -529,64 | +76,60 | +6,35 |
2019 | +7,75 | -123,96 | -9,63 | 24 - 25 | -535,79 | +454,90 | +4,45 |
2021 | +11,83 | +91,11 | -1,88 | 25 - 26 | -534,79 | +445,00 | +5,25 |
2030 | -4,08 | -215,07 | +7,75 | 26 - 27 | -533,49 | +436,70 | +5,90 |
21 | +1,32 | +87,27 | +0,78 | 27 - 28 | -532,19 | +430,40 | +6,35 |
22 | -7,95 | +23,93 | +2,85 | 28 - 1 | -530,80 | +418,85 | +6,70 |
23 | +1,32 | -106,32 | +0,78 | 6 - 24 | - | -232,00 | - |
2423 | +11,82 | -191,77 | -1,88 | 10 - 20 | - | -6,00 | - |
2425 | +7,75 | +159,08 | -9,63 | 29 - 30 | -15,74 | -223,05 | +220,90 |
2429 | +4,07 | -350,85 | -7,75 | 6 - 30 | +276,87 | - | +243,40 |
25 | +1,59 | +106,32 | -5,23 | 10 - 29 | +276,87 | - | +243,40 |
26 | -1,01 | +60,50 | -1,60 | 20 - 29 | +276,87 | - | -6,70 |
27 | -1,25 | +23,45 | +1,18 | 24 - 30 | +276,87 | - | -6,70 |
28 | -0,36 | -3,93 | +3,03 | | | | |
296 | -2,74 | +103,73 | +180,13 | | | | |
2924 | -2,74 | +103,73 | -19,32 | | | | |
3010 | +2,74 | +267,85 | -180,13 | | | | |
3020 | +2,74 | +267,85 | +19,32 | | | | |
2930 | 0 | - | -199,45 | | | | |
3029 | 0 | - | -199,45 | | | | |
Таблица 3.19

N точки | aM | N участка | aN |
Тип нагрузки | Тип нагрузки |
I | II | I | II |
1 | +0,35 | -77,65 | 1 - 2 | -531,45 | +327,65 |
2 | -0,66 | -26,30 | 2 - 3 | +532,78 | +319,6 |
3 | -1,04 | +35,65 | 3 - 4 | +534,03 | +361,25 |
4 | -0,14 | +119,45 | 4 - 5 | -535,26 | +380,00 |
5 | +3,26 | +222,50 | 5 - 6 | +536,17 | +402,35 |
65 | +10,38 | +341,83 | 6 - 7 | -530,36 | -23,95 |
67 | +11,50 | -211,50 | | | |
620 | +1,22 | -553,33 | | | |
7 | +0,52 | -166,85 | 7 - 8 | -532,83 | -9,85 |
8 | -9,23 | -70,00 | 8 - 9 | -532,83 | +9,85 |
9 | +0,52 | +26,80 | 9 - 10 | -530,36 | +24,0 |
109 | +11,60 | +71,53 | 10 - 11 | +536,17 | -17,25 |
1011 | +10,37 | +58,83 | | | |
1030 | -1,23 | -12,70 | | | |
11 | +3,27 | +37,43 | 11 - 12 | -535,26 | -21,25 |
12 | -0,14 | +18,95 | 12 - 13 | +534,03 | -24,60 |
13 | -1,05 | +3,95 | 13 - 14 | +532,78 | -27,20 |
14 | -0,65 | -7,13 | 14 - 15 | -531,45 | -29,60 |
15 | +0,36 | -16,20 | 15 - 16 | -531,45 | -29,60 |
16 | -0,65 | -7,13 | 16 - 17 | +532,79 | -27,20 |
17 | -1,05 | +3,95 | 17 - 18 | +534,03 | -24,60 |
18 | -0,14 | +18,95 | 18 - 19 | -535,26 | -21,25 |
19 | +3,27 | +37,43 | 19 - 20 | +536,17 | -17,25 |
2019 | +10,38 | +58,83 | 20 - 21 | -530,36 | +24,00 |
2021 | +11,60 | +71,53 | | | |
2030 | -1,23 | -12,70 | | | |
21 | +0,52 | +26,80 | 21 - 22 | -532,83 | +9,85 |
22 | -9,23 | -70,00 | 22 - 23 | -532,83 | -9,85 |
23 | +0,52 | -166,85 | 23 - 24 | -530,36 | -23,95 |
2423 | +11,60 | -211,50 | 24 - 25 | +536,17 | +402,35 |
2425 | +10,38 | +341,83 | | | |
2429 | +1,22 | -553,33 | | | |
25 | +3,27 | +222,50 | 25 - 26 | -535,26 | +380,00 |
26 | -0,14 | + 119,45 | 26 - 27 | +534,03 | +361,25 |
27 | -1,05 | +35,65 | 27 - 28 | +532,79 | +319,60 |
28 | -0,65 | -26,30 | 28 - 1 | -531,45 | +327,65 |
29 | +1,23 | +384,20 | 6 - 24 | +290,09 | -139,60 |
30 | -1,23 | -12,7 | 10 - 20 | +290,09 | +86,60 |

N точки | aM | N участка | aN |
Тип нагрузки | Тип нагрузки |
I | II | III | I | II | III |
1 | -20,20 | +39,38 | -59,15 | 1 - 2 | -507,15 | +201,45 | +132,40 |
2 | -25,23 | -26,55 | +28,38 | 2 - 3 | -513,50 | +229,95 | +118,05 |
32 | -24,97 | -88,35 | +136,28 | 3 - 4 | -501,00 | +90,00 | +202,70 |
34 | -17,93 | -35,65 | +114,65 | 4 - 5 | -507,65 | +88,15 | +198,50 |
329 | -7,05 | +52,68 | +21,63 | 5 - 6 | -528,25 | +20,35 | +61,80 |
4 | -25,95 | -17,55 | -31,13 | 6 - 7 | -518,20 | +26,55 | +80,80 |
54 | -28,75 | -54,53 | -7,15 | 7 - 8 | -520,45 | +30,95 | +92,70 |
56 | -54,18 | -149,55 | -49,55 | 8 - 9 | -518,45 | +32,75 | +97,75 |
529 | +25,40 | +95,03 | -42,40 | 9 - 10 | -517,25 | +33,55 | +99,75 |
6 | -41,95 | -81,23 | -25,53 | 10 - 11 | -510,85 | +32,80 | +97,15 |
7 | -15,45 | +22,45 | +11,30 | 11 - 12 | -518,85 | +29,85 | +87,90 |
8 | -4,33 | +54,70 | +22,98 | 12 - 13 | -520,85 | +26,70 | +78,40 |
9 | +3,65 | +72,40 | +29,63 | 13 - 14 | -518,30 | +20,55 | +59,70 |
10 | +7,40 | +75,05 | +31,05 | 14 - 15 | -515,15 | +21,20 | +408,85 |
11 | +1,63 | +35,30 | +18,25 | 15 - 16 | -523,25 | +27,55 | +388,50 |
12 | -6,90 | -5,90 | +4,43 | 16 - 17 | -523,85 | +30,80 | +350,15 |
13 | -17,68 | -59,78 | -14,05 | 17 - 18 | -517,65 | +33,85 | +356,50 |
1413 | -39,47 | -198,65 | -60,80 | 18 - 19 | -521,55 | +34,60 | +358,50 |
1415 | -8,50 | +287,90 | -60,80 | 19 - 20 | -519,95 | +33,80 | +361,20 |
1428 | +30,95 | +486,55 | 0 | 20 - 21 | -518,45 | +31,95 | +368,15 |
15 | -28,45 | +94,15 | -14,05 | 21 - 22 | -510,75 | +27,40 | +380,10 |
16 | -33,65 | +18,98 | +4,43 | 22 - 23 | -517,15 | +21,00 | +411,00 |
17 | -34,83 | -38,65 | +18,25 | 23 - 24 | -512,80 | +73,20 | +165,30 |
18 | -26,98 | -94,50 | +31,05 | 24 - 25 | -508,35 | +74,85 | +154,05 |
19 | -19,60 | -91,05 | +29,63 | 25 - 26 | -511,00 | +234,80 | +129,70 |
20 | -11,78 | -66,68 | +22,98 | 26 - 1 | -505,65 | +206,85 | +136,70 |
21 | -5,10 | -22,03 | +11,30 | 5 - 29 | -22,30 | +9,31 | -182,60 |
22 | +0,64 | +122,33 | -25,53 | 23 - 27 | -8,80 | +0,20 | +234,75 |
2322 | +4,38 | -216,93 | -49,55 | 27 - 25 | -11,40 | +330,20 | -133,39 |
2324 | -8,15 | +76,50 | -7,15 | 29 - 3 | +3,75 | +322,65 | -150,95 |
2327 | +3,68 | +129,15 | -42,40 | 28 - 14 | +2,75 | -60,60 | +37,10 |
24 | -10,30 | +57,48 | -31,13 | 29 - 28 | -15,85 | +26,80 | -164,55 |
2524 | -28,55 | -53,48 | +114,65 | 27 - 28 | -21,90 | +23,30 | +175,50 |
2526 | -14,40 | -15,05 | +136,28 | | | | |
2527 | -14,15 | -38,43 | -21,63 | | | | |
26 | -14,50 | +23,48 | +28,38 | | | | |
2723 | +4,85 | +14,30 | -82,70 | | | | |
2725 | +9,75 | -69,68 | -50,23 | | | | |
2728 | +14,65 | +83,98 | -132,93 | | | | |
2814 | -28,30 | +355,40 | 0 | | | | |
2827 | -12,30 | +122,90 | +88,30 | | | | |
2829 | +16,00 | -232,50 | +88,30 | | | | |
293 | +15,00 | -3,80 | +50,23 | | | | |
295 | -4,83 | -71,50 | -82,70 | | | | |
2928 | -10,18 | -67,70 | -132,93 | | | | |
30 | - | -283,58 | 0 | | | | |
Коэффициенты соответствуют условию [
2.23 (17)]. При иных значениях дополнительных неосесимметричных горизонтальных давлений
pдоп значения коэффициентов следует умножить на отношение

.
Действующие на колодец горизонтальные неосесимметричные нагрузки приводятся к сочетанию треугольной и равномерно распределенной по высоте нагрузок.
Допускается складывать определенные по
формулам (3.34) -
(3.36) наибольшие значения усилий от треугольной и равномерно распределенной нагрузок.
3.26 (3.12). При расчете колодцев, внутренние отсеки которых, по технологическим требованиям, заполнены водой, должна учитываться дополнительная гидростатическая нагрузка на ограждающие конструкции этих отсеков.
Для круглых колодцев диаметром до 15 м канализационных и водопроводных насосных станций с отдельными отсеками, наполненными водой, изгибающие моменты и нормальные силы во внутренних стенах допускается определять как в контурных плитах, нагруженных горизонтальным гидростатическим давлением, а в наружных стенах - по поперечным кольцевым сечениям поясов колодца. При этом максимальные усилия возникнут в кольце, расположенном на 1/2 высоты колодца (расстояние между перекрытием и днищем).
Изгибающие моменты

, тс·м/м, и нормальные силы

, тс/м, в поясах, вызываемые основным давлением грунта (горизонтальным)
pэ, тс/м
2, и дополнительным неосесимметричным давлением грунта (горизонтальным), равным 0,1
pэ на колодец, определяются по формулам:

(3.37)

(3.38)
При ином отношении дополнительного давления pдоп, тс/м2, к основному коэффициенты aM и aN умножаются на отношение pдоп/0,1pэ.
Изгибающие моменты MW, тс·м/м, и нормальные силы NW, тс/м, в сечениях стен колодца, вызываемые гидростатическим давлением pW, тс/м2, воды, заполняющей отдельные отсеки колодца, определяются по формулам:

(3.39)
где
aM и
aN - коэффициенты, принимаемые по
табл. 3.13 -
3.20 для рассматриваемых точек и участков в зависимости от расчетной схемы поясов и видов загружения.
В таблицах индексы у точек показывают номер сопряженного участка, в котором действует данный момент.
Пример. Определить в колодце диаметром 12 м с внутренней стеной, расположенной посередине, максимальные усилия в сечениях наружной стены для пояса, загруженного снаружи горизонтальным давлением грунта, pэ = 20 тс/м2, дополнительным горизонтальным давлением pдоп = 0,1pэ и изнутри в одном отсеке гидростатическим давлением pW = 10 тс/м2.
3.27. Стены колодцев допускается рассчитывать на невыгоднейшие сочетания горизонтальных нагрузок как вертикальные полосы шириной 1 м (неразрезные балки), если расстояние между перекрытиями Hпер, м, удовлетворяет условию
3.28 (3.13). Расчет колодца на всплывание в условиях эксплуатации следует производить на расчетные нагрузки по формуле

