Главная // Актуальные документы // Актуальные документы (обновление 29.11.2025 по 01.01.2026) // ГОСТ (Государственный стандарт)СПРАВКА
Источник публикации
В данном виде документ опубликован не был.
Первоначальный текст документа опубликован в издании
М.: Стандартинформ, 2018.
Информацию о публикации документов, создающих данную редакцию, см. в справке к этим документам.
Примечание к документу
Текст данного документа приведен с учетом
поправки, опубликованной в "ИУС", N 2, 2020.
Изменение N 1 вводится в действие на территории Российской Федерации
Приказом Росстандарта от 14.10.2025 N 1195-ст с 01.03.2026.
Название документа
"ГОСТ 34437-2018. Межгосударственный стандарт. Арматура трубопроводная. Методика экспериментального определения гидравлических и кавитационных характеристик"
(введен в действие Приказом Росстандарта от 15.11.2018 N 1013-ст)
(ред. от 14.10.2025)
"ГОСТ 34437-2018. Межгосударственный стандарт. Арматура трубопроводная. Методика экспериментального определения гидравлических и кавитационных характеристик"
(введен в действие Приказом Росстандарта от 15.11.2018 N 1013-ст)
(ред. от 14.10.2025)
агентства по техническому
регулированию и метрологии
от 15 ноября 2018 г. N 1013-ст
МЕЖГОСУДАРСТВЕННЫЙ СТАНДАРТ
АРМАТУРА ТРУБОПРОВОДНАЯ
МЕТОДИКА ЭКСПЕРИМЕНТАЛЬНОГО ОПРЕДЕЛЕНИЯ
ГИДРАВЛИЧЕСКИХ И КАВИТАЦИОННЫХ ХАРАКТЕРИСТИК
Pipeline valves. Technique of the experimental
determination of hydraulic and cavitation characteristics
(IEC 60534-2-1:2011, NEQ)
(IEC 60534-2-4:2009, NEQ)
(IEC 60534-4:2006, NEQ)
ГОСТ 34437-2018
| | Список изменяющих документов Приказом Росстандарта от 14.10.2025 N 1195-ст) | |
Дата введения
1 июля 2019 года
Приказом Росстандарта от 14.10.2025 N 1195-ст)
Цели, основные принципы и общие правила проведения работ по межгосударственной стандартизации установлены
ГОСТ 1.0 "Межгосударственная система стандартизации. Основные положения" и
ГОСТ 1.2 "Межгосударственная система стандартизации. Стандарты межгосударственные, правила и рекомендации по межгосударственной стандартизации. Правила разработки, принятия, обновления и отмены"
1 РАЗРАБОТАН Акционерным обществом "Научно-производственная фирма "Центральное конструкторское бюро арматуростроения" (АО "НПФ "ЦКБА")
2 ВНЕСЕН Межгосударственным техническим комитетом по стандартизации МТК 259 "Трубопроводная арматура и сильфоны"
3 ПРИНЯТ Межгосударственным советом по стандартизации, метрологии и сертификации (протокол от 27 июля 2018 г. N 110-П)
За принятие проголосовали:
Краткое наименование страны по МК (ИСО 3166) 004-97 | Код страны по МК (ИСО 3166) 004-97 | Сокращенное наименование национального органа по стандартизации |
Армения | AM | Минэкономики Республики Армения |
Беларусь | BY | Госстандарт Республики Беларусь |
Казахстан | KZ | Госстандарт Республики Казахстан |
Киргизия | KG | Кыргызстандарт |
Россия | RU | Росстандарт |
Узбекистан | UZ | Узстандарт |
Украина | UA | Минэкономразвития Украины |
4
Приказом Федерального агентства по техническому регулированию и метрологии от 15 ноября 2018 г. N 1013-ст межгосударственный стандарт ГОСТ 34437-2018 введен в действие в качестве национального стандарта Российской Федерации с 1 июля 2019 г.
5 В настоящем стандарте учтены основные нормативные положения международных стандартов:
- IEC 60534-2-1:2011 "Регулирующие клапаны для промышленных процессов. Часть 2-1. Пропускная способность. Уравнения для измерения расхода в установленных условиях" ("Industrial - process control valves - Part 2-1: Flow capacity - Sizing equations for flow under installed condition", NEQ);
- IEC 60534-2-4:2009 "Регулирующие клапаны для промышленных процессов. Часть 2-4. Пропускная способность. Собственная характеристика потока и амплитуда измерения расхода" ("Industrial - process control valves - Part 2-4: Flow capacity - Inherent flow characteristics and rangeability", NEQ);
- IEC 60534-4:2006 "Регулирующие клапаны для промышленных процессов. Часть 4. Контроль и типовые испытания" ("Industrial - process control valves - Part 4: Inspection and routine testing", NEQ)
--------------------------------
<*>
Приказом Федерального агентства по техническому регулированию и метрологии от 15 ноября 2018 г. N 1013-ст
ГОСТ Р 55508-2013 отменен с 1 июля 2019 г.
7 ВВЕДЕН ВПЕРВЫЕ
Информация о введении в действие (прекращении действия) настоящего стандарта и изменений к нему на территории указанных выше государств публикуется в указателях национальных стандартов, издаваемых в этих государствах, а также в сети Интернет на сайтах соответствующих национальных органов по стандартизации.
В случае пересмотра, изменения или отмены настоящего стандарта соответствующая информация будет опубликована на официальном интернет-сайте Межгосударственного совета по стандартизации, метрологии и сертификации в каталоге "Межгосударственные стандарты
(в ред.
Изменения N 1, введенного в действие Приказом Росстандарта от 14.10.2025 N 1195-ст)
Целесообразность разработки стандарта продиктована тем, что в настоящее время испытания трубопроводной арматуры по определению гидравлических и кавитационных характеристик проводят по различным отраслевым документам, стандартам организаций, в т.ч. по стандартам ЦКБА (СТ ЦКБА). Разработка межгосударственного стандарта приведет к единству правил проведения испытаний по экспериментальному определению этих характеристик арматуры.
Настоящий стандарт разработан на основе
ГОСТ Р 55508-2013 "Арматура трубопроводная. Методика экспериментального определения гидравлических и кавитационных характеристик" и СТ ЦКБА 029-2006 "Арматура трубопроводная. Методика экспериментального определения гидравлических и кавитационных характеристик".
В стандарте учтены основные нормативные положения следующих международных стандартов:
- IEC 60534-2-1:2011 "Регулирующие клапаны для промышленных процессов. Часть 2-1. Пропускная способность. Уравнения для измерения расхода в установленных условиях" ("Industrial - process control valves - Part 2-1: Flow capacity - Sizing equations for flow under installed condition");
- IEC 60534-2-4:2009 "Регулирующие клапаны для промышленных процессов. Часть 2-4. Пропускная способность. Собственная характеристика потока и амплитуда измерения расхода" ("Industrial - process control valves - Part 2-4: Flow capacity - Inherent flow characteristics and rangeability");
- IEC 60534-4:2006 "Регулирующие клапаны для промышленных процессов. Часть 4. Контроль и типовые испытания" (IEC 60534-4:2006 "Industrial - process control valves - Part 4: Inspection and routine testing").
В стандарте также были использованы следующие международные стандарты:
- IEC 60534-2-3:1997 "Регулирующие клапаны для промышленных процессов. Часть 2-3. Методики проведения испытаний" ("Industrial - process control valves - Part 2-3: Flow capacity - Test Procedures");
- ISO 4126-1:2013 "Предохранительные устройства для защиты от избыточного давления. Часть 1. Предохранительные клапаны" ("Safety devices for protection against excessive pressure - Part 1: Safety valves").
В настоящем стандарте предусмотрены:
- требования, предъявляемые к:
а) арматуре, поступающей на испытания;
б) испытательному участку стенда;
в) средствам измерений;
(в ред.
Изменения N 1, введенного в действие Приказом Росстандарта от 14.10.2025 N 1195-ст)
- порядок экспериментального определения гидравлических характеристик арматуры различных видов (запорной, регулирующей и обратной, а также предохранительных, невозвратно-запорных и невозвратно-управляемых клапанов);
- порядок экспериментального определения кавитационных характеристик регулирующей арматуры;
- рекомендации по внесению гидравлических и кавитационных характеристик в КД арматуры различных видов.
В приложениях к стандарту приведены:
- коэффициенты, учитывающие расширение и сжимаемость воздуха;
- правила статистической обработки экспериментальных данных (для арматуры всех видов);
- алгоритм расчета отклонения действительных значений пропускной способности от расчетных (для регулирующей арматуры);
- рекомендуемые формы журналов регистрации экспериментальных данных.
Стандарт разработан авторским коллективом: Ю.И. Тарасьев, к.т.н. Е.Г. Пинаева, М.И. Силивина, С.Н. Дунаевский, Т.И. Болонева (АО "НПФ "ЦКБА").
Настоящий стандарт распространяется на трубопроводную арматуру и устанавливает методику экспериментального определения на специализированных расходных стендах:
- гидравлических характеристик:
а) коэффициентов сопротивления (для запорной и обратной арматуры, а также местных сопротивлений);
б) коэффициентов расхода (для предохранительной арматуры);
в) пропускной способности и пропускной характеристики в бескавитационном режиме (для регулирующей арматуры);
- кавитационных характеристик (для регулирующей арматуры):
а) коэффициентов кавитации;
б) коэффициентов критического перепада давления.
Настоящий стандарт допускается применять для:
- натурных макетов арматуры (модельных образцов), проточная часть корпуса и ЗЭл (РЭл) которых изготовлены в установленном масштабе в соответствии с КД на серийную арматуру;
- других технических устройств и местных сопротивлений (например, фильтров) технологических систем различных объектов.
(в ред.
Изменения N 1, введенного в действие Приказом Росстандарта от 14.10.2025 N 1195-ст)
В настоящем стандарте использованы ссылки на следующие межгосударственные стандарты:
ГОСТ 12.2.085 Арматура трубопроводная. Клапаны предохранительные. Выбор и расчет пропускной способности
(в ред.
Изменения N 1, введенного в действие Приказом Росстандарта от 14.10.2025 N 1195-ст)
ГОСТ 12893-2005 Клапаны регулирующие односедельные, двухседельные и клеточные. Общие технические условия
ГОСТ 16504 Система государственных испытаний продукции. Испытания и контроль качества продукции. Основные термины и определения
(в ред.
Изменения N 1, введенного в действие Приказом Росстандарта от 14.10.2025 N 1195-ст)
ГОСТ 17433 Промышленная чистота. Сжатый воздух. Классы загрязненности
(в ред.
Изменения N 1, введенного в действие Приказом Росстандарта от 14.10.2025 N 1195-ст)
ГОСТ 24856 Арматура трубопроводная. Термины и определения
(в ред.
Изменения N 1, введенного в действие Приказом Росстандарта от 14.10.2025 N 1195-ст)
ГОСТ 33257 Арматура трубопроводная. Методы контроля и испытаний
(в ред.
Изменения N 1, введенного в действие Приказом Росстандарта от 14.10.2025 N 1195-ст)
Примечание - При пользовании настоящим стандартом целесообразно проверить действие ссылочных стандартов и классификаторов на официальном интернет-сайте Межгосударственного совета по стандартизации, метрологии и сертификации (www.easc.by) или по указателям национальных стандартов, издаваемым в государствах, указанных в предисловии, или на официальных сайтах соответствующих национальных органов по стандартизации. Если на документ дана недатированная ссылка, то следует использовать документ, действующий на текущий момент, с учетом всех внесенных в него изменений. Если заменен ссылочный документ, на который дана датированная ссылка, то следует использовать указанную версию этого документа. Если после принятия настоящего стандарта в ссылочный документ, на который дана датированная ссылка, внесено изменение, затрагивающее положение, на которое дана ссылка, то это положение применяется без учета данного изменения. Если ссылочный документ отменен без замены, то положение, в котором дана ссылка на него, применяется в части, не затрагивающей эту ссылку.
(примечание в ред.
Изменения N 1, введенного в действие Приказом Росстандарта от 14.10.2025 N 1195-ст)
3 Термины, определения, сокращения и обозначения
3.1.1
давление настройки Pн: Наибольшее избыточное давление на входе в предохранительный клапан, при котором затвор закрыт и обеспечивается заданная герметичность затвора. |
3.1.2
давление полного открытия Pпо: Избыточное давление на входе в предохранительный клапан, при котором совершается ход арматуры и достигается максимальная пропускная способность. |
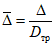
3.1.3
диапазон регулирования Д: Отношение условной пропускной способности регулирующей арматуры к ее минимальной пропускной способности, при которой сохраняется вид пропускной характеристики в допускаемых пределах. |
3.1.4
среда испытательная: Среда, используемая для контроля арматуры. |
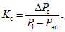
3.1.5
коэффициент кавитации Kc: Безразмерный параметр, обуславливающий при заданной температуре рабочей среды перепад давления на регулирующей арматуре, при котором начинается отклонение расходной характеристики  от линейной зависимости. Примечание - Q - объемный расход среды;  - перепад давления на клапане. |
3.1.6
коэффициент критического перепада давления Km: Безразмерный коэффициент, используемый для расчета критического перепада давления

