ИС МЕГАНОРМ: примечание. В официальном тексте документа, видимо, допущена опечатка: имеется в виду ГОСТ Р 1.16-2011, а не ГОСТ 1.16-2011. |

Условия просмотра | c | Nc | F |
Среднее окружение | 0,69 | 1,0 | 1,0 |
Тусклое окружение | 0,59 | 0,9 | 0,9 |
Темное окружение | 0,525 | 0,8 | 0,8 |
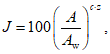
(1)
(3)
(4)
(5)
(6)
(7)
:
(12)
(13)
(17)
(19)
(21)
(24)
(25)ИС МЕГАНОРМ: примечание. Формула дана в соответствии с официальным текстом документа. |
(26)
(27)
(28)
(29)
(30)
(32)
(33)
;
(34)
является "знаковой" функцией, принимающей различные значения в зависимости от того, к какому квадранту тригонометрического круга принадлежат a и b.
(35)
(36)
(37)
(38)
(39)
(40)
(41)
(42)
(43)
(44)TCS1 | TCS2 | TCS3 | TCS4 | TCS5 | TCS6 | TCS7 | TCS8 | TCS9 | TCS10 | |
380 | 0,63590 | 0,26150 | 0,00001 | 0,47376 | 0,13351 | 0,04525 | 0,05830 | 0,05818 | 0,04157 | 0,19983 |
385 | 0,63590 | 0,26150 | 0,00663 | 0,47793 | 0,13540 | 0,05337 | 0,05830 | 0,05961 | 0,04172 | 0,19983 |
390 | 0,63590 | 0,26150 | 0,01694 | 0,46406 | 0,13565 | 0,06285 | 0,05830 | 0,05984 | 0,04187 | 0,19983 |
395 | 0,63590 | 0,26150 | 0,01773 | 0,44102 | 0,13540 | 0,07388 | 0,05830 | 0,05941 | 0,04202 | 0,19983 |
400 | 0,63590 | 0,26150 | 0,01167 | 0,42157 | 0,13579 | 0,08249 | 0,05830 | 0,05886 | 0,04225 | 0,19983 |
405 | 0,64015 | 0,26409 | 0,00511 | 0,40559 | 0,13757 | 0,10382 | 0,05786 | 0,05858 | 0,04229 | 0,20628 |
410 | 0,64540 | 0,26700 | 0,00379 | 0,38950 | 0,14001 | 0,11965 | 0,05730 | 0,05836 | 0,04246 | 0,21152 |
415 | 0,64888 | 0,26834 | 0,00874 | 0,37567 | 0,14195 | 0,13053 | 0,05692 | 0,05797 | 0,04275 | 0,20944 |
420 | 0,65070 | 0,26840 | 0,01888 | 0,36501 | 0,14194 | 0,13699 | 0,05680 | 0,05769 | 0,04318 | 0,20352 |
425 | 0,65147 | 0,26779 | 0,02972 | 0,35611 | 0,13887 | 0,13975 | 0,05694 | 0,05777 | 0,04374 | 0,19850 |
430 | 0,65080 | 0,26630 | 0,04199 | 0,34936 | 0,13327 | 0,14015 | 0,05720 | 0,05795 | 0,04441 | 0,19473 |
435 | 0,64823 | 0,26349 | 0,04896 | 0,34200 | 0,12595 | 0,13946 | 0,05744 | 0,05790 | 0,04516 | 0,19149 |
440 | 0,64400 | 0,25900 | 0,05457 | 0,33382 | 0,11738 | 0,13788 | 0,05760 | 0,05764 | 0,04596 | 0,18842 |
445 | 0,63825 | 0,25241 | 0,05674 | 0,32411 | 0,10794 | 0,13541 | 0,05763 | 0,05729 | 0,04681 | 0,18529 |
450 | 0,63010 | 0,24310 | 0,05410 | 0,31282 | 0,09819 | 0,13217 | 0,05730 | 0,05707 | 0,04771 | 0,18231 |
455 | 0,61895 | 0,23086 | 0,05487 | 0,29816 | 0,08868 | 0,12835 | 0,05646 | 0,05715 | 0,04862 | 0,17978 |
460 | 0,60630 | 0,21750 | 0,05908 | 0,27982 | 0,07978 | 0,12428 | 0,05530 | 0,05725 | 0,04936 | 0,17804 |
465 | 0,59361 | 0,20471 | 0,06075 | 0,26042 | 0,07182 | 0,12021 | 0,05406 | 0,05711 | 0,04981 | 0,17718 |
470 | 0,58020 | 0,19180 | 0,06259 | 0,24078 | 0,06508 | 0,11600 | 0,05290 | 0,05685 | 0,05008 | 0,17637 |
475 | 0,56548 | 0,17813 | 0,06304 | 0,22206 | 0,05976 | 0,11157 | 0,05192 | 0,05663 | 0,05044 | 0,17467 |
480 | 0,55150 | 0,16560 | 0,06069 | 0,20462 | 0,05586 | 0,10743 | 0,05110 | 0,05647 | 0,05142 | 0,17192 |
485 | 0,54016 | 0,15602 | 0,05967 | 0,18884 | 0,05323 | 0,10413 | 0,05039 | 0,05633 | 0,05340 | 0,16834 |
490 | 0,53000 | 0,14810 | 0,05944 | 0,17488 | 0,05140 | 0,10171 | 0,04980 | 0,05609 | 0,05585 | 0,16488 |
495 | 0,51942 | 0,14026 | 0,05601 | 0,16337 | 0,04991 | 0,09999 | 0,04936 | 0,05569 | 0,05805 | 0,16250 |
500 | 0,50950 | 0,13270 | 0,05392 | 0,15560 | 0,04869 | 0,09856 | 0,04900 | 0,05529 | 0,05925 | 0,16135 |
505 | 0,50163 | 0,12604 | 0,05202 | 0,15190 | 0,04783 | 0,09712 | 0,04866 | 0,05505 | 0,05899 | 0,16120 |
510 | 0,49580 | 0,12090 | 0,04895 | 0,15143 | 0,04761 | 0,09600 | 0,04840 | 0,05496 | 0,05771 | 0,16111 |
515 | 0,49171 | 0,11769 | 0,04762 | 0,15412 | 0,04831 | 0,09563 | 0,04828 | 0,05495 | 0,05602 | 0,16047 |
520 | 0,48940 | 0,11610 | 0,04647 | 0,16036 | 0,05011 | 0,09619 | 0,04820 | 0,05491 | 0,05420 | 0,16075 |
525 | 0,48884 | 0,11569 | 0,04398 | 0,17075 | 0,05302 | 0,09777 | 0,04807 | 0,05477 | 0,05240 | 0,16357 |
530 | 0,48940 | 0,11610 | 0,04102 | 0,18586 | 0,05654 | 0,10033 | 0,04790 | 0,05459 | 0,05060 | 0,16904 |
535 | 0,49068 | 0,11710 | 0,04046 | 0,20558 | 0,06008 | 0,10388 | 0,04775 | 0,05446 | 0,04872 | 0,17689 |
540 | 0,49380 | 0,11870 | 0,04187 | 0,22892 | 0,06335 | 0,10861 | 0,04770 | 0,05441 | 0,04668 | 0,18673 |
545 | 0,50011 | 0,12114 | 0,04197 | 0,25477 | 0,06628 | 0,11472 | 0,04780 | 0,05442 | 0,04446 | 0,19850 |
550 | 0,51030 | 0,12520 | 0,04123 | 0,28272 | 0,06946 | 0,12221 | 0,04800 | 0,05444 | 0,04225 | 0,21355 |
555 | 0,52488 | 0,13198 | 0,04185 | 0,31202 | 0,07376 | 0,13104 | 0,04829 | 0,05444 | 0,04038 | 0,23345 |
560 | 0,54420 | 0,14330 | 0,04305 | 0,34200 | 0,08059 | 0,14123 | 0,04880 | 0,05458 | 0,03936 | 0,25938 |
565 | 0,56832 | 0,16092 | 0,04484 | 0,37116 | 0,09115 | 0,15275 | 0,04973 | 0,05501 | 0,03960 | 0,29341 |
570 | 0,59630 | 0,18550 | 0,04429 | 0,39782 | 0,10539 | 0,16518 | 0,05130 | 0,05571 | 0,04081 | 0,34157 |
575 | 0,62679 | 0,21707 | 0,04632 | 0,42123 | 0,12247 | 0,17796 | 0,05390 | 0,05682 | 0,04258 | 0,40830 |
580 | 0,65780 | 0,25420 | 0,04914 | 0,44136 | 0,13976 | 0,19031 | 0,05850 | 0,05915 | 0,04483 | 0,48749 |
585 | 0,68743 | 0,29505 | 0,05151 | 0,45795 | 0,15471 | 0,20157 | 0,06636 | 0,06379 | 0,04750 | 0,57053 |
590 | 0,71490 | 0,33760 | 0,05305 | 0,47105 | 0,16698 | 0,21160 | 0,07920 | 0,07216 | 0,05039 | 0,64908 |
595 | 0,73974 | 0,37991 | 0,05463 | 0,48107 | 0,17763 | 0,22030 | 0,09894 | 0,08577 | 0,05323 | 0,71596 |
600 | 0,76170 | 0,42050 | 0,05863 | 0,48842 | 0,19118 | 0,22708 | 0,12770 | 0,10608 | 0,05554 | 0,76830 |
605 | 0,78072 | 0,45828 | 0,06604 | 0,49386 | 0,21263 | 0,23139 | 0,16683 | 0,13417 | 0,05696 | 0,80508 |
610 | 0,79720 | 0,49320 | 0,07427 | 0,49824 | 0,24557 | 0,23328 | 0,21430 | 0,16962 | 0,05771 | 0,82849 |
615 | 0,81156 | 0,52533 | 0,08516 | 0,50229 | 0,29221 | 0,23318 | 0,26677 | 0,21130 | 0,05813 | 0,84185 |
620 | 0,82390 | 0,55400 | 0,09790 | 0,50567 | 0,35063 | 0,23230 | 0,31900 | 0,25684 | 0,05843 | 0,84979 |
625 | 0,83427 | 0,57872 | 0,10928 | 0,50819 | 0,41726 | 0,23215 | 0,36580 | 0,30366 | 0,05870 | 0,85637 |
630 | 0,84280 | 0,60030 | 0,12064 | 0,51009 | 0,48613 | 0,23457 | 0,40400 | 0,34959 | 0,05894 | 0,86217 |
635 | 0,84971 | 0,61963 | 0,12749 | 0,51142 | 0,55140 | 0,24132 | 0,43172 | 0,39266 | 0,05917 | 0,86695 |
640 | 0,85560 | 0,63670 | 0,13322 | 0,51262 | 0,61007 | 0,25369 | 0,45030 | 0,43125 | 0,05966 | 0,87064 |
645 | 0,86098 | 0,65151 | 0,14094 | 0,51402 | 0,66051 | 0,27287 | 0,46188 | 0,46417 | 0,06065 | 0,87337 |
650 | 0,86570 | 0,66510 | 0,15003 | 0,51522 | 0,70370 | 0,30030 | 0,46860 | 0,49160 | 0,06193 | 0,87575 |
655 | 0,86955 | 0,67850 | 0,15656 | 0,51566 | 0,74105 | 0,33695 | 0,47230 | 0,51406 | 0,06320 | 0,87822 |
660 | 0,87280 | 0,69160 | 0,16207 | 0,51527 | 0,77303 | 0,38151 | 0,47360 | 0,53220 | 0,06420 | 0,88011 |
665 | 0,87578 | 0,70422 | 0,17095 | 0,51410 | 0,79995 | 0,43149 | 0,47296 | 0,54676 | 0,06474 | 0,88074 |
670 | 0,87850 | 0,71710 | 0,18004 | 0,51322 | 0,82248 | 0,48165 | 0,47150 | 0,55870 | 0,06492 | 0,88075 |
675 | 0,88094 | 0,73050 | 0,18664 | 0,51343 | 0,84133 | 0,52720 | 0,47030 | 0,56897 | 0,06489 | 0,88086 |
680 | 0,88330 | 0,74200 | 0,18611 | 0,51337 | 0,85712 | 0,56789 | 0,46950 | 0,57812 | 0,06471 | 0,88083 |
685 | 0,88579 | 0,74976 | 0,18650 | 0,51311 | 0,87050 | 0,60430 | 0,46891 | 0,58662 | 0,06441 | 0,88044 |
690 | 0,88840 | 0,75710 | 0,19529 | 0,51261 | 0,88222 | 0,63589 | 0,46790 | 0,59483 | 0,06399 | 0,88050 |
695 | 0,89091 | 0,76684 | 0,20210 | 0,51208 | 0,89292 | 0,66181 | 0,46607 | 0,60303 | 0,06344 | 0,88167 |
700 | 0,89260 | 0,77460 | 0,20393 | 0,51191 | 0,90256 | 0,68123 | 0,46450 | 0,61109 | 0,06276 | 0,88291 |
705 | 0,89260 | 0,77460 | 0,21328 | 0,51291 | 0,91091 | 0,70786 | 0,46450 | 0,61878 | 0,06228 | 0,88291 |
710 | 0,89260 | 0,77460 | 0,21966 | 0,51485 | 0,91776 | 0,73017 | 0,46450 | 0,62574 | 0,06173 | 0,88291 |
715 | 0,89260 | 0,77460 | 0,22617 | 0,51667 | 0,92304 | 0,75138 | 0,46450 | 0,63173 | 0,06118 | 0,88291 |
720 | 0,89260 | 0,77460 | 0,23281 | 0,51849 | 0,92737 | 0,77145 | 0,46450 | 0,63709 | 0,06064 | 0,88291 |
725 | 0,89260 | 0,77460 | 0,23959 | 0,52041 | 0,93156 | 0,79034 | 0,46450 | 0,64228 | 0,06010 | 0,88291 |
730 | 0,89260 | 0,77460 | 0,24651 | 0,52228 | 0,93639 | 0,80806 | 0,46450 | 0,64779 | 0,05957 | 0,88291 |
735 | 0,89260 | 0,77460 | 0,25356 | 0,52415 | 0,93985 | 0,82462 | 0,46450 | 0,65285 | 0,05904 | 0,88291 |
740 | 0,89260 | 0,77460 | 0,26073 | 0,52602 | 0,94353 | 0,84003 | 0,46450 | 0,65804 | 0,05852 | 0,88291 |
745 | 0,89260 | 0,77460 | 0,26804 | 0,52789 | 0,94700 | 0,85433 | 0,46450 | 0,66319 | 0,05800 | 0,88291 |
750 | 0,89260 | 0,77460 | 0,27548 | 0,52976 | 0,95027 | 0,86754 | 0,46450 | 0,66830 | 0,05748 | 0,88291 |
755 | 0,89260 | 0,77460 | 0,28305 | 0,53163 | 0,95335 | 0,87973 | 0,46450 | 0,67337 | 0,05697 | 0,88291 |
760 | 0,89260 | 0,77460 | 0,29074 | 0,53350 | 0,95625 | 0,89094 | 0,46450 | 0,67840 | 0,05646 | 0,88291 |
765 | 0,89260 | 0,77460 | 0,29855 | 0,53537 | 0,95897 | 0,90122 | 0,46450 | 0,68339 | 0,05596 | 0,88291 |
770 | 0,89260 | 0,77460 | 0,30648 | 0,53723 | 0,96153 | 0,91063 | 0,46450 | 0,68834 | 0,05546 | 0,88291 |
775 | 0,89260 | 0,77460 | 0,31452 | 0,53910 | 0,96394 | 0,91923 | 0,46450 | 0,69325 | 0,05496 | 0,88291 |
780 | 0,89260 | 0,77460 | 0,32268 | 0,54096 | 0,96620 | 0,92706 | 0,46450 | 0,69811 | 0,05447 | 0,88291 |
TCS11 | TCS12 | TCS13 | TCS14 | TCS15 | TCS16 | TCS17 | TCS18 | TCS19 | TCS20 | |
380 | 0,03951 | 0,24167 | 0,04337 | 0,34140 | 0,16992 | 0,03466 | 0,03080 | 0,07310 | 0,12020 | 0,02509 |
385 | 0,04449 | 0,21622 | 0,04333 | 0,34140 | 0,17295 | 0,03537 | 0,03310 | 0,07310 | 0,12020 | 0,02701 |
390 | 0,05006 | 0,18687 | 0,04328 | 0,34140 | 0,17602 | 0,03609 | 0,03556 | 0,07310 | 0,12020 | 0,02908 |
395 | 0,05629 | 0,16204 | 0,04324 | 0,34140 | 0,17913 | 0,03682 | 0,03820 | 0,07310 | 0,12020 | 0,03129 |
400 | 0,06081 | 0,14514 | 0,04327 | 0,34140 | 0,18141 | 0,03767 | 0,04031 | 0,07310 | 0,12020 | 0,03197 |
405 | 0,07233 | 0,12981 | 0,04311 | 0,34301 | 0,18593 | 0,03829 | 0,04443 | 0,07538 | 0,12316 | 0,03714 |
410 | 0,08032 | 0,11536 | 0,04307 | 0,34510 | 0,18883 | 0,03910 | 0,04751 | 0,07850 | 0,12590 | 0,03952 |
415 | 0,08522 | 0,10584 | 0,04320 | 0,34676 | 0,19137 | 0,04003 | 0,04967 | 0,08130 | 0,12589 | 0,03916 |
420 | 0,08742 | 0,10430 | 0,04357 | 0,34820 | 0,19479 | 0,04104 | 0,05105 | 0,08410 | 0,12450 | 0,03614 |
425 | 0,08748 | 0,09871 | 0,04419 | 0,34976 | 0,20029 | 0,04212 | 0,05186 | 0,08752 | 0,12359 | 0,03094 |
430 | 0,08644 | 0,09483 | 0,04496 | 0,35130 | 0,20890 | 0,04349 | 0,05253 | 0,09180 | 0,12320 | 0,02572 |
435 | 0,08520 | 0,09767 | 0,04572 | 0,35261 | 0,22103 | 0,04531 | 0,05346 | 0,09696 | 0,12298 | 0,02242 |
440 | 0,08358 | 0,09829 | 0,04625 | 0,35380 | 0,23492 | 0,04737 | 0,05470 | 0,10250 | 0,12300 | 0,02035 |
445 | 0,08121 | 0,09474 | 0,04641 | 0,35499 | 0,24851 | 0,04944 | 0,05623 | 0,10789 | 0,12334 | 0,01859 |
450 | 0,07806 | 0,09395 | 0,04644 | 0,35620 | 0,26083 | 0,05166 | 0,05805 | 0,11290 | 0,12380 | 0,01787 |
455 | 0,07423 | 0,09191 | 0,04655 | 0,35738 | 0,27135 | 0,05419 | 0,06016 | 0,11747 | 0,12417 | 0,01943 |
460 | 0,06998 | 0,08603 | 0,04635 | 0,35850 | 0,28027 | 0,05696 | 0,06249 | 0,12180 | 0,12450 | 0,02472 |
465 | 0,06554 | 0,08133 | 0,04557 | 0,35955 | 0,28799 | 0,05989 | 0,06492 | 0,12611 | 0,12484 | 0,03577 |
470 | 0,06091 | 0,07541 | 0,04496 | 0,36070 | 0,29480 | 0,06299 | 0,06732 | 0,13040 | 0,12510 | 0,05650 |
475 | 0,05612 | 0,06828 | 0,04556 | 0,36205 | 0,30093 | 0,06628 | 0,06952 | 0,13466 | 0,12518 | 0,08996 |
480 | 0,05174 | 0,06159 | 0,04863 | 0,36340 | 0,30660 | 0,06972 | 0,07145 | 0,13900 | 0,12510 | 0,13394 |
485 | 0,04833 | 0,05719 | 0,05497 | 0,36454 | 0,31208 | 0,07323 | 0,07305 | 0,14355 | 0,12501 | 0,18288 |
490 | 0,04593 | 0,05416 | 0,06332 | 0,36560 | 0,31800 | 0,07667 | 0,07441 | 0,14840 | 0,12560 | 0,22320 |
495 | 0,04441 | 0,05087 | 0,07191 | 0,36676 | 0,32476 | 0,07996 | 0,07559 | 0,15359 | 0,12801 | 0,24320 |
500 | 0,04337 | 0,04867 | 0,07909 | 0,36820 | 0,33168 | 0,08320 | 0,07648 | 0,15900 | 0,13480 | 0,24664 |
505 | 0,04243 | 0,04995 | 0,08373 | 0,37009 | 0,33767 | 0,08647 | 0,07701 | 0,16433 | 0,14805 | 0,24070 |
510 | 0,04169 | 0,05235 | 0,08654 | 0,37270 | 0,34119 | 0,08973 | 0,07747 | 0,16880 | 0,16640 | 0,23085 |
515 | 0,04131 | 0,05565 | 0,08841 | 0,37625 | 0,34098 | 0,09289 | 0,07817 | 0,17166 | 0,18711 | 0,22122 |
520 | 0,04139 | 0,05980 | 0,08912 | 0,38080 | 0,33712 | 0,09576 | 0,07924 | 0,17280 | 0,20520 | 0,21248 |
525 | 0,04207 | 0,06338 | 0,08836 | 0,38614 | 0,33041 | 0,09824 | 0,08086 | 0,17246 | 0,21662 | 0,20455 |
530 | 0,04366 | 0,07119 | 0,08654 | 0,39110 | 0,32312 | 0,10056 | 0,08358 | 0,17160 | 0,22330 | 0,19769 |
