Главная // Актуальные документы // Актуальные документы (обновление 2025.07.05-2025.08.02) // ГОСТ Р (Государственный стандарт)СПРАВКА
Источник публикации
М.: ФГБУ "Институт стандартизации", 2025
Примечание к документу
Документ
введен в действие с 01.02.2025.
Название документа
"ГОСТ Р 70846.16-2024. Национальный стандарт Российской Федерации. Национальная система пространственных данных. Пространственная привязка. Системы координат"
(утв. и введен в действие Приказом Росстандарта от 28.12.2024 N 2081-ст)
"ГОСТ Р 70846.16-2024. Национальный стандарт Российской Федерации. Национальная система пространственных данных. Пространственная привязка. Системы координат"
(утв. и введен в действие Приказом Росстандарта от 28.12.2024 N 2081-ст)
Утвержден и введен в действие
Приказом Федерального
агентства по техническому
регулированию и метрологии
от 28 декабря 2024 г. N 2081-ст
НАЦИОНАЛЬНЫЙ СТАНДАРТ РОССИЙСКОЙ ФЕДЕРАЦИИ
НАЦИОНАЛЬНАЯ СИСТЕМА ПРОСТРАНСТВЕННЫХ ДАННЫХ
ПРОСТРАНСТВЕННАЯ ПРИВЯЗКА.
СИСТЕМЫ КООРДИНАТ
National spatial data system. Spatial Referencing.
Reference systems and frames
(ISO 19111:2019, NEQ)
ГОСТ Р 70846.16-2024
Дата введения
1 февраля 2025 года
1 РАЗРАБОТАН Публично-правовой компанией "Роскадастр" (ППК "Роскадастр")
2 ВНЕСЕН Техническим комитетом по стандартизации ТК 394 "Географическая информация/геоматика"
3 УТВЕРЖДЕН И ВВЕДЕН В ДЕЙСТВИЕ Приказом Федерального агентства по техническому регулированию и метрологии от 28 декабря 2024 г. N 2081-ст
4 Настоящий стандарт разработан с учетом основных нормативных положений международного стандарта ИСО 19111:2019 "Географическая информация. Пространственная привязка. Системы координат" (ISO 19111:2019 "Geographic information - Referencing by coordinates", NEQ). Сопоставление содержания настоящего стандарта и примененного международного стандарта приведено во введении
5 ВВЕДЕН ВПЕРВЫЕ
Правила применения настоящего стандарта установлены в статье 26 Федерального закона от 29 июня 2015 г. N 162-ФЗ "О стандартизации в Российской Федерации". Информация об изменениях к настоящему стандарту публикуется в ежегодном (по состоянию на 1 января текущего года) информационном указателе "Национальные стандарты", а официальный текст изменений и поправок - в ежемесячном информационном указателе "Национальные стандарты". В случае пересмотра (замены) или отмены настоящего стандарта соответствующее уведомление будет опубликовано в ближайшем выпуске ежемесячного информационного указателя "Национальные стандарты". Соответствующая информация, уведомление и тексты размещаются также в информационной системе общего пользования - на официальном сайте Федерального агентства по техническому регулированию и метрологии в сети Интернет (www.rst.gov.ru)
Географическая информация содержит пространственные данные, имеющие привязку не только в пространстве, но и во времени. Пространственная привязка указывает расположение характерных точек и границ пространственных объектов в реальном мире.
В соответствии с определением в физике система отсчета включает в себя систему координат (СК), реализованную с помощью физических объектов реального мира, а также систему счета времени, шкалу времени (для измерения длительности интервалов и регистрации моментов времени). На
рисунке 1 приведена схема основных элементов систем отсчета, используемых при привязке пространственных данных.
Примечание - Поскольку в системе счета времени моменты времени играют роль координат, шкалу времени также называют временной системой координат по аналогии с привычной пространственной СК.
Рисунок 1 - Элементы привязки по координатам
В некоторых научных приложениях используют сложные трехмерные системы, в которых плановое положение сочетается с физической величиной или иным пространственным нелинейным параметром, который задает третью, условно вертикальную ось. Этот третий параметр монотонно изменяется с высотой (или глубиной), но связан с ними нелинейным, а иногда и неизвестным преобразованием. Такие параметры обычно представляют некоторые абсолютные измерения или сложные функции некоторой физической величины.
В стандарте описаны сведения, необходимые для определения типа СК при представлении географической информации. Требуемый набор сведений зависит от типа координат. Стандарт позволяет использовать дополнительные необязательные сведения, включающие метаданные СК. Сведения представляются в машиночитаемом формате, понятном в том числе человеку.
В дополнение к описанию СК в стандарте приведены действия с координатами в различных СК или при учете смещений земной коры. Действия с координатами позволяют привести пространственные данные из разных СК в одну СК и к одной эпохе, что облегчает объединение пространственных данных. Также предполагается ведение журнала действий с координатами.
Система положений настоящего стандарта расширяет положения
ГОСТ Р 52572-2006 "Географические информационные системы. Координатная основа. Общие требования".
Основные изменения по отношению к международному стандарту ИСО 19111:2019 следующие:
- добавлены примечания и примеры из практики российской геодезии;
- в
приложении В переработано содержание: изложение концепции геоида в соответствии с теорией Стокса
<1> расширено до принципиальных моментов теории высот, вытекающих из теории Молоденского
<2>, в связи с этим изменен
рисунок Б.1. Для иллюстрации
приложения Б добавлен
рисунок Б.2;
- в содержание стандарта внесены изменения по отношению к международному стандарту ИСО 19111:2019, в частности: актуализированы нормативные ссылки, дополнена библиография;
-
раздел терминов и определений изменен и дополнен;
- из текста стандарта исключены справочные приложения F и G.
--------------------------------
<1> См. "Стокса проблема" (Большая советская энциклопедия, 3 изд., 1969 - 1978).
<2> См. "Геодезическая гравиметрия" (Большая советская энциклопедия, 3-е изд., 1969 - 1978), "Геодезии математические задачи" (Математическая энциклопедия, 1977 - 1985).
В тексте стандарта полужирным шрифтом выделены классы и атрибуты, соответствующие блок-схемам UML.
Настоящий стандарт определяет порядок описания пространственных данных с помощью координат, выделяя минимальный набор описательных данных для задания следующих основных типов систем координат (СК):
а) статические СК (значения координат не меняются со временем):
- геодезическая СК (на национальном или региональном уровне),
- строительная сетка инженерного объекта,
- внутренняя СК изображения или датчика изображения,
- объектоцентрические (инструментальные) СК по
[4] на подвижном основании (наземные транспортные средства, суда, летательный аппарат или космический корабль), которые могут быть связаны с земной СК через временное преобразование;
б) динамические СК, в которых значения координат точек на поверхности Земли или вблизи нее изменяются со временем из-за деформаций земной коры, при этом изменяется реальное взаимное расположение точек, приводящее к деградации всей СК;
в) параметрические СК, в которых третий нелинейный пространственный параметр изменяется с высотой или глубиной;
г) системы счета времени, использующие дату и время dateTime, систему целого исчисления времени или систему непрерывного измерения времени;
д) составные пространственные, параметрические или временные системы.
Основные принципы задания СК не связаны с системой времени, но часть определяющих ее параметров может зависеть от времени. Значения координат в динамической СК могут изменяться со временем.
Стандарт также описывает порядок задания информации для описания действий с координатами.
В дополнение к минимально необходимым данным для определения СК или действий с координатами допускается необязательная описательная информация (метаданные СК).
Стандарт разработан с учетом положений
ГОСТ Р 70846.1 для использования в рамках национальной системы пространственных данных при применении федеральной государственной геоинформационной системы "Единая цифровая платформа "Национальная система пространственных данных", ориентирован на производителей и пользователей цифровых пространственных данных, разработчиков геоинформационных технологий. Стандарт также может применяться и к другим формам представления пространственных данных (карты, графики и схемы, текстовые документы).
В настоящем стандарте использованы нормативные ссылки на следующие стандарты:
ГОСТ Р 7.0.64 (ИСО 8601:2004) Система стандартов по информации, библиотечному и издательскому делу. Представление дат и времени. Общие требования
ГОСТ Р 70846.1 Национальная система пространственных данных. Основные положения по стандартизации
ГОСТ Р 70846.2 Национальная система пространственных данных. Термины и определения
ГОСТ Р 57668-2017 (ИСО 19115-1:2014) Пространственные данные. Метаданные. Часть 1. Основные положения
ГОСТ Р 57773 (ИСО 19157:2013) Пространственные данные. Качество данных
Примечание - При пользовании настоящим стандартом целесообразно проверить действие ссылочных стандартов в информационной системе общего пользования - на официальном сайте Федерального агентства по техническому регулированию и метрологии в сети Интернет или по ежегодному информационному указателю "Национальные стандарты", который опубликован по состоянию на 1 января текущего года, и по выпускам ежемесячного информационного указателя "Национальные стандарты" за текущий год. Если заменен ссылочный стандарт, на который приведена датированная ссылка, то рекомендуется использовать версию этого стандарта с указанным выше годом утверждения (принятия). Если после утверждения настоящего стандарта в ссылочный стандарт, на который дана датированная ссылка, внесено изменение, затрагивающее положение, на которое дана ссылка, то это положение рекомендуется применять без учета данного изменения. Если ссылочный стандарт отменен без замены, то положение, в котором дана ссылка на него, рекомендуется применять в части, не затрагивающей эту ссылку.
3 Термины, определения, обозначения и сокращения
3.1 Термины и определения
В настоящем стандарте применены термины по
ГОСТ Р 70846.2, а также следующие термины с соответствующими определениями:
3.1.1 абсцисса плоской прямоугольной системы, "север" (abscissa of a plane cartesian system, northing): Расстояние в плоской прямоугольной СК, отсчитываемое от изображения экватора на север (положительное) или на юг (отрицательное).
3.1.2 аффинная система координат (affine coordinate system): СК в евклидовом пространстве с прямыми осями, не обязательно взаимно перпендикулярными.
3.1.3 большая (экваториальная) полуось (эллипсоида) (semi-major axis): Радиус экватора земного эллипсоида.
3.1.4 вектор координат (coordinate tuple): Последовательность чисел в установленном порядке.
Примечание - Количество координат в векторе координат равно размерности пространства; порядок координат в векторе соответствует порядку осей СК.
3.1.5 временная система координат (temporal coordinate system): Одномерная система времени, основанная на шкале времени.
3.1.6 высота (в геодезии) (height): Линейная характеристика разности потенциалов силы тяжести в начале счета высот и данной точке.
Примечание - Высота ниже начала отсчета будет иметь отрицательное значение.
3.1.7 географическая система координат (geographic coordinate system): СК, которая имеет геодезические координаты, связанные с эллипсоидом.
3.1.8 геодезическая высота (geodetic height): Кратчайшее расстояние от точки до поверхности земного эллипсоида.
Примечания
1 Геодезическая высота не является высотой в физическом смысле, т.к. не характеризует направление течения жидкости.
2 Используется только как часть трехмерных геодезических координат или как часть трехмерной декартовой СК в трехмерной СК проекции, но никогда не используется сама по себе.
3.1.9 геодезическая долгота (geodetic longitude): Угол (двугранный), отсчитываемый от начального геодезического меридиана до плоскости геодезического меридиана точки пространства.
Примечание - Геодезическая долгота от 0° до 360° или от -180° до +180°, возрастая к востоку. На полюсе сферы или эллипсоида долгота не определена.
3.1.10 геодезическая система координат (geodetic coordinate frame): Связанная с Землей двух- или трехмерная СК, имеющая в своей основе трехмерные декартовы, геодезические (эллипсоидальные) либо сферические координаты.
Примечания
1 В настоящем стандарте СК, основанная на геодезических координатах, связанных с отсчетным эллипсоидом, называется географической.
2 В настоящем стандарте класс (UML) GeodeticReferenceFrame включает как современные земные геоцентрические СК (WGS 84, ITRF разных версий, ПЗ-90, ГСК-2011), так и классические геодезические СК: СК-42, СК-95.
3.1.11 геодезическая широта (geodetic latitude): Угол, отсчитываемый от плоскости экватора до нормали к поверхности земного эллипсоида, восстановленный из точки пространства.
Примечание - Геодезическая широта наиболее близка к астрономической широте.
3.1.12 геодезические координаты (geodetic coordinates): Криволинейные координаты, две из которых характеризуют направление нормали к отсчетной координатной поверхности (земного эллипсоида) в точке пространства относительно плоскостей его экватора и начального меридиана, а третья - кратчайшее расстояние до поверхности отсчетного эллипсоида.
Примечания
1 Формулы связи с декартовыми координатами:
x = (N + H)cos B cos L,
y = (N + H)cos B sin L,
z = [(1 - e2)N + H]sin B,
где a, b - большая и малая полуоси эллипсоида, N = a/(1 - e2sin2B)1/2.
2 Геодезические широта и долгота определяют на небесной сфере направление нормали к эллипсоиду. Система геодезических координат является узкоспециальной, поскольку в ней единственная координатная поверхность отсчетного эллипсоида. При решении физических задач геодезии используют сфероидальные координаты u, v, w, связанные со сжатым эллипсоидом вращения:
x = c sin u ch w cos v,
y = c sin u ch w sin v,
z = c cos u sh w,
где c = ae - половина фокусного расстояния.
3 В зарубежной литературе геодезические координаты и геодезическая высота называются эллипсоидальными, а широта и долгота отдельно - геодезическими.
3.1.13 геоид (geoid): Уровенная (эквипотенциальная) поверхность потенциала силы тяжести, пересекающая поверхность Мирового океана (морскую топографическую поверхность).
3.1.14 геоцентрическая широта (geocentric latitude, spherical latitude): Угол от экваториальной плоскости к направлению из центра эллипсоида через данную точку на север, рассматриваемый как положительный.
3.1.15 глубина (depth): Расстояние от выбранной земной поверхности суши или океана до точки, измеренное вертикально вниз.
Примечания
1 Направление вертикали может быть по отвесной или силовой линии гравитационного поля Земли (или по нормали к отсчетному эллипсоиду).
2 Глубина выше отсчетной поверхности будет отрицательна.
3.1.16 действие с координатами (coordinate operation): Процесс, использующий математическую модель, основанную на взаимно однозначном соответствии, которая изменяет координаты точки в исходной СК на координаты в конечной СК или которая приводит координаты в исходной эпохе на координаты в конечной эпохе координат в одной СК.
Примечания
1 Данный термин обобщает понятия "преобразование координат", "трансформирование координат" и "смещения (перемещения) точки".
2 Преобразование координат сопровождается только видоизменением координат, без изменения пространственных длин отрезков между реальными точками, в отличие от трансформирования координат, когда форма сети реальных точек изменяется от одной реализации к другой.
3.1.17 декартова система координат (Cartesian coordinate system): СК в евклидовом пространстве, которая задает положение точек относительно n взаимно перпендикулярных прямых осей, имеющих одну и ту же единицу измерения.
Примечания
1 n = 2 или 3 для целей настоящего стандарта.
2 Декартова СК является частным случаем аффинной СК.
3.1.18 динамическая система координат (dynamic coordinate system): СК, в которой координаты точек изменяются во времени или определяющие параметры включают временную эволюцию.
Примечания
1 Координаты точек на земной коре или вблизи нее динамической СК могут меняться со временем, обычно из-за деформаций земной коры, таких как тектонические смещения и постледниковые поднятия.
2 Метаданные для набора данных в динамической СК должны включать информацию об эпохе координат.
3 Определяющими параметрами, изменяющимися во времени, обычно являются наборы координат.
3.1.19 единица измерения (unit): Определенная величина, в которой выражены параметры, имеющие размерность.
Примечание - В настоящем стандарте подтипами единиц являются единицы длины, угловые единицы, единицы шкалы, параметрические величины и единицы времени.
3.1.20 запись (tuple): Упорядоченный список значений.
Примечание - В запись помимо координат и высот могут входить иные характеристики. Например, список геодезических пунктов может содержать название пункта, класс пункта, тип центра и номер марки, тип и высоту наружного знака, регион.
3.1.21 земная система координат (terrestrial coordinate system): Набор правил и соглашений, определяющих начало отсчета, масштаб, ориентировку и изменение во времени пространственной СК, участвующей с Землей в ее суточном вращении.
Примечание - Абстрактная земная система координат реализуется через конкретную земную СК, которая обычно состоит из набора геодезических пунктов с заданными координатами и, возможно, параметрами их изменения. В настоящем стандарте земная СК включена в геодезическую СК.
3.1.22 инженерная система координат (engineering coordinate system): СК для инженерных изысканий на небольшой территории.
Примеры
1 СК для определения относительных положений в пределах нескольких километров от исходных пунктов: здание или строительная площадка.
2 Объектоцентрическая СК, локальная по отношению к движущемуся объекту, такому как корабль или космический корабль на орбите.
3 Внутренняя СК для изображения, имеющая непрерывные оси. Это может быть основой для координатной сетки.
3.1.23
интервал времени (time interval): Длительность между двумя моментами времени. |
3.1.24 картографическая проекция (cartographic projection): Геометрическое изображение поверхности эллипсоида (или шара) на плоскости.
3.1.25 координата (coordinate): Число из упорядоченного набора N чисел, описывающих положение точки в N-мерном пространстве.
3.1.26 координатная сетка (coordinate grid): Изображение меридианов и параллелей в картографической проекции.
3.1.27 координатные линии (coordinate lines): Кривые, получающиеся при изменении только одной координаты.
Примечание - Если координатные линии являются кривыми, такие координаты называют криволинейными.
3.1.28 координатные оси (coordinate axes): Координатные линии декартовых прямоугольных координат, получающиеся при изменении только одной координаты, тогда как две другие равны нулю.
3.1.29 координатные плоскости (coordinate planes): Координатные поверхности декартовых прямоугольных координат.
Примечания
1 Геодезические СК и системы высот являются реализациями соответствующих систем с помощью геодезических пунктов, физическим объектом является Земля.
2 В планетарных приложениях геодезические СК и системы высот могут применяться к другим небесным телам. Термины, содержащие латинские корни: планетоцентрическая, марсоцентрическая, юпитероцентрическая, луноцентрическая (также селеноцентрическая), - указывают на СК, где основная плоскость параллель - на плоскости экватора Земли. Термины, содержащие греческие корни: планетографическая, ареографическая, зенографическая, селенографическая, - указывают на СК, где основной плоскостью служит плоскость экватора собственного осевого вращения тела; такие СК служат для определения положений точек и деталей поверхности соответствующих планет согласно
[5].
3.1.30 координатные поверхности (coordinate surfaces): Поверхности, получающиеся при изменении только двух координат.
Примечание - В геодезических координатах имеется только одна основная координатная поверхность отсчетного эллипсоида.
3.1.31 координаты (coordinates): Числа, определяющие положение точки на плоскости, на поверхности или в пространстве.
Примечание - Математические координаты составляют основу абстрактной идеальной системы координат (англ. reference system) без конкретной реализации, привязанной к объектам (англ. reference frame).
3.1.32 линейная система координат (linear coordinate system): Одномерная СК, в которой линейный объект образует криволинейную ось.
Примеры
1 Расстояние вдоль трубопровода.
2 Глубина наклонного ствола нефтяной скважины.
3.1.33 малая (полярная) полуось (эллипсоида) (semi-minor axis): Расстояние от центра эллипсоида до любого полюса.
3.1.34 меридиан (meridian): Координатная линия равных долгот на координатной поверхности сферы или эллипсоида.
Примечание - Этот термин обычно используют для описания дуги между полюсами, а не полной замкнутой фигуры.
3.1.35 местная система координат (local coordinate system): Локальная СК, имеющая собственные исходные пункты.
Примечание - Здесь речь идет о местных системах населенных пунктов (например, Владимир, Рыбинск, Казань, Подольск), чьи сети развивались независимо от государственной геодезической сети (ГГС), задолго до появления местных систем координат Субъектов Федерации (МСК СФ). Для создания топографических планов определялись исходные даты: выбирался исходный пункт с назначенными координатами в местной системе, для ориентирования триангуляционной сети выполнялись собственные определения широты, долготы и азимута; обработка сети часто велась на средней высоте без приведения к эллипсоиду. В практике последних лет такие местные СК называются условными.
3.1.36
момент времени (time point): Положение события в выбранной шкале времени. |
3.1.37 набор координат (coordinate set): Несколько векторов координат, относящихся к одной и той же СК, и, если эта СК является динамической, также к одной эпохе координат.
3.1.38 начальный меридиан (prime meridian): Меридиан, которому приписана нулевая долгота.
Примечание - Астрономический и геодезический начальные меридианы параллельны. В Гринвиче они отстоят за счет уклонения отвеса.
3.1.39
начальный момент времени (initial time point): Условный (принятый по соглашению) момент времени, принятый за начало счета событий или условный нуль шкалы времени. |
Примечание - Объект находится во времени на Земле.
3.1.40 общеземной эллипсоид (mean Earth's ellipsoid): Отсчетный эллипсоид, наилучшим образом подобранный к Земле: его центр максимально совмещен с центром масс Земли, малая полуось совмещена со средней осью вращения Земли, плоскости начального геодезического и астрономического меридиана параллельны.
Примечание - Параметры общеземного эллипсоида определяются методами космической геодезии.
3.1.41 объединение данных пониженной точности (datum ensemble): Набор нескольких реализаций одной и той же земной СК или системы высот, которые существенно не отличаются для целей приблизительной пространственной привязки.
Примечания
1 Наборы данных, относящиеся к различным реализациям в наборе данных, могут быть объединены без преобразования координат.
2 Степень "приблизительности" определяется пользователями и обычно составляет менее 1 дм, но может достигать 2 м.
Пример - "WGS 84" как группа реализаций, включая WGS 84 (TRANSIT), WGS 84 (G730), WGS 84 (G873), WGS 84 (G1150), WGS 84 (G1674) и WGS 84 (G1762). На поверхности Земли они изменились в среднем на 0,7 м между реализациями TRANSIT и G730, еще на 0,2 м между реализациями G730 и G873, 0,06 м между G873 и G1150, 0,2 м между реализациями G1150 и G1674 и 0,02 м между G1674 и G1762.
3.1.42 ордината плоской прямоугольной системы, "восток" (ordinate of a plane cartesian system, easting): Расстояние в плоской прямоугольной СК, отсчитываемое от осевого меридиана на восток (положительное) или на запад (отрицательное).
3.1.43 отсчетный эллипсоид (reference ellipsoid): Сжатый эллипсоид, близкий по размерам к планете и используемый для решения геодезических задач.
Примечание - В реализациях систем координат XX века также используется термин "референц-эллипсоид" - отсчетный эллипсоид, отличающийся от общеземного эллипсоида. Параметры референц-эллипсоидов определялись в доспутниковую эпоху из наземных (геодезических и гравиметрических) измерений, обработанных с выделением исходного пункта, на котором были установлены исходные геодезические даты.
3.1.44 параллель (parallel): Координатная линия равных широт на координатной поверхности сферы или эллипсоида.
3.1.45 параметрическая система координат (parametric coordinate system): СК, в которой присутствует нелинейный пространственный параметр, изменяющийся с высотой или глубиной сложным или неизвестным образом (физическая величина или сложная функция), начало отсчета параметров вычисляется или определяется физическими измерениями.
Примечание - Обычно объектом, на котором измеряются и вычисляются параметры, является Земля.
3.1.46 плоскость астрономического меридиана (plane of astronomical meridian): Плоскость, проходящая через отвесную линию в данной точке параллельно (средней) оси вращения Земли.
3.1.47 плоскость геодезического меридиана (plane of geodetic meridian): Плоскость, проходящая через нормаль к поверхности земного эллипсоида и его малую полуось.
3.1.48 полюс (pole): Точки на сфере или эллипсоиде с широтой +/- 90°.
3.1.49 полярные координаты (polar coordinate system): Двухмерные координаты в евклидовом пространстве, определяющие положение точки расстоянием до начала СК и одной угловой координатой.
Примечание - В трехмерном случае см. "сферические координаты".
3.1.50 преобразование координат (coordinate conversion): Действие с координатами, которое изменяет координаты в исходной СК на координаты в конечной СК, при этом обе СК имеют одно начало и одни исходные пункты.
Примечание - Преобразование координат использует параметры с определенными значениями, при этом подразумевается, что не изменяются пространственные расстояния между реальными точками и углы между отрезками.
Примеры
1 Преобразование геодезических координат в плоские прямоугольные координаты с использованием картографической проекции: вычисление координат в проекции Гаусса-Крюгера.
2 Изменение единиц измерения: радианы в градусы, футы в метры.
3.1.51 производная система координат (derived coordinate system): СК, которая определяется путем применения определенного преобразования координат к координатам в ранее установленной СК.
Примечания
1 Ранее установленная СК называется базовой СК.
2 Производная СК наследует свое начало и исходные пункты от своей базовой СК.
3 Преобразование координат между базовой и производной СК осуществляется с использованием параметров и формул, указанных в определении преобразования координат.
Примеры
1 Вычисление плоских прямоугольных координат СК-63 в проекции Гаусса-Крюгера на основе геодезических координат СК-42.
2 Сдвиг координат пунктов астрономо-геодезической сети, совмещенных с пунктами космической и допплеровской геодезической сети, заданными в ПЗ-90, для получения координат пунктов, использованных как опорные в СК-95.
3.1.52 пространственная привязка (spatial reference): Описание местоположения в реальном мире.
Примечания
1 В настоящем стандарте под привязкой понимается определение и представление координат и высот характерных точек пространственных данных на заданную эпоху.
2 Такая привязка может иметь форму метки, кода или вектора координат.
3.1.53 пространственно-временная СК (spatio-temporal coordinate system): Составная СК, в которой одна составная СК является пространственной, а другая - временной.
3.1.54 пространственно-параметрическая временная СК (spatio-parametric-temporal coordinate reference system): Составная СК, состоящая из пространственных, параметрических и временных систем.
3.1.55 пространственно-параметрическая СК (spatio-parametric coordinate system): Составная СК, в которой одна составная СК является пространственной, а другая - параметрической.
Примечание - Как правило, пространственная составляющая является плановой, а параметрическая составляющая - высотной.
3.1.56 реализация системы координат (reference frame): Начало отсчета, набор исходных пунктов или параметров, которые определяют положение начала координат, масштаб и ориентацию СК.
3.1.57
сжатие (эллипсоида) (flattening): Отношение разности большой и малой полуоси к большой полуоси эллипсоида

.
Примечание - Иногда дается знаменатель сжатия 1/f = a/(a - b); 1/f также известно как обратное сжатие.
3.1.58 система высот (vertical reference frame): Реализация физических высот на реперах нивелирной сети.
Примечания
1 В большинстве случаев система высот связана со средним уровнем моря, например Балтийская система высот 1977 года, использующая Кронштадтский футшток. Начало счета может быть выбрано для гидрографических целей, и в этом случае высоты могут быть отрицательными высотами или глубинами.
2 Геодезические высоты связаны с трехмерными геодезическими координатами на эллипсоиде, связанном с геодезической СК.
3 Следует различать следующие понятия, связанные с высотами над уровнем моря: Абсолютная высота - отметка нормальной высоты точки (высота горы над уровнем моря), относительная высота - разность абсолютных отметок близкорасположенных точек (высота вершины горы над подножием) или вертикальная длина (высота сооружения, высота обрыва, оврага), превышение - разность отсчетов по рейке.
3.1.59 система координат (coordinate system): Идеальные принципы и правила получения конкретной реализации системы координат.
Примечания
1 Вместо термина "система координат" в математике используют более короткий термин "координаты".
2 Земная система координат не описывает орбитальное движение Земли и положения светил на небесной сфере.
3.1.60 система координат проекции (projected coordinate system): СК, полученная из географической СК путем применения картографической проекции.
Примечания
1 Может быть двух- или трехмерной, причем размерность должна быть равна размерности географической СК, из которой она получена.
2 В трехмерном случае плановые координаты (геодезическая широта и геодезическая долгота) переходят в абсциссу и ординату, а геодезическая высота остается неизменной.
Пример - Местные системы координат субъектов Российской Федерации получаются применением геодезической проекции Гаусса-Крюгера к геодезическим координатам точек.
3.1.61 смещение (перемещение) точки (point movement): Действие с координатами, которое изменяет координаты в одной СК за счет перемещения точки.
Примечания
1 Изменение координат происходит от начальной эпохи к другой эпохе.
2 В настоящем стандарте движение точки связано с тектоническими смещениями или современными деформациями земной коры.
3.1.62 составная система координат (compound coordinate reference system): СК, использующая как минимум две независимые СК.
Примечание - СК независимы друг от друга, если значения координат в одной не могут быть преобразованы или преобразованы в значения координат в другой.
3.1.63 составное действие (concatenated operation): Действие с координатами, состоящее из последовательного применения нескольких действий с координатами.
Примечание - В СК значения координат выражаются в единицах измерения.
3.1.64 средний уровень моря (mean sea level): Уровень поверхности моря, осредненный за длительный период времени, исключающий периодическую часть прилива и сезонные колебания.
Примечание - Под средним уровнем моря, как правило, понимают средний уровень моря для региона, рассчитанный на основе наблюдений в одной или нескольких точках за определенный период времени. Чтобы соответствовать стандартам Международной гидрографической ассоциации, этот период должен составлять один полный лунный цикл из 19 лет (метонов цикл). Средний уровень моря в глобальном контексте отличается от глобального геоида не более чем на 2 м.
3.1.65 статическая система координат (static reference system/frame): СК, в которой изменения взаимного положения точек не отражаются в координатах, а определяющие параметры исключают эволюцию во времени.
Примечания
1 Координаты точек на земной коре или вблизи нее в статической СК не изменяются со временем.
2 Метаданные для набора данных в статической СК не требуют информации об эпохе координат.
3.1.66 сферические координаты (spherical coordinates): Двух- или трехмерные координаты в евклидовом пространстве, где положение точки определяется двумя угловыми координатами и (в трехмерном случае) расстоянием до начала отсчета (длина радиус-вектора).
Примечание - На эллипсоиде, "вырожденном" в сферу, геодезические координаты включают расстояние до поверхности отсчетной сферы, а не длину радиус-вектора.
3.1.67 трансформирование координат (coordinate transformation): Действие с координатами, которое приводит координаты из исходной СК в конечную СК, где исходная и конечная СК основаны на разных началах и разных исходных пунктах.
Примечания
1 Трансформирование координат использует параметры, полученные эмпирическим путем. Любая неточность в параметрах трансформирования координат войдет и в конечные координаты.