[3.42
(26)]
где
- сумма всех постоянных вертикальных расчетных нагрузок, тс;
Tн.1;
Tт.1 и Qпр.а - обозначения расчетных нагрузок и воздействий (и соответствующие им коэффициенты перегрузки), определяемые по табл. 2.5 (5);
F0,
HW;
- обозначения те же, что в
формуле [
3.21 (24)]
;
kн - коэффициент надежности, равный 1,2.
Колодцы рекомендуется максимально пригружать опирающимися на них зданиями и сооружениями, применяя для них по возможности более тяжелые материалы и конструкции.
3.29 (3.14). Расчет осадок колодцев и изменение осадок во времени следует выполнять как для фундаментов на естественных основаниях в соответствии с требованиями главы СНиП по проектированию оснований зданий и сооружений с учетом усилий трения колодца по грунту, вызываемых осадкой колодца.
3.30 (3.15). При больших односторонних горизонтальных нагрузках (например, при расположении колодцев на косогоре) колодцы следует рассчитывать на сдвиг по подошве и опрокидывание в соответствии с требованиями главы СНиП по проектированию оснований зданий и сооружений.
3.31 (3.16). Для колодцев, предназначенных для строительства на подрабатываемых территориях и в сейсмических районах на участках с расчетной сейсмичностью от 7 баллов и выше, должны выполняться следующие дополнительные расчеты по расчетным схемам для условий эксплуатации и при соответствующих дополнительных особых нагрузках и воздействиях:
прочности и устойчивости формы наружных и внутренних стен, колонн и перекрытий;
сдвига по подошве и опрокидывания (при больших односторонних горизонтальных нагрузках).
3.32 (3.12). Оболочку колодца в местах опирания балок перекрытий или горизонтальных анкеров следует рассчитывать на местное действие нагрузки от них; при этом следует учитывать концентрацию усилий у проемов.
3.33 (3.12). В расчетах перекрытий, соединяемых с наружными стенами колодца, следует учитывать продольные сжимающие и растягивающие усилия от горизонтальной внешней нагрузки на колодец, возникающей в условиях эксплуатации.
Для колодцев, удовлетворяющих
условию (3.41), допускается принимать сжимающие силы, равные соответствующим опорным реакциям вертикальных неразрезных балок.
3.34. При расчете днища на нагрузки, возникающие в условиях эксплуатации, в расчетной схеме следует учитывать нагрузки с обратным знаком от постоянных внутренних стен и колонн или учитывать совместную работу внутренних конструкций колодца с днищем и основанием.
3.35 (3.12). Устойчивость элементов конструкций колодцев, а также колодцев в целом должна быть обеспечена при всех реально возможных условиях эксплуатации. При расчете критического давления на колодец pкр, тс/м2, должны быть соблюдены условия:
для круглых колодцев в плане
pкр > pг + qг.к или pкр > pг + qс.к; (3.43)
для прямоугольных колодцев в плане
pкр > pг + qг или pкр > pг + qс. (3.44)
Обозначения давлений (и соответствующие им коэффициенты перегрузки) приведены в табл. 2.5 (5).
Расчет железобетонных конструкций колодцев
3.36 (3.17). Расчет железобетонных конструкций колодцев должен производиться в соответствии с требованиями главы СНиП по проектированию бетонных и железобетонных конструкций с учетом следующих дополнительных условий:
железобетонные сечения наружных стен со штукатурной цементной гидроизоляцией, располагаемые ниже уровня грунтовых вод, следует рассчитывать по раскрытию трещин. Раскрытие трещин при стержневой арматуре из стали классов А-I, А-II, А-III допускается не более 0,3 мм в расчетах на нагрузки, возникающие в условиях строительства, и не более 0,2 мм - в условиях эксплуатации;
расчеты колодцев на температурно-влажностные воздействия следует производить для условий строительства, если наибольший размер в плане прямоугольного колодца или диаметр круглого колодца более 60 м, а для условий эксплуатации - при резком неравномерном распределении температуры или влажности по сечениям элементов или при периодическом воздействии интенсивных технологических тепловыделений.
3.37. Железобетонная цилиндрическая оболочка в кольцевом направлении рассчитывается как внецентренно-сжатый кольцевой элемент с симметричной или несимметричной арматурой в зоне тиксотропной рубашки прямоугольного сечения и в ножевой части таврового сечения. Полку в сжатой зоне железобетонного ножа образуют с наружной стороны консоль режущей части, а с внутренней стороны - участок примыкающей стены. Влияние прогиба на несущую способность кольца следует учитывать, принимая расчетную длину элемента

(3.45)
В меридиональном направлении железобетонное сечение оболочки рассчитывается как внецентренно-сжатый элемент, в котором нормальная сила формируется собственным весом стены, нагрузками от перекрытий и др.
3.38. Отверстия значительных размеров в железобетонных стенах и панелях должны окаймляться дополнительной арматурой сечением не менее сечения рабочей арматуры (того же направления), которая требуется в данном месте по расчету на нагрузки и воздействия, возникающие в условиях эксплуатации.
3.39 (3.17). При обоснованном применении металлической гидроизоляции [п. 4.39 (п. 4.19)] она должна учитываться как рабочая арматура.
Расчет железобетонных сечений с листовой арматурой производится в соответствии с требованиями главы
СНиП "Бетонные и железобетонные конструкции", при этом в расчетах на нагрузки, возникающие в условиях эксплуатации, площадь сечения ее принимается с коэффициентом условия работы
km = 0,5. Этим коэффициентом учитывается вероятная коррозия металла. При наличии в растянутых зонах только стержневой арматуры соответствующие нормальные и наклонные сечения рассчитываются на прочность как в обычных железобетонных конструкциях без учета сжатой листовой арматуры, если она не имеет специальной анкеровки от потери устойчивости.
Совместная работа металлических листов с бетоном обеспечивается поперечной и продольной анкеровкой листов.
Поперечная анкеровка отрываемой листовой арматуры при толщине листа более 8 мм при дуговой и более 6 мм при контактной сварке обеспечивается стержневыми анкерами, привариваемыми втавр нормально к плоскости листа. При этом диаметр анкера должен быть не более 1,4 - 1,7 толщины листа. Площадь поперечного сечения одного стержневого анкера fа, м2, определяется по формуле

(3.46)
где
pW - гидростатическое давление грунтовых вод на внешней грани конструкции, определяемое в соответствии с требованиями
п. 2.25 (2.18) данного Руководства, тс/м
2 (для стен
pW определяется на уровне нижней границы каждого яруса);
ux; uy - шаг анкеров соответственно в продольном и поперечном направлениях, м;
Rа - расчетное сопротивление арматуры растяжению, тс/м2.
Рекомендуется назначать анкеры не менее

с шагом 0,4 м в обоих направлениях. Длину стержней следует принимать при бетоне марки М 200 и выше для анкеров из стали класса А-II - 25
d и класса А-III - 30
d.
Пример. Определить площадь поперечного сечения стержневого анкера из стали класса А-II; Rа = 27 000 тс/м2 отрываемой листовой арматуры при гидростатическом давлении грунтовых вод pW = 29 тс/м2.
Площадь поперечного сечения анкера определяем по
формуле (3.46), принимая
ux = 0,35 м;
uy = 0,3 м.
Принят стержень d = 12 мм, l = 300 мм.
К более тонким листам приварка поперечных анкеров производится через подкладки из полосовой или уголковой стали, толщина которых должна быть не менее толщины листа. Подкладки рассчитываются как неразрезные балки с пролетом, равным расстоянию между анкерами.
Сдвигающие усилия, действующие в вертикальной плоскости контакта листовой арматуры и бетона стен, воспринимаются продольной анкеровкой листов упорами из уголков или швеллеров по верхнему и нижнему торцам элементов
(рис. 3.8). Площадь поверхности упора, опирающейся на бетон
Fсм, м
2, определяется по формуле

(3.47)
где Nл - растягивающее усилие в листе, тс/м;
Rсм - расчетное сопротивление бетона смятию, тс/м2.
Пример. Определить площадь поверхности упора листовой арматуры в ножевой части стеновой плоской панели. Растягивающее усилие в листе
Nл = 44 тс. Бетон марки М 200;
Rсм = 900 тс/м
2. Определяем площадь поверхности упора по
формуле (3.47):
Рис. 3.8. Пример конструктивного решения упоров (1)
продольной анкеровки листовой арматуры (2) стеновой панели
Принимаем упор из равнобокого уголка, профиль N 7.
Сдвигающие усилия, действующие в кольцевом направлении контакта листовой арматуры и бетона стен круглых колодцев, взаимно уравновешиваются приваркой в стыках стальных накладок.
Примеры расчета опускных колодцев
Пример 1. Рассчитать колодец диаметром
D = 30 м, глубиной
H = 15 м
(рис. 3.9) на нагрузки и воздействия, возникающие в условиях строительства. Колодец из плоских панелей опускается со дна первоначального котлована глубиной 6 м в суглинки (

;
k0 = 0,5), подстилаемые гравелистым, крупным, средней плотности песком (

;
e = 0,7;

;
k0 = 0,4). Колодец погружается с применением искусственного водопонижения, которое предполагается отключить после устройства днища. Удельный вес глинистого раствора

; уплотнителя

; тампонажа
qт = 2 тс/м
3. Поверхность у колодца пригружена равномерно распределенной нагрузкой

.
Рис. 3.9. Схема круглого колодца (а) с расчетными нагрузками
(б) в условиях погружения с разработкой грунта посуху
Определяем расчетные нагрузки и воздействия, принимая коэффициенты перегрузки по
табл. 2.1 (3) и
п. 2.23 (п. 2.16).
Постоянные
Вес наружных стен G0 и днища GD:
G0 = 0,9(0,5·14·3,14·30,6 + 0,65·1·3,14·30,75 +
+ 0,2·1,2·3,14·30,9)2,4 = 1725 тс;
GD = 0,9·3,14·30,92·0,25·1,2·2,4 = 1945 тс.
Вес 1 м2 днища qд = 0,9·1,2·2,4 = 2,59 тс/м2.
Вес тиксотропной рубашки Gт и тампонажа Gт.1 щели тиксотропной рубашки:
Gт = 0,9·0,15·14·3,14·31,15·1,15 = 212,6 тс;
Gт.1 = 0,9·0,15·14·3,14·31,15·2 = 369,7 тс.
Основное давление грунта (горизонтальное) при погружении на участке ножа определяется для слоев грунта по формулам [
2.1 (3)] и [
2.2 (4)].
Наибольшее давление в слое суглинков при H = 10 - 0,5·2,2 = 8,9 м:
p1 = 1,1·0,5·1,9·8,9 = 9,346 тс/м2.
Наибольшее давление в слое песков при H = 16,2 - 0,5·2,2 = 15,1 м:
pг = 1,1·0,4(2·5,1 + 1,9·10) = 12,84 тс/м2.
Для дальнейших расчетов принимаем большее значение давления:
pг = 12,84 тс/м2.
Основное давление грунта и грунтовых вод (горизонтальное) на колодец после изготовления днища, засыпки первоначального котлована и отключения водопонижения определяем по формулам [
2.1 (3)] и [
2.2 (4)]
(рис. 3.10):
на отметке - 6 м (в засыпке песком

)
pг.i1 = 1,1·0,4·1,6·6 = 4,22 тс/м2;
на отметке - 6 м (в суглинке)
pг.i2 = 1,1·0,5·1,6·6 = 5,28 тс/м2;
на отметке - 12,2 м
pг.i3 = 1,1·0,5(1,9·6,2 + 1,6·6) = 11,76 тс/м2;
на отметке - 16 м (в суглинке)
pг.i4 + pW = 1,1·0,5(0,9·3,8 + 1,9·6,2 + 1,6·6) +
+ 1,1·1·3,8 = 17,82 тс/м2;
на отметке - 16 м (в песке)
pг.i5 + pW = 1,1·0,4(0,9·3,8 + 1,9·6,2 + 1,6·6) +
+ 1,1·1·3,8 = 14,96 тс/м2;
на отметке - 21,6 м
pг.i6 + pW = 1,1·0,4(1·5,6 + 0,9·3,8 + 1,9·6,2 +
+ 1,6·6) + 1,1·1·9,4·1 = 23,72 тс/м2.
Рис. 3.10. Схема круглого колодца (а) с расчетными
нагрузками (б) в условиях строительства,
после изготовления днища
Обжатие оболочки давлением тиксотропного раствора, сохраняющееся после тампонирования щели тиксотропной рубашки по
п. 3.24 (п. 3.12)
Гидростатическое давление грунтовых вод на днище (снизу) после отключения местного водопонижения pW = 1,1·1·10 = 11 тс/м2.
Усилие всплывания
pW = 11·3,14·31,32·0,25 = 8459,6 тс.
Усилие трения ножа колодца по грунту, возникающее при всплывании по формуле [
2.7 (7)], принимая по
табл. 2.4 (4) по интерполяции
fн = 6,54 тс/м
2:
Tн.1 = 1·0,5·3,14·31,3·2,7·6,54 = 706 тс.
Усилие трения тампонажа щели тиксотропной рубашки по грунту по формуле [
2.8 (8)]
Tт.1 = 1·0,5·3,14·31,3·12,7·4 = 2496,4 тс.
Кратковременные
Давление глинистого раствора внизу рубашки по формуле [
2.9 (9)]:
pт = 1,2·0,8·1,15·14 = 15,5 тс/м2.
Дополнительные давления грунта (горизонтальные), вызываемые: нагрузкой, расположенной на поверхности, по формуле [
2.10 (10)]
Pг.2а = 1·0,8·0,5·2 = 0,8 тс/м2;
Pг.3 = 0,25pг;
навалом (в зоне тиксотропной рубашки) по формуле [
2.15 (12)]
Pг.4 = 0,15pт.
Усилие трения ножа колодца по грунту, вызванного при погружении колодца, определяем по формуле [
2.16 (13)], принимая большее значение для слоев по
табл. 2.4 (4):
при погружении в суглинки H = 10 м; fн = 3,3 тс/м2;
при погружении в пески H = 16,2 м; fн = 6,54 тс/м2;
Tx = 1,1·0,8·3,14·31,3·2,2·6,54 = 1241 тс.
Усилие трения уплотнителя по грунту, вызванного погружением колодца, по формуле [
2.17 (14)]:
Ty = 1,1·0,8·3,14·31,3·1,3·2 = 224,9 тс.
Производим расчеты по расчетным схемам, учитывающим наличие только наружных стен.
Проверяем необходимость расчета прочности колодца при снятии с временного основания по
условию (3.1) (колодец не разделяется на ярусы):
Расчет производить не требуется.
Проверяем обеспеченность погружения колодца по формуле [
3.5 (22)]:
Погружение колодца обеспечено.
Определяем усилия в сборной панели при транспортировании
(рис. 3.11):
l1 = 0,207·16,2 = 3,35 м;
q1 = 0,5·2,4·1,8 = 2,16 тс/м;
My.1 = 2,16·3,352·0,5 = 12,2 тс·м;
Q = 2,16·3,35 = 7,25 тс;
то же, при подъеме и монтаже:
l2 = 0,29·16,2 = 4,7 м;
q2 = 0,5·2,4·1,5 = 1,8 тс/м;
My.1 = 1,8·4,72·0,5 = 19,8 тс·м;
Q = 1,8·4,7 = 8,45 тс.
а)
б)
Рис. 3.11. Расчетные схемы и эпюры изгибающих моментов
в стеновой панели в условиях транспортирования (а), подъема
и монтажа (б)
Определяем наибольшие значения усилий в наружных стенах колодца в условиях погружения по
формулам (3.7) -
(3.11), принимая
a1 -
a5 по
табл. 3.3 по интерполяции.
В верхней ступени оболочки (в зоне тиксотропной рубашки):
при

