OCL (Object Constraint Language) | - язык объектных ограничений; |
OGC (Open Geospatial Consortium) | - открытый геопространственный консорциум; |
UML (Unified Modelling Language) | - унифицированный язык моделирования; |
XML (Extensible Markup Language) | - расширяемый язык разметки. |
CI (Citation) | - ссылки; |
DQ (Data Quality) | - качество данных; |
DS (Dataset) | - набор данных; |
EX (Extent) | - пространственно-временная протяженность; |
FC (Feature Catalogue) | - каталог объектов; |
GF (General Feature) | - главный объект; |
GM (Geometry) | - геометрия; |
LI (Lineage) | - происхождение; |
LE (Lineage extended) | - расширенное происхождение; |
MD (Metadata) | - метаданные; |
PT (Polylinguistic Text) | - полилингвистический текст; |
RS (Reference System) | - система отсчета; |
SC (Spatial Coordinates) | - пространственные координаты; |
SV (Metadata for Services) | - метаданные для сервисов; |
TM (Temporal) | - временной. |

Metadata information | - информация о метаданных; |
Identification information | - идентификационная информация; |
Constraint information | - информация об ограничениях; |
Lineage information | - информация о происхождении; |
Content information | - информация о содержании; |
Distribution information | - информация о распространении; |
Reference system information | - информация о системах координат; |
Spatial representation information | - информация о пространственном представлении; |
Portrayal catalogue information | - информация о каталоге графических отображений; |
Metadata application information | - информация о приложении метаданных; |
Application Schema information | - информация о схеме приложения; |
Metadata extension information | - информация о расширении метаданных; |
Service metadata information | - информация о метаданных на сервисы. |

Citation information | - информация о ссылках; |
Responsible party information | - информация об ответственном субъекте; |
Language-characterset localization information | - информация о применяемом языке; |
Extent information | - информация о пространственно-временной протяженности. |






















ИС МЕГАНОРМ: примечание. В официальном тексте документа, видимо, допущена опечатка: пункт 2.3 отсутствует. Возможно, имеется в виду пункт 2.2. |
N | Имя/ролевое имя | Определение | Признак обязательности | Максимум вхождений (МВ) | Тип данных | Домен |
1 | DS_Resource | Идентифицируемый ресурс или средства, которые соответствуют требованиям | Признак обязательности ссылочного объекта | МВ ссылочного объекта | Class <<Abstract>> | |
Role name: has | Ресурс имеет связанные метаданные | О | N | Association | MD_Metadata (см. таблицу B.2) | |
Role name: partOf | Ресурс является компонентом ресурса агрегата | Н | N | Association | DS_Aggregate (см. таблицу B.1) | |
4 | DS_DataSet | Идентифицируемый набор данных | Признак обязательности ссылочного объекта | МВ ссылочного объекта | Specified Class (DS_Resource) | |
5 | SV_Service | Возможность, которую сущность провайдера сервиса предоставляет сущности пользователя сервиса посредством наборов интерфейсов, которые определяют поведение | Признак обязательности ссылочного объекта | МВ ссылочного объекта | Specified Class (DS_Resource) | |
6 | DS_Aggregate | Совокупность ресурсов | Признак обязательности ссылочного объекта | МВ ссылочного объекта | Specified Class (DS_Resource) <<Abstract>> | |
Role name: composedOf | Агрегат состоит из нескольких ресурсов | О | N | Association | DS_Resource (см. таблицу B.1) | |
8 | DS_OtherAggregate | Совокупность ресурсов, связанных посредством неустановленных способов | Признак обязательности ссылочного объекта | МВ ссылочного объекта | Specified Class (DS_Aggregate) | |
9 | DS_StereoMate | Совокупность наборов изображений, покрывающих один и тот же объект с различных перспектив, обеспечивающих стереоэффект | Признак обязательности ссылочного объекта | МВ ссылочного объекта | Specified Class (DS_Other Aggregate) | |
10 | DS_Initiative | Совокупность ассоциированных ресурсов, связанных их участием в общей инициативе | Признак обязательности ссылочного объекта | МВ ссылочного объекта | Specified Class (DS_Aggregate) | |
11 | DS_Series | Совокупность ресурсов, связанных общим наследием, привязывающим к общей спецификации | Признак обязательности ссылочного объекта | МВ ссылочного объекта | Specified Class (DS_Aggregate) | |
12 | DS_Platform | Совокупность связанных ресурсов, созданных с одной и той же платформы датчика | Признак обязательности ссылочного объекта | МВ ссылочного объекта | Specified Class (DS_Series) | |
13 | DS_Sensor | Совокупность связанных ресурсов, созданных одним и тем же сенсором | Признак обязательности ссылочного объекта | МВ ссылочного объекта | Specified Class (DS_Series) | |
14 | DS_ProductionSeries | Совокупность связанных ресурсов, созданных по одной и той же спецификации | Признак обязательности ссылочного объекта | МВ ссылочного объекта | Specified Class (DS_Series) | |
Примечание - UML-модель для этой таблицы показана на рисунке 1. | ||||||
N | Имя/ролевое имя | Определение | Признак обязательности | Максимум вхождений (МВ) | Тип данных | Домен |
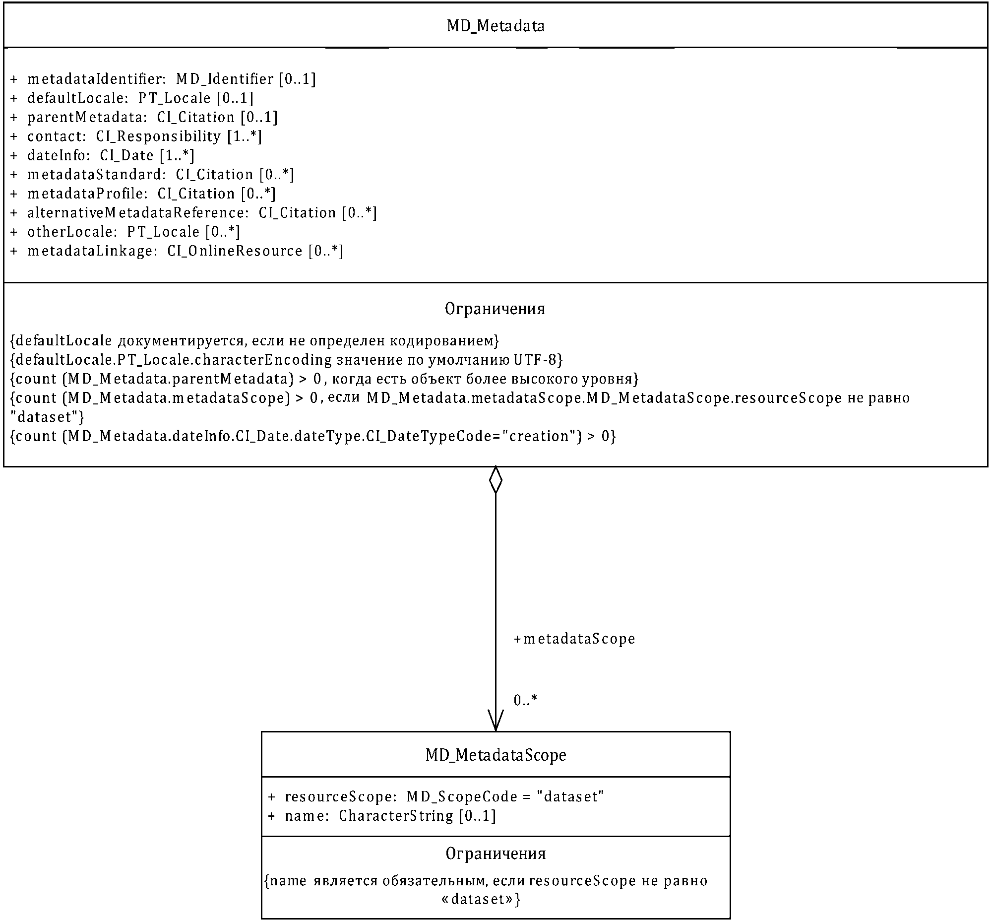
15 | MD_Metadata | Корневая сущность, которая определяет метаданные о ресурсе или ресурсах | О | Используется МВ ссылочного объекта, если ссылается из DS_Resource | Class | |
metadataIdentifier | Уникальный идентификатор для этой записи метаданных | Н | 1 | Class | MD_Identifier (см. таблицу B.17.2) | |
defaultLocale | Язык и кодировка, использованные для документирования метаданных | У/не определено кодированием и UTF-8 не используется? | 1 | Class | PT_Locale (см. таблицу B.18.2) | |
18 | parentMetadata | Идентификация записи родительских метаданных | У/если имеется объект более высокого уровня | 1 | Class | CI_Citation (см. таблицу B.16) |
19 | contact | Сторона, ответственная за информацию о метаданных | О | N | Class | CI_Responsibility (см. таблицу B.16.1) |
20 | dateInfo | Дата(ы), ассоциированная(ые) с метаданными. Примечание - Должна быть представлена дата создания данных. Другие также могут быть представлены. | О | N | Class | CI_Date (см. таблицу B.16.5) |
21 | metadataStandard | Ссылка на стандарт, которому соответствуют метаданные. Примечание - Ссылки на стандарт метаданных должны включать идентификатор. | Н | N | Class | CI_Citation (см. таблицу B.16) |
22 | metadataProfile | Ссылка на профиль(и) стандарта метаданных, которому(ым) соответствуют метаданные. Примечание - Ссылка на профиль(и) стандарта метаданных должна включать идентификатор. | Н | N | Class | CI_Citation (см. таблицу B.16) |
23 | alternative MetadataReference | Ссылка на альтернативные метаданные, например Дублинское ядро, FGDC, или на метаданные того же ресурса, но не в стандарте ИСО | Н | N | Class | CI_Citation (см. таблицу B.16) |
24 | otherLocale | Обеспечивают информацию об альтернативно используемых локализованных символьных строках | Н | N | Class | PT_Locale (см. таблицу B.18.2) |
25 | metadataLinkage | Адрес в Интернете, где находятся метаданные | Н | N | Class | CI_OnlineResource (см. таблицу B.16.6) |
26 | Role name: spatialRepresentationInfo | Цифровое представление пространственной информации в ресурсе | Н | N | Association | MD_SpatialRepresentation <<Abstract>> (см. таблицу B.7) |
27 | Role name: referenceSystemInfo | Описание пространственных и временных систем координат, используемых в ресурсе | Н | N | Association | MD_ReferenceSystem (см. таблицу B.8) |
28 | Role name: metadata ExtensionInfo | Информация, описывающая расширения метаданных | Н | N | Association | MD_MetadataExtensionInformation (см. таблицу B.12) |
29 | Role name: identificationInfo | Базовая информация о ресурсе(ах), к которому(ым) относятся метаданные | О | N | Association | MD_Identification <<Abstract>> (см. таблицу B.3) Примечание - Следует соблюдать осторожность в отношении использования нескольких экземпляров MD_Identification (см. приложение E). |
30 | Role name: contentInfo | Информация о характеристиках объектов и покрытий | Н | N | Association | MD_ContentInformation <<Abstract>> (см. таблицу B.9) |
31 | Role name: distributionInfo | Информация о дистрибьюторе и вариантах получения ресурса(ов) | Н | N | Association | MD_Distribution (см. таблицу B.11) |
32 | Role name: dataQualityInfo | Общая оценка качества ресурса | Н | N | Association | DQ_DataQuality |
33 | Role name: portrayal CatalogueInfo | Информация о каталоге правил, определяющих графическое отображение ресурса(ов) | Н | N | Association | MD_PortrayalCatalogueReference (см. таблицу B.10) |
34 | Role name: metadataConstraints | Ограничение на доступ и использование метаданных | Н | N | Association | MD_Constraints (см. таблицу B.4) |
35 | Role name: application SchemaInfo | Информация о концептуальной схеме ресурса | Н | N | Association | MD_ApplicationSchemaInformation (см. таблицу B.13) |
36 | Role name: metadata Maintenance | Информация о частоте обновления метаданных и области применения этих обновлений | Н | 1 | Association | MD_MaintenanceInformation (см. таблицу B.6) |
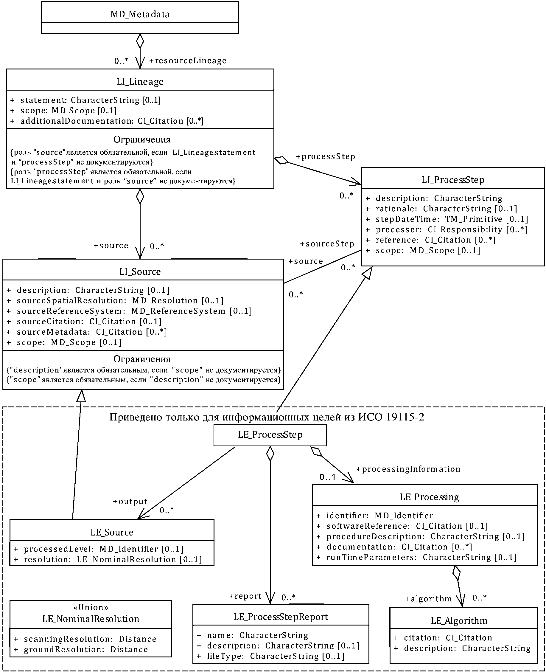
37 | Role name: resourceLineage | Информация о происхождении, источнике и производственных процессах применительно к ресурсу | Н | N | Association | LI_Lineage (см. таблицу B.5) |
Role name: metadataScope | Область применения/тип ресурса, к которому относятся метаданные | У/метаданные о ресурсе другого типа и не о наборе данных? | N | Association | MD_MetadataScope (см. таблицу B.2.1) | |
Примечание - UML-модель для этой таблицы показана на рисунках 4 и 5. | ||||||
N | Имя/ролевое имя | Определение | Признак обязательности | Максимум вхождений (МВ) | Тип данных | Домен |
39 | MD_MetadataScope | Информация, касающаяся области применения ресурса | Наследует признак ссылочного объекта | Используется МВ ссылочного объекта | Class | |
resourceScope | Код для области применения | О По умолчанию = "dataset" | 1 | Class | MD_ScopeCode <<CodeList>> (см. B.3.28) | |
name | Описание области применения | Н | 1 | CharacterString | Free text | |
Примечание - UML-модель для этой таблицы показана на рисунках 4 и 5. | ||||||
N | Имя/ролевое имя | Определение | Признак обязательности | Максимум вхождений (МВ) | Тип данных | Домен |
42 | MD_Identification | Базовая информация, необходимая для уникальной идентификации ресурса или ресурсов | Используется признак обязательности ссылочного объекта | Используется МВ ссылочного объекта | Aggregated Class (MD_Metadata) <<Abstract>> | Примечание - Внимание! Требуется при использовании множества экземпляров этого класса (см. приложение E). |
citation | Ссылка на ресурс | О | 1 | Class | CI_Citation (см. таблицу B.16) | |
44 | abstract | Краткая аннотация ресурса | О | 1 | CharacterString | Free text |
45 | purpose | Краткое описание намерений, с которыми ресурс был разработан | Н | 1 | CharacterString | Free text |
46 | credit | Признание тем, кто внес вклад в создание ресурса | Н | N | CharacterString | Free text |
47 | status | Статус ресурса | Н | N | Class | MD_ProgressCode <<CodeList>> (см. B.3.25) |
48 | pointOfContact | Идентификация и средства коммуникации с людьми и организациями, связанными с ресурсом | Н | N | Class | CI_Responsibility (см. таблицу B.16.1) |
49 | spatialRepresentationType | Метод, использованный для пространственного представления пространственных данных | Н | N | Class | MD_SpatialRepresentation TypeCode <<CodeList>> см. (B.3.29) |
50 | spatialResolution | Фактор, который обеспечивает общее понимание плотности пространственных данных в ресурсе или описывает диапазон разрешений, в которых ресурс может быть использован. Примечание - Этот элемент должен быть повторен при описании верхнего и нижнего значения диапазона. | Н | N | Class | MD_Resolution <<Union>> (см. таблицу B.3.4) |
51 | temporalResolution | Наименьший период времени, выделяемый в ресурсе | О | N | Class | TM_Duration (см. B.2.4) |
52 | topicCategory | Основная тема ресурса | У/metadataScope/resourceScope = "dataset" или "series"? | N | Class | MD_TopicCategoryCode <<Enumeration>> (см. B.3.30) |
53 | extent | Пространственная и временная протяженность ресурса | У/metadataScope/resourceScope равен "dataset"? Если "да", то требуется или extent.geographicElement.EX_GeographicBoundingBox или extent.geographicElement.EX_GeographicDescription | N | Class | EX_Extent (см. таблицу B.15) |
54 | additionalDocumentation | Другая документация, связанная с ресурсом. Пример - Связанные статьи, публикации, руководства, словари | Н | N | Class | CI_Citation (см. таблицу B.16) |
55 | processingLevel | Код, который идентифицирует уровень обработки, примененный создателями в системе кодирования ресурса. Пример - NOAA уровень 1B | Н | 1 | Class | MD_Identifier <<DataType>> (см. таблицу B.17.2) |
56 | Role name: resourceMaintenance | Информация о частоте обновления ресурса и области применения этого обновления | Н | N | Association | MD_MaintenanceInformation (см. таблицу B.6) |
57 | Role name: graphicOverview | Графическое представление, которое иллюстрирует ресурс (должно включать легенду) | Н | N | Association | MD_BrowseGraphic (см. таблицу B.17.3) |
58 | Role name: resourceFormat | Описание формата ресурса | Н | N | Association | MD_Format (см. таблицу B.11.3) |
59 | Role name: descriptiveKeywords | Ключевые слова категорий, их типы и ссылки на источник | Н | N | Association | MD_Keywords (см. таблицу B.3.1) |
60 | Role name: resourceSpecificUsage | Базовая информация о специфических применениях, для которых ресурс использовался или используется различными пользователями | Н | N | Association | MD_Usage (см. таблицу B.3.5) |
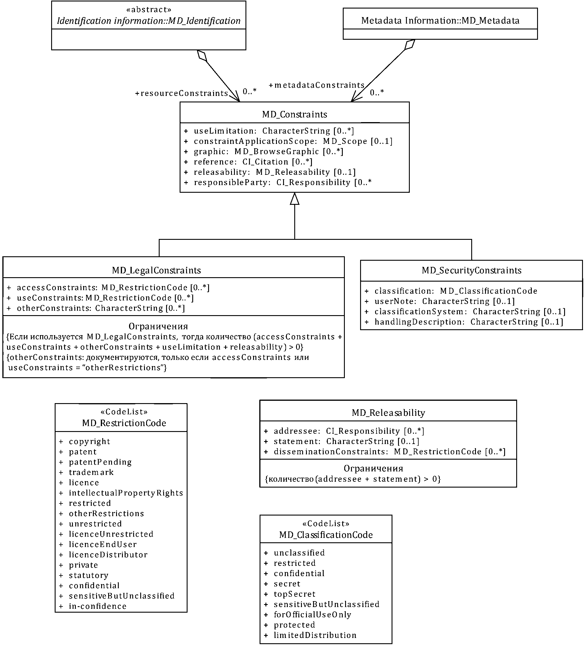
61 | Role name: resourceConstraints | Информация об ограничениях, которые применяются к ресурсу | Н | N | Association | MD_Constraints (см. таблицу B.4) |
Role name: associatedResource | Информация о связанных ресурсах | Н | N | Association | MD_AssociatedResource (см. таблицу B.3.6) | |
63 | MD_DataIdentification | Информация, необходимая для идентификации ресурса | Используется признак обязательности ссылочного объекта | Используется МВ ссылочного объекта | Specified Class (MD_Identification) | |
defaultLocale | Язык и набор символов, используемые в ресурсе | У/язык используется в ресурсе? | 1 | Class | PT_Locale | |
65 | otherLocale | Альтернативные языки и наборы символов, используемые в ресурсе | Н | N | Class | PT_Locale (см. таблицу B.18.2) |
66 | environmentDescription | Описание ресурса в среде обработки, используемой производителем, включая такие элементы, как программное обеспечение, имя и размер файла | Н | 1 | CharacterString | Free text |
supplementalInformation | Любая другая описательная информация о ресурсе | Н | 1 | CharacterString | Free text | |
Примечания 1 UML-модель для этой таблицы приведена на рисунке 6. 2 SV_ServiceIdentification вводится в таблице B.14. | ||||||
N | Имя/ролевое имя | Определение | Признак обязательности | Максимум вхождений (МВ) | Тип данных | Домен |
68 | MD_Keywords | Ключевые слова, их типы и источники. Примечание - Если описываемый ресурс является сервисом, то один экземпляр MD_Keyword должен относиться к таксономии сервиса, определенной в [10]. | Используется признак обязательности ссылочного объекта | Используется МВ ссылочного объекта | Aggregated Class (MD_Identification) | |
keyword | Общепринятые или формализованные слова и фразы, используемые для описания объекта | О | N | CharacterString | Free text | |
70 | type | Свойство, использованное для группировки подобных ключевых слов | Н | 1 | Class | MD_KeywordTypeCode <<CodeList>> (см. B.3.20) |
71 | thesaurusName | Имя официально зарегистрированного тезауруса или подобного официального источника ключевых слов | Н | 1 | Class | CI_Citation (см. таблицу B.16) |
Role name: keywordClass | Ассоциация экземпляра MD_Keywords с MD_KeywordClass для обеспечения определяемой пользователем категоризации групп ключевых слов, которые расширяют или являются ортогональными к стандартизованным KeywordTypeCodes и ассоциированы с онтологией, которая позволяет обработку дополнительных семантических запросов. Примечание - Ссылка на тезаурус определяет коллекцию экземпляров из некоторой онтологии, но не является онтологией. Это может быть перечень мест, который включает реки, горы, страны и города, например, графство Лаконте, река Лаконте и гора Лаконте. Для пользователя при выполнении поиска будет возможно ограничение поиска только реками. | Н | 1 | Class | MD_KeywordClass (см. таблицу B.3.2) | |
Примечание - UML-модель для этой таблицы приведена на рисунке 6. | ||||||
N | Имя/ролевое имя | Определение | Признак обязательности | Максимум вхождений (МВ) | Тип данных | Домен |
73 | MD_KeywordClass | Спецификация класса категории ключевых слов словаря, конкретного домена, который ограничен формальной онтологией | Используется признак обязательности ссылочного объекта | Используется МВ ссылочного объекта | Aggregated Class (MD_Keywords) | |
className | Строка символов для маркировки категории ключевого слова на естественном языке | О | 1 | CharacterString | Free text | |
75 | conceptIdentifier | Понятия URI в онтологии, определенные следующим элементом (онтология) и маркированные предыдущим элементом (className) | Н | 1 | Class | URI (см. B.2.9) |
ontology | Ссылка, связывающая класс ключевого слова с формальным определением области знаний, для использования в семантической обработке. Примечание - Ключевые слова в ассоциированном с MD_Keywords списке ключевых слов должны быть в пределах области применения этой онтологии. | О | 1 | Class | CI_Citation (см. таблицу B.16) | |
Примечание - UML-модель для этой таблицы показана на рисунке 6. | ||||||
N | Имя/ролевое имя | Определение | Признак обязательности | Максимум вхождений (МВ) | Тип данных | Домен |
77 | MD_Representative Fraction | Происходит из [3]. Масштаб, где MD_Representative Fraction.denominator = 1/Scale.measure And Scale.targetUnits = Scale.sourceUnits MD_Representative Fraction | Используется признак ссылочного объекта | Используется МВ ссылочного объекта | Class <<DataType>> | |
denominator | Число под линией в обычной дроби | О | 1 | Integer | Integer > 0 | |
Примечание - UML-модель для этой таблицы приведена на рисунке 6. | ||||||
N | Имя/ролевое имя | Определение | Признак обязательности | Максимум вхождений (МВ) | Тип данных | Домен |
79 | MD_Resolution | Уровень детальности, выраженный в виде масштаба, расстояния или угла | Используется признак ссылочного объекта | Используется МВ ссылочного объекта | Class <<Union>> | |
equivalentScale | Уровень детальности, выраженный в виде масштаба сопоставимой твердой копии карты или плана | У/distance, vertical, angularDistance или levelOfDetail не задокументировано? | 1 | Class | MD_Representative Fraction <<DataType>> (см. таблицу B.3.3) | |
81 | distance | Единица расстояния на горизонтальной поверхности | У/equivalentScale, vertical, angularDistance или levelOfDetail не задокументировано? | 1 | Class | Расстояние (см. B.2.3) |
82 | vertical | Единица вертикального расстояния | У/distance, equivalentScale, или angularDistance, или levelOfDetail не задокументировано? | 1 | Class | Расстояние (см. B.2.3) |
83 | angularDistance | Единица угловой меры | У/distance, equivalentScale, vertical или levelOfDetail not documented? | 1 | Class | Угол (см. B.2.3) |
levelOfDetail | Краткое текстовое описание пространственного разрешения ресурса | У/distance, equivalentScale, vertical или angularDistance не задокументировано? | 1 | CharacterString | Free text | |
Примечание - UML-модель для этой таблицы приведена на рисунке 6. | ||||||
N | Имя/ролевое имя | Определение | Признак обязательности | Максимум вхождений (МВ) | Тип данных | Домен |
85 | MD_Usage | Краткое описание способов, посредством которых использовался или используется ресурс | Используется признак ссылочного объекта | Используется МВ ссылочного объекта | Aggregated Class (MD_Identification) | |
specificUsage | Краткое описание использования ресурса либо серии ресурсов | О | 1 | CharacterString | Free text | |
87 | usageDateTime | Дата и время первого использования или период использования ресурса либо серии ресурсов | Н | N | Class | TM_Primitive (см. B.2.4) |
88 | userDetermined Limitations | Приложения, определенные пользователем, для которых ресурс или серия ресурсов не подходит | Н | 1 | CharacterString | Free text |
89 | userContactInfo | Указание средств коммуникации с лицами и организациями, использующими ресурс или серию ресурсов | Н | N | Class | CI_Responsibility (см. таблицу B.16.1) |
90 | response | Комментарий к ограничениям пользователя. Пример - "Это было исправлено в версии X" | Н | N | CharacterString | Free text |
91 | additionalDocumentation | Публикации, которые описывают использование данных | Н | N | Class | CI_Citation (см. таблицу B.16) |
identifiedIssues | Ссылки на описание известных источников, связанных с ресурсом вместе с предлагаемыми решениями (при наличии) | Н | N | Class | CI_Citation (см. таблицу B.16) | |
Примечание - UML-модель для этой таблицы приведена на рисунке 6. | ||||||
N | Имя/ролевое имя | Определение | Признак обязательности | Максимум вхождений (МВ) | Тип данных | Домен |
93 | MD_AssociatedResource | Информация об ассоциированном ресурсе | Используется признак ссылочного объекта | Используется МВ ссылочного объекта | Aggregated Class (MD_Identification) | |
name | Ссылочная информация об ассоциированном ресурсе | У/если metadataReference не документирован? | 1 | Class | CI_Citation (см. таблицу B.16) | |
95 | associationType | Тип отношений между ресурсами | О | 1 | Class | DS_AssociationTypeCode <<CodeList>> см. (B.3.8) |
96 | initiativeType | Тип инициативы, в результате которой был создан ассоциированный ресурс | Н | 1 | Class | DS_InitiativeTypeCode <<CodeList>> (см. B.3.10) |
metadataReference | Ссылка на метаданные ассоциированного ресурса | У/если имя не документировано? | 1 | Class | CI_Citation (см. таблицу B.16) |
N | Имя/ролевое имя | Определение | Признак обязательности | Максимум вхождений (МВ) | Тип данных | Домен |
98 | MD_Constraints | Ограничения на доступ и использование ресурса или метаданных | Используется признак обязательности ссылочного объекта | Используется МВ ссылочного объекта | Aggregated Class (MD_Metadata and MD_Identification) | |
useLimitation | Ограничения, влияющие на пригодность для использования ресурса или метаданных. Пример - "Не использовать для навигации" | Н | N | CharacterString | Free text | |
100 | constraint ApplicationScope | Пространственная и/или временная протяженность и/или уровень приложения ограничительных запретов | Н | 1 | Class | MD_Scope (см. таблицу B.17) |
101 | graphic | Графика/символ, указывающая(ий) на ограничение. Пример - ![]() | Н | N | Class | MD_BrowseGraphic (см. таблицу B.17.3) |
102 | reference | Ссылка на пределы и ограничения. Пример - Авторское право, лицензионное соглашение и т.п. | Н | N | Class | CI_Citation (см. таблицу B.16) |
103 | releasability | Информация, касающаяся сторон, которым ресурс может или не может предоставляться | Н | 1 | Class | MD_Releasability (см. таблицу B.4.1) |
responsibleParty | Сторона, ответственная за ограничения на ресурс | Н | N | Class | CI_Responsibility (см. таблицу B.16.1) | |
105 | MD_LegalConstraints | Ограничения и юридические предпосылки для доступа и использования ресурса или метаданных | Использует признак обязательности ссылочного объекта | N | Specified Class (MD_Constraints) | |
accessConstraints | Ограничения на доступ применительно к обеспечению защиты конфиденциальности и интеллектуальной собственности и любые специальные ограничения на получение ресурса или метаданных | У/useConstraints, или otherConstraints, или useLimitation, или releasability не существует? | N | Class | MD_RestrictionCode <<CodeList>> (см. B.3.27) | |
107 | useConstraints | Ограничения применительно к обеспечению защиты конфиденциальности и интеллектуальной собственности и любые специальные ограничения и предупреждения на использование ресурса или метаданных | У/accessConstraints, или otherConstraints, или useLimitation, или releasability не существует? | N | Class | MD_RestrictionCode <<CodeList>> (см. B.3.27) |
otherConstraints | Другие ограничения и юридические предписания для доступа и использования ресурса или метаданных | У/accessConstraints, или useConstraints, или useLimitation, или releasability не существует и accessConstraints или useConstraints = "otherRestrictions"? | N | CharacterString | Free text | |
109 | MD_SecurityConstraints | Ограничения, накладываемые на ресурс или метаданные в интересах национальной безопасности или т.п. | Используется признак обязательности ссылочного объекта | Используется МВ ссылочного объекта | Specified Class (MD_Constraints) | |
classification | Имя управляющих ограничений, накладываемых на ресурс или метаданные | О | 1 | Class | MD_ClassificationCode <<CodeList>> (см. B.3.13) | |
111 | userNote | Объяснение применения юридических ограничений и других ограничений или юридических предписаний для получения и использования ресурса или метаданных | Н | 1 | CharacterString | Free text |
112 | classificationSystem | Имя классификационной системы | Н | 1 | CharacterString | Free text |
handlingDescription | Дополнительная информация об ограничениях на управление ресурсом или метаданными | Н | 1 | CharacterString | Free text | |
Примечание - UML-модель для этой таблицы приведена на рисунке 8. | ||||||
N | Имя/ролевое имя | Определение | Признак обязательности | Максимум вхождений (МВ) | Тип данных | Домен |
114 | MD_Releasability | Информация об ограничениях на отпуск ресурса | Используется признак обязательности ссылочного объекта | Используется МВ ссылочного объекта | Class | |
addressee | Сторона, которой ресурс отпускается | У/statement не существует? | N | Class | CI_Responsibility (см. таблицу B.16.1) | |
116 | statement | Формулировка релиза | У/addressee не существует? | 1 | CharacterString | free text |
disseminationConstraints | Компонент в определении предоставления | О | N | Class | MD_RestrictionCode <<CodeList>> (см. B.3.27) | |
Примечание - UML-модель для этой таблицы приведена на рисунке 8. | ||||||
N | Имя/ролевое имя | Определение | Признак обязательности | Максимум вхождений (МВ) | Тип данных | Домен |
118 | LI_Lineage | Информация о событиях или источнике данных, использованных в создании данных, определенных областью применения или отсутствие знаний о происхождении | Используется признак обязательности ссылочного объекта | Используется МВ ссылочного объекта | Aggregated Class (MD_Metadata) | |
