Главная // Актуальные документы // ВНТП (Ведомственные нормы технологического проектирования)СПРАВКА
Источник публикации
М.: Всесоюзный ордена Октябрьской Революции научно-исследовательский институт транспортного строительства, 1990
Примечание к документу
Документ
введен в действие с 1 января 1990 года.
Название документа
"ВНТП-1-90. Ведомственные нормы технологического проектирования. Ведомственные нормы технологического проектирования тепловой обработки мостовых железобетонных конструкций"
(утв. Приказом Минтрансстроя СССР от 07.08.1989 N АВ-398)
"ВНТП-1-90. Ведомственные нормы технологического проектирования. Ведомственные нормы технологического проектирования тепловой обработки мостовых железобетонных конструкций"
(утв. Приказом Минтрансстроя СССР от 07.08.1989 N АВ-398)
Утверждены Приказом Министерства
транспортного строительства СССР
от 7 августа 1989 г. N АВ-398
МИНИСТЕРСТВО ТРАНСПОРТНОГО СТРОИТЕЛЬСТВА СССР
ВЕДОМСТВЕННЫЕ НОРМЫ ТЕХНОЛОГИЧЕСКОГО ПРОЕКТИРОВАНИЯ
ВЕДОМСТВЕННЫЕ НОРМЫ ТЕХНОЛОГИЧЕСКОГО ПРОЕКТИРОВАНИЯ
ТЕПЛОВОЙ ОБРАБОТКИ МОСТОВЫХ ЖЕЛЕЗОБЕТОННЫХ КОНСТРУКЦИЙ
ВНТП-1-90
Срок введения в действие
с 1 января 1990 года
Внесены ЦНИИИС Минтрансстроя и Гипростроймост.
Утверждены Приказом Министерства транспортного строительства СССР N АВ-398 от 7 августа 1989 г.
Вводятся впервые.
Разработаны Всесоюзным ордена Октябрьской Революции научно-исследовательским институтом транспортного строительства (ЦНИИС) Министерства транспортного строительства СССР и Государственным проектным и проектно-конструкторским институтом по проектированию строительства мостов (Гипростроймост), д-ром техн. наук А.Р. Соловьянчиком, кандидатами техн. наук В.П. Абрамовым, Г.С. Рояком, инж. В.Г. Рудицким (Гипростроймост) при участии инж. Е.А. Антонова (ЦНИИС).
Внесены Министерством транспортного строительства СССР и Гипростроймост.
Подготовлены к утверждению главным научно-техническим управлением, Л.Ф. Кисилевым.
Согласованы Госстроем СССР N 11/5-62 от 05.07.1989.
| | ИС МЕГАНОРМ: примечание. Взамен СНиП III-43-75 Постановлением Госстроя СССР от 28.11.1991 N 17 с 1 июля 1992 года введены в действие СНиП 3.06.04-91. | |
Ведомственные нормы технологического проектирования тепловой обработки мостовых железобетонных конструкций разработаны в развитие
ОНТП-07-85 "Общесоюзные нормы технологического проектирования предприятий сборного железобетона", глав
СНиП 3.09.01-85 "Производство сборных железобетонных конструкций и изделий", СНиП III-43-75 "Мосты и трубы. Правила производства и приемки работ" и изменений к нему N 1 и N 2, утвержденных Постановлениями Госстроя СССР от 30 декабря 1980 г. N 219 и от 31 декабря 1987 г. N 318.
В них содержатся основные нормативы, необходимые для разработки проектов технологических линий, установок ускоренного твердения бетона, шлюзовых камер, технологической оснастки, требуемых при использовании тепловых методов ускорения твердения бетона.
Требованиями настоящих Норм следует руководствоваться при проектировании новых, реконструкции и техническом перевооружении действующих заводов мостовых железобетонных конструкций и производственных баз мостостроительных организаций.
Нормы разработаны на базе результатов проведенных за последние годы научно-исследовательских и опытно-экспериментальных работ и обобщения опыта работы передовых предприятий МЖБК и учитывают специфику технологического процесса тепловой обработки мостовых железобетонных конструкций, связанную с повышенными требованиями к морозостойкости и водонепроницаемости бетона, к надежности и долговечности сооружений, а также с учетом конструктивных форм и массивности изделий.
1.1. Настоящие Нормы распространяются на проектирование технологических линий, установок ускоренного твердения бетона, технологической оснастки, остывочных помещений и шлюзовых камер, связанных с использованием тепловых методов ускорения твердения бетона и последующим выдерживанием мостовых железобетонных конструкций.
1.2. Тепловая обработка мостовых железобетонных конструкций осуществляется для сокращения сроков достижения бетоном заданных проектом величин распалубочной, передаточной и отпускной прочностей и обеспечения требуемой производительности технологических линий.
1.3. Нормативные технологические параметры и показатели даны для типовых и индивидуальных проектов.
При разработке проектов конкретных технологических линий, технологической оснастки и тепловых установок (установок ускоренного твердения бетона, остывочных помещений и шлюзовых камер) отдельные параметры для данного предприятия необходимо уточнять в зависимости от номенклатуры изделий, применяемых материалов и других местных условий, но их значения не должны быть ниже показателей, регламентируемых настоящими Нормами.
1.4. При разработке проектов технологических линий тепловая обработка мостовых железобетонных конструкций может быть принята с использованием следующих способов:
пропаривания бетона в пропарочных камерах ямного или тоннельного типа, под переносными (съемными) колпаками насыщенным паром низкого (до 0,3 МПа) давления;
контактного и конвективного прогрева бетона, уложенного в теплоизолированные формы с помощью различных теплоносителей (пара, горячей воды, разогретого масла, электричества);
экзотермического (термосного) и частично-термосного выдерживания, а также экзотермического способа выдерживания в сочетании с компенсационным обогревом;
комбинированных способов прогрева;
прогрева бетона с помощью солнечной энергии с использованием светотеплоизолирующих покрытий, промежуточных теплоносителей и теплоаккумулирующих веществ при условии исключения высушивания бетона.
При использовании технических и технологических средств, исключающих возможность высушивания бетона на всех этапах его ускоренного твердения, а также неблагоприятное тепловое взаимодействие опалубок и стендов с конструкциями из твердеющего бетона, допускается в опытном порядке производить тепловую обработку в камерах с использованием продуктов сгорания природного газа или электронагревателей.
Ускоренное твердение бетона вышеназванными способами, кроме тепловой обработки пропариванием и контактным прогревом в термоформах, должно осуществляться с учетом вида конструкций и условий производства по специальным инструкциям в составе проектов технологических линий.
1.5. Способ тепловой обработки следует выбирать на основании технико-экономического обоснования в зависимости от принятой (или существующей) технологии изготовления конструкций (стендовой, поточно-агрегатной, конвейерной), наличия теплоносителей и конструктивных особенностей изделий (конфигурации, габаритности и массивности) в целях обеспечения главного условия производства: достижения проектной производительности технологической линии при минимальных экономических затратах и обеспечения требуемого качества и долговечности конструкций и эффективного использования топливно-энергетических ресурсов.
Технико-экономическое сравнение рассматриваемых вариантов при выборе способа тепловой обработки следует производить с учетом "Методических рекомендаций по оценке эффективности и выбору способа тепловлажностной обработки изделий на заводах сборного железобетона Минтрансстроя" (М., ЦНИИС, 1978), требований к охране окружающей среды и положений настоящих Норм.
1.6. Тепловая обработка изделий пропариванием может быть применена при изготовлении всех мостовых железобетонных конструкций.
Тепловую обработку в термоформах целесообразно применять для конструкций сложной конфигурации: тавровых и двутавровых цельноперевозимых балочных пролетных строений, коробчатых блоков и блоков ПРК составных пролетных строений.
1.7. При разработке конкретных проектов технологических линий по выпуску мостовых железобетонных конструкций для обеспечения заданного ритма технологического потока требуемая производительность должна назначаться, как правило, по съему продукции с проектируемых установок ускоренного твердения (тепловых агрегатов), который зависит от типа выпускаемых конструкций, характеристик применяемых материалов (состав бетона, тип, марка, расход, химический и минералогический состав цемента и др.), температурных условий выдерживания конструкций, методов уплотнения, суперпластификаторов и др. Для определения объемов продукции, снимаемой с проектируемой установки, необходимо в каждом конкретном случае задаваться минимальной продолжительностью цикла тепловой обработки, обеспечивающей достижение бетоном прочности, заданной в проекте.
1.8. Продолжительность цикла и режимы тепловой обработки определяются по методикам, изложенным в
гл. 3 и рекомендуемых в
Приложениях 1,
2 и
3 настоящих Норм.
1.9. Для обеспечения минимальной продолжительности цикла тепловой обработки при минимальном расходе топливно-энергетических ресурсов в проектной документации на конкретные виды изделий необходимо учитывать реальные технологические возможности производства и назначать величины распалубочной, передаточной и отпускной прочностей бетона конструкций в соответствии с нормами, приведенными в
табл. 2 (тепловая обработка, нормативные требования).
1.10. Выбор теплоносителя должен осуществляться на основании технико-экономических расчетов и целесообразности его применения в конкретных условиях производства с учетом энергетических балансов предприятий. При проектировали технологических линий следует стремиться к использованию минимального количества теплоносителей и не включать в проекты дефицитные для данного региона теплоносители.
1.11. При разработке технологических линий по изготовлению железобетонных конструкций необходимо предусматривать мероприятия по защите бетона от высыхания и трещинообразования. Каждое мероприятие должно назначаться с учетом принятой технологии, используемого метода тепловой обработки конструкций и особенностей выдерживания бетона после тепловой обработки.
1.12. В пропарочные камеры и под колпаки необходимо подавать насыщенный пар низкого давления. Давление пара в подводящих трубопроводах не должно превышать 0,3 МПа.
При использовании в пропарочных камерах пара более высокого давления (например, поступающего от ТЭЦ) необходимо осуществлять мероприятия по увлажнению пара. Способ увлажнения пара выбирается проектной организацией на основании технико-экономического обоснования.
2. ТРЕБОВАНИЯ К ТЕПЛОВЫМ АГРЕГАТАМ ДЛЯ УСКОРЕННОГО ТВЕРДЕНИЯ
БЕТОНА, ШЛЮЗОВЫМ КАМЕРАМ И ТЕХНОЛОГИЧЕСКОЙ ОСНАСТКЕ
2.1. В технической документации на сооружение новых и реконструкцию действующих установок ускоренного твердения бетона должны выполняться требования по их нормальной эксплуатации и рациональному использованию энергоресурсов, предусмотренные в табл. 1.
───┬────────────────────────┬──────────────┬────────────┬──────────────────
N │Содержание нормативного │ Значение │ Объем │ Метод контроля
п/п│ требования │ нормативного │ контроля │
│ │ требования │ │
───┼────────────────────────┼──────────────┼────────────┼──────────────────
1 │Термическое │Не менее 1,3 │Все │При проектирова-
│сопротивление ограждений│ │ограждения, │нии - по расчету,
│вновь строящихся и │ │за │при эксплуатации -
│реконструируемых │ │исключением │выборочным
│установок ускоренного │ │гидрозамков │контролем
│твердения всех типов, │ │ │теплофизических
│находящихся │ │ │свойств материалов
│в цехах, м2 x °C/Вт │ │ │и натурным
│ │ │ │обследованием
│ │ │ │ограждений
2 │То же, но находящихся │Не менее 2 │То же │То же
│на полигонах, м2 x °C/Вт│ │ │
3 │Удельная теплообменная │ │ │
│характеристика │ │ │
│ограждений установок │ │ │
│ускоренного твердения │ │ │
│бетона, │ │ │
│тыс. кДж/(м3 x ч x °C): │ │ │
│ а) вновь строящихся │ │ │
│и реконструируемых │ │ │
│пропарочных камер: │ │ │
│ ямных │Не более 12 │Камера │По расчету
│ тоннельных │Не более 5 │ " │ "
│ б) построенных по │ │ │
│старым типовым проектам │ │ │
│пропарочных камер: │ │ │
│ ямных │Не более 15 │ " │ "
│ тоннельных │Не более 7 │ " │ "
│ в) теплоизолированных │Не более 12 │Форма │ "
│форм для изготовления │ │ │
│мостовых балок │ │ │
│ г) установок с │Не более 15 │Установка │ "
│использованием съемных │ │со съемным │
│колпаков │ │колпаком │
4 │Удельная теплоаккумуля- │ │ │
│ционная характеристика │ │ │
│ограждений установок │ │ │
│ускоренного твердения │ │ │
│бетона, │ │ │
│тыс. кДж/(м3 x °C): │ │ │
│ а) вновь строящихся │ │ │
│и реконструируемых │ │ │
│пропарочных камер: │ │ │
│ ямных │Не более 130 │Камера │ "
│ тоннельных │Не более 90 │ " │ "
│ б) построенных по │ │ │
│старым типовым проектам │ │ │
│пропарочных камер: │ │ │
│ ямных │Не более 400 │ " │ "
│ тоннельных │Не более 350 │ " │ "
│ в) теплоизолированных │Не более 100 │Термоформа │ "
│форм для изготовления │ │ │
│мостовых балок │ │ │
│ г) установок с │Не более 130 │Установка │ "
│использованием съемных │ │ │
│колпаков │ │ │
5 │Выдерживаемое избыточное│Не менее │Камера │Манометрический
│давление при проверке │50 мм вод. ст.│ │
│камер на герметичность │ │ │
6 │Срок службы пропарочных │Не менее 8 лет│ " │Ежегодное натурное
│камер до капитального │ │ │обследование
│ремонта │ │ │
7 │Допускаемый перепад │ │ │
│температур по высоте │ │ │
│камер тепловой │ │ │
│обработки: │ │ │
│ ямных │Не более 5 °C │ " │С помощью
│ │ │ │термометров
│ тоннельных │Не более 10 °C│ " │С помощью
│ │ │ │термометров
│ │ │ │или термопар
8 │Допускаемый перепад │ │ │
│температур в одном │ │ │
│уровне: │ │ │
│ по длине тоннельных │Не более 10 °C│Камера │ "
│пропарочных камер │ │или секция │
│или их секций │ │ │
│ по высоте │Не более 5 °C │В торцевых │ "
│нагревательных отсеков │ │и в средней │
│термоформ │ │части │
│ │ │термоформы │
│ по длине термоформ │Не более 10 °C│Через каждые│ "
│ │на всю длину │2 м длины │
│ │термоформы и │термоформы │
│ │не более 3 °C │ │
│ │на каждый метр│ │
│ │термоформы │ │
9 │Допуски в укладке и │В соответствии│Через каждый│С помощью шаблонов
│содержании рельсовых │с правилами │метр колеи │и уровней, а также
│путей в камерах и │содержания │не реже 2 │нивелиров
│в местах передвижки │железных дорог│раз в месяц │
│стендов с изделиями, │нормальной │ │
│имеющими прочность │колеи I │ │
│бетона до 50% │категории │ │
│от проектной │ │ │
───┴────────────────────────┴──────────────┴────────────┴──────────────────
2.2. Для теплотехнической оценки конструктивно-планировочных решений установок ускоренного твердения бетона в проектах необходимо приводить величины удельной теплообменной характеристики ограждений