2 Трансформирование координат иногда называют "datum transformation", что подразумевает изменение самих систем координат. При этом следует иметь в виду, что трансформирование координат изменяет значения самих координат, но не изменяет исходных пунктов СК. В настоящем стандарте координаты относятся к реализации конкретной СК. Трансформирование координат возникает из-за различий не между исходными пунктами, а между реализациями, что может быть обусловлено как различным составом обрабатываемых данных, так и самими методами обработки. К примеру, различия между Балтийской системой высот 1977 года и EVRF 2000 не описываются только разностями геопотенциальных чисел в Кронштадтском и Амстердамском футштоках: необходимы высоты всех реперов, участвовавших в уравнивании. Аналогично координаты в одном исходном пункте, Пулково, не способны описать все нелинейные различия между СК-42 и СК-95, хотя это и возможно в идеальном безошибочном случае.
3.1.68 физические высоты (над уровнем моря) (height system, physical heights): Правило преобразования геопотенциального числа в линейную меру.
Примечание - Здесь используют принятую теорию высот.
3.1.69 цилиндрические координаты (cylindrical coordinates): Трехмерные координаты в евклидовом пространстве, которые определяют положение точки двумя линейными величинами и одной угловой.
3.1.70
шкала времени (temporal coordinate system): Упорядоченная последовательность значений времени, служащая исходной основой для измерений времени. |
Примечание - Здесь имеется в виду как идеальная шкала времени (например, определяемая через единицу измерения времени: "секунда равна длительности 9 192 631 770 периодов излучения..."), так и конкретная реализация шкалы времени (шкала атомного или координированного времени, реализуемая стандартом частоты или эталоном).
3.1.71 экватор (equator): Точки на сфере или эллипсоиде с широтой 0°.
3.1.72 эллипсоид (ellipsoid): Замкнутая центральная поверхность второго порядка, имеющая в прямоугольных координатах Oxyz каноническое уравнение (x/a)2 + (y/b)2 + (z/c)2 = 1, где a, b, c - полуоси эллипсоида.
Примечания
1 Здесь начало координат Oxyz в центре симметрии эллипсоида, координатные оси совпадают с осями симметрии эллипсоида, координатные плоскости - с плоскостями симметрии эллипсоида.
2 В геодезии под эллипсоидом понимается сжатый эллипсоид вращения.
3.1.73 эпоха координат (coordinate epoch): Дата или момент времени, к которым относятся координаты в динамической СК.
3.1.74 эпоха параметров (parameter reference epoch): Дата, на которую приведены значения параметров преобразования, имеющих зависимость от времени.
Примечание - Значения параметров преобразования сначала необходимо привести в эпоху координат, прежде чем применить трансформирование координат.
3.1.75 эпоха системы координат (frame reference epoch): Эпоха координат в списке исходных пунктов, определяющих динамическую СК.
Примечание - Эпоха статической системы координат определяет некоторую статическую геодезическую СК, которая получена как реализация динамической СК на определенную дату. Так, например, координаты пунктов в ГСК-2011 получены из обработки измерений за полные 2010 - 2011 годы в системе опорных пунктов ITRF2008, приведенных на эпоху 2011.0.
3.1.76 эпоха трансформирования (transformation epoch): Дата, в которую вычислены значения параметров преобразования координат.
Примечание - Координаты сначала должны быть приведены на эту эпоху, прежде чем будет применено трансформирование координат. Это отличается от эпохи параметров, где сами значения параметров трансформирования сначала необходимо привести на эпоху координат, прежде чем будет применено трансформирование координат.
3.1.77 эпоха (epoch): Момент времени или дата.
Примечание - В настоящем стандарте эпоха выражается в григорианском календаре как десятичный год.
Пример - 2017-03-25 по григорианскому календарю - это эпоха 2017,23.
3.2 Обозначения и сокращения
В настоящем стандарте применены следующие обозначения и сокращения:
a - большая полуось эллипсоида;
B, L, H - пространственные криволинейные геодезические координаты (геодезическая широта, геодезическая долгота, геодезическая высота);
c - половина расстояния между фокусами эллипсоида;
C - геопотенциальное число;
E, N, U - топоцентрические координаты в касательной плоскости;
e - эксцентриситет эллипсоида;
g - реальная (действительная) сила тяжести;

- нормальная высота;
T - аномальный (возмущающий) потенциал;
U - нормальный потенциал силы тяжести;
W - реальный (действительный) потенциал силы тяжести;
X, Y, Z - пространственные декартовы координаты;
x, y - плоские прямоугольные координаты (в проекции);

- сжатие эллипсоида;

,

,

- пространственные криволинейные сферические координаты (длина радиус-вектора, сферическая широта, сферическая долгота).
Примечание - Если координаты относятся к Земле, они называются геоцентрическими вместо сферических;
ГНСС - глобальная навигационная спутниковая система;
ИКАО - Международная организация гражданской авиации;
ИСЗ - искусственный спутник Земли;
ПО - программное обеспечение;
РСДБ - радиоинтерферометрия со сверхдлинной базой;
СК - система координат;
с.к.о. - средняя квадратическая ошибка (оценка стандартного отклонения - см.
[6]);
CRS (Cordinate Reference System) - координатная система отсчета;
ISA (International Standard Atmosphere) - международная стандартная атмосфера ИКАО;
ITRF (International Terrestrial Reference Frame) - международная земная система координат;
SLR (Satellite Laser Ranging) - лазерная локация спутников;
UML - унифицированный язык моделирования;
WKT (Well-Known Text) - язык текстовой разметки;
1D, 2D, 3D - одно-, двух- и трехмерный соответственно.
Настоящий стандарт определяет:
- два класса СК и высот по признаку изменения координат во времени;
- 26 классов СК и систем высот, видов действий с координатами согласно
таблице 1. Любая реализация, заявляющая соответствие представленным классам, должна указывать класс соответствия, а также отвечать требованиям
приложения А.
Таблица 1
Классы соответствия систем
Класс соответствия | Описание класса | Пункт приложения |
Соответствие координат и метаданных по признаку изменения координат |
1 | Статические СК | |
2 | Динамические СК |
Классы соответствия координат по виду координатных линий |
Геодезические СК: прямоугольные, эллипсоидальные и сферические | |
3 | Статические СК |
4 | Динамические СК |
5 | Производные от геодезических СК |
Геодезические СК: географические на эллипсоиде | |
6 | Статические |
7 | Динамические |
8 | Производные от географических СК |
9 | СК проекции |
10 | Производные от СК проекции |
Системы высот |
11 | Статические |
12 | Динамические |
13 | Производные системы высот |
14 | Параметрические СК (с физической величиной или сложной функцией) |
15 | Производные от параметрических СК |
16 | Инженерные СК (строительные сетки для инженерных изысканий, а также объектоцентрические инструментальные СК) |
17 | Производные от инженерных СК |
Системы времени + шкалы времени | |
18 | Дата и время (dateTime) |
19 | Исчисление времени дискретными единицами (temporal count) |
20 | Измерение времени непрерывными единицами (temporal measure) |
21 | Производные системы времени |
22 | Объединение данных пониженной точности (из нескольких СК разных лет) |
23 | Составные СК |
Классы соответствия действий с координатами |
24 | Преобразование математических координат (между математическими системами, возможно с любой заданной точностью) | |
25 | Трансформирование координат разных реализаций (от эпохи к эпохе или между разными основами, имеет ограничения по точности) |
26 | Преобразование перемещения/движения точки |
27 | Составное действие (последовательность разнокачественных действий с координатами) |
28 | Частичное преобразование |
Классы требований по определению СК или действий с координатами сгруппированы по пакетам блок-схем (UML). Требования объединены в классы соответствия в
приложении А.
5.1 Унифицированный язык моделирования (UML)
Блок-схемы для описания СК и действий с координатами представлены на унифицированном языке моделирования (UML). Язык блок-схем представляет конкретный вариант UML, используемый в стандарте (см.
[7]).
На блок-схемах (UML) серым фоном указаны классы из других стандартов.
5.2 Атрибуты и обязательность
В стандарте блок-схемы приведены в
разделах 6 -
12 в виде таблиц, внутри которых:
- атрибутам, признакам и свойствам присваиваются требования обязательности, приведенные в
таблице 2;
- неотслеживаемые связи не включаются в диаграммы или таблицы UML.
Обозначение | Имя понятия на англ. (рус.) языке | Определение |
M | mandatory (обязательный) | Элемент требуется всегда |
C | conditional (условный) | Элемент требуется при выполнении определенного условия |
O | optional (необязательный) | Элемент не требуется (не является обязательным) |
При расхождении между блок-схемой (UML) и текстом преимущество имеет блок-схема (UML).
6 Пространственная привязка по координатам. Обзор
Пространственная привязка с помощью координат описывается в настоящем стандарте в виде блок-схем (UML) с дополнительным текстом. Общая блок-схема (UML) содержит шесть блоков (UML), как показано на
рисунке 2. Каждый блок представляет собой пакет UML с названием. Линия со стрелкой показывает зависимость конечного пакета от исходного пакета в начале стрелки.
Рисунок 2 - Блок-схема (UML). Пакеты модели
и структура зависимостей
К набору координат должны прилагаться метаданные, полностью определяющие СК, к которой они относятся; без этого описания положение определяется неоднозначно. Блок (UML) координат и их метаданных описан в
разделе 7. Сюда входят и описания действий с координатами, необходимые для изменения их значений при изменении СК.
В состав СК обычно входят математические координаты и исходные, опорные пункты (начало отсчета)
<1>. Некоторые геодезические представления, лежащие в основе пространственной привязки по координатам, приведены в
приложении Б. Информация, необходимая для полного определения СК, описана в
разделах 9 -
11 с общими для всех трех пакетов свойствами (атрибутами), описанными в
разделе 8.
--------------------------------
<1> Иногда называемое datum.
Некоторые СК имеют третий компонент: параметры связи с другой предшествующей СК. В настоящем стандарте СК, допускающая такое преобразование, называется производной СК. Описание действий с координатами, включая преобразования координат, определяющие другую систему, приведено в
разделе 12.
Дополнительные разъяснения для
разделов 8 -
12 приведены в
приложениях В и
Г. Примеры применения настоящего стандарта при определении СК или действий с координатами приведены в
приложении Д.
Координата - один из n скаляров в составе вектора. В единственном числе координата используется для обозначения одного значения, во множественном числе координаты используются в смысле математических идеальных координат (англ. coordinate system).
Вектор (англ. coordinate tuple) - это упорядоченная последовательность координат, определяющих положение одной точки. Координаты внутри вектора независимы друг от друга. Количество координат в векторе равно размерности пространства.
Набор (англ. set) координат представляет собой список векторов в одной и той же СК. Если набору координат приписана некоторая СК, то все векторы в этом наборе наследуют эту связь. Если описывается только одна точка, то связь между вектором координат и СК устанавливается по прямой аналогии.
Принципы статических и динамических СК изложены в
Б.3. Если СК динамическая, операции над векторами в наборе допустимы только в том случае, если все векторы относятся к одной и той же эпохе. В настоящем стандарте предполагается, что все векторы координат в наборе относятся к одной указанной эпохе координат.
СК и эпоха относятся к метаданным координат.
Наборы координат, относящиеся к одной СК, могут быть отнесены к другой СК с помощью действий над координатами. Действие с координатами выполняется над координатами, а не над СК. Действие с координатами может быть одиночным или составным (см.
раздел 12). Блок-схема высокого уровня для изменения координат показана на
рисунке 3.
Рисунок 3 - Порядок действий с координатами для получения
объединенного набора координат
Наборы координат, относящиеся к динамической СК в заданную эпоху
t1, могут быть преобразованы в другую эпоху,
t2, с помощью действия, движения (перемещения) точки, которая подразумевает изменение координат во времени, часто описываемое с использованием линейных скоростей, как это схематично показано на
рисунке 4.
Рисунок 4 - Порядок действий с координатами при изменении
эпохи координат
Также можно привести координаты из одной динамической СК, заданные на одну эпоху, в другую динамическую СК на другую эпоху, также можно изменить координаты между динамической СК и статической СК или наоборот. Дополнительная информация приведена в
В.1 и
В.5.
Качественные характеристики координат регулируются положениями
ГОСТ Р 57773.
Элементы, необходимые для задания СК и действий с координатами, описаны в
разделах 8 -
12.
Для задания СК или действия с координатами требуется:
а) полное описание, как определено в настоящем стандарте; или
б) ссылка на полное описание в реестре геодезических параметров (ссылка делается на реестр и на идентификатор описания объекта в этом реестре); или
в) полное описание и ссылка на реестр (в случае противоречия полное описание объекта должно преобладать над ссылкой на реестр).
Способы, приведенные в
перечислениях а),
б), являются взаимозаменяемыми для предоставления полного описания, при этом указанное в перечислении б) рекомендуется для простоты, но если СК нет в реестре, описание необходимо давать явно и полностью. В обоих методах порядок координат в каждом векторе должен соответствовать указанному в описании СК.
Если используется способ, приведенный в
перечислении б) (ссылка на реестр), приложение (программа), которому требуется только подтверждение типа СК или действия с координатами, может сделать это посредством ссылки на реестр и идентификатор из этого реестра. При этом нет необходимости извлекать из реестра все элементы, составляющие полное описание, если не требуется их полностью цитировать или выполнять действие с координатами.
7.3 Требования к метаданным
7.3.1 Требования к статическим СК
Требование - все векторы в наборе координат должны относиться к одной СК.
7.3.2 Требования к динамическим СК
СК описаны в
разделе 9, а начало отсчета и исходные, опорные пункты - в
разделе 11. Следующие подтипы СК могут иметь динамический характер или быть связаны с моделью линейных скоростей и, следовательно, могут быть динамическими (геодезические, географические системы высот, СК проекции, а также их производные варианты).
Примечание - СК этих подтипов не обязательно являются динамическими; чтобы прояснить это, необходимо изучить их атрибуты СК и связь с PointMotionOperation.
Требование - если СК, к которой относится набор координат, является динамической, все векторы в наборе координат должны относиться к одной эпохе.
7.4 Блок-схема (UML) пакета Coordinates
На
рисунке 5 показана блок-схема (UML) для метаданных координат. Определения классов в пакете приведены в
таблицах 3 -
5.
Рисунок 5 - Блок-схема (UML). Взаимосвязи между координатами
и метаданными координат
Таблица 3
Определяющие элементы класса Coordinates::CoordinateMetadata
Таблица 4
Определяющие элементы класса Coordinates::CoordinateSet
Таблица 5
Определяющие элементы класса Coordinates::DataEpoch
Связь набора координат с СК (включая особый случай набора, содержащего только один вектор координат) является обязательной. Определяющие элементы класса СК описаны в
разделе 9.
Ограничение на метаданные координат (повторяющиеся в геометрии) указывает, что если СК является динамической, то дополнительный набор координат должен быть связан с указанной эпохой координат. Это обеспечивает условность атрибута
coordinateEpoch. Является ли СК динамической, следует из определения СК (см.
раздел 11).
7.5 Блок-схема (UML) изменений координат
Координаты могут быть изменены при приведении в другую СК. Если СК динамическая, координаты также могут быть приведены к другой эпохе или одновременно к другой СК и другой эпохе.
В настоящем стандарте класс CoordinateOperation имеет две цели:
а) определить требования для описания действия с координатами;
б) применить действие с координатами для изменения координат.
Определяющие элементы для класса
CoordinateOperation и связанных с ним классов и их использование при задании действий с координатами приведены в
разделе 12. Здесь подробно рассматриваются только те атрибуты, которые относятся к изменению координат.
На
рисунке 6 показана блок-схема (UML) применения действия с координатами в метаданных координат.
Рисунок 6 - Блок-схема (UML). Взаимосвязи действий
с координатами и метаданных
Действие CoordinateOperation.transform(CoordinateSet) изменяет координаты:
- преобразуя из одной СК в другую СК; и/или
- в случае динамической СК приводит от одной эпохи координат к другой эпохе.
Дополнительная информация о сочетаниях приведена в
В.1.3.
transform(CoordinateSet) имеет четыре ограничения, которые требуют, чтобы:
- исходная СК и/или эпоха были такими же, на которые ссылается входной набор координат; и
- конечная СК и/или эпоха были такими же, как у выходного набора координат.
transform(CoordinateSet) работает с упорядоченными векторами координат, имеющими тип DirectPosition. Это означает, что когда transform(CoordinateSet) применяется к набору координат, содержащему несколько векторов координат, порядок векторов в наборе координат сохраняется.
Примечание - transform(CoordinateSet) работает с векторами координат и не занимается геометрической интерполяцией. Когда набор координат подвергается действию с координатами, геометрия обычно сохраняется.
8.1 Главные атрибуты/основные свойства
8.1.1 Введение
Пакет Common Classes содержит атрибуты и свойства, общие для нескольких объектов, используемых при привязке по координатам. Эти объекты: СК, начало отсчета и исходные, опорные пункты, математические координаты и действия с координатами, а также некоторые связанные с ними классы наследуют значения атрибутов из пакета Common Classes. Это облегчает модульное программирование имен, идентификаторов и псевдонимов, а также использование (цель применения и область применения).
8.1.2 Имя и псевдоним
Одним из атрибутов является основное имя объекта. Объект может иметь альтернативные имена или псевдонимы.
Пример - Название СК может быть "North American Datum of 1983", аббревиатура "NAD83".
Первичные имена объектов имеют тип данных
MD_Identifier, определенный в
ГОСТ Р 57668. Псевдонимы имеют тип данных
GenericName, определенный в
[7].
8.1.3 Идентификатор
Еще одним атрибутом является идентификатор. Это уникальный код, используемый для ссылки на объект в данном месте.
Пример - Геодезический реестр может присвоить NAD83 уникальный код "6269".
Идентификаторы имеют тип данных MD_Identifier.
Помимо использования идентификатора в качестве ссылки на определение в геодезическом реестре ISO Geodetic Registry (ISOGR)
<1>, идентификатор также может быть включен в определение объекта, чтобы обеспечить ссылку на этот объект.
--------------------------------
<1> https://geodetic.isotc211.org/.
8.1.4 Цель применения и пространственно-временная протяженность
Цель применения - описание основной цели или целей, для которых применяется СК или действие с координатами.
Тип данных в этом пакете
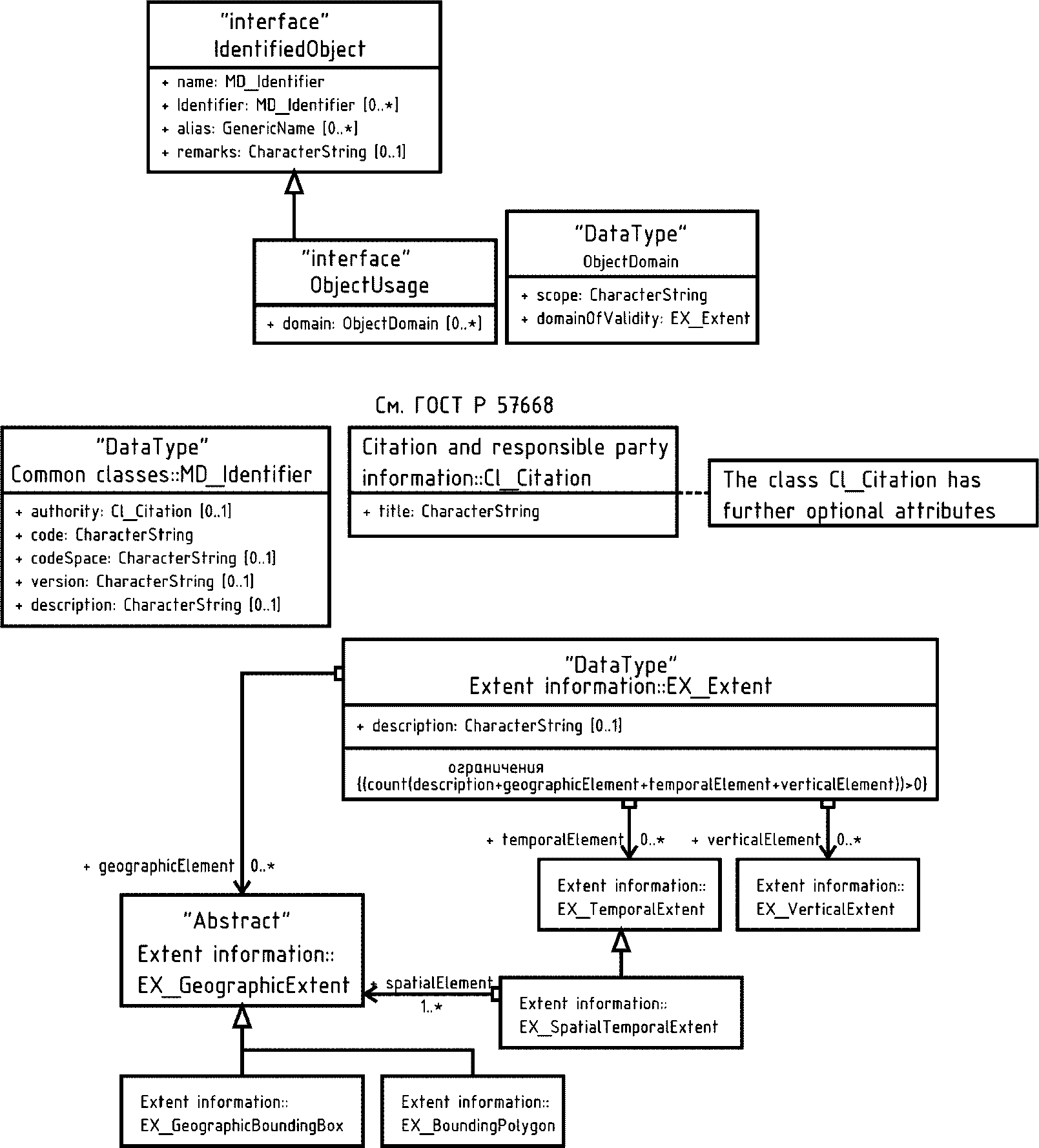
[EX_Extent] представляет собой совокупность элементов метаданных, описывающих пространственно-временную протяженность источников, объектов, событий или явлений. Класс
EX_Extent содержит информацию о пространственной
(EX_GeographicExtent), временной
(EX_TemporalExtent) и высотной
(EX_VerticalExtent) протяженности чего-либо.
EX_GeographicExtent может быть подклассом
EX_BoundingPolygon, EX_GeographicBoundingBox и
EX_GeographicDescription. Объединенная пространственно-временная протяженность
(EX_SpatialTemporalExtent) представляет собой
EX_GeographicExtent. EX_SpatialTemporalExtent является подклассом
EX_TemporalExtent. Полный пакет указан в ГОСТ Р 57668-2017
(рисунок 19).
Класс
EX_Extent имеет три необязательные роли с именами
"geographicElement", "temporalElement" и
"verticalElement", а также роль с именем
"description". Должна использоваться хотя бы одна из четырех ролей. Словарь данных для этой диаграммы приведен в ГОСТ Р 57668-2017
(таблица B.15).
В настоящем стандарте Scope и DomainOfValidity связаны через атрибут ObjectUsage.domain. Это облегчает описания использования, такие как "Цель 1 в области A, цель 2 в области B".
Scope и
DomainOfValidity являются необязательными для сокращения описания СК с использованием WKT (см.
[8]). Однако настоятельно рекомендуется, чтобы в геодезических реестрах записи для СК и действий с координатами включали по крайней мере одну пару
Scope + DomainOfValidity. Дополнительно могут быть заданы дополнительные пары
Scope + DomainOfValidity.
8.2 Блок-схема (UML) общих классов
На
рисунке 7 показана блок-схема (UML) классов пакета
Common Classes. Определения классов в пакете приведены в
таблицах 6 -
8.
Рисунок 7 - Блок-схема (UML). Пакет
Common Classes
Таблица 6
Определяющие элементы общих классов
Common Classes::IdentifiedObject
Таблица 7
Определяющие элементы общих классов
Common Classes::ObjectUsage
Таблица 8
Определяющие элементы общих классов
Common Classes::ObjectDomain
Типы данных
MD_Identifier и
EX_Extent определены в
ГОСТ Р 57668. Блок-схема (UML) атрибутов этих классов, имеющих особое значение для настоящего стандарта, показана на
рисунке 8. Класс
EX_Extent содержит информацию о географическом, вертикальном и временном масштабах.
EX_GeographicExtent может быть подклассом
EX_BoundingPolygon, EX_GeographicBoundingBox и
EX_GeographicDescription.
Рисунок 8 - Блок-схема (UML). Типы данных
9 Системы координат и высот
9.1.1 Общие сведения
В настоящем стандарте система координат (СК) задается в общем случае двумя компонентами: математическими координатами (см.
раздел 10) и началом отсчета или опорными, исходными пунктами (см.
раздел 11). Производные от них СК имеют третий компонент: преобразование координат (см.
раздел 12). Каждый из этих компонентов имеет набор атрибутов.
Исходные, опорные пункты реализации СК определяют отношение системы координат к объекту, тем самым обеспечивая применение абстрактного математического понятия координат к практической задаче описания положения объектов с помощью координат. Таким объектом обычно, но не обязательно, служит Земля или объект на ней, например здание. Для определенных СК объектом может быть движущаяся платформа, такая как автомобиль, корабль, самолет или космический корабль.
В настоящем стандарте предполагается, что определение одной СК принципиально не меняется со временем. Для объектоцентрических СК, связанных с движущейся платформой, преобразование СК платформы в СК, закрепленную в Земле, может включать элемент времени. В динамической СК точки на поверхности Земли или вблизи нее координаты будут изменяться (очень медленно) из-за смещения и деформаций земной коры, и тогда определение СК может включать зависимость от времени, и/или СК может иметь модель современных деформаций земной коры.
9.1.2 Основные виды СК
СК классифицируют прежде всего по началу отсчета и опорным пунктам, а также в некоторых случаях по виду координатной сетки. Различают следующие основные типы СК:
а) геодезические - двухмерные или трехмерные координаты для пространственной привязки по всей Земле или на ее обширной части.
Если отсчетной поверхностью служит отсчетный эллипсоид, геодезические координаты называют также географическими;
б) инженерные - локальные СК трех основных видов:
1) СК для пространственной привязки в небольших областях Земли без учета кривизны уровенной поверхности. Наиболее часто применяют в гражданском и промышленном строительстве.
Примечание - Указанные приложения не ограничены только использованием инженерных СК, часто используются СК проекции или геодезические СК;
2) СК для пространственной привязки на дорожном транспорте, судне, летающих аппаратах или космических аппаратах;
3) СК для пространственной привязки на изображении (снимке или карте).
Примечание - СК изображения может быть связана с земной СК через инженерную СК или СК проекции через координатное преобразование (трансформирование). В настоящем стандарте оси СК изображения предполагаются непрерывными. Координатные сетки таких СК описаны в
[9];
в) системы высот - одномерные шкалы для преобразования геопотенциальных чисел в линейную меру;
г) параметрические - одномерные шкалы, которые используют в качестве координаты физическую величину или некоторую функцию;
Пример - Давление как характеристика высоты;
д) временные - одномерные шкалы (системы счета) времени.
Эти основные виды СК описаны подробнее в
В.2.1.
9.2.1 Общие сведения
Производные (вторичные) СК задаются координатным преобразованием к другой, предшествующей СК, служащей основой. Производные СК подразумевают использование реализации или опорных пунктов исходной СК (см.
раздел 11). Следовательно, большая часть производных СК имеет тот же тип, что и исходная СК. Почти все производные СК имеют математические координаты того же вида, который допускается в основных СК того же типа.
Примеры
1 Производная географическая СК будет иметь геодезические координаты по определению.
2 Производная параметрическая СК будет иметь дополнительный параметр по определению.
Примечание - Исключением служат СК, образованные от СК проекции, см.
9.2.2.
Дополнительная информация о производных СК приведена в
В.2.2.2.
СК проекции представляет собой систему, полученную путем применения картографической проекции к значениям широты и долготы исходной географической или геодезической СК. СК проекции моделируются как частный случай производных СК из-за их важности в структуре географической информации. В СК проекции используются плоские прямоугольные координаты. В особом случае от базовой СК сохраняется геодезическая высота для формирования трехмерной декартовой СК.
СК проекции может рассматриваться как исходная СК при образовании производной СК проекции. Производная СК проекции может не иметь прямоугольные координаты: она может иметь другой тип координат.
Примечание - Термин "производная СК проекции" используется для сохранения внутренней целостности в блок-схемах (UML). Сама производная СК проекции не является СК проекции - более точным определением будет "полученная из СК проекции". Однако в дополнение к наследованию начала и реализации исходной СК производная СК проекции также наследует нелинейные искажения, обусловленные особенностями проекции.
9.3 Составные СК (объединение СК)
9.3.1 Общие сведения
Составная СК представляет собой неповторяющуюся последовательность двух или более СК, ни одна из которых не является составной.
Примеры
1 СК проекции, имеющая в плане абсциссу (на север) и ординату (на восток), и с физической высотой над уровнем моря в качестве высотной составляющей.
2 Географическая СК, имеющая в плане широту и долготу, а также давление в качестве высотной составляющей.
Вложение составных СК не допускается; отдельные СК объединяются вместе. Дополнительная информация о составных СК приведена в
В.2.2.3.
9.3.2 Пространственные составные СК
Существует ряд ограничений для построения составных СК в пространстве. Составные СК не должны содержать повторяющихся или избыточных осей. Допустимыми комбинациями являются следующие:
а) географические координаты (двухмерные) + высота;
б) географические координаты + инженерная вертикаль (почти высота);
в) СК проекции (двухмерные) + высота;
г) СК проекции (двухмерные) + инженерная вертикаль (почти высота);
д) инженерная двухмерная плановая + высота;
е) инженерная одномерная линейная + высота;
ж) производная СК проекции (двухмерная) + инженерная вертикаль (почти высота).
9.3.3 Пространственно-временные составные СК
Любая пространственная СК или любая составная СК по
9.3.2 может быть связана с системой счета времени для формирования пространственно-временной составной СК, при этом может быть включено более одной системы счета времени, если они соответствуют разным величинам, см.
пример в Д.4.4.
9.3.4 Составная пространственная параметрическая СК
Пространственная параметрическая СК представляет собой составную СК, в которой одним компонентом служит географическая (широта и долгота), двухмерная СК проекции или двухмерная инженерная СК или производная СК проекции, дополненные параметрической СК для создания трехмерной СК (см.
пример в Д.3.3). Может быть включено более одной параметрической СК, если они представляют независимые параметрические величины.
9.3.5 Пространственно-временная параметрическая СК
Любая из перечисленных выше комбинаций пространственных, параметрических и временных СК может быть взята в состав пространственно-временной параметрической составной/комбинированной СК.