, соответствующего достижению критического расхода, остающегося постоянным независимо от увеличения перепада давления на регулирующей арматуре.
3.1.7
коэффициент расхода для газа (жидкости ): Отношение при одинаковых параметрах массового расхода газа (жидкости) через предохранительный клапан к расходу газа (жидкости), через идеальное сопло с площадью сечения, равной площади самого узкого сечения седла клапана. |
3.1.8
коэффициент сопротивления : Отношение потерянного полного давления в арматуре к скоростному (динамическому) давлению в расчетном сечении. |
Примечания
1 За расчетное сечение принимают проходное сечение входного патрубка арматуры диаметром, численно равным (в мм) номинальному диаметру DN.
2 При одинаковых размерах входного и выходного патрубков арматуры потеря полного давления будет равна разности статических давлений.
3 Для запорной арматуры коэффициент сопротивления указывают при полностью открытом положении затвора (совершении полного хода на открытие арматуры), если другое не оговорено технической документацией.
3.1.9
критический перепад давления
: Перепад давления, начиная с которого при его увеличении не происходит увеличения расхода несжимаемой жидкости.
Примечание - При критическом перепаде давления достигается постоянный (критический) расход несжимаемой жидкости.
3.1.10 область квадратичного сопротивления: Часть зоны турбулентного режима течения, при котором потери давления прямо пропорциональны коэффициенту сопротивления и средней скорости во второй степени.
(в ред.
Изменения N 1, введенного в действие Приказом Росстандарта от 14.10.2025 N 1195-ст)
3.1.11 полное давление: Сумма статического и скоростного (динамического) давлений.
3.1.12
пропускная способность (регулирующей арматуры) Kv, м3/ч: Величина, численно равная расходу рабочей среды с плотностью 1000 кг/м3, протекающей через регулирующую арматуру при перепаде давлений 0,1 МПа (1 бар или 1 кгс/см2) <1>. |
--------------------------------
<1> Далее по тексту применяют вместо "бар или кгс/см2" единицу величины "бар".
3.1.13 пропускная способность (предохранительного клапана) G, кг/ч: Массовый расход рабочей среды через клапан.
3.1.14
относительная пропускная способность Kv/Kvу: Отношение пропускной способности на текущем ходе к условной пропускной способности. |
3.1.15
условная пропускная способность Kvу, м3/ч: Пропускная способность на номинальном ходе или номинальном угле поворота. |
3.1.16
начальная пропускная способность Kv0, м3/ч: Пропускная способность, задаваемая для построения пропускной характеристики при ходе, равном нулю. |
3.1.17
пропускная характеристика: Зависимость пропускной способности от хода арматуры. |
3.1.18
действительная пропускная характеристика: Пропускная характеристика данной арматуры, определенная экспериментальным путем. |
3.1.19 площадь проходного сечения арматуры FN: Площадь, равная площади сечения диаметром, численно равным DN.
Примечание - Если

, то вместо
FN следует применять
FN1.
3.1.20
скоростное давление
: Давление, равное половине произведения квадрата скорости в расчетном проходном сечении на плотность движущейся среды.
3.1.21
ход арматуры h: Перемещение запирающего или регулирующего элемента, исчисленное от закрытого положения затвора. Примечание - Для клапанов и задвижек ходом является величина линейного (в мм) перемещения, а для кранов и затворов дисковых ходом является угол поворота запирающего или регулирующего элемента. |
3.1.22
номинальный ход hn: Полный ход арматуры, указанный в документации, без учета допусков. |
3.1.23
относительный ход : Отношение значения текущего хода к номинальному ходу. |
3.1.24
ход текущий hi: Расстояние между уплотнительными поверхностями плунжера и седла. |
3.1.25
угол поворота: Угловое перемещение запирающего или регулирующего элемента, исчисленное от закрытого положения затвора. |
3.1.26 макет: Изделие, являющееся изображением проектного решения в установленном масштабе, которое собирается из моделей.
(п. 3.1.26 введен
Изменением N 1, введенным в действие Приказом Росстандарта от 14.10.2025 N 1195-ст)
3.1.27
макет для испытаний: Изделие, представляющее упрощенное воспроизведение объекта испытаний или его части и предназначенное для испытаний. |
(п. 3.1.27 введен
Изменением N 1, введенным в действие Приказом Росстандарта от 14.10.2025 N 1195-ст)
3.1.28 натурная модель: Модель, являющаяся трехмерным упрощенным изображением изделия в установленном масштабе с воспроизведением его характеристик.
(п. 3.1.28 введен
Изменением N 1, введенным в действие Приказом Росстандарта от 14.10.2025 N 1195-ст)
3.1.29
модель для испытаний: Изделие, процесс, явление, математическая модель, находящиеся в определенном соответствии с объектом испытаний и (или) воздействиями на него и способные замещать их в процессе испытаний. |
(п. 3.1.29 введен
Изменением N 1, введенным в действие Приказом Росстандарта от 14.10.2025 N 1195-ст)
3.1.30
испытательный стенд: Комплекс технологических систем, оборудования, средств измерения, оснастки, средств механизации и автоматизации, а также коллективных средств защиты, обеспечивающих безопасное проведение испытаний арматуры. |
(п. 3.1.30 введен
Изменением N 1, введенным в действие Приказом Росстандарта от 14.10.2025 N 1195-ст)
3.2 В настоящем стандарте применены следующие сокращения:
ЗЭл - запирающий элемент;
ИА - испытуемая арматура;
КД - конструкторская документация;
НД - нормативный документ;
ОТК - отдел технического контроля;
(введено
Изменением N 1, введенным в действие Приказом Росстандарта от 14.10.2025 N 1195-ст)
ПК - предохранительный клапан;
ПМ - программа и методика испытаний;
РА - регулирующая арматура;
РЭл - регулирующий элемент;
ТЗ - техническое задание;
ТУ - технические условия.
3.3 В настоящем стандарте применены следующие обозначения:
Д - диапазон регулирования;
Dс - диаметр самого узкого сечения проточной части седла ПК, мм;
Ф - относительная пропускная способность;
Ф0 - относительная начальная пропускная способность;
DN - номинальный диаметр;
DN1 - номинальный диаметр входного патрубка;
DN2 - номинальный диаметр выходного патрубка;
F - площадь сечения ПК, равная наименьшей площади сечения в проточной части седла, мм2;
FN - площадь проходного сечения ИА, м2;
FN1 - площадь проходного сечения входного патрубка, м2;
FN2 - площадь проходного сечения выходного патрубка, м2;
G - массовый расход, кг/с;
Kv - пропускная способность, м3/ч;

- фактическое среднеарифметическое значение пропускной способности, м
3/ч;
Kvу - условная пропускная способность, м3/ч;
Kvmax - максимальное фактическое (экспериментальное) значение пропускной способности конкретного образца РА на номинальном ходе РЭл, м3/ч;
Kvmin - минимальное фактическое (экспериментальное) значение пропускной способности конкретного образца РА на минимальном ходе РЭл, м3/ч;
Kv/Kvу - пропускная способность относительная;
Kп - безразмерная массовая скорость;
Kb - безразмерный коэффициент, характеризующий отличие докритической массовой скорости от критической;
Kc - коэффициент кавитации;
Km - коэффициент критического перепада давления;
Kv0 - начальная пропускная способность, м3/ч;

- допустимое отклонение действительного значения пропускной способности от заданного (расчетного), %;
L - строительная длина ИА, м;
L1, L2 - длина прямого участка трубопровода до и после ИА, м;
N - количество экспериментальных значений;
P1 - абсолютное давление до ИА, равное сумме избыточного и атмосферного, Па;
P2 - абсолютное давление после ИА, равное сумме избыточного и атмосферного, Па;
Pн - давление настройки ПК, Па;
Pнп - абсолютное давление насыщенных паров жидкости при температуре t на входе в РА, Па;
Pпо - давление полного открытия, Па;
P* - критическое термодинамическое давление среды, Па (для воды P* = 214,1523·105 Па);

- перепад (потери) давления на ИА, Па;

- критический перепад давления, Па;
Q - объемный расход, м3/с;
Q1 - объемный расход газа до ИА, м3/с;
Q2 - объемный расход газа после ИА, м3/с;
Rуд - удельная газовая постоянная, Дж/кг·К (для воздуха R = 287);
Re - число Рейнольдса;
Reкв - число Рейнольдса, соответствующее области квадратичного сопротивления;
V - объем жидкости, л;
Z - коэффициент сжимаемости газа;
g - ускорение свободного падения, м/с2;
hi - текущий ход, мм;
hn - номинальный ход, мм;

- относительный ход;
l1; l2 - длина прямых участков труб от входного и выходного патрубков ИА до мест отбора давления, м;
n - показатель изоэнтропы;
t1 - температура испытательной среды до ИА, °C;

- средняя скорость, отнесенная к площади номинального прохода, м/с;

- коэффициент расхода для газа;

- коэффициент расхода для жидкости;

- отношение абсолютных давлений газа после и до ИА;

- абсолютная шероховатость, мм;

- относительная шероховатость;

- средняя погрешность аппроксимации;

- коэффициент сопротивления;

- коэффициент сопротивления в области квадратичного сопротивления системы, включающей ИА и участок трубопровода между местами отбора давления;

- коэффициент сопротивления в области квадратичного сопротивления при полном открытии ИА;

- коэффициент сопротивления в области квадратичного сопротивления участка трубопровода между местами отборов давлений;

- среднее арифметическое значение коэффициента сопротивления;

- коэффициент трения участка трубопровода;

- кинематическая вязкость, м
2/с;

- плотность испытательной среды, кг/м
3;

- плотность среды при параметрах до ИА
P1 и
t1, кг/м
3;

- плотность среды при параметрах после ИА
P2 и
t2, кг/м
3;

- среднее квадратичное отклонение;

- время, с;

- угол открытия ИА поворотного типа;