и удельной теплоаккумуляционной характеристики ограждений

, значения которых не должны превышать величин, указанных в
табл. 1.
Рис. 1. Графики кинетики изменения прочности бетонов
классов В35 (а), В40 (б), В45 (в) для пролетных строений
при тепловой обработке на заводах МЖБК:

- Днепропетровском;

- Днепропетровском
(с гидрофицированной опалубкой);

- Батайском, Крустпилском, Киевском, Калачевском;

- Дмитровском;

- Красноярском, Буготакском;

- Подпорожском;

- Бескудниковском,
Горьковском;

- Исетском
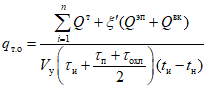
Удельная теплообменная характеристика ограждений установки ускоренного твердения бетона устанавливает расчетные теплопотери 1 м3 внутреннего объема установки за 1 ч при разности температур внутри установки и окружающей среды равным 1 °C и определяется по формуле

, (1)
где

- затраты тепловой энергии в установке ускоренного твердения бетона, связанные с теплообменом, кДж;

- доля затрат тепловой энергии, связанных с утечками (или нерациональным использованием электроэнергии)

, и потерями вторичных энергоресурсов;

, приходящаяся на расход тепловой энергии через ограждения установки;

- объем установки, м3;

,

,

- соответственно продолжительность периодов изотермического прогрева изделий, подъема температур и снижения температуры в установке, ч;

- температура изотермического прогрева, °C;

- начальная температура воздуха в установке, °C.
Удельная теплоаккумуляционная характеристика ограждений устанавливает расчетные затраты теплоты на нагрев ограждений при изменении температуры установки на 1 °C, отнесенные к 1 м3 установки.