На
рисунке 9 показана блок-схема (UML) пакета
Coordinate Reference Systems. Типы производных СК показаны на
рисунке 10. Определения классов объектов пакета
Coordinate Reference Systems приведены в
таблицах 9 -
26.
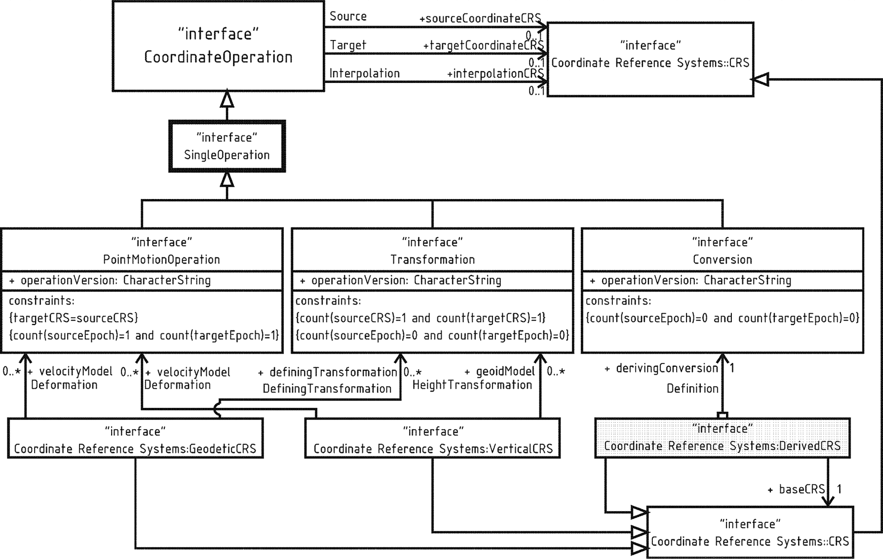
Рисунок 9 - Блок-схема (UML). Системы координат
(Coordinate Reference Systems)
Рисунок 10 - Блок-схема (UML). Производные СК (
Derived CRS)
Таблица 9
Определяющие элементы класса
Coordinate Reference Systems::CRS
Таблица 10
Определяющие элементы класса
Coordinate Reference Systems::SingleCRS
Таблица 11
Определяющие элементы класса
Coordinate Reference Systems::GeodeticCRS
Таблица 12
Определяющие элементы класса
Coordinate Reference Systems::GeographicCRS
Таблица 13
Определяющие элементы класса
Coordinate Reference Systems::VerticalCRS
Таблица 14
Определяющие элементы класса
Coordinate Reference Systems::ParametricCRS
Таблица 15
Определяющие элементы класса
Coordinate Reference Systems::EngineeringCRS
Таблица 16
Определяющие элементы класса
Coordinate Reference Systems::TemporalCRS
Таблица 17
Определяющие элементы класса
Coordinate Reference Systems::DerivedCRS
Таблица 18
Определяющие элементы класса
Coordinate Reference Systems::ProjectedCRS
Таблица 19
Определяющие элементы класса
Coordinate Reference Systems::DerivedProjectedCRS
Таблица 20
Определяющие элементы класса
Coordinate Reference Systems::DerivedGeodeticCRS
Таблица 21
Определяющие элементы класса
Coordinate Reference Systems::DerivedGeographicCRS
Таблица 22
Определяющие элементы класса
Coordinate Reference Systems::DerivedVerticalCRS
Таблица 23
Определяющие элементы класса
Coordinate Reference Systems::DerivedParametricCRS
Таблица 24
Определяющие элементы класса
Coordinate Reference Systems::DerivedEngineeringCRS
Таблица 25
Определяющие элементы класса
Coordinate Reference Systems::DerivedTemporalCRS
Таблица 26
Определяющие элементы класса
Coordinate Reference Systems::CompoundCRS
На блок-схеме (UML) пакета
Coordinate Reference Systems показана связь
CoordinateSystem из
SingleCRS (одиночной СК) в класс
CoordinateSystem (координаты). Эта связь показывает, что все подклассы
SingleCRS имеют прямую связь с
CoordinateSystem или одним из ее подклассов, как подробно описано в
разделе 10. Ограничения на связи между СК и координатами подробно описаны в
разделе 10.
На блок-схеме (UML)
Coordinate Reference Systems также показана связь
DefiningDatum из класса
SingleCRS (одиночной СК) в класс
Datum (начало отсчета и исходные пункты). Эта связь указывает на то, что многие, но не все подклассы
SingleCRS (одиночной СК) имеют прямую связь с
Datum (начало отсчета и исходные пункты) или с одним из его подклассов. В качестве альтернативы
SingleCRS (одиночная СК) может быть связана не с одним, а с несколькими началами отсчета или исходными пунктами. Ограничения на связи между СК и одним/несколькими началами отсчета или исходными пунктами подробно описаны в
разделе 11. Производные СК не используют эту связь с началами отсчета или исходными пунктами, а наследуют их от исходной СК, из которой получены.
На блок-схеме (UML)
Coordinate Reference Systems дополнительно показана связь с именем
Definition из класса
DerivedCRS в класс
Conversion. Обычно это реализуется как преобразование координат, встроенное в определение производной СК. Преобразование координат - это тип действий с координатами. Модель UML для действий с координатами подробно описана в
разделе 12. Связи между СК и действиями с координатами обобщены в блок-схеме (UML) в
разделе 12, рисунок 17.
Дополнительная информация о моделировании СК приведена в
В.2.
10 Математические координаты
10.1 Математические координаты. Общие сведения
В настоящем стандарте пакет Coordinate Systems определяет два основных элемента СК: математические координаты и координатные линии. Прямоугольные декартовы координаты задаются с помощью неповторяющейся последовательности координатных осей. Одни и те же координаты могут быть использованы несколькими реализациями СК. Размерность пространства, названия, единицы измерения, направления и последовательность координатных осей - все это входит в описание математических координат. Количество осей должно соответствовать размерности пространства. Количество координат в векторе должно быть равно количеству координатных осей. Координаты в векторе необходимо указывать в том порядке, в котором заданы координатные оси.
В настоящем стандарте виды координат разделены на подтипы по геометрическим свойствам охватываемого координатного пространства и геометрическим свойствам самих осей (прямые или криволинейные, ортогональные или нет). Некоторые подтипы координат необходимо использовать только с определенными подтипами СК, как показано в
таблице 27 и на
рисунках 12 и
13.
Таблица 27
Типы координат и ограничения на их использование
в составе СК
Тип координат | Описание | Классы СК, где используются координаты | Значение |
Аффинные | Двух- или трехмерные координаты в евклидовом пространстве с прямыми осями (не обязательно ортогональными) | engineering derivedEngineering derivedProjected | Инженерные и производные, производные СК проекции |
Декартовы | Двух- или трехмерные координаты в евклидовом пространстве, задающие положение точек относительно прямых ортогональных координатных осей. Все оси должны иметь одну и ту же единицу измерения | geodetic projected engineering derivedGeodetic derivedProjected derivedEngineering | Геодезические, проекции, инженерные и их производные |
Цилиндрические | Трехмерные координаты в евклидовом пространстве, состоящие из полярных координат, дополненные прямой координатной осью, перпендикулярной к плоскости полярных координат | engineering derivedEngineering derivedProjected | Инженерные и производные, производные СК проекции |
Геодезические | Двух- или трехмерные координаты, в которых положение определяется геодезической широтой, геодезической долготой и (в трехмерном случае) геодезической высотой | geographic derivedGeographic | Географические и производные |
Линейные | Одномерные координаты, состоящие из точек на одной кривой или прямой. Пример - точки и метки вдоль линейного объекта - трубопровода. Настоящий стандарт допускается использовать только для простых (непрерывных) линейных объектов. Более подробное рассмотрение вопроса, особенно применительно к транспортной отрасли, - см. [11] | engineering derivedEngineering | Инженерные и производные |
Порядковые целочисленные | n-мерные координаты с использованием целочисленной индексации; целочисленная порядковая оцифровка осей (для пикселей изображения или камеры) | engineering derivedEngineering derivedProjected | Инженерные и производные, производные СК проекции |
Параметрические | Одномерные координаты, в которой единицы измерения являются значениями параметров, которые по своей сути не являются пространственными | parametric derivedParametric | Параметрические и производные |
Полярные | Двухмерные координаты в евклидовом пространстве, положение в которых определяется расстоянием от начала координат и углом между направлением на точку и начальным направлением | Engineering derivedEngineering derivedProjected | Инженерные и производные, производные СК проекции |
Сферические | Координаты в евклидовом пространстве, включающие две угловые координаты (в двухмерном случае), а также расстояние до начала координат (в трехмерном случае). Примечание - Не следует путать с географической СК, у которой эллипсоид "вырожден" в сферу. | Geodetic engineering derivedGeodetic derivedEngineering derivedProjected | Геодезические инженерные и их производные, производные проекции |
Временные | Одномерные координаты, где осью является время | temporal derivedTemporal | Временные и производные |
Вертикальные | Одномерные координаты для записи высот (или глубин) точек, зависящих от гравитационного поля Земли. Примечание - Точное определение намеренно не дается, поскольку сложность вопроса выходит за рамки настоящего стандарта. | Vertical derivedVertical | Системы высот и их производные |
10.2 Параметрические СК с дополнительным нелинейным параметром
СК относится к параметрическому типу, если в качестве измерения используется физическое или материальное свойство или функция. Параметр может быть измерен или может быть функцией, определенной в других смыслах, но в параметрических СК он образует ось СК.
Примеры
1 Давление в метеорологических приложениях.
2 Плотность в океанографических приложениях.
Настоящий стандарт поддерживает три формы временной СК:
- DateTimeTemporalCS: значениями координат являются
dateTime в пролептическом григорианском календаре, как описано в
ГОСТ Р 7.0.64;
- TemporalCountCS: значения координат - целые числа, служащие единицами измерения времени;
- TemporalMeasureCS: значения координат - действительные числа, служащие единицами измерения времени.
Шкала времени должна быть одномерной и иметь одну ось. Дополнительная информация представлена в
приложении Г.
10.4 Координатные линии и оси
Координаты состоят из неповторяющейся последовательности координатных осей. Каждая из координатных осей описывается уникальным сочетанием имени оси, аббревиатуры оси, направления и единицы измерения.
Обозначения этих атрибутов могут применяться, как описано в
разделе 7.
Примеры
1 Комбинация {"Широта",
, север, градус} приведет к одному варианту класса объектов "координатная ось"; комбинация {"Широта",
, север, радиан} - к другому, т.к. единица измерения оси другая.
2 Комбинация {"Восток", E, восток, метр} приведет к одному экземпляру класса объектов "координатная ось"; комбинация {"Восток", X, восток, метр} в другом экземпляре, аббревиатура оси другая.
В настоящем стандарте использование названий координатных осей ограничено геодезическим использованием в зависимости от типа СК. Эти ограничения показаны в
таблице 28. Эти ограничения необходимы при работе в двух направлениях использования.
Таблица 28
Ограничения в названиях координатных осей
Тип координат | Использование в СК | Допустимое название координатной оси |
Декартовы | (Геодезические) | Геоцентрическая абсцисса X, геоцентрическая ордината Y, геоцентрическая аппликата Z |
Декартовы | СК проекции | Север N (или юг S), восток E (или запад W) - в двухмерном случае, а также геодезическая высота H - в трехмерном случае |
Геодезические | Географические | Геодезическая широта B, геодезическая долгота L - в двухмерном случае, а также геодезическая высота H - в трехмерном случае |
Сферические | (Геодезические) | Сферическая широта, сферическая долгота, геоцентрич. Радиус-вектор или геоцентрическая широта, геоцентрическая долгота, геоцентрический радиус-вектор. Примечание - Вместо широты может быть использовано ее дополнение до 90° (ко-широта). |
Высоты | Высоты | Глубина или физическая высота над уровнем моря |
Пример - Поскольку "геодезическая широта" и "геодезическая долгота" используются в качестве названий координатных осей, образующих географическую СК, эти названия не могут использоваться в другом контексте.
Псевдонимы для этих ограниченных названий разрешены.
Параметрические, временные и инженерные СК могут использовать названия, характерные для контекста или традиционные.
Координатные оси описаны в
В.3.3.
На
рисунке 11 показана блок-схема (UML) классов пакета
Coordinate Systems. Существующие ограничения на связи между типами СК и типами координат показаны на блок-схеме классов (UML) на
рисунке 12. Определения классов объектов пакета математических координат приведены в
таблицах 29 -
50.
Рисунок 11 - Блок-схема (UML).
Математические координаты (CoordinateSystem)
Рисунок 12 - Блок-схема (UML).
Связи математических координат в составе СК
Таблица 29
Определяющие элементы класса
CoordinateSystems::CoordinateSystem
Таблица 30
Определяющие элементы класса CoordinateSystems::AffineCS
Таблица 31
Определяющие элементы класса CoordinateSystems::CartesianCS
Таблица 32
Определяющие элементы класса
CoordinateSystems::CylindricalCS
Таблица 33
Определяющие элементы класса
CoordinateSystems::EllipsoidalCS
Таблица 34
Определяющие элементы класса CoordinateSystems::LinearCS
Таблица 35
Определяющие элементы класса CoordinateSystems::OrdinalCS
Таблица 36
Определяющие элементы класса CoordinateSystems::ParametricCS
Таблица 37
Определяющие элементы класса CoordinateSystems::PolarCS
Таблица 38
Определяющие элементы класса CoordinateSystems::SphericalCS
Таблица 39
Определяющие элементы класса CoordinateSystems::TemporalCS
Таблица 40
Определяющие элементы класса
CoordinateSystems::DateTimeTemporalCS
Таблица 41
Определяющие элементы класса
CoordinateSystems::TemporalCountCS
Таблица 42
Определяющие элементы класса
CoordinateSystems::TemporalMeasureCS
Таблица 43
Определяющие элементы класса CoordinateSystems::VerticalCS
Таблица 44
Определяющие элементы класса
CoordinateSystems::DerivedProjectedCS
Таблица 45
Определяющие элементы класса
CoordinateSystems::EngineeringCS
Таблица 46
Определяющие элементы класса CoordinateSystems::GeodeticCS
Таблица 47
Определяющие элементы класса
CoordinateSystems::CoordinateDataType
Таблица 48
Определяющие элементы класса
CoordinateSystems::CoordinateSystemAxis
Окончание таблицы 48
Таблица 49
Определяющие элементы класса
CoordinateSystems::AxisDirection
Окончание таблицы 49
Таблица 50
Определяющие элементы класса CoordinateSystems::RangeMeaning
11 Начало отсчета и исходные пункты реализации СК
11.1 Виды начала отсчета и исходных, опорных пунктов, реализующих СК
Начало отсчета и опорные пункты (Datum), которые в геодезии обычно относят к реализации СК, связывают математические координаты с реальными объектами. Для геодезических СК и систем высот имеется в виду связь координат с Землей или другим массивным телом Солнечной системы. В других реализациях СК координаты могут быть связаны с другим физическим или виртуальным объектом.
В инженерной СК координаты могут быть связаны как с объектом на Земле (здание), так и с исходной точкой на изображении. В других случаях инженерных СК таким объектом может быть платформа, движущаяся относительно Земли. В этих приложениях само определение СК не зависит от времени, но любые преобразования связанных с ними координат в земную или другую СК должны содержать параметры, зависящие от времени. В параметрических СК объектом может быть измерение физической величины (например, атмосферное давление).
В настоящем стандарте различаются несколько подтипов класса Datum. Каждый подтип может быть связан только с определенными подтипами СК. Ограничения на Datum подробно описаны ниже.
11.2 Реализации геодезических СК
11.2.1 Начальный меридиан
Если подтипом Datum является геодезическая СК, то описание начала счета долгот - нулевого меридиана - является обязательным. Значения по умолчанию для имени нулевого меридиана и его долготы по Гринвичу - "Greenwich" и 0 соответственно. Если название нулевого меридиана "Greenwich", то значение его долготы по Гринвичу должно быть равно 0 градусов. Если рассматривается геодезическая СК, а нулевой меридиан не указан, предполагается, что по умолчанию используется гринвичский меридиан.
Если подтип Datum не является геодезической СК, запрещается давать какое-либо описание нулевого меридиана.
Начальный меридиан описан в
В.4.2.2.
11.2.2 Эллипсоид
Если подтипом
Datum является геодезическая СК и указаны географические координаты на эллипсоиде, обязательно задание одного отсчетного эллипсоида. Если подтипом
Datum является геодезическая СК, а координаты указаны декартовы или сферические, указание отсчетного эллипсоида не обязательно; однако, если в составе СК имеется отсчетный эллипсоид, рекомендуется включить его описание - см.
В.4.2.3.
Если подтип Datum не является геодезической СК, запрещается давать какое-либо описание отсчетного эллипсоида.
11.3 Динамические (реализации) СК
Если подтипом
Datum указана геодезическая СК (для геодезии) или система высот, параметры, определяющие реализацию СК, могут включать временную составляющую для описания смещения опорных точек, используемых при установлении реализации СК. В этом случае геодезическая СК или система высот является динамической и включение стандартной эпохи является обязательным атрибутом. Дополнительная информация представлена в
Б.4.
11.4 Объединение данных пониженной точности
Объединение данных пониженной точности (DatumEnsemble) - это прием, облегчающий слияние реализаций одной и той же земной СК или системы высот для пространственных действий более низкой точности. В настоящем стандарте Datum Ensemble представляет собой совокупность двух или более СК, которые являются реализациями одной земной СК или системы высот и которые для всех, кроме самых высоких требований к точности, могут считаться незначительно отличающимися друг от друга. В таком случае наборы данных, относящиеся к различным реализациям, могут быть объединены без дополнительного изменения координат.
Примечание - При строгих требованиях к пространственному положению реализации СК должны рассматриваться отдельно - см.
В.4.7.
При задании реализаций СК объединение данных в одной СК пониженной точности Datum Ensemble может заменять одиночную реализацию СК. Одиночные СК должны сопровождаться указанием начала отсчета (или реализации СК) либо набором Datum Ensemble.
11.5 Системы счета времени
Система счета времени состоит из начального момента времени и календаря.
В настоящем стандарте подразумевается только использование пролептического григорианского календаря со значением по умолчанию "prolepticGregorian".
Примечание - Пролептический григорианский календарь образован путем продолжения григорианского календаря в обратном направлении до дат, предшествующих его официальному введению в 1582 году.
Если календарь явно не указан, предполагается использование пролептического григорианского календаря по умолчанию.
11.6 Блок-схема (UML) систем отсчета
На
рисунке 13 показана блок-схема (UML) для пакета
Datums. Существуют ограничения на связи между типами СК и типами начал отсчета, которые показаны на блок-схеме (UML) на
рисунке 14.
Рисунок 13 - Блок-схема (UML). Начало отсчета и исходные
пункты (datum)
Рисунок 14 - Блок-схема (UML). Связи начала отсчета
и исходных пунктов (datum) с типом СК
Определение классов объектов этого пакета представлено в
таблицах 51 -
65.
Таблица 51
Определяющие элементы класса Datums::Datum
Таблица 52
Определяющие элементы класса Datums::GeodeticReferenceFrame
Таблица 53
Определяющие элементы класса
Datums::DynamicGeodetic-ReferenceFrame
Таблица 54
Определяющие элементы класса Datums::PrimeMeridian
Таблица 55
Определяющие элементы класса Datums::Ellipsoid
Таблица 56
Определяющие элементы класса Datums::SecondDefiningParameter
Таблица 57
Определяющие элементы класса Datums::VerticalReferenceFrame
Таблица 58
Определяющие элементы класса Datums::RealizationMethod
Таблица 59
Определяющие элементы класса
Datums::DynamicVerticalReferenceFrame
Таблица 60
Определяющие элементы класса Datums::ParametricDatum
Таблица 61
Определяющие элементы класса Datums::DefiningParameter
Таблица 62
Определяющие элементы класса Datums::EngineeringDatum
Таблица 63
Определяющие элементы класса Datums::TemporalDatum
Таблица 64
Определяющие элементы класса Datums::Calendar
Таблица 65
Определяющие элементы класса Datums::DatumEnsemble
12 Действия с координатами
12.1 Основные виды действий
В настоящем стандарте используют следующие виды действий с координатами:
а) простейшее действие с координатами. У такого действия есть определенный метод: используется математическая формула вместе с параметрами, используемыми в формуле. При различных действиях с координатами значения параметров зависят от каждого конкретного случая. Конкретно это будет осуществляться через преобразование координат, трансформирование координат или перемещение точки:
1) преобразование координат приводит координаты из одной СК в другую СК на основе того же начала отсчета (одна реализация СК);
2) трансформирование координат приводит координаты из одной СК в другую СК, которая основана на другом начале отсчета (разные реализации СК);
3) перемещение точки изменяет координаты внутри одной СК для учета изменения координат точки со временем за определенный период;
б) составное действие с координатами представляет неповторяющуюся последовательность единичных простейших действий с координатами.
Пример - Изменение координат от СК A к СК B посредством трансформирования координат из СК A в СК C с последующим трансформированием из СК C в СК B.
Последовательность действий с координатами ограничена требованием, чтобы исходная СК на каждом следующем шаге (n + 1) совпадала с конечной СК на предыдущем шаге (n). Исходная СК первого шага и конечная СК последнего шага являются исходной и конечной СК для всего составного действия с координатами. Для последовательности действий из n действий с координатами:
1) исходная СК sourceCRS (составное действие с координатами) = исходная СК sourceCRS (действие с координатами, шаг 1);
2) конечная СК targetCRS (действие с координатами, шаг i) = исходная СК sourceCRS (действие с координатами, шаг i + 1); i = 1 ... (n - 1);
3) конечная СК targetCRS (составное действие с координатами) = конечная СК targetCRS (действие с координатами, шаг n).
На одном или нескольких шагах вместо упомянутых выше прямых действий с координатами может быть использовано обратное действие с координатами, но только в том случае, если обратное действие с координатами однозначно определено как некоторое прямое действие с координатами;
в) частичное действие выполняется только с несколькими координатами из вектора, остальные координаты вектора остаются неизменными.
Пример - Вычисление координат в проекции на основе пространственной геодезической СК на эллипсоиде, когда геодезическая широта и геодезическая долгота преобразуются в плоские прямоугольные координаты в проекции, при этом геодезическая высота не изменяется.
Действия с координатами описаны в
В.5.
12.2 Блок-схема (UML) действий с координатами
На
рисунках 15 и
16 приведены две части блок-схемы (UML) классов для пакета Coordinate Operations. Как указано в примечании на
рисунке 15, на
рисунке 16 изображены дополнительные классы и связи из класса единичных простейших действий SingleOperation, показанного на
рисунке 15. Определение классов объектов пакета Coordinate Operations представлено в
таблицах 66 -
83.
Рисунок 15 - Блок-схема (UML). Пакет действий с координатами
Coordinate Operations, ч. 1
Рисунок 16 - Блок-схема (UML). Пакет действий с координатами
Coordinate Operations, ч. 2
Рисунок 17 - Блок-схема (UML). Связи СК (CRS) с действиями
с координатами Coordinate Operations
Таблица 66
Определяющие элементы класса Coordinate
Operations::Coordinate Operation
Окончание таблицы 66
Таблица 67
Определяющие элементы класса Coordinate
Operations::PassThrough Operation
Таблица 68
Определяющие элементы класса Coordinate
Operations::Concatenated Operation
Таблица 69
Определяющие элементы класса Coordinate
Operations::SingleOperation
Таблица 70
Определяющие элементы класса Coordinate
Operations::Transformation
Таблица 71
Определяющие элементы класса Coordinate
Operations::Conversion
Таблица 72
Определяющие элементы класса Coordinate
Operations::PointMotion Operation
Таблица 73
Определяющие элементы класса Coordinate
Operations::OperationMethod
Таблица 74
Определяющие элементы класса Coordinate Operations::Formula
Таблица 75
Определяющие элементы класса Coordinate
Operations::GeneralOperation Parameter
Таблица 76
Определяющие элементы класса Coordinate
Operations::Operation ParameterGroup
Таблица 77
Определяющие элементы класса
CoordinateOperations::Operation Parameter
Таблица 78
Определяющие элементы класса
CoordinateOperations::GeneralParameter Value
Таблица 79
Определяющие элементы класса
CoordinateOperations::ParameterValue Group
Таблица 80
Определяющие элементы класса
CoordinateOperations::Operation ParameterValue
Таблица 81
Определяющие элементы класса
CoordinateOperations::ParameterValue
Окончание таблицы 81
Таблица 82
Определяющие элементы класса
CoordinateOperations::GeographicObject
Таблица 83
Определяющие элементы класса
Coordinate Operations::Register Operations
В настоящем стандарте класс CoordinateOperation имеет две цели:
а) описать действие с координатами;
б) применить изменение координат.
Действие
CoordinateOperation.transform(CoordinateSet) применяет действие к координатам в наборе. Оно и его ограничения показаны на
рисунке 6 и приведены в
разделе 7. Только те атрибуты, которые относятся к описанию действий с координатами, показаны на
рисунках 15 и
16 и в следующих таблицах.
На блок-схеме (UML) классов пакета
Coordinate Operations показаны два признака с именами
Source и
Target из класса
CoordinateOperation в класс реализаций СК
CRS. Они указывают СК, из которой берутся координаты, и СК, в которую приводятся координаты соответственно; они составляют часть определения действия с координатами. Их не следует путать с преобразованием в классе
CoordinateOperation, которое воздействует на координаты, как описано в
разделе 7. Признаки
Source и
Target являются обязательными для всех действий с координатами, кроме преобразования координат. Преобразования координат, которые являются частью определения производной СК, не используют эти ассоциации; исходная и конечная СК для такого определяющего преобразования координат идентифицируются посредством признака
DerivedCRS с
SingleCRS, при этом базовая СК служит исходной СК для преобразования координат.
На блок-схеме (UML) классов пакета Coordinate Operations также показан дополнительный признак класса CoordinateOperation к классу СК под названием Interpolation. В некоторых простейших действиях используются методы, включающие интерполяцию внутри сетки для получения конкретных значений параметров преобразования (например, временного). СК, используемая для интерполяции, может отличаться от исходной или конечной СК. Признак Interpolation определяет СК, которая будет использоваться для интерполяции.
Пример - Вертикальные разности между двумя реализациями систем высот, интерполированные с сетки. Имеются исходная и конечная системы высот, при этом для интерполяции используется географическая СК, в которой заданы узлы сетки.
(обязательное)
А.1 Требования соответствия. Общие положения
Чтобы проверить соответствие СК или действий с координатами настоящему стандарту, следует проверить, удовлетворяют ли они требованиям своего класса соответствия, приведенным в
А.2 -
А.4. Соответствие должно быть протестировано в отношении обязательных и условных элементов (если условие истинно), описанных в
разделах 7 -
12.
Таблица А.1
Критерий | Требования |
Метаданные координат | |
Определение СК | |
Определение действия с координатами | |
К каждому из приведенных далее классов предъявляются следующие требования:
а) цель проверки: определить, все ли соответствующие объекты и элементы, которые определены как обязательные или обязательные при указанных условиях, были предоставлены в определении;
б) идентификатор тестового примера: проверка полноты;
в) тип проверки: на возможность;
г) метод проверки: проверяют описание объекта, чтобы убедиться, что оно включает, как минимум, все элементы, указанные как обязательные для этого типа системы, и что оно использует соответствующие типы данных для этих элементов и вхождения этих элементов.
А.2 Требования к метаданным координат
Требования к описанию ссылки на СК приведены в
таблице А.2.
Таблица А.2
Соответствие описания набора координат некоторой СК
Класс соответствия | Описание | Требования |
1 | Привязка набора координат в статическую СК со статическим началом и исходными пунктами | |
2 | Привязка набора координат в динамическую СК с динамическим началом и исходными пунктами | |
А.3 Требования к определению СК
Требования к определению СК приведены в
таблице А.3. Основное требование приведено в
графе 4, при этом наследуются дополнительные требования для ассоциаций, атрибутов и/или ограничений из таблиц, приведенных в
графе 5. Соответствие требует соблюдения требований во всех таблицах, перечисленных для этого класса соответствия.
Таблица А.3
Требования к определению СК
Класс соответствия | Описание | Требования |
| связи и зависимости, приведенные в таблицах |
разделе | таблице |
3 | Задание статической (прямоугольной или сферической) СК для геодезии | | - | |
| | |
| | |
| | |
| Задание динамической (прямоугольной или сферической) СК для геодезии | | - | |
| | |
| | |
| | |
5 | Задание производной (прямоугольной или сферической) СК для геодезии | | - | |
| | |
| | |
| | |
| | |
6 | Задание статической географической геодезической СК (на эллипсоиде) | | - | |
| | |
| | |
| | |
7 | Задание динамической географической СК (на эллипсоиде) | | - | |
| | |
| | |
| | |
8 | Задание производной географической геодезической СК (на эллипсоиде) | | - | |
| | |
| | |
| | |
| | |
9 | Задание СК проекции | | - | |
| | |
| | |
| | |
| | |
10 | Задание производной СК проекции | | - | |
| | |
| | |
| | |
| | |
11 | Задание статической системы высот | | - | |
| | |
| | |
| | |
12 | Задание динамической системы высот | | - | |
| | |
| | |
| | |
13 | Задание производной системы высот | | - | |
| | |
| | |
| | |
| | |
14 | Задание параметрической СК | | - | |
| | |
| | |
| | |
15 | Задание производной параметрической СК | | - | |
| | |
| | |
| | |
| | |
16 | Задание инженерной СК | | - | |
| | |
| | 29, 48, 49, 50 и как минимум одна из 30, 31, 32, 34, 35, 37, 38. Если 35, то см. также 46 |
| | |
17 | Задание производной инженерной СК | | - | |
| | |
| | |
| - | |
| | |
| | |
18 | Задание даты-времени dateTime | | - | |
| | |
| | |
| | |
19 | Задание системы дискретного исчисления времени temporal count | | - | |
| | |
| | |
| | |
20 | Задание системы непрерывного измерения времени temporal measure | | - | |
| | |
| | |
| | |
21 | Задание производной шкалы времени | | - | |
| | |
| | |
| | |
| | |
| Задание СК общего вида (сниженной точности) | | | Также требования выше для соответствующих классов 4 - 22 |
23 | Задание составной СК | | - | |
| | |
А.4 Требования к описанию действий с координатами
Требования соответствия определения действия с координатами приведены в
таблице А.4. Основное требование показано в таблицах, приведенных в
графе 4, но она наследует дополнительные требования для ассоциаций, атрибутов и/или ограничений из таблиц, приведенных в
графе 5. Соответствие требует соблюдения требований во всех этих таблицах.
