Главная // Актуальные документы // Ведомость (форма)СПРАВКА
Источник публикации
М., 2019
Примечание к документу
Название документа
"Методические рекомендации по организации строительства объектов мобильными подразделениями и применению вахтового метода организации работ"
"Методические рекомендации по организации строительства объектов мобильными подразделениями и применению вахтового метода организации работ"
МИНИСТЕРСТВО СТРОИТЕЛЬСТВА И ЖИЛИЩНО-КОММУНАЛЬНОГО
ХОЗЯЙСТВА РОССИЙСКОЙ ФЕДЕРАЦИИ
ФЕДЕРАЛЬНОЕ АВТОНОМНОЕ УЧРЕЖДЕНИЕ
"ФЕДЕРАЛЬНЫЙ ЦЕНТР НОРМИРОВАНИЯ, СТАНДАРТИЗАЦИИ
И ТЕХНИЧЕСКОЙ ОЦЕНКИ СООТВЕТСТВИЯ В СТРОИТЕЛЬСТВЕ"
МЕТОДИЧЕСКИЕ РЕКОМЕНДАЦИИ
ПО ОРГАНИЗАЦИИ СТРОИТЕЛЬСТВА ОБЪЕКТОВ МОБИЛЬНЫМИ
ПОДРАЗДЕЛЕНИЯМИ И ПРИМЕНЕНИЮ ВАХТОВОГО МЕТОДА
ОРГАНИЗАЦИИ РАБОТ
Цель методических рекомендаций - изложение единых взаимоувязанных положений по порядку перехода строительной организации в статус мобильной и организации автономной деятельности ее мобильных формирований в районах, удаленных от мест постоянной дислокации.
Положения настоящих методических рекомендаций основаны на результатах многолетних научно-исследовательских и проектно-конструкторских работ, проведенных институтом ЦНИИОМТП Госстроя СССР, организациями Миннефтегазстроя, Минэнерго СССР и Минмонтажспецстроя СССР с учетом обобщения современного опыта работы мобильных формирований в Астраханской, Тюменской областях и других регионах Западной Сибири.
В результате проведенной работы:
- предложены количественные оценки степени мобильности строительной организации и степени концентрации ее ресурсов в районе строительства;
- выделены сферы автономной деятельности мобильных формирований с подробным изложением их элементов, задач и функций;
- уточнены методы организации работ мобильными формированиями и порядка перехода строительной организации в статус мобильной с приложением образцов необходимых документов на примере вахтового метода;
- приведены наиболее характерные режимы труда и отдыха работников при 9-, 10-, 11- и 12-часовой смене и различной продолжительности вахтовой работы с указанием усредненных коэффициентов снижения их производительности труда;
- изложены состав работ и комплекс организационно-хозяйственных и инженерно-технических мероприятий по жизнеобеспечению при пионерном освоении территории с раскрытием организационной структуры пионерного комплекса, включающей подразделения по производству работ и инженерному обеспечению, в том числе жилищно-коммунальному и социально-бытовому обслуживанию;
- приведены расчетные показатели потребности мобильных организаций в строительных машинах, автотранспортных средствах, средствах обеспечения технической эксплуатации строительных машин; мобильных зданиях для жилых поселков строителей, производственного и складского назначения; комплектах технологической оснастки для наиболее применяемых конструкций и видов работ; средствах малой механизации и ручного инструмента в виде нормокомплектов для бригад;
- указана широкая номенклатура объектов по отраслям производственного и непроизводственного назначений, рекомендуемая для возведения мобильными формированиями с разделением объектов на межотраслевые и отраслевые.
Методические рекомендации предназначены для специалистов и руководителей проектно-изыскательских и строительных организаций, учреждений и служб технического заказчика, органов материально-технического обеспечения, надзорных служб, органов лицензирования и сертификации, а также преподавателей, аспирантов и студентов строительных высших учебных заведений и факультетов.
Методические рекомендации разработаны ООО "Центр научных исследований организации, механизации, технологии строительного производства" (ЦНИОМТП) - д-р техн. наук
П.П. Олейник (руководитель работ; введение,
разделы 1 -
10), канд. техн. наук
В.И. Бродский (
разделы 7 -
10),
В.А. Щитникова (приложения) при участии:
ФГБОУ ВО "Национальный исследовательский Московский государственный строительный университет" - канд. техн. наук
Б.В. Жадановский (
разделы 6,
9), канд. техн. наук
Т.К. Кузьмина (
разделы 4,
5);
ФГБОУ ВО "Уфимский государственный нефтяной технический университет" - канд. техн. наук
З.Р. Мухаметзянов (раздел 5).
Настоящие методические рекомендации распространяются на деятельность строительных организаций и их мобильных формирований (подразделений), работающих автономно в районах, удаленных от мест постоянной дислокации. Объектом строительства могут быть предприятия, здания и сооружения, приведенные в
разделе 4.
Методические рекомендации не распространяются на здания и сооружения индивидуального жилищного строительства, возводимые застройщиком (физическим лицом) собственными силами, в том числе с привлечением наемных работников.
