Главная // Актуальные документы // Актуальные документы (обновление 29.11.2025 по 01.01.2026) // МетодикаСПРАВКА
Источник публикации
В данном виде документ опубликован не был.
Первоначальный текст документа также опубликован не был.
Информацию о публикации документов, создающих данную редакцию, см. в справке к этим документам.
Примечание к документу
Название документа
"Методика размещения пунктов коммерческого осмотра вагонов в поездах и коммерческих постов безопасности с расчетным обоснованием"
(утв. Распоряжением ОАО "РЖД" от 07.08.2019 N 1725/р)
(ред. от 09.10.2023)
"Методика размещения пунктов коммерческого осмотра вагонов в поездах и коммерческих постов безопасности с расчетным обоснованием"
(утв. Распоряжением ОАО "РЖД" от 07.08.2019 N 1725/р)
(ред. от 09.10.2023)
от 7 августа 2019 г. N 1725/р
МЕТОДИКА
РАЗМЕЩЕНИЯ ПУНКТОВ КОММЕРЧЕСКОГО ОСМОТРА ВАГОНОВ В ПОЕЗДАХ
И КОММЕРЧЕСКИХ ПОСТОВ БЕЗОПАСНОСТИ С РАСЧЕТНЫМ ОБОСНОВАНИЕМ
| | Список изменяющих документов (в ред. Изменений, утв. Распоряжением ОАО "РЖД" от 09.10.2023 N 2534/р) | |
1.1. Методика размещения пунктов коммерческого осмотра вагонов в поездах и коммерческих постов безопасности с расчетным обоснованием (далее - Методика) предназначена для формирования схемы размещения пунктов коммерческого осмотра вагонов в поездах (далее - ПКО), постов коммерческой безопасности (далее - ПКБ) и постов коммерческой диагностики (далее - ПКД) на инфраструктуре ОАО "РЖД" в целях обеспечения сохранности и безопасности грузовых перевозок.
1.2. Методика разработана в соответствии с нормативными документами:
-
Регламент многоступенчатого контроля по обеспечению безопасности движения при приеме груза и порожних вагонов к перевозке, в пути следования и при выдаче груза, утвержденный распоряжением ОАО "РЖД" от 28 ноября 2017 г. N 2451р (далее - Регламент многоступенчатого контроля по обеспечению безопасности движения);
- СТО РЖД 1.02.033-2010 "Управление ресурсами на этапах жизненного цикла, рисками и анализом надежности (УРРАН). Порядок идентификации опасностей и рисков" (далее - СТО УРРАН).
1.3. Размещение ПКО или ПКБ производится на станциях размещения ПТО, а также имеющих горочные устройства, профилированную вытяжку или где осуществляется технологическая работа толчками. Размещение ПКД производится как правило на станциях смены локомотива или локомотивной бригады.
1.4. Расчет обоснования расположения ПКО, ПКБ и ПКД на станциях сети железных дорог ОАО "РЖД", а также актуализация схемы их размещения с целью планирования и корректировки инвестиционных и иных проектов хозяйства производится специалистами ЦФТО собственно не реже, чем 1 раз в 3 года.
(в ред.
Изменений, утв. Распоряжением ОАО "РЖД" от 09.10.2023 N 2534/р)
1.5. Методика предусматривает проведение необходимых расчетов с использованием статистических данных Автоматизированной системы оперативного контроля и анализа качества коммерческой работы и безопасности грузовых перевозок (АСКМ) и Единой автоматизированной системы актово-претензионной работы хозяйства коммерческой работы в сфере грузовых перевозок (ЕАСАПР М), а также сведений, предоставляемых специалистами ЦФТО в ручном режиме.
1.6. В целях ускорения проведения расчетов требуется разработка специализированного программного обеспечения в составе АСКМ. Для проведения опытных расчетов в рамках проверки положений Методики использовались частично автоматизированные решения, основанные на применении средств MS Excel на базе разовой выгрузки статистических данных ЕАСАПР М, а также данных, предоставленных ЦФТО.
1.7. На основании результатов расчета принимается решение о создании, упразднении либо изменении организационной структуры (ПКО, ПКБ или ПКД). Принятое решение согласовывается с подразделениями ОАО "РЖД", в штате которых работники выполняют функции коммерческого осмотра, и утверждается заместителем генерального директора ОАО "РЖД" - начальником Центра фирменного транспортного обслуживания - филиала ОАО "РЖД".
1.8. Расчетные данные, получаемые в соответствии с данной Методикой, основаны на результатах идентификации опасностей и рисков, связанных с безопасностью грузовых перевозок, выполненной в соответствии с СТО УРРАН.
Выбор схемы размещения ПКО, ПКБ и ПКД осуществляется на основании комплекса критериев, в числе которых учитываются выявленные коммерческие неисправности, способные привести к опасным для ОАО "РЖД" событиям. В качестве таких событий в соответствии с СТО УРРАН рассматриваются виды транспортных происшествий и иные связанные с нарушением правил безопасности движения и эксплуатации железнодорожного транспорта события (развал груза в пути следования, отцепка вагона от поезда из-за нарушения требования технических условий погрузки грузов или расстройства крепления груза).
1.9. Все предусмотренные Методикой расчеты выполняются в следующей последовательности:
- загрузка исходных данных и формирование начальной схемы расположения ПКО, ПКБ и ПКД;
- расчет балльной оценки целесообразности размещения ПКО, ПКБ и ПКД для каждой станции, входящей в начальную схему;
- формирование промежуточной схемы размещения ПКО, ПКБ и ПКД на основе полученных балльных оценок;
- проверка обеспечения безопасности перевозок грузов в промежуточной схеме размещения (на основе метода определения гарантийных расстояний);
- формирование финальной схемы размещения ПКО, ПКБ, ПКД.
1.10. В настоящей Методике используются следующие сокращения:
- АСКМ - автоматизированная система оперативного контроля и анализа качества коммерческой работы и безопасности грузовых перевозок;
- АСОУП - автоматизированная система оперативного управления перевозками;
- ЕАСАПР М - единая автоматизированная система актово-претензионной работы хозяйства коммерческой работы в сфере грузовых перевозок;
- коммерческий акт - коммерческий акт (
ф. ГУ-22 или ф. ИНУ-67);
- ПКБ - пост коммерческой безопасности;
- ПКД - пост коммерческой диагностики;
- ПКО - пункт коммерческого осмотра поездов и вагонов;
- ПОТ - пункт опробования автотормозов;
- ПТО - пункт технического обслуживания грузовых вагонов;
- ТСКО - программно-технические средства проведения коммерческого осмотра:
- Автоматизированная система коммерческого осмотра поездов и вагонов
(АСКО ПВ);
- Автоматизированная система коммерческого осмотра "Смотровая вышка"
(АСКО СВ);
- Тепловизионный комплекс дистанционного контроля загрузки вагонов
(Тепловизионный комплекс);
- Электронные вагонные весы, в том числе РТВ-Д;
- Интегрированный пост автоматизированного приема и диагностики
подвижного состава на сортировочных станциях (ППСС);
- Иные технические средства, используемые при проведении
коммерческого осмотра;
- ЦФТО - Центр фирменного транспортного обслуживания - филиал ОАО "РЖД".
2. Загрузка исходных данных и формирование начальной схемы расположения ПКО, ПКБ и ПКД
2.1. Загрузка исходных данных предполагает внесение в контур расчетов статистических данных двух категорий:
- нормативно-справочные данные автоматизированных систем;
- нормативно-справочные данные, вводимые работниками ЦФТО вручную;
- динамические статистические данные автоматизированных систем.
2.2. К нормативно-справочным данным автоматизированных систем, необходимым для проведения расчетов, относятся:
полный перечень ПКО на сети железных дорог, действующих на момент проведения расчетов;
полный перечень ПКБ на сети железных дорог, действующих на момент проведения расчетов;
полный перечень ПКД на сети железных дорог, действующих на момент проведения расчетов;
матрица соседних станций - таблица, представляющая собой все возможные пары станций с размещенными на них ПКО, ПКБ и ПКД, которые могут быть определены как соседние в соответствии с существующими планами формирования поездов;
тарифные расстояния между всеми парами Матрицы соседних станций;
справочник "Номенклатура перевозимых грузов", представляющий собой укрупненную классификацию перевозимых грузов, связывающий код груза по ЕТСНГ и код номенклатурной позиции;
перечень станций, осуществляющих прием вагонов в поездах на инфраструктуру ОАО "РЖД" с инфраструктуры сопредельных государств, либо инфраструктуры иных перевозчиков;
перечень станций, на которых организованы ПТО или ПОТ;
перечень станций, на которых имеются специальные места и технические средства для устранения коммерческих неисправностей;
наличие технических средств контроля и диагностики подвижного состава и груза по каждому направлению прибытия;
наличие горочных устройств и их автоматизация;
количество подходов к станции с различных направлений.
(п. 2.2 в ред.
Изменений, утв. Распоряжением ОАО "РЖД" от 09.10.2023 N 2534/р)
2.3. К нормативно-справочным данным, вводимым работниками ЦФТО при проведении расчетов для каждой станции предполагаемого расположения ПКО, ПКБ, ПКД, относятся:
- исключено. -
Изменения, утв. Распоряжением ОАО "РЖД" от 09.10.2023 N 2534/р;
- исключено. -
Изменения, утв. Распоряжением ОАО "РЖД" от 09.10.2023 N 2534/р;
- наличие технической возможности установки средств контроля диагностики подвижного состава и груза по каждому направлению прибытия;
- наличие неблагоприятных особенностей инфраструктуры.
2.4. В качестве динамических статистических данных для проведения расчетов используются:
- структура грузопотоков по всем станциям, на которых предполагается размещение ПКО, ПКБ, ПКД по данным АСОУП;
- количество и структура обнаруженных коммерческих неисправностей на ПКО, ПКБ и ПКД по причинам, связанным с нарушением или расстройством погрузки грузов в пути следования на основании составленных актов общей формы по данным ЕАСАПР М.
2.5. Специалисты ЦФТО при проведении расчетов задают в системе АСКМ перечень ПКО, ПКБ и ПКД, которые предполагаются изменить или добавить в существующей схеме размещения на основе организационно-распорядительных, технологических или иных предположений.
2.6. На основании заданного изменения в схеме расположения ПКО, ПКБ, ПКД система АСКМ запрашивает нормативно-справочные данные, вводимые вручную, осуществляет выборку необходимой нормативно-справочной информации автоматизированных систем и формирует необходимые динамические статистические данные за период, не меньший 1 года, предшествующего моменту проведения расчетов.