Класс соответствия 24 относится к преобразованиям координат между двумя независимыми СК: преобразования, используемые в производных определениях СК, включены в
А.3.
Таблица А.4
Требования к определению действий с координатами
Класс соответствия | Описание | Требования |
| связи и зависимости, приведенные в таблицах |
разделе | таблице |
| Задание преобразования координат (исключая преобразования, поддерживающие производную СК, требования к которой приведены в таблице А.3) | | | |
| - | |
| - | |
25 | Задание трансформирования координат | | | |
| - | |
| - | |
26 | Задание движения/перемещения точки | | | |
| - | |
| - | |
27 | Задание составного действия с координатами координат | | | |
| - | |
| - | |
28 | Задание частичного преобразования | | | |
| - | |
| - | |
(справочное)
ПРОСТРАНСТВЕННАЯ ПРИВЯЗКА С ИСПОЛЬЗОВАНИЕМ КООРДИНАТ.
СВЕДЕНИЯ ИЗ ГЕОДЕЗИИ
Б.1 Некоторые справочные понятия
Объектом настоящего стандарта являются координаты, определяющие положение точки. Создание и поддержание упорядоченных СК в геодезии обеспечивает непротиворечивую стабильную основу для определения местоположения и навигации.
Геодезия занимается определением фигуры Земли, ее вращением и внешним гравитационным полем, их изменениями во времени, а также картографированием ее поверхности. Определение фигуры Земли включает в себя изучение физической и уровенной поверхности Земли, их изменений и деформаций в результате земных приливов и деформаций земной коры. Знание вращения Земли и его неравномерностей обеспечивает связь небесной и земной СК. Гравитационное поле Земли связано с изменениями плотности распределения масс как Земли, так и атмосферы; его пространственные и временные вариации проявляются в смещении центра масс Земли - геоцентра.
Пространственно-временные системы отсчета являются основными поддерживаемыми элементами космической геодезии и астрометрии, в которых можно измерять изменения пространственных положений. В геодезии они называются системами координат, для Земли - земной системой координат (reference system). Принципы идеальной СК (reference system) воплощаются через конкретную реализацию СК (reference frame). В геодезической науке для универсального определения положения точек на Земле применяется Международная земная СК ITRS. Она существует в виде нескольких реализаций, называемых ITRF.
В терминологии настоящего стандарта под СК понимается практическая геодезическая реализация, привязанная к конкретным объектам.
Б.2 Поверхности в геодезии
Физическая поверхность Земли с ее рельефом крайне нерегулярна и непригодна в качестве координатной поверхности. Более гладкой является уровенная поверхность, с которой удалена вся топография. Такая уровенная поверхность, которая лучше всего приближается к уровню моря, называется геоидом. Это уровенная поверхность, которую могли бы принимать океаны в идеальных условиях: при отсутствии течений, колебаний атмосферного давления, колебаний температуры, солености, химического состава и т.д.
Начало счета высот исторически определялось как средний уровень моря в одном или нескольких местах, осредненный за определенный длительный период времени. Далее система высот распространялась на суше с помощью геометрического нивелирования и измерений силы тяжести, которые в сумме дают приращения потенциала. В ближайшее время может быть принято единое значение потенциала силы тяжести для отсчета геопотенциальных чисел, а также связанных с ними высот (и глубин). В настоящем стандарте такие высоты называются физическими высотами над уровнем моря (
H). Геодезия различает несколько типов физических высот над уровнем моря: динамические
Hd, ортометрические
Hg, нормальные
, нормально-ортометрические
Hno (а также приближенные
H*) - их точное определение и методы вычисления выходят за рамки настоящего стандарта. На
рисунке Б.1 схематически показаны отрезки, численно соответствующие ортометрической и нормальной высотам точки земной поверхности
W.
Рисунок Б.1 - Высоты над уровнем моря и эллипсоид
Форму геоида определяют неравномерности распределения масс внутри Земли. Его неровности, а также невозможность точного определения делают геоид непригодным для его использования в качестве координатной поверхности для решения геометрических задач.
Для геометрических задач (обработка сетей и картографирование) используется отсчетная поверхность сжатого эллипсоида вращения, который также является уровенным в физических задачах теории фигуры Земли. Расстояние от точек геоида до отсчетного эллипсоида, высоты геоида, не превосходят 110 м.
Существует множество эллипсоидов. Размер, форма, положение и ориентировка эллипсоида в теле Земли подбираются из различных исходных данных и различных накладываемых условий (каждый вариант выбора иногда называют datum, что по сути отражается в исходных геодезических датах - наборе координат исходных пунктов). На ограниченной территории эллипсоид подбирался максимально близким к уровенной поверхности геоида, так что в доспутниковую эпоху реализации СК не могли получиться геоцентрическими из-за местных уклонений отвесной линии. Как выяснилось позже, начала отсчета СК отстояли от геоцентра на сотни метров. Таковы региональные геодезические СК:
- ED50 (Европейская система отсчета 1950 г.);
- NAD27 (Североамериканская система отсчета 1927 г.);
- СК-42 (Система координат 1942 г.),
которые получены из обработки и уравнивания сетей на референц-эллипсоидах, являющихся наиболее подходящими к геоиду в пределах сети.
Изменение размера, формы, положения или ориентировки эллипсоида приводит к изменению геодезических координат точки на Земле. Следовательно, геодезические координаты - широта и долгота - существенно зависят от СК.
В геодезической СК пространственное положение точки выражается с помощью геодезической широты
B, геодезической долготы
L и геодезической высоты
H. При этом удобно объединять плановые координаты
B,
L и физическую высоту над уровнем моря. Такое объединение является примером составной СК (см.
В.2.2.3).
Совсем недавно использование геодезических координат для геометрических задач было заменено использованием трехмерной геоцентрической декартовой СК (
X,
Y,
Z). С появлением систем спутникового позиционирования такие СК являются практически геоцентрическими: ось
Z совмещена со средней осью вращения Земли, ось
X направлена на пересечение плоскости экватора и начального меридиана (параллельно плоскости астрономического меридиана Гринвичской обсерватории, см.
В.4.2.2), ось
Y дополняет СК до правой.
Б.3 Статические и динамические СК
Исторически национальные и региональные геодезические СК реализовывались через координаты геодезических пунктов на поверхности Земли. Эти точки движутся вместе с тектонической плитой, и для наблюдателя на тектонической плите координаты кажутся неизменными во времени. Такая СК без учета изменения взаимного положения удаленных точек называется статической (например, ETRF89 в Европе и GDA2020 в Австралии).
В современной геодезии подразумевается, что поверхность Земли деформируется, и взаимное положение точек меняется, что должно отражаться в координатах точек. Изменение координат во времени может быть включено в определение геодезической СК или же в виде модели деформации земной коры. СК, в которой координаты меняются во времени, называется динамической.
Когда СК описывает положение геодезических пунктов на Земле глобально в среднем, учет взаимного перемещения отдельных тектонических плит (хотя и медленно, несколько сантиметров в год) приводит к медленному изменению координат точек и внутри одной плиты. Примеры включают реализации ITRF системы ITRS, используемые в ГНСС, таким как WGS 84 в GPS, ПЗ-90 в ГЛОНАСС и т.д.
Тектонические плиты могут подвергаться локальной деформации, вызванной землетрясениями или послеледниковым поднятием (Скандинавия). Эти деформации могут быть смоделированы, как правило, в виде скоростей в узлах сетки. СК, имеющая дополнительную модель деформации, является динамической независимо от того, закреплена ли она только пунктами на плите или по всей земле.
Для практического применения на ограниченной территории динамическая СК не всегда удобна. Пользователи предпочитают, чтобы координаты точек на обширных стабильных участках тектонических плит были практически постоянными. Региональные и национальные СК могут быть определены как привязанные к местной тектонической плите, при этом их определение задается версией ITRF на выбранную эпоху СК, когда они совпадают. Из-за смещения тектонической плиты, к которой привязана фиксированная плита, связь между глобальной СК и региональной/национальной СК (на текущей плите) будет медленно меняться со временем. Преобразование между глобальной и такой СК содержит зависимость от времени.
Б.4.1 Введение
В настоящем стандарте "Эпоха" - это момент времени. В григорианском календаре год указывается в виде десятичной дроби, где yyyy,00 означает полночь в начале 1 января года "yyyy". Если требуется преобразовать эпоху в дату по григорианскому календарю или из нее, принимая любой из 365, 365,25 или 366 дней в качестве длины года, этого вполне достаточно для работы с линейным смещением тектонических плит.
Пример - 2017-03-25 по григорианскому календарю есть эпоха 2017,23.
В динамических СК выделяют основные эпохи:
а) эпоха СК;
б) эпоха координат;
в) эпоха трансформирования, которая имеет две формы:
1) эпоха трансформирования для трансформирования, выполненного в СК на определенную эпоху;
2) эпоха параметров для параметров трансформирования, зависящего от времени.
Подробное описание приведено далее, на
рисунке Б.2 изображена примерная схема моментов эпох на временной шкале.
Рисунок Б.2 - Эпохи: СК, координат,
трансформирования и параметров
Б.4.2 Эпоха СК
Одним из атрибутов динамической СК является стандартная опорная эпоха, в которой определяются координаты и скорости опорных пунктов СК. Стандартная опорная эпоха СК выбирается при обработке данных во время вывода СК. Это не обязательно та же эпоха, что и год в названии реализации, который может быть последним годом, в котором были собраны измерения, или может быть датой публикации. Дата в названии реализации указывает на порядковый номер реализации, но, кроме этого, не имеет существенного значения (это просто имя).
Б.4.3 Эпоха координат
В динамической СК координаты точки на поверхности Земли могут меняться со временем. Чтобы быть однозначными, координаты всегда должны сопровождаться указанием эпохи, к которой они отнесены. Часто это выражается в виде, представленном в
таблице Б.1.
Форма | Пример |
<название СК> на эпоху T | ITRF2008 на эпоху 2017,53 |
<название СК> эпоха T | ITRF2008 эпоха 2017,53 |
<название СК> @ T | WGS 84 (G1762) @ 2017,53 |
Важно понимать, что во всех этих примерах суффикс "2017,53" относится к координатам. Он не принадлежит СК и, следовательно, никоим образом не изменяет определение ITRF2008 (которая имеет эпоху СК 2005,0) или WGS 84 (G1762).
Координаты набора данных могут быть приведены на любую другую эпоху. Для этого часто используются модели смещения плит или другие модели деформации земной коры, когда оценки скоростей изменений координат недоступны. Такие модели упрощают приведение координат, например, с ITRF2008 в эпоху 2017,53 к ITRF2008 в эпоху 2005,0.
Б.4.4 Эпоха трансформирования
В случае пространственных координат трансформирование координат между двумя СК часто задается преобразованием подобия (Гельмерта). На плоскости преобразование Гельмерта имеет четыре параметра; в трехмерном пространстве он имеет семь параметров, состоящих из перемещения, вращения и масштабирования.
Для трансформирования координат между динамическими СК и между динамическими и статическими СК стандартное 7-параметрическое преобразование подобия (Гельмерта) для трехмерного пространства дополняется одним из следующих моментов:
а) трансформирование действительно только на определенную эпоху - эпоха трансформирования. Это иногда называют преобразованием с восемью параметрами: семь параметров Гельмерта и эпоха трансформирования. Требуются дополнительные способы учета смещений земной коры в реперную эпоху трансформации;
б) сами параметры зависят от времени, эпоха параметров определяет дату, на которую действительны указанные значения семи параметров Гельмерта. Но каждый из семи параметров имеет линейную скорость изменения и должен быть скорректирован с учетом разницы между эпохой координат и эпохой параметров перед применением трансформирования. Это часто называют 14-параметрическим (семь параметров и семь скоростей) или, что более уместно, 15-параметрическим преобразованием (семь параметров, семь скоростей и эпоха параметров).
Примечание - Для вычисления скоростей изменения параметров трансформирования практически требуются хотя бы два набора параметров, каждый из которых вычислен на свою эпоху трансформирования по координатам, приведенным на одну эпоху координат по методике своей СК. Получив скорости изменения параметров, их можно привести на любую эпоху параметров для трансформирования наборов координат в разных СК, но приведенных на свою эпоху координат. При преобразовании координат геометрические параметры редуцировать на эпоху не следует, т.к. они не вычисляются эмпирическим путем. Если хотя бы одна из СК статическая, эпоха трансформирования определяется последней эпохой координат.
Б.5 Картографические проекции
Вычисления пространственных элементов на поверхности эллипсоида непросты. Работать в плоских прямоугольных координатах значительно проще. Такие координаты могут быть получены из геодезических координат с использованием картографической проекции. Поскольку невозможно изобразить выпуклую поверхность эллипсоида на плоской поверхности карты без деформации, наиболее часто ставится условие конформного изображения, заключающегося в сохранении углов и соотношении длин, бесконечно малые квадраты изображаются как квадраты. Примером конформной картографической проекции является поперечная проекция Меркатора. В конформной проекции другие параметры, например масштаб, содержат искажения, и СК проекции может использоваться без учета этих искажений только там, где эти ошибки пренебрегаемы. Другие проекции (равноплощадные, равнопромежуточные) вводятся под другими условиями.
Прямоугольные координаты x, y в плоскости проекции не имеют общего стандарта для направления осей: в некоторых сообществах ось x направлена на восток, в других x - на север, в третьих x - на юг.
Во всех случаях направлением на север, используемым для ориентирования, является север карты, а не местный геодезический север. Разница между ними называется сближением меридианов.
(справочное)
ПРОСТРАНСТВЕННАЯ ПРИВЯЗКА ПО КООРДИНАТАМ.
ОСОБЕННОСТИ МОДЕЛИРОВАНИЯ
Геометрия пространственных объектов может быть выражена в терминах инвариантных геометрических величин, таких как форма и взаимное положение/ориентация (объективно, только отношения расстояний и углы являются инвариантными величинами). Однако было бы непрактично выполнение вычислений по таким пространственным данным - это потребовало бы больших усилий. Выражение положения точки с помощью координат привносит простоту с точки зрения наглядности и вычислений. Однако это более трудоемко. Для описания простой формы, такой как треугольник на плоскости, вместо одного отношения расстояний и одного угла требуется шесть координат. Присущие степени свободы (четыре на двухмерной поверхности, семь в трехмерном пространстве) должны быть удовлетворены путем выбора начала отсчета координат, задания единиц измерения и установления ориентации осей. Этот выбор подчеркивает тот факт, что координаты - это величины, определяемые человеком (существующие в его воображении), а не наблюдаемые непосредственно явления природы. Хотя это может показаться само собой разумеющимся, это часто упускают из виду, и это имеет последствия для интерпретации координат и их характеристик ошибок.
СК фиксирует значения параметров, определяющих степени свободы в пространстве. Тот факт, что такой выбор должен быть сделан, приводит к тому, что во всем мире используется большое количество СК. Это также является причиной того интересного факта, что широта и долгота точки не уникальны. Без полного описания СК координаты в лучшем случае неоднозначны, а в худшем - бессмысленны. Однако для некоторых целей обмена достаточно подтвердить идентичность системы, не обязательно имея полное определение системы.
В.1.2 Координаты в динамической СК
Традиционно координаты, описывающие объекты на поверхности Земли, были статическими, т.е. не менялись со временем. Современные СК могут быть статическими, но некоторые (в том числе используемые в ГНСС) являются динамическими, т.е. координаты точек могут изменяться во времени. Статические и динамические СК описаны в
Б.3 В динамической СК полного описания задания СК недостаточно для устранения неоднозначности в координатах: требуется также эпоха координат. Эпоха координат является атрибутом самих координат, а не частью описания СК.
Геометрические расчеты (см.
[1]) с использованием координат, привязанных к динамической СК, могут быть выполнены только в том случае, если координаты сначала приведены к одной эпохе координат. В настоящем стандарте координаты в наборе должны быть приведены к одной СК и к одной эпохе координат. Настоящий стандарт не позволяет объединять отдельные векторы координат с разными эпохами координат в одном наборе. Перед объединением в набор координаты должны быть сначала приведены к одной выбранной эпохе координат.
В.1.3 Изменение эпохи координат
Изменение координат из СК 1 в эпоху координат 1 к СК 2 в эпоху координат 2 может быть достигнуто тремя путями:
а) два действия с координатами: сначала изменение эпохи координат, затем преобразование координат из СК 1 в СК 2;
б) два действия с координатами: сначала преобразование координат из СК 1 в СК 2, затем изменение эпохи координат;
в) непосредственно через одно действие с координатами, объединяющее предыдущие два действия.
Теоретически, эти три подхода равноценны, практически - не всегда, т.к. действия с координатами обычно сопровождаются потерей точности, да и значения параметров для каждого из возможных пяти действий с координатами могут быть вычислены отдельно. Кроме того, на практике данные могут быть недоступны для всех способов, также может потребоваться изменение эпохи координат на какое-то время, отличное от эпохи координат 1 или 2, что вводит дополнительные шаги в цепочку преобразований.
В.1.4 Задание СК
Разработчиков предупреждают о том, что в любом реестре ошибки в данных могут быть исправлены по правилам этого реестра, как это определено ответственным органом. ПО, ссылающееся на реестр, должно иметь алгоритмы выявления ошибочных данных, чтобы иметь возможность вычислять требуемые данные (как правило, самая актуальная информация поступает из регистра, но иногда встречаются параметры прошлых лет, которые до сих пор ошибочно используются).
В настоящем стандарте применена следующая классификация:
а) геодезическая пространственная СК, связанная с двухмерными или трехмерными геодезическими координатами. В настоящем стандарте геодезические координаты на отсчетном эллипсоиде названы географическими, следовательно, географическая СК должна быть связана с отсчетным эллипсоидом. СК с декартовыми или сферическими координатами обычно, но не обязательно, связана с отсчетным эллипсоидом. Географическая СК с использованием трехмерных геодезических координат [геодезическая широта, геодезическая долгота и геодезическая высота] используется для точек на, над или под отсчетным эллипсоидом. В географических двухмерных координатах отбрасывают геодезическую высоту. Геодезические высоты не могут существовать независимо, а только как неотъемлемая часть пространственного вектора координат, определенного в пространственных географических координатах. СК с использованием трехмерных декартовых координат используется при описании положений относительно начала координат в центре масс Земли и средней оси вращения Земли. СК может быть статической или динамической - см.
Б.3;
б) система высот определяет физические высоты над уровнем моря. Универсальной мерой различия точек по высоте является геопотенциальное число, определяемое направлением течения жидкости.
Примечание - Глубина иногда измеряется вдоль линии, которая локально не следует направлению отвеса. Примером может служить глубина нефтяной или газовой скважины, где она обычно измеряется вдоль траектории ствола скважины. Этот путь может отличаться от местной вертикали. Тем не менее, расстояние по траектории ствола скважины также называется глубиной.
Метод распространения системы высот является ее необязательным атрибутом. Некоторые системы высот распространяются через модель высот (квази)геоида - см.
В.4.3. В настоящем стандарте модель высот (квази)геоида описывается как преобразование координат. При этом методом реализации системы высот будет "(квази)геоид". Затем система высот должна быть связана с преобразованием координат модели геоида через
HeightTransformation блок-схемы (UML). Геодезическая СК, в которой задана модель высот (квази)геоида, является опорной СК для преобразования. Высоты (квази)геоида могут быть привязаны более чем к одной геодезической СК, и в этом случае будет более одного
HeightTransformation. Система высот может быть статической или динамической - см.
Б.3;
в) инженерные. Инженерные СК, которые используются только в локальном смысле. Этот тип используется для следующих локальных СК:
1) строительные сетки, применяемые для инженерных изысканий на поверхности Земли или вблизи нее строго на ограниченной территории;
2) объектоцентрические координаты на движущихся платформах; транспортные средства, суда, самолеты или космические корабли;
3) внутренние координаты на изображениях или в датчиках изображений.
Для инженерных СК на поверхности Земли или вблизи нее термин "локальный" означает "пространственно локальный". Эти инженерные СК обычно основаны на плоской отсчетной поверхности: в вычислениях используют простую плоскую геометрию без учета поправок на кривизну Земли. Другие местные работы не обязательно связаны с этой инженерной СК - многие из них будут привязаны к геодезической, географической или СК проекции. Инженерную СК используют только те, которые не имеют указаний на другие СК.
Объектоцентрические СК на движущихся платформах обычно представляют собой промежуточные СК, которые требуются для вычисления координат, привязанных к геодезическим или СК проекции из других инструментальных СК в датчиках, установленных на платформе. Эти инженерные СК подвержены всем перемещениям платформы, с которой они связаны. В этом случае "локальный" означает, что связанные координаты имеют смысл только относительно движущейся платформы. В пространственном смысле их применимость может простираться от непосредственной близости от платформы (например, движущегося корабля) до всей Земли (например, в космических приложениях). Определяющим фактором является математическая модель, используемая в вычислениях. Преобразование координат из таких инженерных СК на движущихся платформах в земные СК включает зависящие от времени параметры.
Для инженерных СК, используемых при описании внутреннего положения на изображениях, "локальный" означает внутреннюю СК изображения или датчика изображения. В настоящем стандарте СК имеет оси с непрерывной нумерацией и шагом. Целочисленная дискретная нумерация осей может использоваться, когда координаты отражают регулярно расположенные последовательные индексы. Пример приведен в
Д.2.8. Сетки в целом и, в частности, нерегулярные сетки описаны в
[9]. Внутренняя СК может быть географически привязана к геодезической, географической или СК проекции посредством преобразования координат, либо прямо, либо косвенно через инженерную СК или локальную объектоцентрическую СК сенсорной платформы;
г) параметрические СК. Научные сообщества, особенно те, которые занимаются науками об окружающей среде, часто частично выражают пространственное положение в значениях параметра - некоторой физической величины. Этот параметр или функция рассматривается как третья координата. Его связь с пространственным приращением обычно нелинейна. Примеры широко известны: часто встречаются широта, долгота и давление; давление используется в качестве показателя высоты, но его связь с высотой сложна. Примеры параметрических СК приведены в
Д.3;
д) временные СК. В настоящем стандарте система времени определяется так же, как и другие основные подтипы: система исчисления и начало, привязывающие систему к объекту - времени на Земле. Настоящий стандарт поддерживает системы времени, достаточные для пространственно-временной привязки. В настоящем стандарте единственным используемым календарем является пролептический григорианский календарь, как определено в
ГОСТ Р 7.0.64. Другие календари и их преобразования в григорианский календарь
ГОСТ Р 7.0.64 не поддерживаются. Системы времени описаны в
приложении Г. Примеры систем времени приведены в
Д.4.
В.2.2 Дополнительные типы СК
В.2.2.1 Введение
Помимо основных классов, описанных выше, для описания некоторых данных и ограничений выделяют дополнительные классы:
а) производные системы;
б) производная СК проекции, но выделяется исключительно из-за ее важности в описании географической информации;
в) составные СК.
Некоторые СК определяются путем преобразования координат в другую ранее существовавшую СК. Например, СК, в которой была изменена единица измерения по осям. Такая система СК называется производной, а СК, из которой она была получена, называется базовой (исходной) СК. Все разновидности координат одной СК могут быть либо базовой, либо производной СК. Однако производная СК наследует начало отсчета и исходные пункты от базовой СК. Поскольку тип СК обычно соответствует типу данных, это наследование означает, что большинство производных СК относятся к тому же типу, что и их базовая СК. Например, если базовая СК имеет в составе нелинейный параметр, производная СК наследует это, и поэтому ее тип "производная параметрическая СК".
СК проекции получается из геодезической СК путем применения преобразования координат, известного как картографическая проекция. СК проекции (ProjectedCRS) моделируется как класс объектов под собственным именем, а не как производная СК (DerivedCRS) типа "проекция", в соответствии с общепринятой практикой, согласно которой СК проекции являются одним из наиболее часто встречающихся координат, используемых в географической информации. Хотя теоретически базовой СК для СК проекции может быть любая геодезическая СК, и блок-схема (UML) на это указывает, на практике базовой СК для СК проекции обычно служит географическая СК. Картографическая проекция применяется к значениям геодезических широты и долготы.
СК проекции может выступать в качестве базовой СК для другой производной СК проекции, например сетки сейсмических поправок. Производная СК проекции наследует все искажения базовой СК проекции в дополнение к ошибкам реализации самой СК.
Тип производной СК обычно должен соответствовать базовой СК. Например, производная от инженерной СК должна также быть инженерной. Исключениями являются СК, применяемые в геодезии:
а) СК с декартовыми или сферическими координатами может выступать в качестве базовой СК для другой подобной СК или, если определение СК включает эллипсоид, для географической СК, имеющей геодезические координаты;
б) географическая СК (на эллипсоиде) может выступать в качестве базовой СК либо для другой географической СК, либо для СК с декартовыми или сферическими координатами;
в) либо СК для геодезии, либо (чаще всего) географическая СК может выступать в качестве основы для СК проекции: СК проекции должна иметь декартовы координаты;
г) СК проекции может выступать как базовая СК для производной СК проекции.
Если производная СК проекции двухмерная, она может иметь либо аффинные, либо декартовы, либо полярные координаты, либо целочисленную порядковую оцифровку осей (как для пикселей изображения или камеры). Если СК проекции трехмерная, допускаются цилиндрические или сферические координаты.
Если новая СК не наследует начало и исходные пункты, посредством которой она определена, то она не является производной СК. Например:
- национальная СК для геодезии может быть определена относительно одной из международных земных СК и может совпадать с ITRF в некоторую определенную эпоху СК. Поскольку национальная СК имеет свою собственную СК и не наследует ITRF, она задается как основная базовая СК, а не производная СК. Национальная СК может быть связана с ITRF через преобразование координат;
- система высот на основе модели высот (квази)геоида, заданной в узлах географической СК, не является производной системой, поскольку такая система высот не наследует геодезическую СК базовой географической СК, а имеет свои собственные исходные пункты. В настоящем стандарте модель высот (квази)геоида описывается как преобразование координат. Система высот связана с преобразованием координат через преобразование высоты, посредством которой исходная географическая СК может быть обнаружена. См.
пример в Д.2.10 с описанием системы высот на основе модели высот (квази)геоида и
пример в Д.5.2 для описания связанной модели высот (квази)геоида.
Удобное разделение плана и высоты привело к СК, которые являются плановыми (2D) и высотными (1D) по своей природе, в отличие от действительно трехмерных координат. Такое объединение плановых координат точки с высотой (или глубиной) из системы высот является установившейся практикой.
СК, к которой относятся эти двухмерные + одномерные координаты, представляет собой набор различных плановых и высотных систем, к которым может быть добавлена система измерения времени, - такая система называется составной СК. Она состоит из последовательности двух или более разнородных СК, ни одна из которых сама по себе не может быть составной и которые не зависят друг от друга
<1>. СК независимы друг от друга, если координаты одной не могут быть преобразованы или трансформированы в координаты другой. Как правило, составная СК может содержать любое количество независимых СК.
--------------------------------
<1> При обработке сетей почти всегда требуется привлечение других данных, которые при этом рассматриваются как безошибочные.
Порядок координат в векторе, который относится к составной СК, во-первых, соответствует порядку СК в составе системы, во-вторых, внутри каждой из них координаты следуют порядку осей каждой СК. Не существует предписанного порядка для последовательности отдельных СК, но рекомендуется, чтобы плановая часть предшествовала высотной, а пространственная - временной.
Когда более двух СК объединяются при формировании составной СК, вложение составных СК не допускается; вместе объединяются отдельные элементарные системы. В
таблице В.1 приведены примеры составных СК.
Таблица В.1
Тип составной СК | Типы составляющих СК |
Пространственная | Двухмерная географическая + система высот Двухмерная географическая + одномерная инженерная (высота вычисляется по местной вертикали) Двухмерная СК проекции + система высот Двухмерная СК проекции + одномерная инженерная (высота вычисляется по местной вертикали) Двухмерная инженерная (плановая) + система высот Одномерная инженерная (линейная) + система высот |
Пространственно-временная | Двухмерная плановая + временная Пример - Двухмерная географическая + временная Включение нескольких независимых систем измерения времени также допустимо |
Пространственно-параметрическая | Двухмерная плановая + параметрическая Пример - Двухмерная СК проекции + параметрическая Включение нескольких независимых параметров допустимо |
Пространственно-параметрическая и временная | Любые пространственно-параметрические плюс временные Пример - Двухмерная географическая + параметрическая + временная |
Если требуется составить сводку координат, которые не являются независимыми друг от друга, их не следует описывать как составную СК, а вместо этого следует рассматривать как несколько независимых СК. Например, чтобы свести в таблице четыре координаты: широту, долготу, восток и север, то двухмерные географические + двухмерные проекции не допускается использовать в качестве составной СК, т.к. координаты в СК проекции не являются независимыми от географических координат: они могут быть преобразованы или трансформированы между системами. Должна быть сделана двойная таблица широты и долготы в географической СК, и востока и севера в СК проекции, даже если СК проекции имеет географическую СК в качестве базовой.
В.3 Математические координаты
В.3.1 Общие сведения
Координаты точек относятся к определенной СК и часто определяются набором координатных линий (осей) СК в пространстве. Это также подразумевает набор математических правил, определяющих, как координаты связаны с инвариантными величинами, такими как углы и расстояния. Другими словами, СК подразумевает, как координаты вычисляются из геометрических элементов, таких как расстояния и углы и наоборот. Вычисления при получении углов и расстояний из координат точек на плоскости изображения и наоборот представляют собой простую евклидову двухмерную геометрию. Чтобы сделать то же самое на поверхности эллипсоида (искривленном двухмерном многообразии), требуется более сложная сфероидическая геодезия. Ее методы не могут быть даны в замкнутом виде, но вытекают из геометрических свойств эллипсоида.
Примечание - Расстояния не являются инвариантными величинами, так как они могут быть выражены в несистемных единицах. Отношения расстояний инвариантны.
В.3.2 Декартовы координаты
Декартовы координаты - частный случай аффинных координат (см.
рисунок 11). Блок-схема (UML) связи координат с СК на
рисунке 12 показывает как аффинные координаты
(affineCS), так и декартовы координаты
(CartesianCS) в объединенных классах инженерные СК
(EngineeringCS) и производных СК проекции
(DerivedProjectedCS). Это совершенно необязательно, т.к. указание аффинных координат подразумевает декартовы. Декартовы координаты
(CartesianCS) включены в классы инженерных СК
(EngineeringCS) и производных СК проекции
(DerivedProjectedCS), чтобы подчеркнуть, что инженерные СК и производные СК проекции могут иметь декартовы координаты
(CartesianCS).
В.3.3 Координатные линии и оси
Координатные линии и оси описаны в
10.5.
