Главная // Актуальные документы // Актуальные документы (обновление с 03.11.2025 по 29.11.2025) // ГОСТ (Государственный стандарт)СПРАВКА
Источник публикации
М.: Стандартинформ, 2016
Примечание к документу
Документ
введен в действие с 01.12.2016.
Название документа
"ГОСТ EN 16297-3-2015. Межгосударственный стандарт. Энергетическая эффективность. Насосы циркуляционные герметичные. Часть 3. Индекс энергетической эффективности (ИЭЭ) циркуляционных насосов, являющихся составной частью других изделий"
(введен в действие Приказом Росстандарта от 18.05.2016 N 344-ст)
"ГОСТ EN 16297-3-2015. Межгосударственный стандарт. Энергетическая эффективность. Насосы циркуляционные герметичные. Часть 3. Индекс энергетической эффективности (ИЭЭ) циркуляционных насосов, являющихся составной частью других изделий"
(введен в действие Приказом Росстандарта от 18.05.2016 N 344-ст)
по техническому регулированию
и метрологии
от 18 мая 2016 г. N 344-ст
МЕЖГОСУДАРСТВЕННЫЙ СТАНДАРТ
ЭНЕРГЕТИЧЕСКАЯ ЭФФЕКТИВНОСТЬ
НАСОСЫ ЦИРКУЛЯЦИОННЫЕ ГЕРМЕТИЧНЫЕ
ЧАСТЬ 3
ИНДЕКС ЭНЕРГЕТИЧЕСКОЙ ЭФФЕКТИВНОСТИ (ИЭЭ) ЦИРКУЛЯЦИОННЫХ
НАСОСОВ, ЯВЛЯЮЩИХСЯ СОСТАВНОЙ ЧАСТЬЮ ДРУГИХ ИЗДЕЛИЙ
Energy effectiveness. Glandless circulators. Part 3. Energy
effectiveness index (EEI) for circulators being a part
of other products
(EN 16297-3:2012,
Energy effectiveness. Glandless circulators. Part 3: Energy
effectiveness index (EEI) for circulators being a part
of other products, IDT)
ГОСТ EN 16297-3-2015
Дата введения
1 декабря 2016 года
Цели, основные принципы и основной порядок проведения работ по межгосударственной стандартизации установлены в
ГОСТ 1.0-92 "Межгосударственная система стандартизации. Основные положения" и
ГОСТ 1.2-2009 "Межгосударственная система стандартизации. Стандарты межгосударственные, правила и рекомендации по межгосударственной стандартизации. Правила разработки, принятия, применения, обновления и отмены"
1 ПОДГОТОВЛЕН Российской ассоциацией производителей насосов (РАПН) на основе официального перевода на русский язык англоязычной версии стандарта, указанного в
пункте 5
2 ВНЕСЕН Межгосударственным техническим комитетом по стандартизации МТК 245 "Насосы"
3 ПРИНЯТ Межгосударственным советом по стандартизации, метрологии и сертификации (протокол от 27 августа 2015 г. N 79-П)
За принятие проголосовали:
Краткое наименование страны по МК (ИСО 3166) 004-97 | Код страны по МК (ИСО 3166) 004-97 | Сокращенное наименование национального органа по стандартизации |
Армения | AM | Минэкономики Республики Армения |
Беларусь | BY | Госстандарт Республики Беларусь |
Казахстан | KZ | Госстандарт Республики Казахстан |
Киргизия | KG | Кыргызстандарт |
Молдова | MD | Минэкономики Республики Молдова |
Россия | RU | Росстандарт |
Таджикистан | TJ | Таджикстандарт |
4
Приказом Федерального агентства по техническому регулированию и метрологии от 18 мая 2016 г. N 344-ст межгосударственный стандарт ГОСТ EN 16297-3-2015 введен в действие в качестве национального стандарта Российской Федерации с 1 декабря 2016 г.
5 Настоящий стандарт идентичен европейскому стандарту EN 16297-3:2012 "Насосы. Центробежные насосы. Герметичные циркуляционные насосы. Часть 3: Индекс энергетической эффективности (ИЭЭ) циркуляционных насосов, встроенных в изделия" "Pumps - Rotodynamic pumps - Glandless circulators - Part 3: Energy efficiency index (EEI) for circulators integrated in products", IDT].