statement | Общее объяснение происхождения ресурса, насколько это известно производителю данных | Н | 1 | CharacterString | Free text | |
120 | scope | Тип ресурса и протяженность, на которые распространяется информация о происхождении | Н | 1 | Class | MD_Scope (см. таблицу B.17) |
121 | additionalDocumentation | Ресурс. Пример - Публикация, которая описывает весь процесс создания ресурса (например, базы данных) | Н | N | Class | CI_Citation (см. таблицу B.16) |
122 | Role name: processStep | Информация о событиях жизненного цикла ресурса, определенная областью применения | У/LI_Lineage. statement и source role не документированы? | N | Association | LI_ProcessStep (см. таблицу B.5.1) |
Role name: source | Информация об исходных данных, использованных при создании данных, определенных областью применения | У/LI_Lineage. statement и processStep role документированы? | N | Association | LI_Source (см. таблицу B.5.2) | |
Примечание - UML-модель для этой таблицы приведена на рисунке 9. | ||||||
N | Имя/ролевое имя | Определение | Признак обязательности | Максимум вхождений (МВ) | Тип данных | Домен |
124 | LI_ProcessStep | Информация о событиях или трансформациях в жизненном цикле ресурса, включая процессы по его ведению | Используется признак обязательности ссылочного объекта | Используется МВ ссылочного объекта | Aggregated Class (LI_Lineage and LI_Source) | |
description | Описание события, включая соответствующие параметры и допустимые значения | О | 1 | CharacterString | Free Text | |
126 | rationale | Требования или цель этапа обработки | Н | 1 | CharacterString | Free Text |
127 | stepDateTime | Дата, время, диапазон или период этапа обработки | Н | 1 | Class | TM_Primitive (см. B.2.4) |
128 | processor | Идентификация и средства коммуникации с лицами и организациями, связанными с этапом обработки | Н | N | Class | CI_Responsibility (см. таблицу B.16.1) |
129 | reference | Документация на этап обработки | Н | N | Class | CI_Citation (см. таблицу B.16) |
130 | scope | Тип ресурса и/или пространственно-временная протяженность, к которым применяется этап обработки | Н | 1 | Class | MD_Scope (см. таблицу B.17) |
Role name: source | Информация об источнике данных, использованном при создании данных, указанном в области применения | Н | N | Association | LI_Source (см. таблицу B.5.2) | |
Примечание - UML-модель для этой таблицы приведена на рисунке 9. | ||||||
N | Имя/ролевое имя | Определение | Признак обязательности | Максимум вхождений (МВ) | Тип данных | Домен |
132 | LI_Source | Информация о ресурсе, используемом при создании ресурса, указанного в области применения | Используется признак обязательности ссылочного объекта | Используется МВ ссылочного объекта | Aggregated Class (LI_Lineage and LI_ProcessStep) | |
description | Подробное описание источника | У/область применения отсутствует? | 1 | CharacterString | Free Text | |
134 | sourceSpatialResolution | Пространственное разрешение, выраженное в виде знаменателя масштаба, расстояния, угла или уровня детализации | Н | 1 | Class | MD_Resolution (см. таблицу B.3.4) |
135 | sourceReferenceSystem | Пространственная референсная система, использованная источником | Н | 1 | Class | MD_ReferenceSystem (см. таблицу B.8) |
136 | sourceCitation | Рекомендуемая ссылка на источник | Н | 1 | Class | CI_Citation (см. таблицу B.16) |
137 | sourceMetadata | Ссылка на метаданные источника | Н | N | Class | CI_Citation (см. таблицу B.16) |
138 | scope | Тип ресурса или пространственно-временная протяженность источника | У/описание отсутствует? | 1 | Class | MD_Scope (см. таблицу B.17) |
Role name: sourceStep | Информация о производственном этапе, на котором был использован источник | Н | N | Association | LI_ProcessStep (см. таблицу B.5.1) | |
Примечание - UML-модель для этой таблицы показана на рисунке 9. | ||||||
N | Имя/ролевое имя | Определение | Признак обязательности | Максимум вхождений (МВ) | Тип данных | Домен |
140 | MD_Maintenance Information | Информация об области применения и частоте обновления | Используется признак обязательности ссылочного объекта | Используется МВ ссылочного объекта | Aggregated Class (MD_Metadata and MD_Identification) | |
maintenanceAndUpdateFrequency | Частота, с которой в ресурс вносятся изменения и дополнения после того, как он был создан | У/userDefinedMaintenanceFrequency не указан? | 1 | Class | MD_Maintenance FrequencyCode <<CodeList>> | |
142 | maintenanceDate | Информация о дате, связанной с ведением ресурса | Н | N | Class | CI_Date (см. таблицу B.16.5) |
143 | userDefinedMaintenanceFrequency | Период обновления, отличающийся от установленного | У/maintenanceAndUpdateFrequency не указан? | 1 | Class | TM_PeriodDuration |
144 | maintenanceScope | Тип ресурса и/или протяженность, к которым применяется информация о ведении | Н | N | Class | MD_Scope (см. таблицу B.17) |
145 | maintenanceNote | Информация относительно специфических требований к ведению ресурса | Н | N | CharacterString | Free text |
contact | Идентификация и средства коммуникации с лицом(ами) и организацией(ями), отвечающими за ведение ресурса | Н | N | Class | CI_Responsibility (см. таблицу B.16.1) | |
Примечание - UML-модель для этой таблицы показана на рисунке 10. | ||||||
N | Имя/ролевое имя | Определение | Признак обязательности | Максимум вхождений (МВ) | Тип данных | Домен |
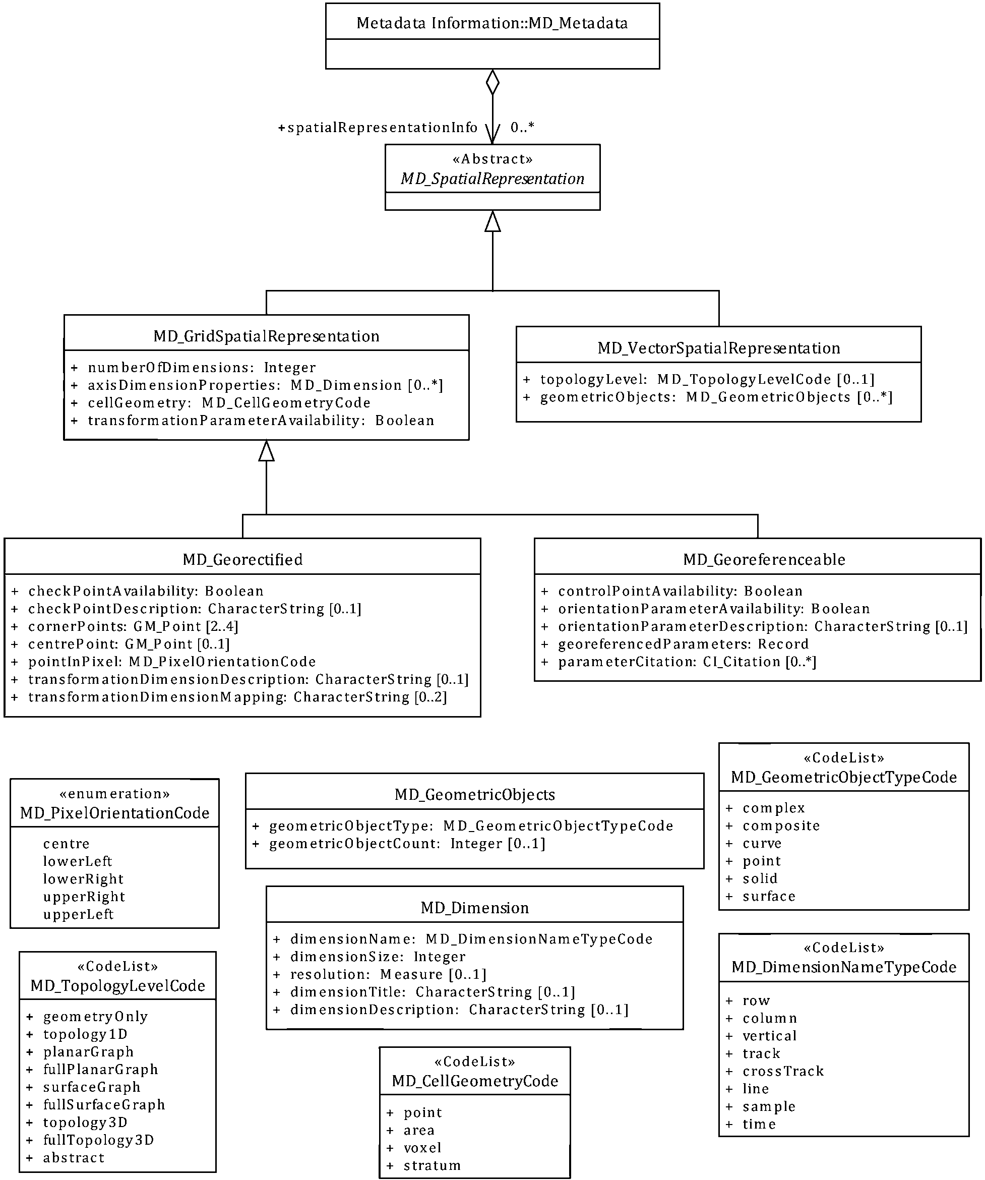
147 | MD_SpatialRepresentation | Цифровой механизм, использованный для представления пространственной информации | Используется признак обязательности ссылочного объекта | Используется МВ ссылочного объекта | Aggregated Class (MD_Metadata) <<Abstract>> | |
148 | MD_GridSpatial Representation | Информация о матричных пространственных объектах в ресурсе | Используется признак обязательности ссылочного объекта | Используется МВ ссылочного объекта | Specified Class (MD_Spatial Representation) | |
numberOfDimensions | Количество независимых пространственно-временных осей | Н | 1 | Integer | Integer | |
150 | axisDimensionProperties | Информация о свойствах пространственно-временных осей | Н | N | Sequence | MD_Dimension <<DataType>> (см. таблицу B.7.1) |
151 | cellGeometry | Идентификация матричных данных в качестве точки или ячейки | Н | 1 | Class | MD_CellGeometryCode <<CodeList>> (см. B.3.12) |
transformationParameterAvailability | Идентификация того, существуют ли (имеются ли в наличии) параметры трансформирования между координатами снимка и географическими координатами или системой координат карты | Н | 1 | Boolean | 0 = нет 1 = да | |
153 | MD_Georectified | Сетка, чьи ячейки регулярно распределены в географических (широта/долгота) или картографических системах координат, определенных в пространственной референсной системе (SRS), так что любая ячейка сетки может быть пространственно привязана присвоением координат сетки и точки отсчета, протяженностью ячейки и ориентацией | Используется признак обязательности ссылочного объекта | Используется МВ ссылочного объекта | Specified (MD_GridSpatial Representation) | |
checkPointAvailability | Указание на то, имеются ли точки с указанием географического положения для проверки точности данных геореференсной сетки (опорные точки привязки) | О | 1 | Boolean | 0 = нет 1 = да | |
155 | checkPointDescription | Описание опорных точек геопривязки | У/checkPoint Availability = "да"? | 1 | CharacterString | Free text |
156 | cornerPoints | Геолокация в системе координат, определенной пространственной референсной системой и сеточными координатами ячеек на противоположных концах сеточного покрытия вдоль двух диагоналей в сеточных пространственных изменениях. Примечание - В геотрансформированной сетке имеются четыре угловые точки; требуются по крайней мере две угловые точки вдоль одной диагонали. Первая угловая точка соответствует началу отсчета сетки. | Н | 2 - 4 | Sequence | GM_Point <<Type>> (см. B.2.5) |
157 | centrePoint | Местоположение на Земле в системе координат, определенной пространственной референсной системой и координатами сетки ячейки на полпути между противоположными концами сетки в пространственных измерениях | Н | 1 | Class | GM_Point <<Type>> (см. B.2.5) |
158 | pointInPixel | Точка в пикселе, соответствующем положению пикселя на Земле | О | 1 | Class | MD_PixelOrientationCode <<Enumeration>> (см. B.3.24) |
159 | transformationDimensionDescription | Общее описание трансформации | Н | 1 | CharacterString | Free text |
transformationDimensionMapping | Информация о том, какие оси сетки являются пространственными (картографическими) осями | Н | 2 | CharacterString | Free text | |
161 | MD_Georeferenceable | Сетка с ячейками, нерегулярно расположенными в любой заданной картографической проекции и системе координат, чьи отдельные ячейки могут быть геопозиционированы с использованием геолокационной информации, поставляемой с данными, но не могут быть геопозиционированы только на основе свойств сетки | Используется признак обязательности ссылочного объекта | Используется МВ ссылочного объекта | Specified Class (MD_Grid Spatial Representation) | |
controlPointAvailability | Указание на то, имеется или нет контрольная(ые) точка(и) | О | 1 | Boolean | 0 = нет 1 = да | |
163 | orientationParameter Availability | Указание на то, имеются ли параметры ориентирования | О | 1 | Boolean | 0 = нет 1 = да |
164 | orientationParameter Description | Описание параметров, использованных для описания ориентации сенсора | Н | 1 | CharacterString | Free text |
165 | georeferenced Parameters | Данные, которые обеспечивают геопривязку данных сетки | О | 1 | Class | Record (см. B.2.3) |
parameterCitation | Ссылки на материалы, предоставляющие описание параметров | Н | N | Class | CI_Citation (см. таблицу B.16) | |
167 | MD_VectorSpatial Representation | Информация о векторных пространственных объектах в ресурсе | Используется признак обязательности ссылочного объекта | Используется МВ ссылочного объекта | Specified Class (MD_Spatial Representation) | |
topologyLevel | Код, который указывает на степень сложности пространственных связей | Н | 1 | Class | MD_TopologyLevelCode <<CodeList>> (см. B.3.31) | |
geometricObjects | Информация о геометрических объектах, используемых в ресурсе | Н | N | Class | MD_GeometricObjects <<DataType>> (см. таблицу B.7.2) | |
Примечание - UML-модель для этой таблицы показана на рисунке 11. | ||||||
N | Имя/ролевое имя | Определение | Признак обязательности | Максимум вхождений (МВ) | Тип данных | Домен |
170 | MD_Dimension | Свойства осей | Используется признак обязательности ссылочного объекта | Используется МВ ссылочного объекта | Class <<DataType>> | |
dimensionName | Имя оси | Н | 1 | Class | MD_DimensionNameTypeCode <<CodeList>> (см. B.3.17) | |
172 | dimensionSize | Количество элементов вдоль оси | М | 1 | Integer | Integer |
173 | resolution | Степень детальности в матричном наборе данных | Н | 1 | Class | Measure (см. B.2.3) |
174 | dimensionTitle | Расширение/модификация имени измерения. Пример - dimensionName = "column" dimensionTitle = "Longitude" | Н | 1 | CharacterString | Free text |
dimensionDescription | Описание оси | Н | 1 | CharacterString | Free text | |
Примечание - UML-модель для этой таблицы показана на рисунке 11. | ||||||
N | Имя/ролевое имя | Определение | Признак обязательности | Максимум вхождений (МВ) | Тип данных | Домен |
176 | MD_GeometricObjects | Количество объектов, перечисленных как тип геометрического объекта, использованных в ресурсе | Используется признак обязательности ссылочного объекта | Используется МВ ссылочного объекта | Class <<DataType>> | |
geometricObjectType | Название объектов (точечных, векторных), использованных для локализации нуль-, одно-, дву- или трехмерных объектов в ресурсе | О | 1 | Class | MD_GeometricObjectTypeCode <<CodeList>> (см. B.3.18) | |
geometricObjectCount | Общее количество типов точечных и векторных объектов, присутствующих в наборе данных | Н | 1 | Integer | > 0 | |
Примечание - UML-модель для этой таблицы показана на рисунке 11. | ||||||
N | Имя/ролевое имя | Определение | Признак обязательности | Максимум вхождений (МВ) | Тип данных | Домен |
179 | MD_ReferenceSystem | Информация о референсной системе | Используется признак обязательности ссылочного объекта | Используется МВ ссылочного объекта | Aggregated Class (MD_Metadata) | |
ReferenceSystemIdentifier | Идентификатор и код референсной системы. Пример - EPSG::4326 | Н | 1 | Class | MD_Identifier (см. таблицу B.17.2) | |
referenceSystemType | Тип использованной референсной системы. Пример - compoundGeographic2D-Parametric | Н | 1 | Class | MD_Reference SystemTypeCode <<CodeList>> (см. B.3.26) | |
Примечание - UML-модель для этой таблицы показана на рисунке 12. | ||||||
N | Имя/ролевое имя | Определение | Признак обязательности | Максимум вхождений (МВ) | Тип данных | Домен |
182 | MD_ContentInformation | Описание содержания ресурса | Используется признак обязательности ссылочного объекта | Используется МВ ссылочного объекта | Aggregated Class (MD_Metadata) <<Abstract>> | - |
183 | MD_FeatureCatalogueDescription | Информация, идентифицирующая каталог объектов или концептуальную схему | Используется признак обязательности ссылочного объекта | Используется МВ ссылочного объекта | Specified Class (MD_Content Information) | |
complianceCode | Указание на то, соответствует или нет каталог, на который дана ссылка, [5] | Н | 1 | Boolean | 0 = нет 1 = да | |
185 | locale | Язык(и) и набор(ы) символов, использованные в каталоге | Н | N | Class | PT_Locale (см. таблицу B.18.2) |
186 | includedWithDataset | Указание на то, включен ли каталог объектов в ресурс | Н | 1 | Boolean | 0 = нет 1 = да |
187 | featureTypes | Поднабор типов объектов из цитируемого каталога объектов, появляющихся в ресурсе, и количество экземпляров объектов | Н | N | Class | MD_FeatureTypeInfo (см. таблицу B.9.3) |
featureCatalogueCitation | Полная библиографическая ссылка на один или более внешних каталогов объектов | Y/каталог объектов не включен в ресурс и MD_Feature Catalogue не представлен? | N | Class | CI_Citation (см. таблицу B.16) | |
189 | MD_FeatureCatalogue | Каталог типов объектов | Используется признак обязательности ссылочного объекта | Используется МВ ссылочного объекта | Specified Class (MD_Content Information) | |
featureCatalogue | Каталог типов объектов, атрибутов, операций и связей, использованный в ресурсе | О | N | Class | FC_FeatureCatalogue [5] | |
191 | MD_CoverageDescription | Детали о содержании ресурса | Используется признак обязательности ссылочного объекта | Используется МВ ссылочного объекта | Specified Class (MD_Content Information) | |
attributeDescription | Описание атрибута, описываемого измененным значением | О | 1 | Class | RecordType (см. B.2.3) | |
193 | processingLevelCode | Идентификатор уровня обработки, примененного к ресурсу | Н | 1 | Class | MD_Identifier (см. таблицу B.17.2) |
Role name: attributeGroup | Информация о группе(ах) связанных атрибутов ресурса с тем же типом | Н | N | Class | MD_AttributeGroup (см. таблицу B.9.1) | |
195 | MD_ImageDescription | Информация о пригодности изображения к использованию | Use obligation/condition from referencing object | Используется МВ ссылочного объекта | Specified Class (MD_Coverage Description) | |
illuminationElevationAngle | Вертикальный угол освещенности, измеренный в градусах по часовой стрелке от заданного уровня на пересечении оптической линии визирования с земной поверхностью. Примечание - Для изображений, полученных сканированием, ссылаться на центральный пиксель изображения. | Н | 1 | Real | 90 - 90 | |
197 | illuminationAzimuthAngle | Азимут освещенности, измеренный в градусах по часовой стрелке от истинного севера в момент, когда сделан снимок. Примечание - Для изображений, полученных сканированием, ссылаться на центральный пиксель изображения. | Н | 1 | Real | 0,00 - 360 |
198 | imagingCondition | Условия, влияющие на изображение | Н | 1 | Class | MD_ImagingConditionCode <<CodeList>> (см. B.3.19) |
199 | imageQualityCode | Код в системе кодов производителя, который указывает на качество изображения | Н | 1 | Class | MD_Identifier <<DataType>> (см. таблицу B.17.2) |
200 | cloudCoverPercentage | Облачность, покрываемая ресурсом, заслоненная облаками, выраженная в процентах от пространственной протяженности (облачность) | Н | 1 | Real | 0,0 - 100,0 |
201 | compressionGenerationQuantity | Количество циклов сжатия, выполненных над изображением | Н | 1 | Integer | Integer |
202 | triangulationIndicator | Указание на то, выполнялось или нет построение нерегулярной сетки (TIN) над изображением | Н | 1 | Boolean | 0 = нет 1 = да |
203 | radiometricCalibrationDataAvailability | Указание на то, имеется или нет информация по фотометрической калибровке для радиометрической коррекции данных в соответствии со стандартом фотометрической калибровки | Н | 1 | Boolean | 0 = нет 1 = да |
204 | cameraCalibrationInformationAvailability | Указание на то, имеются ли данные калибровки камеры | Н | 1 | Boolean | 0 = нет 1 = да |
205 | filmDistortionInformationAvailability | Указание на то, имеется ли или нет информация о дисторсии фильма | Н | 1 | Boolean | 0 = нет 1 = да |
lensDistortionInformationAvailability | Указание на то, имеется ли или нет информация о дисторсии линзы | Н | 1 | Boolean | 0 = нет 1 = да | |
Примечание - UML-модель для этой таблицы показана на рисунке 13. | ||||||
N | Имя/ролевое имя | Определение | Признак обязательности | Максимум вхождений (МВ) | Тип данных | Домен |
207 | MD_AttributeGroup | Информация о contentType для групп атрибутов для конкретного MD_RangeDimension | Используется признак обязательности ссылочного объекта | Используется МВ ссылочного объекта | Aggregated Class (MD_Coverage Description) | |
contentType | Тип информации, для которой представлено(ы) значение(я) | О | N | Class | MD_CoverageContentTypeCode <<CodeList>> (см. B.3.15) | |
Role name: attribute | Информация об атрибуте ресурса | Н | N | Class | MD_RangeDimension (см. таблицу B.9.2) | |
Примечание - UML-модель для этой таблицы показана на рисунке 13. | ||||||
N | Имя/ролевое имя | Определение | Признак обязательности | Максимум вхождений (МВ) | Тип данных | Домен |
210 | MD_RangeDimension | Информация о диапазоне значений атрибутов | Используется признак обязательности ссылочного объекта | Используется МВ ссылочного объекта | Aggregated Class (MD_Coverage Description) | |
sequenceIdentifier | Уникальное(ый) имя или номер, которые определяют атрибуты, включенные в покрытие | Н | 1 | Class | MemberName (см. B.2.7) | |
212 | description | Описание атрибута | Н | 1 | CharacterString | Free text |
name | Идентификатор для каждого атрибута, включенного в ресурс. Примечание - Эти идентификаторы могут использоваться для предоставления имени для атрибута из стандартного набора имен. | Н | N | Class | MD_Identifier (см. таблицу B.17.2) | |
214 | MD_SampleDimension | Характеристики каждого измерения (слоя), включенного в ресурс | Используется признак обязательности ссылочного объекта | Используется МВ ссылочного объекта | Specified Class (MD_Range Dimension) | |
maxValue | Максимальное значение из значений, данных в каждом измерении, включенном в ресурс. Примечание - Ограничение для UomLength в MD_Bandclass. | Н | 1 | Real | real number | |
216 | minValue | Минимальное значение из значений, данных в каждом измерении, включенном в ресурс. Примечание - Ограничение для UomLength в MD_Bandclass. | Н | 1 | Real | real number |
217 | units | Единицы данных в каждом измерении, включенном в ресурс. Примечание - Таким типом является UnitsOfMeasure, и он ограничен до UomLength в MD_Band class. | Y/minValue, maxValue или meanValue представлены? | 1 | Class | UnitsOfMeasure (см. B.2.3) restricted to UomLength in the MD_Bandclass |
218 | scaleFactor | Масштабный коэффициент, который был применен к значению ячейки | Н | 1 | Real | real number |
219 | offset | Физическое значение, соответствующее нулевому значению ячейки | Н | 1 | Real | real number |
220 | meanValue | Среднее значение значений, данных в каждом измерении, включенном в ресурс | Н | 1 | Real | real number |
221 | numberOfValues | Количество значений, использованных в тематической классификации ресурса. Пример - Количество классов в покрытии LandCoverType или количество ячеек с данными в других типах покрытий | Н | 1 | Integer | Number |
222 | standardDeviation | Стандартное отклонение значений, данных в каждом измерении, включенном в ресурс | Н | 1 | Real | real number |
223 | otherPropertyType | Тип другого описания атрибута (например, netcdf/переменная в ncml.xsd) | Н | 1 | Class | RecordType (см. B.2.3) |
224 | otherProperty | Экземпляр otherAttributeType, который определяет атрибуты, не явно включенные в MD_CoverageType | Н | 1 | Class | Record (см. B.2.3) |
bitsPerValue | Максимальное количество значащих битов в несжатом представлении для значения в каждой полосе каждого пикселя | Н | 1 | Integer | number | |
226 | MD_Band | Диапазон длин волн в электромагнитном спектре | Используется признак обязательности ссылочного объекта | Используется МВ ссылочного объекта | Specified Class (MD_Sample Dimension) | |
boundMax | Самая большая длина волны, которую датчик способен собирать в пределах указанного диапазона полосы | Н | 1 | Real | real number | |
228 | boundMin | Самая короткая длина волны, которую датчик способен собирать в пределах указанного диапазона | Н | 1 | Real | real number |
229 | boundUnit | Единицы, в которых выражаются длины волн датчика | Y/boundMax или boundMin представлены? | 1 | Class | UomLength (см. B.2.3) |
230 | peakResponse | Длина волны, ответ на которую самый высокий | Н | 1 | Real | real number |
toneGradation | Количество градаций яркости | Н | 1 | Integer | number | |
Примечание - UML-модель для этой таблицы показана на рисунке 13. | ||||||
N | Имя/ролевое имя | Определение | Признак обязательности | Максимум вхождений (МВ) | Тип данных | Домен |
232 | MD_FeatureTypeInfo | Информация об имеющихся типах объектов | Используется признак обязательности ссылочного объекта | Используется МВ ссылочного объекта | Aggregated Class (MD_Feature Catalogue Description) | |
featureTypeName | Имя типа объекта | О | 1 | Class | GenericName (см. B.2.7) | |
featureInstanceCount | Количество появлений экземпляров объекта для этого типа объекта | Н | 1 | Integer | > 0 | |
Примечание - UML-модель для этой таблицы показана на рисунке 13. | ||||||
N | Имя/ролевое имя | Определение | Признак обязательности | Максимум вхождений (МВ) | Тип данных | Домен |
235 | MD_PortrayalCatalogue Reference | Информация, идентифицирующая использованный каталог графических отображений | Используется признак обязательности ссылочного объекта | Используется МВ ссылочного объекта | Aggregated Class (MD_Metadata) | |
portrayalCatalogue Citation | Библиографическое описание каталога графических отображений, на который дана ссылка | Н | N | Class | CI_Citation (см. таблицу B.16) | |
Примечание - UML-модель для этой таблицы показана на рисунке 14. | ||||||
N | Имя/ролевое имя | Определение | Признак обязательности | Максимум вхождений (МВ) | Тип данных | Домен |
237 | MD_Distribution | Информация о дистрибьюторе и о вариантах получения ресурса | Используется признак обязательности ссылочного объекта | Используется МВ ссылочного объекта | Aggregated Class (MD_Metadata) | |
description | Краткое описание набора способов получения информации | Н | 1 | CharacterString | Free text | |
239 | Role name: distributionFormat | Предоставляет описание формата распространения данных | Н | N | Class | MD_Format (см. таблицу B.11.3) |
240 | Role name: distributor | Предоставляет информацию о поставщике | Н | N | Class | MD_Distributor (см. таблицу B.11.2) |
Role name: transferOptions | Предоставляет информацию о технических средствах и носителях, на которых ресурс можно получить от дистрибьютора | Н | N | Class | MD_DigitalTransferOptions (см. таблицу B.11.1) | |
Примечание - UML-модель для этой таблицы показана на рисунке 15. | ||||||
N | Имя/ролевое имя | Определение | Признак обязательности | Максимум вхождений (МВ) | Тип данных | Домен |
242 | MD_DigitalTransferOptions | Технические средства и носители, на которых ресурс может быть получен от дистрибьютора | Используется признак обязательности ссылочного объекта (если этот класс использован, то не менее одного атрибута должно быть представлено) | Используется МВ ссылочного объекта | Aggregated Class (MD_Distribution and MD_Distributor) | |
unitsOfDistribution | Тайлы, слои, географические области и т.п., в которых доступны данные. Примечание - unitsOfDistribution применяется к распространению как в режиме онлайн, так и офлайн. | Н | 1 | CharacterString | Free text | |
244 | transferSize | Предполагаемый размер единицы в указанном формате передачи, выраженный в мегабайтах. Примечание - Размер передачи > 0,0. | Н | 1 | Real | > 0,0 |
245 | onLine | Информация об онлайн-источниках, из которых может быть получен ресурс | Н | N | Class | CI_OnlineResource (см. таблицу B.16.6) |
246 | offLine | Информация об офлайн-носителях, на которых может быть получен ресурс | Н | N | Class | MD_Medium (см. таблицу B.11.4) <<Data-Type>> |
247 | transferFrequency | Частота распространения | Н | 1 | Class | TM_PeriodDuration (см. B.2.4) |
distributionFormat | Формат распространения | Н | N | Class | MD_Format (см. таблицу B.11.3) | |
Примечание - UML-модель для этой таблицы показана на рисунке 15. | ||||||
N | Имя/ролевое имя | Определение | Признак обязательности | Максимум вхождений (МВ) | Тип данных | Домен |
249 | MD_Distributor | Информация о дистрибьюторе | Используется признак обязательности ссылочного объекта | Используется МВ ссылочного объекта | Aggregated Class (MD_Distribution and MD_Format) | |
distributorContact | Лицо, от которого можно получить ресурс. Это перечень может быть неисчерпывающим | О | 1 | Class | CI_Responsibility (см. таблицу B.16.1) | |
251 | Role name: distributionOrderProcess | Предоставляет информацию о том, как ресурс может быть получен, а также необходимые инструкции и информацию об оплате | Н | N | Class | MD_StandardOrderProcess (см. таблицу B.11.5) |
252 | Role name: distributorFormat | Предоставляет информацию о формате, используемом дистрибьютором | Н | N | Class | MD_Format (см. таблицу B.11.3) |
Role name: distributor TransferOptions | Предоставляет информацию о технических средствах и носителях, используемых дистрибьютором | Н | N | Class | MD_DigitalTransferOptions (см. таблицу B.11.1) | |
Примечание - UML-модель для этой таблицы показана на рисунке 15. | ||||||
N | Имя/ролевое имя | Определение | Признак обязательности | Максимум вхождений (МВ) | Тип данных | Домен |
