Главная // Актуальные документы // Журнал (форма)СПРАВКА
Источник публикации
М.: НИИОСП им. Н.М. Герсеванова, 1974
Примечание к документу
Название документа
"Рекомендации по проектированию и устройству оснований и фундаментов с предпостроечным оттаиванием вечномерзлых грунтов"
(одобрены Протоколом НТС Госстроя РСФСР от 18.09.1973 N 18-2)
"Рекомендации по проектированию и устройству оснований и фундаментов с предпостроечным оттаиванием вечномерзлых грунтов"
(одобрены Протоколом НТС Госстроя РСФСР от 18.09.1973 N 18-2)
Протоколом НТС Госстроя РСФСР
от 18 сентября 1973 г. N 18-2
РЕКОМЕНДАЦИИ
ПО ПРОЕКТИРОВАНИЮ И УСТРОЙСТВУ ОСНОВАНИЙ И ФУНДАМЕНТОВ
С ПРЕДПОСТРОЕЧНЫМ ОТТАИВАНИЕМ ВЕЧНОМЕРЗЛЫХ ГРУНТОВ
В "Рекомендациях по проектированию и устройству оснований и фундаментов с предпостроечным оттаиванием вечномерзлых грунтов" содержатся основные положения установления необходимости предпостроечного оттаивания вечномерзлых грунтов в основании зданий и сооружений, расчета глубины оттаивания, выбор способа оттаивания - гидрооттаивание, электрооттаивание - технологии производства работ по оттаиванию, проектирования фундаментов, а также указан порядок и объем работ по контролю выполнения запроектированной подготовки основания.
В Рекомендациях приведена новая система единиц (СИ), а для представления о соотношении в скобках сохранена старая система.
Рекомендации одобрены НТС Госстроя РСФСР (протокол N 18-2 от 18 сентября 1973 г.) для применения в проектировании и устройстве оснований и фундаментов в районах распространения вечномерзлых грунтов.
В главе СНиП II-Б.6-66 "Основания и фундаменты зданий и сооружений на вечномерзлых грунтах. Нормы проектирования" даны указания по применению II принципа использования вечномерзлых грунтов в качестве оснований и в том числе с предпостроечным их оттаиванием.
Большой опыт строительства и эксплуатации зданий во многих районах области распространения вечномерзлых грунтов убедительно иллюстрирует на ряде примеров, что применение II принципа использования вечномерзлых грунтов в качестве оснований как правило связано с необходимостью проведения предпостроечного улучшения несущей способности основания путем предварительного, до возведения здания, его оттаивания, а в некоторых случаях и искусственного упрочнения.
Если случаев полного разрушения зданий, возведенных на вечномерзлых грунтах с допущением оттаивания в эксплуатационный период было сравнительно мало, то случаев деформаций при которых временно прекращалась эксплуатация зданий и производился капитальный ремонт или восстановление, было много. Это вызывало большие дополнительные затраты на предприятиях.
О целесообразности предпостроечного оттаивания вечномерзлых грунтов в основании и о подходах к решению задач по проектированию и строительству довольно много сказано в научно-технической литературе. В Магаданской области выполнены большие научные исследования по применению гидрооттайки мерзлых грунтов научным сотрудником ВНИИ-I Т.А. Айдла и др. Им же осуществлялась практическое внедрение способа. Известны научные и практические работы на Европейском Севере и др. районах. Однако в них освещались лишь отдельные стороны вопроса.
Из-за отсутствия надлежащего руководства не только задерживалось внедрение способа устройства оснований с предпостроечным оттаиванием, но могли быть в практической работе случаи некачественного экономически неоправдываемого проектирования и строительства.
Основные общие рекомендации по проектированию оснований с предпостроечным оттаиванием вечномерзлых грунтов были изложены в "
Пособии по проектированию оснований и фундаментов зданий и сооружений на вечномерзлых грунтах" (1969 г.), а рекомендации по производственному выполнению предпостроечного оттаивания с помощью электричества - в "Указаниях по применению электрического метода предпостроечного оттаивания и уплотнения вечномерзлых грунтов оснований зданий и сооружений" (1963 г.), по оттаиванию крупнообломочных грунтов с помощью воды ("гидрооттайка") - в "Инструктивных указаниях по игловой гидрооттайке мерзлых грунтов" (1962 г., 1964 и др.). Эти указания являются библиографической редкостью.
Настоящие Рекомендации составлены по заданию Госстроя РСФСР в помощь широкому внедрению способа устройства фундаментов с предварительным оттаиванием вечномерзлых грунтов в основании. При составлении Рекомендаций были учтены и использованы вышеупомянутые Указания, литературные источники и опыт проектирования в последние годы. В большой степени были также использованы "Рекомендации по выбору рациональной глубины предпостроечного оттаивания оснований зданий и сооружений и определению оптимальных условий применения этого метода", разработанные в НИИОСП в 1970 году (авторы В.Д. Пономарев и В.Ф. Жуков).
В настоящих Рекомендациях излагаются способы расчета оттаивания вечномерзлых грунтов и осадки оттаивающих грунтов в основании, способы и выбор технологии работ по оттаиванию, рекомендации по проектированию фундаментов, а также контроль их выполнения в период постройки и эксплуатации. При подготовке текста был проанализирован и использован пример проектного решения основания и фундаментов завода железобетонных изделий в Сеймчане Магаданской области с предпостроечным оттаиванием вечномерзлых грунтов, разработанный Фундаментпроектом Минмонтажспецстроя СССР (главный инженер проекта А.А. Колесов).
Целесообразность предпостроечного оттаивания мерзлых грунтов в основании обоснована сравнением технико-экономической эффективности с современными способами устройства и эксплуатации зданий на Севере.
Рекомендации подготовлены в лаборатории N 10 НИИоснований и подземных сооружений имени Н.М. Герсеванова Госстроя СССР, Москва, Ж-389, 2-я Институтская ул., дом 6.
Автор текста ст. научн. сотр. Жуков В.Ф.
В связи с положением о переходе в СССР на международную систему единиц физических величин (СИ) и указанием о представлении для издания рукописей на базе системы единиц СИ, в настоящих Рекомендациях приведена новая система единиц, а для представления о соотношении в скобках сохранена старая система.
ГЛАВА I. ОСНОВНЫЕ ПРЕДПОСЫЛКИ ПРОЕКТИРОВАНИЯ
ОСНОВАНИЙ И ФУНДАМЕНТОВ С ПРЕДПОСТРОЕЧНЫМ
ОТТАИВАНИЕМ ВЕЧНОМЕРЗЛЫХ ГРУНТОВ
1.1. Настоящие Рекомендации составлены в
- развитие СНиП II-Б.6-66 "Основания и фундаменты зданий и сооружений на вечномерзлых грунтах. Нормы проектирования" по применению II принципа использования вечномерзлых грунтов в качестве основания с предпостроечным оттаиванием и упрочнением;
- развитие СНиП III-Б.3-73 "Основания и фундаменты. Правила производства и приемки работ" по вопросам, относящимся к осуществлению предпостроечного оттаивания вечномерзлых грунтов в основании.
Рекомендации предназначены для случаев проектирования, когда вечномерзлые грунты в основании характеризуются таким льдосодержанием, при котором в случае их оттаивания происходит осадка возведенного на них здания или сооружения более допустимой.
Применяя положения настоящих Рекомендаций надлежит руководствоваться указаниями СНиП.
1.2. Проектирование оснований и фундаментов зданий и сооружений с предпостроечным оттаиванием вечномерзлых грунтов и технологии работ по оттаиванию и упрочнению оттаивающих грунтов оснований должно выполняться на основе материалов инженерно-геологических и мерзлотных (инженерно-геокриологических) изысканий и исследований; решение по способу оттаивания и технологии производства работ, а также по объему предпостроечных работ должны быть обоснованы инженерными и технико-экономическими расчетами.
Технико-экономическая оценка проектируемых объектов производится путем сравнения по вариантам приведенных затрат (см. "Инструкцию по определению экономической эффективности капитальных вложений в строительстве",
СН 423-71).
1.3. Инженерно-геокриологические изыскания и исследования должны выполняться в соответствии с техническим заданием заказчика и согласованной программой работ на изыскания.
В перечне материалов изысканий, определяемом в основном указаниями СНиП II-Б.6-66 и РСН 31-69, должно быть предусмотрено получение характеристик грунтов (в соответствии с
пп. 1.9 -
1.15 настоящих Рекомендаций), позволяющих выбрать принцип использования вечномерзлых грунтов и произвести необходимые теплотехнические и статические расчеты основания.
1.4. Предпостроечное оттаивание вечномерзлых грунтов должно выполняться способом принятым в проекте оснований и фундаментов и разработанным в специальном проекте технологии производства работ по оттаиванию и упрочнению.
В проекте производства работ по устройству основания и фундаментов должны быть, как непременная часть проекта, календарные сроки работ. Всякие отступления от назначенного способа оттаивания и сроков его осуществления должны согласовываться с проектной организацией с тем, чтобы не были нарушены основные проектные условия.
1.5. Контроль за выполнением проекта в отношении объема оттаивания вечномерзлых грунтов в основании и улучшения качества оттаявших грунтов выполняется согласно специально составленному к данному проекту перечню-памятки работ по контролю. В перечне работ приводятся контрольные численные значения контура оттаивания массива основания, осадок основания в ряде точек, прочностных характеристик и т.п. (см.
п.п. 3.73 -
3.80).
1.6. К приемке здания или сооружения в эксплуатацию должны быть подготовлены строительной организацией все материалы наблюдений за осадкой основания и температурой грунтов в основании и др. материалы, отраженные в перечне-памятке, для соблюдения правил эксплуатации принятого объекта.
Предварительное определение необходимости предпостроечного
оттаивания вечномерзлых грунтов в основании
1.7. Предварительное определение необходимости предпостроечного оттаивания мерзлых грунтов в основании на намеченной к освоению строительной площадке производится для установления в программе инженерно-геокриологических изысканий перечня исследований и объема работ, а также для предварительных проектных предположений по планировке, коммуникациям зданий и сооружений.
Необходимость предпостроечного оттаивания вечномерзлых грунтов в основании обосновывается:
- общими, предварительно собранными или ориентировочными сведениями о геокриологических условиях, характеризуемых географическим положением стройплощадки на схематической карте распространения вечномерзлых грунтов (в СНиП II-Б.6-66), средней по району температурой вечномерзлых грунтов, наиболее распространенным в районе и возможным на строительной площадке составом грунтов, льдистостью, встречающимися криогенными явлениями (солифлюкцией, термокарстом, морозобойными трещинами, жильными льдами, грунтовыми водами, наледями и др.), пространственным залеганием вечномерзлых грунтов и возможным на площадке положением верхней и нижней поверхности вечномерзлой толщи;
- технологическими особенностями проектируемого здания или сооружения (температурой внутри объекта и процессом производства - мокрый, горячий и т.п.) и его размерами;
- местным опытом проектирования и строительства, а также эксплуатационным состоянием вблизи расположенных объектов, возведенных по I или II принципу использования вечномерзлых грунтов в основании.
Предпостроечное оттаивание основания здания или сооружения может прежде всего потребоваться:
а) при температуре вечномерзлого грунта выше -1 °C, когда экономически нецелесообразно или технически сложно применить первый принцип использования вечномерзлых грунтов;
б) при льдистых вечномерзлых грунтах на площадке, о чем могло быть установлено косвенными сведениями, а также предположительно, если окружающие эксплуатируемые здания возведены на предварительно оттаявших грунтах;
в) при мокром процессе производства, когда возможны утечки воды в грунт, а вследствие этого непредвиденное оттаивание вечномерзлого грунта в основании;
г) при высокой температуре внутри помещения, при наличии локальных теплоисточников (печей, каналов или дымоходов с раскаленными газами и др.), которые могут вызвать местное оттаивание основания и, следовательно, неравномерную осадку здания или сооружения;
д) при больших размерах здания в плане, так как оттаивание вечномерзлых грунтов в основании происходит тем глубже (при одинаковых прочих условиях), чем больше размеры, особенно ширина здания;
1.8. Ориентировочно осадку (S, в м) основания при оттаивании вечномерзлых грунтов можно определить одним из следующих методов, выбираемых в зависимости от предварительных или косвенных данных о грунтах.
1. Если известна льдистость грунтов, то
S = K1ЛВ1(6 - Hф) + K2ЛВ2(Hот - 6), (1)
где K1 и K2 - коэффициенты, учитывающие влияние криогенной текстуры на уплотняемость оттаивающих грунтов разного состава для слоев на глубине до 6 м и более, определяются по таблице 1;
Таблица 1
Коэффициенты | Значения коэффициентов для грунтов |
глинистых и пылевых | песчаных и крупнообломочных |
при криогенной текстуре |
слоистой  | слоистой  и сетчатой | слоистой  и монолитной | монолитной | с прослойками льда |
K1 | 0,8 | 0,6 | 0,4 | 0,7 | 0,9 |
K2 | 1,0 | 0,8 | 0,6 | 0,8 | 1,0 |
ЛВ1 и ЛВ2 - льдистость (по п. 2.6 главы СНиП II-Б.6-66) вечномерзлых грунтов, залегающих на глубине до 6 м и более 6 м; как правило льдистость уменьшается с глубиной, но не исключаются и иные случаи;
Hф - глубина заложения фундаментов в м, обычно не более 2 - 3 м;
Hот - предельная глубина (в м) зоны оттаивания под зданием, если бы оттаивание происходило в эксплуатационный период; Hот - ориентировочно может быть принята для зданий обычной ширины (до 16 - 18 м) равной 10 м при подвесных полах и равной 15 м при полах на грунте или при наличии подвала.
2. Если известны суммарная влажность Wс вечномерзлого грунта, то относительная осадка

, (2)
где Wг - влажность минеральных прослоек в долях единицы, равная, примерно, влажности на пределе раскатывания (Wр) плюс 0,03. Для песчаных, гравелистых грунтов и грунтов с монолитной криогенной текстурой Wг соответствует уплотненному состоянию.
3. Если известна величина осадки окружающих близрасположенных зданий с аналогичными условиями проектирования и эксплуатации, то ожидаемую осадку проектируемого здания и характер осадки можно предположить примерно такими же.
Требования к инженерно-геокриологическим
(инженерно-геологическим и мерзлотным)
изысканиям и исследованиям
1.9. Материалы изысканий и исследований должны содержать все сведения, необходимые для расчета основания и фундаментов проектируемых объектов.
Основные положения по выполнению инженерно-геокриологических изысканий и исследований на заданных площадках для проектирования оснований с предпостроечным оттаиванием вечномерзлых грунтов, фундаментов на оттаявшем основании и технологии работ по оттаиванию и упрочнению оттаивающих грунтов оснований устанавливаются руководствуясь п. 1.3 и п. 1.4 СНиП II-Б.6-66 с учетом пп. 3.14 - 3.17 и 5.22 - 5.30 этой же главы, СНиП II-А.13-68 "Инженерные изыскания для строительства. Основные положения", РСН-31-69 "Указания по производству инженерно-геологических изысканий в районах распространения вечномерзлых грунтов", а также настоящими Рекомендациями.
При изысканиях в сейсмических районах и районах с особыми условиями необходимо учитывать специальные указания СНиП.
1.10. В материалах изысканий характеристика инженерно-геокриологических условий строительной площадки должна быть составлена с учетом имеющихся фондовых материалов по району в целом и в том числе по прилегающим и аналогичным участкам.
Особенно рекомендуется собирать сведения о способах устройства оснований и фундаментов, коммуникаций, дорог и о принципе использования вечномерзлых грунтов в основании окружающих зданий.
Состав изыскательских работ и программа их выполнения на заданной площадке устанавливаются по возможности после предварительного заключения о предполагаемом принципе использования вечномерзлых грунтов и, в том числе, о целесообразности или неизбежности применения предпостроечного оттаивания для каждого здания или сооружения.
1.11. Для проектирования основания по II принципу с предпостроечным оттаиванием вечномерзлых грунтов необходимы следующие основные данные изысканий об этих грунтах в их естественном залегании и после оттаивания и уплотнения под собственным весом и нагрузкой.
1) Характер распространения вечномерзлых грунтов в районе строительной площадки (сплошное или островное, типичные участки распространения в районе), характер залегания толщи вечномерзлых грунтов (близко от поверхности, когда сезонное промерзание сливается с толщей вечномерзлых грунтов, или глубоко - ниже слоя сезонного промерзания), глубина (ориентировочно) расположения нижней поверхности толщи вечномерзлых грунтов, гидрогеологическая характеристика района, криогенные явления на площадке и вокруг нее, которые могли бы повлиять на устойчивость проектируемых зданий и сооружений.
2) Положение верхней поверхности вечномерзлых грунтов под проектируемым зданием, установленное при бурении скважин и путем измерения температуры, а также толща льдистых грунтов, входящих в зону оттаивающего основания.
3) Температура вечномерзлых грунтов на глубине 10 м (согласно СНиП II-В.6-66 - расчетная температура).
4) Состав и описание грунтов с указанием на инженерно-геологических разрезах; для слоев глинистых и песчаных грунтов особо тщательно отмечается наличие крупнообломочных элементов; залегание в плане слоев грунтов каждой литологической особенности на площадке.
5) Влажность мерзлых и немерзлых грунтов, засоленность, агрессивность грунтовых вод в отношении материалов конструкций.
6) Криогенная текстура мерзлых грунтов в пределах зоны оттаивания в эксплуатационный период под зданием. Характеристика криогенной текстуры должна составляться на каждый вид слоев вечномерзлого грунта, встречающийся на обследуемой строительной площадке.
7) Наличие хорошо дренирующих слоев грунта по которым после оттаивания может уходить (или приходить) грунтовая вода и оказывать тепловое влияние.
8) Общие соображения (прогноз) об изменении условий теплообмена на поверхности земли в результате застройки территории и изменений в состоянии поверхности земли, например, в случае уменьшения или увеличения отложений снега, расположения тротуара или дороги, которые влияют на формирование температурного режима грунтов и т.п.
1.12. Технический отчет о результатах инженерно-геокриологических изысканий и исследований должен содержать сведения:
а) о климатических условиях района строительства, имеющих значение для производства работ (температура воздуха в течение года, ветер, осадки и в первую очередь сведения о снегозаносах);
б) о сейсмических условиях, уточненные для обследуемой площадки, а также учитываемые в районе;
в) о геокриологических условиях (по
п. 1.11) на строительной площадке.
В материалах инженерно-геокриологических изысканий должны содержаться данные обеспечивающие при проектировании:
- обоснование решения о выборе II принципа использования вечномерзлых грунтов в качестве основания;
- выбор основания, расчет его и обоснование необходимости в экономически целесообразном объеме предпостроечного оттаивания и упрочнения вечномерзлых грунтов в основании, выбор и расчет способа предпостроечного оттаивания и технологии его осуществления;
- выбор типа фундамента, определение его размеров, глубины заложения, осадки под нагрузкой.
В отчете должны быть сообщены примененные при изысканиях методы лабораторных и полевых исследований грунтов.
В особом разделе отчета должны быть приведены собранные сведения об опыте местного строительства по устройству оснований и фундаментов и об опыте эксплуатации зданий и сооружений по связи с принципами использования вечномерзлых грунтов.
Характеристики грунтов, необходимые для расчета оснований
1.13. Характеристики грунтов, необходимые для расчета оснований зданий и сооружений, представляют непременную часть материала изысканий и исследований.
В комплекс характеристик грунтов входит:
- Криогенная текстура вечномерзлых грунтов на строительной площадке. Основными видами криогенной текстуры вечномерзлого грунта считают слоистую, сетчатую и массивную.
Слоистая текстура характеризуется наличием среди минеральной части мерзлого грунта прослоек льда примерно параллельных друг другу, различной толщины и протяженности. Слоистую текстуру подразделяют по толщине ледяных прослойков.
Сетчатая текстура представляет развитие слоистости характеризуется наличием в мерзлом грунте прослоек льда, расположенных перекрестно в виде сетки.
Массивная текстура характеризуется наличием в мерзлом грунте ледяных включений в виде отдельных кристаллов, пленок льда, обволакивающих частицы грунта, и льда - цемента в порах грунта.
- Гранулометрический состав грунтов. При определении гранулометрического состава грунта особое внимание необходимо обращать на содержание в грунте крупных фракций (валунов, гравия, крупной гальки), обычно отсутствующих в монолитах, отбираемых для лабораторных испытаний и определений. Наличие крупнообломочных элементов в грунте может затруднить положение электродов или гидроигл и потому потребуется предусмотреть дополнительные мероприятия или изменить способ погружения электродов или гидроигл.