, (2)
где

- затраты тепловой энергии, связанные с нагревом ограждений;

- доля затрат тепловой энергии, связанных с утечками (или нерациональным использованием электроэнергии) и потерями вторичных энергоресурсов, приходящаяся на нагрев ограждений.
Затраты тепловой энергии при определении тепловых характеристик установок ускоренного твердения бетона рассчитываются по методике, приведенной в "Указаниях по нормированию расхода тепловой энергии на заводах сборного железобетона Минтрансстроя" (М., ЦНИИС, 1988).
2.3. Ограждающие конструкции пропарочных камер и съемные колпаки должны быть прочными, паронепроницаемыми, обеспечивать надежную теплоизоляцию и герметизацию их внутреннего объема. Сопряжение крышек со стенками камеры, отдельных крышек между собой, контуры опирания переносных (съемных) колпаков должны быть оборудованы гидравлическими замками, а примыкания дверей (ворот) камер - уплотняющими устройствами, обеспечивающими герметизацию этих мест, исключающую потери паровоздушной смеси в период тепловой обработки.
2.4. При проектировании новых и реконструкции действующих предприятий ограждающие конструкции пропарочных камер следует назначать в соответствии с требованиями типовых проектов, а также "
Рекомендациями по снижению расхода тепловой энергии в камерах для тепловлажностной обработки железобетонных изделий" (М., Стройиздат, 1984).
Крышки ямных камер должны обеспечивать сток конденсата к стенкам в гидравлические замки, а на полигонах они должны обеспечивать свободный сток атмосферных осадков; ограждающие конструкции этих камер должны быть влагоизолированы как с внутренней, так и с наружной стороны.
2.5. Теплотехническое оборудование камер и съемных колпаков должно обеспечивать:
осуществление заданного температурного режима тепловой обработки железобетонных конструкций;
требуемую равномерность распределения температуры греющей среды по объему камер;
требуемую относительную влажность паровоздушной смеси в камере;
сообщение внутреннего объема камеры, содержащего греющую среду, с наружным воздухом через гидравлические клапаны;
сток конденсата с пола камер в канализацию через запорные гидравлические устройства.
2.6. Для стабилизации температуры паровоздушной среды по объему камер в соответствии с требованиями
пп. 7,
8 табл. 1 настоящих Норм, улучшения условий теплообмена, управления расходом пара при помощи прямого регулирования ямные и тоннельные камеры и переносные колпаки необходимо оборудовать изотермосмесителями или эжекторами-терморегуляторами, количество которых должно определяться по расчету в соответствии с "Рекомендациями по оборудованию пропарочных камер заводов сборного железобетона эжекторами-терморегуляторами" (М., ЦНИИС, 1983) и аналогичными рекомендациями по применению изотермосмесителей.
2.7. Для увлажнения паровоздушной среды в период изотермического выдерживания изделий, не защищенных от высушивания (при относительной влажности менее 95%), ямные и тоннельные камеры, а также съемные колпаки необходимо оборудовать увлажнителями (например, УВС-1, выпускаемыми Новосибирским РМЗ) или системой орошения.
2.8. Для обеспечения остывания изделий после изотермического выдерживания с заданной скоростью ямные и тоннельные камеры должны быть оборудованы системой вентиляции.
2.9. Все типы тепловых агрегатов для ускоренного твердения бетона должны быть, как правило, оборудованы системами автоматизации, обеспечивающими регулирование режимов тепловой обработки в требуемых пределах и контроль требуемых параметров: температуры греющей среды, температуры и прочности бетона, а также расхода тепловой энергии на технологические нужды.
2.10. Конструкции обогревающих элементов термоформ, системы подачи и распределения теплоносителя, а также регулирования температуры греющей среды или бетона должны обеспечивать получение заданного температурного режима по длине и высоте изготавливаемого изделия в соответствии с требованиями
пп. 8,
9 табл. 1 настоящих Норм.
2.11. Обогрев термоформ целесообразно осуществлять с помощью регистров. Подача теплоносителя непосредственно в полости термоформ для изделий сложной конфигурации не рекомендуется.
2.12. Теплоизолирующая оснастка термоформ должна включать в свой состав инвентарные тепловлагозащитные покрытия для защиты открытых поверхностей бетона изготавливаемой конструкции от охлаждения и высыхания. Влаготеплозащитное покрытие может, например, состоять из полотнищ полимерной пленки или прорезиненной ткани, укладываемой непосредственно на бетон, и теплоизолирующих матов из стекловойлока, поролона, льноватина или других теплоизолирующих материалов. В проектах должны быть технические решения по укладке теплоизолирующих покрытий.
2.13. Для изготовления блоков пролетных строений мостов методом "отпечатка" в состав технологической оснастки должен входить тепловой отсек, в который сдвигают блок с поста бетонирования на пост "отпечатка", а при необходимости (в зависимости от принятой производительности линий) и пост выдержки.
2.14. Для "смягчения" теплового удара на бетонные и железобетонные конструкции в холодный период года при выдаче их из цеха на склад готовой продукции необходимо использовать остывочные помещения и камеры шлюзования.
Ограждающие конструкции помещений для остывания конструкций и камер шлюзования с целью экономии тепловой энергии необходимо устраивать из эффективных теплоизоляционных материалов. Термическое сопротивление таких ограждающих конструкций должно составлять 1 м2 x °C/Вт для районов с расчетной среднесуточной температурой наружного воздуха ниже минус 40 °C; 0,5 м2 x °C/Вт - для районов с расчетной среднесуточной температурой наружного воздуха от минус 30 до минус 40 °C и 0,1 - 0,2 м2 x °C/Вт - для районов с расчетной среднесуточной температурой наружного воздуха от минус 15 до минус 30 °C.
2.15. Камеры температурного шлюзования должны иметь устройства для обогрева (при необходимости), регулирования распределения температуры по объему, например, подачей воздуха из верхней части в нижнюю, а при расчетной температуре наружного воздуха ниже минус 30 °C их необходимо оборудовать системой автоматики, обеспечивающей снижение температуры воздуха по заданной программе.
2.16. При конструировании стендов, опалубок и форм необходимо учитывать неблагоприятное тепловое взаимодействие их с конструкцией и предусматривать мероприятия по предупреждению трещинообразования от такого взаимодействия.
2.17. Тепловую обработку конструкций, имеющих сложную конфигурацию, большие габариты и "разномассивность" отдельных ее элементов (двутавровые балки, коробчатые блоки, блоки ПРК и др.), в термоформах целесообразно осуществлять с дифференцированной подачей тепла в различные ее элементы, обеспечивающей равномерность разогрева бетона и набора твердеющим бетоном прочности по сечению конструкции.
Места установки регистров, расстояние между ними должны определяться на основании специальных расчетов с помощью ЭВМ по методике, разработанной ЦНИИС Минтрансстроя.
3. ПРОЕКТИРОВАНИЕ ПАРАМЕТРОВ ТЕХНОЛОГИЧЕСКОГО ПРОЦЕССА
ТЕПЛОВОЙ ОБРАБОТКИ МОСТОВЫХ ЖЕЛЕЗОБЕТОННЫХ КОНСТРУКЦИЙ
3.1. При изготовлении мостовых железобетонных конструкций в заводских условиях может быть применена одностадийная и двухстадийная тепловая обработка.
При одностадийной тепловой обработке изделий и конструкций в пропарочных камерах, под переносными (съемными) колпаками или в термоформах различают следующие периоды:
предварительное выдерживание - от окончания укладки бетона до начала подъема температуры среды, окружающей бетон;
подъем температуры - от начала повышения температуры среды или бетона с заданной скоростью до достижения средой или бетоном заданного наивысшего уровня температуры;
изотермический прогрев - выдерживание конструкции при наивысшей заданной температуре среды или бетона;
остывание (охлаждение) - снижение температуры бетона от температуры изотермического прогрева до заданной температуры.
При двухстадийной тепловой обработке изделие на первой стадии выдерживается в термоформе или в камере при температуре окружающей среды методом термоса или подвергается тепловой обработке в них до набора бетоном распалубочной прочности, после чего распалубленная конструкция подается в пропарочную камеру, где осуществляется дальнейшая тепловая обработка по режиму, имеющему периоды подъема, изотермического прогрева и снижения температуры, или тепловая обработка осуществляется другим способом (например, выдерживанием конструкций в камерах дозревания и т.п.).
3.2. При проектировании технологических линий необходимо предусматривать начальную температуру бетонной смеси для конструкций, подвергаемых тепловой обработке, в пределах от 15 до 35 °C.
При формовании конструкций температура опалубки должна быть не ниже 15 - 20 °C.
3.3. Длительность предварительного выдерживания изделий перед тепловой обработкой следует определять в соответствии с требованиями табл. 2. При температуре наружного воздуха ниже указанной в п. 3.2 предварительную выдержку отформованных изделий следует проводить в обогреваемой опалубке.
───┬─────────────────┬─────────────────────────────────────┬──────────────┬───────────
N │ Содержание │ Значение нормативного требования │Контролируе- │ Методы
п/п│ нормативного │ для конструкций │мые параметры │ контроля
│ требования ├──────────────────┬──────────────────┤и объемы │параметров
│ │ бетонных │ бетонных │контроля │
│ │ и железобетонных │ и железобетонных │ │
│ │ (в том числе │ (в том числе │ │
│ │ предварительно │ предварительно │ │
│ │ напряженных) │ напряженных) │ │
│ │ сборных │ сборных, │ │
│ │ │ предназначенных │ │
│ │ │ для эксплуатации │ │
│ │ │ при температуре │ │
│ │ │ ниже минус 40 °C │ │
───┼─────────────────┼──────────────────┼──────────────────┼──────────────┼───────────
1 │ 2 │ 3 │ 4 │ 5 │ 6
───┼─────────────────┼──────────────────┼──────────────────┼──────────────┼───────────
1 │Длительность │ │ │ │
│предварительного │ │ │ │
│выдерживания │ │ │ │
│конструкций до │ │ │ │
│начала тепловой │ │ │ │
│обработки: │ │ │ │
│ при управлении │Не более 6 - 8 ч │Не более 6 - 8 ч │Температура │Прямой или
│режимом тепловой │и не менее 0,5 МПа│и не менее 0,5 МПа│и прочность │косвенный
│обработки │для пролетных │ │неразрушаю- │с помощью
│по температуре │строений и │ │щими методами │приборов
│и прочности │конструкций, │ │контроля в │системы
│твердеющего │к которым │ │конструкциях, │автомати-
│бетона │предъявляются │ │установленных │ческого
│ │требования по │ │технологичес- │управления
│ │морозостойкости, │ │кой картой, │
│ │и не менее 0,1 МПа│ │но не менее │
│ │для прочих │ │1 изделия │
│ │конструкций │ │в тепловой │
│ │ │ │установке │
│ при управлении │Не более 6 - 8 ч │Не более 6 - 8 ч │Температура │Прямой
│режимом тепловой │и не менее 4 ч при│и не менее 4 ч при│уложенного │
│обработки по │температуре бетона│температуре бетона│бетона │
│температуре │20 °C для │20 °C │ │
│греющей среды │пролетных строений│ │ │
│ │и конструкций, │ │ │
│ │к которым │ │ │
│ │предъявляются │ │ │
│ │требования по │ │ │
│ │морозостойкости, │ │ │