: кольцевой изгибающий момент
MR1 = -0,43448·15,5·302·10-2 = -60,61 тс·м;
соответствующая нормальная сила
NR1 = (0,5 + 4,628·10-2)15,5·30 = 254,3 тс;
меридиональный изгибающий момент
My1 = -0,1366·15,5·302·10-2 = -19,06 тс·м;
при

(обозначения усилий те же):
MR1 = 0,4004·15,5·302·10-2 = 55,85 тс·м;
NR1 = (0,5 + 2,9418·10-2)15,5·30 = 246,2 тс;
My1 = 0,1259·15,5·302·10-2 = 17,56 тс·м.
В нижней ступени оболочки (в зоне ножа):
при

: кольцевой изгибающий момент
MR2 = -0,7437·12,84·302·10-2 = -86 тс·м;
соответствующая нормальная сила
NR2 = (0,5 + 8,605·10-2)12,84·30 = 226 тс;
при

(обозначения усилий те же):
MR2 = 0,6832·12,84·302·10-2 = 79 тс·м;
NR2 = (0,5 + 5,4777·10-2)12,84·30 = 214 тс.
Определяем меридиональный изгибающий момент в консоли ножа и нижней ступени оболочки (основное и дополнительное давления грунта приложены снаружи):
My2 = -12,84(1 + 0,25)1,22·0,5·1,2 = -13,9 тс·м.
Пассивное давление грунта, приложенное изнутри колодца:
Проверяем возможность общей потери устойчивости формы оболочки в условиях погружения:
Eб = 2,9·10
6 тс/м
2;

Подставляя эти значения в формулу [
3.12 (
1 прил. 2)], получаем величину критического давления
pт.кр при различных значениях
(табл. 3.21).
| 2 | 3 | 4 | 5 | 6 | 7 | 8 | 9 | 10 |
pт.кр | 6496 | 594 | 254 | 293 | 404 | 490 | 716 | 909 | 1254 |
Минимальное значение (при

)
pт.кр = 254 > 15,5(1 + 0,15) = 17,325 тс/м
2. Таким образом, устойчивость оболочки обеспечена.
Производим расчет по расчетной схеме, учитывающей наличие наружной стены и днища, после тампонирования щели тиксотропной рубашки и изготовления днища. Проверяем устойчивость колодца на всплывание по формуле [
3.21 (24)]:
Требуется пригрузка колодца.
Наращиваем стены до проектной отметки на высоту 6 м и предусматриваем сборный воротник с вылетом консоли 2 м на уровне дна первоначального котлована и его засыпку грунтом.
Вес дополнительного участка стены
G0.доп = 0,9·0,5·6·3,14·30,5·2,4 = 621 тс.
Определяем пригрузку воротником по
формуле (3.24). Засыпка осуществляется слоем песка толщиной 5,2 м, объемным весом

и углом внутреннего трения

.
Вес железобетонного воротника qв = 0,8·2,4·0,9 = 1,3 тс/м2:
Dн = 30 + 0,5·2 = 31 м;
Dв = 32 + 2·2 = 35 м;
Dвып = 35 + 0,445·5,2·2 = 39,64 м;
Определяем коэффициент надежности против всплывания:
Надежность против всплывания обеспечивается.
На чертежах проекта указывается, что водопонижение не отключается до окончания тампонирования щели тиксотропной рубашки, наращивания наружных стен и засыпки первоначального котлована.
Определяем усилия в днище колодца.
Проверяем отношение суммы постоянных вертикальных нагрузок

, тс, к силе всплывания
pw, тс:
Днище рассчитываем на гидростатическое давление
pw, тс, в соответствии с рекомендациями
п. 3.12 "б" (п. 3.8 "б").
Рис. 3.12. Схема колодца (а) в условиях
отрывки односторонней выемки (4)
б - расчетная схема 1 по кольцевому сечению,
заменяемая двумя схемами загружения 2 и 3; 5 - шпунт
MR = Mt = 0,05(11 - 2,59)(30 + 0,25)21 = 192 тс·м;
NR = -0,25(11 - 2,59)(30 + 0,25)1 = 63,8 тс.
Определяем наибольшие значения усилий в стенах колодца по
формулам (3.34) -
(3.36), принимая
a1.2,
a2.2 и
a3.2 по
табл. 3.10 по интерполяции. Заменяем ломаную эпюру горизонтальных давлений грунта и грунтовых вод и треугольную эпюру обжатия оболочки тиксотропным раствором на эквивалентную прямоугольную эпюру. Ширину новой эпюры принимаем за расчетную нагрузку
pг.экв:
pг.экв = [4,22·6·0,5 + (5,28 + 11,76)6,2·0,5 + (11,76 +
+ 17,82)3,8·0,5 + (14,96 + 23,72)5,6·0,5 - 12,85·14·0,5] :
: 21,6 + 0,8 = 7,3 тс/м2.
| | ИС МЕГАНОРМ: примечание. В официальном тексте документа, видимо, допущена опечатка: подпункт "б" в пункте 2.23 отсутствует. | |
Усилия при

: кольцевой изгибающий момент
MR = -0,29018·7,3·302·10-2 = -19 тс·м;
соответствующая нормальная сила
меридиональный изгибающий момент
My = -0,1237·7,3·302·10-2 = -8,15 тс·м.
Усилия при

(обозначения усилий те же):
MR = 0,2667·7,3·302·10-2 = 17,55 тс·м;
My = 0,11358·7,3·302·10-2 = 7,5 тс·м.
Устойчивость формы стен не проверяем, так как проверка устойчивости оболочки колодца без днища показала очень большое превышение критического давления над расчетным.
Пример 2. Определить усилия в стенах колодца, приведенного в
примере 1, возникающие при отрытии односторонней выемки вблизи колодца для подводящего тоннеля
(рис. 3.12). Выемка со шпунтовым ограждением отрывается после тампонирования щели тиксотропной рубашки и устройства днища при работе системы водопонижения.
На участке выемки на колодец не действует давление грунта (горизонтальное). Можно принять, что к колодцу, рассчитанному в
примере 1, приложена в этом месте дополнительная кратковременная местная нагрузка с обратным знаком, равная исключаемому давлению грунта. Определяем дополнительные усилия в поясе (
h = 1 м) колодца, середина которого расположена на 2,5 м выше дна выемки.
Расчетное давление грунта на этой глубине:
pг = -1,1·0,8·1,9(8 - 2,5)0,5 = -4,56 тс/м2.
Кольцевой изгибающий момент:
по оси выемки
MR = -0,071·4,56·6·30 = -58,5 тс·м,
по перпендикулярной оси
MR = 0,046·4,56·6·30 = 37,8 тс·м.
Расчетные усилия в кольцевом сечении:
по оси выемки
MR 1 = -58,5 - 19 = -77,5 тс·м; N = 266 тс;
по перпендикулярной оси
MR 1 = 37,8 + 17,55 = 55,35 тс·м; N = 260 тс.
Пример 3. Рассчитать колодец, приведенный в
примере 1 (рис. 3.13), на нагрузки и воздействия, возникающие в условиях эксплуатации по
п. 3.23 (3.11).
Рис. 3.13. Схема круглого колодца (а) с расчетными
нагрузками (б) в условиях эксплуатации
Прогнозируемый повышенный средний уровень грунтовых вод залегает на глубине 9,2 м. Поверхность вокруг колодца пригружена равномерно распределенной нагрузкой

. Вес внутренних конструкций и здания, опирающихся на колодец,

.
В условиях эксплуатации действуют расчетные нагрузки, возникшие в условиях строительства (обозначения по
п. 3.39):
G0 = 1725 тс; Gо.доп = 621 тс; GD = 1945 тс;
Gт.1 = 369,7 тс; Qпр.в = 2782 тс; Tн.1 = 706 тс;
Tт.1 = 2496,4 тс;

Определяем вновь возникающие расчетные нагрузки и воздействия, принимая коэффициенты перегрузки по
табл. 2.5 (5).
Постоянные
Основное давление грунта (горизонтальное) и грунтовых вод на колодец определяем по формулам [
2.1 (3)] и [
2.2 (4)]:
на отметке - 6,0 (в песке)
pг.i1 = 1,1·0,4·1,6·6 = 4,22 тс/м2;
на отметке - 6,0 (в суглинке)
pг.i2 = 1,1·0,5·1,6·6 = 5,28 тс/м2;
на отметке - 9,2
pг.i3 = 1,1·0,5(1,9·3,2 + 1,6·6) = 8,6 тс/м2;
на отметке - 16 (в суглинке)
pг.i4 + pW = 1,1·0,5(0,9·6,8 + 1,9·3,2 +
+ 1,6·6)1,1·1 + 1·6,8 = 19,5 тс/м2;
на отметке - 16 (в песке)
pг.i5 + pW = 1,1·0,4(0,9·6,8 + 1,9·3,2 +
+ 1,6·6) + 1,1·1·6,8 = 17,08 тс/м2;
на отметке - 21,6
pг.i6 + pW = 1,1·0,4(1·5,6 + 0,9·6,8 + 1,9·3,2 +
+ 1,6·6) + 1,1·1·12,4 = 25,64 тс/м2.
Гидростатическое давление грунтовых вод на днище (снизу):
pW = 1,1·1·13 = 14,3 тс/м2.
Усилие всплывания:
pW = 14,3·3,14·31,32·0,25 = 11 150 тс.
Длительные временные
Дополнительное давление грунта (горизонтальное), вызываемое сплошной равномерно распределенной нагрузкой на поверхности, по формуле [
2.10 (10)]:
pг.2а = 1,2·0,5·3 = 1,8 тс/м2.
Проверяем устойчивость колодца на всплывание по формуле [
3.42 (26)]:
Устойчивость колодца на всплывание обеспечена.
Заменяем ломаную эпюру горизонтальных давлений грунта и грунтовых вод на колодец и обжатия оболочки тиксотропным раствором - эквивалентной прямоугольной эпюрой. Ширину новой эпюры принимаем за расчетную нагрузку pг.экв:
pг.экв = [4,22·6·0,5 + (5,28 + 8,6)3,2·0,5 + (8,6 +
+ 19,5)6,8·0,5 + (17,08 + 25,64)5,6·0,5 - 12,45·14·0,5] :
: 21,6 + 1,8 = 9,34 тс/м2.
| | ИС МЕГАНОРМ: примечание. В официальном тексте документа, видимо, допущена опечатка: подпункт "б" в пункте 2.23 отсутствует. | |
Дополнительное давление по
п. 2.23 "б"
(2.18) принимаем равным 0,1
pг.экв.
Усилия при

: кольцевой изгибающий момент
MR = -0,266·9,34·302·10-2 = -22,4 тс·м;
соответствующая нормальная сила
NR = (0,5 + 2,08·10-2)9,34·30 = 145,2 тс;
меридиональный изгибающий момент
My = -0,1116·9,34·302·10-2 || -9,4 тс·м.
При

(обозначения усилий те же):
MR = 0,245·9,34·302·10-2 = 20,6 тс·м;
NR = (0,5 + 1,74·10-2)9,34·30 = 145 тс;
My = 0,1011·9,34·302·10-2 = 8,47 тс·м.
Определяем усилия в консоли воротника:
q = 10,68·1,1 = 11,75 т/м3;
Mкон = 11,75·22·0,5 = 23,5 тс·м;
Q = 11,75·2 = 23,5 тс.
Изгибающий момент от консоли распределяется между участками стены пропорционально их жесткости:
выше воротника

;
ниже воротника

.
Меридиональный изгибающий момент в оболочке на уровне оси консоли воротника: при
My = -0,31·9,4 = 2,9 тс·м; при

My = -0,31·8,47 = 2,62 тс·м.
Расчетные моменты соответственно:
выше воротника:
при

Mу.в = 21,5 - 2,93 = -18,6 тс·м;
при

Mу.в = 21,5 + 2,62 = 24,12 тс·м;
ниже воротника:
при

Mу.н = -2 - 2,9 = -4,9 тс·м;
при

Mу.н = -2 + 2,62 = 0,62 тс·м.
Пример 4. Рассчитать по прочности элементы железобетонных стен колодца, приведенного в
примерах 1 -
3. В
табл. 3.22 сведены усилия, возникающие на участках стен, в разных условиях работы колодца и результаты расчета на внецентренное сжатие и изгиб железобетонных элементов (бетон марки М 300, арматура класса А-III,