- плотность (объемный вес) мерзлого грунта в естественном залегании, в кг/м
3 (кгс/см
3), определять следует на большой по объему пробе, массой (весом) не менее 6 кг с тем, чтобы были учтены ледяные прослойки и крупные частицы грунта;

- плотность (объемный вес) грунта в кг/м
3 (кгс/см
3) в оттаявшем состоянии и после уплотнения собственным весом (силой тяжести) или давлением до 0,05 - 0,1 МПа (0,5 - 1 кгс/см
2); допустимо определять на малом объеме пробы, соответствующем объему кольца в одометре;

- плотность (объемный вес) мерзлого грунта, находящегося между ледяными прослойками, не содержащего в себе заметных на глаз ледяных включений, в кг/м
3 (кгс/см
3); определяется на малом объеме, соответствующем объему колец диаметром 2 - 3 см (объем таких колец 5 - 10 см
3);

- плотность (удельный вес) минеральных частиц грунта, в кг/м
3 (кгс/см
3);
Wс - суммарная влажность мерзлого грунта, в долях единицы;
Wг - влажность той части мерзлого грунта, которая расположена между ледяными прослойками и не содержит в себе заметных на глаз ледяных включений, в долях единицы;
Wв - влажность грунта за счет заметных на глаз ледяных включений, в долях единицы, определяется как разность Wс - Wг.
Суммарная влажность мерзлого грунта Wс определяется на большом объеме грунта, взятом из бороздки в стенке или со дна шурфа (масса пробы не менее 3-х кг в слое однородном по криогенной текстуре, но не более, чем с одного погонного метра толщины слоя) или по керну из скважины.
Влажность грунта Wг определяется по небольшой пробе (помещаемой в алюминиевую бюксу), взятой из грунта между ледяными прослойками.
Wот - влажность оттаявшего грунта после уплотнения собственным весом или нагрузкой до 0,05 - 0,1 мПа (0,5 - 1 кгс/см2), в долях единицы; влажность Wот вычисляется по образцам грунта при лабораторных испытаниях грунта на компрессию или по образцам, взятым кольцом диаметром не менее 100 мм при испытании грунта горячим штампом;
Wг и Wр - влажности грунта на границе текучести и на границе раскатывания;

- коэффициент пористости мерзлого грунта в естественном залегании, определяемый на большом объеме грунта (с учетом ледяных включений);

- коэффициент пористости мерзлого грунта в естественном залегании, расположенного между ледяными прослойками;

- коэффициент пористости оттаявшего грунта после уплотнения;
Плотность (объемный вес), влажность и коэффициент пористости грунта определяются параллельно с компрессионными испытаниями грунта при оттаивании в лабораторных условиях или с испытаниями грунта горячими штампами в полевых условиях.
Лв - льдистость грунта за счет ледяных включений (прослойков, линз льда), то есть объемное содержание льда в виде включений в мерзлом грунте (по п. 2.6 СНиП II-Б.6-66), выраженное в долях единицы; может быть определено расчетным путем по формуле

, (3)
где Wн - влажность за счет незамерзшей воды, содержащейся в мерзлом грунте при данной температуре, определяется по табл. 1 СНиП II-Б.6-66. Для ориентировочных расчетов можно в формуле величину 0,1Wн приближенно принимать равной 0,02 для глин и 0,01 для суглинков.
Льдистость грунта численно характеризует какую часть в слое грунта занимает лед и представляет суммарную толщину ледяных прослойков в единице толщины слоя мерзлого грунта. Рекомендуется значение Лв определять в процессе проведения исследования грунтов на строительной площадке путем непосредственного измерения толщины ледяных прослойков в слое грунта: при бурении скважин - по керну, а при проходке шурфа - на стенке шурфа.
Определение Лв должно сопровождаться следующим примерным описанием криогенной текстуры "В слое с глубины 2,8 м до 4,5 м встречен суглинок слоистой текстуры с ледяными прослойками от 0,5 см до 1,7 см, расположенными через 10 - 12 см (средняя Лв = 0,12); в слое с глубины 4,5 м до 7,5 м встречена супесь тонкослоистой криогенной текстуры с ледяными прослойками от 1 - 2 мм до 8 мм, расположенными не чаще чем через 20 - 25 см (средняя Лв = 0,02); ниже второго слоя залегает супесь массивной текстуры без заметных на глаз ледяных включений".
- Коэффициент фильтрации оттаивающих (в процессе оттаивания) и оттаявших (после уплотнения). Коэффициент фильтрации грунтов используется при расчете скорости уплотнения оттаивающих грунтов, выборе способа дренирования воды во время оттаивания грунта и в выборе способа упрочнения оттаявшего грунта.
- Удельное электрическое сопротивление мерзлых и оттаявших грунтов для расчета установок и времени электрооттаивания грунтов.
- Набухаемость грунта после оттаивания, расположенного между ледяными прослойками.
- Тиксотропность оттаявшего грунта.
- Характер распада грунта при оттаивании.
Распад может быть "агрегатным" или "пылевидным". Это устанавливается по образцу мерзлого грунта, опущенному в воду (на сетку) на длительный срок (не менее трех суток). При оттаивании образец может разрушиться в воде на агрегаты или на отдельные частицы.
По характеру распада оттаивающего грунта можно установить, что произойдет с ним в процессе оттаивания и учесть это при выборе способа оттаивания и упрочнения грунта. Например: если грунт обладает пылевидным распадом, то нельзя рекомендовать гидравлическое оттаивание грунта. Наиболее приемлемым в этом случае будет оттаивание с помощью электричества.
A0 - приведенный коэффициент оттаивания вечномерзлых грунтов слоистой и сетчатой криогенной текстуры определяется с применением горячего штампа площадью не менее 2500 см2, а для грунтов массивной текстуры в одометре (диаметр одометра должен быть не менее 100 мм); приведенный коэффициент оттаивания

(4)
представляет собой относительную осадку оттаивающего вечномерзлого грунта, выраженную в долях единицы.
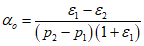
A0 и Лв характеризуют уплотняемость при оттаивании вечномерзлого грунта и между ними установлена связь A0 = КвЛв (см. п. 5.35 главы СНиП II-Б.6-66).

- приведенный коэффициент сжимаемости оттаявшего грунта в Па
-1 (см
2/кгс)

, (5)
где

и

- коэффициенты пористости, соответствующие давлениям в компрессионном приборе
P1 и
P2 причем
P1 должно быть, примерно 0,05 - 0,1 МПа;
c - сцепление оттаявшего грунта в Па (кгс/см2);

- угол внутреннего трения оттаявшего грунта в радианах (градусах).
Прочностные характеристики грунта
c и

после его оттаивания и уплотнения определяются по обычной методике для немерзлых грунтов. Допустимо пользоваться
табл. 13 и
14 СНиП II-Б.1-62 <x>.
- Температура грунта. Измеряется в технических скважинах для уточнения положения верхней поверхности массива вечномерзлых грунтов на площадке, для установления характера распределения температуры в вечномерзлых грунтах по глубине и в плане площадки, а также для установления расчетных температур.
- Теплопроводность мерзлых

и талых

грунтов, в Вт/м.К (ккал/м·ч·град).
- Объемная теплоемкость мерзлых Cм и талых Cт грунтов, в Дж/м3К (ккал/м3град).
- Количество незамерзшей воды Wн в мерзлых грунтах при разной температуре, в долях единицы.
Если грунты по своему составу, влажности и температуре в природных условиях не отличаются от обычных, типичных грунтов для которых составлены таблица 1 в п. 2.6 и таблица 10 в Приложении главы СНиП II-Б.6-66 и, если по проектируемому зданию или сооружению нет особых специально оговоренных условий, то следует определять величины
Wн,

,

,
Cм и
Cт по таблицам 1 и 10 главы СНиП II-Б.6-66.
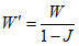
1.14. Характеристики плотности, влажности и сжимаемости неоднородных грунтов (с включениями гальки, гравия и валунов), определенные лабораторными методами следует корректировать в связи с отличием гранулометрического состава грунта в естественном залегании от гранулометрического состава грунта в образцах, исследуемых в лабораторных условиях. Корректирование производится по следующим формулам

; (6)

; (7)

, (8)
где

,
W,

- соответственно плотность (объемный вес), влажность и относительное сжатие грунта по результатам лабораторных испытаний;

,
W',

- соответственно искомые плотность (объемный вес), влажность и относительное сжатие грунта в естественном залегании;
J - относительное содержание крупнообломочного материала в грунте естественного сложения, с размерами больше максимального размера, встречающимися в образцах для лабораторных испытаний;

- плотность (удельный вес) воды;

- пористость естественного грунта по данным лабораторных определений;

- плотность (объемный вес) скелета грунта по данным лабораторных определений.
1.15. Удельное электрическое сопротивление мерзлого грунта может определяться в полевых и в лабораторных условиях. Предпочтительным является полевой способ, но на его выполнение требуется больше времени и средств.
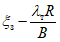
При полевом способе определения удельного электрического сопротивления грунта измеряется сопротивление в радиальном поле переменного тока, создаваемого между двумя заглубленными цилиндрическими электродами (рис. 1).
Рис. 1. Полевой способ измерения удельного электрического
сопротивления грунта (обозначения в тексте)
Электродами (2) могут служить 1,5 - 2 дюймовые трубы (в зависимости от наличия у исследователей), погруженные в скважины (1). Целесообразно использовать разведочные скважины, если они имеются на площадке измерения. Скважины должны быть перекрыты (4) от поступления грунтовых (надмерзлотных) вод и в них определена температура вечномерзлого грунта.
Электроды опускаются в скважины непосредственно перед измерением электрического сопротивления. Перед опусканием трубчатые электроды зачищают на участке трубы, который будет находиться в толще вечномерзлого грунта и покрывают изоляционным лаком на участке (3), который будет располагаться в талом грунте (5). Пространство между стенкой скважины и электродом заполняют 10% водным раствором хлористого кальция или поваренной соли с уровнем поверхности на 20 - 50 см ниже верхней поверхности (7) вечномерзлых грунтов.
Измерение сопротивления электродной пары производят измерителем (6) сопротивления заземления, например, АЕС-08.
Измерение следует производить с 5 - 6 кратной повторяемостью расчетная величина R определяется как среднеарифметическая.
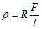
Удельное электрическое сопротивление мерзлых грунтов

(Ом·см) вычисляется по формуле:

, (9)
где R - среднеарифметическая величина измеренного сопротивления электродной пары в Ом;
h - средняя толщина

слоя исследуемого мерзлого грунта в см;
a - расстояние между электродами в см;
r - радиус скважины в см.
Определенное таким способом удельное электрическое сопротивление представляет среднюю величину для грунта в исследуемом слое при измеренной температуре грунта.
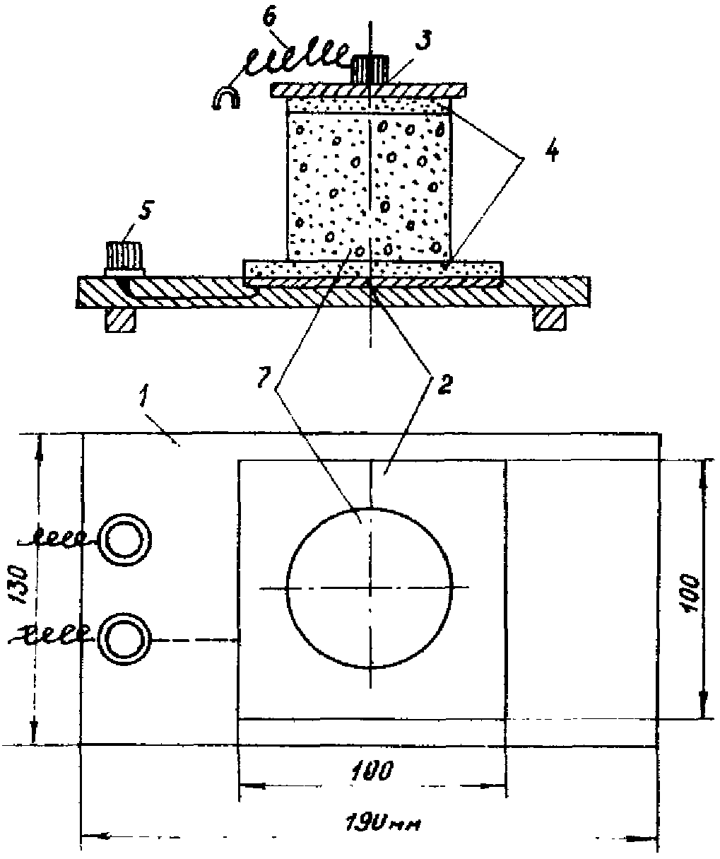
При лабораторном способе удельное электрическое сопротивление образцов грунта естественного сложения или искусственно приготовленных измеряется при заданной температуре. Образцам придается правильная геометрическая форма (цилиндр, параллелепипед) известных размеров, причем высота их должна быть не менее 10 см, а верхняя и нижняя поверхности плоскими и параллельными друг другу.
Прибор для лабораторного определения удельного сопротивления грунтов представляет (рис. 2) собой две основные части: панель (1) в виде столика, изготовленную из диэлектрического материала, и электродов (2) и (3) состоящих из двух плоских медных или латунных квадратных пластинок толщиной 3 - 4 мм.
Рис. 2. Лабораторный способ измерения удельного
электрического сопротивления грунта (обозначения в тексте)
Нижний электрод (2) наглухо вмонтирован в панель и имеет соединение с одной из клемм (5). Верхний (3) - расположен отдельно от прибора и соединяется со второй клеммой (5) на панели посредством гибкого провода (6). Исследуемый образец грунта (7) устанавливается на нижний электрод и плотно прикрывается верхним электродом. Надежность контакта электродов с грунтом обеспечивается прокладками (4) из поролона, пропитанного концентрированным раствором медного купороса или прослойками гранулированного промытого графита; в отдельных случаях допускается использование для этой цели глинистых паст.
Измерение сопротивления может производиться любым мостом сопротивления например, измерителем заземления МС-08, М-416 или электроразведочными приборами типа ИКС и АНЧ. Рекомендуется определять сопротивление при 3 - 4 кратной повторности измерения, а удельное электрическое сопротивление (

, в Ом·см) вычислять по формуле

, (10)
где R - среднеарифметическая величина измеренного сопротивления образца в Ом;
F - площадь поперечного сечения образца в плоскости электродов в см2;
l - высота образца в см.
ГЛАВА II. ПРОЕКТИРОВАНИЕ ОСНОВАНИЙ И ФУНДАМЕНТОВ
С ПРЕДПОСТРОЕЧНЫМ ОТТАИВАНИЕМ ВЕЧНОМЕРЗЛЫХ ГРУНТОВ
Общий порядок проектирования основания
2.1. Проектирование основания, сложенного вечномерзлыми грунтами, после принятого решения производить предпостроечное оттаивание мерзлых грунтов в основании, осуществляется в следующем порядке.
1. На основе материалов изысканий на стройплощадке и, главным образом, на участке, где будет размещен проектируемый объект, составляются расчетные инженерно-геокриологические профили до линиям расположения фундаментов здания для которых будет производиться расчет основания. На профилях отмечаются характеристики грунтов, необходимые для расчета основания. Недостающие в материалах характеристики дополняются установленными косвенным путем или ориентировочно. Эти характеристики должны быть особо отмечены, на профилях, так как использованы в расчетах могут быть условно, приближенно.
На всех профилях наносится положение верхней границы вечномерзлых грунтов и выделяются льдистые слои мерзлого грунта по характеристике Лв и криогенной текстуре.
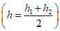
2. На профилях определяется примерное положение фундаментов, указывается предварительная конструкция пола первого этажа (и подполья, если оно предусмотрено заданием) и температурный режим в помещениях или локальных теплоисточников внутри здания, а также вблизи здания (сантехнические и тепловые коммуникации).
3. Пользуясь данными, указанными на инженерно-геокриологических профилях, производится расчет глубины оттаивания основания под зданием в предположении, что оттаивание вечномерзлых грунтов в основании будет происходить в эксплуатационный период. Расчетом устанавливается предельный контур зоны оттаивания под всем зданием.
4. Согласно значениям характеристик грунтов производится для нескольких мест здания предварительная оценка величины осадки при оттаивании на глубину всей зоны оттаивания.
Предварительную оценку величины осадки рекомендуется определять по упрощенной формуле

, (11)
где Лвi - льдистость за счет ледяных включений в долях единицы i-ого слоя грунта;
kвi - коэффициент, учитывающий неполное смыкание макропор при оттаивании мерзлого грунта и принимаемый в зависимости от средней толщины ледяных включений

