Главная // Актуальные документы // Журнал (форма)СПРАВКА
Источник публикации
М., 2022
Примечание к документу
Текст документа приведен в соответствии с публикацией на сайте https://www.zdrav.ru/ по состоянию на 24.05.2022.
Название документа
"МУК 4.2.3745-22. 4.2. Методы контроля. Биологические и микробиологические факторы. Методы лабораторной диагностики холеры. Методические указания"
(утв. Роспотребнадзором 12.05.2022)
"МУК 4.2.3745-22. 4.2. Методы контроля. Биологические и микробиологические факторы. Методы лабораторной диагностики холеры. Методические указания"
(утв. Роспотребнадзором 12.05.2022)
Руководитель Федеральной службы
по надзору в сфере защиты прав
потребителей и благополучия человека,
Главный государственный санитарный
врач Российской Федерации
А.Ю.ПОПОВА
12 мая 2022 года
4.2. МЕТОДЫ КОНТРОЛЯ. БИОЛОГИЧЕСКИЕ И МИКРОБИОЛОГИЧЕСКИЕ
ФАКТОРЫ
МЕТОДЫ ЛАБОРАТОРНОЙ ДИАГНОСТИКИ ХОЛЕРЫ
Методические указания
МУК 4.2.3745-22
1. Разработаны: ФКУЗ "Ростовский-на-Дону противочумный институт" Роспотребнадзора (А.К. Носков, В.Д. Кругликов, О.С. Чемисова, Э.А. Москвитина, Е.В. Монахова, Н.Е. Гаевская, А.Б. Мазрухо, Н.А. Селянская, Л.П. Алексеева, О.А. Подойницына, А.С. Водопьянов, Д.А. Левченко, М.И. Ежова); ФКУЗ "Российский научно-исследовательский противочумный институт "Микроб" Роспотребнадзора (Е.С. Казакова, Н.А. Осина, И.Н. Шарова, А.С. Абдрашитова, Н.Е. Щербакова, С.А. Щербакова, В.В. Кутырев); ФКУЗ "Волгоградский научно-исследовательский противочумный институт" Роспотребнадзора (В.П. Смелянский, И.Б. Захарова, Г.А. Ткаченко, М.В. Подшивалова); ФКУЗ "Иркутский научно-исследовательский противочумный институт" Роспотребнадзора (С.В. Балахонов, Л.В. Миронова, Л.Я. Урбанович, Ж.Ю. Хунхеева, А.С. Гладких, Е.А. Басов, А.С. Пономарева); ФКУЗ "Ставропольский научно-исследовательский противочумный институт" Роспотребнадзора (В.Н. Савельев, И.В. Савельева); ФКУЗ "Противочумный центр" Роспотребнадзора (А.А. Лопатин, С.М. Иванова, В.В. Иванников); ФБУЗ "Федеральный центр гигиены и эпидемиологии" Роспотребнадзора (М.В. Зароченцев, В.В. Мордвинова, М.А. Ярославцева); ФБУН "Государственный научный центр прикладной микробиологии и биотехнологии" Роспотребнадзора (И.А. Дятлов, М.В. Храмов, Е.А. Тюрин, Л.В. Чекан, С.Ф. Бикетов, Е.В. Баранова, П.В. Соловьев, И.Ю. Щит); ФГБУ "Научный центр экспертизы средств медицинского применения" Минздрава России (Ю.В. Олефир, Л.В. Саяпина, В.А. Меркулов, В.П. Бондарев).
2. Утверждены Руководителем Федеральной службы по надзору в сфере защиты прав потребителей и благополучия человека Российской Федерации, Главным государственным санитарным врачом Российской Федерации А.Ю. Поповой "12" мая 2022 г.
3.
МУК 4.2.3745-22 введены взамен МУК 4.2.2218-07 "Лабораторная диагностика холеры", утвержденных руководителем Федеральной службы по надзору в сфере защиты прав потребителей и благополучия человека, Главным государственным санитарным врачом Российской Федерации 31.05.2007, с изменениями, внесенными
МУК 4.2.2315-08 "Серологические методы в диагностике холеры", утвержденными руководителем Федеральной службы по надзору в сфере защиты прав потребителей и благополучия человека, Главным государственным санитарным врачом Российской Федерации 18.01.2008.
1.1. Настоящие методические указания (далее - МУК) определяют методы диагностических и профилактических исследований на выявление возбудителя холеры в соответствии с порядком организации и проведения лабораторной диагностики холеры, установленным санитарно-эпидемиологическими
требованиями <1>, а также методическими указаниями
<2>.
--------------------------------
<1>
Глава XXV СанПиН 3.3686-21 "Санитарно-эпидемиологические требования по профилактике инфекционных болезней", утвержденные постановлением Главного государственного санитарного врача Российской Федерации от 28.01.2021 N 4 (зарегистрировано Минюстом России 15.02.2021, регистрационный N 62500) (далее - СанПиН 3.3686-21).
<2>
МУК 4.2.3746-22 "Организация и проведение лабораторной диагностики холеры в лабораториях различного уровня", утвержденные руководителем Федеральной службы по надзору в сфере защиты прав потребителей и благополучия человека, Главным государственным санитарным врачом Российской Федерации 12.05.2022 (далее -
МУК 4.2.3746-22).
1.2. МУК предназначены для органов и организаций Федеральной службы по надзору в сфере защиты прав потребителей и благополучия человека, а также могут быть использованы научно-исследовательскими и медицинскими организациями.
1.3. МУК носят рекомендательный характер.
II. Характеристика возбудителя холеры
2.1. Холера
<3> - острое инфекционное заболевание из группы особо опасных инфекционных болезней, характеризующееся диарейным синдромом, фекально-оральным механизмом передачи возбудителя, водным, пищевым и контактно-бытовым путями распространения инфекции.
--------------------------------
<3> Код A00 - холера по Международной классификации болезней
МКБ-10.
2.2. Возбудителями холеры являются холерные вибрионы 01 серогруппы (биовара классического
<4> и биовара Эль Тор
<5> и серогруппы 0139.
--------------------------------
<4> Код A00.0 - холера, вызванная холерным вибрионом 01 классического биовара, по Международной классификации болезней
МКБ-10.
<5> Код A00.1 - холера, вызванная холерным вибрионом 01 биовара Эль Тор, по Международной классификации болезней
МКБ-10.
Холерные вибрионы 01 и 0139 серогрупп, содержащие гены
ctxAB и
tcpA-F, вызывают заболевания холерой и являются эпидемически значимыми (токсигенными). Эпидемически незначимые (нетоксигенные) холерные вибрионы не содержат гены
ctxAB и
tcpA-F; могут вызывать спорадические (единичные) или групповые (при общем источнике инфицирования) заболевания, не склонные к эпидемическому распространению. Холерные вибрионы, у которых отсутствуют гены
ctxAB, но имеются
tcpA-F, относят к нетоксигенным штаммам
<6>.
--------------------------------
2.3. Возбудитель холеры принадлежит к классу
Gammaproteobacteria, порядку
Vibrionales, семейству
Vibrionaceae, роду
Vibrio, виду
Vibrio cholerae (рис. 1).
Класс III. Gammaproteobacteria
Порядок XI. Vibrionales
Семейство I. Vibrionaceae
Рисунок 1. Классификация вибрионов <7>
--------------------------------
<7> Классификация вибрионов составлена по справочнику Берджи по бактериологической систематике (англ. Bergey's Manual of Systematic Bacteriology, 2nd Ed., 2015).
Примечание. Представители родов Aeromonas, Plesiomonas и Enhydrobacter исключены из семейства Vibrionaceae: порядок XII. Aeromonadales, семейство I. Aeromonadoceae, род I. Aeromonas Stanier, 1943 (14 видов); порядок XIII. Enterobacteriales, семейство I, Enterobacteriaceae, род XXVII, Plesiomonas Habs, Schubert, 1962 (I вид); порядок IX. Pseudomonadales, семейство III. Incertae Sedis, род I. Enhydrobacter Staley, Irgens, Brenner. 1987 (I вид).
Холерные вибрионы - грамотрицательные аспорогенные полиморфные прямые или слегка изогнутые палочки, варьирующие в размерах (1,5 - 3,0 мкм в длину и 0,2 - 0,6 мкм в ширину), с одним полярно расположенным жгутиком, который длиннее тела клетки в 2 - 3 раза и обусловливает выраженную подвижность V. cholerae. Являются факультативными анаэробами, хорошо растут на щелочных плотных и жидких питательных средах в присутствии 0,5 - 2,0%-го раствора хлорида натрия; могут размножаться при 0% и 3% NaCl. Оптимальные показатели роста: температура 35 - 37 °C и pH среды 7,6 - 8,0; могут расти при температуре от 10 °C до 42 °C и pH среды 9,0 - 9,2.
2.4. Холерные вибрионы быстро размножаются, в 1%-й пептонной воде через 6 - 8 ч образуют на поверхности среды нежную пленку, которая через 24 ч становится более грубой, морщинистой. В мясопептонном бульоне (далее - МПБ) через 3 - 5 ч наблюдается легкое помутнение среды, через 24 ч - интенсивный рост с образованием рыхлой пленки на поверхности и осадка на дне. На поверхности плотного питательного агара через 10 - 12 ч можно видеть образование мелких (до 1 мм в диаметре) гладких (S-форм, англ. smooth), полупрозрачных, голубоватых с ровным краем колоний, которые через 18 - 24 ч инкубации увеличиваются в размере до 2 - 3 мм. Могут встречаться атипичные колонии - шероховатые (R-форма, англ. rough) и мукоидного типа (M-форма, англ. mucoid), представляющие собой измененные формы холерного вибриона. Редко встречаются пигментированные колонии (коричневые или светло-желтые).
2.5. Холерные вибрионы образуют индофенолоксидазу (тест дифференциации от представителей семейства
Enterobacteriaceae), ферментируют глюкозу в аэробных и анаэробных условиях до кислоты без газа (тест дифференциации от представителей семейства
Pseudomonadaceae), декарбоксилируют лизин и орнитин, но не дигидролизуют аргинин (тесты дифференциации от
Photobacterium spp.,
Salinivibrio spp.,
Aeromonas spp.,
Plesiomonas spp. и
Enhydrobacter spp., входящих в другие семейства, а также от отдельных видов рода
Vibrio). Холерные вибрионы расщепляют до кислоты без газа сахарозу, мальтозу, крахмал, маннит; не расщепляют арабинозу, лактозу, инозит, салицин, целлобиозу. Холерные вибрионы восстанавливают нитраты в нитриты и образуют индол. Из-за наличия протеолитических ферментов разжижают желатину, фибрин, свернутый куриный белок, казеин и другие белки. Холерные вибрионы продуцируют нейраминидазу, лецитиназу, триглицероллипазу. Основные признаки, по которым проводится дифференциация вибрионов, приведены в
таблицах 1 и
2.
Таблица 1
Основные дифференциальные признаки рода Vibrio и некоторых
других микроорганизмов
Признаки | Роды семейства Vibrionaceae | Роды других семейств |
Vibrio | Salinivibrio | Photobacterium | Aeromonas | Plesiomonas | Enhydrobacter |
V. cholerae | другие виды |
1 | 2 | 3 | 4 | 5 | 6 | 7 | 8 |
Окраска по Граму, морфология | Грамотрицательные полиморфные прямые или слегка изогнутые палочки |
Подвижность | + | + (-) | + | + | + (-) | + | - |
Оксидаза | + | + (-) | + | + (-) | + | + | + |
Рост на средах без NaCl | + | - (+) | - | - | + | + | + |
Чувствительность к O/129* | + | + (-) | X | + | - | + | - |
О/Ф глюкозы в среде Хью-Лейфсона | +/+ | +/+ | +/+ | +/+ | +/+ | +/+ | +/+ |
Газ из глюкозы | - | - (+) | - | + | + (-) | - | - |
Лизин-декарбоксилаза | + | + (-) | - | + | - (+) | + | + |
Орнитин-декарбоксилаза | + | +/- | - | + | - (+) | + | + |
Аргинин-дигидролаза | - | - (+) | + | + | + | + | + |
Ферментация: | | | | | | | |
лактозы | - | - (+) | - | X | - (+) | + | - |
маннита | + | + (-) | + (-) | - | + (-) | - | X |
арабинозы | - | - (+) | - | - | + (-) | - | X |
сахарозы | + | + (-) | + | - (+) | + | - | X |
инозита | - | - (+) | - | - | - | + | X |
Образование: | | | | | | | |
ацетилметилкарбинола | + (-) | - (+) | + | + | + (-) | - | - |
индола | + | + (-) | - | - | + (-) | - | - |
нитратредуктазы | + | + (-) | - (+) | + (-) | + | + | + |
бета-галактозидазы | + | + (-) | - | + | + | + | X |
желатиназы | + | + (-) | + | + | + | - | X |
Биолюминесценция | - (+) | - (+) | - | + | - | - | X |
Мол. % G + C в ДНК | 38 | 51 | 49,4 - 50,5 | 40 - 44 | 57 - 63 | 51 | 66 |
Примечания: * - бактериостатический агент 2,4-диамино-6,7-диизопропилптериоидин; X - нет данных; + - положительный результат в 90%; - - отрицательный результат в 90%; +/- - положительный и отрицательный результаты встречаются в равной степени; + (-) или - (+) - в скобках редко наблюдаемый результат. |
Таблица 2
Дифференциация патогенных для человека видов рода Vibrio
Признаки | V. cholerae | V. alginolyticus | V. cincinnatiensis | V. damsela | V. fluvialis | V. furnissii | V. harveyi | V. hollisae | V. metschnikovii | V. mimicus | V. parahaemolyticus | V. vulnifius |
1 | 2 | 3 | 4 | 5 | 6 | 7 | 8 | 9 | 10 | 11 | 12 | 13 |
Морфология | грамотрицательные прямые или изогнутые палочки |
Подвижность | + | + | + | d | d | + | - | +/- | d | + | + | + |
Роение на агаре | - | + | - | - | - | - | d | - | - | - | d | - |
Индофенолоксидаза | + | + | + | + | + | + | + | + | - | + | + | + |
Образование: |
газа из глюкозы | - | - | - | - | - | + | - | - | - | - | - | - |
индола | + | + | - | - | - | + (-) | + | + | + (-) | + | + | - |
ацетилметилкарбинола | + (-) | + | +/- | + | - | - | d | - | + | - | - | - |
Ферментация: |
лактозы | - | - | - | - | - | - | - | - | + (-) | - (+) | - | d |
арабинозы | - | - | + | - | + | + | - | + | - | - (+) | +/- | - |
сахарозы | + | + | + | - | + | + | d | - | + | - | - | - |
целлобиозы | - | - | + | - | - (+) | - (+) | d | - | - | - | - | + |
маннита | + | + | - | - | + | + | d | - | + | + | + | + (-) |
салицина | - | - | + | - | +/- | - | - | - | - | - | - | + |
Аргинин-дигидролаза | - | - | - | + | + | + | - | - | - (+) | - | - | - |
Лизин-декарбоксилаза | + | + | + | + (-) | - | - | + | - | + (-) | + | + | + |
Орнитин-декарбоксилаза | + | d | - | - | - | - | - | - | - | + | + | + |
Бета-галактозидаза | + | - | +/- | - | d | d | - | - | d | + | - | d |
Нитратредуктаза | + | + | + | + | + | + | + | + | - | + | + | + |
Амилаза | + | + | + | X | + | d | + | X | + | - | + | + |
Желатиназа | d | + | - | - | +/- | d | - | - | d | d | + | d |
Рост в 1% пептонной воде с NaCl: |
0% | + | - | - | - | - (+) | - (+) | - | - | - (+) | + | - | - |
3% | + | + | + | + | + | + | + | + | - (+) | + | + | + |
6% | d | + | + | + | + | + | + | d | d | d | + | d |
10% | - | + | - | - | - (+) | - | - | - | - | - | - | - |
Рост при: |
4 °C | - | - | - | - | - | - | - | X | - | - | - | - |
20 °C | + | + | - | - | + | + | + | X | + | X | + | + |
35 °C | + | + | + | + | + | + | + | X | + | + | + | + |
42 °C | + | + | - | - | d | - | d | X | d | d | d | d |
45 °C | - | - | - | - | d | - | - | X | d | X | - | - |
Биолюминесценция | - (+) | - | - | - | - | - | d | - | - | - | - | - |
Чувствительность к O/129* | + | - (+) | - (+) | + | d | - | + | d | + | + | - (+) | + |
Примечания: * - бактериостатический агент 2,4-диамино-6,7-диизопропилптериоидин; X - нет данных; + - положительный результат в 90%; - - отрицательный результат в 90%; +/- - положительный и отрицательный результаты встречаются в равной степени; + (-) или - (+) - в скобках редко наблюдаемый результат; d - различный результат. |
2.6. V. cholerae по наличию специфического O-антигена распределяются на серологические группы. В настоящее время известно более 200 серологических O-групп холерных вибрионов. Холерные вибрионы 01 серогруппы по различиям в полисахаридном компоненте O-антигена делятся на три серовара: Огава, Инаба и Гикошима. Серовар Гикошима после хранения штаммов в течение нескольких месяцев на искусственных питательных средах может переходить в один из сероваров, в основном Огава, реже Инаба. Описаны штаммы, агглютинирующиеся RO сывороткой и не агглютинирующиеся сыворотками 01, Огава или Инаба.
2.7. Холерные вибрионы 01 серогруппы делятся на биовары Эль Тор и классический, имеющие существенные фенотипические и генетические отличия. Принадлежность к биовару определяется по чувствительности к холерным диагностическим бактериофагам (классический и эльтор) и возможности образовывать ацетилметилкарбинол в реакции Фогес-Проскауэра. В связи с высокой устойчивостью выделяемых в последние годы штаммов холерных вибрионов к холерным диагностическим бактериофагам классический и эльтор для определения биоваров патогена используют молекулярно-генетические методы.
2.8. Холерные вибрионы являются носителями умеренных фагов с низкой литической активностью. Большинство фагов строго специфичны в отношении хозяина. Известны фаги активные в отношении холерных вибрионов 01, 0139 и не 01/не 0139 серологических групп, а также с более узким спектром литического действия в пределах отдельных групп штаммов, например, ctx+ и ctx- холерные фаги.
2.9. Геном холерных вибрионов представлен двумя хромосомами размером 2960 т.п.н. и 1070 т.п.н. В составе большой хромосомы локализованы кластеры генов, острова патогенности VPI (англ. Vibrio pathogenicity island) и мобильные генетические элементы (МГЭ), включающие детерминанты ключевых и дополнительных факторов, связанных с патогенностью, персистентностью и антибиотикорезистентностью. У большинства штаммов биовара Эль Тор в большую хромосому интегрирован профаг CTX, несущий гены ctxAB, кодирующие биосинтез холерного токсина CT (англ. cholera toxin), отвечающего за развитие основного клинического симптома при холере - диареи, а также дополнительных токсинов Zot, Ace и адгезина Cep. Данный профаг часто тандемно дуплицирован. Однако встречаются штаммы Эль Тор, имеющие копию CTX и на малой хромосоме, что обычно характерно для классического биовара. У обоих биоваров на большой хромосоме находится остров VPI-I, содержащий кластер tcpA-F (англ. toxin-coregulated pilus), ответственный за продукцию токсин-корегулируемых пилей адгезии (TCP) - ключевого фактора колонизации кишечника. Также здесь расположены остров VPI-II с геном нейраминидазы nanH, усиливающей действие CT; кластер RTX, обеспечивающий синтез высокомолекулярного токсина-актиномодулятора MARTX; кластеры биосинтеза антигенов 01 wbe (rfb01) и 0139 - wbf (rfb0139), биопленкообразования (msh, vps1-rbm-vps2). Кроме того, на большой хромосоме V. cholerae El Tor и 0139 присутствует два дополнительных МГЭ - два острова пандемичности, обозначенные как VSP-I (англ. Vibrio seventh pandemic island) и VSP-II. Высказано предположение, что эти острова пандемичности обеспечивают высокий уровень адаптации холерных вибрионов к меняющимся условиям окружающей среды.
На малой хромосоме, помимо генов с неустановленной функцией, локализованы структурные гены hlyA, детерминирующие синтез термолабильного гемолизина, гены цитотонического токсина cef гемагглютинин/протеазы hapA, термостабильного токсина st, а также SXT-элементы, содержащие гены устойчивости к антимикробным соединениям, и суперинтегрон VCR, способствующий захвату чужеродных генов.
2.10. На современном этапе возбудитель холеры характеризуется появлением генетически измененных вариантов холерных вибрионов биовара Эль Тор с мутационными изменениями в гене
ctxB. На основании выявления нуклеотидных замен в гене
ctxB возможна дифференциация типичных и генетически измененных штаммов холерных вибрионов биовара Эль Тор
(таблица 3). В гене холерного токсина у штаммов Эль Тор, вызывавших эпидемические вспышки, отмечается замена аллели
ctxB3 на аллель
ctxB1 либо
ctxB7 классического биовара. Такие генетически измененные варианты штаммов Эль Тор продуцируют больше холерного токсина, приближаясь по уровню синтеза этого белка к холерным вибрионам классического биовара.
Таблица 3
Сравнительная характеристика аллелей гена ctxB, выявляемых
у штаммов холерных вибрионов, и их продуктов
Аллель гена ctxB | Позиции нуклеотидов в гене | Позиции аминокислотных остатков в белках |
58 | 115 | 203 | 20 | 39 | 68 |
3 | C | T | T | His | Tyr | Ile |
1 | C | C | C | His | His | Thr |
7 | A | C | C | Asn | His | Thr |
Заносы токсигенных геновариантов биовара Эль Тор с измененными маркерами эпидемической опасности совпадают по времени с их формированием в эндемичных странах (с 1990 г. по настоящее время). Число этих маркеров постепенно возрастает с одного (наличие гена ctxB1) до четырех (протяженная делеция в острове VSP-II, наличие аллелей ctxB7, tcpACIRS101, rtxA4/4a).
2.11. Генетические различия между двумя биоварами заключаются в присутствии единичных замен и делеций в ряде генов патогенности (
ctxB,
rstR,
tcpA,
hly), а также в отсутствии некоторых генетических элементов (профага

, островов пандемичности VSP-I и VSP-II, наличие протяженной делеции в кластере RTX) в штаммах
V. cholerae биовара классического. В гене
hlyA холерных вибрионов классического биовара, в отличие от такового
V. cholerae Эль Тор, имеется делеция протяженностью 11 п.н., вследствие чего продукция гемолизина вибрионами этого биовара невозможна. Данные различия в нуклеотидной последовательности гена
hlyA могут быть использованы для определения биовара у возбудителя холеры с применением метода амплификации нуклеиновых кислот (далее - ПЦР)
<8>.