Понятие координатных линий и осей требует некоторого пояснения. Рассмотрим произвольную СК x, y, z. Ось x может быть определена как геометрическое место точек с y = z = 0. Это достаточно легко понять, если СК x, y, z является декартовой, а пространство, которое она описывает, является евклидовым. Немного сложнее для понимания при сильно искривленной поверхности эллипсоида, где положение точки описывается в геодезической СК (двухмерной или трехмерной). Координатная линия - линия, образуемая при изменении одной координаты, тогда как две других фиксированы.
Примеры
1 Геодезическая широта определяется как "угол от плоскости экватора до нормали, восстановленной к эллипсоиду из данной точки", в северном полушарии считается положительной. Единичный вектор координатной линии широты, касательный к меридиану, указывает направление "на север". В двух разных точках эллипсоида направление "на север" будет различным в пространстве.
Заданное направление координатных осей часто является приблизительным. Это может привести к небольшому взаимному развороту двух вариантов СК.
2 Две СК, использующие одни и те же геодезические координаты, обычно связаны с Землей через две разные реализации геодезических СК с разным началом и разной ориентировкой.
3 Декартовы координаты могут быть применены к любому из двух зданий, в каждом случае ориентированных вдоль одной стороны здания. Если два здания повернуты относительно друг друга, то же самое будет и в двух связанных с ними СК.
Класс AxisUnit содержит четыре атрибута. Одна из величин temporalCount, temporal Measure или temporalString используется для временной оси. AxisUnitID используется для осей СК, не связанной со временем.
В.4 Начало отсчета и реализация СК на исходных пунктах
В.4.1 Общие сведения
Начало отсчета и исходные, опорные пункты СК, ранее за рубежом именуемые
datum, определены в
разделе 11. В настоящее время за рубежом современным термином является
reference frame, реализация СК, что легко представить в виде некоторого пространственного каркаса. В доспутниковую эпоху при формировании СК для ориентирования отсчетного эллипсоида в теле Земли использовали прием выделения исходного пункта геодезической сети, которому назначали исходные даты (геодезические координаты, высоту геоида и составляющие уклонения отвесной линии). Термин "исходные пункты" сейчас используется в качестве опорных пунктов. В настоящем стандарте термин datum используется в общем смысле как для исходных пунктов в устаревшем понимании, так и для современных спутниковых реализаций СК.
Начало отсчета и исходные, опорные пункты СК определяют связь математических координат с объектом, таким образом реализуя СК. Исходные, опорные пункты неявно (или явно) содержат значения координат, выбранные в соответствии с количеством степеней свободы СК, как описано в
В.1.1. Таким образом, реализация СК подразумевает фиксирование начала отсчета и ориентировку (и масштаб) СК.
В.4.2 СК в геодезии
В.4.2.1 Общие сведения
СК в геодезии реализуется трехмерными или двухмерными (плановыми) координатами и используется для описания протяженных участков земной поверхности, включая всю Землю. Для этого требуется определение начального меридиана, а при использовании географической СК - задание эллипсоида. В общем случае, при указании СК для геодезии задание эллипсоида необязательно, но рекомендуется - см.
В.4.2.3.
В.4.2.2 Нулевой (начальный) меридиан
Нулевой (начальный) меридиан определяет начало счета долгот. В большинстве современных геодезических СК в качестве нулевого меридиана используется начальный меридиан Международного бюро времени (BIH), который иногда называют "нулевым" меридианом IERS (International Reference Meridian). Это реализация гринвичского меридиана в 1980-х годах, которая заменила более ранние определения. В настоящем стандарте эта концепция, в основном, используется для описания разности долгот, определенной между прежним международным стандартом и другими национальными стандартами, например смещения долготы между гринвичским меридианом и парижским меридианом. В настоящем стандарте термин "Гринвичский меридиан" является синонимом действующего на тот момент международного меридиана.
В настоящем стандарте, если используется геодезическая СК, должен быть задан начальный меридиан. Это должно быть указано явно, если использован немеждународный меридиан, например для Ferro или Batavia (Джакарта). Нулевой меридиан не следует указывать явно, если он является международным; в этом случае предполагается, что это международный меридиан, т.е. гринвичский.
В.4.2.3 Отсчетный эллипсоид
Отсчетный эллипсоид определяется так, что он близок к поверхности мирового океана (в идеале - геоида) или геометрически или в смысле потенциала силы тяжести. На территории, для которой подобран референц-эллипсоид (обычной регионально, но с появлением ИСЗ уже и глобально) эллипсоид обычно связывается с геодезическими географическими СК и косвенно с СК проекции.
Если геодезическая СК содержит геодезические координаты и, следовательно, является географической СК, требуется указывать эллипсоид. Эллипсоид необязателен для геодезических СК с другими типами координат: декартовой, сферической. Однако его задание настоятельно рекомендуется, потому что, хотя определение геодезической СК с использованием геоцентрических декартовых координат, по-видимому, устраняет необходимость в эллипсоиде, эллипсоид может играть роль в определении ориентировки производной СК в касательной плоскости (топоцентрической).
Отсчетный эллипсоид может быть задан либо большой полуосью и сжатием, либо большой и малой полуосями. Второй параметр может быть получен из других параметров. Для некоторых приложений, например мелкомасштабного картографирования в атласах, используется сферическая аппроксимация земной поверхности, требующая указания только радиуса сферы (например, в виде среднего радиуса кривизны).
В блок-схеме (UML) эти параметры моделируются обязательным атрибутом большая полуось semiMajorAxis в классе эллипсоид Ellipsoid и вторым определяющим параметром secondDefiningParameter. Этот атрибут использует класс SecondDefiningParameter с признаком "Union", что означает, что используется только один из его атрибутов. Этот класс позволяет указать малую полуось semiMinorAxis или знаменатель сжатия inverseFlattening в качестве второго определяющего параметра эллипсоида; можно указать, что используется сферическая модель. Для сферы атрибут большая полуось semiMajorAxis класса Ellipsoid интерпретируется как радиус сферы.
Настоящий стандарт также позволяет описывать трехосный отсчетный эллипсоид с использованием дополнительного атрибута третьей (средней) полуоси. Этот атрибут предназначен для планетарных приложений и не используется при описании сжатого земного эллипсоида вращения. Для трехосного отсчетного эллипсоида обычно вторым определяющим параметром является малая полуось эллипсоида.
Отсчетный эллипсоид не должен быть задан, если подтип Datum не является статической или динамической СК для геодезии. Его задание обязательно, если координаты в СК являются эллипсоидальными, для других применяемых типов СК указание отсчетного эллипсоида является необязательным, но рекомендуется.
Система высот задается одним или несколькими исходными пунктами, от которых высоты распространяются с помощью геометрического нивелирования. Различные типы физических высот могут быть отсчитаны от одного и того же исходного пункта. Различия между динамическими высотами, ортометрическими высотами, нормальными высотами и нормально-ортометрическими высотами в настоящем стандарте не рассматриваются: все они объединены в физические высоты (над уровнем моря).
Можно выделить следующие способы практической реализации системы высот:
а) нивелирование. Нулевая отметка системы высот определяется на одном или нескольких футштоках (мареографах), отслеживающих уровень моря в течение длительного периода времени, затем она распространяется через нивелирную сеть;
б) модель высот (квази)геоида. Нулевая отметка системы высот выбирается на некотором условном среднем уровне моря, обычно по соглашению. Система высот моделируется в виде модели высот (квази)геоида в одной или нескольких геодезических СК. В настоящем стандарте модель высот (квази)геоида рассматривается как действие с координатами, а исходная СК действия с координатами - как геодезическая СК, к которой привязана модель. Реализации системы высот связаны с высотами (квази)геоида посредством преобразования
HeightTransformation между геодезической СК и действия с координатами - см.
В.2.1 б);
в) прилив. Начало счета высот выбирается для единого изображения рельефа на топографической карте. Для гидрографических карт используется нуль глубин - условный осредненный минимальный уровень моря (без волн или других воздействий ветра и течений), который возникает во время отлива. Примерами являются квадратурный лунно-солнечный прилив (LAT) и минимальный уровень воды в источниках (LLWS). Другим примером является наклонная и волнистая поверхность реки, определяемая как условная поверхность речной воды, используемая для количественной оценки речного стока.
В.4.4 Динамические СК
Геодезические СК и системы высот могут быть статическими и динамическими. Эти термины введены с точки зрения наблюдателя на тектонической плите на поверхности Земли. Дополнительная информация приведена в
Б.3. Как геодезические СК, так и системы высот моделируются как динамические, которые имеют обязательный атрибут - эпоху СК (реализации системы). Подразумевается, что если геодезическая СК или система высот не являются динамическими, то они являются статическими. Чтобы быть однозначными, координаты, относящиеся к динамической СК, также сопровождаются эпохой координат.
В.4.5 Отсчет параметров
Если такой параметр, как атмосферное давление, является основой для определения начала счета, то тип СК является параметрическим.
В.4.6 Инженерные СК
Инженерные СК используются только локально. Они описывают начало и расположение осей инженерной строительной сетки. Следует отметить, что инженерные СК не обязательно описывают связь с Землей, а только относительно с других точек в небольшой окрестности, будь то движущаяся платформа, здание или участок местности на или вблизи поверхности Земли или изображение. Связь инженерной СК с любой геодезической или СК проекции может быть описана только действием с координатами.
В.4.7 Объединение данных пониженной точности
Современные геодезические СК могут время от времени обновляться. Различия между последовательными реализациями могут быть на уровне долей дециметра. Для некоторых географических информационных приложений это несущественно, а работа с несколькими реализациями СК, незначительно отличающимися друг от друга, представляет собой нежелательные затраты, которые в таких приложениях не имеют никаких преимуществ. Чтобы решить эту проблему, в настоящем стандарте описываются искусственные объединения СК пониженной точности. Процедуры, которые объединяют наборы координат, могут оценивать элементы связи разных реализаций СК и не выполнять преобразования координат между СК в этом наборе данных.
Объединение данных в СК пониженной точности представляет собой группу тесно связанных реализаций. Они должны быть реализациями одной и той же земной СК или одной и той же системы высот. В блок-схеме (UML) имя атрибута "conventionalRS" используется для разрешения группировки любой реализации СК.
Пример - | N СК | Идентификатор СК | Атрибут ConventionalRS |
| 1 | WGS 84 (G1674) | WGS 84 |
| 2 | NAD83(CSRS)v3 | NAD83(CSRS) |
| 3 | NAD83(2007) | NAD83(NSRS) |
| 4 | NAD83(CSRS)v6 | NAD83(CSRS) |
| 5 | WGS 84 (G1762) | WGS 84 |
| 6 | NAD27 | - |
| 7 | NAD83(CSRS)v7 | NAD83(CSRS) |
СК 1 и 5 имеют тот же conventionalRS и, следовательно, могут быть объединены в один набор данных.
СК 2, 4 и 7 имеют тот же conventionalRS и, следовательно, могут быть объединены в один или более набор данных; возможны следующие перестановки: (2 и 4), (2 и 7), (4 и 7), (2, 4 и 7).
СК 1 и 2 имеют разные conventionalRS и, следовательно, не могут быть оба включены в один и тот же набор данных.
СК 3 и 6 не могут быть включены в общий набор данных, т.к. другие реализации [в этом примере] не имеют общих conventionalRS (СК 6 не имеет связанного conventionalRS, поэтому ее значение не заполнено).
Объединение данных действует как "суррогатная" СК в том смысле, что она может быть связана с координатами для задания СК.
Объединение СК состоит из многих реализаций СК. Все они будут иметь одинаковые параметры эллипсоида и начальный меридиан. Реализация, дающая описание объединения СК, не должна повторять все эти атрибуты, а должна выбирать их из любой СК: см.
пример Д.2.5.
Следует иметь в виду, что данные, отнесенные к объединяющей их СК, приблизительны и имеют точность ensembleAccuracy. Если данные отнесены к объединяющей их СК, то в итоге невозможно определить, какой из наборов данных имеет большую точность. В геодезии или других высокоточных приложениях не следует использовать объединение данных; требуется задавать отдельные СК.
В.5 Действия с координатами
В.5.1 Основные свойства действий с координатами
Если связь между любыми двумя СК известна, векторы координат можно преобразовать или трансформировать из одной в другую СК. Таким образом, блок-схема (UML) определяет исходную и конечную СК для таких действий с координатами.
Часто считают, что действие с координатами преобразует СК A в СК B. Хотя эта формулировка удобна в разговорной речи, следует понимать, что действия с координатами работают не с СК, а именно с координатами. Это важно для разработки алгоритмов реализации, поскольку подразумевается, что СК не может быть просто создана из другой СК с помощью действия с координатами. Также действия с координатами не изменяют определение и принципы СК, например путем преобразования единиц измерения. Во всех этих случаях исходная и конечная СК должны существовать до того, как определено действие с координатами.
Блок-схема (UML) также определяет интерполяционную СК (Interpolation CRS). Этот идентификатор СК, которая лежит в основе интерполяционной сетки для действий с координатами, в которых она не относится ни к исходной, ни к конечной системе. Примером может служить преобразование, включающее вертикальные смещения, интерполированные на сетке. Исходная и конечная СК обе будут системами высот (например, NGVD29 и NAVD88 в США), интерполяционная СК будет географической (например, NAD83). Когда сетка привязана к исходной СК, как в случае модели высот (квази)геоида или поправки в высоту, Interpolation CRS не используется, исходная СК берет на себя эту роль.
В настоящем стандарте выделяются три простейших действий с координатами:
а) преобразование координат - математические действия с координатами, в которых отсутствуют параметры или в которых значения параметров определяются математическими константами, а не выводятся эмпирически. Применение преобразования координат не вносит ошибки в конечные координаты и может быть выполнено с любой точностью. Применение преобразования координат не влечет за собой изменение СК. Преобразования координат чаще всего встречаются как часть определения производной СК. Наиболее часто встречающийся тип преобразования координат - картографическая проекция;
б) трансформирование координат - математическое действие с координатами, в которых значения параметров выводятся эмпирически. Это означает, что они содержат ошибки измерений, и когда трансформирование координат применяется к входному набору координат, который считается свободным от ошибок, выходной набор координат больше не будет свободным от ошибок. Величина ошибки указывается в параметре coordinateOperationAccuracy. Стохастический характер параметров может привести к нескольким различным вариантам одного и того же трансформирования координат. Таким образом, могут существовать несколько вариантов трансформирования координат для пары СК, отличающихся методом, значениями параметров и характеристиками точности;
в) перемещение точки - математическое действие в рамках одной СК для учета изменения положения точки в пространстве. Этот подтип классифицируется как действие с координатами для удобства моделирования. Оно имеет естественное ограничение, чтобы конечная СК была такой же, как и исходная СК. Значения параметров для перемещения точки обычно выводятся эмпирическим путем моделирования. Это означает, что они содержат ошибки измерений.
Различие между преобразованием координат и трансформированием координат обычно проявляется в их описании. Описание трансформирования координат имеет структуру:
- ID исходной СК;
- ID конечной СК;
- простейшее действие и его параметры.
Преобразование координат обычно является частью описания производной СК и имеет структуру:
- начало отсчета и реализация базовой СК;
- простейшее действие и его параметры;
- компонент производной СК.
В этой структуре подразумевается исходная и конечная СК преобразования координат: базовая СК выступает в качестве исходной СК для преобразования координат, а производная СК берет на себя роль конечной СК. Наиболее известным примером этой связи, полученной из источника, является СК проекции, которая всегда связана с базовой геодезической СК. Связанная картографическая проекция однозначно определяет СК проекции из геодезической СК. Эта модель представляет объединение производной СК и преобразования координат.
Как только значения параметров получены, преобразование координат, трансформирование координат и перемещение точки используют схожие математические алгоритмы. Во всех трех случаях метод и параметры действий с координатами описаны на блок-схемах (UML) действий с координатами, часть 2.
В.5.2 Методы и параметры действий с координатами
Алгоритм, используемый для выполнения действий с координатами, определяется соответствующим методом. Каждый метод внутри действия с координатами использует ряд параметров (хотя некоторые преобразования координат не используют ни одного), и каждое действие с координатами присваивает значение этим параметрам. Очень важно, чтобы параметры и их значения соответствовали формулам метода. Несколько внешне похожих методов в деталях могут различаться и могут потребоваться другие значения параметров.
Хотя значения параметров обычно представляют собой числа, для некоторых методов работы с координатами, в частности для тех, которые реализуют алгоритм интерполяции на сетке, значение параметра может быть именем файла и местоположением (например, ссылкой URL). Примером может служить трансформирование координат NADCON из NAD27 в NAD83 (США), в котором используется один набор из серии наборов файлов сетки.
ВНИМАНИЕ! Рекомендуется широко использовать идентификаторы, по возможности ссылаясь на общеизвестные реестры. Пока еще не существует стандартного способа написания или даже наименования различных методов работы с координатами. Программное обеспечение пользователя, запрашивающее действие с координатами, которое должно быть выполнено программой трансформирования координат, может запросить метод внутри действия с координатами, который эта программа не распознает, хотя может быть доступен вполне допустимый метод, использующий лишь другое имя. То же самое относится к параметрам, используемым любым методом действий с координатами.
Для облегчения распознавания и проверки рекомендуется, чтобы формулы метода действия с координатами были включены или указаны в подходящем объекте, если возможно, с рабочим примером.
Примечание - Составные и частичные действия с координатами перечисляют простейшие действия с координатами и сами по себе не требуют указания метода внутри действий с координатами.
В.5.3 Массивы параметров
Некоторые методы внутри действий с координатами требуют, чтобы параметры действий с координатами повторялись как массивы. Кроме того, некоторые методы внутри действий с координатами могут использовать большое количество параметров. В таких случаях полезно сгруппировать связанные параметры. Каждый массив параметров действия с координатами состоит из набора параметров или вложенных массивов параметров. Затем два или более массива параметров связываются с конкретным методом действия с координатами.
Этот способ моделирования не является обязательным. Все параметры могут быть назначены непосредственно конкретному методу действия с координатами.
В.5.4 Составное действие с координатами
Составное действие с координатами представляет собой неповторяющуюся последовательность действий с координатами. Эта последовательность действий с координатами ограничена требованием, чтобы конечная СК каждого шага совпадала с исходной СК следующего шага. Исходная СК первого шага и конечная СК последнего шага являются исходной и конечной СК, заданными для составного действия с координатами.
Класс составных действий с координатами, в первую очередь, предназначен для обеспечения прикладному программному обеспечению возможности использовать наиболее удобный путь изменения координат от исходной до конечной СК, когда прямое преобразование между ними отсутствует.
В.5.5 Частичное преобразование
Действия с координатами требуют исходных векторов координат определенных размеров и производят выходные векторы координат определенной длины. Размерность исходной СК не обязательно должна быть такой же, как у конечной СК.
Частичное действие с координатами указывает, какие элементы вектора координат подлежат запрошенному действию с координатами. Оно имеет вид ссылки на другое действие с координатами и указания позиции в векторе координат, затрагиваемых этим действием.
Примечание - Возможность определять составные СК, объединяющие две и более других СК, создает трудности. Например, может потребоваться трансформировать только плановые или только высотные элементы составной СК, что нарушит правила действий с координатами, указанными только для горизонтальных или вертикальных координат. Для пользователя это тривиальная проблема, но не для программного обеспечения по трансформированию координат, которое должно быть приспособлено к автоматической работе без вмешательства человека. Программное обеспечение, ожидающее на вход двухмерную СК, может столкнуться с проблемой применения действия к (2 + 1) = трехмерному вектору координат.
В.5.6 Работа с реестром
Две функции
findCoordinateReferenceSystem(CharacterSequence):CoordinateReferenceSystem
и
findCoordinateOperation(CharacterSequence):CoordinateOperation
предназначены для получения определения СК или действия с координатами из геодезического реестра. Реестр идентифицируется через авторизованную связь с CI_Citation.
Аргументы CharacterSequence являются кодами в пространстве имен этого реестра. Если эти коды являются числовыми, реализации должны анализировать последовательности символов как числа, прежде чем использовать их в качестве первичного ключа для поиска в реестре.
Примеры
1 При обращении к EPSG пример вызова функции следующий:
CoordinateReferenceSystem crs = findCoordinateReferenceSystem("4326").
2 При обращении к OGC пример вызова функции следующий:
CoordinateReferenceSystem crs = findCoordinateReferenceSystem("CRS84").
В.5.7 Условия применения
Приведенное объяснение действий с координатами не будет полным без рассмотрения их реализации. Сервисы трансформирования координат должны иметь возможность автоматически выводить действия с координатами, которые явно не хранятся в каком-либо постоянном хранилище данных, другими словами, определять свои собственные составные и обратные действия. Причина в том, что практически невозможно сохранить все возможные параметры связи пар СК в явно заданных действиях с координатами. Ключом к успешной реализации программного обеспечения является возможность применять к этому процессу обдуманные ограничения и проверки. Например, можно математически вывести составное действие с координатами, которое преобразует координаты в Североамериканской системе 1927 года в Австралийские координаты 1966 года, но в практическом смысле эта операция была бы ненужной. Ключевой проверкой, которая пометит такое действие с координатами как недействительное, будет сравнение двух зон действия с выводом об отсутствии перекрытия между ними.
Сервисы трансформирования координат также должны иметь возможность получать или делать выводы о прямом (из "A" в "B"), обратном (или дополнительном) характере действия с координатами (из "B" в "A"). Большинство постоянных хранилищ параметров трансформирования координат будут записывать только одно из этих двух действий с координатами. Логика получения обратного действия с координатами должна быть встроена в прикладное программное обеспечение, которое выполняет действие с координатами, будь то сервер или клиент.
В некоторых случаях обратный алгоритм действия с координатами такой же, как и прямой алгоритм, чтобы обратное действие было полностью определено, необходимо только поменять местами знаки параметров. Примером может служить преобразование Гельмерта с семью параметрами.
Некоторые полиномиальные методы действий с координатами требуют изменения знака большинства, но не всех значений параметров. Другие методы действий с координатами подразумевают два алгоритма: один для прямого и один для обратного действия с координатами. В этом случае параметры и их значения, как правило, одинаковы. Последняя ситуация обычно применяется к картографическим проекциям.
Наконец, тот же алгоритм допускается использовать для обратного действия с координатами с совершенно другими значениями параметров. Это относится к некоторым полиномиальным и аффинным методам действий с координатами. В этих случаях обратное действие с координатами не может быть выведено из прямого действия с координатами, но должно быть явно определено.
(справочное)
ПРИВЯЗКА ВО ВРЕМЕНИ. УСЛОВИЯ РЕАЛИЗАЦИИ
Г.1 Общие сведения
В
[2] описаны три вида систем исчисления времени:
- календарь;
- порядковые системы последовательности событий;
- системы измерения времени.
Календари имеют множество сложных внутренних структур, определяемых набором правил для составления даты и времени календаря. Порядковые системы последовательности событий обеспечивают основу для измерения только относительного положения моментов времени, например геологических эпох. Календари и порядковые системы последовательности событий выходят за рамки настоящего стандарта.
Примечание - Настоящий стандарт (см. также
[2]) использует термин "система измерения времени" для описания различных понятий. Система измерения времени, приведенная в
[2], сопоставляется с временной СК настоящего стандарта.
В настоящем стандарте временная СК связана с Землей через систему измерения времени. Начало временной СК определено относительно календаря. В настоящем стандарте применяется только пролептический григорианский календарь, как определено в
ГОСТ Р 7.0.64, однако список кодов класса Calendar позволяет расширить его до не поддерживаемых в настоящем стандарте, например сформировать календарь для Марса.
В настоящем стандарте описываются три варианта временных СК:
а) dateTime:
1) значение, выраженное как
dateTime в соответствии с
ГОСТ Р 7.0.64;
б) исчисление времени:
1) дискретная единица времени, выраженная целым числом. Задана единица измерения;
2) ось времени относится к календарю и определена началом временной СК;
| | ИС МЕГАНОРМ: примечание. Обозначение пунктов дано в соответствии с официальным текстом документа. | |
c) измерение времени:
1) непрерывная единица времени, выраженная в виде рационального числа. Задана единица измерения;
2) ось времени относится к календарю и определена началом временной СК.
Настоящий стандарт различает как исчисление времени, так и измерение времени, потому что для исчисления времени однозначное преобразование в
dateTime обычно возможно (но не всегда), тогда как для измерения времени однозначное преобразование в
dateTime в общем случае невозможно (см.
Г.4.3). Знание этого различия может быть полезным в реализациях.
См.
Д.4 для примеров временных СК (
TemporalCRS).
Г.2 Единицы измерения времени
Единица измерения времени использует тип данных
UnitOfMeasure, как определено в
[7]. Класс имеет замечание "преобразование
ToISOstandardUnit имеет смысл, только если представляет собой простое масштабирование". Во многих случаях единица измерения не является простой шкалой, поскольку длительность месяца, дня или часа различается на разных участках календаря из-за поправочных коэффициентов и изменений, таких как дополнительные секунды, високосные годы и сезонные (летние и декретные) изменения часового пояса. Таким образом, преобразование единицы измерения времени в основную единицу СИ для времени, секунду, может быть или не быть неоднозначным по сравнению с календарным определением этой величины. Следовательно, величины
UnitOfMeasure для исчисления и измерения времени могут быть определены безотносительно к секунде.
Примечание - В
ГОСТ Р 7.0.64 приведены термины "календарный день", "календарный месяц" и "календарный год" с примечанием: часто упоминаются как "день", "месяц" и "год" соответственно.
Только в случае
DateTimeTemporalCS единица времени запрещена. Синтаксис
dateTime имеет структуру строки, включающей несколько единиц, которые определены в
ГОСТ Р 7.0.64. Это требование-запрет моделируется в классе
DateTimeCoordinateSystemAxis.
В программном обеспечении обычно используется время POSIX. Оно измеряется в секундах, но игнорируются (не вводятся) дополнительные секунды (см.
[12]). Единица измерения секунда может быть использована, но требуется, чтобы она была определена независимо от секунды SI, а не как конкретное количество секунд SI. Такую секунду можно рассматривать как календарную секунду.
Г.3 Пониженная точность
В
[13] определен синтаксис для записей
dateTime с пониженной точностью. Начало счета времени может иметь пониженную точность при определении
TemporalOrigin. Например, начало счета времени, используемое во временной СК для десятичных лет в нашей эре, можно выбрать как 0000, т.е. представление с точностью до целых лет. Отдельные значения записей
dateTime также могут использовать пониженную точность.
Г.4 Вычисления в календаре
Г.4.1 Общие сведения
Вычисления в календаре - это процесс добавления или вычитания временной величины, интервала времени, из dateTime, для получения нового dateTime с учетом всех поправок календаря.
Календари определяют время с помощью периодических и квазипериодических величин вместе с поправками к конкретным значениям этих величин в определенных местах календаря. Дополнительные секунды, високосные годы и сезонные поясные корректировки времени - все это примеры поправок.
Определение вычислений в календаре и стандартизация результатов не являются предметом настоящего стандарта. При реализации этого стандарта в результате могут быть доступны и вычисления в календаре, чтобы обеспечить преобразование интервалов времени в
dateTime, но результаты в различных случаях могут отличаться (примеры в
Г.4.3).
Преобразования между
dateTime и непрерывными единицами измерения времени сложны, поскольку обычно требуются вычисления, зависимые от текущего контекста, а также округление десятичных остатков. Настоящий стандарт не поддерживает преобразование координат с использованием других единиц измерения времени или преобразование единиц времени в строку
dateTime по
ГОСТ Р 7.0.64.
Преобразования между dateTime и целочисленными единицами исчисления времени могут использовать целочисленную арифметику, что значительно понижает сложность. В общем случае, целочисленные вычисления в календаре дают согласованные результаты, и результаты ожидаются согласованными. Однако есть ситуации, где некоторые вычисления неоднозначны или определены нечетко, и требуется осторожность. В таких случаях результаты могут быть нулевыми или формально неверными.
Некоторые примеры целых вычислений в календаре приведены в
Г.4.2. Примеры неоднозначных вычислений с целыми и вещественными значениями приведены в
Г.4.3. Эти примеры приведены для иллюстрации, другие вычисления в неоднозначных случаях могут быть правдоподобными.
Г.4.2 Однозначные вычисления в календаре
Примеры однозначных вычислений в календаре:
а) интервал времени dateTime на 25 месяцев отстоит от момента 2012-01.
Ответ: 2014-02;
б) интервал времени dateTime на 25 дней отстоит от момента 2000-12-01T00:00Z.
Ответ: 2000-12-25T00:00Z;
в) интервал времени dateTime на 31536000 часов отстоит от момента 1900-01-01T00Z.
Ответ: 2006-04-01T00Z;
г) интервал времени dateTime на 1483228815 секунд SI отстоит от момента 1970-01-01T00:00:00Z.
Ответ: 2016-12-31 T23:59:48Z;
д) интервал времени dateTime на 1483228815 календарных секунд отстоит от момента 1970-01-01T00:00:00Z.
Ответ: 2017-01-01T00:00:15Z [получено из выражения POSIX (см.
[12])];
е) интервал времени dateTime на 5351236450450 микросекунд SI отстоит от момента 2016-12-01T00:00:00.000000Z.
Ответ: 2017-01-31T22:27:15.450450Z;
ж) интервал времени dateTime на 5351236450450 календарных секунд отстоит от момента 2016-12-01T00:00:00.000000Z.
Ответ: 2017-01-31T22:27:16.450450Z (получено из формулы POSIX (см.
[12]).
Следует сравнить последние две пары примеров.
Г.4.3 Неоднозначные вычисления в календаре
Примеры неоднозначных вычислений в календаре:
а) интервал времени dateTime на 1 месяц отстоит от момента 2016-01-30.
Начало счета задано с точностью до дня, а единица интервала времени - месяц, номер дня не первый. Неясно, как интерпретировать 1 месяц с 30 января в любом году, и еще одна сложность заключается в том, что год может быть високосным. Возможные интерпретации:
2016-02-29 (максимально допустимое значение, но все же менее, чем 30);
2016-02-28 (максимально допустимое значение - 1, предпоследний день месяца);
б) интервал времени dateTime на 25.1 месяцев отстоит от момента 2012-01-01.
Долю 0,1 месяца в календаре можно свободно интерпретировать и как точность, с которой следует давать результат. Возможные интерпретации:
2014-02-02 (25 мес + округление в меньшую сторону 0,1 доли 28-дневного месяца в дни);
2014-02-03 (25 мес + округление в большую сторону 0,1 доли 28-дневного месяца в дни);
2014-02-02T19:12 (25 мес + оценка момента времени на основе остатка);
в) интервал времени 31536000, 146 ч отстоит от момента 1900-01-01T00:00:0Z.