- отношение абсолютных давлений, указанных в КД;
(введено
Изменением N 1, введенным в действие Приказом Росстандарта от 14.10.2025 N 1195-ст)
Pэкс - абсолютное давление при эксплуатации, Па.
(введено
Изменением N 1, введенным в действие Приказом Росстандарта от 14.10.2025 N 1195-ст)
4 Требования, предъявляемые к арматуре, поступающей на испытания
4.1 На испытания должна поступать ИА в сборе, прошедшая приемо-сдаточные испытания в полном объеме. Вместе с ИА поставляют комплект сопроводительной документации в объеме:
- сборочный чертеж;
- паспорт с отметкой ОТК о проведении приемо-сдаточных испытаний;
- ПМ (или ТЗ на испытания);
- руководство по эксплуатации;
- ТУ/ТЗ (или проект ТЗ).
4.2 Количество образцов арматуры, подвергаемых испытаниям:
- один образец - при подтверждении численных значений гидравлических характеристик опытных образцов и серийной арматуры;
- один образец - при изготовлении и поставке одного изделия. Результаты испытаний этого изделия заносятся в паспорт и ТУ с уточнением гидравлических характеристик в ТУ при последующих испытаниях и поставках;
- два образца, изготовленные по одному чертежу, - при необходимости выдачи рекомендаций для внесения в КД значений гидравлических характеристик серийных и опытных образцов ИА. Допускается испытывать один опытный (головной) образец по согласованию с заказчиком.
4.3 ИА должна соответствовать спецификации и сборочному чертежу. Макет ИА должен соответствовать КД на макет. КД выполняют в установленном масштабе с размерами проточной части корпуса и ЗЭл (РЭл) серийной арматуры. Соответствие ИА и макета ИА подтверждают результатами визуально-измерительного контроля, проведенного до начала работ по определению гидравлических характеристик. Повреждения поверхностей ИА и макета ИА не допускаются.
Примечания
1 Шероховатость поверхностей проточной части макета должна быть снижена пропорционально масштабу моделирования.
2 При измерительном контроле макетов полнопроходных задвижек и кранов всех DN, а также ИА до DN 32 включительно следует особое внимание уделять контролю шероховатости поверхностей проточной части.
(п. 4.3 в ред.
Изменения N 1, введенного в действие Приказом Росстандарта от 14.10.2025 N 1195-ст)
4.4 ИА должна обеспечивать ход (угол поворота) ЗЭл (РЭл), указанный в КД, в пределах допусков.
4.5 Ход (угол поворота) ЗЭл запорной арматуры, управляемой приводом (электро-, пневмо- и гидроприводом), должен быть отрегулирован на величину, соответствующую значению, указанному в КД, с минусовым допуском.
При испытании арматуры, конструкция которой не позволяет выполнить прямое измерение хода (угла поворота) ЗЭл (РЭл) после установки на испытательный стенд, допускается:
- определять величину хода ЗЭл (РЭл) косвенно путем умножения числа оборотов маховика (рукоятки), зафиксированного при перемещении ЗЭл (РЭл) из одного крайнего положения в другое, на шаг резьбы на штоке (шпинделе);
- не проводить контроль хода ЗЭл (РЭл), если контроль был проведен изготовителем при сборке изделия и фактическое значение хода ЗЭл (РЭл) указано в паспорте ИА либо в акте измерительного контроля хода при условии, что для ИА, управляемой от электро-, гидро- или пневмопривода, после измерения хода не проводилась перенастройка привода;
- проводить контроль хода ЗЭл (РЭл) по индикации на блоке привода либо по выходному аналоговому (или цифровому) сигналу при условии предварительной калибровки данной индикации (сигнала) на необходимый ход, выполненной изготовителем ИА ранее.
Примечание - Изготовителю арматуры при необходимости следует предусматривать и обеспечивать возможность точного измерения хода штока (шпинделя) арматуры при испытаниях.
(абзац введен
Изменением N 1, введенным в действие Приказом Росстандарта от 14.10.2025 N 1195-ст)
4.6 Если при эксплуатации запорной арматуры люфты подвижной системы, связанной с ЗЭл, от воздействия давления выбирают, то перед началом проведения испытаний все люфты должны быть устранены. Если люфты подвижной системы, связанной с ЗЭл, не устраняют, то арматуру поставляют на испытания с ходом, меньше указанного в КД на величину люфтов, при этом суммарная величина люфтов должна быть известна.
5 Требования, предъявляемые к испытательному участку стенда
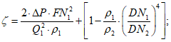
5.1 Коэффициент сопротивления

, пропускная способность
Kv, коэффициент расхода

определяют на испытательных стендах (далее - стендах) с использованием в качестве испытательной среды ньютоновских несжимаемых жидкостей и газообразных сжимаемых сред.
(в ред.
Изменения N 1, введенного в действие Приказом Росстандарта от 14.10.2025 N 1195-ст)
Коэффициенты кавитации Kc и коэффициенты критического перепада давления Km определяют на стенде, имеющем в качестве испытательной среды несжимаемую жидкость.
5.2 В качестве несжимаемой жидкости рекомендуется применять воду, а в качестве сжимаемой жидкости - воздух.
5.3 Вода, применяемая для испытаний, должна соответствовать требованиям НД государств, проголосовавших за принятие настоящего стандарта <1>.
(в ред.
Изменения N 1, введенного в действие Приказом Росстандарта от 14.10.2025 N 1195-ст)
--------------------------------
(в ред.
Изменения N 1, введенного в действие Приказом Росстандарта от 14.10.2025 N 1195-ст)
<2> Сноска исключена с 01.03.2026. -
Изменение N 1, введенное в действие Приказом Росстандарта от 14.10.2025 N 1195-ст.
Качество воздуха должно быть не хуже регламентированного классом 9
ГОСТ 17433 (или классом 684 НД <3>).
--------------------------------
<3> В Российской Федерации применяют
ГОСТ Р ИСО 8573-1-2016 "Сжатый воздух. Часть 1. Загрязнения и классы чистоты".
(сноска 3 в ред.
Изменения N 1, введенного в действие Приказом Росстандарта от 14.10.2025 N 1195-ст)
5.4 При проведении испытаний температура испытательной среды до ИА должна быть:
- воды - (20 +/- 15) °C;
- воздуха - (25 +/- 20) °C.
5.5 Испытания проводят при следующих параметрах окружающего воздуха:
- температура - не ниже 5 °C;
- атмосферное давление - от 84 до 106 кПа.
Относительную влажность воздуха не регламентируют.
5.6 Принципиальные схемы установки ИА на испытательных участках гидравлического (пневматического) стенда приведены на рисунке 1.
1, 7 - запорный клапан; 2 - трубопровод на входе ИА;
3, 5 - прибор для измерения давления; 4 - ИА;
6 - трубопровод на выходе ИА
Рисунок 1 - Принципиальная схема испытательного участка
гидравлического (пневматического) стенда
5.7 При испытании ПК на пневматическом стенде клапан устанавливают на трубопровод или на емкость. При этом сброс воздуха происходит либо через глушитель, либо непосредственно в атмосферу. Принципиальные схемы установки ПК на испытательных участках пневматического стенда приведены на
рисунке 2.
а) участок стенда при установке ПК на трубопровод
Рисунок 2 - Принципиальная схема испытательного участка
пневматического стенда для испытаний ПК, лист 1
б) участок стенда при установке ПК на емкость
1 - запорный клапан; 2 - трубопровод на входе ПК;
3, 5 - прибор для измерения давления; 4 - испытуемый ПК;
6 - трубопровод на выходе ПК; 7 - глушитель; 8 - емкость
5.8 Для испытания арматуры различных номинальных диаметров необходимо, чтобы трубопроводы испытательного участка стенда, на которых устанавливают ИА, были сменными.
Внутренний диаметр присоединительных сменных трубопроводов не должен отличаться от диаметров патрубков арматуры более чем на 2%. В случае превышения отличия следует учитывать наличие местных сопротивлений (внезапного сужения и расширения), вычитая расчетные значения коэффициентов сопротивления расширения и сужения из коэффициента сопротивления арматуры, полученного экспериментально.
5.9 Испытательный участок стенда должен состоять из двух прямых отрезков сменных трубопроводов без дополнительных местных сопротивлений.
Длина прямых отрезков сменных трубопроводов стенда должна быть не менее двадцати номинальных диаметров на входе арматуры (L1 >= 20DN1) и не менее десяти номинальных диаметров на выходе (L2 >= 10DN2).
(в ред.
Изменения N 1, введенного в действие Приказом Росстандарта от 14.10.2025 N 1195-ст)
5.10 Значения расстояний от уплотнительной поверхности места присоединения ИА к трубопроводу до мест отбора давлений приведены в
таблице 1 (соответствует НД <1>).
--------------------------------
<1> В международной стандартизации
[6].
Таблица 1
Расстояние от уплотнительной поверхности патрубков
ИА до мест отбора давлений
В миллиметрах
Место отбора давления | Расстояние от уплотнительной поверхности соответственно входного и выходного патрубков ИА до мест отбора давлений соответственно до и после ИА для DN арматуры |
до DN 6 включ. | св. DN 6 до DN 32 включ. | св. DN 32 |
До ИА l1 | От 6 DN1 до 13 DN1 | От 2 DN1 до 5 DN1 | От 1 DN1 до 2 DN1 |
После ИА l2 | От 6 DN2 до 13 DN2 | От 4 DN2 до 6 DN2 | От 4 DN2 до 6 DN2 |
5.11 В измерительных сечениях стендов устанавливают не менее четырех приемников местного статического давления в виде круглых отверстий, расположенных в стенке трубопровода равномерно по его периметру и соединенных между собой каналом связи, площадь сечения которого должна быть не менее суммы площадей отверстий. Допускается соединение отдельных приемников давления в единый коллектор трубками одинакового сечения и длины. Осевые линии отверстий должны пересекаться с осевой линией трубопровода и находиться к ней под прямым углом. Отверстие в трубе должно быть круглым, а края должны быть вровень со стенками трубы, острыми и без заусенцев.
Внутренний диаметр отверстий для отборов давления должен удовлетворять требованиям, приведенным в таблице 2.
Таблица 2
Внутренний диаметр отверстий для отборов давления
В миллиметрах
Номинальный диаметр | Внутренний диаметр отверстия отбора давления |
минимальный | максимальный |
До DN 10 включ. | 0,1DN |
От DN 15 до DN 50 включ. | 3 | 6 |
От DN 50 до DN 100 включ. | 9 |
Св. DN 100 | 12 |
5.12 Для испытания арматуры с различной строительной длиной рекомендуется предусмотреть в составе испытательного участка стенда компенсатор длины перед испытательным участком стенда или за ним.
Для испытания арматуры со смещенными осями патрубков рекомендуется предусмотреть компенсатор высоты.
5.13 Испытательное оборудование стенда должно быть аттестовано в соответствии с требованиями нормативных правовых актов и НД государств, проголосовавших за принятие настоящего стандарта <1>.
(п. 5.13 в ред.
Изменения N 1, введенного в действие Приказом Росстандарта от 14.10.2025 N 1195-ст)
--------------------------------
<1> В Российской Федерации применяют
ГОСТ Р 8.568-2017 "Государственная система обеспечения единства измерений. Аттестация испытательного оборудования. Основные положения".
(в ред.
Изменения N 1, введенного в действие Приказом Росстандарта от 14.10.2025 N 1195-ст)
5.14 Требования безопасности при проведении испытаний - в соответствии с
ГОСТ 33257.
5.15 Для измерений расхода допускается применять объемный и (или) весовой метод(ы) измерений расхода среды. В этом случае:
- место измерений расхода должно быть вынесено за пределы участков испытательного стенда, требования к которым перечислены в
разделе 5;
- погрешность измерения расхода не должна превышать значений, указанных в
таблице 3.
(п. 5.15 введен
Изменением N 1, введенным в действие Приказом Росстандарта от 14.10.2025 N 1195-ст)
(в ред.
Изменения N 1, введенного в действие Приказом Росстандарта от 14.10.2025 N 1195-ст)
6.1 Для определения гидравлических и кавитационных характеристик (

