Главная // Актуальные документы // Актуальные документы (обновление 2025.02.03-2025.03.01) // ГОСТ (Государственный стандарт)СПРАВКА
Источник публикации
М.: ФГБУ "Институт стандартизации", 2024
Примечание к документу
Текст данного документа приведен с учетом
поправки, опубликованной в "ИУС", N 1, 2025.
Документ
введен в действие с 01.09.2024.
Название документа
"ГОСТ 8.451-2024. Межгосударственный стандарт. Государственная система обеспечения единства измерений. Счетчики жидкости камерные. Методика поверки"
(введен в действие Приказом Росстандарта от 14.06.2024 N 805-ст)
"ГОСТ 8.451-2024. Межгосударственный стандарт. Государственная система обеспечения единства измерений. Счетчики жидкости камерные. Методика поверки"
(введен в действие Приказом Росстандарта от 14.06.2024 N 805-ст)
агентства по техническому
регулированию и метрологии
от 14 июня 2024 г. N 805-ст
МЕЖГОСУДАРСТВЕННЫЙ СТАНДАРТ
ГОСУДАРСТВЕННАЯ СИСТЕМА ОБЕСПЕЧЕНИЯ ЕДИНСТВА ИЗМЕРЕНИЙ
СЧЕТЧИКИ ЖИДКОСТИ КАМЕРНЫЕ
МЕТОДИКА ПОВЕРКИ
State system for ensuring the uniformity of measurements.
Positive displacement liquid meters. Verification procedure
ГОСТ 8.451-2024
Дата введения
1 сентября 2024 года
Цели, основные принципы и общие правила проведения работ по межгосударственной стандартизации установлены
ГОСТ 1.0 "Межгосударственная система стандартизации. Основные положения" и
ГОСТ 1.2 "Межгосударственная система стандартизации. Стандарты межгосударственные, правила и рекомендации по межгосударственной стандартизации. Правила разработки, принятия, обновления и отмены"
1 РАЗРАБОТАН Всероссийским научно-исследовательским институтом расходометрии - филиалом Федерального государственного унитарного предприятия "Всероссийский научно-исследовательский институт метрологии им. Д.И. Менделеева" (ВНИИР - филиал ФГУП "ВНИИМ им. Д.И. Менделеева")
2 ВНЕСЕН Межгосударственным техническим комитетом по стандартизации МТК 553 "Метрологическое обеспечение добычи и учета энергоресурсов (жидкостей и газов)"
3 ПРИНЯТ Межгосударственным советом по стандартизации, метрологии и сертификации (протокол от 30 апреля 2024 г. N 172-П)
За принятие проголосовали:
Краткое наименование страны по МК (ИСО 3166) 004-97 | Код страны по МК (ИСО 3166) 004-97 | Сокращенное наименование национального органа по стандартизации |
Армения | AM | ЗАО "Национальный орган по стандартизации и метрологии" Республики Армения |
Азербайджан | AZ | Азстандарт |
Беларусь | BY | Госстандарт Республики Беларусь |
Казахстан | KZ | Госстандарт Республики Казахстан |
Россия | RU | Росстандарт |
Таджикистан | TJ | Таджикстандарт |
Узбекистан | UZ | Узбекское агентство по техническому регулированию |
4
Приказом Федерального агентства по техническому регулированию и метрологии от 14 июня 2024 г. N 805-ст межгосударственный стандарт ГОСТ 8.451-2024 введен в действие в качестве национального стандарта Российской Федерации с 1 сентября 2024 г.
Информация о введении в действие (прекращении действия) настоящего стандарта и изменений к нему на территории указанных выше государств публикуется в указателях национальных стандартов, издаваемых в этих государствах, а также в сети Интернет на сайтах соответствующих национальных органов по стандартизации.
В случае пересмотра, изменения или отмены настоящего стандарта соответствующая информация будет опубликована на официальном интернет-сайте Межгосударственного совета по стандартизации, метрологии и сертификации в каталоге "Межгосударственные стандарты"
Настоящий стандарт распространяется на камерные счетчики жидкости (винтовые, дисковые, ковшовые, с овальными шестернями, роторные, кольцевые, лопастные, поршневые) с пределами допускаемой относительной погрешности от +/- 0,10% до +/- 5,0%, предназначенные для измерений объема ньютоновских жидкостей в потоке с кинематической вязкостью от 0,55 до 2000 мм2/с и температурой от минус 50 °C до 120 °C, и устанавливает методику их первичной и периодической поверок.
В настоящем стандарте использованы нормативные ссылки на следующие межгосударственные стандарты:
ГОСТ 15528 Средства измерений расхода, объема или массы протекающих жидкости и газа. Термины и определения
ГОСТ 31610.0 (IEC 60079-0:2017) Взрывоопасные среды. Часть 0. Оборудование. Общие требования
Примечание - При пользовании настоящим стандартом целесообразно проверить действие ссылочных стандартов и классификаторов на официальном интернет-сайте Межгосударственного совета по стандартизации, метрологии и сертификации (www.easc.by) или по указателям национальных стандартов, издаваемым в государствах, указанных в предисловии, или на официальных сайтах соответствующих национальных органов по стандартизации. Если на документ дана недатированная ссылка, то следует использовать документ, действующий на текущий момент, с учетом всех внесенных в него изменений. Если заменен ссылочный документ, на который дана датированная ссылка, то следует использовать указанную версию этого документа. Если после принятия настоящего стандарта в ссылочный документ, на который дана датированная ссылка, внесено изменение, затрагивающее положение, на которое дана ссылка, то это положение применяется без учета данного изменения. Если ссылочный документ отменен без замены, то положение, в котором дана ссылка на него, применяется в части, не затрагивающей эту ссылку.
В настоящем стандарте применены термины по
ГОСТ 15528,
[1], а также следующие термины с соответствующими определениями:
3.1 камерный счетчик жидкости: Счетчик жидкости, принцип действия которого основан на том, что при помощи различных подвижных преобразовательных элементов жидкость разделяют на доли объема, а затем проводят их циклическое суммирование.
3.2 винтовой счетчик жидкости: Камерный счетчик жидкости, в котором в качестве преобразовательного элемента применяются роторы винтовой формы.
3.3 дисковый счетчик жидкости: Камерный счетчик жидкости, в котором в качестве преобразовательного элемента применяется диск с центральной шаровой пятой, совершающий сложное колебательное движение внутри камеры специальной формы.
3.4 ковшовый счетчик жидкости: Камерный счетчик жидкости, в котором в качестве преобразовательного элемента применяется ротор, несущий ковши корытообразной формы, совершающие плоскопараллельное движение.
3.5 счетчик жидкости с овальными шестернями: Камерный счетчик жидкости, в котором в качестве преобразовательного элемента применяются овальные шестерни.
3.6 роторный счетчик жидкости: Камерный счетчик жидкости, в котором в качестве преобразовательного элемента применяются восьмиобразные роторы.
3.7 кольцевой счетчик жидкости: Камерный счетчик жидкости, в котором в качестве преобразовательного элемента применяются кольцевые поршни.
3.8 лопастной счетчик жидкости: Камерный счетчик жидкости, в котором в качестве преобразовательного элемента применяются лопасти, совершающие сложное вращательно-поступательное движение.
3.9 поршневой счетчик жидкости: Камерный счетчик жидкости, в котором в качестве преобразовательного элемента применяется цилиндрический поршень, вертикально перемещающийся в цилиндрической втулке, с окнами специальной формы.
3.10 лаборатория: Орган, который осуществляет деятельность по поверке средств измерений.
3.11 метрологические характеристики счетчика: Характеристики, влияющие на результат измерений, к которым относятся диапазон расхода жидкости, наименьший объем измеряемой жидкости, пределы допускаемой относительной погрешности.
3.12 ньютоновская жидкость: Вязкая жидкость, подчиняющаяся в своем течении закону вязкого трения Ньютона, то есть касательное напряжение и градиент скорости линейно зависимы.
3.13 поверочная жидкость: Жидкость, с применением которой осуществляют поверку средства измерений.
3.14 рабочий диапазон расхода: Диапазон расхода рабочей жидкости, в котором эксплуатируется средство измерений и нормируются его метрологические характеристики.
3.15 рабочая жидкость: Жидкость, объем которой измеряют в рабочих условиях.
3.16 трубопоршневая установка: Средство измерений объемного расхода жидкости или объема жидкости в потоке, состоящее из трубопровода с измерительным участком, на котором расположены детекторы прохождения поршня, перемещающегося в трубе под действием потока или принудительно и вытесняющего объем жидкости, эквивалентный вместимости средства измерений, за интервалы времени между срабатываниями детекторов.
