Главная // Актуальные документы // ГОСТ Р (Государственный стандарт)СПРАВКА
Источник публикации
М.: Стандартинформ, 2014
Примечание к документу
Документ утратил силу с 01.07.2019 в связи с изданием
Приказа Росстандарта от 15.11.2018 N 1013-ст. Взамен введен в действие
ГОСТ 34437-2018.
Отдельные положения данного документа включены в
Перечень международных и региональных (межгосударственных) стандартов, а в случае их отсутствия - национальных (государственных) стандартов, содержащих правила и методы исследований (испытаний) и измерений, в том числе правила отбора образцов, необходимые для применения и исполнения требований технического
регламента Таможенного союза "О безопасности машин и оборудования" (ТР ТС 010/2011) и осуществления оценки соответствия объектов технического регулирования (
Решение Коллегии Евразийской экономической комиссии от 09.03.2021 N 28).
Документ включен в
Перечень стандартов, в результате применения которых на добровольной основе обеспечивается соблюдение требований технического
регламента Таможенного союза "О безопасности оборудования, работающего под избыточным давлением" (ТР ТС 032/2013) (
Решение Коллегии Евразийской экономической комиссии от 25.02.2014 N 22).
Документ включен в
Перечень стандартов, содержащих правила и методы исследований (испытаний) и измерений, в том числе правила отбора образцов, необходимые для применения и исполнения требований технического
регламента Таможенного союза "О безопасности машин и оборудования" (ТР ТС 010/2011) и осуществления оценки (подтверждения) соответствия продукции, и
Перечень стандартов, в результате применения которых на добровольной основе обеспечивается соблюдение требований технического
регламента таможенного союза "О безопасности машин и оборудования" (ТР ТС 010/2011) (
Решение Комиссии Таможенного союза от 18.10.2011 N 823 (ред. от 19.05.2015)).
Документ
введен в действие с 01.02.2014.
Название документа
"ГОСТ Р 55508-2013. Национальный стандарт Российской Федерации. Арматура трубопроводная. Методика экспериментального определения гидравлических и кавитационных характеристик"
(утв. и введен в действие Приказом Росстандарта от 20.08.2013 N 527-ст)
"ГОСТ Р 55508-2013. Национальный стандарт Российской Федерации. Арматура трубопроводная. Методика экспериментального определения гидравлических и кавитационных характеристик"
(утв. и введен в действие Приказом Росстандарта от 20.08.2013 N 527-ст)
Утвержден и введен в действие
по техническому регулированию
и метрологии
от 20 августа 2013 г. N 527-ст
НАЦИОНАЛЬНЫЙ СТАНДАРТ РОССИЙСКОЙ ФЕДЕРАЦИИ
АРМАТУРА ТРУБОПРОВОДНАЯ
МЕТОДИКА ЭКСПЕРИМЕНТАЛЬНОГО ОПРЕДЕЛЕНИЯ ГИДРАВЛИЧЕСКИХ
И КАВИТАЦИОННЫХ ХАРАКТЕРИСТИК
Pipeline valves. Technique of the experimental definitions
hydraulic and cavitation characteristics
IEC 60534
Industrial - process control valves - Part 2-1, 2-3, 2-4, 4
(NEQ)
ISO 4126-1:2004
Safety devices for protection against excessive pressure -
Part 1: Safety valves
(NEQ)
ГОСТ Р 55508-2013
Дата введения
1 февраля 2014 года
1. Разработан Закрытым акционерным обществом "Научно-производственная фирма "Центральное конструкторское бюро арматуростроения" (ЗАО "НПФ "ЦКБА") и закрытым акционерным обществом "АРМЭКС".
2. Внесен Техническим комитетом по стандартизации ТК 259 "Трубопроводная арматура и сильфоны".
3. Утвержден и введен в действие
Приказом Федерального агентства по техническому регулированию и метрологии от 20 августа 2013 г. N 527-ст.
4. Настоящий стандарт разработан на основе СТ ЦКБА 029-2006 "Арматура трубопроводная. Методика экспериментального определения гидравлических и кавитационных характеристик".
В настоящем стандарте учтены основные нормативные положения следующих международных стандартов:
- МЭК 60534-2-1:2011 "Клапаны регулирующие для промышленных процессов. Часть 2-1. Пропускная способность. Уравнения расчета расхода рабочих сред при параметрах эксплуатации" (IEC 60534-2-1:2011 "Industrial - process control valves - Part 2-1: Flow capacity - Sizing equations for flow under installed condition", NEQ);
- МЭК 60534-2-3:1997 "Клапаны регулирующие для промышленных процессов. Часть 2-3. Пропускная способность. Методики испытаний" (IEC 60534-2-3:1997 "Industrial - process control valves - Part 2-3: Flow capacity - Test Procedures", NEQ);
- МЭК 60534-2-4:2009 "Клапаны регулирующие для промышленных процессов. Часть 2-4. Пропускная способность. Пропускная характеристика и ее допустимые отклонения" (IEC 60534-2-4:2009 "Industrial - process control valves - Part 4: Flow capacity - Inherent flow characteristics and range ability", NEQ);
- МЭК 60534-4:2006 "Клапаны регулирующие для промышленных процессов. Часть 4. Контроль и типовые испытания" (IEC 60534-4:2006 "Industrial - process control valves - Part 4: Inspection and routine testing", NEQ);
- ИСО 4126-1:2004 "Предохранительные устройства для защиты от избыточного давления. Часть 1. Предохранительные клапаны" (ISO 4126-1:2004 "Safety devices for protection against excessive pressure - Part 1: Safety valves", NEQ).
5. Введен впервые.
Правила применения настоящего стандарта установлены в ГОСТ Р 1.0-2012
(раздел 8). Информация об изменениях к настоящему стандарту публикуется в ежегодном (по состоянию на 1 января текущего года) информационном указателе "Национальные стандарты", а официальный текст изменений и поправок - в ежемесячном информационном указателе "Национальные стандарты". В случае пересмотра (замены) или отмены настоящего стандарта соответствующее уведомление будет опубликовано в ближайшем выпуске ежемесячного информационного указателя "Национальные стандарты". Соответствующая информация, уведомление и тексты размещаются также в информационной системе общего пользования - на официальном сайте Федерального агентства по техническому регулированию и метрологии в сети Интернет (gost.ru).
Настоящий стандарт распространяется на трубопроводную арматуру, применяемую в технологических системах объектов, и устанавливает методику экспериментального определения на специализированных расходных стендах:
- гидравлических характеристик:
а) коэффициентов сопротивления (для запорной и обратной арматуры);
б) коэффициентов расхода (для предохранительной арматуры);
в) пропускной способности и пропускной характеристики в бескавитационном режиме (для регулирующей арматуры);
- кавитационных характеристик (для регулирующей арматуры):
а) коэффициентов кавитации;
б) коэффициентов критического перепада давления.
В настоящем стандарте использованы нормативные ссылки на следующие стандарты:
ГОСТ Р 8.568-97 Государственная система обеспечения единства измерений. Аттестация испытательного оборудования. Основные положения
ГОСТ 12.2.085-2002 Сосуды, работающие под давлением. Клапаны предохранительные. Требования безопасности
ГОСТ 12893-2005 Клапаны регулирующие односедельные, двухседельные и клеточные. Общие технические условия
ГОСТ 16504-81 Система государственных испытаний продукции. Испытания и контроль качества продукции. Основные термины и определения
ГОСТ 17433-80 Промышленная чистота. Сжатый воздух. Классы загрязненности.
Примечание. При пользовании настоящим стандартом целесообразно проверить действие ссылочных стандартов в информационной системе общего пользования - на официальном сайте Федерального агентства по техническому регулированию и метрологии в сети Интернет или по ежегодному информационному указателю "Национальные стандарты", который опубликован по состоянию на 1 января текущего года, и по выпускам ежемесячного информационного указателя "Национальные стандарты" за текущий год. Если заменен ссылочный стандарт, на который дана недатированная ссылка, то рекомендуется использовать действующую версию этого стандарта с учетом всех внесенных в данную версию изменений. Если заменен ссылочный стандарт, на который дана датированная ссылка, то рекомендуется использовать версию этого стандарта с указанным выше годом утверждения (принятия). Если после утверждения настоящего стандарта в ссылочный стандарт, на который дана датированная ссылка, внесено изменение, затрагивающее положение, на которое дана ссылка, то это положение рекомендуется применять без учета данного изменения. Если ссылочный стандарт отменен без замены, то положение, в котором дана ссылка на него, применяется в части, не затрагивающей эту ссылку.
3. Термины и определения, обозначения и сокращения
3.1.1. арматура полнопроходная: Арматура, у которой площади сечений проточной части равны или больше площади отверстия входного патрубка.
3.1.2. давление настройки Pн: Наибольшее избыточное давление на входе в предохранительный клапан, при котором затвор закрыт и обеспечивается заданная герметичность затвора. Примечание. Pн должно быть не менее рабочего давления Pр в оборудовании. |
3.1.3. давление полного открытия Pпо: Избыточное давление на входе в предохранительный клапан, при котором совершается ход арматуры и достигается максимальная пропускная способность. |
3.1.4. диапазон регулирования фактический Д: Отношение максимального значения пропускной способности KVmax к минимальному значению пропускной способности KVmin, в пределах которых сохраняется вид пропускной характеристики конкретного образца РА.
3.1.5. затвор обратный: Дисковый затвор, предназначенный для предотвращения обратного потока рабочей среды. |
3.1.6. испытательная среда: Среда, используемая при экспериментальном определении гидравлических и кавитационных характеристик.
3.1.7. клапан невозвратно-запорный: Обратный клапан, в котором может быть осуществлено принудительное закрытие клапана.
3.1.8. клапан невозвратно-управляемый: Обратный клапан, в котором может быть осуществлено принудительное открытие, закрытие или ограничение хода клапана.
3.1.9. клапан обратный: Клапан, предназначенный для автоматического предотвращения обратного потока рабочей среды.
3.1.10. коэффициент кавитации (коэффициент начала кавитации Н
рк) К
c: Безразмерный параметр, обуславливающий при заданной температуре рабочей среды перепад давления на регулирующей арматуре, при котором начинается отклонение расходной характеристики