согласно п. 5.35 главы СНиП II-Б.6-66;
n - число слоев, с различными значениями Лв и kв;
hi - толщина i-ого слоя в см; основание разбивается по слоям в зависимости от напластований грунтов и их характеристик, особенно льдистости.
5. По полученным данным о величине осадки основания устанавливается глубина необходимого предпостроечного оттаивания. Искомая глубина определяется из условия, что осадка оснований после возведения здания не будет больше предельно допустимой в соответствии с
таблицей 11 СНиП II-Б.1-62 <x>.
6. Выбирают конструкцию фундамента и задаются глубиной его заложения в зависимости от конструктивных, технологических потребностей и расчетной глубины промерзания.
Контуры фундамента изображаются на расчетных инженерно-геокриологических разрезах. На разрезах также должны быть указаны предварительная граница предпостроечного оттаивания и граница зоны предельного оттаивания основания.
На разрезах указываются измененные характеристики грунтов, соответствующие их состоянию после предпостроечного оттаивания.
7. Определяют размеры фундамента исходя из указанных в материалах изысканий средних давлений для того вида оттаявшего основания, на который опирается подошва фундамента.
Давление
p на грунт под подошвой фундамента от нормативных нагрузок для всех видов оттаявших и оттаивающих грунтов не должно превышать значений
Rн, приведенных в
табл. 14 главы СНиП II-Б.1-62 <x>. В этом случае
p =
Rн.
8. Производят повторный расчет осадки основания с учетом нагрузки сооружения для типичных частей фундамента (типичных по размерам в плане, по нагрузке, по глубине предварительного оттаивания под подошвой фундамента и по глубине оттаивания нижележащего вечномерзлого грунта в эксплуатационный период). Определяют при этом предельную величину осадки здания в разных точках и величину перекоса из-за неравномерности осадки. Величину перекоса следует определять также и для промежуточного времени оттаивания грунтов в основании в эксплуатационный период.
9. По результатам повторного расчета осадки основания уточняется глубина предпостроечного оттаивания под зданием. Устанавливаются контуры массива вечномерзлого грунта под зданием, подлежащего предпостроечному оттаиванию.
10. Для зданий, рассчитываемых в соответствии с п. 3.1 СНиП II-Б.6-66 на восприятие повышенных неравномерных деформаций, устанавливаются (задаются) свои предельные величины осадки и перекоса, применительно к которым определяется глубина предпостроечного оттаивания вечномерзлого грунта в основании.
11. Если невозможно достигнуть снижения величины осадки основания до предельно допустимой для проектируемого здания или сооружения с помощью только одного предпостроечного оттаивания, то надлежит проектировать специальное упрочнение грунтов основания.
2.2. Выбор способа оттаивания вечномерзлых грунтов в основании и выполнения производства работ по оттаиванию и упрочнению осуществляется исходя из следующих условий.
1. Способ оттаивания мерзлых грунтов выбирается в зависимости от их состава.
Если основание сложено мерзлыми щебенистыми галечниковыми грунтами с гравелистым, песчаным или супесчаным заполнением пор (при условии, что пылеватых и глинистых частиц в порах содержится не более 10% от объема заполнителя), дресвяным или гравийным грунтом с песчаным или супесчаным заполнителями пор, песчаным грунтом крупный и средней крупности, а также выветрелыми трещиноватыми скальными породами, то рекомендуется выбирать гидравлический способ оттаивания (водой или паром).
Показателем применимости гидрооттаивания служит коэффициент фильтрации оттаиваемого грунта, который должен быть не менее 10 м/сутки (1,2·10-2 см/сек).
Если основание сложено мерзлыми глинистыми грунтами или песчаными с содержанием пылеватых и глинистых частиц, то рекомендуется оттаивание таких грунтов производить с помощью электричества. При этом электричество может пропускаться непосредственно через оттаиваемый грунт или использоваться в приборах типа кипятильников и тэнов, погруженных в грунт.
Допустимо применение электричества и для оттаивания крупнообломочных и песчаных грунтов, если это окажется технически целесообразно, и применение пара и воды для оттаивания глинистых и мелкопесчаных грунтов при условии, что эти теплоносители будут находиться в замкнутой системе, не соприкасаясь непосредственно с грунтом. Возможно комбинированное применение способов оттаивания, если это не приведет к ухудшению качеств оттаиваемых грунтов как оснований зданий или сооружений.
2. Сроки выполнения этапов работы по подготовке основания координируются с плановым сроком строительства.
3. В зависимости от требующейся по расчету глубины предпостроечного оттаивания, контуров зоны оттаивания вечномерзлого грунта в основании здания и установленных по этапам сроков работ, а также экономически целесообразного их осуществления, назначаются расстояния между гидроиглами (или электродами), глубина их погружения, количество подаваемой воды (или электроэнергии).
Определяются потребные мощности электроэнергии, составляются схемы соединений электропроводов к электродам (или трубопроводам к гидроиглам), устанавливаются сроки включения электроэнергии и разрабатывается график выполнения работ.
4. Устанавливаются мероприятия по упрочнению оттаявших грунтов, порядок их выполнения и способы работы, если при проектировании основания выявляется необходимость в таких мероприятиях.
5. На плане участка работ по оттаиванию намечаются контрольные точки для наблюдения за ходом осадки оттаивающего грунта в основании за изменением плотности, влажности, прочностных характеристик после оттаивания.
2.3. Проектирование работ по осуществлению предпостроечного оттаивания вечномерзлых грунтов и упрочнения оттаявших грунтов должно завершаться указаниями по технике безопасности в виде текста конкретных мероприятий для данного возводимого здания или сооружения, составленными в соответствии со
СНиП III-А.11-70 "Техника безопасности в строительстве" и указаниями настоящих Рекомендаций.
Расчет зоны оттаивания вечномерзлых грунтов
в основании проектируемого здания
2.4. Теплотехнический расчет оттаивания вечномерзлых грунтов в основании проектируемого здания производится для установления конфигурации зоны оттаивания на заданные моменты времени и предельной конфигурации.
Оттаивание грунтов в основании эксплуатирующегося здания сначала происходит сравнительно быстро, затем со временем замедляется и, достигнув некоторой глубины Hп, полностью прекращается. К этому времени под зданием в основании образуется предельная конфигурация зоны оттаивания и устанавливается стационарное распределение температуры.
В период оттаивания основания происходит уплотнение оттаивающего и оттаявшего грунта и соответственно этому осадка расположенного на таком основании здания.
Конфигурация зоны оттаивания основания по поперечному сечению здания как правило с достаточной для практики точностью определяется установлением путем расчета глубины оттаивания в центре (середине) здания, на расстоянии 0,25B (где B - ширина здания), 0,4B и 0,475B (условно - край здания) от центра.
Поперечные сечения для расчета контура зоны оттаивания намечаются в типичных и особых местах по длине здания. Особыми местами будут такие, где имеются большие источники тепла, помещения с отличным от всего здания температурным режимом и т.п.
Теплотехнический расчет основания должен проводиться в соответствии с указаниями СНиП II-Б.6-66 (п.п. 5 - 8 Приложения), учитывая при этом рекомендации Пособия к СНиП II-Б.6-66.
2.5. Методика теплотехнического расчета, приведенная в СНиП II-Б.6-66 и в Пособии к нему, относится к случаям, когда мерзлый грунт в основании начинается с поверхности земли и распространен непрерывно по глубине.
Если же верхняя поверхность вечномерзлых грунтов (ВПВМГ) располагается на некоторой глубине
H0 от поверхности земли (так, что над вечномерзлым грунтом находится слой талого грунта), то рекомендуется производить теплотехнический расчет хода оттаивания основания предположив, что ВПВМГ находится на поверхности земли, а затем уже принять за начало отсчета (за нуль) времени то время

, которое соответствует оттаиванию на глубину
H0 (рис. 3, первая схема), то есть точку
M'. Или же, не меняя положения координаты времени, можно передвинуть кривую в горизонтальном направлении из точки
M в точку
M' и в расчетах основаниях пользоваться кривой 1'.
Рис. 3. Схемы построения расчетных линий хода
оттаивания основания на разных вертикалях
В случае наклонного положения ВПВМГ (
рис. 3, вторая схема) ход глубины оттаивания во времени определяется для каждой расчетной вертикали (А, Б, В...) в предположении, что вечномерзлый грунт начинается с поверхности земли; а затем приводится к единому времени отсчета.
Приняв за начало отсчета времени точку
K' на линии хода оттаивания для вертикали с самым малым временем

(вертикаль Б) и передвинув линию хода из точки
K в точку
K'', все остальные линии также должны быть передвинуты влево на отрезок
KK''. Горизонтальные участки
N'' N''' и
L'' L''' означают, что на вертикалях А и В оттаивание основания при едином времени отсчета начнется несколько позднее.
Приведенная выше методика совмещения линий оттаивания грунта по каждой вертикали к единому времени отсчета является приближенной, но позволяет с достаточной для практики точностью решить поставленную задачу.
2.6. Формулы (47), (48) и др. СНиП II-Б.6-66, в которые входит аргумент

(время), относятся к нестационарному температурному полю и не учитывают прекращение оттаивания основания по достижении предельной величины, характеризуемой стационарным распределением температуры. Поэтому, при больших значениях

следует проверять допустимость применения указанных формул или необходимость применения формул, определяющих предельную глубину оттаивания.
Выбор расчетной схемы (стационарное или нестационарное распределение температуры) и, следовательно, применение формул с аргументом

или формул (52), (53), (57), (58) СНиП II-Б.6-66, определяющих предельное положение контура зоны оттаивания, устанавливается по соотношению параметров

,

и
I (формулы (49), (50) и (51) в СНиП II-Б.6-66) на рис. 4.
Рис. 4. График выбора расчетной схемы
(стационарная, нестационарная)
Если на
рис. 4 точка пересечения перпендикуляров, проведенных к оси абсцисс и оси ординат для рассчитанных значений

и
I, лежит выше соответствующей линии равных значений

или на этой линии, то расчет должен производиться для стационарного состояния, если же точка окажется ниже линии значения

, то расчет должен производиться для нестационарного распределения температуры.
2.7. По формулам СНиП II-Б.6-66 с номограммами можно вычислить ход оттаивания по времени не более 30 - 40 лет.
За время более 30 лет глубину оттаивания грунта допустимо определять по приближенной формуле:

, (12)
где

- глубина оттаивания за время

, вычисленная по формулам СНиП II-Б.6-66;

- искомая величина глубины оттаивания за время

.
В связи с тем, что в примерах используются формулы и численные значения таблиц главы СНиП II-Б.6-66, поэтому в них сохранена действующая в СНиП система единиц, а для сопоставления в скобках приведены численные значения в системе СИ.
Пример 1. Требуется определить зону оттаивания вечномерзлого грунта в основании здания для разных моментов времени и предельное ее положение.
Размеры здания в плане: ширина B = 14 м, длина L = 30 м, температура воздуха внутри помещения tn = 16°, пол по грунту - слой бетона hб = 0,1 м, шлака hш = 0,8 м.
Термическое сопротивление пола (сопротивление теплопередаче) согласно СНиП II-А.7-71,
п.п. 2.7;
2.8 и др.) равно:
Грунт в основании - мерзлый суглинок, однородный на глубине со средней суммарной влажностью Wс = 0,32 (однородность грунта по составу и влажности принята в примере для упрощения арифметических подсчетов, практически же приходится учитывать более сложные инженерно-геологические условия).
Температура вечномерзлого грунта на глубине 10 м t0 = -2 °C.
Объемный вес мерзлого грунта (плотность)

,

, а после оттаивания

,

,
W = 0,24,
Wр = 0,18 и
Wп = 12.
Коэффициент теплопроводности мерзлого суглинка при

,
Wс = 0,32 и
t0 = -2° по табл. 10 СНиП II-Б.6-66

(1,95 Вт/(м·К)).
Коэффициент теплопроводности оттаявшего суглинка при

и
W = 0,24,

(1,5 Вт/(м·К)).
Расчет оттаивания произведем по вертикалям поперечного сечения здания, расположенным в середине, на расстоянии 0,25B, 0,40B и 0,475B от середины здания.
Глубину оттаивания грунта с поверхности под серединой здания (
Hс) за время

вычисляем по формуле (47) СНиП II-Б.6-66 <x>.
--------------------------------
<x> Номера формул, взятых из СНиП II-Б.6-66, ниже в примере приводятся без упоминания СНиП.

. Предварительно вычисляем параметры

,

и
I по формулам (49), (50) и (51).

;

;

.
Здесь

- время в часах;
q - вычисляется по формуле (40).
Для расчета значения q определим сначала весовое содержание незамерзшей воды Wн по формуле Wн = KнWр.
Коэффициент Kн берется из таблицы 1 СНиП II-Б.6-66.
При Wп = 12 и температуре грунта на глубине 10 м t0 = -2°, Kн = 0,50, Wн = 0,5·0,18 = 0,09 м

.
Теперь, задавая время

, за которое желаем определить глубину оттаивания, вычисляем
I.
Для времени


.
По номограммам
рис. 5, используя вычисленные значения
I = 0,009,

и

, находим для нашего случая

,
Kс = 0,04. Подставляя значения

и
Kс в формулу (47), находим глубину оттаивания
Hс за 3 месяца под серединой здания:
Hс = (0,11 - 0,04)·14 = 1 м.
Рис. 5. Номограммы для определения коэффициентов

и
Kс (СНиП II-Б.6-66, рис. 3)
Таким же способом определяем глубину оттаивания и за любое другое время. Значения глубин оттаивания под серединой здания за различные промежутки времени приведены в
таблице 2. По расчетным значениям глубин оттаивания вычерчивается линия оттаивания во времени (рис. 6, а).
Рис. 6. Линии оттаивания (к табл. 2,
3,
4 и
5)
Таблица 2
Глубина оттаивания грунта
Hс во времени
под центром здания (при

и

)
 , в час | I | | Kс | Hс; м |
1 | 2 | 3 | 4 | 5 |
2180 (3 мес.) | 0,009 | 0,11 | 0,04 | 1,0 |
4360 (6 м) | 0,018 | 0,17 | 0,06 | 1,8 |
8760 (1 год) | 0,036 | 0,25 | 0,08 | 2,4 |
17520 (2 г) | 0,072 | 0,33 | 0,11 | 3,1 |
26280 (3 г) | 0,108 | 0,41 | 0,12 | 4,1 |
35040 (4 г) | 0,144 | 0,45 | 0,12 | 4,6 |
43800 (5 лет) | 0,180 | 0,50 | 0,12 | 5,3 |
70080 (8 лет) | 0,288 | 0,58 | 0,13 | 6,3 |
87600 (10 л) | 0,359 | 0,64 | 0,13 | 7,1 |
105120 (12 л) | 0,430 | 0,70 | 0,13 | 7,9 |
122640 (14 л) | 0,499 | 0,73 | 0,13 | 8,4 |
140160 (16 л) | 0,574 | 0,76 | 0,13 | 8,8 |
219000 (25 л) | 0,895 | 0,88 | 0,13 | 10,5 |
На
рис. 4, при вычисленных значениях

,

и
I = 0,895 перпендикуляры к осям координат из точек

и
I = 0,895 пересекаются под линией

. Таким образом расчет по формуле (47) можно продолжить для времени более 25 лет.
Предельную глубину оттаивания (Hс.п.) под серединой здания определяем по формуле (52)

.
Значение
KII при

и

определяем по табл. 13 Приложения СНиП II-Б.6-66 путем экстраполяции;
KII = 0,6.
По номограмме рис. 7, а при

и

определяем (приближенно, поскольку искомая точка выходит за пределы номограммы)

. Тогда

.
Рис. 7. Номограммы для определения коэффициентов
(СНиП II-Б.6-66, рис. 5)
Глубину оттаивания грунта в основании здания на вертикали, отстоящей на расстоянии 0,25
B от центра здания, за время

рассчитываем по формулам (160) и (160а) Пособия к СНиП II-Б.6-66

, если

;

, если

.
Так как

,
KI = 1 (см. стр. 27 СНиП II-Б.6-66).
Значения

и
KI определяем по номограмме рис. 8 для тех же значений

,

и
I.
Рис. 8. Номограммы для определения коэффициентов

и
KI (Пособие к СНиП II-Б.6-66, рис. 43)
При
I = 0,009, а (по
рис. 8)

и
KI = 0,03, откуда:

.
Результаты расчета
H1 при разных значениях

сведены в таблицу 3 и выражены графически на
рис. 6, б.
Таблица 3
Глубина оттаивания грунта во времени на расстоянии 0,25
B
от центра здания (при

,

,
KI = 1)
 , час | I | | KI | | | H1, м |
2180 (3 мес.) | 0,009 | 0,14 | 0,03 | 0,11 | 0,003 | 1,53 |
4360 (6 м) | 0,018 | 0,17 | 0,04 | 0,13 | 0,003 | 1,80 |
8760 (1 год) | 0,036 | 0,22 | 0,065 | 0,155 | 0,004 | 2,11 |
17520 (2 г) | 0,072 | 0,31 | 0,08 | 0,23 | 0,006 | 3,14 |
26280 (3 г) | 0,108 | 0,38 | 0,08 | 0,30 | 0,008 | 4,08 |
35040 (4 г) | 0,144 | 0,43 | 0,08 | 0,35 | 0,009 | 4,77 |
43800 (5 лет) | 0,180 | 0,46 | 0,08 | 0,38 | 0,010 | 5,17 |
70080 (8 л) | 0,288 | 0,53 | 0,085 | 0,445 | 0,013 | 6,03 |
87600 (10 л) | 0,359 | 0,061 | 0,09 | 0,52 | 0,014 | 7,10 |
122640 (14 л) | 0,499 | 0,68 | 0,09 | 0,59 | 0,017 | 8,02 |
219000 (25 л) | 0,895 | 0,84 | 0,09 | 0,75 | 0,023 | 10,40 |
Предельная глубина оттаивания на вертикали 0,25BH1п вычисляется по формуле (162) Пособия к СНиП II-Б.6-66:

.
В нашем случае при

и

, коэффициент
Kп, установленный экстраполяцией по таблице 13, СНиП II-Б.6-66, равен 0,6.
Расчетный коэффициент

определяется по номограмме рис. 9. При

и

,

.
Рис. 9. Номограммы для определения коэффициентов

и

(Пособие к СНиП II-Б.6-66, рис. 45)
Тогда
H1п = 0,6·1,95·14 = 16,4 м; то есть более глубины оттаивания за 25 лет (см.
табл. 3).
Глубина оттаивания на расстоянии 0,4B от центра здания H2 рассчитывается по формулам (161) и (161 а) Пособия к главе СНиП II-Б.6-66.

;

.
Коэффициенты

и
K2 определяются по номограмме рис. 10, для значений

,

и

, где

- время в часах.
Рис. 10. Номограммы для определения коэффициентов

и
K2 (Пособие к СНиП II-Б.6-66, рис. 44)
Для
I = 0,009, а

и
K2 = 0,03;
KI = 1. Тогда

.
Расчетные значения
H2 для разного времени

сведены в таблице 4 и графически на
рис. 6, в.
Таблица 4
Глубина оттаивания
H2 во времени на расстоянии 0,4
B
от центра здания (при

,

,
KI = 1)
 , час | I | | K2 | | | H2, м |
1 | 2 | 3 | 4 | 5 | 6 | 7 |
2180 (3 мес.) | 0,009 | 0,09 | 0,03 | 0,06 | 0,002 | 0,82 |
4360 (6 мес.) | 0,018 | 0,15 | 0,05 | 0,10 | 0,003 | 1,36 |
8760 (1 год) | 0,036 | 0,19 | 0,06 | 0,13 | 0,004 | 1,76 |
17520 (2 г) | 0,072 | 0,26 | 0,08 | 0,18 | 0,005 | 2,45 |
26280 (3 г) | 0,108 | 0,32 | 0,09 | 0,23 | 0,006 | 3,13 |
35040 (4 г) | 0,144 | 0,35 | 0,09 | 0,26 | 0,007 | 3,54 |
43800 (5 лет) | 0,180 | 0,39 | 0,10 | 0,25 | 0,008 | 3,94 |
70080 (8 л) | 0,288 | 0,46 | 0,10 | 0,36 | 0,009 | 4,91 |
87600 (10 л) | 0,359 | 0,51 | 0,10 | 0,41 | 0,011 | 5,57 |
122640 (14 л) | 0,499 | 0,57 | 0,10 | 0,47 | 0,013 | 6,38 |
219000 (25 л) | 0,895 | 0,70 | 0,10 | 0,60 | 0,017 | 8,15 |
Предельная глубина оттаивания на вертикали 0,4B от центра H2п определяется по формуле (163) Пособия к СНиПу II-Б.6-66

.
Коэффициент

определяется по номограмме
рис. 9.
В нашем примере
KII = 0,6 и

, откуда
H2п = 0,6·1,9·14 = 15,9 м.
Глубина оттаивания на расстоянии 0,475B от центра здания (край здания) Hк рассчитывается по формулам (48) и (48а)

.