3.17 компакт-прувер: Трубопоршневая установка, состоящая из цилиндрического калиброванного участка, внутри которого установлен поршень с тарельчатым клапаном, оптических детекторов положения поршня.
В настоящем стандарте использованы следующие сокращения:
КП - компакт-прувер;
МХ - метрологические характеристики;
ПР - преобразователь объемного расхода;
ПУ - поверочная установка;
СИ - средство измерений;
СКО - среднее квадратическое отклонение;
СОИ - система обработки информации;
ТПУ - трубопоршневая установка.
Поверка камерных счетчиков жидкости (далее - счетчики) осуществляется методом непосредственного сличения, обеспечивающим передачу единицы объема жидкости в потоке счетчикам от ТПУ, КП, ПУ с мерниками и/или весовыми устройствами и ПУ с ПР и обеспечивающим прослеживаемость к государственным первичным эталонам.
6.1 При проведении поверки счетчиков выполняют операции, приведенные в
таблице 1.
Таблица 1
Перечень операций поверки
Наименование операции | Номер подраздела стандарта | Проведение операции при |
первичной поверке | периодической поверке |
Внешний осмотр | | Да | Да |
Опробование | | Да | Да |
Проверка программного обеспечения | | Да | Да |
Определение (контроль) МХ | | Да | Да |
Примечание - Проверка программного обеспечения выполняется только при наличии программного обеспечения поверяемого счетчика. |
6.2 Если при проведении какой-либо операции поверки получен отрицательный результат, то выясняют и устраняют причины получения отрицательного результата, повторяют операции поверки. При повторном получении отрицательного результата поверку прекращают.
7.1 При проведении поверки применяют следующие средства поверки.
7.1.1 ТПУ или КП с пределами допускаемой относительной погрешности (доверительными границами суммарной погрешности) +/- 0,05% или +/- 0,10% (пределом допускаемой относительной погрешности не более 0,10%) и диапазоном расхода, обеспечивающим возможность определения МХ счетчиков в рабочем диапазоне расхода.
Примечание - ТПУ или КП применяют только для поверки счетчиков, имеющих импульсный выходной сигнал.
7.1.2 ПУ с мерниками и/или весовыми устройствами с пределами допускаемой относительной погрешности (доверительными границами суммарной погрешности) +/- 0,30% (пределом допускаемой относительной погрешности не более 0,30%), обеспечивающая возможность определения МХ счетчиков в рабочем диапазоне расхода.
Примечания
1 В состав ПУ рекомендуется включать расходомер жидкости с пределами допускаемой относительной погрешности +/- 2,5% и диапазоном измерений расхода, соответствующим диапазону расхода поверяемого счетчика.
2 Номинальная вместимость мерника должна быть не менее объема жидкости, прошедшей через счетчик, соответствующего нижней границе диапазона измерений объема жидкости, приведенного в описании типа или эксплуатационных документах, или соответствующего:
- 500 наименьшим делениям отсчетного устройства - для счетчиков с пределами допускаемой относительной погрешности от +/- 0,50% до +/- 5,0%;
- 1000 наименьшим делениям отсчетного устройства - для счетчиков с пределами допускаемой относительной погрешности от +/- 0,25% до +/- 0,50%;
- 2000 наименьшим делениям отсчетного устройства - для счетчиков с пределами допускаемой относительной погрешности от +/- 0,15% до +/- 0,25%;
- 2500 наименьшим делениям отсчетного устройства - для счетчиков с пределами допускаемой относительной погрешности +/- 0,10%.
3 Вместимость тары, взвешиваемой на весовом устройстве, должна быть не менее чем на 10% больше объема жидкости, прошедшей через счетчик, соответствующего значениям, указанным в
пункте 2 настоящего примечания.
4 Наибольший предел взвешивания весового устройства должен быть не менее чем на 20% больше массы тары, заполненной жидкостью.
5 Поверку счетчиков, эксплуатируемых на рабочих жидкостях с кинематической вязкостью более 36 мм2/с, проводят с применением ПУ с весовыми устройствами.
7.1.3 ПУ с ПР с пределами допускаемой относительной погрешности (доверительными границами суммарной погрешности) +/- 0,30% (пределом допускаемой относительной погрешности не более 0,30%) и диапазоном расхода, обеспечивающим возможность определения МХ счетчиков в рабочем диапазоне расхода.
7.1.4 СИ температуры (датчики температуры, электронные термометры и др.), входящие в состав ПУ, обеспечивающие измерения температуры с пределами допускаемой абсолютной погрешности +/- 0,2 °C
<1>, и СИ температуры, установленные в линии с поверяемым счетчиком с пределами допускаемой абсолютной погрешности, обеспечивающими измерения температуры в соответствии с требованиями
подраздела 9.4 <1>.
Примечание - Допускается применять стеклянные термометры с пределами допускаемой абсолютной погрешности +/- 0,2 °C.
7.1.5 СИ давления (измерительные преобразователи давления, датчики давления, манометры и др.), обеспечивающие измерение избыточного давления с пределами допускаемой приведенной погрешности +/- 0,6%
<1>.
Примечание - Допускается применять манометры класса точности 0,6.
--------------------------------
<1> Пределы допускаемой погрешности указаны с учетом погрешности средства измерений (измерительного компонента), линии связи (связующего компонента), аналогового модуля СОИ (вычислительного компонента).
7.1.6 СИ плотности (поточные преобразователи плотности, лабораторные плотномеры, ареометры и др.) с пределами допускаемой абсолютной погрешности +/- 0,5 кг/м3.
7.1.7 СОИ с пределами допускаемой относительной погрешности при вычислениях объема и массы +/- 0,05%.
7.1.8 Секундомер с пределами допускаемой относительной погрешности +/- 2,0%.
7.1.9 СИ температуры, влажности окружающей среды и атмосферного давления с диапазонами измерений, обеспечивающими выполнение условий поверки, со следующими пределами допускаемой абсолютной погрешности:
- измерений температуры окружающей среды, °C ................... +/- 1;
- измерений влажности окружающей среды, % ...................... +/- 3;
- измерений атмосферного давления, кПа ....................... +/- 0,5.
7.1.10 Гидравлический пресс, обеспечивающий создание избыточного давления, превышающего рабочее давление счетчика в 1,1 раза, в комплекте с манометром класса точности 1.
7.1.11 Допускается применение аналогичных средств поверки с лучшими МХ, обеспечивающих определение МХ поверяемых счетчиков с требуемой точностью.
7.1.12 Соотношение пределов допускаемой относительной погрешности ПУ и счетчиков должно быть не более 1:3 (пределы допускаемой относительной погрешности ПУ должны быть меньше пределов допускаемой относительной погрешности поверяемого счетчика не менее чем в три раза). Для счетчиков с пределами допускаемой относительной погрешности +/- 0,10% допускается соотношение не более 1:2 (пределы допускаемой относительной погрешности ПУ должны быть меньше пределов допускаемой относительной погрешности поверяемого счетчика не менее чем в два раза).
7.1.13 СИ, применяемые при поверке, должны быть утвержденного типа, прошедшие поверку. Эталоны единиц величин, применяемые при поверке, должны быть аттестованы в качестве эталонов. СИ и эталоны единиц величин, применяемые при поверке, должны прослеживаться к государственным первичным эталонам единиц величин или к национальным первичным эталонам иностранных государств.
8 Требования безопасности
8.1 При проведении поверки соблюдают требования, определяемые документами в области:
- охраны труда;
- промышленной безопасности;
- пожарной безопасности;
- соблюдения правильной и безопасной эксплуатации электроустановок;
- охраны окружающей среды.
8.2 При проведении поверки счетчиков во взрывоопасных зонах средства поверки и электрооборудование, применяемое при поверке, должны соответствовать требованиям
ГОСТ 31610.0.
8.3 Поверяемый счетчик, средства поверки и вспомогательное оборудование должны эксплуатироваться в соответствии с эксплуатационными документами.
8.4 Поверяемый счетчик, средства поверки и вспомогательное оборудование не допускаются к эксплуатации при давлении поверочной жидкости, превышающем рабочее давление, указанное в их эксплуатационных документах. Применение элементов монтажа или гибких рукавов, не прошедших гидравлические испытания, запрещается.
8.5 К средствам поверки и вспомогательному оборудованию, применяемому при поверке, обеспечивают беспрепятственный доступ. При необходимости предусматривают лестницы, площадки и переходы с ограничениями, соответствующие требованиям безопасности.