--------------------------------
2.12. Диапазон изменчивости холерных вибрионов достаточно широк: от морфологии колоний и клеток, образования некультивируемых и L-форм, до ослабления и утраты агглютинабельности диагностическими 01, Инаба и Огава сыворотками и приобретения агглютинабельности только RO сывороткой. Изменчивость может сочетаться по ряду признаков: по культурально-морфологическим признакам, по агглютинабельности холерными сыворотками и по чувствительности к бактериофагам. Нарастание резистентности холерных вибрионов Эль Тор к диагностическому холерному монофагу эльтор значительно затрудняет в настоящее время определение биовара холерных вибрионов 01 серогруппы.
2.13. Холерные вибрионы 01 и 0139 серогрупп, как правило, высокочувствительны к большому набору антибактериальных препаратов, в т.ч. к тетрациклинам, левомицетину, эритромицину, нитрофуранам, цефалоспоринам. Широкое применение антибактериальных препаратов в очагах холеры способствовало увеличению резистентности холерных вибрионов к антибиотикам. В последние три десятилетия неоднократно были зарегистрированы вспышки холеры, вызванные полиантибиотикорезистентными вариантами возбудителя, что обусловливает определенные трудности в проведении этиотропного лечения холеры и профилактики этого заболевания.
III. Организация лабораторных исследований
Организация исследований на холеру при осуществлении
эпидемиологического надзора
3.1. Диагностические и профилактические исследования на холеру в регламентируемом объеме проводят лаборатории территориального, регионального и федерального уровней в соответствии с
приказом Роспотребнадзора
<9>, санитарно-эпидемиологическими
требованиями <10> и методическими указаниями
<11>.
--------------------------------
<9>
Приказ Федеральной службы по надзору в сфере защиты прав потребителей и благополучия человека от 01.12.2017 N 1116 "О совершенствовании системы мониторинга, лабораторной диагностики инфекционных и паразитарных болезней и индикации ПБА в Российской Федерации".
3.2. Лаборатории территориального уровня, имеющие разрешение на осуществление деятельности, связанной с использованием возбудителей III - IV групп патогенности (опасности)
<12>, ведут исследования до получения отрицательного результата анализа (отсутствие культур, подозрительных на холерный вибрион) или до выделения культур с характерным для вибрионов ростом на агаровых и полиуглеводных питательных средах и положительной реакцией на оксидазу. Культуры проверяют на чистоту в мазке, окрашенном по Граму, в реакции агглютинации на стекле (далее - слайд-агглютинация или СА) с диагностическими холерными сыворотками 01, Огава, Инаба, RO и 0139. При исследовании клинического материала допускается применение метода флюоресцирующих антител (далее - МФА) и (или) реакции иммунофлюоресценции (далее - РИФ) и реакции иммобилизации вибрионов (далее - РИВ) как ускоренных (экспресс) методов лабораторной диагностики.
--------------------------------
При положительном результате слайд-агглютинации и (или) МФА, РИВ о культуре, выделенной от человека или из объекта окружающей среды, сообщают в установленном порядке
<13>.
--------------------------------
При отрицательном результате слайд-агглютинации:
- не агглютинирующиеся диагностическими холерными сыворотками 01 и 0139 культуры, подозрительные на холерный вибрион и выделенные от людей, идентифицируют до вида на месте. В случае определения принадлежности к виду
V. cholerae направляют для дальнейшей идентификации в соответствии с методическими указаниями
<14>;
- не агглютинирующиеся диагностическими холерными сыворотками 01 и 0139 культуры, выделенные из объектов окружающей среды, идентифицируют до вида на месте.
--------------------------------
Лаборатории территориального уровня, имеющие разрешение на осуществление деятельности, связанной с использованием возбудителей II - IV групп патогенности (опасности)
<15>, дополнительно проводят:
- диагностические исследования материала от больных (подозрительных на заболевание холерой) и от умерших с подозрением на заболевание холерой, а также в случае выделения культуры, подозрительной на холерный вибрион, в условиях круглосуточного режима работы лаборатории с включением ускоренных методов диагностики;
- идентификацию культур холерных вибрионов с определением эпидемической значимости в ПЦР на наличие генов
ctxAB и
tcpAB, антибиотикограммы диско-диффузионным методом. После окончания идентификации информацию о выделенных культурах холерных вибрионов 01 и 0139 серогрупп (с паспортами), в том числе атипичных, независимо от объекта исследования, включая культуры холерных вибрионов других серогрупп (при выделении от больных), передают в установленном порядке
<16>.
--------------------------------
3.3. Лаборатории регионального уровня, имеющие разрешение на осуществление деятельности, связанной с использованием возбудителей I - IV групп патогенности (опасности)
<17>, дополнительно, наряду с перечнем, приведенным в
п. 3.2, проводят:
- идентификацию культур холерных вибрионов, в том числе атипичных, выделенных на территориях закрепленных субъектов Российской Федерации, по полной схеме с определением эпидемической значимости и чувствительности к антибактериальным препаратам диско-диффузионным методом и (или) методом серийных разведений;
- серологическое обследование по эпидпоказаниям;
- молекулярно-биологические исследования (при наличии оборудования) с использованием методов генотипирования и секвенирования);
- информирование лаборатории федерального уровня (референс-центра по мониторингу за холерой) о выделенных (идентифицированных) культурах холерных вибрионов и их передачу с паспортами в установленном порядке в лабораторию федерального уровня
<18>.
--------------------------------
3.4. Лаборатории федерального уровня, имеющие разрешение на осуществление деятельности, связанной с использованием возбудителей I - IV групп патогенности (опасности)
<19>, наряду с перечнем, приведенным в
п.п. 3.2,
3.3, дополнительно проводят расширенную идентификацию, углубленное изучение биологических, молекулярно-биологических (с использованием методов генотипирования и секвенирования), серологических, иммунохимических свойств возбудителя холеры, в том числе штаммов с атипичными свойствами и вновь выявленных штаммов, явившихся причиной эпидемической вспышки. Определяют антибиотикочувствительность, проводят изучение механизмов антибиотикорезистентности. Токсигенные культуры холерных вибрионов 01 и 0139 серогрупп, а также выделенных от людей не 01/не 0139 серогрупп (в том числе атипичные), идентифицированные в референс-центре по мониторингу за холерой, передаются в национальные центры верификации диагностической деятельности, осуществляющие функции государственных коллекций Роспотребнадзора
<20>.
--------------------------------
Референс-центр по мониторингу за холерой разрабатывает контрольные панели и проводит внешний контроль качества лабораторной диагностики холеры на территории субъектов Российской Федерации
<21>.
--------------------------------
Организация лабораторных исследований при проведении
противоэпидемических мероприятий
3.5. Организация и регламентирование деятельности лабораторий, а также формирование лабораторной службы в очаге холеры осуществляются в соответствии с санитарными
правилами и нормами <22>.
--------------------------------
IV. Лабораторная диагностика холеры
4.1. В системе противохолерных мероприятий результаты бактериологического анализа определяют характер и объем профилактических и противоэпидемических мероприятий.
Исследования проводят с целью:
- выявления больных холерой и вибриононосителей;
- установления окончательного диагноза при вскрытии трупов лиц, умерших от заболевания с подозрением на холеру;
- обоснования выбора средств этиотропной терапии холеры;
- бактериологического контроля эффективности этиотропного лечения больных холерой и вибриононосителей;
- бактериологического контроля объектов окружающей среды, в том числе поверхностных водоемов;
- бактериологического контроля эффективности обеззараживания в очаге инфекции.
4.2. Отбор и доставка материала на исследование.
Материалом для бактериологического анализа могут служить:
- испражнения, рвотные массы, желчь, секционный материал (отрезки тонкого кишечника и желчный пузырь);
- предметы, загрязненные испражнениями (постельное и нательное белье и др.);
- питьевая вода и вода поверхностных водоемов, ил, гидробионты, сточные воды, содержимое выгребных туалетов;
- смывы с объектов окружающей среды, пищевые продукты и др.
Материал от больного (подозрительного на заболевание) немедленно после выявления и до начала лечения антибиотиками забирает персонал медицинских организаций (далее - МО), предварительно прошедший инструктаж по биологической безопасности
<23> при заборе биоматериала для исследования на холеру. Такие же требования должен соблюдать персонал МО при осуществлении забора материала при проведении обследования людей на вибриононосительство. В очаге создаются группы из персонала МО по отбору проб. Контингенты, подлежащие обследованию, определяют с учетом эпидемиологической обстановки.
--------------------------------
Кратность взятия проб от больного холерой или с подозрением на холеру определяется в соответствии с действующим нормативным документом
<24>. Ответственность за правильность отбора, хранения, транспортирования и своевременность доставки проб в микробиологическую лабораторию несет руководитель МО, где был выявлен больной и забран материал для исследования. При отборе и транспортировании проб необходимо учитывать высокую чувствительность холерных вибрионов к дезинфицирующим средствам и кислотам, возможность антагонистического воздействия сопутствующей микрофлоры и предполагаемую концентрацию возбудителя в исследуемом материале. В материале от больных холерой с III - IV степенью обезвоживания концентрация возбудителя достигает 10
6 - 10
9 м.к./мл, а в испражнениях больных легкой формой и пролеченных антибиотиками реконвалесцентов и носителей количество холерных вибрионов обычно не превышает 10
2 - 10
4 м.к./г.
--------------------------------
Для отбора проб используют стерильную посуду, не содержащую следов дезинфицирующих растворов. Стерилизацию посуды и других средств забора материала проводят автоклавированием или сухим жаром.
При наличии у больного диареи, материал забирают до начала этиотропной терапии: у больных тяжелой формой - в количестве 10 - 20 мл, а у больных легкой формой и при исследовании на вибриононосительство - 1 - 2 г испражнений.
Материал (нативный) для исследования должен быть доставлен не позже, чем через 2 ч после его взятия. В случае удлинения сроков доставки используют транспортные среды. Наиболее эффективной транспортной средой является 1%-я пептонная вода (pH 8,4 +/- 0,2). Материал для исследования вносят в транспортную среду из расчета 1 - 2 мл (или 1 - 2 г) на 5 - 6 мл среды.
При увеличении времени доставки материал от больных тяжелой формой направляют в лабораторию и нативным, и в транспортной среде, а от больных легкой формой и на вибриононосительство - в транспортной среде.
На флаконах (пробирках) с 1%-й пептонной водой для отбора проб должна быть этикетка или надпись с указанием названия среды и даты ее приготовления.
Питательные среды во флаконах или пробирках, закрытых ватно-марлевыми пробками, рекомендуется хранить при температуре не выше 10,0 +/- 0,2 °C. Возможно хранение и использование для отбора и транспортирования питательных сред в завальцованных флаконах.
Отбор проб из объектов окружающей среды осуществляют специалисты организаций, проводящих мониторинговые исследования и предварительно прошедшие инструктаж по биологической безопасности при заборе материала для исследования на холеру
<25>.
--------------------------------
Отбор проб от больных холерой, вибриононосителей, контактных
с ними лиц и секционного материала
4.3. Испражнения и рвотные массы в количестве 10 - 20 мл собирают в стерильную посуду (контейнеры для сбора проб клинического материала с герметично завинчивающимися крышками) стерильными ложками из индивидуального судна, на дно которого помещают меньший по размеру сосуд (лоток), удобный для обеззараживания кипячением.
Для взятия материала у больных с обильным водянистым стулом можно использовать резиновый катетер, один конец которого вводят в прямую кишку, а другой опускают в контейнер или флакон. Жидкие испражнения стекают в сосуд свободно или при легком массаже брюшной стенки.
Для взятия материала у контактных и лиц, подлежащих обследованию по эпидемиологическим показаниям, используют стерильный ректальный тампон, который вводят в прямую кишку на глубину 5 - 6 см, собирают им содержимое со стенок кишечника и опускают во флакон или пробирку с 1%-й пептонной водой.
Стерильную ректальную петлю перед забором материала смачивают стерильным 0,9%-м раствором натрия хлорида и вводят в прямую кишку на 5 - 6 см. Взятый материал переносят во флакон или пробирку с 1%-й пептонной водой.
Желчь берут при дуоденальном зондировании в лечебном учреждении. Собирают две порции в отдельные пробирки или контейнеры: из желчного пузыря и желчных протоков (B и C). Материал доставляют нативным, без использования транспортных сред.
Для исследования секционного материала от умерших с подозрением на холеру (или от кишечных инфекций неустановленной этиологии) берут отрезки (длиной около 10 см) верхней, средней и нижней частей тонкой кишки, разрез производят между двойными лигатурами, предварительно наложенными на оба конца изымаемого участка кишечника. Желчный пузырь после перевязки протока извлекают целиком. Содержимое кишечника и желчь от трупа можно взять стерильным шприцем с толстой иглой в объеме до 10 мл. Взятые образцы органов трупа укладывают раздельно в стерильные банки (контейнеры).
Упаковку, маркировку образцов и оформление документации для транспортировки производят в соответствии с санитарными
правилами и нормами <26>. Емкости с образцами биологического материала этикетируют, обрабатывают снаружи дезинфицирующим раствором, избегая его затекания внутрь, герметизируют парафинированной пленкой (парафилмом), помещают во вторичный контейнер, в котором находится адсорбирующий влагу материал (марля, вата) в количестве, достаточном для впитывания всей жидкости в случае повреждения первичного контейнера, и помещают в кейс для транспортирования проб. Для фиксации контейнеров в кейсе используют при необходимости воздушно-пузырьковую пленку или вставку-штатив. В одном кейсе допускается транспортировка образцов материала от разных пациентов предварительно дважды упакованных. Пробы перевозят на служебном транспорте с сопровождающим. Рекомендуемые образцы направлений даны в
приложениях 2,
3 к настоящим МУК. Направления составляются в двух экземплярах, один экземпляр вкладывают в контейнер (кейс) с пробами, а второй доставляется отдельно от проб.
--------------------------------
Отбор проб из объектов окружающей среды
4.4. В качестве объектов окружающей среды исследуют питьевую воду и воду поверхностных водоемов, ил, гидробионты, сточные воды, содержимое выгребных туалетов, смывы с объектов окружающей среды, пищевые продукты и др.
Воду (питьевую, из поверхностных водоемов и др.) для исследования берут 1 л на одну пробу или в двух объемах по 500 мл в стерильную посуду с непромокаемой пробкой.
Из водопроводных кранов пробы воды берут после предварительного обжигания их спиртовым факелом и спуска воды в течение 10 мин при полном открытии крана.
Отбор воды поверхностных водоемов желательно осуществлять в утренние часы, выбирая мелководные, тихие или застойные, хорошо прогреваемые места. Обязательным при отборе пробы воды из поверхностного водоема является измерение температуры воды с помощью термометра (до 50 °C).
Хозяйственно-бытовые сточные воды отбирают для исследования двумя способами: в объеме 1 л в двух емкостях по 500 мл или тампонами, приготовленными из марлевых салфеток размером 10 x 10 см, сложенных в 10 - 15 слоев. Последние закрепляют у места забора воды, через сутки помещают в стерильную емкость (контейнер) и доставляют в лабораторию.
Гидробионтов (рыб, лягушек, раков и др.) отлавливают из водоемов любым способом и в закрытых емкостях (контейнерах, банках, ведрах и др.) доставляют в лабораторию.
Ил и фитопланктон (водоросли) также помещают в стерильные емкости и транспортируют в лабораторию.
Исследовать зоопланктон (дафнии, циклопы и др.) можно групповым методом, объединяя в один посев 10 - 30 образцов, отловленных на одном участке водоема. В этом случае они могут быть доставлены в одном сосуде. При исследовании рыб берут содержимое желудка и жабры.
Смывы с различных объектов окружающей среды берут ватным или марлевым тампоном, смоченным 0,9%-м раствором натрия хлорида, с поверхности площадью 10 x 10 см. Тампон опускают во флакон или пробирку с 1% пептонной водой.
Пищевые продукты, а также остатки пищи в очаге отбирают по 200 г плотных и 0,5 л жидких (при наличии), помещают в стерильную емкость и закрывают. При необходимости в жидкие продукты добавляют основной раствор пептона до 1%-й концентрации.
При отборе проб сточных вод и поверхностных водоемов допустимо использование магноиммуносорбентных ловушек.
Пробы объектов окружающей среды этикетируют, заполняют направление и отправляют в лабораторию нарочным.
Рекомендуемый образец перечня предметов и средств для отбора и транспортировки проб представлен в
приложении 1 к настоящим МУК.
4.5. Порядок исследования. Для бактериологического исследования на холеру используют следующие питательные среды: жидкие среды накопления, щелочной агар (далее - ЩА), элективные дифференциально-диагностические среды и среды или тест-системы для идентификации, а также консерванты коммерческого производства. Используемые для диагностики холеры питательные среды подлежат бактериологическому контролю в установленном порядке.
Агаровые среды перед использованием должны быть тщательно подсушены. Посев делают так, чтобы получить рост в виде изолированных колоний.
Посевы исследуемого материала инкубируют в 1%-й пептонной воде 6 - 8 ч, в пептонной воде с теллуритом калия - 12 - 18 ч, на ЩА - не менее 14 - 16 ч, на плотных элективных средах - 18 - 24 ч. Все посевы инкубируют при температуре (37,0 +/- 0,5) °C.
Теллурит калия следует добавлять в 1%-ю пептонную воду с pH не ниже 8,3 +/- 0,1 до внесения исследуемого материала. Продолжительность хранения рабочего раствора теллурита калия (1:4000) - 7 дней, питательных сред с теллуритом калия - не более двух суток при условии содержания их в холодильнике.
Исследование проб от больных, контактных с больными,
вибриононосителей и секционного материала
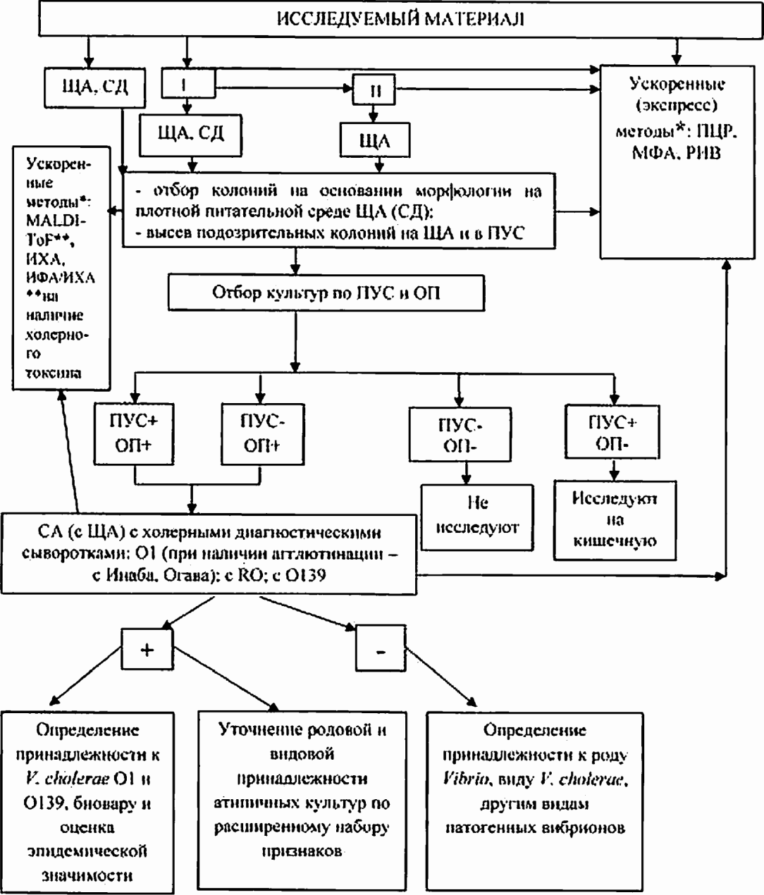
4.6. Схема лабораторного исследования на холеру представлена на
рисунке 2.
Рисунок 2. Схема лабораторного исследования на холеру <27>
--------------------------------
<27>
Примечание: I и II - среды накопления; ЩА - щелочной агар; СД - селективно-дифференциальная среда; * - методы ускоренной (экспресс-) диагностики (ПЦР, МФА, РИВ) могут быть использованы на всех этапах исследования; ** - при наличии.
I этап (0 ч)
Испражнения, рвотные массы больных, а также содержимое кишечника, желчного пузыря и суспензию кусочков слизистой тонкого кишечника трупа в объеме 0,5 - 1,0 мл засевают пипеткой в 50 - 100 мл первой накопительной среды (I пептон), петлей - на ЩА и одну из селективно-дифференциальных (СД) питательных сред.
При исследовании материала от лиц с подозрением на заболевание холерой не допускается использование в качестве накопительной среды 1%-й пептонной воды с теллуритом калия.
При появлении первых случаев подозрения на заболевание холерой в обязательном порядке необходимо использовать методы экспресс- и ускоренной диагностики (ПЦР, МФА, РИВ и др.) на первом, втором и последующих этапах исследования.
При выявлении маркеров возбудителя холеры, положительных результатах, полученных при использовании ускоренных методов (не менее двух), может быть выдан предварительный положительный ответ.
Материал от людей, обследуемых на вибриононосительство, засевают в 50 мл первой среды накопления. Материал, доставленный в 5 мл 1%-й пептонной воды, полностью используют для посева в 50 мл среды накопления. В случае поступления в лабораторию материала, отобранного во флаконы с 50 мл 1%-й пептонной воды, и доставки его не позднее двух часов после отбора пробы флаконы помещают в термостат на 6 ч для накопления возбудителя холеры. При доставке в более поздние сроки 5 мл материала засевают в 50 мл 1%-й пептонной воды (инкубация при 37 °C в течение 6 ч).
В отдельных случаях при бактериологическом обследовании лиц, принимавших антибиотики, активные по отношению к возбудителю холеры, материал засевают в 200 - 300 мл 1%-й пептонной воды (предпочтительно в широкогорлые колбы) и на две чашки ЩА так, чтобы получить рост в виде изолированных колоний. Посевы инкубируют при 37 °C в течение 24 ч, производя последовательные высевы через 8 - 10 часов инкубации с поверхностного слоя среды (пептонной воды) на две чашки ЩА. Использование второй среды накопления в этом варианте исследования нецелесообразно.
II этап (через 6 - 8 ч от начала исследования)
Высев из первой среды накопления на ЩА, одну из селективно-дифференциальных сред и в 5 - 8 мл второй среды накопления (II пептон). Пересевы в жидкие и на плотные среды делают с поверхности жидкой среды бактериологической петлей диаметром 5 мм.
III этап (через 12 - 16 ч от начала исследования)
Высев из второй среды накопления (II пептон) на ЩА.
Отбор подозрительных на холерный вибрион колоний в посевах нативного материала на ЩА можно начинать уже на III этапе, используя стереоскопический микроскоп с косым освещением (
приложение 5 к настоящим МУК).
IV этап (через 18 - 24 ч от начала исследования)
Отбор подозрительных на холерный вибрион колоний в посевах нативного материала на плотные среды, а также в посевах из первой и второй накопительных сред.