2.7. На основе полученных данных формируется начальная схема расположения ПКО, ПКБ и ПКД с графическим отображением на общей схеме железных дорог ОАО "РЖД" и примыкающих администраций.
3. Расчет балльной оценки целесообразности размещения ПКО, ПКБ и ПКД для каждой станции, входящей в начальную схему
3.1. Критерии балльной оценки
3.1.1. Определение потребности и приоритета организации и размещения ПКО, ПКБ и ПКД на станциях сети железных дорог реализуется на основании расчета и сравнительного анализа балльных критериев. Все критерии подразделяются на две группы:
- технические;
- технологические.
3.1.2. Технические критерии характеризуют уровень технического оснащения и развития станции, на которой предполагается расположение ПКО, ПКБ или ПКД. К техническим критериям относятся:
- наличие существующего пункта ПКО (ПКБ, ПКД) на станции;
- наличие на станции специальных мест и технических средств для устранения коммерческих неисправностей;
- количество подходов к станции с различных направлений;
- наличие горочных устройств на станции;
- наличие технических средств контроля и диагностики подвижного состава и груза по каждому направлению прибытия;
- наличие технической возможности установки средств контроля и диагностики подвижного состава и груза по каждому направлению прибытия;
- наличие неблагоприятных особенностей инфраструктуры.
3.1.3. Критерий "Наличие существующего пункта ПКО (ПКБ, ПКД) на станции" вводится в соответствии с
Регламентом многоступенчатого контроля по обеспечению безопасности движения.
Для данного критерия определяется следующая балльность оценки:
100 - в случае наличия существующего ПКО или ПКБ на станции планируемого размещения;
50 - в случае наличия существующего ПКД на станции планируемого размещения;
0 - в случае отсутствия существующего ПКО (ПКБ, ПКД) на рассматриваемой станции.
3.1.4. Критерий "Наличие на станции специальных мест и технических средств для устранения коммерческих неисправностей" вводится с целью:
- сокращения времени нахождения вагонов под устранением коммерческих неисправностей и ускорения продвижения вагонов;
- определения возможности разработки и реализации соответствующего порядка устранения коммерческих неисправностей вагонов, отцепляемых от поездов, в соответствии с техническими возможностями имеющихся складов, контейнерных и тяжеловесных площадок, а также наличия погрузочно-разгрузочных механизмов и обученного штата работников.
Исходя из местных условий, на основании количества отцепляемых вагонов и трудоемкости устранения коммерческих неисправностей, на станциях размещения ПКО или ПКБ могут создаваться специализированные пункты для устранения коммерческих неисправностей.
Для данного критерия определяется следующая балльность оценки:
100 - в случае наличия на станции специальных мест и технических средств для устранения коммерческих неисправностей;
50 - в случае наличия на станции специальных мест и отсутствия технических средств для устранения коммерческих неисправностей;
0 - в случае отсутствия на станции специальных мест для устранения коммерческих неисправностей.
3.1.5. Критерий "Количество подходов (перегонов) к станции с различных направлений" вводится для определения приоритетности размещения ПКО, ПКБ, ПКД в соответствии с топографическим расположением станции.
При этом для каждого подхода в отдельности определяется следующая балльность оценки:
50 - при поездопотоке на подходе более 50 пар поездов в сутки;
40 - при поездопотоке на подходе от 30 до 49 пар поездов в сутки;
30 - при поездопотоке на подходе от 20 до 29 пар поездов в сутки;
20 - при поездопотоке на подходе от 15 до 19 пар поездов в сутки;
10 - при поездопотоке на подходе от 10 до 14 пар поездов в сутки;
5 - при поездопотоке на подходе от 5 до 9 пар поездов в сутки;
0 - при поездопотоке на подходе менее 5 пар поездов в сутки.
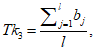
Общее количество баллов по данному критерию определяется по формуле:

(1)
где l - количество фактических подходов к станции;
bj - значение балльности оценки для j-го подхода.
3.1.6. Критерий "Наличие горочных устройств на станции" вводится для определения приоритетности размещения ПКО, ПКБ, ПКД в соответствии с принятой технологией переработки вагонов на станции.
Для данного критерия определяется следующая балльность оценки:
100 - в случае наличия немеханизированной сортировочной горки, профилированной вытяжки;
80 - в случае наличия механизированной сортировочной горки с ручными парковыми позициями;
50 - в случае наличия механизированной сортировочной горки;
30 - в случае наличия автоматизированной сортировочной горки;
0 - в случае отсутствия сортировочных горок, профилированных вытяжек, для станций, где технологическая работа толчками не производится.
Количество баллов по данному критерию определяется по формуле:
Tk4 = b x k, (2)
где b - значение балльности оценки;
k - коэффициент суточной переработки, который определяется как:
k = 1 при суточной переработке более 3500 вагонов;
k = 0,8 при суточной переработке от 2000 до 3499 вагонов;
k = 0,5 при суточной переработке от 1999 до 1000 вагонов;
k = 0,3 при суточной переработке 999 вагонов и менее.
3.1.7. Критерий "Наличие технических средств контроля и диагностики подвижного состава и груза по каждому направлению прибытия" вводится для определения приоритетности размещения ПКО (ПКБ, ПКД) в соответствии с топографическим расположением станции в зависимости от существующего оснащения средствами ТСКО.
Для данного критерия определяется следующая балльность оценки:
100 - в случае наличия технических средств, позволяющих осуществлять контроль от 85 до 100% всех прибывающих на станцию поездов;
80 - в случае наличия технических средств, позволяющих осуществлять контроль от 70 до 84% всех прибывающих на станцию поездов;
50 - в случае наличия технических средств, позволяющих осуществлять контроль от 50 до 69% всех прибывающих на станцию поездов;
30 - в случае наличия технических средств, позволяющих осуществлять контроль до 49% всех прибывающих на станцию поездов;
0 - в случае отсутствия технических средств.
3.1.8. Критерий "Наличие технической возможности установки средств контроля и диагностики подвижного состава и груза по каждому направлению прибытия" вводится для определения приоритетности размещения ПКО (ПКБ, ПКД) в соответствии с топографическим расположением станции в зависимости от существующего технического оснащения средствами контроля вагонов и грузов в коммерческом отношении. Основным фактором, препятствующим оснащению станций современными средствами диагностики вагонов и грузов, являются особенности инфраструктуры (узкое междупутье, криволинейность подходных путей, уклоны подходных путей, сложность путевого развития входных горловин) станций. В связи с вышесказанным, установка технических средств в нестандартных и сложных условиях значительно повышает стоимость работ по проектированию и строительству и ведет к снижению экономической эффективности и увеличению сроков окупаемости технических средств. Невозможность установки средств автоматизированного контроля и диагностики является основным ограничивающим фактором для оптимизации штата работников, осуществляющих коммерческий осмотр поездов, за счет автоматизации коммерческого осмотра.
(в ред.
Изменений, утв. Распоряжением ОАО "РЖД" от 09.10.2023 N 2534/р)
Для данного критерия определяется следующая балльность оценки:
100 - в случае наличия возможности установки технических средств, позволяющих осуществлять контроль от 85 до 100% прибывающих на станцию поездов;
80 - в случае наличия возможности установки технических средств, позволяющих осуществлять контроль от 70 до 84% прибывающих на станцию поездов;
50 - в случае наличия возможности установки технических средств, позволяющих осуществлять контроль от 50 до 69% прибывающих на станцию поездов;
30 - в случае наличия возможности установки технических средств, позволяющих осуществлять контроль до 49% прибывающих на станцию поездов;
0 - в случае отсутствия возможности установки технических средств.
3.1.9. Критерий "Наличие неблагоприятных особенностей инфраструктуры" вводится для учета наличия неблагоприятных особенностей инфраструктуры на прилегающих участках.
Применение данного критерия позволяет разместить ПКО (ПКБ, ПКД) с наибольшим эффектом прогнозирования возникновения, а также безусловного выявления и устранения, спрогнозированных на основании статистики коммерческих неисправностей.
Для данного критерия определяется следующая балльность оценки:
40 - в случае, когда на прилегающих участках инфраструктуры имеется 10 и более S-образных кривых радиусом 350 м и менее;
30 - в случае, когда на прилегающих участках инфраструктуры имеется 10 и более кривых радиусом 350 м и менее;
20 - в случае, когда на прилегающих участках инфраструктуры имеется 3 и более руководящих уклона

;
10 - в случае, когда на прилегающих участках инфраструктуры имеется 3 и более постоянно действующих ограничения скорости менее 60 км/час.
В случае наличия на прилегающем участке нескольких неблагоприятных особенностей инфраструктуры количество баллов для данного участка определяется как сумма баллов всех неблагоприятных особенностей.
Общее количество баллов по данному критерию определяется как среднее значение суммы баллов всех прилегающих участков по формуле:

(3)
где l - количество фактических подходов к станции;
bj - значение балльности оценки для j-го подхода.
3.1.10. Технологические критерии характеризуют условия работы станции, на которой предполагается расположение ПКО, ПКБ или ПКД.
3.1.11. К технологическим критериям относятся:
- прием вагонов в поездах на инфраструктуру ОАО "РЖД" с инфраструктуры сопредельных государств, либо инфраструктуры иных перевозчиков;
- расположение станции на границе полигонов управления;
- структура грузопотоков;
- количество перерабатываемых вагонов;
- количество коммерческих неисправностей выявленных и повлекших отцепку для устранения.
3.1.12. Критерий "Прием вагонов в поездах на инфраструктуру ОАО "РЖД" с инфраструктуры сопредельных государств, либо с инфраструктуры иных перевозчиков".
Для данного критерия определяется следующая балльность оценки:
100 - в случае размещения ПКО (ПКБ) на станции, осуществляющей прием вагонов в поездах на инфраструктуру ОАО "РЖД" с инфраструктуры сопредельных государств (пограничные станции), либо от иных перевозчиков;
0 - в случае приема вагонов в поездах только внутри инфраструктуры ОАО "РЖД".
3.1.13.
<1> Критерий "Расположение станции на границе полигонов управления" вводится в соответствии с реализацией перехода развития компании на полигонные технологии. Размещение средств контроля вагонов и грузов в коммерческом отношении на границах полигонов позволит полноценно реализовывать межхозяйственное взаимодействие в формирующейся полигонной структуре без потери качества и эффективности работы создаваемой сети ПКО (ПКБ, ПКД) включая техническое оснащение хозяйства.