от линейной зависимости.
Примечание. Нрк - не рекомендуемый для применения термин.
3.1.11. коэффициент критического перепада давления К
m: Безразмерный коэффициент, используемый для расчета критического перепада давления

, соответствующего достижению критического расхода, остающегося постоянным независимо от увеличения перепада давления на регулирующей арматуре.
3.1.12. коэффициент расхода для газа  : Отношение при одинаковых параметрах массового расхода газа через предохранительный клапан к расходу газа через идеальное сопло с площадью сечения, равной площади самого узкого сечения седла клапана. |
3.1.13. коэффициент расхода для жидкости  : Отношение при одинаковых параметрах массового расхода жидкости через предохранительный клапан к расходу жидкости через идеальное сопло с площадью сечения, равной площади самого узкого сечения седла клапана. |
3.1.14. коэффициент сопротивления

: Отношение потерянного полного давления в арматуре к скоростному давлению (динамическому давлению) в расчетном сечении.
Примечания
1. За расчетное сечение принимается проходное сечение входного патрубка арматуры диаметром, численно равным (в мм) номинальному диаметру DN.
2. Для однофазных сжимаемых сред формула может быть применена с приемлемой погрешностью при перепадах, составляющих не более 10% от величины давления газа (пара) на входе.
3. При одинаковых размерах входного и выходного патрубков арматуры потеря полного давления будет равна разности статических давлений.
3.1.15. критический перепад давления

: Перепад давления, начиная с которого при его увеличении не происходит увеличения расхода несжимаемой жидкости.
3.1.16. область квадратичного сопротивления: Часть зоны турбулентного режима течения, при котором потери давления прямо пропорциональны коэффициенту сопротивления и средней скорости во второй степени
[1].
3.1.17. полное давление: Сумма статического и скоростного (динамического) давлений.
3.1.18. пропускная способность KV, м3/ч: Величина, численно равная расходу рабочей среды с плотностью 1000 кг/м3, протекающей через регулирующую арматуру при перепаде давлений 0,1 МПа (1 кгс/см2). |
3.1.19. пропускная способность предохранительного клапана G, кг/ч: Массовый расход рабочей среды через клапан.
3.1.20. пропускная способность относительная  : Отношение пропускной способности на текущем ходе к условной пропускной способности. |
3.1.21. пропускная способность условная  : Пропускная способность на номинальном ходе. |
3.1.22. пропускная характеристика: Зависимость пропускной способности от хода (угла поворота) РЭл арматуры.
3.1.23. пропускная характеристика действительная: Пропускная характеристика, определенная экспериментальным путем. |
3.1.24. пропускная характеристика линейная Л: Пропускная характеристика регулирующей арматуры, при которой приращение относительной пропускной способности пропорционально относительному ходу и имеет математическое выражение  , где  ;  (m - коэффициент пропорциональности;  - относительный ход). |
3.1.25. пропускная характеристика равнопроцентная Р: Пропускная характеристика регулирующей арматуры, при которой приращение относительной пропускной способности по ходу пропорционально текущему значению относительной пропускной способности и имеет математическое выражение  . |
3.1.26. площадь проходного сечения арматуры FN, м2: Площадь, равная площади сечения диаметром, численно равным DN.
Примечание. Если

, то вместо FN следует применять FN
1.
3.1.27. скоростное давление

: Давление, равное половине произведения квадрата скорости в расчетном проходном сечении на плотность движущейся среды.
3.1.28. ход номинальный hy: расстояние между уплотнительными поверхностями ЗЭл (РЭл) и седла, равное указанному в КД значению хода без учета допусков.
3.1.29. ход относительный  : Отношение текущего хода к номинальному ходу. |
3.1.30. ход текущий hi: Расстояние между уплотнительными поверхностями ЗЭл (РЭл) и седла.
3.1.31. угол поворота ЗЭл (РЭл)

: Угол между плоскостью седла и плоскостью уплотнительной поверхности ЗЭл (РЭл) арматуры поворотного типа.
3.1.32. утечка: Проникновение рабочей или испытательной среды через уплотнительные соединения арматуры под действием перепада давления.
3.2. В настоящем стандарте применены следующие обозначения:
B - коэффициент, учитывающий отношение абсолютных давлений газа после и до ИА;
Dс - диаметр самого узкого сечения проточной части седла ПК, мм;
DN - номинальный диаметр;
DN1 - номинальный диаметр входного патрубка;
DN2 - номинальный диаметр выходного патрубка;
Dтр - диаметр трубопровода, м;
FN - площадь проходного сечения арматуры, м2;
FN1 - площадь проходного сечения входного патрубка, м2;
FN2 - площадь проходного сечения выходного патрубка, м2;
G - массовый расход, кг/с (для предохранительных клапанов - пропускная способность, кг/ч);
К - коэффициент сжимаемости воздуха;
Кc - коэффициент кавитации;
Кm - коэффициент критического перепада давления;
KV - пропускная способность, м3/ч;
KVmax - максимальное фактическое (экспериментальное) значение пропускной способности конкретного образца РА на номинальном ходе РЭл, м3/ч;
KVmin - минимальное фактическое (экспериментальное) значение пропускной способности конкретного образца РА на минимальном ходе РЭл, м3/ч;

- условная пропускная способность, м
3/ч;

- пропускная способность относительная;

- среднеарифметическое значение фактической пропускной способности, м
3/ч;

- допустимое отклонение действительного значения пропускной способности от заданного (расчетного), %;
L - строительная длина арматуры, м;
L1, L2 - длина прямого участка трубопровода до и после ИА, м;
N - количество экспериментальных значений;
P1 - абсолютное давление до ИА, равное сумме избыточного и атмосферного, Па;
P2 - абсолютное давление после ИА, равное сумме избыточного и атмосферного, Па;
PН - давление настройки ПК, Па;
PНП - абсолютное давление насыщенных паров жидкости при температуре t на входе в РА, Па;
PПО - давление полного открытия, Па;
P* - критическое термодинамическое давление среды, Па (для воды P* = 214,1523 · 105 Па);

- перепад (потери) давления на ИА, Па;

- критический перепад давления, Па;
Q - объемный расход, м3/с;
Q1 - объемный расход газа до ИА, м3/с;
Q2 - объемный расход газа после ИА, м3/с;
R - удельная газовая постоянная, Дж/кг·К (для воздуха R = 287);
Re - число Рейнольдса;
Reкв - число Рейнольдса, соответствующее области квадратичного сопротивления;
V - объем жидкости, л;
l1, l2 - длина прямых участков труб от входного и выходного патрубков ИА до точек отбора давления, м;
g - ускорение свободного падения, м/с2;
hi - ход текущий, мм;
hy - ход номинальный, мм;

- ход относительный;
t1 - температура испытательной среды до ИА, °C;

- средняя скорость, отнесенная к площади номинального прохода, м/с;

- коэффициент расхода для газа;

- коэффициент расхода для жидкости;

- отношение абсолютных давлений газа после и до ИА;

- абсолютная шероховатость, мм;

- относительная шероховатость;

- коэффициент сопротивления;

- коэффициент сопротивления в области квадратичного сопротивления системы, включающей ИА и участок трубопровода между отборами давления;

- коэффициент сопротивления в области квадратичного сопротивления при полном открытии арматуры;

- коэффициент сопротивления в области квадратичного сопротивления участка трубопровода между местами отборов давлений;

- среднее арифметическое значение коэффициента сопротивления;

- коэффициент трения участка трубопровода;

- кинематическая вязкость, м
2/с;

- плотность испытательной среды, кг/м
3;

- плотность газа при параметрах до ИА, кг/м
3;

- плотность газа при параметрах после ИА, кг/м
3;

- среднее квадратичное отклонение;

- время, с;