.
В нашем примере
KI = 1, а

и
Kк определяются по номограмме рис. 11.
Рис. 11. Номограммы определения коэффициентов

и
Kк (СНиП II-Б.6-66, рис. 4)
При

,

и
I = 0,009

,

и
Kк = 0,05, тогда

.
Значения
Hк для разного времени

сведены в таблице 5 и изображены на
рис. 6, г. Оттаивание на глубину менее глубины заложения фундаментов в расчете основания и фундаментов практически не учитывается.
Таблица 5
Глубина оттаивания
Hк во времени
на расстоянии 0,475B от центра здания
 , час | I | | Kк | | | Hк, м |
2180 (3 мес.) | 0,009 | 0,065 | 0,05 | 0,015 | 0,001 | 0,2 |
4360 (6 мес.) | 0,018 | 0,09 | 0,06 | 0,03 | 0,001 | 0,4 |
8760 (1 год) | 0,036 | 0,14 | 0,08 | 0,06 | 0,002 | 0,8 |
17520 (2 г) | 0,072 | 0,17 | 0,09 | 0,08 | 0,002 | 1,1 |
26280 (3 г) | 0,108 | 0,21 | 0,10 | 0,11 | 0,003 | 1,5 |
35040 (4 г) | 0,144 | 0,25 | 0,10 | 0,15 | 0,004 | 2,0 |
43800 (5 лет) | 0,180 | 0,26 | 0,11 | 0,15 | 0,004 | 2,1 |
70080 (8 л) | 0,288 | 0,32 | 0,12 | 0,20 | 0,005 | 2,7 |
87600 (10 л) | 0,359 | 0,36 | 0,12 | 0,24 | 0,006 | 3,3 |
122640 (14 л) | 0,499 | 0,45 | 0,12 | 0,33 | 0,007 | 4,5 |
219000 (25 л) | 0,895 | 0,55 | 0,12 | 0,43 | 0,015 | 5,7 |
Предельная глубина оттаивания основания под краем здания (0,475B) Hкп определяется по формуле (53)

.
Здесь
KII был определен выше и равен 0,6, а коэффициент

определяется по номограмме
рис. 7, б.
Тогда Hкп = 0,6·1,85·14 = 15,5 м.
Полученные численные значения глубины оттаивания основания по поперечному разрезу здания за 10, 25 лет и в пределе изображены графически на рис. 12.
Рис. 12. Контур зоны оттаивания основания
за 10, 25 лет и предельный (к примеру 1)
Пример 2. Требуется определить зону оттаивания вечномерзлого грунта для разных моментов времени и предельную зону в основании здания, имеющего подвал, заглубленный от поверхности земли на H = 3 м.
В подвале расчетная температура помещения равна tп = +8°. Термическое сопротивление пола R = 2,0 м2·ч·град/ккал. (1,72 м2К/кВт).
Размеры здания в плане
B = 14 м,
L = 30 м. Грунт в основании такой же, как был в
примере 1, поэтому характеристики грунта также остаются прежние.
Глубина оттаивания грунта (считая от поверхности грунта под полом подвала здания) за время

под серединой
Hс и под краем
Hк здания определяется по формулам (54) и (55)

;
Hк = KIIIHс.
Коэффициент

определяется по номограмме рис. 13 для соотношения

и заданного значения

путем подстановки в формулу вычисления
I.
Рис. 13. Номограммы для определения коэффициента

(для промежуточных значений

коэффициент

определяется интерполяцией (СНиП II-Б.6-66, рис. 6)
В нашем примере
KI = 1;

;

;

.
Значение I определяется по формуле (56)

.
Предварительно вычислим
I0 по номограмме
рис. 13, пользуясь

и

.
Тогда
I0 = 0,015, а

.
KIII определяется из таблицы 14 СНиП II-Б.6-66; KIII = 0,9.
Расчет глубины оттаивания
Hс и
Hк произведен в нижеследующей таблице 6;

определено по номограмме
рис. 13 при

.
Таблица 6
Глубина оттаивания грунта во времени
под серединой Hс и краем Hк здания с подвалом
 , час | I | | | Hс, м | Hк, м |
2180 (3 мес.) | 0,019 | 0,16 | 0 | 0 | 0 |
4360 (6 м) | 0,024 | 0,18 | 0 | 0 | 0 |
8760 (1 год) | 0,033 | 0,24 | 0,06 | 0,8 | 0,7 |
17520 (2 г) | 0,051 | 0,30 | 0,12 | 1,7 | 1,5 |
26280 (3 г) | 0,069 | 0,34 | 0,16 | 2,2 | 2,0 |
35040 (4 г) | 0,087 | 0,38 | 0,20 | 2,8 | 2,5 |
43800 (5 лет) | 0,104 | 0,40 | 0,22 | 3,1 | 2,8 |
70080 (8 л) | 0,159 | 0,48 | 0,30 | 4,2 | 3,8 |
87060 (10 л) | 0,194 | 0,51 | 0,33 | 4,6 | 4,1 |
122640 (14 л) | 0,266 | 0,58 | 0,40 | 5,6 | 5,0 |
219000 (25 л) | 0,462 | 0,70 | 0,52 | 7,3 | 6,6 |
Предельная (максимальная) глубина оттаивания (считая глубину от поверхности грунта под полом подвала) под серединой Hсп и краем Hкп здания вычисляется по формулам (57) и (58).
В нашем примере

;

.
Здесь
KII = 0,71 определено по табл. 13 СНиП II-Б.6-66 при

и

;

определено по номограмме
рис. 7, в при

и

(экстраполяцией, приблизительно).
Расчет осадки оттаивающего основания
2.8. Осадка оттаивающего основания складывается из осадки вследствие таяния ледяных включений и осадки вследствие уплотнения грунта внешней нагрузкой.
Внешней нагрузкой являются нагрузка от здания или сооружения и в случаях планировки территории с подсыпкой или временной пригрузки основания слоем грунта - нагрузка от грунта в подсыпке, расположенного выше естественной (до начала строительства) поверхности земли.
Осадка слоя грунта от таяния ледяных включений, определяемая в общем объеме льда, частично происходит самопроизвольно, а затем, в остальной части, - под нагрузкой от вышележащего грунта.
2.9. Осадка
S всей толщи оттаивающего основания на глубину

определяется по формуле (28) СНиП II-Б.6-66.

, (13)
где Kвi - коэффициент, учитывающий неполное смыкание макропор при оттаивании вечномерзлого грунта;
Лвi - льдистость за счет ледяных включений в i-ом слое грунта, выраженная в долях единицы;
ai - коэффициент сжимаемости в Па-1 (см2/кгс) i-ого слоя оттаивающего грунта;

- давление в Па (кгс/см
2), возникающее в середине
i-ого слоя оттаивающего грунта от нагрузки, передаваемой фундаментом, и равное

, и от собственного веса грунта

:

.
Давление от грунта

рекомендуется принимать в расчете по формуле (28) СНиП II-Б.6-66. только в том случае, если произведена подсыпка на естественную поверхность земли. Тогда давление

будет постоянным для всех слоев оттаивающего грунта в основании и равным

,
где

- плотность (объемный вес) грунта в подсыпке, в кг/м
3 (кгс/м
3);
Hподс. - толщина слоя подсыпки, в м (см).
Давление от фундамента здания учитывается при расчете осадки на глубину Z сжимаемой толщи ниже подошвы фундамента, на которой удовлетворяется условие

, (14)
где

- бытовое давление на глубине
Z.
2.10. Расчет осадки оттаивающего основания при предпостроечном оттаивании надлежит производить по вышеприведенной формуле, но без включения давления от фундамента. Осадка основания от давления фундамента будет проходить в период строительства и эксплуатации здания.
2.11. Осадка основания под зданием, возведенном на предварительно оттаявшем основании на глубину Hпр.от., определяется по формуле:

, (15)
где m - число слоев грунта в основании при предельной, максимальной глубине оттаивания основания на весь эксплуатационный период;
l - число слоев грунта в основании, оттаявшем на глубину
Hпр.от., в которых давление от фундамента учитывается только в пределах глубины
Z, где

;

- в данной формуле только давление от фундамента в середине
i-ого слоя.
Рекомендуется осадку основания в разных точках здания определять для разных периодов оттаивания в эксплуатационный период с тем, чтобы можно было определить возможные перекосы здания.
Определение необходимой глубины
предпостроечного оттаивания основания
2.12. Условием нормального эксплуатационного состояния всякого здания или сооружения является соблюдение требований
п.п. 5.24 -
5.26 СНиП II-Б.1-62 <x> и п. 3.17 СНиП II-Б.6-66, чтобы деформация (осадка и перекосы) не превышали предельно допустимых по технологическим требованиям или по прочности конструкции.
Деформация здания или сооружения, возведенного на предварительно оттаявшем (на некоторую глубину) основании, в эксплуатационный период происходит вследствие продолжающегося оттаивания вечномерзлого грунта в нижней части основания и соответствующего этому уплотнения основания от оттаивания и от давления фундамента.
2.13. В зависимости от глубины залегания верхней поверхности вечномерзлых грунтов, ее формы и толщины слоя вечномерзлых грунтов выделяются следующие основные расчетные схемы предпостроечного оттаивания на глубину
hот при оттаивании за период эксплуатации здания на глубину
hmax (рис. 14):
а) вечномерзлые грунты залегают непосредственно под слоем сезонного промерзания - оттаивания, то есть с глубины hс;
б) поверхность вечномерзлых грунтов в пределах контуров зданий или всей строительной площадки расположена несколько ниже слоя сезонного промерзания-оттаивания, но на одной, установленной в материалах изысканий, глубине hт, от уровня планировки;
в) поверхность вечномерзлых грунтов в пределах контуров зданий или сооружений расположена на разной глубине от проектного уровня подошвы фундаментов или планировки;
г) толщина вечномерзлой толщи hсм незначительна, то есть примерно, не более 15 - 25 м.
Рис. 14. Расчетные схемы предпостроечного
оттаивания (обозначения см. в тексте)
2.14. По рассчитанным величинам глубины оттаивания в разных точках здания, определенным для разных моментов времени, строится график хода оттаивания во времени на плановый срок эксплуатации здания. Пользуясь приведенными в материалах изысканий данными о коэффициенте оттаивания
A или льдистости за счет ледяных включений Л
в, определяется по
формуле (15) осадка слоев грунта в оттаивающем основании и затем координировано с графиком оттаивания во времени, строится график осадки оттаивающего основания во времени.
Таким образом, по графикам может быть определена осадка во времени оттаивающего основания и предельная величина осадки за срок эксплуатации здания.
Осадка здания или сооружения в случае использования вечномерзлых грунтов в основании по II принципу, как правило, определяется величиной деформации оттаивающего в период эксплуатации грунта. Поэтому чем больше глубина предпостроечного оттаивания, тем меньше будет осадка возведенного сооружения, и, следовательно, тем экономичнее будут фундаменты и конструкция сооружения.
Уменьшение глубины предпостроечного оттаивания удешевляет работы нулевого цикла, но может повлечь за собой увеличение стоимости сооружения из-за необходимости усложнить его конструктивные элементы.
Минимально необходимая глубина предпостроечного оттаивания вечномерзлых грунтов в основании здания определяется условием, чтобы деформации эксплуатируемого здания не превышали предельно допустимых.
2.15. Площадь, в пределах которой производится предпостроечное оттаивание, должна распространяться за контуры здания или сооружения не менее чем на половину расчетной глубины предпостроечного оттаивания у края здания, считая глубину от верхней поверхности вечномерзлых грунтов до оттаивания.
При назначении размеров площади предпостроечного оттаивания необходимо учитывать наличие близ расположенных действующих санитарно-технических коммуникаций, с тем, чтобы оттаиванием не нарушить устойчивость коммуникаций как в период строительства, так и в период эксплуатации возводимого здания.
2.16. В том случае, если верхняя поверхность вечномерзлых грунтов не выдержана по горизонтали не только по ширине здания (схема "в" на
рис. 14, но и по его длине
L, то глубины оттаивания по характерным вертикалям по длине здания (центр, край, 0,25
L, 04
L) при однородных инженерно-геологических условиях допустимо считать равными глубинам оттаивания на соответствующих вертикалях по ширине здания.
2.17. Установление минимально необходимой глубины предпостроечного оттаивания начинается с разметки на схеме конструкции здания осадочных швов и размеров фундаментов. Размеры подошвы фундамента выбирают такими, чтобы среднее давление на грунт под подошвой отвечало бы требованиям п. 5.26 СНиП II-Б.6-66. После этого сначала определяется осадка основания в предположении, что грунт в основании будет находиться в оттаявшем состоянии на глубину, соответствующую полному сроку эксплуатации здания или сооружения.
Расчет осадки производится для характерных вертикалей по ширине здания в нескольких сечениях. Количество сечений принимается в зависимости от неравномерности залегания ВПВМГ так, чтобы обеспечивалась достоверность расчетной средней осадки сооружения. В результате расчета осадок для характерных вертикалей вычисляется средняя осадка и выявляется ее неравномерность (то есть перекос) и сопоставляется с предельными величинами, установленными для проектируемых конструкций здания и его фундаментов.
В результате сопоставления возможно окажется, что осадка оттаивающего основания не превысит предельно допустимой для данного проектируемого сооружения. В таком случае нет необходимости производить предпостроечное оттаивание основания.
Возможно, что осадка оттаивающего основания будет больше предельно допустимой величины, но она может быть уменьшена путем предварительного оттаивания основания на некоторую глубину в пределах зоны оттаивания вечномерзлого грунта под здания. В этом случае предпостроечное оттаивание целесообразно и эффективно.
Наконец возможно, что даже после оттаивания основания на его полную глубину, осадка основания все же останется более предельно допустимой. В этом случае потребуется либо искусственное уплотнение оттаявшего грунта, либо усиление конструкции здания и его фундамента с целью увеличения предельных допустимых величин осадок, либо увеличение площади подошвы фундаментов с целью уменьшения под ней среднего давления.
Вопрос об искусственном упрочнении грунта или усилении конструкции здания должен решаться экономическим сопоставлением. Возможны случаи, когда возникнет необходимость использовать оба мероприятия одновременно.
2.18. Рекомендуется, после первоначального расчета, производить контрольный расчет осадки фундаментов.
Осадка основания в пределах предварительно-оттаянного слоя рассчитывается в соответствии с п.п. 5.29 - 5.34 СНиП II-Б.6-66, а осадка слоя, оттаиваемого в период эксплуатации здания или сооружения в соответствии с п.п. 5.35 и 5.36 СНиП II-Б.6-66 и настоящих Рекомендаций. По результатам контрольного расчета корректируется окончательно принимаемая расчетная глубина предпостроечного оттаивания.
2.19. В случае, если нагрузка от здания или сооружения на предварительно оттаявший грунт основания будет передана до окончания уплотнения этого грунта, относительное сжатие
i-ого слоя грунта при расчете осадки основания следует принимать с учетом остаточного уплотнения оттаявшего грунта от собственного веса по формуле:

, (16)
где pi - давление от веса сооружения в i-ом слоев Па (кгс/см2);
ai - коэффициент сжимаемости i-го слоя в Па-1 (см2/кгс), определяемый опытным путем;
Лвi - льдистость вечномерзлого грунта за счет ледяных включений;
Kвi - коэффициент, учитывающий неполноту смыкания макропор (по СНиП II-Б.6-66);

- коэффициент, характеризующий недоуплотнение грунта от оттаивания вследствие некоторой устойчивости посткриогенной текстуры.
Поскольку

возможно определить только после осуществления работ по предпостроечному оттаиванию, весьма важен вопрос предварительного приближенного расчетного его определения.
Недоуплотнение оттаявшего грунта к моменту восприятия им нагрузки от возводимого здания следует учитывать, если решено возводить здание, не дожидаясь полного уплотнения оттаявшего грунта (менее, чем через два месяца после оттаивания), или, если оттаивание грунта осуществлялось в ограниченном объеме, например, вокруг отдельных вертикальных нагревателей в скважинах.
2.20. Явление недоуплотнения, связанное с оттаиванием грунта в ограниченном объеме, обуславливается боковым трением между оттаявшим грунтом и вмещающем мерзлым массивом. Для учета этого явления определяется степень недоуплотнения (коэффициент), представляющая собой отношение средней осадки оттаявшего грунта при ограниченном объеме оттаивания к средней осадке оттаявшего в условиях, когда ширина зоны оттаивания превышала бы глубину оттаивания.
Приближенно степень недоуплотнения возможно определить по формуле:

, (17)
где hот - глубина оттаивания в см;
b - наименьший размер зоны оттаивания в плане, в см;
Лв - льдистость вечномерзлого грунта;
a - коэффициент сжимаемости по данным лабораторных или полевых определений в П-1 (см2/кгс);

- плотность (объемный вес) оттаявшего грунта в кг/см
3 (кгс/см
3);

- угол внутреннего трения оттаявшего грунта в рад. (град);

- коэффициент бокового давления; для песчаных и крупнообломочных грунтов

, для суглинков и глин

.
При составлении проекта производства работ рекомендуется исключать из рассмотрения возможность недоуплотнения оттаивающего грунта, считая, что начало возведения сооружений должно производиться только после завершения осадки оттаявшего грунта. Время полной консолидации оттаявшего грунта как показывает практика, невелико даже для оснований сложенных глинистыми грунтами при обеспечении надлежащего его дренажа.
2.21. Расчеты глубины предпостроечного оттаивания и осадок основания довольно трудоемки. Поэтому их рекомендуется выполнять на ЭВМ. Использование ЭВМ, кроме сокращения времени расчетов, позволяет не прибегать к упрощениям и приближениям в аналитических теплотехнических расчетах.
Расчет несущей способности оснований,
сложенных оттаявшими грунтами
2.22. Расчет несущей способности оттаявшего основания производится с целью обеспечения устойчивости основания, а также недопущения сдвига фундамента по его подошве и выпирания грунта.
Расчет производится в соответствии со
СНиП II-Б.1-62 <x> и п.п. 5.1 - 5.4 и 5.13 главы СНиП II-Б.6-66.
Основное условие расчета определено формулой

где
N - расчетная нагрузка на основание, определенная в таком сочетании действующих на фундамент нагрузок, которое создает наибольшее деформативное или напряженное состояние основания; Ф - несущая способность основания для данного направления нагрузки N при расчетном состоянии оттаявшего грунта; Kн - коэффициент надежности, принимаемый для оттаявших грунтов не менее 1,3.
Предельное состояние устойчивости (несущей способности) оттаявшего основания характеризуется образованием в грунте поверхности скольжения, охватывающей всю подошву сооружения; при этом считается, что нормальные и касательные напряжения

и

по всей поверхности скольжения достигают значений, соответствующих предельному равновесию, определяемому формулой

,
где

- расчетное значение угла внутреннего трения оттаявшего грунта;
c - расчетное значение сцепления грунта.
2.23. Расчетные нагрузки и их сочетание определяются согласно главе СНиП II-А.11-73 "Нагрузки и взаимодействия. Нормы проектирования", а также с учетом особенности работы оттаявшего основания: если оттаивание слоя песчаного и крупнообломочного грунта происходило под давлением (включая бытовое давление) менее 0,05 МПа (0,5 кгс/см
2), а глинистого - под нагрузкой менее 0,1 МПа (1,0 кгс/см
2), то у оттаявшего грунта сохраняется повышенная уплотняемость под дополнительным давлением до указанных пределов нагрузки. После дополнительного обжатия грунт становится таким, что к нему применимы положения главы
СНиП II-Б.1-62 <x>. Проявление неравномерной осадки оттаявшего основания вследствие неодинакового распределения в вечномерзлом грунте ледяных прослоек вызывает необходимость дополнительного усиления конструкции здания и фундамента.
Особенности работы оттаявшего основания учитываются коэффициентами однородности грунтов K = 0,7 и коэффициентом условий работы m = 0,9.
2.24. Несущая способность оттаявшего основания зависит от того, с какой степенью полноты произошло изменение сложения (плотности) грунта при оттаивании. Разделенные ледяными прослойками минеральные агрегаты грунта сближаются и соприкасаются друг с другом по плоскостям контактов, происходит некоторое разрушение агрегатов и набухание за счет поглощения воды при таянии льда. В результате оттаявший грунт характеризуется соответствующим данному состоянию расчетным углом внутреннего трения -