Европейский региональный стандарт разработан Техническим комитетом по стандартизации CEN/TC 197 "Насосы" Европейского комитета по стандартизации (CEN) в соответствии с мандатом, предоставленным Европейской комиссией и Европейской ассоциацией свободной торговли (EFTA), и реализует существенные требования
Директивы 2009/125/ЕС, приведенные в
приложении ZA.
Официальные экземпляры европейского стандарта, на основе которого подготовлен настоящий межгосударственный стандарт, и европейских стандартов, на которые даны ссылки, имеются в Федеральном агентстве по техническому регулированию и метрологии.
Наименование настоящего стандарта изменено относительно наименования европейского регионального стандарта для приведения в соответствие с ГОСТ 1.5
(подраздел 3.6)
При применении настоящего стандарта рекомендуется использовать вместо ссылочных европейских региональных стандартов соответствующие им межгосударственные стандарты, сведения о которых приведены в дополнительном
приложении ДА.
6 ВВЕДЕН ВПЕРВЫЕ
Информация об изменениях к настоящему стандарту публикуется в ежегодном информационном указателе "Национальные стандарты", а текст изменений и поправок - в ежемесячном информационном указателе "Национальные стандарты". В случае пересмотра (замены) или отмены настоящего стандарта соответствующее уведомление будет опубликовано в ежемесячном информационном указателе "Национальные стандарты". Соответствующая информация, уведомление и тексты размещаются также в информационной системе общего пользования - на официальном сайте Федерального агентства по техническому регулированию и метрологии в сети Интернет
EN 16297 состоит из следующих частей под общим наименованием "Насосы. Центробежные насосы. Герметичные циркуляционные насосы":
- Часть 1: Общие требования и процедуры для тестирования и расчет энергетических показателей эффективности (EEI);
- Часть 2: Расчет индекса энергетической эффективности (ИЭЭ) автономных циркуляционных насосов;
- Часть 3: Индекс энергетической эффективности (ИЭЭ) циркуляционных насосов, встроенных в изделия.
Относительно связей исходного европейского стандарта с директивой/директивами Европейского союза смотрите справочное
Приложение ZA, которое является неотъемлемой частью настоящего стандарта.
Настоящий межгосударственный стандарт устанавливает процедуру расчета индекса энергетической эффективности (ИЭЭ) для циркуляционных насосов, являющихся составной частью других изделий.
Для применения настоящего стандарта необходимы следующие ссылочные документы. Для датированных ссылок применяют только указанное издание.
EN 809:1998+A1:2009 Pumps and pump units for liquids. Common safety requirements (Насосы и насосные установки для жидкостей. Общие требования к безопасности)
EN 16297-1:2012 Pumps. Rotodynamic pumps. Glandless circulators. General requirements and procedures for testing and calculation of energy efficiency index (EEI) [Насосы. Центробежные насосы. Герметичные циркуляционные насосы. Часть 1: Общие требования, методики испытаний и расчета индекса энергетической эффективности (ИЭЭ)]
EN 60335-2-51:2003 Household and similar electrical appliances. Safety. Particular requirements for stationary circulation pumps for heating and service water installations (Бытовые и аналогичные электрические приборы. Безопасность. Часть 2-51: Дополнительные требования к стационарным циркуляционным насосам для нагревательных установок и установок для технической воды)
В настоящем стандарте применены термины по EN 16297-1:2012, а также следующие термины с соответствующими определениями:
3.1 циркуляционные насосы, являющиеся составной частью других изделий (circulators integrated in products): Циркуляционный насос, предназначенный для совместной эксплуатации с устройством, генерирующим и/или проводящим тепло.
Примечание - В рамках настоящего документа под термином "циркуляционный насос" понимается циркуляционный насос, являющийся составной частью других изделий.
3.2 коэффициент быстроходности циркуляционного насоса (circulator's specific speed): Безразмерный параметр, используемый для определения типа и размера рабочих колес насосов.