- угол открытия арматуры поворотного типа.
3.3. В настоящем стандарте применены следующие сокращения:
ЗЭл - запирающий элемент;
ИА - испытуемая арматура;
КД - конструкторская документация;
ПК - предохранительный клапан;
ПМ - программа и методика испытаний;
РА - регулирующая арматура;
РЭл - регулирующий элемент;
ТУ - технические условия.
4. Требования, предъявляемые к арматуре, поступающей
на испытания
4.1. На испытания должна поступать арматура в сборе, прошедшая приемо-сдаточные испытания в полном объеме. Вместе с арматурой поставляют комплект сопроводительной документации в объеме:
- сборочный чертеж;
- паспорт с отметкой ОТК о проведении приемо-сдаточных испытаний;
- ПМ;
- руководство по эксплуатации;
- проект ТУ.
4.2. Количество образцов арматуры, подвергаемых испытаниям:
- один образец - при подтверждении численных значений гидравлических характеристик опытных образцов и серийной арматуры;
- один образец - при изготовлении и поставке одного изделия. Результаты испытаний этого изделия заносятся в паспорт и ТУ с уточнением гидравлических характеристик в ТУ при последующих испытаниях и поставках;
- два образца, изготовленных по одному чертежу, - при необходимости выдачи рекомендаций для внесения в КД значений гидравлических характеристик серийных и опытных образцов арматуры. Допускается испытывать один опытный (головной) образец по согласованию с заказчиком.
4.3. Арматура должна соответствовать спецификации и сборочному чертежу. Соответствие устанавливается визуально-измерительным контролем.
Повреждения наружных поверхностей арматуры не допускаются.
4.4. Арматура должна обеспечивать ход (угол поворота) ЗЭл (РЭл), указанный в КД в пределах допусков.
4.5. Ход (угол поворота) ЗЭл запорной арматуры, управляемой приводом (электро-, пневмо- и гидроприводом), должен быть отрегулирован на величину, соответствующую значению, указанному в КД, с минусовым допуском.
4.6. Если при эксплуатации запорной арматуры люфты подвижной системы, связанной с ЗЭл, от воздействия давления выбираются, то перед началом проведения испытаний все люфты должны быть устранены. Если люфты подвижной системы, связанной с ЗЭл, не устраняются, то арматуру поставляют на испытания с ходом, меньше указанного на чертеже на величину люфтов, при этом суммарная величина люфтов должна быть известна.
5. Требования, предъявляемые к испытательному участку стенда
5.1. Коэффициент сопротивления

, пропускная способность K
V, коэффициент расхода

определяют на стендах с использованием в качестве испытательной среды ньютоновских несжимаемых жидкостей и газообразных сжимаемых сред.
Коэффициенты кавитации Kc и коэффициент критического перепада давления Km определяют на стенде, имеющем в качестве испытательной среды несжимаемую жидкость.
5.2. В качестве несжимаемой жидкости рекомендуется применять воду, а в качестве сжимаемой жидкости - воздух.
5.3. Вода, применяемая для испытаний, должна соответствовать требованиям
[4]. Допускается применять воду, соответствующую
[5].
5.4. При проведении испытаний температура испытательной среды до ИА должна быть:
- воды - (20 +/- 15) °C;
- воздуха - (25 +/- 20) °C.
5.5. Испытания должны проводиться при следующих параметрах окружающего воздуха:
- температура - (20 +/- 25) °C;
- атмосферное давление - от 84,0 до 106,7 кПа (от 630 до 800 мм рт. ст.).
Относительная влажность воздуха не регламентируется.
5.6. Принципиальные схемы установки ИА на испытательных участках испытательного стенда приведены на рисунке 1.
а) Участок стенда для испытания арматуры с патрубками
на одной оси
б) Участок стенда для испытания угловой арматуры
Рисунок 1. Принципиальная схема испытательного участка
гидравлического (пневматического) стенда
5.7. При испытании ПК на пневматическом стенде клапан устанавливают на трубопровод или на емкость. При этом сброс воздуха происходит либо через глушитель, либо непосредственно в атмосферу. Принципиальные схемы установки ПК на испытательных участках пневматического стенда приведены на рисунке 2.
1) Сброс воздуха из ПК в атмосферу
| | ИС МЕГАНОРМ: примечание. Нумерация рисунков дана в соответствии с официальным текстом документа. | |
1) Сброс воздуха из ПК через глушитель
а) Участок стенда при установке ПК на трубопровод
1) Сброс воздуха из ПК в атмосферу
2) Сброс воздуха из ПК через глушитель
б) Участок стенда при установке ПК на емкость
Рисунок 2. Принципиальная схема испытательного участка
пневматического стенда для испытаний ПК
5.8. Для испытания арматуры различных номинальных диаметров необходимо, чтобы трубопроводы испытательного участка стенда, на которых устанавливается ИА, были сменными.
5.9. Испытательный участок стенда должен состоять из двух прямых отрезков сменных трубопроводов без дополнительных местных сопротивлений.
Длина прямых отрезков сменных трубопроводов стенда должна быть не менее двадцати номинальных диаметров на входе арматуры (L
1 >= 10DN
1) и не менее десяти номинальных диаметров на выходе (L
2 >= 10DN
2)
[2].
5.10. Значения расстояний от уплотнительной поверхности места присоединения ИА к трубопроводу до мест для отбора давлений приведены в таблице 1
[3].
Таблица 1
Расстояние от уплотнительной поверхности патрубков ИА
до мест для отбора давлений
Размеры в миллиметрах
Место отбора давления | Расстояние от уплотнительной поверхности соответственно входного и выходного патрубков ИА до мест для отбора давлений соответственно до и после ИА для DN арматуры |
До DN 6 включ. | Св. DN 6 до DN 32 включ. | Св. DN 32 |
До ИА, I1 | От 6  до 13  | От 2  до 5  | От 1  до 2  |
После ИА, I2 | " 6  " 13  | " 4  " 6  | " 4  " 6  |
5.11. В измерительных сечениях стендов устанавливают не менее четырех приемников местного статического давления в виде круглых отверстий, расположенных в стенке трубопровода равномерно по его периметру и соединенных между собой каналом связи, площадь сечения которого должна быть не менее суммы площадей отверстий. Допускается соединение отдельных приемников давления в единый коллектор трубками одинакового сечения и длины. Осевые линии отверстий должны пересекаться с осевой линией трубопровода и находиться к ней под прямым углом. В месте отбора давления отверстие в трубе должно быть круглым, а края должны быть вровень со стенками трубы, острыми и без заусенцев.
Внутренний диаметр отверстий для отборов давления должен удовлетворять требованиям, приведенным в таблице 2.
Таблица 2
Внутренний диаметр отверстий для отборов давления
Размеры в миллиметрах
Номинальный диаметр | Внутренний диаметр отверстия отбора давления |
Минимальный | Максимальный |
До DN 10 включ. | 0,1 · DN |
От DN 15 до DN 50 включ. | 3 | 6 |
" DN 50 " DN 100 " | 9 |
Св. DN 100 | 12 |
5.12. Для испытания арматуры с различной строительной длиной рекомендуется предусмотреть в составе испытательного участка стенда компенсатор длины перед испытательным участком стенда или за ним.
Для испытания арматуры со смещенными осями патрубков рекомендуется предусмотреть компенсатор высоты.
5.13. Испытательный стенд должен быть аттестован в соответствии с требованиями
ГОСТ Р 8.568.
5.14. Требования безопасности при проведении испытаний в соответствии с
ГОСТ Р 53402.
6.1. Для определения гидравлических и кавитационных характеристик (

, K
V,

,

, K
c, K
m) на испытательном стенде подлежат измерению следующие параметры:
- расход испытательной среды;
- время измерения расхода (при объемном или весовом способе измерения расхода);
- давления до и после ИА, перепад давления на ИА;
- температура испытательной среды перед ИА;
- ход арматуры.
6.2. Погрешность измерения параметров
Погрешность измерения параметров при проведении испытаний не должна превышать значений, приведенных в таблице 3.
Таблица 3
Допустимые погрешности измерения параметров
Измеряемый параметр | Допустимая погрешность измерения параметров |
Относительная | Абсолютная |
Расход | +/- 1,0% | - |
Давление и перепад давления | +/- 1,5% | - |
Температура | - | +/- 1,0 °C |
Время | - | +/- 0,2 с |
Ход арматуры | +/- 0,5% | - |
6.3. Государственный надзор и ведомственный контроль за средствами измерений - по
[6] и
[7].
6.4. Измерение расхода, давления, перепада давления и температуры следует проводить измерительными средствами и приборами любого типа, предназначенными для этих целей и обеспечивающими погрешности не более указанных в
таблице 3.
7. Порядок экспериментального определения гидравлических
характеристик
7.1.1. Экспериментальное определение гидравлических характеристик следует проводить в области квадратичного сопротивления и при отсутствии кавитации, если испытания проводятся на воде.
7.1.2. Для любого типа арматуры номинальных диаметров DN <= 250 для всех значений хода h
i либо углов поворота