В настоящих методических рекомендациях использованы нормативные ссылки на следующие документы:
ГОСТ 22853-86 Здания мобильные (инвентарные). Общие технические требования
ГОСТ 25957-83 Здания и сооружения мобильные (инвентарные). Классификация. Термины и определения
ГОСТ 27751-2014 Надежность строительных конструкций и оснований. Основные положения
СП 4.13130.2013 Системы противопожарной защиты. Ограничения распространения пожара на объектах защиты. Требования к объемно-планировочным и конструктивным решениям
СП 22.13330.2016 "СНиП 2.02.01-83* Основания зданий и сооружений" (с изменениями N 1, N 2, N 3)
СП 24.13330.2011 "СНиП 2.02.03-85 Свайные фундаменты" (с изменениями N 1, N 2, N 3)
СП 31.13330.2012 "СНиП 2.04.02-84* Водоснабжение. Наружные сети и сооружения (с изменениями N 1, N 2, N 3, N 4, N 5)
СП 32.13330.2018 "СНиП 2.04.03-85 Канализация. Наружные сети и сооружения" (с изменением N 1)
СП 44.13330.2011 "СНиП 2.09.04-87 Административные и бытовые здания" (с изменениями N 1, N 2, N 3)
СП 45.13330.2017 "СНиП 3.02.01-87 Земляные сооружения, основания и фундаменты" (с изменениями N 1, N 2)
СП 129.13330.2019 "СНиП 3.05.04-85* Наружные сети и сооружения водоснабжения и канализации"
Примечание - При пользовании настоящими методическими рекомендациями целесообразно проверить действие ссылочных документов в информационной системе общего пользования - на официальном сайте Федерального агентства по техническому регулированию и метрологии в сети Интернет или по ежегодному информационному указателю "Национальные стандарты", который опубликован по состоянию на 1 января текущего года, и по выпускам ежемесячного указателя "Национальные стандарты" за текущий год. Если заменен ссылочный документ, на который дана недатированная ссылка, то рекомендуется использовать действующую версию этого документа с учетом всех внесенных в данную версию изменений. Если заменен ссылочный документ, на который дана датированная ссылка, то рекомендуется использовать версию этого документа с указанным выше годом утверждения (принятия). Если после утверждения настоящих методических рекомендаций в ссылочный документ, на который дана датированная ссылка, внесено изменение, затрагивающее положение, на которое дана ссылка, то это положение рекомендуется применять без учета данного изменения. Если ссылочный документ отменен без замены, то положение, в котором дана ссылка на него, рекомендуется применять в части, не затрагивающей эту ссылку. Сведения о действии свода правил целесообразно проверить в Федеральном информационном фонде стандартов.
В настоящих методических рекомендациях применены следующие термины с соответствующими определениями:
3.1 вахтовый поселок: Временный поселок, предназначенный для размещения и социально-бытового обслуживания работающих по вахтовой форме организации работ.
3.2 вахтовый метод организации работ: Режим трудовой деятельности, когда при значительном удалении строящихся объектов от мест дислокации строительной организации и постоянного жительства строителей работа на них осуществляется вахтовым (сменным) персоналом, который в период нахождения на объекте проживает без членов семьи в специально созданных вахтовых поселках и систематически, через определенное время, возвращается к месту постоянного жительства для отдыха.
Примечание - Признак вахтового режима - периодические (маятниковые) передвижения работников к месту приложения труда и обратно, к месту постоянного семейного проживания для отдыха.
3.3 взаимозаменяемые ресурсы: Ресурсы, которые по своим функциональным параметрам могут равнозначно выполнять или обслуживать однородные строительные процессы.
3.4 заменяемые ресурсы: Ресурсы, которые по своим функциональным параметрам могут выполнять или обслуживать однородные строительные процессы как ресурсы низкого приоритета.
3.5 индивидуальные ресурсы: Ресурсы, которые в силу сложившихся условий строительного производства не могут рассматриваться как взаимозаменяемые или заменяемые.
3.6 мобильность строительства: Важнейшее свойство строительной системы, характеризующее способность осуществлять быструю концентрацию трудовых и материально-технических ресурсов в районе строительства (реконструкции) в целях запланированного ввода в действие производственных мощностей и объектов.
3.7 мобильные (инвентарные) здания: Подсобно-вспомогательные и обслуживающие строительное производство здания, конструктивная система которых предусматривает многократную их оборачиваемость в течение установленного срока службы.
3.8 мобильные строительные организации (подразделения): Строительные организации и их подразделения, способные оперативно перемещаться в район строительства (реконструкции) и разворачивать свои мощности.
3.9 мобильные элементы: Комплекс ресурсов строительной организации, подлежащих перебазированию в район строительства (реконструкции).
Примечание - К ним относятся машины и оборудование, автотранспорт, мобильные здания и сооружения, механизированный инструмент, монтажные приспособления, инвентарные средства подмащивания.
3.10 экспедиционный метод организации работ: Режим трудовой деятельности, при котором имеют место территориальный и функциональный отрывы первичных производственных структур, элементов социальной и производственной инфраструктуры и автономность их от базового города или других мест базирования организаций.
Примечание - Экспедиционный режим предполагает возможность межрегионального использования ресурсов строительства. При его применении работники периодически направляются к местам производства работ, которые могут находиться на значительных (в пределах различных районов страны) расстояниях от места постоянного семейного проживания, для длительного пребывания там без членов семьи. Экспедиционный режим трудовой деятельности предусматривает выполнение подразделениями пионерных комплексов работ в течение ограниченного времени.
3.11 экспедиционно-вахтовый метод организации работ: Режим трудовой деятельности, синтезирующий экспедиционные и вахтовые методы для использования производственной структуры, социальной и производственной инфраструктуры, производственных баз в зоне вахтового строительства, а также социальной структуры городов, расположенных в экономически развитых районах.
Примечание - Он предполагает перевозку работников, без членов их семей, в базовые поселки или города на время экспедиции с дальнейшей их деятельностью по вахтовой схеме.
4 Основы мобильной строительной системы (принципы и оценка мобильной строительной системы, классификация мобильных элементов, рекомендуемая номенклатура объектов мобильного строительства)
4.1 Основные положения и параметры мобильной строительной системы
Мобильность - важнейшее свойство строительной системы, характеризующее способность отрасли осуществлять быструю концентрацию трудовых и материально-технических ресурсов в районе строительства (реконструкции) в целях осуществления запланированного ввода в действие объектов и производственных мощностей
[13],
[16],
[23].
Это свойство заложено в сущность строительного производства посредством постоянной подвижности трудовых ресурсов, перебазирования с объекта на объект строительных машин и механизмов, доставки конструкций и материалов, применения мобильных зданий и сооружений. Каждый возводимый объект содержит мобильные элементы, обеспечивающие необходимые производственные и социальные условия для работающих, а каждая строительная организация имеет обширную номенклатуру таких элементов в виде комплектов машин и механизмов, наборов мобильных зданий и сооружений и т.д.
В труднодоступных и малоосвоенных районах, кроме вышеуказанных мобильных элементов, создаются мобильные базы строительной индустрии, базы производственно-технологической комплектации, вахтовые и базовые жилые поселки, а также необходимая инженерная инфраструктура для жизнеобеспечения мобильных подразделений.
В понятии мобильности строительной системы следует различать два аспекта ее развития - перемещение элементов производства в район строительства и их концентрацию до заданного уровня
[23],
[27].