и расчетным удельным сцеплением для глинистых грунтов или расчетным параметром линейности для песчаных грунтов -
C.
Характеристики мерзлых грунтов, оттаивающих и оттаявших грунтов должны определяться как правило по результатам исследования при проведении инженерно-геокриологических изысканий, а также (при необходимости) - специальных экспериментов.
Расчетные характеристики грунта принимаются равными нормативным деленным на коэффициент безопасности по грунту Kб, если нормативные характеристики установлены путем непосредственного определения при инженерно-геокриологических изысканиях на строительной площадке данного объекта.
Для оттаявших грунтов коэффициент Kб следует принимать равным 1,2.
Если нормативные характеристики установлены путем статистической обработки результатов массовых испытаний оттаявших грунтов или приняты каким-либо косвенным путем, например, на основе аналогий, эмпирических зависимостей между механическими и физическими характеристиками или по
таблице 13 главы СНиП II-Б.1-62 <x>, то расчетные характеристики определяются путем деления нормативных характеристик на
K = 1,1.
2.25. Нормативное давление на оттаявшие грунты допускается принимать по
таблице 14 главы СНиП II-Б.1-62 <x>, но с уменьшением их величин на 10%.
Среднее давление p на оттаявший грунт (согласно п. 5.26 главы СНиП II-Б.6-66) под подошвой фундамента для определения размеров фундамента не должно превышать значения, соответствующего по осадке основания пределу эксплуатационной пригодности надфундаментной конструкции.
Если при данных прочностных характеристиках грунта невозможно обеспечить требуемые условия по эксплуатационной пригодности здания, то необходимо искусственно упрочнять оттаявший грунт в основании.
Среднее давление p на оттаявший грунт не должно также превышать значения создающего нарушение прочности оттаявшего грунта.
2.26. Среднее давление по подошве фундамента от нормативных нагрузок не должно также превышать давление, устанавливаемое из условия применимости для расчета по деформациям формулы S <= Sпр указанной в главе СНиП на проектирование естественных оснований, где S - расчетная величина деформации основания и Sпр - предельная величина деформации основания, обеспечивающая эксплуатационную пригодность надфундаментной конструкции.
Учет влияния на устойчивость здания последующего
в эксплуатационный период оттаивания нижней части основания
2.27. После возведения здания или сооружения на предварительно оттаянном на расчетную глубину основания, его дальнейшая осадка в эксплуатационный период будет происходить:
а) вследствие дальнейшего уплотнения предварительно оттаявшего слоя основания под давлением, передаваемым фундаментом;
б) вследствие дальнейшего оттаивания, мерзлой части основания до предельной глубины и уплотнения при этом оттаивающего грунта.
В соответствии с указаниями п. 3.1 СНиП II-Б.6-66 осадка или перекосы здания или сооружения не должны превышать допустимых для данного объекта предельных зданий. В случае же неизбежной необходимости принять для какого-либо сооружения повышенную предельную осадку следует приспосабливать конструкции зданий и сооружений к таким повышенным и неравномерным осадкам.
Эти приспособления заключаются в применении гибкой схемы конструкции здания или сооружения, в разрезке здания на отдельные блоки равномерно по длине здания или неравномерно в зависимости от деформационных характеристик грунта в разных местах основания, в увеличении пролетов между фундаментными опорами, в устройстве поясов жесткости, дополнительного усиления отдельных узлов конструкции, в устройстве гибких соединений и подвижных опор между блоками, на лестничных клетках, тамбурах и крыльцах. Кроме того гибкие соединения должны быть предусмотрены у санитарно-технических коммуникаций на вводах и у технологического оборудования, расположенного внутри зданий, например, у подкрановых путей, конвейеров.
2.28. Осадочные швы надлежит устраивать в местах, разделяющих основание на участки с различными характеристиками уплотняемости оттаявших и оттаивающих грунтов, а также в местах с разными технологическими процессами в эксплуатируемом здании, создающими разное тепловое влияние на основание или с резко различными нагрузками и в том числе - разным количеством этажей.
Расстояние между осадочными швами рекомендуется не более 20 - 25 м или 1,5 высоты здания.
2.29. После завершения расчета и проектирования объемов работ по предпостроечному оттаиванию и упрочнению оттаивающих грунтов надлежит в процессе дальнейшего проектирования проверить расчетом величину и неравномерность осадки здания, возводимого на подготовленном основании, исходя при этом из условия, что оттаявший и упрочненный грунт имеет новые деформативные и прочностные характеристики.
Расчет производится, считая, что оттаявшие и упрочненные грунты становятся идентичными обычным, немерзлым грунтам.
2.30. Для укрепления стен на восприятие растягивающих напряжений следует предусматривать железобетонные пояса на уровне перекрытия 2-го и верхнего этажей.
Типы фундаментов, применяемых на оттаявших грунтах
2.31. Если в качестве основания используются предварительно оттаявшие грунты, то расположение подошвы фундаментов назначается из условия влияния сезонного промерзания грунтов согласно
п.п. 4.1 -
4.11 СНиП II-Б.1-62 <x>.
При обосновании отметка подошвы фундаментов может быть назначена
- ниже расчетной глубины сезонного промерзания (например, из-за подвального помещения в здании, из-за решения по технической и экономической целесообразности опереть фундаменты на более устойчивый, залегающий ниже грунт, или из-за примыкания к существующим сооружениям и в том числе из-за расположения коммуникаций);
- выше расчетной глубины промерзания, если слои грунта в пределах сезонного промерзания являются непучинистыми.
2.32. Глубина заложения фундаментов под опоры или оборудование, расположенные внутри отапливаемого здания, принимается минимально необходимая из условия устойчивости основания и фундаментов, но при обязательном соблюдении правила, отмечаемого в проекте организации работ, о недопущении промерзания грунтов под подошвой фундаментов. Промерзание может быть допущено лишь в том случае, если эти грунты не пучинистые.
2.33. Большая как правило сжимаемость и неравномерность сжимаемости оттаивающих грунтов в известной степени сказывается на качестве оттаявших грунтов (что бывает невозможно точно установить изыскательскими работами). Поэтому в проектировании оснований и фундаментов под современные многоэтажные здания с осуществлением предпостроечного оттаивания грунтов в основании следует в первую очередь ориентироваться на использование в качестве фундаментов относительно жестких конструкций, которые могут воспринимать усилия от неравномерной осадки основания.
В качестве жестких конструкций фундаментов рекомендуются сплошные и ребристые железобетонные плиты, перекрестные железобетонные ленты.
2.34. В зависимости от конкретных условий и конструкции здания или сооружения могут применяться следующие типы фундаментов:
а) ленточные бетонные фундаменты с армировкой арматурой в нижней и верхней частях поперечного сечения фундамента, с дополнительной армировкой в узлах пересечения продольных и поперечных лент для восприятия напряжений от возможной небольшой, случайной и неравномерной осадки основания, если согласно материалам изысканий вечномерзлые грунты в естественном состоянии залегают на строительной площадке (в контурах расположения проектируемого здания) практически на одинаковой глубине, однородны по своей криогенной текстуре и характеризуются малой уплотняемостью при оттаивании (Лв < 0,03); а в оттаявшем состоянии (в предпостроечно оттаявшей толще) малым коэффициентом сжимаемости (a < 0,01);
б) ленточные железобетонные фундаменты жестко связанные в местах пересечений лент поперечного и продольного направления; перекрестные плиты и железобетонные плиты, если верхняя поверхность вечномерзлых грунтов в естественном залегании располагалась практически на одной глубине, но вследствие неоднородности криогенного строения и льдосодержания, при предпостроечном оттаивании основания разность осадок отдельных точек на площадке составит до 30% при максимальной величине осадки от оттаивания не более 80 - 100 см;
в) железобетонные плиты или перекрестные железобетонные ленты, если верхняя поверхность вечномерзлых грунтов до начала работ по предпостроечному оттаиванию имела сложное очертание и мерзлые грунты залегали под одной частью здания близко от дневной поверхности, а под другой - глубоко, а по составу и льдосодержанию грунты являются неоднородными;
г) столбчатые с башмаками фундаменты и сваи-стойки, если грунты основания представлены крупнообломочными, песчаными грунтами или элювием коренных пород, когда осадка при оттаивании завершается наиболее полно и последующая осадка не будет неравномерной; при этом также необходимо, чтобы под слоем предпостроечно оттаявшего грунта находились малосжимаемые или скальные грунты;
д) сборные ленточные фундаменты, когда грунты основания однородны по своему составу, криогенной текстуре и сжимаемости при оттаивании и под слоем предварительно оттаявшего грунта находились малосжимаемые, скальные или немерзлые грунты (последнее - при малой толще вечномерзлых грунтов, что типично для южной части области распространения вечномерзлых грунтов);
2.35. Возводить фундаменты следует после завершения процесса предпостроечного оттаивания и уплотнения основания. При больших размерах сооружения в плане, необходимости ускорить темпы строительства или при ограниченной мощности энергии и оборудования допустимо предусмотреть в проекте возможность выполнения работ по оттаиванию основания и устройству фундаментов отдельными захватками.
2.36. При обосновании технической целесообразности в отдельных случаях можно устанавливать фундаментные балки или другие отдельные элементы фундамента до завершения процесса предпостроечного оттаивания и уплотнения основания. При этом непременно должно соблюдаться условие - оставление блоков или элементов фундамента не связанными друг с другом. Замоноличивание элементов фундамента в соответствии с проектом или укладка ростверков, устройство первого пояса по верху фундамента должны производиться по завершению предпостроечных работ по оттаиванию основания.
2.37. С целью поддержания основания в оттаявшем состоянии и защиты грунта на уровне подошвы фундамента от сезонного промерзания, рекомендуется устраивать полы по лагам на грунте или допускать минимальное по высоте подполье. Желательно, чтобы подполье было теплым и не вентилировалось зимой. Отмостка вокруг здания должна укладываться на шлаковую теплоизоляцию; вокруг здания рекомендуется устраивать зеленые насаждения с тем, чтобы зимой у зданий сохранялся снег как теплоизолятор от промерзания грунта. Не рекомендуется устраивать вплотную к зданию тротуар или проезжую часть, а также очищать от снега поверхность земли около здания.
ГЛАВА III. ПРОЕКТИРОВАНИЕ ПРЕДПОСТРОЕЧНОГО ОТТАИВАНИЯ
ВЕЧНОМЕРЗЛЫХ ГРУНТОВ В ОСНОВАНИИ И ПРОИЗВОДСТВО РАБОТ
3.1. Составление проекта предпостроечного оттаивания вечномерзлых грунтов в основании здания или сооружения производится на основе материалов инженерно-геокриологических изысканий, проектных расчетов основания и фундаментов и порядка обеспечения нормального эксплуатационного состояния проектируемого здания или сооружения. При этом учитываются:
- технические данные о конструкции проектируемого здания, его предельно допустимой осадке и неравномерности осадки (перекосов), осадочных швов, типе фундамента и способе его устройства;
- состав грунтов в основании с выделением слоев грунта, имеющего крупные фракции, которые будут затруднять погружение приборов для оттаивания грунта, и слоев с мелкими, глинистыми частицами, которые могут быть легко вымыты водой и легче пропускают электроток;
- содержание льда в мерзлом грунте основания с указанием содержания льда в прослойках (крупных включениях), в заполнителе пор для крупнообломочных грунтов; изменение содержания льда в слоях грунта по глубине и в горизонтальном направлении в толще основания с указанием границы зоны грунта, подлежащего предпостроечному оттаиванию под возводимым зданием;
- данные о расчетной величине осадки грунтов при оттаивании и карта ожидаемой осадки поверхности участка, где проектируется произвести оттаивание грунта;
- температура мерзлых грунтов;
- форма поверхности толщи вечномерзлых грунтов, наличие немерзлых слоев грунта и положение (глубина) нижней поверхности толщи вечномерзлых грунтов, если она не превышает 13 - 20 м;
- водопроницаемость грунтов в оттаявшем состоянии, характеризуемая коэффициентом фильтрации;
- время, отведенное по графику строительства объекта, на производство работ по предпостроечному оттаиванию.
3.2. Предпостроечное оттаивание грунтов в основании проектируемого здания, располагаемого вблизи ранее возведенных зданий, не должно осуществляться без специального обоснования, что это оттаивание вечномерзлых грунтов не вызовет дополнительные деформации окружающих зданий.
Расстояние проектируемого здания от ранее возведенных в таких случаях должно быть не менее предельной (максимальной) глубины оттаивания основания.
Способы оттаивания вечномерзлых грунтов
в основании и условия их применения
3.3. В практике строительства в области распространения вечномерзлых грунтов известны следующие, применявшиеся в отдельных районах области, основные способы оттаивания вечномерзлых грунтов:
1) водой речной или производственной (сбросной на электростанции, котельной и т.п.); 2) паром; 3) электричеством.
3.4. Водой допустимо оттаивать вечномерзлые песчаные и крупнообломочные грунты с песчаным заполнителем или без заполнителя. Вода подается в грунт через скважины или через погруженные в грунт трубы, перфорированные на заданном участке трубы, обычно на конце трубы.
Вода постепенно обогревает и оттаивает мерзлый грунт, проникает в поры и расширяет зону своего теплового действия. Передвижение воды по порам грунта должно происходить с такой скоростью, чтобы не вызвать недопустимого выноса (вымывания) мелких частиц грунта. Практически это устанавливается в процессе работы, наблюдая за мутностью удаляемой воды.
Не рекомендуется применять способ гидрооттаивания, если вокруг площадки имеются здания, возведенные на вечномерзлых грунтах с сохранением их мерзлого состояния (по I принципу), а слои крупнообломочных грунтов распространяются за контуры строительной площадки и имеют уклон залегания в сторону эксплуатируемых зданий.
3.5. Паром можно оттаивать мерзлые песчаные и крупнообломочные грунты.
Пар подается по трубам, погруженным предварительно в грунт на заданную глубину или постепенно погружаемым в грунт по мере его оттаивания.
Оттаивание мерзлого грунта паром может производиться так называемым "открытым" способом, когда пар подается и проникает непосредственно в грунт через отверстия в трубах-иглах, и "закрытым" способом.
При "закрытом" способе пар циркулирует в замкнутой системе и оттаивание грунта в данном случае происходит только за счет теплопередачи через стенку трубы. При таком способе оттаивания защищается грунт от дополнительного увлажнения и разрушения структуры механическим воздействием пара. Однако, при этом замедляется скорость оттаивания.
"Закрытый" способ оттаивания паром (или горячей водой) допустимо применять для глинистых и пылеватых грунтов.
3.6. Паропрогрев и гидрооттаивание допустимы также только в тех случаях, если грунтовые воды, движущиеся в оттаявшем слое не могут вызвать непредусмотренное оттаивание грунтов в основании соседних, стоящих в стороне от строительной площадки зданий и тем самым отрицательно повлиять на их устойчивость.
3.7. Электричеством производится оттаивание вечномерзлого грунта, пропуская ток непосредственно через толщу оттаиваемого грунта, или через нагревательные приборы (грелки, кипятильники), размещаемые в массиве грунта в скважинах (рис. 15).
Рис. 15. Схемы установки нагревателей
1 - 2 - подающая и отводящая теплоноситель трубы;
3 - обсадная труба скважины; 4 - заглушка трубы; 5 - вода
(или пар); 6 - внутренняя труба; 7 - коаксиальный или другой
омического сопротивления; 8 - подводка тока от электросети;
9 - металлический стержень; 10 - электроизоляторы
При пропуске тока через грунт происходит выделение тепла и постепенное нагревание и затем оттаивание грунта. Оттаивание грунта с помощью нагревательных приборов происходит за счет теплопередачи. Электрооттаивание грунтов путем пропуска тока непосредственно через толщу грунта применяется главным образом в глинистых грунтах, омическое сопротивление у которых несколько меньше (за счет наличия незамерзшей воды), чем у песчаных и крупнообломочных грунтов.
Способы оттаивания вечномерзлых грунтов с помощью отдельных нагревателей приводят к образованию менее плотного грунта, чем при оттаивании непосредственным воздействием электрического тока на грунт. Объясняется это тем, что оттаивание грунта с помощью отдельных нагревателей происходит радиально относительно источника тепла и его уплотнение задерживается силами трения на контакте с еще мерзлой частью грунта.
3.8. При электрооттаивании вечномерзлых грунтов необходимо предусматривать устройство поверхностного водоотвода и дренажа толщи основания с помощью вертикальных дрен. Вертикальными дренами могут быть: 1) электроды, если они представляют трубы хотя бы с редкой перфорацией; 2) окружающее электроды пространство, особенно, если электроды были погружены в скважины и обсыпаны песчано-гравийной смесью; 3) специальные скважины, заполненные песком.
3.9. Способ оттаивания выбирается прежде всего исходя из данных материалов инженерно-геологических и мерзлотных изысканий, характеризующих залегание и свойства грунтов на строительной площадке. При этом принимается во внимание: наличие крупных частиц в грунте - гальки, валунов, затрудняющих проходку скважин и погружение труб, электродов и дрен, форма поверхности вечномерзлых грунтов, глубина предпостроечного оттаивания; объем работ и сроки выполнения и др.
Если поверхность толщи вечномерзлых грунтов в пределах контура здания залегает на разной глубине или имеет сложную форму, а предпостроечное оттаивание необходимо для выравнивания поверхности или придания ей на заданной глубине определенного очертания, то оттаивание грунта рекомендуется производить с помощью электронагревательных приборов. Такими приборами можно направленно и в требующихся местах вести прогрев и оттаивание мерзлых грунтов.
Применить электроды для непосредственного электрооттаивания в данном случае нецелесообразно, так как электрический ток пойдет в первую очередь по немерзлому грунту и потому будет происходить избыточный нагрев немерзлой части основания (расположенной над поверхностью толщи вечномерзлых грунтов) и, следовательно, перерасход электроэнергии. Применение допустимо при условии устройства изоляции каждого электрода на участке расположения его в немерзлой части основания.
Если вечномерзлые грунты залегают близко под слоем сезонного промерзания, то целесообразно применять способ электрооттаивания вечномерзлых грунтов с помощью электродов.
3.10. Гидроиглы, электроды или другие источники тепла распределяются на площадке, где должно производиться предпостроечное оттаивание таким образом, чтобы осуществить оттаивание в заданный срок, в заданном объеме и наиболее эффективно.
Чем ближе друг к другу расположены электроды, электронагреватели и гидроиглы, тем быстрее произойдет оттаивание массива вечномерзлого грунта. Однако при этом увеличивается стоимость их устройства. Таким образом проектирование размещения электродов и др. должно выполняться с технико-экономическим обоснованием.
3.11. Выбор способа оттаивания мерзлого грунта также определяется техническими возможностями производства; наличием оборудования, энергии и ее видом, временем года, когда проектируется выполнять работы, и возможной продолжительностью периода предпостроечной подготовки. Чем короче плановый период работы, тем интенсивнее должно быть тепловое воздействие на грунт.
При выборе способа оттаивания грунта необходимо стремиться к возможно минимальному времени оттаивания грунта (в пределах экономической целесообразности), т.к. большая скорость оттаивания приводит к образованию оттаявшего грунта большей плотности, чем малая скорость оттаивания.
3.12. Целесообразно проводить предпостроечное оттаивание грунтов до вскрытия котлована, чтобы использовать бытовое давление верхнего слоя земли для уплотнения оттаивающего грунта.
Проектирование иглового гидрооттаивания
3.13. Проект иглового гидрооттаивания грунтов должен содержать основные данные, определяющие порядок производства работ, объем и сроки работ и технологические параметры по оттаиванию.
3.14. Площадь участка, который необходимо оттаять для обеспечения проекта подготовки основания, принимается:
а) для отдельно стоящего здания или сооружения - по контуру, определяемому периметром здания расширенным в каждом направлении от периметра на величину, равную половине расчетной глубины, на которую переместится верхняя поверхность вечномерзлых грунтов в результате оттаивания;
б) для комплекса зданий - или также как указано выше в
"а" (т.е., считая площадь участка оттаивания для каждого здания в комплексе зданий отдельной, замкнутой) или по общему контуру, отстоящему от крайних сторон зданий на расстоянии равном половине расчетной глубины, на которую переместится верхняя поверхность вечномерзлых грунтов в результате оттаивания.
3.15. Для стока избытка воды из оттаявшего грунта необходимо предусмотреть дополнительное оттаивание грунта по полосе шириной не менее 4 м, имеющей направление, совпадающее с направлением движения грунтовых вод или возможным движением после оттаивания грунтов.
Глубина дополнительного оттаивания грунта по полосе назначается с учетом требующегося понижения уровня грунтовых вод, но не менее 1,5 глубины сезонного промерзания;
Если из-за формы рельефа или по другим причинам нет условий для создания естественного стока грунтовых вод, то следует устроить колодец для искусственной откачки воды и понижения зеркала грунтовых вод на участке оттаивания до заданного уровня.
Место расположения колодца выбирается так, чтобы колодец не мешал производству работ и не влиял на устойчивость фундаментов зданий.
Продолжительность времени откачки воды устанавливается в зависимости от цели: 1) водопонижение для оттаивания и уплотнения основания, 2) для производства фундаментных работ, 3) для устранения вредного действия пучения при сезонном промерзании слоя грунта вокруг фундаментов.
Место расположения колодца (одного или нескольких) указывается на чертеже плана подготовки работ по оттаиванию.
3.16. Для оттаивания вечномерзлого грунта в контуре установленного в проекте участка намечаются места расположения гидроигл. Порядок размещения гидроигл и глубина погружения должны быть такими, чтобы обеспечить требуемое в проекте основания оттаивание вечномерзлого грунта.
Точки расположения гидроигл указываются на плане всего участка как правило по сетке равносторонних треугольников с шагом
L в ряду и расстоянием 0,87
L между рядами (рис. 16 и
17).
Рис. 16. Схема иглового гидрооттаивания
с применением оборотной воды
1 - насос горячей воды; 2 - нагреватель воды; 3 -
теплообменник; 4 - насос грунтовой воды; 5 - колодец; 6 -
отстойник; 7 - магистральная труба; 8 - распределительная
труба; 9 - гидроигла; 10 - станок, погружающий иглу; 11 -
уровень воды в грунте; 12 - граница талого и мерзлого грунта
Рис. 17. Схема гидрооттаивания крупнообломочных
мерзлых грунтов (на примере строительства завода
железобетонных изделий в Сеймчане)
Шаг L расстановки игл назначается в зависимости от состава грунтов (заполнителя пор крупнообломочных грунтов) и глубины оттаивания.
Для предварительных расчетов рекомендуется принимать шаг по таблице 7. В таблице указаны для крупнообломочных грунтов с песчаным заполнителем и песков три значения шага для разной глубины погружения игл H и в зависимости от планируемого времени работ на оттаивание.
Таблица 7
Рекомендуемые значения шага L
Глубина погружения игл, H, м | Шаг L, м |
Минимальный | Оптимальный | Максимальный |
4 | 2,0 | 3,0 | 4,0 |
7 | 2,5 | 4,0 | 5,0 |
11 | 3,5 | 4,5 | 6,4 |
17 | 5,3 | 6,4 | 9,0 |
30 | 6,4 | 9,0 | 13,0 |
Минимальный шаг L выбирается в случае необходимости ускорить оттаивание. Однако при этом увеличиваются число труб-игл и затраты на их погружение.
Для крупнообломочных грунтов с суглинистым заполнителем шаг расстановки игл следует уменьшать на 20%.
Глубина погружения игл в грунт назначается равной глубине оттаивания основания, определенной в проекте основания и фундаментов.
Допустимо уменьшать глубину погружения игл, но не более, чем на 1 - 2 м, если будет обеспечено при этом оттаивание основания на заданную в проекте глубину.
3.17. Среднее количество грунта, оттаиваемое за сутки одной гидроиглой (R м3/сутки) определяется по формуле (18)