Чашки с посевами просматривают в проходящем свете невооруженным глазом или с помощью лупы, а также (особенно в вечернее и ночное время) под стереоскопическим микроскопом в косо проходящем свете и отбирают подозрительные на вибрионы колонии для выделения и идентификации культуры.
На чашках со ЩА колонии холерных вибрионов 01 и 0139 серогрупп в типичной S-форме - круглые, гладкие, плоские, голубоватые, гомогенные, с ровными краями, прозрачные в проходящем свете и светло-серые с голубым или зеленоватым оттенком под стереоскопическим микроскопом в косо проходящем свете (
приложение 5 к настоящим МУК).
Колонии холерных вибрионов на селективно-дифференциальной питательной среде TCBS (англ. Thiosulfate-citrate-bile salts-sucrose agar) имеют ярко-желтую окраску на зеленом фоне среды, полупрозрачные до 1,0 мм в диаметре. Размеры колоний на ЩА через 10 - 12 часов инкубации обычно не превышают 1 мм, а к 18 - 24 ч достигают 2 - 3 мм в диаметре. Темпы формирования колоний холерных вибрионов на элективных средах несколько замедлены, поэтому просмотр посевов следует проводить не ранее чем через 18 - 20 часов инкубации, когда размеры их становятся близки к колониям, вырастающим на ЩА.
В отдельных случаях в посевах могут встречаться атипичные колонии: мутные с плотным центром, пигментированные (коричневые или светло-желтые), мельчайшие коккоподобные, шероховатые, слизистые. В таких случаях следует провести пересев на обычную питательную среду без элективных добавок (агар Мартена, агар Хоттингера, МПА) для получения колоний в S-форме.
При определении индофенолоксидазы на этапе отбора подозрительных колоний используют или индивидуальный тест для обнаружения бактериальной цитохромоксидазы, или однокомпонентный реактив (без альфа-нафтола). С подозрительными колониями, выросшими на селективно-дифференциальных средах, пробу на оксидазу ставить не рекомендуется.
При наличии в лаборатории масс-спектрометра изолированные колонии идентифицируются до вида с помощью матрично-активированной лазерной десорбции/ионизации с времяпролетным разделением масс-спектрометрии MALDl-ToF MS (англ. Matrix-Assisted Lazer Desorption/Ionization Time-of-Flight Mass-Spectrometry) (далее - MALDI-ToF масс-спектрометрия).
Подозрительные оксидазопозитивные колонии проверяют в слайд-агглютинации (СА) с сывороткой диагностической холерной 01 в разведении 1:50 - 1:100. При положительной реакции с сывороткой холерной 01 и достаточном количестве подозрительных колоний ставят СА с вариантоспецифическими сыворотками Инаба и Огава в разведении 1:50 - 1:100, готовят мазки для окраски по Граму.
При отрицательных результатах колонии проверяют в СА с холерными сыворотками 0139 и RO. В СА допускается использовать зарегистрированные в установленном порядке препараты диагностических агглютинирующих моноклональных антител (далее - МКА) в соответствии с инструкциями к ним.
На этом этапе материал из колоний может быть также использован для проведения ПЦР и масс-спектрометрии.
Положительные результаты в СА с сывороткой диагностической холерной 01 в разведении 1:100 и вариантоспецифической в разведении 1:50 и (или) с диагностическими агглютинирующими препаратами МКА в рабочем разведении, наличие индофенолоксидазы в сочетании с морфологическими, культуральными признаками, а также положительные результаты ПЦР позволяют выдать на данном этапе предварительный положительный ответ об обнаружении в исследуемом материале культуры холерного вибриона 01 соответствующего серовара, биовара и эпидемической опасности (по результату ПЦР). В случае положительной реакции с сывороткой диагностической 0139 на данном этапе выдается предварительный положительный ответ об обнаружении в исследуемом материале культуры холерного вибриона 0139 серогруппы.
Подозрительные на вибрионы колонии (агглютинирующиеся и не агглютинирующиеся сыворотками диагностическими холерными 01 и 0139) высевают в одну из полиуглеводных сред (далее - ПУС) - лактозо-сахарозную, Ресселя, Клиглера, маннозо-сахарозную или другие - и на сектор ЩА с целью накопления культуры для дальнейшей идентификации и определения чувствительности к антибиотикам. Отсев на ПУС и ЩА следует проводить из одной и той же колонии.
V этап (через 24 - 36 ч от начала исследования)
При просмотре ПУС отбирают культуры с типичным для вибрионов характером изменений:
- в двууглеводных средах (лактозо-сахарозная, глюкозо-лактозная и Клиглера) наблюдается характерное для кислой реакции изменение цвета столбика без образования газа при сохранении цвета скошенной части. На среде Клиглера возможно определение активности как тиосульфатредуктазы (образование сероводорода за счет расщепления входящих в состав среды сульфата закисного железа, тиосульфата натрия и сульфата натрия), так и определение активности цистиндесульфогидролазы (образование сероводорода за счет расщепления L-цистеина в мясопептонном агаре, составляющем основу данной среды). Холерные вибрионы в большинстве случаев не продуцируют фермент тиосульфатредуктазу и продуцируют цистиндесульфогидролазу. Поэтому образование сероводорода или его отсутствие на среде Клиглера не является определяющим признаком при отборе колоний, подозрительных на колонии холерного вибриона;
- в маннозо-сахарозной среде за счет ферментации обоих углеводов окрашиваются и столбик, и скошенная часть (без образования газа).
С культурами, отобранными как подозрительные на холерные вибрионы, выполняют следующие тесты:
- проверяют чистоту культуры и определяют морфологию клеток в мазке, окрашенном по Граму;
- определяют наличие индофенолоксидазы;
- проверяют агглютинабельность в СА с холерными диагностическими сыворотками 01 в разведении 1:100; RO, Инаба и Огава - в разведении 1:50, или при отрицательных результатах с этими сыворотками ставят СА с холерной сывороткой 0139 серогруппы.
На основании положительных результатов агглютинации оксидазопозитивных культур с сыворотками холерными 01, Инаба и (или) Огава выдают предварительный положительный ответ о выделении из исследуемого материала культуры холерного вибриона 01 соответствующего серовара.
Если выделенная оксидазопозитивная культура агглютинируется холерной сывороткой 0139 при отрицательных результатах с диагностической сывороткой холерной 01 серогруппы, выдают предварительный ответ о выделении холерного вибриона 0139 серогруппы.
Дальнейшая идентификация заключается:
- в определении систематического положения (рода Vibrio вида cholerae) по биохимической активности с использованием микрообъемных тест-систем или других методов;
- в подтверждении наличия 01 антигена и серовара в объемной реакции агглютинации с холерными диагностическими сыворотками 01, Огава, Инаба, RO или 0139 в СА;
- в определении биовара (классического или Эль Тор), типичного или генетически измененного биовара Эль Тор методом ПЦР;
- в определении эпидемической значимости и биовара методом ПЦР (при невозможности проведения ПЦР-анализа, определяют гемолитическую активность по Грейгу);
- определяют чувствительность и (или) резистентность к антимикробным препаратам.
Культуры, выделенные от больных и не агглютинирующиеся холерными диагностическими сыворотками, идентифицируют до вида и определяют антибиотикограмму.
VI этап (через 36 - 48 ч от начала исследования)
На этом этапе проводят учет результатов идентификации культур: антигенной структуры (объемная агглютинация), родовой и видовой принадлежности (биохимическая активность), биовара и эпидемической значимости (ПЦР) (в качестве дополнительного - учет пробы Грейга), антибиотикограммы. По полученным результатам выдают окончательный ответ о выделении культуры V. cholerae соответствующей серогруппы, серовара и биовара с указанием типичности или генетической измененности биовара Эль Тор.
При выделении от больного или вибриононосителя культуры холерного вибриона, не агглютинирующейся холерными сыворотками 01 и 0139, выдают ответ о выделении холерных вибрионов не 01/не 0139 серогрупп.
Исходные чашки с плотными питательными средами, с которых были отобраны подозрительные на холерный вибрион колонии, оставляют до завершения исследования.
Исследование проб объектов окружающей среды
4.7. Схема анализа объектов окружающей среды отличается от схемы исследования материала от больных только на I этапе, II - VI этапы аналогичны и изложены выше.
Вода поверхностных водоемов и вода питьевая.
С целью первичного накопления вибрионов в зависимости от времени доставки пробы возможны следующие варианты посевов:
В исследуемую пробу воды добавляют раствор основного пептона до 1%-й концентрации, определяют pH, в случае необходимости подщелачивают 10%-м раствором NaOH до pH 8,4 +/- 0,1. Время инкубации в первой среде накопления 8 - 10 часов. Объем второй среды накопления - 10 мл. Время инкубации в среде без теллурита калия 6 часов, с теллуритом калия 18 - 20 часов.
В исследуемую пробу воды добавляют раствор основного пептона до 1%-й концентрации и прошедший контроль теллурит калия в конечном разведении из рабочего разведения 1:4000, при котором достигается ингибирование роста сопутствующей микрофлоры и рост холерного вибриона. Устанавливают pH 8,4 +/- 0,2, время инкубации 18 - 24 ч. Вторая среда накопления - 10 мл без теллурита калия, время инкубации 6 - 8 часов.
Теллурит калия выпускается промышленностью в виде сухого порошка или 2%-го раствора с указанием срока годности. Каждая серия препарата, используемого для приготовления питательных сред при диагностике холеры, должна быть проверена на ингибирующие свойства в отношении холерного вибриона и кишечной палочки. В работе используют 0,025%-й (1:4000) раствор теллурита калия. Для его приготовления к 5 мл 2%-го раствора добавляют 395 мл стерильной дистиллированной воды. Из сухого препарата рабочий раствор готовят разведением 50,0 мг теллурита калия в 200 мл стерильной дистиллированной воды
(табл. 4).
Таблица 4
Расчет количества рабочего раствора (1:4000) теллурита калия
(ТК) для получения необходимой концентрации препарата <28>
--------------------------------
<28>
МУ 3.3.2.2124-06 "Контроль диагностических питательных сред по биологическим показаниям для возбудителей чумы, холеры, сибирской язвы, туляремии, бруцеллеза, легионеллеза", утвержденные руководителем Федеральной службы по надзору в сфере защиты прав потребителей и благополучия человека, Главным государственным санитарным врачом Российской Федерации 17.08.2006 (далее -
МУ 3.3.2.2124-06).
Концентрация препарата | Количество рабочего раствора ТК, добавляемого к пептонной воде в объеме (мл) |
1000 | 500 | 100 | 50 | 20 | 10 | 5 |
1:50000 | 80,0 | 40,0 | 8,0 | 4,0 | 1,60 | 0,80 | 0,40 |
1:100000 | 40,0 | 20,0 | 4,0 | 2,0 | 0,80 | 0,40 | 0,20 |
1:200000 | 20,0 | 10,0 | 2,0 | 1,0 | 0,40 | 0,20 | 0,10 |
1:300000 | 12,0 | 6,0 | 1,2 | 0,6 | 0,24 | 0,12 | 0,06 |
Проверка качества ингибитора роста посторонней микрофлоры проводится только в лабораториях регионального и федерального уровней, имеющих разрешение на осуществление деятельности, связанной с использованием возбудителей I - II групп патогенности (опасности), с применением для контроля токсигенных тест-штаммов
V. cholerae 01 classical P-1 (145) и
V.
cholerae 01 El Tor M-878S, а также нетоксигенного тест-штамма холерного вибриона не 01/не 0139 серогруппы P-9741
<29>.
--------------------------------
При интенсивном бактериальном загрязнении проб можно использовать III среду накопления.
Исследуемую пробу воды фильтруют через стерильные мембранные фильтры N 2 или 3, смыв с фильтров вносят в среду накопления и засевают на агаровые пластинки. В случае необходимости проведения индикации из смывной жидкости делают мазки для окраски флуоресцирующими холерными иммуноглобулинами и ставят ПЦР.
Хозяйственно-бытовые сточные воды.
Сточные воды, доставленные в объеме 1 л, фильтруют через стерильный бумажный или матерчатый фильтр для освобождения от механических примесей (при необходимости).
После добавления к пробам основного раствора пептона до 1%-й концентрации устанавливают pH 8,4 +/- 0,2 и инкубируют в объемах по 500 мл в течение 8 - 10 ч (первая среда накопления). При добавлении теллурита калия 1:100000 (1:200000) инкубация длится 18 - 24 ч.
При отборе проб сточных вод марлевыми тампонами последние помещают в широкогорлые колбы или банки с 500 мл накопительной среды и далее исследуют, как указано выше.
Гидробионты.
Лягушку непосредственно перед исследованием обездвиживают уколом иглы в спинной мозг и фиксируют на препаровальной доске брюшком вверх. Поверхность брюшка обрабатывают спиртом и ножницами делают медиальный разрез.
Желчный пузырь отсекают от печени, разрезают и делают отпечаток на чашке со ЩА. Остатки желчи вместе с желчным пузырем помещают во флаконы с 50 - 100 мл 1%-й пептонной воды.
Содержимое желудка засевают в 50 - 100 мл 1%-й пептонной воды, а внутренней поверхностью стенки делают отпечатки на ЩА.
Посев кишечника проводят аналогичным образом, отсекая несколько петель в верхнем, среднем и нижнем отделах кишечника.
У крупных рыб в том же порядке засевают в накопительную среду содержимое желчного пузыря, желудка, кишечника и жабры. Мелких рыб (мальков) измельчают ножницами по 10 - 20 экземпляров в одной пробе, суспензируют (или гомогенизируют) и делают посев суспензии петлей на чашку с питательным агаром в 50 - 100 мл 1%-й пептонной воды.
Дафний, циклопов и других рачков так же, как и фитопланктон, растирают в ступке и засевают петлей в 50 мл 1%-й пептонной воды.
У раков исследуют кишечник, фрагменты хитинового панциря и жабры, делая посев содержимого в среду накопления (50 мл) и отпечаток слизистой стенки кишечника на агаровую среду.
Пищевые продукты.
Безалкогольные напитки исследуют тем же методом, что и воду.
Молоко в количестве 5 мл засевают в 50 - 100 мл среды накопления или к 0,5 л молока добавляют основной раствор пептона до 1%-й концентрации его в молоке. Другие молочные продукты (кефир, сметану, творог, мороженое и т.д.) в количестве 5 - 10 мл засевают в 1%-ю пептонную воду.
Навеску пробы твердых пищевых продуктов (25 г) измельчают в гомогенизаторе или растирают в стерильной ступке, а затем переносят в 125 мл среды накопления и засевают петлей на агаровые среды.
Масло животное засевают в среду накопления в количестве 5 - 10 г, предварительно размягчив его в термостате, или делают посев смыва с поверхности его кусков.
После посева продукта устанавливают pH среды (8,4 +/- 0,2).
Смывы с объектов окружающей среды и мух высевают в 5 - 10 мл 1%-й пептонной воды и исследуют по обычной схеме.
Порядок проведения исследований в условиях односменной
работы лаборатории
4.8. При осуществлении эпидемиологического надзора за холерой исследования материала от людей могут проводиться в условиях односменной работы лаборатории, в том числе обследование на вибриононосительство в профилактических целях, вне установленного очага холеры.
Транспортные среды и порядок исследования определяют в зависимости от интервала времени с момента взятия пробы и до поступления ее в лабораторию. Примерная схема забора материала в 1%-ю пептонную воду и порядок дальнейшего его исследования на холеру с учетом времени доставки в лабораторию представлены в
таблице 5.
Таблица 5
Порядок исследования материала в зависимости от времени
отбора и доставки его в лабораторию в 1%-й пептонной воде
N вариантов | Время забора проб (ч) | Время доставки проб в лабораторию | Среда для отбора проб (ч) | Назначение среды | Первая среда накопления | Высев из первой среды накопления во вторую и на щелочной агар | Высев из второй среды накопления |
1. | С 6-00 до 10-00 | До 10-00 | а) 1%-я ПВ 50 мл б) 1% ПВ 5 - 10 мл | а) Среда накопления б) Транспортная среда | а) Проба в среде накопления б) Посев 5 - 10 мл транспортной среды с пробой в 50 мл 1%-ю ПВ | Через 6 ч инкубации пересев в 1% ПВ с ТК и высев на ЩА и СД | В начале следующего рабочего дня |
2. | С 10-00 до конца рабочего дня лаборатории | После 10-00 в течение рабочего дня лаборатории | 1%-я ПВ 5 - 10 мл | Транспортная среда | Посев 5 - 10 мл транспортной среды с пробой в 50 мл 1%-й ПВ с ТК | 9-00 следующего дня пересев в 1%-ю ПВ, высев на ЩА и СД | Через 6 ч инкубации |
3. | По окончании рабочего дня лаборатории | До 10-00 следующего дня | 1%-я ПВ 5 - 10 мл | Транспортная среда | Посев 5 - 10 мл транспортной среды с пробой в 50 мл 1%-й ПВ | Через 6 ч инкубации пересев в 1%-ю ПВ с ТК, высев на ЩА и СД | В начале следующего рабочего дня |
4. | Выходные дни лаборатории | До 10-00 рабочего дня | 1%-я ПВ с ТК 50 мл | Транспортная среда | Посев 5 - 10 мл транспортной среды с пробой в 50 мл 1%-й ПВ | Через 6 ч инкубации пересев в 1%-ю ПВ с ТК, высев на ЩА и СД | В начале следующего рабочего дня |
Примечания: ТК - теллурит калия; ПВ - пептонная вода; СД - селективно-дифференциальная среда для выделения холерного вибриона. |
В течение рабочей недели для отбора проб в качестве транспортной среды используют 1%-ю пептонную воду без теллурита калия в объеме 5 - 10 мл (пробирки). Время доставки в лабораторию 2 ч.
В выходные дни для отбора проб биологического материала от людей медицинские организации должны иметь флаконы с 1%-й пептонной водой с теллуритом калия, разлитой по 50 мл.
Пробы до отправки в лабораторию сохраняют при комнатной температуре (24,0 +/- 1,0) °C в биксах, ящике, шкафу и т.д. в специально выделенной комнате, закрывающейся на замок. Продолжительность сохранения проб в указанных условиях до 24 часов.
В случаях, когда температура в помещении превышает 25 °C, материал следует отбирать в 1%-ю пептонную воду с теллуритом калия.
В лаборатории в пробы, доставленные во флаконах, добавляют соответствующую среду накопления до 50 мл; из пробирок все 5 - 10 мл транспортной среды с материалом переносят пипеткой в 50 мл среды накопления.
Во время выходных дней в порядке исключения допускается следующий вариант: забор материала в 50 мл 1%-й пептонной воды с теллуритом калия (транспортная среда); допускаемое время хранения проб до начала исследования при температуре (20,0 +/- 1,0) °C - 60 часов, (27,0 +/- 3,0) °C - 48 часов. В лаборатории 5 - 10 мл поверхностного слоя среды с материалом переносят в 50 мл 1%-й пептонной воды без теллурита калия (первая среда накопления) и делают высев на чашку ЩА с дальнейшим исследованием по изложенной выше схеме.
В качестве первой или второй среды накопления можно использовать:
- 1%-ю пептонную воду (pH 8,4 +/- 0,1) с теллуритом калия в конечной концентрации 1:100000 - 1:200000;
- пептонную воду повышенной щелочности (pH 9,5 +/- 0,5) в качестве накопительной среды рекомендуется использовать только на первом этапе исследования с удлинением срока инкубации ее до 18 - 24 ч.
Основной раствор пептона и 1%-ю пептонную воду с pH 9,5 +/- 0,5 можно готовить в больших количествах (с запасом) по общепринятой методике с подщелачиванием до необходимого уровня и последующей стерилизацией при температуре 120 °C в течение 20 минут. Для подщелачивания пептонной воды используют 10 - 20% NaOH.
4.9. Идентификация культур холерных вибрионов. Культуры, выделенные на различных этапах, идентифицируют с целью определения принадлежности их к виду V. cholerae соответствующей серогруппы и биовара или другим видам патогенных вибрионов.
Идентификацию осуществляют по следующим тестам:
- морфология колоний и клеток;
- видовая идентификация с использованием MALDI-ToF масс-спектрометрии (при наличии оборудования);
- продукция индофенолоксидазы (ОКСИ-тест);
- подвижность;
- тип расщепления глюкозы в среде Хью-Лейфсона - окислительно-ферментативный тест (далее - О/Ф-тест);
- ферментация углеводов и многоатомных спиртов (сахарозы, маннозы, арабинозы, инозита и маннита);
- лизин-, орнитин- и аргинин-дигидролазы;
- продукция ацетилметилкарбинола в реакции Фогес-Проскауэра;
- определение серогруппы 01 с использованием иммуно-хроматографического теста (далее - ИХА-тест) (при наличии);
- серологическая идентификация (in vitro) для дифференциации V. cholerae 01 и 0139 с помощью препаратов МКА в РА или РИФ (в случае необходимости и наличия препаратов);
- агглютинабельность диагностическими холерными сыворотками 01 (Огава, Инаба), RO в РА или диагностической холерной сывороткой 0139 в СА;
- гемолитическая активность в пробе Грейга (при невозможности проведения ПЦР-анализа);
- определение серогруппы методом ПЦР с праймерами к генам wbe (rfb01) и wbf (rfb0139) кластеров;
- определение биовара методом ПЦР по выявлению аллельных вариантов hlyA гена или выявлению специфичного для V. cholerae classical гена cas3 и специфичного для V. cholerae El Tor гена rtxC;
- оценка эпидемической значимости по наличию генов ctxAB и tcpAB методом ПЦР;
- оценка продукции холерного токсина
in vitro иммунохимическими методами (ИФА и (или) ИХА)
<30>.
--------------------------------
К виду V. cholerae относят культуры оксидазопозитивных, активно подвижных вибрионов, расщепляющих глюкозу в среде Хью-Лейфсона до кислоты без газа, декарбоксилирующих лизин и орнитин, не обладающих дигидролазой аргинина, ферментирующих сахарозу, маннозу и маннит в средах Гисса, инактивных по отношению к арабинозе, инозиту.
К V. cholerae 01 серогруппы сероваров Огава или Инаба относят культуры, агглютинирующиеся не менее чем до 1/2 титра сыворотками холерной 01 и одной из вариантоспецифических. Культуры, агглютинирующиеся обеими вариантоспецифическими сыворотками не менее чем до 1/2 титра, относят к серовару Гикошима. В этом случае исследование культуры целесообразно повторить с использованием различных серий коммерческих препаратов.
К V. cholerae 01 серогруппы относят культуры, дающие положительные реакции в ИХА-тесте (при наличии).
Для подтверждения принадлежности выделенной культуры к V. cholerae 0139 серогруппы достаточно положительного результата в слайд-агглютинации с соответствующей сывороткой в рабочем разведении.