--------------------------------
<1> Данный критерий применяется после определения границ всех полигонов на сети железных дорог ОАО "РЖД".
Для данного критерия определяется следующая балльность оценки:
100 - в случае размещения ПКО (ПКБ, ПКД) на границе формируемого полигона;
50 - в случае размещения ПКО (ПКБ, ПКД) внутри формируемого полигона.
3.1.14. Критерий "Структура грузопотоков (максимальная концентрация грузопотока по грузам, требующим контроля размещения и крепления при визуальном осмотре в парке)" позволяет на основании имеющихся данных провести анализ и определить наиболее значимые станции с точки зрения возможности выявления и устранения неисправностей, связанных с размещением и креплением грузов.
Для данного критерия определяется следующая балльность оценки:
100 - в случае если с прилегающих к станции участков осуществляется контроль преимущественно грузов, требующих контроля размещения и крепления с визуальным осмотром в парке не менее 80% от общего грузопотока с данного участка. При этом данный участок входит в маршруты с максимальным грузопотоком (более 10 поездов в сутки);
80 - в случае если с прилегающих к станции участков осуществляется контроль грузов различного рода и номенклатуры, в том числе требующих контроля размещения и крепления с визуальным осмотром в парке не менее 50% от общего грузопотока с данного участка. При этом данный участок входит в маршруты с максимальным грузопотоком (более 10 поездов в сутки);
50 - в случае если с прилегающих к станции участков будет осуществляться контроль грузов различного рода и номенклатуры, в том числе требующих контроля размещения и крепления с визуальным осмотром в парке не менее 80% от общего грузопотока с данного участка;
30 - в остальных случаях.
Общий балл по данному критерию определяется как среднее значение суммы баллов по каждому прилегающему участку по формуле:

(4)
где l - количество фактических подходов к станции;
bj - значение балльности оценки для j-го подхода.
3.1.15. Критерий "Количество перерабатываемых груженых вагонов (по типу вагонов)" позволяет на основании имеющихся данных провести анализ и определить наиболее значимые станции с точки зрения возможности выявления и устранения неисправностей, связанных с размещением и креплением грузов.
Для данного критерия определяется следующая балльность оценки:
100 - в случае если с прилегающих к станции участков перерабатывается от общего груженого вагонопотока с данного участка не менее 80% открытого подвижного состава (платформы, транспортеры, полувагоны, погруженные с шапкой);
80 - в случае если с прилегающих к станции участков перерабатывается от общего груженого вагонопотока с данного участка от 50% до 79% открытого подвижного состава (платформы, транспортеры, полувагоны, погруженные с шапкой) или не менее 80% цистерн, контейнеров;
50 - в случае если с прилегающих к станции участков перерабатывается от общего груженого вагонопотока с данного участка менее 49% открытого подвижного состава (платформы, транспортеры, полувагоны, погруженные с шапкой) или менее 79% цистерн, контейнеров.
Общий балл по данному критерию определяется как среднее значение суммы баллов по каждому прилегающему участку по формуле:

(5)
где l - количество фактических подходов к станции;
bj - значение балльности оценки для j-го подхода.
3.1.16. Критерий "Количество коммерческих неисправностей выявленных и повлекших отцепку вагона для устранения" определяется как максимальное количество выявленных коммерческих неисправностей на ПКО, ПКБ, ПКД, повлекших отцепку вагона, при этом должны учитываться только первичные акты общей формы.
Данный критерий позволяет применить при определении необходимости размещения ПКО, ПКБ, ПКД на станции статистическую информацию о существующем качестве коммерческого осмотра и аналитическую информацию о неисправностях, требующих отцепки.
Для данного критерия определяется следующая балльность оценки:
100 - в случае если на данной станции в настоящее время выявляется и отцепляется более 400 коммерческих неисправностей в расчете на один год исследуемого периода;
80 - в случае если на данной станции в настоящее время выявляется и отцепляется от 250 до 399 коммерческих неисправностей в расчете на один год исследуемого периода;
50 - в случае если на данной станции в настоящее время выявляется и отцепляется от 100 до 249 коммерческих неисправностей в расчете на один год исследуемого периода;
30 - в случае если на данной станции в настоящее время выявляется и отцепляется от 50 до 99 коммерческих неисправностей в расчете на один год исследуемого периода;
20 - в случае, если на данной станции в настоящее время выявляется и отцепляется от 49 до 10 коммерческих неисправностей в расчете на один год исследуемого периода;
0 - в случае если на данной станции в настоящее время выявляется и отцепляется 9 и менее коммерческих неисправностей в расчете на один год исследуемого периода.
3.2. Порядок выполнения расчетного обоснования для выбора мест расположения ПКО, ПКБ и ПКД
3.2.1. Расчетное обоснование необходимости размещения ПКО, ПКБ, ПКД выполняется системой АСКМ в виде вычисления "Индекса необходимости размещения", Ir.
3.2.2.
Ir представляет собой сумму балльных критериев, для каждой станции, предполагаемого расположения ПКО, ПКБ, ПКД и вычисляется по следующей формуле:

(6)
где Ir - индекс необходимости размещения;
Tki - количество баллов i-го технического критерия;
m - общее количество технических критериев (в данной Методике m = 7);
Tnj - количество баллов j-го технологического критерия;
l - общее количество технологических критериев (в данной Методике l = 5).
3.3. Анализ и интерпретация результата расчета "Индекса необходимости размещения" для предполагаемой станции размещения ПКО, ПКБ, ПКД
3.3.1. В случаях, когда для рассматриваемой станции расчетный показатель
Ir удовлетворяет условию
Ir >= 650
<2>, на станции рекомендуется размещение ПКО.
3.3.2. В случаях, когда расчетный показатель
Ir удовлетворяет условию 640
<2> >
Ir >= 450
<2>, на станции рекомендуется размещение ПКБ.
3.3.3. В случаях, когда расчетный показатель удовлетворяет условию 440
<2> >
Ir >= 300
<2>, на станции рекомендуется размещение ПКД.
--------------------------------
<2> При вводе критерия 3.1.11 "Расположение станции на границе полигонов управления" значения показателей условий увеличиваются на 100 (
Ir >= 750, 740 >
Ir >= 550, 540 >
Ir >= 350).
При этом ПКД может быть организован на станциях, эксплуатирующих ТСКО, на которых ранее размещался ПКО либо ПКБ и был упразднен, а также на станциях, в отношении которых было принято решение о необходимости и экономической эффективности размещения ПКД исходя из местных условий.
3.3.4. Размещение на станции ПКД предусматривает выполнение коммерческого осмотра и сбор иной диагностической и контрольной информации о состоянии вагонов и груза в коммерческом отношении только дистанционно техническими средствами.
Решения о необходимых коммерческих операциях принимаются оператором коммерческого осмотра в соответствии с требованиями Единого типового технологического процесса коммерческого осмотра вагонов и поездов на железнодорожных станциях.
Оператор коммерческого осмотра может располагаться на станции ПКД, на ближайшем ПКО (ПКБ) (опорном ПКО (ПКБ) или центре диагностики).
4. Формирование промежуточной схемы размещения ПКО, ПКБ и ПКД на основе полученных балльных оценок
4.1. Промежуточная схема размещения ПКО, ПКБ, ПКД формируется автоматически системой АСКМ на основе начальной схемы размещения и полученных балльных оценок в соответствии с алгоритмом, представленным в
разделе 3 настоящей Методики с графическим отображением на общей схеме железных дорог ОАО "РЖД" и примыкающих администраций.
4.2. Визуализированная промежуточная схема размещения предлагается для анализа специалисту ЦФТО, который может предложить внести в полученный результат необходимые корректировки в соответствии с имеющейся дополнительной нормативной, организационной или технологической информацией.
4.3. Промежуточная схема размещения отражает технологическую и техническую целесообразность размещения ПКО, ПКБ и ПКД, но не учитывает в полной мере риски возникновения коммерческих неисправностей в пути следования, угрожающих безопасности перевозок грузов.
5. Проверка безопасности промежуточной схемы размещения
5.1. Используемые определения
5.1.1. Решающие грузы - номенклатурные позиции грузов, перевозимые на определенном подвижном составе, характерные для перевозки между парой станций из матрицы соседних станций с долей от общего объема перевозимых грузов не менее 80% (рекомендуемое значение), зафиксированных в сетевой модели для этой пары станций.
5.1.2. Гарантийное расстояние - среднее расстояние перевозки, на котором не наступает расстройство погрузки в пути следования. Величина гарантийного расстояния зависит от груза и рода подвижного состава. Значение гарантийного расстояния определяет как максимальное расстояние, которое может пройти груз данной номенклатурной позиции в данном подвижном составе без расстройства погрузки и крепления в пути следования.
5.2. Порядок проведения проверки безопасности промежуточной схемы размещения
5.2.1. Проверка полученной промежуточной схемы размещения ПКО, ПКБ и ПКД на соответствие требованиям безопасности грузовых перевозок осуществляется методом расчета гарантийных расстояний перевозки грузов в следующей последовательности:
- построение сетевой модели коммерческих нарушений;
- приведение сетевой модели к укрупненной номенклатуре грузов и рода подвижного состава;
- определение гарантийных расстояний для каждой номенклатурной позиции грузов и рода подвижного состава;
- определение набора решающих грузов и для каждой пары станций из матрицы соседних станций;
- проверка выполнения гарантийных расстояний для каждого решающего груза на каждой паре станций из матрицы соседних станций;
- информирование специалиста ЦФТО о превышении установленных значений гарантийных расстояний.
5.3. Построение сетевой модели коммерческих нарушений
5.3.1. Построение сетевой модели коммерческих нарушений состоит в обобщении выгруженных из системы ЕАСАПР М данных о составленных актах общей формы, удостоверяющих обнаружение коммерческих неисправностей на ПКО (ПКБ, ПКД) и отцепку вагона по причинам, связанным с расстройством погрузки и крепления грузов в пути следования (диапазон вида коммерческой неисправности 2.1.1 - 2.1.4, 4.9 - 4.14 Классификатора коммерческих неисправностей грузовых вагонов, утвержденного распоряжением ОАО "РЖД" от 8 декабря 2022 г. N 3224/р. Обобщенная модель приводится к следующему виду:
станция обнаружения коммерческой неисправности;
наименование груза;
род подвижного состава;
пройденное расстояние от станции погрузки или станции предыдущего устранения коммерческой неисправности до станции обнаружения коммерческой неисправности;
вид коммерческой неисправности.