│ │не менее 2 ч для │ │ │
│ │прочих конструкций│ │ │
2 │Разность │ │ │- │
│температуры среды│ │ │ │
│в пропарочной │ │ │ │
│камере и │ │ │ │
│температуры │ │ │ │
│поверхностного │ │ │ │
│слоя бетона │ │ │ │
│конструкций в │ │ │ │
│момент установки │ │ │ │
│в камеру: │ │ │ │
│ при прочности │Для блоков ПРК, │Для блоков ПРК, │Каждая балка │Прямой
│бетона до 0,5 МПа│коробчатых блоков │коробчатых блоков │ │с помощью
│ │и балок на катучих│и балок на катучих│ │термо-
│ │стендах не более │стендах не более │ │метров
│ │10 °C, │5 °C, │ │различного
│ │для прочих изделий│для прочих изделий│ │типа
│ │не более 15 °C │не более 10 °C │Не менее │То же
│ │ │ │одного │
│ │ │ │изделия │
│ │ │ │на камеру │
│ при прочности │Для блоков ПРК, │Для блоков ПРК, │Каждая балка │ "
│бетона более │коробчатых блоков │коробчатых блоков │ │
│0,3R │и балок на катучих│и для балок на │ │
│ 28 │стендах не более │катучих стендах │ │
│ │20 °C, │не более 10 °C, │ │
│ │ │ │ │
│ │для прочих изделий│для прочих изделий│Не менее │ "
│ │не более 30 °C │не более 20 °C │одного │
│ │ │ │изделия │
│ │ │ │на камеру │
3 │Скорость подъема │Не более 10 °C │Не более 5 °C │Для │С помощью
│температуры │в час для │в час │конструкции, │датчиков
│бетона при │конструкций │ │по которой │средств
│управлении │пролетных строений│ │регулируется │управления
│тепловой │и конструкций, │ │скорость │тепловой
│обработкой по │к которым │ │подъема │обработкой
│температуре и │предъявляются │ │ │
│прочности бетона │требования по │ │ │
│ │морозостойкости, │ │ │
│ │и не более 20 °C │ │ │
│ │в час для прочих │ │ │
│ │конструкций │ │ │
4 │Скорость подъема │То же │То же │В местах │С помощью
│температуры │ │ │замера │датчиков
│греющей среды │ │ │температуры │средств
│при управлении │ │ │и установки │управления
│тепловой │ │ │датчиков, │тепловой
│обработкой по │ │ │по которым │обработкой
│греющей среде │ │ │регулируется │и термо-
│средствами │ │ │температура │метров
│автоматизации │ │ │среды │
│и вручную │ │ │ │
5 │Максимальная │Не более 80 °C для│Не более 70 °C для│В местах │С помощью
│температура │пролетных строений│пролетных строений│установки │средств
│бетона в период │и конструкций, │и конструкций, │датчиков │автомати-
│изотермического │к которым │к которым │температуры │зации или
│прогрева при │предъявляются │предъявляются │бетона, │вручную
│управлении │требования по │требования по │указанных в │термомет-
│тепловой │морозостойкости, │морозостойкости, │технологичес- │рами
│обработкой │не более 90 °C для│не более 80 °C для│ких картах │
│по температуре │прочих конструкций│прочих конструкций│ │
│бетона │ │ │ │
6 │Максимальная │Не более 70 °C для│Не более 60 °C для│В местах │С помощью
│температура среды│пролетных строений│всех конструкций │замера │средств
│в период │и конструкций, │ │температуры │автомати-
│изотермического │к которым │ │среды и │зации или
│прогрева при │предъявляются │ │установки │вручную
│управлении │требования по │ │датчиков, │термомет-
│тепловой │морозостойкости, │ │по которым │рами
│обработкой │не более 80 °C для│ │регулируется │
│по температуре │прочих конструкций│ │температура │
│греющей среды │ │ │среды │
7 │Скорость снижения│Не более 10 °C в │Не более 5 °C │В местах │То же
│температуры │час для конструк- │для конструкций │установки │
│бетона или │ций пролетных │пролетных │датчиков │
│греющей среды │строений, конст- │строений, конст- │температуры, │
│в камерах │рукций сложной │рукций сложной │по которым │
│ │конфигурации │конфигурации и │регулируется │
│ │и конструкций │конструкций, │температура │
│ │с М <= 12, │к которым │бетона или │
│ │ п │предъявляются │греющей среды │
│ │не более 20 °C │требования по │ │
│ │для других │морозостойкости, │ │
│ │конструкций, │не более 10 °C для│ │
│ │к которым │прочих конструкций│ │
│ │предъявляются │ │ │
│ │требования по │ │ │
│ │морозостойкости, │ │ │
│ │и конструкций │ │ │
│ │с 12 <= М <= 20, │ │ │
│ │ п │ │ │
│ │не более 30 °C для│ │ │
│ │прочих конструкций│ │ │
8 │Разность │Не более 20 °C │Не более 10 °C │Устанавли- │С помощью
│температуры │для конструкций │для конструкций │вается │термометров
│поверхности │пролетных строений│пролетных строений│технологи- │
│бетона │и конструкций, │и конструкций, │ческой картой │
│конструкции │к которым │к которым │ │
│и окружающего │предъявляются │предъявляются │ │
│воздуха при │требования по │требования по │ │
│выдаче │морозостойкости, │морозостойкости │ │
│конструкции │не более 30 °C для│и водонепроницае- │ │
│из камеры │прочих конструкций│мости, │ │
│ │ │не более 20 °C для│ │
│ │ │прочих конструкций│ │
9 │Разность │Не более 30 °C для│Не более 20 °C для│Устанавли- │С помощью
│температуры │конструкций │конструкций │вается │термометров
│поверхности │пролетных строений│пролетных строений│технологи- │
│бетона │и конструкций, │и конструкций, │ческой картой │
│конструкции и │к которым │к которым │ │
│окружающей среды │предъявляются │предъявляются │ │
│при выдаче │требования по │требования по │ │
│конструкции из │морозостойкости, │морозостойкости │ │
│цеха на склад │не более 40 °C для│и водонепрони- │ │
│готовой продукции│прочих конструкций│цаемости, │ │
│ │ │не более 30 °C для│ │
│ │ │прочих конструкций│ │
ИС МЕГАНОРМ: примечание.
Взамен ГОСТ 10180-78 Постановлениями Госстроя СССР от 29.12.1989 N 168
и от 24.05.1990 N 50 с 1 января 1991 года введены в действие ГОСТ 10180-90
10 │Передаточная │ Не менее 70 │Контрольные │Механичес-
│прочность бетона │ │кубы, │кие и не-
│конструкций, │ │конструкции │разрушающие
│класса: │ │ │10180-78
│ для вновь │ Не более 70 │ │
│проектируемых │ │ │
│конструкций │ │ │
│ для модернизи- │ Не более 75 │ │
│руемых в │ │ │
│действующих │ │ │
│опалубках │ │ │
11 │Минимальная │При температуре │При температуре │Контрольные │Механичес-
│прочность бетона │наружного воздуха │наружного воздуха │кубы, │кие и не-
│конструкций ко ├──────────────────┼──────────────────┤конструкции │разрушающие
│времени выдачи │положи- отрица- │положи- отрица- │по ГОСТ │по ГОСТ
│на склад │тельной тельной │тельной тельной │
18105-86 │10180-78
│(замораживание), │ │ │ │
│% от проектного │ │ │ │
│класса: │ │ │ │
│ бетонных │ 50 70 │ 50 100 │ │
│ железобетонных, │ 70 75 │ 70 100 │ │
│кроме подземных │ │ (75)
<2>│ │
│(подводных) │ │ │ │
│ железобетонных │ 70 70 │ 70 100 │ │
│подземных │ │ (75)
<2>│ │
│(подводных), │ │ │ │
│кроме свай, │ │ │ │
│столбов и │ │ │ │
│оболочек │ │ │ │
│ железобетонных │ 70 100 │ 70 100 │ │
│свай, столбов, │ │ │ │
│оболочек │ │ │ │
12 │Отпускная │ │ │ │
│прочность бетона │ │ │ │
│конструкций, │ │ │ │
│% от проектного │ │ │ │
│ бетонных и │Не менее требуемой│Не менее требуемой│То же │То же
│железобетонных │расчетом с учетом │расчетом с учетом │ │
│(кроме свай, │технологии │технологии │ │
│столбов, │изготовления, │изготовления, │ │
│оболочек, │транспортирования,│транспортирования,│ │
│звеньев, труб, │монтажа │монтажа │ │
│блоков опор в │конструкций │конструкций │ │
│зоне ледохода) │и значений, │и значений, │ │
│ железобетонных │ 100 │ 100 │То же, что │То же, что
│оболочек, звеньев│ │ │ │
│труб, блоков опор│ │ │ │
│в зоне ледохода │ │ │ │
───┴─────────────────┴──────────────────┴──────────────────┴──────────────┴───────────
Примечания. 1. Допускается подъем температуры при выдерживании изделий в закрытых формах со скоростью до 5 °C в час без предварительной выдержки.
2. То же, но изготовленных из бетона с воздухововлекающими (газообразующими) и пластифицирующими добавками (кроме свай, столбов, оболочек, звеньев труб, блоков опор в зоне ледохода).
3. Назначение отпускной прочности более 75% от проектного класса бетона должно быть обосновано. Снижение проектных значений отпускной прочности до 75% должно быть согласовано с изготовителем и потребителем и произведено за счет корректировки проектного класса бетона, изменением транспортных схем перевозки, либо за счет изменения конструктивных параметров самой конструкции (армирования, опалубочных форм и др.), а также технологических приемов изготовления конструкций.
При программном регулировании температуры среды или бетона изделий обычного исполнения в камере, под колпаками или в термоформе допускается заменять предварительную выдержку медленным подъемом температуры (не более 5 °C в час).
3.4. При установке изделий в камере необходимо обеспечить равномерное обтекание их паром со всех сторон, для чего между изделиями, изделиями и стенками камеры должны быть зазоры не менее 15 см, а между изделиями и полом камеры - не менее 25 см.
3.5. При подаче или установке конструкций в пропарочную камеру разность температуры среды и температуры поверхности бетона конструкции, скорость подъема и снижения температуры бетона, температуру изотермического выдерживания и продолжительность тепловой обработки необходимо назначать с учетом стадийности тепловой обработки, назначения конструкции (обычного или северного исполнения), требований к бетону по морозостойкости, массивности конструкции, начальной температуры уложенного бетона и других в соответствии с нормативными данными, приведенными в
табл. 2.
3.6. Длительность изотермического прогрева конструкций обычного исполнения при нормальном функционировании технологических линий, как правило, не должна превышать 20 - 24 ч.
Увеличение длительности изотермического прогрева выше указанной не дает возможности реализовать эффективные свойства цементов и не обеспечивает существенного роста прочности бетона, приводит к увеличению расхода тепловой энергии и снижению производительности технологической линии.
3.7. В исключительных случаях при временном изменении на производстве качества материалов и режимов выдерживания допускается увеличение продолжительности цикла тепловой обработки на 15% от проектной. При стабильных отклонениях продолжительности тепловой обработки от проектной увеличение продолжительности должно быть согласовано с проектной организацией - разработчиком технологических линий.
3.8. В проектах технологических линий должны приниматься, как правило, предельные параметры технологических норм, указанные в
табл. 2.
Технологические параметры, приведенные в
табл. 2, распространяются только на способы тепловой обработки мостовых железобетонных конструкций пропариванием в пропарочных камерах под колпаками или контактным прогревом в термоформах.
Для других способов ускоренного твердения бетона, указанных в
п. 1.4 настоящих Норм, режимы выдерживания должны определяться по специальным инструкциям в составе проектов технологических линий или на основе расчетов на ЭВМ.
3.9. При проектировании новых предприятий по выпуску мостовых железобетонных конструкций могут быть случаи, когда неизвестна кинетика набора прочности твердеющим бетоном при переменных температурах. Для определения продолжительности цикла тепловой обработки бетона в этом случае рекомендуется использовать методику приведенного времени. При этом достаточно получить для проектируемого предприятия кривые нарастания относительной прочности бетона, твердеющего в нормальных условиях при 20 °C, и с помощью переходных коэффициентов