Первый аспект характеризует параметры мобильной строительной организации - номенклатуру мобильных элементов, количество их в комплекте (наборе), продолжительность доставки, затраты на демонтаж и транспортирование и др. Эти элементы формируются для пионерного периода освоения территории
(таблица 4.1), а для подготовительного и основного периодов строительства заменяются или дополняются новыми. При этом часть ресурсов строительной организации, относящихся к категории стационарных (постоянные здания и сооружения, станочный парк и т.п.), не подлежит перебазированию в новые районы.
Таблица 4.1
Распределение мобильных элементов по периодам строительства
Вид элемента | Период строительства |
пионерный | подготовительный | основной |
1 Трудовые ресурсы | Н | Н | Н |
2 Машины и оборудование | Н, П | Н, П | Н |
3 Автотранспорт | Н, П | Н, П | Н |
4 Мобильные здания и сооружения | П | П | Н |
5 Механизированный инструмент | Н, П | Н, П | Н |
6 Монтажные приспособления | Н, П | Н, П | Н |
7 Инвентарные средства подмащивания | Н, П | Н, П | Н |
Обозначения: | "Н" - элементы, не переходящие на другие периоды строительства; "П" - элементы, переходящие на другие периоды строительства. |
Степень мобильности строительной организации определяется как отношение перебазируемых элементов в район строительства к общему количеству таких элементов, находящихся на балансе строительной организации

(4.1)
где

- стоимость перебазируемых
j-х мобильных элементов
i-й группы в новый район строительства;
Rij - стоимость j-х мобильных элементов i-й группы в строительной организации;

- стоимость стационарных элементов строительной организации.
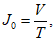
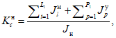
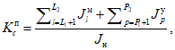
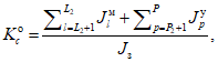
Второй аспект понятия мобильности строительной системы отражает параметры мобильности при возведении объекта - продолжительность развертывания мощностей, соответствие этих мощностей расчетным, объемы выполнения работ и др., которые характеризуют интенсивность строительно-монтажных работ. При этом имеется в виду как интенсивность производственных процессов выполнения работ, создающих строительный продукт, так и интенсивность процессов, обеспечивающих для них соответствующие производственные и социальные условия - базы строительной индустрии, базы производственно-технологической комплектации, электростанции, котельные, градирни и др.
Степень концентрации ресурсов Kc при возведении объекта устанавливается как отношение интенсивности работ и услуг, требующих мобильных элементов строительной системы, к интенсивности работ по объекту в целом

(4.2)
где

- интенсивность
l-й строительно-монтажной работы, требующей мобильных элементов;

- интенсивность
p-й услуги;
J0 - интенсивность строительства объектов, определяемая по формуле

(4.3)
где V - объем строительно-монтажных работ;
T - продолжительность строительства объекта.
Определение степени концентрации ресурсов по
формуле (4.3) при возведении объекта является интегральным. Для отдельных периодов строительства степень мобильности устанавливается по соответствующим параметрам данного периода, т.е.:
пионерный период

(4.4)
где Jн - интенсивность строительных работ пионерного периода;
L1 - количество видов работ пионерного периода;
P1 - количество видов услуг в пионерный период,
подготовительный период

(4.5)
где Jп - интенсивность строительных работ подготовительного периода;
L2 - количество видов работ подготовительного периода;
P2 - количество видов услуг в подготовительный период,
основной период

(4.6)
где J3 - интенсивность строительно-монтажных работ основного периода;
L - количество видов работ основного периода;
P - количество видов услуг в основной период.
Многолетний опыт отечественного и зарубежного строительства свидетельствует, что высокие технико-экономические показатели возведения объектов мобильными организациями достигаются только в результате непрерывности инвестиционного процесса
[11],
[26]. Здесь имеется в виду не только временная последовательность этапов инвестиционного процесса, но и преемственность решений на всех его этапах - технико-экономического обоснования, проектирования, подготовки объектов к строительству, материально-технического обеспечения, строительства
[2]. Необходимо, чтобы, например, календарные планы строительства и комплексные укрупненные сетевые графики, определяющие во времени распределение капитальных вложений и объемов строительно-монтажных работ, согласовывались с фактически выделяемыми капитальными вложениями и планируемыми объемами строительно-монтажных работ по срокам и периодам строительства.
Обобщение теоретических положений и практического опыта позволяют выделять следующие основные принципы мобильной строительной системы:
- достижение целостности мобильной строительной системы в результате адекватности степени мобильности строительных организаций и степени мобильности при возведении объектов;
- обеспечение непрерывности инвестиционного процесса создания объектов с рациональной продолжительностью;
- сведение к минимуму затрат ручного труда при возведении объектов мобильными организациями;
- наличие широкой и достаточной для организации производственных процессов и оказания услуг номенклатуры элементов строительной системы, обладающих свойствами мобильности (строительных машин и оборудования, мобильных зданий и установок, автотранспорта, механизированного инструмента, монтажных приспособлений и др.);
- обеспечение необходимой мобильности строительного производства за счет группирования элементов и формирования на этой основе трудовой, производственной, непроизводственной и инженерной сфер.
4.2 Сферы деятельности мобильной строительной системы
Сферы деятельности мобильной строительной системы приведены на
рисунке 4.1.
Рисунок 4.1 - Структура сфер деятельности
мобильной строительной системы
Основная задача трудовой сферы заключается в создании организационных структур и выполнении ими функций на любом удалении от районов постоянного базирования строительной организации
(рисунок 4.2).
Рисунок 4.2 - Виды группировок ресурсов
трудовой деятельности
Производственная сфера непосредственно производит через производственные процессы строительный продукт и по признаку подвижности может состоять как из стационарных, так и мобильных элементов. При выполнении работ в районах постоянной дислокации строительной организации используются все существующие элементы производственной сферы. В отдаленных и труднодоступных районах производственная сфера формируется из мобильных элементов по следующим группам - строительная площадка, производственная база, закрытые склады, складские площадки, сборочные площадки
(рисунок 4.3). При этом мобильные элементы при необходимости могут дополнять существующие элементы производственной сферы в освоенных районах.
Рисунок 4.3 - Виды группировок элементов
производственной сферы
К группируемым элементам производственной сферы относятся мастерские по ремонту строительных машин, механизмов и транспортных средств, цеха, полигоны, строительные лаборатории, базы механизации, автотранспортные предприятия, производственно-комплектовочные базы, склады.