,
Kv,

,

,
Kc,
Km) на испытательном стенде подлежат измерению следующие параметры:
- расход испытательной среды;
- время измерения расхода (при объемном или весовом способе измерения расхода);
- давления до и после ИА либо давления до ИА и перепад давления на ИА;
- температура испытательной среды перед ИА;
- ход арматуры.
6.2 Погрешность измерения параметров
Погрешность измерения параметров при проведении испытаний не должна превышать значений, приведенных в таблице 3.
Допустимые погрешности измерения параметров
Приказом Росстандарта от 14.10.2025 N 1195-ст)
Измеряемый параметр | Допустимая погрешность измерения параметров |
относительная | абсолютная |
Расход жидкости Q | Q <= 0,15 м3/ч | +/- 2,5% | - |
Q > 0,15 м3/ч | +/- 1,0% | - |
Расход газа (воздуха) Q | Q <= 5,0 м3/ч | +/- 4,0% | - |
Q > 5,0 м3/ч | +/- 2,0% | - |
Давление и перепад давления | +/- 1,5% | - |
Температура | - | +/- 1,0 °C |
Время | - | +/- 0,2 с |
Ход ЗЭл (РЭл) арматуры h | h <= 10,0 мм | - | +/- 0,05 мм |
h > 10,0 мм | +/- 0,5% | - |
Угол поворота ЗЭл (РЭл)  | - | +/- 1,0° |
6.3 Государственный метрологический надзор и инспекционный контроль за средствами измерений осуществляют в соответствии с законодательством государств, проголосовавших за принятие настоящего стандарта
<1>.
(п. 6.3 в ред.
Изменения N 1, введенного в действие Приказом Росстандарта от 14.10.2025 N 1195-ст)
--------------------------------
<1> В Российской Федерации применяют
РД СМН 01-2015 "Система метрологического надзора. Порядок организации деятельности Системы оценки и подтверждения компетентности метрологических служб юридических лиц в части осуществления внутреннего метрологического надзора".
(сноска в ред.
Изменения N 1, введенного в действие Приказом Росстандарта от 14.10.2025 N 1195-ст)
6.4 Измерение расхода, давления, перепада давления и температуры следует проводить средствами измерений и приборами любого типа, предназначенными для этих целей и обеспечивающие погрешности измерений не более указанных в
таблице 3.
(в ред.
Изменения N 1, введенного в действие Приказом Росстандарта от 14.10.2025 N 1195-ст)
6.5 Требования к средствам измерений - по
ГОСТ 33257.
(в ред.
Изменения N 1, введенного в действие Приказом Росстандарта от 14.10.2025 N 1195-ст)
7 Порядок экспериментального определения гидравлических характеристик
7.1.1 Экспериментальное определение гидравлических характеристик следует проводить в области квадратичного сопротивления и при отсутствии кавитации, если испытания проводятся на воде.
7.1.2 Для любого типа арматуры номинальных диаметров
DN <= 250 для всех значений хода
hi либо углов поворота

(далее - хода) область квадратичного сопротивления наступает при числах Рейнольдса
Reкв >= 2·10
4.
Для арматуры номинальных диаметров
DN > 250, а также запорной арматуры
DN <
= 250, коэффициент сопротивления которой при полном открытии превышает

(регулирующей арматуры, условная пропускная способность которой соответствует

), область квадратичного сопротивления
Reкв определяют в процессе экспериментального определения коэффициентов сопротивления и пропускной способности. Порядок определения
Reкв изложен в
7.2.3.
Если при номинальном режиме эксплуатации арматуры число Рейнольдса Reкв < 2·104, то ее коэффициент сопротивления (пропускную способность) следует определять при Re, соответствующем номинальному режиму эксплуатации.
7.1.3 В области квадратичного сопротивления (при числах Рейнольдса
Reкв >= 2·10
4) подтверждением бескавитационного режима течения несжимаемой испытательной среды (воды) является линейный вид зависимости расходной характеристики. Признаком наступления кавитационного режима является начало отклонения расходной характеристики от линейной зависимости.
При испытании арматуры на фиксированном ходе (степени открытия) граничным условием обеспечения бескавитационного режима течения является перепад давления, при котором в пределах погрешностей измерений наступает отклонение от линейности расходной характеристики
. Значения расхода воды
Q и перепада давления на арматуре

, определяющие начало отклонения расходной характеристики от линейной зависимости, следует исключить из массива экспериментальных данных, используемых при оценке коэффициента сопротивления и пропускной способности арматуры.
В бескавитационном режиме число измерений
Q и

должно быть не менее пяти.
7.1.4 Направление подачи рабочей среды в соответствии с направлением стрелки, указанной на корпусе или на чертеже.
Допускается дополнительно, по требованию заказчика, проводить испытания при подаче среды в направлении, противоположном стрелке на корпусе.
(абзац введен
Изменением N 1, введенным в действие Приказом Росстандарта от 14.10.2025 N 1195-ст)
7.1.5 Арматуру устанавливают на испытательном участке стенда в соответствии с требованиями КД.
7.1.6 В процессе проведения эксперимента на фиксированном ходе ЗЭл (РЭл) при изменении расхода испытательной среды величина хода должна оставаться постоянной. Установку ЗЭл (РЭл) в каждое новое положение следует проводить от поверхности седла или от положения, принятого за начальное (например, для шиберной задвижки).
7.2 Определение характеристик запорной арматуры
7.2.1 Общие положения
Для запорной арматуры в области квадратичного сопротивления определяют:
- коэффициент сопротивления на ходе ЗЭл, указанном в КД с учетом минусового допуска;
- зависимость коэффициента сопротивления от хода ЗЭл, которая позволяет для заданного значения коэффициента сопротивления определить минимальное допустимое значение хода

, при котором обеспечивается заданный коэффициент сопротивления:
а) для клапанов и задвижек -

или

;
б) для кранов и затворов дисковых -

или

.
Определение зависимости коэффициента сопротивления от хода ЗЭл проводят по требованию заказчика.
7.2.2 Определение коэффициента сопротивления арматуры от DN 32 до DN 250 включительно
Определение коэффициента сопротивления арматуры, кроме полнопроходных задвижек и кранов всех DN, рекомендуется проводить в следующей последовательности:
1) установить ИА на испытательном участке стенда в соответствии с требованиями
4.4 -
4.6;
2) установить ЗЭл в положение полного открытия - на ход по чертежу с учетом минусового допуска и зафиксировать в этом положении;
3) отрегулировать арматурой стенда (клапаны
1 и
7 на
рисунке 1) режим испытания изделия в соответствии с требованиями
7.1.2;
4) рассчитать число Рейнольдса по формуле

(1)
где

;

.
При

вместо
DN в формулу для расчета
FN следует подставлять
DN1;
5) в установившемся режиме (время выхода на режим не менее трех минут) провести измерение расхода среды, проходящей через ИА, давления до ИА и перепада давления на ней;
6) с помощью арматуры стенда (клапаны
1 и
7 на
рисунке 1) увеличить или уменьшить расход при условии выполнения требований
7.1.2 так, чтобы перепад давления на ИА изменялся не менее чем на 15%. Измерить расход и перепад давления. Изменение расхода следует проводить не менее пяти раз;
7) при ходах ЗЭл

, равных 5%, 10%, 20%, 30%, 40%, 50%, 60%, 70%, 80%, 90% хода, указанного в КД, или при положениях, указанных заказчиком, провести определение коэффициента сопротивления, соблюдая требования
7.1.2, и в соответствии с порядком, изложенным в
перечислениях 3) -
6) 7.2.2;
8) рассчитать коэффициент сопротивления по формуле

(2)
где
B = 1,0 - при испытании на воде и при испытании на воздухе для отношения давлений

.
Коэффициент
B определяют по
таблице А.1 (приложение А) - при испытании по требованию заказчика на воздухе для отношения давлений

.
Плотность воды определяют в зависимости от давления и температуры среды до ИА по справочнику теплофизических свойств воды и водяного пара. Допускается принимать плотность воды, равной

.
Плотность воздуха определяют по справочнику теплофизических свойств газов и жидкостей, либо рассчитывают по формуле

(3)
Допускается коэффициент сжимаемости
Z определять по
таблице А.2 (приложение А).
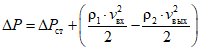
В случае если диаметры входного и выходного патрубка ИА не равны друг другу, коэффициент сопротивления рассчитывают по одной из формул:
- при испытании водой

(4)
- при испытании воздухом

(5)
9) данные измерений, расчетные значения коэффициента сопротивления и числа Рейнольдса
Re рекомендуется вносить в журнал регистрации по форме, приведенной в
таблице Б.1 (приложение Б);
10) провести обработку полученных экспериментальных данных в соответствии с
7.2.5.
7.2.3 Определение коэффициента сопротивления арматуры DN свыше 250, а также арматуры DN до 250 включительно, если при полном открытии ее 
Определение коэффициента сопротивления арматуры, кроме полнопроходных задвижек и кранов всех DN, рекомендуется проводить в следующей последовательности:
1) установить ИА на испытательном участке стенда в соответствии с требованиями
4.4 -
4.6;
2) установить ЗЭл арматуры в положение полного открытия и зафиксировать в этом положении;
3) отрегулировать арматурой стенда (клапаны
1 и
7 на
рисунке 1) режим, соответствующий числу Рейнольдса в диапазоне
Re = 10
4 - 2·10
4. Число Рейнольдса рассчитывают по
формуле (1);
5) с помощью арматуры участка стенда (клапаны
1 и
7 на
рисунке 1) увеличить расход и соответственно число Рейнольдса на 8% - 10% и определить коэффициент сопротивления в соответствии с
перечислениями 5) и
8) 7.2.2;
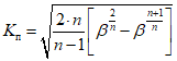
6) расход следует увеличивать до тех пор, пока для пяти значений расхода (чисел Рейнольдса) коэффициент сопротивления ИА не станет постоянной величиной. Расчетные значения коэффициента сопротивления должны находиться в диапазоне

, где

- погрешность определения коэффициента сопротивления на испытательном стенде, рассчитываемая по одной из формул

(6)
где

- половина цены деления прибора, измеряющего перепад давления;

- половина цены деления прибора, измеряющего расход;
или

(7)
где

и

- половина цены деления прибора, измеряющего давления;
7) определить минимальное значение числа
Remin, начиная с которого коэффициент сопротивления

становится постоянным;
8) провести обработку экспериментальных значений коэффициентов сопротивления при
Re >=
Remin в соответствии с
7.2.5.
7.2.4 Уточнение коэффициентов сопротивления полнопроходных задвижек и кранов всех DN, а также арматуры до DN 32 включительно
Определение коэффициента сопротивления полнопроходных задвижек и кранов всех DN, а также прочей запорной арматуры номинальных диаметров до DN 32 включительно при полном открытии рекомендуется проводить в следующей последовательности:
- определить коэффициент сопротивления в соответствии с
7.2.2, либо в соответствии с
7.2.3;
- в связи с соизмеримостью коэффициентов сопротивления арматуры и участка трубопровода стенда между местами отбора давлений следует уточнить величину коэффициента сопротивления:
1) определить относительную шероховатость

участка трубопровода стенда между местами отбора давления по методике, приведенной в
приложении В;
2) определить коэффициент сопротивления системы

, включающей ИА и участок трубопровода стенда между местами отбора давления, в области квадратичного сопротивления в соответствии с
перечислениями 3) -
6) 7.2.2, либо в соответствии с
перечислениями 2) -
7) 7.2.3;
3) по величине

для каждого рассчитанного значения числа Рейнольдса
Re по
таблице В.1 (приложение В) определить значение коэффициента трения

;
4) рассчитать коэффициент сопротивления участка трубопровода между местами отбора давления

по формуле

(8)
5) при неравенстве диаметров входного и выходного патрубков определить отдельно коэффициент сопротивления участка трубопровода до ИА и после ИА. Испытания следует проводить в следующем порядке:
а) соединить два трубопровода, используемых для определения коэффициента сопротивления арматуры номинального диаметра DN1;
б) определить коэффициент сопротивления участка трубопровода между местами отбора давлений;
в) рассчитать коэффициент сопротивления участка до ИА, принимая за расчетное сечение площадь проходного сечения входного патрубка, по формуле