(табл. 3) определить режим тепловой обработки бетона любой конструкции.
Методика определения продолжительности цикла тепловой обработки бетона с помощью переходных коэффициентов приведена в рекомендуемом Приложении 1 настоящих Норм.
Таблица 3
───────────┬──────────────────────────────────────────────┬────────────────
Температура│ Переходные коэффициенты │При электро-
твердения ├──────────────────────────────────────────────┤прогреве для
бетона, │ При тепловой обработке и термосном │портландцемента
°C │ выдерживании для цементов │без минеральных
├───────────┬───────────────────────┬──────────┤добавок
│портланд- │ портландцемент с │быстро- │
│цемент │минеральными добавками │твердеющий│
│без мине- ├───────────┬───────────┤портланд- │
│ральных │ до 5% │до 10 - 14%│цемент │
│добавок │ │ │ │
───────────┼───────────┼───────────┼───────────┼──────────┼────────────────
0 │ 3,12 │ - │ - │ 3,06 │ 3,52
10 │ 1,62 │ - │ - │ 2,15 │ 1,97
15 │ 1,25 │ 1,22 │ - │ 1,26 │ 1,47
20 │ 1,0 │ 1,0 │ 1,0 │ 1,0 │ 1,0
30 │ 0,67 │ 0,75 │ 0,67 │ 0,67 │ 0,65
40 │ 0,47 │ 0,50 │ 0,44 │ 0,47 │ 0,43
50 │ 0,36 │ 0,36 │ 0,30 │ 0,36 │ 0,32
60 │ 0,29 │ 0,29 │ 0,22 │ 0,29 │ 0,25
70 │ 0,22 │ 0,22 │ 0,16 │ 0,22 │ 0,19
80 │ 0,19 │ 0,17 │ 0,12 │ 0,19 │ 0,19
───────────┴───────────┴───────────┴───────────┴──────────┴────────────────
3.10. При определении продолжительности тепловой обработки типовых и индивидуальных цельноперевозимых балочных пролетных строений, а также ориентировочно для коробчатых блоков, блоков ПРК и плитных пролетных строений на действующих предприятиях следует руководствоваться методикой, приведенной в рекомендуемом
Приложении 2 настоящих Норм.
3.11. При ориентировочном определении продолжительности тепловой обработки мостовых железобетонных конструкций (средней между возможной минимальной и максимальной продолжительностью) можно воспользоваться данными, приведенными в
Приложении 3 настоящих Норм.
| | ИС МЕГАНОРМ: примечание. Взамен ГОСТ 26633-85 Постановлением Госстроя СССР от 16.05.1991 N 21 с 1 января 1992 года введен в действие ГОСТ 26633-91. | |
| | ИС МЕГАНОРМ: примечание. Взамен ГОСТ 26636-85 Постановлением Госстроя РФ от 29.04.1998 N 18-42 с 1 октября 1998 года введен в действие ГОСТ 30515-97. | |
3.12. При производстве сборных мостовых бетонных и железобетонных конструкций, подвергаемых тепловой обработке, необходимо применять портландцементы, которые должны соответствовать I и II группам эффективности при пропаривании согласно ГОСТ 26633-85 и
ГОСТ 22236-85. Наиболее эффективным цементам при пропаривании соответствует портландцемент нормированного минералогического состава для мостовых конструкций по
ГОСТ 10178-85. При этом наиболее короткие по продолжительности режимы тепловой обработки обеспечиваются при использовании цементов II минералогической группы с содержанием 6 - 8%