535 | 0,04679 | 0,08203 | 0,08414 | 0,39457 | 0,31756 | 0,10293 | 0,08811 | 0,17132 | 0,22905 | 0,19234 |
540 | 0,05302 | 0,09658 | 0,08118 | 0,39660 | 0,31476 | 0,10535 | 0,09531 | 0,17250 | 0,23930 | 0,18925 |
545 | 0,06419 | 0,11374 | 0,07767 | 0,39753 | 0,31513 | 0,10777 | 0,10580 | 0,17559 | 0,25936 | 0,18913 |
550 | 0,08220 | 0,13250 | 0,07423 | 0,39760 | 0,31810 | 0,11015 | 0,11916 | 0,17960 | 0,29250 | 0,19252 |
555 | 0,10861 | 0,15516 | 0,07149 | 0,39728 | 0,32241 | 0,11250 | 0,13450 | 0,18329 | 0,33928 | 0,19974 |
560 | 0,14340 | 0,18331 | 0,06947 | 0,39790 | 0,32510 | 0,11485 | 0,15040 | 0,18580 | 0,39140 | 0,21059 |
565 | 0,18552 | 0,21658 | 0,06819 | 0,40103 | 0,32407 | 0,11730 | 0,16541 | 0,18685 | 0,43925 | 0,22470 |
570 | 0,23131 | 0,25334 | 0,06818 | 0,40830 | 0,32228 | 0,12026 | 0,17859 | 0,18810 | 0,47690 | 0,24147 |
575 | 0,27651 | 0,29135 | 0,07069 | 0,42058 | 0,32449 | 0,12415 | 0,18928 | 0,19170 | 0,50097 | 0,26062 |
580 | 0,31696 | 0,33392 | 0,07949 | 0,43550 | 0,33775 | 0,12934 | 0,19761 | 0,19990 | 0,51460 | 0,28317 |
585 | 0,34933 | 0,37966 | 0,09754 | 0,45009 | 0,36682 | 0,13622 | 0,20396 | 0,21409 | 0,52210 | 0,31075 |
590 | 0,37353 | 0,42691 | 0,12216 | 0,46220 | 0,40525 | 0,14527 | 0,20914 | 0,23220 | 0,52600 | 0,34583 |
595 | 0,39051 | 0,47137 | 0,14933 | 0,47043 | 0,44457 | 0,15696 | 0,21381 | 0,25140 | 0,52810 | 0,39045 |
600 | 0,40201 | 0,51260 | 0,17516 | 0,47560 | 0,47934 | 0,17140 | 0,21771 | 0,26940 | 0,52900 | 0,44412 |
605 | 0,40996 | 0,54874 | 0,19672 | 0,47895 | 0,50614 | 0,18852 | 0,22041 | 0,28450 | 0,52902 | 0,50458 |
610 | 0,41601 | 0,57960 | 0,21476 | 0,48120 | 0,52637 | 0,20764 | 0,22166 | 0,29690 | 0,52860 | 0,56506 |
615 | 0,42172 | 0,60302 | 0,23037 | 0,48286 | 0,54227 | 0,22810 | 0,22146 | 0,30720 | 0,52810 | 0,61852 |
620 | 0,42833 | 0,62230 | 0,24254 | 0,48410 | 0,55469 | 0,24970 | 0,22077 | 0,31570 | 0,52750 | 0,66127 |
625 | 0,43684 | 0,63769 | 0,25030 | 0,48498 | 0,56419 | 0,27223 | 0,22081 | 0,32272 | 0,52676 | 0,69166 |
630 | 0,44755 | 0,64759 | 0,25485 | 0,48560 | 0,57172 | 0,29483 | 0,22303 | 0,32890 | 0,52600 | 0,71270 |
635 | 0,46045 | 0,65705 | 0,25781 | 0,48607 | 0,57820 | 0,31669 | 0,22881 | 0,33486 | 0,52534 | 0,72818 |
640 | 0,47495 | 0,66606 | 0,26021 | 0,48670 | 0,58395 | 0,33780 | 0,23900 | 0,34080 | 0,52460 | 0,74021 |
645 | 0,49066 | 0,67239 | 0,26266 | 0,48768 | 0,58911 | 0,35841 | 0,25451 | 0,34674 | 0,52361 | 0,75035 |
650 | 0,50855 | 0,67883 | 0,26487 | 0,48870 | 0,59367 | 0,37905 | 0,27704 | 0,35240 | 0,52260 | 0,75977 |
655 | 0,52962 | 0,67562 | 0,26641 | 0,48941 | 0,59765 | 0,40003 | 0,30800 | 0,35758 | 0,52181 | 0,76939 |
660 | 0,55369 | 0,67555 | 0,26735 | 0,48980 | 0,60150 | 0,42039 | 0,34672 | 0,36260 | 0,52110 | 0,77972 |
665 | 0,57982 | 0,67885 | 0,26785 | 0,48999 | 0,60563 | 0,43917 | 0,39138 | 0,36783 | 0,52029 | 0,79098 |
670 | 0,60514 | 0,67821 | 0,26795 | 0,49030 | 0,60997 | 0,45673 | 0,43730 | 0,37320 | 0,51950 | 0,80256 |
675 | 0,62726 | 0,67843 | 0,26770 | 0,49098 | 0,61431 | 0,47371 | 0,48016 | 0,37853 | 0,51887 | 0,81379 |
680 | 0,64752 | 0,68161 | 0,26735 | 0,49190 | 0,61843 | 0,49042 | 0,51979 | 0,38360 | 0,51820 | 0,82440 |
685 | 0,66760 | 0,68412 | 0,26713 | 0,49283 | 0,62214 | 0,50703 | 0,55666 | 0,38829 | 0,51729 | 0,83423 |
690 | 0,68675 | 0,68273 | 0,26696 | 0,49370 | 0,62533 | 0,52319 | 0,58977 | 0,39300 | 0,51620 | 0,84297 |
695 | 0,70360 | 0,68325 | 0,26668 | 0,49444 | 0,62795 | 0,53846 | 0,61775 | 0,39783 | 0,51512 | 0,85030 |
700 | 0,71681 | 0,68676 | 0,26616 | 0,49490 | 0,62993 | 0,55239 | 0,63924 | 0,40120 | 0,51440 | 0,85588 |
705 | 0,73386 | 0,68639 | 0,26598 | 0,49490 | 0,63284 | 0,56804 | 0,66823 | 0,40120 | 0,51440 | 0,86331 |
710 | 0,74863 | 0,68745 | 0,26566 | 0,49490 | 0,63536 | 0,58283 | 0,69292 | 0,40120 | 0,51440 | 0,86964 |
715 | 0,76285 | 0,68851 | 0,26535 | 0,49490 | 0,63788 | 0,59748 | 0,71656 | 0,40120 | 0,51444 | 0,87572 |
720 | 0,77650 | 0,68957 | 0,26503 | 0,49490 | 0,64039 | 0,61196 | 0,73905 | 0,40120 | 0,51440 | 0,88156 |
725 | 0,78958 | 0,69063 | 0,26471 | 0,49490 | 0,64289 | 0,62624 | 0,76037 | 0,40120 | 0,51440 | 0,88715 |
730 | 0,80209 | 0,69169 | 0,26440 | 0,49490 | 0,64538 | 0,64030 | 0,78045 | 0,40120 | 0,51440 | 0,89252 |
735 | 0,81403 | 0,69275 | 0,26408 | 0,49490 | 0,64787 | 0,65413 | 0,79930 | 0,40120 | 0,51440 | 0,89765 |
740 | 0,82541 | 0,69380 | 0,26376 | 0,49490 | 0,65035 | 0,66770 | 0,81691 | 0,40120 | 0,51440 | 0,90257 |
745 | 0,83623 | 0,69485 | 0,26345 | 0,49490 | 0,65282 | 0,68100 | 0,83330 | 0,40120 | 0,51440 | 0,90728 |
750 | 0,84651 | 0,69590 | 0,26313 | 0,49490 | 0,65528 | 0,69401 | 0,84849 | 0,40120 | 0,51440 | 0,91178 |
755 | 0,85625 | 0,69695 | 0,26282 | 0,49490 | 0,65773 | 0,70672 | 0,86252 | 0,40120 | 0,51440 | 0,91609 |
760 | 0,86547 | 0,69799 | 0,26250 | 0,49490 | 0,66018 | 0,71912 | 0,87545 | 0,40120 | 0,51440 | 0,92020 |
765 | 0,87419 | 0,69903 | 0,26219 | 0,49490 | 0,66262 | 0,73119 | 0,88732 | 0,40120 | 0,51440 | 0,92413 |
770 | 0,88242 | 0,70007 | 0,26187 | 0,49490 | 0,66504 | 0,74292 | 0,89819 | 0,40120 | 0,51440 | 0,92788 |
775 | 0,89018 | 0,70111 | 0,26156 | 0,49490 | 0,66746 | 0,75432 | 0,90812 | 0,40120 | 0,51440 | 0,93146 |
780 | 0,89748 | 0,70215 | 0,26124 | 0,49490 | 0,66987 | 0,76537 | 0,91717 | 0,40120 | 0,51440 | 0,93487 |
TCS21 | TCS22 | TCS23 | TCS24 | TCS25 | TCS26 | TCS27 | TCS28 | TCS29 | TCS30 | |
380 | 0,12356 | 0,00012 | 0,37853 | 0,25150 | 0,10281 | 0,16880 | 0,06462 | 0,04580 | 0,03981 | 0,03043 |
385 | 0,13071 | 0,01062 | 0,40061 | 0,25150 | 0,09292 | 0,16880 | 0,06500 | 0,04489 | 0,04155 | 0,03198 |
390 | 0,13822 | 0,02084 | 0,41716 | 0,25150 | 0,08404 | 0,16880 | 0,06620 | 0,04394 | 0,04336 | 0,03135 |
395 | 0,14608 | 0,03107 | 0,43082 | 0,25150 | 0,07621 | 0,16880 | 0,06758 | 0,04317 | 0,04525 | 0,02956 |
400 | 0,14874 | 0,04157 | 0,44274 | 0,25150 | 0,06814 | 0,16880 | 0,06839 | 0,04467 | 0,04798 | 0,02799 |
405 | 0,16578 | 0,05232 | 0,45364 | 0,26605 | 0,06240 | 0,16558 | 0,07185 | 0,04650 | 0,04887 | 0,02943 |
410 | 0,17316 | 0,06229 | 0,46388 | 0,28120 | 0,06158 | 0,16160 | 0,08117 | 0,04793 | 0,05115 | 0,03159 |
415 | 0,17444 | 0,07033 | 0,47366 | 0,28563 | 0,05854 | 0,15900 | 0,09389 | 0,04699 | 0,05478 | 0,03054 |
420 | 0,17316 | 0,07607 | 0,48294 | 0,28380 | 0,05464 | 0,15810 | 0,11434 | 0,04621 | 0,05972 | 0,03068 |
425 | 0,17220 | 0,07961 | 0,49171 | 0,28249 | 0,05502 | 0,15881 | 0,14548 | 0,04400 | 0,06611 | 0,03510 |
430 | 0,17167 | 0,08233 | 0,50041 | 0,28200 | 0,05832 | 0,16130 | 0,17980 | 0,04456 | 0,07483 | 0,04618 |
435 | 0,17114 | 0,08564 | 0,50937 | 0,28135 | 0,05840 | 0,16571 | 0,20758 | 0,04653 | 0,08683 | 0,05858 |
440 | 0,17068 | 0,08976 | 0,51814 | 0,28100 | 0,05462 | 0,17170 | 0,22587 | 0,04711 | 0,10270 | 0,07378 |
445 | 0,17047 | 0,09456 | 0,52630 | 0,28161 | 0,05290 | 0,17895 | 0,24072 | 0,04794 | 0,12281 | 0,09711 |
450 | 0,17068 | 0,09986 | 0,53427 | 0,28320 | 0,05304 | 0,18760 | 0,25486 | 0,04801 | 0,14711 | 0,12843 |
455 | 0,17150 | 0,10554 | 0,54260 | 0,28567 | 0,05210 | 0,19777 | 0,26272 | 0,04537 | 0,17523 | 0,16071 |
460 | 0,17316 | 0,11177 | 0,55151 | 0,28900 | 0,05075 | 0,20900 | 0,26805 | 0,04556 | 0,20611 | 0,18945 |
465 | 0,17586 | 0,11877 | 0,56099 | 0,29330 | 0,05128 | 0,22112 | 0,27812 | 0,04574 | 0,23842 | 0,21301 |
470 | 0,17962 | 0,12662 | 0,57041 | 0,29910 | 0,05300 | 0,23560 | 0,28681 | 0,04704 | 0,27043 | 0,23025 |
475 | 0,18430 | 0,13529 | 0,57915 | 0,30695 | 0,05316 | 0,25362 | 0,29048 | 0,04889 | 0,30066 | 0,23860 |
480 | 0,18935 | 0,14440 | 0,58732 | 0,31700 | 0,05188 | 0,27340 | 0,29200 | 0,04999 | 0,32892 | 0,24313 |
485 | 0,19425 | 0,15365 | 0,59526 | 0,32939 | 0,05240 | 0,29329 | 0,29516 | 0,05113 | 0,35533 | 0,24970 |
490 | 0,19927 | 0,16337 | 0,60357 | 0,34470 | 0,05510 | 0,31500 | 0,30288 | 0,05184 | 0,37997 | 0,25715 |
495 | 0,20499 | 0,17397 | 0,61278 | 0,36343 | 0,05851 | 0,34048 | 0,31468 | 0,05266 | 0,40328 | 0,26432 |
500 | 0,21238 | 0,18569 | 0,62303 | 0,38540 | 0,06343 | 0,36920 | 0,32907 | 0,05780 | 0,42723 | 0,27011 |
505 | 0,22278 | 0,19876 | 0,63425 | 0,41039 | 0,07062 | 0,40017 | 0,34463 | 0,06583 | 0,45369 | 0,27155 |
510 | 0,23849 | 0,21356 | 0,64599 | 0,43860 | 0,08218 | 0,43290 | 0,35691 | 0,07923 | 0,48277 | 0,27200 |
515 | 0,26174 | 0,23039 | 0,65789 | 0,47037 | 0,10589 | 0,46717 | 0,36974 | 0,09316 | 0,51378 | 0,27353 |
520 | 0,29340 | 0,24906 | 0,67036 | 0,50620 | 0,14388 | 0,50320 | 0,38422 | 0,10443 | 0,54473 | 0,27630 |
525 | 0,33353 | 0,26935 | 0,68406 | 0,54626 | 0,19506 | 0,54088 | 0,39686 | 0,11237 | 0,57367 | 0,27819 |
530 | 0,38028 | 0,29154 | 0,69997 | 0,58940 | 0,25332 | 0,57840 | 0,40592 | 0,11717 | 0,60006 | 0,27862 |
535 | 0,43126 | 0,31594 | 0,71856 | 0,63410 | 0,30750 | 0,61400 | 0,41045 | 0,11799 | 0,62365 | 0,27889 |
540 | 0,48394 | 0,34258 | 0,73784 | 0,67880 | 0,35271 | 0,64770 | 0,41237 | 0,11843 | 0,64365 | 0,27955 |
545 | 0,53577 | 0,37131 | 0,75548 | 0,72176 | 0,38845 | 0,67979 | 0,41646 | 0,11869 | 0,65956 | 0,28173 |
550 | 0,58432 | 0,40142 | 0,77019 | 0,76060 | 0,41659 | 0,70970 | 0,42207 | 0,11877 | 0,67224 | 0,28524 |
555 | 0,62791 | 0,43235 | 0,78135 | 0,79314 | 0,43753 | 0,73677 | 0,42657 | 0,11740 | 0,68280 | 0,28833 |
560 | 0,66763 | 0,46450 | 0,78986 | 0,81870 | 0,45206 | 0,76070 | 0,42941 | 0,11503 | 0,69184 | 0,29177 |
565 | 0,70476 | 0,49808 | 0,79689 | 0,83727 | 0,46315 | 0,78141 | 0,43090 | 0,12031 | 0,69975 | 0,29664 |
570 | 0,73852 | 0,53141 | 0,80310 | 0,85000 | 0,47193 | 0,79940 | 0,43186 | 0,12027 | 0,70674 | 0,30154 |
575 | 0,76792 | 0,56281 | 0,80879 | 0,85830 | 0,47900 | 0,81523 | 0,43417 | 0,12087 | 0,71305 | 0,30507 |
580 | 0,79343 | 0,59236 | 0,81341 | 0,86340 | 0,48644 | 0,82920 | 0,43799 | 0,12009 | 0,71910 | 0,30871 |
585 | 0,81553 | 0,62034 | 0,81640 | 0,86637 | 0,49282 | 0,84155 | 0,44134 | 0,12214 | 0,72521 | 0,31340 |
590 | 0,83334 | 0,64620 | 0,81801 | 0,86780 | 0,49629 | 0,85240 | 0,44276 | 0,12237 | 0,73114 | 0,31903 |
595 | 0,84628 | 0,66928 | 0,81876 | 0,86812 | 0,50020 | 0,86185 | 0,44410 | 0,12116 | 0,73663 | 0,32509 |
600 | 0,85638 | 0,68945 | 0,81934 | 0,86770 | 0,50456 | 0,86990 | 0,44574 | 0,11951 | 0,74196 | 0,32974 |
605 | 0,86565 | 0,70682 | 0,82031 | 0,86688 | 0,50626 | 0,87659 | 0,44656 | 0,11896 | 0,74751 | 0,33388 |
610 | 0,87355 | 0,72194 | 0,82163 | 0,86590 | 0,50779 | 0,88230 | 0,44617 | 0,11864 | 0,75350 | 0,33894 |
615 | 0,87932 | 0,73531 | 0,82311 | 0,86494 | 0,51042 | 0,88735 | 0,44794 | 0,11826 | 0,75999 | 0,34220 |
620 | 0,88378 | 0,74695 | 0,82467 | 0,86390 | 0,51055 | 0,89160 | 0,44909 | 0,11813 | 0,76667 | 0,34451 |
625 | 0,88789 | 0,75689 | 0,82636 | 0,86263 | 0,50984 | 0,89487 | 0,44919 | 0,11937 | 0,77308 | 0,34661 |
630 | 0,89152 | 0,76575 | 0,82855 | 0,86100 | 0,50953 | 0,89740 | 0,45155 | 0,11881 | 0,77882 | 0,34779 |
635 | 0,89442 | 0,77407 | 0,83152 | 0,85898 | 0,50935 | 0,89946 | 0,45456 | 0,11634 | 0,78351 | 0,35040 |
640 | 0,89689 | 0,78137 | 0,83481 | 0,85700 | 0,51270 | 0,90110 | 0,45681 | 0,11621 | 0,78709 | 0,35438 |
645 | 0,89928 | 0,78720 | 0,83794 | 0,85543 | 0,51496 | 0,90232 | 0,45528 | 0,11637 | 0,78962 | 0,35485 |
650 | 0,90145 | 0,79221 | 0,84114 | 0,85410 | 0,51194 | 0,90330 | 0,45003 | 0,11656 | 0,79148 | 0,35338 |
655 | 0,90319 | 0,79723 | 0,84471 | 0,85264 | 0,51094 | 0,90419 | 0,44666 | 0,11571 | 0,79321 | 0,35403 |
660 | 0,90443 | 0,80262 | 0,84844 | 0,85040 | 0,51107 | 0,90500 | 0,44579 | 0,11537 | 0,79597 | 0,35561 |
665 | 0,90521 | 0,80842 | 0,85209 | 0,84708 | 0,50985 | 0,90570 | 0,44445 | 0,11267 | 0,80060 | 0,35852 |
670 | 0,90572 | 0,81375 | 0,85572 | 0,84390 | 0,50758 | 0,90630 | 0,44430 | 0,11420 | 0,80638 | 0,35971 |
675 | 0,90617 | 0,81785 | 0,85943 | 0,84212 | 0,50201 | 0,90680 | 0,44272 | 0,11624 | 0,81236 | 0,35739 |
680 | 0,90672 | 0,82133 | 0,86329 | 0,84150 | 0,49937 | 0,90720 | 0,44242 | 0,11636 | 0,81832 | 0,35449 |
685 | 0,90745 | 0,82495 | 0,86723 | 0,84134 | 0,50130 | 0,90752 | 0,44704 | 0,11320 | 0,82419 | 0,35373 |
690 | 0,90830 | 0,82862 | 0,87082 | 0,84070 | 0,50444 | 0,90790 | 0,45358 | 0,11456 | 0,82976 | 0,35540 |
695 | 0,90916 | 0,83218 | 0,87373 | 0,83899 | 0,51390 | 0,90840 | 0,46121 | 0,11781 | 0,83482 | 0,36075 |
700 | 0,90989 | 0,83587 | 0,87657 | 0,83740 | 0,51821 | 0,90880 | 0,46357 | 0,11627 | 0,83915 | 0,36514 |
705 | 0,91076 | 0,83979 | 0,87984 | 0,83740 | 0,52735 | 0,90888 | 0,47205 | 0,11443 | 0,84423 | 0,36959 |
710 | 0,91157 | 0,84305 | 0,88271 | 0,83740 | 0,53455 | 0,90880 | 0,47816 | 0,11559 | 0,84885 | 0,37419 |
715 | 0,91237 | 0,84486 | 0,88441 | 0,83740 | 0,54175 | 0,90880 | 0,48429 | 0,11697 | 0,85335 | 0,37882 |
720 | 0,91316 | 0,84588 | 0,88579 | 0,83740 | 0,54893 | 0,90880 | 0,49042 | 0,11711 | 0,85775 | 0,38348 |