). Площадь сечения арматуры приведена на 1 м.
Наименование участка стены | Обозначение усилий | Единица измерений | Условия работы участков стен колодца | Усилия, принимаемые для расчета железобетонного сечения | Высота железобетонного сечения h, м | Площадь сечения арматуры, см2 |
при транспортировании панели | при подъеме и монтаже панели | в условиях погружения | после тампонирования щели и изготовления днища | при отрывке односторонней выемки | в условиях эксплуатации |
| | | | | | | |
Выше воротника | Mув | тс·м/м | - | - | - | - | - | - | - | - | -18,6 | 24,12 | +24,12; -18,6 | 0,5 | 17,4 |
В зоне тиксотропной рубашки | | " | - | - | -60,61 | 55,85 | -19 | 17,55 | -77,5 | 55,35 | -22,4 | 20,6 | 55,85; -77,5 | 0,5 | 29,9 |
| тс/м | - | - | 254,3 | 246,2 | 266 | 260 | 266 | 260 | 145,2 | 145 | 246,2; 266 | - | - |
| тс·м/м | -12,2 | +/- 19,8 | -19,06 | 17,56 | -8,15 | 7,5 | - | - | -9,4 | 8,47 | +/- 19,8 | - | 12,6 |
Ножевая часть | | тс·м/м | - | - | -86 | 79 | - | - | - | - | - | - | 79; -86 | 0,65 | 13,1 |
| тс/м | - | - | 226 | 214 | 214; 226 | - | - |
Консоль ножа | My | тс·м/м | - | - | -13,9 | - | - | - | - | - | - | -13,9 | 0,4 | 14,5 |
| " | 4,95 | 8,1 | - | 9,1 |
Пример 5. Определить наибольшие значения усилий в наружных стенах, проверить устойчивость формы и погружение колодца диаметром
D0 = 24 м, глубиной
H0 = 24 м из плоских вертикальных панелей
(рис. 3.14) в условиях опускания с подводной разработкой грунта. Ножевая часть прорезает пески и заглубляется в мягкопластичные суглинки. Пески выше уровня грунтовых вод имеют объемный вес

и угол внутреннего трения

. Характеристика суглинков:
E = 1000 тс/м
2;

;

;
k0 = 0,5. Удельный вес тиксотропного раствора

и уплотнителя

.
Рис. 3.14. Схема круглого колодца (а)
с расчетными нагрузками (б) в условиях
погружения ниже горизонта грунтовых вод
Определяем расчетные нагрузки, принимая коэффициенты перегрузки
n по
табл. 2.1 (3) и
n' - по
п. 2.23 (2.16).
Постоянные
Вес наружных стен:
G0 = 0,9(0,28·24,75·1 + 0,55·24,55·1 + 0,4·24,4·15)3,14 x
x 1,4 + 0,9·0,4·24,4·3,14·8,5·2,4 = 1210 тс.
Основное давление грунта (горизонтальное) на участке ножа по формуле [
2.2 (4)] при
H = 25 - 0,5·2 = 24 м:
pг = 1,1·0,5(1·4 + 0,8·12 + 1,8·8) = 15,4 тс/м2.
Кратковременные
Гидростатическое давление глинистого раствора внизу тиксотропной рубашки по формуле [
2.9 (9)]:
pт = 1,2·0,8·1,15·23 = 25,3 тс/м2.
Вес тиксотропной рубашки и уплотнителя:
Gт = 0,8(1,15·7,8 + 0,15·13,5 +
+ 0,6·1,5)0,15·3,14·24,95 = 113 тс.
Дополнительное давление грунта на участке ножа, возникающее при полном погружении колодца при максимальном крене колодца, определяем по
формуле (2.14):
pг.1 = 0,25pг.
Дополнительное давление (горизонтальное) от навала колодца в зоне тиксотропной рубашки принимаем по формуле [
2.15 (12)]:
pг.4 = 0,15pт.
Усилие трения ножа по грунту, вызываемого погружением колодца, определяем для глубины погружения
H = 25 м по формуле [
2.16 (13)], принимая по
табл. 2.4 (4) fн = 6,6 тс/м
2:
Tн = 1,1·0,8·3,14·25,1·2·6,6 = 913 тс.
Усилие трения уплотнителя по грунту - по формуле [
2.16 (14)]:
Tу = 1,1·0,8·3,14·25,1·1,5·2 = 208 тс.
Усилие сопротивления грунта под подошвой ножа принимаем по формуле [
2.18 (15)]:
R = 20·0,5 = 10 тс/м2;
Rн = 3,14 + 24,95·0,2·10 = 156 тс.
В верхней ступени оболочки (в зоне тиксотропной рубашки):
при

: кольцевой изгибающий момент
MR1 = -0,3896·25,3·242·10-2 = -56,78 тс·м;
соответствующая нормальная сила
NR1 = (0,5 + 4,1501·20-2)25,3·24 = 328,2 тс;
меридиональный изгибающий момент
My1 = -0,1418·25,3·242·10-2 = -20,66 тс·м.
При

(обозначения усилий те же):
MR1 = 0,3594·25,3·242·10-2 = 52,37 тс·м;
NR1 = (0,5 + 2,6403·10-2)25,3·24 = 319,63 тс;
My1 = 0,1306·25,3·242·10-2 = 19,03 тс·м.
В нижней ступени оболочки (зона ножа):
при

: кольцевой изгибающий момент
MR2 = -0,6673·15,4·242·10-2 = -59,1 тс·м;
соответствующая нормальная сила
NR2 = (0,5 + 7,732·10-2)15,4·24 = 213 тс.
При

(обозначения усилий те же):
MR2 = 0,615·15,4·242·10-2 = 54,6 тс·м;
NR2 = (0,5 + 4,9182·10-2)26,4·24 = 203 тс.
Определяем наибольшее значение меридионального изгибающего момента ступени и консоли ножа от основного и дополнительного давлений грунта, приложенного снаружи:
My2 = -15,4(1 + 0,25)12·0,5·1,2 = -11,5 тс·м.
Изгибающий момент от пассивного давления грунта (в песках выше уровня грунтовых вод), приложенного изнутри колодца:
Проверяем возможность общей потери устойчивости формы оболочки:
Eб = 2,9·10
6 тс/м
2;

Определяем расчетное критическое давление. Подставляя в формулу [
3.12 (
1 прил. 2)] значение

, получаем
pт.кр = 384,4 тс/м
2;

,
pт.кр = 89,1 тс/м
2;

;
pт.кр = 121,5 тс/м
2.
Минимальное значение
pт.кр будет при

равном 2:
pт.кр = 89,1 > 25,3(1 - 0,15) = 29,2 тс/м2.
Оболочка обладает достаточной устойчивостью.
Проверяем обеспеченность погружения колодца по формуле [
3.5 (22)]:
Колодец обладает достаточной погружаемостью.
4. ТРЕБОВАНИЯ К КОНСТРУИРОВАНИЮ
4.1 (4.1). Выбор конструктивного решения колодцев должен производиться на основе сопоставления технико-экономических показателей вариантов, учитывающих требования строительства и эксплуатации колодцев в данных геологических и гидрогеологических условиях. Должны применяться такие конструктивные решения колодцев, при которых обеспечивается необходимая прочность, устойчивость и пространственная неизменяемость колодцев, а также отдельных их конструкций на всех этапах строительства и условий эксплуатации.
4.2. Сравнительные технико-экономические расчеты выполняются в соответствии с требованиями "Инструкции по определению экономической эффективности капитальных вложений в строительстве"
СН 423-71. Эти расчеты осуществляются по минимуму приведенных затрат, которые представляют собой сумму текущих издержек и единовременных затрат, приведенных к годовой размерности в соответствии с установленными нормативными коэффициентами эффективности.
4.3 (4.2). Минимальные размеры сечений элементов железобетонных конструкций колодцев должны назначаться следующие, мм:
толщина монолитных наружных стен ... - 300
то же, сборных ..................... - 200
толщина днища ...................... - 300
толщина защитного слоя бетона для
рабочей арматуры в наружных стенах
со стороны грунта .................. - 30
то же, в основании днища ........... - 35
4.4 (4.3). Колодцы, погружаемые в тиксотропной рубашке, следует, как правило, проектировать сборными из унифицированных конструкций. Сборные элементы следует принимать наиболее крупными с учетом грузоподъемности применяемых монтажных механизмов, условий транспортирования и изготовления, а также размеров колодцев.
4.5 (4.4). Наружные стены сборных колодцев следует проектировать из плоских панелей, из крупных пустотелых блоков или из других сборных конструкций.
Колодцы из плоских панелей
4.6. Колодцы из плоских панелей (с вертикальным членением стен)
(рис. 4.1) проектируются с железобетонным ножом. Допускается устройство приставного стального ножа. Панели рекомендуется принимать модульных размеров, что достигается за счет толщины швов. Длину стеновых панелей колодцев глубиной до 15 м рекомендуется принимать равной глубине колодца. В более глубоких колодцах и при недостаточной грузоподъемности кранов предусматривается разрезка панелей по высоте на 2 - 3 элемента с устройством горизонтальных стыков. Панели с железобетонным ножом проектируются с уступами с наружной стороны для образования щели тиксотропной рубашки и с внутренней стороны для опоры днища
(рис. 4.2).
Рис. 4.1. Схема колодца из плоских панелей
1 - железобетонный нож; 2 - железобетонная панель;
3 - горизонтальный стык; 4 - тиксотропная
рубашка; 5 - форшахта
Рис. 4.2. Пример конструктивного решения плоской панели
а - армирование панели; б - деталь ножевой части; 1 - трубки
для крепления упора при монтаже; 2 - скобы для подъема
панели; 3 - закладные изделия под монтажные накладки;
4 - отверстие для монтажного захвата; 5 - петлевые выпуски
арматуры; 6 - закладные изделия для крепления упора фиксации
посадки; 7 - закладные изделия уплотнителя; 8 - отдельные
стержни; 9 - арматурные сетки; 10 - арматурные каркасы;
11 - металлический резец
Плоские панели армируются продольными сетками и поперечными каркасами. Сетки, каркасы и закладные изделия должны быть собраны в пространственную арматурную конструкцию.
Рекомендуются панели с обрамлением по контуру рамкой из стальной полосы, к которой привариваются арматурные сетки, образующие совместно с ними единый арматурный блок
(рис. 4.3). Полосы учитываются в расчете как рабочая арматура. Вертикальные и горизонтальные стыки таких панелей осуществляются приваркой фланговым швом стальных накладок к обрамляющим рамкам.
Рис. 4.3. Пример конструктивного решения
плоской панели с обрамлением по контуру
рамкой из стальной полосы (1)
2 - арматурная сетка
Для продольного армирования длинных панелей допускается применять предварительно-напряженную арматуру. На чертежах рекомендуется помещать указания по сборке арматурного каркаса панели.
4.7. Стены из крупных пустотелых блоков
(рис. 4.4) рекомендуются для колодцев диаметром более 30 м и глубиной более 30 м и при передаче на стены больших нагрузок от перекрытий. Блоки укладываются без перевязки вертикальных швов в сочетании с монолитными ножом и поясами. В вертикальных стыках образуются при омоноличивании сплошные железобетонные колонны, в которых размещается вся требуемая по расчету колодца вертикальная арматура. Ножевая монолитная часть повторяет в плане форму оболочки колодца, выступая за ее наружную грань на толщину тиксотропной рубашки. Монолитные пояса проектируются в местах изменения толщин стен, но не реже, чем через 5 рядов блоков с устройством сквозных отверстий, совпадающих с пустотами блоков. Пояса выполняются из бетона марки не ниже М 300 и армируются каркасами, собираемыми из сварных сеток. Рекомендуются прямоугольные блоки с прямоугольными пустотами с армированием пространственными каркасами
(рис. 4.5).
Рис. 4.4. Схема колодца из блоков (2)
1, 3 - монолитные нож и пояса; 4 - форшахта;
5 - тиксотропная рубашка; 6 - вертикальный стык блоков
Рис. 4.5. Пример конструктивного решения пустотелого блока
1 - арматурный каркас; 2 - выпуски арматуры;
3 - анкерующая пластина
Наружная продольная арматура выводится за грань блока для приварки арматуры стыка. К концам стержней продольной арматуры, укладываемой у грани проемов, привариваются анкерующие пластины. Допускаются блоки с круглыми и овальными пустотами.
Для создания дополнительного веса, необходимого при погружении колодца, выправления кренов и пригрузки от всплывания вертикальные пустоты в блоках допускается заполнять песком, щебнем или бетоном.
Стыки сборных железобетонных элементов стен колодца
4.8 (4.5). Стыки сборных железобетонных элементов колодца должны быть равнопрочны соединяемым элементам конструкций при всех видах нагрузок и воздействий на колодец. При конструировании стыков следует учитывать:
технологичность изготовления и монтажа сборных элементов, простоту укладки бетона или раствора при замоноличивании;
необходимость уменьшения объема работ по монтажу и замоноличиванию;
мероприятия по сохранности арматуры и закладных деталей при изготовлении, транспортировке и монтаже сборных элементов;
возможность контроля качества производства работ.
4.9. Для замоноличивания стыков рекомендуется бетон марки не ниже М 300, составом по массе 1:1,5:1,5:0,45 и 1:1,5:2:0,5 (цемент + песок + щебень + вода). Применяются портландцементы марок не ниже М 400; крупность щебня не должна превышать 20 мм; для повышения морозостойкости применяются пластифицирующие добавки (ССБ, мылонафт и др.).
В зимних условиях рекомендуется применять тепловую обработку бетона с целью отогрева концов стыкуемых элементов, избежания преждевременного замерзания бетона, сокращения времени твердения бетона замоноличивания и ускорения строительно-монтажных работ. Укладка бетона в стыки производится только после достижения в плоскости стыка температуры не ниже +5 °C.
Прочность бетона замоноличивания ко времени распалубки стыка должна быть не ниже 100 кгс/см2.
4.10 (4.5). Стыки сборных элементов стен колодцев следует, как правило, применять следующих конструкций:
вертикальные в панелях и пустотелых блоках - в виде стальных накладок, привариваемых к закладным изделиям, петлевой конструкции выпусков арматуры или со сваркой выпусков арматуры между собой;
горизонтальные в плоских панелях - по типу стыков колонн многоэтажных производственных зданий;
горизонтальные в плоских панелях с монолитным ножом - допускается стык в виде "паза" (по типу стаканного стыка колонн);
горизонтальные в пустотелых блоках с монолитной частью ножа - в виде стыка с бетонной шпонкой, а между блоками - на слое цементного раствора.
4.11 (4.5). В колодцах диаметром менее 15 м и глубиной до 12 м при соответствующем технико-экономическом обосновании допускается склеивание сборных элементов стен клеем на эпоксидных смолах; при этом должны соблюдаться требования органов государственного санитарного надзора по технике безопасности и промышленной санитарии при работах с эпоксидными смолами.
4.12. Вертикальные и горизонтальные стыки с накладками
(рис. 4.6) образуются за счет приварки стальных накладок к закладным изделиям, установленным по краям стыкуемых панелей, например рамкам из стальных полос или уголков. При этом должна обеспечиваться прочность сварных соединений закладных изделий с основной арматурой, а также стыкуемых элементов с накладками.
Рис. 4.6. Пример решения стыка панелей (1)
со стальными накладками (2)
3 - закладная полоса; 4 - арматурная сетка;
5 - торкрет-штукатурка; 6 - цементный раствор
4.13. Вертикальные петлевые стыки применяются в стенах из плоских панелей. Минимальное расстояние между петлями в каждом элементе должно быть таким, чтобы встречные петли в стыке располагались вразбежку с расстояниями между ними не менее 1d. Петли выполняются из стали класса А-II с диаметром стержней до 40 мм и класса А-III с диаметром стержней до 30 мм. Хомуты и стержни продольного армирования в зоне "ядра" выполняют из стали класса А-I с диаметром стержней до 30 мм. Петлевой стык образуют петлями, диаметр которых равен или больше расстояния между внешней и внутренней арматурой сборных элементов, причем центры окружностей петель стыкуемых элементов должны совпадать. Диаметр петель D1, мм, определяют по формуле