- (далее - хода) арматуры область квадратичного сопротивления наступает при числах Рейнольдса Re
кв >= 2 · 10
4.
Для арматуры номинальных диаметров DN > 250 область квадратичного сопротивления Re
кв определяют в процессе экспериментального определения коэффициентов сопротивления и пропускной способности. Порядок определения Re
кв изложен в
7.2.3.
Отсутствие кавитации при всех значениях хода арматуры обеспечивается при давлении после арматуры P2 больше 0,3 МПа.
7.1.3. Направление подачи рабочей среды в соответствии с направлением стрелки, указанной на корпусе или на чертеже.
7.1.4. Арматуру устанавливают на испытательном участке стенда в соответствии с требованиями КД.
7.1.5. В процессе проведения эксперимента на фиксированном ходе ЗЭл (РЭл) при изменении расхода испытательной среды величина хода должна оставаться постоянной. Установку ЗЭл (РЭл) в каждое новое положение следует проводить от поверхности седла или от положения, принятого за начальное (например, для шиберной задвижки).
7.2. Определение характеристик запорной арматуры
7.2.1. Общие положения
Для запорной арматуры в области квадратичного сопротивления определяют:
- коэффициент сопротивления на ходе ЗЭл, указанном в КД, с учетом минусового допуска;
- зависимость коэффициента сопротивления от хода ЗЭл, которая позволяет для заданного значения коэффициента сопротивления определить минимальное допустимое значение хода

, при котором обеспечивается заданный коэффициент сопротивления:
для клапанов и задвижек -

или

;
для кранов и затворов дисковых -

или

.
Определение зависимости коэффициента сопротивления от хода ЗЭл проводят по требованию заказчика.
7.2.2. Определение коэффициента сопротивления арматуры от DN 32 до DN 250 включительно
Определение коэффициента сопротивления арматуры, кроме полнопроходных задвижек и кранов всех DN, рекомендуется проводить в следующей последовательности:
1) установить ИА, соответствующую требованиям
4.4 -
4.6, на испытательном участке стенда;
2) установить ЗЭл в положение полного открытия (на ход по чертежу с учетом минусового допуска) и зафиксировать в этом положении;
3) отрегулировать арматурой стенда режим испытания изделия в соответствии с требованиями
7.1.2;
4) рассчитать число Рейнольдса по формуле

, (1)
где

;

.
При DN1 /= DN2 вместо DN в формулу для расчета FN следует подставлять DN1;
5) в установившемся режиме (время выхода на режим не менее трех мин) провести измерение расхода среды, проходящей через арматуру, давления до арматуры и перепада давления на ней;
6) с помощью арматуры стенда увеличить или уменьшить расход при условии выполнения требований
7.1.2 так, чтобы перепад давления на ИА изменялся не менее чем на 15%. Измерить расход и перепад давления. Изменение расхода следует проводить не менее пяти раз;
7) при ходах ЗЭл

, равных (5, 10, 20, 30, 40, 50, 60, 70, 80, 90)% хода, указанного в КД, или при положениях, указанных заказчиком, провести определение коэффициента сопротивления, соблюдая требования, изложенные в
7.1.2, и в соответствии с порядком, изложенным в 7.2.2 (
перечисления 3 -
6);
8) рассчитать коэффициент сопротивления по формуле

, (2)
где B = 1,0 - при испытании на воде и при испытании на воздухе для отношения давлений

.
B определяют по
таблице А.1 при испытании на воздухе для отношения давлений

.
Плотность воды определяют в зависимости от давления и температуры среды до ИА по справочнику теплофизических свойств воды и водяного пара. Допускается принимать плотность воды, равной

.
Плотность воздуха определяют по справочнику теплофизических свойств газов и жидкостей либо рассчитывают по формуле

. (3)
В случае если диаметры входного и выходного патрубков ИА не равны друг другу, коэффициент сопротивления рассчитывают по одной из формул
- при испытании водой

; (4)
- при испытании воздухом

; (5)
9) данные измерений, расчетные значения коэффициента сопротивления и числа Рейнольдса Re рекомендуется вносить в журнал регистрации по
форме Б.1;
10) провести статистическую обработку полученных экспериментальных данных в соответствии с
7.2.5.
7.2.3. Определение коэффициента сопротивления арматуры DN свыше 250
Определение коэффициента сопротивления арматуры, кроме полнопроходных задвижек и кранов всех DN, рекомендуется проводить в следующей последовательности:
1) установить ИА на испытательном участке стенда в соответствии с требованиями
4.4 -
4.6;
2) установить ЗЭл арматуры в положение полного открытия и зафиксировать в этом положении;
3) отрегулировать арматурой стенда режим, соответствующий числу Рейнольдса Re в диапазоне от 10
4 до 2 · 10
4. Число Рейнольдса рассчитывают по
формуле (1);
4) провести определение коэффициента сопротивления в соответствии с 7.2.2 (
перечисления 5) и
8));
5) с помощью арматуры стенда увеличить расход и соответственно число Рейнольдса на (8 - 10)% и определить коэффициент сопротивления в соответствии с 7.2.2 (
перечисления 5) и
8));
6) расход следует увеличивать до тех пор, пока для пяти значений расхода (чисел Рейнольдса) коэффициент сопротивления ИА не станет постоянной величиной. Расчетные значения коэффициента сопротивления должны находиться в диапазоне

, где

- погрешность определения коэффициента сопротивления на испытательном стенде, рассчитываемая из формул:

, (6)
где

- половина цены деления прибора, измеряющего перепад давления;

- половина цены деления прибора, измеряющего расход,
или

, (7)
где

и

- половина цены деления прибора, измеряющего давления;
7) определить минимальное значение числа Re
min, начиная с которого коэффициент сопротивления

становится постоянным;
8) провести обработку экспериментальных значений коэффициентов сопротивления при Re >= Re
min в соответствии с
7.2.5.
7.2.4. Уточнение коэффициентов сопротивления полнопроходных задвижек и кранов всех DN, а также арматуры до DN 32 включительно
Вследствие соизмеримости величин коэффициентов сопротивления арматуры и участка трубопровода стенда между местами отбора давления величину коэффициента сопротивления при полном открытии полнопроходных задвижек и кранов всех DN, а также для прочей запорной арматуры номинальных диаметров до DN 32 включительно, определенную в соответствии с 7.2.2 (
перечисления 3) -
6)) либо в соответствии с 7.2.3 (
перечисления 2) -
7)), следует уточнить. Уточнение проводят в следующей последовательности:
1) определить относительную шероховатость

участка трубопровода стенда между местами отбора давления по методике, приведенной в
Приложении В;
2) определить коэффициент сопротивления системы

, включающей ИА и участок трубопровода стенда между местами отбора давления, в области квадратичного сопротивления в соответствии с 7.2.2 (
перечисления 3) -
6)) либо в соответствии с 7.2.3 (
перечисления 2) -
7));
3) по величине

для каждого рассчитанного значения числа Рейнольдса Re по
таблице В.1 определить значение коэффициента трения трубопровода

;
4) рассчитать коэффициент сопротивления участка трубопровода между местами отбора давления

по формуле

; (8)
5) при неравенстве диаметров входного и выходного патрубков определить отдельно коэффициент сопротивления участка трубопровода до ИА и после ИА. Испытания следует проводить в следующем порядке:
- соединить два трубопровода, используемых для определения коэффициента сопротивления арматуры номинального диаметра DN1;
- определить коэффициент сопротивления участка трубопровода между местами отбора давлений;
- рассчитать коэффициент сопротивления участка до ИА, принимая за расчетное сечение площадь проходного сечения входного патрубка, по формуле

; (9)
- соединить два трубопровода, используемых для определения коэффициента сопротивления арматуры номинального диаметра DN2;
- определить коэффициент сопротивления участка трубопровода между местами отбора давлений;
- рассчитать коэффициент сопротивления участка после ИА, принимая за расчетное сечение площадь проходного сечения выходного патрубка, по формуле

; (10)
- рассчитать коэффициент сопротивления участка после ИА, принимая за расчетное сечение площадь проходного сечения входного патрубка, по формуле

; (11)
- рассчитать коэффициент сопротивления участка трубопровода между местами отбора давления по формуле

; (12)
6) рассчитать коэффициент сопротивления арматуры при полном открытии

по формуле

; (13)
7) провести обработку полученных экспериментальных данных в соответствии с
7.2.5.
7.2.5. Обработка экспериментальных данных
7.2.5.1. Обработка экспериментальных данных, полученных при испытании запорной арматуры на ходе ЗЭл, приведенном в КД, с учетом минусового допуска:
- при подтверждении численного значения коэффициента сопротивления, указанного в КД серийной арматуры, а также при изготовлении и поставке одного изделия. Статистическую обработку экспериментальных данных проводят в соответствии с
Приложением Г, подставляя в
формулы (Г.1) -
(Г.4) вместо x
1 ... x
N экспериментальные значения коэффициентов сопротивления. За величину коэффициента сопротивления принимают значение

, рассчитанное по
формуле (Г.4);
- при определении численных значений коэффициента сопротивления серийных и опытных образцов арматуры статистическую обработку экспериментальных данных проводят в соответствии с
Приложением Г для каждого изделия отдельно. За коэффициент сопротивления каждого изделия принимают значение

, рассчитанное по
формуле (Г.4). За значение коэффициента сопротивления арматуры принимают большее из значений

, рассчитанных по
формуле (Г.4).
7.2.5.2. Обработка экспериментальных данных, полученных при определении зависимости коэффициента сопротивления от хода ЗЭл:
- для каждого образца в отдельности в целях "выброса грубых ошибок" на фиксированном ходе ЗЭл