и 65% -

.
3.13. Расходы цемента на 1 м3 бетона сборных конструкций для основных технологических и технико-экономических расчетов следует принимать по
СНиП 5.01.23-83 "Типовые нормы расхода цемента для приготовления бетонов сборных и монолитных бетонных, железобетонных изделий и конструкций" с учетом назначаемых в проектах величин передаточной и отпускной прочностей. Максимальный расход цемента не должен превышать 450 кг/м3 бетона класса В35, 500 кг/м3 - класса В40 и 550 кг/м3 - класса В45.
3.14. Для улучшения технологических свойств бетонной смеси, обеспечения заданных классов бетона по прочности, морозостойкости и водонепроницаемости, а также для снижения расхода цемента или трудовых и энергетических затрат в бетонную смесь следует вводить химические добавки. При введении в бетонную смесь суперпластификатора С-3 и воздухововлекающих добавок необходимо соблюдать требования, изложенные в "Руководстве по применению новых воздухововлекающих химических добавок в бетонах для мостов" (М., ЦНИИС, 1985), "Временных методических рекомендациях по применению бетонов с добавкой суперпластификатора С-3 для транспортного строительства" (М., ЦНИИС, 1985).
3.15. Во избежание возникновения температурных трещин при охлаждении распалубку и передачу усилия предварительного напряжения на бетон балок, изготавливаемых на стационарных стендах, необходимо производить сразу после достижения бетоном требуемой прочности, не допуская охлаждения бетона в конструкции ниже 35 °C. Последующее охлаждение должно происходить в естественных условиях цеха при свободных температурных деформациях изготавливаемой балки. Боковые щиты опалубки необходимо отводить при достижении бетоном передаточной прочности. При этом снимают также теплоизоляционные маты.
Влагоизолирующие покрытия снимают после охлаждения балки до температуры, регламентированной технологической картой.
3.16. Для обеспечения высокой производительности технологических линий при использовании солнечной энергии в полигонных условиях бетонирования балок и других конструкций необходимо осуществлять не позднее 12 ч дня, а температура уложенного бетона должна быть не ниже 20 - 25 °C.
3.17. При выдаче изделий из цеха на склад готовой продукции в зимнее время через шлюзовые камеры разность температуры бетона и температуры воздуха в камере (обосновать техническими расчетами) может быть повышена против значений, предусмотренных
табл. 2.
3.18. При выборе параметров тепловой обработки мостовых железобетонных конструкций следует учитывать, что нормативный удельный технологический расход тепловой энергии на тепловую обработку 1 м3 бетона при исправном состоянии теплотехнического оборудования соответствует величинам, приведенным в табл. 4.
Таблица 4
─────────────────┬──────────────────────────────────────┬──────────────────
Наименование │ Тип установки ускоренного твердения │ Удельный расход
конструкций │ бетона │тепловой энергии,
│ │ тыс. кДж/м3
─────────────────┼──────────────────────────────────────┼──────────────────
Балки пролетных │Тоннельные камеры с массивными │ До 1600
строений мостов │ограждениями стен и днища │
│То же, но с эффективными ограждениями │ До 1000
│стен и днища │
│Теплоизолированная термоформа │ До 800
─────────────────┼──────────────────────────────────────┼──────────────────
Коробчатые блоки │Теплоизолированные термоформы │ До 2000
│с укрытием верхней поверхности │
│и бортовых стен брезентом │
─────────────────┼──────────────────────────────────────┼──────────────────
Блоки ПРК │ " │ До 1600
─────────────────┼──────────────────────────────────────┼──────────────────
Сваи и стойки │Ямные камеры с массивными ограждениями│ До 500
│То же, с эффективными ограждениями │ До 350
─────────────────┼──────────────────────────────────────┼──────────────────
Шкафные блоки │Ямные камеры с эффективными │ До 1000
│ограждениями │
─────────────────┼──────────────────────────────────────┼──────────────────
Плиты мощения │То же │ До 650
─────────────────┼──────────────────────────────────────┼──────────────────
Дорожные плиты │ " │ До 600
─────────────────┴──────────────────────────────────────┴──────────────────
Уточненные удельные расходы тепловой энергии на технологические нужды должны определяться на основании расчета тепловых балансов установок ускоренного твердения бетона.
3.19. Теплоэнергетический баланс предприятий (цехов, технологических линий), общецеховые и общепроизводственные расходы энергии должны определяться на основе паспортизации теплоэнергетического оборудования заводов МЖБК в соответствии с "Рекомендациями по подготовке исходной информации для проведения паспортизации теплотехнического оборудования заводов сборного железобетона" (М., ЦНИИС, 1984) и "Указаний по нормированию расхода тепловой энергии на заводах сборного железобетона" (М., ЦНИИС, 1988).
3.20. Технологические линии и участки тепловой обработки мостовых железобетонных конструкций, цеха и котельные должны быть оборудованы приборами учета расхода тепловой энергии.
4. АВТОМАТИЗАЦИЯ ТЕПЛОВОЙ ОБРАБОТКИ
И КОНТРОЛЬ КАЧЕСТВА БЕТОНА
4.1. Для автоматизации процессов тепловой обработки железобетонных конструкций при проектировании новых и реконструкции действующих необходимо применять системы на базе микропроцессорной техники (устройства А351-01, "Бетон Т2"), обеспечивающие:
заданный температурный режим твердения бетона;
непрерывную информацию о текущей температуре и прочности бетона;
исключение тепловых ударов на бетон после случайного прекращения подачи теплоносителя путем перехода на требуемый режим с заданной скоростью при возобновлении подачи теплоносителя;
сигнализацию об аварийных ситуациях (обрыв датчика, выход из строя регулирующих клапанов, неисправность вентиляции и т.п.);
регистрацию фактической температуры и прочности бетона в процессе тепловой обработки;
контроль прочности твердеющего бетона при отключении каналов регулирования;
учет расхода теплоносителя в процессе тепловой обработки.
В условиях полигонов, как исключение, допускается осуществлять регулирование режимов тепловой обработки с помощью изотермосмесителей и эжекторов-терморегуляторов.
4.2. При использовании указанных выше систем автоматического управления тепловой обработкой датчики температур должны устанавливаться в бетон. Места установки датчиков в конструкции должны регламентироваться технологическими картами с учетом требований
пп. 4.5 и
4.8.
Максимальная температура греющей среды при использовании систем автоматического управления на базе микропроцессорной техники должна ограничиваться с помощью эжекторов-терморегуляторов и изотермосмесителей.
4.3. Точность регулирования температуры паровоздушной смеси в камере должна определяться типом применяемой системы автоматизации: для изотермосмесителей - не ниже +/- 2,5 °C, электронных систем - не ниже +/- 1 °C. Точность регулирования температуры бетона - не ниже +/- 1 °C.
4.4. В процессе заводского изготовления изделий необходимо предусматривать контроль распределения температуры греющей среды по объему тепловых агрегатов, который осуществляется следующим образом.
В действующих тоннельных пропарочных камерах, не имеющих устройств для стабилизации температурного режима греющей среды (изотермосмесителей или эжекторов-терморегуляторов), необходимо постоянно вести контроль распределения температуры паровоздушной среды в 6 точках двух сечений камеры: на расстоянии до 2 м от ворот и в среднем сечении. Точки замера температур должны находиться на высоте 0,8 м от пола, в средней части и у потолка камеры. Контроль температуры среды осуществляется в течение всего цикла тепловой обработки через каждые 2 ч.
В пропарочных камерах, оборудованных системой автоматизации на базе микропроцессорной техники и устройствами для стабилизации температуры паровоздушной среды, необходимо осуществлять периодический контроль температуры среды в 3 точках по высоте поперечного сечения камеры через каждые 10 циклов тепловой обработки.
4.5. Контроль температуры и прочности бетона при термосном выдерживании должен осуществляться автоматически или вручную. В первые 16 ч после укладки бетона замеры температуры следует производить через каждые 4 ч, а затем - через каждые 8 ч. Замер температур бетона необходимо осуществлять в скважинах на глубине 5 см от поверхности конструкции с помощью термодатчиков и термометров.
| | ИС МЕГАНОРМ: примечание. В официальном тексте документа, видимо, допущена опечатка: правильный номер ГОСТ 18105-86, а не ГОСТ 18105-85. | |
4.6. Контроль прочности бетона конструкций, подвергнутых тепловой обработке, осуществляется в соответствии с
ГОСТ 18105-85 для нормируемой передаточной и отпускной прочности по образцам или неразрушающими методами по действующим государственным стандартам или другими методами по согласованию с головными научно-исследовательскими организациями.
Контроль прочности бетона в проектном возрасте производится только по образцам.
| | ИС МЕГАНОРМ: примечание. Взамен ГОСТ 10180-78 Постановлениями Госстроя СССР от 29.12.1989 N 168 и от 24.05.1990 N 50 с 1 января 1991 года введены в действие ГОСТ 10180-90 и ГОСТ 28570-90 соответственно. | |
4.7. Контрольные образцы для определения отпускной или передаточной прочности бетона должны (в соответствии с
ГОСТ 18105-85) твердеть в одинаковых с контролируемой конструкцией температурно-влажностных условиях. Образцы для определения прочности бетона в проектном возрасте должны твердеть в одинаковых с конструкцией условиях, а после ее отгрузки с завода - в условиях нормального твердения по ГОСТ 10180-78.
4.8. При пропаривании место установки контрольных образцов в камере должно соответствовать условиям твердения бетона конструкции в наиболее "отстающих" в наборе прочности зонах поперечного сечения конструкции (например, нижний пояс балки). Контрольные образцы должны быть защищены от высыхания до момента их охлаждения до температуры цеха.
Места установки контрольных образцов при ускоренном твердении бетона сборных мостовых железобетонных конструкций принимают следующими:
при тепловой обработке в пропарочных камерах или под переносными колпаками - на высоте не более 1 м от поверхности пола;
при тепловой обработке или выдерживании балочных конструкций в термоформах - на уровне нижнего пояса балки (допускается установка контрольных кубов на верхней плите под тепловлагозащитным покрытием со снижением фактической передаточной или отпускной прочностей на 10%, а при отсутствии подогрева нижнего пояса балки - на 20%).
При тепловой обработке конструкций типа коробчатых блоков и блоков ПРК - в соответствии с проектом технологических линий;
при тепловой обработке с использованием гелиотехнологий - в месте наименьшего нагрева бетона, указанном в соответствующей технической документации.
4.9. При тепловой обработке изделий (плит, свай, стоек и др.) в ямных пропарочных камерах контрольные образцы необходимо устанавливать в специально устроенных нишах в стенках камер на высоте не более 0,8 - 1 м от пола камер.
4.10. Марки бетона по морозостойкости и водонепроницаемости при производстве конструкций и изделий необходимо контролировать в соответствии с ГОСТ 10060-87 и ГОСТ 12780.5-84 при изменении состава, способа уплотнения и режима ускоренного твердения бетона, вида и характеристики материалов для приготовления бетонной смеси, но не реже одного раза в 6 месяцев по каждому производственному составу бетона.
Рекомендуемое
ОПРЕДЕЛЕНИЯ ПРОДОЛЖИТЕЛЬНОСТИ ЦИКЛА ТЕПЛОВОЙ
ОБРАБОТКИ МОСТОВЫХ ЖЕЛЕЗОБЕТОННЫХ КОНСТРУКЦИЙ
Проектная организация разрабатывает технологическую линию для изготовления мостовых железобетонных конструкций на вновь проектируемой производственной базе треста Мостострой 7 в Ташкенте. Требуется определить продолжительность цикла тепловой обработки предварительно напряженных балок, имеющих передаточную прочность 75% от