(9)
г) соединить два трубопровода, используемых для определения коэффициента сопротивления арматуры номинального диаметра DN2;
д) определить коэффициент сопротивления участка трубопровода между местами отбора давлений;
| | ИС МЕГАНОРМ: примечание. Текст дан в соответствии с официальным текстом документа. | |
е) рассчитать коэффициент сопротивления участка после ИА, принимая за расчетное сечение площадь проходного сечения выходного патрубка, рассчитать по формуле

; (10)
Приказом Росстандарта от 14.10.2025 N 1195-ст)
ж) рассчитать коэффициент сопротивления участка после ИА, принимая за расчетное сечение площадь проходного сечения входного патрубка, по формуле

(11)
и) рассчитать коэффициент сопротивления участка трубопровода между местами отбора давления по формуле

(12)
6) рассчитать коэффициент сопротивления арматуры при полном открытии

по формуле

(13)
7) провести обработку полученных экспериментальных данных в соответствии с 7.2.5.
7.2.5 Обработка экспериментальных данных
7.2.5.1 Обработка экспериментальных данных, полученных при испытании запорной арматуры на ходе ЗЭл, приведенном в КД с учетом минусового допуска:
- при подтверждении численного значения коэффициента сопротивления, указанного в КД серийной арматуры, а также при изготовлении и поставке одного изделия. Статистическую обработку экспериментальных данных проводят в соответствии с
приложением Г, подставляя в
формулы (Г.1) -
(Г.4) экспериментальные значения

вместо
x1 ... xN. За величину коэффициента сопротивления принимают значение

, рассчитанное по
формуле (Г.4);
- при определении численных значений коэффициента сопротивления серийных и опытных образцов арматуры статистическую обработку экспериментальных данных проводят в соответствии с
приложением Г для каждого изделия отдельно. За коэффициент сопротивления каждого изделия принимают значение

, рассчитанное по
формуле (Г.4). За значение коэффициента сопротивления арматуры принимают большее из значений

, рассчитанных по
формуле (Г.4).
7.2.5.2 Обработка экспериментальных данных, полученных при определении зависимости коэффициента сопротивления от хода ЗЭл

или

, либо

или

:
- для каждого образца в отдельности на фиксированном ходе ЗЭл

провести статистическую обработку экспериментальных данных, подставляя в
формулы (Г.1) -
(Г.4) экспериментальные значения

вместо
x1 ... xN, полученные на этих

;
- за значение коэффициента сопротивления

на ходе

принимают значение

, рассчитанное по
формуле (Г.4).
Для наглядности рекомендуется построить графики зависимостей

или

, либо

или

.
7.2.6 Характеристики, вносимые в КД
7.2.6.1 В КД на запорную арматуру вносят запись:
"Коэффициент сопротивления
- не более ...".
7.2.6.2 В тексте указывают значение

, определенное в
7.2.5.1, либо значение

, определенное в
7.2.5.2 на ходе ЗЭл

, заданном заказчиком.
7.3 Определение характеристик регулирующей арматуры
7.3.1 Общие положения
7.3.1.1 Гидравлическими характеристиками РА являются:
- пропускная способность Kv;
- пропускная характеристика.
7.3.1.2 Для регулирующей арматуры определяют:
- условную пропускную способность Kvу на номинальном ходе hn;
- действительную пропускную характеристику
Kv =
f(
hi) или

(далее - пропускную характеристику).
7.3.1.3 Для регулирующей арматуры рассчитывают:
- отклонения действительных значений пропускной способности от заданных (расчетных)

(в соответствии с
ГОСТ 12893);
- диапазон регулирования Д.
7.3.1.4 Определение Kvу и пропускной характеристики проводят в области квадратичного сопротивления при условии отсутствия кавитации.
7.3.2 Определение пропускной способности и пропускной характеристики
Определение пропускной способности проводят для хода РЭл, соответствующего 5%, 10%, 20%, 30%, 40%, 50%, 60%, 70%, 80%, 90%, 100% от номинального хода

. Допускается по требованию заказчика проводить испытания с шагом 5% от номинального хода

РЭл либо с любым другим шагом. Определение пропускной способности проводят в следующей последовательности:
(в ред.
Изменения N 1, введенного в действие Приказом Росстандарта от 14.10.2025 N 1195-ст)
1) установить РА на испытательном участке стенда в соответствии с требованиями
5.6,
7.1.3 и
7.1.4;
2) открыть РА на требуемый ход
hi и зафиксировать РЭл в этом положении при соблюдении требований
7.1.5;
3) отрегулировать арматурой стенда (клапаны 1 и 7 на
рисунке 1) режим испытания РА в области квадратичного сопротивления при условии отсутствия кавитации в соответствии с требованиями
7.1.2;
5) в установившемся режиме (время выхода на режим не менее трех минут) провести измерение расхода, давления до РА и перепада давления на РА и рассчитать величину пропускной способности по формуле

(14)
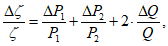
Примечание - В случае, если диаметры входного и выходного патрубков ИА не равны друг другу, то в
формулу (14) следует подставлять значение перепада давления

на ИА, рассчитанное по формуле

,
где

- измеренный статический перепад давления на ИА;
vвх - скорость испытательной среды, отнесенная к фактической площади трубопровода до ИА, м/с;
vвых - скорость испытательной среды, отнесенная к фактической площади трубопровода после ИА, м/с.
(примечание введено
Изменением N 1, введенным в действие Приказом Росстандарта от 14.10.2025 N 1195-ст)
6) с помощью арматуры стенда (клапаны 1 и 7 на
рисунке 1) увеличить или уменьшить расход при условии выполнения требований
7.1.2 и
7.1.5 так, чтобы перепад давления на РА изменялся не менее чем на 15%. Измерить расход, перепад давления и рассчитать значение
Kv по
формуле (14);
7) повторить изменение расхода и, соответственно, измерения расхода и перепада давления, а также расчет пропускной способности не менее пяти раз;
8) данные измерений, а также расчетные значения пропускной способности и числа Рейнольдса вносят в журнал испытаний по
форме Б.1 (приложение Б);
9) для каждого хода

провести статистическую обработку экспериментальных данных в соответствии с
приложением Г, подставляя в
формулы (Г.1) -
(Г.4) значения
Kv вместо
x1 ...
xN. За величину пропускной способности
Kv при ходе

принимают значение, рассчитанное по
формуле (Г.3);
10) по результатам испытаний построить графики зависимости
Kv = f(
hi) или
.
7.3.3 Обработка экспериментальных данных
7.3.3.1 За величину условной пропускной способности
Kvу принимают фактическое среднеарифметическое значение пропускной способности

на номинальном ходе
hn, полученное после обработки экспериментальных данных в соответствии с
перечислением 9) 7.3.2.
(пп. 7.3.3.1 в ред.
Изменения N 1, введенного в действие Приказом Росстандарта от 14.10.2025 N 1195-ст)
7.3.3.2 Проверку соответствия действительной пропускной характеристики пропускной характеристике, заданной в КД, проводят для каждого значения хода

, на котором проводилось определение пропускной способности. Проводится сравнение значений пропускной способности
Kvi, принятых в соответствии с
перечислением 9) 7.3.2, с допустимыми значениями пропускной способности (минимальным

и максимальным

).
(в ред.
Изменения N 1, введенного в действие Приказом Росстандарта от 14.10.2025 N 1195-ст)
Проверку проводят в следующей последовательности:
- рассчитать относительную пропускную способность

по одной из формул:
а) для линейной пропускной характеристики

, (15)
Приказом Росстандарта от 14.10.2025 N 1195-ст)
где

;
Примечание - В случае отсутствия в КД на РА и (или) невозможности получения от изготовителя и (или) разработчика продукции сведений о значении начальной пропускной способности
Kv0, учитывая консервативный подход, рекомендуется принимать значение
Kv0 равным 4% от условной пропускной способности
Kvу согласно ГОСТ 12893-2005
(пункт 6.5.1).
(примечание введено
Изменением N 1, введенным в действие Приказом Росстандарта от 14.10.2025 N 1195-ст)
б) для равнопроцентной характеристики

(16)
- рассчитать допустимое относительное отклонение

, %, действительной пропускной способности от расчетной по одной из формул:
а) для линейной пропускной характеристики

(17)
б) для равнопроцентной пропускной характеристики

(18)
Если в КД на РА указано, что пропускная характеристика "специальная", то рекомендуется допустимое относительное отклонение

, %, действительной пропускной способности от расчетной рассчитывать по
формуле (18), если заказчик не указал иное. Для данного вида пропускной характеристики в отчете по испытаниям (протоколе) зависимость следует представлять в графической или табличной форме либо уравнением аппроксимации (регрессии).
(абзац введен
Изменением N 1, введенным в действие Приказом Росстандарта от 14.10.2025 N 1195-ст)
- рассчитать допустимые значения пропускной способности (минимальное

и максимальное

) по формулам:

(19)

(20)
- сравнить фактическое среднеарифметическое значение пропускной способности
, полученное по результатам обработки экспериментальных данных по
перечислению 9) 7.3.2, со значениями

и

, рассчитанными по
формулам (19) и
(20). Алгоритм расчета отклонений действительных значений пропускной способности от расчетных приведен в
приложении Д:
- для линейной пропускной характеристики - в
таблице Д.1;
- для равнопроцентной пропускной характеристики - в
таблице Д.2;
- если в диапазоне относительных ходов

от 0,05 до 1,00 хотя бы одно значение

выходит за диапазон [min
Kvдоп - max
Kvдоп], то необходимо провести корректировку профильной части РЭл, либо откорректировать КД в части значения условной пропускной способности и вида пропускной характеристики.
7.3.3.3 Диапазон регулирования рассчитывают по формуле

, (21)
Приказом Росстандарта от 14.10.2025 N 1195-ст)
где Kvmax и Kvmin - значения пропускной способности в диапазоне хода РЭл, в котором сохраняется заданный вид пропускной характеристики.
Допускается (по требованию заказчика) не регламентировать диапазон регулирования РА, в КД которой указано "пропускная характеристика - специальная.
(абзац введен
Изменением N 1, введенным в действие Приказом Росстандарта от 14.10.2025 N 1195-ст)
7.3.4 Характеристики, вносимые в КД
7.3.4.1 В КД на РА вносят запись:
"Условная пропускная способность Kvу = (... +/- ...) м3/ч;
пропускная характеристика - ...;
диапазон регулирования Д - не менее ...".
7.3.4.2 В тексте указывают:
- значение пропускной способности с допуском (в зависимости от вида пропускной характеристики), определенное по
7.3.3.1. Допуск на значение
Kvу - в соответствии с
ГОСТ 12893 или по согласованию с заказчиком;
- вид пропускной характеристики, определенный по
7.3.3.2;
- значение диапазона регулирования Д, определенного по
7.3.3.3.
7.4 Определение характеристик ПК
7.4.1 Общие положения
7.4.1.1 Характеристикой ПК, определяемой экспериментально, является коэффициент расхода.
7.4.1.2 В зависимости от параметров и агрегатного состояния рабочей среды [несжимаемая жидкость или газ (пар)] коэффициент расхода одного и того же ПК при одном и том же ходе ЗЭл имеет различные значения:
- коэффициент расхода

ПК, эксплуатируемого на газе (паре), зависит от отношения абсолютных давлений после и до ПК. При уменьшении отношения давлений коэффициент расхода увеличивается;
- при эксплуатации на несжимаемой жидкости сброс рабочей среды через ПК происходит в условиях развитой кавитации, в связи с чем коэффициент расхода

при работе ПК на жидкости существенно меньше коэффициента расхода

.
7.4.1.3 При испытании ПК агрегатное состояние испытательной среды должно соответствовать агрегатному состоянию рабочей среды.
7.4.1.4 Для ПК коэффициент расхода