725 | 0,91394 | 0,84712 | 0,88770 | 0,83740 | 0,55608 | 0,90880 | 0,49655 | 0,11871 | 0,86203 | 0,38815 |
730 | 0,91472 | 0,84960 | 0,88946 | 0,83740 | 0,56322 | 0,90880 | 0,50268 | 0,11979 | 0,86621 | 0,39284 |
735 | 0,91550 | 0,85043 | 0,89030 | 0,83740 | 0,57032 | 0,90880 | 0,50881 | 0,11884 | 0,87028 | 0,39756 |
740 | 0,91626 | 0,85190 | 0,89074 | 0,83740 | 0,57740 | 0,90880 | 0,51494 | 0,11780 | 0,87424 | 0,40229 |
745 | 0,91703 | 0,85335 | 0,89141 | 0,83740 | 0,58445 | 0,90880 | 0,52106 | 0,11833 | 0,87810 | 0,40704 |
750 | 0,91778 | 0,85480 | 0,89200 | 0,83740 | 0,59146 | 0,90880 | 0,52718 | 0,11880 | 0,88185 | 0,41181 |
755 | 0,91853 | 0,85624 | 0,89212 | 0,83740 | 0,59844 | 0,90880 | 0,53329 | 0,11906 | 0,88551 | 0,41660 |
760 | 0,91927 | 0,85766 | 0,89200 | 0,83740 | 0,60537 | 0,90880 | 0,53939 | 0,12030 | 0,88906 | 0,42140 |
765 | 0,92001 | 0,85907 | 0,89196 | 0,83740 | 0,61227 | 0,90880 | 0,54548 | 0,12106 | 0,89252 | 0,42622 |
770 | 0,92074 | 0,86047 | 0,89200 | 0,83740 | 0,61911 | 0,90880 | 0,55155 | 0,12099 | 0,89589 | 0,43105 |
775 | 0,92146 | 0,86186 | 0,89204 | 0,83740 | 0,62592 | 0,90880 | 0,55761 | 0,12120 | 0,89916 | 0,43589 |
780 | 0,92218 | 0,86323 | 0,89200 | 0,83740 | 0,63267 | 0,90880 | 0,56365 | 0,12123 | 0,90233 | 0,44074 |
TCS31 | TCS32 | TCS33 | TCS34 | TCS35 | TCS36 | TCS37 | TCS38 | TCS39 | TCS40 | |
380 | 0,04401 | 0,04290 | 0,17315 | 0,04389 | 0,05245 | 0,03431 | 0,05028 | 0,11323 | 0,04566 | 0,07500 |
385 | 0,04373 | 0,04290 | 0,17955 | 0,04389 | 0,05245 | 0,03707 | 0,05023 | 0,11525 | 0,04573 | 0,07502 |
390 | 0,04499 | 0,04290 | 0,18551 | 0,04389 | 0,05245 | 0,04283 | 0,05019 | 0,10979 | 0,04580 | 0,07503 |
395 | 0,04761 | 0,04290 | 0,19147 | 0,04389 | 0,05245 | 0,05358 | 0,05014 | 0,09541 | 0,04588 | 0,07504 |
400 | 0,05142 | 0,04290 | 0,19787 | 0,04389 | 0,05245 | 0,07506 | 0,05000 | 0,08689 | 0,04606 | 0,07522 |
405 | 0,05624 | 0,04206 | 0,20470 | 0,04397 | 0,05239 | 0,09776 | 0,05009 | 0,08224 | 0,04597 | 0,07498 |
410 | 0,06182 | 0,04110 | 0,21023 | 0,04404 | 0,05217 | 0,12729 | 0,05000 | 0,08142 | 0,04606 | 0,07502 |
415 | 0,06809 | 0,04069 | 0,21321 | 0,04401 | 0,05170 | 0,16371 | 0,04991 | 0,08681 | 0,04634 | 0,07534 |
420 | 0,07569 | 0,04100 | 0,21595 | 0,04400 | 0,05108 | 0,20727 | 0,05000 | 0,10151 | 0,04678 | 0,07595 |
425 | 0,08532 | 0,04209 | 0,22112 | 0,04411 | 0,05042 | 0,25618 | 0,05039 | 0,12741 | 0,04741 | 0,07683 |
430 | 0,09712 | 0,04400 | 0,22921 | 0,04433 | 0,04980 | 0,30712 | 0,05100 | 0,16431 | 0,04823 | 0,07801 |
435 | 0,11108 | 0,04679 | 0,24063 | 0,04464 | 0,04932 | 0,35739 | 0,05177 | 0,21014 | 0,04925 | 0,07950 |
440 | 0,12710 | 0,05050 | 0,25764 | 0,04511 | 0,04899 | 0,40413 | 0,05300 | 0,26265 | 0,05039 | 0,08130 |
445 | 0,14513 | 0,05522 | 0,28283 | 0,04589 | 0,04883 | 0,44397 | 0,05490 | 0,31889 | 0,05160 | 0,08347 |
450 | 0,16551 | 0,06130 | 0,31841 | 0,04721 | 0,04885 | 0,47549 | 0,05700 | 0,37622 | 0,05297 | 0,08625 |
455 | 0,18850 | 0,06913 | 0,36487 | 0,04923 | 0,04903 | 0,49917 | 0,05875 | 0,43060 | 0,05453 | 0,08964 |
460 | 0,21364 | 0,07890 | 0,41631 | 0,05164 | 0,04929 | 0,51519 | 0,06000 | 0,47844 | 0,05595 | 0,09243 |
465 | 0,24081 | 0,09077 | 0,46632 | 0,05427 | 0,04960 | 0,52400 | 0,06073 | 0,51829 | 0,05698 | 0,09371 |
470 | 0,27189 | 0,10500 | 0,51290 | 0,05796 | 0,05029 | 0,52781 | 0,06100 | 0,55029 | 0,05791 | 0,09480 |
475 | 0,30813 | 0,12180 | 0,55466 | 0,06361 | 0,05178 | 0,52870 | 0,06109 | 0,57599 | 0,05932 | 0,09794 |
480 | 0,34621 | 0,14120 | 0,58809 | 0,07121 | 0,05440 | 0,52832 | 0,06200 | 0,59562 | 0,06224 | 0,10655 |
485 | 0,38299 | 0,16307 | 0,61048 | 0,08063 | 0,05841 | 0,52853 | 0,06453 | 0,61049 | 0,06742 | 0,12302 |
490 | 0,42055 | 0,18690 | 0,62424 | 0,09207 | 0,06371 | 0,52959 | 0,06800 | 0,62077 | 0,07389 | 0,14427 |
495 | 0,46097 | 0,21218 | 0,63310 | 0,10573 | 0,06999 | 0,53055 | 0,07115 | 0,62698 | 0,08031 | 0,16617 |
500 | 0,50101 | 0,23870 | 0,64079 | 0,12138 | 0,07648 | 0,53092 | 0,07200 | 0,63270 | 0,08563 | 0,18600 |
505 | 0,53702 | 0,26636 | 0,65018 | 0,13906 | 0,08244 | 0,53193 | 0,07038 | 0,64011 | 0,08916 | 0,20198 |
510 | 0,56908 | 0,29520 | 0,66068 | 0,16048 | 0,08763 | 0,53347 | 0,07400 | 0,64719 | 0,09130 | 0,21465 |
515 | 0,59786 | 0,32517 | 0,67101 | 0,18727 | 0,09226 | 0,53402 | 0,08994 | 0,65171 | 0,09256 | 0,22435 |
520 | 0,62260 | 0,35580 | 0,68048 | 0,21932 | 0,09785 | 0,53283 | 0,11500 | 0,65373 | 0,09254 | 0,22825 |
525 | 0,64264 | 0,38644 | 0,68881 | 0,25474 | 0,10570 | 0,53039 | 0,14309 | 0,65447 | 0,09086 | 0,22393 |
530 | 0,65921 | 0,41620 | 0,69672 | 0,28642 | 0,11485 | 0,52860 | 0,16700 | 0,65538 | 0,08800 | 0,21393 |
535 | 0,67373 | 0,44402 | 0,70489 | 0,30780 | 0,12372 | 0,52848 | 0,18168 | 0,65739 | 0,08461 | 0,20158 |
540 | 0,68657 | 0,46830 | 0,71287 | 0,31975 | 0,13045 | 0,52890 | 0,19200 | 0,65954 | 0,08110 | 0,18858 |
545 | 0,69790 | 0,48756 | 0,72001 | 0,32497 | 0,13368 | 0,52837 | 0,20293 | 0,66027 | 0,07777 | 0,17596 |
550 | 0,70804 | 0,50130 | 0,72588 | 0,32621 | 0,13428 | 0,52700 | 0,21000 | 0,65923 | 0,07461 | 0,16384 |
555 | 0,71734 | 0,50941 | 0,73048 | 0,32579 | 0,13355 | 0,52649 | 0,20811 | 0,65779 | 0,07165 | 0,15244 |
560 | 0,72615 | 0,51240 | 0,73522 | 0,32446 | 0,13216 | 0,52843 | 0,19900 | 0,65799 | 0,06935 | 0,14313 |
565 | 0,73467 | 0,51113 | 0,74123 | 0,32253 | 0,13054 | 0,53210 | 0,18615 | 0,65940 | 0,06811 | 0,13716 |
570 | 0,74241 | 0,50720 | 0,74699 | 0,32020 | 0,12886 | 0,53516 | 0,17300 | 0,66049 | 0,06770 | 0,13396 |
575 | 0,74895 | 0,50235 | 0,75091 | 0,31762 | 0,12720 | 0,53670 | 0,16242 | 0,66094 | 0,06784 | 0,13286 |
580 | 0,75484 | 0,49800 | 0,75383 | 0,31486 | 0,12554 | 0,53798 | 0,15500 | 0,66122 | 0,06863 | 0,13458 |
585 | 0,76070 | 0,49512 | 0,75692 | 0,31189 | 0,12381 | 0,54007 | 0,15106 | 0,66190 | 0,07018 | 0,13978 |
590 | 0,76648 | 0,49310 | 0,76021 | 0,30849 | 0,12196 | 0,54310 | 0,15200 | 0,66315 | 0,07224 | 0,14736 |
595 | 0,77190 | 0,49093 | 0,76361 | 0,30443 | 0,11992 | 0,54624 | 0,15771 | 0,66458 | 0,07444 | 0,15579 |
600 | 0,77655 | 0,48760 | 0,76763 | 0,29971 | 0,11767 | 0,54817 | 0,16100 | 0,66544 | 0,07646 | 0,16364 |
605 | 0,78017 | 0,48248 | 0,77265 | 0,29443 | 0,11522 | 0,54899 | 0,15559 | 0,66585 | 0,07805 | 0,16980 |
610 | 0,78326 | 0,47630 | 0,77797 | 0,28917 | 0,11283 | 0,55035 | 0,14600 | 0,66684 | 0,07924 | 0,17456 |
615 | 0,78641 | 0,47030 | 0,78271 | 0,28446 | 0,11074 | 0,55266 | 0,13792 | 0,66881 | 0,08017 | 0,17846 |
620 | 0,78978 | 0,46630 | 0,78627 | 0,28043 | 0,10894 | 0,55518 | 0,13100 | 0,67060 | 0,08089 | 0,18157 |
625 | 0,79338 | 0,46623 | 0,78844 | 0,27707 | 0,10738 | 0,55746 | 0,12386 | 0,67138 | 0,08147 | 0,18391 |
630 | 0,79694 | 0,47200 | 0,79028 | 0,27414 | 0,10598 | 0,55801 | 0,11700 | 0,67119 | 0,08192 | 0,18569 |
635 | 0,80012 | 0,48518 | 0,79278 | 0,27141 | 0,10468 | 0,55702 | 0,11101 | 0,67049 | 0,08233 | 0,18725 |
640 | 0,80264 | 0,50610 | 0,79528 | 0,26885 | 0,10349 | 0,55717 | 0,10500 | 0,67041 | 0,08295 | 0,18930 |
645 | 0,80445 | 0,53447 | 0,79706 | 0,26649 | 0,10242 | 0,55869 | 0,09848 | 0,67108 | 0,08401 | 0,19238 |
650 | 0,80640 | 0,56880 | 0,79877 | 0,26449 | 0,10154 | 0,55967 | 0,09400 | 0,67106 | 0,08532 | 0,19610 |
655 | 0,80916 | 0,60699 | 0,80118 | 0,26303 | 0,10088 | 0,55989 | 0,09471 | 0,67024 | 0,08661 | 0,19976 |
660 | 0,81170 | 0,64570 | 0,80412 | 0,26213 | 0,10041 | 0,56082 | 0,10310 | 0,66944 | 0,08759 | 0,20259 |
665 | 0,81302 | 0,68173 | 0,80718 | 0,26186 | 0,10012 | 0,56192 | 0,12080 | 0,66846 | 0,08807 | 0,20400 |
670 | 0,81388 | 0,71380 | 0,80995 | 0,26248 | 0,10019 | 0,56165 | 0,14660 | 0,66851 | 0,08821 | 0,20434 |
675 | 0,81524 | 0,74151 | 0,81215 | 0,26410 | 0,10071 | 0,56041 | 0,17877 | 0,67028 | 0,08823 | 0,20413 |
680 | 0,81722 | 0,76620 | 0,81403 | 0,26609 | 0,10131 | 0,55912 | 0,21630 | 0,67149 | 0,08821 | 0,20352 |
685 | 0,81966 | 0,78956 | 0,81593 | 0,26786 | 0,10168 | 0,55486 | 0,25833 | 0,67258 | 0,08818 | 0,20254 |
690 | 0,82215 | 0,81310 | 0,81807 | 0,26981 | 0,10213 | 0,54941 | 0,30380 | 0,67428 | 0,08811 | 0,20115 |
695 | 0,82429 | 0,83652 | 0,82055 | 0,27228 | 0,10293 | 0,54330 | 0,35162 | 0,67638 | 0,08796 | 0,19927 |
700 | 0,82611 | 0,85260 | 0,82326 | 0,27417 | 0,10364 | 0,53563 | 0,40070 | 0,67857 | 0,08769 | 0,19682 |
705 | 0,82769 | 0,85260 | 0,82593 | 0,27417 | 0,10364 | 0,52630 | 0,45484 | 0,68190 | 0,08760 | 0,19524 |
710 | 0,82899 | 0,85260 | 0,82804 | 0,27417 | 0,10364 | 0,51786 | 0,50886 | 0,68592 | 0,08743 | 0,19333 |
715 | 0,82993 | 0,85260 | 0,82924 | 0,27417 | 0,10364 | 0,51116 | 0,56267 | 0,68952 | 0,08727 | 0,19144 |
720 | 0,83048 | 0,85260 | 0,83027 | 0,27417 | 0,10364 | 0,50353 | 0,61505 | 0,69328 | 0,08711 | 0,18956 |
725 | 0,83060 | 0,85260 | 0,83213 | 0,27417 | 0,10364 | 0,49575 | 0,66489 | 0,69711 | 0,08694 | 0,18769 |
730 | 0,83026 | 0,85260 | 0,83581 | 0,27417 | 0,10364 | 0,48819 | 0,71130 | 0,70083 | 0,08678 | 0,18584 |
735 | 0,83060 | 0,85260 | 0,83693 | 0,27417 | 0,10364 | 0,48065 | 0,75367 | 0,70452 | 0,08662 | 0,18400 |
740 | 0,83067 | 0,85260 | 0,83904 | 0,27417 | 0,10364 | 0,47311 | 0,79164 | 0,70819 | 0,08645 | 0,18218 |
745 | 0,83074 | 0,85260 | 0,84114 | 0,27417 | 0,10364 | 0,46558 | 0,82512 | 0,71183 | 0,08629 | 0,18037 |
750 | 0,83081 | 0,85260 | 0,84321 | 0,27417 | 0,10364 | 0,45806 | 0,85421 | 0,71544 | 0,08613 | 0,17857 |
755 | 0,83088 | 0,85260 | 0,84525 | 0,27417 | 0,10364 | 0,45057 | 0,87917 | 0,71903 | 0,08597 | 0,17679 |
760 | 0,83095 | 0,85260 | 0,84728 | 0,27417 | 0,10364 | 0,44310 | 0,90035 | 0,72258 | 0,08581 | 0,17502 |
765 | 0,83102 | 0,85260 | 0,84929 | 0,27417 | 0,10364 | 0,43562 | 0,91817 | 0,72615 | 0,08565 | 0,17327 |
770 | 0,83109 | 0,85260 | 0,85127 | 0,27417 | 0,10364 | 0,42817 | 0,93303 | 0,72967 | 0,08549 | 0,17153 |
775 | 0,83116 | 0,85260 | 0,85323 | 0,27417 | 0,10364 | 0,42076 | 0,94536 | 0,73316 | 0,08533 | 0,16981 |
780 | 0,83123 | 0,85260 | 0,85517 | 0,27417 | 0,10364 | 0,41339 | 0,95553 | 0,73661 | 0,08517 | 0,16809 |
TCS41 | TCS42 | TCS43 | TCS44 | TCS45 | TCS46 | TCS47 | TCS48 | TCS49 | TCS50 | |
380 | 0,40980 | 0,06598 | 0,06710 | 0,04390 | 0,05540 | 0,11260 | 0,14460 | 0,08776 | 0,00057 | 0,07883 |
385 | 0,40980 | 0,06537 | 0,06710 | 0,04390 | 0,05519 | 0,11260 | 0,14460 | 0,08843 | 0,00739 | 0,08225 |
390 | 0,40980 | 0,06477 | 0,06710 | 0,04390 | 0,05609 | 0,11260 | 0,14460 | 0,08933 | 0,01389 | 0,08580 |
395 | 0,40980 | 0,06418 | 0,06710 | 0,04390 | 0,05723 | 0,11260 | 0,14460 | 0,09022 | 0,02038 | 0,08949 |
400 | 0,40980 | 0,06374 | 0,06710 | 0,04390 | 0,05760 | 0,11260 | 0,14460 | 0,09089 | 0,02720 | 0,09339 |
405 | 0,41775 | 0,06292 | 0,06228 | 0,04451 | 0,05773 | 0,11615 | 0,14514 | 0,09134 | 0,03434 | 0,09727 |
410 | 0,42690 | 0,06235 | 0,05620 | 0,04520 | 0,05841 | 0,12020 | 0,14580 | 0,09245 | 0,04051 | 0,10142 |
415 | 0,43209 | 0,06213 | 0,05196 | 0,04555 | 0,05900 | 0,12231 | 0,14646 | 0,09578 | 0,04446 | 0,10575 |
420 | 0,43680 | 0,06235 | 0,04970 | 0,04570 | 0,06076 | 0,12350 | 0,14840 | 0,10461 | 0,04633 | 0,11016 |
425 | 0,44546 | 0,06307 | 0,04885 | 0,04589 | 0,06181 | 0,12532 | 0,15294 | 0,12154 | 0,04675 | 0,11458 |
430 | 0,45770 | 0,06414 | 0,04890 | 0,04610 | 0,06364 | 0,12800 | 0,16010 | 0,14474 | 0,04681 | 0,11919 |
435 | 0,47231 | 0,06540 | 0,04950 | 0,04629 | 0,06536 | 0,13152 | 0,16970 | 0,17179 | 0,04748 | 0,12413 |
440 | 0,48950 | 0,06682 | 0,05090 | 0,04650 | 0,06841 | 0,13620 | 0,18200 | 0,20227 | 0,04889 | 0,12931 |
445 | 0,50977 | 0,06845 | 0,05356 | 0,04676 | 0,07063 | 0,14245 | 0,19737 | 0,23616 | 0,05103 | 0,13467 |
450 | 0,53330 | 0,07050 | 0,05820 | 0,04700 | 0,07333 | 0,15070 | 0,21620 | 0,27292 | 0,05418 | 0,14052 |
455 | 0,55996 | 0,07328 | 0,06544 | 0,04714 | 0,07831 | 0,16141 | 0,23886 | 0,31153 | 0,05879 | 0,14714 |
460 | 0,58880 | 0,07725 | 0,07510 | 0,04720 | 0,08470 | 0,17520 | 0,26560 | 0,34940 | 0,06559 | 0,15412 |
465 | 0,61854 | 0,08275 | 0,08761 | 0,04724 | 0,09311 | 0,19261 | 0,29650 | 0,38408 | 0,07524 | 0,16118 |
470 | 0,64750 | 0,08966 | 0,10660 | 0,04740 | 0,10313 | 0,21370 | 0,33100 | 0,41516 | 0,08795 | 0,16930 |
475 | 0,67396 | 0,09786 | 0,13515 | 0,04779 | 0,11523 | 0,23822 | 0,36800 | 0,44282 | 0,10363 | 0,18000 |
480 | 0,69650 | 0,10793 | 0,17100 | 0,04830 | 0,13064 | 0,26510 | 0,40480 | 0,46753 | 0,12163 | 0,19580 |
485 | 0,71398 | 0,12099 | 0,21203 | 0,04879 | 0,14961 | 0,29289 | 0,43811 | 0,48971 | 0,14087 | 0,21832 |
490 | 0,72620 | 0,13980 | 0,26190 | 0,04930 | 0,17359 | 0,31950 | 0,46400 | 0,50918 | 0,15921 | 0,24453 |
495 | 0,73336 | 0,16761 | 0,32330 | 0,04986 | 0,20369 | 0,34297 | 0,47933 | 0,52583 | 0,17469 | 0,27019 |
500 | 0,73640 | 0,20821 | 0,38910 | 0,05040 | 0,23996 | 0,36240 | 0,48480 | 0,54042 | 0,18701 | 0,29107 |
505 | 0,73638 | 0,26399 | 0,45024 | 0,05082 | 0,27414 | 0,37735 | 0,48229 | 0,55383 | 0,19627 | 0,30412 |