Примечания
1. Коэффициент быстроходности циркуляционного насоса рассчитывается по формуле

,
где: ns - коэффициент быстроходности циркуляционного насоса;
n - частота вращения, мин-1 (применительно к данному стандарту - n100%, определенное при Q100% и H100%);
Q - подача [применительно к данному стандарту - Q100% (см. также EN 16297-1)];
H - напор [применительно к данному стандарту - H100% (см. также EN 16297-1)].
2. Значение n100% определяется линейной интерполяцией значений частот вращения ротора насоса при работе в области Q100% и H100%.
3.3 линейный корпус насоса (inline pump housing): Корпус насоса, у которого осевые линии всасывающего и напорного патрубков совпадают.
4 Обозначения и единицы измерения
В рамках настоящего документа используются обозначения, величины и единицы измерения, приведенные в таблице 1 стандарта EN 16297-1.
5 Требования к производительности и безопасности
Применяются требования стандартов EN 16297-1, EN 809 и EN 60335-2-51.
6 Расчет индекса энергетической эффективности (ИЭЭ)
6.1 Общие положения
Испытания циркуляционного насоса, являющегося составной частью другого изделия, следует проводить в эталонном корпусе, отсоединив насос от изделия.
Испытания циркуляционных насосов без корпуса, предназначенных для использования в качестве составной части других изделий, следует проводить с использованием эталонного корпуса.
6.2 Расчет
6.2.1 Профиль нагрузки для расчета усредненной компенсирующей мощности на входе, PL, avg
Профиль нагрузки для расчета усредненной компенсирующей мощности на входе,
PL, avg, для циркуляционных насосов, являющихся составной частью других изделий, указан в
таблице 1.
Таблица 1
Профиль нагрузки для расчета усредненной компенсирующей
мощности на входе, PL, avg
Q, % от Q100% | Время, % от количества часов работы в год |
100 | L1 = 6 |
75 | L2 = 15 |
50 | L3 = 35 |
25 | L4 = 44 |
6.2.2 Рабочие точки на режимах недогрузки
Измерение параметров в рабочих точках на режимах недогрузки выполняется следующим образом:
a) выполняется расчет Href для каждого режима недогрузки на эталонной характеристике регулирования (см. рисунок 4 в EN 16297-1);
b) в случае, если циркуляционный насос имеет режим работы с регулированием по перепаду давления, то следует применять процедуру, указанную в EN 16297-2. В противном случае настройка насоса на заданную рабочую точку (см.
рисунок 1) достигается за счет изменения характеристики системы и регулирования частоты вращения ротора насоса посредством интерфейса обработки внешних сигналов (определяемого производителем);
a - характеристика системы
Рисунок 1 - Определение рабочей точки на режиме недогрузки
c) изменяя характеристику системы измеряют параметры насоса в рабочих точках на каждом режиме недогрузки.
6.2.3 Условия испытаний
6.2.3.1 Генератор сигналов внешнего воздействия
Частота вращения меняется посредством воздействия внешних сигналов. Информация о характеристиках сигналов и/или генераторе сигналов может быть получена от производителя циркуляционного насоса.
6.2.4 Расчет компенсирующей мощности на входе, PL, avg
Расчет компенсирующей мощности на входе, PL,avg, выполняется по следующей формуле
PL, avg = L1PL, 100% + L2PL, 75% + L3PL, 50% + L4PL, 25% =
= 0,06PL, 100% + 0,15PL, 75% + 0,35PL, 50% + 0,44PL, 25%
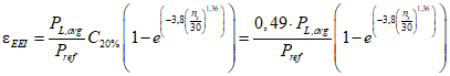
6.2.5 Расчет индекса энергетической эффективности, 
Для циркуляционных насосов, являющихся составной частью других изделий, индекс энергетической эффективности (ИЭЭ),

, рассчитывается следующим образом
за исключением циркуляционных насосов, встроенных в изделие и разработанных для первичных контуров солнечных тепловых установок и для тепловых насосов, где индекс энергетической эффективности (ИЭЭ),

, рассчитывается следующим образом

.
Разрешается заменять параметр

аббревиатурой ИЭЭ или EEI в листах технических данных, руководствах, буклетах, брошюрах и др.