Культуры от людей, принадлежащие к V. cholerae по биохимической активности, но не агглютинирующиеся диагностическими холерными сыворотками 01 и 0139, изучают методом ПЦР. Принадлежность таких культур к V. cholerae 01 серогруппы устанавливают методом ПЦР по детекции генов wbe (rfb01), а принадлежность культуры к V. cholerae 0139 серогруппы - по определению наличия генов wbf (rfb0139). Культуры V. cholerae, не агглютинирующиеся холерными диагностическими сыворотками 01 и 0139 серогруппы и не имеющие генов wbe (rfb01) и wbf (rfb0139), идентифицируют как V. cholerae non 01/non 0139. У штаммов холерных вибрионов V. cholerae non 01/non 0139 серогрупп, выделенных от больных, определяют антибиотикограмму.
4.10. Идентификация атипичных культур холерных вибрионов. К атипичным относят культуры холерных вибрионов, отличающихся от типичных по отдельным родовым и видовым признакам, а также по агглютинабельности группо- и вариантоспецифическими диагностическими холерными сыворотками 01 и чувствительности к диагностическим фагам (классический и эльтор). Антигенная изменчивость холерных вибрионов 01 может выражаться в ослаблении до 1/4 титра или утрате агглютинабельности холерными сыворотками 01, Инаба, Огава. Встречаются штаммы, агглютинирующиеся только с холерной сывороткой 01 серогруппы и не реагирующие с вариантоспецифическими сыворотками диагностическими холерными Инаба и Огава, что делает невозможным установление их серовара. Измененные штаммы холерных вибрионов, которые агглютинируются всеми диагностическими холерными сыворотками, в т.ч. и RO, обозначают как SR-варианты. При наличии агглютинации в диагностических титрах только с холерной RO-сывороткой и при отсутствии агглютинации с диагностическими холерными сыворотками 01, Инаба и (или) Огава штаммы обозначают как R-варианты.
В последние годы возросла частота встречаемости резистентных к диагностическим холерным фагам штаммов холерных вибрионов 01, выделяемых как от людей, так и из объектов окружающей среды. При этом фагоустойчивость вибрионов, снижение или отсутствие агглютинабельности холерными сыворотками иногда сочетается с вариабельностью по другим признакам (культурально-морфологическим и биохимическим).
Штаммы, атипичные по морфологическим признакам, образуют шероховатые, слизистые, мутные и пигментированные колонии. Размер их также может варьировать, вплоть до появления едва видимых карликовых колоний. У таких культур нередко снижена подвижность, наблюдается спонтанная агглютинация в 0,9%-м растворе натрия хлорида. Отмечена возможность обнаружения в организме больного и в воде открытых водоемов холерных вибрионов в L-форме. В мазках из атипичных культур холерных вибрионов клетки имеют форму шаров, сферопластов, встречаются вытянутые, извитые, неделящиеся клетки в виде цепей или нитей.
Нередко встречаются штаммы с измененными биохимическими свойствами, у которых отмечается ослабление, замедление или утрата способности расщеплять углеводы и многоатомные спирты (крахмал, маннит, маннозу, сахарозу), аминокислоты (триптофан, лизин, орнитин) и другие субстраты.
Во всех случаях выделения атипичных культур обязательно изучение их по признакам, определяющим их принадлежность к роду
Vibrio и виду
Vibrio cholerae (см.
таблицы 1,
2), определение типа расщепления глюкозы в среде Хью-Лейфсона, декарбоксилаз лизина и орнитина и дигидролазы аргинина.
Атипичные культуры холерных вибрионов, обладающие указанными выше признаками рода Vibrio и вида Vibrio cholerae, агглютинирующиеся сывороткой 01 до 1/4 титра, для подтверждения принадлежности к 01 серогруппе исследуют методом ПЦР с праймерами к генам wbe (rfb01).
При получении сомнительных результатов слайд-агглютинации с холерной сывороткой 0139 серогруппы следует повторить исследование с убитой кипячением (прогревание в течение 30 минут на кипящей водяной бане) культурой, а также для установления ее принадлежности к V. cholerae 0139 использовать ПЦР с праймерами к генам wbf (rfb0139).
Для серологической идентификации спонтанно агглютинирующихся культур возможно проведение расчистки культуры с применением тех же методов и дополнительных - реакция агглютинации с использованием осажденной культуры и 0,3%-го раствора натрия хлорида для разведения диагностических сывороток и приготовления взвеси изучаемой культуры.
4.11. Оформление направлений, регистрации проб и результатов исследований, выдаче протоколов. При осуществлении эпидемиологического надзора направление к пробе клинического материала и результаты исследований (протокол) оформляют индивидуально на каждого больного.
При проведении большого объема исследований в очаге холеры направления к пробам, отобранным в одном учреждении, оформляют списком, а результаты исследований - одним протоколом.
При обследовании на вибриононосительство здоровых лиц и при исследовании на холеру объектов окружающей среды групповые формы направлений и протоколов с результатами исследований допускаются как при эпидемиологическом надзоре, так и в очаге холеры.
Регистрацию поступивших на исследование проб и результатов исследования клинического материала и объектов окружающей среды ведут по установленным формам (
приложения 6,
7 к настоящим МУК). Обязательным является ведение рабочих журналов, в которых фиксируется ход анализа: журнала идентификации (
приложения 8,
9 к настоящим МУК) и регистрации выделенных культур (
приложение 10 к настоящим МУК). На все выделенные культуры оформляют паспорт штамма по рекомендуемому образцу (
приложение 11 к настоящим МУК).
Ответ о положительном результате исследования на холеру может быть предварительным и окончательным.
Предварительный положительный ответ выдают:
- на этапе исследования проб нативного материала или после его подращивания в пептонной воде по результатам ускоренной диагностики (МФА, ПЦР и др.);
- на этапе отбора подозрительных на холерный вибрион колоний (характерные морфологические признаки и наличие индофенолоксидазы) по результатам слайд-агглютинации с сыворотками холерными диагностическими 01 и 0139 и (или) по положительным результатам ускоренной диагностики (ПЦР, МФА, РИВ, и при наличии ИХА, ИФА/ИХА-тест на холерный токсин) или по результатам идентификации с помощью MALDI-ToF масс-спектрометрии (при наличии масс-спектрометра).
Предварительный ответ, в случаях проведения срочных анализов, сообщают устно и только при совпадении результатов не менее двух методов.
В условиях эпидемии холеры после идентификации первых культур такой ответ дает право на проведение противоэпидемических мероприятий.
Окончательный положительный ответ выдают:
- по результатам идентификации выделенной культуры через 36 - 48 ч (при определении гемолитической активности через 60 - 72 ч);
- во время проведения исследований в очаге заболеваний холерой, когда первые культуры холерных вибрионов уже идентифицированы по полной схеме, допустимо давать окончательный ответ по результатам определения характерных морфологических признаков (грамотрицательные аспорогенные полиморфные прямые или слегка изогнутые палочки); по результатам слайд-агглютинации с сыворотками холерными диагностическими 01 (Огава, Инаба), 0139 и RO; при наличии индофенолоксидазы, подвижности и по положительным результатам ускоренных (экспрессных) методов (ПЦР, МФА, РИВ).
Отрицательный ответ может быть дан только по окончании исследования по схеме через 36 - 48 часов в условиях круглосуточного режима работы. При осуществлении эпидемиологического надзора в условиях односменной работы лаборатории, допускающей использование теллурита калия, продолжительность анализа увеличивается до 3 - 4 суток. Не допускается выдача отрицательных ответов как в условиях эпидемии холеры, так и при проведении эпидемиологического надзора по результатам ускоренной диагностики (ПЦР, МФА, РИВ, ИХ, ИФА/ИХА-тест и др.) до окончания бактериологических исследований. Схема выдачи ответов представлена на
рисунке 3.
Рисунок 3. Схема выдачи результатов исследования на холеру
При массовых заболеваниях в установленном очаге холеры с целью оперативного лабораторного обеспечения организации и проведения противоэпидемических (профилактических) мероприятий, предотвращения необоснованной перегрузки лабораторной службы:
- нативный материал от больного (с подозрением на холеру), контактного отбирается однократно до начала этиотропной терапии и экстренной профилактики;
- проводится однократное ПЦР-исследование отобранных клинических образцов. При отрицательных результатах ПЦР бактериологическое исследование не проводится.
Положительные результаты ПЦР-анализа клинического материала от больных (с подозрением) и контактных при проведении массовых исследований в условиях эпидемии холеры следует считать окончательными для постановки лабораторного диагноза и основанием для оперативной организации и проведения противоэпидемических (профилактических) мероприятий.
На основании данных эпидемиологического обследования, а также при регистрации в очаге новых подозрительных случаев заболевания холерой в срок больше инкубационного периода (5 суток) от последнего зарегистрированного случая до 10% положительных в ПЦР проб клинического материала подлежат бактериологическому исследованию. Цель - динамическое определение изменчивости по антибиотикорезистентности циркулирующего в очаге возбудителя, быстрое установление новых завозов и оперативное реагирование на их возникновение (коррекция лечения, экстренной профилактики).
При положительных результатах ПЦР проводится бактериологическое исследование на холеру.
Идентификацию выделенной культуры проводят по сокращенной схеме: СА - слайд-агглютинация (агглютинирующие сыворотки 01, Огава, Инаба), тест на индофенолоксидазу (ОКСИ-тест), ПЦР (wbe, ctxAB, tcpAB), ИХА (при наличии). Определяют антибиотикограммы (для коррекции экстренной профилактики и лечения), а также молекулярно-генетическое исследование выделенной культуры - секвенирование, при возможности проведение MLVA-, INDEL-типирования для определения генетических особенностей, установления вероятных направлений завоза и распространения.
Лабораторный диагноз холеры устанавливают по результатам идентификации выделенной культуры по сокращенной схеме: СА - слайд-агглютинация (агглютинирующие сыворотки 01, Огава, Инаба), тест на индофенолоксидазу (ОКСИ-тест), ПЦР (wbe, ctx, tcp), ИХА, что позволяет оперативно установить новый(е) завоз(ы), провести коррекцию этиотропного лечения и экстренной профилактики.
При массовых заболеваниях контроль при выписке: 3 отрицательных ПЦР-анализа.
V. Методы изучения свойств холерных вибрионов
Методы выявления антигенов V. cholerae 01 и 0139 серогрупп
5.1. Агглютинация с холерными диагностическими сыворотками 01 (Инаба, Огава), 0139. Принадлежность холерных вибрионов к 01 или 0139 серогруппе определяют в слайд-агглютинации и (или) в развернутой реакции агглютинации с холерными сыворотками 01, Инаба, Огава, RO и 0139 серогруппы в соответствии с инструкциями по их применению, а также в других реакциях с диагностическими препаратами, предназначенными для ускоренной диагностики холеры и идентификации возбудителя.
Слайд-агглютинацию ставят на обезжиренном стекле, помещенном в чашку Петри или на дне самой чашки, используя подозрительную на холерный вибрион колонию и (или) агаровую 12 - 18-ч культуру и сыворотки холерной 01 в разведении 1:50 - 1:100. Сыворотку холерную 0139 разводят в соответствии с указанием на этикетке. Реакции сопровождают контролями культуры в 0,9%-м растворе хлорида натрия.
Развернутую реакцию агглютинации ставят и учитывают по общепринятой методике в соответствии с инструкцией по применению сывороток диагностических холерных.
Для исключения спонтанной агглютинации рекомендуется ставить развернутую реакцию в 0,3%-м растворе хлорида натрия.
Диагностические сыворотки двукратно разводят 0,3%-м раствором хлорида натрия в объеме 0,5 мл соответственно величине диагностического титра. Суспензию изучаемой культуры готовят в этом же растворе с концентрацией 3 x 109 - 5 x 109 м.к./мл в объеме 8 - 10 мл. Взвесь выдерживают при комнатной температуре в течение 1,0 - 1,5 ч. В реакции используют поверхностный слой микробной взвеси, разведенной 0,3% раствором натрия хлорида до концентрации 1 x 109 м.к./мл, вносят по 0,5 мл во все разведения сыворотки и контроль культуры (0,5 мл 0,3% раствора натрия хлорида + 0,5 мл взвеси культуры). Учет и оценка результатов аналогичны основному варианту развернутой реакции.
5.2. Метод флюоресцирующих антител или реакция иммунофлюоресценции, МФА (РИФ) дает возможность ускоренно выявить возбудитель холеры 01 и 0139 серогрупп при содержании его в исследуемом материале не менее чем 105 м.к./мл. Исследованию подлежат выделенная культура, нативный материал (испражнения и рвотные массы) и материал после подращивания.
Порядок приготовления мазков, окраска их флюоресцирующими иммуноглобулинами, микроскопия и оценка результатов, являющиеся общими для всех бактерий, описаны в инструкциях по применению иммуноглобулинов диагностических флюоресцирующих холерных адсорбированных лошадиных сухих.
Положительный результат может быть получен через 1,5 - 2,0 ч от начала исследования.
При просмотре мазков, окрашенных иммуноглобулинами холерными флюоресцирующими, особое внимание следует обращать на морфологию светящихся микробных клеток, т.к. в отдельных случаях в мазках из фекалий здоровых людей может наблюдаться свечение микроорганизмов, отличающихся по морфологии от вибрионов (грубые крупные палочки, кокки).
5.3. Реакция иммобилизации вибрионов с использованием диагностических холерных сывороток 01 и 0139. РИВ дает возможность обнаружить возбудителя в течение нескольких минут при концентрации его в исследуемом материале не менее 105 м.к/мл. На предметное стекло пипеткой или петлей наносят две капли испражнений, рвотных масс или поверхностного слоя среды обогащения. Первую каплю накрывают покровным стеклом (контроль), ко второй добавляют каплю сыворотки холерной 01 в разведении 1:50, перемешивают и накрывают покровным стеклом. Раздавленную каплю смотрят под микроскопом при увеличении x400 - 600, используя фазово-контрастное устройство или конденсор темного поля.
При наличии в исследуемом образце холерных вибрионов в первой капле наблюдают характерную подвижность, во второй - иммобилизацию отдельных микробных клеток и образование неподвижных микроагглютинатов немедленно или в течение 1 - 2 мин. В случае неспецифического взаимодействия с диагностическими сыворотками наблюдается образование мелких подвижных конгломератов при активной подвижности отдельных клеток.
РИВ специфична и позволяет дать первый сигнальный ответ через 15 - 20 мин от начала исследования нативного материала. При отрицательном результате исследование повторяют после подращивания в 1%-й пептонной воде.
В случае отрицательного результата необходимо провести аналогичное исследование с холерной сывороткой 0139 серогруппы, которую разводят 1:5.
5.4. Мембранно-иммунохроматографический анализ (далее - ИХА). Определение принадлежности холерного вибриона к 01 серогруппе с помощью зарегистрированного набора реагентов проводят в соответствии с инструкцией по его применению. Набор реагентов обеспечивает выявление и идентификацию микробных клеток V. cholerae 01: в микробной суспензии, приготовленной на физиологическом растворе из выращенной на твердых питательных средах при температуре (37 +/- 1) °C в течение 18 часов культуры V. cholerae; в бульонной культуре, полученной при выращивании исследуемой культуры на жидких питательных средах при температуре (37 +/- 1) °C в течение 3 часов. Метод ИХА обеспечивает выявление в течение 15 - 20 мин V. cholerae 01 в концентрации от 1 x 108 м.к./мл.
5.5. Серологическая идентификация V. cholerae 01 и 0139 (in vitro) с помощью иммуноглобулинов моноклональных диагностических. Осуществляется с помощью наборов реагентов в соответствии с инструкцией к препаратам.
5.6. Определение генов, отвечающих за синтез 01 и 0139 антигенов. Для проведения исследования используют метод ПЦР и зарегистрированные в установленном порядке наборы реагентов. Детекцию нуклеиновой кислоты и учет результатов проводят в соответствии с инструкциями к препаратам.
Биохимические свойства
5.7. Биохимическую активность холерного вибриона изучают, используя коммерческие среды, зарегистрированные питательные среды и тест-системы или питательные среды лабораторного приготовления в случае отсутствия их промышленных аналогов.
Определение индофенолоксидазы. Для определения индофенолоксидазы используют зарегистрированный в установленном порядке тест. На тест-полоску, помещенную в чашку Петри, наносят платиновой петлей (но не хромникелевой) или одноразовой небольшое количество испытуемой культуры. При этом противоположный конец теста придерживают пинцетом. Появление синего окрашивания свидетельствует о наличии индофенолоксидазы в исследуемой культуре. Для постановки пробы на оксидазу используют тест-полоски из зарегистрированных наборов в соответствии с прилагаемыми инструкциями по применению. Допустимо использование помещенной в чашку Петри полоски фильтровальной бумаги, пропитанной 2 - 3 каплями 1%-го водного раствора одного из реактивов: 1%-й водный раствор диметил-пара-фенилендиамина, или тетраметил-пара-фенилендиамина (гидрохлорида), или пара-аминодиметиланилина (гидрохлорида или оксалата) в сочетании с 1% спиртовым раствором альфа-нафтола. Культуру наносят на полоску пропитанной реактивом бумаги платиновой петлей, стеклянной или деревянной палочкой и растирают в виде небольшого пятнышка. Через 10 - 30 сек появляется пурпурно-красное окрашивание, свидетельствующее о положительной реакции. Из грамотрицательных бактерий положительную пробу на индофенолоксидазу дают вибрионы, аэромонады, псевдомонады, плезиомонады; отрицательную - все энтеробактерии.
Не следует ставить пробу на оксидазу с культурами на полиуглеводных средах, а также с колониями на селективно-дифференциальных питательных средах.
Учитывая возможную нестойкость реактивов и различную способность вибрионов к образованию оксидазы на различных питательных средах, необходимо ставить положительные и отрицательные контроли с культурами вибрионов или псевдомонад и энтеробактерий.
5.8. Определение типа расщепления глюкозы (тест Хью-Лейфсона). Изучаемую культуру засевают уколом в столбик в две пробирки со средой Хью-Лейфсона. Поверхность среды в одной из пробирок покрывают 0,5 - 1,0 мл стерильного вазелинового масла для создания анаэробных условий. Посевы инкубируют от 1 до 4 суток при температуре (37,0 +/- 0,5) °C. Окисление определяют по желтой окраске среды Хью-Лейфсона только в аэробных, ферментацию - в аэробных и анаэробных условиях роста. Вибрионы расщепляют глюкозу по ферментативному типу, изменяя цвет среды в обеих пробирках.
5.9. Определение декарбоксилазной и дигидролазной активности. В пробирки со средами, содержащими аминокислоты лизин, орнитин, аргинин и контрольную среду без аминокислот, засевают по полной петле 18-часовой культуры и заливают 0,5 - 1,0 мл стерильного вазелинового масла для создания анаэробных условий. Посевы инкубируют при температуре (37,0 +/- 0,5) °C. Учет результатов производят ежедневно, при сомнительном результате - наблюдение до 4 суток. В результате ферментации глюкозы вначале происходит сдвиг pH в кислую сторону, а в дальнейшем при гидролизе аминокислот накапливаются амины и происходит защелачивание среды.
Ферментацию углеводов и многоатомных спиртов (глюкоза, лактоза, манноза, сахароза, арабиноза, маннит, салицин, дульцит, инозит, крахмал и др.) определяют в жидких или полужидких средах Гисса с индикатором бромтимоловым синим, Андреде, BP.
Для посева используют культуру, выращенную в течение 12 - 20 ч на плотной питательной среде или в течение 3 - 4 ч - в жидкой питательной среде. Посевы на средах с углеводами и спиртами инкубируют при (37,0 +/- 0,5) °C и учитывают через 6 - 18 часов.
5.10. Определение протеолитических свойств. Исследуемую 18-часовую культуру засевают уколом в столбик среды с желатином и инкубируют в течение 2 - 3 суток при температурах (22 +/- 0,5) °C или (37,0 +/- 0,5) °C в течение 18 ч. Перед учетом результатов пробирки помещают в холодильник на 20 мин. При положительном результате желатина остается жидкой, а при отрицательном (и в контрольной пробирке) - затвердевает.
5.11. Определение образования индола. Холерные вибрионы при выращивании в питательных средах, содержащих триптофан (пептонная вода, мясопептонный бульон, бульон Хоттингера и др.), расщепляют его с образованием индола, что выявляется с помощью индикаторных полосок или реактива Эрлиха после инкубирования при температуре (37,0 +/- 0,5) °C в течение 18 ч.
5.12. Определение образования сероводорода. Холерные вибрионы не продуцируют фермент тиосульфатредуктазу, т.е. не способны расщеплять неорганические серосодержащие соединения, присутствующие в среде Клиглера и маннозо-сахарозной среде, - это является дифференциальным признаком. Однако они так же, как некоторые другие энтеробактерии, продуцируют фермент цистиндесульфогидролазу, за счет которого способны образовывать сероводород из серосодержащих аминокислот, присутствующих в достаточном количестве в бульоне Хоттингера, мясопептонном бульоне, но отсутствующих или содержащихся в незначительном количестве в 1%-й пептонной воде. Для постановки теста культуры выращивают в 1%-й пептонной воде для определения наличия или отсутствия тиосульфатредуктазы и мясопептонном бульоне для определения цистиндесульфогидролазы при температуре (37,0 +/- 0,5) °C в течение 18 - 20 часов. После посева исследуемой культуры под пробку помещают индикаторную полоску, пропитанную раствором уксуснокислого свинца. Образование сероводорода регистрируют по почернению индикаторной полоски.
5.13. Идентификация культур по биохимической активности с использованием тест-систем и системы индикаторной бумажной. Для определения оксидазы, образования индола и сероводорода, декарбоксилазы лизина или орнитина, дигидролазы аргинина, ферментации углеводов и многоатомных спиртов при идентификации вибрионов можно использовать систему индикаторную бумажную и тест-системы для биохимической идентификации вибрионов согласно инструкции по их применению.
5.14. Выявление способности к биолюминесценции. Изучаемые штаммы засевают в 1%-ю пептонную воду или на пластинки ЩА, инкубируют при температуре (37,0 +/- 0,5) °C в течение 18 часов. Выросшие культуры просматривают в темной комнате. Свечение наблюдают после 5 - 10-минутной адаптации в темноте.
Тесты дифференциации биоваров холерных вибрионов 01
5.15. Постановка реакции Фогес-Проскауэра (на ацетилметилкарбинол). Испытуемую культуру засевают в глюкозо-фосфатный бульон Кларка и инкубируют при температуре (37,0 +/- 0,5) °C в течение 1 - 3 суток. Затем к 1 мл бульонной культуры добавляют 0,6 мл 6%-го спиртового раствора альфа-нафтола и 0,4 мл 40%-го раствора едкого калия. Пробирки встряхивают и помещают в термостат на 1 ч. При положительной реакции среда окрашивается в розовый или ярко-красный цвет.
5.16. Дифференциация биоваров холерных вибрионов 01 серогруппы методом ПЦР. В связи с тем, что в последние годы все чаще выделяют культуры холерных вибрионов, не лизирующиеся холерными диагностическими бактериофагами, а тест дифференциации биоваров (образование ацетилметилкарбинола в реакции Фогес-Проскауэра) не дает однозначного трактования результатов, основным методом определения биовара является ПЦР.