Основные функции элементов непроизводственной сферы приведены на
рисунке 4.4:
- обеспечение жилищными условиями;
- коммунальное обслуживание (электроосвещение, водоснабжение, теплоснабжение, канализация, комплекты мебели, душевые, сушилки, телевизоры, приемники и др.);
- бытовое обслуживание (банное обслуживание, пункты ремонта и стирки одежды, парикмахерские, химчистки, пункты металлоремонта, часовые мастерские и др.);
- питание (организация не менее трехразового питания);
- торговое обслуживание (продажа продуктов питания, промышленных товаров и др.);
- медицинское обслуживание (организация работы здравпунктов, профилактические меры, оказание медицинской помощи и др.);
- транспортное обслуживание (доставка работающих из вахтовых поселков на точки, выезд на культурные мероприятия и др.);
- организация культурного обслуживания (через клубы, оборудованные магнитофонами, теле- и видеоаппаратурой, наглядной агитацией и имеющие библиотечный фонд, газеты и журналы и др.).
Рисунок 4.4 - Виды группировок элементов
непроизводственной сферы
В состав группируемых элементов непроизводственной сферы включаются мобильные жилые, административные и санитарно-бытовые здания, здания общественного питания, торговли и службы быта и др., образующие жилые и административно-бытовые комплексы.
Инженерная сфера предназначена для жизнеобеспечения производственной и непроизводственных сфер энергетическими ресурсами, связью и транспортом и состоит из объектов энерго-, тепло- и водоснабжения, инженерных сетей и транспортных коммуникаций, объектов транспорта и связи
(рисунок 4.5).
Рисунок 4.5 - Виды группировок элементов инженерной сферы
К группируемым элементам инженерной сферы относятся электростанции, комплектные трансформаторные подстанции, котельные, градирни, насосные канализации, установки очистки производственных сточных вод, установки очистки и обеззараживания природных вод, установки очистки бытовых сточных вод, насосные водоснабжения, емкости для воды, инженерные сети, дорожные сети, коммутаторные и др.
Вышеуказанные элементы производственной, непроизводственной и инженерной сфер мобильной строительной системы - основа для организации производственного процесса или оказания различных видов услуг.
4.3 Классификация мобильных элементов
Трудовые ресурсы, воздействуя с помощью средств труда на предметы труда, создают производственный процесс. По мере возведения объекта в этот процесс вовлекаются различные трудовые ресурсы, машины и механизмы, мобильные здания и установки, материалы, конструкции, детали, полуфабрикаты и др.
(рисунок 4.6).
Рисунок 4.6 - Основные элементы и их взаимосвязи
в строительной системе
С точки зрения организации капитального строительства систематизация ресурсов как основных элементов строительной системы должна предусматривать:
- рациональное расположение ресурсов в последовательности от высшего уровня до низшего уровня - строительная площадка;
- идентичность условий сопоставления всех ресурсов по выработанным классификационным признакам;
- возможность получения достоверных технико-экономических показателей ресурсов по каждому классификационному признаку.
Анализ условий применения ресурсов строительного производства, а также особенностей проектирования объектов, планирования и оперативного управления позволяет выработать классификационные признаки, наиболее полно соответствующие вышеуказанным требованиям
(таблица 4.2).
Таблица 4.2
Классификационные признаки группирования трудовых
и технических ресурсов строительного производства
Уровень признака | Классификационный признак |
А | Характер применения |
Б | Функциональное назначение |
В | Функциональная специализация |
Г-1 | Профессиональная ориентация (для трудовых ресурсов) |
Г-2 | Степень специализации |
Д-1 | Уровень квалификации (для трудовых ресурсов) |
Д-2 | Мощность (вместимость) |
По признаку "характер применения" ресурсы подразделяются на две самостоятельные группы - возобновляемые и невозобновляемые.
Возобновляемые ресурсы в процессе выполнения строительно-монтажных работ производят сами или в сочетании с другими ресурсами некоторый расходуемый фактор - человеко-дни, машино-смены и т.п., который не подлежит по своей физической природе складированию. Следовательно, возобновляемые ресурсы призваны функционально вырабатывать в течение всего срока службы соответствующий расходуемый фактор.
По признаку "функциональное назначение" возобновляемые ресурсы состоят из 15 основных групп - трудовые ресурсы, машины и оборудование, автотранспортные средства, подсобно-вспомогательные и обслуживающие здания, механизированный инструмент, опалубка, монтажные приспособления и инвентарные средства подмащивания
(таблица 4.3).
Таблица 4.3
Группы возобновляемых ресурсов по признаку
"функциональное назначение"
Наименование группы | Уровень группы |
Трудовые ресурсы (рабочие, инженерно-технические работники) | Б-1 |
Машины и оборудование общестроительного назначения | Б-2 |
Машины и оборудование для энергетического строительства | Б-3 |
Машины и оборудование для строительства автомобильных дорог | Б-4 |
Машины и оборудование для строительства железных дорог | Б-5 |
Машины и оборудование для строительства магистральных трубопроводов | Б-6 |
Машины и оборудование для строительства оросительных и осушительных систем | Б-7 |
Автотранспортные средства общего назначения | Б-8 |
Автотранспортные средства специализированные | Б-9 |
Мобильные (инвентарные) здания | Б-10 |
Неинвентарные подсобно-вспомогательные и обслуживающие строительное производство здания | Б-11 |
Механизированный инструмент (машины ручные электрические, машины ручные пневматические) | Б-12 |
Опалубка (разборно-переставная, скользящая, подъемно-переставная, катучая) | Б-13 |
Монтажные приспособления (захватные приспособления - стропы, траверсы, захваты; приспособления для временного закрепления и выверки конструкций - кондуктора, инвентарные клиновые вкладыши, подкосы, горизонтальные связи, стальные ленты) | Б-14 |
Инвентарные средства подмащивания (леса, подмости, стремянки, лестницы, люльки, столики, тележки, вышки) | Б-15 |
Невозобновляемые ресурсы при выполнении строительно-монтажных работ расходуются непосредственно сами - полностью (например, железобетонные или металлические конструкции) или частями (например, материалы). В этой связи в качестве расходуемого фактора для невозобновляемых ресурсов могут использоваться как физические параметры (м3, м2, т, км и т.п.), так и показатели трудоемкости (человеко-дни, машино-смены и т.п.).