.
Для приготовления бетона используется Ахангаранский цемент, имеющий минеральную добавку в количестве 5%. Данных о параметрах режима тепловой обработки балок из бетона, приготовленного на Ахангаранском цементе, в проектной организации и в тресте Мостострой 7 не имеется.
Определение продолжительности цикла тепловой обработки мостовых железобетонных конструкций может быть осуществлено несколькими способами в зависимости от объема данных, полученных от заказчика. От заказчика желательно получить кривые нарастания прочности бетона рассматриваемых классов при температуре 20 °C.
Рассмотрим простейший случай, когда заказчик представил проектной организации кривую нарастания относительной (в процентах от

) прочности твердеющего бетона требуемого нам класса на Ахангаранском цементе (рисунок). Определение продолжительности цикла тепловой обработки в таком случае осуществляется следующим образом.
Кривая нормального твердения бетона
на Ахангаранском цементе
Пусть в проекте технологической линии предусмотрена тепловая обработка мостовых железобетонных конструкций по типовому режиму со следующими параметрами:
начальная температура бетона ............................ 20 °C;
продолжительность предварительного выдерживания ......... 4 ч;
скорость подъема температуры бетона ..................... 10 °C/ч;
продолжительность периода подъема температуры ........... 6 ч;
температура изотермического выдерживания бетона ......... 80 °C;
допустимый перепад температуры бетона и среды в цехе .... 20 °C;
скорость снижения температуры бетона .................... 10 °C/ч;
продолжительность периода снижения температуры .......... 4 ч.
Необходимо определить продолжительность изотермического прогрева бетона.
Для достижения требуемой передаточной прочности при твердении бетона в нормальных условиях при 20 °C в соответствии с
рисунком требуется 132 ч.
Определим

, приведенное к 20 °C время твердения бетона за периоды предварительной выдержки, подъема и снижения температуры. При этом для периода предварительной выдержки