254 | MD_Format | Описание конструкции компьютерного языка, который определяет представление объектов в записи, файле, сообщении, устройстве хранения или канале передачи | Используется признак обязательности ссылочного объекта | Используется МВ ссылочного объекта | Aggregated Class (MD_Distribution, MD_Identification, and MD_Distributor) | |
formatSpecification Citation | Ссылка/URL спецификации формата | О | 1 | Class | CI_Citation (см. таблицу B.16) | |
256 | amendmentNumber | Номер версии, изменяющей формат | Н | 1 | CharacterString | Free text |
257 | fileDecompression Technique | Рекомендации алгоритмов или процессов, которые могут быть применены для чтения или развертки ресурсов, для которых применены методы сжатия | Н | 1 | CharacterString | Free text |
258 | medium | Среда, используемая форматом | Н | N | Class | MD_Medium (см. таблицу B.11.4) |
Role name: format Distributor | Обеспечивает информацию о дистрибьюторе формата | Н | N | Class | MD_Distributor (см. таблицу B.11.2) | |
Примечание - UML-модель для этой таблицы показана на рисунке 15. | ||||||
N | Имя/ролевое имя | Определение | Признак обязательности | Максимум вхождений (МВ) | Тип данных | Домен |
260 | MD_Medium | Информация о средствах, на которых может храниться (resourceFormat) или распространяться ресурс | Используется признак обязательности ссылочного объекта (если используется этот класс, то должно быть указано не менее одного атрибута) | Используется МВ ссылочного объекта | Class <<DataType>> | |
name | Имя средства, на котором может храниться (resourceFormat) или распространяться ресурс | Н | 1 | Class | CI_Citation (см. таблицу B.16) | |
262 | density | Плотность, с которой записаны данные | Н | 1 | Real | > 0,0 |
263 | densityUnits | Единицы измерения для записи плотности | Н | 1 | CharacterString | Free text |
264 | volumes | Количество элементов на носителе | Н | 1 | Integer | > 0 |
265 | mediumFormat | Метод, использованный для записи на носитель | Н | N | Class | MD_MediumFormatCode <<CodeList>> (см. B.3.22) |
266 | mediumNote | Описание других ограничений или требований для использования носителя | Н | 1 | CharacterString | Free text |
identifier | Уникальный идентификатор для экземпляра MD_Medium | Н | 1 | Class | MD_Identifier (см. таблицу B.17.2) | |
Примечание - UML-модель для этой таблицы показана на рисунке 15. | ||||||
N | Имя/ролевое имя | Определение | Признак обязательности | Максимум вхождений (МВ) | Тип данных | Домен |
268 | MD_StandardOrder Process | Общие пути, которыми ресурс может быть получен, и соответствующие инструкции и информация о плате | Используется признак обязательности ссылочного объекта (если используется этот класс, то должно быть указано не менее одного атрибута) | Используется МВ ссылочного объекта | Aggregated Class (MD_Distributor) | |
fees | Тарифы и условия для получения ресурса, включая денежные единицы [как указано в ОК [МК (ИСО 4217) 003-97] 014-2000 | Н | 1 | CharacterString | Free text | |
270 | plannedAvailable DateTime | Дата и время, когда ресурс будет доступен | Н | 1 | Class | DateTime (см. B.2.2) |
271 | orderingInstructions | Общие инструкции, условия и услуги, предоставляемые дистрибьютором | Н | 1 | CharacterString | Free text |
272 | turnaround | Типичное время для выполнения заказа | Н | 1 | CharacterString | Free text |
273 | orderOptionsType | Описание записи параметров заказа | Н | 1 | Class | RecordType (см. B.2.3) |
orderOptions | Варианты запроса/покупки | Н | 1 | Class | Record (см. B.2.3) | |
Примечание - UML-модель для этой таблицы показана на рисунке 15. | ||||||
N | Имя/ролевое имя | Определение | Признак обязательности | Максимум вхождений (МВ) | Тип данных | Домен |
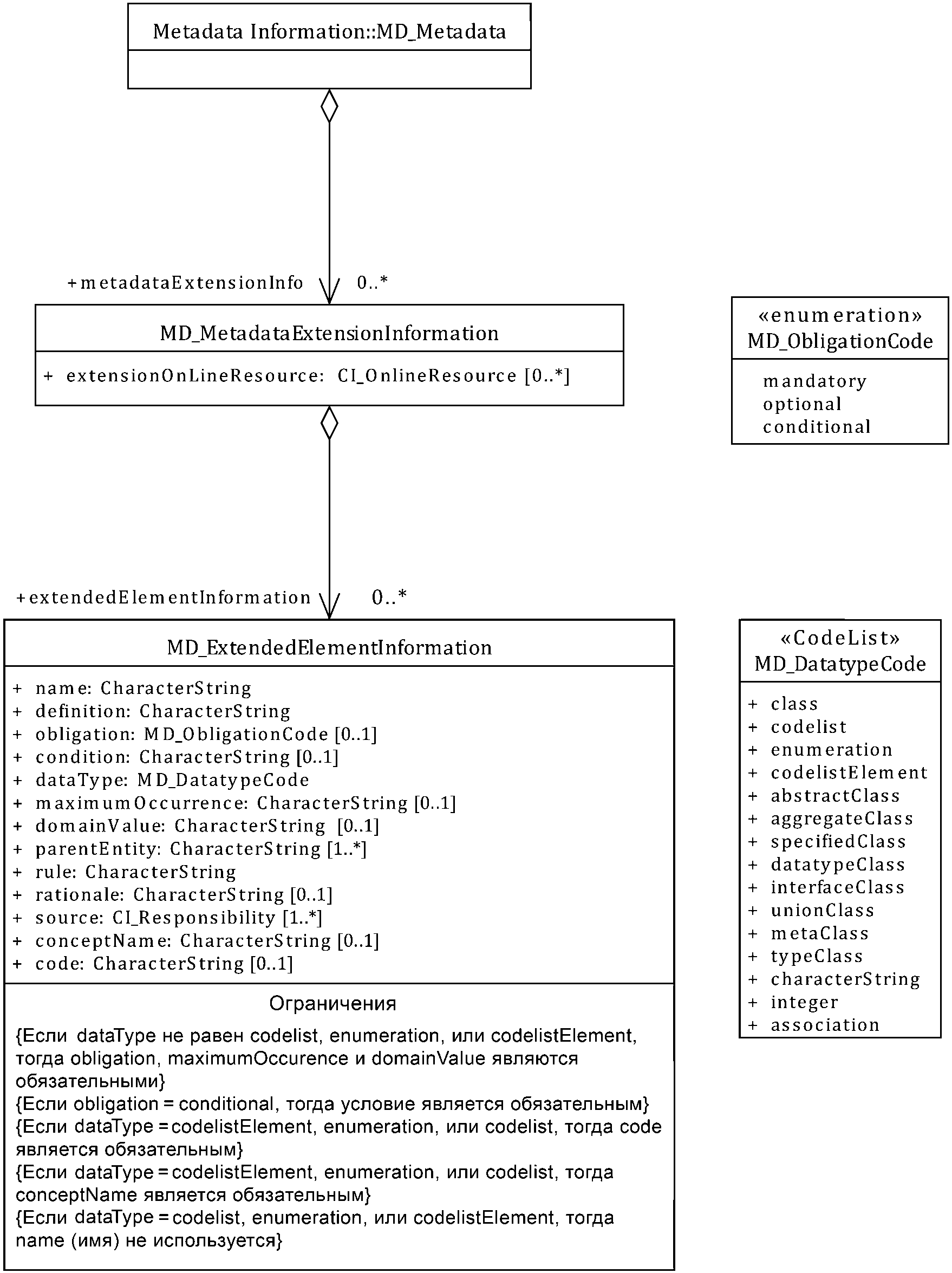
275 | MD_MetadataExtension Information | Информация, описывающая расширение метаданных | Используется признак обязательности ссылочного объекта | Используется МВ ссылочного объекта | Aggregated Class (MD_Metadata) | |
extensionOnLine Resource | Информация об онлайн-источниках, содержащих имя профиля сообщества, элементы расширенных метаданных и информацию для всех новых элементов метаданных | Н | N | Class | CI_OnlineResource (см. таблицу B.16.6) | |
Role name: extended ElementInformation | Содержит информацию о новом элементе метаданных, не найденном в ИСО 19115, который необходим для описания ресурса | Н | N | Class | MD_ExtendedElement Information (см. таблицу B.12.1) | |
Примечание - Модель UML для этой таблицы показана на рисунке 16. | ||||||
N | Имя/ролевое имя | Определение | Признак обязательности | Максимум вхождений (МВ) | Тип данных | Домен |
278 | MD_Extended ElementInformation | Новый элемент метаданных, не найденный в ИСО 19115, который необходим для описания пространственных данных | Используется признак обязательности ссылочного объекта | Используется МВ ссылочного объекта | Aggregated Class (MD_Metadata Extension Information) | |
name | Имя расширенного элемента метаданных | Y/dataType не "codelist", "enumeration" или "codelistElement"? | 1 | CharacterString | Free text | |
280 | definition | Определение расширенного элемента | О | 1 | CharacterString | Free text |
281 | obligation | Признак обязательности расширенного элемента | Y/dataType не "codelist", "enumeration" или "codelistElement"? | 1 | Class | MD_ObligationCode <<Enumeration>> (см. B.3.23) |
282 | condition | Условие, при котором расширенный элемент становится обязательным | Y/obligation = "Conditional"? | 1 | CharacterString | Free text |
283 | dataType | Код, который определяет тип значения, указанного в расширенном элементе | О | 1 | Class | MD_DatatypeCode <<CodeList>> (см. B.3.16) |
284 | maximumOccurrence | Максимум вхождений расширенного элемента | Y/dataType не "codelist", "enumeration" или "codelistElement"? | 1 | CharacterString | N or any integer |
285 | domainValue | Допустимые значения, которые могут быть назначены для расширенного элемента | Y/dataType не "codelist", "enumeration" или "codelistElement"? | 1 | CharacterString | Free text |
286 | parentEntity | Имя сущности(ей) метаданных, под которым этот расширенный элемент метаданных может появиться. Примечание - Имя(ена) может(гут) быть стандартным(и) элементом(ами) метаданных или других расширенных элементов метаданных. | О | N | CharacterString | Free text |
287 | rule | Указывает, как расширенный элемент относится к другим существующим элементам и сущностям | О | 1 | CharacterString | Free text |
288 | rationale | Причина создания расширенного элемента | Н | 1 | CharacterString | Free text |
289 | source | Имя лица или организации, создающих расширенный элемент | О | N | Class | CI_Responsibility (см. таблицу B.16.1) |
290 | conceptName | Имя элемента (item) | Y/datatype равно "codelist", "enumeration" или "codelistElement"? | 1 | CharacterString | Free text |
code | Нейтральный идентификатор языка | Y/datatype равно "codelist", "enumeration" или "codelistElement"? | 1 | CharacterString | Домен не установлен | |
Примечание - UML-модель для этой таблицы показана на рисунке 16. | ||||||
N | Имя/ролевое имя | Определение | Признак обязательности | Максимум вхождений (МВ) | Тип данных | Домен |
292 | MD_ApplicationSchema Information | Схема приложения, использованная для определения и предоставления структуры ресурса, то есть модель и/или словарь данных, представляющий ресурс | Используется признак обязательности ссылочного объекта | Используется МВ ссылочного объекта | Aggregated Class (MD_Metadata) | |
name | Имя использованной схемы приложения | О | 1 | Class | CI_Citation (см. таблицу B.16) | |
294 | schemaLanguage | Идентификация использованного языка | О | 1 | CharacterString | Free text |
295 | constraintLanguage | Формальный язык, использованный для схемы приложения | О | 1 | CharacterString | Free text |
296 | schemaAscii | Полная схема приложения в виде ASCIL-файла | Н | 1 | CharacterString | Free text |
297 | graphicsFile | Полная схема приложения в виде графического файла | Н | 1 | Class | CI_OnlineResource (см. таблицу B.16.6) |
298 | softwareDevelopmentFile | Полная схема приложения в виде файла разработки программного обеспечения | Н | 1 | Class | CI_OnlineResource (см. таблицу B.16.6) |
softwareDevelopmentFile Format | Формат разработки программного обеспечения, использованный для файла разработки программного обеспечения прикладной схемы | Н | 1 | CharacterString | Free text | |
Примечание - UML-модель для этой таблицы показана на рисунке 17. | ||||||
N | Имя/ролевое имя | Определение | Признак обязательности | Максимум вхождений (МВ) | Тип данных | Домен |
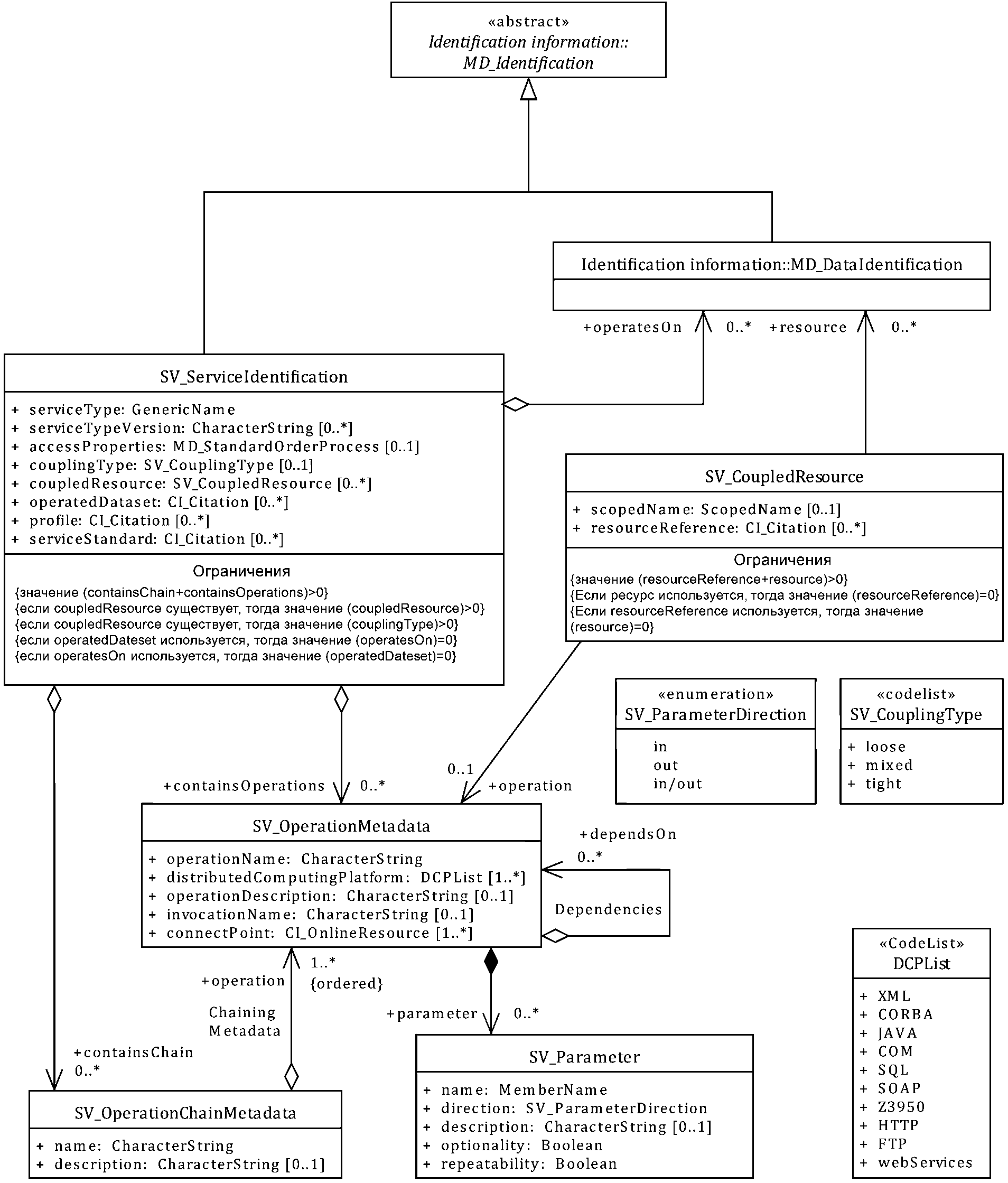
300 | SV_Service Identification | Идентификация возможностей, которые поставщик сервисов делает доступными для пользователей сервисов через набор интерфейсов, которые определяют поведение. Примечание - См. [10] для дополнительной информации. | Используется признак обязательности ссылочного объекта | Используется МВ ссылочного объекта | Specified Class (MD_Identification) | |
serviceType | Имя типа сервиса. Пример - 'Поиск', 'отображение', 'загрузка', 'преобразование' или 'вызов' | О | 1 | Class | GenericName (см. B.2.7) | |
302 | serviceTypeVersion | Версия сервиса, которая поддерживает поиск, основанный на версии serviceType | Н | N | CharacterString | Домен не установлен |
303 | accessProperties | Информация о наличии сервисов, включая: - тариф; - дату и время планируемого наличия; - инструкции по заказу; - изменение | Н | 1 | Class | MD_StandardOrderProcess (см. таблицу B.11.5) |
304 | couplingType | Тип стыковки между сервисами и связанные даты (если существует) | Y/существует связанный ресурс? | 1 | Class | SV_CouplingType <<CodeList>> (см. B.3.32) |
305 | coupledResource | Дальнейшее описание стыковочных данных в случае тесно связанных сервисов | Y/существует связанный ресурс? | N | Class | SV_CoupledResource (см. таблицу B.14.4) |
306 | operatedDataset | Предоставляет ссылку на ресурс, над которым действует сервис. Примечание - Для одного ресурса может использоваться только operatedDataset или operatesOn (но никогда оба для одного и того же ресурса). | Н | N | Class | CI_Citation (см. таблицу B.16) |
307 | profile | Профиль, к которому относится сервис | Н | N | Class | CI_Citation (см. таблицу B.16) |
308 | serviceStandard | Стандарт, к которому относится сервис | Н | N | Class | CI_Citation (см. таблицу B.16) |
309 | Role name: containsOperations | Содержит информацию об операциях, которые включает сервис | Н | N | Association | SV_OperationMetadata (см. таблицу B.14.1) |
310 | Role name: operatesOn | Содержит информацию о ресурсе, над которым действует сервис. Примечание - Могут использоваться как operatedDataset, так и operatesOn (но не оба для одного и того же ресурса). | Н | N | Association | MD_DataIdentification (см. таблицу B.3) |
Role name: containsChain | Содержит информацию о цепочке, применяемой сервисом | Н | N | Association | SV_OperationChainMetadata (см. таблицу B.14.2) | |
Примечание - UML-модель для этой таблицы показана на рисунке 18. | ||||||
N | Имя/ролевое имя | Определение | Признак обязательности | Максимум вхождений (МВ) | Тип данных | Домен |
312 | SV_OperationMetadata | Описывает ключ одного и только одного метода, предоставляемого сервисом | Используется признак обязательности ссылочного объекта | Используется МВ ссылочного объекта | Aggregated Class (MD_Service Identification) | |
operationName | Уникальный идентификатор для этого интерфейса | О | 1 | CharacterString | Домен не установлен | |
314 | distributed ComputingPlatform | Распространяемые компьютерные платформы, на которых операция может быть выполнена | О | N | Class | DCPlist <<CodeList>> (см. B.3.9) |
315 | operationDescription | Описание в виде свободного текста цели и результата операции | Н | 1 | CharacterString | Free text |
316 | invocationName | Имя, используемое для вызова этого интерфейса в контексте DCP. Это имя идентично для всех DCP | Н | 1 | CharacterString | Free text |
317 | connectPoint | Дескриптор для доступа к интерфейсу сервиса | О | N | Class | CI_OnlineResource (см. таблицу B.16.6) |
318 | Role name: parameters | Параметры, которые необходимы для этого интерфейса в последовательности | Н | N | Association | SV_Parameter (см. таблицу B.14.3) |
Role name: dependsOn | Список операций, которые должны быть выполнены немедленно до того, как будет вызвана текущая операция, структурированный в виде списка для сбора альтернативных предшествующих путей и наборов для сбора параллельных предшествующих путей | Н | N | Association | SV_OperationMetadata (см. таблицу B.14.1) | |
Примечание - UML-модель для этой таблицы показана на рисунке 18. | ||||||
N | Имя/ролевое имя | Определение | Признак обязательности | Максимум вхождений (МВ) | Тип данных | Домен |
320 | SV_Operation ChainMetadata | Информация о цепочке операций | Используется признак обязательности ссылочного объекта | Используется МВ ссылочного объекта | Aggregated Class (SV_Service Identification) | |
name | Имя, использованное сервисом для этой цепочки | О | 1 | CharacterString | Free text | |
322 | description | Описательное объяснение сервисов в цепочке и результат на выходе | Н | 1 | CharacterString | Free text |
Role name: operation | Информация (упорядоченная) об операциях, применяемых цепочкой | О | N | Class | SV_OperationMetadata (см. таблицу B.14.1) | |
Примечание - UML-модель для этой таблицы показана на рисунке 18. | ||||||
N | Имя/ролевое имя | Определение | Признак обязательности | Максимум вхождений (МВ) | Тип данных | Домен |
324 | SV_Parameter | Информация о параметрах | Используется признак обязательности ссылочного объекта | Используется МВ ссылочного объекта | Aggregated Class (SV_Service Identification) | |
name | Имя, используемое сервисом для этого параметра | О | 1 | Class | MemberName (см. B.2.7) | |
326 | direction | Указание на то, является ли параметр входным для сервиса, выходным или и тем, и другим | О | 1 | Class | SV_ParameterDirection <<Enumeration>> (см. B.3.33) |
327 | description | Описательное объяснение роли параметра | Н | 1 | CharacterString | Free text |
328 | optionality | Указание на то, является ли параметр обязательным | О | 1 | Boolean | 0 = нет 1 = да |
repeatability | Указание на то, может ли использоваться более одного значения параметра | О | 1 | Boolean | 0 = нет 1 = да | |
Примечание - UML-модель для этой таблицы показана на рисунке 18. | ||||||
N | Имя/ролевое имя | Определение | Признак обязательности | Максимум вхождений (МВ) | Тип данных | Домен |
330 | SV_CoupledResource | Связи, указанные operationName (обязательный атрибут из SV_OperationMetadata), с ресурсом, идентифицированным посредством идентификатора | Используется признак обязательности ссылочного объекта | Используется МВ ссылочного объекта | Aggregated Class (SV_Service Identification) | |
scopedName | Идентификатор области ресурса в контексте данного экземпляра сервиса. Примечание - Имя ресурса (то есть набора данных), как оно используется экземпляром сервиса. Пример - Имя слоя или имя типа объекта | Н | 1 | Class | ScopedName (см. B.2.7) | |
332 | resourceReference | Ссылка на ресурс, над которым действует сервис. Примечание - Для одного ресурса используется либо resource, либо resourceReference (никогда оба для одного и того же ресурса). | Н | N | Class | CI_Citation (см. таблицу B.16) |
333 | Role name: resource | Прочно связанный ресурс. Примечания 1 Этот атрибут обеспечивается ссылкой. 2 Для одного ресурса используется либо resource, либо resourceReference (никогда оба для одного и того же ресурса). | Н | N | Class | MD_DataIdentification (см. таблицу B.3) |
Role name: operation | Операция сервиса. Примечание - Этот атрибут обеспечивается ссылкой. | Н | 1 | Class | SV_OperationMetadata (см. таблицу B.14.1) | |
Примечание - UML-модель для этой таблицы показана на рисунке 18. | ||||||
N | Имя/ролевое имя | Определение | Признак обязательности | Максимум вхождений (МВ) | Тип данных | Домен |
335 | EX_Extent | Пространственно-временная протяженность ресурса | Используется признак обязательности ссылочного объекта | Используется МВ ссылочного объекта | <<DataType>> Class | |
description | Пространственно-временная протяженность ссылающегося объекта | Y/geographicElement и temporalElement и verticalElement не документированы? | 1 | CharacterString | Free text | |
337 | Role name: geographicElement | Содержит пространственный компонент пространственно-временной протяженности ссылающегося объекта | Y/description и temporalElement и verticalElement не документированы? | N | Association | EX_GeographicExtent <<Abstract>> (см. таблицу B.15.1) |
338 | Role name: temporalElement | Содержит временной компонент пространственно-временной протяженности ссылающегося объекта | Y/description и geographicElement и verticalElement не документированы? | N | Association | EX_TemporalExtent (см. таблицу B.15.2) |
Role name: verticalElement | Содержит вертикальный компонент пространственно-временной протяженности ссылающегося объекта | Y/description и geographicElement и temporalElement не документированы? | N | Association | EX_VerticalExtent (см. таблицу B.15.3) | |
Примечание - UML-модель для этой таблицы показана на рисунке 19. | ||||||
N | Имя/ролевое имя | Определение | Признак обязательности | Максимум вхождений (МВ) | Тип данных | Домен |
340 | EX_GeographicExtent | Пространственная область ресурса | Используется признак обязательности ссылочного объекта | Используется МВ ссылочного объекта | Aggregated Class (EX_Extent and EX_Spatial Temporal Extent) <<Abstract>> | |
extentTypeCode | Указание на то, включает ли пространственный элемент область, покрытую данными, или область, где нет данных | Н По умолчанию = 1 | 1 | Boolean | 0 = не включает 1 = включает | |
342 | EX_BoundingPolygon | Ограничивающий геометрический объект, который локализует ресурс, выраженный набором координат (x, y). Примечания 1 Если используется полигон, то он должен быть замкнут (первая и последняя точки совпадают). 2 Этот тип может использоваться и для представления других типов геометрии, например, точки, линии. | Используется признак обязательности ссылочного объекта | Используется МВ ссылочного объекта | Specified Class (EX_Geographic Extent) | |
polygon | Наборы точек, определяющих контуры полигонов или любых других GM_Object geometry (точка, линия или полигон) | О | N | Class | GM_Object (см. B.2.5) | |
344 | EX_Geographic BoundingBox | Пространственное положение ресурса. Примечание - Это только приблизительная ссылка, поэтому указание системы координат не требуется и обеспечивается только с точностью до двух знаков после запятой. | Используется признак обязательности ссылочного объекта | Используется МВ ссылочного объекта | Specified Class (EX_Geographic Extent) | |
westBoundLongitude | Самая западная координата границы протяженности ресурса, выраженная в долготе в десятичных градусах (положительный Запад) | О | 1 | Decimal | -180,0 <= West Bounding Longitude Value <= 180,0 | |
346 | eastBoundLongitude | Самая восточная координата границы протяженности ресурса, выраженная в долготе в десятичных градусах (положительный Восток) | О | 1 | Decimal | -180,0 <= East Bounding Longitude Value <= 180,0 |
347 | southBoundLatitude | Самая южная координата границы протяженности ресурса, выраженная в широте в десятичных градусах (положительный Юг) | О | 1 | Decimal | -90,0 <= South Bounding Latitude Value <= 90,0; South Bounding Latitude Value <= North bounding Latitude Value |
northBoundLatitude | Самая северная координата границы протяженности ресурса, выраженная в широте в десятичных градусах (положительный Север) | О | 1 | Decimal | -90,0 <= North Bounding Latitude Value <= 90,0; North Bounding Latitude Value >= South Bounding Latitude Value | |
349 | EX_Geographic Description | Описание географической области с использованием идентификаторов | Используется признак обязательности ссылочного объекта | Используется МВ ссылочного объекта | Specified Class (EX_ Geographic Extent) | |
geographicIdentifier | Идентификаторы, использованные для представления географической области. Примечание - Пространственные идентификаторы описаны в [7]. | О | 1 | Class | MD_Identifier (см. таблицу B.17.2) | |
Примечание - UML-модель для этой таблицы показана на рисунке 19. | ||||||
N | Имя/ролевое имя | Определение | Признак обязательности | Максимум вхождений (МВ) | Тип данных | Домен |
351 | EX_TemporalExtent | Временной период, который покрывает содержание ресурса | Используется признак обязательности ссылочного объекта | Используется МВ ссылочного объекта | Aggregated Class (EX_Extent) | |
extent | Период для содержания ресурса | О | 1 | Class | TM_Primitive (см. B.2.4) | |
353 | EX_SpatialTemporal Extent | Протяженность относительно даты/времени и пространственных границ | Используется признак обязательности ссылочного объекта | Используется МВ ссылочного объекта | Specified Class (EX_Temporal Extent) | |
verticalExtent | Компонент вертикальной протяженности | Н | 1 | Class | EX_VerticalExtent (см. таблицу B.15.3) | |
Role name: spatialExtent | Компонент пространственной протяженности из составной пространственной и временной протяженности | О | N | Association | EX_GeographicExtent <<Abstract>> (см. таблицу B.15.1) | |
Примечание - UML-модель для этой таблицы показана на рисунке 19. | ||||||
N | Имя/ролевое имя | Определение | Признак обязательности | Максимум вхождений (МВ) | Тип данных | Домен |
356 | EX_VerticalExtent | Вертикальный домен ресурса | Используется признак обязательности ссылочного объекта | Используется МВ ссылочного объекта | Aggregated Class (EX_Extent) | |
minimumValue | Самое низкое значение высоты, содержащееся в ресурсе | О | 1 | Real | Real | |
358 | maximumValue | Самое высокое значение высоты, содержащееся в ресурсе | О | 1 | Real | Real |
359 | Role name: verticalCRS | Предоставляет информацию о системе высот, в которой измеряются максимальные и минимальные значения высоты. Примечание - Информация о CRS включает в себя единицы измерения. | Y/вертикальная ICRSId не документирована? | 1 | Class | SC_VerticalCRS <<Abstract>> (см. B.2.8) |
verticalCRSId | Определяет систему высот, используемую для минимальных и максимальных значений | Y/вертикальная ICRSId не документирована? | 1 | Class | MD_ReferenceSystem (см. таблицу B.8) | |
Примечание - UML-модель для этой таблицы показана на рисунке 19. | ||||||
N | Имя/ролевое имя | Определение | Признак обязательности | Максимум вхождений (МВ) | Тип данных | Домен |
361 | CI_Citation | Стандартизованная ссылка на ресурс | Используется признак обязательности ссылочного объекта | Используется МВ ссылочного объекта | Class | |
title | Имя, под которым известен ресурс, на который дается ссылка | О | 1 | CharacterString | Free text | |
363 | alternateTitle | Короткое имя или имя на другом языке, под которым известна ссылочная информация. Например - "DCW" - альтернативное название для "Digital Chart of the World" | Н | N | CharacterString | Free text |
364 | date | Дата ресурса, на который ссылаются | Н | N | Class | CI_Date (см. таблицу B.16.5) |
365 | edition | Версия ресурса, на который ссылаются | Н | 1 | CharacterString | Free text |
366 | editionDate | Дата издания | Н | 1 | Class | DateTime (см. B.2.2) |
367 | identifier | Значение, однозначно определяющее объект в пределах области имен | Н | N | Class | MD_Identifier (см. таблицу B.17.2) |
368 | citedResponsibleParty | Роли, имя, контакты и расположение лица или организации, которая отвечает за ресурс | Н | N | Class | CI_Responsibility (см. таблицу B.16.1) |
369 | presentationForm | Форма, в которой ресурс представлен | Н | N | Class | CI_PresentationFormCode <<CodeList>> (см. B.3.4) |
370 | series | Информация о серии или агрегированный ресурс, частью которого является ресурс | Н | 1 | Class | CI_Series (см. таблицу B.16.7) |
371 | otherCitationDetails | Другая информация, которая необходима для полной ссылки и нигде не указана | Н | N | CharacterString | Free text |
372 | ISBN | Международный стандартный номер книги | Н | 1 | CharacterString | Домен не определен |
373 | ISSN | Международный стандартный номер серии | Н | 1 | CharacterString | Домен не определен |
374 | onlineResource | Онлайн-ссылка на ресурс | Н | N | Class | CI_OnlineResource (см. таблицу B.16.6) |
graphic | Графическое обозначение или логотип ресурса, на которые ссылаются | Н | N | Class | MD_BrowseGraphic (см. таблицу B.17.3) | |
Примечание - UML-модель для этой таблицы приведена на рисунках 20 и 21. | ||||||
N | Имя/ролевое имя | Определение | Признак обязательности | Максимум вхождений (МВ) | Тип данных | Домен |
376 | CI_Responsibility | Информация о стороне и ее роли | Используется признак обязательности ссылочного объекта | Используется МВ ссылочного объекта | Class | |
role | Функция, выполняемая ответственной стороной | О | 1 | Class | CI_RoleCode <<CodeList>> (см. B.3.5) | |
378 | extent | Пространственная или временная протяженность роли | Н | N | Class | EX_Extent (см. таблицу B.15) |
Role name: party | Информация о стороне | О | N | Association | CI_Party <<Abstract>> (см. таблицу B.16.2) | |
Примечание - UML-модель для этой таблицы приведена на рисунках 20 и 21. | ||||||
N | Имя/ролевое имя | Определение | Признак обязательности | Максимум вхождений (МВ) | Тип данных | Домен |
380 | CI_Party | Информация о физическом лице и/или организации | Используется признак обязательности ссылочного объекта | Используется МВ ссылочного объекта | Class <<Abstract>> | |
name | Имя стороны (физическое лицо или организация) | Y/logo и positionName не документированы? | 1 | CharacterString | Free text | |
contactInfo | Контактная информация стороны | Н | N | Class | CI_Contact (см. таблицу B.16.4) | |
383 | Cl_Individual | Информация о стороне, если сторона - физическое лицо | Используется признак обязательности ссылочного объекта | Используется МВ ссылочного объекта | Specified Class (CI_Party) | |
positionName | Должность физического лица в организации | Y/name и logo не документированы? | 1 | CharacterString | Free text | |
385 | CI_Organisation | Информация о стороне, если сторона - организация | Используется признак обязательности ссылочного объекта | Используется МВ ссылочного объекта | Specified Class (CI_Party) | |
logo | Графическое обозначение организации | Y/name или positionName не документированы? | N | Class | MD_BrowseGraphic (см. таблицу B.17.3) | |
Role name: individual | Лицо в указанной организации | Н | N | Association | Cl_Individual (см. таблицу B.16.2) | |
Примечание - UML-модель для этой таблицы приведена на рисунках 20 и 21. | ||||||