8.6 При появлении течи поверочной жидкости, загазованности и других ситуаций, препятствующих проведению поверки, поверку прекращают.
9.1 При проведении поверки в лаборатории соблюдают следующие условия:
а) температура поверочной жидкости, °C:
1) для счетчиков, эксплуатируемых при температуре
рабочей жидкости до 60 °C ........................... от 15 до 25;
2) счетчиков, эксплуатируемых при температуре
рабочей жидкости свыше 60 °C ........................ от 60 до 85;
б) температура окружающей среды, °C ...................... от 15 до 25;
в) относительная влажность окружающей среды, % ........... от 30 до 80;
г) атмосферное давление, кПа ............................. от 84 до 106.
9.2 При поверке на месте эксплуатации соблюдают условия в соответствии с требованиями эксплуатационных документов на средства поверки, поверяемые счетчики и применяемое при поверке вспомогательное оборудование.
9.3 Поверку счетчиков проводят на рабочих жидкостях или жидкостях-заменителях. В качестве жидкостей-заменителей применяют жидкости, соответствующие диапазону кинематической вязкости рабочей жидкости, приведенному в эксплуатационных документах на поверяемый счетчик.
9.4 Изменение температуры поверочной жидкости за время одного измерения не должно превышать:
- 0,2 °C - для счетчиков с пределами допускаемой относительной погрешности +/- 0,10%;
- 0,3 °C - для счетчиков с пределами допускаемой относительной погрешности +/- 0,15%;
- 0,5 °C - для счетчиков с пределами допускаемой относительной погрешности +/- 0,20%;
- 2 °C - для счетчиков с пределами допускаемой относительной погрешности +/- 0,25%;
- 5 °C - для счетчиков с пределами допускаемой относительной погрешности +/- 5,0%.
9.5 Поверку счетчиков проводят в рабочем диапазоне расхода, указанном в его описании типа или эксплуатационных документах.
1 Допускается проводить поверку счетчиков на месте эксплуатации в диапазоне расхода, который может быть обеспечен при поверке и не должен выходить за пределы рабочего диапазона расхода.
2 Для счетчиков, эксплуатируемых в течение интервала между поверками на одном значении расхода, допускается поверку на месте эксплуатации проводить при этом значении расхода.
--------------------------------
<1> Настоящие примечания должны применяться с учетом действующего законодательства стран, принявших настоящий стандарт.
9.6 Отклонение расхода поверочной жидкости от установленного значения в процессе поверки не должно превышать +/- 2,5%.
9.7 Содержание пузырьков газа в поверочной жидкости не допускается.
10.1 Проверяют герметичность поверяемого счетчика созданием в его рабочей полости давления при помощи гидравлического пресса, превышающего в 1,1 раза его рабочее давление, указанное в эксплуатационных документах. При этом не допускается появление капель или утечек жидкости в местах соединений и корпусе счетчика в течение 10 мин.
Примечание - Проверку герметичности поверяемого счетчика допускается проводить только при первичной поверке.
10.2 Проверяют правильность монтажа средств поверки и поверяемого счетчика.
10.3 Подготавливают средства поверки согласно требованиям эксплуатационных документов.
10.4 Проверяют отсутствие пузырьков газа в линии с поверяемым счетчиком, ПУ (ТПУ или КП, ПУ с мерниками и/или весовыми устройствами, ПУ с ПР), а также в верхних точках трубопроводов, соединяющих поверяемый счетчик и средства поверки. Для этого устанавливают расход поверочной жидкости в пределах диапазона расхода поверяемого счетчика и открывают краны, расположенные в верхних точках линии с поверяемым счетчиком и ПУ (ТПУ, КП или ПУ с ПР).
При этом из кранов должна вытекать струя поверочной жидкости без пузырьков газа.
10.5 При рабочем давлении проверяют герметичность системы, состоящей из поверяемого счетчика и средств поверки. При этом не допускается появление капель или утечек поверочной жидкости через сальники, фланцевые, резьбовые или сварные соединения при наблюдении в течение 10 мин.
10.6 Проверяют герметичность запорной арматуры, через которую возможны утечки поверочной жидкости, влияющие на результаты измерений при поверке. При этом данная запорная арматура должна быть оборудована устройствами контроля протечек или смотровыми окнами.
10.7 Проверяют герметичность устройства пуска и приема поршня ТПУ или КП в соответствии с требованиями эксплуатационных документов.
При внешнем осмотре устанавливают соответствие поверяемого счетчика следующим требованиям:
- комплектность должна соответствовать указанной в эксплуатационных документах;
- надписи и обозначения на поверяемом счетчике должны быть четкие и соответствовать требованиям эксплуатационных документов;
- механические повреждения и дефекты, препятствующие применению, не допускаются.
11.2.1 Опробование поверяемого счетчика проводят совместно со средствами поверки.
11.2.2 При применении в качестве средства поверки ТПУ или КП выполняют следующие операции.
11.2.2.1 Устанавливают расход поверочной жидкости в пределах диапазона расхода поверяемого счетчика. Наблюдают на дисплее СОИ значения следующих параметров:
- температуры и давления поверочной жидкости в поверяемом счетчике (при наличии СИ давления и температуры, установленных в линии с поверяемым счетчиком);
- температуры и давления поверочной жидкости в ТПУ или КП;
- температуры планки крепления детекторов или инварового стержня КП (при наличии СИ температуры в составе КП);
- плотности поверочной жидкости (при применении в качестве СИ плотности поточного преобразователя плотности).
11.2.2.2 Запускают поршень ТПУ или КП. При прохождении поршня через первый детектор наблюдают за началом отсчета импульсов, при прохождении второго детектора - за окончанием отсчета количества импульсов. Если ТПУ двунаправленная, то выполняют те же операции при обратном направлении движения поршня. Если применяется КП, то за одно измерение принимают серию проходов поршня (от 5 до 20) от одного детектора до другого.
11.2.2.3 Результаты измерений количества импульсов, времени измерения, температуры, давления и плотности поверочной жидкости отображаются на дисплее СОИ.
11.2.3 При применении в качестве средства поверки ПУ с ПР выполняют следующие операции.
11.2.3.1 Устанавливают расход поверочной жидкости в пределах диапазона расхода поверяемого счетчика. Наблюдают на дисплее СОИ значения следующих параметров:
- температуры и давления поверочной жидкости в поверяемом счетчике;
- температуры и давления поверочной жидкости в линии с ПР, входящим в состав ПУ;
- плотности поверочной жидкости (при применении в качестве СИ плотности поточного преобразователя плотности, входящего в состав ПУ с ПР).
11.2.3.2 Проводят пробное измерение.
Начинают измерение. СОИ одновременно начинает отсчет импульсов выходных сигналов ПР (или нескольких ПР), входящих в состав ПУ, и поверяемого счетчика. При достижении заданного количества импульсов выходного сигнала поверяемого счетчика или истечении заданного времени измерения СОИ одновременно заканчивает отсчет импульсов выходных сигналов ПР (или нескольких ПР), входящих в состав ПУ, и поверяемого счетчика.
11.2.3.3 Результаты измерений количества импульсов, времени измерения, температуры и давления, плотности поверочной жидкости отображаются на дисплее СОИ.
11.2.4 При применении в качестве средства поверки ПУ с мерниками и/или весовыми устройствами выполняют следующие операции.
11.2.4.1 Для счетчиков с выходным импульсным сигналом устанавливают расход поверочной жидкости в пределах диапазона расхода поверяемого счетчика.
Проводят пробное измерение. Результаты измерений количества импульсов, времени измерения, температуры поверочной жидкости индицируются на дисплее СОИ.
11.2.4.2 Для счетчиков с отсчетными устройствами суммарного и разового объема жидкости отсчетное устройство разового объема жидкости устанавливают в исходное положение (на ноль). Данную операцию проводят перед каждым измерением. В отсчетных устройствах стрелочного типа стрелки не должны выходить за пределы ширины отметки шкалы.
Проверяют взаимное соответствие показаний отсчетных устройств суммарного и разового объема жидкости, для этого:
- записывают показание отсчетного устройства суммарного объема жидкости n;