(п. 5.3.1 в ред.
Изменений, утв. Распоряжением ОАО "РЖД" от 09.10.2023 N 2534/р)
5.3.2. При проведении опытных расчетов по данной Методике сетевая модель нарушений была сформирована в формате данных MS Excel. Фрагмент сетевой модели нарушений приведен в
таблице 1.
Таблица 1
Фрагмент сетевой модели коммерческих нарушений
Станция обнаружения коммерческой неисправности | Наименование груза | Род подвижного состава | Пройденное расстояние, км |
Сызрань 1 КБШ | Автомобили специальные | Крытые | 171 |
Вековка ГОР | Автомобили специальные | Крытые | 571 |
Дружинино СВР | Автомобили специальные | Крытые | 991 |
Екатеринбург-Сортировочный СВР | Автомобили специальные | Крытые | 916 |
Инская ЗСБ | Автомобили специальные | Крытые | 629 |
Карымская ЗБК | Автомобили специальные | Крытые | 1573 |
Кинель КБШ | Автомобили специальные | Крытые | 654 |
Санкт-Петербург-Сорт.-Московский ОКТ | Автомобили специальные | Крытые | 513 |
Войновка СВР | Самосвалы | Крытые | 568 |
Бекасово-Сортировочное МСК | Автобензозаправщики | Платформы | 312 |
... | ... | ... | ... |
5.4. Приведение сетевой модели к укрупненной номенклатуре грузов и рода подвижного состава
5.4.1. Для сокращения размерности анализируемых данных полученная обобщенная модель приводится к укрупненной номенклатуре перевозимых грузов.
5.4.2. Используемая укрупненная номенклатура грузов приведена в
таблице 2.
Таблица 2
Укрупненная номенклатура решающих грузов
Наименование укрупненной номенклатурной позиции | Наименования номенклатурных позиций |
Автомобили | Автомобили Сельскохозяйственные машины |
Машины и оборудование | Машины и оборудование Металлические конструкции |
Остальные и продовольственные грузы | Бумага Остальные и сборные грузы Картофель, овощи и фрукты Продовольственные товары Сахар Соль поваренная Жмыхи Продукты перемола |
Грузы в контейнерах | Крупнотоннажные контейнеры Метизы |
ЖБИ и материалы строительные | ЖБИ Материалы строительные |
Каменный уголь | Каменный уголь Кокс Антрацит |
Лесные грузы | Лесные грузы |
Металлы | Черные металлы Лом черных металлов Цветные металлы, изделия из них и лом цветных металлов |
Руда | Руда железная и марганцевая Руда цветная и серное сырье |
Нефть и нефтепродукты | Нефть и нефтепродукты |
Промышленное сырье и формовочные материалы | Промышленное сырье Формовочные материалы Торф и торфяная продукция |
Промышленные товары народного потребления | Промышленные товары народного потребления |
Строительные грузы | Строительные грузы Цемент Огнеупоры Шлаки |
Химикаты | Химикаты и сода Флюсы Химические и минеральные удобрения |
5.4.3. Для каждой перевозки определяется укрупненная номенклатура рода подвижного состава. В качестве возможных значений используются:
- крытые;
- платформы;
- полувагоны;
- цистерны;
- прочие (специализированные).
5.4.4. При проведении опытных расчетов по данной Методике была сформирована приведенная сетевая модель нарушений в формате данных MS Excel. Фрагмент приведенной сетевой модели нарушений приведен в
таблице 3.
Таблица 3
Фрагмент приведенной сетевой модели коммерческих нарушений
Станция обнаружения коммерческой неисправности | Наименование груза | Наименование номенклатуры груза | Род подвижного состава | Пройденное расстояние, км |
Сызрань 1 КБШ | Автомобили специальные | Автомобили | Крытые | 171 |
Вековка ГОР | Автомобили специальные | Автомобили | Крытые | 571 |
Дружинино СВР | Автомобили специальные | Автомобили | Крытые | 991 |
Екатеринбург-Сортировочный СВР | Автомобили специальные | Автомобили | Крытые | 916 |
Инская ЗСБ | Автомобили специальные | Автомобили | Крытые | 629 |
Карымская ЗБК | Автомобили специальные | Автомобили | Крытые | 1573 |
Кинель КБШ | Автомобили специальные | Автомобили | Крытые | 654 |
Санкт-Петербург-Сорт.-Московский ОКТ | Автомобили специальные | Автомобили | Крытые | 513 |
Войновка СВР | Самосвалы | Автомобили | Крытые | 568 |
Бекасово-Сортировочное МСК | Автобензозаправщики | Автомобили | Платформы | 312 |
... | ... | | ... | ... |
5.5. Определение гарантийных расстояний для каждой номенклатурной позиции грузов и рода подвижного состава
5.5.1. Для каждого сочетания номенклатуры груза и рода подвижного состава определяется гарантийное расстояние по формуле:

(7)
где Rij - гарантийное расстояние перевозки груза i-ой номенклатурной позиции в j-ом подвижном составе;
n - количество перевозок с выявленными коммерческими нарушениями расстройства погрузки и крепления груза i-ой номенклатурной позиции в j-ом подвижном составе;

- фактическое расстояние
k-ой перевозки груза
i-ой номенклатурной позиции в
j-ом подвижном составе от станции погрузки или станции предыдущего коммерческого осмотра до станции обнаружения коммерческой неисправности.
В количестве перевозок с выявленными коммерческими нарушениями расстройства погрузки и крепления груза не учитываются вагоны, прошедшие менее 100 км и отцепленные на первом ПКО или ПКБ (не качественный прием груза к перевозке) или выявленные при приеме от сопредельных государств.
5.5.2. Определенные гарантийные расстояния ранжируются методом приведения значений к диапазонам, приведенным в таблице 4. Диапазон гарантийного расстояния соответствует процентному соотношению от общего итога рассчитанного гарантийного расстояния.
Таблица 4
Диапазоны гарантийных расстояний
N Диапазона гарантийного расстояния | Диапазон гарантийного расстояния, % |
0 | < 40 |
1 | >= 40, < 60 |
2 | >= 60, < 80 |
3 | >= 80, < 100 |
4 | >= 100, < 120 |
5 | >= 120, < 140 |
6 | >= 140, < 160 |
7 | >= 160 |
(п. 5.5.2 в ред.
Изменений, утв. Распоряжением ОАО "РЖД" от 09.10.2023 N 2534/р)
5.5.3. Допускается изменение гарантийного расстояния для отдельных номенклатур грузов. Гарантийные расстояния перевозки утверждаются заместителем генерального директора ОАО "РЖД" - начальником Центра фирменного транспортного обслуживания ежегодно.
(п. 5.5.3 в ред.
Изменений, утв. Распоряжением ОАО "РЖД" от 09.10.2023 N 2534/р)
5.5.4. В случае увеличения количества коммерческих нарушений по определенной номенклатуре груза и роду подвижного состава в рассматриваемый период до 20% от общего количества отцепленных вагонов, определяется среднее расстояние для конкретной номенклатуры груза для включения ее в реестр решающих грузов.
5.5.5. В результате ранжирования формируется таблица со следующими данными:
- наименование номенклатуры груза;
- род подвижного состава;
- количество выявленных коммерческих неисправностей;
- гарантийное расстояние;
- диапазон гарантийного расстояния.
5.5.6. При проведении опытных расчетов по данной Методике приведенная сетевая модель нарушений сформирована в формате данных MS Excel. В таблице 5 приведен упрощенный фрагмент расчета. Полный расчет производится по аналогии.
Таблица 5
Диапазоны гарантийных расстояний для решающих грузов
Наименование укрупненной номенклатуры решающих грузов и рода подвижного состава | Количество выявленных коммерческих неисправностей | Гарантийное расстояние, км | Диапазон Гарантийного расстояния, диапазон |
Автомобили | 1292 | 672 | 4 |
Крытые | 8 | 284 | 1 |
Платформы | 998 | 640 | 4 |
Полувагоны | 11 | 339 | 1 |
Прочие | 275 | 813 | 5 |
Машины и оборудование | 1835 | 694 | 4 |
Крытые | 21 | 433 | 2 |
Платформы | 1492 | 697 | 4 |
Полувагоны | 147 | 587 | 3 |
Прочие | 175 | 791 | 5 |
... | ... | ... | ... |
Общий итог | 22572 | 625 | 3 |
(п. 5.5.6 в ред.
Изменений, утв. Распоряжением ОАО "РЖД" от 09.10.2023 N 2534/р)
5.6. Определение набора решающих грузов для каждой пары станций из матрицы соседних станций
5.6.1. Для каждой пары станций из матрицы соседних станций, на которых предполагается расположение ПКО, ПКБ или ПКД, определяется набор номенклатурных позиций и видов подвижного состава, составляющих решающие грузы.
5.6.2. При проведении опытных расчетов по данной Методике матрица соседних станций была сформирована в формате данных MS Excel. Фрагмент матрицы соседних станций приведен в
таблице 6.
Таблица 6
Фрагмент Матрицы соседних станций
Станция проведения коммерческого осмотра | Предыдущая станция проведения коммерческого осмотра | Расстояние, км |
Агрыз ГОР | Екатеринбург-Сортировочный СВР | 561 |
Агрыз ГОР | Юдино ГОР | 307 |
Агрыз ГОР | Лянгасово ГОР | 441 |
Агрыз ГОР | Дружинино СВР | 486 |
Агрыз ГОР | Пермь-Сортировочная СВР | 392 |
Агрыз ГОР | Орехово-Зуево МСК | 1027 |
Аксарайская 2 ПРВ | Анисовка ПРВ | 607 |
Анисовка ПРВ | Кочетовка 1 ЮВС | 480 |
Анисовка ПРВ | Им. Максима Горького ПРВ | 448 |
Анисовка ПРВ | Новоперелюбская ПРВ | 345 |
Анисовка ПРВ | Ртищево 1 ЮВС | 217 |
Анисовка ПРВ | Кинель КБШ | 508 |
Анисовка ПРВ | Оренбург ЮУР | 779 |
... | ... | ... |
5.7. Проверка выполнения гарантийных расстояний для каждого решающего груза на каждой паре станций из матрицы соседних станций
5.7.1. Для каждого решающего груза, определенного для каждой пары станций матрицы соседних станций, рассчитывается значение гарантийного расстояния на основе алгоритмов, изложенных в
п. 5.4,
5.5 настоящей Методики.