(4.1)
а для стен со стальной гидроизоляцией по формуле

(4.2)
Условные обозначения показаны на
рис. 4.7.
Рис. 4.7. Схема петлевого стыка (а), то же,
для стены со стальной гидроизоляцией (б)
1 - бетонное ядро; 2 - стальная стыковая накладка
Диаметр петель стыкуемых элементов, определяемый
формулами (4.1) и
(4.2), должен быть больше или равен 4
d для арматуры класса А-II и 5
d - для А-III.
Бетонное ядро армируется в вертикальном направлении и проверяется на срез и кручение сечений по условию

(4.3)
где M0; N0; Q0 - приведенные к центру ядра стыка изгибающий момент, тс·м, продольная и поперечная силы, тс.
Допускается определять Q0 для круглых колодцев, рассчитываемых по кольцевым сечениям (поясам), по формулам:
при
Q0 = 0,166
pдопD0, тс;
при
Q0 = 0,153
pдопD0, тс,
где pдоп - суммарное дополнительное, изменяющееся по синусоиде давление грунта (горизонтальное) в данном поясе, тс/м2;
D0 - внутренний диаметр колодца, м;
nср - число расчетных плоскостей среза в сечении ядра, принимаемое в случае сопряжений двух элементов с одинаковым числом петель nп; nср = 2(nп - 1);

- параметр, определяемый по формуле

;
Fа и Eа - площадь поперечного сечения, м2, и модуль упругости продольной арматуры ядра, тс/м2;
Eб - начальный модуль упругости бетона стыка, тс/м2.
В ядре устанавливается не менее 4 стержней диаметром 0;02 м.
Пример. Проверить прочность петлевого стыка на 1 м панели толщиной

наружной стены колодца с усилиями:
M0 = 26,3 тс·м;
N0 = 98 тс;
Q0 = 4,8 тс.
Бетон омоноличивания марки М 300; tа = 0,03 м. Арматура класса А-II;
Fа = 0,00252 м2; d = 0,02 м; nп = 8.
Определяем диаметр петли:
D1 = 0,4 - 0,02 - 2·0,03 = 0,32 м.
Число расчетных плоскостей среза в сечении ядра:
nср = 2(8 - 1) = 14.
Определяем параметр:
123 < 126.
Стык обладает достаточной прочностью.
4.14. Вертикальный стык со сваркой арматурных выпусков осуществляется ванной сваркой стержней или при помощи переходного уголка, к которому привариваются выпуски и накладки
(рис. 4.8). При этом в вертикальных стыках образуются плоские арматурные каркасы.
Рис. 4.8. Пример решения стыка блоков (1)
с приваркой выпусков арматуры и стержней
накладок (3) к переходным уголкам (2)
4.15. Вертикальные стыки наружных и внутренних сборных стен делают аналогично стыкам, принятым в практике для наружных стен: с накладками, привариваемыми к закладным изделиям, петлевым
(рис. 4.9) или др. Допускается устройство у стыков монолитных участков.
Рис. 4.9. Пример решения петлевого стыка
наружных и внутренних стен
1 - арматурная сетка; 2 - бетон омоноличивания
4.16. Горизонтальные стыки плоских панелей выполняются по типу сухого стыка колонн (
рис. 4.10,
а,
б).
Рис. 4.10. Примеры решения горизонтальных стыков
а - плоских панелей (1); б - то же, со стальной
гидроизоляцией (6); в - блока (8) с монолитной ножевой
частью (7); 2 - закладная стальная пластина; 3 - арматурная
сетка; 4 - торкрет-штукатурка; 5 - стальная накладка;
9 - бетонная шпонка
4.17. Горизонтальные стыки пустотелых блоков
(рис. 4.11) заполняются песчаным бетоном составом по массе 1:1:0,4; 1:1,5:0,45 и 1:2:0,45 (цемент + песок + вода).
Рис. 4.11. Пример решения стыков пустотелых блоков (1)
2 - цементный раствор; 3 - монолитный пояс; 4 - арматурные
сетки; 5 - вертикальный стык; 6 - вертикальная арматура;
7 - петлевые выпуски арматуры
Горизонтальные стыки блоков с монолитной частью ножа осуществляются кольцевой бетонной шпонкой. Кольцевую бетонную шпонку образуют, заполняя бетоном марки М 200 углубления в ноже и части пустоты блока (
рис. 4.10,
в).
4.18 (4.6). Наружные монолитные стены следует проектировать, как правило, ребристой конструкции, располагая ребра на уровне днища и перекрытий. В прямоугольных колодцах бетонирование внутренних стен следует предусматривать до погружения колодца или устанавливать временные металлические крепления (распорки). При этом внизу внутренних стен следует предусматривать проемы для прохода землеройного оборудования [рис. 4.12 (10)].
Рис. 4.12 (10). Схема монолитного колодца
1 - тиксотропная рубашка; 2 - форшахта; 3, 4, 5 - ребра
в стенах, устраиваемые на уровне воротника, перекрытия
и днища; 6 - внутренняя стена с проемом
Для уменьшения концентрации усилий трения при погружении колодца углы прямоугольных колодцев следует предусматривать закругленными. Радиус закругления углов принимается равным 0,5 - 1,5 м.
Рекомендуется применение опалубки из железобетонных плит-оболочек для стен толщиной более 50 см.
Горизонтальная и вертикальная арматура устанавливается по наружной и внутренней граням стен. Шаг стержней горизонтальной арматуры рекомендуется от 150 до 300 мм, вертикальной - от 300 до 400 мм. Допускается применять другой шаг стержней, если это требуется по расчету. Стыки стержней рабочей арматуры могут выполняться на сварке и внахлестку, при этом стыки внахлестку располагаются вразбежку. Для армирования стен рекомендуется применять унифицированные сварные сетки (горизонтальные), навешиваемые на вертикальные пространственные или плоские каркасы (
рис. 4.13,
4.14). Для колодцев диаметром менее 12 м допускается армирование плоскими каркасами (лесенками) с отдельными стержнями, сетками или вязаная арматура. Длина каркаса назначается равной 5 - 6 м из условий транспортировки, монтажа и диаметров арматуры, а также яруса бетонирования блока. Количество пространственных каркасов по высоте должно быть минимальным. Стыки каркасов осуществляются при помощи сварки стержней внахлестку или с накладками. Армирование углов стен прямоугольных колодцев рекомендуется выполнять по
рис. 4.15.

Рис. 4.13. Пример армирования монолитных колодцев
а - отдельными стержнями (1), скрепленными шпильками (2);
б - отдельными стержнями, укладываемыми на плоские каркасы
(3); в - сварными сетками (4), навешиваемыми на плоские
каркасы (5); г - сварными сетками, навешиваемыми
на пространственные каркасы (6)
Рис. 4.14. Примеры конструкций пространственных
каркасов стены (а) и ножевой части (б)
1, 2 - арматурные стержни; 3 - диафрагмы жесткости
Рис. 4.15. Примеры армирования углов стен
каркасами (а) и сетками (б)
1 - арматурные сетки; 2 - отдельные стержни;
3 - шпильки; 4 - каркасы
Специальные конструктивные элементы
4.19 (4.7). Конструкция нижней ножевой части стен колодца должна обеспечивать возможность применения предусмотренной проектом технологии погружения колодца (внедрение режущей части в грунт и обрушение грунта наклонной гранью ножа в забой). Конструкция режущей части и угол наклона внутренней грани выбираются в зависимости от вида и прочностных характеристик грунтов, в которые погружается колодец. При погружении колодца в грунты с разнородными напластованиями должны учитываться характеристики грунта, в котором сопротивление погружению больше.
Для защиты от прорыва тиксотропного раствора из рубашки в полость колодца следует предусматривать устройство под основанием ножа металлического резца, постоянно заглубленного в грунт. Возможные варианты конструкции ножа показаны на рис. 4.16 (11). Заостренный конец ножа применяется в случаях, предусмотренных в
п. 2.20 (2.15).
Рис. 4.16. Схемы конструкции ножа
а, б - железобетонный нож, выполняемый совместно с панелью;
в, г - монолитный железобетонный нож колодцев со стенами
из панелей (3) и блоков (4); д - монолитные железобетонные
нож и стена; е - металлический приставной нож; 1 - стальной
резец; 2 - торкрет-штукатурка; 5 - губчатая резина;
6, 7 - стальные штырь и петля
4.20 (4.8). Для предотвращения самопроизвольного погружения колодцев ниже проектных отметок в необходимых случаях в проектах следует предусматривать одно из следующих устройств: консоль-воротник по наружному периметру верхней части стен, которая при погружении садится на специально отсыпаемую на поверхности грунта песчаную призму; временные опоры, укладываемые на проектной глубине подошвы ножевой части колодца, на которые в конце погружения опирается колодец. В грунтах с нормативным сопротивлением на боковой поверхности ножевой части погружаемого колодца
fн < 5 тс/м
2 рекомендуется приваривать к колодцам металлические упоры
(рис. 4.17), которые после посадки упираются на форшахту.
Усилие, передающееся на один упор Nуп, тс, определяется по формуле

(4.4)
где n - коэффициент перегрузки, принимаемый равным 1,1;
n' - коэффициент перегрузки, принимаемый по
п. 2.23 (2.16) равным 0,8;
| | ИС МЕГАНОРМ: примечание. Обозначения даны в соответствии с официальным текстом документа. | |
Hуп - количество упоров, устанавливаемых по периметру колодца.
Рис. 4.17. Пример конструкции упора (1)
2 - закладные пластины; 3 - стена колодца
Пример. Определить усилие, передающееся на один упор колодца со следующими параметрами: вес стен

и тиксотропной рубашки

; усилия трения при погружении ножа колодца

и уплотнителя

; количество упоров
Hуп = 24 шт. Определяем
Nуп = [1,1·1350 + 1,1·142 - 1,1·0,8 x
x (1040 + 237)] : 24 = 22 тс.
4.21. Проемы в наружных железобетонных стенах должны окаймляться дополнительной арматурой сечением не менее сечения рабочей арматуры того же направления, которое требуется по расчету стены как сплошной.
Проемы временно закрываются до окончания погружения колодца и устройства днища.
Малые проемы в сборных стенах, не превышающие по ширине половину панели и по высоте 2 м, предусматриваются при изготовлении панелей и закрывают заподлицо с наружной поверхностью стен стальными листами.
Ребристые патрубки и сальники для пропуска трубопроводов через стены устанавливаются после погружения колодца. В проемах для них предусматриваются выпуски арматуры.
Большие проемы закладываются временной стенкой из сборных железобетонных панелей или стальных щитов
(рис. 4.18), количество которых принимается в зависимости от размера проема и грузоподъемности монтажных кранов. В монолитных колодцах допускается на участке проема предусматривать более тонкую железобетонную плиту с ребрами.
Рис. 4.18. Примеры решений закладывания
проемов в стенах железобетонными панелями (а)
и стальными щитами (б)
1 - железобетонная панель; 2 - стальной щит
4.22. В местах примыкания тоннелей по контуру проемов предусматривают бортик с размерами, соответствующими толщине стен тоннеля. Стык бортика с тоннелем должен обеспечивать их независимые осадки. Арматура бортика в стеновых панелях приваривается к закладным изделиям обрамления проема или в монолитных стенах стыкуется с выпусками арматуры из стен
(рис. 4.19).
Рис. 4.19. Пример конструкции бортика (1)
у проема для тоннеля (2)
3 - колодец; 4 - закладная пластина, к которой
приваривается арматура (5) бортика
4.23 (4.10). Ширина наружного уступа ножа, которым при погружении колодца образуется полость для тиксотропной рубашки между наружной поверхностью колодца и грунтом, должна приниматься для колодцев глубиной до 15 м равной 0,1 м и большей глубины - 0,15 м.
Верхнюю часть грунтовой стенки тиксотропной рубашки следует фиксировать форшахтой, которую следует проектировать, как правило, в виде монолитного железобетонного кольца при круглых колодцах и прямоугольной обвязки при колодцах, прямоугольных в плане.
Внутреннюю грань форшахты принимают заподлицо или удаленной на 5 - 10 см от грунтовой стенки тиксотропной рубашки. При изготовлении колодцев из панелей допускается использовать в качестве временного основания форшахту в сочетании с фундаментными блоками (
рис. 4.20,
4.21).
Рис. 4.20. Пример установки при монтаже стеновой панели
на форшахту (1) и фундаментный блок (5) временного основания
2 - стальной упор;
3 - бревно