- при любом значении расхода поверочной жидкости в пределах диапазона расхода поверяемого счетчика проводят пробное измерение, пропуская через счетчик объем жидкости, соответствующий наименьшему объему измеряемой жидкости, установленному в эксплуатационных документах;
- записывают показание отсчетного устройства разового объема жидкости q;
- записывают показание отсчетного устройства суммарного объема жидкости n1;
- определяют значение объема поверочной жидкости q1, измеренного счетчиком по отсчетному устройству суммарного объема жидкости по формуле
q1 = n1 - n. (1)
Отклонение показаний отсчетного устройства разового объема жидкости q от показаний отсчетного устройства суммарного объема жидкости не должно превышать одного деления отсчетного устройства суммарного объема жидкости.
11.3 Проверка программного обеспечения
При проверке программного обеспечения поверяемого счетчика проверяют соответствие идентификационных данных программного обеспечения поверяемого счетчика идентификационным данным, указанным в описании типа поверяемого счетчика.
11.4 Определение (контроль) метрологических характеристик
11.4.1 При поверке определяют относительную погрешность счетчика.
11.4.2 Определение относительной погрешности поверяемого счетчика проводят не менее чем в трех точках диапазона расхода (минимальном (наименьшем) и максимальном (наибольшем) значениях рабочего диапазона и точках, выбранных внутри него). Значения объемного расхода (точки рабочего диапазона измерений) рекомендуется выбирать с интервалом не более 20% от максимального (наибольшего) значения объемного расхода поверяемого счетчика. В каждой точке диапазона расхода проводят:
- не менее трех измерений расхода - при соотношении пределов допускаемой относительной погрешности ПУ и счетчиков не более 1:3;
- не менее пяти измерений - при соотношении пределов допускаемой относительной погрешности ПУ и счетчиков не более 1:2.
11.4.3 Определение относительной погрешности с применением ТПУ или КП.
Проводят предварительное измерение для уточнения значения установленного расхода.
Запускают поршень ТПУ или КП. При срабатывании второго детектора регистрируют время между срабатываниями первого и второго детекторов, количество импульсов выходного сигнала поверяемого счетчика.
Расход поверочной жидкости через поверяемый счетчик вычисляют по
формуле (8).
При необходимости проводят корректировку значения расхода регулятором расхода или запорной арматурой.
После стабилизации расхода и температуры поверочной жидкости с учетом требований
подразделов 9.4 и
9.6 проводят необходимое количество измерений.
Запускают поршень ТПУ или КП. При срабатывании первого детектора СОИ начинает отсчет импульсов выходного сигнала поверяемого счетчика и времени, при срабатывании второго детектора - заканчивает.
Если количество импульсов выходного сигнала поверяемого счетчика за время между срабатываниями детекторов меньше 10 000, то СОИ должна определять количество импульсов с долями.
Для определения средних значений за время измерения СОИ фиксирует значения следующих параметров:
- температуры и давления поверочной жидкости на входе и выходе ТПУ или в КП;
- температуры планки крепления детекторов или инварового стержня КП (при наличии СИ температуры в составе КП);
- температуры и давления поверочной жидкости в поверяемом счетчике (при наличии СИ давления и температуры, установленных в линии с поверяемым счетчиком);
- плотности поверочной жидкости (при применении в качестве СИ плотности поточного преобразователя плотности).
При использовании термометров и манометров с визуальным отсчетом допускается фиксировать температуру и давление один раз за время измерения.
Для однонаправленной ТПУ прохождение поршня от одного детектора до другого принимают за одно измерение.
Если для двунаправленной ТПУ определена вместимость калиброванного участка как сумма вместимостей в обоих направлениях, то за одно измерение принимают движение поршня в прямом и обратном направлении, количество импульсов и время прохождения поршня в прямом и обратном направлениях суммируют.
Если для двунаправленной ТПУ определена вместимость калиброванного участка для каждого направления, то за одно измерение принимают движение поршня в каждом направлении.
При наличии у ТПУ второй пары детекторов допускается использовать обе пары детекторов.
При использовании КП допускается за результат измерения считать среднее значение результатов измерений для нескольких проходов поршня (не более 20).
Результаты измерений заносят в протокол поверки. Рекомендуемая форма протокола поверки приведена в
приложении А. Допускается в таблицах протокола удалять ненужные и добавлять необходимые столбцы и строки.
11.4.4 Определение относительной погрешности с применением ПУ с мерниками и/или весовыми устройствами.
Устанавливают выбранное значение расхода по показаниям расходомера, входящего в состав ПУ с мерниками и/или весовыми устройствами.
Примечание - При применении ПУ, не оборудованной расходомером, проводят предварительное измерение для уточнения значения установленного расхода. Расход поверочной жидкости, прошедшей через поверяемый счетчик, вычисляют по
формуле (17).
Проводят необходимое количество измерений.
Начинают измерение. Заполняют поверочной жидкостью мерник или тару, установленную на весовом устройстве. После окончания измерения фиксируют значения следующих параметров:
- объема поверочной жидкости в мернике или массы поверочной жидкости, измеренной на весовом устройстве;
- объема поверочной жидкости, измеренной поверяемым счетчиком по показаниям отсчетного устройства разового объема жидкости;
- температуры поверочной жидкости в поверяемом счетчике и в мернике или таре, установленной на весовом устройстве;
- плотности поверочной жидкости.
При наличии СОИ в составе ПУ с мерниками и/или весовыми устройствами и определении относительной погрешности поверяемого счетчика с применением выходного импульсного сигнала дополнительно фиксируют количество импульсов от поверяемого счетчика.
Если количество импульсов выходного сигнала поверяемого счетчика за время между срабатываниями детекторов меньше 10 000, то СОИ должна определять количество импульсов с долями.
Результаты измерений заносят в протокол поверки. Рекомендуемая форма протокола поверки приведена в
приложении Б. Допускается в таблицах протокола удалять ненужные и добавлять необходимые столбцы и строки.
11.4.5 Определение МХ с применением ПУ с ПР.
Устанавливают выбранное значение расхода по показаниям ПУ с ПР.
После стабилизации расхода и температуры поверочной жидкости с учетом требований
подразделов 9.4 и
9.6 проводят необходимое количество измерений.
Начинают измерение. СОИ одновременно начинает отсчет импульсов выходных сигналов ПР (или нескольких ПР), входящего в состав ПУ, и поверяемого счетчика. При достижении заданного количества импульсов выходного сигнала поверяемого счетчика или истечении заданного времени измерения СОИ одновременно заканчивает отсчет импульсов выходных сигналов ПР (или нескольких ПР), входящего в состав ПУ, и поверяемого счетчика.
Если количество импульсов выходного сигнала ПР (или нескольких ПР) или поверяемого счетчика за время измерения меньше 10 000, то СОИ должна определять количество импульсов с долями.
Для определения средних значений за время измерения СОИ фиксирует значения следующих параметров:
- температуры и давления поверочной жидкости в поверяемом счетчике;
- температуры и давления поверочной жидкости в линии с ПР, входящим в состав ПУ;
- плотности поверочной жидкости (при применении в качестве СИ плотности поточного преобразователя плотности, входящего в состав ПУ).
При использовании термометров и манометров с визуальным отсчетом допускается фиксировать температуру и давление один раз за время измерения.
Результаты измерений заносят в протокол поверки. Рекомендуемая форма протокола поверки приведена в
приложении В. Допускается в таблицах протокола удалять ненужные и добавлять необходимые столбцы и строки.
12 Обработка результатов измерений
12.1 Обработка результатов измерений при применении ТПУ или КП и ПУ с ПР при соотношении пределов допускаемой относительной погрешности ПУ и счетчиков не более 1:3
12.1.1 Объем поверочной жидкости, измеренный ТПУ или КП, или ПУ с ПР и приведенный к условиям измерений поверяемого счетчика за время i-го измерения в j-й точке диапазона расхода VПУji, м3, вычисляют по формуле