5.7.2. В случае если на конкретном участке инфраструктуры, ограниченном парой станций, рассчитанное значение гарантийного расстояния меньше, чем расстояние между станциями предполагаемого расположения ПКО, ПКБ или ПКД, проводится анализ возникновения на данном участке случаев угрожающих безопасности движения (задержка поезда или отцепка вагона по коммерческой неисправности). При возникновении на участке инфраструктуры, ограниченном парой станций в рассматриваемый период более трех случаев угрожающих безопасности формируется предложение о необходимости проведения коммерческого осмотра на одной из станций с организацией на ней ПКД. В противном случае возрастает риск возникновения транспортных происшествий или иных событий.
5.7.3. В целях увеличения протяженности гарантийного расстояния, для номенклатуры грузов ограничивающих расстояние безопасной перевозки установленных на сети железных дорог, ЦФТО подготавливает предложения, направленные на увеличение гарантийного расстояния перевозки.
5.8. Информирование о превышении установленных значений гарантийных расстояний
5.8.1. Информация обо всех выявленных случаях превышения гарантийного расстояния визуализируется на общей схеме железных дорог ОАО "РЖД" и примыкающих администраций и предлагается специалистам для принятия решений о внесении корректировок в промежуточную схему размещения ПКО, ПКБ, ПКД.
5.8.2. После принятия решений и внесения соответствующих корректировок в промежуточную схему размещения должна быть выполнена повторная проверка полученного результата методом расчета гарантийных расстояний перевозки грузов.
6. Формирование финальной схемы размещения ПКО, ПКБ, ПКД
6.1. При получении положительного результата проверки гарантийных расстояний производится окончательная визуализация схемы размещения ПКО, ПКБ и ПКД на сети железных дорог.
6.2. Пример проведения расчетов, формирования промежуточной и финальной схемы размещения ПКО, ПКБ, ПКД приведен в
приложении 1.
6.3. Актуализированная схема размещения пунктов коммерческого осмотра поездов и вагонов и коммерческих постов безопасности на сети железных дорог ОАО "РЖД" до 2020 года приведена в
приложении 2.
1. Определение технических критериев
1.1. В соответствии с
пунктом 3.1.3 определяется количество баллов по критерию
"Наличие существующего пункта ПКО (ПКБ, ПКД) на станции".
На станции А функционирует ПКО, станции присваивается 100 баллов.
Tk1 = 100.
1.2. В соответствии с
пунктом 3.1.4 определяется количество баллов по критерию
"Наличие на станции специальных мест и технических средств для устранения коммерческих неисправностей".
На станции А функционирует пункт исправления коммерческих неисправностей, оборудованный техническими средствами, станции присваивается 100 баллов.
Tk2 = 100.
1.3. В соответствии с
пунктом 3.1.5 определяется количество баллов по критерию
"Количество подходов (перегонов) к станции с различных направлений".
К станции А примыкает 3 подхода:
- со станции Б - 7 пар поездов = 5 баллов;
- со станции В - 9 пар поездов = 5 баллов;
- со станции Г - 17 пар поездов = 20 баллов.
Общее количество баллов по данному критерию определяется:
Tk3 = 5 + 5 + 20 = 30 баллов.
Tk3 = 30.
1.4. В соответствии с
пунктом 3.1.6 определяется количество баллов по критерию
"Наличие горочных устройств на станции".
На станции А размещена механизированная сортировочная горка, на которой перерабатывается 3570 вагонов.
Количество баллов по данному критерию определяется:
Tk4 = 50 x 1 = 50 баллов.
Tk4 = 50.
1.5. В соответствии с
пунктом 3.1.7 определяется количество баллов по критерию
"Наличие технических средств контроля и диагностики подвижного состава и груза по каждому направлению прибытия".
С направления станции Б ежесуточно поступает 63 поезда, из которых 14 поездов (22%) осматривается с использованием системы АСКО ПВ.
С направления станции В ежесуточно поступает 69 поездов, из которых 18 поездов (26%) осматривается с использованием АСКО ПВ.
С направления станции Г ежесуточно поступает 15 поездов, все поезда осматриваются с использованием АСКО ПВ.
Таким образом, с трех направлений на станцию А ежесуточно прибывает 147 поездов, из которых 47 поездов (32%) осматривается с использованием АСКО ПВ, станции присваивается 30 баллов.
Tk5 = 30.
1.6. В соответствии с
пунктом 3.1.8 определяется количество баллов по критерию
"Наличие технической возможности установки средств контроля и диагностики подвижного состава и груза по каждому направлению прибытия".
На станции А существует возможность установки технических средств, позволяющих осуществлять контроль от 85 до 100% прибывающих поездов, станции присваивается 100 баллов.
Tk6 = 100.
1.7. В соответствии с
пунктом 3.1.9 определяется количество баллов по критерию
"Наличие неблагоприятных особенностей инфраструктуры".
С направления станции Б к станции примыкает участок на котором имеется:
- более 3-х руководящих уклонов более

, присваивается 20 баллов;
- более 10 кривых радиусом менее 350 м, присваивается еще 30 баллов.
По направлению Б присваивается 50 баллов.
С направления станции В к станции примыкает участок, на котором имеется:
- более 10 S-образных кривых радиусом 350 м и менее.
По направлению В присваивается 40 баллов.
С направления станции Г к станции примыкает участок, на котором отсутствуют перечисленные в Методике неблагоприятные особенности инфраструктуры:
По направлению Г присваивается 0 баллов.
Общее количество баллов по данному критерию определяется:
Tk7 = 30.
2. Определение технологических критериев
2.1. В соответствии с
пунктом 3.1.12 определяется количество баллов по критерию
"Прием вагонов в поездах на инфраструктуру ОАО "РЖД" с инфраструктуры сопредельных государств, либо с инфраструктуры иных перевозчиков".
На станции А не осуществляется прием поездов с инфраструктуры сопредельных государств и иных перевозчиков, станции присваивается 0 баллов.
Tn1 = 0.
2.2. В соответствии с
пунктом 3.1.13 определяется количество баллов по критерию
"Расположение станции на границе полигонов управления". До определения границ всех полигонов на сети железных дорог ОАО "РЖД" данный критерий не учитывается.
Tn2 = 0.
2.3. В соответствии с
пунктом 3.1.14 определяется количество баллов по критерию
"Структура грузопотоков (максимальная концентрация грузопотока по грузам, требующим контроля размещения и крепления при визуальном осмотре в парке)".
С направления станции Б визуальным осмотром в парке осуществляется контроль 70% грузов от общего грузопотока с направления, при этом грузопоток по направлению составляет более 10 поездов в сутки, присваивается 80 баллов.
С направления станции В визуальным осмотром в парке осуществляется контроль 85% грузов от общего грузопотока с направления, при этом грузопоток по направлению составляет 9 поездов в сутки, присваивается 50 баллов.
С направления станции Г визуальным осмотром в парке осуществляется контроль менее 50% грузов от общего грузопотока с направления, при этом грузопоток по направлению составляет 12 поездов в сутки, присваивается 30 баллов.
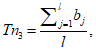
Общее количество баллов по данному критерию определяется:
Tn3 = 53.
2.4. В соответствии с
пунктом 3.1.15 определяется количество баллов по критерию
"Количество перерабатываемых груженых вагонов (по типу вагонов)".
С направления станции Б осмотрен 442221 вагон, из них - платформы, транспортеры, полувагоны погруженные с шапкой - 390111 вагонов (88%), цистерны и контейнеры - 30149 вагонов (7%), по направлению присваивается 100 баллов.
С направления станции В осмотрено 123596 вагонов, из них - платформы, транспортеры, полувагоны погруженные с шапкой - 10622 вагона (9%), цистерны и контейнеры - 100512 вагонов (81%), по направлению присваивается 80 баллов.
С направления станции Г осмотрено 272358 вагонов, из них - платформы, транспортеры, полувагоны погруженные с шапкой - 30385 вагонов (11%), цистерны и контейнеры - 115442 вагона (43%), по направлению присваивается 50 баллов.
Общее количество баллов по данному критерию определяется:
Tn4 = 77.
2.5. В соответствии с
пунктом 3.1.16 определяется количество баллов по критерию
"Количество коммерческих неисправностей, выявленных и повлекших отцепку вагона для устранения".
На станции А отцеплено 430 вагонов для устранения коммерческих неисправностей, угрожающих безопасности движения поездов, станции присваивается 100 баллов.
Tn5 = 100.
3. Определение индекса размещения
3.1. В соответствии с
пунктом 3.2.2 определяется сумма баллов по всем критериям:
Ir = 100 + 100 + 30 + 50 + 30 + 100 + 30 + 0 +
+ 0 + 53 + 77 + 100 = 670.
Итого, значение индекса размещения для станции составляет 670 баллов.
3.2. В соответствии с
пунктом 3.3.1 определяем, что на данной станции необходимо размещение ПКО.
4. Визуализация расположения ПКО на станции А на промежуточной схеме размещения ПКО, ПКБ, ПКД
5. Проверка безопасности промежуточной схемы
5.1. Для проверки безопасности принятого решения по расположению на станции
А ПКО проводятся расчеты, приведенные в
разделе 5 методики.
Даже для проведения проверки только по одной станции необходимо построение сетевой модели гарантийных расстояний. Примеры расчетов описаны в
пунктах 5.2,
5.3 и
5.4 настоящего Примера. Однако при проведении расчетов для набора станций указанные пункты выполняются только один раз.
5.2. В соответствии с
пунктом 5.3 проводится
построение сетевой модели коммерческих нарушений.
Сетевая модель коммерческих нарушений рассчитана средствами MS Excel, фрагмент приведен в
таблице 1.
5.3. В соответствии с
пунктом 5.4 осуществляется
приведение сетевой модели к единой номенклатуре перевозимых грузов.
Для каждого рода груза устанавливается однозначное соответствие с номенклатурной позицией. Пример такого соответствия для номенклатурной позиции "Автомобили" приведен в
таблице П1.
Таблица П1
Пример соответствия грузов
и номенклатурной позиции "Автомобили"
N п/п | Род груза | Номенклатурная позиция |
1 | Автомобили специальные | Автомобили |
2 | Самосвалы |
3 | Автобензозаправщики |
4 | Автобусы |
5 | Автомастерские передвижные |
6 | Автомобили грузовые в ремонт и из ремонта |
7 | Автомобили грузовые, н.п. |
8 | Автомобили и их части |
9 | Автомобили легковые |
10 | Самосвалы |
11 | Трейлеры |
12 | Шасси автомобильные и автобусные |
13 | Кузова автомобильные |
14 | Полуприцепы автомобильные |
15 | Прицепы автомобильные |
Далее определяется укрупненная номенклатура рода подвижного состава.