провести статистическую обработку экспериментальных данных, подставляя в
формулы (Г.1) -
(Г.4) вместо x
1 ... x
N экспериментальные значения коэффициентов сопротивления

, полученные на этих

;
- для наглядности рекомендуется построить графики зависимостей

или

либо

или

.
7.2.6. Характеристики, вносимые в КД
7.2.6.1. В КД на запорную арматуру вносят запись: "Коэффициент сопротивления

- не более ...".
7.2.6.2. В тексте указывают значение

, определенное в
7.2.5.1, либо значение

, определенное в
7.2.5.2, на ходе ЗЭл

, заданном заказчиком.
7.3. Определение характеристик регулирующей арматуры
7.3.1. Общие положения
7.3.1.1. Гидравлическими характеристиками РА являются:
- пропускная способность KV;
- пропускная характеристика.
7.3.1.2. Для регулирующей арматуры определяют:
- условную пропускную способность

на номинальном ходе h
y;
- действительную пропускную характеристику KV = f(hi) или KV = f(hi) (далее - пропускную характеристику).
7.3.1.3. Для регулирующей арматуры рассчитывают:
- отклонения действительных значений пропускной способности от заданных (расчетных)

(в соответствии с
ГОСТ 12893);
- диапазон регулирования Д.
7.3.1.4. Определение

и пропускной характеристики проводят в области квадратичного сопротивления при условии отсутствия кавитации.
7.3.2. Определение пропускной способности и пропускной характеристики
Определение пропускной способности проводят для хода РЭл, соответствующего (5, 10, 20, 30, 40, 50, 60, 70, 80, 90, 100)% номинального хода

в следующей последовательности:
1) установить РА на испытательном участке стенда в соответствии с требованиями
5.6,
7.1.3 и
7.1.4;
2) открыть РА на требуемый ход h
i и зафиксировать РЭл в этом положении при соблюдении требований
7.1.5;
3) отрегулировать арматурой стенда режим испытания РА в области квадратичного сопротивления при условии отсутствия кавитации в соответствии с требованиями
7.1.2;
5) в установившемся режиме (время выхода на режим не менее трех минут) провести измерение расхода, давления до РА и перепада давления на РА и рассчитать величину пропускной способности по формуле

; (14)
6) с помощью арматуры стенда увеличить или уменьшить расход при условии выполнения требований
7.1.2 и
7.1.5 так, чтобы перепад давления на РА изменялся не менее чем на 15%. Измерить расход, перепад давления и рассчитать значение K
V по
формуле (14);
7) повторить изменение расхода и соответственно измерения расхода и перепада давления, а также расчет пропускной способности не менее пяти раз;
8) данные измерений, а также расчетные значения пропускной способности и числа Рейнольдса вносят в журнал испытаний по
форме Б.1;
9) в целях "выброса грубых ошибок" для каждого хода

провести статистическую обработку экспериментальных данных в соответствии с
Приложением Г, подставляя в
формулы (Г.1) -
(Г.4) вместо x
1 ... x
N значения K
V. За величину пропускной способности K
V при ходе

принимают значение, рассчитанное по
формуле (Г.3);
10) по результатам испытаний построить графики зависимости K
V = f(h
i) или

.
7.3.3. Обработка экспериментальных данных
7.3.3.1. За величину условной пропускной способности принимают фактическое среднеарифметическое значение пропускной способности

на номинальном ходе, полученное по результатам обработки экспериментальных данных в соответствии с 7.3.2
(перечисление 9)).
7.3.3.2. Проверку соответствия действительной пропускной характеристики РА пропускной характеристике, заданной в КД, проводят для каждого значения хода РЭл, на котором проводилось определение пропускной способности путем сравнения среднеарифметических значений пропускной способности

, полученных по результатам обработки экспериментальных данных в соответствии с 7.3.2
(перечисление 9)), с допустимыми значениями пропускной способности (минимальным minK
Vдоп
i и максимальным maxK
Vдоп
i).
Проверку проводят в следующей последовательности:
- рассчитать значение относительной пропускной способности

по одной из формул
а) для линейной пропускной характеристики

, (15)
где

- относительная начальная пропускная способность;
б) для равнопроцентной характеристики

; (16)
- рассчитать допустимое относительное отклонение

, %, действительной пропускной способности от расчетной по одной из формул
а) для линейной пропускной характеристики

, (17)
б) для равнопроцентной пропускной характеристики

; (18)
- рассчитать допустимые значения пропускной способности (минимальное minKVдоп и максимальное maxKVдоп) по формулам:

, (19)

; (20)
- сравнить фактическое среднеарифметическое значение пропускной способности

, полученное по результатам обработки экспериментальных данных в соответствии с 7.3.2
(перечисление 9)), со значениями minK
Vдоп
i и maxK
Vдоп
i, рассчитанными по
формулам (19) и
(20). Алгоритм расчета отклонений действительных значений пропускной способности от расчетных приведен в
Приложении Д:
- для линейной пропускной характеристики - в
таблице Д.1;
- для равнопроцентной пропускной характеристики - в
таблице Д.2;
- если в диапазоне изменения хода РЭл (5 - 100)% номинального хода хотя бы одно значение

выходит за диапазон [minK
Vдоп
i - maxK
Vдоп
i], то необходимо провести корректировку профильной части РЭл либо откорректировать КД в части значения условной пропускной способности и вида пропускной характеристики.
7.3.3.3. Диапазон регулирования рассчитывают по формуле

, (21)
где

и

- значения пропускной способности в диапазоне хода РЭл, в котором сохраняется заданный вид пропускной характеристики.
7.3.4. Характеристики, вносимые в КД
7.3.4.1. В КД на РА вносят запись:
"Условная пропускная способность

;
пропускная характеристика - ......;
диапазон регулирования Д - не менее ...".
7.3.4.2. В тексте указывают:
- значение пропускной способности с допуском (в зависимости от вида пропускной характеристики), определенное по
7.3.3.1. Допуск на значение

- в соответствии с
ГОСТ 12893 или по согласованию с заказчиком;
- вид пропускной характеристики, определенный по
7.3.3.2;
- значение диапазона регулирования Д, определенного по
7.3.3.3.
7.4. Определение характеристик ПК
7.4.1. Общие положения
7.4.1.1. Характеристикой ПК, определяемой экспериментально, является коэффициент расхода.
7.4.1.2. В зависимости от параметров и агрегатного состояния рабочей среды (несжимаемая жидкость или газ (пар)) коэффициент расхода одного и того же ПК при одном и том же ходе ЗЭл имеет различные значения:
- коэффициент расхода

ПК, эксплуатируемого на газе (паре), зависит от отношения абсолютных давлений после и до ПК. При уменьшении отношения давлений коэффициент расхода увеличивается;
- при эксплуатации на несжимаемой жидкости сброс рабочей среды через ПК происходит в условиях развитой кавитации, в связи с чем коэффициент расхода

при работе ПК на жидкости существенно меньше коэффициента расхода

.
7.4.1.3. Для ПК коэффициент расхода

определяют:
- при рабочих параметрах, указанных в КД;
- при принудительном подъеме ЗЭл на ход по КД с минусовым допуском, если отсутствует техническая возможность обеспечить на стенде рабочие параметры испытаний.
7.4.2. Определение коэффициента расхода

ПК при рабочих параметрах
Определение коэффициента расхода

выполняют в следующей последовательности:
1) установить ПК, настроенный на заданное давление P
н, на испытательном участке стенда в соответствии с одной из схем, приведенных на
рисунках 1 и
2. ПК, испытываемый на воде, устанавливают на испытательном участке стенда в соответствии с требованиями
5.6 и
7.1.3. Схему испытаний указывают в ПМ;
2) подать во входной патрубок ПК испытательную среду давлением P
н и измерить утечку в затворе. Величина утечки не должна превышать значение, указанное в КД (ГОСТ, паспорт, ТУ, ПМ);
3) увеличить давление на входе ПК до величины давления полного открытия P
по, указанного в КД
[8];
4) измерить:
- расход, проходящий через ПК,
- давление до ПК P1,
- давление после ПК P2;
5) уменьшить давление до ПК. Уменьшать давление следует до тех пор, пока ПК не закроется;
6) рассчитать коэффициент расхода в соответствии с формулами для расчета пропускной способности ПК, приведенными в
ГОСТ 12.2.085:
- коэффициент расхода

ПК, испытуемого на воздухе, рассчитывают по формуле

, (22)
где B
3 - коэффициент, учитывающий физико-химические свойства воздуха при рабочих параметрах (определяют по
ГОСТ 12.2.085);

- площадь сечения ПК, равная наименьшей площади сечения в проточной части седла, мм
2;

- плотность воздуха при параметрах на входе ПК P
1 и t
1, кг/м
3;
B
4 - коэффициент сжимаемости реального воздуха (определяют по
ГОСТ 12.2.085);
- коэффициент расхода