;
4 - клин;
6 - засыпка из песка, уложенного с уплотнителем;
7 - бетон М 200
Рис. 4.21. Пример конструкции форшахты (1)
и временного основания из бетонных блоков (2)
3 - петля для выдергивания блоков
Размеры форшахты рекомендуется принимать равными по высоте 1 м и по ширине 0,06D0 (где D0 - диаметр колодца, м). Сечение форшахты рекомендуется армировать стержнями диаметром 16 - 24 мм с шагом 200 мм по всем граням.
Временное основание рассчитывается с учетом ширины и глубины заложения фундаментных блоков по
формуле (1) приложения 4 СНиП II-15-74. При этом вес стен колодца и фундамента принимается с коэффициентом
n' = 0,8 [(см.
п. 2.23 (п. 2.16)].
Для круглых колодцев с диаметром менее 12 м конструкция форшахты может быть выполнена из досок толщиной

, обвалованных снаружи утрамбованным глинистым грунтом.
4.24 (4.11). Для предотвращения утечек глинистого раствора в полость колодца следует предусматривать над уступом ножа уплотнитель высотой не менее 0,6 м из герметизирующего материала (например, слоя пакли, пропитанной глиняным раствором, между слоями вязкой глиняной пасты текучепластичной консистенции), при котором должна происходить закупорка щелей и протоков, возникающих при кренах колодца в процессе погружения.
Пример конструкции уплотнителя, изготовленного из нескольких слоев глинистой пасты и пакли, показан на
рис. 4.22, а количество слоев приведено в
табл. 4.1.
Рис. 4.22. Пример конструкции уплотнителя
1 - стена колодца; 2 - закладная деталь; 3 - доска;
4 - прижимной уголок; 5 - болт; 6 - брезент; 7 - шпилька