; для периода подъема температур при средней температуре этого периода 50 °C

; для периода снижения температур при средней температуре этого периода 60 °C

; а для периода изотермического выдерживания

.
Тогда

.
Определим приведенное время для периода изотермического выдерживания

,
откуда продолжительность изотермического выдерживания составит

.
Общая минимальная продолжительность цикла тепловой обработки составит

.
При определении производительности технологической линии продолжительность цикла тепловой обработки может быть увеличена с целью увязки с ритмом технологического потока и сменностью работы предприятия.
Аналогично определяется продолжительность тепловой обработки мостовых железобетонных конструкций при двухстадийном выдерживании.
Рассмотрим второй случай. Пусть при расчете установлено, что продолжительность тепловой обработки очень велика и не удовлетворяет требованиям настоящих Норм. В таком случае производится уточнение продолжительности периода изотермического прогрева с учетом применения более высокого класса бетона. При этом имеющуюся кривую нарастания относительной прочности твердеющего бетона необходимо преобразовать в кривую нарастания прочности бетона.
Пусть мы имели класс бетона В35 (прочность бетона 459 кг/см2), тогда для преобразования кривой нарастания относительной прочности бетона в кривую нарастания прочности бетона достаточно умножить соответствующие ординаты кривой на 4,59, так как 1% нарастания прочности соответствует 4,59 кг/см2 (0,459 МПа). Для получения кривой нарастания прочности бетона класса В40 (прочность бетона 524 кг/см2) на этом же Ахангаранском цементе достаточно соответствующие ординаты кривой (см.
рисунок) умножить на 5,24 (или близкой к ней фактической прочности). Если прочность бетона в возрасте 28 сут составляет 535 кг/см2 (53,5 МПа), то соответствующие ординаты умножают на 5,35. Таким образом, мы получим две кривые нарастания прочности бетонов класса В35 и В40. Аналогично при необходимости можно получить кривые нарастания прочности бетонов более низких классов. В дальнейшем для бетона класса В40 определяют продолжительность времени, требуемую для набора бетоном прочности 70%. После этого по методике, изложенной в данном приложении, определяют продолжительность изотермического выдерживания, по рассматриваемой методике составляет 5 - 7%.
При наличии кривых нарастания прочности твердеющего при 20 °C бетона всех классов объем вычислительных работ уменьшается, а точность расчета продолжительности цикла тепловой обработки увеличивается.
Рекомендуемое
ПРИМЕР ОПРЕДЕЛЕНИЯ ПРОДОЛЖИТЕЛЬНОСТИ ЦИКЛА
ТЕПЛОВОЙ ОБРАБОТКИ ДЛЯ ПРОЛЕТНЫХ СТРОЕНИЙ МОСТОВ
НА ДЕЙСТВУЮЩИХ ЗАВОДАХ МЖБК
В качестве примера для расчета принята автодорожная предварительно напряженная балка длиной 24 м, изготавливаемая на Подпорожском заводе МЖБК П/О "Мостожелезобетонконструкция" (рассматриваются два расчетных случая).
1. Изготовление балок по типовому проекту N 3.503.1-81 из бетона классов В35 и В40 с передаточными прочностями бетона соответственно 75 и 70% от проектного класса бетона.
Для определения используем приведенные на
рис. 1 графики кинетики изменения прочности бетонов классов В35 (а), В40 (б) и В45 (в) для пролетных строений при тепловой обработке на действующих заводах МЖБК Минтрансстроя СССР.
Указанные графики учитывают рост прочности бетона в течение всего цикла тепловой обработки в соответствии с данными таблицы, включая период снижения температуры среды в тепловом агрегате после прекращения подачи теплоносителя, и в зонах поперечного сечения конструкции, наиболее отстающих в росте прочности бетона. Они также учитывают конкретные материалы и составы бетонов, применяемые в производственных условиях действующих заводов МЖБК.
Порядок определения.
Строим кривые нарастания прочности бетонов классов В35, В40 и В45 для Подпорожского завода МЖБК (рис. 2).
Рис. 2. Графики изменения прочности бетона классов В35,
В40, В45 для пролетных строений при тепловой обработке
на Подпорожском заводе МЖБК
На оси ординат (рис. 2, кривая В35) откладываем значение передаточной прочности - 75% В35 (344 кг/см2);
проводим линию, параллельную оси абсцисс, до пересечения с кривой, соответствующей бетону класса В35;
точку пересечения проецируем на ось абсцисс, получаем продолжительность полного цикла тепловой обработки - 62 ч (предварительная выдержка + подъем температуры + изотермический прогрев + снижение температуры);
из таблицы выписываем длительность отдельных периодов тепловой обработки, соответствующих оптимальным параметрам режима тепловой обработки пролетных строений и делаем запись продолжительности тепловой обработки в часах по отдельным ее периодам (8 + 5 М.П. + 3 = 62 ч), из чего определяем длительность изотермического прогрева И.П. (46 ч). Делается запись продолжительности тепловой обработки в часах:
8 + (5 + 46 + 3).
Таблица
───────────────────────────────────────────────┬───────────────────────────
Технологический параметр │ Значение параметра
│для конструкции исполнения
├─────────────┬─────────────
│ обычного │ северного
───────────────────────────────────────────────┼─────────────┼─────────────
Температура, °C: │ │
окружающего опалубку воздуха │ 20 │ 20
опалубки │ 20 │ 20
уложенного бетона │ 20 │ 20
греющей среды (в период изотермического │ 70 │ 60
прогрева бетона) │ │
бетона (в период изотермического прогрева) │ 80 │ 70
Длительность, ч: │ │
предварительной выдержки │ 8 │ 8
подъема температуры греющей среды │ 5 │ 8
снижения температуры среды │ 3 │ 6
Скорость, °C/ч: │ │
подъема температуры греющей среды │ 10 │ 5
снижения температуры среды │ 10 │ 5
Расход цемента для бетона классов, кг/м3: │ │
В35 │ 450 │ 450
В40 │ 500 │ 500
В45 │ 550 │ 550
───────────────────────────────────────────────┴─────────────┴─────────────
Примечание. Для двухстадийной тепловой обработки конструкций (Днепропетровский завод МЖБК) с применением гидрофицированной опалубки предварительная выдержка заменена первой стадией выдерживания бетона до достижения конструкцией распалубочной прочности 25% проектного класса бетона. Для класса бетона В35 при отсутствии подогрева бетона длительность первой стадии составляет 18 ч.
При классе бетона В40 и передаточной прочности 70% В40 (367 кг/см2) аналогичным образом (см. выше) определяем продолжительность полного цикла тепловой обработки (38 ч) и производим запись продолжительности тепловой обработки в часах:
8 + (5 + 22 + 3).
В соответствии с требованиями
пп. 1.5 и
1.9 (ВНТП-1-90) продолжительность тепловой обработки в целях обеспечения максимальной производительности технологических линий должна приниматься минимальной. Целесообразная длительность изотермического прогрева согласно
п. 3.6 (ВНТП-1-90) находится в пределах 20 - 24 ч.
Таким условиям отвечает изготовление балок из бетона класса В40 с передаточной прочностью 70%. Этому же классу бетона соответствует наименьшая отпускная прочность бетона (75%), назначенная в проекте с учетом условий транспортирования балок (по величине консольного свеса балки).
Таким образом, окончательно продолжительность тепловой обработки в часах принимается 8 + (5 + 22 + 3).
2. Изготовление балок по типовому проекту инв. N 384/46 бетона класса В35 с передаточной прочностью 90% (приводится в качестве примера изготовления конструкций пролетных строений с передаточной прочностью, превышающей 70 - 75% от проектного класса бетона по
п. 10 табл. 2 ВНТП-1-90).
Порядок определения.
По методике, приведенной в первом расчетном случае, определяется продолжительность тепловой обработки балок с проектным классом бетона В35 и передаточной прочностью 90% (412 кг/см2). По этим данным продолжительность тепловой обработки составляет 85 ч, что не отвечает предъявляемым требованиям к изготовлению конструкций по
пп. 1.5 и
1.9 ВНТП-1-90, и изготовление балок с такими конструктивными параметрами не может быть принято.
Для конструкций с передаточной прочностью бетона, превышающей 70 - 75% от проектного класса бетона в соответствии с
п. 3.13 (ВНТП-1-90), расходы цемента определяются по
таблицам 15 и
16 СНиП 5.01.23-83:
по
табл. 15 и
16 по интерполяции находится расход цемента для бетона класса В35 при передаточной прочности 90%, составляющий 500 кг/м3, такой расход цемента соответствует получению фактического класса бетона В40;
аналогично (по приведенной выше методике) определяется продолжительность тепловой обработки по кривой класса В40 при проектном значении передаточной прочности 90% (412 кг/см2), которая составляет 47 ч.
Сравнение результатов расчета продолжительности тепловой обработки с соответствующими значениями 38 и 47 ч свидетельствует о прогрессивности конструктивных решений по новому типовому проекту N 3.503.1-81.
Рекомендуемое
СРЕДНИЕ РАСЧЕТНЫЕ ВЕЛИЧИНЫ ПРОЧНОСТИ БЕТОНА
ПОСЛЕ ТЕПЛОВОЙ ОБРАБОТКИ В ЗАВИСИМОСТИ ОТ ТЕМПЕРАТУРЫ
И ПРОДОЛЖИТЕЛЬНОСТИ ИЗОТЕРМИЧЕСКОГО ПРОГРЕВА
─────────────────┬─────────────────────┬───────────────────────────────────
Температура │ Длительность │ Прочность бетона после тепловой
изотермического │ остывания после │ обработки, % R , при выдержке
прогрева, °C │ окончания │ 28
│ изотермического │ перед нагревом 6 ч и скорости
│ прогрева, ч │ подъема температуры, °C
│ ├───────────┬───────────┬───────────
│ │ 5 │ 10 │ 20
│ ├───────────┴───────────┴───────────
│ │ Продолжительность изотермического
│ │ прогрева, ч
│ ├──┬──┬──┬──┬──┬──┬──┬──┬──┬──┬──┬──
│ │12│16│20│24│12│16│20│24│12│16│20│24
─────────────────┼─────────────────────┼──┼──┼──┼──┼──┼──┼──┼──┼──┼──┼──┼──
60 │ 0,5 │57│62│67│70│50│57│62│66│47│54│58│63
│ 5 │61│65│69│71│56│60│65│70│53│60│62│66
│ 12 │65│69│72│74│61│64│68│72│58│64│67│69
│ │ │ │ │ │ │ │ │ │ │ │ │
70 │ 0,5 │67│69│73│75│62│65│70│72│56│62│67│71
│ 5 │70│73│75│76│64│68│72│74│62│65│69│73
│ 12 │73│75│76│78│70│72│74│76│68│70│73│75
│ │ │ │ │ │ │ │ │ │ │ │ │
80 │ 0,5 │ -│ -│ -│ -│72│76│78│80│67│73│76│78
│ 5 │ -│ -│ -│ -│74│77│79│81│71│75│77│80
│ 12 │ -│ -│ -│ -│77│78│81│82│73│77│80│81
─────────────────┴─────────────────────┴──┴──┴──┴──┴──┴──┴──┴──┴──┴──┴──┴──
Справочное
ТАБЛИЦА КОЭФФИЦИЕНТОВ ДЛЯ ПЕРЕВОДА ЕДИНИЦ ИЗМЕРЕНИЙ
СИСТЕМЫ МКС В СИСТЕМУ СИ
───┬───────────────────────────────┬──────────────────────────────
N │Единицы измерения в системе МКС│Единицы измерения в системе СИ
п/п│ │
───┼───────────────────────────────┼──────────────────────────────
1 │1 ккал │ 4,186 кДж
2 │1 ккал/(кг x °C) │ 4,186 кДж/(кг x °C)
3 │1 ккал/(м x ч x °C) │ 1,163 Вт/(м x °C)
4 │1 ккал/(ч x м2 x °C) │ 1,163 Вт/(м2 x °C)
5 │1 м2 x ч x °C/ккал │ 0,86 м2 x °C/Вт
6 │1 кг/см2 │ 0,1 МПа
───┴───────────────────────────────┴──────────────────────────────