ПК, испытываемого на воде, рассчитывают по формуле

; (23)
7) повторить испытания и вычисления по 7.4.2 (
перечисления 2) -
6)) не менее пяти раз;
8) данные измерений, а также расчетные значения коэффициента расхода вносят в журнал испытаний по
форме Б.2;
9) провести обработку полученных экспериментальных данных в соответствии с
7.4.4.
7.4.3. Определение коэффициента расхода при принудительном подъеме ЗЭл
7.4.3.1. Для проведения испытаний при принудительном подъеме ЗЭл подготовить ПК следующим образом:
- из клапана вынуть пружину;
- установить на крышку (стакан) ПК специальное приспособление, позволяющее установить, проконтролировать и зафиксировать ЗЭл ПК на любом ходе.
Подтверждение значения

, указанного в КД, проводят на ходе, указанном в КД с минусовым допуском.
7.4.3.2. Испытания на воде проводят при таких расходах и давлениях до и после ПК, при которых в ПК реализуется развитая кавитация.
7.4.3.3. Испытания на воздухе проводят:
- при отношении абсолютных давлений после и до ПК

, равном отношению абсолютных давлений

, указанных в КД, если по КД

;
- при

, если по КД

.
7.4.3.4. Испытания проводят в следующей последовательности:
1) зафиксировать ЗЭл на требуемом ходе hi,
2) подать во входной патрубок испытательную среду, обеспечив указанные в
7.4.1.2 и
7.4.1.3 условия испытаний;
3) измерить:
- расход среды, проходящей через ПК,
- давление P1 до ПК,
- давление P2 после ПК;
4) закрыть арматуру стенда до ПК;
5) рассчитать величину коэффициента расхода

по одной из
формул (18) или
(19);
7) данные измерений и расчетные величины коэффициента расхода

вносятся в журнал регистрации по
форме Б.3;
8) провести обработку полученных экспериментальных данных в соответствии с 7.4.4.
7.4.4. Обработка экспериментальных данных
7.4.4.2. За величину коэффициента расхода ПК принимают меньшее из двух значений

, рассчитанных по
формуле (Г.3).
7.4.5. Характеристики, вносимые в КД
7.4.5.1. В КД на ПК вносят запись: "Коэффициент расхода

не менее ...".
7.4.5.2. В тексте указывают значение

, определенное по
7.4.4.2 для хода h
i, заданного заказчиком.
7.5. Определение характеристик обратных, невозвратно-запорных и невозвратно-управляемых клапанов, обратных затворов
7.5.1. Общие положения
7.5.1.1. Гидравлической характеристикой обратных, невозвратно-запорных, невозвратно-управляемых клапанов и обратных затворов является зависимость коэффициента сопротивления

от скоростного давления

.
7.5.1.2. Зависимость

позволяет рассчитать потери давления на арматуре, характерной особенностью которой является зависимость положения ЗЭл от скорости конкретной рабочей среды.
7.5.1.3. Для невозвратно-управляемых клапанов дополнительно определяют значение коэффициентов сопротивления на ходе ЗЭл, указанном в КД, с минусовым допуском при подаче среды во входной и выходной патрубки.
7.5.2. Определение коэффициентов сопротивления обратных и невозвратно-запорных клапанов и обратных затворов
Коэффициенты сопротивления обратных и невозвратно-запорных клапанов и обратных затворов определяют в следующей последовательности:
1) установить ИА на испытательном участке стенда (испытательная среда - вода) в соответствии с требованиями
4.4 -
4.6;
2) создать минимально возможный расход, при котором обратная арматура приоткрылась, провести измерение расхода среды и перепада давления в установившемся режиме;
3) рассчитать

по
формуле (2) и скоростное давление

, Па, по формуле

; (24)
4) увеличить расход воды, провести измерение расхода и перепада давления и рассчитать для новых параметров потока

по
формуле (2) и скоростное давление по
формуле (20);
5) расход среды следует увеличивать до тех пор, пока коэффициент сопротивления ИА не будет постоянной величиной - расчетные значения коэффициента сопротивления должны находиться в диапазоне

, где

- погрешность определения коэффициента сопротивления на испытательном стенде, рассчитанная по одной из
формул (6) или
(7).
Постоянство коэффициента сопротивления будет означать, что ИА полностью открыта;
6) закрыть клапан стенда на входе ИА, вследствие чего ИА закроется;
7) повторить изменение расхода в соответствии с 7.5.2 (
перечисления 2) -
6)) не менее трех раз. При этом совпадение расходов при повторениях не обязательно;
8) в процессе проведения эксперимента рекомендуется строить график зависимости

;
9) по значениям коэффициентов сопротивления

, находящимся в диапазоне

, рассчитать среднее значение коэффициентов сопротивления

;
10) определить по графику минимальную величину скоростного давления

, соответствующую

;
11) данные измерений, расчетные значения скоростного давления и коэффициентов сопротивления вносят в журнал регистрации по
форме Б.3;
12) по экспериментальным данным, полученным при испытании двух образцов, определить коэффициенты уравнения регрессии, например по методу наименьших квадратов, описывающего зависимость

и имеющего вид

, (25)
где

- скоростное давление.
По уравнению регрессии построить график, который и следует считать экспериментальной зависимостью испытанной обратной арматуры.
7.5.3. Определение коэффициентов сопротивления невозвратно-управляемых клапанов
Коэффициенты сопротивления невозвратно-управляемых клапанов определяют в следующей последовательности:
1) определить зависимость

в соответствии с
7.5.2;
2) установить ЗЭл на ход, соответствующий указанному на чертеже с минусовым допуском, и определить коэффициент сопротивления

в соответствии с 7.2.2 (
перечисления 2) -
10)) и
7.2.4 при подаче среды во входной и выходной патрубки;
3) провести обработку экспериментальных данных в соответствии с
7.2.5 по
Приложению Г, подставляя вместо x
1 ... x
N экспериментальные значения коэффициентов сопротивления. За значение коэффициента сопротивления арматуры принимают большее из значений

, рассчитанных по
формуле (Г.4).
7.5.4. Характеристики, вносимые в КД
7.5.4.1. В КД на обратные, невозвратно-запорные и невозвратно-управляемые клапаны, а также обратные затворы вносят запись:
"Клапан (затвор) полностью открывается при скоростном давлении

свыше ... Па".
"Коэффициент сопротивления при полном открытии

не более ...".
"Коэффициенты сопротивления при различных скоростных давлениях не превышают значений, рассчитанных по формуле

".
Для невозвратно-управляемых клапанов дополнительно вносят запись:
"При полном принудительном открытии и подаче среды во входной и выходной патрубки коэффициент сопротивления

не более ...".
7.5.4.2. В тексте записи указывают:
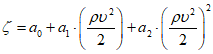
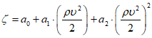
- в формуле

вместо обозначений a
0, a
1 и a
2 указывают определенные по 7.5.2
(перечисление 12)) численные значения, умноженные на коэффициент C, рассчитанный по формуле

, (26)
где

- средняя погрешность аппроксимации,
- допускается вместо формулы

приводить график, построенный по этому уравнению;
- значения коэффициентов сопротивления

при полном принудительном открытии и подаче среды во входной и выходной патрубки невозвратно-управляемых клапанов, определенные в соответствии с
7.5.3.
8. Определение критериев кавитации и критического расхода
регулирующей арматуры
8.1.1. Критериями кавитации являются:
- коэффициент кавитации Kc;
- коэффициент критического перепада давления Km.
8.1.2. Коэффициент кавитации K
c используется для расчета допустимого перепада давления

, при котором обеспечивается бескавитационный режим работы РА.
Коэффициент Kc рассчитывают по формуле

, (27)
где

- перепад давления на РА, соответствующий началу отклонения расходной характеристики вида

от линейной зависимости.
8.1.3. Коэффициент критического перепада давления K
m используется для расчета критического перепада давления

, соответствующего запиранию расхода в РА:
- при кавитации (однофазная среда на выходе);
- при вскипании жидкости на выходе РА с образованием устойчивой паровой фазы.
Коэффициент Km рассчитывают по формуле

, (28)
где

- полуэмпирический коэффициент критического отношения давлений, зависящий от физических свойств среды (воды).
8.1.4. Для расчета коэффициентов Kc и Km на каждом ходе hi экспериментально определяют:
- пропускную способность KV;
- перепад давления

, соответствующий началу отклонения расходной характеристики

от линейной зависимости;
- перепад давления

, при котором достигается постоянный (критический) расход Q
m;
- критический расход Qm;
- давление до РА P
1c(P
1m), соответствующее перепаду давления

;
- температуру воды до РА t
1c(t
1m) при измерении перепада давления

.
8.1.5. Если для испытываемой РА требуется определять пропускную способность, пропускную и кавитационные характеристики, то эти испытания следует совместить во избежание случайных ошибок при установке хода.
8.2. Порядок определения критериев кавитации
8.2.1. Испытания проводят на ходах РЭл, указанных в
7.3.2.
8.2.2. Установить РЭл на один из указанных ходов и провести определение пропускной способности в соответствии с 7.3.2 (
перечисления 1) -
9)).
8.2.3. Полностью открыть арматуру стенда, установленную за РА, обеспечив минимально возможное давление за РА.
8.2.4. Установить давление до РА, провести измерения расхода воды Q
ф, температуры t, давлений на входе P
1ф, на выходе P
2ф и рассчитать:
- "эталонный" расход QЭ по формуле

