Главная // Актуальные документы // Актуальные документы (обновление 29.11.2025 по 01.01.2026) // ГОСТ (Государственный стандарт)СПРАВКА
Источник публикации
М.: ФГБУ "Институт стандартизации", 2025
Примечание к документу
Документ
введен в действие с 01.01.2026.
Название документа
"ГОСТ 24983-2025. Межгосударственный стандарт. Трубы железобетонные напорные. Ультразвуковой метод контроля и оценки трещиностойкости"
(введен в действие Приказом Росстандарта от 20.11.2025 N 1444-ст)
"ГОСТ 24983-2025. Межгосударственный стандарт. Трубы железобетонные напорные. Ультразвуковой метод контроля и оценки трещиностойкости"
(введен в действие Приказом Росстандарта от 20.11.2025 N 1444-ст)
агентства по техническому
регулированию и метрологии
от 20 ноября 2025 г. N 1444-ст
МЕЖГОСУДАРСТВЕННЫЙ СТАНДАРТ
ТРУБЫ ЖЕЛЕЗОБЕТОННЫЕ НАПОРНЫЕ
УЛЬТРАЗВУКОВОЙ МЕТОД КОНТРОЛЯ И ОЦЕНКИ ТРЕЩИНОСТОЙКОСТИ
Reinforced concrete pressure pipes. Ultrasonic method
of assessment and control of crack resistance
ГОСТ 24983-2025
Дата введения
1 января 2026 года
Цели, основные принципы и общие правила проведения работ по межгосударственной стандартизации установлены
ГОСТ 1.0 "Межгосударственная система стандартизации. Основные положения" и
ГОСТ 1.2 "Межгосударственная система стандартизации. Стандарты межгосударственные, правила и рекомендации по межгосударственной стандартизации. Правила разработки, принятия, обновления и отмены"
1 РАЗРАБОТАН Обществом с ограниченной ответственностью "Центр Организации Бизнеса" (ООО "Центр Организации Бизнеса")
2 ВНЕСЕН Техническим комитетом по стандартизации ТК 465 "Строительство"
3 ПРИНЯТ Межгосударственным советом по стандартизации, метрологии и сертификации (протокол от 29 августа 2025 г. N 188-П)
За принятие проголосовали:
Краткое наименование страны по МК (ИСО 3166) 004-97 | Код страны по МК (ИСО 3166) 004-97 | Сокращенное наименование национального органа по стандартизации |
Армения | AM | ЗАО "Национальный орган по стандартизации и метрологии" Республики Армения |
Беларусь | BY | Госстандарт Республики Беларусь |
Киргизия | KG | Кыргызстандарт |
Россия | RU | Росстандарт |
Узбекистан | UZ | Узбекское агентство по техническому регулированию |
4
Приказом Федерального агентства по техническому регулированию и метрологии от 20 ноября 2025 г. N 1444-ст межгосударственный стандарт ГОСТ 24983-2025 введен в действие в качестве национального стандарта Российской Федерации с 1 января 2026 г.
Информация о введении в действие (прекращении действия) настоящего стандарта и изменений к нему на территории указанных выше государств публикуется в указателях национальных стандартов, издаваемых в этих государствах, а также в сети Интернет на сайтах соответствующих национальных органов по стандартизации.
В случае пересмотра, изменения или отмены настоящего стандарта соответствующая информация будет опубликована на официальном интернет-сайте Межгосударственного совета по стандартизации, метрологии и сертификации в каталоге "Межгосударственные стандарты"
Настоящий стандарт распространяется на железобетонные предварительно напряженные напорные раструбные трубы и устанавливает ультразвуковой метод контроля и оценки трещиностойкости при испытании труб на водонепроницаемость.
В настоящем стандарте использованы нормативные ссылки на следующие стандарты:
ГОСТ 12586.0 Трубы железобетонные напорные виброгидропрессованные. Технические условия
ГОСТ 2405 Манометры, вакуумметры, мановакуумметры, напоромеры, тягомеры и тягонапоромеры. Общие технические условия
Примечание - При пользовании настоящим стандартом целесообразно проверить действие ссылочных стандартов и классификаторов на официальном интернет-сайте Межгосударственного совета по стандартизации, метрологии и сертификации (www.easc.by) или по указателям национальных стандартов, издаваемым в государствах, указанных в предисловии, или на официальных сайтах соответствующих национальных органов по стандартизации. Если на документ дана недатированная ссылка, то следует использовать документ, действующий на текущий момент, с учетом всех внесенных в него изменений. Если заменен ссылочный документ, на который дана датированная ссылка, то следует использовать указанную версию этого документа. Если после принятия настоящего стандарта в ссылочный документ, на который дана датированная ссылка, внесено изменение, затрагивающее положение, на которое дана ссылка, то это положение применяется без учета данного изменения. Если ссылочный документ отменен без замены, то положение, в котором дана ссылка на него, применяется в части, не затрагивающей эту ссылку.