(справочное)
ВЗАИМОСВЯЗЬ ИСХОДНОГО ЕВРОПЕЙСКОГО СТАНДАРТА
И ТРЕБОВАНИЙ РЕГЛАМЕНТА СОВЕТА (ЕС) N 641/2009
Исходный европейский стандарт был подготовлен по предписанию, выданному Европейскому комитету по стандартизации (CEN) Европейской комиссией (EC) и Европейской ассоциацией свободной торговли (EFTA), с целью обеспечения соответствия требованиям Регламента Совета (ЕС) N 641/2009 от 22 июля 2009 г.: Применение Директивы 2005/32/ЕС <1> Европейского парламента и Совета в отношении требований к экологичности конструкции автономных герметичных циркуляционных насосов и герметичных циркуляционных насосов, встроенных в другие устройства.
--------------------------------
<1> Директива была заменена
Директивой 2009/125/ЕС.
После опубликования европейского стандарта в Официальном журнале Европейского союза согласно данному Регламенту Совета соответствие требованиям настоящего стандарта, указанным в
таблице ZA.1, обеспечивает в пределах его области применения презумпцию соответствия требованиям этой директивы и соответствующих регламентирующих документов EFTA.
Таблица ZA.1
Взаимосвязь европейского стандарта
и Регламента Совета (ЕС) N 641/2009
Пункты и подпункты европейского стандарта EN | Требования Регламента Совета (ЕС) N 641/2009 | Примечания |
Часть 1:6.2.1 | Приложение II, 2., 3. | Расчет Phyd |
Часть 1:6.2.2 | Приложение II, 2., 4. | Расчет Pref |
Часть 1:6.2.4 | Приложение II, 2., 5. | Эталонная характеристика регулирования |
Часть 1:6.2.9 | Приложение II, 2., 9. | Расчет ИЭЭ |
Часть 2:6.2.5 | Приложение II, 2., 9. | Расчет ИЭЭ |
Часть 3:6.2.5 | Приложение II, 2., 9. | Расчет ИЭЭ |
Примечание - В отношении устройства (устройств), к которому применяется европейский стандарт, могут применяться другие требования и другие директивы ЕС.
(справочное)
СВЕДЕНИЯ О СООТВЕТСТВИИ ССЫЛОЧНЫХ ЕВРОПЕЙСКИХ РЕГИОНАЛЬНЫХ
СТАНДАРТОВ МЕЖГОСУДАРСТВЕННЫМ СТАНДАРТАМ
Таблица ДА.1
Обозначение ссылочного европейского регионального стандарта | Степень соответствия | Обозначение и наименование межгосударственного стандарта |
EN 809:1998+A1:2009 | MOD | ГОСТ 31839-2012 (EN 809-1998) "Насосы и агрегаты насосные для перекачки жидкостей. Общие требования безопасности" |
EN 16297-1:2012 | IDT | ГОСТ EN 16297-1-2014 "Энергетическая эффективность. Насосы циркуляционные герметичные. Часть 1. Общие требования и методики для проведения испытаний и расчета индекса энергетической эффективности (ИЭЭ)" |
EN 16297-2:2012 | IDT | ГОСТ EN 16297-2-2014 "Энергетическая эффективность. Насосы циркуляционные герметичные. Часть 2. Расчет индекса энергетической эффективности (ИЭЭ) автономных циркуляционных насосов" |
EN 60335-2-51:2003 | - | |
<*> Соответствующий межгосударственный стандарт отсутствует. До его утверждения рекомендуется использовать перевод на русский язык данного международного стандарта или соответствующий национальный стандарт. Официальный перевод данного международного стандарта находится в Федеральном информационном фонде технических регламентов и стандартов Российской Федерации. Примечание - В настоящей таблице использованы следующие условные обозначения степени соответствия стандартов: - IDT - идентичные стандарты; - MOD - модифицированные стандарты. |
УДК 621.67-216.74:006.354 | | | IDT |
Ключевые слова: насос, циркуляционный насос, энергоэффективность, индекс энергетической эффективности, ИЭЭ |