N | Имя/ролевое имя | Определение | Признак обязательности | Максимум вхождений (МВ) | Тип данных | Домен |
388 | CI_Address | Местоположение ответственного физического лица или организации | Используется признак обязательности ссылочного объекта | Используется МВ ссылочного объекта | Class | |
deliveryPoint | Адрес местоположения. Пример - Номер улицы и имя, номер апартаментов | Н | N | CharacterString | Free text | |
390 | city | Город местоположения | Н | 1 | CharacterString | Free text |
391 | administrativeArea | Штат, провинция местоположения | Н | 1 | CharacterString | Free text |
392 | postalCode | ZIP или другой почтовый код | Н | 1 | CharacterString | Домен не определен |
393 | country | Страна | Н | 1 | CharacterString | Домен не определен |
electronicMailAddress | Электронная почта физического лица или организации | Н | N | CharacterString | Домен не определен | |
Примечание - UML-модель для этой таблицы приведена на рисунках 20 и 21. | ||||||
N | Имя/ролевое имя | Определение | Признак обязательности | Максимум вхождений (МВ) | Тип данных | Домен |
395 | CI_Contact | Информация о контактах с ответственным физическим лицом и/или организацией | Используется признак обязательности ссылочного объекта | Используется МВ ссылочного объекта | Class | |
phone | Номер телефона, по которому доступна организация или физическое лицо | Н | N | Class | CI_Telephone (см. таблицу B.16.8) | |
397 | address | Физический и электронный адрес, по которым доступны физическое лицо или организация | Н | N | Class | CI_Address (см. таблицу B.16.3) |
398 | onlineResource | Онлайн-информация, которая может быть использована для контакта с физическим лицом или организацией | Н | N | Class | CI_OnlineResource (см. таблицу B.16.6) |
399 | hoursOfService | Период времени (включая временную зону), когда заинтересованные лица могут контактировать с физическим лицом или организацией | Н | N | CharacterString | Free text |
400 | contactInstructions | Дополнительные инструкции, как и когда контактировать с физическим лицом или организацией | Н | 1 | CharacterString | Free text |
contactType | Тип контакта | Н | 1 | CharacterString | Free text | |
Примечание - UML-модель для этой таблицы приведена на рисунках 20 и 21. | ||||||
N | Имя/ролевое имя | Определение | Признак обязательности | Максимум вхождений (МВ) | Тип данных | Домен |
402 | CI_Date | Базовая дата и событие, используемое для его описания | Используется признак обязательности ссылочного объекта | Используется МВ ссылочного объекта | Class <<DataType>> | |
date | Базовая дата для описываемого ресурса | О | 1 | Class | DateTime (см. B.2.2) | |
dateType | Событие, использованное для базовой даты | О | 1 | CodeList | CI_DateTypeCode <<CodeList>> (см. B.3.2) | |
Примечание - UML-модель для этой таблицы приведена на рисунках 20 и 21. | ||||||
N | Имя/ролевое имя | Определение | Признак обязательности | Максимум вхождений (МВ) | Тип данных | Домен |
405 | CI_OnlineResource | Информация об онлайн-источниках, с помощью которых можно получить ресурс, спецификацию или имя профиля сообщества и расширенные элементы метаданных | Используется признак обязательности ссылочного объекта | Используется МВ ссылочного объекта | Class <<DataType>> | |
linkage | Местонахождение (адрес) для интерактивного доступа, используя унифицированный указатель ресурсов (URL)/универсального кода ресурса (URI) для адреса или аналогичные адресные схемы, такие как http://www.statkart.no/ИСОtc211 | О | 1 | CharacterString | Текст ограничен URL (см. IETF RFC 3986) | |
407 | protocol | Используемый протокол связи. Пример - ftp, http get KVP, http POST и др. | Н | 1 | CharacterString | Домен не определен |
408 | applicationProfile | Имя профиля приложения, который может использоваться с интернет-ресурсом | Н | 1 | CharacterString | Free text |
409 | name | Имя интернет-ресурса | Н | 1 | CharacterString | Free text |
410 | description | Детальное текстовое описание, чем является или что делает интернет-ресурс | Н | 1 | CharacterString | Free text |
411 | function | Код для функции, которую выполняет интернет-ресурс | Н | 1 | Codelist | CI_OnLineFunctionCode <<CodeList>> (см. B.3.3) |
protocolRequest | Запрос, используемый для доступа к ресурсу в зависимости от протокола (главный образом, для POST-запросов). Пример - POST/XML - <GetFeature service="WFS" version="2.0.0" outputFormat="application/gml+xml; version=3.2" xmlns=http://www.opengis.net/wfs/2.0 xmlns:xsi=http://www. w3.org/2001/XMLSchema-instance xsi:schemaLocation="http:// www.opengis.net/wfs/2.0http:// schemas.opengis.net/ wfs/2.0,0/wfs.xsd"><Query typeNames="Roads"/> </GetFeature> | Н | 1 | CharacterString | Домен не определен | |
Примечание - UML-модель для этой таблицы приведена на рисунках 20 и 21. | ||||||
N | Имя/ролевое имя | Определение | Признак обязательности | Максимум вхождений (МВ) | Тип данных | Домен |
413 | CI_Series | Информация о серии или ресурсе-агрегате, к которому принадлежит ресурс | Используется признак обязательности ссылочного объекта | Используется МВ ссылочного объекта | Class | |
name | Название серии или ресурса-агрегата, для которых ресурс является частью | Н | 1 | CharacterString | Free text | |
415 | issueIdentification | Информация, идентифицирующая выпуск серии | Н | 1 | CharacterString | Free text |
page | Подробная информация о том, на каких страницах была опубликована статья | Н | 1 | CharacterString | Free text | |
Примечание - Модель UML для этой таблицы приведена на рисунках 20 и 21. | ||||||
N | Имя/ролевое имя | Определение | Признак обязательности | Максимум вхождений (МВ) | Тип данных | Домен |
417 | CI_Telephone | Телефонный номер для контакта с физическим лицом или организацией | Используется признак обязательности ссылочного объекта | Используется МВ ссылочного объекта | Class <<DataType>> | |
number | Номер телефона, по которому можно обратиться к ответственному лицу или организации | О | 1 | CharacterString | Домен не определен | |
numberType | Тип номера телефона | Н | 1 | Class | CI_TelephoneTypeCode <<CodeList>> (см. B.3.6) | |
Примечание - UML-модель для этой таблицы приведена на рисунках 20 и 21. | ||||||
N | Имя/ролевое имя | Определение | Признак обязательности | Максимум вхождений (МВ) | Тип данных | Домен |
420 | <<DataType>> MD_Scope | Целевой ресурс и физическая протяженность, для которых сообщается информация | Используется признак обязательности ссылочного объекта | Используется МВ ссылочного объекта | Class | |
level | Целевой ресурс | О | 1 | Class | MD_ScopeCode <<CodeList>> (см. B.3.28) | |
422 | extent | Информация о горизонтальной, вертикальной и временной протяженности ресурса, определенная областью применения | Н | N | Class | EX_Extent (см. таблицу B.15) |
levelDescription | Подробное описание/перечень элементов, определенных уровнем (level) | Н | N | Codelist | MD_ScopeDescription <<Union>> (см. таблицу B.17.1) | |
Примечание - UML-модель для этой таблицы приведена на рисунке 22. | ||||||
N | Имя/ролевое имя | Определение | Признак обязательности | Максимум вхождений (МВ) | Тип данных | Домен |
424 | MD_ScopeDescription | Описание класса информации, охватываемого информацией | Используется признак обязательности ссылочного объекта | Используется МВ ссылочного объекта | Class <<Union>> | |
attributes | Экземпляры типов атрибутов, к которым относится информация | Y/features, featureInstances, attributeInstances, dataset и other не документированы? | 1 | Set CharacterString (см. B.2.6) | Домен не определен | |
426 | features | Экземпляры типов объектов, к которым относится информация | Y/attributes, feature-Instances, attributeInstances, dataset и other не документированы? | 1 | Set CharacterString (см. B.2.6) | Домен не определен |
427 | featureInstances | Экземпляры объектов, к которым применяется информация | Y/attributes, features, attributeInstances, dataset и other не документированы? | 1 | Set CharacterString (см. B.2.6) | Домен не определен |
428 | attributeInstances | Экземпляры атрибутов, к которым относится информация | Y/attributes, features, featureInstances, dataset и other не документированы? | 1 | Set CharacterString (см. B.2.6) | Домен не определен |
429 | dataset | Набор данных, к которому относится информация | Y/attributes, features, featureInstances, attributeInstances и other не документированы? | 1 | CharacterString | Домен не определен |
other | Класс информации, не попадающей в другие категории, к которым относится информация | Y/attributes, features, featureInstances, attributeInstances и dataset не документированы? | 1 | CharacterString | Free text | |
Примечание - UML-модель для этой таблицы приведена на рисунке 22. | ||||||
N | Имя/ролевое имя | Определение | Признак обязательности | Максимум вхождений (МВ) | Тип данных | Домен |
431 | <<DataType>> MD_Identifier | Значение, однозначно идентифицирующее объект в пространстве имен | Используется признак обязательности ссылочного объекта | Используется МВ ссылочного объекта | Class | |
authority | Лицо или сторона, ответственные за поддержание этого пространства имен | Н | 1 | Class | CI_Citation (см. таблицу B.16) | |
433 | code | Буквенно-цифровое значение, идентифицирующее экземпляр в пространстве имен. Примечание - Следует избегать символов, которые не являются законными в URL. Пример - EPSG::4326 | О | 1 | CharacterString | Домен не определен |
434 | codeSpace | Идентификатор или пространство имен, в которых код действителен | Н | 1 | CharacterString | Домен не определен |
435 | version | Идентификатор версии для пространства имен | Н | 1 | CharacterString | Домен не определен |
description | Описание на естественном языке смысла значения кода. Пример - Для codeSpace = EPSG, код = 4326, описание = WGS-84 | Н | 1 | CharacterString | Free text | |
Примечание - UML-модель для этой таблицы приведена на рисунке 22. | ||||||
N | Имя/ролевое имя | Определение | Признак обязательности | Максимум вхождений (МВ) | Тип данных | Домен |
437 | MD_BrowseGraphic | Графическое изображение, которое является иллюстрацией ресурса. Примечание - Должно включать в себя легенду для графики. Пример - Логотип набора данных, логотип организации, графика ограничения доступа | Используется признак обязательности ссылочного объекта | Используется МВ ссылочного объекта | Aggregated Class (MD_Identification) | |
fileName | Имя файла, который содержит графический элемент, который обеспечивает иллюстрацию ресурса | О | 1 | CharacterString | Домен не определен | |
439 | fileDescription | Текстовое описание иллюстрации | Н | 1 | CharacterString | Free text |
440 | fileType | Формат, в котором закодирована иллюстрация. Пример - EPS, GIF, JPEG, PBM, PS, TIFF, PDF | Н | 1 | CharacterString | Домен не определен |
441 | imageConstraints | Ограничение доступа и/или использование графического просмотра | Н | N | Class | MD_Constraints (см. таблицу B.4) |
linkage | Ссылка для просмотра графического отображения | Н | N | Class | CI_OnlineResource (см. таблицу B.16.6) | |
Примечание - Модель UML для этой таблицы приведена на рисунке 22. | ||||||
N | Имя/ролевое имя | Определение | Признак обязательности | Максимум вхождений (МВ) | Тип данных | Домен |
443 | PT_FreeText | Тип данных многоязычного свободного текста. Примечание - Элемент метаданных, чей тип данных CharacterString и домен - свободный текст могут быть альтернативно выражены с помощью подтипа PT_Free-Text типа CharacterString. Экземпляр текста выступает в качестве обычной строки символов, за исключением того, что она выполняет дополнительный перевод значения строки символов в разных локалях. | Используется признак обязательности ссылочного объекта | Используется МВ ссылочного объекта | Specified class (Character String) | |
Role name: textGroup | Предоставляет список локализованных строк символов, выражающих значение свободного текста (последовательности символов) в данной локали | О | N | Association | LocalisedCharacterString (см. таблицу B.18.1) | |
Примечание - UML-модель для этой таблицы приведена на рисунке 23. | ||||||
N | Имя/ролевое имя | Определение | Признак обязательности | Максимум вхождений (МВ) | Тип данных | Домен |
445 | Localised CharacterString | Выражение свободного текста в заданной локали | Используется признак обязательности ссылочного объекта | Используется МВ ссылочного объекта | Specified class (Character String) | |
Role name: locale | Определяет языковой стандарт, в котором выражается значение (последовательность символов) локализованной строки символов | О | 1 | Class | PT_Locale (см. таблицу B.18.2) | |
Примечание - UML-модель для этой таблицы приведена на рисунке 23. | ||||||
N | Имя/ролевое имя | Определение | Признак обязательности | Максимум вхождений (МВ) | Тип данных | Домен |
447 | PT_Locale | Описание локали | Используется признак обязательности ссылочного объекта | Используется МВ ссылочного объекта | Class | |
language | Обозначение локального языка | О | 1 | Class | LanguageCode <<Codelist>> (см. B.3.11) ГОСТ 7.75-97 | |
449 | country | Обозначение конкретной страны локального языка | Н | 1 | Class | CountryCode <<Codelist>> |
characterEncoding | Обозначение набора символов, используемого для кодирования текстового значения локали | О | 1 | Class | MD_CharacterSetCode <<Codelist>> (см. B.3.14) | |
Примечание - UML-модель для этой таблицы приведена на рисунке 23. | ||||||
N | Имя/ролевое имя | Определение | Признак обязательности | Максимум вхождений (МВ) | Тип данных | Домен |
451 | PT_LocaleContainer | Контейнер локализованных символьных строк. Примечание - Обеспечивает средство для того, чтобы изолировать локализованные строки, относящиеся к данной локали. | Н | N | Class | |
description | Обозначение языка локали | О | 1 | CharacterString | Free text | |
453 | locale | Локаль, в котором выражены локализованные строки контейнера | О | 1 | Class | PT_Locale (см. таблицу B.18.2) |
454 | date | Дата создания или пересмотра контейнера локали | О | N | Class | CI_Date (см. таблицу B.16.5) |
455 | responsibleParty | Ответственные стороны контейнера локали | О | N | Class | CI_Responsibility (см. таблицу B.16.1) |
Role name: localisedString | Предоставляет список локализованной строки символов, выражающий лингвистическую передачу набора текстовой информации в данной локали | О | N | Association | LocalisedCharacterString (см. таблицу B.18.1) | |
Примечание - UML-модель для этой таблицы приведена на рисунке 24. | ||||||
N | Имя понятия на английском (на русском) языке | Код | Определение |
CI_DateTypeCode (код типа даты) | Определение того, когда произошло данное событие | ||
1 | creation (создание) | creation | Дата определяет, когда ресурс создан |
2 | publication (публикация) | publication | Дата определяет, когда ресурс издан |
3 | revision (пересмотр) | revision | Дата определяет, когда ресурс исследован, улучшен или изменен |
4 | expiry (истечение) | expiry | Дата определяет, когда истекает срок действия ресурса |
5 | lastUpdate (последнее обновление) | lastUpdate | Дата определяет, когда ресурс обновлен |
6 | lastRevision (последний пересмотр) | lastRevision | Дата определяет, когда ресурс последний раз пересмотрен |
7 | nextUpdate (следующее обновление) | nextUpdate | Дата определяет, когда ресурс будет обновлен в следующий раз |
8 | unavailable (недоступен) | unavailable | Дата определяет, когда ресурс стал недоступен |
9 | inForce (действующий) | inForce | Дата определяет, когда ресурс введен в действие |
10 | adopted (одобрено) | adopted | Дата определяет, когда ресурс одобрен |
11 | deprecated (устаревший) | deprecated | Дата определяет, когда ресурс стал устаревшим |
12 | superseded (вытесненный) | superseded | Дата определяет, когда ресурс удален или заменен на другой ресурс |
13 | validityBegins (вступление в силу) | validityBegins | Время, при котором данные считаются вступившими в силу. Примечание - Между созданием и вводом в действие может быть значительное время. |
14 | validityExpires (истечение срока действия) | validityExpires | Время, когда данные больше не считаются действительными |
15 | released (выпущенный) | released | Дата, когда ресурс обнародован |
16 | distribution (распространение) | distribution | Дата определяет, когда распространен экземпляр ресурса |
N | Имя понятия на английском (на русском) языке | Код | Определение |
CI_OnLineFunctionCode (код онлайн-функции) | Функция, выполняемая ресурсом | ||
1 | download (загрузка) | download | Онлайн-инструкции для передачи данных из одного устройства хранения или системы на другое |
2 | information (информация) | information | Онлайн-информация о ресурсе |
3 | offlineAccess (офлайн-доступ) | offlineAccess | Онлайн-инструкции для запроса ресурса у провайдера |
4 | order (заказ) | order | Процесс онлайн-заказа для получения ресурса |
5 | search (поиск) | search | Интерфейс онлайн-поиска для поиска информации о ресурсе |
6 | completeMetadata (полные метаданные) | completeMetadata | Предоставляемые полные метаданные |
7 | browseGraphic (графический браузер) | browseGraphic | Предоставляемый графический браузер |
8 | upload (загрузка) | upload | Предоставленные возможности онлайн-загрузки ресурса |
9 | emailService (электронная почта) | emailService | Предоставляемый сервис электронной почты |
10 | browsing (просмотр) | browsing | Предоставляемый онлайн-просмотр |
11 | fileAccess (доступ к файлу) | fileAccess | Предоставляемый онлайн-доступ к файлу |
N | Имя понятия на английском (на русском) языке | Код | Определение |
CI_PresentationFormCode (код формы представления) | Форма представления данных | ||
1 | documentDigital (цифровой документ) | documentDigital | Цифровое представление, в основном текстовых элементов (может также содержать иллюстрации) |
2 | documentHardcopy (печатный документ) | documentHardcopy | Представление, в основном текстовых элементов (может также содержать иллюстрации, на бумаге, фотографическом материале или другом носителе) |
3 | imageDigital (цифровое изображение) | imageDigital | Образ естественных или искусственных явлений, объектов и деятельности, полученный посредством зондирования в визуальном или другом сегменте электромагнитного спектра датчиками типа тепловых инфракрасных, радара с высоким разрешением и хранящийся в цифровом формате |
4 | imageHardcopy (изображение на твердом носителе) | imageHardcopy | Образ естественных или искусственных явлений, объектов и деятельности, полученный посредством зондирования в визуальном или другом сегменте электромагнитного спектра датчиками типа тепловых инфракрасных, радара с высоким разрешением и воспроизведенный на бумаге, фотографическом материале или другом носителе для использования непосредственно человеком |
5 | mapDigital (цифровая карта) | mapDigital | Карта, представленная в растровом или векторном формате |
6 | mapHardcopy (печатная карта) | mapHardcopy | Карта, напечатанная на бумаге, фотографическом материале или другом носителе, для использования непосредственно человеком |
7 | modelDigital (цифровая модель) | modelDigital | Многомерное цифровое представление объекта, процесса и т.д. |
8 | modelHardcopy (физическая модель) | modelHardcopy | Трехмерная физическая модель |
9 | profileDigital (цифровой профиль) | profileDigital | Вертикальное поперечное сечение в цифровой форме |
10 | profileHardcopy (напечатанный профиль) | profileHardcopy | Вертикальное поперечное сечение, напечатанное на бумаге и т.д. |
11 | tableDigital (цифровая таблица) | tableDigital | Цифровое представление фактов или цифр, представленное в систематическом виде, особенно в колонках |
12 | tableHardcopy (Таблица в виде твердой копии) | tableHardcopy | Цифровое представление фактов или цифр, представленное в систематическом виде, особенно в колонках, напечатанных на бумаге, фотографическом материале или другом носителе |
13 | videoDigital (цифровая видеозапись) | videoDigital | Цифровая видеозапись |
14 | videoHardcopy (аналоговая видеозапись) | videoHardcopy | Видеозапись на пленку |
15 | audioDigital (цифровая аудиозапись) | audioDigital | Цифровая аудиозапись |
16 | audioHardcopy (аналоговая аудиозапись) | audioHardcopy | Аудиозапись, поставляемая аналоговыми способами, например, на магнитной ленте |
17 | multimediaDigital (мультимедийный цифровой) | multimediaDigital | Представление информации одновременно с помощью различных цифровых режимов для текста, звука, изображения |
18 | multimediaHardcopy (мультимедийный аналоговый) | multimediaHardcopy | Одновременное представление информации с помощью различных аналоговых средств для текста, звука, изображения |
19 | physicalObject (физический объект) | physicalSample | Физический объект. Пример - Горный или минеральный образец, микроскопический срез |
20 | diagramDigital (цифровая диаграмма) | diagramDigital | Информация, представленная графически диаграммами, такими как круговая диаграмма, гистограмма и другой тип диаграмм, и записанная в цифровом формате |
21 | diagramHardcopy (диаграмма на твердой копии) | diagramHardcopy | Информация, представленная графически диаграммами, такими как круговая диаграмма, гистограмма и другой тип диаграмм и записанная на бумаге, фотоматериале или других средствах |
N | Имя понятия на английском (на русском) языке | Код | Определение |
CI_RoleCode (код роли) | Функция, выполняемая ответственным субъектом | ||
1 | resourceProvider (провайдер ресурса) | resourceProvider | Субъект, который поставляет ресурс |
2 | custodian (попечитель) | custodian | Субъект, который принимает на себя ответственность и подотчетен за данные, обеспечивает содержание и обслуживание ресурса |
3 | owner (владелец) | owner | Субъект, владеющий ресурсом |
4 | user (пользователь) | user | Субъект, использующий ресурс |
5 | distributor (дистрибьютор) | distributor | Субъект, распространяющий ресурс |
6 | originator (создатель) | originator | Субъект, создавший ресурс |
7 | pointOfContact (контакт) | pointOfContact | Субъект, с которым можно связаться для того, чтобы получить сведения о ресурсе или его приобретении |
8 | principalInvestigator (главный исследователь) | principalInvestigator | Главный субъект, ответственный за сбор информации и проведение исследований |
9 | processor (обработчик) | processor | Субъект, который обработал данные таким образом, что модифицировал ресурс |
10 | publisher (издатель) | publisher | Субъект, опубликовавший ресурс |
11 | author (автор) | author | Субъект - автор ресурса |
12 | sponsor (спонсор) | sponsor | Субъект, который выступает от имени ресурса |
13 | coAuthor (соавтор) | coAuthor | Субъект - соавтор ресурса |
14 | collaborator (соучастник) | collaborator | Субъект, который помогает в создании ресурса, но не является главным разработчиком |
15 | editor (редактор) | editor | Субъект, который рассматривает или изменяет ресурс для улучшения содержания |
16 | mediator (медиатор) | mediator | Класс сущности, который является посредником доступа к ресурсу и для которого ресурс предназначен или полезен |
17 | rightsHolder (владелец прав) | rightsHolder | Субъект, владеющий или управляющий правами на этот ресурс |
18 | contributor (участник) | contributor | Субъект, вкладывающийся в ресурс |
19 | funder (финансист) | funder | Субъект, обеспечивающий финансовую поддержку ресурса |
20 | stakeholder (акционер) | stakeholder | Субъект, заинтересованный в ресурсе или использовании ресурса |
N | Имя понятия на английском (на русском) языке | Код | Определение |
CI_TelephoneTypeCode (код типа телефона) | Тип телефона | ||
1 | voice (голос) | voice | Телефон обеспечивает голосовой сервис |
2 | facsimile (факсимиле) | fax | Телефон обеспечивает факсимильный сервис |
3 | sms (CMC) | sms | Телефон обеспечивает СМС-сервис |
N | Имя понятия на английском (на русском) языке | Код | Определение |
DS_AssociationTypeCode (код типа ассоциации) | Обоснование корреляции двух наборов данных | ||
1 | crossReference (перекрестная ссылка) | crossReference | Ссылка с одного набора данных на другой |
2 | largerWorkCitation (ссылка на главный набор данных) | largerWorkCitation | Ссылка на главный набор данных, частью которого является конкретный набор данных |
3 | partOfSeamlessDatabase (часть бесшовной базы) | partOfSeamless Database | Часть того же самого структурированного набора данных, который находится в компьютере (бесшовного) |
4 | stereoMate (стереопара) | stereoMate | Часть набора изображений, которые при совместном использовании представляют трехмерные изображения |
5 | isComposedOf (состоит из) | isComposedOf | Ссылка на ресурсы, которые являются частью этого ресурса |
6 | collectiveTitle (общее название) | collectiveTitle | Общее название для коллекции ресурсов Примечание - Заголовок определяет элементы серии коллективно, в сочетании с информацией о том, какие тома доступны в цитируемом источнике. |
7 | series (комплект) | series | Связанные ресурсы посредством общего наследия, такого как общая спецификация, использованная для создания |
8 | dependency (зависимость) | dependency | Связанные зависимостью |
9 | revisionOf (пересмотр) | revisionOf | Ресурс является пересмотром связанного ресурса |
N | Имя понятия на английском языке | Код | Определение |
DCPList | Класс информации, к которому обращается ссылающаяся сущность | ||
1 | XML (XML) | XML | Extensible Markup Language |
2 | CORBA (CORBA) | CORBA | Common Object Request Broker Architecture |
3 | JAVA (JAVA) | JAVA | Объектно-ориентированный язык программирования |
4 | COM (COM) | COM | Component Object Model |
5 | SQL (SQL) | SQL | Structured Query Language |
6 | SOAP (SOAP) | SOAP | Simple Object Access Protocol |
7 | Z3950 | Z3950 | Протокол Z3950 [12] |
8 | HTTP (HTTP) | HTTP | HyperText Transfer Protocol |
9 | FTP (FTP) | FTP | FileTransferProtocol |
10 | WebServices (WebServices) | WebServices | Webservice |
N | Имя понятия на английском (на русском) языке | Код | Определение |
DS_InitiativeTypeCode (код типа инициативы) | Тип действия агрегации, в котором ресурсы связаны | ||
1 | campaign (кампания) | campaign | Серия организованных спланированных действий |
2 | collection (коллекция) | collection | Совокупность ресурсов, собранных для определенной цели |
3 | exercise (упражнение) | exercise | Специальное выполнение функции или группы функций |
4 | experiment (эксперимент) | experiment | Процесс, предназначенный для определения, является ли что-либо действующим или действительным |
5 | investigation (расследование) | investigation | Поиск или систематическое изучение |
6 | mission (миссия) | mission | Специальная операция системы сбора данных |
7 | sensor (датчик) | sensor | Устройство или часть оборудования, которые обнаруживают или записывают |