510 | 0,73420 | 0,33133 | 0,49970 | 0,05110 | 0,30443 | 0,38800 | 0,47450 | 0,56646 | 0,20241 | 0,31122 |
515 | 0,73061 | 0,40352 | 0,53263 | 0,05122 | 0,32537 | 0,39477 | 0,46402 | 0,57838 | 0,20542 | 0,31477 |
520 | 0,72610 | 0,46746 | 0,55070 | 0,05120 | 0,33756 | 0,39830 | 0,45220 | 0,58866 | 0,20553 | 0,31449 |
525 | 0,72102 | 0,51124 | 0,55722 | 0,05107 | 0,34253 | 0,39931 | 0,43995 | 0,59648 | 0,20313 | 0,30979 |
530 | 0,71550 | 0,53408 | 0,55550 | 0,05090 | 0,34239 | 0,39860 | 0,42770 | 0,60236 | 0,19895 | 0,30149 |
535 | 0,70967 | 0,53861 | 0,54854 | 0,05076 | 0,33797 | 0,39682 | 0,41577 | 0,60683 | 0,19369 | 0,29047 |
540 | 0,70390 | 0,52991 | 0,53800 | 0,05060 | 0,33044 | 0,39400 | 0,40450 | 0,60921 | 0,18754 | 0,27638 |
545 | 0,69860 | 0,51304 | 0,52506 | 0,05036 | 0,32147 | 0,39003 | 0,39412 | 0,60857 | 0,18056 | 0,25896 |
550 | 0,69410 | 0,49059 | 0,51020 | 0,05010 | 0,31229 | 0,38490 | 0,38450 | 0,60427 | 0,17279 | 0,23937 |
555 | 0,69062 | 0,46466 | 0,49382 | 0,04987 | 0,29914 | 0,37870 | 0,37543 | 0,59607 | 0,16436 | 0,21933 |
560 | 0,68810 | 0,43777 | 0,47680 | 0,04960 | 0,28479 | 0,37190 | 0,36690 | 0,58490 | 0,15574 | 0,20136 |
565 | 0,68630 | 0,41211 | 0,46002 | 0,04922 | 0,27639 | 0,36490 | 0,35895 | 0,57159 | 0,14741 | 0,18742 |
570 | 0,68460 | 0,38793 | 0,44390 | 0,04890 | 0,26307 | 0,35750 | 0,35180 | 0,55521 | 0,13947 | 0,17665 |
575 | 0,68243 | 0,36527 | 0,42861 | 0,04879 | 0,24861 | 0,34938 | 0,34575 | 0,53495 | 0,13197 | 0,16780 |
580 | 0,67990 | 0,34523 | 0,41390 | 0,04880 | 0,23426 | 0,34030 | 0,34130 | 0,51211 | 0,12523 | 0,16107 |
585 | 0,67729 | 0,32877 | 0,39905 | 0,04880 | 0,21943 | 0,33000 | 0,33870 | 0,48821 | 0,11951 | 0,15676 |
590 | 0,67490 | 0,31534 | 0,38200 | 0,04880 | 0,20576 | 0,31810 | 0,33700 | 0,46354 | 0,11449 | 0,15442 |
595 | 0,67300 | 0,30404 | 0,36163 | 0,04882 | 0,19114 | 0,30447 | 0,33506 | 0,43824 | 0,10977 | 0,15328 |
600 | 0,67180 | 0,29410 | 0,34190 | 0,04880 | 0,17990 | 0,29020 | 0,33220 | 0,41298 | 0,10532 | 0,15223 |
605 | 0,67137 | 0,28480 | 0,32717 | 0,04868 | 0,17159 | 0,27656 | 0,32808 | 0,38846 | 0,10120 | 0,15040 |
610 | 0,67140 | 0,27563 | 0,31840 | 0,04860 | 0,16571 | 0,26440 | 0,32320 | 0,36486 | 0,09750 | 0,14826 |
615 | 0,67164 | 0,26625 | 0,31512 | 0,04868 | 0,16047 | 0,25433 | 0,31848 | 0,34231 | 0,09436 | 0,14662 |
620 | 0,67250 | 0,25696 | 0,31440 | 0,04890 | 0,15739 | 0,24630 | 0,31560 | 0,32117 | 0,09190 | 0,14618 |
625 | 0,67464 | 0,24839 | 0,31336 | 0,04918 | 0,15454 | 0,24004 | 0,31636 | 0,30177 | 0,09028 | 0,14745 |
630 | 0,67890 | 0,24177 | 0,31170 | 0,04950 | 0,15364 | 0,23490 | 0,32210 | 0,28420 | 0,08950 | 0,15005 |
635 | 0,68616 | 0,23840 | 0,30968 | 0,04984 | 0,15204 | 0,23025 | 0,33395 | 0,26844 | 0,08951 | 0,15358 |
640 | 0,69710 | 0,23909 | 0,30730 | 0,05020 | 0,15024 | 0,22600 | 0,35250 | 0,25429 | 0,09004 | 0,15829 |
645 | 0,71218 | 0,24436 | 0,30349 | 0,05057 | 0,15039 | 0,22218 | 0,37809 | 0,24158 | 0,09084 | 0,16436 |
650 | 0,73100 | 0,25398 | 0,29310 | 0,05100 | 0,15037 | 0,21890 | 0,41040 | 0,23040 | 0,09188 | 0,17109 |
655 | 0,75284 | 0,26709 | 0,27208 | 0,05150 | 0,15041 | 0,21633 | 0,44884 | 0,22080 | 0,09319 | 0,17743 |
660 | 0,77640 | 0,28089 | 0,24480 | 0,05200 | 0,15234 | 0,21470 | 0,49220 | 0,21248 | 0,09465 | 0,18201 |
665 | 0,80025 | 0,29267 | 0,21777 | 0,05242 | 0,15367 | 0,21422 | 0,53897 | 0,20511 | 0,09614 | 0,18381 |
670 | 0,82300 | 0,30194 | 0,19760 | 0,05270 | 0,15924 | 0,21480 | 0,58690 | 0,19862 | 0,09758 | 0,18359 |
675 | 0,84343 | 0,30939 | 0,18894 | 0,05278 | 0,16394 | 0,21628 | 0,63375 | 0,19300 | 0,09892 | 0,18240 |
680 | 0,86090 | 0,31803 | 0,18850 | 0,05270 | 0,16737 | 0,21840 | 0,67790 | 0,18827 | 0,10023 | 0,18052 |
685 | 0,87518 | 0,33103 | 0,19437 | 0,05252 | 0,16914 | 0,22098 | 0,71834 | 0,18444 | 0,10164 | 0,17803 |
690 | 0,88720 | 0,34980 | 0,21810 | 0,05230 | 0,17330 | 0,22420 | 0,75580 | 0,18137 | 0,10336 | 0,17486 |
695 | 0,89754 | 0,37529 | 0,26567 | 0,05211 | 0,17773 | 0,22799 | 0,78958 | 0,17893 | 0,10553 | 0,17093 |
700 | 0,90410 | 0,40848 | 0,30730 | 0,05200 | 0,17987 | 0,23080 | 0,81150 | 0,17713 | 0,10789 | 0,16613 |
705 | 0,90410 | 0,43191 | 0,30730 | 0,05200 | 0,18020 | 0,23080 | 0,81150 | 0,17599 | 0,11019 | 0,16279 |
710 | 0,90410 | 0,45996 | 0,30730 | 0,05200 | 0,18000 | 0,23080 | 0,81150 | 0,17550 | 0,11246 | 0,15896 |
715 | 0,90410 | 0,48826 | 0,30730 | 0,05200 | 0,17773 | 0,23080 | 0,81150 | 0,17564 | 0,11484 | 0,15521 |
720 | 0,90410 | 0,51664 | 0,30730 | 0,05200 | 0,17586 | 0,23080 | 0,81150 | 0,17652 | 0,11757 | 0,15154 |
725 | 0,90410 | 0,54491 | 0,30730 | 0,05200 | 0,17644 | 0,23080 | 0,81150 | 0,17830 | 0,12090 | 0,14793 |
730 | 0,90410 | 0,57290 | 0,30730 | 0,05200 | 0,17847 | 0,23080 | 0,81150 | 0,18111 | 0,12509 | 0,14440 |
735 | 0,90410 | 0,60042 | 0,30730 | 0,05200 | 0,18116 | 0,23080 | 0,81150 | 0,18243 | 0,12825 | 0,14093 |
740 | 0,90410 | 0,62733 | 0,30730 | 0,05200 | 0,18747 | 0,23080 | 0,81150 | 0,18437 | 0,13195 | 0,13754 |
745 | 0,90410 | 0,65347 | 0,30730 | 0,05200 | 0,19526 | 0,23080 | 0,81150 | 0,18633 | 0,13574 | 0,13421 |
750 | 0,90410 | 0,67872 | 0,30730 | 0,05200 | 0,20319 | 0,23080 | 0,81150 | 0,18831 | 0,13962 | 0,13096 |
755 | 0,90410 | 0,70296 | 0,30730 | 0,05200 | 0,20930 | 0,23080 | 0,81150 | 0,19030 | 0,14359 | 0,12777 |
760 | 0,90410 | 0,72611 | 0,30730 | 0,05200 | 0,21407 | 0,23080 | 0,81150 | 0,19230 | 0,14766 | 0,12464 |
765 | 0,90410 | 0,74810 | 0,30730 | 0,05200 | 0,21864 | 0,23080 | 0,81150 | 0,19433 | 0,15182 | 0,12159 |
770 | 0,90410 | 0,76889 | 0,30730 | 0,05200 | 0,21997 | 0,23080 | 0,81150 | 0,19637 | 0,15608 | 0,11859 |
775 | 0,90410 | 0,78845 | 0,30730 | 0,05200 | 0,21784 | 0,23080 | 0,81150 | 0,19842 | 0,16044 | 0,11566 |
780 | 0,90410 | 0,80677 | 0,30730 | 0,05200 | 0,21926 | 0,23080 | 0,81150 | 0,20049 | 0,16489 | 0,11280 |
TCS51 | TCS52 | TCS53 | TCS54 | TCS55 | TCS56 | TCS57 | TCS58 | TCS59 | TCS60 | |
380 | 0,09950 | 0,05860 | 0,07790 | 0,47190 | 0,30073 | 0,23150 | 0,13470 | 0,10606 | 0,43450 | 0,43710 |
385 | 0,10406 | 0,05842 | 0,07790 | 0,47190 | 0,32661 | 0,23150 | 0,13470 | 0,11035 | 0,43450 | 0,47272 |
390 | 0,10880 | 0,05824 | 0,07790 | 0,47190 | 0,34992 | 0,23150 | 0,13470 | 0,11514 | 0,43450 | 0,50312 |
395 | 0,11373 | 0,05806 | 0,07790 | 0,47190 | 0,37230 | 0,23150 | 0,13470 | 0,12020 | 0,43450 | 0,53129 |
400 | 0,11889 | 0,05802 | 0,07790 | 0,47190 | 0,39416 | 0,23150 | 0,13470 | 0,12531 | 0,43450 | 0,55735 |
405 | 0,12416 | 0,05765 | 0,07930 | 0,48883 | 0,41553 | 0,25503 | 0,13984 | 0,13033 | 0,51357 | 0,58083 |
410 | 0,12971 | 0,05750 | 0,08120 | 0,51160 | 0,43632 | 0,28201 | 0,14600 | 0,13550 | 0,60420 | 0,60183 |
415 | 0,13543 | 0,05753 | 0,08291 | 0,53114 | 0,45652 | 0,29616 | 0,14999 | 0,14114 | 0,65038 | 0,62063 |
420 | 0,14122 | 0,05771 | 0,08480 | 0,54880 | 0,47668 | 0,30297 | 0,15360 | 0,14747 | 0,66450 | 0,63777 |
425 | 0,14703 | 0,05801 | 0,08736 | 0,56754 | 0,49725 | 0,31130 | 0,15934 | 0,15464 | 0,67117 | 0,65381 |
430 | 0,15303 | 0,05853 | 0,09050 | 0,58620 | 0,51775 | 0,32158 | 0,16770 | 0,16259 | 0,67560 | 0,66908 |
435 | 0,15937 | 0,05937 | 0,09403 | 0,60333 | 0,53774 | 0,33253 | 0,17857 | 0,17128 | 0,67830 | 0,68370 |
440 | 0,16583 | 0,06059 | 0,09800 | 0,62040 | 0,55789 | 0,34437 | 0,19160 | 0,18103 | 0,68050 | 0,69721 |
445 | 0,17226 | 0,06229 | 0,10263 | 0,63907 | 0,57898 | 0,35808 | 0,20654 | 0,19242 | 0,68332 | 0,70918 |
450 | 0,17913 | 0,06471 | 0,10860 | 0,65890 | 0,60125 | 0,37612 | 0,22380 | 0,20673 | 0,68690 | 0,71973 |
455 | 0,18680 | 0,06784 | 0,11658 | 0,67891 | 0,62458 | 0,40032 | 0,24394 | 0,22518 | 0,69119 | 0,72912 |
460 | 0,19471 | 0,07048 | 0,12670 | 0,69800 | 0,64804 | 0,42836 | 0,26740 | 0,24804 | 0,69650 | 0,73751 |
465 | 0,20244 | 0,07175 | 0,13900 | 0,71523 | 0,67049 | 0,45815 | 0,29427 | 0,27486 | 0,70332 | 0,74500 |
470 | 0,21118 | 0,07306 | 0,15380 | 0,73050 | 0,69066 | 0,49262 | 0,32340 | 0,30339 | 0,71260 | 0,75159 |
475 | 0,22283 | 0,07679 | 0,17152 | 0,74379 | 0,70754 | 0,53399 | 0,35336 | 0,33116 | 0,72513 | 0,75729 |
480 | 0,24056 | 0,08687 | 0,19280 | 0,75470 | 0,72132 | 0,57658 | 0,38270 | 0,35681 | 0,74050 | 0,76220 |
485 | 0,26640 | 0,10600 | 0,21822 | 0,76285 | 0,73246 | 0,61368 | 0,40983 | 0,37901 | 0,75796 | 0,76636 |
490 | 0,29663 | 0,13056 | 0,24790 | 0,76840 | 0,74115 | 0,64244 | 0,43250 | 0,39557 | 0,77650 | 0,76953 |
495 | 0,32597 | 0,15571 | 0,28105 | 0,77166 | 0,74752 | 0,66137 | 0,44870 | 0,40468 | 0,79473 | 0,77145 |
500 | 0,34883 | 0,17817 | 0,31370 | 0,77300 | 0,75151 | 0,67063 | 0,45800 | 0,40690 | 0,81000 | 0,77193 |
505 | 0,36119 | 0,19575 | 0,34111 | 0,77289 | 0,75312 | 0,67106 | 0,46055 | 0,40341 | 0,81990 | 0,77082 |
510 | 0,36570 | 0,20908 | 0,35850 | 0,77220 | 0,75259 | 0,66461 | 0,45710 | 0,39562 | 0,82440 | 0,76796 |
515 | 0,36586 | 0,21853 | 0,36251 | 0,77164 | 0,75010 | 0,65332 | 0,44861 | 0,38483 | 0,82407 | 0,76324 |
520 | 0,36203 | 0,22052 | 0,35540 | 0,77090 | 0,74537 | 0,63836 | 0,43620 | 0,37179 | 0,81960 | 0,75680 |
525 | 0,35401 | 0,21204 | 0,34058 | 0,76950 | 0,73810 | 0,62052 | 0,42088 | 0,35707 | 0,81160 | 0,74895 |
530 | 0,34248 | 0,19630 | 0,32030 | 0,76730 | 0,72853 | 0,59994 | 0,40300 | 0,34094 | 0,80030 | 0,74036 |
535 | 0,32800 | 0,17770 | 0,29646 | 0,76421 | 0,71689 | 0,57664 | 0,38264 | 0,32357 | 0,78591 | 0,73159 |
540 | 0,30983 | 0,15900 | 0,27060 | 0,76000 | 0,70284 | 0,55071 | 0,35940 | 0,30490 | 0,76890 | 0,72237 |
545 | 0,28742 | 0,14200 | 0,24412 | 0,75437 | 0,68608 | 0,52241 | 0,33313 | 0,28488 | 0,74963 | 0,71241 |
550 | 0,26249 | 0,12623 | 0,21820 | 0,74680 | 0,66694 | 0,49259 | 0,30510 | 0,26380 | 0,72790 | 0,70206 |
555 | 0,23757 | 0,11115 | 0,19387 | 0,73691 | 0,64607 | 0,46218 | 0,27694 | 0,24215 | 0,70380 | 0,69189 |
560 | 0,21634 | 0,09810 | 0,17170 | 0,72520 | 0,62480 | 0,43191 | 0,25030 | 0,22077 | 0,67930 | 0,68268 |
565 | 0,20167 | 0,08841 | 0,15204 | 0,71226 | 0,60444 | 0,40231 | 0,22651 | 0,20033 | 0,65657 | 0,67515 |
570 | 0,19213 | 0,08151 | 0,13470 | 0,69820 | 0,58562 | 0,37328 | 0,20550 | 0,18041 | 0,63660 | 0,66956 |
575 | 0,18575 | 0,07650 | 0,11940 | 0,68280 | 0,56856 | 0,34465 | 0,18674 | 0,16051 | 0,61990 | 0,66589 |
580 | 0,18280 | 0,07296 | 0,10590 | 0,66490 | 0,55242 | 0,31651 | 0,16940 | 0,14091 | 0,60610 | 0,66336 |
585 | 0,18373 | 0,07063 | 0,09403 | 0,64336 | 0,53611 | 0,28904 | 0,15247 | 0,12209 | 0,59451 | 0,66107 |
590 | 0,18766 | 0,06935 | 0,08390 | 0,61800 | 0,51865 | 0,26263 | 0,13470 | 0,10463 | 0,58410 | 0,65854 |
595 | 0,19304 | 0,06891 | 0,07567 | 0,58959 | 0,49975 | 0,23787 | 0,11572 | 0,08914 | 0,57394 | 0,65553 |
600 | 0,19699 | 0,06883 | 0,06940 | 0,56170 | 0,48196 | 0,21609 | 0,09900 | 0,07639 | 0,56400 | 0,65249 |
605 | 0,19725 | 0,06872 | 0,06504 | 0,53802 | 0,46791 | 0,19856 | 0,08790 | 0,06696 | 0,55461 | 0,65002 |
610 | 0,19521 | 0,06863 | 0,06220 | 0,51990 | 0,45788 | 0,18547 | 0,08160 | 0,06048 | 0,54680 | 0,64874 |
615 | 0,19302 | 0,06872 | 0,06044 | 0,50780 | 0,45146 | 0,17653 | 0,07827 | 0,05632 | 0,54140 | 0,64903 |
620 | 0,19233 | 0,06894 | 0,05940 | 0,50090 | 0,44792 | 0,17054 | 0,07630 | 0,05385 | 0,53770 | 0,65032 |
625 | 0,19418 | 0,06923 | 0,05878 | 0,49798 | 0,44644 | 0,16621 | 0,07448 | 0,05246 | 0,53473 | 0,65199 |
630 | 0,19788 | 0,06966 | 0,05840 | 0,49760 | 0,44631 | 0,16281 | 0,07290 | 0,05170 | 0,53190 | 0,65430 |
635 | 0,20264 | 0,07040 | 0,05812 | 0,49839 | 0,44699 | 0,15981 | 0,07173 | 0,05122 | 0,52908 | 0,65764 |
640 | 0,20890 | 0,07182 | 0,05790 | 0,49950 | 0,44862 | 0,15704 | 0,07010 | 0,05094 | 0,52750 | 0,66202 |
645 | 0,21709 | 0,07418 | 0,05775 | 0,50065 | 0,45160 | 0,15455 | 0,06692 | 0,05089 | 0,52840 | 0,66738 |
650 | 0,22617 | 0,07708 | 0,05790 | 0,50320 | 0,45656 | 0,15295 | 0,06130 | 0,05139 | 0,53160 | 0,67372 |
655 | 0,23465 | 0,07997 | 0,05855 | 0,50874 | 0,46396 | 0,15286 | 0,05304 | 0,05276 | 0,53599 | 0,68090 |
660 | 0,24066 | 0,08223 | 0,05960 | 0,51800 | 0,47319 | 0,15443 | 0,04440 | 0,05499 | 0,53820 | 0,68803 |
665 | 0,24281 | 0,08342 | 0,06093 | 0,53104 | 0,48341 | 0,15772 | 0,03781 | 0,05802 | 0,53583 | 0,69419 |
670 | 0,24224 | 0,08378 | 0,06250 | 0,54610 | 0,49376 | 0,16295 | 0,03390 | 0,06171 | 0,53260 | 0,69911 |
675 | 0,24044 | 0,08364 | 0,06428 | 0,56122 | 0,50347 | 0,16994 | 0,03263 | 0,06589 | 0,53260 | 0,70280 |
680 | 0,23778 | 0,08306 | 0,06610 | 0,57550 | 0,51212 | 0,17687 | 0,03320 | 0,07020 | 0,53530 | 0,70579 |
685 | 0,23432 | 0,08200 | 0,06780 | 0,58862 | 0,51931 | 0,18216 | 0,03593 | 0,07429 | 0,53839 | 0,70842 |
690 | 0,22994 | 0,08048 | 0,06950 | 0,60150 | 0,52450 | 0,18699 | 0,04650 | 0,07806 | 0,53720 | 0,70991 |
695 | 0,22450 | 0,07849 | 0,07121 | 0,61435 | 0,52735 | 0,19243 | 0,06786 | 0,08141 | 0,52892 | 0,70960 |