Для проведения исследования используются зарегистрированные генодиагностические препараты. Идентификацию проводят в соответствии с инструкциями по применению.
Тесты межвидовой дифференциации патогенных для человека
вибрионов
5.17. Определение галофильности вибрионов. Суточную агаровую культуру исследуемого штамма засевают в 1%-ю пептонную воду с 3% натрия хлорида. Через 3 - 4 часа инкубации при температуре (37,0 +/- 0,5) °C переносят строго по 1 капле выросшей культуры в пептонную воду без NaCl, с 7% и 10% натрия хлорида. Через 18 - 20 часов инкубации оценивают рост культур по помутнению среды.
К негалофильным относятся V. cholerae и V. mimicus, для размножения которых достаточны следовые количества соли в среде. Вибрионы остальных видов, за исключением некоторых штаммов V. fluvialis и V. metschnikovii, не растут в 1% пептонной воде без добавления натрия хлорида и устойчивы к значительным его концентрациям.
5.18. Определение способности вибрионов к росту при разных температурах. Способность вибрионов к росту при температуре 4, 20, 30, 35, 40, 45 и 50 °C выявляют при посеве суточных культур в 1% пептонную воду с 0,5% натрия хлорида для негалофильных вибрионов и с 1,5 - 2,0% натрия хлорида для галофильных вибрионов. Наличие роста оценивают визуально в сравнении с контролем. Наблюдают за посевами ежедневно в течение 2 недель.
5.19. Определение нитратредуктазы.
5.19.1. Суточную агаровую культуру высевают в 1 мл бульона Хоттингера с 0,1% азотнокислого калия. После 2-х суток инкубации при температуре (37,0 +/- 0,5) °C в посевы добавляют 0,5 мл реактива Грисса. В положительных случаях среда сразу же окрашивается в красный цвет.
5.19.2. К 1 - 2-суточной культуре в бульоне Хоттингера с 0,1% KNO3 добавляют 3 - 5 капель реактива, представляющего собой смесь равных объемов 0,1%-го раствора риванола в дистиллированной воде и 12%-го раствора соляной кислоты. В случае положительной реакции бульон окрашивается в красный цвет.
5.20. Определение бета-галактозидазы. Суточную агаровую культуру высевают на скошенную поверхность агара, содержащего 10% лактозы. Посевы инкубируют 1 - 2 суток при температуре (37 +/- 0,5) °C. Петлю выросшей культуры суспендируют в 0,25 мл 0,9%-го раствора натрия хлорида, добавляют 0,25 мл водного раствора o-нитрофенил-b-D-галактопиранозита (ONPG) и помещают в термостат при (37 +/- 0,5) °C. Реакцию учитывают через 20 мин, 1, 3 и 24 часа. В положительном случае взвесь приобретает желтую окраску, отрицательном - остается бесцветной.
Оценка эпидемической значимости холерных вибрионов
5.21. Основным методом определения эпидемической значимости или токсигенности выделенных культур холерных вибрионов является ПЦР. В бактериологических лабораториях, не имеющих возможности использовать ПЦР, можно поставить пробу Грейга или прямое тестирование продукции холерного токсина (далее - CT) с помощью ИФА или ИХА, в которых используются специфические антитела к CT.
Определение гемолитической активности (по Грейгу). К 1 мл 18 - 24 ч культуры, выращенной в 4 - 5 мл мясопептонного бульона, добавляют 1 мл 1%-й взвеси трижды отмытых эритроцитов барана в 0,9% растворе натрия хлорида. Смесь бульонной культуры и эритроцитов осторожно перемешивают встряхиванием и помещают на 2 часа в термостат при температуре (37,0 +/- 0,5) °C, а затем в холодильник на 18 - 24 ч. Предварительный учет результатов проводят через 2 часа, окончательный - через 18 - 24 ч. При положительной реакции наступает полный или частичный лизис эритроцитов (лаковая кровь). В контроле (1 мл бульона + 1 мл взвеси эритроцитов) гемолиз отсутствует.
Для постановки пробы Грейга может быть использована дефибринированная кровь барана, консервированная борной кислотой или консервантом Алсевера. Консервированные эритроциты сохраняют свои свойства в течение трех месяцев. Перед постановкой пробы на гемолиз дефибринированную кровь центрифугируют при 2 - 3 тыс. об/мин в течение 15 мин. Надосадочную жидкость удаляют, а осевшие эритроциты отмывают 0,9% раствором хлорида натрия 2 - 3 раза с промежуточным центрифугированием до получения прозрачной надосадочной жидкости. Из отмытых эритроцитов приготавливают 1%-ю взвесь в 0,9%-м растворе хлорида натрия, которую можно хранить при температуре 4 °C 2 - 3 дня.
5.22. Определение эпидемической значимости холерных вибрионов на основании выявления генов ctxAB и tcpAB методом ПЦР. Для проведения исследований используют зарегистрированные генодиагностические препараты в соответствии с инструкциями по применению.
5.23. Определение эпидемической опасности холерных вибрионов на основании выявления продукции CT методом ИФА. При исследовании культур холерных вибрионов обязательно проводится предварительное их культивирование в бульоне AKI (авторское наименование) (1,5% бакто-пептона, 0,4% дрожжевого экстракта, 0,5% NaCl, 0,3% NaHCO2) для индукции CT в бульон. Пробы биологического материала могут быть исследованы нативными, поскольку содержат CT, продуцируемый холерными вибрионами в условиях in vivo, либо после предварительного подращивания в бульоне AKI, способствующего увеличению количества CT в пробе, что играет важную роль при анализе материала от вибриононосителей, у которых концентрация возбудителя может быть не выше 1,0 x 102 м.к./мл.
Для определения CT используют зарегистрированный препарат для определения продукции холерного токсина иммуноферментным методом. Работу проводят в соответствии с инструкцией к диагностическому препарату.
5.23.1. Определение продукции CT методом GM1-ELISA (ИФА). Для определения продукции штаммами вибрионов холерного токсина может быть использован метод GM1-ELISA (англ. ganglioside-capture enzyme-linked immunosorbent assay), рекомендованный ВОЗ (Всемирная организация здравоохранения) и CDC (англ. Center for Disease Control and Prevention).
Культивирование холерных вибрионов для индукции холерного токсина в соответствии с рекомендациями CDC.
Три колонии (диаметр 2 - 3 мм) исследуемого штамма или 1/2 петли (N 5) агаровой культуры засевают в стеклянную пробирку, содержащую 10 мл бульона AKI, и инкубируют 3,5 - 4 ч при температуре 30 °C (первичное подращивание). Далее всю культуру переносят во флакон, содержащий 250 мл среды AKI, и инкубируют при температуре 30 °C в течение 17 - 19 ч при постоянном помешивании 250 об/мин на орбитальном термостатируемом шейкере. В полученном бульоне определяют наличие CT.
5.23.2. Определение CT. Для проведения исследований готовят растворы фосфатного-солевого буфера (ФСБ); ФСБ с 1%-м бычьим сывороточным альбумином (БСА); ФСБ с 0,1% БСА; ФСБ с 0,05% твин-20; раствор кислоты лимонной; раствор натрия цитрата; раствор ABTS (англ. 2,2'-azino-bis(3-ethylbenzothiazoline-6-sulphonic acid - диаммониевая соль 2,2-азино-бис(3-этилбензотиазолин-6-сульфоната); 33% раствор перекиси водорода; раствор ганглиозида GM1 в ФСБ; рабочий раствор кроличьей антиэнтеротоксической сыворотки, рабочий раствор антикроличьих антител, меченных пероксидазой хрена; рабочий раствор коммерческого холерного токсина (положительный контроль).
ФСБ: 5 таблеток ФСБ растворяют в 500 мл воды очищенной. Раствор хранят в холодильнике при температуре (5 +/- 3) °C не более 3 суток.
ФСБ с 1%-м БСА: сухую навеску БСА массой 0,5 г смешивают с 50 мл ФСБ, тщательно размешивают. Раствор хранят в холодильнике при температуре (5 +/- 3) °C не более 3 суток.
ФСБ с 0,1%-м БСА: сухую навеску БСА массой 0,05 г смешивают с 50 мл ФСБ, тщательно размешивают. Раствор хранят в холодильнике при температуре (5 +/- 3) °C в течение 3 суток.
ФСБ с 0,05% твин-20: к 300 мл ФСБ добавляют 0,015 мл твин-20 и тщательно перемешивают, не допуская образования пузырей. Раствор хранят в холодильнике при температуре (5 +/- 3) °C не более 3 суток.
Раствор кислоты лимонной: сухую навеску кислоты лимонной массой 0,18 г растворяют в 16,2 мл воды очищенной. Раствор хранят в холодильнике при температуре (5 +/- 3) °C не более 3 суток.
Раствор натрия цитрата: сухую навеску натрия цитрата массой 0,20 г растворяют в 13,8 мл воды очищенной. Раствор хранят в холодильнике при температуре (5 +/- 3) °C не более 3 суток.
Раствор ABTS: сухую навеску диаммониевой соли 2,2'-азино-бис(3-этилбензотиазолин-6-сульфоната массой 0,0067 г растворяют в 0,3 мл воды очищенной. Раствор хранят в холодильнике при температуре (5 +/- 3) °C в течение 3 суток.
33%-й раствор перекиси водорода: таблетку гидроперита растворяют в 4,5 мл воды очищенной при перемешивании в течение 30 мин, получая 33% раствор перекиси водорода. Хранят в плотно укупоренном флаконе в холодильнике при температуре (5 +/- 3) °C не более 3 суток.
Перед постановкой теста готовят рабочие растворы ингредиентов.
Рабочий раствор ганглиозида GM1 в ФСБ: сухую навеску ганглиозида массой 1 мг растворяют в 1 мл ФСБ, получая концентрацию 1 мг/мл. Из этого раствора готовят разведение с концентрацией 1 мкг/мл, для чего в микроцентрифужную пробирку вносят 999 мкл ФСБ и 1 мкл раствора ганглиозида GM1 с концентрацией 1 мг/мл. Для приготовления рабочего разведения ганглиозида GM1 (2 нг/мл) в пробирке extempore смешивают 9980 мкл ФСБ и 20 мкл раствора ганглиозида GM1 в концентрации 1 мкг/мл.
Рабочий раствор кроличьей антиэнтеротоксической сыворотки: к 12 мл ФСБ с 0,1%-м БСА добавляют 1,5 мкл кроличьей антиэнтеротоксической сыворотки (конечное разведение сыворотки 1:8000).
Рабочий раствор антикроличьих антител, меченных пероксидазой хрена: к 15 мл ФСБ с 0,1%-м БСА добавляют 0,5 мкл антикроличьих антител, меченных пероксидазой хрена (конечное разведение антител 1:30000).
Субстратная смесь: субстратную смесь готовят непосредственно перед внесением в лунки. Для этого объединяют 16,2 мл раствора лимонной кислоты и 13,8 мл раствора цитрата натрия, добавляют 0,3 мл раствора ABTS и 15 мкл 33%-ного раствора перекиси водорода.
Рабочий раствор XT (положительный контроль): сухую навеску CT массой 1 мг растворяют в 1000 мкл воды очищенной. Готовят основное разведение XT с конечной концентрацией 1 мкг/мл, для чего смешивают в микроцентрифужной пробирке 999 мкл воды очищенной и 1 мкл раствора CT с концентрацией 1 мг/мл. Для приготовления рабочего разведения XT (20 нг/мл на две лунки) в микроцентрифужной пробирке смешивают 245 мкл воды очищенной и 5 мкл раствора XT с концентрацией 1 мкг/мл.
5.23.3. Проведение анализа. В лунки 96-луночного планшета для постановки ИФА вносят по 100 мкл раствора моносиалоганглиозида GM1 в концентрации 2 нг/мл и проводят сорбцию при температуре 35 - 37 °C в течение 4 часов или при комнатной температуре в течение ночи.
Проводят трехкратную отмывку ФСБ с 0,05% твин-20 по 200 мкл на лунку.
Перед началом анализа проводят блокировку свободных участков связывания ФСБ с 1%-м бычьим сывороточным альбумином (БСА). Блокирующий раствор вносят по 150 мкл на лунку и инкубируют при температуре 37 °C в течение 30 минут. Планшеты отмывают трехкратно ФСБ с 0,05% твин-20 по 200 мкл на лунку.
Затем в лунки вносят по 100 мкл бульонной культуры холерных вибрионов, также в две лунки вносят по 100 мкл рабочего раствора холерного токсина (20 нг/мл) - положительный контроль, и в две лунки - по 100 мкл ФСБ (отрицательный контроль). Планшет инкубируют при температуре 37 °C в течение 1 часа. Затем проводят трехкратную отмывку ФСБ с 0,05% твин-20 по 200 мкл на лунку.
После трехкратной отмывки в лунки вносят по 150 мкл ФСБ с 1%-м БСА и инкубируют при комнатной температуре в течение 30 мин. Затем проводят трехкратную отмывку ФСБ с 0,05% твин-20 по 200 мкл на лунку.
После трехкратной отмывки в лунки вносят по 100 мкл рабочего раствора кроличьей антиэнтеротоксической сыворотки в разведении 1:8000 и инкубируют при температуре 35 °C в течение 1 часа. Затем проводят трехкратную отмывку ФСБ с 0,05% твин-20 по 200 мкл на лунку.
Затем вносят по 100 мкл рабочего раствора антикроличьих антител, меченных пероксидазой хрена в разведении 1:30000 и инкубируют при температуре 35 - 37 °C в течение 1 часа. Затем проводят трехкратную отмывку ФСБ с 0,05% твин-20 по 200 мкл на лунку.
После трехкратной отмывки в лунки вносят по 100 мкл субстратной смеси и инкубируют при комнатной температуре до появления окраски в лунке с положительным контролем в течение 10 - 20 мин. Время инкубации не должно превышать 30 мин. После чего производят учет результатов.
5.23.4. Учет результатов. Учет результатов осуществляют с использованием мультиканального фотометра при длине волны 405 нм. Перед началом учета содержимое лунок перемешивали осторожным постукиванием по планшету до получения гомогенного зелено-голубого раствора.
Реакция подлежала учету при условии появления зелено-голубого окрашивания в лунке с положительным контрольным образцом, а также при отсутствии или наличии слабого зеленоватого окрашивания в отрицательном контроле.
При инструментальном учете измеряют оптическую плотность (ОП) в лунках, рассчитывая среднее арифметическое значение в лунках с отрицательным контрольным образцом - ОПср(К-). Результат анализа считают положительным, если ОПобр >= ОПср(К-) x 2. Результат анализа считают отрицательным, если ОПобр < ОПср(К-) x 2 (ОПобр - оптическая плотность в лунке с анализируемым образцом).
5.24. Определение эпидемической опасности холерных вибрионов на основании прямого выявления CT методом ИХ. Для проведения исследований используют зарегистрированный набор реагентов, предназначенных для ускоренного выявления и идентификации токсигенных штаммов V. cholerae. Набор реагентов обеспечивает выявление и идентификацию холерного токсина при концентрации не ниже 10 нг/мл в питательном бульоне, полученном после культивирования токсигенных штаммов V. cholerae в условиях, обеспечивающих токсинообразование. Работу проводят в соответствии с инструкцией к набору реагентов.
5.25. Молекулярно-генетическое исследование культур V. cholerae проводят с целью:
- определения эпидемической значимости по наличию генов ctxAB и tcpAB;
- подтверждения принадлежности выделенной культуры к виду Vibrio cholerae;
- определения принадлежности к серогруппам 01 или 0139;
- определения биовара выделенного штамма;
- дифференциации Эль Тор вибрионов на типичные штаммы и генетически измененные варианты;
- внутривидового молекулярного типирования методами: мультилокусного тандемного повтора с переменным числом - MLVA (англ. Multiple Loci VNTR Variable number tandem repeat Analysis); INDEL-анализа (англ. INsertion-DELetion), направленного на определение вставок-делеций;
- анализа генетических маркеров островов патогенности, пандемичности, персистенции;
- мультилокусного сиквенс-анализа генов жизнеобеспечения - MLST (англ. Multilocus sequence typing) (далее - MLST);
- анализа единичных нуклеотидных замен на основе данных полногеномного секвенирования - SNP (англ. Single Nucleotide Polymorphisms) (далее - SNP);
- электрофореза в пульсирующем геле - PFGE (англ. Pulsed-field gel electrophoresis) (далее - PFGE).
Определение типа аллеля
ctxB гена у исследуемых культур вибрионов проводят методом секвенирования. При этом анализ данных секвенирования может быть проведен с помощью специальных программ
<31>. Для быстрого определения измененных по
ctxB гену штаммов возбудителя холеры биовара Эль Тор могут быть использованы зарегистрированные наборы реагентов, основанные на технологии MAMA (англ. Mismatch Amplification Mutation Assay).
--------------------------------
<31> http://antiplague.ru/seqanalyzer - пример программы для анализа данных секвенирования (в свободном доступе).
Метод матричной лазерной пролетной масс-спектрометрии
(MALDI-ToF масс-спектрометрия)
5.26. В лабораториях регионального и федерального уровней при изучении свойств холерных вибрионов может быть использован MALDI-ToF масс-спектрометрический анализ, позволяющий проводить исследование профиля константных белков микробной клетки.
Учитывая конструкционные и эксплуатационные характеристики масс-спектрометра, не предусматривающие возможности проведения пользователем деконтаминации и дезинфекции внутренних рабочих поверхностей и пространств прибора, работу с материалом, подозрительным на зараженность ПБА II группы патогенности, необходимо осуществлять в БМБ II класса
<32> (только после предварительной экстракции белков, при которой одновременно происходит и обеззараживание исследуемого образца).
--------------------------------
Способ экстракции белков. В микропробирку объемом 1,5 мл с 300 мкл деионизованной воды вносят одну петлю (диаметром 1 мм) исследуемой культуры. Культуру тщательно суспендируют, к суспензии добавляют 900 мкл 96% этилового спирта и инкубируют в течение 30 мин. Полученную смесь перемешивают на микроцентрифуге-вортексе не менее одной минуты. Пробирки помещают в центрифугу (необходимо сохранять ориентацию пробирок после помещения их в ротор) и центрифугируют в течение 2 мин при 13 тыс. об/мин.
Полученный супернатант аккуратно отбирают одноразовым наконечником и сливают в емкость с дезинфицирующим раствором. Затем пробирки повторно центрифугируют в течение 2 минут при 13 тыс. об/мин: супернатант аккуратно отбирают одноразовым наконечником и сливают в емкость с дезинфицирующим раствором. К осадку добавляют 50 мкл 70%-го водного раствора муравьиной кислоты, полученную смесь тщательно перемешивают пипетированием или на микроцентрифуге-вортексе. После перемешивания к суспензии добавляют равный объем ацетонитрила и смесь повторно тщательно перемешивают пипетированием. Полученную суспензию центрифугируют в течение 2 минут при 13 тыс. об/мин. Супернатант отбирают в микропробирку, не задевая осадка, и используют для исследований на масс-спектрометре в соответствии с методическими документами
<33>.
--------------------------------
<33>
МР 4.2.0089-14 "Использование метола времяпролетной масс-спектрометрии с матрично-активированной лазерной десорбцией/ионизацией (MALDI-ToF MS) для индикации и идентификации возбудителей I - II групп патогенности", утвержденные руководителем Федеральной службы по надзору в сфере защиты прав потребителей и благополучия человека, Главным государственным санитарным врачом Российской Федерации 24.04.2014 (далее -
МР 4.2.0089-14).
После проведения мероприятий по заключительной дезинфекции рабочей зоны бокса 70%-м спиртом чип с нанесенными на него образцами может быть перенесен в "чистую" зону для дальнейшего анализа.
Оценка антибиотикочувствительности холерных вибрионов
5.27. Чувствительность холерных вибрионов к антибиотикам определяют количественным методом серийных разведений в агаре (далее - МСР) и диско-диффузионным методом (далее - ДДМ) в соответствии с методическими
указаниями <34>.
--------------------------------
<34>
МУК 4.2.2495-09 "Определение чувствительности возбудителей опасных бактериальных инфекций (чума, сибирская язва, холера, туляремия, бруцеллез, сап, мелиоидоз) к антибактериальным препаратам", утвержденные руководителем Федеральной службы по надзору в сфере защиты прав потребителей и благополучия человека, Главным государственным санитарным врачом Российской Федерации 01.04.2009 (далее -
МУК 4.2.2495-09).
Для стандартизации условий определения чувствительности к антибиотикам используют в качестве контроля референс-штамм
V. cholerae non 01/non 0139 KM 162 (P-9741). В качестве контрольного может быть также использован и референс-штамм
Escherichia coli ATCC 25922, рекомендованный для определения антибиотикочувствительности неприхотливых бактерий. Допустимые диапазоны значений МПК (минимальная подавляющая концентрация) для контрольных штаммов представлены в
таблице 6. Допустимые колебания диаметров зон подавления роста для контрольных штаммов отражены в
таблице 7. Если значения диаметров или МПК контрольных штаммов находятся в определенных пределах, то полученные результаты можно учитывать.