(2)
где V0 - вместимость калиброванного участка ТПУ или КП при стандартных условиях (температуре t0 = 15 °C или t0 = 20 °C и избыточном давлении 0 МПа), м3;
CTSji - коэффициент, учитывающий влияние температуры на вместимость ТПУ, для i-го измерения в j-й точке диапазона расхода и вычисляемый по формуле

(3)
где
- коэффициент линейного расширения материала стенок калиброванного участка ТПУ или мерника, входящего в состав ПУ с мерниками (берут из эксплуатационных документов на ТПУ или определяют по
таблице Г.2), 1/°C;

- квадратичный коэффициент расширения материала стенок калиброванного участка КП (берут из эксплуатационных документов на КП или определяют по
таблице Г.2), 1/°C;

- коэффициент линейного расширения материала планки крепления детекторов КП или инварового стержня (берут из эксплуатационных документов на КП или определяют по
таблице Г.2), 1/°C;
tПУji - температура поверочной жидкости в ТПУ или КП за время i-го измерения в j-й точке диапазона расхода, °C, которую для ТПУ вычисляют по формуле

(4)
где tвхПУji, tвыхПУji - температура поверочной жидкости на входе и выходе ТПУ за время i-го измерения в j-й точке диапазона расхода, °C;
tдji - температура планки крепления детекторов или инварового стержня за время i-го измерения в j-й точке диапазона расхода, °C.
Примечание - При отсутствии СИ температуру принимают равной температуре окружающей среды;
t0 - температура при стандартных условиях, °C, принимают равной t0 = 15 °C или t0 = 20 °C;
CPSji - коэффициент, учитывающий влияние давления на вместимость ТПУ или КП, для i-го измерения в j-й точке диапазона расхода и вычисляемый по формуле

(5)
где PПУji - давление поверочной жидкости в ТПУ или КП за время i-го измерения в j-й точке диапазона расхода, МПа, для ТПУ вычисляемое по формуле

(6)
где PвхПУji, PвыхПУji - давление поверочной жидкости на входе и выходе ТПУ за время i-го измерения в j-й точке диапазона расхода, МПа;
D - внутренний диаметр калиброванного участка ТПУ или КП (берут из эксплуатационных документов на ТПУ или КП), мм;
E - модуль упругости материала стенок калиброванного участка ТПУ или КП (берут из эксплуатационных документов на ТПУ или КП или определяют по
таблице Г.2), МПа;
S - толщина стенок калиброванного участка ТПУ или КП (берут из эксплуатационных документов на ТПУ или КП), мм;
CTLПУji - коэффициент, учитывающий влияние температуры на объем поверочной жидкости, определенный для температуры поверочной жидкости в ТПУ или КП для
i-го измерения в
j-й точке диапазона расхода (вычисляют по
приложению Д);
CPLПУji - коэффициент, учитывающий влияние давления на объем поверочной жидкости, определенный для давления поверочной жидкости в ТПУ или КП для
i-го измерения в
j-й точке диапазона расхода (вычисляют по
приложению Д);
CTLсчji - коэффициент, учитывающий влияние температуры на объем поверочной жидкости, определенный для температуры поверочной жидкости в поверяемом счетчике для
i-го измерения в
j-й точке диапазона расхода (вычисляют по
приложению Д);
CPLсчji - коэффициент, учитывающий влияние давления на объем поверочной жидкости, определенный для давления поверочной жидкости в поверяемом счетчике для
i-го измерения в
j-й точке диапазона расхода (вычисляют по
приложению Д);
Vjik - объем поверочной жидкости, прошедший через k-й ПР, входящий в состав ПУ с ПР, за время i-го измерения в j-й точке диапазона расхода, м3, вычисляют по формуле

(7)
где Njik - количество импульсов от k-го ПР, входящего в состав ПУ с ПР, за время i-го измерения в j-й точке диапазона расхода, имп.;
Kjk - коэффициент преобразования k-го ПР, входящего в состав ПУ с ПР, определенный для j-й точки диапазона расхода (вычисляется автоматически по его градуировочной характеристике, реализованной в СОИ ПУ с ПР), имп./м3;
CTLПРjik - коэффициент, учитывающий влияние температуры на объем поверочной жидкости, определенный для температуры поверочной жидкости в
k-м ПР, входящем в состав ПУ с ПР, для
i-го измерения в
j-й точке диапазона расхода (вычисляют по
приложению Д);
CPLПРjik - коэффициент, учитывающий влияние давления на объем поверочной жидкости, определенный для давления поверочной жидкости в
k-м ПР, входящем в состав ПУ с ПР, для
i-го измерения в
j-й точке диапазона расхода (вычисляют по
приложению Д).
Примечание - Если при поверке КП и определении вместимости его измерительного участка коэффициент, учитывающий влияние давления на вместимость КП, вычисляют по
формуле (5), вариант 1, то при проведении поверки счетчика коэффициент
CPSji вычисляют по
формуле (5), вариант 1. Если при поверке КП и определении вместимости его измерительного участка коэффициент, учитывающий влияние давления на вместимость КП, вычисляют по
формуле (5), вариант 2, то при проведении поверки счетчика коэффициент
CPSji вычисляют по
формуле (5), вариант 2.
12.1.2 Объемный расход поверочной жидкости через поверяемый счетчик за время i-го измерения в j-й точке диапазона расхода Qji, м3/ч, вычисляют по формуле

(8)
где Tji - время i-го измерения в j-й точке диапазона расхода, с.
12.1.3 Объемный расход поверочной жидкости через поверяемый счетчик в j-й точке диапазона расхода Qj, м3/ч, вычисляют по формуле

(9)
nj - количество измерений в j-й точке диапазона расхода.
12.1.4 Объем поверочной жидкости, прошедшей через поверяемый счетчик за время i-го измерения в j-й точке диапазона расхода при применении выходного импульсного сигнала Vсчji, м3, вычисляют по формуле

(10)
где Nji - количество импульсов от поверяемого счетчика за время i-го измерения в j-й точке диапазона расхода, имп.;
K - коэффициент преобразования поверяемого счетчика (берут из эксплуатационных документов на поверяемый счетчик), имп./м3.
12.1.5 Относительную погрешность поверяемого счетчика при
i-м измерении в
j-й точке диапазона расхода

, %, вычисляют по формуле

(11)
12.1.6 Относительную погрешность поверяемого счетчика в
j-й точке диапазона расхода

, %, вычисляют по формуле

(12)
12.2 Обработка результатов измерений при применении ПУ с мерниками и/или весовыми устройствами и соотношении пределов допускаемой относительной погрешности ПУ и счетчиков не более 1:3
12.2.1 Объем поверочной жидкости, измеренный ПУ с мерниками и приведенный к условиям измерений поверяемого счетчика за время i-го измерения в j-й точке диапазона расхода Vмji, м3, вычисляют по формуле

(13)
где Vji - объем поверочной жидкости в мернике при i-м измерении в j-й точке диапазона расхода, м3;
tмji - температура поверочной жидкости в мернике при i-м измерении в j-й точке диапазона расхода, °C;
CTLмji - коэффициент, учитывающий влияние температуры на объем поверочной жидкости, определенный для температуры поверочной жидкости в мернике, входящем в состав ПУ с мерниками, для
i-го измерения в
j-й точке диапазона расхода (вычисляют по
приложению Д).
12.2.2 Объем поверочной жидкости, измеренный ПУ с весовыми устройствами и приведенный к условиям измерений поверяемого счетчика за время i-го измерения в j-й точке диапазона расхода Vвуji, м3, вычисляют по формуле

(14)
где Mji - масса поверочной жидкости, измеренная весовым устройством при i-м измерении в j-й точке диапазона расхода, кг;
kji - поправочный коэффициент, учитывающий действие выталкивающей силы при взвешивании при i-м измерении в j-й точке диапазона расхода и вычисляемый по формуле