700 | 0,21783 | 0,07605 | 0,07240 | 0,62320 | 0,52854 | 0,19647 | 0,08660 | 0,08396 | 0,52050 | 0,70853 |
705 | 0,21320 | 0,07441 | 0,07240 | 0,62320 | 0,52899 | 0,19647 | 0,08660 | 0,08534 | 0,52050 | 0,70807 |
710 | 0,20789 | 0,07251 | 0,07240 | 0,62320 | 0,52954 | 0,19647 | 0,08660 | 0,08554 | 0,52050 | 0,70918 |
715 | 0,20268 | 0,07065 | 0,07240 | 0,62320 | 0,53109 | 0,19647 | 0,08660 | 0,08476 | 0,52050 | 0,71261 |
720 | 0,19757 | 0,06884 | 0,07240 | 0,62320 | 0,53478 | 0,19647 | 0,08660 | 0,08362 | 0,52050 | 0,71859 |
725 | 0,19256 | 0,06707 | 0,07240 | 0,62320 | 0,54158 | 0,19647 | 0,08660 | 0,08285 | 0,52050 | 0,72710 |
730 | 0,18764 | 0,06535 | 0,07240 | 0,62320 | 0,55168 | 0,19647 | 0,08660 | 0,08317 | 0,52050 | 0,73766 |
735 | 0,18282 | 0,06366 | 0,07240 | 0,62320 | 0,56548 | 0,19647 | 0,08660 | 0,08202 | 0,52050 | 0,75043 |
740 | 0,17810 | 0,06202 | 0,07240 | 0,62320 | 0,58514 | 0,19647 | 0,08660 | 0,08147 | 0,52050 | 0,76850 |
745 | 0,17347 | 0,06041 | 0,07240 | 0,62320 | 0,61045 | 0,19647 | 0,08660 | 0,08092 | 0,52050 | 0,79265 |
750 | 0,16894 | 0,05885 | 0,07240 | 0,62320 | 0,62991 | 0,19647 | 0,08660 | 0,08037 | 0,52050 | 0,81153 |
755 | 0,16450 | 0,05732 | 0,07240 | 0,62320 | 0,63369 | 0,19647 | 0,08660 | 0,07983 | 0,52050 | 0,81521 |
760 | 0,16016 | 0,05583 | 0,07240 | 0,62320 | 0,62991 | 0,19647 | 0,08660 | 0,07929 | 0,52050 | 0,81153 |
765 | 0,15591 | 0,05438 | 0,07240 | 0,62320 | 0,62865 | 0,19647 | 0,08660 | 0,07876 | 0,52050 | 0,81030 |
770 | 0,15175 | 0,05296 | 0,07240 | 0,62320 | 0,62991 | 0,19647 | 0,08660 | 0,07822 | 0,52050 | 0,81153 |
775 | 0,14769 | 0,05158 | 0,07240 | 0,62320 | 0,63117 | 0,19647 | 0,08660 | 0,07769 | 0,52050 | 0,81276 |
780 | 0,14371 | 0,05023 | 0,07240 | 0,62320 | 0,62991 | 0,19647 | 0,08660 | 0,07717 | 0,52050 | 0,81153 |
TCS61 | TCS62 | TCS63 | TCS64 | TCS65 | TCS66 | TCS67 | TCS68 | TCS69 | TCS70 | |
380 | 0,28873 | 0,17009 | 0,02353 | 0,22326 | 0,00602 | 0,12490 | 0,14700 | 0,22149 | 0,13225 | 0,31794 |
385 | 0,30831 | 0,17930 | 0,02714 | 0,22326 | 0,00905 | 0,12490 | 0,14700 | 0,23594 | 0,13933 | 0,34608 |
390 | 0,32860 | 0,18890 | 0,03128 | 0,22326 | 0,01360 | 0,12490 | 0,14700 | 0,25104 | 0,14672 | 0,37534 |
395 | 0,34955 | 0,19888 | 0,03604 | 0,22326 | 0,02039 | 0,12490 | 0,14700 | 0,26676 | 0,15443 | 0,40554 |
400 | 0,36977 | 0,20849 | 0,03956 | 0,22326 | 0,02949 | 0,12490 | 0,14700 | 0,28245 | 0,16220 | 0,43537 |
405 | 0,39383 | 0,22043 | 0,04880 | 0,23893 | 0,04609 | 0,13231 | 0,15842 | 0,30036 | 0,17098 | 0,46845 |
410 | 0,41611 | 0,23133 | 0,05538 | 0,25743 | 0,06811 | 0,14130 | 0,17220 | 0,31769 | 0,17961 | 0,49988 |
415 | 0,43654 | 0,24199 | 0,05973 | 0,26842 | 0,09024 | 0,14721 | 0,18102 | 0,33467 | 0,18831 | 0,52990 |
420 | 0,45502 | 0,25317 | 0,06229 | 0,27548 | 0,10713 | 0,15180 | 0,18720 | 0,35149 | 0,19733 | 0,55872 |
425 | 0,47151 | 0,26551 | 0,06356 | 0,28427 | 0,11533 | 0,15780 | 0,19467 | 0,36826 | 0,20679 | 0,58644 |
430 | 0,48618 | 0,27899 | 0,06429 | 0,29488 | 0,11875 | 0,16550 | 0,20420 | 0,38457 | 0,21630 | 0,61261 |
435 | 0,49915 | 0,29357 | 0,06519 | 0,30635 | 0,12207 | 0,17467 | 0,21573 | 0,39997 | 0,22540 | 0,63672 |
440 | 0,51039 | 0,30976 | 0,06650 | 0,31906 | 0,12550 | 0,18540 | 0,22910 | 0,41415 | 0,23381 | 0,65857 |
445 | 0,51992 | 0,32796 | 0,06835 | 0,33377 | 0,12850 | 0,19798 | 0,24431 | 0,42690 | 0,24136 | 0,67805 |
450 | 0,52806 | 0,34749 | 0,07080 | 0,35150 | 0,13206 | 0,21300 | 0,26200 | 0,43836 | 0,24814 | 0,69495 |
455 | 0,53497 | 0,36733 | 0,07393 | 0,37310 | 0,13733 | 0,23107 | 0,28281 | 0,44837 | 0,25399 | 0,70890 |
460 | 0,53987 | 0,38621 | 0,07801 | 0,39842 | 0,14467 | 0,25240 | 0,30680 | 0,45536 | 0,25741 | 0,71896 |
465 | 0,54220 | 0,40281 | 0,08318 | 0,42668 | 0,15417 | 0,27660 | 0,33330 | 0,45810 | 0,25724 | 0,72438 |
470 | 0,54344 | 0,41600 | 0,08883 | 0,45565 | 0,16581 | 0,30110 | 0,35940 | 0,45804 | 0,25494 | 0,72576 |
475 | 0,54563 | 0,42493 | 0,09427 | 0,48271 | 0,17902 | 0,32295 | 0,38192 | 0,45745 | 0,25267 | 0,72392 |
480 | 0,55128 | 0,42990 | 0,09914 | 0,50514 | 0,19103 | 0,33970 | 0,39890 | 0,45897 | 0,25277 | 0,71916 |
485 | 0,56200 | 0,43128 | 0,10306 | 0,52064 | 0,19880 | 0,34943 | 0,40878 | 0,46435 | 0,25679 | 0,71161 |
490 | 0,57549 | 0,42890 | 0,10525 | 0,52858 | 0,20027 | 0,35190 | 0,41030 | 0,47144 | 0,26298 | 0,70123 |
495 | 0,58884 | 0,42262 | 0,10508 | 0,52895 | 0,19443 | 0,34737 | 0,40282 | 0,47732 | 0,26902 | 0,68800 |
500 | 0,60070 | 0,41302 | 0,10285 | 0,52250 | 0,18339 | 0,33650 | 0,38790 | 0,47999 | 0,27359 | 0,67187 |
505 | 0,61031 | 0,40101 | 0,09908 | 0,51016 | 0,16987 | 0,32016 | 0,36754 | 0,47816 | 0,27587 | 0,65288 |
510 | 0,61757 | 0,38820 | 0,09414 | 0,49295 | 0,15589 | 0,29980 | 0,34330 | 0,47257 | 0,27606 | 0,63147 |
515 | 0,62184 | 0,37623 | 0,08838 | 0,47185 | 0,14313 | 0,27692 | 0,31661 | 0,46378 | 0,27413 | 0,60796 |
520 | 0,61965 | 0,36636 | 0,08232 | 0,44761 | 0,13275 | 0,25270 | 0,28890 | 0,44970 | 0,26802 | 0,58201 |
525 | 0,60824 | 0,35908 | 0,07644 | 0,42095 | 0,12537 | 0,22820 | 0,26145 | 0,42856 | 0,25609 | 0,55343 |
530 | 0,59038 | 0,35246 | 0,07090 | 0,39281 | 0,12004 | 0,20430 | 0,23510 | 0,40271 | 0,24031 | 0,52327 |
535 | 0,56965 | 0,34451 | 0,06586 | 0,36403 | 0,11552 | 0,18174 | 0,21043 | 0,37520 | 0,22327 | 0,49283 |
540 | 0,54731 | 0,33558 | 0,06169 | 0,33487 | 0,11101 | 0,16090 | 0,18760 | 0,34809 | 0,20640 | 0,46320 |
545 | 0,52399 | 0,32660 | 0,05878 | 0,30556 | 0,10609 | 0,14202 | 0,16666 | 0,32279 | 0,19064 | 0,43523 |
550 | 0,50027 | 0,31870 | 0,05728 | 0,27667 | 0,10157 | 0,12520 | 0,14770 | 0,29914 | 0,17600 | 0,40899 |
555 | 0,47704 | 0,31303 | 0,05732 | 0,24893 | 0,09857 | 0,11054 | 0,13090 | 0,27704 | 0,16260 | 0,38458 |
560 | 0,45660 | 0,31076 | 0,05899 | 0,22344 | 0,09810 | 0,09830 | 0,11670 | 0,25793 | 0,15168 | 0,36303 |
565 | 0,44088 | 0,31238 | 0,06227 | 0,20115 | 0,10068 | 0,08866 | 0,10545 | 0,24313 | 0,14438 | 0,34528 |
570 | 0,42892 | 0,31572 | 0,06670 | 0,18221 | 0,10475 | 0,08130 | 0,09680 | 0,23196 | 0,14004 | 0,33078 |
575 | 0,41930 | 0,31825 | 0,07168 | 0,16643 | 0,10827 | 0,07575 | 0,09021 | 0,22349 | 0,13802 | 0,31880 |
580 | 0,41175 | 0,31870 | 0,07651 | 0,15310 | 0,10922 | 0,07150 | 0,08510 | 0,21784 | 0,13932 | 0,30924 |
585 | 0,40621 | 0,31651 | 0,08049 | 0,14145 | 0,10612 | 0,06811 | 0,08095 | 0,21519 | 0,14481 | 0,30208 |
590 | 0,40242 | 0,31274 | 0,08302 | 0,13099 | 0,09949 | 0,06530 | 0,07740 | 0,21485 | 0,15313 | 0,29698 |
595 | 0,39998 | 0,30881 | 0,08366 | 0,12147 | 0,09047 | 0,06290 | 0,07421 | 0,21593 | 0,16242 | 0,29355 |
600 | 0,39815 | 0,30579 | 0,08262 | 0,11320 | 0,08072 | 0,06090 | 0,07140 | 0,21763 | 0,17116 | 0,29142 |
605 | 0,39634 | 0,30449 | 0,08028 | 0,10657 | 0,07169 | 0,05933 | 0,06907 | 0,21934 | 0,17820 | 0,29027 |
610 | 0,39478 | 0,30480 | 0,07721 | 0,10171 | 0,06355 | 0,05820 | 0,06740 | 0,22104 | 0,18373 | 0,28997 |
615 | 0,39387 | 0,30627 | 0,07397 | 0,09859 | 0,05616 | 0,05751 | 0,06650 | 0,22281 | 0,18816 | 0,29041 |
620 | 0,39388 | 0,30778 | 0,07080 | 0,09675 | 0,04935 | 0,05710 | 0,06610 | 0,22444 | 0,19156 | 0,29121 |
625 | 0,39495 | 0,30843 | 0,06788 | 0,09567 | 0,04295 | 0,05680 | 0,06589 | 0,22571 | 0,19396 | 0,29206 |
630 | 0,39686 | 0,30877 | 0,06539 | 0,09500 | 0,03694 | 0,05660 | 0,06570 | 0,22681 | 0,19558 | 0,29307 |
635 | 0,39943 | 0,30964 | 0,06346 | 0,09454 | 0,03133 | 0,05650 | 0,06547 | 0,22807 | 0,19682 | 0,29450 |
640 | 0,40282 | 0,31175 | 0,06189 | 0,09440 | 0,02631 | 0,05650 | 0,06540 | 0,23021 | 0,19847 | 0,29688 |
645 | 0,40710 | 0,31579 | 0,06055 | 0,09475 | 0,02207 | 0,05658 | 0,06568 | 0,23373 | 0,20117 | 0,30057 |
650 | 0,41175 | 0,32267 | 0,05979 | 0,09577 | 0,01867 | 0,05680 | 0,06630 | 0,23804 | 0,20444 | 0,30502 |
655 | 0,41604 | 0,33330 | 0,05995 | 0,09754 | 0,01613 | 0,05720 | 0,06714 | 0,24224 | 0,20756 | 0,30941 |
660 | 0,41909 | 0,34848 | 0,06109 | 0,09981 | 0,01430 | 0,05770 | 0,06800 | 0,24535 | 0,20980 | 0,31264 |
665 | 0,42028 | 0,36893 | 0,06312 | 0,10231 | 0,01301 | 0,05822 | 0,06869 | 0,24669 | 0,21071 | 0,31392 |
670 | 0,42008 | 0,39515 | 0,06589 | 0,10484 | 0,01211 | 0,05870 | 0,06910 | 0,24669 | 0,21063 | 0,31378 |
675 | 0,41917 | 0,42758 | 0,06936 | 0,10725 | 0,01150 | 0,05910 | 0,06920 | 0,24599 | 0,21003 | 0,31299 |
680 | 0,41780 | 0,46663 | 0,07381 | 0,10932 | 0,01112 | 0,05940 | 0,06910 | 0,24484 | 0,20908 | 0,31182 |
685 | 0,41607 | 0,51216 | 0,07946 | 0,11084 | 0,01094 | 0,05961 | 0,06891 | 0,24338 | 0,20784 | 0,31034 |
690 | 0,41393 | 0,56194 | 0,08592 | 0,11159 | 0,01092 | 0,05970 | 0,06860 | 0,24154 | 0,20630 | 0,30852 |
695 | 0,41127 | 0,61321 | 0,09264 | 0,11151 | 0,01106 | 0,05967 | 0,06815 | 0,23921 | 0,20442 | 0,30629 |
700 | 0,40798 | 0,66321 | 0,09904 | 0,11115 | 0,01132 | 0,05960 | 0,06780 | 0,23629 | 0,20218 | 0,30358 |
705 | 0,40562 | 0,70794 | 0,10694 | 0,11115 | 0,01139 | 0,05960 | 0,06780 | 0,23428 | 0,20051 | 0,30160 |
710 | 0,40289 | 0,74967 | 0,11492 | 0,11115 | 0,01154 | 0,05960 | 0,06780 | 0,23192 | 0,19863 | 0,29933 |
715 | 0,40017 | 0,78723 | 0,12341 | 0,11115 | 0,01169 | 0,05960 | 0,06780 | 0,22958 | 0,19676 | 0,29708 |
720 | 0,39746 | 0,82050 | 0,13244 | 0,11115 | 0,01184 | 0,05960 | 0,06780 | 0,22726 | 0,19491 | 0,29484 |
725 | 0,39475 | 0,84956 | 0,14202 | 0,11115 | 0,01200 | 0,05960 | 0,06780 | 0,22495 | 0,19307 | 0,29260 |
730 | 0,39205 | 0,87463 | 0,15216 | 0,11115 | 0,01216 | 0,05960 | 0,06780 | 0,22267 | 0,19124 | 0,29038 |
735 | 0,38936 | 0,89604 | 0,16290 | 0,11115 | 0,01232 | 0,05960 | 0,06780 | 0,22039 | 0,18942 | 0,28817 |
740 | 0,38667 | 0,91415 | 0,17424 | 0,11115 | 0,01248 | 0,05960 | 0,06780 | 0,21814 | 0,18762 | 0,28597 |
745 | 0,38399 | 0,92936 | 0,18619 | 0,11115 | 0,01265 | 0,05960 | 0,06780 | 0,21590 | 0,18584 | 0,28377 |
750 | 0,38132 | 0,94204 | 0,19876 | 0,11115 | 0,01281 | 0,05960 | 0,06780 | 0,21368 | 0,18406 | 0,28159 |
755 | 0,37865 | 0,95256 | 0,21197 | 0,11115 | 0,01298 | 0,05960 | 0,06780 | 0,21147 | 0,18230 | 0,27942 |
760 | 0,37599 | 0,96125 | 0,22580 | 0,11115 | 0,01315 | 0,05960 | 0,06780 | 0,20928 | 0,18055 | 0,27726 |
765 | 0,37334 | 0,96840 | 0,24026 | 0,11115 | 0,01332 | 0,05960 | 0,06780 | 0,20711 | 0,17882 | 0,27511 |
770 | 0,37070 | 0,97427 | 0,25534 | 0,11115 | 0,01350 | 0,05960 | 0,06780 | 0,20495 | 0,17709 | 0,27296 |
775 | 0,36806 | 0,97907 | 0,27102 | 0,11115 | 0,01368 | 0,05960 | 0,06780 | 0,20282 | 0,17538 | 0,27083 |
780 | 0,36544 | 0,98299 | 0,28730 | 0,11115 | 0,01386 | 0,05960 | 0,06780 | 0,20069 | 0,17369 | 0,26871 |
TCS71 | TCS72 | TCS73 | TCS74 | TCS75 | TCS76 | TCS77 | TCS78 | TCS79 | TCS80 | |
380 | 0,05040 | 0,37756 | 0,16160 | 0,03388 | 0,05090 | 0,28860 | 0,02805 | 0,12947 | 0,56749 | 0,31684 |
385 | 0,05040 | 0,39319 | 0,18016 | 0,03483 | 0,05090 | 0,28860 | 0,03537 | 0,14167 | 0,57857 | 0,34433 |
390 | 0,05040 | 0,40905 | 0,20034 | 0,03581 | 0,05090 | 0,28860 | 0,05422 | 0,15481 | 0,58956 | 0,36972 |
395 | 0,05040 | 0,42509 | 0,22217 | 0,03682 | 0,05090 | 0,28860 | 0,07830 | 0,16893 | 0,60046 | 0,39599 |
400 | 0,05040 | 0,44022 | 0,23998 | 0,03783 | 0,05090 | 0,28860 | 0,10593 | 0,18120 | 0,60662 | 0,42314 |
405 | 0,05485 | 0,45815 | 0,27370 | 0,03893 | 0,05866 | 0,31111 | 0,13046 | 0,20172 | 0,62422 | 0,45025 |
410 | 0,06170 | 0,47443 | 0,29807 | 0,04001 | 0,06910 | 0,33960 | 0,15591 | 0,21754 | 0,63353 | 0,47575 |
415 | 0,06943 | 0,48877 | 0,32072 | 0,04112 | 0,07815 | 0,36066 | 0,18140 | 0,23408 | 0,63805 | 0,49823 |
420 | 0,07860 | 0,50091 | 0,34930 | 0,04230 | 0,08670 | 0,37770 | 0,20586 | 0,25676 | 0,64127 | 0,51751 |
425 | 0,09002 | 0,51073 | 0,38927 | 0,04360 | 0,09650 | 0,39675 | 0,22735 | 0,28940 | 0,64576 | 0,53377 |
430 | 0,10340 | 0,51874 | 0,43737 | 0,04508 | 0,10760 | 0,41750 | 0,24649 | 0,32944 | 0,65031 | 0,54733 |
435 | 0,11814 | 0,52556 | 0,48744 | 0,04678 | 0,11962 | 0,43808 | 0,26234 | 0,37206 | 0,65295 | 0,55847 |
440 | 0,13360 | 0,53162 | 0,53051 | 0,04885 | 0,13220 | 0,45680 | 0,27425 | 0,40977 | 0,65239 | 0,56720 |
445 | 0,14925 | 0,53716 | 0,55904 | 0,05133 | 0,14512 | 0,47192 | 0,28313 | 0,43567 | 0,64837 | 0,57340 |
450 | 0,16520 | 0,54203 | 0,57419 | 0,05391 | 0,15870 | 0,48120 | 0,29062 | 0,44790 | 0,64415 | 0,57683 |
455 | 0,18141 | 0,54598 | 0,57916 | 0,05623 | 0,17307 | 0,48293 | 0,29480 | 0,44654 | 0,64297 | 0,57723 |
460 | 0,19670 | 0,54903 | 0,57668 | 0,05798 | 0,18690 | 0,47790 | 0,29517 | 0,43439 | 0,64445 | 0,57441 |
465 | 0,20953 | 0,55122 | 0,56907 | 0,05898 | 0,19843 | 0,46766 | 0,29327 | 0,41472 | 0,64684 | 0,56815 |
470 | 0,21820 | 0,55254 | 0,55741 | 0,05937 | 0,20550 | 0,45430 | 0,28875 | 0,39001 | 0,64673 | 0,55801 |
475 | 0,22140 | 0,55300 | 0,54267 | 0,05937 | 0,20636 | 0,43959 | 0,28176 | 0,36265 | 0,64119 | 0,54360 |
480 | 0,21950 | 0,55264 | 0,52663 | 0,05927 | 0,20120 | 0,42360 | 0,27334 | 0,33550 | 0,63104 | 0,52497 |