Таблица 6
Допустимые колебания значений МПК антибактериальных
препаратов для контрольных штаммов E. coli ATCC 25922
и V. cholerae non 01/non 0139 KM 162
Антибактериальный препарат | Диапазон значений МПК, мг/л |
агар Мюллера-Хинтона pH 7,3 +/- 0,2 | агар Хоттингера pH 7,2 +/- 0,1 |
E. coli ATCC 25922 | V. cholerae non 01/ non 0139 KM 162 | E. coli ATCC 25922 | V. cholerae non 01/non 0139 KM 162 |
1 | 2 | 3 | 4 | 5 |
Доксициклин | 0,5 - 2,0 | 0,25 - 1,0 | 0,5 - 2,0 | 0,25 - 1,0 |
Тетрациклин | 0,5 - 2,0 | 0,5 - 1,0 | 0,5 - 2,0 | 0,5 - 1,0 |
Левомицетин | 2 - 8 | 1 - 4 | 2 - 8 | 1 - 4 |
Налидиксовая кислота | 1 - 4 | 1 - 4 | 1 - 4 | 0,5 - 2,0 |
Ципрофлоксацин | 0,004 - 0,016 | 0,001 - 0,06 | 0,004 - 0,03 | 0,001 - 0,03 |
Рифампицин | 4 - 16 | 1 - 4 | 4 - 16 | 1 - 4 |
Стрептомицин | 4 - 8 | 4 - 8 | 2 - 8 | 4 - 8 |
Гентамицин | 0,25 - 1,0 | 1 - 2 | 0,25 - 1,0 | 1 - 2 |
Канамицин | 1 - 4 | 4 - 16 | 1 - 4 | 2 - 8 |
Ампициллин | 2 - 8 | 2 - 8 | 2 - 8 | 2 - 8 |
Цефотаксим (цефтриаксон) | 0,03 - 0,12 | 0,016 - 0,06 | 0,03 - 0,12 | 0,008 - 0,06 |
Фуразолидон | 4 - 16 | 2 - 8 | 4 - 16 | 2 - 8 |
Триметоприм/сульфаметоксазол | 0,5/9,5 | 1/19 - 2/38 | 0,5/9,5 | 1/19 - 2/38 |
Таблица 7
Допустимые колебания значений диаметров зон подавления роста
для контрольных штаммов E. coli ATCC 25922 и V. cholerae non
01/non 0139 KM 162
Антибактериальный препарат | Содержание препарата в диске, мкг | Диаметр зон подавления роста, мм |
агар Мюллера-Хинтона pH 7,3 +/- 0,2 | агар Хоттингера pH 7,2 +/- 0,1 | АГВ pH 7,4 +/- 0,2 |
E. coli ATCC 25922 | V. cholerae non 01/non 0139 KM 162 | E. coli ATCC 25922 | V. cholerae non 01/non 0139 KM 162 | E. coli ATCC 25922 | V. cholerae non 01/non 0139 KM 162 |
1 | 2 | 3 | 4 | 5 | 6 | 7 | 8 |
Доксициклин | 10 | 16 - 19 | 20 - 30 | 16 - 19 | 20 - 25 | 16 - 19 | 20 - 25 |
Тетрациклин | 30 | 18 - 25 | 25 - 30 | 18 - 25 | 23 - 29 | 18 - 26 | 20 - 25 |
Левомицетин | 30 | 21 - 27 | 25 - 30 | 21 - 27 | 25 - 30 | 19 - 27 | 25 - 30 |
Налидиксовая кислота | 30 | 22 - 28 | 25 - 32 | 22 - 28 | 25 - 32 | 22 - 28 | 25 - 32 |
Ципрофлоксацин | 5 | 30 - 40 | 30 - 40 | 30 - 40 | 30 - 40 | 30 - 40 | 30 - 40 |
Рифампицин | 5 | 8 - 10 | 21 - 27 | 8 - 15 | 20 - 27 | 7 - 11 | 20 - 27 |
Стрептомицин | 30 | 15 - 20 | 17 - 20 | 17 - 25 | 17 - 25 | 14 - 19 | 18 - 25 |
Гентамицин | 10 | 19 - 26 | 21 - 25 | 19 - 26 | 21 - 30 | 21 - 30 | 21 - 30 |
Канамицин | 30 | 17 - 25 | 20 - 25 | 17 - 25 | 18 - 25 | 15 - 19 | 18 - 25 |
Ампициллин | 10 | 16 - 22 | 16 - 22 | 16 - 22 | 16 - 22 | 16 - 22 | 16 - 22 |
Цефотаксим | 30 | 29 - 35 | 30 - 40 | 29 - 35 | 30 - 40 | 29 - 35 | 30 - 40 |
Цефтриаксон | 30 | 29 - 35 | 30 - 40 | 29 - 35 | 30 - 40 | 29 - 35 | 30 - 40 |
Фуразолидон | 300 | 20 - 25 | 18 - 25 | 20 - 25 | 18 - 25 | 22 - 29 | 18 - 25 |
Триметоприм/сульфаметоксазол | 1,25/23,75 | 23 - 29 | 20 - 25 | 19 - 25 | 21 - 28 | 19 - 25 | 21 - 28 |
Для определения чувствительности холерных вибрионов к антибактериальным препаратам обоими методами (МСР и ДДМ) может быть использован агар Мюллера-Хинтона (Muller-Hinton), pH 7,3 +/- 0,2 или агар Хоттингера, pH 7,2 +/- 0,1 (1,2 - 1,4 г/л аминного азота, 1,5 - 2% агара) и для ДДМ дополнительно агар Гивенталя-Ведьминой (АГВ), pH 7,4 +/- 0,2. Прежде чем использовать в работе серии питательных сред, необходимо оценить соответствие значений МПК и диаметров зон подавления роста (это и контроль качества дисков) на используемой среде допустимым колебаниям величин этих показателей для контрольных штаммов микроорганизмов.
Для определения чувствительности/устойчивости холерных вибрионов используют антибактериальные препараты, рекомендованные методическими
указаниями <35> для экстренной профилактики и лечения холеры.
--------------------------------
Препараты первого ряда - основные препараты, к которым определяют чувствительность/устойчивость холерного вибриона при выделении возбудителя от больного: доксициклин, ципрофлоксацин (или офлоксацин, пефлоксацин), триметоприм/сульфаметоксазол (или триметоприм/сульфамонометоксин), фуразолидон, гентамицин, налидиксовая кислота. Включение налидиксовой кислоты в число препаратов первого ряда определяется рекомендациями ВОЗ в связи с тем, что резистентность к этому препарату (МПК >= 128 мг/л) может сопровождаться повышением значений МПК фторхинолонов в 10 - 40 раз и приводить к снижению их эффективности.
Препараты второго ряда, чувствительность/устойчивость к которым может служить целям дополнительного выбора препарата, одним из эпидемиологических маркеров для выявления источника, отслеживания путей распространения инфекции и контроля изменения антибиотикограммы возбудителя в ходе эпидемического процесса: тетрациклин, левомицетин, ампициллин, стрептомицин, канамицин, рифампицин, цефтриаксон или цефотаксим.
Для МСР в плотной питательной среде выбирают серии двукратно увеличивающихся концентраций антибактериальных препаратов в соответствии с пограничными значениями МПК для чувствительных и устойчивых культур холерного вибриона на агаре Мюллера-Хинтона или агаре Хоттингера
(таблица 6).
Препараты первого ряда:
- доксициклин 1 - 2 - 4 - 8 мг/л;
- ципрофлоксацин (или офлоксацин, пефлоксацин) 0,06 - 0,125 - 0,25 - 0,5 - 1 мг/л;
- налидиксовая кислота 2 - 4 - 8 - 16 мг/л;
- триметоприм/сульфаметоксазол (или триметоприм/сульфамонометоксин) 1 - 2 - 4 - 8 мг/л (по триметоприму);
- фуразолидон 2 - 4 - 8 - 16 мг/л;
- гентамицин 2 - 4 - 8 - 16 мг/л.
Препараты второго ряда:
- тетрациклин 2 - 4 - 8 - 16 мг/л;
- левомицетин 2 - 4 - 8 - 16 мг/л;
- цефотаксим (или цефтриаксон) 0,5 - 1 - 2 - 4 мг/л;
- ампициллин 2 - 4 - 8 - 16 мг/л;
- стрептомицин 8 - 16 - 32 - 64 мг/л;
- канамицин 8 - 16 - 32 - 64 мг/л;
- рифампицин 2 - 4 - 8 - 16 мг/л.
Для постановки ДДМ используют проверенные коммерческие диски с определенными концентрациями антибактериальных препаратов.
5.28. Метод серийных разведений в агаре. Метод серийных разведений для оценки антибиотикочувствительности включает следующие этапы:
- приготовление растворов антибиотиков;
- приготовление питательных сред с антибиотиками;
- приготовление суспензии исследуемого микроорганизма, ее стандартизация и инокуляция;
- инкубация;
- учет и интерпретация результатов.
5.28.1. Приготовление растворов антибиотиков. Различают основные растворы антибиотиков - пригодные для хранения и рабочие - используемые "ex tempore" (тотчас же) для приготовления питательных сред. Для приготовления основных растворов антибиотиков предпочтительно использовать субстанции препаратов с известной активностью. Допускается использование готовых инъекционных лекарственных форм препаратов, оральные лекарственные формы не пригодны. Для приготовления навесок антибиотиков необходимо использовать аналитические весы или другие равного класса точности.
5.28.2. Основные растворы антибиотиков готовят в концентрации 1000,0 мкг/мл и выше. Навески антибиотиков для приготовления основных растворов готовят с учетом их активности.
Расчет навески антибактериального препарата (далее - АБП) для приготовления основного раствора проводят по
формуле (1):

(1)
где mАБтеор - расчетная (теоретическая) навеска АБП, мг;
C - необходимая концентрация АБП, мкг/мл;
Vтеор - объем растворителя для растворения теоретической навески, мл;
A - активность АБП (количество активного вещества, содержащегося в субстанции), мкг/мг.
Взвесить точно расчетное количество порошка практически невозможно. Поэтому готовят близкую к расчетной навеску, а затем пересчитывают количество необходимого растворителя по
формуле (2):

(2)
где Vпракт - объем растворителя для растворения практической навески, мл;
mАБпракт - полученная навеска АБП, мг;
mАБтеор - расчетная (теоретическая) навеска АБП, мг;
Vтеор - объем растворителя для растворения теоретической навески, мл.
Различия в растворимости АБП определяют необходимость использования растворителей (солюбилизаторов) в минимальном объеме и необходимого количества разбавителя (дистиллированная вода). Для растворения тетрациклинов, рифампицина, фуразолидона используют димексид, левомицетин растворяют в 96°-м спирте. Приготовление основных растворов налидиксовой кислоты и фторхинолонов проводят в 1/2 от необходимого объема дистиллированной воды с добавлением по капле 0,1 М KOH до полного растворения препаратов с последующим доведением растворителя до расчетного объема. Растворителем и разбавителем для других АБП служит дистиллированная вода.
5.28.3. Приготовление питательных сред с антибиотиками. Рабочие растворы АБП готовят на дистиллированной воде в концентрациях, необходимых для внесения в расплавленный и остуженный (до 48 - 50 °C) агар (20 мл на одну чашку Петри) для получения в нем двукратно увеличивающихся концентраций препарата (например: 1 - 2 - 4 - 8 - 16 - 32 мг/л). В зависимости от необходимого количества чашек Петри с АБП каждой из концентраций используют мерные широкогорлые флаконы на 50 - 100 мл, в которые наливают агар в объеме 20 - 40 мл и т.д. и добавляют раствор АБП (начиная с наименьшей концентрации), интенсивно размешивают и выливают в чашки Петри, на которых указана концентрация АБП. Контролем служит агаровая чашка без АБП. После застывания агара в чашках и их подсушивания на дне чашки делают надписи: дата посева, вид возбудителя, номер исследуемых культур.
5.28.4. Приготовление суспензии. Взвесь агаровых культур в концентрации 109 м.к./мл готовят в стерильном 0,85% растворе хлорида натрия. Концентрация вибрионов в суспензии для инокуляции должна быть 107 м.к./мл.
Испытуемые суспензии культур наносят на поверхность питательного агара без АБП (контроль) и с АБП (начиная с наименьшей концентрации) каплями легким касанием пипетки (~ 0,005 мл) или с помощью штампа-репликатора (~ 0,001 мл). Одновременно можно изучать до 25 - 50 культур, обязательно включая в качестве контрольных референс-штаммы, что подтверждает достоверность результатов антибиотикограммы.
После полного впитывания капель суспензий в агар чашки переворачивают вверх дном и инкубируют при 37 °C в течение 18 ч.
5.28.5. Учет и интерпретация результатов. Учет результатов проводят после появления роста тестируемых культур на агаре без АБП и при условии, что значения МПК для контрольных штаммов укладываются в рекомендуемый диапазон значений этого показателя для испытуемых АБП. За МПК принимают концентрацию, вызвавшую полную ингибицию видимого роста. Для дифференцирования нежного роста от налета, оставшегося после инокулята, в ряде случаев целесообразно использовать увеличение.
При росте нескольких колоний или образовании "прозоны" исследование необходимо повторить, обратив особое внимание на чистоту культуры. В ряде случаев целесообразно получить субкультуру из единичных колоний, выросших на чашках с концентрацией антибиотика выше, чем явная МПК, и провести ее идентификацию.
Интерпретацию результатов проводят с учетом данных, приведенных в
таблице 8, с отнесением штаммов к "чувствительным", "устойчивым" или "промежуточным".
5.29. Диско-диффузионный метод. Постановка диско-диффузионного метода включает следующие этапы:
- приготовление питательных сред;
- приготовление суспензии микроорганизма и инокуляция;
- наложение дисков и инкубация;
- учет и интерпретация результатов.
Для получения достоверных результатов при постановке диско-диффузионного метода необходимо соблюдать правила хранения и использования коммерческих дисков. В противном случае содержание в них антибиотиков может упасть ниже допустимого уровня (прежде всего в результате увлажнения) еще до истечения срока годности. Диски должны храниться при температуре 4 - 8 °C плотно укупоренными. Для дополнительной гарантии защиты от увлажнения во флаконах коммерческих дисков содержится силикагель. Флаконы с дисками следует извлекать из холодильника за 1 ч до начала работы и выдерживать закрытыми при комнатной температуре, что обеспечит выравнивание температуры дисков и окружающей среды и, соответственно, предотвратит образование конденсата влаги после открывания флаконов.
5.29.1. Приготовление чашек с питательной средой. Плотную питательную среду готовят в соответствии с инструкцией изготовителя. Перед заполнением расплавленной средой чашки Петри устанавливают на строго горизонтальную поверхность (выверенную по уровню, без впадин и выпуклостей). Глубина агарового слоя в чашке должна быть 4,0 мм, что достигается внесением 25 - 30 мл расплавленного агара в чашку диаметром 100 мм. Размер и форма зоны ингибиции роста зависят от глубины и равномерности агарового слоя.
После заполнения чашки оставляют при комнатной температуре для застывания. Свежеприготовленные чашки перед инокуляцией культуры необходимо подсушить при (37 +/- 1) °C в течение 10 - 20 мин с приоткрытой крышкой.
Чашки с агаром можно хранить в запаянных полиэтиленовых пакетах при (4 - 8) °C в течение 7 - 10 суток. Перед использованием их также необходимо подсушить в течение 10 - 20 мин при температуре (37 +/- 1) °C с приоткрытой крышкой.
Перед инокуляцией необходимо проконтролировать отсутствие конденсата жидкости на внутренней поверхности крышек.
5.29.2. Приготовление суспензии и инокуляция. Суспензию микробных клеток в 0,9%-м изотоническом растворе хлорида натрия из 16 - 18 часовой агаровой культуры возбудителя, стандартизированную по оптическому отраслевому стандарту мутности бактериальных взвесей, калиброванному в международных единицах (МЕ) - 5 МЕ и с действующим сроком годности. Наносят на поверхность агара в объеме 0,2 - 0,3 мл (~ n x 107 КОЕ) и равномерно распределяют шпателем.
5.29.3. Наложение дисков и инкубация. Не позднее чем через 15 мин после инокуляции на поверхность питательной среды наносят диски с антибиотиками.
Диски наносят с помощью автоматического диспенсора или стерильным пинцетом. Расстояние от диска до края чашки и между дисками должно быть не менее 15 - 20 мм. Таким образом, на одну чашку диаметром 100 мм следует помещать не более 6 дисков. Диски должны равномерно контактировать с поверхностью агара, для чего их следует аккуратно прижать пинцетом.
Непосредственно после наложения дисков чашки помещают в термостат кверху дном и инкубируют 14 - 18 ч при температуре (37 +/- 1) °C. Увеличение интервала между нанесением дисков на поверхность среды и началом инкубации, а соответственно и пролиферации микроорганизма приводит к "преддиффузии" антибиотика и увеличению диаметра зоны ингибиции роста.
5.29.4. Учет результатов. После окончания инкубации чашки помещают кверху дном на темную матовую поверхность так, чтобы свет настольной лампы падал на них под углом в 45° (учет в отраженном свете). Диаметр зон задержки роста с учетом диаметра самого диска измеряют с точностью до 1 мм, при этом предпочтительнее пользоваться штангенциркулем или кронциркулем. При измерении зон задержки роста следует ориентироваться на полную ингибицию видимого роста. Не следует обращать внимания на очень мелкие колонии, выявляемые в пределах зоны задержки роста только при особых условиях освещения или увеличении, и на едва заметный налет у края зоны. Крупные колонии, выявляемые в пределах четкой зоны ингибиции роста, свидетельствуют о наличии посторонней микрофлоры или о гетерорезистентности популяции. В этом случае необходима повторная идентификация и повторение исследования на антибиотикочувствительность.
При оценке чувствительности к сульфаниламидам и их комбинации с триметопримом границу зоны ингибиции роста следует учитывать на уровне ингибиции роста на 80%. Это связано с тем, что под воздействием этих препаратов перед полной ингибицией роста возможно завершение 1 - 2 циклов пролиферации микроорганизма.
5.30. Критерии оценки чувствительности/устойчивости холерного вибриона к антибактериальным препаратам. Интерпретацию результатов по определению чувствительности культур холерного вибриона проводят в соответствии с пограничными значениями МПК и диаметрами зон подавления роста возбудителя, с учетом диапазона значений для 50 антибиотикочувствительных штаммов V. cholerae classical и El Tor in-vitro.
В
таблице 8 даны пограничные значения МПК и диаметров зон подавления роста для чувствительных и устойчивых культур на агаре Мюллера-Хинтона, агаре Хоттингера и для ДДМ - дополнительно на АГВ. Между этими показателями находятся значения для культур с промежуточной устойчивостью. Необходимо учитывать также результаты определения МПК и диаметры зон подавления роста для контрольных штаммов на используемой серии питательной среды.
Таблица 8
Критерии интерпретации результатов определения
чувствительности V. cholerae 01 и 0139 серогрупп:
пограничные значения диаметров зон подавления роста и МПК
антибактериальных препаратов
Антибактериальный препарат | Содержание в диске, мкг | Диаметр зон подавления роста, мм | Значение МПК, мг/л |
S* | R* | S* | R* |
1 | 2 | 3 | 4 | 5 | 6 |
Доксициклин | 10 | >= 19 | <= 17 | <= 2,0 | >= 4,0 |
Тетрациклин | 30 | >= 19 | <= 17 | <= 4,0 | >= 8,0 |
Левомицетин | 30 | >= 23 | <= 19 | <= 4,0 | >= 16,0 |
Налидиксовая кислота | 30 | >= 20 | <= 18 | <= 4,0 | >= 16,0 |
Ципрофлоксацин | 5 | >= 25 | <= 19 | <= 0,1 | >= 1,0 |
Рифампицин | 5 | >= 20 | <= 13 | <= 4,0 | >= 16,0 |
Стрептомицин | 30 | >= 15 | <= 12 | <= 16,0 | >= 32,0 |
Гентамицин | 10 | >= 16 | <= 12 | <= 4,0 | >= 8,0 |
Канамицин | 30 | >= 17 | <= 15 | <= 16,0 | >= 32,0 |
Ампициллин | 10 | >= 17 | <= 13 | <= 4,0 | >= 16,0 |
Цефотаксим | 30 | >= 25 | < 15 | <= 1,0 | >= 4,0 |
Цефтриаксон | 30 | >= 25 | < 15 | <= 1,0 | >= 4,0 |
Фуразолидон | 300 | >= 18 | < 15 | <= 4,0 | >= 16,0 |
Триметоприм/сульфаметоксазол | 1,25/23,75 | >= 20 | < 15 | <= 2,0/38,0 | >= 8,0/152,0 |
VI. Серологические методы
6.1. Серологические методы исследования, как правило, имеют дополнительное значение, и лишь в отдельных случаях при проведении оперативного и ретроспективного эпидемиологического анализа их результаты могут быть решающими.
Для серологической диагностики холеры используют иммунологические реакции, выявляющие в сыворотке крови больных, переболевших и вибриононосителей, а также вакцинированных специфические антитела: агглютинины и вибриоцидные антитела.
У больных холерой на 5 - 7 день от начала заболевания появляются агглютинины, вибриоцидные антитела.
Целесообразно исследовать парные сыворотки с интервалом в 7 - 10 дней. Первая проба должна быть взята на 5 - 7-й день для оперативной диагностики, вторая - через 7 - 10 дней и более - для ретроспективной.
Кровь для серологических исследований берут из вены, а при отсутствии такой возможности - из пальца. Из вены берут 1 - 5 мл крови, после свертывания сгусток отслаивают от стенки пробирки стерильной стеклянной палочкой или платиновой петлей. Пробирки сохраняют в холодильнике и транспортируют в лабораторию охлажденными (в термосе, сумке-холодильнике и др.). В лаборатории сыворотку инактивируют при температуре (56,0 +/- 0,5) °C в течение 30 мин.
Если кровь забирают в день постановки реакции, пробирки со свернувшейся кровью необходимо центрифугировать 10 - 15 мин при 3000 об/мин. При отсутствии возможности исследовать сыворотку немедленно ее сохраняют при температуре (4,0 +/- 0,5) °C. Кровь из пальца берут в объеме 0,4 мл и вносят в пробирку с 1,6 мл 0,9%-го раствора хлорида натрия (1:4).
Определение агглютининов в сыворотке крови
6.2. Метод постановки развернутой реакции агглютинации (макрометод). Исследуемую сыворотку крови разводят 1% пептонной водой pH 7,5 +/- 0,1 в объеме 1 мл от 1:10 до 1:640. В качестве антигена используют 3-часовую бульонную культуру, выделенную в данном очаге, или исследуют в 3-х рядах с культурами холерных вибрионов (сероваров Огава, Инаба и 0139 серогруппы). В пробирку с раститрованной сывороткой вносят по 1 капле культуры-антигена и ставят на 1 ч в термостат, затем до утра в холодильник при температуре (4,0 +/- 0,5) °C, после чего отмечают результаты. Реакция сопровождается контролями антигена и сыворотки.
При определении титра реакции учитывают разведения с агглютинацией на 3 - 4 креста.
Результат исследования сыворотки больного при реакции агглютинации в разведении 1:40 и выше считается ориентировочно положительным.
Диагностическое значение имеет не менее чем 4-кратное нарастание титров антител.
6.3. Метод постановки реакции агглютинации в микрообъеме.
6.3.1. Материалы и оборудование:
- микропланшеты для иммунологических реакций с круглодонными лунками и прозрачными крышками;
- механические 1-, 4- и 8-канальные дозаторы с переменным объемом 50 - 200 мкл и соответствующие наконечники;
- кюветы (поддоны) эмалированные или из нержавеющей стали;
- стереомикроскоп типа МБС-10;
- культура холерного вибриона, выделенная в данном очаге, или тест-штаммы холерных вибрионов 01 (сероваров Огава и Инаба) и 0139 серогрупп (допускается использование инактивированных культур).
6.3.2. Постановка реакции агглютинации (далее - РА). Реакция осуществляется в объеме 0,1 мл (100 мкл). Готовят суспензию культуры (антигена) холерного вибриона, выделенного в данном очаге, или тест-штаммов холерных вибрионов 01 (сероваров Огава и Инаба) и 0139 серогрупп в 3 - 4 мл 0,9%-го раствора хлорида натрия из 6 - 18-часовой агаровой культуры до концентрации 2,0 x 109 м.к./мл, стандартизированную по оптическому отраслевому стандарту мутности бактериальных взвесей, калиброванному в международных единицах (МЕ) - 10 МЕ и с действующим сроком годности.
Микропланшеты маркируют, надписывая карандашом с левой стороны номер исследуемой сыворотки, а сверху пропорцию ее разведения от 1:5 до 1:640, номер штамма (живой или инактивированной культуры).