Для каждой фактически выполненной грузовой перевозки с обнаруженным коммерческим нарушением устанавливается соответствие между фактически пройденным расстоянием до выявления коммерческого нарушения и диапазоном расстояний. Так, если фактическое расстояние R = 322 км, то соответствующий ему диапазон принимается равным 1.
(в ред.
Изменений, утв. Распоряжением ОАО "РЖД" от 09.10.2023 N 2534/р)
5.4. В соответствии с
пунктом 5.5 определяются гарантийные расстояния для каждой номенклатуры грузов и рода подвижного состава.
В соответствии с приведенным алгоритмом для номенклатурной позиции "Автомобили" и рода подвижного состава "Платформы" определено гарантийное расстояние 640 км, соответствующее диапазону расстояний равным 4.
(в ред.
Изменений, утв. Распоряжением ОАО "РЖД" от 09.10.2023 N 2534/р)
Приведенная сетевая модель нарушений была сформирована в формате данных MS Excel. Фрагмент расчетов приведен в
таблице 5.
5.5. В соответствии с
пунктом 5.6 определяется набор решающих грузов для каждой пары станций из матрицы соседних станций.
Для пары станций А и В, на которых проводится коммерческий осмотр в соответствии с рассчитанной промежуточной схемой размещения, определяется набор решающих грузов.
Пример расчета для указанных станций набор решающих грузов состоит из следующих пар "Номенклатура груза" - "Род подвижного состава" приведен в
таблице П2.
Таблица П2
N п/п | Номенклатура груза | Род подвижного состава |
1 | Лесные грузы | Платформы |
2 | Лесные грузы | Полувагоны |
Далее определяется расстояние между соседними станциями.
Для выбранных станций А и В по матрице соседних станций определяется расстояние, равное 929 км.
5.6. В соответствии с
пунктом 5.7 осуществляется проверка гарантийных расстояний для выбранных решающих грузов.
Для решающих грузов "Лесные грузы на платформах" и "Лесные грузы в полувагонах" среднесетевые гарантийные расстояния составляют 430 и 578 км соответственно.
5.7. В соответствии с
пунктом 5.8 осуществляется
информирование о превышении или непревышении установленных значений гарантийных расстояний.
Поскольку рассчитанное значение среднесетевых гарантийных расстояний меньше, чем величина расстояние между станциями А и В, формируется предположение о необходимости проведения коммерческого осмотра на одной из промежуточных станций с организацией ПКД.
РАЗМЕЩЕНИЯ ПУНКТОВ КОММЕРЧЕСКОГО ОСМОТРА ПОЕЗДОВ И ВАГОНОВ
И КОММЕРЧЕСКИХ ПОСТОВ БЕЗОПАСНОСТИ НА СЕТИ ЖЕЛЕЗНЫХ ДОРОГ
ОАО "РЖД" ДО 2020 ГОДА
Таблица П2.1
Предлагаемые станции размещения ПКО, ПКБ, ПКД
| | ИС МЕГАНОРМ: примечание. Строки, затемненные серой заливкой в официальном тексте документа, в электронной версии документа отмечены символом "&". | |
N п/п | Дорога, ПКО или КПБ | Технические | Технологические | Итог расчета индекса | Рекомендация по размещению ПКО, ПКБ, ПКД | Существующее состояние |
Наличие существующего пункта ПТО или ПОТ на станции | Наличие существующего пункта ПКО (ПКБ, ПКД) | Наличие на станции мест и технических средств для устранения КН | Количество подходов к станции с различных направлений | Наличие на станции горочных устройств | Наличие ТСКО по каждому направлению прибытия | Наличие тех. возможности установки ТСКО по каждому направлению прибытия | Наличие неблагоприятных особенностей инфраструктуры | Прием вагонов с инфраструктуры сопредельных государств либо инфраструктуры иных перевозчиков | Направления грузопотоков | Количество перерабатываемых груженых вагонов (по типу вагонов) | Количество КН выявленных и повлекших отцепку вагона для устранения |
1 | 2 | 3 | 4 | 5 | 6 | 7 | 8 | 9 | 10 | 11 | 12 | 13 | 14 | 15 | 16 | 17 |
| Октябрьская |
1 | Санкт-Пет.С.Мск. | ПТО | 100 | 50 | 150 | 55 | 80 | 100 | 10 | 0 | 100 | 50 | 100 | 795 | ПКО | ПКО |
2 | Ивангород-Нарвский | ПТО | 100 | 50 | 10 | 0 | 100 | 100 | 10 | 100 | 50 | 50 | 20 | 590 | ПКБ | ПКО |
3 | Пыталово | ПТО | 100 | 50 | 10 | 0 | 50 | 100 | 10 | 100 | 50 | 50 | 20 | 540 | ПКБ | ПКО |
4 | Беломорск | ПТО | 100 | 50 | 60 | 50 | 30 | 100 | 30 | 0 | 100 | 80 | 50 | 650 | ПКО | ПКО |
5 | Волховстрой-1 | ПТО | 100 | 50 | 30 | 40 | 80 | 100 | 10 | 0 | 100 | 50 | 0 | 560 | ПКБ | ПКБ |
6 | Печоры-Псковские | ПТО | 100 | 100 | 10 | 0 | 50 | 100 | 10 | 100 | 80 | 50 | 0 | 600 | ПКБ | ПКО |
7 | Невель-2 | МПТП | 100 | 50 | 10 | 0 | 50 | 100 | 10 | 100 | 50 | 50 | 20 | 540 | ПКБ | ПКО |
8 | Себеж | МПТП | 100 | 50 | 10 | 0 | 100 | 100 | 10 | 100 | 100 | 50 | 50 | 670 | ПКО | ПКО |
9 | Светогорск | МПТП | 100 | 50 | 10 | 0 | 0 | 100 | 10 | 100 | 50 | 80 | 100 | 600 | ПКБ | ПКО |
10 | Бусловская | МПТП | 100 | 100 | 10 | 0 | 100 | 100 | 10 | 100 | 100 | 50 | 100 | 770 | ПКО | ПКО |
11 | Вяртсиля | МПТП | 100 | 50 | 0 | 0 | 0 | 100 | 30 | 100 | 50 | 50 | 0 | 480 | ПКБ | ПКО |
| & |
13 | Кивиярви | ------ | 100 | 50 | 0 | 0 | 0 | 100 | 30 | 100 | 50 | 50 | 0 | 480 | ПКБ | ПКО |
14 | Сонково | ПОТ | 100 | 50 | 80 | 0 | 80 | 100 | 30 | 0 | 100 | 80 | 30 | 650 | ПКО | ПКО |
15 | Бабаево | ПОТ | 100 | 50 | 100 | 0 | 80 | 100 | 30 | 0 | 100 | 80 | 20 | 660 | ПКО | ПКО |
16 | Ржев-Балтийский | ПОТ | 50 | 100 | 40 | 0 | 30 | 100 | 30 | 0 | 50 | 50 | 0 | 450 | ПКБ | ПКБ |
| Калининградская |
1 | Калининград Сорт. | ПТО | 100 | 100 | 80 | 80 | 0 | 100 | 50 | 0 | 100 | 50 | 0 | 660 | ПКО | ПКО |
2 | Чернышевское | ПТО | 100 | 0 | 0 | 0 | 50 | 100 | 50 | 100 | 100 | 50 | 20 | 570 | ПКБ | ПКО |
3 | Советск | МПТП | 100 | 0 | 30 | 0 | 0 | 100 | 50 | 100 | 50 | 50 | 0 | 480 | ПКБ | ПКО |
| Московская |
1 | Люблино Сорт. | ПТО | 100 | 50 | 40 | 40 | 100 | 100 | 0 | 0 | 100 | 50 | 100 | 680 | ПКБ | ПКО |
2 | Орехово-Зуево | ПТО | 100 | 100 | 90 | 30 | 100 | 100 | 0 | 0 | 100 | 80 | 100 | 800 | ПКО | ПКО |
3 | Лосиноостровская | ПТО | 100 | 50 | 15 | 15 | 0 | 100 | 0 | 0 | 80 | 50 | 100 | 510 | ПКБ | ПКО |
4 | Перово | ПТО | 100 | 100 | 15 | 15 | 80 | 100 | 0 | 0 | 50 | 80 | 100 | 640 | ПКБ | ПКО |
5 | Рыбное | ПТО | 100 | 100 | 50 | 40 | 100 | 100 | 0 | 0 | 100 | 80 | 100 | 770 | ПКО | ПКО |
6 | Бекасово-Сорт. | ПТО | 100 | 100 | 90 | 30 | 80 | 100 | 0 | 0 | 100 | 80 | 100 | 780 | ПКО | ПКО |
7 | Брянск Льговск. | ПТО | 100 | 100 | 40 | 25 | 100 | 100 | 0 | 100 | 100 | 80 | 100 | 845 | ПКО | ПКО |