Невозобновляемые ресурсы состоят из 15 групп, а именно: сборные конструкции (железобетонные, бетонные, металлические, деревянные), стеновые блоки и плиты (гипсолитовые, пенобетонные, шлакоалебастровые и др.), строительные детали (переплеты оконные, коробки оконные, полотна дверные, коробки дверные и др.), строительные материалы (цемент, известь, гипс, стекло, шлак, кирпич и др.), нерудные материалы (песок, гравий, щебень, камень естественный и др.), лесные материалы (лес круглый, лес пиленый, фанера и др.), изоляционные материалы (войлок, пергамин, рубероид, толь, шифер и др.), химико-москательные материалы (краски сухие, краски тертые, олифа, карбид кальция и др.), полуфабрикаты (товарный бетон, строительный раствор, асфальтобетон и др.), строительные изделия (металл черный - сталь арматурная, швеллерная, квадратная и др., гвозди, шайбы, винты, болты и др., металл цветной - баббит, олово, трубы медные, латунные и др.), электротехнические изделия (кабели, провода, арматура осветительная, электродвигатели и др.), сантехнические изделия (трубы, радиаторы, котлы отопительные, арматура стальная и др.), изделия материально-технического снабжения (спецодежда, обувь, покрышки, ремни и др.), горючее (смазочные материалы, бензин, керосин и др.) и вещества взрывчатые
(таблица 4.4).
Таблица 4.4
Группы невозобновляемых ресурсов по признаку
"функциональное назначение"
Наименование группы | Уровень группы |
Сборные конструкции (железобетонные, бетонные, металлические, деревянные) | Б1-1 |
Стеновые блоки и плиты (гипсовые, пенобетонные, шлакоалебастровые, торфоизоляционные и др.) | Б1-2 |
Строительные детали (переплеты оконные, коробки оконные, полотна дверные, ступени железобетонные и др.) | Б1-3 |
Строительные материалы (цемент, известь, гипс, стекло, шлак, кирпич и др.) | Б1-4 |
Нерудные материалы (песок, гравий, щебень, камень естественный, глина огнеупорная и др.) | Б1-5 |
Лесные материалы (лес круглый, лес пиленный, фанера, дрань штукатурная и др.) | Б1-6 |
Изоляционные материалы (войлок строительный, войлок минеральный, пергамин, рубероид, толь, шифер, черепица и др.) | Б1-7 |
Химико-москательные материалы (краски сухие, краски тертые, олифа, карбид кальция и др.) | Б1-8 |
Полуфабрикаты (товарный бетон, строительный раствор, асфальтобетон, тесто известковое и др.) | Б1-9 |
Строительные изделия (металл черный - сталь арматурная, сталь швеллерная и двутавровая, сталь круглая, квадратная, полосовая, сталь листовая и др., гвозди, тросы, болты, гайки, заклепки, винты, шайбы, проволока, приборы, цветные металлы - баббит, олово, трубы латунные, медные, свинцовые, алюминиевые и др.) | Б1-10 |
Электротехнические изделия (кабели, провода, шнуры, арматура осветительная, лампы накаливания, приборы нагревательные, приборы измерительные, электродвигатели и др.) | Б1-11 |
Сантехнические изделия (трубы, радиаторы, котлы отопительные, арматура стальная, арматура чугунная, арматура бронзовая, приборы измерительные и др.) | Б1-12 |
Изделия материально-технического снабжения (спецодежда, обувь, покрышки, ремни и др.) | Б1-13 |
Горючее (смазочные материалы, бензин, керосин и др.) | Б1-14 |
Вещества взрывчатые | Б1-15 |
По признаку "функциональная специализация" трудовые ресурсы подразделяются на группы - рабочие, инженерно-технические работники, служащие, младший обслуживающий персонал и охрана.
Технические ресурсы по признаку "В" включают, например, для машин общестроительного назначения - машины для разработки немерзлых грунтов, машины для разработки сезонно- и вечномерзлых грунтов, машины для уплотнения грунтов, машины для буровых и взрывных работ, машины для свайных работ, машины для бетонных и железобетонных работ, оборудование для натяжения арматуры, оборудование для приготовления, перемещения и укладки бетонной смеси, машины для монтажа (демонтажа) строительных конструкций и вертикального транспорта, машины для отделочных работ, машины для устройства полов, машины для кровельных работ, машины для погрузо-разгрузочных работ.
По признаку "профессиональная ориентация" трудовые ресурсы подразделяются на группы - монтажники, бетонщики, плотники, каменщики, арматурщики, землекопы, изолировщики, штукатуры, маляры, кровельщики, машинисты и т.д.
По признаку "степень специализации", например, машины для разработки немерзлых грунтов включают экскаваторы одноковшовые, экскаваторы роторные, скреперы, автогрейдеры, бульдозеры, машины для зачистки дна траншей; машины для разработки сезонно- и вечномерзлых грунтов - рыхлители, машины для нарезки щелей, машины фрезерные и т.д.
По признаку "уровень квалификации" рабочие каждой профессии группируются по квалификационным разрядам, а инженерно-технические работники - по занимаемой должности в штатном расписании.
По признаку "мощность (вместимость)" технические ресурсы, например, по группе экскаваторы одноковшовые включают - ЭО-2621В, ЭО-3122А, ЭО-4322, ЭО-4324 и т.д.; экскаваторы роторные - ЭТР-224А, ЭТР-223А, ЭТР-134А и т.д.; экскаваторы цепные - ЭТЦ-208, ЭТЦ-202, ЭТЦ-165 и т.д.; бульдозеры - ДЗ-29, ДЗ-53, ТМ-10 и т.д.
Формирование групп ресурсов строительного производства по классификационным признакам позволяет представить полную их систематизацию в виде многоуровневой системы - класс, подкласс, вид, тип, типоразмер.
Класс - объединение совокупности ресурсов строительного производства по классификационному признаку "характер применения".
Подкласс - объединение совокупности ресурсов строительного производства одного класса по классификационному признаку "функциональное назначение".
Вид - объединение совокупности ресурсов строительного производства одного подкласса по классификационному признаку "функциональная специализация".
Тип - объединение совокупности ресурсов строительного производства одного вида по классификационному признаку "профессиональная ориентация" (для трудовых ресурсов) и "степень специализации".
Типоразмер - объединение совокупности ресурсов строительного производства одного типа по классификационному признаку "уровень квалификации" (для трудовых ресурсов) и "мощность (вместимость)".