8 | operation (операция) | operation | Действие, которое является частью серии действий |
9 | platform (платформа) | platform | Транспортное средство или другая база, несущие на себе датчик |
10 | process (обработка) | process | Метод последовательного совершения ряда шагов |
11 | program (программа) | program | Специально спланированная деятельность |
12 | project (проект) | project | Организованное начинание в области исследований или разработки |
13 | study (изучение) | study | Обследование или исследование |
14 | task (задача) | task | Часть работы |
15 | trial (испытание) | trial | Процесс испытания для обнаружения или демонстрации чего-либо |
N | Имя понятия на английском (на русском) языке | Код | Определение |
MD_CellGeometryCode (код геометрии ячейки) | Код, указывающий геометрию, представленную значением ячейки сетки | ||
1 | point (точка) | point | Каждая ячейка представляет точку |
2 | area (площадь) | area | Каждая ячейка представляет площадь |
3 | voxel (воксель) | voxel | Каждая ячейка представляет объемное измерение на регулярной сетке в трехмерном пространстве |
4 | stratum (слой) | stratum | Диапазон высоты для вертикального профиля отдельной точки |
N | Имя понятия на английском (на русском) языке | Код | Определение |
MD_ClassificationCode (код классификации) | Название грифа, ограничивающего пользование ресурсом | ||
1 | unclassified (незакрытый) | unclassified | Допускается всеобщее раскрытие |
2 | restricted (ограниченный) | restricted | Не для общего пользования |
3 | confidential (конфиденциальный) | confidential | Только для лиц, допущенных к информации |
4 | secret (секрет) | secret | Хранится или означает хранение в частном порядке, в тайне, скрытно от всех, кроме избранной группы лиц |
5 | topSecret (совершенно секретно) | topSecret | Высшая степень секретности |
6 | sensitiveButUnclassified (чувствительный, но не ограниченный) | SBU | Несмотря на отсутствие ограничений, требуется строгий контроль за распространением |
7 | forOfficialUseOnly (для служебного использования) | forOfficialUseOnly | Несекретная информация, которая будет использоваться только для официальных целей, установленных уполномоченным органом |
8 | protected (защищенный) | protected | Информация, которая может причинить вред |
9 | limitedDistribution (ограниченное распространение) | limitedDistribution | Распространение ограничено уполномоченным органом |
N | Имя понятия на английском (на русском) языке | Код | Определение |
MD_CoverageContentTypeCode (код типа содержания покрытия) | Конкретный тип информации, представленный в ячейке | ||
1 | image (образ) | image | Имеющее смысл численное представление физического параметра, не являющееся фактическим значением физического параметра |
2 | thematicClassification (тематическая классификация) | thematicClassification | Значение кода без количественного значения, используемое для представления физического количества |
3 | physicalMeasurement (физическое измерение) | physicalMeasurement | Значение в физических единицах измеряемого количества |
4 | auxillaryInformation (вспомогательная информация) | auxillaryInformation | Данные, обычно физические измерения, используемые для поддержки расчета первичного physicalMeasurement покрытия в наборе данных. Пример - Сетка оптической толщины аэрозолей, используемая при вычислении температуры поверхности моря |
5 | qualityInformation (информация о качестве) | qualityInformation | Данные, используемые для характеристики качества жизни physicalMeasurement покрытия в наборе данных. Примечание - Как правило, включены в gmi:QE_coverageresult. |
6 | referenceInformation (информация о системе отсчета) | referenceInformation | Информация о координатной основе, используемая для поддержки вычислений или использования physicalMeasurement покрытия в наборе данных. Пример - Сетки широты и долготы, используемые для геолокации физических измерений |
7 | modelResult (результат моделирования) | modelResult | Ресурсы со значениями, полученными с использованием модели, а не в результате наблюдения или вычислений по наблюдениям |
8 | coordinate (координаты) | coordinate | Данные, используемые для указания значений осей координат |
N | Имя понятия на английском (на русском) языке | Код | Определение |
MD_DatatypeCode (код типа данных) | Тип данных элемента или сущности | ||
1 | class (класс) | class | Описание набора объектов, использующих одни и те же атрибуты, операции, методы, отношения и поведение |
2 | codelist (список кодов) | codelist | Гибкое перечисление, полезное для представления и ведения длинного списка величин |
3 | enumeration (перечисление) | enumeration | Тип данных, экземпляры которых составляют перечень именованных буквенных значений, нерасширяемый |
4 | codelistElement (элемент списка кодов) | codelistElement | Разрешенное значение для списка кодов или перечисления |
5 | abstractClass (абстрактный класс) | abstractClass | Класс, который не может быть выделен непосредственно |
6 | aggregateClass (агрегированный класс) | aggregateClass | Класс, который состоит из классов, соединенных отношениями агрегата |
7 | specifiedClass (указанный класс) | specifiedClass | Подкласс, который может быть заменен своим суперклассом |
8 | datatypeClass (класс типа данных) | datatypeClass | Класс с несколькими операциями или без операций, главная цель которых состоит в том, чтобы сохранять абстрактное состояние абстракта другого класса для передачи, хранения, кодирования или постоянного хранения |
9 | interfaceClass (связующий класс) | interfaceClass | Именованный набор операций, характеризующих поведение элемента |
10 | unionClass (unionclass) | unionClass | Класс, описывающий выбор одного из указанных типов |
11 | metaClass (метакласс) | metaClass | Класс, экземпляры которого являются классами |
12 | typeClass (класс типов) | typeClass | Класс, используемый для спецификации домена экземпляров (объектов), вместе с операциями, применимыми к объектам. Тип может иметь атрибуты и ассоциации |
13 | characterString (символьная строка) | characterString | Текстовая информация |
14 | integer (целое число) | integer | Цифровое поле |
15 | association (ассоциация) | association | Семантическое отношение между двумя классами, в которых между их экземплярами имеются связи |
N | Имя понятия на английском (на русском) языке | Код | Определение |
MD_DimensionNameTypeCode (код типа наименования размерности) | Название пространственного измерения | ||
1 | row (ряд) | row | Ось ординат y |
2 | column (колонка) | column | Ось абсцисс x |
3 | vertical (вертикальный) | vertical | Вертикальная ось z |
4 | track (трек) | track | Вдоль направления движения точки сканирования |
5 | crossTrack (поперечное направление) | crossTrack | Поперек направления движения точки сканирования |
6 | line (линия) | line | Линия сканирования датчика |
7 | sample (образец) | sample | Элемент вдоль линии сканирования |
8 | time (время) | time | Продолжительность |
N | Имя понятия на английском (на русском) языке | Код | Определение |
MD_GeometricObjectTypeCode (код типа геометрического объекта) | Название точечных или векторных объектов, используемых для определения нуль-, одно-, двух- или трехмерных пространственных местоположений в наборе данных | ||
1 | complex (сложный) | complex | Набор геометрических примитивов, границы которых могут быть представлены как объединение других примитивов |
2 | composite (композитный) | composite | Связанный набор кривых, объемных тел или поверхностей |
3 | curve (кривая) | curve | Ограниченный, одномерный геометрический примитив, представляющий непрерывное изображение линии |
4 | point (точка) | point | Нульмерный геометрический примитив, представляющий положение, но не имеющий протяжения |
5 | solid (монолит) | solid | Ограниченный, связанный, трехмерный геометрический примитив, представляющий непрерывное изображение региона пространства |
6 | surface (поверхность) | surface | Ограниченный, связанный двухмерный геометрический примитив, представляющий непрерывное изображение региона плоскости |
N | Имя понятия на английском (на русском) языке | Код | Определение |
MD_ImagingConditionCode (код условий получения изображения) | Код, указывающий условия, которые могут повлиять на изображение | ||
1 | blurredImage (расплывчатое изображение) | blurredImage | Часть изображения расплывчатая |
2 | cloud (облачность) | cloud | Часть изображения закрыта слоем облачности |
3 | degradingObliquity (наклон эклиптики) | degradingObliquity | Острый угол между плоскостью эклиптики (плоскость земной орбиты) и плоскостью небесного экватора |
4 | fog (туман) | fog | Часть изображения не видна из-за тумана |
5 | heavySmokeOrDust (сильно задымленный или запыленный) | heavySmokeOrDust | Часть изображения не видна из-за сильного дыма или пыли |
6 | night (ночь) | night | Съемка производилась ночью |
7 | rain (дождь) | rain | Съемка производилась в дождь |
8 | semiDarkness (полумрак) | semiDarkness | Съемка производилась в условиях полутьмы - сумерек |
9 | shadow (тень) | shadow | Часть изображения закрыта тенью |
10 | snow (снег) | snow | Часть изображения закрыта снегом |
11 | terrainMasking (затенение объектом) | terrainMasking | Данные в определенной точке не собраны по причине наличия топографических объектов, скрывающих предмет(ы) от собирающего информацию датчика |
N | Имя понятия на английском (на русском) языке | Код | Определение |
MD_KeywordTypeCode (код типа ключевого слова) | Методы, используемые для группировки подобных ключевых слов | ||
1 | discipline (дисциплина) | discipline | Ключевое слово, которое определяет ветвь инструкции или специальную отрасль знания |
2 | place (место) | place | Ключевое слово, определяющее положение |
3 | stratum (слой) | stratum | Ключевое слово, определяющее слой (или слои) осадочного вещества или уровни в упорядоченной системе |
4 | temporal (временной) | temporal | Ключевое слово, определяющее период, связанный с ресурсом |
5 | theme (тема) | theme | Ключевое слово, определяющее конкретный предмет или тему |
6 | dataCentre (центр обработки данных) | dataCentre | Ключевое слово, определяющее репозиторий или архив, который управляет и распределяет данные |
7 | featureType (тип объекта) | featureType | Ключевое слово, определяющее ресурс, содержащий коллекцию экземпляров объектов с общими характеристиками |
8 | instrument (инструмент) | instrument | Ключевое слово, определяющее устройство, используемое для измерения или сравнения физических свойств |
9 | platform (платформа) | platform | Ключевое слово, определяющее конструкцию, на которой установлен инструмент |
10 | process (обработка) | process | Ключевое слово, определяющее последовательность действий или природных событий |
11 | project (проект) | project | Ключевое слово, определяющее усилия, предпринятые для создания или изменения продукта или услуги |
12 | service (сервис) | service | Ключевое слово, определяющее деятельность, выполняемую одной стороной, в пользу другой |
13 | product (продукт) | product | Ключевое слово, определяющее тип продукта |
14 | subTopicCategory (подкатегория) | subTopicCategory | Уточнение категории темы для целей классификации географических данных |
15 | taxon (таксон) | taxon | Ключевое слово, определяющее таксономию ресурса |
N | Имя понятия на английском (на русском) языке | Код | Определение |
MD_MaintenanceFrequencyCode (код частоты обновления) | Периодичность внесения добавлений или удаления информации из данных после их первого производства | ||
1 | continual (постоянный) | continual | Данные обновляются систематически и часто |
2 | daily (ежедневно) | daily | Данные обновляются каждый день |
3 | weekly (еженедельно) | weekly | Данные обновляются еженедельно |
4 | fortnightly (раз в 2 нед.) | fortnightly | Данные обновляются каждые 2 нед. |
5 | monthly (ежемесячно) | monthly | Данные обновляются каждый месяц |
6 | quarterly (ежеквартальный) | quarterly | Данные обновляются каждые 3 мес |
7 | biannually (полугодичный) | biannually | Данные обновляются каждые полгода |
8 | annually (ежегодно) | annually | Данные обновляются раз в год |
9 | asNeeded (по мере необходимости) | asNeeded | Данные обновляются по необходимости |
10 | irregular (нерегулярный) | irregular | Данные обновляются с интервалами разной длительности |
11 | notPlanned (не запланированный) | notPlanned | Обновление данных не планируется |
12 | unknown (неизвестный) | unknown | Частота обновления данных неизвестна |
13 | periodic (периодический) | periodic | Ресурс обновляется с регулярным интервалом |
14 | semimonthly (раз в полмесяца) | semimonthly | Ресурс обновляется дважды в месяц |
15 | biennially (двухгодичный) | biennially | Ресурс обновляется каждые 2 года |
N | Имя понятия на английском языке | Код | Определение |
MD_MediumFormatCode (код формата среды) | Метод, используемый для записи на носитель | ||
1 | cpio | cpio | Копирование на/из (формат файла и команды UNIX) |
2 | tar | tar | Архив на ленте |
3 | highSierra | highSierra | Файловая система high sierra |
4 | iso9660 | iso9660 | Обработка информации - том и структура файла CD-ROM |
5 | iso9660RockRidge | iso9660RockRidge | Протокол обмена rockridge (UNIX) |
6 | iso9660AppleHFS | iso9660AppleHFS | Иерархическая файловая система (Macintosh) |
7 | udf | udf | Универсальный формат диска |
N | Имя понятия на английском (на русском) языке | Код | Определение |
MD_ObligationCode (код признака обязательности) | Обязательность элемента или объекта | ||
1 | mandatory (обязательный) | mandatory | Элемент требуется всегда |
2 | optional (необязательный) | optional | Элемент не требуется (не является обязательным) |
3 | conditional (условный) | conditional | Элемент требуется при выполнении определенного условия |
N | Имя понятия на английском (на русском) языке | Код | Определение |
MD_PixelOrientationCode (код ориентации пикселя) | Точка пикселя, соответствующая положению пикселя на Земле | ||
1 | centre (центр) | centre | Точка посередине между нижним левым и верхним правым пикселем |
2 | lowerLeft (нижний левый) | lowerLeft | Угол пикселя, ближайший к началу координат; если два угла находятся на одинаковом расстоянии от начала координат, то тот из них, у которого значение "x" наименьшее |
3 | lowerRight (нижний правый) | lowerRight | Следующий угол против часовой стрелки от нижнего левого угла |
4 | upperRight (верхний правый) | upperRight | Следующий угол по часовой стрелке от нижнего правого угла |
5 | upperLeft (верхний левый) | upperLeft | Следующий угол по часовой стрелке от верхнего правого угла |
N | Имя понятия на английском (на русском) языке | Код | Определение |
MD_ProgressCode (код хода выполнения) | Статус ресурса | ||
1 | completed (завершенный) | completed | Производство данных закончено |
2 | historicalArchive (исторический архив) | historicalArchive | Данные хранятся на автономном устройстве хранения |
3 | obsolete (устаревший) | obsolete | Данные более не соответствуют действительности |
4 | onGoing (постоянный) | onGoing | Данные обновляются непрерывно |
5 | planned (планируемый) | planned | Установлена дата, к которой данные будут созданы или обновлены |
6 | required (требуемый) | required | Данные должны быть сгенерированы или обновлены |
7 | underDevelopment (в разработке) | underDevelopment | Данные в настоящее время находятся в процессе создания |
8 | final (окончательный) | final | Процесс завершен, и никакие изменения не допускаются |
9 | pending (в ожидании) | pending | В стадии рассмотрения |
10 | retired (в отставке) | retired | Элемент не рекомендуется для использования. Он не был заменен другим элементом |
11 | superseded (вытесненный) | superseded | Заменен новым |
12 | tentative (предварительный) | tentative | Временные изменения, прежде чем ресурс станет окончательным или полным |
13 | valid (действительный) | valid | Приемлемый при определенных условиях |
14 | accepted (принято) | accepted | Согласован спонсором |
15 | notAccepted (не принят) | notAccepted | Отклонен спонсором |
16 | withdrawn (отозван) | withdrawn | Исключен из рассмотрения |
17 | proposed (предложенный) | proposed | Предложение о необходимости принять в разработку |
18 | deprecated (устаревший) | deprecated | Ресурс заменен и станет устаревшим, использование только для исторических целей |
N | Имя понятия на английском (на русском) языке | Код | Определение |
MD_ReferenceSystemTypeCode (код типа системы координат) | Определяет тип используемой системы координат | ||
1 | compoundEngineeringParametric (объединенная прикладная параметрическая) | compound Engineering Parametric | Объединенная пространственно-параметрическая система координат, содержащая прикладную систему координат и параметрическую систему отсчета. Пример - [local] x, y, давление |
2 | compoundEngineeringParametric Temporal (объединенная прикладная параметрическая временная) | compound Engineering Parametric Temporal | Объединенная пространственно-параметрическая временная система координат, содержащая прикладную, параметрическую и временную систему координат. Пример - [local] x, y, давление, время |
3 | compoundEngineeringTemporal (объединенная прикладная временная) | compoundEngineeringTemporal | Объединенная пространственно-временная система координат, содержащая прикладную и временную системы координат. Пример - [local] x, y, время |
4 | compoundEngineeringVertical (объединенная прикладная вертикальная) | compoundEngineeringVertical | Объединенная пространственная система координат, содержащая горизонтальную прикладную систему координат и вертикальную систему координат. Пример - [local] x, y, высота |
5 | compoundEngineeringVerticalTemporal (объединенная прикладная вертикальная временная) | compoundEngineeringVerticalTemporal | Объединенная пространственно-временная система координат, содержащая прикладную, вертикальную и временную системы координат. Пример - [local] x, y, высота, время |
6 | compoundGeographic2DParametric (объединенная географическая 2D-параметрическая) | compoundGeographic2DParametric | Объединенная пространственно-параметрическая система координат, содержащая двухмерную географическую горизонтальную систему координат и параметрическую систему отсчета. Пример - Широта, долгота, давление |
7 | compoundGeographic2DParametric Temporal (объединенная географическая 2D-параметрическая временная) | compoundGeographic2DParametricTemporal | Объединенная пространственно-параметрическая временная система координат, содержащая двухмерную горизонтальную географическую параметрическую и временную координатные системы. Пример - Широта, долгота, давление, время |
8 | compoundGeographic2DTemporal (объединенная географическая 2D-временная) | compoundGeographic2DTemporal | Объединенная пространственно-временная система координат, содержащая двухмерную горизонтальную географическую систему координат и систему отсчета времени. Пример - Широта, долгота, время |
9 | compoundGeographic2DVertical (объединенная географическая 2D-вертикальная) | compoundGeographic2DVertical | Объединенная система координат, в которой одна составляющая система координат является горизонтальной геодезической координатной системой отсчета и одна является вертикальной системой координат. Пример - Широта, долгота [связанная с силой тяжести], высота или глубина |
10 | compoundGeographic2DVertical Temporal (объединенная географическая 2D-вертикальная временная) | compoundGeographic2DVerticalTemporal | Объединенная пространственно-временная система координат, содержащая двухмерную горизонтальную географическую, вертикальную и временную системы координат. Пример - Широта, долгота, высота, время |
11 | compoundGeographic3DTemporal (объединенная географическая 3D-временная) | compoundGeographic3DTemporal | Объединенная пространственно-временная система координат, содержащая трехмерную географическую и временную системы координат. Пример - Широта, долгота, эллипсоидальная высота, время |
12 | compoundProjected2DParametric (объединенная в проекции 2D-параметрическая) | compoundProjected2DParametric | Объединенная пространственно-параметрическая система координат, содержащая горизонтальную систему координат в проекции и параметрическую систему отсчета. Пример - Широта, долгота, плотность |
13 | compoundProjected2DParametricTemporal (объединенная в проекции 2D-параметрическая временная) | compoundProjected2DParametricTemporal | Объединенная пространственно-параметрическая-временная система координат, содержащая горизонтальную в проекции, параметрическую и временную системы координат. Пример - Широта, долгота, плотность, время |
14 | compoundProjectedTemporal (объединенная в проекции временная) | compoundProjectedTemporal | Объединенная пространственно-временная система координат, содержащая горизонтальную систему координат в проекции и временную координатную систему. Пример - Широта, долгота, время |
15 | compoundProjectedVertical (объединенная в проекции вертикальная) | compoundProjectedVertical | Объединенная пространственная система координат, содержащая горизонтальную в проекции систему координат и вертикальную систему координат. Пример - Широта, долгота [связанная с силой тяжести], высота или глубина |
16 | compoundProjectedVertical Temporal (объединенная в проекции вертикальная временная) | compoundProjectedVerticalTemporal | Объединенная пространственно-временная система координат, содержащая горизонтальную в проекции, вертикальную и временную системы координат. Пример - Широта, долгота, высота, время |
17 | engineering (прикладная) | engineering | Система координат, основанная на прикладной точке отсчета (точка отсчета, описывающая отношения систем координат к локальной системе). Пример - [local] x, y |
18 | engineeringDesign (прикладной проект) | engineeringDesign | Прикладная система координат, в которой указано базовое представление движущегося объекта. Пример - [local] x, y |
19 | engineeringImage (прикладное изображение) | engineeringImage | Система координат, основанная на точке отсчета изображения (прикладное начало отсчета, которое определяет взаимосвязь системы координат и изображения). Пример - Строка, столбец |
20 | geodeticGeocentric (геодезические геоцентрические) | geodeticGeocentric | Геодезические CRS, имеющие декартову трехмерную систему координат. Пример - [Геоцентрической] x, y, z |
21 | geodeticGeographic2D (геодезические географические 2D) | geodeticGeographic2D | Геодезические CRS, имеющие эллипсоидальную двухмерную систему координат. Пример - Широта, долгота |
22 | geodeticGeographic3D (геодезические географические 3D) | geodeticGeographic3D | Геодезические CRS, имеющие эллипсоидальную 3D-систему координат. Пример - Широта, долгота, высота эллипсоидальная |
23 | geographicIdentifier (географический идентификатор) | geographicIdentifier | Пространственная привязка в виде обозначения или кода, который определяет местоположение. Пример - Почтовый код |
24 | linear (линейный) | linear | Система координат, которая идентифицирует местоположение с помощью ссылки на сегмент линейного географического объекта и расстояния вдоль этого отрезка от заданной точки. Пример - x км вдоль дороги |
25 | parametric (параметрический) | parametric | Система координат, основанная на параметрической точке отсчета (datum) (точка отсчета, описывающая взаимосвязь с параметрической системой координат с объектом). Пример - Давление |
26 | projected (проецируемый) | projected | Система координат, полученная из двухмерной геодезической системы координат путем применения картографической проекции. Пример - Широта, долгота |
27 | temporal (временной) | temporal | Система отсчета, относительно которой измеряется время. Пример - Время |
28 | vertical (вертикальный) | vertical | Одномерная система координат, основанная на вертикальной точке отсчета (точка отсчета, описывающая связь гравитационной высоты или глубины к Земле). Пример - [Гравитационно-связанные] высота или глубина |
N | Имя понятия на английском (на русском) языке | Код | Определение |
MD_RestrictionCode (код ограничения) | Ограничение(я), налагаемое(ые) на доступ к данным или их использование | ||
1 | copyright (авторские права) | copyright | Исключительное право публикации, производства или продажи прав на литературную, драматическую, музыкальную или художественную работу или использование торговой марки или ярлыка, предоставленное законом на определенный срок автору, композитору, художнику, распространителю |
2 | patent (патент) | patent | Правительство предоставило исключительное право на изготовление, реализацию, использование или лицензирование изобретения или открытия |
3 | patentPending (ожидание патента) | patentPending | Произведенная или проданная информация, ожидающая патентования |
4 | trademark (товарный знак) | trademark | Название, символ или другой способ идентификации продукции, официально зарегистрированный и юридически ограниченный к использованию только собственником или производителем |
5 | licence (лицензия) | licence | Официальное разрешение на какую-либо деятельность |
6 | intellectualPropertyRights (права интеллектуальной собственности) | intellectualPropertyRights | Права на получение финансовой выгоды от неосязаемой собственности или от контроля за распространением неосязаемой собственности, являющейся результатом творческой деятельности |
7 | restricted (ограниченный) | restricted | Не подлежит свободному распространению или открытию для широкой публики |
8 | otherRestrictions (прочие ограничения) | otherRestrictions | Ограничения не указаны |
9 | unrestricted (неограниченный) | unrestricted | Ограничений не существует |
10 | licenceUnrestricted (неограниченная лицензия) | licenceUnrestricted | Не требуется формального разрешения для использования ресурса |
11 | licenceEndUser (лицензия конечного пользователя) | licenceEndUser | Формальное разрешение, необходимое для использования ресурса лицом, которое может отличаться от лица, которое заказывает или покупает его |
12 | licenceDistributor (лицензия дистрибьютора) | licenceDistributor | Официальное разрешение, необходимое для физического или юридического лица для коммерциализации и распространения ресурсов |
13 | private (частный) | private | Защита прав личности или организации от наблюдения, вторжений или внимания других людей |
14 | statutory (установленный законом) | statutory | Предписанный законом |
15 | confidential (конфиденциальный) | confidential | Не доступный для общественности. Примечание - Содержит информацию, которая может нанести ущерб коммерческим, промышленным или национальным интересам. |
16 | sensitiveButUnclassified (чувствительный, но не ограниченный) | SBU | Несмотря на отсутствие ограничений, требуется строгий контроль за распространением |