Долю 0,146 часа в календаре можно свободно интерпретировать и как количество знаков, с которым следует давать результат. Возможные интерпретации:
2006-04-01T00:08:45.6 (все часы одинаковой длительности, округление до десятых долей секунды);
2006-04-01T00:08:45 (все часы одинаковой длительности, округление до целых секунд в меньшую сторону);
2006-04-01T00:08:46 (все часы одинаковой длительности, округление до целых секунд в большую сторону);
2006-04-01T00:09:45.6 (сезонная корректировка поясного времени на 1 ч вперед);
г) интервал времени в часах от 0 до 24 ч от момента 2017-11-05T12:00:00.
Часовой пояс не указан, поэтому в
ГОСТ Р 7.0.64 предполагается, что это местное время, но и языковой стандарт не указан. В Нью-Йорке (США) состоялся сезонный перевод часов на час вперед, поэтому интервал времени формально составляет 25 ч. В Веллингтоне (Новая Зеландия) также был сезонный перевод часов на час назад, поэтому интервал времени формально составляет 23 ч. В Лондоне (Великобритания) в этот день не было сезонного перевода часов, поэтому прошедшее время составляет 24 ч;
д) интервал времени от 2011.163 лет до 2012.163 лет, от момента 0000-01-01T00:00 для выражения в виде dateTime.
Долю 0,163 года в календаре можно свободно интерпретировать. Возможные интерпретации:
(2011-02-28T12:00, 2012-02-28T12:00);
(2011-03-01T00:00, 2012-02-29T00:00);
е) 367 дней [nameStandardUnit=second, scaleToStandardUnit=86400.0] от момента 2016-01-01T00:00:00Z, в виде dateTime.
Неясно, следует ли использовать целые дни для вычислений или следует преобразовать дни в секунды в соответствии с определением единицы измерения и использовать их. 2016 год был високосным, в начале 2017 года была дополнительная секунда, поэтому использование дней в качестве единиц приведет к тому, что дни будут отличаться от дней, преобразованных в секунды, т.к. не будут учитывать дополнительную секунду.
(справочное)
В данном приложении приведены несколько примеров, иллюстрирующих, как допускается применять настоящий стандарт при определении СК или преобразования координат (см. также
таблицы Д.1 -
Д.33). В примерах указаны как идентификатор блок-схемы (UML), так и имя атрибута. Для обработки цифровых данных следует использовать идентификатор блок-схемы (UML). При представлении метаданных СК пользователям должно быть указано имя атрибута. Приведены следующие примеры:
Примеры задания СК
Д.1.1 Задание СК через единый идентификатор ресурса (URI)
Д.1.2 Задание СК со всеми требуемыми значениями атрибутов, на которые идет ссылка
Примеры определения пространственной СК
Д.2.1 Динамическая СК для геодезии (
Dynamic CRS)
Д.2.2 Статическая СК для геодезии (
Static CRS)
Д.2.3 Производная географическая СК в пространстве
Д.2.4 Географическая СК на эллипсоиде
Д.2.5 Географическая СК пониженной точности с объединением данных (и несколькими входными записями)
Д.2.6 СК проекции (на поверхности)
Д.2.7 СК проекции (в пространстве)
Д.2.8 Производная СК проекции
Д.2.10 Система высот на основе модели высот (квази)геоида
Д.2.11 Составная СК (проекция + высота)
Д.2.12 Инженерная СК в виде строительной сетки
Д.2.13 СК движущегося объекта (объектоцентрическая)
Д.2.14 Инженерная СК изображения
Примеры определения параметрической СК
Д.3.1 Параметрическая СК с физическим параметром (давление)
Д.3.2 Параметрическая СК с функциональным параметром (потенциальная завихренность)
Д.3.3 Пространственно-параметрическая составная СК
Примеры задания временной СК
Д.4.1 Временная СК, в которой используется строка
dateTime
Д.4.2 Временная СК, в которой используется единица исчисления времени
Д.4.3 Временная СК, в которой используется единица измерения времени
Д.4.4 Составные системы из двух временных СК
Д.4.5 Составные системы из двух временных СК (dateTime и непрерывное измерение времени)
Примеры задания действий с координатами
Д.5.1 Трансформирование координат
Д.5.2 Модель высот (квази)геоида
Примеры описания изменения координат через преобразование движения
Д.6.1 Изменения координат с использованием линейных скоростей точек
Д.6.2 Изменения координат с использованием модели линейных скоростей
Примечание - Ниже приведено описание данных примеров.
Д.1 Задание СК
Эти примеры описывают, как набор координат может быть косвенно связан с определением СК посредством ссылки на полное описание, хранящееся в геодезическом реестре. Два примера подробно определены в
примере Д.2.6.
Пример Д.1.1. Справочная система СК со всеми требуемыми значениями атрибутов, идентифицированными посредством ссылки на веб-адрес геодезического реестра (URI или URN).
СК может быть задана через ссылку URI: http://www.opengis.net/def/crs/EPSG/0/26734, представленную с использованием языка текстовой разметки GML
[14]:
<gml:ProjectedCRS xmlns:xlink="http://www.w3.org/1999/xlink" xmlns:epsg="urn:x-
ogp:spec:schema-xsd:EPSG:2.3:dataset" xmlns:gml="http://www.opengis.net/
gml/3.2" gml:id="epsg-crs-2 67 34">
<gml:metaDataProperty>
<epsg:CommonMetaData>
<epsg:type>projected</epsg:type>
<epsg:revisionDate>19 95-0 6-02</epsg:revisionDate>
<epsg:changes/>
<epsg:show>true</epsg:show>
<epsg:isDeprecated>false</epsg:isDeprecated>
<epsg:Usage>
<epsg:extent xlink:href="https://epsg.org/api/v1/Extent/2160/export?format=gml"/>
<gml:scope>Engineering survey, topographic mapping.</gml:scope>
</epsg:Usage>
</epsg:CommonMetaData>
</gml:metaDataProperty>
<gml: identifier codeSpace="EPSG">26734</gml:identifier>
<gml:name>NAD27/Alaska zone 4</gml:name>
<gml:scope/>
<gml:conversion xlink:href="https://epsg.org/api/v1/Conversion/15004/
export?format=gml"/>
<gml:baseGeodeticCRS xlink:href="https://epsg.org/api/v1/CoordRefSystem/4267/
export?format=gml"/>
<gml:cartesianCS xlink:href="https://epsg.org/api/v1/CoordSystem/4497/
export?format=gml"/>
</gml:ProjectedCRS>
Пример Д.1.2. СК со всеми требуемыми значениями атрибутов задается по ссылке на геодезический реестр, который определяет всю СК, начало отсчета, математические координаты и информацию о преобразовании координат для СК проекции. Ссылки описаны в
ГОСТ Р 57668.
Атрибут | Индентификатор UML | Содержание | Комментарий |
| CRS | | |
| CI_Citation | | |
Citation title: | title: | EPSG v6.6 | |
Citation date type: | dateType: | 003 | Дата пересмотра |
Citation date: | date: | 20041023 | |
Citation identifier: | identifier: | 26734 | Уникальный идентификатор (код) СК, указанный в ссылке |
Online resource linkage: | Online resource linkage: | https://epsg.io/ | |
Д.2 Задание пространственной СК
Пример Д.2.1. Динамическая СК для геодезии (Dynamic CRS)
Таблица Д.2
Атрибут | Индентификатор UML | Содержание | Комментарий |
| GeodeticCRS | | |
Geodetic CRS name: | name: | ITRF2008-XYZ | |
CRS scope: | scope: | Spatial referencing | |
CRS validity: | domainOfValidity: | World | |
CRS remarks: | remarks: | Заменила реализацию ITRF2005, заменена на ITRF2014 | |
| CartesianCS | | |
Cartesian coordinate system name: | name: | ECEF right-handed | |
| CoordinateSystemAxis | | Порядок следования осей важен |
Coordinate system axis name: | name: | Geocentric X | |
Coordinate system axis abbreviation: | axisAbbrev: | X | |
Coordinate system axis direction: | axisDirection: | В экваториальной плоскости от центра масс Земли к пересечению экватора с нулевым меридианом | |
Coordinate system axis unit identifier: | axisUnitID: | metre | |
| CoordinateSystemAxis | | |
Coordinate system axis name: | name: | Geocentric Y | |
Coordinate system axis abbreviation: | axisAbbrev: | Y | |
Coordinate system axis direction: | axisDirection: | В экваториальной плоскости от центра масс Земли к пересечению экватора и меридиана  рад на восток от нулевого меридиана | |
Coordinate system axis unit identifier: | axisUnitID: | metre | |
| CoordinateSystemAxis | | |
Coordinate system axis name: | name: | Geocentric Z | |
Coordinate system axis abbreviation: | axisAbbrev: | Z | |
| | ИС МЕГАНОРМ: примечание. Текст в первой графе дан в соответствии с официальным текстом документа. | |
|
5Coordinate system axis direction: | axisDirection: | От центра масс Земли параллельно оси ее вращения и к ее северному полюсу | |
Coordinate system axis unit identifier: | axisUnitID: | metre | |
| DynamicGeodetic ReferenceFrame | | |
Dynamic geodetic reference frame name: | name: | International Terrestrial Reference Frame 2008 | |
Terrestrial reference system: | conventionalRS: | ITRS | |
Dynamic geodetic reference frame anchor definition: | anchorDefinition: | Начало определяется так, что оно имеет нулевые перемещения и скорости перемещения по отношению к среднему центру масс Земли, усредненные по временным рядам положений станций SLR. Масштаб определяется путем обнуления масштабного коэффициента и его скорости по отношению к среднему значению долгосрочных решений РСДБ и SLR, полученных путем суммирования их соответствующих временных рядов. Ориентировка (на эпоху 2005.0) и ее скорость приведены в соответствие с ITRF2005 с использованием 179 станций высокого качества геодезических измерений. Реализация СК определяется набором трехмерных декартовых координат станций и скоростей | |
Frame reference epoch: | referenceEpoch: | 2005.0 | |
Dynamic geodetic reference frame publication date: | publicationDate: | 2010-05-31 | |
Это определяет динамическую СК. Однако это неполное описание метаданных координат, необходимых для набора координат в динамической СК. Также необходимо указывать эпоху координат, на которую ссылаются координаты в наборе. Пример дан в
таблице Д.3.
Пункт | X, м | Y, м | Z, м |
10001S006 Paris | 4202777.214 | 171368.223 | 4778660.334 |
10002M006 Grasse | 4581690.734 | 556115.067 | 4389360.944 |
10003M004 Toulouse | 4627845.886 | 119629.575 | 4372999.970 |
Метаданные координат: СК: ITRF2008 Эпоха СК: 2017.56 |
Пример Д.2.2. Статическая СК для геодезии (Static CRS)
Таблица Д.4
Атрибут | Индентификатор UML | Содержание | Комментарий |
| GeodeticCRS | | |
Geodetic CRS name: | name: | GDA2020 - XYZ | |
CRS scope: | scope: | Spatial referencing | Этот атрибут является необязательным, но рекомендуется |
CRS validity: | domainOfValidity: | Australia | Этот атрибут является необязательным, но рекомендуется. В этом примере показана строка символов: см. ГОСТ Р 57668 |
CRS remarks: | remarks: | Supersedes GDA94 | Этот атрибут является необязательным |
| CartesianCS | | Декартова СК может быть двух- или трехмерной. Описание осей будет дано два или три раза, в зависимости от размерности. В этом примере система является трехмерной |
Cartesian coordinate system name: | name | ECEF right-handed |
| CoordinateSystemAxis | |
Coordinate system axis name: | name: | Geocentric X |
Coordinate system axis abbreviation: | axisAbbrev: | X |
Coordinate system axis direction: | axisDirection: | В плоскости экватора от центра масс Земли к пересечению экватора с нулевым меридианом | |
Coordinate system axis unit identifier: | axisUnitID: | metre | |
| CoordinateSystemAxis | | |
Coordinate system axis name: | name: | Geocentric Y | |
Coordinate system axis abbreviation: | axisAbbrev: | Y | |
Coordinate system axis direction: | axisDirection: | В экваториальной плоскости от центра масс Земли к пересечению экватора и меридиана  радиана на восток от нулевого меридиана | |
Coordinate system axis unit identifier: | axisUnitID: | metre | |
| CoordinateSystemAxis | | |
Coordinate system axis name: | name: | Geocentric Z | |
Coordinate system axis abbreviation: | axisAbbrev: | Z | |
Coordinate system axis direction: | axisDirection: | От центра масс Земли параллельно оси ее вращения и к ее северному полюсу | |
Coordinate system axis unit identifier: | axisUnitID: | metre | |
| GeodeticReferenceFrame | | Поскольку тип СК - GeodeticReferenceFrame, СК не является динамической, а следовательно, статической. Поскольку класс PrimeMeridian отсутствует, атрибуты name и долгота по Гринвичу принимают значения по умолчанию "Greenwich" и "0 градусов" |
Geodetic reference frame name: | name: | Geocentric Datum of Australia 2020 | |
Dynamic geodetic reference frame anchor definition: | anchorDefinition: | ITRF2014 на эпоху 2020.0 | Это необязательный атрибут. GDA2020 совпадает с ITRF2014 только в эпоху 2020.0 |
| Ellipsoid | | Для геодезической СК этот атрибут необязателен, но рекомендуется |
Ellipsoid name: | name: | GRS 1980 | |
Length of semimajor axis: | semiMajorAxis: | 6378137.0 м | |
Inverse flattening: | inverseFlattening: | 298.257222101 | |
Пример Д.2.3. Производная географическая СК в пространстве
Эта географическая СК в пространстве является производной от геодезической СК. Это возможно только потому, что геодезическое описание СК включало эллипсоид. В этом примере в качестве базовой СК используется СК из
Д.2.2.
Примечание - Эта конкретная СК также может быть определена как основная СК, это не относится ко всем производным СК.
Таблица Д.5
Атрибут | Индентификатор UML | Содержание | Комментарий |
| DerivedGeographicCRS | | |
Derived Geographic CRS name: | name: | GDA2020 - LatLonEht | |
CRS scope: | scope: | Spatial referencing | |
CRS validity: | domainOfValidity: | Australia | |
| baseCRS | | |
Base CRS name: | name: | GDA2020 - XYZ | |
| GeodeticReferenceFrame | | Это унаследовано от базовой СК |
Geodetic reference frame name: | name: | Geocentric Datum of Australia 2020 | |
| Ellipsoid | | |
Ellipsoid name: | name: | GRS 1980 | |
Length of semi-major axis: | semiMajorAxis: | 6378137.0 m | |
Inverse flattening: | inverseFlattening: | 298.257222101 | |
| Conversion | | Подразумеваются исходная и конечная СК, поскольку это часть производной СК |
Conversion name: | name: | geocentric to geographic3D | |
| OperationMethod | | |
Coordinate operation method name: | name: | Geocentric-Geographic conversions | |
Coordinate operation method formula: | formula: | [Здесь должны быть приведены ссылка (CI_Citation) на формулу или сама формула, но не описаны подробно в этом примере] | Аргументы, используемые в этом методе преобразования, являются параметрами эллипсоида. Это считается преобразованием без параметров, и с этим методом не связаны никакие параметры действий с координатами |
| EllipsoidalCS | | Географическая СК может быть двух- или трехмерной. Описание осей будет дано два или три раза, в зависимости от обстоятельств. В этом примере система является трехмерной |
Ellipsoidal coordinate system name: | name: | Геодезические координаты: широта, долгота, высота. Ориентировка: север, восток, вверх. Единицы: градус, градус, метр | |
| CoordinateSystemAxis | | Это атрибуты для первой оси, используемые первой координатой в векторе координат |
Coordinate system axis name: | name: | Геодезическая широта | |
Coordinate system axis abbreviation: | axisAbbrev: | | |
Coordinate system axis direction: | axisDirection: | Север | |
Coordinate system axis unit identifier: | axisUnitID: | Градус | |
| CoordinateSystemAxis | | Это атрибуты второй оси, используемые второй координатой в векторе координат |
Coordinate system axis name: | name: | Геодезическая долгота | |
Coordinate system axis abbreviation: | axisAbbrev: | | |
Coordinate system axis direction: | axisDirection: | Восток | |
Coordinate system axis unit identifier: | axisUnitID: | Градус | |
| CoordinateSystemAxis | | Это атрибуты третьей оси, используемые третьей координатой в векторе координат |
Coordinate system axis name: | name: | Геодезическая высота | |
Coordinate system axis abbreviation: | axisAbbrev: | h | |
Coordinate system axis direction: | axisDirection: | Вверх | |
Coordinate system axis unit identifier: | axisUnitID: | Метр | |
Пример Д.2.4. Географическая СК на эллипсоиде
Таблица Д.6
Атрибут | Индентификатор UML | Содержание | Комментарий |
| GeodeticCRS | | |
Geodetic CRS name: | name: | NAD83(CSRS) v6 - LatLon | |
CRS validity: | domainOfValidity: | EX_GeographicBoundingBox westBL: -120 eastBL: -57.1 southBL: 43.46 northBL: 62.56 | Этот атрибут является необязательным, но рекомендуется. В этом примере показаны координаты рамки географической трапеции: см. ГОСТ Р 57668 |
CRS scope: | scope: | Пространственная привязка | |
| EllipsoidalCS | | Географическая СК может быть двух- или трехмерной. Описание осей будет дано два или три раза, в зависимости от обстоятельств. В этом примере, несмотря на то, что СК является трехмерной, предполагается, что вектор координат содержит только широту и долготу, и, следовательно, описание третьей оси СК не требуется |
Ellipsoidal coordinate system name: | name: | Широта и долгота в градусах | Поиск подходящей записи для обязательного имени СК часто является проблемой, поскольку не существует установленной практики именования СК |
| CoordinateSystemAxis | | |
Coordinate system axis name: | name: | Геодезическая широта | |
Coordinate system axis abbreviation: | axisAbbrev: | | |
Coordinate system axis direction: | axisDirection: | Север | |
Coordinate system axis unit identifier: | axisUnitID: | Градус | |
| CoordinateSystemAxis | | |
Coordinate system axis name: | name: | Геодезическая долгота | |
Coordinate system axis abbreviation: | axisAbbrev: | | |
Coordinate system axis direction: | axisDirection: | Восток | |
Coordinate system axis unit identifier: | axisUnitID: | Градус | |
| GeodeticReferenceFrame | | |
Geodetic reference frame name: | name: | North American Datum 1983 (CSRS) версия 6 | |
Geodetic reference frame remarks: | remarks: | Утверждена федеральным правительством Канады, а также правительствами Альберты, Британской Колумбии, Манитобы, Ньюфаундленда и Лабрадора, Новой Шотландии, Онтарио, острова Принца Эдуарда. Заменила NAD83(CSRS) v5. Заменена NAD83(CSRS) v7 | Необязательная запись |
Geodetic reference frame anchor definition: | anchorDefinition: | Реализация NAD83 для Канадской пространственной СК, связанной с CSRS98 или CSRS. СК определяется зависящим от времени семипараметрическим преобразованием трехмерных геоцентрических декартовых координат ITRF2008 и скоростей их изменения для территорий Канады, а также граничащих с США и Гренландией на стандартную эпоху 2010.0. СК верна на территории Северной Америки и на другие эпохи с применением трех пространственных скоростей вращения, представляющих движение тектонических плит Северной Америки по модели NNR-NUVEL-1A. Начало координат, масштаб и ориентация СК номинально определены как для наземной системы BIH 1984 (BTS84) | Необязательная запись |
Geodetic reference frame publication date: | publicationDate: | 2010-01-01 | Необязательная запись |
| PrimeMeridian | | Поскольку тип СК - GeodeticReferenceFrame, если бы этот класс PrimeMeridian отсутствовал, атрибуты "Prime meridian name" и "Prime meridian Greenwich longitude" приняли бы значения по умолчанию |
Prime meridian name: | name: | Greenwich | Поскольку значением этого атрибута является "Greenwich", предоставлять информацию об этом атрибуте не обязательно |
Prime meridian Greenwich longitude | GreenwichLongitude: | 0 градусов | Поскольку значением имени нулевого меридиана является "Greenwich", нет необходимости предоставлять информацию о долготе гринвичского нулевого меридиана |
| Ellipsoid | | |
Ellipsoid name: | name: | GRS 1980 | |
Length of semi-major axis: | semiMajorAxis: | 6378137.0 м | |
Inverse flattening: | inverseFlattening: | 298.2572221 | |
Пример Д.2.5. Географическая СК пониженной точности с объединением данных (и несколькими входными записями)
Таблица Д.7
Атрибут | Индентификатор UML | Содержание | Комментарий |
| GeographicCRS | | |
CRS name: | name: | WGS 84 ensemble | |
CRS alias: | alias: | WGS 84 | |
CRS domain: | domain: | | Сфера и область использования могут повторяться |
CRS scope: | scope: | GIS | |
CRS validity: | domainOfValidity: | EX_GeographicBoundingBox westBL: -180 eastBL: 180 southBL: -90 northBL: 90 | В этом примере показаны элементы географической ограничивающей рамки: см. ГОСТ Р 57668 |
CRS scope: | scope: | Приложения низкой и средней точности | |
CRS validity: | domainOfValidity: | Весь мир | В этом примере показан пример географического описания: см. ГОСТ Р 57668 |
CRS remarks: | remarks: | WGS 84 используется для обозначения либо исходной (на основе Transit) реализации, либо соответствующего объединения данных. Для приложений с высокой точностью используют одну из конкретных реализаций | Этот атрибут необязателен |
| EllipsoidalCS | | |
Ellipsoidal coordinate system name | name | Широта и долгота в градусах | Поиск подходящей записи для обязательного имени СК часто является проблемой, поскольку не существует установленной практики именования СК |
| CoordinateSystemAxis | | |
Coordinate system axis name: | name: | Геодезическая широта | |
Coordinate system axis abbreviation: | axisAbbrev: | | |
Coordinate system axis direction: | axisDirection: | Север | |
Coordinate system axis unit identifier: | axisUnitID: | Градус | |
| CoordinateSystemAxis | | |
Coordinate system axis name: | name: | Геодезическая долгота | |
Coordinate system axis abbreviation: | axisAbbrev: | | |
Coordinate system axis direction: | axisDirection: | Восток | |
Coordinate system axis unit identifier: | axisUnitID: | Градус | |
| DatumEnsemble | | Пример объединения данных использует аббревиатуру для каждого компонента в качестве идентификатора компонента |
Datum ensemble name | name: | WGS 84 объединение данных | |
Conventional reference system: | conventionalRS: | WGS 84 | |
Geodetic reference frame ID: | datumID: | WGS 84 (Transit) | |
Geodetic reference frame ID: | datumID: | WGS 84 (G730) | |
Geodetic reference frame ID: | datumID: | WGS 84 (G873) | |
Geodetic reference frame ID: | datumID: | WGS 84 (G1150) | |
Geodetic reference frame ID: | datumID: | WGS 84 (G1674) | |
Geodetic reference frame ID: | datumID: | WGS 84 (G1762) | |
| Ellipsoid | | Примечание - Эта информация об эллипсоиде повторяется для каждого идентификатора СК. Поскольку все члены объединения данных должны использовать один и тот же эллипсоид, для отчета информацию необходимо предоставить только один раз. Здесь он отображается после последней записи данных |
Ellipsoid name: | name: | WGS 1984 |
Length of semi-major axis: | semiMajorAxis: | 6378137.0 м |
Inverse flattening: | inverseFlattening: | 298.257223563 |
Ensemble accuracy: | ensembleAccuracy: | 1 м | |
DatumEnsemble remarks: | remarks: | Реализации различаются на 0,7 м между Transit и G730, 0,2 м между G730 и G873, 0,06 м между G873 и G1150, 0,2 м между G1150 и G1674, 0,02 м между G1674 и G1762 | Необязательный атрибут |
Пример Д.2.6. СК проекции (на поверхности)
В этом примере показано полное определение СК, указанной в
примере Д.1.