Группирование ресурсов строительного производства в виде многоуровневой системы представлено фрагментами для трудовых ресурсов
(таблица 4.5), машин и оборудования общестроительного назначения
(таблица 4.6).
Таблица 4.5
Группирование трудовых ресурсов строительного производства
(фрагмент)
Класс (признак А) | Подкласс (признак Б) | Вид (признак В) | Тип (признак Г-1) | Типоразмер (признак Д-1) |
Возобновляемые ресурсы | Трудовые ресурсы | Рабочие | Монтажник | Квалификационный разряд |
Бетонщик |
Плотник |
Каменщик |
Арматурщик |
Землекоп |
Изолировщик |
Машинист |
Электросварщик |
Такелажник |
Штукатур |
Маляр |
Кровельщик |
Электромонтажник |
Слесарь-сантехник |
Электромонтер |
Асфальтобетонщик |
Слесарь |
Рабочие строительных профессий |
Инженерно-технические работники | Инженер-строитель | Должность по штатному расписанию |
Инженер-механик |
Инженер-технолог |
Инженер-сантехник |
Инженер-электрик |
Экономист |
Бухгалтер |
Техник-механик |
Техник-строитель |
Техник-технолог |
Социолог |
Психолог |
Каждая строительно-монтажная работа может выполняться различными сочетаниями ресурсов строительного производства в виде бригад, комплексов, колонн, парков, наборов, комплектов. Такие сочетания отличаются друг от друга, прежде всего, технико-экономическими показателями и зависят от вида и условий возведения объектов, специализации и концентрации ресурсов, продолжительности строительства и других факторов. Например, при производстве земляных работ для выполнения операции "валка леса" могут использоваться - корчеватель-собиратель, бульдозер, электропила, мотопила; для выполнения операции "зачистка дна в котловане" применяются - бульдозер, микробульдозер, экскаватор-планировщик, экскаватор с зачистным ковшом, зачистные машины; для выполнения операции "обратная засыпка" используются - бульдозер, самосвал, грейфер, экскаватор-планировщик, транспортер навесной, пневмотранспортер и т.д.
Таблица 4.6
Группирование машин и оборудования
общестроительного назначения (фрагмент)
Класс (признак А) | Подкласс (признак Б) | Вид (признак В) | Тип (признак Г-2) | Типоразмер (признак Д-2) |
Возобновляемые | Машины общестроительного назначения | Машины для разработки немерзлых грунтов | Экскаватор одноковшовый | ЭО-2621В, ЭО-3121А, ЭО-3122А, ЭО-3321, Э-5124, ЭО-4324, ЭО-4322, ЭО-4321А, ЭО-4322, Э-6123 |
Экскаватор роторный | ЭТР-134А, ЭТР-224А, ЭТР-223А |
Экскаватор цепной | ЭТЦ-165, ЭТЦ-208, ЭТЦ-252А, ЭМ-251 |
Скрепер | ДЗ-13А, ДЗ-115, ДЗ-20А, ДЗ-87, ДЗ-111, ДЗ-357П, Д-567 |
Автогрейдер | ДЗ-31-1, ДЗ-98, ДЗ-105, ДЗ-99-1-4, ДЗ-99-1-2, ДЗ-122-1, ДЗ-122 |
Бульдозер | ДЗ-48, ДЗ-53, ДЗ-109, ДЗ-110А, ДЗ-118, ДЗ-120, ДЗ-104, ТМ-10 |
Машины для разработки сезонно- и вечномерзлых грунтов | Рыхлитель | ДП-22С, ДП-100 |
Машина для нарезки щелей | ЭТЦ-208Д |
Бульдозер | ДЗ-116А, ДЗ-35С, ДЗ-126ХЛ, ДЗ-94ХЛ, ДЗ-129ХЛ |
Машина фрезерная | ДП-31ХЛ |
Машины для уплотнения грунтов | Каток | ДУ-13А, ДУ-29, ДУ-52, ДУ-37Б, ДУ-39А, ДУ-54 |
Трамбовка | ИЭ-4504, ПВТ-3 |
Существующие организационные формы использования ресурсов строительного производства приводятся к следующему положению:
- ресурсы строительного производства в пределах их вида подчиняются принципу взаимозаменяемости или заменяемости по функциональной специализации.
Действие этого положения распространяется практически на все виды строительно-монтажных работ
(таблица 4.7).
Таблица 4.7
Действие принципа взаимозаменяемости и заменяемости
ресурсов при производстве работ
Вид работы | Уровень группы ресурсов |
1 Земляные работы | Б1-1, Б1-8, Б1-10, Б1-11, Б1-15 |
2 Свайные работы | Б1-1, Б1-2, Б1-9, Б1-10, Б1-11, Б1-14, Б1-15 |
3 Работы по открытому водоотливу и искусственному понижению | Б1-1, Б1-2, Б1-7, Б1-8, Б1-9, Б1-10, Б1-11, Б1-14, Б1-15 |
4 Каменные работы | Б1-1, Б1-2, Б1-8, Б1-9, Б1-10, Б1-11 |
5 Кровельные работы, гидроизоляция и пароизоляция | Б1-1, Б1-2, Б1-8, Б1-10, Б1-11, Б1-12, Б1-14, Б1-15 |
6 Монтаж строительных конструкций зданий и сооружений | Б1-1, Б1-2, Б1-8, Б1-9, Б1-10, Б1-11, Б1-12, Б1-14, Б1-15 |
7 Устройство монолитных железобетонных и бетонных конструкций | Б1-1, Б1-2, Б1-8, Б1-9, Б1-10, Б1-11, Б1-12, Б1-13, Б1-14, Б1-15 |
8 Монтаж технологического оборудования | Б1-1, Б1-2, Б1-3, Б1-8, Б1-9, Б1-10, Б1-11, Б1-12, Б1-14, Б1-15 |
9 Транспортные и погрузо-разгрузочные работы | Б1-1, Б1-2, Б1-8, Б1-9, Б1-10, Б1-11, Б1-14, Б1-15 |
10 Сооружение тоннелей в транспортном строительстве | Б1-1, Б1-2, Б1-8, Б1-9, Б1-10, Б1-11, Б1-12, Б1-14, Б1-15 |
11 Плотничные и столярные работы | Б1-1, Б1-2, Б1-8, Б1-10, Б1-11, Б1-12, Б1-14, Б1-15 |
12 Работы по устройству полов | Б1-1, Б1-2, Б1-8, Б1-10, Б1-11, Б1-12, Б1-14, Б1-15 |
13 Отделочные работы | Б1-1, Б1-2, Б1-8, Б1-9, Б1-10, Б1-11, Б1-12, Б1-15 |
14 Монтаж внутренних сантехнических систем | Б1-1, Б1-2, Б1-8, Б1-10, Б1-11, Б1-12, Б1-14, Б1-15 |
15 Строительство наружных сетей водопровода, канализации, газоснабжения, теплофикации | Б1-1, Б1-2, Б1-8, Б1-9, Б1-10, Б1-11, Б1-12, Б1-15 |
16 Монтаж технологических стальных трубопроводов | Б1-1, Б1-2, Б1-8, Б1-9, Б1-10, Б1-11, Б1-12, Б1-14, Б1-15 |
17 Сооружение верхнего строения железнодорожных путей | Б1-1, Б1-2, Б1-5, Б1-8, Б1-9, Б1-10, Б1-11, Б1-12, Б1-14, Б1-15 |
18 Сооружение покрытия автомобильных дорог | Б1-1, Б1-2, Б1-4, Б1-8, Б1-9, Б1-10, Б1-11, Б1-14, Б1-15 |