485 | 0,21333 | 0,55149 | 0,51095 | 0,05923 | 0,19094 | 0,40603 | 0,26346 | 0,31099 | 0,61778 | 0,50256 |
490 | 0,20390 | 0,54955 | 0,49575 | 0,05888 | 0,17740 | 0,38690 | 0,25141 | 0,28943 | 0,60176 | 0,47780 |
495 | 0,19206 | 0,54681 | 0,48059 | 0,05785 | 0,16234 | 0,36621 | 0,23809 | 0,27027 | 0,58330 | 0,45229 |
500 | 0,17800 | 0,54326 | 0,46418 | 0,05629 | 0,14650 | 0,34350 | 0,22535 | 0,25170 | 0,56373 | 0,42720 |
505 | 0,16197 | 0,53894 | 0,44544 | 0,05448 | 0,13040 | 0,31848 | 0,21297 | 0,23219 | 0,54443 | 0,40344 |
510 | 0,14520 | 0,53389 | 0,42486 | 0,05282 | 0,11480 | 0,29190 | 0,20098 | 0,21258 | 0,52600 | 0,38140 |
515 | 0,12916 | 0,52809 | 0,40323 | 0,05164 | 0,10054 | 0,26503 | 0,18934 | 0,19421 | 0,50863 | 0,36127 |
520 | 0,11530 | 0,52121 | 0,38078 | 0,05083 | 0,08860 | 0,24020 | 0,17750 | 0,17803 | 0,49145 | 0,34289 |
525 | 0,10467 | 0,51298 | 0,35769 | 0,05013 | 0,07973 | 0,21929 | 0,16598 | 0,16458 | 0,47370 | 0,32612 |
530 | 0,09690 | 0,50390 | 0,33451 | 0,04915 | 0,07360 | 0,20150 | 0,15478 | 0,15330 | 0,45601 | 0,31138 |
535 | 0,09100 | 0,49461 | 0,31157 | 0,04764 | 0,06947 | 0,18521 | 0,14464 | 0,14323 | 0,43928 | 0,29903 |
540 | 0,08500 | 0,48566 | 0,28794 | 0,04597 | 0,06600 | 0,16840 | 0,13534 | 0,13285 | 0,42404 | 0,28877 |
545 | 0,07718 | 0,47742 | 0,26281 | 0,04463 | 0,06197 | 0,14935 | 0,12632 | 0,12098 | 0,41066 | 0,28021 |
550 | 0,06770 | 0,46979 | 0,23701 | 0,04398 | 0,05720 | 0,12800 | 0,11734 | 0,10823 | 0,39922 | 0,27333 |
555 | 0,05734 | 0,46263 | 0,21187 | 0,04429 | 0,05188 | 0,10516 | 0,10870 | 0,09570 | 0,38961 | 0,26820 |
560 | 0,04730 | 0,45609 | 0,18905 | 0,04547 | 0,04670 | 0,08340 | 0,10113 | 0,08469 | 0,38145 | 0,26479 |
565 | 0,03901 | 0,45034 | 0,16994 | 0,04724 | 0,04255 | 0,06563 | 0,09491 | 0,07633 | 0,37420 | 0,26307 |
570 | 0,03430 | 0,44537 | 0,15459 | 0,04885 | 0,04050 | 0,05420 | 0,08967 | 0,07069 | 0,36715 | 0,26304 |
575 | 0,03478 | 0,44115 | 0,14279 | 0,04958 | 0,04145 | 0,05104 | 0,08526 | 0,06766 | 0,35995 | 0,26462 |
580 | 0,04080 | 0,43795 | 0,13464 | 0,04934 | 0,04540 | 0,05680 | 0,08169 | 0,06722 | 0,35394 | 0,26728 |
585 | 0,05134 | 0,43598 | 0,13012 | 0,04829 | 0,05156 | 0,07068 | 0,07914 | 0,06932 | 0,35060 | 0,27052 |
590 | 0,06120 | 0,43496 | 0,12858 | 0,04686 | 0,05680 | 0,08720 | 0,07764 | 0,07348 | 0,35017 | 0,27437 |
595 | 0,06540 | 0,43460 | 0,12914 | 0,04551 | 0,05823 | 0,10057 | 0,07707 | 0,07900 | 0,35247 | 0,27890 |
600 | 0,06410 | 0,43496 | 0,13086 | 0,04448 | 0,05620 | 0,10850 | 0,07730 | 0,08479 | 0,35672 | 0,28390 |
605 | 0,05901 | 0,43610 | 0,13275 | 0,04393 | 0,05198 | 0,11045 | 0,07825 | 0,08966 | 0,36207 | 0,28921 |
610 | 0,05300 | 0,43774 | 0,13364 | 0,04378 | 0,04730 | 0,10940 | 0,08023 | 0,09254 | 0,36794 | 0,29508 |
615 | 0,04859 | 0,43955 | 0,13271 | 0,04390 | 0,04369 | 0,10857 | 0,08357 | 0,09274 | 0,37408 | 0,30178 |
620 | 0,04590 | 0,44114 | 0,13047 | 0,04408 | 0,04130 | 0,10870 | 0,08886 | 0,09095 | 0,38115 | 0,30938 |
625 | 0,04443 | 0,44227 | 0,12777 | 0,04420 | 0,03997 | 0,10986 | 0,09681 | 0,08820 | 0,39035 | 0,31796 |
630 | 0,04370 | 0,44310 | 0,12550 | 0,04428 | 0,03950 | 0,11190 | 0,10784 | 0,08559 | 0,40398 | 0,32802 |
635 | 0,04331 | 0,44397 | 0,12447 | 0,04442 | 0,03970 | 0,11481 | 0,12216 | 0,08415 | 0,42415 | 0,34004 |
640 | 0,04310 | 0,44537 | 0,12520 | 0,04478 | 0,04030 | 0,11940 | 0,13992 | 0,08450 | 0,45114 | 0,35416 |
645 | 0,04314 | 0,44767 | 0,12807 | 0,04555 | 0,04114 | 0,12646 | 0,16133 | 0,08701 | 0,48460 | 0,37048 |
650 | 0,04410 | 0,45052 | 0,13295 | 0,04706 | 0,04260 | 0,13580 | 0,18574 | 0,09155 | 0,52342 | 0,38943 |
655 | 0,04681 | 0,45332 | 0,13949 | 0,04965 | 0,04518 | 0,14672 | 0,21193 | 0,09774 | 0,56583 | 0,41133 |
660 | 0,05200 | 0,45526 | 0,14695 | 0,05351 | 0,04930 | 0,15740 | 0,23877 | 0,10495 | 0,60811 | 0,43586 |
665 | 0,06016 | 0,45577 | 0,15462 | 0,05890 | 0,05525 | 0,16579 | 0,26496 | 0,11256 | 0,64650 | 0,46260 |
670 | 0,07080 | 0,45536 | 0,16234 | 0,06642 | 0,06270 | 0,17020 | 0,28852 | 0,12024 | 0,67910 | 0,49134 |
675 | 0,08316 | 0,45475 | 0,17089 | 0,07676 | 0,07116 | 0,16964 | 0,30737 | 0,12850 | 0,70496 | 0,52196 |
680 | 0,09630 | 0,45433 | 0,18428 | 0,09035 | 0,08000 | 0,16570 | 0,32249 | 0,14079 | 0,72516 | 0,55435 |
685 | 0,10963 | 0,45436 | 0,20617 | 0,10762 | 0,08885 | 0,15994 | 0,33247 | 0,16039 | 0,74134 | 0,58815 |
690 | 0,12420 | 0,45475 | 0,23561 | 0,12907 | 0,09840 | 0,15120 | 0,33782 | 0,18676 | 0,75525 | 0,62191 |
695 | 0,14004 | 0,45534 | 0,27055 | 0,15524 | 0,10867 | 0,13917 | 0,33897 | 0,21842 | 0,76868 | 0,65419 |
700 | 0,15140 | 0,45598 | 0,30889 | 0,18665 | 0,11600 | 0,12970 | 0,33667 | 0,25388 | 0,78344 | 0,68463 |
705 | 0,15140 | 0,45652 | 0,34890 | 0,22083 | 0,11600 | 0,12970 | 0,33133 | 0,29220 | 0,79525 | 0,71299 |
710 | 0,15140 | 0,45709 | 0,39166 | 0,26013 | 0,11600 | 0,12970 | 0,32425 | 0,33405 | 0,80745 | 0,73843 |
715 | 0,15140 | 0,45767 | 0,43615 | 0,30371 | 0,11600 | 0,12970 | 0,31788 | 0,37868 | 0,81908 | 0,76029 |
720 | 0,15140 | 0,45825 | 0,48169 | 0,35111 | 0,11600 | 0,12970 | 0,31165 | 0,42547 | 0,83016 | 0,77927 |
725 | 0,15140 | 0,45883 | 0,52754 | 0,40165 | 0,11600 | 0,12970 | 0,30494 | 0,47364 | 0,84069 | 0,79615 |
730 | 0,15140 | 0,45941 | 0,57293 | 0,45437 | 0,11600 | 0,12970 | 0,29854 | 0,52230 | 0,85069 | 0,81061 |
735 | 0,15140 | 0,45998 | 0,61712 | 0,50813 | 0,11600 | 0,12970 | 0,29222 | 0,57054 | 0,86016 | 0,82241 |
740 | 0,15140 | 0,46056 | 0,65946 | 0,56171 | 0,11600 | 0,12970 | 0,28597 | 0,61747 | 0,86913 | 0,83267 |
745 | 0,15140 | 0,46114 | 0,69940 | 0,61388 | 0,11600 | 0,12970 | 0,27981 | 0,66232 | 0,87760 | 0,84211 |
750 | 0,15140 | 0,46172 | 0,73652 | 0,66357 | 0,11600 | 0,12970 | 0,27373 | 0,70442 | 0,88559 | 0,84839 |
755 | 0,15140 | 0,46230 | 0,77057 | 0,70988 | 0,11600 | 0,12970 | 0,26774 | 0,74331 | 0,89313 | 0,84957 |
760 | 0,15140 | 0,46288 | 0,80140 | 0,75220 | 0,11600 | 0,12970 | 0,26182 | 0,77869 | 0,90023 | 0,84839 |
765 | 0,15140 | 0,46346 | 0,82900 | 0,79016 | 0,11600 | 0,12970 | 0,25589 | 0,81043 | 0,90690 | 0,84800 |
770 | 0,15140 | 0,46404 | 0,85348 | 0,82368 | 0,11600 | 0,12970 | 0,25007 | 0,83857 | 0,91317 | 0,84839 |
775 | 0,15140 | 0,46462 | 0,87497 | 0,85284 | 0,11600 | 0,12970 | 0,24437 | 0,86323 | 0,91906 | 0,84878 |
780 | 0,15140 | 0,46519 | 0,89371 | 0,87789 | 0,11600 | 0,12970 | 0,23878 | 0,88465 | 0,92458 | 0,84839 |
TCS81 | TCS82 | TCS83 | TCS84 | TCS85 | TCS86 | TCS87 | TCS88 | TCS89 | TCS90 | |
380 | 0,12067 | 0,73650 | 0,59570 | 0,03375 | 0,01425 | 0,50252 | 0,10613 | 0,42640 | 0,07275 | 0,26170 |
385 | 0,17602 | 0,73650 | 0,59570 | 0,03555 | 0,01292 | 0,51400 | 0,11586 | 0,44033 | 0,08208 | 0,26170 |
390 | 0,23298 | 0,73650 | 0,59570 | 0,03745 | 0,01731 | 0,52546 | 0,12635 | 0,45435 | 0,09249 | 0,26170 |
395 | 0,27447 | 0,73650 | 0,59570 | 0,03943 | 0,02444 | 0,53689 | 0,13764 | 0,46845 | 0,10408 | 0,26170 |
400 | 0,30442 | 0,73650 | 0,59570 | 0,04138 | 0,03831 | 0,54636 | 0,14596 | 0,47490 | 0,11546 | 0,26170 |
405 | 0,32357 | 0,74377 | 0,60396 | 0,04379 | 0,04940 | 0,56056 | 0,16476 | 0,50054 | 0,13191 | 0,27271 |
410 | 0,33682 | 0,75320 | 0,61320 | 0,04605 | 0,06324 | 0,57138 | 0,17753 | 0,51283 | 0,14757 | 0,28380 |
415 | 0,34501 | 0,76059 | 0,61739 | 0,04830 | 0,07955 | 0,57981 | 0,18653 | 0,51584 | 0,16011 | 0,28598 |
420 | 0,34763 | 0,76660 | 0,61800 | 0,05071 | 0,09523 | 0,58686 | 0,19401 | 0,51363 | 0,16724 | 0,28220 |
425 | 0,35069 | 0,77259 | 0,61762 | 0,05334 | 0,11233 | 0,59284 | 0,20193 | 0,50938 | 0,16828 | 0,27711 |
430 | 0,35500 | 0,77790 | 0,61590 | 0,05597 | 0,13166 | 0,59520 | 0,21099 | 0,50280 | 0,16927 | 0,27030 |
435 | 0,35271 | 0,78171 | 0,61213 | 0,05829 | 0,14950 | 0,59176 | 0,22114 | 0,49313 | 0,17537 | 0,26063 |
440 | 0,34519 | 0,78450 | 0,60710 | 0,06004 | 0,15820 | 0,58448 | 0,23055 | 0,48116 | 0,18160 | 0,24900 |
445 | 0,33814 | 0,78682 | 0,60152 | 0,06105 | 0,16275 | 0,57575 | 0,23700 | 0,46804 | 0,18230 | 0,23663 |
450 | 0,33335 | 0,78820 | 0,59440 | 0,06153 | 0,17107 | 0,56542 | 0,23849 | 0,45465 | 0,17906 | 0,22390 |
455 | 0,32585 | 0,78804 | 0,58478 | 0,06171 | 0,17496 | 0,55287 | 0,23384 | 0,44164 | 0,17458 | 0,21107 |
460 | 0,31343 | 0,78620 | 0,57360 | 0,06143 | 0,17395 | 0,53821 | 0,22469 | 0,42903 | 0,16856 | 0,19870 |
465 | 0,30296 | 0,78261 | 0,56173 | 0,06054 | 0,17370 | 0,52174 | 0,21322 | 0,41662 | 0,16017 | 0,18718 |
470 | 0,29343 | 0,77710 | 0,54790 | 0,05935 | 0,17216 | 0,50366 | 0,20076 | 0,40401 | 0,14940 | 0,17590 |
475 | 0,27907 | 0,76964 | 0,53111 | 0,05833 | 0,16727 | 0,48437 | 0,18829 | 0,39068 | 0,13679 | 0,16417 |
480 | 0,26179 | 0,76100 | 0,51360 | 0,05816 | 0,16007 | 0,46484 | 0,17614 | 0,37591 | 0,12423 | 0,15200 |
485 | 0,24644 | 0,75186 | 0,49766 | 0,05926 | 0,15576 | 0,44597 | 0,16448 | 0,35912 | 0,11336 | 0,13979 |
490 | 0,23007 | 0,74180 | 0,48270 | 0,06103 | 0,14927 | 0,42761 | 0,15340 | 0,34056 | 0,10344 | 0,12870 |
495 | 0,21652 | 0,73044 | 0,46771 | 0,06267 | 0,14321 | 0,40934 | 0,14290 | 0,32103 | 0,09358 | 0,11977 |
500 | 0,20356 | 0,71880 | 0,45300 | 0,06351 | 0,13436 | 0,39068 | 0,13255 | 0,30254 | 0,08459 | 0,11260 |
505 | 0,18994 | 0,70796 | 0,43916 | 0,06315 | 0,12644 | 0,37145 | 0,12197 | 0,28662 | 0,07741 | 0,10642 |
510 | 0,17481 | 0,69790 | 0,42670 | 0,06193 | 0,12123 | 0,35265 | 0,11120 | 0,27176 | 0,07195 | 0,10020 |
515 | 0,15838 | 0,68834 | 0,41592 | 0,06027 | 0,11599 | 0,33549 | 0,10054 | 0,25598 | 0,06776 | 0,09321 |
520 | 0,14046 | 0,67900 | 0,40640 | 0,05806 | 0,11004 | 0,32078 | 0,09085 | 0,23869 | 0,06420 | 0,08600 |
525 | 0,12315 | 0,66980 | 0,39769 | 0,05512 | 0,10400 | 0,30890 | 0,08296 | 0,22042 | 0,06078 | 0,07945 |
530 | 0,11069 | 0,66150 | 0,39000 | 0,05170 | 0,09716 | 0,29884 | 0,07705 | 0,20493 | 0,05768 | 0,07430 |
535 | 0,10618 | 0,65484 | 0,38378 | 0,04814 | 0,09359 | 0,28927 | 0,07288 | 0,19580 | 0,05526 | 0,07114 |
540 | 0,10310 | 0,64970 | 0,37970 | 0,04456 | 0,09213 | 0,27879 | 0,06921 | 0,19252 | 0,05381 | 0,06990 |
545 | 0,09997 | 0,64587 | 0,37817 | 0,04107 | 0,09261 | 0,26664 | 0,06482 | 0,19315 | 0,05358 | 0,07019 |
550 | 0,09749 | 0,64380 | 0,37830 | 0,03781 | 0,09066 | 0,25456 | 0,05957 | 0,19401 | 0,05483 | 0,07090 |
555 | 0,09121 | 0,64381 | 0,37928 | 0,03496 | 0,08902 | 0,24483 | 0,05375 | 0,19190 | 0,05763 | 0,07109 |
560 | 0,08211 | 0,64510 | 0,38180 | 0,03285 | 0,08907 | 0,23947 | 0,04826 | 0,18706 | 0,06145 | 0,07110 |
565 | 0,07440 | 0,64674 | 0,38643 | 0,03177 | 0,08792 | 0,23969 | 0,04403 | 0,18151 | 0,06564 | 0,07175 |
570 | 0,06799 | 0,64830 | 0,39180 | 0,03156 | 0,08794 | 0,24364 | 0,04140 | 0,18071 | 0,06961 | 0,07450 |
575 | 0,06738 | 0,64956 | 0,39639 | 0,03212 | 0,08588 | 0,24875 | 0,04111 | 0,18983 | 0,07304 | 0,08084 |
580 | 0,07171 | 0,65070 | 0,40010 | 0,03394 | 0,08463 | 0,25258 | 0,04617 | 0,20940 | 0,07664 | 0,09190 |
585 | 0,08124 | 0,65200 | 0,40309 | 0,03742 | 0,08725 | 0,25331 | 0,05927 | 0,23795 | 0,08120 | 0,10811 |
590 | 0,09024 | 0,65380 | 0,40520 | 0,04208 | 0,09088 | 0,25139 | 0,07933 | 0,27076 | 0,08693 | 0,12760 |
595 | 0,09630 | 0,65629 | 0,40630 | 0,04716 | 0,09758 | 0,24833 | 0,10352 | 0,30302 | 0,09386 | 0,14791 |
600 | 0,10233 | 0,65910 | 0,40670 | 0,05170 | 0,10274 | 0,24771 | 0,12550 | 0,33272 | 0,10181 | 0,16650 |
605 | 0,10517 | 0,66177 | 0,40672 | 0,05496 | 0,10874 | 0,25339 | 0,13984 | 0,35883 | 0,11045 | 0,18130 |
610 | 0,10010 | 0,66390 | 0,40620 | 0,05726 | 0,10959 | 0,26836 | 0,14804 | 0,38147 | 0,11913 | 0,19230 |
615 | 0,09536 | 0,66528 | 0,40499 | 0,05907 | 0,11171 | 0,29491 | 0,15301 | 0,40076 | 0,12714 | 0,20011 |
620 | 0,09978 | 0,66630 | 0,40330 | 0,06044 | 0,11603 | 0,33339 | 0,15638 | 0,41563 | 0,13391 | 0,20570 |
625 | 0,11368 | 0,66737 | 0,40177 | 0,06132 | 0,12276 | 0,38325 | 0,15927 | 0,42508 | 0,13922 | 0,20999 |
630 | 0,13297 | 0,66840 | 0,40240 | 0,06183 | 0,12916 | 0,44221 | 0,16204 | 0,42953 | 0,14390 | 0,21340 |
635 | 0,16167 | 0,66966 | 0,40703 | 0,06214 | 0,13826 | 0,50670 | 0,16492 | 0,42990 | 0,14909 | 0,21626 |
640 | 0,19616 | 0,67350 | 0,41560 | 0,06252 | 0,14464 | 0,56969 | 0,16820 | 0,42774 | 0,15603 | 0,21890 |
645 | 0,23898 | 0,68201 | 0,42779 | 0,06316 | 0,15049 | 0,62438 | 0,17215 | 0,42497 | 0,16583 | 0,22164 |
650 | 0,29173 | 0,69420 | 0,44420 | 0,06391 | 0,16785 | 0,66837 | 0,17684 | 0,42427 | 0,17906 | 0,22460 |
655 | 0,34345 | 0,70871 | 0,46526 | 0,06457 | 0,19265 | 0,70087 | 0,18200 | 0,42833 | 0,19607 | 0,22768 |
660 | 0,37835 | 0,72580 | 0,48980 | 0,06500 | 0,20784 | 0,72318 | 0,18627 | 0,43926 | 0,21697 | 0,23010 |
665 | 0,40403 | 0,74588 | 0,51664 | 0,06512 | 0,22794 | 0,73733 | 0,18830 | 0,45877 | 0,24170 | 0,23137 |
670 | 0,42472 | 0,76840 | 0,54610 | 0,06500 | 0,25255 | 0,74601 | 0,18796 | 0,48761 | 0,26986 | 0,23290 |