определяют:
- при рабочих параметрах, указанных в КД;
- при принудительном подъеме ЗЭл на ход по КД с минусовым допуском, если отсутствует техническая возможность обеспечить на стенде рабочие параметры испытаний.
7.4.2 Определение коэффициента расхода
ПК при рабочих параметрах
Определение коэффициента расхода

выполняют в следующей последовательности:
1) установить ПК, настроенный на заданное давление
Pн, на испытательном участке стенда в соответствии с одной из схем, приведенных на
рисунках 1 и
2. ПК, испытываемый на воде, устанавливают на испытательном участке стенда в соответствии с требованиями
5.6 и
7.1.3. Схему испытаний указывают в ПМ;
2) подать во входной патрубок ПК испытательную среду давлением
Pн и измерить утечку в затворе. Величина утечки не должна превышать значение, указанное в КД (ГОСТ, паспорт, ТУ, ПМ);
3) увеличить давление на входе ПК до величины давления полного открытия
Pпо, указанного в КД
<1>;
4) измерить:
- расход, проходящий через ПК,
- давление до ПК P1,
- давление после ПК P2;
5) уменьшить давление до ПК. Уменьшать давление следует до тех пор, пока ПК не закроется. Контроль момента закрытия ПК по показанию прибора для измерения давления на выходе ПК - давление должно быть равно атмосферному;
6) рассчитать коэффициент расхода в соответствии с формулами для расчета пропускной способности ПК, приведенными в
ГОСТ 12.2.085:
- для единиц измерения G, кг/ч, F, мм2, и P, МПа

(22)
где

;
для воды -

;
для воздуха:

- при

;

;
Kп =
Kп кр - при

;

- при

;

- при

;
Kb = 1 - при

;

;
8) данные измерений, а также расчетные значения коэффициента расхода вносят в журнал испытаний по
форме Б.2 (приложение Б);
9) провести обработку полученных экспериментальных данных в соответствии с
7.4.4.
--------------------------------
<1> Рекомендуется учитывать международный стандарт
[10].
7.4.3 Определение коэффициента расхода при принудительном подъеме ЗЭл
7.4.3.1 Для проведения испытаний при принудительном подъеме ЗЭл подготовить ПК следующим образом:
- из клапана вынуть пружину;
- установить на крышку (стакан) ПК специальное приспособление, позволяющее установить, проконтролировать и зафиксировать ЗЭл ПК на любом ходе.
Подтверждение значения

, указанного в КД, проводят на ходе, указанном в КД с минусовым допуском.
7.4.3.2 Испытания проводят при таких расходах и давлениях до и после ПК, при которых реализуется развитая кавитация.
Испытания проводят в следующей последовательности:
а) в соответствии с
8.2 последовательно создать различные режимы течения среды в ПК;
б) построить график зависимости расхода среды, проходящей через ПК, от корня из перепада давления

и определить перепад давления, при котором в ПК наступает режим развитой кавитации;
в) из полученного массива данных выделить режимы, при которых увеличение перепада давления не приводит к изменению расхода более чем на величину погрешности измерения расхода

. Таких режимов должно быть не менее пяти -
N >= 5;
г) для выделенных режимов по
формуле (22) рассчитать значения коэффициента расхода

;
д) рассчитать погрешности определения экспериментального значения

в области развитой кавитации:
- для каждого значения

относительную погрешность

следует рассчитывать по формуле

, (22а)
где

- фактическая относительная погрешность измерения расхода;

- фактическая относительная погрешность измерения разности давлений или давления.
Примечание - Погрешности определения плотности

и коэффициента
Kп являются пренебрежимо малой величиной, поэтому не учитываются при оценке погрешности определения коэффициента расхода

;
- среднее арифметическое абсолютное значение погрешности

следует рассчитывать по формуле

(22б)
где

- числовое значение погрешности каждого экспериментального значения

;
N - количество режимов, при которых увеличение перепада давления не приводит к изменению расхода более чем на величину погрешности измерения расхода

;
е) построить график зависимости

,
где

- коэффициент, учитывающий режим развитой кавитации в ПК;
ж) если при изменении коэффициента
K зависимость

остается линейной, притом что максимальное значение коэффициента
K находится в диапазоне 0,90 <=
K <= 0,95, а коэффициент

остается постоянной величиной (находится в диапазоне

, то можно считать, что при данной конструкции ПК режим развитой кавитации не реализуется. За фактическое значение

следует принимать значение, рассчитанное по
формуле (Г.3). При необходимости рассчитанное по
формуле (Г.3) значение

следует внести в КД;
и) если из графика зависимости

видно, что в ПК наступил режим развитой кавитации, то следует по экспериментальным значениям

и коэффициента
K определить коэффициенты уравнения регрессии, например, по методу наименьших квадратов, описывающего зависимость

и имеющего вид

;
к) по полученному уравнению регрессии рассчитать коэффициент расхода

при максимально возможном значении коэффициента
K, предусмотренном в КД. Если при расчете коэффициента
K по параметрам ПК, указанным в КД, получается значение
K > 1,0, то следует принимать
K = 1,0;
л) за фактическое значение

следует принимать значение, рассчитанное по формуле

;
м) при необходимости в КД следует внести значение

, рассчитанное по формуле

.
(пп. 7.4.3.2 в ред.
Изменения N 1, введенного в действие Приказом Росстандарта от 14.10.2025 N 1195-ст)
7.4.3.3 Испытания на воздухе проводят в зависимости от отношения абсолютных давлений при эксплуатации ПК

:
- если имеется техническая возможность, то испытания следует проводить при отношении абсолютных давлений до и после ПК

, равном отношению давлений, указанных в КД,

;
- если техническая возможность отсутствует, то испытания следует проводить в следующем порядке:
а) последовательно создать режимы с различными значениями

;
б) провести испытания по определению

в соответствии с
7.4.2;
в) построить график зависимости

;
г) по графику

определить значение

, начиная с которого увеличение

не происходит (не менее пяти значений коэффициента

находятся в диапазоне

);
д) если

, то для статистической обработки экспериментальных данных следует выбирать не менее пяти значений

, полученных при

[диапазон изменения

для пяти режимов - от

до минимального по возможностям стенда, но не менее значения, равного

];
е) если

, то для статистической обработки экспериментальных данных следует зафиксировать не менее пяти значений

в диапазоне изменения коэффициента

;
ж) провести статистическую обработку экспериментальных данных в соответствии с
7.4.4;
и) за фактическое значение

следует принимать значение, рассчитанное по
формуле (Г.3). При необходимости полученное значение следует внести в КД.
(пп. 7.4.3.3 в ред.
Изменения N 1, введенного в действие Приказом Росстандарта от 14.10.2025 N 1195-ст)
Пример 1
1) В соответствии с КД клапан предназначен для эксплуатации при следующих абсолютных давлениях среды: давление до клапана P1 = 20 бар, давление после клапана P2 = 12 бар.
2)
;
.
3) При фиксации золотника на ходе, равном ходу по чертежу с учетом минусового допуска, испытания следует проводить при абсолютных давлениях до и после клапана, для которых выполняется условие
.
4) Если воздух сбрасывают в атмосферу, то испытания следует проводить при абсолютных давлениях до и после клапана: давление до клапана P1 = 1,67 бар, давление после клапана P2 = 1 бар.
5)
.
Пример 2
1) В соответствии с КД клапан предназначен для эксплуатации при следующих абсолютных давлениях среды: P1 = 52 бар, P2 = 3 бар.
2)
,
.
3) При фиксации золотника на ходе, равном ходу по чертежу с учетом минусового допуска, испытания следует проводить при абсолютных давлениях до и после клапана, для которых выполняется условие при
.
4) Если воздух сбрасывают в атмосферу, то испытания следует проводить при следующих абсолютных давлениях до и после клапана: давление до клапана P1 = 4,0 бар, давление после клапана P2 = 1,0 бар.
5)
.
7.4.3.4 Испытания проводят в следующей последовательности:
1) зафиксировать ЗЭл на требуемом ходе hi;
2) подать во входной патрубок испытательную среду, обеспечив указанные в
7.4.1.2 и
7.4.1.3 условия испытаний;
3) измерить:
- расход среды, проходящей через ПК,
- давление P1 до ПК,
- давление P2 после ПК;
4) закрыть арматуру стенда до ПК (клапан
1 на
рисунках 1 и
2);
5) рассчитать величину коэффициента расхода

по
формуле (22);
7) данные измерений и расчетные величины коэффициента расхода

вносятся в журнал регистрации по форме
таблицы Б.3 (приложение Б);
8) провести обработку полученных экспериментальных данных в соответствии с 7.4.4.
7.4.4 Обработка экспериментальных данных
7.4.4.2 За величину коэффициента расхода ПК принимают меньшее из двух значений

или

, рассчитанных по
формуле (Г.3).
7.4.5 Характеристики, вносимые в КД
7.4.5.1 В КД на ПК вносят запись:
"Коэффициент расхода
не менее ...".
7.4.5.2 В тексте указывают значение

, определенное по
7.4.4.2 для хода
hi заданного заказчиком.
7.5 Определение характеристик обратных, невозвратно-запорных и невозвратно-управляемых клапанов, обратных затворов
7.5.1 Общие положения
7.5.1.1 Гидравлической характеристикой обратных, невозвратно-запорных, невозвратно-управляемых клапанов и обратных затворов является зависимость коэффициента сопротивления

от скоростного давления
.
7.5.1.2 Зависимость

позволяет рассчитать потери давления на ИА, характерной особенностью которой является зависимость положения ЗЭл от скорости конкретной рабочей среды.
7.5.1.3 Для невозвратно-управляемых клапанов дополнительно определяют значение коэффициентов сопротивления на ходе ЗЭл, указанном в КД, с минусовым допуском при подаче среды во входной и выходной патрубки.
7.5.2 Определение коэффициентов сопротивления обратных и невозвратно-запорных клапанов и обратных затворов
Коэффициенты сопротивления обратных и невозвратно-запорных клапанов и обратных затворов определяют в следующей последовательности:
1) установить ИА на испытательном участке стенда в соответствии с требованиями
4.4 -
4.6;
2) создать минимально возможный расход, при котором обратная ИА приоткрылась, провести измерение расхода среды и перепада давления в установившемся режиме;
3) рассчитать

по
формуле (2) и скоростное давление

, Па, по формуле

(23)
4) увеличить расход воды, провести измерение расхода и перепада давления и рассчитать для новых параметров потока

по
формуле (2) и скоростное давление по
формуле (20);
5) расход среды следует увеличивать до тех пор, пока коэффициент сопротивления ИА не будет постоянной величиной - расчетные значения коэффициента сопротивления должны находиться в диапазоне
, где

- погрешность определения коэффициента сопротивления на испытательном стенде, рассчитанная по
формуле (6) или
(7).
Постоянство коэффициента сопротивления будет означать, что ИА полностью открыта;
6) закрыть запорный клапан
1 испытательного участка стенда на входе ИА
(рисунок 1), вследствие чего ИА закроется;
7) повторить изменение расхода в соответствии с
перечислениями 2) -
6) 7.5.2 не менее трех раз. Требование к совпадению расходов не предъявляется;
8) в процессе проведения эксперимента рекомендуется отображать экспериментальные значения коэффициента сопротивления на графике зависимости

;
9) по значениям коэффициентов сопротивления

, находящимся в диапазоне
, рассчитать среднее значение коэффициентов сопротивления

;
10) определить по графику минимальную величину скоростного давления

, соответствующую

;
11) данные измерений, расчетные значения скоростного давления и коэффициентов сопротивления вносят в журнал регистрации по форме
таблицы Б.3 (приложение Б);
12) по экспериментальным данным, полученным при испытании двух образцов, определить коэффициенты уравнения регрессии, например, по методу наименьших квадратов, описывающего зависимость