19 Строительство магистральных трубопроводов | Б1-1, Б1-2, Б1-8, Б1-9, Б1-10, Б1-11, Б1-12, Б1-14, Б1-15 |
20 Гидротехнические сооружения в транспортном строительстве | Б1-1, Б1-2, Б1-8, Б1-9, Б1-10, Б1-11, Б1-12, Б1-14, Б1-15 |
21 Электромонтажные работы | Б1-1, Б1-2, Б1-8, Б1-9, Б1-10, Б1-11, Б1-12, Б1-14, Б1-15 |
В этой связи ресурсы строительного производства в зависимости от условий их применения могут подразделяться на три группы - взаимозаменяемые, заменяемые, индивидуальные.
К взаимозаменяемым относятся ресурсы, которые по своим функциональным параметрам могут равнозначно выполнять или обслуживать однородные строительные процессы.
Заменяемыми следует считать ресурсы, которые по своим функциональным параметрам могут выполнять или обслуживать однородные строительные процессы как ресурсы низкого приоритета.
К взаимозаменяемым и заменяемым относятся практически все ресурсы - трудовые (рабочие, инженерно-технические работники), машины и оборудование общестроительного назначения (машины для разработки немерзлых грунтов, машины для разработки сезонно- и вечномерзлых грунтов, машины для уплотнения грунтов, машины для буровых и взрывных работ, машины для свайных работ, машины для бетонных и железобетонных работ, машины для монтажных работ и вертикального транспорта, машины для отделочных работ, машины для устройства полов, машины для кровельных работ, машины для погрузо-разгрузочных работ) и др.
К индивидуальным относятся ресурсы, которые в силу сложившихся условий строительного производства не могут рассматриваться как взаимозаменяемые или заменяемые. Так, например, наличие на строительной площадке только одного крана приводит этот кран к числу индивидуальных.
Применительно к трудовым ресурсам строительного производства принцип взаимозаменяемости и заменяемости выражается владением рабочими смежными профессиями. Так, например, рабочие комплексной общестроительной бригады широко владеют такими профессиями как бетонщик, плотник, монтажник, каменщик и др., а рабочие комплексной бригады отделочных работ осваивают смежные профессии маляра, штукатура, машиниста растворонасоса. Аналогично в специализированных бригадах, например, рабочие-кровельщики владеют профессиями изолировщиков.
Применительно к техническим ресурсам строительного производства специализированные их сочетания при производстве строительных, монтажных и специальных строительных работ устанавливаются в зависимости от условий строительства и фактического наличия и состояния ресурсов. Так, например, при производстве земляных работ сочетания технических ресурсов включает применение для разработки траншей в мягких грунтах одноковшовых экскаваторов, экскаваторов-планировщиков, многоковшовых экскаваторов, траншеекопателей и др. машин, а для разработки траншей в скальных и плотных грунтах машин ударного и виброударного действия (навесные и прицепные), одноковшовые экскаваторы, экскаваторы с ковшом с активными зубьями и т.д.
(таблица 4.8).
Таблица 4.8
Варианты применения технических ресурсов
при производстве земляных работ
Номенклатура строительно-монтажных работ | Применяемые возобновляемые ресурсы (средства механизации) |
Вид | Процесс | Операция | Вид | Тип |
Земляные работы | Подготовка территории | Валка леса | Землеройные машины | Корчеватель-собиратель, бульдозер, электропила, мотопила |
Корчевка пней | Корчеватель-собиратель, бульдозер, экскаватор, трактор (с лебедкой) |
Срезка и корчевка кустарника и мелколесья | Корчеватель-собиратель, бульдозер, кусторез, корчевальный борон |
Корчевка и удаление негабаритных камней | Корчеватель-собиратель, бульдозер, погрузчик |
Засыпка ям после корчевки пней | Экскаватор-планировщик, бульдозер, микробульдозер |
Подземные и землевозные автодороги | Устройство земляного полотна | Одноковшовый экскаватор, экскаватор-планировщик, скрепер, бульдозер, автогрейдер |
Устройство кюветов | Канавокопатель, бульдозер со специальным оборудованием, автогрейдер |
Вертикальная планировка территории мягких грунтов | Нарезка уступов | Бульдозер, экскаватор-планировщик, автогрейдер |
Разработка грунта выемки | Бульдозер с перемещением в насыпь или окучиванием, автогрейдер, скрепер с транспортировкой в насыпь |
Ремонт и содержание землевозных дорог | Бульдозер, микробульдозер, экскаватор-планировщик, автогрейдер |
Послойное разравнивание грунта в насыпи вертикальной планировки | Бульдозер, микробульдозер, экскаватор-планировщик |
Планировка поверхностей и откосов выемки, насыпи и отвала растительного грунта | Экскаватор-планировщик, бульдозер, микробульдозер, автогрейдер |
Разравнивание растительного грунта на поверхности насыпи, выемки и на откосах | Бульдозер, микробульдозер, экскаватор-планировщик, автогрейдер |
| Разработка котлована в мягких грунтах | Разработка недобора (зачистка дна) в котловане | Бульдозер, микробульдозер, экскаватор-планировщик, экскаватор с очистным ковшом, зачистные машины |
Погрузка окученного грунта в котловане | Одноковшовый экскаватор (в автосамосвал или полуприцеп-самосвал), экскаватор-планировщик, погрузчик |
Разравнивание, грубая планировка грунта, содержание проездов на отвале | Бульдозер, микробульдозер, экскаватор-планировщик, автогрейдер |
Разработка траншеи в мягких грунтах | Планировка (выравнивание) поверхности грунта | Бульдозер, автогрейдер, экскаватор-планировщик, погрузчик |