675 | 0,43600 | 0,79213 | 0,57781 | 0,06478 | 0,26974 | 0,75185 | 0,18571 | 0,52562 | 0,30107 | 0,23606 |
680 | 0,44674 | 0,81420 | 0,60700 | 0,06451 | 0,28737 | 0,75644 | 0,18319 | 0,56992 | 0,33549 | 0,24010 |
685 | 0,45591 | 0,83253 | 0,63023 | 0,06423 | 0,30481 | 0,76102 | 0,18185 | 0,61695 | 0,37309 | 0,24393 |
690 | 0,46076 | 0,84990 | 0,65360 | 0,06391 | 0,31630 | 0,76637 | 0,18120 | 0,66286 | 0,41253 | 0,24720 |
695 | 0,46165 | 0,86826 | 0,68162 | 0,06349 | 0,32417 | 0,77313 | 0,18026 | 0,70375 | 0,45219 | 0,24973 |
700 | 0,46531 | 0,88140 | 0,70290 | 0,06292 | 0,33878 | 0,78195 | 0,17803 | 0,73574 | 0,49039 | 0,25120 |
705 | 0,47145 | 0,88140 | 0,70290 | 0,06257 | 0,34908 | 0,78747 | 0,17751 | 0,77275 | 0,53155 | 0,25120 |
710 | 0,47513 | 0,88140 | 0,70290 | 0,06214 | 0,36054 | 0,79409 | 0,17632 | 0,80334 | 0,57117 | 0,25120 |
715 | 0,47881 | 0,88140 | 0,70290 | 0,06171 | 0,37215 | 0,80056 | 0,17513 | 0,83071 | 0,60989 | 0,25120 |
720 | 0,48250 | 0,88140 | 0,70290 | 0,06128 | 0,38392 | 0,80687 | 0,17395 | 0,85496 | 0,64728 | 0,25120 |
725 | 0,48618 | 0,88140 | 0,70290 | 0,06085 | 0,39582 | 0,81303 | 0,17278 | 0,87625 | 0,68294 | 0,25120 |
730 | 0,48987 | 0,88140 | 0,70290 | 0,06043 | 0,40785 | 0,81904 | 0,17161 | 0,89481 | 0,71658 | 0,25120 |
735 | 0,49356 | 0,88140 | 0,70290 | 0,06001 | 0,41999 | 0,82490 | 0,17045 | 0,91086 | 0,74797 | 0,25120 |
740 | 0,49725 | 0,88140 | 0,70290 | 0,05959 | 0,43223 | 0,83060 | 0,16929 | 0,92467 | 0,77696 | 0,25120 |
745 | 0,50094 | 0,88140 | 0,70290 | 0,05918 | 0,44455 | 0,83616 | 0,16814 | 0,93649 | 0,80350 | 0,25120 |
750 | 0,50463 | 0,88140 | 0,70290 | 0,05877 | 0,45694 | 0,84157 | 0,16700 | 0,94656 | 0,82757 | 0,25120 |
755 | 0,50832 | 0,88140 | 0,70290 | 0,05836 | 0,46938 | 0,84683 | 0,16586 | 0,95511 | 0,84925 | 0,25120 |
760 | 0,51201 | 0,88140 | 0,70290 | 0,05795 | 0,48186 | 0,85195 | 0,16473 | 0,96235 | 0,86864 | 0,25120 |
765 | 0,51570 | 0,88140 | 0,70290 | 0,05755 | 0,49436 | 0,85693 | 0,16361 | 0,96846 | 0,88587 | 0,25120 |
770 | 0,51938 | 0,88140 | 0,70290 | 0,05715 | 0,50687 | 0,86177 | 0,16249 | 0,97360 | 0,90110 | 0,25120 |
775 | 0,52307 | 0,88140 | 0,70290 | 0,05675 | 0,51938 | 0,86647 | 0,16138 | 0,97793 | 0,91449 | 0,25120 |
780 | 0,52675 | 0,88140 | 0,70290 | 0,05635 | 0,53185 | 0,87103 | 0,16027 | 0,98156 | 0,92621 | 0,25120 |
TCS91 | TCS92 | TCS93 | TCS94 | TCS95 | TCS96 | TCS97 | TCS98 | TCS99 | |
380 | 0,02966 | 0,00526 | 0,23077 | 0,06102 | 0,07372 | 0,33851 | 0,17660 | 0,31040 | 0,20920 |
385 | 0,03379 | 0,02448 | 0,24352 | 0,06701 | 0,09065 | 0,36145 | 0,17660 | 0,31040 | 0,20920 |
390 | 0,04777 | 0,05165 | 0,25636 | 0,07354 | 0,11100 | 0,38504 | 0,17660 | 0,31040 | 0,20920 |
395 | 0,07917 | 0,07373 | 0,26920 | 0,08065 | 0,13525 | 0,40918 | 0,17660 | 0,31040 | 0,20920 |
400 | 0,13075 | 0,0967 | 0,28195 | 0,08810 | 0,16428 | 0,43394 | 0,17660 | 0,31040 | 0,20920 |
405 | 0,17691 | 0,12048 | 0,29460 | 0,09694 | 0,19678 | 0,45859 | 0,19451 | 0,32028 | 0,22044 |
410 | 0,22905 | 0,14705 | 0,30754 | 0,10607 | 0,23541 | 0,48408 | 0,21470 | 0,33277 | 0,23190 |
415 | 0,28446 | 0,17355 | 0,32130 | 0,11496 | 0,27695 | 0,50808 | 0,22438 | 0,34184 | 0,23457 |
420 | 0,34279 | 0,19903 | 0,33662 | 0,12312 | 0,31816 | 0,52830 | 0,22750 | 0,34836 | 0,23160 |
425 | 0,40110 | 0,22337 | 0,35357 | 0,13016 | 0,35643 | 0,54340 | 0,23063 | 0,35424 | 0,22794 |
430 | 0,45479 | 0,24497 | 0,36925 | 0,13629 | 0,39144 | 0,55592 | 0,23420 | 0,35855 | 0,22340 |
435 | 0,50150 | 0,26321 | 0,38105 | 0,14162 | 0,42267 | 0,56810 | 0,23707 | 0,35975 | 0,21695 |
440 | 0,53963 | 0,27932 | 0,39054 | 0,14547 | 0,44627 | 0,57702 | 0,23810 | 0,35650 | 0,20920 |
445 | 0,56762 | 0,29203 | 0,39975 | 0,14718 | 0,45905 | 0,57960 | 0,23625 | 0,34789 | 0,20100 |
450 | 0,58708 | 0,2999 | 0,40839 | 0,14700 | 0,46390 | 0,57732 | 0,23090 | 0,33440 | 0,19260 |
455 | 0,60061 | 0,3027 | 0,41539 | 0,14528 | 0,46464 | 0,57245 | 0,22182 | 0,31699 | 0,18414 |
460 | 0,60850 | 0,30154 | 0,41877 | 0,14180 | 0,46288 | 0,56571 | 0,20980 | 0,29728 | 0,17580 |
465 | 0,61064 | 0,29826 | 0,41719 | 0,13637 | 0,45926 | 0,55731 | 0,19595 | 0,27687 | 0,16773 |
470 | 0,60879 | 0,29386 | 0,41283 | 0,12955 | 0,45279 | 0,54695 | 0,18170 | 0,25673 | 0,15980 |
475 | 0,60406 | 0,28892 | 0,40771 | 0,12194 | 0,44269 | 0,53443 | 0,16814 | 0,23768 | 0,15183 |
480 | 0,59734 | 0,28247 | 0,39971 | 0,11362 | 0,43067 | 0,52046 | 0,15480 | 0,22049 | 0,14380 |
485 | 0,59009 | 0,27445 | 0,38682 | 0,10476 | 0,41862 | 0,50593 | 0,14093 | 0,20561 | 0,13581 |
490 | 0,58275 | 0,26514 | 0,37157 | 0,09637 | 0,40662 | 0,49141 | 0,12640 | 0,19230 | 0,12840 |
495 | 0,57511 | 0,25488 | 0,35700 | 0,08937 | 0,39437 | 0,47729 | 0,11163 | 0,17970 | 0,12204 |
500 | 0,56692 | 0,24532 | 0,34356 | 0,08341 | 0,38166 | 0,46359 | 0,09880 | 0,16765 | 0,11650 |
505 | 0,55949 | 0,23679 | 0,33108 | 0,07795 | 0,36832 | 0,45025 | 0,08993 | 0,15642 | 0,11137 |
510 | 0,55297 | 0,22756 | 0,31952 | 0,07299 | 0,35445 | 0,43720 | 0,08480 | 0,14727 | 0,10610 |
515 | 0,54597 | 0,21696 | 0,30897 | 0,06865 | 0,34032 | 0,42459 | 0,08234 | 0,14136 | 0,10032 |
520 | 0,53793 | 0,20634 | 0,30003 | 0,06493 | 0,32703 | 0,41355 | 0,08030 | 0,13849 | 0,09440 |
525 | 0,52943 | 0,19676 | 0,29316 | 0,06185 | 0,31562 | 0,40517 | 0,07659 | 0,13788 | 0,08894 |
530 | 0,52207 | 0,18816 | 0,28788 | 0,05952 | 0,30624 | 0,39949 | 0,07100 | 0,13781 | 0,08470 |
535 | 0,51669 | 0,18045 | 0,28365 | 0,05800 | 0,29880 | 0,39625 | 0,06414 | 0,13679 | 0,08227 |
540 | 0,51244 | 0,1734 | 0,28066 | 0,05727 | 0,29299 | 0,39511 | 0,05820 | 0,13518 | 0,08150 |
545 | 0,50807 | 0,16725 | 0,27914 | 0,05727 | 0,28848 | 0,39575 | 0,05623 | 0,13405 | 0,08193 |
550 | 0,50371 | 0,16263 | 0,27880 | 0,05788 | 0,28494 | 0,39816 | 0,06330 | 0,13543 | 0,08270 |
555 | 0,50097 | 0,16 | 0,27935 | 0,05896 | 0,28227 | 0,40244 | 0,08396 | 0,14163 | 0,08309 |
560 | 0,50109 | 0,15893 | 0,28107 | 0,06033 | 0,28117 | 0,40897 | 0,11870 | 0,15519 | 0,08340 |
565 | 0,50342 | 0,15868 | 0,28419 | 0,06187 | 0,28238 | 0,41800 | 0,16498 | 0,17835 | 0,08441 |
570 | 0,50601 | 0,15918 | 0,28827 | 0,06370 | 0,28596 | 0,42915 | 0,21210 | 0,21210 | 0,08770 |
575 | 0,50809 | 0,16048 | 0,29295 | 0,06599 | 0,29206 | 0,44206 | 0,24927 | 0,25629 | 0,09508 |
580 | 0,51072 | 0,16283 | 0,29889 | 0,06891 | 0,30186 | 0,45737 | 0,27350 | 0,30765 | 0,10830 |
585 | 0,51513 | 0,16661 | 0,30683 | 0,07264 | 0,31662 | 0,47574 | 0,28466 | 0,36205 | 0,12914 |
590 | 0,52154 | 0,17222 | 0,31670 | 0,07748 | 0,33692 | 0,49692 | 0,28610 | 0,41520 | 0,15950 |
595 | 0,52925 | 0,18041 | 0,32832 | 0,08381 | 0,36293 | 0,52053 | 0,28181 | 0,46276 | 0,20020 |
600 | 0,53705 | 0,19233 | 0,34189 | 0,09218 | 0,39399 | 0,54655 | 0,27470 | 0,50047 | 0,24750 |
605 | 0,54511 | 0,20953 | 0,35764 | 0,10311 | 0,42915 | 0,57500 | 0,26721 | 0,52541 | 0,29719 |
610 | 0,55458 | 0,2335 | 0,37558 | 0,11679 | 0,46746 | 0,60596 | 0,26090 | 0,54006 | 0,34770 |
615 | 0,56537 | 0,26384 | 0,39567 | 0,13341 | 0,50750 | 0,63909 | 0,25685 | 0,54796 | 0,39782 |
620 | 0,57661 | 0,2985 | 0,41783 | 0,15364 | 0,54614 | 0,67241 | 0,25500 | 0,55154 | 0,44510 |
625 | 0,58749 | 0,33518 | 0,44204 | 0,17791 | 0,58068 | 0,70387 | 0,25496 | 0,55303 | 0,48712 |
630 | 0,59586 | 0,37373 | 0,46840 | 0,20530 | 0,61187 | 0,73294 | 0,25620 | 0,55484 | 0,52280 |
635 | 0,60146 | 0,41399 | 0,49679 | 0,23477 | 0,64119 | 0,75943 | 0,25835 | 0,55912 | 0,55159 |
640 | 0,60694 | 0,45456 | 0,52606 | 0,26624 | 0,66965 | 0,78318 | 0,26200 | 0,56677 | 0,57370 |
645 | 0,61324 | 0,49236 | 0,55502 | 0,29975 | 0,69796 | 0,80405 | 0,26778 | 0,57838 | 0,58975 |
650 | 0,61886 | 0,52439 | 0,58337 | 0,33484 | 0,72611 | 0,82201 | 0,27570 | 0,59454 | 0,60130 |
655 | 0,62331 | 0,55001 | 0,61088 | 0,37096 | 0,75367 | 0,83704 | 0,28525 | 0,61548 | 0,60992 |
660 | 0,62790 | 0,57049 | 0,63663 | 0,40773 | 0,77900 | 0,84892 | 0,29450 | 0,63996 | 0,61620 |
665 | 0,63150 | 0,58799 | 0,65968 | 0,44475 | 0,80048 | 0,85751 | 0,30142 | 0,66655 | 0,62057 |
670 | 0,63258 | 0,6057 | 0,67984 | 0,48134 | 0,81742 | 0,86339 | 0,30490 | 0,69439 | 0,62380 |
675 | 0,63234 | 0,62287 | 0,69709 | 0,51686 | 0,82988 | 0,86749 | 0,30450 | 0,72255 | 0,62656 |
680 | 0,63235 | 0,63523 | 0,71148 | 0,55127 | 0,83974 | 0,87174 | 0,30140 | 0,74925 | 0,62880 |
685 | 0,62884 | 0,64717 | 0,72321 | 0,58455 | 0,84881 | 0,87761 | 0,29673 | 0,77306 | 0,63041 |
690 | 0,62321 | 0,65931 | 0,73309 | 0,61630 | 0,85666 | 0,88387 | 0,28970 | 0,79489 | 0,63170 |
695 | 0,61633 | 0,67212 | 0,74189 | 0,64600 | 0,86235 | 0,88860 | 0,28021 | 0,81494 | 0,63294 |
700 | 0,60749 | 0,68575 | 0,74957 | 0,67316 | 0,86492 | 0,88988 | 0,27280 | 0,82814 | 0,63380 |
705 | 0,59715 | 0,7006 | 0,75581 | 0,70121 | 0,87151 | 0,89554 | 0,27280 | 0,82814 | 0,63380 |
710 | 0,58830 | 0,71303 | 0,76013 | 0,72707 | 0,87627 | 0,89928 | 0,27280 | 0,82814 | 0,63380 |
715 | 0,58146 | 0,72275 | 0,76226 | 0,75148 | 0,88089 | 0,90290 | 0,27280 | 0,82814 | 0,63380 |
720 | 0,57354 | 0,7337 | 0,76306 | 0,77439 | 0,88535 | 0,90640 | 0,27280 | 0,82814 | 0,63380 |
725 | 0,56538 | 0,74439 | 0,76369 | 0,79576 | 0,88966 | 0,90979 | 0,27280 | 0,82814 | 0,63380 |
730 | 0,55745 | 0,75455 | 0,76530 | 0,81558 | 0,89384 | 0,91307 | 0,27280 | 0,82814 | 0,63380 |
735 | 0,54949 | 0,76442 | 0,76570 | 0,83389 | 0,89787 | 0,91624 | 0,27280 | 0,82814 | 0,63380 |
740 | 0,54151 | 0,77403 | 0,76658 | 0,85071 | 0,90177 | 0,91930 | 0,27280 | 0,82814 | 0,63380 |
745 | 0,53350 | 0,78335 | 0,76746 | 0,86610 | 0,90553 | 0,92226 | 0,27280 | 0,82814 | 0,63380 |
750 | 0,52548 | 0,79239 | 0,76833 | 0,88012 | 0,90917 | 0,92513 | 0,27280 | 0,82814 | 0,63380 |
755 | 0,51744 | 0,80115 | 0,76920 | 0,89286 | 0,91267 | 0,92789 | 0,27280 | 0,82814 | 0,63380 |
760 | 0,50940 | 0,80963 | 0,77007 | 0,90440 | 0,91606 | 0,93056 | 0,27280 | 0,82814 | 0,63380 |
765 | 0,50135 | 0,81816 | 0,77094 | 0,91481 | 0,91932 | 0,93314 | 0,27280 | 0,82814 | 0,63380 |
770 | 0,49329 | 0,82632 | 0,77181 | 0,92418 | 0,92247 | 0,93563 | 0,27280 | 0,82814 | 0,63380 |
775 | 0,48523 | 0,83411 | 0,77267 | 0,93259 | 0,92551 | 0,93803 | 0,27280 | 0,82814 | 0,63380 |
780 | 0,47718 | 0,84154 | 0,77353 | 0,94014 | 0,92844 | 0,94035 | 0,27280 | 0,82814 | 0,63380 |
Бин | Диапазон углов оттенка при КЦТ 5000 К | Диапазон номеров образцов для оценки цвета |
1 | от 0° до 45° | TCS01 до TCS14 |
2 | от 45° до 90° | TCS15 до TCS30 |
3 | от 90° до 135° | TCS31 до TCS47 |
4 | от 135° до 180° | TCS48 до TCS57 |
5 | от 180° до 225° | TCS58 до TCS69 |
6 | от 225° до 270° | TCS70 до TCS80 |
7 | от 275° до 315° | TCS81 до TCS88 |
8 | от 315° до 360° | TCS89 до TCS99 |

, при n = -2, -1, 0, 1, 2, 3. Например, для
,
с интервалом в 1 нм, начиная с
(В.3)
- значение спектрального коэффициента яркости i-го контрольного цветного образца при длине волны Интервал длины волны, нм | Коэффициент Sm,n для соседних точек | |||||
-2 | -1 | 0 | 1 | 2 | 3 | |
0 | 0,0000 | 0,0000 | 1,0000 | 0,0000 | 0,0000 | 0,0000 |
1 | 0,0128 | -0,0976 | 0,9344 | 0,1744 | -0,0256 | 0,0016 |
2 | 0,0144 | -0,1136 | 0,7264 | 0,4384 | -0,0736 | 0,0080 |
3 | 0,0080 | -0,0736 | 0,4384 | 0,7264 | -0,1136 | 0,0144 |
4 | 0,0016 | -0,0256 | 0,1744 | 0,9344 | -0,0976 | 0,0128 |
- яркость поля адаптации, La, кд/м2 | 100,0; |
- относительная яркость (координаты цвета Y10) фона Yb | 20,0; |
- экспоненциальная нелинейность, c | 0,69; |
- коэффициент хроматической объемной индукции, Nc | 1,0; |
- степень хроматической адаптации, D | 1,0. |


380 | 63,400 | 38,500 | 3,000 |
381 | 63,640 | 38,150 | 2,820 |
382 | 63,880 | 37,800 | 2,640 |
383 | 64,120 | 37,450 | 2,460 |
384 | 64,360 | 37,100 | 2,280 |
385 | 64,600 | 36,750 | 2,100 |
386 | 64,840 | 36,400 | 1,920 |
387 | 65,080 | 36,050 | 1,740 |
388 | 65,320 | 35,700 | 1,560 |
389 | 65,560 | 35,350 | 1,380 |
390 | 65,800 | 35,000 | 1,200 |
391 | 68,700 | 35,840 | 0,970 |
392 | 71,600 | 36,680 | 0,740 |
393 | 74,500 | 37,520 | 0,510 |
394 | 77,400 | 38,360 | 0,280 |
395 | 80,300 | 39,200 | 0,050 |
396 | 83,200 | 40,040 | -0,180 |
397 | 86,100 | 40,880 | -0,410 |
398 | 89,000 | 41,720 | -0,640 |
399 | 91,900 | 42,560 | -0,870 |
400 | 94,800 | 43,400 | -1,100 |
401 | 95,800 | 43,690 | -1,040 |
402 | 96,800 | 43,980 | -0,980 |
403 | 97,800 | 44,270 | -0,920 |
404 | 98,800 | 44,560 | -0,860 |
405 | 99,800 | 44,850 | -0,800 |
406 | 100,800 | 45,140 | -0,740 |
407 | 101,800 | 45,430 | -0,680 |
408 | 102,800 | 45,720 | -0,620 |
409 | 103,800 | 46,010 | -0,560 |
410 | 104,800 | 46,300 | -0,500 |
411 | 104,910 | 46,060 | -0,520 |
412 | 105,020 | 45,820 | -0,540 |
413 | 105,130 | 45,580 | -0,560 |
414 | 105,240 | 45,340 | -0,580 |
415 | 105,350 | 45,100 | -0,600 |
416 | 105,460 | 44,860 | -0,620 |
417 | 105,570 | 44,620 | -0,640 |
418 | 105,680 | 44,380 | -0,660 |
419 | 105,790 | 44,140 | -0,680 |