В лунки каждого ряда дозаторами разливают по 50 мкл 0,9%-го раствора хлорида натрия. Затем в 1-ю лунку вносят 50 мкл исследуемой сыворотки, инактивированной при 56 °C в течение 30 мин, в разведении 1:5 и проводят двукратное ее разведение микропипеткой на 50 мкл, из последней лунки удаляют 50 мкл. Затем в каждую лунку вносят 50 мкл суспензии культуры (антиген) в концентрации 2,0 x 109 м.к. в 1 мл. Реакция сопровождается контролями антигена (антигенов) и исследуемой сыворотки. Планшет накрывают крышкой и помещают в термостат при температуре (37 +/- 1) °C на 2 ч.
6.3.3.
Учет реакции. Учет реакции проводят в косо проходящем свете под стереомикроскопом (
приложение 5 к настоящим МУК).
Реакцию оценивают по характеру агглютинации на дне лунки:
- полная агглютинация: наличие на дне лунки рыхлой разорванной пленки, четких хлопьев на фоне темного поля;
- неполная агглютинация: наличие нежной пленки и полиморфных комочков агглютината на темном фоне;
- слабая агглютинация: наличие мелких хлопьев на фоне сероватого поля;
- следы агглютинации: мелкие единичные хлопья на фоне мутной жидкости.
Реакцию оценивают отрицательно, когда в лунке вибрионы равномерно выстилают дно или собираются в "пуговку". Под микроскопом видно равномерное мелкозернистое поле без темных промежутков.
Положительной считают реакцию при наличии полной и неполной агглютинации.
При постановке реакции агглютинации в микрообъеме дополнительно предусматривают следующее:
- планшеты помещают на поддон (из нержавеющей стали или эмалированный). На дно поддона предварительно расстилают марлевую салфетку, пропитанную дезинфицирующим раствором (3%-й раствор хлорамина);
- после внесения дозатором в каждую лунку 50 мкл суспензии живых культур холерных вибрионов в дозе 2,0 x 109 м.к./мл планшет накрывают крышкой и на подносе ставят в термостат при температуре (37 +/- 1) °C на 2 ч;
- для учета реакции поднос с планшетом переносят на лабораторный стол, затем планшет ставят на стеклянную подставку и оценивают характер реакции агглютинации в косо проходящем свете с помощью стереоскопического микроскопа;
- при учете реакции крышку с планшета не снимают. В случае запотевания крышки ее меняют на другую, а запотевшую помещают в емкость с 3%-м раствором хлорамина;
- после учета реакции крышку снимают, планшет и крышку помещают в кювет, заливают 3%-м раствором хлорамина, накрывают и оставляют на 24 ч. Разовые планшеты обеззараживают физическим способом - автоклавированием при 1,5 атм. см в течение 60 мин. Стеклянную крышку столика приспособления для косого освещения обрабатывают 70% спиртом.
6.4. Реакция агломерации объемная (далее - РАО). Для выявления противохолерных антител в сыворотках крови больных и лиц с подозрением на заболевание холерой используют РАО с диагностикумом холерным антигенным полимерным. Для этого исследуемую сыворотку разводят 0,9% раствором хлорида натрия в пропорции 1:5.
Приготовление ингредиентов для РАО. Содержимое флакона с сухой нормальной кроличьей сывороткой (далее - НКС) 1:10 растворяют в 5 мл 0,9% забуференного раствора хлорида натрия (далее - ЗРХН). Приготовленный раствор НКС 1:100 можно хранить при температуре (6 - 2) °C в течение 5 дней. Содержимое флакона с диагностикумом холерным антигенным полимерным 01 ресуспендируют в 4 мл 0,9%-го раствора хлорида натрия. Приготовленный раствор рекомендуется использовать в течение 24 ч.
В "у"-образные лунки планшета для иммунологических реакций разливают по 50 мкл 1%-ного раствора НКС. Исследуемые сыворотки от больных в рабочем разведении (1:5) в количестве 50 мкл вносят в первую лунку пипеткой-дозатором и делают двукратные последовательные разведения, удаляя из последней лунки 50 мкл раствора. Затем во все лунки добавляют пипеткой-дозатором по 25 мкл диагностикума холерного антигенного полимерного 01 в рабочем разведении. В процессе постановки реакции флакон с диагностикумом необходимо периодически встряхивать.
После добавления всех реагентов содержимое лунок перемешивают покачиванием планшета в течение 1 мин и оставляют при температуре (20 +/- 2) °C на 2 - 2,5 ч.
Постановку контролей производят следующим способом. В лунках, содержащих по 50 мкл НКС, титруют положительный контроль - сыворотку диагностическую холерную 01. Для контроля диагностикума на отсутствие спонтанной агломерации в 2 лунки вносят 50 мкл НКС. Затем во все лунки добавляют по 25 мкл диагностикума холерного антигенного полимерного 01.
Одного набора реагентов достаточно для исследования 7 - 11 сывороток.
Учет результатов реакции производится через 2 - 2,5 ч. За положительный результат реакции принимают образование цветного ярко-розового агломерата, выстилающего все дно лунки равномерным слоем (зонтик). Положительная реакция указывает на наличие противохолерных антител. Минимальный специфический титр составляет 1:40. Титр положительного контроля, свидетельствующий о качественной работе диагностикума, 1:640 - 1:5120. В случае отрицательного результата образуется компактное колечко или "точка" в центре лунки (пуговка), что указывает на отсутствие противохолерных антител в исследуемой сыворотке.
Определение вибриоцидных антител
6.5. Вибриоцидные антитела (далее - ВА) в крови больных обнаруживаются с 3 - 9 дня болезни в титрах 10-1 - 10-3 и достигают максимальных значений 10-4 - 10-8 к 10 - 16 сут, а затем резко снижаются до титров 10-3 - 10-2 и ниже. Принцип метода заключается в том, что в присутствии вибриоцидных антител не происходит размножения холерных вибрионов.
При проведении серологических исследований в очаге с определенной серологической характеристикой возбудителя в реакции используют один штамм соответствующего серовара. При отсутствии этих данных - штаммы 01 холерных вибрионов обоих сероваров и холерных вибрионов 0139 серогруппы.
6.5.1. Определение ВА в сыворотке крови по чашечному методу Финкельштейна (Finkelstain, 1962).
Материалы и оборудование:
- исследуемые сыворотки, инактивированные прогреванием в течение 30 мин при температуре (56,0 +/- 0,5) °C;
- сухой комплемент или свежеполученная сыворотка морской свинки в разведении 1:20;
- 0,9%-й раствор хлорида натрия pH 7,2 +/- 0,1;
- штаммы холерных вибрионов 01 серогруппы сероваров Огава и Инаба и 0139 серогруппы, типичные, в S-форме, не чувствительные к комплементу;
- чашки Петри со щелочным или другим питательным агаром;
- лоток со льдом;
- термостат на (37,0 +/- 1,0) °C.
6.5.2. Методика постановки реакции. Комплемент, разведенный 0,9%-м раствором хлорида натрия 1:20, разливают в два ряда пробирок по 0,9 мл. В первую пробирку вносят 0,1 мл исследуемой сыворотки и после тщательного перемешивания последовательно, меняя пипетки, переносят по 0,1 мл до разведения 10-10, получая десятикратные разведения сыворотки в объеме 0,9 мл. Титрацию сыворотки проводят на льду, который помещают в любую емкость.
Из односуточной агаровой культуры холерного вибриона готовят взвесь в 0,9%-м растворе хлорида натрия, содержащую 1 x 104 - 2 x 104 м.к./мл. Стерильной градуированной пипеткой полученную взвесь по 0,1 мл вносят в опытные пробирки с титрованной сывороткой.
Ставят следующие контроли:
а) контроль комплемента (0,9 мл комплемента и 0,1 мл культуры);
б) контроль сыворотки (0,8 мл 0,9%-го раствора хлорида натрия, 0,1 мл сыворотки и 0,1 мл культуры);
в) контроль культуры (0,9 мл 0,9%-го раствора хлорида натрия и 0,1 мл культуры).
Штатив с пробирками на 1 ч помещают в водяную баню или термостат при температуре (37,0 +/- 0,5) °C, сделав предварительно высев из пробирки контроля культуры на пластинки ЩА для определения фактической концентрации живых вибрионов в опытной суспензии (контроль разведения).
Через 1 ч штатив вновь ставят на лед и из каждой пробирки отдельной стерильной пипеткой 0,1 мл культуры высевают на чашку с ЩА pH 8,0 +/- 0,2. Посев равномерно распределяют по поверхности чашки покачиванием или шпателем. Чашки помещают на 18 - 24 ч в термостат при температуре (37,0 +/- 0,5) °C, после инкубации подсчитывают количество выросших колоний.
В посевах из контрольных пробирок с культурой должно вырастать количество колоний, близкое к контролю разведения.
6.5.3. Вибриоцидным титром считают максимальное разведение сыворотки, которое вызывает гибель не менее чем 50% клеток холерного вибриона, что выявляется при посеве на агаровые пластинки в чашки Петри, по сравнению с количеством выросших колоний из пробирки контроля комплемента.
Пример вычисления: при посеве из опытных пробирок с разведением сыворотки 10-1; 10-2; 10-3; 10-4; 10-5; 10-6; 10-7 и т.д. на чашках соответственно выросло 0; 0; 5; 10; 15; 30; 38 и т.д. колоний. При высеве из пробирки контроля комплемента также после 18 - 24 ч инкубации при температуре (37,0 +/- 0,5) °C выросло 36 колоний, 50% от этого числа будет составлять 18. Из 5-й пробирки выросло 15 колоний, т.е. меньше 50% от количества колоний в контроле (18), в следующей - 30, т.е. более 50% этого же показателя. Разведение сыворотки в 5-й пробирке составляет 10-5, следовательно, вибриоцидный титр в данном примере будет составлять 10-5.
Схема методики определения ВА в сыворотке крови представлена на
рис. 4.
Рисунок 4. Схема определения ВА в сыворотке крови
по Finkelstein
6.6. Определение ВА в сыворотке крови на основе ферментации углеводов. Об отсутствии или наличии ВА судят по ферментации сахарозы, регистрируемой с помощью индикатора.
6.6.1. Материалы и оборудование:
- инактивированная при 56 °C в течение 30 мин исследуемая сыворотка крови;
- штаммы холерного вибриона серовара Огава и Инаба;
- комплемент, разведенный 1:20 1%-й пептонной водой, содержащей 1% сахарозы и 1% индикатора Андреде;
- лоток со льдом;
- термостат на (37,0 +/- 1,0) °C.
6.6.2. Методика постановки реакции. Комплемент, разведенный 1:20 1%-й пептонной водой с сахарозой и индикатором Андреде разливают в пробирки по 0,45 мл, штативы с пробирками помещают в лоток со льдом. В первую пробирку добавляют 0,05 мл исследуемой сыворотки и после тщательного перемешивания, меняя пипетки, переносят 0,05 мл смеси во вторую пробирку, из второй в третью и т.д. (до разведения 10-5 - 10-9). Готовят суспензию 18 - 20-часовой агаровой культуры холерного вибриона и разводят 1%-й пептонной водой до концентрации 10-3 м.к. в 1 мл.
Во все пробирки вносят по 0,45 мл суспензии и помещают в термостат.
Постановку реакции сопровождают следующими контролями:
- 0,45 мл 1%-й пептонной воды, содержащей 1% сахарозы и 1% индикатора Андреде + 0,05 мл исследуемой сыворотки + 0,45 мл взвеси культуры (контроль сыворотки);
- 0,45 мл комплемента с сахарозой и индикатором + 0,45 мл культуры (контроль комплемента);
- 0,45 мл 1%-й пептонной воды с сахарозой и индикатором + 0,45 мл культуры (контроль культуры);
- 0,45 мл 1% пептонной воды с сахарозой и индикатором + 0,05 мл исследуемой сыворотки (контроль стерильности сыворотки).
Через 5 - 6 ч инкубации проводят учет реакции. При этом в контролях (кроме контроля стерильности сыворотки) цвет содержимого пробирок должен перейти в красный или розовый. Изменение цвета индикатора в пробирках рабочего ряда, связанное с ферментацией сахарозы размножившимися вибрионами, свидетельствует об отсутствии вибриоцидных антител в исследуемой сыворотке. За вибриоцидный титр принимают то наибольшее разведение сыворотки, при котором цвет содержимого пробирок остается неизмененным или интенсивность его значительно отличается от окраски контрольных проб. Результат выражают в виде десятичного логарифма разведения сыворотки, взятого с обратным знаком.
Примечание. Для постановки РВА при холере, обусловленной холерным вибрионом 0139 серогруппы, не может быть использован выделенный в очаге штамм в связи с его возможной чувствительностью к комплементу. В этих случаях сыворотку крови в установленном порядке направляют в референс-центр по мониторингу за холерой.
Схема определения ВА в сыворотке крови на основе ферментации углеводов представлена на
рис. 5.
Рисунок 5. Схема определения ВА в сыворотке крови на основе
ферментации углеводов <36>
--------------------------------
<36>
Примечание: ПВ - пептонная вода; С - сахароза; И - индикатор Андреде.
6.7. Тактика применения серологических реакций. При выборе оптимальных схем серологического исследования необходимо учитывать диагностическую ценность той или иной реакции в разные сроки обследования от начала заболевания, чувствительность и специфичность реакций, а также трудоемкость их постановки, что объясняет ограничение возможности использования РВА с сыворотками крови при массовых исследованиях.
Во многих случаях выбор сочетания основных двух реакций (РА и РАО) позволяет решать разные задачи серологической диагностики в зависимости от сроков обследования, экономить средства и силы, а также без потери информативности исключить повторный забор крови для исследования.
Одновременное использование основных иммунологических реакций и дополнительных (РВА в сыворотке крови по методу Финкельштейна и на основе ферментации углеводов), направленных на выявление различных видов антител, повышает достоверность результативности анализов и в ряде случаев исключает обследование в динамике.
При массовых исследованиях первичную (отборочную) постановку серологических тестов целесообразнее проводить в 3-х разведениях (лунках), а при необходимости ускоренного ответа - в развернутом варианте в 6 - 10 лунках в зависимости от чувствительности теста.
VII. Питательные среды, реактивы, консерванты
Питательные среды
7.1. Для лабораторной диагностики холеры используют питательные среды, внесенные в Государственный реестр медицинских изделий
<37> и прошедшие контроль качества после приготовления
<38>.
--------------------------------
<37> https://roszdravnadzor.gov.ru/services/misearch - Государственный реестр медицинских изделий и организаций (индивидуальных предпринимателей), осуществляющих производство и изготовление медицинских изделий (в свободном доступе).
Транспортные среды.
7.1.1. 1%-я пептонная вода, pH 8,5 +/- 0,2 без ингибиторов роста сопутствующей флоры и с теллуритом калия (см. среды накопления).
7.1.2. 2%-й раствор хлорида натрия: 20 г натрия хлорида и 0,1 г натрия гидроксида растворяют в 1 л дистиллированной воды; раствор фильтруют через бумажный фильтр, разливают по 10 мл в пробирки и стерилизуют в автоклаве 20 мин при 0,5 атм.
7.2. Среды накопления.
7.2.1. Основной пептон. Используют внесенный в Государственный реестр медицинских изделий основной пептон сухой, который готовят в соответствии с инструкциями производителей по применению.
Основной пептон сухой с истекшим сроком годности использованию не подлежит.
7.2.2. 1%-я пептонная вода. Для получения 1% пептонной воды основной раствор пептона, приготовленный в соответствии с инструкциями по применению производителей из основного пептона сухого (внесенного в Государственный реестр медицинских изделий), разводят в 10 раз дистиллированной водой и стерилизуют в соответствии с инструкциями производителей по применению.
7.2.3. Пептонная вода с теллуритом калия. В стерильную 1%-ю пептонную воду, приготовленную в соответствии с
п. 7.2.2, добавляют прошедший контроль теллурит калия в конечном разведении, при котором достигается ингибирование роста сопутствующей микрофлоры и рост холерного вибриона. Для этого из зарегистрированного в установленном порядке на территории Российской Федерации 2%-го раствора калия теллурита готовят 0,1% рабочий раствор (1:4000).
Срок хранения 1%-й пептонной воды с теллуритом калия не более двух суток при температуре от плюс 2 °C до плюс 8 °C.
0,1%-й рабочий раствор теллурита калия хранят не более семи суток в темном месте при температуре от плюс 6 °C до плюс 20 °C.
7.3. Агаризованные питательные среды для выделения и культивирования холерных вибрионов (ЩА). Используют одну из внесенных в Государственный реестр медицинских изделий сухих или готовых к использованию плотных питательных сред (ЩА) указанного назначения. Данные среды готовят к работе в соответствии с инструкциями производителей по применению.
7.4. Селективно-дифференциальные среды предназначены для выделения и культивирования возбудителя холеры и других патогенных вибрионов из клинического материала и объектов окружающей среды, при проведении бактериологических исследований. Среды позволяют подавлять рост сопутствующей микрофлоры и дифференцировать колонии вибрионов от колоний других микроорганизмов по их цвету.
7.5. Среды для идентификации холерных вибрионов.
7.5.1. Полиуглеводные среды:
а) среда Клиглера - используют одну из зарегистрированных в установленном порядке питательных сред, в соответствии с инструкциями производителей по применению;
б) среда Ресселя - используют одну из зарегистрированных в установленном порядке питательных сред в соответствии с инструкциями производителей по применению.
7.5.2. Среды для идентификации холерного вибриона. Применяют зарегистрированные в установленном порядке сухие или готовые к использованию питательные среды для идентификации холерного вибриона по признакам ферментации углеводов, многоатомных спиртов, аминокислот или сразу по нескольким признакам, в том числе хромогенные среды. Их готовят в соответствии с инструкциями производителей по применению.
7.6.
Порядок контроля качества питательных сред. Питательные среды, консерванты, ингибиторы посторонней микрофлоры, используемые в диагностике холеры, подлежат обязательной проверке в соответствии с
ГОСТ ISO 11133 и методическими
указаниями <39>.
--------------------------------
<39>
МУК 4.2.2316-08 "Методы контроля бактериологических питательных сред", утвержденные руководителем Федеральной службы по надзору в сфере защиты прав потребителей и благополучия человека, Главным государственным санитарным врачом Российской Федерации 18.01.2008;
МУ 3.3.2.2124-06.
Бактериологический контроль качества готовых к употреблению плотных и жидких питательных сред могут проводить:
- лаборатории территориального уровня, имеющие разрешение на осуществление деятельности, связанной с использованием возбудителей II - IV групп патогенности (опасности), используя нетоксигенный тест-штамм холерного вибриона не 01/не 0139 серогруппы P-9741 (проводят проверку питательных сред только для лабораторий, имеющих разрешение на осуществление деятельности, связанной с использованием возбудителей III - IV групп патогенности (опасности));
- лаборатории регионального и федерального уровней, имеющие разрешение на работу с ПБА I - II групп патогенности (опасности), используя для контроля токсигенные тест-штаммы Vibrio cholerae 01 classical P-1 (145) и Vibrio cholerae 01 El Tor M-878S, а также нетоксигенный тест-штамм холерного вибриона не 01/не 0139 серогруппы P-9741 (проводят проверку питательных сред для всех организаций, проводящих мониторинговые исследования на холеру).
Бактериологическому контролю подлежит каждая серия сухой среды производственного выпуска, имеющая номер государственной регистрации, лицензию на ее производство и соответствующий срок годности. На контроль направляют часть общего объема среды, предназначенной для проведения исследований, в количестве 400 мл агара и 200 мл основного раствора пептона производственного выпуска. В направлении указывается название среды, предприятие-изготовитель, номер серии и срок годности сухой среды, дата контролируемой варки. Транспортируемые образцы должны быть надежно упакованы, флаконы с жидкой средой закрыты резиновыми пробками с колпачками или завальцованы.
Оптимальный срок проверки питательной среды 10 - 14 дней после приготовления.
При положительном результате контроля пробы соответствующая серия сухой среды считается пригодной к использованию. Последующий контроль этой серии среды осуществляется ежегодно, а также при изменении условий приготовления сухой среды, независимо от времени предыдущей проверки.
Если при первом контроле среда оказалась непригодной, необходим повторный бактериологический контроль этой же серии сухой среды. При этом на контроль необходимо направлять образец новой варки и навеску сухой среды этой же серии.
При получении отрицательного результата повторного контроля среды, приготовленной на месте, и положительного бактериологического контроля образца этой же серии сухой среды, сваренного в лаборатории контролирующего учреждения, следует считать пригодной данную серию сухой питательной среды и принять меры к выяснению и устранению ошибки в технологии местного изготовления.
При получении отрицательного результата на образец сухой среды данной серии направляют рекламацию в адрес изготовителя.
Сроки хранения ЩА и основного раствора пептона (а также их аналогов) производственного выпуска, зарегистрированных в установленном порядке (сухая среда и приготовленные из нее образцы, а также готовые к использованию питательные среды аналогичного назначения) указаны в инструкциях по применению среды.
Питательные среды, готовые к использованию, хранят при температуре от плюс 2 °C до плюс 8 °C.
ЩА и основной пептон подлежат периодической перепроверке нетоксигенными тест-штаммами. Ежегодному контролю в противочумном учреждении подлежит также теллурит калия.