8 | Курск | ПТО | 100 | 50 | 15 | 50 | 0 | 100 | 0 | 0 | 50 | 50 | 100 | 515 | ПКБ | ПКО |
9 | Плеханово | ПТО | 100 | 100 | 40 | 15 | 50 | 100 | 0 | 0 | 80 | 50 | 100 | 635 | ПКБ | ПКО |
10 | Узловая-1 | ПТО | 100 | 100 | 50 | 25 | 80 | 100 | 0 | 0 | 80 | 50 | 20 | 605 | ПКБ | ПКО |
11 | Смоленск-Сорт. | ПТО | 100 | 100 | 70 | 50 | 80 | 100 | 0 | 100 | 100 | 80 | 80 | 860 | ПКО | ПКО |
| & |
13 | Орел | ПТО | 100 | 100 | 10 | 25 | 0 | 100 | 0 | 0 | 50 | 50 | 100 | 535 | ПКБ | ПКБ |
14 | Унеча | ПОТ | 100 | 50 | 50 | 0 | 0 | 100 | 0 | 100 | 50 | 50 | 0 | 500 | ПКБ | ПКБ |
15 | Лужки Орловские | ПОТ | 100 | 100 | 25 | 25 | 50 | 100 | 0 | 0 | 80 | 50 | 100 | 630 | ПКБ | ПКО |
16 | Волоколамск | ПОТ | 100 | 50 | 20 | 0 | 100 | 100 | 20 | 0 | 50 | 50 | 30 | 520 | ПКБ | ПКБ |
| Горьковская |
1 | Н. Новгород Сорт. | ПТО | 100 | 50 | 50 | 24 | 100 | 100 | 100 | 0 | 100 | 50 | 100 | 774 | ПКО | ПКО |
2 | Лянгасово | ПТО | 100 | 100 | 50 | 24 | 30 | 100 | 100 | 0 | 100 | 50 | 100 | 754 | ПКО | ПКО |
3 | Юдино | ПТО | 100 | 100 | 30 | 40 | 50 | 100 | 80 | 0 | 100 | 50 | 100 | 750 | ПКО | ПКО |
4 | Агрыз | ПТО | 100 | 100 | 50 | 40 | 30 | 100 | 80 | 0 | 100 | 50 | 100 | 750 | ПКО | ПКО |
| & |
6 | Вековка | ПТО | 50 | 50 | 0 | 0 | 30 | 100 | 100 | 0 | 80 | 50 | 20 | 480 | ПКБ | ПКБ |
| & |
| & |
| Северная |
1 | Ярославль-Главный | ПТО | 100 | 100 | 100 | 80 | 80 | 100 | 50 | 0 | 50 | 50 | 100 | 810 | ПКО | ПКО |
2 | Лоста | ПТО | 100 | 100 | 200 | 30 | 30 | 50 | 30 | 0 | 100 | 100 | 100 | 840 | ПКО | ПКО |
3 | Сольвычегодск | ПТО | 100 | 100 | 80 | 80 | 100 | 100 | 10 | 0 | 100 | 100 | 100 | 870 | ПКО | ПКО |
| & |
5 | Иваново-Сорт. | ПТО | 100 | 0 | 20 | 80 | 30 | 100 | 50 | 0 | 50 | 50 | 0 | 480 | ПКБ | ПКБ |
6 | Обозерская | ПТО | 100 | 100 | 80 | 80 | 0 | 100 | 100 | 0 | 80 | 50 | 20 | 710 | ПКО | ПКО |
7 | Микунь | ПТО | 100 | 50 | 65 | 100 | 0 | 50 | 10 | 0 | 80 | 100 | 30 | 585 | ПКБ | ПКБ |
8 | Печора | ПТО | 100 | 100 | 20 | 30 | 0 | 50 | 40 | 0 | 80 | 100 | 50 | 570 | ПКБ | ПКО |
9 | Вологда-2 | ПТО | 100 | 100 | 100 | 30 | 30 | 100 | 20 | 0 | 80 | 80 | 20 | 660 | ПКО | ПКБ |
10 | Шарья | ПТО | 100 | 100 | 100 | 0 | 50 | 100 | 20 | 0 | 50 | 80 | 20 | 620 | ПКБ | ПКБ |
| Северо-Кавказская |
1 | Батайск | ПТО | 100 | 50 | 100 | 80 | 80 | 100 | 50 | 0 | 80 | 50 | 30 | 720 | ПКО | ПКО |
2 | Краснодар Сорт. | ПТО | 100 | 100 | 80 | 50 | 30 | 100 | 100 | 0 | 80 | 50 | 20 | 710 | ПКО | ПКО |
3 | Лихая | ПТО | 100 | 100 | 50 | 80 | 80 | 100 | 100 | 0 | 100 | 50 | 100 | 860 | ПКО | ПКО |
4 | Марцево | ПТО | 100 | 50 | 30 | 100 | 30 | 100 | 50 | 100 | 80 | 50 | 0 | 690 | ПКО | ПКО |
5 | Белореченская | ПТО | 100 | 50 | 30 | 100 | 50 | 100 | 50 | 0 | 80 | 80 | 20 | 660 | ПКО | ПКО |
6 | Дербент | ПТО | 100 | 100 | 0 | 0 | 50 | 100 | 50 | 100 | 80 | 80 | 0 | 660 | ПКО | ПКО |
7 | Минеральные Воды | ПТО | 100 | 100 | 30 | 100 | 0 | 100 | 0 | 0 | 80 | 80 | 0 | 590 | ПКБ | ПКО |
8 | Прохладная | ПТО | 100 | 50 | 30 | 100 | 0 | 100 | 50 | 0 | 50 | 50 | 0 | 530 | ПКБ | ПКО |
9 | Тихорецкая | ПТО | 100 | 100 | 50 | 100 | 0 | 100 | 50 | 0 | 80 | 80 | 0 | 660 | ПКО | ПКО |
10 | Гуково | ПТО | 100 | 50 | 0 | 0 | 50 | 100 | 50 | 100 | 80 | 50 | 0 | 580 | ПКБ | ПКБ |
11 | Сальск | ПТО | 100 | 100 | 30 | 100 | 30 | 100 | 50 | 0 | 100 | 50 | 0 | 660 | ПКО | ПКБ |
12 | Кизилюрт | ПТО | 100 | 50 | 30 | 0 | 0 | 100 | 30 | 0 | 50 | 50 | 0 | 410 | ПКД | ПКБ |
| & |
14 | Разъезд 9 км | Погран. переход | ПКБ | - |
| Юго-Восточная |
1 | Лиски | ПТО | 100 | 100 | 40 | 100 | 0 | 100 | 40 | 0 | 100 | 50 | 100 | 730 | ПКО | ПКО |
2 | Кочетовка-1 | ПТО | 100 | 100 | 40 | 50 | 80 | 100 | 20 | 0 | 100 | 50 | 100 | 740 | ПКО | ПКО |
3 | Ртищево-1 | ПТО | 100 | 100 | 5 | 100 | 0 | 100 | 0 | 0 | 100 | 50 | 20 | 575 | ПКБ | ПКО |
4 | Валуйки | ПТО | 100 | 100 | 30 | 50 | 100 | 100 | 40 | 100 | 80 | 50 | 100 | 850 | ПКО | ПКО |
5 | Белгород | ПТО | 100 | 100 | 10 | 100 | 100 | 100 | 40 | 100 | 80 | 50 | 50 | 830 | ПКО | ПКО |
6 | Елец | ПТО | 100 | 50 | 40 | 30 | 30 | 100 | 20 | 0 | 100 | 50 | 30 | 550 | ПКБ | ПКО |
7 | Ртищево-2 | ПТО | 100 | 0 | 40 | 0 | 50 | 100 | 30 | 0 | 80 | 50 | 0 | 450 | ПКБ | ПКБ |
| & |
| & |
| Приволжская |
1 | Им. М. Горького | ПТО | 100 | 100 | 50 | 50 | 100 | 100 | 30 | 0 | 100 | 50 | 100 | 780 | ПКО | ПКО |
2 | Анисовка | ПТО | 100 | 100 | 30 | 80 | 50 | 100 | 30 | 0 | 80 | 50 | 100 | 720 | ПКО | ПКО |
3 | Астрахань II | ПТО | 50 | 50 | 20 | 80 | 30 | 100 | 30 | 0 | 100 | 50 | 50 | 560 | ПКБ | ПКБ |
4 | Аксарайская II | ПТО | 100 | 50 | 20 | 80 | 30 | 100 | 30 | 100 | 100 | 50 | 100 | 760 | ПКО | ПКО |
5 | Озинки | ПТО | 100 | 50 | 5 | 0 | 50 | 100 | 30 | 100 | 100 | 50 | 80 | 665 | ПКО | ПКО |
| & |
7 | Ершов | ПТО | 0 | 50 | 20 | 0 | 50 | 100 | 30 | 0 | 50 | 50 | 0 | 350 | ПКД | - |
8 | Саратов II - Товарный | ПТО | 0 | 100 | 30 | 100 | 30 | 100 | 30 | 0 | 80 | 50 | 0 | 520 | ПКБ | - |
9 | Новоперелюбская | ПОТ | 0 | 50 | 5 | 0 | 50 | 100 | 30 | 0 | 50 | 50 | 0 | 335 | ПКД | - |
| Куйбышевская |
1 | Пенза-3 | ПТО | 100 | 100 | 50 | 50 | 50 | 100 | 30 | 0 | 100 | 80 | 50 | 710 | ПКО | ПКО |
2 | Рузаевка | ПТО | 100 | 100 | 50 | 80 | 30 | 100 | 40 | 0 | 80 | 50 | 20 | 650 | ПКО | ПКО |
3 | Кинель | ПТО | 100 | 100 | 50 | 80 | 50 | 100 | 20 | 0 | 50 | 80 | 20 | 650 | ПКО | ПКО |
4 | Сызрань-1 | ПТО | 100 | 100 | 100 | 100 | 80 | 100 | 40 | 0 | 100 | 80 | 20 | 820 | ПКО | ПКО |
5 | Дема | ПТО | 100 | 100 | 80 | 50 | 50 | 100 | 40 | 0 | 80 | 80 | 50 | 730 | ПКО | ПКО |
6 | Октябрьск | ПТО | 100 | 50 | 0 | 80 | 100 | 100 | 30 | 0 | 80 | 80 | 30 | 650 | ПКО | ПКБ |
7 | Круглое Поле | ПТО | 100 | 50 | 0 | 80 | 0 | 100 | 20 | 0 | 50 | 50 | 0 | 450 | КПБ | ПКБ |
| & |
9 | Ульяновск-Центр | ПТО | 100 | 50 | 50 | 80 | 50 | 100 | 20 | 0 | 50 | 50 | 0 | 550 | КПБ | ПКБ |
| Свердловская ж.д. |
1 | Пермь-Сорт. | ПТО | 100 | 100 | 110 | 50 | 80 | 100 | 40 | 0 | 100 | 50 | 100 | 830 | ПКО | ПКО |
2 | Войновка | ПТО | 100 | 100 | 130 | 80 | 100 | 100 | 40 | 0 | 100 | 50 | 100 | 900 | ПКО | ПКО |
3 | Екатеринбург-Сорт. | ПТО | 100 | 100 | 160 | 80 | 100 | 100 | 40 | 0 | 100 | 50 | 100 | 930 | ПКО | ПКО |
4 | Дружинино | ПТО | 100 | 50 | 80 | 0 | 50 | 100 | 40 | 0 | 100 | 50 | 20 | 590 | ПКБ | ПКО |