(15)
где

- плотность атмосферного воздуха, кг/м
3, вычисляемая по формуле

(16)
где Pа - атмосферное давление, гПа;
h - относительная влажность окружающего воздуха, %;
tа - температура окружающего воздуха, °C;

- плотность материала гирь, принимают равной 8000 кг/м
3;

- плотность поверочной жидкости в емкости, установленной на весовом устройстве при
i-м измерении в
j-й точке диапазона расхода, кг/м
3;
CTLвуji - коэффициент, учитывающий влияние температуры на объем поверочной жидкости, определенный для температуры поверочной жидкости в емкости, установленной на весовом устройстве для
i-го измерения в
j-й точке диапазона расхода (вычисляют по
приложению Д).
12.2.3 Объемный расход поверочной жидкости через поверяемый счетчик за время i-го измерения в j-й точке диапазона расхода Qji, м3/ч, вычисляют по формуле

(17)
где Vм(ву)ji - объем поверочной жидкости, измеренный ПУ с мерниками или весовыми устройствами соответственно и приведенный к условиям измерений поверяемого счетчика за время i-го измерения в j-й точке диапазона расхода, м3.
12.2.4 Объемный расход поверочной жидкости через поверяемый счетчик в
j-й точке диапазона расхода
qj, м
3/ч, вычисляют по
формуле (9).
12.2.5 Относительную погрешность поверяемого счетчика при
i-м измерении в
j-й точке диапазона расхода

, %, вычисляют по формуле

(18)
где
Vсчji - объем поверочной жидкости, измеренный поверяемым счетчиком за время
i-го измерения в
j-й точке диапазона расхода, м
3; в случае применения выходного импульсного сигнала вычисляется по
формуле (10).
12.2.6 Относительную погрешность поверяемого счетчика в
j-й точке диапазона расхода

, %, вычисляют по
формуле (12).
12.3 Обработка результатов измерений при соотношении пределов допускаемой относительной погрешности ПУ и счетчиков не более 1:2
12.3.1 СКО результатов измерений в j-й точке диапазона расхода Sj, %, вычисляют по формуле

(19)
где
- относительное отклонение объема поверочной жидкости, измеренного поверяемым счетчиком, от объема поверочной жидкости, измеренного ПУ, за время
i-го измерения в
j-й точке диапазона расхода, %; вычисляют по формуле

(20)
- относительное отклонение объема поверочной жидкости, измеренного поверяемым счетчиком, от объема поверочной жидкости, измеренного ПУ, в
j-й точке диапазона расхода, %; вычисляют по формуле

(21)
12.3.2 Проверяют выполнение условия
где Sдоп - значение СКО, приведенное в описании типа счетчика или эксплуатационных документах, %.
Примечание - Проверку выполнения
условия (22) осуществляют при наличии сведений о значении
Sдоп. При отсутствии сведений о значении
Sдоп проверку
условия (22) не проводят.
При выполнении
условия (22) продолжают обработку результатов измерений.
При невыполнении
условия (22) выявляют наличие промахов в полученных результатах измерений согласно
приложению Е. Выявленный промах исключают и проводят дополнительное измерение. При отсутствии промахов выясняют и устраняют причины, обуславливающие невыполнение данного условия, и повторно проводят измерения.
В случае повторного невыполнения
условия (22) поверку прекращают.
12.3.3 Границу неисключенной систематической погрешности поверяемого счетчика в
j-й точке диапазона расхода

, %, вычисляют по формуле

(23)
где

- граница суммарной неисключенной систематической погрешности ТПУ или КП (берут из свидетельства о поверке или протокола поверки ТПУ или КП), %;

- граница неисключенной систематической погрешности определения среднего значения вместимости ТПУ или КП (берут из свидетельства о поверке или протокола поверки, для ТПУ с двумя парами детекторов берут наибольшее значение), %.
Примечание - При отсутствии значений

и

для ТПУ или КП в
формуле (23) сумму значений

и

заменяют значением

, где

- пределы допускаемой относительной погрешности (доверительные границы суммарной погрешности) ТПУ или КП, %;

- граница неисключенной систематической погрешности определения объема поверочной жидкости с применением ПУ с ПР, %; определяют по формуле

(24)
где

- пределы допускаемой относительной погрешности (доверительные границы суммарной погрешности) ПУ с ПР, %;

- граница неисключенной систематической погрешности, обусловленной погрешностью СИ температуры при измерениях температуры поверочной жидкости, %; вычисляют по формуле

(25)
где

- максимальное значение коэффициента объемного расширения поверочной жидкости, 1/°C; вычисляют по формуле

(26)
где

- коэффициент объемного расширения поверочной жидкости при температуре поверочной жидкости в ТПУ или КП
tПУ, или в ПУ с ПР
tПРji, или в мернике
tмji, или в ПУ с весовыми устройствами
tвуji (в зависимости от применяемой ПУ) для
i-го измерения в
j-й точке диапазона расхода (вычисляют по
приложению Д), 1/°C;

- пределы допускаемой абсолютной погрешности СИ температуры, установленных в ТПУ, КП или ПУ с ПР, или ПУ с мерниками и/или весовыми устройствами, °C;

- пределы допускаемой абсолютной погрешности СИ температуры, установленного около поверяемого счетчика, °C;

- граница неисключенной систематической погрешности, обусловленной погрешностью СОИ, %; определяют по формуле

(27)
где

- пределы допускаемой относительной погрешности при вычислениях объема и массы жидкости (берут из описания типа, свидетельства о поверке или протокола поверки СОИ), %;

- граница неисключенной систематической погрешности определения объема поверочной жидкости с применением ПУ с мерниками, %; определяют по формуле

(28)
где

- пределы допускаемой относительной погрешности (доверительные границы суммарной погрешности) ПУ с мерниками, %;

- граница неисключенной систематической погрешности определения массы поверочной жидкости с применением ПУ с весовыми устройствами, %; определяют по формуле

(29)
где

- пределы допускаемой относительной погрешности (доверительные границы суммарной погрешности) ПУ с весовыми устройствами, %;

- граница неисключенной систематической погрешности, обусловленной погрешностью измерений плотности, %; вычисляют по формуле

(30)
где

- пределы допускаемой абсолютной погрешности СИ плотности (берут из свидетельства о поверке), кг/м
3;

- минимальное значение плотности поверочной жидкости за время поверки, кг/м
3, вычисляют по формуле

(31)
Примечание - В случае если пределы допускаемой относительной погрешности (доверительные границы суммарной погрешности) ТПУ или КП, ПУ с ПР, ПУ с мерниками, ПУ с весовыми устройствами установлены с учетом погрешностей, обусловленных погрешностями СИ температуры и/или СОИ, и/или погрешностью измерений плотности, то из
формулы (23) соответствующие неисключенные систематические погрешности

,

, при этом
формулу (25) записывают в виде

(32)
12.3.4 СКО среднего значения результатов измерений в j-й точке диапазона расхода S0j, %, вычисляют по формуле

(33)
12.3.5 Границу случайной погрешности поверяемого счетчика в
j-й точке диапазона расхода при доверительной вероятности
P = 0,95

, %, вычисляют по формуле

(34)
где
t0,95j - квантиль распределения Стьюдента для количества измерений
nj в
j-й точке диапазона расхода (определяют по
таблице Г.1).
12.3.6 Относительную погрешность поверяемого счетчика в
j-й точке диапазона расхода

, %, вычисляют по формуле

(35)
где

- коэффициент, зависящий от соотношения случайной и неисключенной систематической погрешностей; в
j-й точке диапазона расхода вычисляют по формуле

(36)
где
- СКО суммы неисключенных систематических погрешностей в
j-й точке диапазона расхода, %; вычисляют по формуле

(37)
| | ИС МЕГАНОРМ: примечание. Абзац дан в соответствии с официальным текстом документа. | |

- суммарное СКО результатов измерений в
j-й точке диапазона расхода, %; вычисляют по формуле

(38)
Примечание - В случае если пределы допускаемой относительной погрешности (доверительные границы суммарной погрешности) ТПУ или КП, ПУ с ПР, ПУ с мерниками, ПУ с весовыми устройствами установлены с учетом погрешностей, обусловленных погрешностями СИ температуры и/или СОИ, и/или погрешностью измерений плотности, то из
формулы (37) соответствующие неисключенные систематические погрешности