и имеющего вид

(24)
где
.
По уравнению регрессии построить график, который и следует считать экспериментальной зависимостью испытанной обратной арматуры. Допускается применять другие математические зависимости.
7.5.3 Определение коэффициентов сопротивления невозвратно-управляемых клапанов
Коэффициенты сопротивления невозвратно-управляемых клапанов определяют при подаче среды во входной и выходной патрубки в следующей последовательности:
1) определить зависимость

в соответствии с
7.5.2;
2) установить ЗЭл на ход, соответствующий указанному на чертеже, с минусовым допуском;
4) провести обработку экспериментальных данных в соответствии с
7.2.5 по
приложению Г, подставляя экспериментальные значения

вместо
x1 ...
xN. За значение коэффициента сопротивления арматуры принимают большее из значений

, рассчитанных по
формуле (Г.4).
7.5.4 Характеристики, вносимые в КД
7.5.4.1 В КД на обратные, невозвратно-запорные и невозвратно-управляемые клапаны, а также обратные затворы вносят запись:
"Клапан (затвор) полностью открывается при скоростном давлении
свыше ... Па".
Коэффициент сопротивления при полном открытии
не более ...
".
Коэффициенты сопротивления при различных скоростных давлениях не превышают значений, рассчитанных по формуле 
".
Для невозвратно-управляемых клапанов дополнительно вносят запись:
"При полном принудительном открытии и подаче среды во входной и выходной патрубки коэффициент сопротивления 
,
не более ...".
7.5.4.2 В тексте записи указывают:
- в формуле

вместо обозначений
a0,
a1 и
a2 указывают определенные по
перечислению 12) 7.5.2 численные значения, умноженные на коэффициент
C, рассчитанный по формуле

(25)
- допускается вместо формулы

приводить график, построенный по этому уравнению;
- значения коэффициентов сопротивления

при полном принудительном открытии и подаче среды во входной и выходной патрубки невозвратно-управляемых клапанов, определенные в соответствии с
7.5.3.
8 Определение критериев кавитации и критического расхода регулирующей арматуры
8.1.1 Критериями кавитации являются:
- коэффициент кавитации Kc;
- коэффициент критического перепада давления Km.
8.1.2 Коэффициент кавитации
Kc используют для расчета допустимого перепада давления

, при котором обеспечивается бескавитационный режим работы РА.
Коэффициент Kc рассчитывают по формуле

(26)
где

- перепад давления на РА, соответствующий началу отклонения расходной характеристики вида

от линейной зависимости.
8.1.3 Коэффициент критического перепада давления
Km используют для расчета критического перепада давления

, соответствующего запиранию расхода в РА.
Коэффициент Km рассчитывают по формуле

(27)
где

- полуэмпирический коэффициент критического отношения давлений, зависящий от физических свойств среды (воды).
8.1.4 Для расчета коэффициентов Kc и Km на каждом ходе hi экспериментально определяют:
- пропускную способность Kv;
- перепад давления

, соответствующий началу отклонения расходной характеристики

от линейной зависимости;
- перепад давления

, при котором достигается постоянный (критический) расход
Qm;
- критический расход Qm;
- давление до РА
P1c(
P1m), соответствующее перепаду давления

;
- температуру воды до РА
t1c(
t1m) при измерении перепада давления

.
8.1.5 Если для испытуемой РА требуется определять пропускную способность, вид пропускной характеристики и кавитационные характеристики, то для исключения случайных ошибок при установке хода эти испытания следует совместить.
8.2 Порядок определения критериев кавитации
8.2.1 Испытания проводят на ходах РЭл, указанных в
7.3.2.
8.2.2 Установить РЭл на один из указанных ходов и провести определение пропускной способности в соответствии с
перечислениями 1) -
9) 7.3.2.
8.2.3 Полностью открыть клапан 7 испытательного участка стенда на выходе РА
(рисунок 1), обеспечив минимально возможное давление за РА.
8.2.4 Установить давление до РА, провести измерения расхода воды
Qф, температуры
t, давлений на входе
P1ф, на выходе
P2ф и рассчитать:
- "эталонный" расход Qэ по формуле

(28)
где

;
- отклонение

фактического расхода
Qф от "эталонного"
Qэ по формуле

(29)
8.2.5 Зафиксировать знак величины

.
8.2.6 Увеличивать расход с произвольным шагом, проводя измерения и расчеты в соответствии с
8.2.4.
Увеличение расхода и расчеты следует проводить до тех пор, пока не будет зафиксировано подряд, как минимум, пять положительных значений величины

.
8.2.7 Для определения критического перепада давления следует провести не менее пяти изменений и соответствующих измерений расхода.
Расход среды следует считать постоянной величиной, если измеренные значения расхода будут находиться в диапазоне

, где

- абсолютная погрешность измерения расхода на испытательном стенде.
Постоянство расхода означает, что в РА наступило "запирание" расхода.
8.2.8 Обработка экспериментальных данных
8.2.8.1 Обработку экспериментальных данных проводят с целью уточнения минимальных значений перепадов давлений

и

для тех ходов
hi, на которых проводились испытания.
8.2.8.2 Обработка экспериментальных данных при определении коэффициента Kc:
- для массива данных, удовлетворяющих условию

, определяют коэффициенты уравнения регрессии, имеющего вид

(30)
- решают систему уравнений

(31)
Решением системы уравнений является точка "c" с координатами
Q и

, определяющая начало отклонения расходной характеристики

от линейной зависимости.
8.2.8.3 Обработка экспериментальных данных при определении критического перепада давления:
- определяют коэффициент уравнения
Q = a3 = const; (32)
- решают систему уравнений

(33)
Решением системы уравнений является точка "
m" с координатами
Q и

, определяющая начало режима запирания расхода.
8.2.8.4 Коэффициент кавитации
Kc рассчитывают по
формуле (26). В
(26) подставляют:
-

, определенное в результате решения системы
уравнений (31), и соответствующее давление
P1c;
- давление насыщенных паров Pнп, найденное по значению измеренной до РА температуры воды t1a из таблиц теплофизических свойств воды и водяного пара.
8.2.8.5 Коэффициент критического перепада
Km рассчитывают по
формуле (27). В
(27) подставляют:
-

, являющееся решением системы
уравнений (33), и соответствующее давление
P1m;
- давление насыщенных паров Pнп при температуре t1m.
8.2.8.6 По результатам расчетов строят зависимость коэффициентов
Kc и
Km от безразмерного параметра

, где
FN2, см
2, -

и
.
(в ред.
Изменения N 1, введенного в действие Приказом Росстандарта от 14.10.2025 N 1195-ст)
8.2.8.7 Результаты измерений, а также расчетные значения кавитационных характеристик вносят в журнал испытаний по
форме Б.4 (приложение Б).
8.3 Рекомендации по внесению кавитационных характеристик в КД
8.3.1 В КД на РА вносят:
1) зависимости

и

в виде графиков либо в табличной форме;
2) запись:
"Максимальный допустимый перепад давления 
,
Па, при котором обеспечивается бескавитационный режим работы РА, рассчитывают по формуле
где Kc - коэффициент кавитации;
P1 - абсолютное давление до арматуры, Па;
Pнп - абсолютное давление насыщенных паров рабочей среды при температуре t на входе в РА, Па;
0,87 - коэффициент запаса.
Критический перепад давления
, Па, рассчитывают по формуле
где Km - коэффициент критического перепада;

-
коэффициент, зависящий от физических свойств среды;
P* - критическое термодинамическое давление, Па.
При перепадах давления на РА, соответствующих критическому, равному 
,
или больших критического, критический объемный расход среды Qm,
м3/с,
проходящий через РА
, рассчитывают по формуле
где Kv - пропускная способность, м3/ч;

-
плотность среды, кг/м3".
(справочное)
КОЭФФИЦИЕНТЫ, УЧИТЫВАЮЩИЕ РАСШИРЕНИЕ
И СЖИМАЕМОСТЬ ВОЗДУХА
А.1 Значения коэффициента
B, учитывающего расширение воздуха, в зависимости от отношения абсолютных давлений

приведены в таблице А.1.
Таблица А.1
Коэффициент
B, учитывающий расширение воздуха
Показатель | Значение |
Отношение абсолютных давлений  | 0 | 0,04 | 0,08 | 0,12 | 0,16 | 0,20 | 0,24 | 0,28 |
Коэффициент В | 0,484 | 0,494 | 0,505 | 0,516 | 0,528 | 0,541 | 0,555 | 0,570 |
Продолжение таблицы А.1
Показатель | Значение |
Отношение абсолютных давлений  | 0,32 | 0,36 | 0,40 | 0,44 | 0,48 | 0,50 | 0,52 | 0,54 |
Коэффициент B | 0,587 | 0,605 | 0,625 | 0,647 | 0,671 | 0,685 | 0,699 | 0,714 |
Продолжение таблицы А.1
Показатель | Значение |
Отношение абсолютных давлений  | 0,56 | 0,58 | 0,60 | 0,62 | 0,64 | 0,66 | 0,68 | 0,72 |
Коэффициент B | 0,729 | 0,743 | 0,757 | 0,771 | 0,785 | 0,798 | 0,811 | 0,837 |
Окончание таблицы А.1
Показатель | Значение |
Отношение абсолютных давлений  | 0,76 | 0,80 | 0,84 | 0,88 | 0,92 | 0,96 | 1,00 |
Коэффициент B | 0,862 | 0,886 | 0,910 | 0,933 | 0,956 | 0,978 | 1,000 |
А.2 Значения коэффициента сжимаемости воздуха Z в зависимости от абсолютного давления до ИА и температуры приведены в таблице А.2.
Таблица А.2
Коэффициент сжимаемости воздуха
Давление абсолютное до ИА P1, МПа | Коэффициент сжимаемости Z для t |
t = 0 °C | t = 50 °C |
0,1 | 1,00 | 1,00 |
10,0 | 0,98 | 1,02 |
20,0 | 1,03 | 1,08 |
Примечание - Определение промежуточных значений K следует проводить с помощью интерполяции. |
(рекомендуемое)
ФОРМЫ ЖУРНАЛОВ РЕГИСТРАЦИИ ЭКСПЕРИМЕНТАЛЬНЫХ ДАННЫХ
Б.1 Форма журнала регистрации экспериментальных данных при определении коэффициента сопротивления

и пропускной способности
Kv приведена в таблице Б.1.
"__" ____________ 20 г. Испытаниям подвергался
Участвовали в испытаниях: ____________________________
_______________________________ ____________________________
Испытательная среда -
Номер положения ЗЭл (РЭл) i | Относительный ход h1/hчерт, % | Номер измерения | Давление среды, Па | Перепад давления на ИА , Па | Температура среды до ИА t1, °C | Плотность среды при параметрах до ИА  , кг/м 3 | Расход среды Q, м3/с | Число Рейнольдса Re | Коэффициент сопротивления (пропускная способность)  , м 3/ч | Среднеарифметический коэффициент сопротивления (пропускная способность)  ,  , м 3/ч |
до ИА P1 | после ИА P2 |
1 | 5 | 1 | | | | | | | | | |
2 | | | | | | | | | |
3 | | | | | | | | | |
4 | | | | | | | | | |
5 | | | | | | | | | |
6 | | | | | | | | | |
7 | | | | | | | | | |
2 | 10 | 1 | | | | | | | | | |
2 | | | | | | | | | |
3 | | | | | | | | | |
... | | | | | | | | | |
... | ... | ... | | | | | | | | | |
... | | | | | | | | | |
N | 100 | 1 | | | | | | | | | |
2 | | | | | | | | | |
3 | | | | | | | | | |
4 | | | | | | | | | |
5 | | | | | | | | | |
6 | | | | | | | | | |
7 | | | | | | | | | |
Б.2 Форма журнала регистрации экспериментальных данных при определении коэффициента расхода