Таблица Д.8
Атрибут | Индентификатор UML | Содержание | Комментарий |
| ProjectedCRS | | |
Projected CRS name: | name: | NAD27/Аляска, зона 4 | |
CRS scope: | scope: | Топографические съемки | Этот атрибут необязателен, но рекомендуется |
CRS validity: | domainOfValidity: | Аляска между 148 и 152 градусами западной долготы | Этот атрибут необязателен, но рекомендуется |
| baseCRS | | |
Base CRS name: | name: | NAD27 | |
| GeodeticReferenceFrame | | Это унаследовано от базовой СК. Поскольку тип СК - GeodeticReferenceFrame, а класс PrimeMeridian отсутствует, атрибуты: имя нулевого меридиана и долгота по Гринвичу принимают значения по умолчанию "Greenwich" и "0 degrees" соответственно |
Geodetic reference frame name | name: | North American Datum of 1927 | |
Geodetic reference frame alias | alias: | NAD27 | Необязательный атрибут |
| Ellipsoid | | В этом примере в качестве второго определяющего параметра используется малая полуось |
Ellipsoid name: | Name: | Clarke 1866 | |
Length of semi-major axis: | semiMajorAxis: | 6378206.4 м | |
Length of semi-minor axis: | semiMinorAxis: | 6356583.8 м | |
Ellipsoid remarks: | remarks: | Обратное сжатие 294.9786982 получено из большой и малой полуосей. Большая полуось составляет 20925832.164 североамериканских футов (ftUS) | remarks - необязательный атрибут |
| CartesianCS | | Декартова СК может быть двух- или трехмерной. Описание осей будет дано 2 или 3 раза, в зависимости от обстоятельств. В этом примере система двухмерная |
Cartesian coordinate system name: | name | Государственная плановая система координат (ftUS) | |
Cartesian coordinate system remarks: | remarks: | 1 фут US = 12/39.37 м | |
| CoordinateSystemAxis | | Это атрибуты для первой оси, используемые первой координатой в векторе |
Coordinate system axis name: | name: | Восток | |
Coordinate system axis abbreviation: | axisAbbrev: | X | |
Coordinate system axis direction: | axisDirection: | Восток | |
Coordinate system axis unit identifier: | axisUnitID: | Фут US | |
| CoordinateSystemAxis | | Это атрибуты для второй оси, используемые второй координатой в векторе |
Coordinate system axis name: | name: | Север | |
Coordinate system axis abbreviation: | axisAbbrev: | Y | |
Coordinate system axis direction: | axisDirection: | Север | |
Coordinate system axis unit identifier: | axisUnitID: | Фут US | |
| DerivingConversion | | |
Coordinate operation name: | name: | Аляска SPCS27 зона 4 | |
| OperationMethod | | |
Coordinate operation method name: | name: | Поперечная проекция Меркатора на эллипсоиде | |
Coordinate operation method formula citation: | formula citation: | John P. Snyder. Map Projections. A Working Manual. US Geological Survey Professional Paper 1395 (см. [15]) | |
| OperationParameter | | Количество параметров (n) определено формулой метода действия. Имена параметров, значения (при необходимости, необязательные атрибуты) будут заданы n раз в зависимости от ситуации |
Operation parameter name: | name: | Широта начала | |
| ParameterValue: | | |
Числовое значение параметра действия: | value: | 54 градуса | |
| OperationParameter | | |
Operation parameter name: | name: | Долгота начала | |
| ParameterValue: | | |
Числовое значение параметра действия: | value: | -150 градусов | |
| OperationParameter | | |
Operation parameter name: | name: | Масштаб | |
| ParameterValue: | | |
Числовое значение параметра действия: | value: | 0,9999 | Безразмерное отношение |
| OperationParameter | | |
Operation parameter name: | name: | Смещение на восток | |
| ParameterValue: | | |
Числовое значение параметра действия: | value: | 500 000 футов US | |
| OperationParameter | | |
Operation parameter name: | name: | Смещение на север | |
| ParameterValue: | | |
Числовое значение параметра действия: | value: | 0 футов US | |
Пример Д.2.7. СК проекции (в пространстве)
Таблица Д.9
Атрибут | Индентификатор UML | Содержание | Комментарий |
| ProjectedCRS | | |
Projected CRS name: | name: | WGS 84 (G1762)/зона UTM 31N 3D | |
CRS scope: | scope: | 3D пространственная привязка изображения | |
CRS validity: | domainOfValidity: | Между 0° и 6° восточной долготы, между экватором и 84° северной широты, на суше и в море | |
| baseCRS | | |
Base CRS name: | name: | WGS 84 (G1762) - LatLonEht | |
| GeodeticReferenceFrame | | Реализация СК наследуется от базовой СК |
Geodetic reference frame name: | name: | Общеземная система координат 1984 г. (G1762) | |
| Ellipsoid | | |
Ellipsoid name: | name: | WGS 1984 | |
Length of semi-major axis: | semiMajorAxis: | 6378137.0 м | |
Inverse flattening: | inverse flatenning: | 298.257223563 | |
| CartesianCS | | |
Cartesian coordinate system name: | name: | Пространственные декартовы координаты. Оси: восток, север, геодезическая высота (E, N, h). Ориентировка: восток, север, вверх. Единицы: метры | |
| CoordinateSystemAxis | | |
Coordinate system axis name: | name: | Восток | |
Coordinate system axis abbreviation: | axisAbbrev: | X | |
Coordinate system axis direction: | axisDirection: | Восток | |
Coordinate system axis unit identifier: | axisUnitID: | м | |
| CoordinateSystemAxis | | |
Coordinate system axis name: | name: | Север | |
Coordinate system axis abbreviation: | axisAbbrev: | Y | |
Coordinate system axis direction: | axisDirection: | Север | |
Coordinate system axis unit identifier: | axisUnitID: | м | |
| CoordinateSystemAxis | | |
Coordinate system axis name: | name: | Геодезическая высота | |
Coordinate system axis abbreviation: | axisAbbrev: | h | |
Coordinate system axis direction: | axisDirection: | Вверх | |
Coordinate system axis unit identifier: | axisUnitID: | м | |
| DerivingConversion | | |
Coordinate operation name: | name: | Зона UTM 31N | |
Coordinate operation scope: | scope: | Топографические съемки | |
Coordinate operation validity: | domainOfValidity: | Между 0° и 6° восточной долготы, между экватором и 84° северной широты, на суше и в море | |
| OperationMethod | | |
Coordinate operation method name: | name: | Поперечная проекция Меркатора | |
Coordinate operation method remarks: | remarks: | Двухмерная проекция. Геодезическая высота базовой СК везде проходит как третья пространственная ось декартовой системы | |
Coordinate operation method formula: | formula: | (CI_Citation) | [Ссылка (CI_Citation) на формулу или сама формула должны быть приведены здесь, но не описаны подробно в этом примере] |
| OperationParameter | | Количество параметров (n) определено формулой. Имена параметров, значения (при необходимости, необязательные атрибуты) будут заданы n раз в зависимости от ситуации |
Operation parameter name: | name: | Широта начала | |
| ParameterValue | | |
Числовое значение параметра действия: | value: | 0 градусов | |
| OperationParameter | | |
Operation parameter name: | name: | Долгота начала | |
| ParameterValue | | |
Числовое значение параметра действия: | value: | 3 градуса | |
| OperationParameter | | |
Operation parameter name: | name: | Масштаб | |
| ParameterValue | | |
Числовое значение параметра действия: | value: | 0,9996 | Безразмерное отношение |
| Operation Parameter | | |
Operation parameter name: | name: | Смещение на восток | |
| ParameterValue | | |
Числовое значение параметра действия: | value: | 500 000 м | |
| OperationParameter | | |
Operation parameter name: | name: | Смещение на север | |
| ParameterValue | | |
Числовое значение параметра действия: | value: | 0 м | |
Пример Д.2.8. Производная СК проекции
Таблица Д.10
Атрибут | Индентификатор UML | Содержание | Комментарий |
| DerivedProjectedCRS | | |
Derived Projected CRS name: | name: | NAD27/Gulf of Mexico speculative seismic survey bin grid | |
CRS scope: | scope: | Geophysical exploration | Этот атрибут необязателен, но рекомендуется |
CRS validity: | domainOfValidity: | US - Gulf of Mexico | Этот атрибут необязателен, но рекомендуется |
| baseCRS | | |
Base CRS name: | name: | NAD27/Texas South Central | |
| GeodeticReferenceFrame | | Унаследовано от базовой СК. Поскольку тип СК - GeodeticReferenceFrame, а класс PrimeMeridian отсутствует, атрибуты имя нулевого меридиана и долгота по Гринвичу принимают значения по умолчанию "Greenwich" и "0 degrees" соответственно |
Geodetic reference frame name: | name | North American Datum of 1927 | |
Datum alias: | alias | NAD27 | Необязательный атрибут |
| Ellipsoid | | |
Ellipsoid name: | name: | Clarke 1866 | |
Length of semi-major axis: | semiMajorAxis: | 6378206.4 m | |
Length of semi-minor axis: | semiMinorAxis: | 6356583.8 m | |
Ellipsoid remarks: | remarks: | Inverse flattening derived from semi-major and semi-minor axes is 294.9786982 | remarks - необязательный атрибут |
| DerivingConversion | | Определение картографической проекции базовой СК проекции |
Coordinate operation name: | name: | Texas South Central SPCS27 | |
| OperationMethod | | |
Coordinate operation method name: | name: | Lambert Conic Conformal (2SP) ellipsoidal formula | |
Coordinate operation method formula citation: | formula citation: | John P. Snyder. Map Projections - AWorking Manual. US Geological Survey Professional Paper 1395. См. [15] | |
| OperationParameter | | Количество параметров (n) определено формулой. Имена параметров, значения (при необходимости, необязательные атрибуты) будут даны n раз, в зависимости от ситуации |
Operation parameter name: | name: | latitude of origin | |
| ParameterValue | | |
Числовое значение параметра действия: | value: | 27.83333333333 degrees | 27°50'N |
| OperationParameter | | |
Operation parameter name: | name: | longitude of origin | |
| ParameterValue | | |
Числовое значение параметра действия: | value: | -99 degrees | |
| OperationParameter | | |
Operation parameter name: | name: | Latitude of 1st standard parallel | |
| ParameterValue | | |
Числовое значение параметра действия: | value: | 28.383333333333 degrees | 28°23'N |
| OperationParameter | | |
Operation parameter name: | name: | Latitude of 2nd standard parallel | |
| ParameterValue | | |
Числовое значение параметра действия: | value: | 30.283333333333 degrees | 30°17'N |
| OperationParameter | | |
Operation parameter name: | name: | false easting | |
| ParameterValue | | |
Числовое значение параметра действия: | value: | 2000000 US survey foot | |
| OperationParameter | | |
Operation parameter name: | name: | false northing | |
| ParameterValue | | |
Числовое значение параметра действия: | value: | 0 US survey foot | |
| DerivingConversion | | Определение производного преобразования для производной СК |
Coordinate operation name: | name: | Gulf of Mexico speculative survey bin grid | |
| OperationMethod | | |
Coordinate operation method name: | name: | P6 (I = J - 90°) seismic bin grid transformation | |
Coordinate operation method formula citation: | formula citation: | EPSG Guidance note 7-2 "Coordinate Conversions and Transformations including Formulas" IOGP Geomatics Publication 373-7-2 | |
| OperationParameter | | Количество параметров (n) определено формулой. Имена параметров, значения (при необходимости, необязательные атрибуты) будут даны n раз, в зависимости от ситуации |
Operation parameter name: | name: | Bin grid origin I | |
| ParameterValue | | |
Числовое значение параметра действия: | value: | 5000 I-bin | |
| OperationParameter | | |
Operation parameter name: | name: | Bin grid origin J | |
| ParameterValue | | |
Числовое значение параметра действия: | value: | 0 J-bin | |
| OperationParameter | | |
Operation parameter name: | name: | Bin grid origin easting | |
| ParameterValue | | |
Числовое значение параметра действия: | value: | 871200 ftUS | |
| OperationParameter | | |
Operation parameter name: | name: | Bin grid origin Northing | |
| ParameterValue | | |
Числовое значение параметра действия: | value: | 10280160 ftUS | |
| Operation Parameter | | |
Operation parameter name: | name: | Scale factor of bin grid | |
| ParameterValue | | |
Числовое значение параметра действия: | value: | 1.0 | |
| OperationParameter | | |
Operation parameter name: | name: | Bin width on I-axis | |
| ParameterValue | | |
Числовое значение параметра действия: | value: | 82.5 ftUS | |
| OperationParameter | | |
Operation parameter name: | name: | Bin width on J-axis | |
| ParameterValue | | |
Числовое значение параметра действия: | value: | 41.25 ftUS | |
| OperationParameter | | |
Operation parameter name: | name: | Map grid bearing of bin grid J-axis | |
| ParameterValue | | |
Числовое значение параметра действия: | value: | 340° | |
| OperationParameter | | |
Operation parameter name: | name: | Bin node increment on I-axis | |
| ParameterValue | | |
Числовое значение параметра действия: | value: | 1.0 | |
| OperationParameter | | |
Operation parameter name: | name: | Bin node increment on J-axis | |
| ParameterValue | | |
Числовое значение параметра действия: | value: | 1.0 | |
| OrdinalCS | | Аффинная СК может быть двух- или трехмерной. Описание осей будет дано два или три раза, в зависимости от обстоятельств. В этом примере система двухмерная |
Ordinal coordinate system name: | name: | Gulf of Mexico speculative seismic survey bin grid | |
| CoordinateSystemAxis | | Это атрибуты для первой оси, используемые первой координатой в векторе |
Coordinate system axis name: | name: | Bin grid I | |
Coordinate system axis abbreviation: | axisAbbrev: | I | |
Coordinate system axis direction: | axisDirection: | northNorthWest | |
Coordinate system axis unit identifier: | axisUnitID: | 1 | |
| CoordinateSystemAxis | | Это атрибуты для второй оси, используемые второй координатой в векторе |
Coordinate system axis name: | name: | Bin grid J | |
Coordinate system axis abbreviation: | axisAbbrev: | J | |
Coordinate system axis direction: | axisDirection: | westSouthWest | |
Coordinate system axis unit identifier: | axisUnitID: | 1 | |
Пример Д.2.9. Система высот
Таблица Д.11
Атрибут | Индентификатор UML | Содержание | Комментарий |
| VerticalCRS | | |
Vertical CRS name: | name: | NGVD29 height | |
CRS scope: | scope: | National height system | |
CRS validity: | domainOfValidity: | Conterminous US (lower 48 states) | |
CRS remarks: | remarks: | Superseded by NAVD88 | |
| VerticalCS | | |
Vertical coordinate system name: | name: | Gravity-related height | |
Vertical coordinate system remarks: | remarks: | 1 US survey foot = 12/39.37 meter | |
| CoordinateSystemAxis | | |
Coordinate system axis name: | name: | height | |
Coordinate system axis abbreviation: | axisAbbrev: | H | |
Coordinate system axis direction: | axisDirection: | up | |
Coordinate system axis unit identifier: | axisUnitID: | US survey foot | |
| VerticalReferenceFrame | | |
Vertical reference frame name: | name: | National Geodetic Vertical Datum of 1929 | |
Vertical reference frame alias: | alias: | NGVD29 | Необязательный атрибут |
Vertical reference frame anchor definition: | anchorDefinition: | 26 tide gauges in the US and Canada | Необязательный атрибут |
Vertical reference frame realization method: | realization: | levelling | Необязательный атрибут, показанный здесь только в качестве примера |
Пример Д.2.10. Система высот на основе модели высот (квази)геоида
Система высот на основе модели высот (квази)геоида реализуется путем применения модели высот (квази)геоида к геодезической СК. Однако это не производная СК, поскольку система высот не наследует начало и исходные пункты геодезической СК, а имеет свои собственные исходные пункты и реализацию. Модель высот (квази)геоида описывается как преобразование координат. Одна и та же система высот на основе высот (квази)геоида также может быть реализована из другой геодезической СК (в данном случае ITRF2008) посредством применения второй модели высот (квази)геоида. Каждая из моделей высот (квази)геоида применяется к определенной СК. Модель высот (квази)геоида и система высот связаны друг с другом посредством ассоциации
HeightTransfomation. См.
пример Д.5.2 для описания модели высоты (квази)геоида.
Таблица Д.12
Атрибут | Индентификатор UML | Содержание | Комментарий |
| VerticalCRS | | |
Vertical CRS name: | name: | CGVD2013 - OHt | |
CRS scope: | scope: | Spatial referencing | |
CRS validity: | domainOfValidity: | Canada - onshore and offshore: Alberta; British Columbia; Manitoba; New Brunswick; Newfoundland and Labrador; Northwest Territories; Nova Scotia; Nunavut; Ontario; Prince Edward Island; Quebec; Saskatchewan; Yukon | |
CRS remarks: | remarks: | Источник: M. Veronneau and J. Huang. The Canadian Geodetic Vertical Datum of 2013 (CGVD2013). Geomatica, Vol. 70, No. 1, 2016, pp. 9 - 19. Заменяет CGVD28 | |
| VerticalCS | | |
Vertical coordinate system name: | name: | Gravity-related height | |
| CoordinateSystemAxis | | |
Coordinate system axis name: | name: | height | |
Coordinate system axis abbreviation: | axisAbbrev: | H | |
Coordinate system axis direction: | axisDirection: | up | |
Coordinate system axis unit identifier: | axisUnitID: | metre | |
| VerticalReferenceFrame | | |
Vertical reference frame name: | name: | Canadian Geodetic Vertical Datum of 2013 | |
Vertical reference frame alias: | alias: | CGVD2013 | Необязательный атрибут |
Vertical reference frame anchor definition: | anchorDefinition: | CGVD2013 - система высот, основанная на гравиметрических высотах геоида 2013 г. (CGG2013) в координатах NAD83(CSRS) v6. Высоты отсчитываются от уровенной поверхности с потенциалом W0 = 62 636 856.0 м2/с2, принятой за средний уровень моря у побережья Северной Америки. Это определение и значение W0 приняты по соглашению между Канадой и США. Канадский гравиметрический геоид 2013 г. (CGG2013) - первая реализация такой системы высот. Система высот CGG2013 определена как статическая на эпоху 2011.0. Доступна в системах NAD83(CSRS) и ITRF2008 на эллипсоиде GRS80, может применяться вместе с ГНСС. Ортометрические высоты в CGVD2013 могут быть получены из геодезических высот в системах NAD83(CSRS) v6 или ITRF2008 вычитанием высоты геоида CGG2013 в СК NAD83(CSRS) v6 или ITRF2008, соответственно | Необязательный атрибут |
Vertical reference frame publication date: | publicationDate: | 2013-11-28 | |
Vertical reference frame realization method: | realization: | Геоид | |
Geoid model: | heightTransformation: | CGG2013 | Это ссылка на модель геоида, посредством которой определяется эта система высот. Это описано в примере Д.5.2, посредством которого можно установить, что исходной геодезической СК является NAD83(CSRS) v6 |
Пример Д.2.11. Составная СК (проекция + высота)
В этом примере показана составная пространственная СК, образованная из СК проекции и системы высот.
Таблица Д.13
Атрибут | Индентификатор UML | Содержание | Комментарий |
| CompoundCRS | | Этот пример задает запись: восток E, север N, высота над уровнем моря |
Compound CRS name: | name: | British National Grid + ODN | |
Compound CRS scope: | scope: | National mapping including heighting related to mean sea level | |
Compound CRS validity: | domainOfValidity: | Great Britain mainland | |
| | | Далее описаны отдельные системы, образующие составную СК. Последовательность важна, так как подразумевает порядок координат в записи |
| ProjectedCRS | | Затем двухмерная СК проекции описывается способом, аналогичным описанному в примере Д.2.6 |
Projected CRS name: | name: | British National Grid | |
Projected CRS scope: | scope: | Large, medium and small-scale topographic mapping, engineering survey and GIS | |
Projected CRS validity: | domainOfValidity: | England, Wales, Scotland, Isle of Man | |
| CartesianCS | | |
Cartesian coordinate system name: | name: | National grid | |
| CoordinateSystemAxis | | |
Coordinate system axis name: | name: | easting | |
Coordinate system axis abbreviation: | axisAbbrev: | E | |
Coordinate system axis direction: | axisDirection: | east | |
Coordinate system axis unit identifier: | axisUnitID: | metre | |
| CoordinateSystemAxis | | |
Coordinate system axis name: | name: | northing | |
Coordinate system axis abbreviation: | axisAbbrev: | N | |
Coordinate system axis direction: | axisDirection: | north | |
Coordinate system axis unit identifier: | axisUnitID: | metre | |
| GeodeticReferenceFrame | | |
Geodetic reference frame name | name: | Ordnance Survey of Great Britain 1936 | |
| Ellipsoid | | |
Ellipsoid name | name: | Airy 1830 | |
Length of semi-major axis | semiMajorAxis: | 6377563.396 m | |
Inverse flattening | inverseFlattening: | 299.3249646 | |
| Conversion | | |
Coordinate operation name: | name: | British National Grid | |
Coordinate operation scope: | scope: | Topographic mapping | |
| OperationMethod | | |
Coordinate operation method name: | name: | Transverse Mercator | |
Coordinate operation method formula: | formula: | [Citation (CI_Citation) describing the formula or the formula itself should be given here and is not detailed in this example] | |
| OperationParameter | | |
Operation parameter name: | name: | latitude of origin | |
| ParameterValue | | |
Числовое значение параметра действия: | value: | 49 degrees | |
| OperationParameter | | |
Operation parameter name: | name: | longitude of origin | |
| ParameterValue | | |
Числовое значение параметра действия: | value: | -2 degrees | |
| OperationParameter | | |
Operation parameter name: | name: | scale factor | |
| ParameterValue | | |
Числовое значение параметра действия: | value: | 0.9996012717 | |
| OperationParameter | | |
Operation parameter name: | name: | false easting | |
| ParameterValue | | |
Числовое значение параметра действия: | value: | 400000 m | |
| OperationParameter | | |
Operation parameter name: | name: | false northing | |
| ParameterValue | | |
Числовое значение параметра действия: | value: | -100000 m | |
| VerticalCRS | | |
Vertical CRS name: | name: | ODN | |
Vertical CRS validity: | domainOfValidity: | British mainland | |
Vertical CRS scope: | scope: | National height system | |
| VerticalCS | | |
Vertical coordinate system name: | name: | ODN heights | |
| CoordinateSystemAxis | | |
Coordinate system axis name: | name: | height | |
Coordinate system axis abbreviation: | axisAbbrev: | H | |
Coordinate system axis direction: | axisDirection: | up | |
Coordinate system axis unit identifier: | axisUnitID: | metre | |
| VerticalReferenceFrame | | |
Vertical reference frame name: | name: | Ordnance Datum Newlyn | Порядок координат в записи, относящейся к составной СК, подразумевается как E, N, H |
Пример Д.2.12. Инженерная СК в виде строительной сетки
Таблица Д.14
Атрибут | Индентификатор UML | Содержание | Комментарий |
| EngineeringCRS | | |
Engineering CRS name: | name: | Best building CRS | |
CRS scope: | scope: | Building construction and maintenance | |
CRS validity: | domainOfValidity: | The Best building, Gondwanaland | |
CRS remarks: | remarks: | Источник: M. Veronneau and J. Huang. The Canadian Geodetic Vertical Datum of 2013 (CGVD2013). Geomatica, Vol. 70, No. 1, 2016, pp. 9 - 19. Заменяет CGVD28 | |
| CartesianCS | | Поскольку есть три оси СК, это трехмерная система |
Cartesian coordinate system name: | name: | Right-handed 3D CS | |
| CoordinateSystemAxis | | |
Coordinate system axis name: | name: | site east | |
Coordinate system axis abbreviation: | axisAbbrev: | E | |
Coordinate system axis direction: | axisDirection: | northeast | |
Coordinate system axis unit identifier: | axisUnitID: | metre | |
| CoordinateSystemAxis | | |
Coordinate system axis name: | name: | site north | |
Coordinate system axis abbreviation: | axisAbbrev: | N | |
Coordinate system axis direction: | axisDirection: | northwest | |
Coordinate system axis unit identifier: | axisUnitID: | metre | |
| CoordinateSystemAxis | | |
Coordinate system axis name: | name: | height | |
Coordinate system axis abbreviation: | axisAbbrev: | H | |
Coordinate system axis direction: | axisDirection: | up | |
Coordinate system axis unit identifier: | axisUnitID: | metre | |
| Engineering Datum | | |
Engineering datum name: | name: | Best building site | |
Engineering datum anchor definition: | anchorDefinition: | Точка A в ю-з углу участка. Направление на точку B в с-з углу участка задает север сетки. Плановые координаты точки A равны [0; 0]. Плановые координаты точки B: [0, 273,46]. Высота точки A принята +50,0 м | |
Пример Д.2.13. СК движущегося объекта (объектоцентрическая)
Таблица Д.15
Атрибут | Индентификатор UML | Содержание | Комментарий |
| EngineeringCRS | | |
Engineering CRS name: | name: | Cessna K-1234CRS | |
CRS scope: | scope: | Aerial survey project ABC-123 | |
CRS validity: | domainOfValidity: | Cessna K-1234 | |
CRS remarks: | remarks: | Project ABC-123 | |
| CartesianCS | | Поскольку есть три оси СК, это трехмерная система |
Cartesian coordinate system name: | name: | Right-handed 3D CS | |
| CoordinateSystemAxis | | |
Coordinate system axis name: | name: | forward | |
Coordinate system axis abbreviation: | axisAbbrev: | X | |
Coordinate system axis direction: | axisDirection: | forward | |
Coordinate system axis unit identifier: | axisUnitID: | metre | |
| CoordinateSystemAxis | | |
Coordinate system axis name: | name: | starboard | |
Coordinate system axis abbreviation: | axisAbbrev: | Y | |
Coordinate system axis direction: | axisDirection: | starboard | |
Coordinate system axis unit identifier: | axisUnitID: | metre | |
| CoordinateSystemAxis | | |
Coordinate system axis name: | name: | down | |
Coordinate system axis abbreviation: | axisAbbrev: | Z | |
Coordinate system axis direction: | axisDirection: | down | |
Coordinate system axis unit identifier: | axisUnitID: | metre | |
| Engineering Datum | | |
Engineering datum name: | name: | Cessna K-1234 | |
Engineering datum anchor definition: | anchorDefinition: | Aircraft centre of gravity/inertial reference system reference point | |
Пример Д.2.14. Инженерная СК изображения
Таблица Д.16
Атрибут | Индентификатор UML | Содержание | Комментарий |
| EngineeringCRS | | |
Engineering CRS name: | name: | Photo 123456 | |
CRS scope: | scope: | Building construction and maintenance | |
CRS validity: | domainOfValidity: | The Best building, Gondwanaland | |
| OrdinalCS | | Поскольку есть две оси СК, это двухмерная система |
Cartesian coordinate system name: | name: | | |
| CoordinateSystemAxis | | |
Coordinate system axis name: | name: | row | |
Coordinate system axis abbreviation: | axisAbbrev: | R | |
Coordinate system axis direction: | axisDirection: | rowPositive | |
Coordinate system axis unit identifier: | axisUnitID: | micrometre | |
| CoordinateSystemAxis | | |
Coordinate system axis name: | name: | column | |
Coordinate system axis abbreviation: | axisAbbrev: | C | |
Coordinate system axis direction: | axisDirection: | columnPositive | |
Coordinate system axis unit identifier: | axisUnitID: | micrometre | |
| Engineering Datum | | |
Engineering datum name: | name: | Photo 123456 | |
Engineering datum anchor definition: | anchorDefinition: | Top left corner | |
Д.3 Задание параметрических СК
Пример Д.3.1. Параметрическая СК с физическим параметром (давление)
Атмосферное давление является основной мерой высоты, используемой в авиации и метеорологии, но точный перевод в высоту зависит от местных атмосферных условий. В 1951 году Международная организация гражданской авиации (ИКАО) включила ISA в международное право
<1>. С тех пор было несколько дополнений до высоты 80 км. С публикацией
[15] в 1975 году была установлена стандартная атмосфера в диапазоне от 2000 до 5000 м
<2> - см.
[15] -
[17].
| | ИС МЕГАНОРМ: примечание. В официальном тексте документа, видимо, допущена опечатка: Приложение 8 в Конвенции о международной гражданской авиации отсутствует. | |
--------------------------------
<1>
Конвенция о международной гражданской авиации (Чикагская конвенция 1947 г.), приложение 8.
<2> Стандартные атмосферы США, ИКАО и ВМО (Всемирная метеорологическая организация) совпадают со стандартной атмосферой ISO для высот до 32 км.
Положение в атмосфере измеряется атмосферным давлением, монотонно уменьшающимся с высотой. Хотя ISA задана как в футах, так и в метрах, модель определяет не геометрическую высоту, а приблизительную геопотенциальную величину. Это связано с тем, что стандарт игнорирует изменения температуры и давления в нижней части атмосферы. Высоты называются эшелонами полета (например, FL320 номинально составляет 32 000 футов). Даже если в самолете доступны измерения реальной высоты до земной поверхности, например с помощью радара или GPS (ГНСС), показания должны быть преобразованы в эшелоны полета ISA, если только пилот не летает по правилам визуального полета (VFR) у земли.
Исходное значение установлено при среднем давлении на уровне моря в стандартной атмосфере 1013,25 гектопаскаля (гПа), также выражено в миллибарах (мб), не в СИ
<3>.
Примечание - Если воздушное судно летит на малой высоте над топографией, диспетчер устанавливает переходный эшелон полета или высоту, ниже которой ISA не применяется, но где выполняется привязка к атмосфере. Это включает в себя сброс исходной точки пилотом, чтобы убедиться, что самолет находится над земной поверхностью. Новые точки (известные как QNH) передаются по радио от диспетчера и представляют собой прогноз наименьшего давления (приведенного к среднему уровню моря) на следующие 3 ч в зоне низких полетов или текущее давление на аэродроме (QFE), если самолет собирается приземлиться.
--------------------------------
<3> Для авиации в Северной Америке на практике и по закону исходное значение установлено в 29,92 дюйма ртутного столба.
Таблица Д.17
Атрибут | Индентификатор UML | Содержание | Комментарий |
ParametricCRS |
name: | Parametric CRS name: | Международная стандартная атмосфера ИКАО (ISA) | |
alias: | CRS alias: | Стандартная атмосфера WMO | Необязательный атрибут |
scope: | CRS scope: | Авиация, метеорология | |
domainOfValidity: | CRS validity: | От 2 до 80 км в свободной атмосфере (над землей) | |
remarks: | CRS remarks: | От 2 до 32 км совпадает с приведенным в [16] | Необязательный атрибут |
ParametricCS | |
name: | Parametric coordinate system name: | Эшелон полета самолета | |
remarks: | Parametric CS remarks: | Высота полета FL320 равна 32000 футов (геопотенциальная высота) | Необязательный атрибут |
CoordinateSystemAxis | | | |
name: | Coordinate system axis name: | Эшелон полета | |
axisAbbrev: | Coordinate system axis abbreviation: | FL | |
axisDirection: | Coordinate system axis direction: | Вверх | |
axisUnitID: | Coordinate system axis unit identifier: | Геопотенциальные метры | |
minimumValue: | Coordinate system axis minimum value: | 2000 | Необязательный атрибут |
maximumValue: | Coordinate system axis maximum value: | 80000 | Необязательный атрибут |
rangeMeaning: | Coordinate system axis range meaning: | Точно | Условный атрибут |
remarks: | CS axis remarks: | Используется только выше допустимой переходной высоты в регионах с рельефом | Необязательный атрибут |
ParametricDatum |
name: | Parametric datum name: | Стандартное атмосферное давление | |
alias: | Parametric datum alias: | Среднее давление на уровне моря (MSLP) | Необязательный атрибут |
scope: | Parametric datum scope: | Авиация, метеорология | |
anchorDefinition: | Parametric datum anchor definition: | Средний уровень моря | Необязательный атрибут |
remarks: | Parametric datum remarks: | 1013.25 hPa | Необязательный атрибут |
Пример Д.3.2. Параметрическая СК с функциональным параметром (потенциальная завихренность)
Потенциальная завихренность (PV) - это функция, которая сильно зависит от высоты. Одним из распространенных применений уровней PV является отображение значений полей на одном уровне из 2 единиц PV, 1 единица PV = 10-6 К/(м-2·кг·с), поскольку это значение PV часто используется для обозначения тропопаузы средних широт.
PV - это абсолютная циркуляция воздушной массы, заключенной между двумя изоэнтропическими поверхностями. В следующем уравнении PV является произведением абсолютной завихренности на изоэнтропической поверхности и статической устойчивости. Таким образом, PV состоит из двух факторов: динамического и термодинамического элементов:

(Д.1)
где f - кориолисов параметр;
g - сила тяжести;
p - давление;

- потенциальная температура;

- относительная изоэнтропическая завихренность.
В пределах тропосферы значения PV, как правило, невелики. Однако потенциальная завихренность быстро возрастает от тропосферы к стратосфере из-за значительного изменения статической устойчивости. Типичные изменения потенциальной завихренности в районе тропопаузы составляют от 1 (тропосферный воздух) до 4 (стратосферный воздух) единиц PV. Как правило, аномалия в 2 единицы PV, которая отделяет тропосферный воздух от стратосферного, называется динамической тропопаузой. Традиционным способом описания тропопаузы является использование потенциальной температуры или статической стабильности. Это всего лишь термодинамический способ характеристики тропопаузы. Преимущество использования PV заключается в том, что тропопаузу можно понять, как с термодинамической, так и с динамической точек зрения. Резкое свертывание или опускание динамической тропопаузы также можно назвать верхней аномалией PV. Когда это происходит, стратосферный воздух проникает в тропосферу, что приводит к высоким значениям PV по отношению к окружающей среде, создавая положительную аномалию PV. В нижних слоях тропосферы часто встречаются сильные бароклинные зоны, которые можно рассматривать как низкоуровневые аномалии PV. Благодаря сохранению PV можно идентифицировать важные особенности, связанные с синоптическими погодными системами, и отслеживать их как в пространстве, так и во времени.
Таблица Д.18
Атрибут | Индентификатор UML | Содержание | Комментарий |
ParametricCRS | | | |
name: | Parametric CRS name: | Potential vorticity functional CRS | |
scope: | CRS scope: | Meteorology | |
domainOfValidity: | CRS validity: | The whole atmosphere | |
ParametricCS | | | |
name: | Parametric coordinate system name: | Potential vorticity functional CS | |
CoordinateSystemAxis | | | |
name: | Parametric system axis name: | Potential vorticity | |
axisAbbrev: | Coordinate system axis abbreviation: | PV | |
axisDirection: | Coordinate system axis direction: | Upward | |
axisUnitID: | Coordinate system axis unit identifier: | PVU | |
remarks: | CS axis remarks: | Единица потенциальной завихренности масштабирует к значениям порядка 10-6 К/(кг·м2·с) | Необязательный атрибут |
ParametricDatum | | | |
name: | Parametric datum name: | Ноль вычисленной функции PV | |
Пример Д.3.3. Пространственно-параметрическая СК
| | ИС МЕГАНОРМ: примечание. В официальном тексте документа, видимо, допущена опечатка: пример Д.1.6 отсутствует. | |
Здесь представлено задание пространственно-параметрической СК на основе примера Д.1.6 для плановых координат и океанографического примера, где параметром является плотность, указываемая по вертикали.
Модель изопикнических координат Майами (MICOM) (см.
[18]) представляет собой океанографическую модель численного интегрирования, которая имеет плановые координаты (широта/долгота) и третью координату, которая имеет временной вид, основанную на потенциальной плотности. Одна версия модели MICOM подобрана для Атлантического океана с разрешением 1/12 градуса и обеспечивает поле температуры и солености для области MICOM за период в пределах 20-летнего интегрирования MICOM.
Сетка MICOM в глубоководных слоях океана построена с шагом потенциальной плотности (плотность скорректирована с учетом сжимаемости), а не глубины. Плотность воды зависит от солености и температуры, а также от глубины, и изопикнические поверхности (постоянная потенциальная плотность) являются неуровенными под действием ветра и течений. Численные модели прогнозирования океана или погоды требуют сложных сеток по вертикали (а часто и по горизонтали) для корректного представления задействованных физических процессов. Использование естественных физических величин облегчает интерпретацию и, что наиболее важно, сохраняет численную стабильность модели. Вычисление сетки по координатам плотности значительно снижает численно индуцированную диабатическую дисперсию свойств массы воды и сохраняет законы сохранения, особенно при длительных прогонах модели.
Различные океанографические модели могут иметь сетки, которые сильно различаются в деталях. Многие из них имеют гибридные координаты, которые можно указать в зависимости от местоположения. Например, сетка может быть изменена на дне океана, в мелководных морях и в нестратифицированной воде, чтобы обеспечить лучшее представление конкретных физических процессов, происходящих там. Для этого примера вся такая сложность игнорируется.
Когда в качестве исходной точки используется морская поверхность, модель океана подвергается суточному нагреву. Для некоторых моделей океана за исходную точку принимается 10 м, чтобы исключить эти быстрые изменения; в противном случае используется соответствующий средний уровень моря.