,

исключают, при этом

вычисляют по
формуле (32).
12.4 Оценивание относительной погрешности
Поверяемый счетчик допускается к применению при выполнении условия

(39)
где

- предел допускаемой относительной погрешности поверяемого счетчика, установленный при испытаниях в целях утверждения типа, %.
Если
условие (39) не выполняется, то поверяемый счетчик не допускается к применению.
Примечание - В случае невыполнения
условия (39) рекомендуется определить новое значение коэффициента преобразования (для счетчиков с выходным импульсным сигналом) по
приложению Ж и провести повторную поверку.
13 Оформление результатов поверки
Результаты поверки оформляют в соответствии с действующим законодательством.
Результаты измерений и вычислений заносят в протокол поверки, рекомендуемая форма которого приведена в
приложениях А,
Б и
В.
(рекомендуемое)
ФОРМА ПРОТОКОЛА ПОВЕРКИ ПО ТРУБОПОРШНЕВОЙ УСТАНОВКЕ
ИЛИ КОМПАКТ-ПРУВЕРУ
Протокол поверки N _______
Место проведения поверки: _____________
Поверяемое СИ: Тип _____________ Зав. N _________
ПУ: Тип _____________ Зав. N _________
СОИ: Тип _____________ Зав. N _________
Поверочная жидкость: ____________________________
Таблица А.1
Исходные данные
Детекторы | V0, м3 | D, мм | S, мм | E, МПа |  , 1/°C |  , 1/°C |  , 1/°C | K, имп./м3 |
1 | 2 | 3 | 4 | 5 | | | | 9 |
| | | | | | | | |
Окончание таблицы А.1
Таблица А.2
Результаты измерений и вычислений
N точ./N изм. | Qji, м3/ч | Детекторы | Tji, с | tПУji, °C | PtПУji, МПа | tдji, °C |  , кг/м 3 | tсчji, °C | Pсчji, МПа |
1 | 2 | 3 | 4 | 5 | 6 | | 8 | 9 | 10 |
1/1 | | | | | | | | | |
... | | | | | | | | | |
1/n1 | | | | | | | | | |
... | | | | | | | | | |
m/1 | | | | | | | | | |
... | | | | | | | | | |
m/nm | | | | | | | | | |
Окончание таблицы А.2
N точ./N изм. | Nji, имп. | VПУji, м3 | Vсчji, м3 |  , % |
1 | 11 | 12 | 13 | |
1/1 | | | | |
... | | | | |
1/n1 | | | | |
... | | | | |
m/1 | | | | |
... | | | | |
m/nm | | | | |
Таблица А.3
N точ. (j) | Qj, м3/ч | Sj, % | t0,95j |  , % |  , % |  , % |  , % |
1 | 2 | 3 | 4 | 5 | 6 | 7 | 8 |
1 | | | | | | | |
... | | | | | | | |
т | | | | | | | |
Заключение: __________________ к дальнейшей эксплуатации _________________
наименование СИ (годен, не годен)
Поверитель: ______________________ ________ ___________________
должность, организация подпись инициалы, фамилия
Дата поверки: "___" _______ 20__ г.
Примечания
(рекомендуемое)
ФОРМА ПРОТОКОЛА ПОВЕРКИ ПО ПОВЕРОЧНОЙ УСТАНОВКЕ
С МЕРНИКАМИ И/ИЛИ ВЕСОВЫМИ УСТРОЙСТВАМИ
Протокол поверки N _______
Место проведения поверки: _____________
Поверяемое СИ: Тип _____________ Зав. N _________
ПУ: Тип _____________ Зав. N _________
СОИ: Тип _____________ Зав. N _________
Поверочная жидкость: ____________________________
Таблица Б.1
Исходные данные
 , 1/°C | K, имп./м3 |  , % |  , % |  , °C |  , °C |  , % |  , % |
1 | | | | 5 | 6 | 7 | |
| | | | | | | |
Таблица Б.2
Результаты измерений и вычислений
N точ./N изм. | Qji, м3/ч | Vji, м3 | Tji, с | tмji, °C | tвуji, °C | , кг/м 3 | tсчji, °C | Mji, кг | Vмji, м3 |
1 | 2 | 3 | 4 | | | 7 | 8 | | |
1/1 | | | | | | | | | |
... | | | | | | | | | |
1/n1 | | | | | | | | | |
... | | | | | | | | | |
m/1 | | | | | | | | | |
... | | | | | | | | | |
m/nm | | | | | | | | | |
Окончание таблицы Б.2
N точ./N изм. | Vвуji, м3 | Nji, имп. | Vсчji, м3 |  , % |
1 | | | 13 | |
1/1 | | | | |
... | | | | |
1/n1 | | | | |
... | | | | |
m/1 | | | | |
... | | | | |
m/nm | | | | |
Таблица Б.3
N точ. (j) | Qj, м3/ч | Sj, % | t0,95j |  , % |  , % |  , % |  , % |
1 | 2 | 3 | 4 | 5 | 6 | 7 | 8 |
1 | | | | | | | |
... | | | | | | | |
т | | | | | | | |
Заключение: _________________ к дальнейшей эксплуатации ___________________
наименование СИ (годен, не годен)
Поверитель: ________________________ ________ ___________________
должность, организация подпись инициалы, фамилия
Дата поверки: "___" _________ 20__ г.
Примечания
3
Графы 4 и
8 таблицы Б.1 заполняют только при поверке по ПУ с весовыми устройствами и обработке результатов измерений по
12.3.
7
Таблицу Б.3 заполняют только при обработке результатов измерений по
12.3.
(рекомендуемое)
ФОРМА ПРОТОКОЛА ПОВЕРКИ ПО ПОВЕРОЧНОЙ УСТАНОВКЕ
С ПРЕОБРАЗОВАТЕЛЯМИ ОБЪЕМНОГО РАСХОДА
Протокол поверки N _______
Место проведения поверки: _____________
Поверяемое СИ: Тип _____________ Зав. N _________
ПУ: Тип _____________ Зав. N _________
СОИ: Тип _____________ Зав. N _________
Поверочная жидкость: ____________________________
Таблица В.1
Исходные данные
K, имп./м3 |  , % |  , °C |  , °C |  , % |
1 | | 3 | 4 | |
| | | | |
Таблица В.2
Результаты измерений и вычислений
N точ./N изм. | Qji, м3/ч | Tji, с | tПУji, °C | PПУji, МПа |  , кг/м 3 | tсчji, °C | Pсчji, МПа | Nji, имп. |
1 | 2 | 3 | 4 | 5 | 6 | 7 | 8 | 9 |
1/1 | | | | | | | | |
... | | | | | | | | |
1/n1 | | | | | | | | |
... | | | | | | | | |
m/1 | | | | | | | | |
... | | | | | | | | |
m/nm | | | | | | | | |
Окончание таблицы В.2
N точ./N изм. | VПУji, м3 | Vсчji, м3 |  , % |
1 | 10 | 11 | |
1/1 | | | |
... | | | |
1/n1 | | | |
... | | | |
m/1 | | | |
... | | | |
m/nm | | | |
Таблица В.3
N точ. (j) | Qj, м3/ч | Sj, % | t0,95j |  , % |  , % |  , % |  , % |
1 | 2 | 3 | 4 | 5 | 6 | 7 | 8 |
1 | | | | | | | |
... | | | | | | | |
т | | | | | | | |
Заключение: _________________ к дальнейшей эксплуатации ___________________
наименование СИ (годен, не годен)
Поверитель: ________________________ ________ ___________________
должность, организация подпись инициалы, фамилия
Дата поверки: "___" _________ 20__ г.
Примечания
(справочное)
СПРАВОЧНЫЕ МАТЕРИАЛЫ
Г.1 Квантиль распределения Стьюдента
Значения квантиля распределения Стьюдента
t0,95 при доверительной вероятности
P = 0,95 в зависимости от количества измерений приведены в
таблице Г.1.
Таблица Г.1
Значения квантиля распределения Стьюдента
при доверительной вероятности P = 0,95
n - 1 | 1 | 2 | 3 | 4 | 5 | 6 | 7 | 8 | 9 | 10 | 11 |
t0,95 | 12,706 | 4,303 | 3,182 | 2,776 | 2,571 | 2,447 | 2,365 | 2,306 | 2,262 | 2,228 | 2,201 |
Г.2 Коэффициенты расширения и модули упругости
Значения коэффициентов линейного расширения и модули упругости материалов стенок калиброванного участка ТПУ и КП, материала планки крепления детекторов КП в зависимости от материала приведены в
таблице Г.2.
Таблица Г.2
Коэффициенты линейного расширения и модули упругости
материалов стенок калиброванного участка ТПУ и КП, материала
стенок мерника, материала планки крепления детекторов КП
Материал |  , 1/°C |  , 1/°C |  , 1/°C | E, МПа |
Сталь углеродистая | 1,12·10-5 | 2,23·10-5 | 1,12·10-5 | 2,07·105 |
Сталь нержавеющая 304 | 1,73·10-5 | 3,46·10-5 | 1,73·10-5 | 1,93·105 |
Сталь нержавеющая 316 | 1,59·10-5 | 3,18·10-5 | 1,59·10-5 | 1,93·105 |
Сталь нержавеющая 17-4 | 1,08·10-5 | 2,16·10-5 | 1,08·10-5 | 1,97·105 |
Инвар | - | - | 1,44·10-6 | - |
(справочное)
ОПРЕДЕЛЕНИЕ КОЭФФИЦИЕНТОВ CTL И CPL
Д.1 Определение коэффициента CTL
Значение коэффициента CTL, учитывающего влияние температуры на объем поверочной жидкости, вычисляют по формуле