, (18)
где q - расход воды через одну иглу, т/час (м3/час);
k - коэффициент теплоотдачи воды, принимаемый для галечных и гравийных грунтов с песчаным заполнителем и для песка равным 0,30, а для тех же грунтов с супесчаным и суглинистым заполнителем равным 0,2;
t - температура нагреваемой воды, °C;
tм - начальная температура мерзлого грунта (в формуле учитывается без знака минус), °C;
tт - заданная (средняя) температура оттаявшего грунта, °C;
Cв - объемная теплоемкость воды, равная 4,2·106 Дж/(м3·К) (1000 ккал/м3·°C);
Cм, Cт - объемная теплоемкость мерзлого и талого грунта; ориентировочно можно принимать Cм = 2,5·106 Дж/(м3·К) (600 ккал/м3°C), Cт = 3,4·106 Дж/(м3 К) (800 ккал/м3·°C);

- теплота плавления льда, равная 0,34·10
6 Дж/кг (80 ккал/кг);
Wс - влажность мерзлого грунта, в долях единицы;

- плотность (объемный вес) скелета мерзлого грунта, кг/м
3 (кгс/м
3);

- содержание льда (в кг) в одном кубометре грунта.
Количество дней для оттаивания грунта вокруг одной иглы (TI) определяется по формуле (19)

, (19)
где L, H, R - те же, что выше;

- коэффициент использования тепла воды, принимаемый равным 0,8 при температуре воды
t выше +10 °C и начальной температуре вечномерзлого грунта
tм выше -2 °C, и равным 0,6 при
t < +10 °C,
tм < -2 °C.
3.18. Количество дней TI, необходимых для оттаивания грунта вокруг одной иглы, может быть также определено по формуле (20)

, (20)
где TI, L, q, t (без учета знака минус) те же, что в предыдущей формуле:
K(
L) - значение, определяемое по таблице 8 в зависимости от шага
L расстановки игл

.
Таблица 8
Шаг L, м | 2 | 2,5 | 3 | 3,5 | 4 | 4,5 | 5 | 5,5 | 6 | 6 | 7 | 10 | 13 |
| 1,00 | 1,65 | 2,47 | 3,5 | 4,7 | 6,1 | 7,7 | 9,9 | 11,6 | 16,3 | 22 | 36 | 64 |
Q - значение, определяемое по
таблице 9 в зависимости от соотношения

, то есть от соотношения количества льда в мерзлом грунте (кг/м
3) и среднего расхода воды (т/час) через одну иглу

.
| 20 | 30 | 40 | 50 | 60 | 70 | 80 | 90 | 100 | 200 |
Q | 8,3 | 10,9 | 13,2 | 15,6 | 17,7 | 19,6 | 21,5 | 23,5 | 26 | 43 |
M(
t) - значение, определяемое по
таблице 10 в зависимости от температуры воды
t.

.
t, °C | 8 | 10 | 12 | 14 | 16 | 18 | 20 | 30 |
M(t) | 0,96 | 1,00 | 1,04 | 1,08 | 1,13 | 1,17 | 1,22 | 1,49 |
Расчет продолжительности действия гидроиглы TI, произведенный по формуле настоящего пункта, соответствует температуре вечномерзлого грунта, равной -5°.
Если температура подлежащего оттаиванию мерзлого грунта не равна -5°, то необходимо вычисленное значение
TI умножить на поправочный коэффициент, приведенный в
таблице 11 в зависимости от температуры мерзлого грунта и содержания в нем льда:
Tфакт. = K·TI. (21)
Температура мерзлого грунта, t, °C | Значения коэффициента K при содержании льда в грунте Л, кг/м3 |
100 | 200 | 300 |
0° | 0,80 | 0,92 | 0,96 |
-2° | 0,88 | 0,95 | 0,97 |
-5° | 1,00 | 1,00 | 1,00 |
-10° | 1,10 | 1,15 | 1,30 |
3.19. Общее количество установок игл (Nобщ) на участке площадью S (по контуру зоны оттаивания) м2 определяется по формуле (22):

. (22)
Число R одновременно работающих игл определяется из технических возможностей по наличию оборудования, количества и температуры подаваемой воды, сроку работы и т.п., или определяется техническими требованиями, например, необходимостью одновременного оттаивания и осадки основания по всему участку.
При заданном сроке работ Tобщ и определенном времени действия одной иглы TI, число одновременно действующих игл N из общего количества точек размещения на площадке игл Nобщ, определяется по формуле (23):

. (23)
Для получения одинакового по времени и качеству уплотнения основания, особенно, если оттаивание производится под возведенными или одновременно с оттаиванием возводимыми фундаментами, рекомендуется производить оттаивание по всему участку без подразделения на очереди.
Водопоглощающие трубы и присоединение к ним гидроигл следует размещать с таким расчетом, чтобы на каждую иглу приходился примерно одинаковый расход воды.
3.20. Для контроля за ходом оттаивания следует предусмотреть места расположения температурных скважин в центрах треугольника сетки размещения гидроигл для измерения температуры грунта во время оттаивания грунта в основании здания или сооружения и репера для наблюдения за осадкой поверхности оттаиваемого участка. Скважины следует располагать в наиболее характерных местах площадки, например, ближе к краям участка и в середине. Число скважин должно быть не менее пяти.
Репера должны располагаться за пределами зоны оттаивания в количестве не менее 3-х.
3.21. Пользуясь вышеприведенными расчетами составляется проект работ по оттаиванию в состав которого входит:
а) перечень количества необходимого оборудования для оттаивания грунта и его конструктивные характеристики (диаметр труб, размеры гидроигл, их наконечников, перфорированных участков игл, ниппели и т.п.);
б) перечень насосного оборудования и труб, фланцев, шланг, и др. для подачи воды для оттаивания грунта, перечень водогрейного оборудования, если решено искусственно подогревать воду для оттаивания грунта;
в) чертежи для монтажа и демонтажа оборудования;
г) календарные графики работ; в календарных графиках должны быть предусмотрены строительные работы по устройству фундаментов вслед за окончанием оттаивания и уплотнения грунтов в основании и мероприятия по защите оттаявшего грунта от повторного промерзания, особенно в водонасыщенном состоянии под фундаментом (т.е. при высоком уровне стояния грунтовых вод);
д) расчеты по трудовым затратам на проведение работ по предпостроечному оттаиванию грунта на участке;
е) инструктивные указания по контролю за оттаиванием и обеспечением создания основания здания с проектными характеристиками для возведения здания; чертежи по контролю и формы записей температуры грунта и осадки поверхности при оттаивании.
3.22. Примерный комплект гидроиглы состоит из следующих частей:
а) трубы бесшовные, наружным диаметром 32 мм с толщиной стенки 6 мм из стали 10 углеродистой (или наружным диаметром 34 мм с толщиной стенки 5,5 мм из стали марки 30 ХГС); трубы имеют длину примерно 2,5 м, снабжены с двух сторон внутренней резьбой и соединяются друг с другом с помощью ниппеля, чтобы получить в данном случае строительства при погружении иглу необходимой длины;
б) ниппели соединительные с наружной резьбой для соединения игловых труб; внутреннее отверстие ниппеля 16 мм;
в) коронки буровые с осевым отверстием и впаянными пластинками твердого сплава, прикрепляемые к нижнему концу игл для облегчения их погружения в грунт;
г) шланги резиновые или рукава резино-тканевые диаметром 25 мм на 5 атм. (ГОСТ 8318-58) длиной до 8 м для присоединения игл к водопроводам;
д) "гусиная шейка" (угловой патрубок) для присоединения шланга к игле;
е) зажимы для уплотнения шланга на штуцерах;
ж) теплоизоляционная обмотка шлангов (войлок, тканевая обмотка) и наземных отрезков игл для защиты от охлаждения в периоды, когда температура воздуха бывает ниже температуры воды;
з) сальники, если, в случае применения вибрационной посадки игл в грунт, придется вращать иглы во время работы вибратора, не закручивая гибкий рукав шланга;
и) контрольные приспособления и приборы за движением воды в игле и для ее прочистки.
3.23. Примерный комплект оборудования для предпостроечного оттаивания грунтов на строительных площадках состоит из:
а) гидроигл в количестве, необходимом для оттаивания грунта в проектном объеме с относящимися к ним деталями (см
п. 3.22) и с запасным количеством не менее 10%;
б) трубы стальные распределительные диаметром 150 мм (толщина стенки 3 мм) с приваренными штуцерами для передачи воды в шланги, с фланцами, резиновыми прокладками и болтами для соединения;
в) трубы магистральные диаметром 250 или 300 мм без отводов и с отводами к распределительным трубам, фланцами, прокладками, болтами; отводы следует располагать с двух сторон трубы; магистральные трубы снабжаются фланцами для присоединения задвижек Лудло, через которые вода поступает в распределительные трубы;
г) задвижки Лудло;
д) термоизоляционные скорлупки или обноски для защиты магистральных труб от охлаждения;
е) насос с электродвигателем и пусковой аппаратурой, дающий расчетный напор воды в магистральную трубу с подачей воды не менее 90 т/час;
ж) насос для подачи воды в замкнутой кольце (в случае подогрева воды и использования воды, прошедшей через оттаиваемый грунт), водогрейный котел - теплообменник производительностью примерно 400000 ккал/час (17·108 Дж/час);
з) рукава высасывающие, спиральные диаметром 6", клапаны приемные диаметром 6", вакуум-бак на приемном патрубке насоса;
и) буровые станки для погружения игл;
к) водомер для холодной (естественной) воды и водомер для подогретой в котле воды;
л) манометры;
м) вибратор со струбциной для прикрепления к игловой трубе; вибратор необходим для постепенной посадки игл или для вспомогательных работ;
н) разные материалы (кабель, провод, электроды для электросварки, смазочные материалы и т.д.).
Рекомендуется использовать передвижной киоск электропитания буровых станков и насосов с трансформатором 6/0,4 кв или, если электроэнергия используется для нагревания воды, то стандартную передвижную цельнометаллическую подстанцию УПМ-6,3/0,4 кв мощностью 320 ква.
3.24. В проекте предпостроечного оттаивания основания должна быть помещена памятка производственникам о необходимости повседневного контроля за ходом оттаивания и регулирования этого процесса (если будет замечено нарушение проектного хода оттаивания) путем изменения количества подаваемой в иглы воды, отогрева случайно замерзших игл, прочистки засорившихся игл.
Проектирование электрооттаивания
3.25. Проектирование электрооттаивания вечномерзлых грунтов в основании зданий или сооружений производится в соответствии с
п. 3.1.
Проект электрооттаивания должен содержать основные данные определяющие порядок производства работ, объем и сроки работ и технические параметры по оттаиванию.
3.26. В состав проекта оттаивания мерзлого грунта электрическим током должно входить следующее.
1. Чертеж объема предпостроечного оттаивания основания, составленный по материалам расчета основания, с показом глубин оттаивания по всей площади в контуре, зоны оттаивания и соответственно расчетных осадок основания в процессе предпостроечного оттаивания.
2. План размещения на площадке электродов или других электронагревательных устройств, электросети, питающей электроды или устройства, трансформаторных киосков, оборудования для специального упрочнения грунтов (если в этом появится необходимость помимо упрочнения вследствие оттаивания и сжатия оттаявшего грунта) и контрольных устройств (рис. 18).
Рис. 18. Технологическая схема предпостроечного
электрооттаивания основания
1 - вечномерзлый грунт; 2 - оттаиваемый грунт; 3 - немерзлый
грунт; 4 - зона предпостроечного оттаивания; 5 - предельная
зона оттаивания; 6 - электроды в рядах А, Б, С;
7 - трансформаторный киоск; 8 - подводящие к электродам
провода трехфазного тока; А, Б, С - номера рядов электродов
для равномерной нагрузки по фазам
3. Ведомость глубины погружения каждого электрода (или нагревателя) в соответствии с глубиной предпостроечного оттаивания и ведомость электроизоляции (изоляционным лаком) каждого электрода для направленного регулирования нагревания грунта; ведомость глубины контрольных температурных скважин для измерения температуры в процессе оттаивания, реперов и нивелировочных точек поверхностных и глубинных для наблюдения за осадкой оттаивающего массива грунта.
4. Спецификацию на оборудование для производства электрооттаивания и на материалы для электродов или электронагревателей и т.п.
5. Расчетные величины фазных электрических сопротивлений мерзлого грунта Rм и талого Rт.
6. Порядок и правила электрического режима оттаивания, схемы включений и график времени и последовательности работы электродов или электронагревателей на данной строительной площадке.
7. Порядок работы по контролю за выполнением проектных требований глубины оттаивания мерзлого грунта под зданием, осадки основания и несущей способности оттаявших грунтов.
3.27. Площадь участка, на котором проектируется электрооттаивание, определяется в соответствии с указаниями
п. 3.14.
В зависимости от напряжения применяемого электрического тока определяются контуры участка с опасным для людей и животных (лошадей) шаговым напряжением и назначается ограждение этой территории с предупредительными надписями.
3.28. Электроды (или электронагреватели) располагают как правило параллельными рядами. Расстояние между электродами в ряду следует принимать 2 - 2,5 м, а расстояние между рядами 2,5 - 4 м. Электроды одного ряда по отношению к другому могут располагаться как напротив (то есть на прямоугольной сетке), так и сдвинуто на половину расстояния между электродами в ряду. Число рядов должно быть подобрано с расчетом создания равномерной нагрузки по фазам.
Электронагреватели следует располагать в рядах на таком расстоянии, чтобы они создавали равносторонние треугольники.
Глубина погружения электродов (и нагревателей) меньше на 1 м расчетной глубины предпостроечного оттаивания грунта, указанной в проекте основания.
3.29. Процесс оттаивания грунта слагается из трех периодов: периода прогрева грунтов от отрицательной температуры до 0°, периода плавления льда и периода прогрева грунта до заданной положительной температуры. Эти три периода в ходе производства работ не имеют четких разграничений, однако для расчета продолжительности каждого периода и расхода электроэнергии по ним такое расчленение необходимо.
Основным элементом расчета процесса оттаивания грунта является определение сопротивлений между рядами электродов, из которых составляются фазные сопротивления.
3.30. Сопротивление между двумя рядами электродов
Rр (Ом) в мерзлом и оттаявшем грунтах определяется формулой (24):

, (24)
где

- соответствующая средневременная величина удельного сопротивления грунта в Ом·см, причем -

, если определяется сопротивление мерзлого грунта и

, если - талого;
lср - среднеарифметическая длина рабочей части электрода (то есть той длины, которая не изолирована лаком) по двум смежным рядам в см;
N - число электродов в ряду;
b - расстояние между рядами в см;
a - расстояние между электродами в ряду в см;
r - радиус электродной трубы в см.
Расчетные фазные сопротивления определяются из формулы (25)

. (25)
здесь
Rрn - сопротивления подключенных к фазы рядов, вычисленные по
формуле (24).
Расчетные фазные сопротивления, вычисляемые для грунтов в мерзлом состоянии Rм, служат для контроля правильности расчета путей их сопоставления с величинами, получаемыми на основе непосредственных измерений перед началом оттаивания.
Расчетные фазные сопротивления R используют в расчете процесса оттаивания и для контроля за развитием и окончанием процесса оттаивания во время производства работ.
3.31. Объемы оттаиваемого грунта в основании определяются по формулам:
а) объем (м3) между двумя рядами электродов:
Vр = ab(lср + 1)N; (26)
б) объем (м3), включенный в каждое из фазных сопротивлений:
V = Vр1 + Vр2 + ..... + Vрn; (27)
в) общий объем на всей площадке:

. (28)
Здесь
a,
b и
l те же, что в
п. 3.30, но размеры их исчислены в м.
3.32. Первый период нагревания грунта от отрицательной температуры t до 0° протекает тем быстрее, чем больше приложенная разность потенциалов, поэтому в этот период следует применять максимально возможное напряжение.
Электрическая мощность P для периода нагревания мерзлого грунта определяется по формуле (29):

, (29)
где U - выбранное фазное напряжение;

- фазное сопротивление, наименьшее из трех, определяемых по
формулам (24) и
(25) при

.
Результаты определения P округляются в большую сторону до десятков квт.
Продолжительность нагревания мерзлого грунта вычисляется по формуле (30):

, (30)
где Cм - объемная теплоемкость мерзлого грунта в Дж/(м3К) (ккал/м3·°C);
Rм - расчетное фазное сопротивление, определяемое для любой фазы из
формулы (25) в Ом;
tо - значение отрицательной температуры мерзлого грунта в °C, без знака минус;

- поправочный коэффициент, учитывающий потери электроэнергии.
Коэффициент

изменяется в пределах

в зависимости от сезона года, когда производятся работы (в летнее время

имеем меньшее значение) и от температуры вечномерзлого грунта. Чем ближе к 0 °C температура мерзлого грунта, тем меньше

.
Расход электроэнергии (в кВт·ч) в период нагревания мерзлого грунта вычисляется по формуле (31):

. (31)
ПРИМЕЧАНИЕ: При температуре мерзлого грунта выше -1 °C расчет первого периода можно не производить.
3.33. Расчет второго периода оттаивания начинают с проверки возможности проведения всего процесса плавления льда при одной ступени напряжения тока, примененного в первом периоде (380 или 220 в или ниже). Для этого по формуле (32) определяют потребную мощность тока при данном напряжении и
Rmin - наименьшего из трех фазовых сопротивлений, определенного по
формулам (24) и
(25) при

:

. (32)
Если вычисленная мощность окажется выше имеющейся по оборудованию на стройплощадке, то оттаивание следует производить при нескольких ступенях напряжений, начиная с 380 в (220 в или ниже) с последующим переключением на более низкие напряжения.
В общем случае расчеты проводятся по ступеням в следующем порядке:
а) в первую очередь определяется относительная объемная льдистость в оттаивающем грунте в конце времени действия каждой ступени по формуле (33)

, (33)
где Pi - расходуемая мощность тока на конце данной ступени в квт;
Ui - фазное напряжение на данной ступени в в;
i - порядковый номер ступени;
б) продолжительность работы на этой ступени вычисляется по формуле (34)

, (34)
где n - пористость мерзлого грунта;
ПРИМЕЧАНИЕ: Для первого периода за vi принимается начальная объемная льдистость vо, определяемая по формуле (35)

; (35)
в) расход электроэнергии в кв.ч на данной ступени напряжений вычисляется по формуле (36)