, (29)
где

;
- отклонение

фактического расхода Q
ф от "эталонного" Q
Э по формуле

. (30)
8.2.5. Зафиксировать знак величины

.
8.2.6. Увеличивать расход с произвольным шагом, проводя измерения и расчеты в соответствии с
8.2.4.
Увеличение расхода и расчеты следует проводить до тех пор, пока не будет зафиксировано подряд как минимум пять положительных значений величины

.
8.2.7. Для определения критического перепада давления следует провести не менее пяти изменений и соответствующих измерений расхода.
Расход среды следует считать постоянной величиной, если замеренные значения расхода будут находиться в диапазоне

, где

- абсолютная погрешность измерения расхода на испытательном стенде.
Постоянство расхода означает, что в РА наступило запирание расхода.
8.2.8. Обработка экспериментальных данных
1) Обработку экспериментальных данных проводят в целях уточнения минимальных значений перепадов давлений

и

для тех ходов h
i, на которых проводились испытания.
2) Обработка экспериментальных данных при определении коэффициента Kc:
- для массива данных, удовлетворяющих условию

, определить коэффициенты уравнения регрессии, имеющего вид

; (31)
- решить систему уравнений

(32)
Решением системы уравнений является точка с координатами Q и

, которая определяет начало отклонения расходной характеристики

от линейной зависимости.
3) Обработка экспериментальных данных при определении критического перепада давления:
- определить коэффициенты уравнения регрессии

; (33)
- решить систему уравнений

(34)
Решением системы уравнений является точка с координатами Q и

, которая определяет начало режима запирания расхода.
- давление насыщенных паров Pнп, найденное по значению измеренной до РА температуры воды t1c из таблиц теплофизических свойств воды и водяного пара.
5) Коэффициент критического перепада K
m рассчитывают по
формуле (28). В
(28) подставляют:
- давление насыщенных паров Pнп при температуре t1m.
6) По результатам расчетов построить зависимости коэффициентов K
c и K
m от безразмерного параметра

, где FN
2, см
2 -

и

.
7) Результаты измерений, а также расчетные значения кавитационных характеристик вносят в журнал испытаний по
форме Б.4.
8.3. Рекомендации по внесению кавитационных характеристик в КД
8.3.1. В КД на РА вносят:
1) зависимости

и

в виде графиков либо в табличной форме;
2) запись:
"Максимальный допустимый перепад давления

, Па, при котором обеспечивается бескавитационный режим работы РА, рассчитывается по формуле

,
где Kc - коэффициент кавитации;
P1 - абсолютное давление до арматуры, Па;
Pнп - абсолютное давление насыщенных паров рабочей среды при температуре t на входе в РА, Па;
0,87 - коэффициент запаса.
Критический перепад давления

, Па, рассчитывается по формуле

,
где Km - коэффициент критического перепада;

- коэффициент, зависящий от физических свойств среды;
P* - критическое термодинамическое давление, Па.
При перепадах давления на РА, соответствующих критическому, равному

, или больших критического, критический объемный расход среды Q
m, м
3/с, проходящей через РА, рассчитывается по формуле

,
где KV - пропускная способность, м3/ч;

- плотность среды, кг/м
3".
(справочное)
КОЭФФИЦИЕНТЫ,
УЧИТЫВАЮЩИЕ РАСШИРЕНИЕ И СЖИМАЕМОСТЬ ВОЗДУХА
Таблица А.1
Коэффициент B, учитывающий расширение воздуха
| 0,00 | 0,04 | 0,08 | 0,12 | 0,16 | 0,20 | 0,24 | 0,28 |
B | 0,484 | 0,494 | 0,505 | 0,516 | 0,528 | 0,541 | 0,555 | 0,570 |
Продолжение таблицы А.1
| 0,32 | 0,36 | 0,40 | 0,44 | 0,48 | 0,50 | 0,52 | 0,54 |
B | 0,587 | 0,605 | 0,625 | 0,647 | 0,671 | 0,685 | 0,699 | 0,714 |
Продолжение таблицы А.1
| 0,56 | 0,58 | 0,60 | 0,62 | 0,64 | 0,66 | 0,68 | 0,72 |
B | 0,729 | 0,743 | 0,757 | 0,771 | 0,785 | 0,798 | 0,811 | 0,837 |
Окончание таблицы А.1
| 0,76 | 0,80 | 0,84 | 0,88 | 0,92 | 0,96 | 1,00 |
B | 0,862 | 0,886 | 0,910 | 0,933 | 0,956 | 0,978 | 1,000 |
Таблица А.2
Коэффициент K сжимаемости воздуха
Давление абсолютное до ИА P1, МПа | Коэффициент сжимаемости K для t |
t = 0 °C | t = 50 °C |
0,1 | 1,00 | 1,00 |
10,0 | 0,98 | 1,02 |
20,0 | 1,03 | 1,08 |
Примечание. Определение промежуточных значений K следует проводить с помощью интерполяции. |
(рекомендуемое)
ФОРМЫ
ЖУРНАЛОВ РЕГИСТРАЦИИ ЭКСПЕРИМЕНТАЛЬНЫХ ДАННЫХ
Б.1. Форма журнала регистрации экспериментальных данных при определении коэффициента сопротивления и пропускной способности K
V
"__" ____________ 20 г. Испытаниям подвергался
Участвовали в испытаниях: _________________________________
_____________________________ _________________________________
_____________________________ _________________________________
Испытательная среда -
Номер положения ЗЭл (РЭл) i | Относительный ход | Номер измерения | Давление среды | Перепад давления на ИА | Температура среды до ИА t1 | Плотность среды при параметрах до ИА | Расход среды Q | Число Рейнольдса Re | Коэффициент сопротивления (пропускная способность) | Среднеарифметический коэффициент сопротивления (пропускная способность) |
до ИА P1 | после ИА P2 |
- | % | - | Па | °C | кг/м3 | м3/с | - | - (м3/ч) | - (м3/ч) |
1 | 5 | 1 | | | | | | | | | |
2 | | | | | | | | |
3 | | | | | | | | |
4 | | | | | | | | |
5 | | | | | | | | |
6 | | | | | | | | |
7 | | | | | | | | |
2 | 10 | 1 | | | | | | | | | |
2 | | | | | | | | |
3 | | | | | | | | |
... | | | | | | | | |
... | ... | ... | | | | | | | | | |
... | | | | | | | | |
N | 100 | 1 | | | | | | | | | |
2 | | | | | | | | |
3 | | | | | | | | |
4 | | | | | | | | |
5 | | | | | | | | |
6 | | | | | | | | |
7 | | | | | | | | |
Б.2. Форма журнала регистрации экспериментальных данных при определении коэффициента расхода

"__" ____________ 20 г. Испытаниям подвергался
Участвовали в испытаниях: _________________________________
_____________________________ _________________________________
_____________________________ _________________________________
Испытательная среда -
Номер положения ЗЭл i | Относительный ход ПК | Номер измерения | Избыточное давление | Перепад давления на ПК | Массовый расход среды G | Температура среды до ПК t1 | Плотность среды при параметрах до ПК | Коэффициент расхода |
до ПК P1 | после ПК P2 |
- | % | - | Па | кг/ч | °C | кг/м3 | - |
1 | 5 | 1 | | | | | | | |
2 | | | | | | | |
3 | | | | | | | |
4 | | | | | | | |
5 | | | | | | | |
6 | | | | | | | |
7 | | | | | | | |
2 | 10 | 1 | | | | | | | |
2 | | | | | | | |
3 | | | | | | | |
4 | | | | | | | |
5 | | | | | | | |
6 | | | | | | | |
7 | | | | | | | |
... | ... | ... | | | | | | | |
... | | | | | | | |
... | | | | | | | |
N | 100 | 1 | | | | | | | |
2 | | | | | | | |
3 | | | | | | | |
4 | | | | | | | |
5 | | | | | | | |
6 | | | | | | | |
7 | | | | | | | |
Б.3. Форма журнала регистрации экспериментальных данных при определении зависимости коэффициента сопротивления

от скоростного давления

"__" ____________ 20 г. Испытаниям подвергался
Участвовали в испытаниях: _________________________________
_____________________________ _________________________________
_____________________________ _________________________________
Испытательная среда -
Номер измерения | Расход среды Q | Перепад давления на арматуре | Температура среды до ИА t1 | Плотность среды при параметрах до ИА | Скорость среды | Скоростное давление | Погрешность определения коэффициента сопротивления | Коэффициент сопротивления | Среднеарифметическое значение коэффициента сопротивления |
- | м3/с | Па | °C | кг/м3 | м/с | Па | - | - | - |
1 | | | | | | | | | |
2 | | | | | | | | | |
3 | | | | | | | | | |
4 | | | | | | | | | |
5 | | | | | | | | | |
... | | | | | | | | | |
N | | | | | | | | | |
Б.4. Форма журнала регистрации экспериментальных данных при определении критериев кавитации
"__" ____________ 20 г. Испытаниям подвергался
Участвовали в испытаниях: _________________________________
_____________________________ _________________________________
Абсолютная погрешность измерения расхода