17 | in-confidence (в конфиденциальном порядке) | in-confidence | Конфиденциально |
N | Имя понятия на английском (на русском) языке | Код | Определение |
MD_ScopeCode (код области применения) | Класс информации, к которому относится указываемый объект | ||
1 | attribute (атрибут) | attribute | Информация относится к значению атрибута |
2 | attributeType (тип атрибута) | attributeType | Информация относится к характеристике объекта |
3 | collectionHardware (коллекция аппаратного обеспечения) | collectionHardware | Информация относится к классу коллекции аппаратного обеспечения |
4 | collectionSession (коллекция сессии) | collectionSession | Информация относится к коллекции сессии |
5 | dataset (набор данных) | dataset | Информация относится к набору данных |
6 | series (комплект) | series | Информация относится к сериям |
7 | nonGeographicDataset (негеографический набор данных) | nonGeographicDataset | Информация относится к негеографическим данным |
8 | dimensionGroup (группа пространственных измерений) | dimensionGroup | Информация относится к группе пространственных измерений |
9 | feature (пространственный объект) | feature | Информация относится к объекту |
10 | featureType (тип объекта) | featureType | Информация относится к типу объекта |
11 | propertyType (тип свойства) | propertyType | Информация относится к типу свойства |
12 | fieldSession (полевая сессия) | fieldSession | Информация относится к полевой сессии |
13 | software (программное обеспечение) | software | Информация относится к компьютерной программе или процедуре |
14 | service (сервис) | service | Информация относится к области предоставления провайдером сервисов пользователю через ряд интерфейсов, определяющих поведение, например, порядок пользования |
15 | model (модель) | model | Информация относится к копии или имитации существующего или гипотетического объекта |
16 | tile (тайл) | tile | Информация относится к тайлу, пространственному поднабору пространственных данных |
17 | metadata (метаданные) | metadata | Информация относится к метаданным |
18 | initiative (инициатива) | initiative | Информация относится к инициативе |
19 | sample (образец) | sample | Информация относится к образцу (выборке) |
20 | document (документ) | document | Информация относится к документу |
21 | repository (репозиторий) | repository | Информация относится к репозиторию |
22 | aggregate (агрегат) | aggregate | Информация относится к агрегированному ресурсу |
23 | product (продукт) | product | Метаданные, описывающие спецификацию информационного продукта, в соответствии с ГОСТ Р 57657 |
24 | collection (коллекция) | collection | Информация относится к неструктурированному набору |
25 | coverage (покрытие) | coverage | Информация относится к покрытию |
26 | application (приложение) | application | Информационный ресурс, размещенный на конкретном наборе технических средств и доступный через сеть |
N | Имя понятия на английском (на русском) языке | Код | Определение |
MD_SpatialRepresentationTypeCode (код типа пространственного представления) | Метод, используемый для представления пространственных данных в наборе | ||
1 | vector (вектор) | vector | Для представления пространственных данных используется векторная форма |
2 | grid (сетка) | grid | Для представления пространственных данных используется растровая форма |
3 | textTable (текстовый, табличный) | textTable | Для представления пространственных данных используются текстовые или табличные формы |
4 | tin (тин) | tin | Триангуляционная нерегулярная сеть |
5 | stereoModel (стереомодель) | stereoModel | Трехмерный вид, созданный пересекающимися гомогенными лучами накладывающейся пары изображений |
6 | video (видео) | video | Сцена из видеозаписи |
N | Имя понятия на английском (на русском) языке | Код | Определение |
MD_TopicCategoryCode (код тематической категории) | Тематическая классификация пространственных данных высокого уровня для содействия группировке и поиску имеющихся пространственных наборов данных. Примечания 1 Может также использоваться для группирования ключевых слов. Приведенные примеры не являются исчерпывающими. 2 Подразумевается, что основные категории друг друга перекрывают, и дело пользователя - выбрать из них наиболее подходящую. | ||
1 | farming (сельское хозяйство) | farming | Животноводство и растениеводство. Пример - Сельское хозяйство, ирригация, аквакультура, плантации, стада, паразиты и болезни растений и скота |
2 | biota (биота) | biota | Флора и фауна в естественной среде. Пример - Дикие животные, растительность, биологические науки, экология, целина, морские животные, водно-болотные угодья, местообитание |
3 | boundaries (границы) | boundaries | Юридическое описание земли. Пример - Политические и административные границы |
4 | climatologyMeteorologyAtmosphere (климат метеорология атмосфера) | climatologyMeteorologyAtmosphere | Процессы и феномены в атмосфере. Пример - Облачность, погода, климат, атмосферные условия, изменение климата, осадки |
5 | economy (экономика) | economy | Экономическая деятельность, условия и занятость. Пример - Труд, доходы, коммерция, промышленность, туризм и экотуризм, лесное хозяйство, рыболовство, коммерческая и экономическая охота, разведка и добыча полезных ископаемых, например, минералов, нефти и газа |
6 | elevation (высота) | elevation | Высота над уровнем моря или ниже уровня моря. Пример - Высота, батиметрия, цифровые модели возвышенности, склон, отвалы |
7 | environment (окружающая среда) | environment | Экологические ресурсы, защита и консервация. Пример - Экологическое загрязнение, хранение и переработка отходов, оценка влияния на экологию, мониторинг экологического риска, запасы природных ресурсов, ландшафт |
8 | geoscientificInformation (науки о земле) | geoscientificInformation | Информация о науках о земле. Пример - Геофизические объекты и процессы, геология, минералы, науки о составе, структуре и происхождении скальных пород, риск землетрясений, вулканическая деятельность, оползни, почва, вечная мерзлота, гидрогеология, эрозия |
9 | health (здоровье) | health | Здравоохранение и услуги здравоохранения, экология и безопасность человека. Пример - Болезни и заболевания, факторы, влияющие на здоровье, гигиена, злоупотребление алкоголем, душевное и физическое здоровье |
10 | imageryBaseMapsEarthCover (базовые изображения поверхности земли) | imageryBaseMaps EarthCover | Базовые карты. Пример - Карты земель, топографические карты, изображения, несекретные изображения, аннотации |
11 | intelligenceMilitary (военная информация) | intelligenceMilitary | Военные базы, структуры, деятельность. Пример - Казармы, полигоны, военные перевозки, сбор информации |
12 | inlandWaters (внутренние воды) | inlandWaters | Объекты внутренних вод, дренажные системы и их характеристики. Пример - Реки и ледники, соленые озера, планы использования воды, дамбы, потоки, наводнения, качество воды, гидрографические карты |
13 | location (место нахождения) | location | Информация и услуги по определению места положения. Пример - Адреса, геодезические сети, контрольные точки, почтовые зоны и услуги, названия мест |
14 | oceans (океаны) | oceans | Объекты и характеристики соленых вод (исключая внутренние воды). Пример - Приливы, приливные волны, информация о побережье, рифы |
15 | planningCadastre (кадастр) | planningCadastre | Информация, используемая для принятия решений по будущему использованию земли. Пример - Карты использования земли, карты зонирования, кадастровые исследования, землевладение |
16 | society (общество) | society | Характеристики общества и культур. Пример - Поселения, антропология, археология, образование, традиционная религия, традиции и обычаи, демографические данные, места отдыха и отдых, оценка социального влияния, преступность и правоохрана, демографическая информация |
17 | structure (сооружения) | structure | Искусственные постройки. Пример - Здания, музеи, церкви, фабрики, жилые дома, монументы, магазины, башни |
18 | transportation (транспорт) | transportation | Средства и способы перевозки людей и товаров. Пример - Дороги, аэропорты, взлетно-посадочные полосы, судоходные линии, туннели, морские карты, места стоянок транспорта или судов, аэронавигационные карты, железные дороги |
19 | utilitiesCommunication (коммуникации) | utilitiesCommunication | Энергия, вода и системы хранения отходов, инфраструктура и услуги связи. Пример - Гидроэлектростанции, геотермальные, солнечные и ядерные источники энергии, система очистки и распределения воды, сбор и слив сточных вод, распределение электроэнергии и газа, передача данных, связь, радио, коммуникационные сети |
20 | extraTerrestrial (экстерриториальный) | extraTerrestrial | Регион, расположенный более чем в 100 км над поверхностью земли |
21 | disaster (катастрофа) | disaster | Информация, связанная с катастрофами. Пример - Место катастрофы, зоны эвакуации, центр по предотвращению стихийных бедствий, деятельности по оказанию помощи |
N | Имя понятия на английском (на русском) языке | Код | Определение |
MD_TopologyLevelCode (код уровня топологии) | Степень сложности пространственных отношений | ||
1 | geometryOnly (геометрия только) | geometryOnly | Геометрические объекты без каких-либо дополнительных структур, описывающие топологию |
2 | topology1D (топология 1D) | topology1D | Одномерный топологический комплекс, обычно называемый топологией "цепочка - узел" |
3 | planarGraph (планарный граф) | planarGraph | Одномерный топологический планарный комплекс (планарный граф - это граф, который может быть нарисован в плане таким образом, что, за исключением как у вершины, никакие две его стороны не пересекаются) |
4 | fullPlanarGraph (полный планарный граф) | fullPlanarGraph | Двухмерный топологический планарный комплекс (двухмерный топологический комплекс в картографической двухмерной среде обычно называют "полная топология") |
5 | surfaceGraph (поверхностный граф) | surfaceGraph | Одномерный топологический комплекс, изоморфный к поднабору поверхности (геометрический комплекс является изоморфным к топологическому комплексу, если их элементы находятся в отношении один к одному, пространственно и границами предотвращая отношение одного к другому) |
6 | fullSurfaceGraph (полный поверхностный граф) | fullSurfaceGraph | Двухмерный топологический комплекс, который является изоморфным к поднабору поверхности |
7 | topology3D (топология 3D) | topology3D | Трехмерный топологический комплекс (топологический комплекс является набором топологических примитивов, закрытых в границах операций) |
8 | fullTopology3D (полная топология 3D) | fullTopology3D | Полное покрытие трехмерного Эвклидова координатного пространства |
9 | abstract (абстрактный) | abstract | Топологический комплекс без определенной геометрической реализации |
N | Имя понятия на английском (на русском) языке | Код | Определение |
SV_CouplingType (тип взаимосвязи) | Класс информации, к которому принадлежит ссылающаяся сущность | ||
1 | loose (слабая связь) | loose | Экземпляр сервиса слабо связан с экземпляром данных, то есть класс MD_DataIdentification не нужно описывать |
2 | mixed (смешанная связь) | mixed | Экземпляр сервиса смешанно связан с экземпляром данных, то есть MD_DataIdentification описывает связанный экземпляр данных и дополнительно экземпляр сервиса может работать с другими экземплярами внешних данных |
3 | tight (тесная связь) | tight | Экземпляр сервиса тесно связан с экземпляром данных, то есть класс MD_DataIdentification должен быть описан |
N | Имя понятия на английском (на русском) языке | Код | Определение |
SV_ParameterDirection (параметрическое направление) | Класс информации, к которому обращается ссылающаяся сущность | ||
1 | in (входной) | in | Параметр является входным параметром для экземпляра сервиса |
2 | out (выходной) | out | Параметр является выходным параметром для экземпляра сервиса |
3 | in/out (входной и выходной) | in/out | Параметр является входным и выходным параметром для экземпляра сервиса |

(MD_Metadata) |
metadataIdentifier: (MD Identifier) |
code: ANZSA1000001233 |
characterSet: (MD_CharacterSetCode) utf8 |
contact: (CI_Responsibility) |
role: (CI_RoleCode) author |
party: (CI_Organisation) |
name: Department of Primary Industries and Resources SA |
dateInfo: (CI_Date) |
date: |
DateTime: 20000803 |
dateType: (CI_DateTypeCode) creation |
metadataStandard: (CI_Citation) |
title: ISO 19115-1 |
version: Draft International Standard |
referenceSystemInfo: (MD_ReferenceSystem) |
referenceSystemIdentifier: (RS Identifier) |
code: GDA 94 |
codeSpace: DIPR |
identificationInfo: (MD_DataIdentification) |
citation: (CI_Citation) |
title: Лицензии на разработку полезных ископаемых |
date: (CI_Date) |
date: 1930-01 |
dateType: (CI_DateTypeCode) creation |
onlineResource: (CI_OnlineResource) |
linkage: (URL) https:/ info.pir.sa.gov.au/geometa/migs/MIGS_Down_cat.jsp |
abstract: расположение всех текущих минеральных лицензий на разведку, выданных на основании Горного закона 1971 года. Лицензии на разведку обеспечивают эксклюзивные права владения на разведку минеральных ресурсов сроком не более 5 лет. Комментарий по поводу заявки на получение лицензии на разведку запрашивают из многочисленных источников до ее предоставления. Программы разведки подпадают под строгие условия, связанные с окружающей средой и наследием. Эксплуатация выявленных ресурсов должна быть произведена по отдельным договорам аренды добычи полезных ископаемых. |
purpose: набор данных был разработан для записи информации, необходимой для выполнения Горного закона 1971 года. |
status: (MD_ProgressCode) продолжающийся |
pointOfContact: (CI_Responsibility) |
role: (CI_RoleCode) originator |
party: (CI_Organisation) |
name: Department of Primary Industries and Resources SA |
individual: (CI_Individual) |
positionName: GIS Coordinator |
contactInfo: (CI_Contact) |
phone: (CI_Telephone) |
voice: 61 8 8463 3306 |
facsimile: 61 8 8463 3268 |
address: (CI_Address) |
deliveryPoint: GPO Box 167 |
city: Adelaide |
administrativeArea: South Australia |
postalCode: 5001 |
country: Australia |
electronicMailAddress: pirsa.spatial@saugov.sa.gov.au |
onlineResource: (CI_OnlineResource) |
linkage: (URL) http://www.pir.sa.gov.au |
resourceMaintenance: (MD_MaintenanceInformation) |
maintenanceAndUpdateFrequency: (MD_MaintenanceFrequencyCode) daily |
resourceFormat: (MD_Format) |
name: ArcInfo Export 8.0.2 |
version: 8.0.2 |
resourceFormat: (MD_Format) |
name: MapInfo |
version: 6 |
resourceFormat: (MD_Format) |
name: DXF |
version: 14 |
descriptiveKeywords: (MD_Keywords) |
keyword: BOUNDARIES Administrative |
keyword: INDUSTRY Mining Exploration |
keyword: MINERALS Exploration |
thesaurusName: (CI_Citation) |
title: ANZLIC Search Words |
date: (CI_Date) |
date: 1996-07 |
dateType: (CI_DateTypeCode) публикация |
resourceSpecificUsage: (MD_Usage) |
specificUsage: Использовался для правительства, промышленности и широкой общественности с современным статусом и с распространением по всему штату. |
userContactInfo: (CI_Responsibility) 1 |
role: (CI_RoleCode) originator |
party: |
individual: (CI_Individual) |
positionName: GIS Coordinator |
resourceConstraints: (MD_Constraints) |
useLimitation: Данные не должны использоваться в масштабе крупнее 1:50000. |
spatialRepresentationType: (MD_SpatialRepresentationTypeCode) сетка |
spatialResolution: (MD_Resolution) |
equivalentScale: (MD_RepresentativeFraction) |
denominator: 50000 |
language: eng |
characterSet: (MD_CharacterSetCode) ucs2 |
topicCategory: (MD_TopicCategoryCode) границы |
topicCategory: (MD_TopicCategoryCode) геонаучная информация |
extent: (EX_Extent) |
description: South Australia |
geographicElement: (EX_GeographicBoundingBox) |
westBoundLongitude: (Decimal) 129,0 |
eastBoundLongitude: (Decimal) 141,0 |
southBoundLatitude: (Decimal) -38,5 |
northBoundLatitude: (Decimal) -26,0 |
resourceLineage: (LI_Lineage) |
scope: (DQ_Scope) |
level: (MD_ScopeCode) dataset |
statement: история исходных данных. Границы лицензии разведки были получены из официальных документов горного регистра лицензий. Границам лицензии юридически предписано следовать линиям широты и долготы. Регистр существует с 1930 года. Шаги обработки: координаты, введенные с клавиатуры из документов лицензии. Линии проверяются для удаления повторяющихся дуг. Данные, скорректированные для точного соответствия государственной границе и береговой линии. В тех случаях, когда это уместно, кадастровые участки удалены из лицензии полигонов. Связанные атрибутивные данные также собираются из документов лицензии. |

Имя | Определение | Признак обязательности | Тип данных | Значение домена | Максимум вхождений | Родительская сущность | Правило | Обоснование | Источник | ||||
Role name: theTaxonomy-System | Информация о таксонах (1 или более), включенных в набор данных, в том числе ключевые слова, информация о таксономической системе и покрытии, таксономической системе классификации | Н | Association | - | 1 | MD_Identification | New Metadata package | Для обеспечения документирования таксономической информации | National Biological Information Infrastructure (NBII) - национальная инфраструктура биологической информации | ||||
Taxonomy System | Документация таксономических источников, процедур и подходов | Н | Class | - | 1 | MD_Identification | New Metadata package as a class to MD_Identification | Набор элементов данных, содержащихся в этом классе элементов, представляет собой попытку обеспечить лучшую документацию по созданию таксономических источников, процедур и подходов | National Biological Information Infrastructure (NBII) - национальная инфраструктура биологической информации | ||||
classificationSystem Authority | Информация об используемой системе классификации или основании | О | Class | CI_Citation | N | Taxonomy-System | New Metadata class | Система классификации и любые модификации, сделанные в ней, представляют собой значительную часть информации, касающейся данных, подлежащих документированию | National Biological Information Infrastructure (NBII) - национальная инфраструктура биологической информации | ||||
classification-System Modifications | Описание изменений или исключений, сделанных в используемой классификации системы или основании | У/таксономическая классификация модифицированная? | Character String | Free text | 1 | classification System Authority | New Metadata attribute | Много раз используется стандартная система, но для специфических таксонов и групп сделаны исключения. Этот элемент позволяет описать исключения или модификации | National Biological Information Infrastructure (NBII) - национальная инфраструктура биологической информации | ||||
generalTaxonomicScope | Описание ряда таксонов, рассматриваемых в наборе данных или коллекции. Пример - Все сосудистые растения были идентифицированы относительно семейства или вида, мхи и лишайники - как мох или лишайник | Н | Character String | Free text | 1 | Taxonomy-System | New Metadata attribute | Чтобы обеспечить возможности доку ментирования таксонов, рассматриваемых в наборе данных или коллекции, посредством описания в виде свободного текста. Это особенно важно для наборов данных или коллекций, содержащих примеры многих таксономических уровней | National Biological Information Infrastructure (NBII) - национальная инфраструктура биологической информации | ||||
identification-Reference | Информацию о любых неофициальных материалах (например, полевые справочники), пригодных для восстановления реального процесса | О | Class | CI_Citation | N | Taxonomy-System | New Metadata class | Эта информация может быть полезна для тех, кто использует набор данных и, возможно, расширяет его, следуя аналогичной процедуре | National Biological Information Infrastructure (NBII) - национальная инфраструктура биологической информации | ||||
observer | Информация о личности(ях), ответственного(ых) за идентификацию образцов или наблюдений и т.д. | Н | Class | CI_Responsibility | N | Taxonomy-System | New Metadata class | Если есть вопросы по идентификации образцов или полевых наблюдений, это представляет создатель данных | National Biological Information Infrastructure (NBII) - национальная инфраструктура биологической информации | ||||
identification-Taxonomic Procedures | Описание методов, используемых для таксономической идентификации. Может включать в себя обработку образца, сравнение с музейными материалами, ключи и ключевые персонажи, химические или генетические анализы и т.д. | О | Character String | Free text | 1 | Taxonomy-System | New Metadata attribute | - | National Biological Information Infrastructure (NBII) - национальная инфраструктура биологической информации | ||||
identification-Taxonomic Completeness | Информация о пропорции и подходах к неидентифицированным материалам (то есть материалам, посланным экспертами, и пока еще не определенным); оценке важности и идентификации ошибочных идентификаций, неопределенных определений, синонимов или других неправильных использований; некорректной трактовке таксонов или требующих дальнейшей работы и экспертизы в поле | Н | Character String | Free text | 1 | Taxonomy-System | New Metadata attribute | - | National Biological Information Infrastructure (NBII) - национальная инфраструктура биологической информации | ||||
Role name: theVouchers | Информация о ваучере | Используемый ваучер | Association | - | - | - | - | - | - | ||||
Role name: theTaxonomic Classification | Информация о таксономической классификации | О | - | - | 1 | - | - | - | - | ||||
Vouchers | Информация о типах образца, хранилище, а также лицах, которые идентифицировали ваучеры | Использует признак обязательности ссылающегося объекта | Class | - | N | Taxonomic System | New Metadata class | - | National Biological Information Infrastructure (NBII) - национальная инфраструктура биологической информации | ||||
specimen | Слово или фраза, описывающая тип собранного образца. Пример - "Образец гербария", "образцы крови", "фотографии" - свободный текст | О | Character String | free text | 1 | Vouchers | New Metadata attribute | - | National Biological Information Infrastructure (NBII) - национальная инфраструктура биологической информации | ||||
repository | Информация о кураторе или контактном лице и/или органе, ответственном за образцы | О | Class | CI_Responsibility | 1 | Vouchers | New Metadata class | Если по какой-либо причине на образцы нужно сослаться, информация о том, где они в настоящее время размещаются и кто несет ответственность за них, должна храниться вместе с документацией набора данных. Если они не были заархивированы, это должно быть отмечено | National Biological Information Infrastructure (NBII) - национальная инфраструктура биологической информации | ||||
Информация о диапазоне таксонов, рассматриваемых в наборе данных или коллекции. Примечание - Рекомендуется предоставлять информацию начиная с таксономического уровня царства к уровню, который отражает документируемый набор данных или коллекцию. Уровни, царство, отдел/тип, класс, порядок, семейство, род и виды должны быть включены в ряды по мере необходимости | О | Class | 1 | Taxonomic Classification | New Metadata class | Для того чтобы обеспечить возможность точно описать таксоны, встречающиеся в наборе данных или коллекции. Это может быть достигнуто с использованием иерархической структуры, от царства вплоть до соответствующего таксономического уровня | National Biological Information Infrastructure (NBII) - национальная инфраструктура биологической информации | ||||||
commonName | Спецификация применимых общих имен. Примечание - Эти общие имена могут быть общим описанием группы организмов. Пример - Насекомые, позвоночные, злаки, водоплавающие птицы, сосудистые растения и т.д. | Н | Character String | free text | N | Taxonomic Classification | New Metadata attribute | Для того чтобы обеспечить возможность точно описать таксоны в наборе данных или коллекции | National Biological Information Infrastructure (NBII) - национальная инфраструктура биологической информации | ||||
| |||||||||||||
taxonRank Name | Наименование таксономического ранга в соответствии с Taxon_ Rank_Value (см. пример, включенный в определение Taxonomic_Classification). Пример - Царство, отдел, тип, подтип, надкласс, класс, подкласс, суперпорядок, порядок, подпорядок, надсемейство, семейство, подсемейство, триба, род, вид | О | Character String | free text | 1 | Taxonomic Classification | New Metadata attribute | Для того чтобы обеспечить возможность точно описать таксоны в наборе данных или коллекции | National Biological Information Infrastructure (NBII) - национальная инфраструктура биологической информации | ||||
taxonRankValue | Имя, представляющее таксономический ранг описываемого таксона. Примечание - Пример, включенный в определение Taxonomic_Classification. | О | Character String | Free text | 1 | Taxonomic Classification | New Metadata attribute | Для того чтобы обеспечить возможность точно описать таксоны в наборе данных или коллекции | National Biological Information Infrastructure (NBII) - национальная инфраструктура биологической информации | ||||
hierarchialClass | Количество рекурсивных множеств таксономической системы классификации | Н | Class | Taxonomic Classification | N | Taxonomic Classification | New Metadata attribute | Для того чтобы обеспечить возможность указать количество рекурсивных таксономических систем классификации | National Biological Information Infrastructure (NBII) - национальная инфраструктура биологической информации | ||||
N | Имя/ролевое имя | Определение | Признак обязательности | Максимум вхождений | Тип данных | Домен |
99 | useLimitation | Ограничение, влияющее на пригодность для использования ресурса или метаданных. Пример - "Не использовать для навигации" | Н | N | Character-String | Free text |
Пример многоязычности в отношении свободного текста элемента метаданных useLimitation (ограничение использования) | |||
Код языка (необязательно) | Код страны (необязательно) | Код набора символов (необязательно) | Простой текст (обязательно) |
eng (English) (см. примечание) | UK (United Kingdom) (см. примечание) | 017 (ISO/IEC 8859-15) (см. примечание) | Weight restriction on bridges: Lorries exceeding five metric tonnes gross weight are not permitted on bridges (ограничение веса на мостах: грузовые автомобили полной массой более пяти тонн не допускаются на мостах) |
fre (French) | Fr | 017 (ISO/IEC 8859-15) | Limitation de poids sur les ponts: Les camions dont le poids total ne sont pas circuler sur les ponts |
ara (Arabic) | 011 (ISO/IEC 8859-6) | ![]() | |
zho (Chinese) | 029 (GB 18030) | ![]() | |