. (36)
Если для последней ступени в результате вычисления по
формуле (33) получается
vi = 0, это значит, что процесс оттаивания на данной ступени напряжения закончился. В этом случае при расчете продолжительности и расхода электроэнергии
vi принимается равным нулю;
г) для каждой ступени напряжений вычисляется предельная допустимая сила фазного тока до достижения которой, хотя бы на одной (наиболее перегруженной) фазе, производится переключение на более низкую ступень напряжения.
Величина предельного фазового тока в амперах вычисляется по формуле (37)

. (37)
3.34. Расчет третьего периода - нагревания грунта после оттаивания до заданной температуры производится по
формулам (30) и
(31); при этом в
формуле (30) вместо теплоемкости
Cм следует подставлять теплоемкость талого грунта
Cт и вместо отрицательной температуры - заданную положительную температуру, а в
формуле (31) вместо фазных сопротивлений для мерзлого грунта - фазные сопротивления оттаявшего грунта
Rт.
Результаты расчета электрооттаивания сводятся в графики выполнения работ и сводную таблицу, определяющие режим электрооттаивания грунтов в основании и контроль за ходом и завершением процесса оттаивания.
3.35. Оттаивание мерзлых грунтов нагревателями производится путем помещения нагревателей в скважинах или непосредственно в грунте с расчетом, что нагреватель произведет вокруг себя оттаивание грунта на запланированное расстояние.
Нагреватели могут быть коаксиальные, тэны, кипятильники. Все они характеризуются постоянной мощностью или температурой и могут размещаться или равномерно по всей глубине скважины, или сосредоточенно в заданном месте или на заданном участке
(рис. 14).
Размещение нагревателей на площадке оттаивания вечномерзлых грунтов производится подобно размещению электродов или гидроигл, то есть по сетке, рядами.
Расстояние между нагревателями определяется в зависимости от заданного времени на оттаивание вечномерзлых грунтов на площадке и наиболее экономичной стоимости работ и электрозатрат. При этом основное значение в расчете расстояния имеет количество льда в мерзлом грунте, изменение температуры грунта при нагреве (от t0 естественной температуры мерзлого грунта - до t - температуры грунта после оттаивания и нагрева), мощность нагревателя.
Экономически лучшее решение устанавливается путем подбора, учитывая, что время на оттаивание прямо пропорционально льдистости грунта и квадрату расстояния между нагревателями и обратно пропорционально мощности нагревателя и сумме температур.
3.36. Расчет времени оттаивания грунта

вокруг нагревателя на заданную величину (радиус
rт) или расчет величины радиуса оттаивания (
rт) при заданном времени

на оттаивание производится по формуле (38)

, (38)
где

- теплопроводность оттаявшего грунта вт/м·К (ккал/м·ч·град);

- теплота плавления льда, равная 0,34·10
6 Дж/кг (80 ккал/кг);

- плотность (объемный вес) скелета грунта, кг/м
3 (кгс/м
3);
Wс - суммарная влажность грунта в долях единицы;
rо - радиус нагревателя, принимаемый равным радиусу обсадной трубы скважины, м;
tн - температура нагревателя, °C;
ПРИМЕЧАНИЕ: температуру нагревателя рекомендуется принимать (если нет иных решений) равной 95 °C;
Cт - удельная теплоемкость оттаявшего грунта (Дж/кг, К), (ккал/кг·град);

- плотность (объемный вес) оттаявшего грунта, кг/м
3 (кгс/м
3).
Тепловая мощность нагревателя q определяется из соотношения (39)

, (39)
где q - тепловая мощность нагревателя в ккал/час;
L - длина рабочей части нагревателя; в м;

- относительный радиус протаивания;
График значений функции

приведен на рис. 19. Задаваясь относительным радиусом протаивания

, по этому графику определяется соответствующее значение
K.
Рис. 19. График значений функции