к МУК 4.2.3745-22
(рекомендуемый образец)
ПРЕДМЕТОВ И СРЕДСТВ УКЛАДКИ УНИВЕРСАЛЬНОЙ ДЛЯ ЗАБОРА
МАТЕРИАЛА ОТ ЛЮДЕЙ И ИЗ ОБЪЕКТОВ ОКРУЖАЮЩЕЙ СРЕДЫ
ДЛЯ ИССЛЕДОВАНИЯ НА ХОЛЕРУ
Таблица 1
Предметы для забора материала от людей
N п/п | Предметы и средства | Кол-во |
1 | 2 | 3 |
Предметы для забора крови |
1 | Пробирка (ПП) (4 мл) для забора крови и получения сыворотки | 10 шт. |
2 | Пробирка (ПП) (4 мл) для забора крови с ЭДТА или цитратом натрия (для ПЦР диагностики) | 10 шт. |
3 | Скарификатор-копье одноразового применения стерильный | 10 шт. |
4 | Салфетка дезинфицирующая | 10 шт. |
5 | Жгут кровоостанавливающий венозный | 1 шт. |
6 | Бинт медицинский марлевый стерильный | 1 шт. |
7 | Салфетка марлевая медицинская стерильная | 1 уп. |
8 | Лейкопластырь | 1 шт. |
9 | Шприц с иглой (до 20 мл) медицинский одноразового применения стерильный | 10 шт. |
Предметы для забора биологического материала |
10 | Тампон хлопковый на деревянной палочке размер 150 x 2,5 мм стерильный (стерильная алюминиевая петля) | по 10 шт. |
11 | Тампон хлопковый в полиэтиленовой пробирке размер 150 x 12 мм стерильный | 10 шт. |
12 | Пинцет (150 мм) одноразового применения стерильный | 10 шт. |
| | ИС МЕГАНОРМ: примечание. Нумерация пунктов дана в соответствии с официальным текстом документа. | |
|
14 | Катетер урологический женский для одноразового использования стерильный | 5 шт. |
15 | Катетер урологический мужской для одноразового использования стерильный | 5 шт. |
16 | Вата медицинская гигроскопическая стерильная | 1 уп. |
Предметы для забора, хранения и транспортировки проб биологического материала |
17 | Контейнер (60 мл) полипропиленовый с завинчивающейся крышкой стерильный | 10 шт. |
18 | Контейнер (60 мл) полипропиленовый с завинчивающейся крышкой с лопаткой стерильный | 10 шт. |
19 | Контейнер (50 мл) полипропиленовый с завинчивающейся крышкой для сбора мокроты стерильный | 10 шт. |
20 | Микропробирка (ПП) 1,5 мл с завинчивающейся крышкой с резиновой прокладкой | 10 шт. |
21 | Криопробирка стерильная 2,0 мл | 10 шт. |
22 | Пакет для стерилизации самозапечатывающийся 14 x 26 см | 10 шт. |
23 | Пакет для автоклавирования на 3 л | 10 шт. |
24 | Медицинские ватные шарики нестерильные | 1 уп. |
25 | Контейнер для сброса отходов и острого инструментария | 1 шт. |
26 | Бутылка цилиндрическая с завинчивающейся крышкой неградуированная, 100 мл (для спирта) | 2 шт. |
27 | Пинцет анатомический | 1 шт. |
28 | Пинцет хирургический | 1 шт. |
29 | Скальпель | 1 шт. |
30 | Ножницы медицинские | 1 шт. |
31 | Автоматическая пипетка до 200 мкл | 1 шт. |
32 | Автоматическая пипетка до 5000 мкл | 1 шт. |
| | ИС МЕГАНОРМ: примечание. Текст во второй графе дан в соответствии с официальным текстом документа. | |
|
33 | Наконечник для микродозатора с фильтром до 200 мк | 96 шт. |
34 | Наконечник для микродозатора до 5000 мкл | 10 шт. |
35 | Штатив для микропробирок с прозрачной крышкой | 1 шт. |
36 | Стекло предметное | 10 шт. |
37 | Стекло покровное | 1 уп. |
38 | Спиртовка | 1 шт. |
39 | Клеенка подкладная с ПВХ покрытием | 1 шт. |
Средства индивидуальной защиты |
40 | Комбинезон защитный ограниченного срока пользования из воздухонепроницаемого материала | 2 шт. |
41 | Маска-респиратор | 2 шт. |
42 | Перчатки медицинские латексные | 10 пар |
43 | Бахилы медицинские | 10 пар |
Таблица 2
Предметы забора материала из объектов окружающей среды
N п/п | Предметы и средства | Кол-во |
1 | 2 | 3 |
Предметы для отбора проб объектов окружающей среды |
1. | Пинцет (150 мм) одноразового применения стерильный | 10 шт. |
2. | Тампон хлопковый на деревянной палочке размер 150 x 2,5 мм стерильный | 10 шт. |
3. | Тампон хлопковый в полиэтиленовой пробирке размер 150 x 12 мм стерильный | 10 шт. |
4. | Скальпель хирургический для одноразового использования стерильный | 10 шт. |
5. | Микропробирка 1,5 мл (ПП) с завинчивающейся крышкой и резиновой прокладкой | 10 шт. |
6. | Криопробирка стерильная 2,0 мл | 10 шт. |
7. | Пакет полиэтиленовый с застежкой-молнией | 30 шт. |
8. | Пакет "Вихрь" объемом 500 мл, стерильный | 10 шт. |
9. | Чашка Петри одноразового применения стерильная | 10 шт. |
10. | Ложка-совок (50 мл) для отбора проб полипропиленовая | 10 шт. |
11. | Корнцанг | 1 шт. |
Предметы для хранения и транспортировки проб объектов окружающей среды |
12. | Контейнер (100 - 150) мл полипропиленовый с завинчивающейся крышкой стерильный | 20 шт. |
13. | Контейнер (60 мл) полипропиленовый с завинчивающейся крышкой с лопаткой стерильный | 10 шт. |
14. | Флакон стеклянный (500 мл) с завинчивающейся крышкой автоклавируемый | 2 шт. |
15. | Салфетка марлевая медицинская стерильная | 1 уп. |
Сопутствующие предметы |
16. | Емкость (контейнер) полимерная для дезинфекции и предстерилизационной обработки медицинских изделий (1000 мл) | 1 шт. |
17. | Ручка шариковая | 1 шт. |
18. | Карандаш чернографитный | 1 шт. |
19. | Маркер перманентный | 1 шт. |
20. | Ножницы | 1 шт. |
21. | Клей ПВА-М | 1 шт. |
22. | Скрепка канцелярская | 1 уп. |
23. | Скотч | 1 шт. |
24. | Папка с зажимом | 1 шт. |
25. | Бумага листовая формат А4 для офисной техники | 20 лис. |
26. | Бумага фильтровальная | 10 лис. |
Средства индивидуальной защиты |
27. | Комбинезон защитный ограниченного срока пользования с полимерным покрытием | 2 шт. |
28. | Маска полная для защиты органов дыхания | 2 шт. |
29. | Перчатки медицинские латексные | 10 пар |
30. | Сапоги резиновые | 2 пары |
к МУК 4.2.3745-22
(рекомендуемый образец)
ПРИМЕР НАПРАВЛЕНИЯ НА ИССЛЕДОВАНИЕ КЛИНИЧЕСКОГО МАТЕРИАЛА
(ИНДИВИДУАЛЬНОЕ)
Наименование организации, направляющей
материал для исследования:
___________________________________________________________________________
___________________________________________________________________________
Направление на исследование клинического
материала (индивидуальное)
Организация и лаборатория, куда направляется материал
___________________________________________________________________________
Организация (отделение), направляющая материал
___________________________________________________________________________
Вид материала _____________________________________________________________
Цель исследования
___________________________________________________________________________
Ф.И.О., возраст, пол обследуемого
___________________________________________________________________________
Домашний адрес
___________________________________________________________________________
Род занятий, место работы
___________________________________________________________________________
Диагноз ___________________________________________________________________
Дата заболевания
___________________________________________________________________________
Дата обращения к врачу (госпитализации) ___________________________________
Дата и время забора материала _____________________________________________
Кратность обследования ____________________________________________________
Данные о приеме антибактериальных препаратов ______________________________
Дата и время доставки материала в лабораторию _____________________________
Ф.И.О., подпись, контактный телефон лица, направившего материал
___________________________________________________________________________
Ф.И.О., подпись лица, принявшего материал на исследование
___________________________________________________________________________
Заполняется в лаборатории:
Код пробы (или регистрационный N по журналу регистрации в лаборатории)
___________________________________________________________________________
Номер протокола (по журналу регистрации протоколов) _______________________
к МУК 4.2.3745-22
(рекомендуемый образец)
ПРИМЕР НАПРАВЛЕНИЯ НА ИССЛЕДОВАНИЕ КЛИНИЧЕСКОГО МАТЕРИАЛА
(ГРУППОВОЕ)
Наименование организации, направляющей
материал для исследования:
___________________________________________________________________________
___________________________________________________________________________
Направление на исследование клинического
материала (групповое)
Организация и лаборатория, куда направляется материал _____________________
Организация (отделение), направляющее материал ____________________________
Цель исследования _________________________________________________________
Диагноз ___________________________________________________________________
___________________________________________________________________________
N пробы | Рег. N (код) по журналу регистрации в лаборатории | ФИО, возраст, пол | Адрес, род занятий, место работы | Вид материала | Дата заболевания | Дата обращения к врачу (госпитализации) | Дата и время забора материала (ч, мин) | Кратность обследования | Данные о приеме антибактериальных препаратов |
1 | 2 | 3 | 4 | 5 | 6 | 7 | 8 | 9 | 10 |
| | | | | | | | | |
Дата и время доставки материала в лабораторию _____________________________
Ф.И.О., подпись, контактный телефон лица, направившего материал
___________________________________________________________________________
Ф.И.О., подпись лица, принявшего материал на исследование
___________________________________________________________________________
Заполняется в лаборатории:
Коды проб (или регистрационный N по журналу регистрации в лаборатории)
___________________________________________________________________________
Номер протокола (по журналу регистрации протоколов) _______________________
к МУК 4.2.3745-22
(рекомендуемый образец)
ПРИМЕР НАПРАВЛЕНИЯ НА ИССЛЕДОВАНИЕ ПРОБ ОБЪЕКТОВ
ОКРУЖАЮЩЕЙ СРЕДЫ
Организация и (или) лаборатория, куда направляются пробы
___________________________________________________________________________
Организация, направляющая пробы
___________________________________________________________________________
Цель исследования
___________________________________________________________________________
Дата и время доставки проб в лабораторию
___________________________________________________________________________
N пробы | Рег. N (код) пробы в лаборатории | Адрес, место отбора пробы | Объект исследования | Вид материала | Объем отобранной пробы | T° (вода открытых водоемов) | Дата и время отбора (ч, мин) |
1 | 2 | 3 | 4 | 5 | 6 | 7 | 8 |
| | | | | | | |
Ф.И.О., контактный телефон и подпись лица, отбиравшего и доставившего пробы
___________________________________________________________________________
Ф.И.О., подпись лица, принявшего пробы на исследование
___________________________________________________________________________
Заполняется в лаборатории:
Коды проб (или регистрационный N по журналу регистрации в лаборатории)
___________________________________________________________________________
Номер протокола (по журналу регистрации протоколов)
___________________________________________________________________________
к МУК 4.2.3745-22
СПОСОБ ОТБОРА КОЛОНИЙ ВИБРИОНОВ С ПОМОЩЬЮ СТЕРЕОСКОПИЧЕСКОГО
МИКРОСКОПА В КОСО ПРОХОДЯЩЕМ СВЕТЕ
1. При просмотре колоний различных микробов под малым увеличением микроскопа или лупы при освещении их пучком света, косо падающим на поверхность агара, колонии приобретают способность светиться и кажутся окрашенными.
К стереоскопическому микроскопу (МБС - микроскоп бинокулярный, стереоскопический) приспосабливают устройство для получения узкого пучка света и зеркало от микроскопа на подвижном шарнире для освещения чашки снизу под углом 45 - 50°.
Чашки с посевами просматривают после 12 - 18 ч инкубации. При величине угла падения луча света к поверхности агара в 40 - 50° колонии вибрионов по своей окраске заметно отличаются от других микроорганизмов.
Цвет колоний, выросших на ЩА, при косом освещении указан в
табл. 1 приложения 5.
Таблица 1
Цвет колоний, выросших на ЩА, при косом освещении
Микроорганизмы | Цвет колонии |
Холерные вибрионы | Преобладает серо-голубой с оттенком зеленовато-серым, синевато-зеленым, реже - зеленый с верхним краем красно-бурого или коричневого оттенка |
Сальмонеллы | Розовый оттенок |
Шигеллы | Розовый с фиолетовым оттенком |
Кишечная палочка | Ярко-красный |
Протей | Красный с фиолетовым оттенком |
2. Приспособления для просмотра колоний в косо проходящем свете.
Столик стереоскопического микроскопа заменяют специальным приспособлением для освещения чашки снизу под углом 45 - 50°. Источником света служит осветитель от микроскопа, на который надевают кожух с отверстием диаметром 5 мм против спирали лампочки для получения узкого пучка света. Узкий пучок света направляют в центр вогнутого зеркала, которое перемещается на подвижном шарнире, поворотом винта в зависимости от необходимости угла падения света. Угол вычисляют по соотношению расстояния от зеркала до чашки, которое меняется произвольно, и расстояния от чашки до поверхности стола, остающегося неизменным.
Для удобства исследования осветитель и зеркало можно вмонтировать в ящик со стеклянной крышкой, на которую помещают чашку с посевом. Это дает возможность быстро находить нужный угол падения света, передвигая зеркало поворотом винта по вмонтированной шкале.
3. Приспособление, смонтированное из основных узлов стереоскопического микроскопа и прибора для счета колоний.
Из раструба верхней крышки прибора для подсчета колоний удалить оба стекла вместе с упорным кольцом и снять верхнюю крышку. Из скобы передней панели вывинтить вертикальную ось, после чего убрать диск со светофильтрами. Освободить два винта, прикрепляющие патрон лампочки освещения к кронштейну на задней панели. В крышку снизу вставить вертикальную штангу от узла лупы с таким расчетом, чтобы в рабочем положении прибора муфта с прижимным винтом оказалась на дне под кронштейном импульсного счетчика. В муфту зажать держатель с угловыми губками (из комплекта лабораторного штатива), предварительно укороченный до 110 мм. Держателем закрепить патрон с лампочкой в вертикальном положении. Крышку фиксировать винтами на своем обычном месте.
Штатив микроскопа вместе с бинокулярной насадкой отсоединить от столика и установить непосредственно на корпус прибора для счета колоний так, чтобы 3 сферических ножки основания штатива охватили раструб крышки прибора, а окно основания было обращено к наблюдателю. Подлежащие к просмотру чашки с посевами устанавливают над открытым окном. Нужную освещенность и угол падения света находят путем изменения положения лампы, которое достигается поворотом штанги, после чего последнюю фиксируют цанговым зажимом.
к МУК 4.2.3745-22
(рекомендуемый образец)
Журнал регистрации и кодирования материала от больных
(трупов) людей с подозрением на опасные инфекционные болезни
(I - II группы патогенности)
Рег. N | Дата поступления | Время поступления | КОД пробы | Ф.И.О., возраст | Адрес, место работы, род занятий | Диагноз |
1 | 2 | 3 | 4 | 5 | 6 | 7 |
| | | | | | |
Продолжение журнала
Наименование организации, направившей материал | Вид материала | Цель исследования/кратность | Применение антибиотиков | Результат анализа | N и дата выдачи протокола | Подпись |
8 | 9 | 10 | 11 | 12 | 13 | 14 |
| | | | | | |
к МУК 4.2.3745-22
(рекомендуемый образец)
Журнал регистрации и кодирования проб окружающей среды
для исследований на наличие патогенных биологических агентов
I - II групп
Рег. N | Дата поступления пробы | Время поступления пробы | КОД пробы | Наименование пробы | Количество (объем) пробы | Адрес, место отбора пробы |
1 | 2 | 3 | 4 | 5 | 6 | 7 |
| | | | | | |
Продолжение журнала
Наименование организации, направившей пробы | Дата/время отбора пробы | Цель исследования | Результат исследования | N и дата выдачи протокола | Подпись ответственного лица |
8 | 9 | 10 | 11 | 12 | 13 |
| | | | | |
к МУК 4.2.3745-22
(рекомендуемый образец)
идентификации культур холерных вибрионов <40>
N п/п | Род, вид микроба | N штамма | Дата выделения | Объект исследования | Морфология клетки | Морфология колоний | Подвижность | Расщепление глюкозы в среде Хью-Лейфсона | Наличие индофенолоксидазы | Наличие аргинин-дигидролазы |
Аэробное | Анаэробное |
1 | 2 | 3 | 4 | 5 | 6 | 7 | 8 | 9 | 10 | 11 | 12 |
| | | | | | | | | | | |
Продолжение журнала
Наличие декарбоксилазы | Ферментация | Образование |
Сахарозы | Маннозы | Арабинозы | Маннита | Инозита | Лактозы | Крахмала | Желатины | Индола | Сероводорода | Ацетилметилкарбинола |
лизина | орнитина |
13 | 14 | 15 | 16 | 17 | 18 | 19 | 20 | 21 | 22 | 23 | 24 | 25 |
| | | | | | | | | | | | |
Продолжение журнала
Антигенная структура в РА | Молекулярно-генетическая идентификация | Определение продукции XT in vitro | Заключение Подпись отв. лица |
01 | Огава | Инаба | PO | 0139 | Вид и биовар | Эпидемическая значимость | Серогруппа |
01 | 0139 |
hlyA, lolB | ctxA, ctxB аллель | lcpA | wbe (rfb01) | whfR (rfb0139) |
26 | 27 | 28 | 29 | 30 | 31 | 32 | 33 | 34 | 35 | 36 | 37 |
| | | | | | | | | | | |
--------------------------------
<40> Лаборатории оформляют журнал в соответствии с объемом и номенклатурой выполняемых исследований.
При необходимости в журнал вносят дополнительные тесты идентификации.
к МУК 4.2.3745-22
(рекомендуемый образец)
учета чувствительности/резистентности культур холерных
вибрионов к антибактериальным препаратам
N п/п | Род, вид микроорганизма | N штамма | Чувствительность к антибиотикам | Подпись врача |
Диско-диффузионный метод | Метод серийных разведений |
Тетрациклин | Левомицетин | Доксициклин | Ципрофлоксацин | Фуразолидон | Гентамицин | Налидиксовая кислота | Другие | Тетрациклин | Левомицетин | Доксициклин | Ципрофлоксацин | Фуразолидон | Гентамицин | Другие |
1 | 2 | 3 | 4 | 5 | 6 | 7 | 8 | 9 | 10 | 11 | 12 | 13 | 14 | 15 | 16 | 17 | 18 | 19 |
| | | | | | | | | | | | | | | | | | |
к МУК 4.2.3745-22
(рекомендуемый образец)
Журнал учета выделенных штаммов микроорганизмов <41>
Хранить 3 года | начат | | | | | | | | | |
|
до окончен | | | | | | | | | | | | | | | | | |
N п/п | N анализа | Адрес и дата взятия пробы | | N штамма | Источник выделения | Дата выделения | Краткая характеристика ПБА <**> | | Примечание |
1 | 2 | 3 | 4 | 5 | 6 | 7 | 8 | 9 | 10 |
| | | | | | | | | |
--------------------------------
<*> - Патогенный биологический агент.
<**> - Типичность; при атипичности указать отличительные признаки.
<***> - Уничтожен (дата, N акта); передан в коллекцию (указать куда), (дата, N акта).
к МУК 4.2.3745-22
(рекомендуемый образец)
| | ИС МЕГАНОРМ: примечание. Нумерация пунктов в форме дана в соответствии с официальным текстом документа. | |
Вид микроба ____________________________ Штамм N __________________________
Ф.И.О. _________________________________ возраст __________________________
место жительства больного или вибриононосителя (подчеркнуть) ______________
___________________________________________________________________________
(республика, область, район, населенный пункт, улица, N дома и квартиры)
Наименование объекта ______________________________________________________
(река, озеро и т.п.)
наименование стационарной точки ___________________________________________
(зона сан. охраны, место сброса сточных вод, организованные
и неорганизованные зоны рекреации и т.п.)
сточные воды ______________________________________________________________
(в очаге, коллектор, очистные сооружения до или после очистки и т.п.)
другие объекты ____________________________________________________________
(указать)
с указанием территории ____________________________________________________
(республика, область, район, населенный пункт)
Дата забора материала ___________ Дата выделения культуры _________________
Культуру выделил(а) _______________________________________________________
(Ф.И.О., организация, должность)
Культуру подтвердил(а) ____________________________________________________
(Ф.И.О., организация, должность)
Характеристика штамма
1. Морфология клеток ______________________________________________________
2. Тинкториальные свойства ________________________________________________
2. Подвижность ____________________________________________________________
3. Культуральные свойства: в 1%-й п.в. ____________________________________
на щелочном агаре _________________________________________________________
4. Наличие индофенолоксидазы ______________________________________________
5. Наличие лизин-декарбоксилазы ___________________________________________
орнитин-декарбоксилазы __________________ аргинин-дигидролазы _____________
6. Расщепление: глюкозы в среде Хью-Лейфсона (аэробн./анаэробн.) _________,
сахарозы ________, маннозы _______, арабинозы ________, маннита __________,
инозита ____________, лактозы __________, крахмала ___________
7. Протеолитическая активность ____________________________________________
8. Агглютинабельность холерными диагностическими сыворотками:
(указать серии, титр сывороток, срок годности):
01 _____________________, Огава ________________, Инаба __________________,
PO _____________________________, 0139 ____________________________________
9. Реакция с холерными 01 люминесцирующими антителами _____________________
10. Гемолитическая активность по Грейгу ___________________________________
11. Токсигенность (эпидемическая значимость) с указанием метода: __________
___________________________________________________________________________
___________________________________________________________________________
12. Молекулярно-генетическая характеристика с указанием метода ____________
___________________________________________________________________________
___________________________________________________________________________
13. Антибиотикограмма
N п/п | Препарат | Значение | Результат |
МПК, мкг/мл | зона ингибиции роста, мм | чувствительный S | промежуточный I | устойчивый R |
1 | Доксициклин | | | | | |
2 | Тетрациклин | | | | | |
3 | Левомицетин | | | | | |
4 | Налидиксовая кислота | | | | | |
5 | Ципрофлоксацин | | | | | |
6 | Рифампицин | | | | | |
7 | Стрептомицин | | | | | |
8 | Гентамицин | | | | | |
9 | Канамицин | | | | | |
10 | Ампициллин | | | | | |
11 | Цефотаксим (цефтриаксон) | | | | | |
12 | Фуразолидон | | | | | |
13 | Триметоприм/сульфаметоксазол | | | | | |
| Другие (вписать) | | | | | |
14. Другие свойства _______________________________________________________
15. Среда хранения ________________________________________________________
Подпись врача _____________________________________________________________
--------------------------------
<42> Примечание. В паспорте,
пункт 8 указывать: отр. или до титра; 1/2 титра и т.д.
1. Федеральный
закон от 30.03.1999 N 52-ФЗ "О санитарно-эпидемиологическом благополучии населения".
2.
СанПиН 3.3686-21 "Санитарно-эпидемиологические требования по профилактике инфекционных болезней".
3.
Приказ Роспотребнадзора от 01.12.2017 N 1116 "О совершенствовании системы мониторинга, лабораторной диагностики инфекционных и паразитарных болезней и индикации ПБА в Российской Федерации".
4.
МУ 3.3.2.2124-06 "Контроль диагностических питательных сред по биологическим показаниям для возбудителей чумы, холеры, сибирской язвы, туляремии, бруцеллеза, легионеллеза".
5.
МУК 4.2.3746-22 "Организация и проведение лабораторной диагностики холеры в лабораториях различного уровня".
6.
МУК 4.2.2495-09 "Определение чувствительности возбудителей опасных бактериальных инфекций (чума, сибирская язва, холера, туляремия, бруцеллез, сап, мелиоидоз) к антибактериальным препаратам".
8.
МР 4.2.0089-14 "Использование метода времяпролетной масс-спектрометрии с матрично-активированной лазерной десорбцией/ионизацией (MALDI-ToF MS) для индикации и идентификации возбудителей I - II групп патогенности".
9.
ГОСТ ISO 11133 "Межгосударственный стандарт. Микробиология пищевых продуктов, кормов для животных и воды. Приготовление, производство, хранение и определение рабочих характеристик питательных сред".