В настоящем стандарте применены следующие термины с соответствующими определениями:
3.1 трещиностойкость трубы PT: Величина испытательного давления, при котором в трубе появляется трещина.
3.2 канал измерения: Совокупность двух ультразвуковых преобразователей и исследуемого материала, используемая для измерения времени распространения ультразвука.
3.3 время распространения ультразвука tji: Время распространения ультразвука на j-м этапе испытания по i-му каналу измерения.
4.1 Контроль трещиностойкости труб ультразвуковым методом осуществляют одновременно с испытаниями их на водонепроницаемость по
ГОСТ 12586.0.
4.2 Метод основан на связи между изменением скорости распространения ультразвука в бетоне под воздействием внешней нагрузки - испытательного давления P - и трещиностойкостью трубы.
4.3 При применении ультразвукового метода испытания на трещиностойкость указанных труб по
ГОСТ 12586.0 проводить не следует.
5 Требования к измерительному оборудованию
5.1 Оборудование для контроля трещиностойкости труб состоит из ультразвуковой установки и манометров для измерения испытательного давления воды в трубе.
Ультразвуковая установка состоит из ультразвукового прибора для измерения времени распространения ультразвука в бетоне, комплекта ультразвуковых преобразователей и коммутирующего устройства, удовлетворяющих требованиям
5.2,
5.3,
5.4.
5.2 Технические характеристики ультразвуковых установок приведены в
таблице 1.
Таблица 1
Технические характеристики ультразвуковых установок
Характеристики | Требования |
Диапазон измерения времени распространения ультразвуковых колебаний, мкс | 10 - 9999,9 |
Число каналов измерения | 10 - 15 |
Режим измерения | Автоматическое |
Дискретность отсчета в диапазоне до 99,9, мкс | 0,01 |
Дискретность отсчета в диапазоне до 999, мкс | 0,1 |
Предел допустимой относительной погрешности измерения времени распространения ультразвука в диапазоне от 20 мкс и выше, % | 1,0 |
База прозвучивания по тяжелому бетону, м | 3,0 |
Индикация | Цифровая |
Электрическое питание | 220 В, 50 Гц |
Наличие электронно-лучевой трубки | По согласованию производителя и потребителя |
5.3 Предельная допустимая относительная погрешность измерения времени распространения ультразвука не должна превышать 1%. Дискретность отсчета ультразвукового прибора должна быть не более 0,1 мкс.
5.4 Коммутирующее устройство должно обеспечивать возможность измерения времени распространения ультразвука не менее чем по 10 каналам.
5.5 Манометры для измерения испытательного давления должны удовлетворять требованиям I класса точности по
ГОСТ 2405 при верхнем пределе шкалы не более 6 МПа.
5.6 Допускается применение различных видов ультразвуковых установок, состоящих из ультразвукового прибора для измерения времени распространения ультразвука в бетоне, при условии выполнения требований
раздела 5.
6 Методика проведения испытания
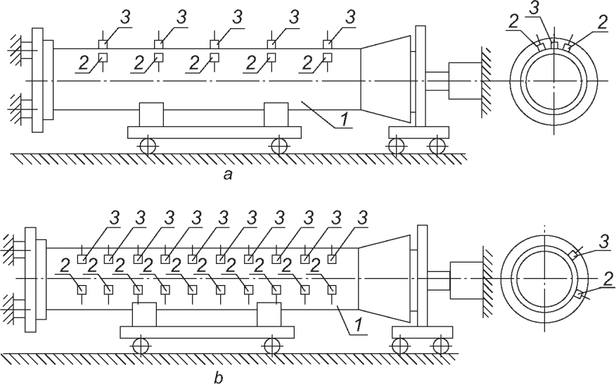
6.1 Контроль трещиностойкости производят на испытательном стенде (см.
рисунок 1) для определения водонепроницаемости по
ГОСТ 12586.0.
1 - труба; 2 - излучатели; 3 - приемники
Рисунок 1 - Испытательный стенд
6.2 Для контроля и оценки трещиностойкости труб PT предварительно устанавливают для каждой марки зависимость в виде уравнения
где P1 и P2 - расчетные испытательные давления;
a1 и
a2 - коэффициенты зависимости, методика определения которых приведена в
приложении А.
6.3 Ультразвуковые преобразователи наклеивают на внешней поверхности трубы с помощью контактного геля или другой контактной жидкости, исключающей воздушную прослойку. Допускается использование специальных прижимных устройств для обеспечения надежного акустического контакта между поверхностями преобразователей и бетоном.
6.4 Расстояние между каждой парой ультразвуковых преобразователей (излучатель - приемник), образующих канал измерения, должно составлять (45 +/- 5) см.
Рекомендуемые схемы установки преобразователей приведены на
рисунке 1. Расположение преобразователей должно быть одинаковым при установлении
зависимости (1) и при проведении испытания труб.
6.5 Измерение времени распространения ультразвука в бетоне трубы по каждому каналу производят поэтапно, начиная с нулевого испытательного давления
t1i и далее на каждой ступени подъема давления
tji.
6.6 Испытательное давление в трубе повышают ступенями, начиная с (0,5 +/- 0,05) МПа, с шагом (0,1 +/- 0,05) МПа до момента, когда время распространения ультразвука в бетоне трубы по каждому каналу превысит 1,02
t1i.
7.1 Для каждой ступени нагружения вычисляют среднее время распространения ультразвука