Элемент метаданных | Признак обязательности/максимум вхождений | Комментарий |
Metadata reference information: MD_Metadata. metadataIdentifier | Н/1 | Уникальный идентификатор для метаданных |
Resource title: (MD_Metadata.identificationInfo > MD_DataIdentification. citation > CI_Citation.title) | О/1 | Название, под которым известен ресурс |
Resource reference date: (MD_Metadata.idenitificationInfo > MD_DataIdentification. citation > CI_Citation.date) | Н/N | Дата, которая используется для идентификации ресурса |
Resource identifier: (MD_Metadata.identificationInfo > MD_DataIdentification. citation > CI_Citation.identifier > MD_Identifier) | Н/N | Уникальный идентификатор для ресурса |
Resource point of contact: (MD_Metadata.identificationInfo > MD_DataIdentification. pointOfContact > CI_Responsibility) | Н/N | Лицо, должность или организация, ответственные за ресурс |
Geographic location: (MD_Metadata.identificationInfo > MD_DataIdentification. extent > EX_Extent.geographicElement > EX_Geographic Extent > EX_GeographicBoundingBox-orEX_Geographic Description) | У - не равен "не обязательный набор"/N | Географическое описание или координаты (широта/долгота), которые описывают расположение ресурса |
Resource language: (MD_Metadata.identificationInfo > MD_DataIdentification. defaultLocale > PT_Locale) | У - обязательный, если язык используется в ресурсе/N | Язык и набор символов, используемые в ресурсе (если используется язык) |
Resource topic category: (MD_Metadata.identificationInfo > MD_DataIdentification. topicCategory > MD_TopicCategoryCode) | У - не равен "набор или комплект не обязательны"/N | Подборка из 20 элементов в перечислении MD_TopicCategory, которые описывают тему ресурса |
Spatial resolution: (MD_Metadata.identificationInfo > MD_Identification. spatialResolution > MD_Resolution.equivalentScale MD_Resolution.distance, MD_Resolution.vertical, or MD_Resolution.angularDistance, or MD_Resolution. levelOfDetail) | Н/N | Номинальный масштаб и/или пространственное разрешение ресурса |
Resource type: (MD_Metadata.metadataScope > MD_Scope. resourceScope) | У - не равен набору данных/1 | Код ресурса, идентифицирующий тип ресурса, например набор данных, набор, приложение (см. MD_ScopeCode), которые описывают метаданные |
Resource abstract: (MD_Metadata.identificationInfo > MD_DataIdentification. abstract) | О/1 | Краткое описание содержания ресурса |
Extent information for the dataset (additional): (MD_Metadata.identificationInfo > MD_Identification.extent > EX_Extent > EX_TemporalExtent or EX_VerticalExtent) | Н/N | Временная или вертикальная протяженность ресурса |
Resource lineage: (MD_Metadata > resourceLineage > LI_Lineage) | Н/N | Описание источника(ов) и процесса(ов) производства, используемых в создании ресурса |
Resource on-line Link: (MD_Metadata.identificationInfo > MD_DataIdentification. citation > CI_Citation.onlineResource > CI_OnlineResource) | Н/N | Ссылка (URL) в метаданных для ресурса |
Keywords: (MD_Metadata.identificationInfo > MD_DataIdentification > descriptiveKeywords > MD_Keywords) | Н/N | Слова или фразы, описывающие ресурс, который будет индексироваться и разыскиваться |
Constraints on resource access and use: (MD_Metadata.identificationInfo > MD_DataIdentification > MD_Constraints.useLimitations and/or MD_LegalConstraints and/or MD_SecurityConstraints) | Н/N | Ограничения на доступ и использование ресурса |
Metadata date stamp: (MD_Metadata.dateInfo) | О/N | Ссылочная(ые) дата(ы) для метаданных, особенно дата создания |
Metadata point of contact: (MD_Metadata.contact > CI_Responsibility) | О/N | Сторона, ответственная за метаданные |
Элемент метаданных | Признак обязательности/максимум вхождений | Комментарий |
Metadata reference information: MD_Metadata.metadataIdentifier | Н/1 | Уникальный идентификатор для метаданных |
Service title: (MD_Metadata.identificationInfo > SV_ServiceIdentification.citation > CI_Citation.title) | О/1 | Заголовок, под которым известен сервис |
Reference date: (MD_Metadata.identificationInfo > SV_ServiceIdentification.citation > CI_Citation.date) | Н/1 | Дата, которая используется, чтобы идентифицировать сервис |
Resource identifier: (MD_Metadata.identificationInfo > SV_ServiceIdentification, citation > CI_Citation.identifier > MD_Identifier) | Н/N | Идентификатор для сервиса |
Responsible party: (MD_Metadata.identificationInfo > SV_ServiceIdentification. pointOfContact > CI_Responsibility) | Н/N | Лицо, должность или организация, ответственные за сервис |
Geographic location: (MD_Metadata.identificationInfo > SV_ServiceIdentification. extent > EX_Extent.geographicElement > EX_Geographic Extent > EX_GeographicBoundingBox -orEX_Geographic Description) | О/1 | Если сервис касается географической области, географических координат (широта/долгота) или географического газетира, расположение сервиса должно быть указано |
Service topic category: (MD_Metadata.identificationInfo > SV_ServiceIdentification. topicCategory > MD_TopicCategoryCode) | Н/N | Выборка из 20 элементов в "перечислении MD_TopicCategory", которые описывают тему ресурса. Если сервис о географической области, то должна быть обеспечена категория темы сервиса |
Resource abstract: (MD_Metadata.identificationInfo > SV_ServiceIdentification. abstract) | О/1 | Краткое описание содержания сервиса |
On-line Link: (MD_Metadata.identificationInfo > SV_ServiceIdentification. citation > CI_Citation.onlineResource > CI_OnlineResource) | Н/N | Ссылка URL для сервиса |
Keywords: MD_Metadata.identificationInfo > SV_ServiceIdentification > MD_Keywords) | Н/N | Слова или фразы, описывающие сервис, который будет индексироваться и разыскиваться |
Constraints on access and use: MD_Metadata > SV_ServiceIdentification > MD_Constraints. useLimitations and/or MD_LegalConstraints and or MD_SecurityConstraints | Н/N | Ограничения на доступ и использование сервиса |
Metadata date stamp: (MD_Metadata. dateInfo) | О/N | Дата создания метаданных |
Metadata point of contact: (MD_Metadata.contact > CI_Responsibility) | О/N | Сторона, ответственная за метаданные |
Resource type: (MD_Metadata.metadataScope > MD_Scope.resourceScope) | О/1 | Код ресурса, идентифицирующий тип ресурса, например сервис, набор, приложение (см. MD_ScopeCode), который описывает метаданные |
Coupled Resource: (MD_Metadata > SV_ServiceIdentification.coupled Resource > SV_CoupledResource) | У - если существует coupled Resource/N | Идентификатор и имя набора данных, с которыми сервис связан |
Coupled resource type: (MD_Metadata > SV_ServiceIdentification.couplingType > SV_CouplingType) | У - если существует coupled Resource/1 | Описывает плотность связи с ресурсом |
N п.п. | Имя понятия на английском языке | Перевод | Определение | ||||
1 | abstract | Абстрактный | Топологический комплекс без какой-либо определенной геометрической реализации | ||||
2 | abstractClass | Абстрактный класс | Класс, который не может быть выделен непосредственно | ||||
3 | accepted | Принято | Согласован спонсором | ||||
4 | adopted | Одобрено | Дата определяет, когда ресурс был одобрен | ||||
5 | aggregate | Агрегат | Информация относится к агрегированному ресурсу | ||||
6 | aggregateClass | Агрегированный класс | Класс, который состоит из классов, соединенных отношениями агрегата | ||||
7 | annually | Ежегодно | Данные обновляются один раз в год | ||||
8 | application | Приложение | Информационный ресурс, размещенный на конкретном наборе технических средств и доступный через сеть | ||||
9 | area | Площадь | Каждая ячейка представляет площадь | ||||
10 | asNeeded | По мере необходимости | Данные обновляются по необходимости | ||||
11 | association | Ассоциация | Семантическое отношение между двумя классами, в которых между их экземплярами имеются связи | ||||
12 | attribute | Атрибут | Информация относится к атрибуту класса | ||||
13 | attributeType | Тип атрибута | Информация относится к характеристике объекта | ||||
14 | audioDigital | Цифровая аудиозапись | Цифровая аудиозапись | ||||
15 | audioHardcopy | Аналоговая аудиозапись | Аудиозапись, поставляемая аналоговыми способами, например, на магнитной ленте | ||||
16 | author | Автор | Сторона - автор ресурса | ||||
17 | auxillaryInformation | Вспомогательная информация | Данные, обычно физические измерения, используемые для поддержки расчета первичного physicalmeasurement покрытия в наборе данных. Пример - Сетка оптической толщины аэрозолей, используемая при вычислении температуры поверхности моря | ||||
18 | biannually | Полугодичный | Данные обновляются каждые 6 мес. | ||||
19 | biennially | Двухгодичный | Ресурс обновляется каждые 2 года | ||||
20 | biota | Биота | Флора и фауна в естественной среде. Примеры - Дикие животные, растительность, биологические науки, экология, целина, морские животные, водно-болотные угодья, местообитание | ||||
21 | blurredImage | Расплывчатое изображение | Часть изображения расплывчата | ||||
22 | boundaries | Границы | Юридическое описание земли. Пример - Политические и административные границы | ||||
23 | browseGraphic | Графический браузер | Предоставляемый графический браузер | ||||
24 | browsing | Просмотр | Предоставляемый онлайн-просмотр | ||||
25 | campaign | Кампания | Серия организованных спланированных действий | ||||
26 | centre | Центр | Точка посередине между нижним левым и верхним правым пикселем | ||||
27 | characterString | Символьная строка | Текстовая информация | ||||
28 | class | Класс | Описание набора объектов, использующих одни и те же атрибуты, операции, методы, отношения и поведение | ||||
29 | climatologyMeteorologyAtmosphere | Климат, метеорология, атмосфера | Процессы и феномены в атмосфере. Пример - Облачность, погода, климат, атмосферные условия, изменение климата, осадки | ||||
30 | cloud | Облачность | Часть изображения закрыта слоем облачности | ||||
31 | coAuthor | Соавтор | Сторона - соавтор ресурса | ||||
32 | codelist | Список кодов | Гибкое перечисление, полезное для представления и ведения длинного списка величин | ||||
33 | codelistElement | Элемент списка кодов | Разрешенное значение для списка кодов или перечисления | ||||
34 | collaborator | Партнер | Сторона, которая помогает в создании ресурса, но не является главным разработчиком | ||||
35 | collection | Коллекция | Совокупность ресурсов, собранных для определенной цели (см. B.3.10) | ||||
36 | collection | Коллекция | Информация относится к неструктурированному набору (см. B.3.28) | ||||
37 | collectionHardware | Коллекция аппаратного обеспечения | Информация относится к классу коллекции аппаратного обеспечения | ||||
38 | collectionSession | Коллекция сессии | Информация относится к коллекции сессии | ||||
39 | collectiveTitle | Общее название | Общее название для коллекции ресурсов. Примечание - Заголовок определяет элементы серии коллективно, в сочетании с информацией о том, какие тома доступны в цитируемом источнике. | ||||
40 | column | Колонка | Ось абсцисс x | ||||
41 | COM | COM | Component Object Model | ||||
42 | completed | Завершенный | Производство данных закончено | ||||
43 | completeMetadata | Полные метаданные | Предоставляемые полные метаданные | ||||
44 | complex | Сложный | Набор геометрических примитивов, границы которых могут быть представлены как объединение других примитивов | ||||
45 | composite | Композитный | Связанный набор кривых, объемных тел или поверхностей | ||||
46 | compoundEngineering-Parametric | Объединенная прикладная параметрическая | Объединенная пространственно-параметрическая система координат, содержащая прикладную систему координат и параметрическую систему отсчета. Пример - [local] x, y, давление | ||||
47 | compoundEngineering-ParametricTemporal | Объединенная прикладная параметрическая временная | Объединенная пространственно-параметрическая временная система координат, содержащая прикладную, параметрическую и временную систему координат. Пример - [local] x, y, давление, время | ||||
48 | compoundEngineering-Temporal | Объединенная прикладная временная | Объединенная пространственно-временная система координат, содержащая прикладную и временную системы координат. Пример - [local] x, y, время | ||||
49 | compoundEngineeringVertical | Объединенная прикладная вертикальная | Объединенная пространственная система координат, содержащая горизонтальную прикладную систему координат и вертикальную систему координат. Пример - [local] x, y, высота | ||||
50 | compoundEngineeringVerticalTemporal | Объединенная прикладная вертикальная временная | Объединенная пространственно-временная система координат, содержащая прикладную, вертикальную и временную системы координат. Пример - [local] x, y, высота, время | ||||
51 | compoundGeographic-2DParametric | Объединенная географическая 2D-параметрическая | Объединенная пространственно-параметрическая система координат, содержащая двухмерную географическую горизонтальную систему координат и параметрическую систему отсчета. Пример - Широта, долгота, давление | ||||
52 | compoundGeographic-2DParametricTemporal | Объединенная географическая 2D-параметрическая временная | Объединенная пространственно-параметрическая-временная система координат, содержащая двухмерную горизонтальную географическую параметрическую и временную координатные системы. Пример - Широта, долгота, давление, время | ||||
53 | compoundGeographic-2DTemporal | Объединенная географическая 2D-временная | Объединенная пространственно-временная система координат, содержащая двухмерную горизонтальную географическую систему координат и систему отсчета времени. Пример - Широта, долгота, время | ||||
54 | compoundGeographic-2DVertical | Объединенная географическая 2D-вертикальная | Объединенная система координат, в которой одна составляющая система координат является горизонтальной геодезической координатной системой отсчета и одна - вертикальной системой координат. Пример - Широта, долгота, высота, [связанная с силой тяжести] или глубина | ||||
55 | compoundGeographic-2DVerticalTemporal | Объединенная географическая 2D-вертикальная временная | Объединенная пространственно-временная система координат, содержащая двухмерную горизонтальную географическую, вертикальную и временную системы координат. Пример - Широта, долгота, высота, время | ||||
56 | compoundGeographic-3DTemporal | Объединенная географическая 3D-временная | Объединенная пространственно-временная система координат, содержащая трехмерную географическую и временную системы координат. Пример - Широта, долгота, эллипсоидальная высота, время | ||||
57 | compoundProjected-2DParametric | Объединенная в проекции 2D-парметрическая | Объединенная пространственно-параметрическая система координат, содержащая горизонтальную систему координат в проекции и параметрическую систему отсчета. Пример - Широта, долгота, плотность | ||||
58 | compoundProjected-2DParametricTemporal | Объединенная в проекции 2D-параметрическая временная | Объединенная пространственно-параметрическая временная система координат, содержащая горизонтальную в проекции, параметрическую, временную системы координат. Пример - Широта, долгота, плотность, время | ||||
59 | compoundProjected-Temporal | Объединенная в проекции временная | Объединенная пространственно-временная система координат, содержащая горизонтальную систему координат в проекции и временную координатную систему. Пример - Широта, долгота, время | ||||
60 | compoundProjectedVertical | Объединенная в проекции вертикальная | Объединенная пространственная система координат, содержащая горизонтальную в проекции систему координат и вертикальную систему координат. Пример - Широта, долгота, высота, [связанная с силой тяжести] или глубина | ||||
61 | compoundProjectedVerticalTemporal | Объединенная в проекции вертикальная временная | Объединенная пространственно-временная система координат, содержащая горизонтальную в проекции, вертикальную и временную системы координат. Пример - Широта, долгота, высота, время | ||||
62 | conditional | Условный | Элемент требуется при выполнении определенного условия | ||||
63 | confidential | Конфиденциальный | Только для лиц, допущенных к информации (см. B.3.13) | ||||
64 | confidential | Конфиденциальный | Не доступный для общественности. Примечание - Содержит информацию, которая может нанести ущерб коммерческим, промышленным или национальным интересам (см. B.3.27). | ||||
65 | continual | Постоянный | Данные обновляются систематически и часто | ||||
66 | contributor | Участник | Сторона, вкладывающаяся в ресурс | ||||
67 | coordinate | Координаты | Данные, используемые для указания значений осей координат | ||||
68 | copyright | Авторские права | Исключительное право публикации, производства или продажи прав на литературную, драматическую, музыкальную или художественную работу или использование торговой марки либо ярлыка, предоставленное законом на определенный срок автору, композитору, художнику, распространителю | ||||
69 | CORBA | CORBA | Common Object Request Broker Architecture | ||||
70 | coverage | Покрытие | Информация относится к покрытию | ||||
71 | cpio | cpio | Копирование на/из (формат файла и команды UNIX) | ||||
72 | creation | Создание | Дата определяет, когда именно ресурс был создан | ||||
73 | crossReference | Перекрестная ссылка | Ссылка с одного набора данных на другой | ||||
74 | crossTrack | Поперечное направление | Поперек направления движения точки сканирования | ||||
75 | curve | Кривая | Ограниченный, одномерный геометрический примитив, представляющий непрерывное изображение линии | ||||
76 | custodian | Попечитель | Сторона, которая принимает на себя ответственность и подотчетна за данные, обеспечивает содержание и обслуживание ресурса | ||||
77 | daily | Ежедневно | Данные обновляются каждый день | ||||
78 | dataCentre | Центр обработки данных | Ключевое слово определяет репозиторий или архив, который управляет и распределяет данные | ||||
79 | dataset | Набор данных | Информация относится к набору данных | ||||
80 | datatypeClass | Класс типа данных | Класс с несколькими операциями или без операций, главная цель которых состоит в том, чтобы сохранять абстрактное состояние другого класса для передачи, хранения, кодирования или постоянного хранения | ||||
81 | degradingObliquity | Наклон эклиптики | Острый угол между плоскостью эклиптики (плоскость земной орбиты) и плоскостью небесного экватора | ||||
82 | dependency | Зависимость | Связанные зависимостью | ||||
83 | deprecated | Устаревший | Дата определяет, когда ресурс стал устаревшим (см. B.3.2) | ||||
84 | deprecated | Устаревший | Ресурс заменен и станет устаревшим, использование только для исторических целей (из таблицы B.3.25) | ||||
85 | diagramDigital | Цифровая диаграмма | Информация, представленная графически диаграммами, такими как круговая диаграмма, гистограмма и другой тип диаграмм и записанная в цифровом формате | ||||
86 | diagramHardcopy | Диаграмма на твердой копии | Информация, представленная графически диаграммами, такими как круговая диаграмма, гистограмма и другой тип диаграмм и записанная на бумаге, фотоматериале или других средствах | ||||
87 | dimensionGroup | Группа пространственных измерений | Информация относится к группе пространственных измерений | ||||
88 | disaster | Катастрофа | Информация, связанная с катастрофами. Пример - Место катастрофы, зоны эвакуации, центр по предотвращению стихийных бедствий, деятельности по оказанию помощи | ||||
89 | discipline | Дисциплина | Ключевое слово, которое определяет ветвь инструкции или специальную отрасль знания | ||||
90 | distribution | Распространение | Дата определяет, когда был распространен экземпляр ресурса | ||||
91 | distributor | Дистрибьютор | Сторона, распространяющая ресурс | ||||
92 | document | Документ | Информация относится к документу | ||||
93 | documentDigital | Цифровой документ | Цифровое представление, в основном текстовых элементов (может также содержать иллюстрации) | ||||
94 | documentHardcopy | Печатный документ | Представление, в основном текстовых элементов (может также содержать иллюстрации), на бумаге, фотографическом материале или другом носителе | ||||
95 | download | Загрузка | Онлайн-инструкции для передачи данных из одного устройства хранения или системы на другое | ||||
96 | economy | Экономика | Экономическая деятельность, условия и занятость. Пример - Труд, доходы, коммерция, промышленность, туризм и экотуризм, лесное хозяйство, рыболовство, коммерческая и экономическая охота, разведка и добыча полезных ископаемых, например, минералов, нефти и газа | ||||
97 | editor | Редактор | Сторона, которая рассматривает или изменяет ресурс для улучшения содержания | ||||
98 | elevation | Высота | Высота над уровнем или ниже уровня моря. Пример - Высота, батиметрия, цифровые модели возвышенности, склон, отвалы | ||||
99 | emailService | Электронная почта | Предоставляемый сервис электронной почты | ||||
100 | engineering | Прикладная | Система координат, основанная на прикладной точке отсчета (точка отсчета, описывающая отношения систем координат к локальной системе). Пример - [local] x, y | ||||
101 | engineeringDesign | Прикладной проект | Прикладная система координат, в которой указано базовое представление движущегося объекта. Пример - [local] x, y | ||||
102 | engineeringImage | Прикладное изображение | Система координат, основанная на точке отсчета изображения (прикладное начало отсчета, которое определяет взаимосвязь системы координат и изображения). Пример - строка, столбец | ||||
103 | enumeration | Перечисление | Тип данных, экземпляры которых составляют перечень именованных буквенных значений, нерасширяемый | ||||
104 | environment | Окружающая среда | Экологические ресурсы, защита и консервация. Пример - Экологическое загрязнение, хранение и переработка отходов, оценка влияния на экологию, мониторинг экологического риска, запасы природных ресурсов, ландшафт | ||||
105 | exercise | Упражнение | Специальное выполнение функции или группы функций | ||||
106 | experiment | Эксперимент | Процесс, предназначенный для определения, является ли что-либо действующим или действительным | ||||
107 | expiry | Истечение | Дата определяет, когда истекает срок действия ресурса | ||||
108 | extraTerrestrial | Экстерриториальный | Регион, расположенный более чем в 100 км над поверхностью земли | ||||
109 | facsimile | Факсимиле | Телефон обеспечивает факсимильный сервис | ||||
110 | farming | Сельское хозяйство | Животноводство и растениеводство. Пример - Сельское хозяйство, ирригация, аквакультура, плантации, стада, паразиты и болезни растений и скота | ||||
111 | feature | Пространственный объект | Информация относится к объекту | ||||
112 | featureType | Тип объекта | Ключевое слово определяет ресурс, содержащий коллекцию экземпляров объектов с общими характеристиками (см. B.3.20) | ||||
113 | featureType | Тип объекта | Информация относится к типу объекта (см. B.3.28) | ||||
114 | fieldSession | Полевая сессия | Информация относится к полевой сессии | ||||
115 | fileAccess | Доступ к файлу | Предоставляемый онлайн-доступ к файлу | ||||
116 | final | Окончательный | Процесс завершен, и никакие изменения не допускаются | ||||
117 | fog | Туман | Часть изображения не видна из-за тумана | ||||
118 | forOfficialUseOnly | Для служебного использования | Несекретная информация, которая будет использоваться только для официальных целей, установленных уполномоченным органом | ||||
119 | fortnightly | Один раз в 2 нед. | Данные обновляются каждые 2 нед. | ||||
120 | FTP | FTP | FileTransferProtocol | ||||
121 | fullPlanarGraph | Полный планарный граф | Двухмерный топологический планарный комплекс (двухмерный топологический комплекс в картографической двухмерной среде обычно называют "полная топология") | ||||
122 | fullSurfaceGraph | Полный поверхностный граф | Двухмерный топологический комплекс, который является изоморфным к поднабору поверхности | ||||
123 | fullTopology3D | Полная 3D-топология | Полное покрытие трехмерного Эвклидова координатного пространства | ||||
124 | funder | Финансист | Сторона, обеспечивающая финансовую поддержку ресурса | ||||
125 | geodeticGeocentric | Геодезические геоцентрические | Геодезические CRS, имеющие декартову трехмерную систему координат. Пример - [Геоцентрической] X, Y, Z | ||||
126 | geodeticGeographic2D | 2D-геодезические географические | Геодезические CRS, имеющие эллипсоидальную двухмерную систему координат. Пример - Широта, долгота | ||||
127 | geodeticGeographic3D | 3D-геодезические географические | Геодезические CRS, имеющие эллипсоидальную трехмерную систему координат. Пример - Широта, долгота, высота эллипсоидальные | ||||
128 | geographicIdentifier | Географический идентификатор | Пространственная привязка видеообозначения или кода, который определяет местоположение. Пример - Почтовый код | ||||
129 | geometryOnly | Геометрия только | Геометрические объекты без дополнительных структур, описывающие топологию | ||||
130 | geoscientificInformation | Науки о земле | Информация о науках о земле. Пример - Геофизические объекты и процессы, геология, минералы, науки о составе, структуре и происхождении скальных пород, риск землетрясений, вулканическая деятельность, оползни, почва, вечная мерзлота, гидрогеология, эрозия | ||||
131 | grid | Сетка | Для представления пространственных данных используется растровая форма | ||||
132 | health | Здоровье | Здравоохранение и услуги здравоохранения, экология и безопасность человека. Пример - Болезни и заболевания, факторы, влияющие на здоровье, гигиена, злоупотребление алкоголем, душевное и физическое здоровье | ||||
133 | heavySmokeOrDust | Сильно задымленный или запыленный | Часть изображения не видна из-за сильного дыма или пыли | ||||
134 | highSierra | highSierra | Файловая система highSierra | ||||
135 | historicalArchive | Исторический архив | Данные хранятся на офлайн-устройстве хранения | ||||
136 | HTTP | HTTP | HyperText Transfer Protocol | ||||
137 | image | Образ | Имеющее смысл численное представление физического параметра, не являющееся фактическим значением физического параметра | ||||
138 | imageDigital | Цифровое изображение | Образ естественных или искусственных явлений, объектов и деятельности, полученный посредством зондирования в визуальном или другом сегменте электромагнитного спектра датчиками типа тепловых инфракрасных, радара с высоким разрешением и хранящийся в цифровом формате | ||||
139 | imageHardcopy | Изображение на твердом носителе | Образ естественных или искусственных явлений, объектов и продуктов деятельности, полученный посредством зондирования в визуальном или другом сегменте электромагнитного спектра датчиками типа тепловых инфракрасных, радара с высоким разрешением и воспроизведенный на бумаге, фотографическом материале или другом носителе для использования непосредственно пользователем | ||||