(Д.1)
где t - значение температуры поверочной жидкости, °C;

- значение коэффициента объемного расширения поверочной жидкости при температуре 15 °C и избыточном давлении 0 МПа, 1/°C; вычисляют по формуле

(Д.2)
где
K0,
K1,
K2 - коэффициенты, определяемые для нефти и нефтепродуктов по
таблице Д.1;

- значение плотности поверочной жидкости при температуре 15 °C и избыточном давлении 0 МПа, кг/м
3.
Таблица Д.1
Значения коэффициентов
K0,
K1,
K2 для нефти и нефтепродуктов
Наименование группы | Диапазон плотности при 15 °C, кг/м3 | K0 | K1 | K2 |
Нефть | | 613,9723 | 0,000 | 0,0000 |
Группы нефтепродуктов | Бензины | | 346,4228 | 0,43884 | 0,0000 |
Топлива, занимающие по плотности промежуточное место между бензинами и керосинами | | 2690,7440 | 0,00000 | -0,0033762 |
Топлива для реактивных двигателей, керосины для реактивных двигателей, авиационное реактивное топливо ДЖЕТ А, керосины | | 594,5418 | 0,0000 | 0,0000 |
Дизельные топлива, печные топлива, мазуты | | 186,9696 | 0,4862 | 0,0000 |
Смазочные масла нефтяного происхождения, полученные из дистиллятных масляных фракций с температурой кипения выше 370 °C | | 0,0000 | 0,6278 | 0,0000 |
Примечания 1 Нефтепродукты разделены на группы, имеющие внутри подгруппы, в указанном в таблице диапазоне плотности, аналогичные характеристики зависимости между коэффициентом объемного расширения  и плотностью нефтепродукта  . Наименования групп носят условный характер. 2 Если значение плотности нефтепродукта  попадает в диапазон плотности, соответствующей другой группе нефтепродуктов, то при расчете плотности конкретного нефтепродукта, в связи с условным наименованием групп, следует применять значения коэффициентов K0, K2, K3 той подгруппы нефтепродуктов, которой соответствует его плотность  . |
Д.2 Определение коэффициента CPL
Значение коэффициента CPL, учитывающего влияние давления на объем поверочной жидкости, вычисляют по формуле

(Д.3)
где

- коэффициент сжимаемости поверочной жидкости при температуре
t, 1/МПа; вычисляют по формуле

(Д.4)
P - значение избыточного давления поверочной жидкости, МПа.
Д.3 Определение коэффициента 
Значение коэффициента объемного расширения поверочной жидкости при температуре
t 
, 1/°C, вычисляют по формуле

(Д.5)
Д.4 Определение плотности 
Значение плотности поверочной жидкости при температуре 15 °C и избыточном давлении 0 МПа

, кг/м
3, вычисляют по формуле

(Д.6)
где

- значение плотности поверочной жидкости, кг/м
3;
CTLж - коэффициент, учитывающий влияние температуры на объем поверочной жидкости, определенный для температуры поверочной жидкости при измерении плотности и

;
CPLж - коэффициент, учитывающий влияние давления на объем поверочной жидкости, определенный для температуры и давления поверочной жидкости при измерении плотности и

.
Для определения

необходимо определить значения
CTLж и
CPLж, а для определения
CTLж и
CPLж, в свою очередь, необходимо определить значение плотности при стандартных условиях

. Поэтому значение

определяют методом последовательного приближения.
Вычисляют значения
CTLж(1) и
CPLж(1), принимая значение

равным значению

.
Вычисляют значение

, кг/м
3, по формуле

(Д.7)
Вычисляют значения
CTLж(2) и
CPLж(2), принимая значение

равным значению

.
Вычисляют значение

, кг/м
3, по формуле

(Д.8)
Аналогично вычисляют значения
CTLж(i) и
CPLж(i) и

для
i-го цикла вычислений и проверяют выполнение условия

(Д.9)
где

,

- значения

, определенные за последний и предпоследний цикл вычислений соответственно, кг/м
3.
(справочное)
АНАЛИЗА РЕЗУЛЬТАТОВ ИЗМЕРЕНИЙ НА НАЛИЧИЕ ПРОМАХОВ
Проверка результатов измерений на один промах по критерию Граббса.
СКО результатов измерений в j-й точке диапазона расхода Sj, %, вычисляют по формуле

(Е.1)
где

- относительное отклонение объема поверочной жидкости, измеренного поверяемым счетчиком, от объема поверочной жидкости, измеренного ПУ, за время
i-го измерения в
j-й точке диапазона расхода, %, вычисленное по
формуле (20);

- относительное отклонение объема поверочной жидкости, измеренного поверяемым счетчиком, от объема поверочной жидкости, измеренного ПУ, в
j-й точке диапазона расхода, %, вычисленное по
формуле (21);
nj - количество измерений в j-й точке диапазона расхода.
Примечание - При Sj < 0,001 принимаем Sj = 0,001.
Вычисляют наиболее выделяющееся соотношение U по формуле

(Е.2)
Если значение
U больше или равно значению
h, взятому из
таблицы Е.1, то результат измерения должен быть исключен как промах.
Таблица Е.1
Критические значения для критерия Граббса
n | 3 | 4 | 5 | 6 | 7 | 8 | 9 | 10 | 11 | 12 |
h | 1,155 | 1,481 | 1,715 | 1,887 | 2,020 | 2,126 | 2,215 | 2,290 | 2,355 | 2,412 |
(рекомендуемое)
ОПРЕДЕЛЕНИЕ КОЭФФИЦИЕНТА ПРЕОБРАЗОВАНИЯ СЧЕТЧИКА
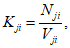
Ж.1 Коэффициент преобразования поверяемого счетчика для i-го измерения в j-й точке диапазона расхода Kji, имп./м3, вычисляют по формуле

(Ж.1)
где Nji - количество импульсов от поверяемого счетчика за время i-го измерения в j-й точке диапазона расхода, имп.;
Vji - объем поверочной жидкости, вычисленный по
формулам (2) или
(13), или
(14) в зависимости от применяемой ПУ, за время
i-го измерения в
j-й точке диапазона расхода, м
3.
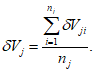
Ж.2 Коэффициент преобразования поверяемого счетчика в j-й точке диапазона расхода Kj, имп./м3, вычисляют по формуле

(Ж.2)
где nj - количество измерений в j-й точке диапазона расхода.
Ж.3 Коэффициент преобразования поверяемого счетчика в диапазоне расхода Kд, имп./м3, вычисляют по формуле

(Ж.3)
где m - количество точек расхода в диапазоне расхода.
| | Государственная система обеспечения единства измерений. Метрология. Основные термины и определения |
УДК 681.121:006.354 | |
Ключевые слова: поверка, счетчики, поверочная установка, метрологические характеристики |