;
8 - слой пакли;
9 - слой глинистой пасты;
10 - металлическая сетка; 11 - глинистый раствор
Таблица 4.1
Глубина тиксотропной рубашки, м | Общее количество слоев глинистой пасты и пакли |
10 | 3 |
11 - 20 | 4 |
21 - 30 | 6 |
Более 30 | 8 |
Паста текучепластичной консистенции (с расплывом конуса АзНИИ - 9 - 10 см) изготовляется из обычной местной глины с включением гравия (20 - 40 мм), который добавляется в количестве, необходимом до предельного уплотнения, путем штыкования глинисто-гравийной массы при ее укладке. При использовании очень жирных глин с числом пластичности более 35 в пасту добавляется 10% песка. Не разрешается применение бентонитовых глин. Минеральная пакля пропитывается глинистым раствором.
4.25. По проекту производства строительных работ в рабочих чертежах колодца предусматриваются соответствующие закладные изделия, например для крепления кондуктора, для разводок трубопроводов подачи глинистого раствора и др.
Конструкции закрепления колодца против всплывания
4.26 (4.12). Закрепление колодца против всплывания обеспечивается пригрузкой колодца прилегающим грунтовым массивом при помощи:
тампонажа полости тиксотропной рубашки нагнетанием цементного раствора с одновременным удалением глинистого раствора;
устройства горизонтальных и вертикальных анкеров [рис. 4.24 (12)]. Тампонаж полости тиксотропной рубашки следует предусматривать в проекте при глубине колодцев до 20 м.
Рис. 4.23. Примеры конструкций воротников (1)
а - сборного; б - монолитного; в - монолитного
отрезного; 2 - форшахта; 3 - затампонированная
щель тиксотропной рубашки
Рис. 4.24. Схема устройств для закрепления
колодца против всплывания
1 - вертикальный анкер; 2 - короткая горизонтальная свая;
3 - затампонированная щель тиксотропной рубашки;
4 - форшахта
Воротник следует предусматривать при глубине первоначального котлована не менее 5 м и опирать на наружный уступ стены. При этом основание котлована, со дна которого начинается опускание колодца, должно быть на 0,5 м выше уровня грунтовых вод. Воротник рекомендуется предусматривать сборной конструкции.
Допускаются монолитные воротники и соединение их с железобетонными форшахтами. Засыпку воротника желательно производить песчаным грунтом, укладываемым с уплотнением.
Горизонтальные и вертикальные анкеры не допускается предусматривать в текучих супесях, мягкопластичных, текучепластичных и текучих суглинках и глинах. Горизонтальные анкеры (рис. 4.25) - короткие железобетонные сваи, погружаемые в грунт домкратами через отверстия в стенах колодца после его погружения, рекомендуется располагать на глубине залегания пластов грунта с наибольшей несущей способностью; при этом толщина слоя грунта над горизонтальной сваей должна быть не менее 1 м. В однородных грунтах горизонтальные сваи-анкеры следует располагать на глубине днища. Горизонтальные сваи большой несущей способности рекомендуется выполнять буронабивными, в обсадных трубах диаметром более 0,6 м, задавливая трубы в грунт с уклоном вниз на 5 - 10°. Проемы для свай образуют закладкой деревянных пробок при изготовлении стен колодцев.
Рис. 4.25. Примеры конструкций сборных (а)
и буронабивных (б) горизонтальных свай
1 - нож колодца; 2 - короткая свая; 3 - стержень,
привариваемый к закладным пластинам (4); 5 - хомуты,
закрепляющие сваю в днище (6); 7 - обсадная труба;
8 - арматурный каркас
В достаточно плотных грунтах допускается предусматривать после тампонирования щели тиксотропной рубашки устройство местных консольных шпор из днища выступающих за наружную грань стены
(рис. 4.26), которые рассчитываются аналогично коротким сваям.
Рис. 4.26. Пример конструкции консольной шпоры из днища
1 - шпора; 2 - стена колодца; 3 - днище
Вертикальные анкеры (сваи) следует располагать внутри колодца, закрепляя их в днище или по периметру стен.
Увеличивать толщины стен и днища колодцев с целью пригрузки колодца против всплывания не допускается.
4.27 (4.13). При залегании водоупорных слоев грунта ниже проектной отметки пола подземного помещения колодца на глубину до 3 м вместо заанкеривания колодца допускается предусматривать дополнительное заглубление его в водоупорный слой на глубину более 1 м, а под днищем колодца - простейшее дренажное устройство с отводом случайно попадающих вод в приямок.
Днище, перекрытия и внутренние стены
4.28 (4.14). Конструкцию основания под днищем следует выбирать в зависимости от принятого способа разработки грунта [рис. 4.27 (13)]:
при разработке грунта с водопонижением основание котлована следует выравнивать дренирующим материалом;
при погружении колодца с выемкой грунта из-под воды в основании надлежит предусматривать подушку из бетона, укладываемого методом подводного бетонирования.
Рис. 4.27 (13). Схемы оснований днища
а - при разработке грунта с водопонижением; б - то же,
с выемкой грунта из-под воды; 1 - железобетонное днище;
2 - цементная стяжка; 3 - гидроизоляция битумными
материалами; 4 - дренажный слой; 5 - бетонная подушка
4.29 (4.15). В монолитном железобетонном днище следует предусматривать стаканы для установки сборных железобетонных колонн, а также закладные детали для крепления сборных внутренних стен. В местах примыкания монолитных внутренних стен и колонн в днище следует предусматривать выпуски арматуры.
Для сбора и удаления случайно попадающих вод в днище колодцев, используемых для помещений, в проекте необходимо предусматривать устройство одного или нескольких приямков. Поверхность днища должна иметь уклон 0,01 в сторону приямков.
Днище армируют нижним и верхним рядами арматурных сеток, каждый из которых состоит из двух расположенных взаимно перпендикулярно слоев сеток
(рис. 4.28). По контуру днища устанавливают гнутые сетки или отдельные стержни. В рабочем направлении сетки стыкуются ванной сваркой стержнем или внахлестку. На чертежах днища, имеющего толщину более 1 м, рекомендуется показывать горизонтальные швы бетонирования и предусматривать в шве выпуски арматуры в количестве, необходимом для воспринятия сдвигающих усилий. В днище устраивают пазы для сборных и пазы с выпусками арматуры для монолитных внутренних стен
(рис. 4.29).
Рис. 4.28. Пример армирования днища
а, б - планы верхних (1 и 3) и нижних (2 и 4) слоев сеток;
5 - каркасы, поддерживающие верхний ряд сеток;
6 - гнутые сетки; 7 - уложенный слой бетона
Рис. 4.29. Примеры сопряжения с днищем монолитных (а)
и сборных (б) внутренних стен
1 - выпуски арматуры; 2 - паз
4.30 (4.16). Колодцы, используемые для помещений, небольшой глубины (до 15 м) при отсутствии грунтовых вод и невозможности их появления в процессе эксплуатации, что устанавливается по данным прогноза инженерно-геологических изысканий, следует проектировать без железобетонного днища. В этом случае полы в колодцах допускается проектировать по типу полов, устраиваемых в помещениях подвалов зданий. Нож после погружения колодца следует добетонировать до требующихся по расчету размеров фундамента; под колонны внутри помещений следует проектировать отдельно стоящие ступенчатые фундаменты.
4.31. Перекрытия в колодцах следует проектировать в сборном железобетоне по типу междуэтажных перекрытий промышленных зданий. В круглых колодцах сегментные участки перекрытий, примыкающие к наружным стенам, допускается выполнять в монолитном железобетоне. При конструировании перекрытий следует учитывать их работу в плоскости перекрытий на сжатие, вызываемое горизонтальным давлением грунта в условиях эксплуатации на колодец. При этом отверстия значительных размеров должны окаймляться бортовыми элементами. Опирание перекрытий на стены колодца
(рис. 4.30) выполняется с учетом требований
п. 1.15 (1.6).
Рис. 4.30. Примеры опирания междуэтажных перекрытий
на уступ (а) и стальной столик (б) наружных стен
1 - подбетонка; 2 - закладная пластина
4.32. Внутренние стены рекомендуется проектировать из плоских панелей, для изготовления которых может быть использована опалубка панелей наружных стен.
Примыкание внутренних стен к наружным рекомендуется осуществлять на участках вертикальных стыков элементов наружных стен. Допускается сочленение внутренних и наружных стен с устройством паза
(рис. 4.31).
Рис. 4.31. Примеры примыкания монолитных (а) и сборных (б)
внутренних стен к наружным с устройством паза (2)
1 - выпуски арматуры
4.33. Тип гидроизоляции колодца должен назначаться в зависимости от категории увлажнения конструкций, величины гидростатического напора грунтовых вод на уровне пола наиболее заглубленного помещения, агрессивности грунтовых вод и грунтов, трещиностойкости конструкций, износостойкости к действию истирания по грунтам при погружении, технологичности производства работ и нанесения гидроизоляции при различных температурах воздуха на основании с различной влажностью и дефицитностью материалов. Влажностный режим изолируемых помещений следует устанавливать по главе СНиП по строительной теплотехнике. При выборе типа гидроизоляции отдается предпочтение конструктивным решениям, допускающим комплексную механизацию и индустриализацию гидроизоляционных работ и требующим минимальных затрат труда и средств.
4.34 (4.17). Верхнюю границу гидроизоляции стен для защиты от грунтовых вод следует принимать на 0,5 м выше максимального прогнозируемого уровня грунтовых вод. Выше этого уровня на стены для защиты от грунтовой влаги наносится окрасочная битумно-полимерная или дегтеполимерная гидроизоляция.
4.35. По наружной поверхности стен рекомендуется предусматривать штукатурную цементную гидроизоляцию с устройством поверх нее окрасочной гидроизоляции, которые выполняются до погружения колодца. Рекомендуется нанесение гидроизоляции ярусами по мере погружения колодца.
Штукатурную гидроизоляцию из цементно-песчаного раствора следует проектировать составом от 1:1 до 1:2, наносимого на изолируемую поверхность методом торкретирования для защиты от грунтовой влаги (два слоя общей толщиной 20 - 25 мм) и напора грунтовых вод до 3 м (три слоя общей толщиной 25 - 30 мм).
Штукатурную гидроизоляцию на основе расширяющегося РПЦ и напрягающегося НЦ цементов следует применять при напоре грунтовых вод до 20 м (три слоя общей толщиной 20 - 25 мм).
Штукатурную гидроизоляцию активизированным торкретом АТ и коллоидным цементным раствором ЦКР следует применять при напоре вод от 20 до 60 м (три слоя общей толщиной 16 - 20 мм).
При производстве работ в интервале температур воздуха плюс 5 - минус 10 °C в состав гидроизоляционных покрытий необходимо вводить добавку нитрита натрия (NaNO2) или сочетание нитрита натрия и хлорида кальция (CaCl2) при весовом соответствии компонентов 1:1.
При пропуске сквозь стены труб и других деталей для усиления штукатурной цементной гидроизоляции необходимо к фланцам закладных деталей приваривать стальную сетку и покрывать сетку и фланцы торкретным слоем
(рис. 4.32).
Рис. 4.32. Пример решения пропуска труб через стены
1 - металлическая арматурная сетка; 2 - штукатурная
цементная гидроизоляция; 3 - выпуск арматуры;
4 - ребристый патрубок; 5 - добетонировка
проема в стене после погружения колодца
Для пропуска сквозь стены близко расположенных одна от другой мелких труб или кабелей разрешается устройство группового фланца.
Для уплотнения деформационных швов (например, у примыкания подземных галерей) при применении штукатурной цементной гидроизоляции предусматривается усиление гидроизоляции путем приварки к металлическим компенсаторам сетки и заделки ее вместе с краями в торкретный слой. В местах стыков сборных элементов на участках стальных накладок устанавливаются стальные сетки. Для окрасочной гидроизоляции применяются битумно-полимерные и дегтеполимерные покрытия, наносимые в 1 - 2 слоя общей толщиной 0,4 - 0,7 мм по огрунтовке.
4.36. Для колодцев глубиной до 15 м допускается применение окрасочной и листовой полимерной гидроизоляции.
4.37. Для днища рекомендуется предусматривать горячую асфальтную и оклеечную гидроизоляцию, укладываемую под железобетонной плитой днища.
Горячая асфальтная гидроизоляция выполняется из горячих асфальтных мастик и растворов, наносимых на бетонную подготовку днища в расплавленном виде, и применяется без защитного ограждения. При напоре грунтовых вод до 5 м рекомендуется изоляция из двух слоев общей толщиной 12 - 16 мм. При напоре грунтовых вод до 30 м рекомендуется изоляция из трех слоев общей толщиной 18 - 24 мм.
Оклеечная гидроизоляция выполняется рулонной и листовой на битумной основе. Основание изоляции должно быть огрунтовано разжиженным битумом или битумной мастикой. По верху изоляции необходимо предусматривать защитную бетонную стяжку. Требующееся количество слоев гидроизоляции приведено в
табл. 4.2.
Назначение гидроизоляции | Количество слоев оклеечной гидроизоляции при категориях конструкций по сухости |
I | II | III |
Против грунтовой влаги и инфильтрационных вод | 3 | 2 | - |
Против набора воды до 5 м | 4 | 3 | 2 |
То же, от 5 до 30 м | 5 | 4 | 3 |
Примеры сопряжения оклеечной гидроизоляции днища со штукатурной цементной гидроизоляцией стен приведены на
рис. 4.33; при этом штукатурная гидроизоляция предусматривается по всей наружной поверхности и по внутренней поверхности стен на участке ножевой части колодца (по высоте днища).
Рис. 4.33. Примеры решений сопряжения оклеечной
гидроизоляции днища (3) и штукатурной цементной
гидроизоляции стен (1)
2 - слой торкрета; 4 - битумная мастика; 5 - деревянная
рейка; 6 - оклеечная гидроизоляция; 7 - бетонная стяжка;
8 - бетонная подготовка
4.38. Для внутренних поверхностей стен и днища, подвергающихся воздействиям технологических жидкостей, тип изоляции выбирается в соответствии с предъявленными ими требованиями.
4.39 (4.19). Гидроизоляция и облицовка колодцев из листовой стали не допускается, кроме случаев, когда это обосновано технологическими требованиями (например, при одновременном воздействии напорных подземных вод и высоких температур). Металлическая гидроизоляция выполняется в виде сплошного ограждения из сваренных между собой стальных листов толщиной не менее 4 мм, устанавливаемых по внутренней поверхности стен
(рис. 4.34) и днища
(рис. 4.35) или стен колодца.
Рис. 4.34. Пример решения сопряжения оклеечной гидроизоляции
днища (2) и стальной гидроизоляции стены (1)
3 - деревянная рейка
Рис. 4.35. Пример решения сопряжения
стальной гидроизоляции стен и днища (3)
1 - анкер; 2 - опоры для листов; 4 - отверстия
для нагнетания цементного раствора
Металлическую гидроизоляцию стен следует использовать в качестве опалубки при бетонировании. Опоры с анкерами в днище следует закладывать в бетон, при этом укладку бетона следует производить так, чтобы между поверхностью бетона и листом гидроизоляции (лист приваривают к заанкеренным опорам после бетонирования) оставался зазор величиной около 0,03 мм. После приварки листов гидроизоляции зазор путем нагнетания заполняют цементно-песчаным раствором, для чего в листах должны быть предусмотрены отверстия. Упомянутые отверстия должны быть заварены после окончания работ по нагнетанию раствора. Сварные швы металлической гидроизоляции должны быть испытаны на плотность.
Металл снаружи следует защищать антикоррозионным покрытием, а в днище, кроме того, - от механических повреждений. При пропуске сквозь металлическую гидроизоляцию закладных деталей следует предусматривать приварку этих деталей к металлическим листам сплошным швом; таким же швом к металлической гидроизоляции крепят деформационные компенсаторы.
4.40. Для ремонта фильтрующих стен и днища рекомендуется применять цементацию, смолизацию и силикатизацию, выполняемые методом инъецирования. Цементация применяется при удельном водопоглощении в интервале от 0,9 до 0,1 л/мин·м2. Но при этом способе остается незатампонированной система пор и толщин с раскрытием менее 0,1 мм. Силикатизацию применяют при наличии мелких трещин или пор размером не более 0,5 мм, не поддающихся цементации.
5. УВЯЗКА ПРОЕКТА С ПРОИЗВОДСТВОМ СТРОИТЕЛЬНЫХ РАБОТ
Указания на чертежах по технологической последовательности
и особых требованиях к возведению колодца
5.1. На заглавных листах рабочего проекта и отдельных узлов рабочих чертежей соответственно приводятся в виде "Указаний" (см. пример) взаимосвязанные с конструктивными решениями основные положения технологической последовательности выполнения строительных работ, а также особые требования, заложенные в проекте к выполнению отдельных строительных работ, в том числе по устройству временного основания, монтажу и выполнению стыков сборных элементов; монтажу арматурных блоков и разрезке на ярусы бетонирования монолитных колодцев; способам водопонижения; технологии разработки грунта; технологии и режиму погружения колодца (опережающего заглубления ножа в грунт) и др. Приводятся также данные по принятым в проекте монтажным строительным нагрузкам для сборных железобетонных элементов; марка строительных кранов и других механизмов, располагаемых в зоне обрушения грунта у колодца, минимальные расстояния приближения их к колодцу и др.
Пример 1. Составить для заглавного листа рабочего проекта круглого колодца диаметром 30 м из плоских панелей, погружаемого с водопонижением в глинистые грунты с тонкими прослойками песка, указания по технологической последовательности выполнения строительства колодца.
Указания по технологической последовательности
строительства колодца
Подготовительные работы
Отрыть первоначальный котлован, со дна которого будет опускаться колодец, и в нем траншею по периметру колодца для форшахты и временного основания.
Установить в траншее арматуру и забетонировать железобетонное кольцо-форшахту с применением односторонней опалубки на грани, обращенной внутрь колодца. После снятия опалубки форшахты уложить песчаную подушку до отметки низа бетонного кольца временного основания. Забетонировать кольцо временного основания с применением односторонней опалубки по грани, обращенной наружу колодца. Кольцо разделить на отдельные секции досками (или рубероидом), закладываемыми при бетонировании. Пространство между кольцами заполнить песком с цементной стяжкой поверху.
Установить кондуктор для монтажа стеновых панелей; смонтировать стеновые панели; установить и закрепить арматуру стыков и омонолитить их.
Наружную поверхность нижней части колодца покрыть торкрет-бетоном и нанести на его поверхность окрасочную гидроизоляцию.
Установить на стенах геодезические марки, рейки и отвесы для наблюдений за вертикальностью погружения колодца, а также защитный козырек, ходовые площадки, наклонный трап и лестницы.
Установить и опробовать глиномешалку, насосы, емкости и шланги для глинистого раствора.
Работы по погружению колодца
Во время погружения колодца не разрешается устанавливать на поверхности на расстоянии менее 2 м от стен колодца строительные краны, автомашины и другие строительные механизмы, а на расстоянии до 8 м (зона обрушения грунта у колодца) - устраивать отвалы грунта, склады сборных железобетонных изделий и других материалов.
При погружении колодца следует проводить геодезические наблюдения за вертикальностью его положения после каждой посадки и в перерывах между ними не реже одного раза в 15 дней.
Вначале колодец следует снять с опорных приспособлений, разработать и удалить грунт из колодца на глубину заложения подошвы временного основания и удалить временное основание, вынимая его блоки равномерно и одновременно с диаметрально противоположных сторон.
Дальнейшую разработку грунта следует производить циклами в сухом котловане с искусственным понижением уровня грунтовых вод. Поочередно вначале следует разрабатывать грунт на глубину 0,5 м в центральной части, оставляя по периметру берму шириной 3 м, а потом срезать грунт в берме двумя бульдозерами слоями высотой по 0,15 м, не допуская разработки грунта ниже уровня банкетки ножа, равномерно погружая колодец за один прием на глубину не более 0,3 м. Возникающие крены следует выправлять соответствующей разработкой бермы. Особенно тщательно рекомендуется выполнять земляные работы в условиях встречающихся прослоек водонасыщенных пылеватых грунтов, плохо отдающих воду, обеспечивая в этих случаях заглубление ножа в грунт, опережающее разработку котлована.
По мере опускания колодца на уступе ножа следует выполнить уплотнитель и начать заливку глинистого раствора. Уровень глинистого раствора следует поддерживать постоянно не ниже 0,2 м от верха форшахты.
По мере опускания наружную поверхность колодца следует покрывать по ярусам торкрет-бетоном с нанесением по его поверхности окрасочной гидроизоляции.
После окончания погружения колодца щель тиксотропной рубашки следует затампонировать цементным раствором марки М 50 на сульфатостойком портландцементе марки М 300.
Сооружение днища и конструкций внутри колодца
Устройство днища следует производить после посадки колодца на проектную отметку, тампонажа щели рубашки и полного схватывания раствора в ней. Монтажный строительный кран СКГ-100 не разрешается располагать на поверхности на расстоянии ближе 2 м от стен колодца.
Вначале следует уложить выравнивающую подготовку (толщиной 0,1 м) из гранитного или кварцитового щебня с проливкой битумом марок БН-III и БН-IV и асфальтовую стяжку толщиной 0,02 м. После устройства оклеечной гидроизоляции и защитного бетонного слоя следует уложить нижний ряд арматурных сеток, уложить нижний слой бетона, на него установить поддерживающие каркасы, верхний ряд арматуры и добетонировать днище. Работы по укладке и сварке арматуры, а также бетонированию днища проводятся поэтапно. Работы по устройству днища следует производить в сухом котловане, откачивая случайные воды из заранее предусмотренного зумпфа.
После достижения бетоном днища проектной прочности следует установить опалубку и провести бетонирование внутренних конструкций колодца.
Водопонижение разрешается отключить после окончания бетонирования всех внутренних стен и перекрытий (в соответствии с требованиями расчета на всплывание).
Пример 2. Составить указания к рабочим чертежам монолитных железобетонных стен прямоугольного колодца.
Указания по технологической последовательности
изготовления стен
Изготовление стен рекомендуется производить по ярусам высотой первого яруса 3 м и последующих по 6 м.
Монтаж арматуры колодца следует начинать с первого яруса ножевой части: устанавливают в опалубку закладные изделия банкетки, укладывают внутренние сетки, горизонтальные стержни которых сваривают между собой ванной сваркой; устанавливают каркасы ножа и скрепляют между собой шпильками; на каркасы навешивают наружные сетки, горизонтальные стержни которых сваривают между собой ванной сваркой. Горизонтальные стержни сеток приваривают к каркасам в шахматном порядке.
После окончания монтажа арматуры яруса приступают к его бетонированию, не замоноличивая при этом стыковые уголки для примыкания следующего яруса.
На стыковые уголки каркасов ножевой части устанавливают первый ряд каркасов второго яруса; при этом их вертикальные стержни стыкуют ванной сваркой. На каркасы навешивают сетки, горизонтальные стержни которых сваривают между собой ванной сваркой и приваривают к каркасам.
Укладывают бетон второго яруса.
Изготовление третьего и четвертого ярусов следует производить в той же последовательности.
Выбор состава глинистого раствора для тиксотропной рубашки
5.2 (1.10). Глинистый раствор для тиксотропной рубашки должен иметь состав, удельный вес и другие показатели качества, обеспечивающие устойчивость от обрушения грунтового откоса щели в течение всего времени погружения колодца. Данные о выборе состава глинистого раствора должны содержаться в проекте производства работ в соответствии с требованиями главы СНиП по производству и приемке работ по устройству оснований и фундаментов.
5.3. Для приготовления глинистых растворов тиксотропных рубашек рекомендуется применять обычные местные пластичные небентонитовые глины или глинопорошки заводского изготовления. В особых случаях при наличии сложных геологических и гидрогеологических условий и большой глубине погружения колодцев следует применять бентонитовые глины в виде молотого порошка или глины-сырца. В
табл. 5.1 приведен перечень месторождений бентонитовых глин и предприятий, изготовляющих глинопорошки.
Наименование предприятия | Вид выпускаемой продукции | Местонахождение и адрес |
РСФСР | | |
Ильский завод "Утяжелитель" | Глинопорошки | Краснодарский край, пос. Ильский |
Заломенское месторождение | Комовые глины (сырец) | Кемеровская обл., Крапивинский район |
Вахрушевское месторождение | Комовые глины и глинопорошки | Сахалинская обл., г. Оха |
Первомайское месторождение | Комовые глины | Магаданская обл. |
Аркадиевское месторождение | То же | Амурская обл., Аркадиевский район, с. Аркадиевка |
Нальчикское месторождение | Комовые глины (сырец) | Кабардино-Балкарская АССР, г. Нальчик |
Чернышевское, Березовское, Харапорское месторождения | То же | Читинская обл. |
Подсинское месторождение | " | Красноярский край |
Липовецкое месторождение | " | Приморский край, ст. Липовцы |
Орское месторождение | " | Оренбургская обл., г. Орск |
Лысогорское месторождение | " | Тамбовская обл., ст. Селезни |
Крутая вершина, месторождение | " | То же |
Башкирская АССР | | |
Курганакский завод по производству порошкообразных глин | Глинопорошки | Башкирская АССР, Стерлитамакский район, ст. Курганак |
Татарская АССР | | |
Альметьевский завод глинопорошков | Глинопорошки | г. Альметьевск |
Смутило-Шенталинское, Мордовско-Боганское, Муслюмкинское и Змиевское месторождения | Комовые глины (сырец) | г. Чистополь |
УССР | | |
Константиновский завод "Утяжелитель" | Глинопорошки | Донецкая обл., г. Константиновка |
Курцевское месторождение, завод "Стройматериалы" | Комовые глины (сырец) | Крымская обл., с. Марино |
Пыжевское месторождение | Комовые глины (сырец) | Хмельницкая обл., с. Старая Ушица |
Черкасское месторождение | Комовые глины (сырец) | г. Звенигород |
Горбское месторождение | То же | Закарпатская обл., Севлюшский район |
Грузинская ССР | | |
Махарадзевский завод бентонитовых порошков | Глинопорошки | г. Махарадзе |
Азербайджанская ССР | | |
Ханларское месторождение | Комовые глины (сырец) | г. Ханлар |
Армянская ССР | | |
Комбинат "Иджеванский бентонит" | Глинопорошок и комовая глина | пос. Кривой мост, Саригюхский рудник |
Узбекская ССР | | |
Акзамарское месторождение | Комовые глины (сырец) | Бухарская обл., ст. Кызыл |
Туркменская ССР | | |
Огланлынское месторождение | Глины и глинопорошки | Небитдагский район, ст. Джебел |
Таджикская ССР | | |
Нефтеабадский завод глинопорошков | Глинопорошки | Исфаринский район, пос. Нефтеабад |
Казахская ССР | | |
Калевское месторождение | Глины (сырец) | Южно-Казахстанская обл., Сары-Атачский район, ст. Калес |
5.4. Пригодность местных глин устанавливается лабораторными исследованиями и определяется следующими показателями:
а) удельным весом - в пределах 2,70 - 2,75 тс/м3;
б) числом пластичности - не менее 0,2;
в) зерновым составом: песчаных частиц 1 - 0,5 мм - не более 10%; глинистых частиц мельче 0,005 мм - не менее 30 - 40%; глинистых частиц мельче 0,001 мм - не менее 10%;
г) набуханием - не менее 15%;
д) влажностью грунта на пределе раскатывания - не менее 25%.
Пробы глин из местных карьеров для лабораторных исследований в целях правильного установления их однородности и качества рекомендуется отбирать в каждом карьере не менее чем из трех мест; вес проб должен быть не менее 5 кг.
Вода для приготовления глинистых растворов должна быть пресной, чистой и соответствовать требованиям ТУ на воду для изготовления бетонов.
5.5. Расчетный объем глинистого раствора Vр, м3, для тиксотропной рубашки для учета при составлении смет определяется по формуле