приведена в таблице Б.2.
"__" ____________ 20 г. Испытаниям подвергался
Участвовали в испытаниях:
_______________________________ ____________________________
_______________________________ ____________________________
Испытательная среда -
Таблица Б.2
Номер положения ЗЭл i | Относительный ход ПК h1/hчерт, % | Номер измерения | Избыточное давление, Па | Перепад давления на ПК  , Па | Массовый расход среды G, кг/ч | Температура среды до ПК t1, °C | Плотность среды при параметрах до ПК,  , кг/м 3 | Коэффициент расхода  ,  |
до ПК P1 | после ПК P2 |
1 | 5 | 1 | | | | | | | |
2 | | | | | | | |
3 | | | | | | | |
4 | | | | | | | |
5 | | | | | | | |
6 | | | | | | | |
7 | | | | | | | |
2 | 10 | 1 | | | | | | | |
2 | | | | | | | |
3 | | | | | | | |
4 | | | | | | | |
5 | | | | | | | |
6 | | | | | | | |
7 | | | | | | | |
... | ... | ... | | | | | | | |
... | | | | | | | |
... | | | | | | | |
N | 100 | 1 | | | | | | | |
2 | | | | | | | |
3 | | | | | | | |
4 | | | | | | | |
5 | | | | | | | |
6 | | | | | | | |
7 | | | | | | | |
Б.3 Форма журнала регистрации экспериментальных данных при определении зависимости коэффициента сопротивления

от скоростного давления

приведена в таблице Б.3.
"__" ____________ 20 г. Испытаниям подвергался
Участвовали в испытаниях:
_______________________________ ____________________________
_______________________________ ____________________________
Испытательная среда -
Номер измерения | Расход среды Q, м3/с | Перепад давления на ИА  , Па | Температура среды до ИА t1, °C | Плотность среды при параметрах до ИА  , кг/м 3 | Скорость среды  , м/с | Скоростное давление  , Па | Погрешность определения коэффициента сопротивления | Коэффициент сопротивления | Среднеарифметическое значение коэффициента сопротивления |
1 | | | | | | | | | |
2 | | | | | | | | | |
3 | | | | | | | | | |
4 | | | | | | | | | |
5 | | | | | | | | | |
... | | | | | | | | | |
N | | | | | | | | | |
Б.4 Форма журнала регистрации экспериментальных данных при определении критериев кавитации приведена в таблице Б.4.
"__" ____________ 20 г. Испытаниям подвергался
Участвовали в испытаниях:
_______________________________ ____________________________
_______________________________ ____________________________
Абсолютная погрешность измерения расхода

Критическое термодинамическое давление P* = 22,115 МПа
Таблица Б.4
Номер хода i | Относительный ход РА hi/ hу  , % | Номер измерения | Фактический расход среды Qф, м3/с | Температура среды до РА t1, °C | Давление среды до РА P1ф, Па | Давление среды после РА P2ф, Па | Перепад давления на РА  , Па | Расход среды "эталонный" Qэ, м3/с | Отклонение фактического расхода воды от "эталонного"  , м 3/с |
1 | 5 | 1 | | | | | | | |
2 | | | | | | | |
3 | | | | | | | |
4 | | | | | | | |
5 | | | | | | | |
2 | 10 | 1 | | | | | | | |
2 | | | | | | | |
... | | | | | | | |
... | ... | ... | | | | | | | |
... | | | | | | | |
N | 100 | 1 | | | | | | | |
... | | | | | | | |
Окончание таблицы Б.4
Номер хода i | Относительный ход РА hi/ hу  , % | Перепад давления  , Па | Давление до РА P1c, Па | Температура среды t1c, °C | Давление насыщенных паров Pнп, Па | Критический перепад давления  , Па | Давление до РА P1m, Па | Температура t1m, °C | Давление насыщенных паров Pнп, Па | Коэффициент rc | Коэффициент кавитации Kc | Коэффициент критического перепада Km |
1 | 5 | | | | | | | | | | | |
| | | | | | | | | | |
| | | | | | | | | | |
| | | | | | | | | | |
| | | | | | | | | | |
2 | 10 | | | | | | | | | | | |
| | | | | | | | | | |
| | | | | | | | | | |
... | ... | | | | | | | | | | | |
| | | | | | | | | | |
N | 100 | | | | | | | | | | | |
| | | | | | | | | | |
(справочное)
МЕТОДИКА ЭКСПЕРИМЕНТАЛЬНОГО ОПРЕДЕЛЕНИЯ ОТНОСИТЕЛЬНОЙ
ШЕРОХОВАТОСТИ УЧАСТКА ТРУБОПРОВОДА ИСПЫТАТЕЛЬНОГО
СТЕНДА МЕЖДУ МЕСТАМИ ОТБОРА ДАВЛЕНИЙ
В.1 Соединить между собой сменные участки трубопроводов испытательного стенда без установки между ними проставок.
В.2 Отрегулировать арматурой стенда (клапаны
1 и
7 на
рисунке 1) режим, соответствующий области квадратичного сопротивления для трубопроводов, наступающий при
Re >
= 10
5.
С учетом того, что кинематическая вязкость воды при температуре
t = 15 °C равна

, а воздуха -

, расход среды, соответствующий области квадратичного сопротивления для трубопроводов, следует рассчитывать по одной из формул:
а) при испытании водой
б) при испытании воздухом
В.3 Измерить расход среды и перепад давления на участке трубопровода.
В.4 Рассчитать
Re по
формуле (1) и коэффициент трения

по формуле

(В.3)
В.5 Изменить расход среды не менее шести раз при выполнении
условий (В.1) либо
(В.2) и рассчитать значения
Re и

для каждого значения расхода.
В.6 Для каждой пары рассчитанных значений

и
Re по таблице В.1 определить значение относительной шероховатости

.
Таблица В.1
Коэффициенты трения трубопровода
Относительная шероховатость  | Коэффициент трения трубопровода  для чисел Рейнольдса Re |
1·104 | 2·104 | 4·104 | 6·104 | 1·105 | 2·105 |
0,0500 | 0,069 | 0,072 | 0,072 | 0,072 | 0,072 | 0,072 |
0,0400 | 0,060 | 0,065 | 0,065 | 0,065 | 0,065 | 0,065 |
0,0300 | 0,050 | 0,056 | 0,057 | 0,057 | 0,057 | 0,057 |
0,0200 | 0,042 | 0,044 | 0,048 | 0,049 | 0,049 | 0,049 |
0,0150 | 0,037 | 0,039 | 0,042 | 0,044 | 0,044 | 0,044 |
0,0100 | 0,033 | 0,032 | 0,035 | 0,036 | 0,038 | 0,038 |
0,0080 | 0,030 | 0,032 | 0,033 | 0,035 | 0,035 |
0,0060 | 0,028 | 0,028 | 0,029 | 0,030 | 0,032 |
0,0040 | 0,027 | 0,025 | 0,025 | 0,026 | 0,028 |
0,0020 | 0,023 | 0,021 | 0,021 | 0,021 |
0,0010 | 0,018 | 0,017 |
0,0008 | 0,016 |
0,0006 |
Примечание - Определение промежуточных значений  следует проводить с помощью интерполяции. |
В.7 По полученным значениям

рассчитать среднее арифметическое значение относительной шероховатости

участка трубопровода между местами отбора давлений по формуле

(В.4)
где

- численное значение относительной шероховатости, определенной в соответствии с
В.7.
В.8 Относительную шероховатость

всех сменных трубопроводов испытательного участка стенда рекомендуется определить заранее.
Так как в процессе эксплуатации шероховатость трубопроводов может изменяться, рекомендуется уточнять значение

каждые пять лет.
(обязательное)
ОБЩИЕ ПРАВИЛА СТАТИСТИЧЕСКОЙ ОБРАБОТКИ
ЭКСПЕРИМЕНТАЛЬНЫХ ДАННЫХ
Г.1 Статистическая обработка экспериментальных значений любой гидравлической характеристики
x1 ... xN проводится в следующей последовательности:
- рассчитать среднее арифметическое значение по формуле

(Г.1)
где
xk - численное значение либо

, либо
Kv, либо

;
- рассчитать среднее квадратичное отклонение по формуле

(Г.2)
- рассчитать нижнюю xн и верхнюю xв границы трехсигмового интервала по формулам:

(Г.3)

(Г.4)
- исключить из массива экспериментальных данных "грубые" ошибки - значения, выходящие за интервал [
xн,
xв], и по оставшимся данным повторить расчет по
формулам (Г.1) -
(Г.4).
Г.2 Для каждого значения хода ЗЭл (РЭл) статистическая обработка экспериментальных значений проводится аналогично (в соответствии с
Г.1).
Г.3 Алгоритм статистической обработки экспериментальных данных приведен в таблице Г.1.
Таблица Г.1
Статистическая обработка экспериментальных данных
при определении гидравлических характеристик
Номер хода i | Относительный ход hi/ hn  , % | Номер измерения k | Гидравлическая характеристика | Среднеарифметическое значение | Среднеквадратичное отклонение | Нижняя граница трехсигмового интервала | Верхняя граница трехсигмового интервала |
1 | 5 | 1 | | | | | |
2 | | | | | |
3 | | | | | |
4 | | | | | |
5 | | | | | |
2 | 10 | 1 | | | | | |
2 | | | | | |
3 | | | | | |
... | | | | | |
... | ... | ... | | | | | |
... | | | | | |
N | 100 | 1 | | | | | |
2 | | | | | |
3 | | | | | |
... | | | | | |
(рекомендуемое)
РАСЧЕТ ДОПУСТИМЫХ И ДЕЙСТВИТЕЛЬНЫХ
ОТКЛОНЕНИЙ ПРОПУСКНОЙ СПОСОБНОСТИ
Д.1 Алгоритм расчета допустимых и действительных отклонений пропускной способности приведен в таблицах:
- для линейной пропускной характеристики - таблица Д.1;
- для равнопроцентной пропускной характеристики -
таблица Д.2.
Расчет допустимых и действительных отклонений
для линейной пропускной характеристики
Относительный ход (угол поворота) РА hi/ hn  | Относительная пропускная способность | Допустимое отклонение действительных значений пропускной способности  , % | Допустимые предельные значения пропускной способности, м3/ч | Действительные среднеарифметические значения пропускной способности |
минимальное | максимальное |
0,05 | | | | | |
0,10 | | | | | |
0,20 | | | | | |
... | | | | | |
1,00 | | | | | |
Расчет допустимых и действительных отклонений
для равнопроцентной пропускной характеристики
Относительный ход (угол поворота) РА hi/ hn  | Относительная пропускная способность | Допустимое отклонение действительных значений пропускной способности  , % | Допустимые предельные значения пропускной способности, м3/ч | Действительные среднеарифметические значения пропускной способности |
минимальное | максимальное |
0,05 | | | | | |
0,10 | | | | | |
0,20 | | | | | |
... | | | | | |
1,00 | | | | | |
[1] - [5] Позиции исключены с 01.03.2026. - Изменение N 1, введенное в действие Приказом Росстандарта от 14.10.2025 N 1195-ст. |
| МЭК 60534-4:2006 (IEC 60534-4:2006) | Регулирующие клапаны для промышленных процессов. Часть 4. Контроль и типовые испытания" (Industrial - process control valves - Part 4: Inspection and routine testing) |
[7] - [9] Позиции исключены с 01.03.2026. - Изменение N 1, введенное в действие Приказом Росстандарта от 14.10.2025 N 1195-ст. |
| ИСО 4126-1:2013 (ISO 4126-1:2013) | Устройства предохранительные для защиты от избыточного давления. Часть 1. Предохранительные клапаны (Safety devices for protection against excessive pressure - Part 1: Safety valves) |
УДК 621.643.4:006.354 | | | NEQ |
Ключевые слова: арматура трубопроводная, гидравлические характеристики, кавитационные характеристики, коэффициент сопротивления, пропускная способность, пропускная характеристика, коэффициент кавитации, фильтры |