140 | imageryBaseMapsEarth-Cover | Базовые изображения поверхности земли | Базовые карты. Пример - Карты земного покрытия, топографические карты, изображения, несекретные изображения, аннотации | ||||
141 | in | Входной | Параметр является входным параметром для экземпляра сервиса | ||||
142 | in/out | Входной и выходной | Параметр является входным и выходным параметром для экземпляра сервиса | ||||
143 | in-confidence | В конфиденциальном порядке | Конфиденциально | ||||
144 | inForce | Действующий | Дата определяет, когда ресурс был введен в действие | ||||
145 | information | Информация | Онлайн-информация о ресурсе | ||||
146 | initiative | Инициатива | Информация относится к инициативе | ||||
147 | inlandWaters | Внутренние воды | Объекты внутренних вод, дренажные системы и их характеристики. Пример - Реки и ледники, соленые озера, планы использования воды, дамбы, потоки, наводнения, качество воды, гидрографические карты | ||||
148 | instrument | Инструмент | Ключевое слово определяет устройство, используемое для измерения или сравнения физических свойств | ||||
149 | integer | Целое число | Цифровое поле | ||||
150 | intellectualProperty-Rights | Права интеллектуальной собственности | Права на получение финансовой выгоды от неосязаемой собственности или от контроля за распространением неосязаемой собственности, являющейся результатом творческой деятельности | ||||
151 | intelligenceMilitary | Военная информация | Военные базы, структуры, деятельность. Пример - Казармы, полигоны, военные перевозки, сбор информации | ||||
152 | interfaceClass | Связующий класс | Именованный набор операций, характеризующих поведение элемента | ||||
153 | investigation | Расследование | Поиск или систематическое изучение | ||||
154 | irregular | Нерегулярный | Данные обновляются с интервалами разной длительности | ||||
155 | isComposedOf | Состоит из | Ссылка на ресурсы, которые являются частью этого ресурса | ||||
156 | iso9660 | - | Обработка информации - том и структура файла CD-ROM | ||||
157 | iso9660AppleHFS | - | Иерархическая файловая система (Macintosh) | ||||
158 | iso9660RockRidge | - | Протокол обмена rockridge (UNIX) | ||||
159 | JAVA | JAVA | Объектно-ориентированный язык программирования | ||||
160 | largerWorkCitation | Ссылка на главный набор данных | Ссылка на главный набор данных, частью которого является данный набор данных | ||||
161 | lastRevision | Последний пересмотр | Дата определяет, когда ресурс был последний раз пересмотрен | ||||
162 | lastUpdate | Последнее обновление | Дата определяет, когда ресурс был обновлен | ||||
163 | licence | Лицензия | Официальное разрешение на определенную деятельность | ||||
164 | licenceDistributor | Лицензия дистрибьютора | Официальное разрешение, необходимое для физического или юридического лица для коммерциализации и распространения ресурсов | ||||
165 | licenceEndUser | Лицензия конечного пользователя | Формальное разрешение, необходимое для использования ресурса лицом, которое может отличаться от лица, которое заказывает или покупает его | ||||
166 | licenceUnrestricted | Неограниченная лицензия | Не требуется формального разрешения для использования ресурса | ||||
167 | limitedDistribution | Ограниченное распространение | Распространение ограничено уполномоченным органом | ||||
168 | line | Линия | Линия сканирования датчика | ||||
169 | linear | Линейный | Система координат, которая идентифицирует местоположение с помощью ссылки на сегмент линейного географического объекта и расстояния вдоль этого отрезка от заданной точки. Пример - X км вдоль дороги | ||||
170 | location | Место нахождения | Информация и услуги по определению места положения. Пример - Адреса, геодезические сети, контрольные точки, почтовые зоны и услуги, названия мест | ||||
171 | loose | Слабая связь | Экземпляр сервиса слабо связан с экземпляром данных, то есть класс MD_DataIdentification не нужно описывать | ||||
172 | lowerLeft | Нижний левый | Угол пикселя, ближайший к началу координат; если два находятся на одинаковом расстоянии от начала координат, то тот из них, у которого значение "x" наименьшее | ||||
173 | lowerRight | Нижний правый | Следующий угол против часовой стрелки от нижнего левого угла | ||||
174 | mandatory | Обязательный | Элемент требуется всегда | ||||
175 | mapDigital | Цифровая карта | Карта, представленная в растровом или векторном формате | ||||
176 | mapHardcopy | Печатная карта | Карта, напечатанная на бумаге, фотографическом материале или другом носителе для использования непосредственно пользователем | ||||
177 | mediator | Медиатор | Класс сущности, который является посредником доступа к ресурсу и для которого ресурс предназначен или полезен | ||||
178 | metaClass | Метакласс | Класс, экземпляры которого являются классами | ||||
179 | metadata | Метаданные | Информация относится к метаданным | ||||
180 | mission | Миссия | Специальная операция системы сбора данных | ||||
181 | mixed | Смешанная связь | Экземпляр сервиса смешанно связан с экземпляром данных, то есть MD_DataIdentification описывает связанный экземпляр данных и дополнительно экземпляр сервиса может работать с другими экземплярами внешних данных | ||||
182 | model | Модель | Информация относится к копии или имитации существующего или гипотетического объекта | ||||
183 | modelDigital | Цифровая модель | Многомерное цифровое представление объекта, процесса и т.д. | ||||
184 | modelHardcopy | Физическая модель | Трехмерная физическая модель | ||||
185 | modelResult | Результат моделирования | Ресурсы со значениями, полученными с использованием модели, а не в результате наблюдения или вычислений по наблюдениям | ||||
186 | monthly | Ежемесячно | Данные обновляются каждый месяц | ||||
187 | multimediaDigital | Мультимедийный цифровой | Представление информации одновременно с помощью различных цифровых режимов для текста, звука, изображения | ||||
188 | multimediaHardcopy | Мультимедийный аналоговый | Представление информации одновременно с помощью различных аналоговых средств для текста, звука, изображения | ||||
189 | nextUpdate | Следующее обновление | Дата определяет, когда ресурс будет обновлен в следующий раз | ||||
190 | night | Ночь | Съемка производилась ночью | ||||
191 | nonGeographicDataset | Негеографический набор данных | Информация относится к негеографическим данным | ||||
192 | notAccepted | Не принят | Отклонен спонсором | ||||
193 | notPlanned | Незапланированный | Обновление данных не планируется | ||||
194 | obsolete | Устаревший | Данные более не соответствуют действительности | ||||
195 | oceans | Океаны | Объекты и характеристики соленых вод (исключая внутренние воды). Пример - Приливы, приливные волны, информация о побережье, рифы | ||||
196 | offlineAccess | Офлайн-доступ | Онлайн-инструкции для запроса ресурса у провайдера | ||||
197 | onGoing | Постоянный | Данные обновляются непрерывно | ||||
198 | operation | Операция | Действие, которое является частью серии действий | ||||
199 | optional | Необязательный | Элемент не требуется (не является обязательным) | ||||
200 | order | Заказ | Процесс онлайн-заказа для получения ресурса | ||||
201 | originator | Создатель | Сторона, создавшая ресурс | ||||
202 | otherRestrictions | Прочие ограничения | Ограничения не указаны | ||||
203 | out | Выходной | Параметр является выходным параметром для экземпляра сервиса | ||||
204 | owner | Владелец | Сторона, владеющая ресурсом | ||||
| |||||||
205 | parametric | Параметрический | Система координат, основанная на параметрической точке отсчета (datum) (точка отсчета, описывающая взаимосвязь с параметрической системы координат с объектом). Пример - Давление | ||||
206 | partOfSeamless Database | Часть бесшовной базы | Часть того же самого структурированного набора данных, который находится в компьютере (бесшовного) | ||||
207 | patent | Патент | Правительство предоставило исключительное право на изготовление, реализацию, использование или лицензирование изобретения или открытия | ||||
208 | patentPending | Ожидание патента | Произведенная или реализованная информация, ожидающая патентования | ||||
209 | pending | В ожидании | В стадии рассмотрения | ||||
210 | periodic | Периодический | Ресурс обновляется с регулярным интервалом | ||||
211 | physicalMeasurement | Физическое измерение | Значение в физических единицах измеряемого количества | ||||
212 | physicalObject | Физический объект | Физический объект. Пример - Горный или минеральный образец, микроскопический срез | ||||
213 | place | Место | Ключевое слово, определяет положение | ||||
214 | planarGraph | Планарный граф | Одномерный топологический планарный комплекс (планарный граф - это граф, который может быть нарисован в плане таким образом, что, за исключением как у вершины, никакие две его стороны не пересекаются) | ||||
215 | planned | Планируемый | Установлена дата, к которой данные будут созданы или обновлены | ||||
216 | planningCadastre | Кадастр | Информация, используемая для принятия решений по будущему использованию земли. Пример - Карты использования земли, карты зонирования, кадастровые исследования, землевладение | ||||
217 | platform | Платформа | Транспортное средство или другая база, несущие на себе датчик (см. B.3.10) | ||||
218 | platform | Платформа | Ключевое слово определяет конструкцию, на которой установлен инструмент (см. B.3.20) | ||||
219 | point | Точка | Каждая ячейка представляет точку (см. B.3.12) | ||||
220 | point | Точка | Нольмерный геометрический примитив, представляющий положение, но не имеющий протяжения (см. B.3.18) | ||||
221 | pointOfContact | Контакт | Сторона, с которой можно связаться для того, чтобы узнать о ресурсе или приобрести ресурс | ||||
222 | principalInvestigator | Главный исследователь | Главная сторона, ответственная за сбор информации и проведение исследований | ||||
223 | private | Частный | Защита прав личности или организации от наблюдения, вторжений или внимания других лиц | ||||
224 | process | Обработка | Метод выполнения чего-либо путем совершения ряда шагов (см. B.3.10) | ||||
225 | process | Процесс | Ключевое слово определяет последовательность действий или природных событий (см. B.3.20) | ||||
226 | processor | Обработчик | Сторона, которая обработала данные таким образом, что модифицировала ресурс | ||||
227 | product | Продукт | Ключевое слово определяет тип продукта (см. B.3.20) | ||||
228 | product | Продукт | Метаданные, описывающие спецификацию информационного продукта (см. B.3.28) | ||||
229 | profileDigital | Цифровой профиль | Вертикальное поперечное сечение в цифровой форме | ||||
230 | profileHardcopy | Профиль напечатанный | Вертикальное поперечное сечение, напечатанное на бумаге и т.д. | ||||
231 | program | Программа | Специально спланированная деятельность | ||||
232 | project | Проект | Организованное начинание в области исследований или разработки (см. B.3.10) | ||||
233 | project | Проект | Ключевое слово определяет усилия, предпринятые для создания или изменения продукта или услуги (см. B.3.20) | ||||
234 | projected | Проецируемый | Система координат, полученная из двухмерной геодезической системы координат путем применения картографической проекции. Пример - Широта, долгота | ||||
235 | propertyType | Тип свойства | Информация относится к типу свойства | ||||
236 | proposed | Предложенный | Предложение о необходимости предпринять разработку | ||||
237 | protected | Защищенный | Информация, которая может причинить вред | ||||
238 | publication | Публикация | Дата определяет, когда ресурс был издан | ||||
239 | publisher | Издатель | Сторона, опубликовавшая ресурс | ||||
240 | qualityInformation | Информация о качестве | Данные, используемые для характеристики качества жизни physicalMeasurement покрытия в наборе данных. Примечание - Как правило, включены в gmi: QE_coverageresult. | ||||
241 | quarterly | Ежеквартальный | Данные обновляются каждые 3 мес. | ||||
242 | rain | Дождь | Съемка производилась в дождь | ||||
243 | referenceInformation | Информация о системе отсчета | Информация о координатной основе для поддержки вычислений или использования physicalMeasurement покрытия в наборе данных. Пример - Сетки широты и долготы, используемые для геолокации физических измерений | ||||
244 | released | Выпущенный | Дата, когда ресурс обнародован | ||||
245 | repository | Репозиторий | Информация относится к репозиторию | ||||
246 | required | Требуемый | Данные должны быть сгенерированы или обновлены | ||||
247 | resourceProvider | Провайдер ресурса | Сторона, которая поставляет ресурс | ||||
248 | restricted | Ограниченный | Не для общего пользования (см. B.3.13) | ||||
249 | restricted | Ограниченный | Не подлежит свободному распространению или открытию для широкой публики (см. B.3.27) | ||||
250 | retired | В отставке | Элемент не рекомендуется для использования. Он не был заменен другим элементом | ||||
251 | revision | Пересмотр | Дата определяет, когда ресурс был исследован, улучшен или изменен | ||||
252 | revisionOf | Пересмотр | Ресурс является пересмотром связанного ресурса | ||||
253 | rightsHolder | Владелец прав | Сторона, владеющая или управляющая правами на этот ресурс | ||||
254 | row | Ряд | Ось ординат y | ||||
255 | sample | Образец | Элемент вдоль линии сканирования (см. B.3.17) | ||||
256 | sample | Образец | Информация относится к образцу (выборке) (см. B.3.28) | ||||
257 | search | Поиск | Интерфейс онлайн-поиска для поиска информации о ресурсе | ||||
258 | secret | Секрет | Хранится или означает хранение в частном порядке, в тайне, скрытно от всех, кроме избранной группы лиц | ||||
259 | semiDarkness | Полумрак | Съемка производилась в условиях полутьмы - сумерек | ||||
260 | semimonthly | Один раз в полмесяца | Ресурс обновляется дважды в месяц | ||||
261 | sensitiveButUnclassified | Чувствительный, но не ограниченный | Несмотря на отсутствие ограничений, требуется строгий контроль за распространением | ||||
262 | sensor | Датчик | Устройство или часть оборудования, которая обнаруживает или записывает | ||||
263 | series | Комплект | Связанные посредством общего наследия, такого как общая спецификация, использованная для создания (см. B.3.8) | ||||
264 | series | Комплект | Информация относится к сериям (см. B.3.28) | ||||
265 | service | Сервис | Ключевое слово определяет деятельность, выполняемую одной стороной в пользу другой (см. B.3.20) | ||||
266 | service | Сервис | Информация относится к области предоставления провайдером сервисов пользователю через ряд интерфейсов, определяющих поведение, например, порядок пользования (см. B.3.28) | ||||
267 | shadow | Тень | Часть изображения закрыта тенью | ||||
268 | sms | СМС | Телефон обеспечивает СМС-сервис | ||||
269 | snow | Снег | Часть изображения закрыта снегом | ||||
270 | SOAP | SOAP | Simple Object Access Protocol | ||||
271 | society | Общество | Характеристики общества и культур. Пример - Поселения, антропология, археология, образование, традиционная религия, традиции и обычаи, демографические данные, места отдыха и отдых, оценка социального влияния, преступность и правоохранительная деятельность, демографическая информация | ||||
272 | software | Программное обеспечение | Информация относится к компьютерной программе или процедуре | ||||
273 | solid | Монолит | Ограниченный, связанный, трехмерный геометрический примитив, представляющий непрерывное изображение региона пространства | ||||
274 | specifiedClass | Указанный класс | Подкласс, который может быть заменен своим суперклассом | ||||
275 | sponsor | Спонсор | Сторона, которая выступает от имени ресурса | ||||
276 | SQL | SQL | Structured Query Language | ||||
277 | stakeholder | Акционер | Сторона, заинтересованная в ресурсе или использовании ресурса | ||||
278 | statutory | Установленный законом | Предписанный законом | ||||
279 | stereoMate | Стереопара | Часть набора изображений, которые при совместном использовании представляют трехмерные изображения | ||||
280 | stereoModel | Стереомодель | Трехмерный вид, созданный пересекающимися гомогенными лучами накладывающейся пары изображений | ||||
281 | stratum | Слой | Диапазон высоты для вертикального профиля отдельной точки (см. B.3.12) | ||||
282 | stratum | Слой | Ключевое слово определяет слой (или слои) осадочного вещества или уровни в упорядоченной системе (см. B.3.20) | ||||
283 | structure | Сооружения | Искусственные постройки. Пример - Здания, музеи, церкви, фабрики, жилые дома, монументы, магазины, башни | ||||
284 | study | Изучение | Обследование или исследование | ||||
285 | subTopicCategory | Подкатегория | Уточнение категории темы для целей классификации географических данных | ||||
286 | superseded | Вытесненный | Дата определяет, когда ресурс был удален или заменен на другой ресурс (см. B.3.2) | ||||
287 | superseded | Вытесненный | Заменен новым (см. B.3.25) | ||||
288 | surface | Поверхность | Ограниченный, связанный, двухмерный геометрический примитив, представляющий непрерывное изображение региона плоскости | ||||
289 | surfaceGraph | Поверхностный граф | Одномерный топологический комплекс, изоморфный к поднабору поверхности (геометрический комплекс является изоморфным к топологическому комплексу, если их элементы находятся в отношении один к одному, пространственно и границами предотвращая отношение одного к другому) | ||||
290 | tableDigital | Цифровая таблица | Цифровое представление фактов или цифр в систематическом виде, особенно в колонках | ||||
291 | tableHardcopy | Таблица в виде твердой копии | Цифровое представление фактов или цифр в систематическом виде, особенно в колонках, напечатанных на бумаге, фотографическом материале или другом носителе | ||||
292 | task | Задача | Часть работы | ||||
293 | taxon | Таксон | Ключевое слово определяет таксономию ресурса | ||||
294 | temporal | Временной | Ключевое слово, которое определяет период, связанный с ресурсом (см. B.3.20) | ||||
295 | temporal | Временной | Система отсчета, относительно которой измеряется время. Пример - Время (см. B.3.26) | ||||
296 | tentative | Предварительный | Временные изменения, вероятно, прежде чем ресурс станет окончательным или полным | ||||
297 | terrainMasking | Затенение объектом | Данные в определенной точке не собраны по причине наличия топографических объектов, скрывающих предмет(ы) интереса от собирающего информацию датчика | ||||
298 | textTable | Текстовый, табличный | Для представления пространственных данных использованы текстовые или табличные формы | ||||
299 | thematicClassification | Тематическая классификация | Значение кода без количественного значения, используемое для представления физического количества | ||||
300 | theme | Тема | Ключевое слово, которое определяет конкретный предмет или тему | ||||
301 | tight | Тесная связь | Экземпляр сервиса тесно связан с экземпляром данных, то есть класс MD_DataIdentification должен быть описан | ||||
302 | tile | Тайл | Информация относится к тайлу, пространственному поднабору пространственных данных | ||||
303 | time | Время | Продолжительность | ||||
304 | tin | Тин | Триангуляционная нерегулярная сеть | ||||
305 | topology1D | Одномерная топология | Одномерный топологический комплекс, обычно называемый топологией "цепочка - узел" | ||||
306 | topology3D | Трехмерная топология | Трехмерный топологический комплекс (топологический комплекс является набором топологических примитивов, закрытых в границах операций) | ||||
307 | topSecret | Совершенно секретно | Высшая степень секретности | ||||
308 | track | Трек | Вдоль направления движения точки сканирования | ||||
309 | trademark | Товарный знак | Название, символ или другой способ идентификации продукции, официально зарегистрированный и юридически ограниченный к использованию только собственником или производителем | ||||
310 | transportation | Транспорт | Средства и способы перевозки людей и товаров. Пример - Дороги, аэропорты, взлетно-посадочные полосы, судоходные линии, туннели, морские карты, места стоянок транспорта или судов, аэронавигационные карты, железные дороги | ||||
311 | trial | Испытание | Процесс испытания для обнаружения или демонстрации | ||||
312 | typeClass | Класс типов | Класс, используемый для спецификации домена экземпляров (объектов) вместе с операциями, применимыми к объектам. Тип может иметь атрибуты и ассоциации | ||||
313 | udf | udf | Универсальный формат диска | ||||
314 | unavailable | Недоступен | Дата определяет, когда ресурс стал недоступен | ||||
315 | unclassified | Незакрытый | Допускается всеобщее раскрытие | ||||
316 | underDevelopment | В разработке | Данные в настоящее время находятся в процессе создания | ||||
317 | unionClass | unionclass | Класс, описывающий выбор одного из указанных типов | ||||
318 | unknown | Неизвестный | Частота обновления данных неизвестна | ||||
319 | unrestricted | Неограниченный | Ограничений не существует | ||||
320 | upload | Загрузка | Предоставленные возможности загрузки онлайн-ресурса | ||||
321 | upperLeft | Верхний левый | Следующий угол по часовой стрелке от верхнего правого угла | ||||
322 | upperRight | Верхний правый | Следующий угол по часовой стрелке от нижнего правого угла | ||||
323 | user | Пользователь | Сторона, использующая ресурс | ||||
324 | utilitiesCommunication | Коммуникации | Энергия, вода и системы хранения отходов, инфраструктура и услуги связи. Пример - Гидроэлектростанции, геотермальные, солнечные и ядерные источники энергии, система очистки и распределения воды, сбор и слив сточных вод, распределение электроэнергии и газа, передача данных, связь, радио, коммуникационные сети | ||||
325 | valid | Действительный | Приемлемый при определенных условиях | ||||
326 | validityBegins | Вступление в силу | Время, при котором данные считаются вступившими в силу. Примечание - между созданием и вводом в действие может пройти значительное время. | ||||
327 | validity Expires | Истечение срока действия | Время, когда данные больше не считаются действительными | ||||
328 | vector | Вектор | Для представления пространственных данных используется векторная форма | ||||
329 | vertical | Вертикальный | Вертикальная ось z (см. B.3.17) | ||||
330 | vertical | Вертикальный | Одномерная система координат, основанная на вертикальной точке отсчета (точка отсчета, описывающая связь гравитационной высоты или глубины к Земле). Пример - [Гравитационно-связанные] высота или глубина (см. B.3.26) | ||||
331 | video | Видео | Сцена из видеозаписи | ||||
332 | videoDigital | Цифровая видеозапись | Цифровая видеозапись | ||||
333 | videoHardcopy | Аналоговая видеозапись | Видеозапись на пленку | ||||
334 | voice | Голос | Телефон обеспечивает голосовой сервис | ||||
335 | voxel | Воксель | Каждая ячейка представляет собой объемное измерение на регулярной сетке в трехмерном пространстве | ||||
336 | WebServices | WebServices | Webservice | ||||
337 | weekly | Еженедельно | Данные обновляются еженедельно | ||||
338 | withdrawn | Отозван | Исключен из рассмотрения | ||||
339 | XML | XML | Extensible Markup Language | ||||
Структура настоящего стандарта | Структура международного стандарта ИСО 19115-1 |
- | Пункт 6.11 |
Приложение A | |
Приложение B | |
Приложение C | |
Приложение D | |
Приложение E | |
Приложение F | |
- | Приложение G |
- | |
- | |
- | |
Таблица D.3 | |
Примечание - Сопоставление структуры стандартов приведено, начиная с пункта 6.11, так как предыдущие разделы стандартов и их структурные элементы (за исключением предисловия) идентичны. | |
Обозначение ссылочного национального стандарта | Степень соответствия | Обозначение и наименование ссылочного международного стандарта |
MOD | ISO 19131:2007 "Географическая информация. Спецификация информационного продукта" | |
MOD | ISO 19115-2:2009 "Географическая информация. Метаданные. Часть 2. Расширение для изображения матричных данных" | |
MOD | ISO 19157:2013 "Географическая информация. Качество данных" | |
NEQ | ISO 639 (все части) "Коды для представления названий языков" | |
NEQ | ISO 3166 (все части) "Коды для представления названий стран и единиц их административно-территориального деления" | |
NEQ | ISO 4217:2008 "Коды для представления валют и фондов" | |
ГОСТ ИСО 8601-2001 | MOD | ISO 8601:2004 "Элементы данных и форматы для обмена информацией. Обмен информацией. Представление дат и времени" |
Примечание - В настоящей таблице использованы следующие условные обозначения степени соответствия стандартов: - MOD - модифицированные стандарты; - NEQ - неэквивалентные стандарты. | ||
ISO 19109:2015 Географическая информация. Правила для схемы приложений (Geographic information - Rules for application schema) | |
ISO 19107:2003 Географическая информация. Пространственная схема (Geographic information - Spatial schema) | |
ISO/TS 19103:2015 Географическая информация. Язык концептуальной схемы (Geographic information - Conceptual schema language) | |
ISO 19108:2002 Географическая информация. Временная схема (Geographic information - Temporal schema) | |
ISO 19110:2016 Географическая информация. Методология каталогизации объектов (Geographic information - Methodology for feature cataloguing) | |
[6] | ISO 19157:2013 Географическая информация. Качество данных (Geographic information - Data Quality) |
ISO 19112:2003 Географическая информация. Пространственная привязка по географическим идентификаторам (Geographic information - Spatial referencing by geographic identifiers) | |
ISO 19111:2007 Географическая информация. Пространственная привязка по координатам (Geographic information - Spatial referencing by coordinates) | |
ISO 19111-2:2009 Географическая информация. Пространственная привязка по координатам. Часть 2. Расширение для параметрических значений (Geographic information - Spatial referencing by coordinates - Part 2: Extension for parametric values) | |
ISO 19119 Географическая информация. Сервисы (Geographic information - Services) | |
IETR RFC 3986:2005 Универсальный идентификатор ресурса (URI). Общий синтаксис [Uniform Resource Identifier (URI): Generic Syntax] | |
ISO 23950:1998 Информация и документация. Поиск информации (Z 39.50). Определение службы приложений и спецификации протокола (Information and documentation - Information retrieval (Z 39.50) - Application service definition and protocol specification) | |
ISO 19106:2004 Географическая информация. Профили (Geographic information - Profiles) | |
ISO/TS 19139:2007 Географическая информация. Метаданные. Реализация XML (Geographic information - Metadata - XML schema implementation) |