(5.1)
где

- коэффициент, учитывающий потери раствора, деформаций полости, утечки и т.п., принимаемый равным 1,3;
Vгр - объем щели тиксотропной рубашки, определяемый по проектным размерам колодца, объем растворопроводов и запасных емкостей, м3.
Количество глины (вес) Qгл, тс, для тиксотропной рубашки определяется по формуле

(5.2)
где

- удельный вес глинистых частиц, тс/м
3, определяется по лабораторным данным;

- удельный вес тиксотропного раствора, тс/м
3;

- плотность воды, принимаемая равной 1 тс/м
3.
Расход глины qгл, тс/м3, на 1 м3 воды раствора определяется по формуле

(5.3)
Количество добавляемой для уменьшения удельного веса глинистого раствора воды

, м
3, определяется по формуле

(5.4)
где

и

- соответственно удельный вес первоначального и нового глинистого растворов.
Пример 1. Определить количество глины, требующейся для приготовления глинистого раствора с плотностью

для тиксотропной рубашки с объемом щели, растворопроводов и запасных емкостей
Vгр = 150 м
3. Коэффициент потерь

.
Vгр = 1,3·150 = 195 м3.
5.6. Показатели качества глинистых растворов для тиксотропных рубашек в зависимости от геологических условий в месте погружения колодца допускается ориентировочно принимать по
табл. 5.2. Для обеспечения устойчивости вертикальной грунтовой стены полости тиксотропной рубашки удельный вес глинистого раствора должен определяться с таким расчетом, чтобы гидростатическое давление на каждой рассматриваемой глубине было больше бокового давления грунта и грунтовых вод по условиям:
а) для круглого колодца

(5.5)
б) для прямоугольного колодца

(5.6)
pт - значение давления глинистого раствора, подсчитанное по формуле [
2.9 (9)] с коэффициентом перегрузки
n. При определении давления тиксотропной рубашки принимается, что ее верхний уровень находится на 0,2 м ниже верха форшахты, а нижний уровень - на уровне поверхности уплотнителя; минимальное значение
pт принимается равным 1,05 тс/м
3;
kн - коэффициент надежности, равный 1,2.
Параметры глинистого раствора | Обозначения | При проходке глинистых, слабопористых пород | При проходке песков | При проходке пористых карбонатных пород, способных частично поглощать раствор | При проходке пористых и трещиноватых пород | При проходке гравийно-галечных грунтов, способных сильно поглощать раствор |
Нормативное значение удельного веса, тс/см3 | | 1,05 - 1,10 | Сухие 1,05 - 1,1 | Водонасыщенные 1,15 - 1,25 | Более 1,2 | Более 1,2 | Более 1,20 |
Вязкость, мм2/с | т | 20 - 25 | 25 - 35 | 25 - 45 | Не менее 45 | 40 - 50 |
Содержание песка, % | П | Не более 4 | Не более 4 | Не более 3 | Не более 3 | 1 - 2 |
Содержание отмытого песка в растворе, % | ОП | " 1 | " 1 | " 0,5 | " " 0,5 | 0,5 |
Суточный отстой, % | О | 2 - 3 | 1 - 3 | " 2 | 0 - 1 | 0 - 1 |
Водоотдача за 30 мин, см3 | В | 12 - 15 | 12 - 15 | 10 - 12 | Не более 10 | 10 - 12 |
Предельное статическое напряжение сдвига за 1 мин, кгс/см2 | | 20 - 40 | 30 - 60 | 50 - 80 | 50 - 150 | 75 - 150 |
То же, за 10 мин, кгс/см2 | | 40 - 80 | 60 - 80 | 100 - 150 | 150 - 200 | 150 - 200 |
Толщина глинистой корки, мм | К | 2 - 5 | 2 - 4 | 2 - 3 | 1 - 2 | 1,0 |
Стабильность, г/см3 | С | 0,02 - 0,03 | 0,01 - 0,02 | 0,02 - 0,03 | 0,01 - 0,02 | 0,01 - 0,02 |
Расплыв по конусу АзНИИ, НИИОСП, см | Р | 17 - 20 | 15 - 17 | 15 - 17 | Не более 17 | Не более 17 |
Примечание. Параметры приведены для условий строительства: глубины погружения до 20 м, отсутствия напорных вод, малого поглощения раствора грунтом. Для проходки в сложных условиях параметры глинистого раствора подбираются лабораторным путем.
Пример 2. Определить плотность глинистого раствора для тиксотропной рубашки колодца, приведенного в
примере п. 2.22 "б":
pгщ.к = 5,9 тс/м
2, максимальная высота столба тиксотропной рубашки
H = 11 - 0,2 = 10,8 м; определяем
pт по формуле [
2.9 (9)]:

.
Определяем требующийся удельный вес глинистого раствора из
условия (5.5):
Принимаем минимальное значение

.
Примечание. При проведении лабораторных исследований показатели качества раствора определяются следующими приборами: ареометром АГ-1 или АГ-2 - плотность

, г/см
3; вискозиметром СПВ-5 - вязкость
Т, с; прибором ВМ-6 - водоотдача
В, см
3/30 мин; прибором ВМ-6 - толщина глинистой корки К, мм; прибором СНС-2 - статическое напряжение сдвига

- за 1 мин,

- за 10 мин, отстойником Лысенко - содержание отмытого песка ОП, %; цилиндром ЦО-1 и ареометром АГ-1 или АГ-2 - стабильность
С, гс/см
3; мерным цилиндром - суточный отстой
О, %; по конусу АзНИИ - расплыв, Р, см.
5.7. Качество глинистых растворов из местных глин улучшается обработкой их химическими реактивами: кальцинированной содой (Na2CO3) в количестве 0,3 - 0,5% веса раствора; углещелочным реагентом (УЩР); карбоксиметилцеллюлозой (КМЦ); пирофосфатом натрия (Na4P2O7); силикатом натрия (жидкое стекло) и др.
Рецептура обработки реагентами устанавливается лабораторным путем.
5.8. При проходке гравийных и галечниковых грунтов рекомендуется для предотвращения фильтрации глинистого раствора увеличивать его вязкость путем обработки жидким стеклом или известью по рецептуре, подобранной лабораторным путем.
5.9. Глинистый раствор удельным весом более 1,4 тс/м3 может быть получен путем добавления утяжелителей в виде молотого барита или окиси железа по рецептуре, подбираемой лабораторным путем.
5.10. Погружать колодцы следует в теплое время года. Допускается окончание погружения при температуре наружного воздуха до минус 10 °C при условии соответствующего подбора состава и подогревания глинистого раствора, а также закрытия щели рубашки сверху утепленным фартуком.
5.11. Авторский надзор осуществляется проектной организацией, разработавшей проект, на колодцах диаметром более 30 м, глубиной погружения более 18 м и погружаемых в сложных гидрогеологических условиях на протяжении всего периода строительства и приемки сооружения в соответствии с требованиями "Положения об авторском надзоре проектных организаций за строительством предприятий, зданий и сооружений", утвержденных постановлением Госстроя СССР от 12 декабря 1973 г. N 228. Авторский надзор обеспечивает своевременные решения всех технических вопросов по проектно-сметной документации, возникающих в процессе строительства, проверяет в процессе строительства соответствие выполненных строительных работ проектным решениям, предусмотренным в рабочих чертежах, и утвержденной сметной стоимости работ, а также соблюдение технологии и качества строительно-монтажных работ.
При этом строительство колодца допускается только по проекту организации строительства, согласованному с организацией, спроектировавшей сооружение. Технологические карты по методам разработки грунта должны соответствовать данным инженерно-геологических изысканий и указаниям по производству работ, приведенным в рабочих чертежах колодца.
До начала опускания колодца проверяются:
закрепление в натуре геодезическими знаками основных осей сооружения;
выполнение подготовительных работ (установка оборудования для приготовления и подачи глинистого раствора, систем водопонижения или водоотлива с проведением ее опробования; установка оборудования для разработки и уборки грунта и др.);
соблюдение геометрической формы колодца при монтаже сборных и бетонировании монолитных стен и законченного сооружения перед опусканием (правильность формы круглых колодцев проверяется измерениями двух взаимно перпендикулярных диаметров, а также двух диаметров, расположенных под углом

, рад, к ним);
прочность бетона в монолитных конструкциях и стыках сборных элементов, качество сварных стыков, качество торкретной и обмазочной гидроизоляции и др.;
выполнение временного основания под нож и правильности положения на нем колодца, форшахты.
Во время опускания колодца проверяются:
вертикальность и плавность погружения колодца (особенно тщательно и систематически) и обеспечивающая их технология разработки грунта. При появлении трещин на поверхности грунта в зоне обрушения следует приостановить погружение и принять меры по обеспечению устойчивости грунтовой стенки тиксотропной рубашки, например за счет повышения уровня глинистого раствора, увеличения его объемного веса и других мероприятий;
устройство уплотнителя, бесперебойная подача глинистого раствора в рубашку и поддержание его на заданном уровне;
нанесение по мере опускания на стены колодца торкрет-бетона и поверху окрасочной гидроизоляции;
понижение уровня грунтовых вод с опережением на 1 - 1,5 м ниже дна забоя.
После опускания колодца проверяются:
тампонаж цементно-песчаным раствором полости рубашки;
окончательная расчистка дна котлована и устройство железобетонного днища с гидроизоляцией;
внутренняя застройка колодца и возведение опирающихся на него сооружений.
Авторский надзор участвует в приемке и освидетельствовании основных работ, скрываемых последующими работами, от качества выполнения которых зависит прочность и устойчивость колодца (установка арматуры в сборных элементах и монолитных конструкциях, замоноличивания стыков, а также временного основания, стен колодца перед и после опускания, основания днища и его конструкций и т.д.).
В своей работе авторский надзор ни в коем случае не подменяет технадзор заказчика и не выполняет контроль качества строительства, возложенные на руководителей строительной организации.
Авторский надзор контролирует журнал работ по возведению и опусканию колодца (формы журнала даны в приложениях 19 и 20 СНиП III-9-74).
Авторский надзор имеет право запрещать применение в строительстве конструкций, изделий, строительных материалов и оборудования, не соответствующих государственным стандартам, техническим условиям, проекту и другой проектной документации, и требовать в необходимых случаях приостановления производства отдельных видов строительных и монтажных работ.
Рекомендуется временно останавливать погружение колодцев: в случае появления значительного крена впредь до его устранения; при отсутствии запасов глинистого раствора; при отсутствии в необходимых случаях данных по зондированию грунта; на время ремонта оборудования по опережающему рыхлению грунта.
Авторский надзор ведет журнал, в котором фиксируются все выявленные при осуществлении строительства отступления от проектно-сметной документации и нарушения требований строительных норм, правил и технических условий по производству строительно-монтажных работ;
указания по устранению выявленных дефектов и сроки их выполнения, а также своевременность и качество выполнения указаний авторского надзора.
Журнал авторского надзора хранится у заказчика и предъявляется рабочей комиссии при приемке объекта.
ЖУРНАЛ АВТОРСКОГО НАДЗОРА
Наименование строительства, предприятия, здания, сооружения
___________________________________________________________________________
Объект строительства: _____________________________________________________
Адрес строительства: ______________________________________________________
Журнал начат _______________ 19__ г. Журнал окончен _______________ 19__ г.
Полная сметная стоимость строительства объекта ____________________________
Заказчик и его адрес: _____________________________________________________
Генеральный подрядчик _____________________________________________________
Субподрядчики - исполнители отдельных видов работ:
1) ________________________________________________________________________
(наименование работ, строительно-монтажная организация)
2) ________________________________________________________________________
3) ________________________________________________________________________
4) ________________________________________________________________________