по всем каналам измерения по формуле

(2)
где n - число каналов измерения.
7.2 Величины расчетных испытательных давлений
P1, при котором среднее время распространения ультразвука составляет

, и
P2, при котором среднее время распространения ультразвука составляет

, определяют с погрешностью +/- 0,01 МПа.
7.3 Трещиностойкость трубы
PT вычисляют по
формуле (1). Трубу признают выдержавшей испытание, если ее трещиностойкость
PT больше контрольного значения, установленного в рабочих чертежах.
7.4 Результаты измерений и расчетов заносят в журнал испытаний, форма которого приведена в
приложении Б.
(обязательное)
МЕТОДИКА ОПРЕДЕЛЕНИЯ КОЭФФИЦИЕНТОВ ЗАВИСИМОСТИ a1 И a2
А.1 Коэффициенты a1 и a2 определяют для каждой марки труб по результатам испытания не менее чем трех труб.
А.2 Испытания труб производят в соответствии с
6.5 и
6.6, после чего давление в трубе повышают до появления трещины и регистрируют максимальное достигнутое испытательное давление
PT.
А.3 Производят вычисления в соответствии с
7.1 и
7.2.
А.4 Вычисляют коэффициент ai для каждой из испытанных труб по формуле

(А.1)
А.5 Вычисляют среднее арифметическое значение

по формуле

(А.2)
А.6 Для всех труб вычисляют величины Fi по формуле

(А.3)
где aмакс, aмин - максимальное и минимальное значения ai.
Если значение Fi превышает 0,941, то значение ai отбраковывают и производят испытание другой трубы.
А.7 Коэффициенты a1 и a2 вычисляют по формулам:

(А.4)

(А.5)
(справочное)
ФОРМА ЖУРНАЛА ИСПЫТАНИЯ ТРУБ
P, МПа | Время распространения ультразвука по каналам tji, мкс |  , мкс |
1 | 2 | 3 | 4 | 5 | 6 | 7 | 8 | 9 | 10 |
| | | | | | | | | | | |
P1 =
P2 =
PT =
УДК 69.058:006.354 | |
Ключевые слова: железобетонные предварительно напряженные напорные трубы, трещиностойкость, ультразвуковые установки, контроль неразрушающий, контроль железобетонных конструкций |