Таблица Д.19
Атрибут | Индентификатор UML | Содержание | Комментарий |
CompoundCRS | | | |
name: | Compound CRS name: | WGS 84(G1762) + MICOM grid | |
scope: | Compound CRS scope: | Oceanography | |
domainOfValidity: | Compound CRS validity: | Surface to ocean bottom, worldwide | |
GeodeticCRS | | | Далее описаны отдельные СК, образующие составную СК. Последовательность имеет значение, подразумевая порядок, в котором даны координаты. В данном примере это широта, долгота, потенциальная плотность |
name: | Geodetic CRS name: | WGS84(G1762) | |
scope: | Geodetic CRS scope: | Navigation | |
domainOfValidity: | Geodetic CRS validity: | World | |
EllipsoidalCS | | | |
name: | Ellipsoidal coordinate system name: | Latitude/longitude in degrees | |
CoordinateSystemAxis | | | |
name: | Coordinate system axis name: | Geodetic latitude | |
axisAbbrev: | Coordinate system axis abbreviation: | | |
axisDirection: | Coordinate system axis direction: | North | |
axisUnitID: | Coordinate system axis unit identifier: | Degree | |
CoordinateSystemAxis | | | |
name: | Coordinate system axis name: | Geodetic longitude | |
axisAbbrev: | Coordinate system axis abbreviation: | | |
axisDirection: | Coordinate system axis direction: | East | |
axisUnitID: | Coordinate system axis unit identifier: | Degree | |
GeodeticReferenceFrame | | | |
name: | Geodetic reference frame name: | World Geodetic System of 1984(G1762) | |
Ellipsoid | | | |
name: | Ellipsoid name: | WGS 84 | |
semiMajorAxis: | Length of semi-major axis: | 6 378 137.0 m | |
secondDefiningParameter: | Second defining parameter: | inverseFlattening | |
inverseFlattening: | Inverse flattening: | 298.257 223 563 | |
ParametricCRS | | | Затем описывается второй компонент СК |
name: | Parametric CRS name | MICOM potential density CRS | |
scope: | CRS scope | Oceanography | |
domainOfValidity: | CRS validity | Global, oceans and seas | |
ParametricCS | | | |
name: | Parametric coordinate system name | Potential density in kg m-3 | |
CoordinateSystemAxis | | | |
name: | Coordinate system axis name: | Potential density | |
axisAbbrev: | Coordinate system axis abbreviation: | PD | |
axisDirection: | Coordinate system axis direction | Down | |
axisUnitID: | Coordinate system axis unit identifier: | kg m-3 | |
ParametricDatum | | | |
name: | Parametric datum name | Sea surface | |
alias: | Datum alias | Mean sea level | Необязательный атрибут |
anchorDefinition: | Datum anchor | Mean sea level | Необязательный атрибут |
Пример Д.4.1. Временная СК, в которой используется строка dateTime
Здесь представлена
временная СК, определенная относительно григорианского календаря ИСО со значениями моментов, использующими представление
dateTime в соответствии с
ГОСТ Р 7.0.64.
Таблица Д.20
Атрибут | Индентификатор UML | Содержание | Комментарий |
| TemporalCRS | | |
Temporal CRS name: | name: | DateTime in Gregorian calendar | Часовой пояс задается или подразумевается в значении координат, как определено в ГОСТ Р 7.0.64 |
Temporal CRS scope: | scope: | Date/time as defined in [13] | Этот атрибут необязателен, но рекомендуется |
Temporal CRS temporal validity: | domainOfValidity: | 1582-10-15 | Этот атрибут необязателен, но рекомендуется. В этом примере показана запись строки символов: см. ГОСТ Р 57668 и ГОСТ Р 7.0.64 |
| DateTimeTemporalCS | | |
DateTime temporal coordinate system name: | name: | DateTime | |
Coordinate data type: | coordinateDataType: | dateTime | |
| TemporalCoordinateSystemAxis | | Для DateTimeTemporalCS axisUnitlD и его UnitOfMeasure не требуются |
Coordinate system axis name: | axisName: | dateTime | |
Coordinate system axis abbreviation: | axisAbbrev | T | |
Coordinate system axis direction: | axisDirection: | Future | |
| TemporalDatum | | |
Temporal datum name: | name: | Gregorian calendar | |
Calendar: | calendar: | prolepticGregorian | Это значение по умолчанию. Атрибут может быть опущен, и в этом случае его значение должно быть принято по умолчанию |
Temporal datum origin: | origin: | 1875-05-20 | |
Temporal datum remarks: | remarks: | The origin is by convention the calendar day that the "Convention du Metre" was signed in Paris | Необязательный атрибут |
Пример Д.4.2. Временная СК, в которой используется единица исчисления времени
Здесь представлена временная СК, определенная относительно момента времени в григорианском календаре ИСО. Моменты, определенные относительно этой временной СК, должны иметь целые значения, интерпретируемые как календарные часы.
Если два момента времени, определенные относительно в этой временной СК, имеют значения 36 и 96, тогда соответствующие строки dateTime для этих координат будут иметь вид 1979-12-30T12:00Z и 1980-01-02T00:00Z соответственно.
Между 1979-12-29T00:00:00.0Z и 1980-01-02T00:00:00.0Z есть дополнительная секунда в 96 календарных часах. Результат учитывает эту дополнительную секунду, вычисления ведутся с целым числом часов в календаре. Одна из этих "часовых" величин в календаре на 1 секунду длиннее других. Это указывает, что вычисления ведутся по календарю.
Таблица Д.21
Атрибут | Индентификатор UML | Содержание | Комментарий |
| TemporalCRS | | |
Temporal CRS name | name: | Calendar hours from 1979-12-29 | |
| TemporalCountCS | | |
Temporal count coordinate system name: | name: | calendar hours | |
Coordinate data type: | coordinateDataType: | integer | |
| TemporalCoordinateSystemAxis | | |
Coordinate system axis name: | name: | Hour | |
Coordinate system axis abbreviation: | axisAbbrev | T | |
Coordinate system axis direction: | axisDirection: | future | |
Coordinate system axis temporal quantity: | axisUnitID: | hour | Для временных СК можно использовать метку "единица времени" вместо "идентификатор единицы оси". Эта единица измерения "час" определяется изолированно. Она явно не определена через количество секунд |
| TemporalDatum | | |
Temporal datum name: | name: | 1979-12-29 | |
Temporal datum origin: | origin: | 1979-12-29T00:00:00.0Z | Это начало счета времени, выраженное в григорианском календаре в соответствии с синтаксисом ГОСТ Р 7.0.64 |
Calendar: | calendar: | prolepticGregorian | |
Пример Д.4.3. Временная СК, в которой используется единица измерения времени
Здесь представлена временная СК, определенная относительно момента времени в пролептическом григорианском календаре ИСО. Моменты времени, определенные в этой временной СК, должны иметь действительные значения (с плавающей точкой), интерпретируемые как годы в непрерывной годовой шкале.
Таблица Д.22
Атрибут | Индентификатор UML | Содержание | Комментарий |
| TemporalCRS | | |
Temporal CRS name: | name: | Decimal Years CE | |
| TemporalMeasureCS | | |
Temporal coordinate system name: | name: | Decimal years | |
Coordinate data type: | coordinateDataType: | real | |
| TemporalCoordinateSystemAxis | | |
Coordinate system axis name: | name: | year | |
Coordinate system axis abbreviation: | axisAbbrev | a | |
Coordinate system axis direction: | axisDirection: | future | |
Coordinate system axis temporal quantity: | axisUnitID: | year | |
| TemporalDatum | | |
Temporal datum name: | name: | Common Era | |
Temporal datum alias: | alias: | CE | |
Temporal datum origin: | origin: | 0000 | Это начало отсчета времени, выраженное в пролептическом григорианском календаре для даты 0000-01-01 с использованием пониженной точности (в соответствии с ГОСТ Р 7.0.64) |
Calendar: | calendar: | prolepticGregorian | |
Пример Д.4.4. Составные системы из двух временных СК (dateTime и целочисленное исчисление времени)
Здесь представлена составная временная система, содержащая две независимых TemporalCRS, одна из которых использует dateTime, а другая - целочисленную единицу исчисления времени. Каждая запись значений содержит две разных величины, представляющих две разные части информации. Первое значение в записи - это исходная дата и время (время инициализации запуска) для запуска модели метеорологического прогнозирования; второе значение в записи - это прогнозное время (время, за которое прогнозируется предсказываемая величина), закодированное как количество, целочисленный интервал. Такие представления данных используются в прогнозировании погоды для обеспечения анализа тенденций в нескольких прогонах прогноза:
2017-12-06T00:00:00Z, 24,
2017-12-06T00:00:00Z, 48,
2017-12-06T12:00:00Z, 24,
2017-12-06T12:00:00Z, 48.
Такой набор CoordinateSet относится к составной системе CompoundCRS, определенной ниже.
Таблица Д.23
Атрибут | Индентификатор UML | Содержание | Комментарий |
| CompoundCRS | | |
Compound CRS name: | name: | Meteorological run E44 calendar | |
Compound CRS scope: | scope: | Weather forecasting | Этот атрибут необязателен, но рекомендуется |
Compound CRS validity: | domainOfValidity: | 1875-05-20 | Этот атрибут необязателен, но рекомендуется. В этом примере показана запись строки символов: см. ГОСТ Р 57668 и ГОСТ Р 7.0.64 |
| | | Далее описаны отдельные системы, образующие составную. Последовательность важна, так как она определяет порядок координат в записи |
| TemporalCRS 1 | | |
Temporal CRS name: | name: | DateTime in Gregorian calendar | |
: | : | : | |
[...здесь требуется полное определение для TemporalCRS 1, как в Д.4.1 выше, но пропущено в этом примере для краткости...]: |
: | TemporalCRS 2 | | |
| name: | Calendar hours from 1979-12-29 | |
Temporal CRS name: | | | |
[...здесь также требуется полное определение для TemporalCRS 1, как в Д.4.2 выше, но пропущено в этом примере для краткости...] |
Пример Д.4.5. Составные системы из двух временных СК (dateTime и непрерывное измерение времени)
Здесь представлена составная система, содержащая две независимых TemporalCRS, одна из которых использует dateTime, а другая - непрерывную единицу измерения времени.
Приложение Г настоящего стандарта предполагает, что преобразование
dateTime в непрерывную единицу измерения времени, в момент времени, удаленный от начального момента времени, может не давать однозначных результатов, т.к. конкретные реализации могут отличаться. Если для объекта требуется точное знание интервала или момента времени в непрерывных единицах измерения времени, а также даты и времени
dateTime (поскольку одно невозможно надежно вывести из другого), тогда может быть предоставлена запись координат даты и времени
dateTime и интервала или момента времени в непрерывных единицах измерения времени. Например:
2016-02-28T12:00:00Z, 2016.1626,
2016-02-29T12:00:00Z, 2016.1653,
2017-02-28T12:00:00Z, 2017.1630,
2017-03-01T12:00:00Z, 2017.1658.
Такой набор CoordinateSet относится к составной системе CompoundCRS, определенной ниже.
Таблица Д.24
Атрибут | Индентификатор UML | Содержание | Комментарий |
| CompoundCRS | | |
Compound CRS name: | name: | Meteorological run E45 calendar | |
Compound CRS scope: | scope: | Weather forecasting for June 2017 | Этот атрибут необязателен, но рекомендуется |
Compound CRS validity: | domainOfValidity: | 1875-05-20 | Этот атрибут необязателен, но рекомендуется. В этом примере показана запись символьной строки согласно ГОСТ Р 57668 и ГОСТ Р 7.0.64 |
| TemporalCRS 1 | | |
Temporal CRS name: | name: | DateTime in Gregorian calendar | |
: | : | : | |
[...здесь требуется полное определение для TemporalCRS 1, как в Д.4.1 выше, но пропущено в этом примере для краткости...] |
: | TemporalCRS 2 | | |
| name: | Decimal Years CE | |
Temporal CRS name: | | | |
[...здесь также требуется полное определение для TemporalCRS 2, как в Д.4.3 выше, но пропущено в этом примере для краткости...] |
Д.5 Определение действий с координатами
Пример Д.5.1. Трансформирование координат
В этом примере показано трансформирование координат из WGS 84 в ED50.
Таблица Д.25
Атрибут | Индентификатор UML | Содержание | Комментарий |
| Transformation | | |
Coordinate operation name: | name: | WGS 84 to ED50 NIMA 1993 mean Europe | |
Coordinate operation version: | operationVersion: | NIMA mean for Europe | |
Coordinate operation scope: | scope: | Military operations | |
Coordinate operation validity: | domainOfValidity: | Austria; Belgium; Denmark; Finland; France; Germany (west); Gibraltar; Greece; Italy; Luxembourg; Netherlands; Norway; Portugal; Spain; Sweden; Switzerland | |
Coordinate operation remarks: | remarks: | Для гражданского применения следует уточнить в EuroGeographics или национальных картографических органах | Это поле необязательно |
Coordinate operation accuracy: | coordinateOperation- Accuracy: | 3 м, 8 м и 5 м и по осям X, Y и Z | Это поле необязательно, но рекомендуется при трансформировании |
Source CRS: | sourceCRS: | WGS 84 | (Дополнительные данные, определяющие исходную СК, должны быть приведены здесь, но не описаны подробно в этом примере) |
Target CRS: | targetCRS: | ED50 | (Дополнительные данные, определяющие конечную СК, должны быть приведены здесь, но не подробно описаны в этом примере) |
| OperationMethod: | | |
Coordinate operation method name: | name: | geocentric translations | |
Coordinate operation method formula: | formula | Xt = Xs + dX Yt = Ys + dY Zt = Zs + dZ, где dX, dY и dZ - смещения по осям X, Y и Z соответственно. (Индексы t и s указывают на цель и источник соответственно) | |
| OperationParameter | | Количество параметров (n) определяется формулой метода действия. Имена параметров, значения (при необходимости, необязательные атрибуты) будут заданы n раз. В этом примере n = 3 |
Operation parameter name: | name: | X-axis translation | |
| ParameterValue: | | |
Числовое значение параметра действия: | value: | 87 m | |
| OperationParameter | | |
Operation parameter name: | name: | Y-axis translation | |
| ParameterValue: | | |
Числовое значение параметра действия: | value: | 98 m | |
| OperationParameter | | |
Operation parameter name: | name: | Z-axis translation | |
| ParameterValue: | | |
Числовое значение параметра действия: | value: | 121 m | |
Пример Д.5.2. Модель высот (квази)геоида
| | ИС МЕГАНОРМ: примечание. В официальном тексте документа, видимо, допущена опечатка: пример Д.1.11 отсутствует. | |
В этом примере описывается модель, которая преобразует геодезические высоты над эллипсоидом в NAD83 (CSRS) в физические высоты над уровнем моря. По соглашению она реализует CGVD2013, систему высот на основе высот геоида, описанную в примере Д.1.11.
Таблица Д.26
Атрибут | Индентификатор UML | Содержание | Комментарий |
| Transformation | | |
Coordinate operation name: | name: | Canadian Gravimetric Geoid 2013 | |
Coordinate operation alias: | alias: | CGG2013 | |
Source CRS: | sourceCRS: | NAD83(CSRS)v6 LatLonEht | (Дополнительные данные, определяющие исходную СК, должны быть приведены здесь, но не подробно описаны в этом примере) |
Target CRS: | targetCRS: | CGVD2013-OHt | (Дополнительные данные, определяющие конечную СК, должны быть приведены здесь, но не подробно описаны в этом примере) |
Coordinate operation version: | operationVersion: | v1 | |
Coordinate operation scope: | scope: | Вывод ортометрических высот из геодезических высот, определенных с помощью GNSS | |
Coordinate operation validity: | domainOfValidity: | Canada | |
Coordinate operation remarks: | remarks: | Источник: M. Veronneau and J. Huang. The Canadian Geodetic Vertical Datum of 2013 (CGVD2013). Geomatica, Vol. 70, No. 1, 2016, pp. 9 - 19 | Этот атрибут необязателен |
| OperationMethod | | |
Coordinate operation method name: | name: | CGG geoid height model | |
Coordinate operation method formula: | formula: | hCSRS = HCGVD + NCGG | |
Coordinate operation method remarks: | remarks: | Этот метод требует билинейной интерполяции высоты геоида (N) в рамках модели высоты геоида, с использованием компонентов широты и долготы исходных CRS в качестве аргументов для интерполяции | Этот атрибут необязателен |
| OperationParameter | | Количество параметров (n) определяется в формуле метода действия. Имена параметров, значения (при необходимости, необязательные атрибуты) будут заданы n раз в зависимости от ситуации. В этом примере n является значением каждого узла сетки в модели высот геоида и слишком велико, чтобы его было удобно описать напрямую. Поэтому он дается косвенно через ссылку на файл. Формат файла будет определяться методом работы |
Operation parameter name: | name: | Имя файла модели высоты геоида | |
| ParameterValue | | |
Ссылка на файл с параметрами: | valueFile: | CGG2013n83.byn | Имя файла может быть URI |
| OperationParameter | | |
Operation parameter name: | name: | | |
| ParameterValue | | |
Interpolation CRS: | stringValue: | NAD83(CSRS) v6 LatLonEht | Эта СК, используемая для интерполяции набора данных с привязкой к координатной сетке. В этом примере это исходная СК подразумевается в методе работы, но для других методов (таких как поправка в высоту, например от CGVD1928 до CGVD2013) ее необходимо указать |
Пример Д.5.3. Составное действие
В этом примере показана последовательность трансформирования между Egypt 1907 и WGS 72, затем между WGS 72 и WGS 84 для формирования составного действия по приведению координат от Egypt 1907 к WGS 84.
Таблица Д.27
Атрибут | Индентификатор UML | Содержание | Комментарий |
| ConcatenatedOperation | | |
Concatenated coordinate operation name: | name | ED50 to WGS 84 Egypt | |
Source CRS: | sourceCRS: | ED50 | Это исходная СК для составного действия с координатами. (Дополнительные данные, определяющие исходную СК, должны быть приведены здесь, но не подробно описаны в этом примере) |
Target CRS: | targetCRS: | WGS 84 | Это конечная СК для составного действия с координатами. (Дополнительные данные, определяющие целевую СК, должны быть приведены здесь, но не подробно описаны в этом примере) |
Coordinate operation version: | operationVersion: | MCE and DMA concatenation | |
Coordinate operation scope: | scope: | Oil exploration | |
Coordinate operation validity: | domainOfValidity: | Egypt - Western Desert | |
| | | Затем по очереди задаются все простейшие действия с координатами, образующие составное действие. Указан порядок выполнения действий. В этом примере показаны только выбранные атрибуты - см. пример Д.5.1 для полного примера единичного действия с координатами |
| Transformation | | Ниже описан первый шаг составного преобразования |
Coordinate operation name: | name: | ED50 to WGS 72 Egypt | |
Source CRS: | sourceCRS: | ED50 | Это исходная СК для первого шага составного действия, в данном примере ED50 |
Target CRS: | targetCRS: | WGS 72 | Это конечная СК для первого шага составного действия, в данном примере WGS 84 |
Coordinate operation version: | operationVersion: | MCE 1974 | |
Coordinate operation validity: | domainOfValidity: | Egypt | |
Coordinate operation scope: | scope: | Geodetic survey | |
| OperationMethod | | |
Coordinate operation method name | name: | geocentric translations | |
Coordinate operation method formula | formula: | Xt = Xs + dX Yt = Ys + dY Zt = Zs + dZ, где dX, dY и dZ - смещения по осям X, Y и Z соответственно. (Индексы t и s указывают на цель и источник соответственно) | |
| OperationParameter | | Количество параметров (n) определено формулой метода. Имена параметров, значения (при необходимости, необязательные атрибуты) будут даны n раз, в зависимости от ситуации. В этом примере на первом шаге n = 3 |
Operation parameter name: | name: | X-axis translation | |
| ParameterValue | | |
Числовое значение параметра действия: | value: | -121.8 m | |
| OperationParameter | | |
Operation parameter name: | name: | Y-axis translation | |
| ParameterValue | | |
Числовое значение параметра действия: | value: | 98.1 m | |
| OperationParameter | | |
Operation parameter name: | name: | Z-axis translation | |
| ParameterValue | | |
Числовое значение параметра действия: | value: | -15.2 m | |
| | | Описывается следующий шаг составного действия |
| Transformation | | |
Coordinate operation name: | name: | WGS 72 to WGS 84 DMA | |
Source CRS: | sourceCRS: | WGS 72 | Это исходная СК для второго шага составного действия, в данном примере WGS 72 |
Target CRS: | targetCRS: | WGS 84 | Это конечная СК для второго шага составного действия, в данном примере WGS 84 |
Coordinate operation version: | operationVersion: | DMA 1987 | |
Coordinate operation scope: | scope: | Geodetic survey | |
Coordinate operation validity: | domainOfValidity: | World | |
| OperationMethod | | |
Coordinate operation method name: | name: | Преобразование подобия по Гельмерту (вращение вектора положения) | |
Coordinate operation method formula: | formula: | (Формула метода или ссылка на нее должны быть здесь, но не приведены в этом примере) | |
| OperationParameter | | Количество параметров (n) определено формулой метода. Имена параметров, значения (при необходимости, необязательные атрибуты) будут даны n раз, в зависимости от ситуации. На втором шаге этого примера n = 7 |
Operation parameter name: | name: | X-axis translation | |
| ParameterValue | | |
Числовое значение параметра действия: | value: | 0 m | |
| OperationParameter | | |
Operation parameter name: | name: | Y-axis translation | |
| ParameterValue | | |
Числовое значение параметра действия: | value: | 0 m | |
| OperationParameter | | |
Operation parameter name: | name: | Z-axis translation | |
| ParameterValue | | |
Числовое значение параметра действия: | value: | 4.5 m | |
| OperationParameter | | |
Operation parameter name: | name: | X-axis rotation | |
| ParameterValue | | |
Числовое значение параметра действия: | value: | 0 s | |
| OperationParameter | | |
Operation parameter name: | name: | Y-axis rotation | |
| ParameterValue | | |
Числовое значение параметра действия: | value: | 0 s | |
| OperationParameter | | |
Operation parameter name: | name: | Z-axis rotation | |
| ParameterValue | | |
Числовое значение параметра действия: | value: | 0.554 s | |
| OperationParameter | | |
Operation parameter name: | name: | Scale difference | |
| ParameterValue | | |
Числовое значение параметра действия: | value: | 0.2263 parts per million | |
Д.6 Изменение эпохи координат в динамической СК
Эпоха координат - это атрибут данных; изменение эпохи координат не изменяет определение динамической СК. Контрольный журнал транзакций с координатами должен включать описание СК и, если СК является динамической, эпохи исходных и конечных координат.
Пример Д.6.1. Изменения координат с использованием линейных скоростей точек
Пункт | X (m) | Y (m) | Z (m) |
Alice Springs ITRF station ALIC | -4052052.148 | 4212836.068 | -2545105.400 |
Метаданные координат: СК: ITRF2008 Эпоха координат: 2005.0 |
Задача: Найти координаты пункта на эпоху 2017.56 (конечная эпоха). Действие движения точки, которое будет использоваться:
Таблица Д.29
Атрибут | Индентификатор UML | Содержание | Комментарий |
| PointMotionOperation | | |
Coordinate operation name: | name: | Change of coordinate epoch | |
Source CRS: | sourceCRS: | ITRF2008-XYZ | (Дополнительные данные, определяющие исходную СК, должны быть приведены здесь, но не подробно описаны в этом примере) |
Target CRS: | targetCRS: | ITRF2008-XYZ | (Дополнительные данные, определяющие конечную СК, должны быть приведены здесь, но не подробно описаны в этом примере) |
Coordinate operation version: | operationVersion: | v1 | |
Coordinate operation scope: | scope: | Change of coordinate epoch | |
Coordinate operation validity: | domainOfValidity: | World | |
| OperationMethod | | |
Coordinate operation method name: | name: | Change of coordinate epoch using station velocities | |
Coordinate operation method formula: | formula | Xt2 = Xt1 + VX·(t2 - t1) Yt2 = Yt1 + VY·(t2 - t1) Zt2 = Zt1 + VZ·(t2 - t1) | |
| OperationParameter | | |
Operation parameter name: | name: | VX | |
| ParameterValue | | |
Числовое значение параметра действия: | value: | -0.0396 m/yr | |
| OperationParameter | | |
Operation parameter name: | name: | VY | |
| ParameterValue | | |
Числовое значение параметра действия: | value: | -0.0050 m/yr | |
| OperationParameter | | |
Operation parameter name: | name: | VZ | |
| ParameterValue | | |
Числовое значение параметра действия: | value: | 0.0541 m/yr | |
После применения действия движения точки координаты вектора приведены в
таблице Д.30.
Пункт | X (m) | Y (m) | Z (m) |
Alice Springs ITRF station ALIC | -4052052.645 | 4212836.005 | -2545104.721 |
Метаданные координат: СК: ITRF2008 Эпоха координат: 2017.56 |
Следует обратить внимание, что СК не изменилась, но эпоха координат изменилась (как и значения координат).
Пример Д.6.2. Изменения координат с использованием модели линейных скоростей
Пункт | B | L | H |
Centennial Monument NCC100 (Canadian Geodetic Survey station number 6530100) | 45°25'45.714920"N | 75°42'05.960075"W | 39.524 m |
Метаданные координат: СК: NAD83(CSRS) v6 Эпоха координат: 2010.0 |
Задача: Найти координаты пункта в эпоху координат 2002.00 (конечная эпоха). Действие смещения точки, которое будет использоваться, приведено в
таблице Д.32.
Атрибут | Индентификатор UML | Содержание | Комментарий |
| PointMotionOperation | | |
Coordinate operation name: | name: | Canadian Velocity Grid v6.0 | |
Coordinate operation alias: | alias: | CVG v6.0 | |
Source CRS: | sourceCRS: | NAD83(CSRS) v6 - LatLonEht | (Дополнительные данные, определяющие исходную СК, должны быть приведены здесь, но не подробно описаны в этом примере) |
Target CRS: | targetCRS: | NAD83(CSRS) v6 - LatLonEht | (Дополнительные данные, определяющие конечную СК, должны быть приведены здесь, но не подробно описаны в этом примере) |
Coordinate operation version: | operationVersion: | v6.0 | |
Coordinate operation scope: | scope: | Change of coordinate epoch for a coordinate set referenced to a NAD83(CSRS) v6 | |
Coordinate operation validity: | domainOfValidity: | Canada | |
Coordinate operation accuracy: | coordinateOperation-Accuracy: | 0,02m | |
Coordinate operation remarks: | remarks: | Accuracy ... in horizontal, ... in vertical. | |
| OperationMethod | | |
Coordinate operation method name: | name: | NTv2_Vel | |
Coordinate operation method formula: | formula: | Этот метод требует сначала билинейной интерполяции скоростей в пределах сетки скоростей с использованием компонентов широты и долготы исходной CRS в качестве аргументов для интерполяции. Тогда: VB = VN/(M + H) VL = VE/[(N + H) cos B] Bt2 = Bt1 + VB·(t2 - t1) Lt2 = Lt1 + VL·(t2 - t1) Ht2 = Ht1 + VH·(t2 - t1) | M = радиус кривизны меридиана N = радиус кривизны первого вертикала |
| OperationParameter | | |
Operation parameter name: | name: | velocity model | |
| ParameterValue | | |
Ссылка на файл с параметрами: | valueFile: | cvg60.cvb | Имя файла может быть URI |
Интерполяция сетки скоростей для скоростей станций на Centennial Monument дает:
VN = северная скорость = -0,00156 м/год;
VE = восточная скорость = 0,00177 м/год;
VH = вертикальная скорость = 0,00202 м/год;
из которых можно вычислить:
VB = скорость изменения широты = -5.05E-5 угловых секунд/год;
VL = скорости изменения долготы = 8.14E-5 угловых секунд/год.
После применения перемещения точки за
t2 -
t1 = -8,0 лет координаты вектора приведены в
таблице Д.33.
Пункт | B | L | H, m |
Centennial Monument NCC100 (Canadian Geodetic Survey station number 6530100) | 45°25'45.715324"N | 75°42'05.960726"W | 39.508 |
Метаданные координат: СК: NAD83(CSRS) v6 Эпоха координат: 2002.0 |
Следует обратить внимание, что СК не изменилась, но эпоха координат изменилась (как и значения координат).
| ИСО 19107:2019 | Географическая информация. Пространственная схема |
| ИСО 19108:2003 | Географическая информация. Временная схема |
[3] | ИСО 19112:2019 | Географическая информация. Пространственная привязка по географическим идентификаторам |
| Дубошин Г.Н. (ред.), Абалакин В.К., Аксенов Е.П., Гребенников Е.А. и др. Справочное руководство по небесной механике и астродинамике. 1976, 889 с. |
| Блажко С.Н., Курс сферической астрономии, изд. 2-е, Гостехиздат, 1954 |
| Хаимов З.С. О среднеквадратической ошибке измерений. Геодезия и аэрофотосъемка, 1990, N 6, 3 - 11 |
| ИСО 19103:2015 | Географическая информация. Язык концептуальной схемы |
| ИСО 19162:2019 | Географическая информация. Легко понимаемое текстовое описание систем координат |
| ИСО 19123:2005 | Географическая информация. Схема для геометрии и функций покрытий |
[10] | Hooijberg M. (1997). Spatial Coordinate Calculations. In: Practical Geodesy. Springer, Berlin, Heidelberg. https://doi.org/10.1007/978-3-642-60584-0_9 |
| ИСО 19148:2021 | Географическая информация. Линейная привязка |
| ISO/IEC/IEEE 9945:2009, Information technology - Portable Operating System Interface  Base Specifications, Issue 7. The POSIX formula is in 4.16, Seconds Since the Epoch. |
| ИСО 8601 | Представление дат и времени |
| ИСО 19136-1:2020 | Географическая информация. Географический язык разметки (GML). Часть 1. Основные положения |
| Snyder J. P. Map projections: A working manual. Professional Paper 1395. Report: ix, 385 p. https://doi.org/10.3133/ pp1395 |
| ИСО 2533:1975 | Стандартная атмосфера ИСО 2533:1975/Add 1:1985 |
| Doc 7488, Manual of the ICAO Standard Atmosphere: extended to 80 kilometres (262 500 feet). International Civil Aviation Organisation (ICAO), Third Edition, 1993 |
| The Miami Isopycnal Coordinate Model, 2000, available at http://oceanmodeling.rsmas.miami.edu/micom/ |
УДК 622.1:528:002:006.354 | |
Ключевые слова: координаты, системы координат, системы высот, высоты, системы времени, пространственная привязка, эпоха, преобразование координат, трансформирование координат |