420 | 105,900 | 43,900 | -0,700 |
421 | 104,990 | 43,220 | -0,750 |
422 | 104,080 | 42,540 | -0,800 |
423 | 103,170 | 41,860 | -0,850 |
424 | 102,260 | 41,180 | -0,900 |
425 | 101,350 | 40,500 | -0,950 |
426 | 100,440 | 39,820 | -1,000 |
427 | 99,530 | 39,140 | -1,050 |
428 | 98,620 | 38,460 | -1,100 |
429 | 97,710 | 37,780 | -1,150 |
430 | 96,800 | 37,100 | -1,200 |
431 | 98,510 | 37,060 | -1,340 |
432 | 100,220 | 37,020 | -1,480 |
433 | 101,930 | 36,980 | -1,620 |
434 | 103,640 | 36,940 | -1,760 |
435 | 105,350 | 36,900 | -1,900 |
436 | 107,060 | 36,860 | -2,040 |
437 | 108,770 | 36,820 | -2,180 |
438 | 110,480 | 36,780 | -2,320 |
439 | 112,190 | 36,740 | -2,460 |
440 | 113,900 | 36,700 | -2,600 |
441 | 115,070 | 36,620 | -2,630 |
442 | 116,240 | 36,540 | -2,660 |
443 | 117,410 | 36,460 | -2,690 |
444 | 118,580 | 36,380 | -2,720 |
445 | 119,750 | 36,300 | -2,750 |
446 | 120,920 | 36,220 | -2,780 |
447 | 122,090 | 36,140 | -2,810 |
448 | 123,260 | 36,060 | -2,840 |
449 | 124,430 | 35,980 | -2,870 |
450 | 125,600 | 35,900 | -2,900 |
451 | 125,590 | 35,570 | -2,890 |
452 | 125,580 | 35,240 | -2,880 |
453 | 125,570 | 34,910 | -2,870 |
454 | 125,560 | 34,580 | -2,860 |
455 | 125,550 | 34,250 | -2,850 |
456 | 125,540 | 33,920 | -2,840 |
457 | 125,530 | 33,590 | -2,830 |
458 | 125,520 | 33,260 | -2,820 |
459 | 125,510 | 32,930 | -2,810 |
460 | 125,500 | 32,600 | -2,800 |
461 | 125,080 | 32,130 | -2,780 |
462 | 124,660 | 31,660 | -2,760 |
463 | 124,240 | 31,190 | -2,740 |
464 | 123,820 | 30,720 | -2,720 |
465 | 123,400 | 30,250 | -2,700 |
466 | 122,980 | 29,780 | -2,680 |
467 | 122,560 | 29,310 | -2,660 |
468 | 122,140 | 28,840 | -2,640 |
469 | 121,720 | 28,370 | -2,620 |
470 | 121,300 | 27,900 | -2,600 |
471 | 121,300 | 27,540 | -2,600 |
472 | 121,300 | 27,180 | -2,600 |
473 | 121,300 | 26,820 | -2,600 |
474 | 121,300 | 26,460 | -2,600 |
475 | 121,300 | 26,100 | -2,600 |
476 | 121,300 | 25,740 | -2,600 |
477 | 121,300 | 25,380 | -2,600 |
478 | 121,300 | 25,020 | -2,600 |
479 | 121,300 | 24,660 | -2,600 |
480 | 121,300 | 24,300 | -2,600 |
481 | 120,520 | 23,880 | -2,520 |
482 | 119,740 | 23,460 | -2,440 |
483 | 118,960 | 23,040 | -2,360 |
484 | 118,180 | 22,620 | -2,280 |
485 | 117,400 | 22,200 | -2,200 |
486 | 116,620 | 21,780 | -2,120 |
487 | 115,840 | 21,360 | -2,040 |
488 | 115,060 | 20,940 | -1,960 |
489 | 114,280 | 20,520 | -1,880 |
490 | 113,500 | 20,100 | -1,800 |
491 | 113,460 | 19,710 | -1,770 |
492 | 113,420 | 19,320 | -1,740 |
493 | 113,380 | 18,930 | -1,710 |
494 | 113,340 | 18,540 | -1,680 |
495 | 113,300 | 18,150 | -1,650 |
496 | 113,260 | 17,760 | -1,620 |
497 | 113,220 | 17,370 | -1,590 |
498 | 113,180 | 16,980 | -1,560 |
499 | 113,140 | 16,590 | -1,530 |
500 | 113,100 | 16,200 | -1,500 |
501 | 112,870 | 15,900 | -1,480 |
502 | 112,640 | 15,600 | -1,460 |
503 | 112,410 | 15,300 | -1,440 |
504 | 112,180 | 15,000 | -1,420 |
505 | 111,950 | 14,700 | -1,400 |
506 | 111,720 | 14,400 | -1,380 |
507 | 111,490 | 14,100 | -1,360 |
508 | 111,260 | 13,800 | -1,340 |
509 | 111,030 | 13,500 | -1,320 |
510 | 110,800 | 13,200 | -1,300 |
511 | 110,370 | 12,740 | -1,290 |
512 | 109,940 | 12,280 | -1,280 |
513 | 109,510 | 11,820 | -1,270 |
514 | 109,080 | 11,360 | -1,260 |
515 | 108,650 | 10,900 | -1,250 |
516 | 108,220 | 10,440 | -1,240 |
517 | 107,790 | 9,980 | -1,230 |
518 | 107,360 | 9,520 | -1,220 |
519 | 106,930 | 9,060 | -1,210 |
520 | 106,500 | 8,600 | -1,200 |
521 | 106,730 | 8,350 | -1,180 |
522 | 106,960 | 8,100 | -1,160 |
523 | 107,190 | 7,850 | -1,140 |
524 | 107,420 | 7,600 | -1,120 |
525 | 107,650 | 7,350 | -1,100 |
526 | 107,880 | 7,100 | -1,080 |
527 | 108,110 | 6,850 | -1,060 |
528 | 108,340 | 6,600 | -1,040 |
529 | 108,570 | 6,350 | -1,020 |
530 | 108,800 | 6,100 | -1,000 |
531 | 108,450 | 5,910 | -0,950 |
532 | 108,100 | 5,720 | -0,900 |
533 | 107,750 | 5,530 | -0,850 |
534 | 107,400 | 5,340 | -0,800 |
535 | 107,050 | 5,150 | -0,750 |
536 | 106,700 | 4,960 | -0,700 |
537 | 106,350 | 4,770 | -0,650 |
538 | 106,000 | 4,580 | -0,600 |
539 | 105,650 | 4,390 | -0,550 |
540 | 105,300 | 4,200 | -0,500 |
541 | 105,210 | 3,970 | -0,480 |
542 | 105,120 | 3,740 | -0,460 |
543 | 105,030 | 3,510 | -0,440 |
544 | 104,940 | 3,280 | -0,420 |
545 | 104,850 | 3,050 | -0,400 |
546 | 104,760 | 2,820 | -0,380 |
547 | 104,670 | 2,590 | -0,360 |
548 | 104,580 | 2,360 | -0,340 |
549 | 104,490 | 2,130 | -0,320 |
550 | 104,400 | 1,900 | -0,300 |
551 | 103,960 | 1,710 | -0,270 |
552 | 103,520 | 1,520 | -0,240 |
553 | 103,080 | 1,330 | -0,210 |
554 | 102,640 | 1,140 | -0,180 |
555 | 102,200 | 0,950 | -0,150 |
556 | 101,760 | 0,760 | -0,120 |
557 | 101,320 | 0,570 | -0,090 |
558 | 100,880 | 0,380 | -0,060 |
559 | 100,440 | 0,190 | -0,030 |
560 | 100,000 | 0,000 | 0,000 |
561 | 99,600 | -0,160 | 0,020 |
562 | 99,200 | -0,320 | 0,040 |
563 | 98,800 | -0,480 | 0,060 |
564 | 98,400 | -0,640 | 0,080 |
565 | 98,000 | -0,800 | 0,100 |
566 | 97,600 | -0,960 | 0,120 |
567 | 97,200 | -1,120 | 0,140 |
568 | 96,800 | -1,280 | 0,160 |
569 | 96,400 | -1,440 | 0,180 |
570 | 96,000 | -1,600 | 0,200 |
571 | 95,910 | -1,790 | 0,230 |
572 | 95,820 | -1,980 | 0,260 |
573 | 95,730 | -2,170 | 0,290 |
574 | 95,640 | -2,360 | 0,320 |
575 | 95,550 | -2,550 | 0,350 |
576 | 95,460 | -2,740 | 0,380 |
577 | 95,370 | -2,930 | 0,410 |
578 | 95,280 | -3,120 | 0,440 |
579 | 95,190 | -3,310 | 0,470 |
580 | 95,100 | -3,500 | 0,500 |
581 | 94,500 | -3,500 | 0,660 |
582 | 93,900 | -3,500 | 0,820 |
583 | 93,300 | -3,500 | 0,980 |
584 | 92,700 | -3,500 | 1,140 |
585 | 92,100 | -3,500 | 1,300 |
586 | 91,500 | -3,500 | 1,460 |
587 | 90,900 | -3,500 | 1,620 |
588 | 90,300 | -3,500 | 1,780 |
589 | 89,700 | -3,500 | 1,940 |
590 | 89,100 | -3,500 | 2,100 |
591 | 89,240 | -3,730 | 2,210 |
592 | 89,380 | -3,960 | 2,320 |
593 | 89,520 | -4,190 | 2,430 |
594 | 89,660 | -4,420 | 2,540 |
595 | 89,800 | -4,650 | 2,650 |
596 | 89,940 | -4,880 | 2,760 |
597 | 90,080 | -5,110 | 2,870 |
598 | 90,220 | -5,340 | 2,980 |
599 | 90,360 | -5,570 | 3,090 |
600 | 90,500 | -5,800 | 3,200 |
601 | 90,480 | -5,940 | 3,290 |
602 | 90,460 | -6,080 | 3,380 |
603 | 90,440 | -6,220 | 3,470 |
604 | 90,420 | -6,360 | 3,560 |
605 | 90,400 | -6,500 | 3,650 |
606 | 90,380 | -6,640 | 3,740 |
607 | 90,360 | -6,780 | 3,830 |
608 | 90,340 | -6,920 | 3,920 |
609 | 90,320 | -7,060 | 4,010 |
610 | 90,300 | -7,200 | 4,100 |
611 | 90,110 | -7,340 | 4,160 |
612 | 89,920 | -7,480 | 4,220 |
613 | 89,730 | -7,620 | 4,280 |
614 | 89,540 | -7,760 | 4,340 |
615 | 89,350 | -7,900 | 4,400 |
616 | 89,160 | -8,040 | 4,460 |
617 | 88,970 | -8,180 | 4,520 |
618 | 88,780 | -8,320 | 4,580 |
619 | 88,590 | -8,460 | 4,640 |
620 | 88,400 | -8,600 | 4,700 |
621 | 87,960 | -8,690 | 4,740 |
622 | 87,520 | -8,780 | 4,780 |
623 | 87,080 | -8,870 | 4,820 |
624 | 86,640 | -8,960 | 4,860 |
625 | 86,200 | -9,050 | 4,900 |
626 | 85,760 | -9,140 | 4,940 |
627 | 85,320 | -9,230 | 4,980 |
628 | 84,880 | -9,320 | 5,020 |
629 | 84,440 | -9,410 | 5,060 |
630 | 84,000 | -9,500 | 5,100 |
631 | 84,110 | -9,640 | 5,260 |
632 | 84,220 | -9,780 | 5,420 |
633 | 84,330 | -9,920 | 5,580 |
634 | 84,440 | -10,060 | 5,740 |
635 | 84,550 | -10,200 | 5,900 |
636 | 84,660 | -10,340 | 6,060 |
637 | 84,770 | -10,480 | 6,220 |
638 | 84,880 | -10,620 | 6,380 |
639 | 84,990 | -10,760 | 6,540 |
640 | 85,100 | -10,900 | 6,700 |
641 | 84,780 | -10,880 | 6,760 |
642 | 84,460 | -10,860 | 6,820 |
643 | 84,140 | -10,840 | 6,880 |
644 | 83,820 | -10,820 | 6,940 |
645 | 83,500 | -10,800 | 7,000 |
646 | 83,180 | -10,780 | 7,060 |
647 | 82,860 | -10,760 | 7,120 |
648 | 82,540 | -10,740 | 7,180 |
649 | 82,220 | -10,720 | 7,240 |
650 | 81,900 | -10,700 | 7,300 |
651 | 81,970 | -10,830 | 7,430 |
652 | 82,040 | -10,960 | 7,560 |
653 | 82,110 | -11,090 | 7,690 |
654 | 82,180 | -11,220 | 7,820 |
655 | 82,250 | -11,350 | 7,950 |
656 | 82,320 | -11,480 | 8,080 |
657 | 82,390 | -11,610 | 8,210 |
658 | 82,460 | -11,740 | 8,340 |
659 | 82,530 | -11,870 | 8,470 |
660 | 82,600 | -12,000 | 8,600 |
661 | 82,830 | -12,200 | 8,720 |
662 | 83,060 | -12,400 | 8,840 |
663 | 83,290 | -12,600 | 8,960 |
664 | 83,520 | -12,800 | 9,080 |
665 | 83,750 | -13,000 | 9,200 |
666 | 83,980 | -13,200 | 9,320 |
667 | 84,210 | -13,400 | 9,440 |
668 | 84,440 | -13,600 | 9,560 |
669 | 84,670 | -13,800 | 9,680 |
670 | 84,900 | -14,000 | 9,800 |
671 | 84,540 | -13,960 | 9,840 |
672 | 84,180 | -13,920 | 9,880 |
673 | 83,820 | -13,880 | 9,920 |
674 | 83,460 | -13,840 | 9,960 |
675 | 83,100 | -13,800 | 10,000 |
676 | 82,740 | -13,760 | 10,040 |
677 | 82,380 | -13,720 | 10,080 |
678 | 82,020 | -13,680 | 10,120 |
679 | 81,660 | -13,640 | 10,160 |
680 | 81,300 | -13,600 | 10,200 |
681 | 80,360 | -13,440 | 10,010 |
682 | 79,420 | -13,280 | 9,820 |
683 | 78,480 | -13,120 | 9,630 |
684 | 77,540 | -12,960 | 9,440 |
685 | 76,600 | -12,800 | 9,250 |
686 | 75,660 | -12,640 | 9,060 |
687 | 74,720 | -12,480 | 8,870 |
688 | 73,780 | -12,320 | 8,680 |
689 | 72,840 | -12,160 | 8,490 |
690 | 71,900 | -12,000 | 8,300 |
691 | 72,140 | -12,130 | 8,430 |
692 | 72,380 | -12,260 | 8,560 |
693 | 72,620 | -12,390 | 8,690 |
694 | 72,860 | -12,520 | 8,820 |
695 | 73,100 | -12,650 | 8,950 |
696 | 73,340 | -12,780 | 9,080 |
697 | 73,580 | -12,910 | 9,210 |
698 | 73,820 | -13,040 | 9,340 |
699 | 74,060 | -13,170 | 9,470 |
700 | 74,300 | -13,300 | 9,600 |
701 | 74,510 | -13,260 | 9,490 |
702 | 74,720 | -13,220 | 9,380 |
703 | 74,930 | -13,180 | 9,270 |
704 | 75,140 | -13,140 | 9,160 |
705 | 75,350 | -13,100 | 9,050 |
706 | 75,560 | -13,060 | 8,940 |
707 | 75,770 | -13,020 | 8,830 |
708 | 75,980 | -12,980 | 8,720 |
709 | 76,190 | -12,940 | 8,610 |
710 | 76,400 | -12,900 | 8,500 |
711 | 75,090 | -12,670 | 8,350 |
712 | 73,780 | -12,440 | 8,200 |
713 | 72,470 | -12,210 | 8,050 |
714 | 71,160 | -11,980 | 7,900 |
715 | 69,850 | -11,750 | 7,750 |
716 | 68,540 | -11,520 | 7,600 |
717 | 67,230 | -11,290 | 7,450 |
718 | 65,920 | -11,060 | 7,300 |
719 | 64,610 | -10,830 | 7,150 |
720 | 63,300 | -10,600 | 7,000 |
721 | 64,140 | -10,700 | 7,060 |
722 | 64,980 | -10,800 | 7,120 |
723 | 65,820 | -10,900 | 7,180 |
724 | 66,660 | -11,000 | 7,240 |
725 | 67,500 | -11,100 | 7,300 |
726 | 68,340 | -11,200 | 7,360 |
727 | 69,180 | -11,300 | 7,420 |
728 | 70,020 | -11,400 | 7,480 |
729 | 70,860 | -11,500 | 7,540 |
730 | 71,700 | -11,600 | 7,600 |
731 | 72,230 | -11,660 | 7,640 |
732 | 72,760 | -11,720 | 7,680 |
733 | 73,290 | -11,780 | 7,720 |
734 | 73,820 | -11,840 | 7,760 |
735 | 74,350 | -11,900 | 7,800 |
736 | 74,880 | -11,960 | 7,840 |
737 | 75,410 | -12,020 | 7,880 |
738 | 75,940 | -12,080 | 7,920 |
739 | 76,470 | -12,140 | 7,960 |
740 | 77,000 | -12,200 | 8,000 |
741 | 75,820 | -12,000 | 7,870 |
742 | 74,640 | -11,800 | 7,740 |
743 | 73,460 | -11,600 | 7,610 |
744 | 72,280 | -11,400 | 7,480 |
745 | 71,100 | -11,200 | 7,350 |
746 | 69,920 | -11,000 | 7,220 |
747 | 68,740 | -10,800 | 7,090 |
748 | 67,560 | -10,600 | 6,960 |
749 | 66,380 | -10,400 | 6,830 |
750 | 65,200 | -10,200 | 6,700 |
751 | 63,450 | -9,960 | 6,550 |
752 | 61,700 | -9,720 | 6,400 |
753 | 59,950 | -9,480 | 6,250 |
754 | 58,200 | -9,240 | 6,100 |
755 | 56,450 | -9,000 | 5,950 |
756 | 54,700 | -8,760 | 5,800 |
757 | 52,950 | -8,520 | 5,650 |
758 | 51,200 | -8,280 | 5,500 |
759 | 49,450 | -8,040 | 5,350 |
760 | 47,700 | -7,800 | 5,200 |
761 | 49,790 | -8,140 | 5,420 |
762 | 51,880 | -8,480 | 5,640 |
763 | 53,970 | -8,820 | 5,860 |
764 | 56,060 | -9,160 | 6,080 |
765 | 58,150 | -9,500 | 6,300 |
766 | 60,240 | -9,840 | 6,520 |
767 | 62,330 | -10,180 | 6,740 |
768 | 64,420 | -10,520 | 6,960 |
769 | 66,510 | -10,860 | 7,180 |
770 | 68,600 | -11,200 | 7,400 |
771 | 68,240 | -11,120 | 7,340 |
772 | 67,880 | -11,040 | 7,280 |
773 | 67,520 | -10,960 | 7,220 |
774 | 67,160 | -10,880 | 7,160 |
775 | 66,800 | -10,800 | 7,100 |
776 | 66,440 | -10,720 | 7,040 |
777 | 66,080 | -10,640 | 6,980 |
778 | 65,720 | -10,560 | 6,920 |
779 | 65,360 | -10,480 | 6,860 |
780 | 65,000 | -10,400 | 6,800 |
CIE 224:2017 | Colour Fidelity Index for accurate scientific use (Индекс точности цветопередачи для достоверного научного использования) | |
CIE 159:2004 | A Colour Appearance Model for Colour Management Systems: CIECAM02. (Модель отображения цвета для систем управления цветом: CIECAM02) | |
CIE 15:2004 <1> | Colorimetry, 3rd ed. (Колориметрия, 3-е издание) | |
ISO 11664-1:2007(E)/ CIE S 014-1/E:2006 <2> | Colorimetry - Part 1: CIE Standard Colorimetric Observers. (Колориметрия. Часть 1. Стандартные колориметрические наблюдатели МКО) |
УДК 628.94:006.354 | ОКС 29.140.01 |
Ключевые слова: источники света электрические, приборы осветительные, восприятие цвета, колориметрия, индекс точности цветопередачи, цветовое пространство, коррелированная цветовая температура, спектральное распределение | |