5 | Седельниково | ПТО | 50 | 50 | 90 | 0 | 0 | 100 | 40 | 0 | 50 | 50 | 20 | 450 | ПКБ | ПКБ |
6 | Чусовская | ПТО | 50 | 100 | 15 | 30 | 0 | 100 | 40 | 0 | 50 | 50 | 50 | 485 | ПКБ | ПКБ |
7 | Смычка | ПТО | 50 | 50 | 60 | 25 | 0 | 100 | 40 | 0 | 50 | 50 | 30 | 455 | ПКБ | ПКБ |
8 | Серов-Сорт. | ПТО | 50 | 100 | 15 | 40 | 0 | 100 | 40 | 0 | 50 | 80 | 20 | 495 | ПКБ | ПКБ |
9 | Сургут | ПТО | 50 | 100 | 40 | 40 | 50 | 100 | 40 | 0 | 80 | 50 | 20 | 570 | ПКБ | ПКБ |
10 | Каменск-Уральский | ПТО | 50 | 100 | 150 | 25 | 30 | 100 | 40 | 0 | 50 | 50 | 80 | 675 | ПКБ | ПКБ |
11 | Ноябрьск | ПТО | 50 | 100 | 20 | 0 | 0 | 100 | 40 | 100 | 80 | 50 | 0 | 540 | ПКБ | ПКБ |
12 | Гороблагодатская | ПОТ | 50 | 100 | 70 | 24 | 0 | 100 | 40 | 0 | 50 | 50 | 20 | 504 | ПКБ | ПКБ |
| Южно-Уральская ж.д. |
1 | Челябинск-Главный | ПТО | 100 | 50 | 135 | 30 | 80 | 100 | 100 | 0 | 50 | 100 | 100 | 845 | ПКО | ПКО |
2 | Оренбург | ПТО | 100 | 100 | 65 | 40 | 50 | 100 | 50 | 0 | 80 | 50 | 100 | 735 | ПКО | ПКО |
3 | Карталы | ПТО | 100 | 100 | 90 | 40 | 50 | 100 | 0 | 100 | 100 | 80 | 100 | 860 | ПКО | ПКО |
4 | Курган | ПТО | 100 | 100 | 145 | 50 | 50 | 100 | 50 | 0 | 50 | 80 | 30 | 755 | ПКО | ПКБ |
5 | Магнитогорск-Гр. | ПТО | 100 | 50 | 40 | 25 | 30 | 100 | 100 | 0 | 100 | 50 | 0 | 595 | ПКБ | ПКБ |
6 | Орск | ПТО | 100 | 100 | 30 | 40 | 30 | 100 | 50 | 100 | 50 | 50 | 50 | 700 | ПКО | ПКБ |
7 | Петропавловск | ПТО | 100 | 100 | 105 | 15 | 50 | 100 | 0 | 100 | 80 | 50 | 50 | 750 | ПКО | ПКБ |
| Западно-Сибирская |
1 | Инская | ПТО | 100 | 100 | 80 | 30 | 100 | 100 | 50 | 0 | 100 | 50 | 100 | 810 | ПКО | ПКО |
2 | Московка | ПТО | 100 | 50 | 50 | 30 | 50 | 100 | 100 | 0 | 100 | 50 | 100 | 730 | ПКО | ПКО |
3 | Входная | ПТО | 100 | 50 | 50 | 30 | 50 | 100 | 50 | 0 | 80 | 50 | 100 | 660 | ПКО | ПКО |
4 | Кулунда | ПТО | 100 | 100 | 30 | 100 | 0 | 100 | 0 | 100 | 100 | 50 | 80 | 760 | ПКО | ПКО |
5 | Рубцовск | ПТО | 100 | 100 | 0 | 0 | 0 | 100 | 0 | 100 | 100 | 50 | 100 | 650 | ПКО | ПКО |
6 | Алтайская | ПТО | 100 | 100 | 50 | 30 | 30 | 100 | 50 | 0 | 80 | 50 | 100 | 690 | ПКО | ПКБ |
| Красноярская |
1 | Красноярск Вост. | ПТО | 100 | 100 | 30 | 30 | 100 | 100 | 30 | 0 | 100 | 50 | 100 | 740 | ПКО | ПКО |
2 | Саянская | ПТО | 100 | 50 | 30 | 0 | 30 | 100 | 50 | 0 | 80 | 50 | 20 | 510 | ПКБ | ПКО |
3 | Ачинск-1 | ПТО | 100 | 50 | 50 | 100 | 30 | 50 | 30 | 0 | 100 | 50 | 60 | 620 | ПКБ | ПКБ |
4 | Абакан | ПТО | 100 | 100 | 30 | 100 | 30 | 100 | 50 | 0 | 80 | 50 | 20 | 660 | ПКО | ПКБ |
5 | Мариинск | ПТО | 100 | 100 | 0 | 0 | 50 | 100 | 30 | 0 | 100 | 50 | 20 | 550 | ПКБ | ПКБ |
6 | Решоты | ПТО | 100 | 50 | 30 | 0 | 30 | 100 | 30 | 0 | 100 | 50 | 80 | 570 | ПКБ | ПКБ |
| Восточно-Сибирская |
1 | Иркутск-Сорт. | ПТО | 100 | 100 | 110 | 50 | 100 | 100 | 40 | 0 | 100 | 50 | 100 | 850 | ПКО | ПКО |
2 | Тайшет | ПТО | 100 | 100 | 140 | 50 | 80 | 100 | 40 | 0 | 100 | 50 | 100 | 860 | ПКО | ПКО |
3 | Улан-Удэ | ПТО | 100 | 100 | 100 | 0 | 100 | 100 | 40 | 0 | 100 | 50 | 30 | 720 | ПКО | ПКО |
4 | Лена | ПТО | 100 | 100 | 60 | 100 | 0 | 100 | 30 | 0 | 80 | 50 | 20 | 640 | ПКБ | ПКО |
5 | Таксимо | ПТО | 100 | 100 | 40 | 0 | 100 | 100 | 30 | 0 | 80 | 50 | 0 | 600 | ПКБ | ПКБ |
6 | Нижнеудинск | ПТО | 100 | 100 | 100 | 0 | 0 | 100 | 30 | 0 | 100 | 50 | 20 | 600 | ПКБ | ПКБ |
7 | Коршуниха-Ангарская | ПТО | 100 | 0 | 60 | 100 | 0 | 100 | 30 | 0 | 80 | 50 | 0 | 520 | ПКБ | ПКБ |
8 | Тальцы | ПТО | 100 | 100 | 60 | 80 | 0 | 100 | 30 | 0 | 80 | 50 | 20 | 600 | ПКБ | ПКБ |
9 | Северобайкальск | | 100 | 100 | 40 | 100 | 0 | 100 | 30 | 0 | 80 | 50 | 20 | 620 | ПКБ | ПКО |
| Забайкальская |
1 | Белогорск | ПТО | 100 | 100 | 30 | 50 | 100 | 100 | 30 | 0 | 80 | 50 | 100 | 750 | ПКО | ПКО |
2 | Карымская | ПТО | 100 | 100 | 30 | 80 | 100 | 100 | 40 | 0 | 80 | 50 | 100 | 780 | ПКО | ПКО |
3 | Сковородино | ПТО | 50 | 100 | 30 | 100 | 0 | 100 | 40 | 0 | 80 | 50 | 0 | 550 | ПКБ | ПКБ |
4 | Магоча | | | | | | | | | | | | | | ПКД | - |
| Дальневосточная |
1 | Комсомольск-Сорт. | ПТО | 100 | 50 | 30 | 80 | 30 | 100 | 40 | 0 | 80 | 50 | 100 | 660 | ПКО | ПКО |
2 | Новый Ургал | ПТО | 100 | 100 | 50 | 80 | 0 | 100 | 40 | 0 | 50 | 80 | 50 | 650 | ПКО | ПКО |
3 | Хабаровск-2 | ПТО | 100 | 100 | 0 | 50 | 100 | 100 | 30 | 0 | 100 | 50 | 100 | 730 | ПКО | ПКО |
4 | Беркакит | ПТО | 100 | 100 | 30 | 100 | 0 | 100 | 40 | 0 | 80 | 50 | 50 | 650 | ПКО | ПКБ |
5 | Тында | ПТО | 100 | 100 | 0 | 0 | 0 | 100 | 30 | 100 | 50 | 50 | 20 | 550 | ПКБ | ПКБ |
6 | Уссурийск | ПТО | 100 | 100 | 30 | 100 | 0 | 100 | 30 | 0 | 80 | 50 | 0 | 590 | ПКБ | ПКБ |
7 | Ружино | ПТО | 100 | 100 | 0 | 0 | 50 | 100 | 30 | 0 | 80 | 50 | 0 | 510 | ПКБ | ПКБ |
8 | Ванино (парк Токи) | ПТО | 100 | 100 | 30 | 0 | 0 | 100 | 40 | 100 | 50 | 50 | 0 | 570 | ПКБ | ПКБ |
9 | Холмск | ПТО | 100 | 100 | 30 | 0 | 0 | 100 | 20 | 100 | 50 | 50 | 0 | 550 | ПКБ | ПКБ |
Рисунок П2.1 Схема размещения ПКО, ПКБ, ПКД по станциям
Октябрьской железной дороги
Рисунок П2.2 Схема размещения ПКО, ПКБ, ПКД по станциям
Калининградской железной дороги
Рисунок П2.3 Схема размещения ПКО, ПКБ, ПКД по станциям
Московской железной дороги
Рисунок П2.4 Схема размещения ПКО, ПКБ, ПКД по станциям
Горьковской железной дороги
Рисунок П2.5 Схема размещения ПКО, ПКБ, ПКД по станциям
Северной железной дороги
Рисунок П2.6 Схема размещения ПКО, ПКБ, ПКД по станциям
Северо-Кавказской железной дороги
Рисунок П2.7 Схема размещения ПКО, ПКБ, ПКД по станциям
Юго-Восточной железной дороги
Рисунок П2.8 Схема размещения ПКО, ПКБ, ПКД по станциям
Приволжской железной дороги
Рисунок П2.9 Схема размещения ПКО, ПКБ, ПКД по станциям
Куйбышевской железной дороги
Рисунок П2.10 Схема размещения ПКО, ПКБ, ПКД по станциям
Свердловской железной дороги
Рисунок П2.11 Схема размещения ПКО, ПКБ, ПКД по станциям
Южно-Уральской железной дороги
Рисунок П2.12 Схема размещения ПКО, ПКБ, ПКД по станциям
Западно-Сибирской железной дороги
Рисунок П2.13 Схема размещения ПКО, ПКБ, ПКД по станциям
Красноярской железной дороги
Рисунок П2.14 Схема размещения ПКО, ПКБ, ПКД по станциям
Восточно-Сибирской железной дороги
Рисунок П2.15 Схема размещения ПКО, ПКБ, ПКД по станциям
Забайкальской железной дороги