= ____
Критическое термодинамическое давление P* = 214,1523 Па
Номер хода i | Относительный ход РА hi/hy | Номер измерения | Фактический расход среды QФ | Температура среды до РА t1 | Давление среды до РА P1ф | Давление среды после РА P2ф | Перепад давления на РА | Расход среды "эталонный" Qэ | Отклонение фактического расхода воды от "эталонного" |
- | % | - | м3/с | °C | Па | м3/с |
1 | 5 | 1 | | | | | | | |
2 | | | | | | | |
3 | | | | | | | |
4 | | | | | | | |
5 | | | | | | | |
2 | 10 | 1 | | | | | | | |
2 | | | | | | | |
... | | | | | | | |
... | ... | ... | | | | | | | |
... | | | | | | | |
N | 100 | 1 | | | | | | | |
... | | | | | | | |
Номер хода i | Относительный ход РА hi/hy | Перепад давления | Давление до РА P1c | Температура среды t1c | Давление насыщенных паров Pнп | Критический перепад давления | Давление до РА | Температура t1m | Давление насыщенных паров Pнп | Коэффициент rc | Коэффициент кавитации Kc | Коэффициент критического перепада Km |
- | % | Па | °C | Па | °C | Па | - | - | - |
1 | 5 | | | | | | | | | | | |
2 | 10 | | | | | | | | | | | |
... | ... | | | | | | | | | | | |
N | 100 | | | | | | | | | | | |
(справочное)
ЭКСПЕРИМЕНТАЛЬНОГО ОПРЕДЕЛЕНИЯ ОТНОСИТЕЛЬНОЙ
ШЕРОХОВАТОСТИ УЧАСТКА ТРУБОПРОВОДА ИСПЫТАТЕЛЬНОГО
СТЕНДА МЕЖДУ МЕСТАМИ ОТБОРА ДАВЛЕНИЙ
В.1. Соединить между собой сменные участки трубопроводов испытательного стенда без установки между ними проставок.
В.2. Отрегулировать арматурой стенда режим, соответствующий области квадратичного сопротивления для трубопроводов, наступающий при числах Рейнольдса Re >= 105.
С учетом того, что кинематическая вязкость воды при температуре t = 15 °C равна

, а воздуха -

, расход среды, соответствующий области квадратичного сопротивления для трубопроводов, следует рассчитывать по одной из формул
а) при испытании водой
Q >= 7,85 · 10
-5 · DN, (В.1)
б) при испытании воздухом
Q >= 1,18 · 10
-3 · DN. (В.2)
В.3. Измерить расход среды и перепад давления на участке трубопровода.
В.4. Рассчитать число Рейнольдса Re по
формуле (1) и коэффициент трения

по формуле

. (В.3)
В.5. Изменить расход среды не менее шести раз при выполнении условий
(В.1) либо
(В.2) и рассчитать значения Re и

для каждого значения расхода.
В.6. Для каждой пары рассчитанных значений

и Re по таблице В.1 определить значение относительной шероховатости

.
Таблица В.1
Коэффициенты трения трубопровода
Относительная шероховатость | Коэффициент трения трубопровода  для чисел Рейнольдса Re |
1 · 104 | 2 · 104 | 4 · 104 | 6 · 104 | 1 · 105 | 2 · 105 |
0,0500 | 0,069 | 0,072 | 0,072 | 0,072 | 0,072 | 0,072 |
0,0400 | 0,060 | 0,065 | 0,065 | 0,065 | 0,065 | 0,065 |
0,0300 | 0,050 | 0,056 | 0,057 | 0,057 | 0,057 | 0,057 |
0,0200 | 0,042 | 0,044 | 0,048 | 0,049 | 0,049 | 0,049 |
0,0150 | 0,037 | 0,039 | 0,042 | 0,044 | 0,044 | 0,044 |
0,0100 | 0,033 | 0,032 | 0,035 | 0,036 | 0,038 | 0,038 |
0,0080 | 0,033 | 0,030 | 0,032 | 0,033 | 0,035 | 0,035 |
0,0060 | 0,033 | 0,028 | 0,028 | 0,029 | 0,030 | 0,032 |
0,0040 | 0,033 | 0,027 | 0,025 | 0,025 | 0,026 | 0,028 |
0,0020 | 0,033 | 0,027 | 0,023 | 0,021 | 0,021 | 0,021 |
0,0010 | 0,033 | 0,027 | 0,023 | 0,021 | 0,018 | 0,017 |
0,0008 | 0,033 | 0,027 | 0,023 | 0,021 | 0,018 | 0,016 |
0,0006 | 0,033 | 0,027 | 0,023 | 0,021 | 0,018 | 0,016 |
Примечание. Определение промежуточных значений  следует проводить с помощью интерполяции. |
В.7. По полученным значениям

рассчитать среднее арифметическое значение относительной шероховатости

участка трубопровода между местами отбора давлений по формуле

(В.4)
где

- численное значение относительной шероховатости, определенной в соответствии с В.7.
В.8. Относительную шероховатость

всех сменных трубопроводов испытательного стенда рекомендуется определить заранее.
Так как в процессе эксплуатации шероховатость трубопроводов меняется, рекомендуется уточнять значение

каждые пять лет.
(обязательное)
СТАТИСТИЧЕСКОЙ ОБРАБОТКИ ЭКСПЕРИМЕНТАЛЬНЫХ ДАННЫХ
Г.1. Статистическая обработка экспериментальных значений любой гидравлической характеристики x
1 ... x
N проводится в следующей последовательности:
- рассчитать среднее арифметическое значение по формуле

(Г.1)
где x
k - численное значение либо

, либо K
V, либо

;
- рассчитать среднее квадратичное отклонение по формуле

(Г.2)
- рассчитать нижнюю xн и верхнюю xв границы трехсигмового интервала по формулам

, (Г.3)

; (Г.4)
- исключить из массива экспериментальных данных "грубые" ошибки - значения, выходящие за интервал [x
н; x
в], и по оставшимся данным повторить расчет по
формулам (Г.1) -
(Г.4).
Г.2. Для каждого значения хода ЗЭл (РЭл) статистическая обработка экспериментальных значений проводится аналогично (в соответствии с
Г.1).
Г.3. Алгоритм статистической обработки экспериментальных данных приведен в таблице Г.1.
Таблица Г.1
Статистическая обработка экспериментальных данных
при определении гидравлических характеристик
Номер хода i | Относи тельный ход  , % | Номер измерения k | Гидравлическая характеристика xk | Среднеарифметическое значение | Среднеквадратичное отклонение | Нижняя граница трехсигмового интервала | Верхняя граница трехсигмового интервала |
1 | 5 | 1 | | | | | |
2 | | | | | |
3 | | | | | |
4 | | | | | |
5 | | | | | |
2 | 10 | 1 | | | | | |
2 | | | | | |
3 | | | | | |
... | | | | | |
... | ... | ... | | | | | |
... | | | | | |
N | 100 | 1 | | | | | |
2 | | | | | |
3 | | | | | |
... | | | | | |
(рекомендуемое)
ДОПУСТИМЫХ ОТКЛОНЕНИЙ ДЕЙСТВИТЕЛЬНЫХ ЗНАЧЕНИЙ
ПРОПУСКНОЙ СПОСОБНОСТИ ОТ РАСЧЕТНЫХ
Таблица Д.1
Расчет допустимых отклонений для линейной пропускной
характеристики
Относительный ход (угол поворота) РА | Относительная пропускная способность | Допустимое отклонение действительных значений пропускной способности | Допустимые предельные значения пропускной способности | Действительные среднеарифметические значения пропускной способности |
Минимальное | Максимальное |
- | - | % | м3/ч |
0,05 | | | | | |
0,10 | | | | | |
0,20 | | | | | |
... | | | | | |
1,00 | | | | | |
Таблица Д.2
Расчет допустимых отклонений для равнопроцентной
пропускной характеристики
Относительный ход (угол поворота) РА | Относительная пропускная способность | Допустимое отклонение действительных значений пропускной способности | Допустимые предельные значения пропускной способности | Действительные среднеарифметические значения пропускной способности |
Минимальное | Максимальное |
- | - | % | м3/ч |
0,05 | | | | | |
0,10 | | | | | |
0,20 | | | | | |
... | | | | | |
1,00 | | | | | |
| Большая советская энциклопедия |
| Чугаев Р.Р. Гидравлические термины. - М.: Высшая школа, 1974. |
| МЭК 60534-4:2006 "Регулирующие клапаны для промышленных процессов. Часть 4. Контроль и типовые испытания" (IEC 60534-4:2006 "Industrial - process control valves - Part 4: Inspection and routine testing") |
| МУ 2.1.5.1183-03 Санитарно-эпидемиологический надзор за использованием воды в системах водоснабжения промышленных предприятий |
| СанПиН 2.1.4.1074-01 Питьевая вода. Гигиенические требования к качеству воды централизованных систем питьевого водоснабжения. Контроль качества |
| МИ 2304-94 Метрологический контроль и надзор, осуществляемый метрологическими службами юридических лиц |
| ПР 50.2.006-94 Государственная система обеспечения единства измерений. Порядок проведения поверки средств измерения |
| ИСО 4126-2004 "Устройства предохранительные для защиты от избыточного давления. Часть 1. Предохранительные клапаны" (ISO 4126-2004 "Safety devices for protection against excessive pressure - Part 1: Safety valves") |