Тепловая мощность нагревателя вычисляется по формуле

. (40)
Пересчет тепловой мощности нагревателя q, вычисленной в ккал/час, к значению электрической мощности qэ, выраженной в вт, производится по формуле
где U - напряжение электрического тока в в;
I - сила тока в а.
ПРИМЕЧАНИЕ: По
формулам (40) и
(41) определяется средняя мощность нагревателя за время протаивания грунта на заданную величину при постоянной температуре нагревателя. В действительности для поддержания постоянной температуры нагревателя его мощность с течением времени должна изменяться. Поэтому в начальной стадии оттаивания мощность нагревателя рекомендуется увеличивать в 1,5 - 2 раза против расчетной. При этом надо следить, чтобы температура нагревателя (точнее температура на внутренней стенке обсадной трубы скважины) не превышала 90 - 95°.
3.37. Основным способом упрочнения оттаивающего грунта на современном уровне применения способа предпостроечного улучшения несущей способности основания является его уплотнение в ходе оттаивания. Поэтому, наиболее целесообразными способами оттаивания являются такие, при которых менее всего будет нарушено сложение минеральных агрегатов при оттаивании и полнее произойдет их слияние.
При паропрогреве паровыми иглами происходит наибольшее разрушение сложения и при этом разрыхление грунта.
В случае необходимости дополнительного упрочнения грунта твердеющими растворами, электроосмосом, вибрацией или другими механическими и иными способами, решение задачи должно выполняться в индивидуальном (особом) порядке с полагающимся обоснованием.
Выбор способа оттаивания мерзлых грунтов
3.38. Для крупнообломочных и песчаных грунтов применим способ гидрооттаивания, когда воду подают непосредственно в грунт, а также электрооттаивание с помощью электронагревателей или путем пропуска электротока непосредственно через грунт. В последнем случае рекомендуется небольшое засоление грунта для повышения электропроводности.
Для глинистых и супесчаных грунтов гидрооттаивание может быть применено лишь "закрытым способом", при котором вода или пар (теплоноситель) циркулирует по замкнутой системе без доступа воды в поры грунта.
Основным способом оттаивания глинистых и супесчаных грунтов является электрический, осуществляемый путем пропуска электротока непосредственно через грунт или через электронагреватели.
3.39. Гидрооттаивание крупнообломочных и песчаных грунтов целесообразно применять в тех случаях, когда имеется дешевый источник тепла, например, летняя речная вода или сбросные теплые воды производства.
3.40. Электрооттаивание мерзлых грунтов с пропуском электротока через грунт применимо в тех случаях, когда в грунте (в контуре площадки) нет случайных металлических предметов или труб коммуникаций.
Электрооттаивание грунта с помощью нагревателей применимо на стесненных участках площадки и когда нельзя обеспечить защиту от шагового напряжения, а также в таких случаях, когда оттаивание грунта необходимо произвести на заданной глубине или по заданной линии (по траншее).
3.41. Выбор способа оттаивания зависит также от наличия в грунте крупнообломочных включений (валунов, щебня), из-за которых затрудняется погружение электродов путем забивки.
При оттаивании глинистых грунтов рекомендуется электроды и другие нагревательные приборы погружать в заранее подготовленные скважины. Скважины следует проходить с помощью шнековых станков.
В крупнообломочных грунтах или грунтах с валунами допустимо погружать гидроиглы, электроды с подмывом грунта на забое.
Оттаивание мерзлого грунта выбранным способом не должно приводить к разрыхлению грунта или к вымыванию и уносу водой частиц грунта.
Организация работ по предпостроечному
оттаиванию мерзлых грунтов
3.42. Производственные работы по устройству основания с предпостроечным оттаиванием вечномерзлых грунтов в основании, а также организация контроля за их качественным выполнением осуществляются согласно указаниям в проекте основания и фундаментов.
3.43. Весь комплекс работ по электрическому оттаиванию мерзлых грунтов подразделяется на подготовительные, основные и демонтажные.
Подготовительные работы включают: обеспечение оборудованием и материалами, планировку площадки, разбивку сетки для размещения на площадке электродов и контрольных устройств (то есть скважин для замеров температуры грунта и уровня грунтовых вод, марок для нивелировок поверхности и глубинных точек во время осадки при оттаивании и т.п.).
Основные работы заключаются в установке оборудования на площадке, производства оттаивания и уплотнения грунтов.
В процессе оборудования площадки погружаются электроды, и попутно (сочетая с удобством производства работ по погружению электродов) оборудуются скважины для контрольных наблюдений, а также монтируется электросеть.
Целесообразно устройство специальных дренажных скважин или другой конструкции вертикальных дрен для ускорения отвода воды из оттаивающего грунта.
3.44. Электроды заготавливают в количестве, необходимом для оттаивания на заданном участке. Их длина определяется запроектированной формой зоны оттаивания.
Если электроды будут проходить через слой немерзлого грунта (в случае залегания верхней поверхности вечномерзлых грунтов несколько ниже слоя сезонного промерзания), то на участке контакта электрода с немерзлым грунтом поверхность электрода следует закрыть изоляционным лаком.
Длины покрытий электродов изоляционным лаком определяют совмещением карты изогипс поверхности вечномерзлых грунтов с планом размещения электродов на площадке и отметками глубин их погружения. Эти данные сводят в таблицу, в которой указывают номера электродов, их длины и соответствующие длины изоляционных покрытий.
3.45. При погружении электродов в скважины пространство между стенкой скважины и электродом рекомендуется засыпать песком для ускорения выхода воде, обращающейся при таянии ледяных прослоек в мерзлом грунте.
При малом диаметре скважины, что целесообразно по экономическим причинам, но при котором засыпка песком, становится невозможной, рекомендуется устраивать редкую перфорацию стенок трубы электродов (2 - 3 отверстия на п.м. электрода).
3.46. Электроды после их погружения соединяются между собой алюминиевыми или медными токопроводами. Соединение электродов токопроводами производятся по двум электрическим схемам: трехпроводной - треугольником и четырехпроводной (с нулем) - звездой.
3.47. Для обеспечения надежного контакта электродов с мерзлым грунтом в скважины следует залить 10% раствор хлористого кальция или поваренной соли, незамерзающий при температуре выше -3°, или, если скважины заполнены грунтовой водой, засыпать кристаллический хлористый кальций из расчета 6% на объем воды в скважине.
3.48. Для оборудования термометрических скважин допустимо использовать газовые трубы с соединительными муфтами и заглушкой на нижнем торце.
Колонна труб составляется из отдельных звеньев, плотно соединенных муфтами. Стенки трубы должны быть покрыты снаружи слоем смолы для защиты от проникания воды.
Термометрические скважины должны быть равномерно размещены на площадке с тем, чтобы вести наблюдения за температурой в наиболее характерных местах. Располагаться они должны посередине между электродами (то есть на наиболее удаленном расстоянии от электрода на данном участке), их количество должно быть около 10% числа электродов, но не менее 5 скважин.
3.49. Для наблюдения за уровнем грунтовых вод следует использовать электроды с перфорацией стенок. Измерение уровня воды производится хлопушкой.
3.50. Для наблюдения за осадками при оттаивании и уплотнении основания устанавливаются поверхностные марки. Марки размещаются по сетке не реже, чем через 3 м, причем примерно посередине между электродами.
3.51. Электрические подстанции устанавливают на стороне площадки, удаленной от проезжих и пешеходных путей, и располагают так, чтобы выходные шины на ее наружной стене и окно были обращены внутрь площадки. В остальном при установке трансформаторных киосков и подстанций следует руководствоваться действующими правилами и инструкциями.
3.52. Работы по оттаиванию мерзлого грунта состоят в непрерывном (или с запланированными перерывами) длительном пропускании через грунт переменного электрического тока до полного оттаивания массива вечномерзлого грунта в запроектированном контуре.
При оттаивании мерзлого грунта одновременно происходит его уплотнение. Дополнительное искусственное уплотнение производится в соответствии с указаниями в проекте или, если не достигнуто проектное уплотнение, то после согласования с авторским надзором.
3.53. Контроль за развитием процесса оттаивания осуществляется посредством наблюдений за изменением величины фазных сопротивлений, за расходом электроэнергии, температурой оттаиваемого грунта и осадками поверхностных марок.
Измерения фазных сопротивлений, температуры грунтов и осадок поверхностных марок производят согласно графикам, которые составляет производитель работ. Температурные наблюдения в первоначальный период оттаивания при нулевой температуре грунта производятся один раз в 5 - 6 суток, а с появлением в термометрических скважинах положительных температур - через 2 - 3 суток. Режим наблюдений за осадками поверхностных марок назначают в зависимости от их интенсивности в пределах 5 - 10 суток.
3.54. Оттаивание основания считается законченным, когда во всех термометрических скважинах по глубине оттаиваемого слоя наблюдаются положительные температуры, а величина электрического сопротивления нагрузки становится близкой к расчетному сопротивлению электродной системы для оттаявшего грунта.
Уплотнение оттаявшего грунта считается законченным, когда достигается заданная в проекте величина осадки или уплотнение имеет четко выраженный затухающий характер, со скоростью осадки менее 0,2 мм/сутки.
3.55. Работы по контролю качества подготовки оснований включают предусмотренное проектом бурение контрольных скважин с отбором проб грунтов и исследование оттаянных грунтов. Эти работы надлежит выполнять с учетом рекомендаций по контролю изложенных ниже в
п.п. 3.73 -
3.80.
В случае, если в результате контрольного бурения будет обнаружено, что процесс оттаивания не завершен, то следует по согласованию с проектной организацией (авторским надзором) провести дополнительный электропрогрев и уплотнение грунтов.
3.56. На основе результатов исследования грунтов после оттаивания и уплотнения проектная организация должна произвести поверочный расчет фундаментов возводимого здания.
Если размеры фундаментов, определенные поверочным расчетом, будут отличаться от размеров, определенных предварительным расчетом не более, чем на 10%, то изменений в проекте производить не следует.
Если же результаты предварительного и окончательного расчетов будут отличаться между собой более чем на 10%, то принимают одно из следующих решений:
а) изменяют предварительный проект, задавая новые размеры фундаментов;
б) назначают дополнительное уплотнение или закрепление грунтов;
в) назначают конструктивные мероприятия, приспосабливающие здание или сооружение к неравномерным осадкам (например, устройство арматурных поясов или осадочных швов и др.).
Решение о выборе мероприятий принимает проектная организация. Она же дает указания на дополнительные работы.
3.57. В процессе работ по оттаиванию ведутся следующие технические документы:
а) вахтенный журнал приема и сдачи дежурств;
б) журнал учета результатов наблюдения за электрическими показателями;
в) журнал температурных наблюдений;
г) журнал нивелировки поверхности оттаиваемого участка;
д) ведомость данных осадок поверхностных и глубинных марок.
В дополнение к журналам рекомендуется вести графики, характеризующие изменения показателей во времени. Особенно необходим график осадки марок во времени.
3.58. Демонтажные работы представляют заключительный этап в подготовке основания с предпостроечным оттаиванием вечномерзлых грунтов. В этом время производится последняя проверка качества выполнения работ (нивелировка поверхности земли, температурные замеры, зондирование для установления фактической глубины оттаивания, бурение скважин для отбора образцов грунта на определение влажности грунта, деформативных и прочностных характеристик), затем демонтаж оборудования с вытаскиванием электродов или гидроигл и других труб из грунта (с тщательной засыпкой скважин песком или цементным раствором), закрепление и охрана контрольных устройств, необходимых для дальнейших наблюдений (за осадкой основания и возводимых фундаментов и за температурой грунтов в основании).
Демонтажные работы должны выполняться в координации с подготовительными работами по устройству фундаментов.
3.59. Работы по предпостроечному гидрооттаиванию оснований зданий и сооружений подразделяются на три последовательных этапа:
а) подготовительные работы;
б) оттаивание грунтов;
в) осушение и уплотнение оттаянных грунтов.
Второй и третий этапы частично совпадают.
3.60. В подготовительный этап на строительной площадке наносятся контур участка оттаивания, линии расположения трубопроводов, точки погружения игл, место расположения дренажного колодца и отстойниками (при оборотном водоснабжении), место расположения насосной станции и трубопровода от водоисточника до участка проведения работ. Определяется направление стока отработанной воды, вышедшей на поверхность (в городах вода направляется в канализационную сеть), если имеется необходимость, то проводятся работы по планировке местности и устройству канав для поверхностного стока воды, выходящей из грунта.
На участке работ монтируются магистральный и распределительный трубопроводы, присоединяются к распределительным трубам шланги игловых комплектов, которые временно зажимаются.
Монтируются линия электропередач, трансформаторная подстанция, насосные агрегаты для подачи воды в иглы.
ПРИМЕЧАНИЕ: Насосные агрегаты (рабочий и резервный) рекомендуется монтировать в передвижном тепляке.
3.61. Дренажный колодец также должен быть пройден в подготовительный период. Этот колодец необходим как для оборотного водоснабжения, так и в последующий период для дренирования оттаянных грунтов.
Колодец следует располагать на краю участка оттаивания в самой низкой точке, к которой должна стекать отработанная вода по верхнему слою грунта или по поверхности в зависимости от водопроницаемости верхнего слоя грунтов. Глубина колодца определяется требуемой глубиной дренирования, но не менее 4 м, площадь поперечного сечения - 3 кв. м.
3.62. Для наблюдения за осадкой поверхности грунта закладываются нивелировочные марки, размещаемые по сетке через 3 м, ближе к середине между гидроиглами. Кроме того, рекомендуется закладывать реперы на глубине расположения подошвы фундамента. Количество реперов определяется из расчета один репер на 100 кв. м площади оттаиваемого участка.
ПРИМЕЧАНИЕ: Репер, в виде трубы, соответствующей длины и с несколькими (5 - 6) отверстиями внизу трубы на ее боковой стенке, опускается в пробуренную скважину. Затем в трубу подается вода (или пар) в течение часа для оттаивания грунта вокруг нижней части трубы. После оттаивания грунта в трубу подается 8 - 10 литров цементного раствора для скрепления трубы с грунтом на уровне подошвы фундамента.
3.63. Во время подготовительного этапа на участке следует пройти (без применения теплового принуждения, то есть "сухим способом") контрольные скважины и опустить в них "мерзлотомерные иглы" (трубы с замерзшей водой) с целью наблюдения за положением границы талых и мерзлых грунтов в процессе гидрооттаивания.
Мерзлотомерные иглы располагаются между гидроиглами, заполняются водой с расчетом, чтобы находящаяся в них вода замерзла до начала гидрооттаивания. Столб льда в такой игле будет оттаивать в дальнейшем, в процессе гидрооттаивания в соответствии с оттаиванием основной массы грунта.
3.64. Оттаивание грунтов начинается с бурового погружения игл на заданную глубину с одновременной подачей воды в каждую иглу в течение времени ее погружения. После достижения заданной глубины иглу подтягивают на 20 см от забоя и, отодвинув буровой станок, присоединяют к игле шланг с контрольной трубкой.
На участке одновременно должны работать два буровых станка, каждый станок перемещается по рядам игл между распределительными трубами.
Точки расположения гидроигл на участке должны вписываться в прямоугольные площадки (блоки) между распределительными трубопроводами таким образом, чтобы крайние ряды их находились от этих труб на расстоянии не менее 1 м и буровой станок мог перемещаться вдоль ряда не наезжая на трубопровод.
Между смежными распределительными трубопроводами целесообразно располагать четное число рядов гидроигл - четыре или шесть, так как в этом случае буровой станок затрачивает минимум времени на передвижение, развороты и пересечение шлангов.
3.65. В первую очередь погружают и вводят в действие иглы возле дренажного колодца. На строительных участках, имеющих уклон поверхности площадки в первую очередь следует вводить в действие иглы с наиболее возвышенной стороны участка, постепенно перемещаясь вниз по уклону.
3.66. В течение всего времени действия игл требуется ежедневная проверка поступления воды через иглы, прочистка засорившихся игл, протаивание случайно замороженных игл и шлангов, учет времени начала и окончания действия каждой иглы. В это же время необходимо через день проверять ход оттаивания грунтов по глубине по мерзлотомерным иглам.
Отработавшие иглы извлекают из грунта и переносят на новые точки погружения.
3.67. Перерывы в нагнетании воды допускаются лишь в крайних случаях, т.к. холодный грунт быстро замораживает воду в недействующих иглах.
Дежурный персонал, кроме технологического обслуживания насосных агрегатов, и очистки сеток должен следить за напором и температурой подаваемой воды. Измерения температуры воды производятся два раза в сутки.
3.68. Проектные сроки действия игл координируют по показаниям измерений температуры воды, учитывая, что продолжительность действия иглы примерно обратно пропорциональна температуре нагнетаемой воды.
Необходимо также измерять температуру воды, откачиваемой из дренажного колодца. Разность температур нагнетаемой и дренажной воды умноженная на расход воды характеризует теплоотдачу в грунт.
3.69. Главной работой на последнем этапе предпостроечных работ является откачка воды из дренажного колодца при постоянном понижении уровня воды в колодце ниже 3 м или на максимальную глубину котлована, превышающую 3 м.
Понижение уровня воды в колодце может производиться без откачки только в том случае, если вода из колодца дренируется по заранее подготовленной полосе оттаявшего грунта, направленной по уклону местности.
3.70. По окончании нагнетания воды через гидроиглы в грунт все иглы или нагнетательные трубы и контрольные, кроме обсадных труб в скважинах, предназначенных для температурных наблюдений, надлежит извлечь из грунта. Соблюдение этого порядка необходимо для того, чтобы улучшить условия уплотнения оттаивающих грунтов.
3.71. На стадии уплотнения грунтов необходимо продолжать периодическую нивелировку грунтовых реперов до затухания осадок. Уплотнение грунтов считается законченным, когда осадка получает явно выраженный затухающий характер и ее скорость станет менее 0,2 мм/сутки. Данные нивелировок наносятся на графики.
3.72. Работы по возведению фундаментов производятся после приемки работ по гидрооттаиванию с указанием, что работы выполнены в соответствии с проектными требованиями.
Контроль выполнения работ
3.73. Деформативные свойства грунта в оттаявшем массиве, в силу особенностей самоуплотнения грунта при оттаивании в ограниченном объеме, могут в значительной мере отличаться от расчетных значений, полученных по результатам лабораторных или полевых определений сжимаемости грунта при оттаивании под нагрузкой. Поэтому, после окончания процесса оттаивания и затухания осадок оттаявшего массива грунта, необходимо проведение контрольного инженерно-геологического обследования оттаявшего массива грунта. Объем такого обследования должен обеспечивать возможность поверочного расчета осадки здания или сооружения.
3.74. Контроль основывается на проектном материале выполнения предпостроечного оттаивания и уплотнения оттаивающих вечномерзлых грунтов, где указаны ожидаемые результаты и способы контроля выполнения проектируемого улучшения основания.
В проекте предпостроечного оттаивания приводятся для разных точек площадки в контурах оттаиваемого массива вечномерзлого грунта ожидаемые осадки поверхности после оттаивания, плотность и влажность грунтов и др. данные. Количество контролируемых точек устанавливается в зависимости от необходимой детальности контроля. При этом отмечается также общая характеристика уплотняемости (осадки) всего основания и ее неравномерности по точкам, для которых вычислены осадки.
Контроль производится в процессе работ по предпостроечному оттаиванию грунтов и по их завершении.
3.75. Контроль хода осадки основания в процессе предпостроечного оттаивания и по окончании, но до устройства фундаментов состоит из следующих этапов.
а) Производится периодическое измерение температуры грунта для контроля хода и полноты оттаивания. Записи измерения ведутся в специальном журнале
(Приложение N 1).
б) Производится зондирование оттаявшего основания с целью установления фактической глубины оттаивания грунта и его плотности; если невозможно применить зонды, то следует производить контрольное бурение скважин с отбором образцов для определения плотности грунта и влажности. Записи результатов зондирования заносятся в журнал
(Приложение N 2).
в) Производится нивелировка поверхности площадки (если предпостроечное оттаивание выполняется до вскрытия котлована) или поверхности дна котлована до начала работ по оттаиванию. Точками для нивелирования могут служить специальные приспособления в виде металлической планки со штырем для втыкания в землю или поверхность куска доски размером 30 x 30 см, свободно укладываемых на землю (или на дно котлована). Точки устанавливаются по сетке с ячейками 2 x 2 м (или 3 x 3 м) или по другой схеме, в зависимости от контура основания, закрепляемой на обноске; нивелировка привязывается к местному, ближайшему реперу (с условной отметкой), удобному для работы и достаточно надежному для нивелирования на период производства предпостроечного оттаивания и устройства фундаментов. Результаты нивелирования заносятся в журнал
(Приложение N 3).
г) Производятся повторные нивелировки по той же установленной сетке; осадка фиксируется в сантиметрах; периодичность нивелировки устанавливается с расчетом получить не менее 4 - 5 цифр осадки каждой точки, позволяющих построить график хода осадки основания. Последняя нивелировка производится после полного оттаивания на проектную глубину (перед началом фундаментных работ). Результаты нивелировки также заносятся в журнал
(Приложение N 3).
д) Производятся контрольные определения плотности оттаявшего грунта и результаты заносятся в журнал
(Приложение N 4).
3.76. В зависимости от результатов контрольных проверок и для разрешения приступить к фундаментным работам устанавливается (представителями авторского надзора, заказчика и производства работ) выполнение требуемого в проекте оттаивания и уплотнения грунтов основания или необходимость проведения дополнительных работ и их вид и объем.
3.77. Не рекомендуется разрешать выполнять работы по устройству ленточных фундаментов впредь до завершения контрольной проверки достигнутых результатов предпостроечных работ, а, если фундаменты запроектированы в виде отдельных опор и были установлены до начала или в процессе предпостроечного оттаивания и уплотнения основания, то укладывать рандбалки на опоры и замоноличивать связи опор.
3.78. В процессе устройства фундаментов устанавливаются нивелировочные марки в теле фундамента, удобные для дальнейшего наблюдения за осадкой основания и фундаментов; разрыв между последним нивелированием точек на поверхности основания и первым нивелированием марок должен быть как можно меньше. Желательно все же установить ход осадки основания за время получившегося разрыва, а при невозможности это сделать допускается считать осадку за период разрыва развивающейся пропорционально последнему периоду нивелировки до установки фундаментов.
Нивелирование марок в теле фундамента производится в течение всего периода строительства, в сроки согласованные с автором проекта, при сдаче здания в эксплуатация сдаются также по особому акту марки и нивелировочный журнал
(Приложение N 5).
3.79. Контролю подлежат также мероприятия по защите оттаявших грунтов от повторного промерзания и по недопущению восстановления их мерзлого состояния.
Основные указания о правилах и приемки защиты оттаявших грунтов от промерзания в период строительства, а также в последующее время до начала нормальной эксплуатации здания или сооружения должны быть приведены в рабочих чертежах и проекте организации работ. В этом случае учитываются плановые сроки и сезоны производства работ. Производственная организация, исходя из фактических календарных сроков работы, уточняет способы защиты и согласовывает их с проектирующей организацией.
3.80. Систематический контроль за работой оборудования по оттаиванию, уплотнению или закреплению грунтов в соответствии с проектом выполняется строительной организацией. Ею также осуществляются и выполняются правила по технике безопасности.
ГЛАВА IV. ТЕХНИКА БЕЗОПАСНОСТИ
4.1. Правила техники безопасности при производстве работ по предпостроечному оттаиванию и упрочнению оттаивающих грунтов должны соблюдаться строительной организацией в соответствии с указаниями главам
СНиП III-А.11-70 "Техника безопасности в строительстве".
4.2. Строительная организация составляет правила и порядок безопасного ведения работ на площадке, исходя из проектного решения основных вопросов безопасности и безвредности условий производства работ (
п. 32.13 главы СНиП III-А.11-70), имеющего оборудования, принятого способа работ, а также местных особенностей, которые могут отразиться на производстве работ (время года, условия Севера, квалификация и опыт людей, наличие вблизи постройки эксплуатируемых зданий и сооружений и т.п.) или для которых производство работ может быть вредным или опасным. Например, при электрооттаивании мерзлых грунтов, ограждение должно так изолировать участок с электродами, чтобы за ограждением шаговое напряжение не было опасным для пешеходов и гужевого транспорта. При гидрооттаивании надлежит учитывать направление грунтового потока воды с тем, чтобы вода не оказала бы вредного действия на основания окружающих эксплуатируемых построек оттаивания вечномерзлых грунтов или повышения температуры выше расчетной для данных зданий или сооружений.
4.3. Проектные организации при проектировании оснований, фундаментов и технологии производства работ по предпостроечному оттаиванию обязаны предусматривать в проектах безопасные условия производства работ, а в необходимых случаях разрабатывать решения по основным вопросам их безопасности и безвредности.
К основным вопросам по безопасности и безвредности работ относятся:
- общая организация строительной площадки, размещение на ней вспомогательных временных построек, трансформаторов, линий электропередач, трубопроводов, складирование и хранение материалов и оборудования;
- обеспечение электробезопасности работ, устройство заземления, ограждения, предупредительных знаков;
- обеспечение безопасной работы с трубопроводами при гидрооттаивании и электрооттаивании грунтов;
- обеспечение безопасной работы при бурении скважин для электродов и гидроигл или при погружении электродов и гидроигл непосредственно в мерзлый грунт вибромолотами или другими механизмами; организация парового хозяйства, паропроводов и паропрогрева грунта.
4.4. Технический персонал на производстве в пределах порученных им участков работ и своих технических обязанностей должен соблюдать и обеспечивать соблюдение трудовой дисциплины и правил техники безопасности, сочетая это с высокой производительностью труда и высоким качеством работ.
4.5. Применяемые при производстве работ по оттаиванию мерзлых грунтов и упрочнению оттаявших грунтов механизмы, оборудование, трубопроводы для подачи воды и пара должны быть проверены согласно паспортов или данных соответствующих ГОСТов на возможность пользования в Северных условиях (при низкой отрицательной температуре, ветровой нагрузке).
В случае возможности пользования ими в северных условиях устанавливаются пределы безопасной их работы. Эти пределы должны быть известны техническому персоналу и непосредственным исполнителям.
4.6. При производстве паропрогрева грунта или при работе с пневмоогневыми агрегатами надлежит принимать защитные приспособления от выбросов пара, разжиженного грунта или частиц грунта. Вентили и краны должны иметь теплоизоляцию и располагаться в легко доступных местах.
Недопустимо производить разъединения труб или шлангов к ним, если не отключена линия трубопровода или не снято давление (напор) в трубопроводе.
4.7. Заземление строительных механизмов и электрифицированного инструмента должно производиться в соответствии с Инструкциями Госстроя СССР и с учетом специфических условий Севера - наличия вечномерзлых грунтов, обладающих большим омическим сопротивлением.
Неисправности в заземляющем устройстве необходимо устранять немедленно. До устранения неисправности должны быть приняты меры поддерживающие или временно заменяющие защитное действие заземляющего устройства.
4.8. Людей работающих вблизи участков, где производятся работы с применением электричества или производится электропрогрев грунта, необходимо предупредить об опасности поражения электрическим током, паром или падающим грузом и дополнительно их проинструктировать.
Всякие работы на огражденном участке, где проводится электрооттаивание, и в том числе температурные, гидрогеологические, нивелировочные наблюдения могут производиться только при отключенном токе к электродам.
4.9. Покрытие труб, электродов или иных каких поверхностей электроизоляционным или гидроизоляционными смолами должно выполняться на специальных площадках, по согласовании с органами пожарной безопасности, охраны труда и с соблюдением правил техники безопасности (см.
п.п. 18.6 -
18.26 главы СНиП III-А.11-70).
4.10. Электроды, погружаемые в скважины с помощью копров или кранов должны удерживаться от раскачивания при опускании в скважину.
При монтаже и демонтаже оборудования в зимнее время необходимо очистить оборудование от снега и льда и убедиться, что нет примерзших деталей.
ГЛАВА V. ОСНОВНЫЕ ПОЛОЖЕНИЯ ПРАВИЛ ЭКСПЛУАТАЦИИ ЗДАНИЙ
5.1. Эксплуатация зданий и сооружений должна выполняться с соблюдением комплекса инженерно-технических мероприятий по их содержанию в нормальном состоянии в течение всего срока эксплуатации, обеспечивающих полноценное и бесперебойное технологическое назначение возведенных объектов.
Основной особенностью эксплуатационного содержания зданий и сооружений, возведенных в области распространения вечномерзлых грунтов является непрерывное соблюдение условий принятого в проекте принципа (см. п. 3.2 главы СНиП II-Б.6-66) использования грунтов в основании.
Условия, принятого в проекте данного здания или сооружения принципа использования вечномерзлых грунтов, излагаются в паспорте проектируемого объекта и включают в себя главные положения правил содержания основания и фундаментов, объем необходимых наблюдений за зданием или сооружением при эксплуатации и порядок их выполнения.
Принцип использования вечномерзлых грунтов в качестве основания определяется температурным состоянием грунта в основании под эксплуатируемым зданием, которое прежде всего зависит от теплового влияния здания или сооружения.
Тепловое влияние эксплуатируемого объекта на основание в свою очередь определяется его технологическим назначением конструктивными особенностями, зависит от проложенных вблизи коммуникаций, вводов их в здание, а также от состояния отмосток, планировки поверхности. Указанные особенности возведенного и передаваемого в эксплуатацию здания должны быть известны эксплуатационному персоналу и постоянно учитываться в своей работе.
5.2. Паспорт здания или сооружения, заполненный проектной организацией и дополненный за период строительства уточнениями или согласованными с проектной организацией изменениями; ведомости наблюдений за осадкой основания и здания, температурой грунтов и др., передаются эксплуатирующей организации при приемке здания или сооружения в эксплуатации вместе с другими материалами приемо-сдаточного акта.
5.3. Эксплуатирующая организация должна обеспечить и осуществить бесперебойное в течение всего срока эксплуатации выполнение правил содержания оснований и фундаментов зданий и сооружений, находящихся в ее ведении, в соответствии с проектными указаниями.
5.4. Для организационного и систематического наблюдения за состоянием возведенного здания или сооружения должен вестись "Журнал надзора"
(Приложение N 6).
5.5. В случае появления в конструкциях здания или сооружения трещин или других деформаций необходимо провести обследование квалифицированными лицами для заключения о необходимости принятия соответствующих мер для обеспечения устойчивости здания и безопасности эксплуатации.
(титульный лист журнала)
...........................................................................
(наименование строительной организации)
измерения температуры грунта в основании здания
----------
сооружения
Объект _______________________________ Шифр _______________________________
Дата начала строительных работ на площадке расположения температурных
скважин ___________________________________________________________________
___________________________________________________________________________
(План расположения скважин на площадке и NN скважин)
___________________________________________________________________________
Ответственный за выполнение наблюдений:
(должность, фамилия, дата заполнения)
К приложение N 1
(внутренние листы журнала
измерения температуры грунта)
Температура грунта на разной глубине в разное время (даты) по измерениям в
скважинах
Скв. N .................
Глубина измерения температуры, в м | Дата измерения температуры |
| | | | | | |
Особые заметки ..................
(титульный лист журнала)
___________________________________________________________________________
(наименование строительной организации)
контрольного измерения глубины предпостроечного оттаивания
грунта в основании здания
----------
сооружения
Объект _______________________________ Шифр _______________________________
Дата начала работ по предпостроечному оттаиванию
грунта на площадке ..............................
Способ оттаивания _________________________________________________________
Способ работ выполняется согласно проекта _________________________________
___________________________________________________________________________
(план расположения скважин, зондов на площадке и NN контрольных точек)
___________________________________________________________________________
Ответственный за выполнение измерений:
___________________________________________________________________________
(должность, фамилия, дата заполнения)
К приложение N 2
(внутренние листы журнала измерения
глубины оттаивания грунта)
Результаты контрольных измерений
Дата измерения ................ Дата измерения ......................
NN скв., зондов | Проектная глубина оттаивания грунта, в м | Фактическая глубина оттаивания грунта, м | NN скв., зондов | Проектная глубина оттаивания грунта, в м | Фактическая глубина оттаивания грунта, в м |
Особые заметки ____________________________________________________________
(титульный лист журнала)
___________________________________________________________________________
(наименование строительной организации)
контрольного наблюдения за осадкой оснований в период
построечного оттаивания грунта в основании здания
----------
сооружения
Объект _______________________________ Шифр _______________________________
(план расположения контрольных точек на площадке для наблюдения
за осадкой поверхности грунта или при вскрытом котловане - дна котлована)
Ответственный за наблюдения:
___________________________________________________________________________
(должность, фамилия)
К приложению N 3
(внутренние листы журнала контрольного
наблюдения за осадкой основания)
Полная (суммарная) осадка основания в мм по результатам контрольных
наблюдений
NN точек | Начальные отметки точек (или условный нуль) | Проект. величина осадки в точке | осадка точек на даты |
| | | | | |
Особые заметки ..........................
(титульный лист журнала)
___________________________________________________________________________
(наименование строительной организации)
контрольного определения плотности грунта в основании здания
----------
сооружения
Объект _______________________________ Шифр _______________________________
___________________________________________________________________________
(план расположения мест взятия образцов грунта на площадке
и NN контрольных точек)
___________________________________________________________________________
Ответственный за выполнение определений:
___________________________________________________________________________
(должность, фамилия)
К приложению N 4
(внутренние листы журнала контрольного
определения плотности грунта)
Результаты контрольных определений плотности грунта
Место взятия контрольных образцов | Дата взятия образца | Плотность грунта в месте взятия контрольного образца | Примечание |
NN контр. точек | Глубина в м | по проекту гр/см3 | фактическая гр/см3 |
Особые заметки ..........................
(титульный лист журнала)
___________________________________________________________________________
(наименование строительной организации)
контрольного наблюдения за осадкой фундамента в период возведения
здания и после приемки его в эксплуатацию
----------
сооружения
Объект ............................... Шифр ...............................
Схематический чертеж расположения контрольных марок на фундаменте
здания
----------
сооружения
Ответственный за выполнение наблюдений в период строительства
с ______________________________________ по _______________________________
(фамилия, должность)
Ответственный за выполнение наблюдений в период эксплуатации
здания с _______________________
----------
сооружения
___________________________________________________________________________
(должность, фамилия)
К приложению N 5
(внутренние листы журнала контрольного
наблюдения за осадкой фундамента)
Полная (суммарная) осадка фундаментов
в мм по результатам контрольных наблюдений
NN марок и реперов | Начальные отметки марок и реперов (или условный нуль) | Осадка на даты наблюдения |
| | | | | |
Основные заметки ....................
(титульный лист журнала)
Ведомство _________________________________________________________________
Организация (предприятие), эксплуатирующая здания и сооружения
___________________________________________________________________________
Адрес _____________________________________________________________________
надзора за сохранением устойчивости
здания (сооружения)
_____________________________________
(наименование и номер объекта)
Начат ________________________
Окончен ______________________
Начальник службы эксплуатации
_____________________________
(фамилия и подпись)
(первая страница)
1. Год постройки и сдачи здания (сооружения) в эксплуатацию _______________
2. Принцип использования грунтов в основании ______________________________
___________________________________________________________________________
3. Имеются ли коммуникации:
водопровода _________________________________________________
канализация _________________________________________________
теплофикация ________________________________________________
___________________________________________________________________________
(показать схему вводов и выводов)
4. Дренажные устройства ___________________________________________________
(наличие, их конструкция)
5. Планы и разрезы здания (сооружения) с указанием типа фундамента
(схематично, мест расположения
температурных скважин, реперов,
марок)
Место для чертежа,
если он не изображается
отдельно
6. Рекомендации проекта по особенностям эксплуатационного режима здания
(сооружения) ______________________________________________________________
___________________________________________________________________________
___________________________________________________________________________
___________________________________________________________________________
___________________________________________________________________________
Вторая страница
Порядок сдачи-приемки здания (сооружения) лицам,
ответственным за сохранение их устойчивости
Дата | Соблюдение правил эксплуатации и состояния здания (сооружения) | СДАЛ | ПРИНЯЛ |
Фамилия, и. о. | Должность | Подпись | Фамилия, и.о. | Должность | Подпись |
Третья и последующие
страницы
Результаты наблюдений за устойчивостью здания (сооружения)
дата обследования | Краткое описание выявленных нарушений (деформации конструкций, течи трубопроводов и т.д.) | Запланированные мероприятия по ликвидации нарушений | Отметка о выполнении запланированных мероприятий | Фамилия и подпись лица, ответственного за обеспечение устойчивости здания (сооружения) |