Разработка траншеи (разработка траншеи, котлованов под колодцы, уширений, недобора) | Одноковшовый экскаватор в отвал, экскаватор-планировщик, бульдозер в отвал |
Разработка траншеи | Многоковшовый экскаватор в отвал, роторный экскаватор, траншеекопатель |
Обратная засыпка траншеи | Бульдозер, микробульдозер, экскаватор-планировщик, скребковый траншеезасыпатель, погрузчик |
Планировка валика под траншеей | Бульдозер, экскаватор-планировщик, автогрейдер |
| Разработка траншей в скальных и плотных грунтах | Рыхление скального и плотного грунта | | Машина ударного и виброударного действия (навесные и прицепные), отбойные молотки |
Разработка разрыхленного грунта | Одноковшовый экскаватор, экскаватор с ковшом с активными зубьями, погрузчик, бульдозер в отвал |
Обратная засыпка, разравнивание и уплотнение пазух между стенами котлованов (траншей) и фундаментами, коллекторами, смотровыми колодцами; пазух между откосами земляного полотна подъездных дорог и опорами мостов | Обратная засыпка | Бульдозер, самосвал, грейфер, экскаватор-планировщик, транспортер навесной к базовым машинам, пневмотранспортер по гибким трубопроводам |
Бульдозер, экскаватор-планировщик, микробульдозер, сменное навесное разравнивающее оборудование к гидравлическому экскаватору |
Уплотнение | Ручные трамбовки, свободнопадающие трамбовки, самопередвигающиеся виброплиты, подвесные на кранах трамбовки ударного и виброударного действия, сменное навесное уплотняющее оборудование к микробульдозерам и самоходным шасси |
| Обратная засыпка, разравнивание и уплотнение грунта внутри зданий при устройстве техподполий | Обратная засыпка | Грейдер, пневмотранспорт по гибким трубопроводам, малогабаритный погрузчик |
Разравнивание | Бульдозер, микробульдозер |
Уплотнение | Ручные трамбовки, самопередвигающиеся виброплиты, ударного и виброударного действия, сменное навесное оборудование к микробульдозерам и самоходным шасси подвесные на кранах трамбовки |
Отсыпка, разравнивание и уплотнение земляного полотна подъездных дорог и строительных площадок при вертикальной планировке | Отсыпка | Бульдозер, самосвал, скрепер |
Уплотнение | Прицепные статистические катки (кулачные и пневмошинные), прицепные вибрационные катки (гладкие, кулачные, решетчатые), полуприцепные вибрационные катки (гладкие, кулачные, решетчатые), прицепные многосекционные виброплиты, навесные на тракторе трамбующие машины |
Обратная засыпка, разравнивание и уплотнение грунта в пазухах и котлованах различных зданий и сооружений | Обратная засыпка | Бульдозер, самосвал, грейдер, транспортер навесной к базовым машинам |
Уплотнение оснований зданий и сооружений предварительным замачиванием | Обратная засыпка | | Бульдозер, самосвал, скрепер |
4.4 Рекомендуемая номенклатура объектов
Номенклатура объектов, рекомендуемых для возведения мобильными формированиями, достаточно широка и практически охватывает все отрасли производственной и непроизводственной сфер. Такие объекты могут подразделяться на объекты межотраслевого и отраслевого назначения.
Объекты межотраслевого назначения включают в первую очередь блоки, здания и сооружения вспомогательного, производственного и обслуживающего назначения:
- объекты теплоснабжения - котельные с котлами Е-1/9Г, ДЕ-16-14ТМ, КСВ-1,8, ВК-21; блок-боксы утилизационной насосной станции с насосами 4К-6А, Д-200-95; утилизационная насосная станция из двух блоков; блок мокрого хранения соли; бойлерная для горячего водоснабжения производительностью 30000 ккал/г; блок управления Н-катионовыми фильтрами; блок редукционной установки производительностью 10 т/ч; блок насосов горячего водоснабжения производительностью 28 - 48 м3/ч; блок подпиточных насосов производительностью 10 - 30 м3/ч; блок сетевых и рециркуляционных насосов БСН-200-90; блок охладителей выпара производительностью 1 - 12 т/ч; блок приготовления исходной воды производительностью 10 - 30 м3/ч; блок насосов декарбонизированной воды производительностью 30 - 60 м3/ч; блок горячего водоснабжения; блок газорегуляторной установки; блок натрийкатионовых фильтров; блок подогревателя и насосов исходной воды; блок подогревателей сетевой воды производительностью 5 Гкал/ч; блок установки жидких присадок с перекачивающими насосами мазута БЖП 0,1-ПНМ-18; блок управления горячего водоснабжения производительностью 30 - 50 м3/ч;
- объекты электроснабжения - трансформаторная подстанция с одним и тремя вводами мощностью 400 кВА; комплектная трансформаторная подстанция мощностью 2 x 400 кВА; комплектная трансформаторная подстанция мощностью 2 x 1000 кВА с четырьмя шкафами НКУ; блок комплектных низковольтных устройств; блок станций управления насосами водозаборных скважин; дизельная электростанция мощностью 200 кВА;
- объекты водоснабжения и водоочистных сооружений - установка обезжелезивания производительностью 400 м3/сут; установка фторирования воды производительностью 400 м3/сут; станция опреснения воды производительностью 100 м3/сут из двух блоков; водопроводная насосная станция производительностью 12 м3/ч; насосная станция хозяйственно-производственная производительностью 90 м3/ч; автоматизированная насосно-пневматическая установка (АНПЧ-25) производительностью 10 м3/ч из двух блоков; циркулярная насосная станция оборотного водоснабжения производительностью 200 - 360 м3/ч; водозаборная станция производительностью 2400 м3/ч; блочно-комплектные насосные станции заводской готовности двух-, трехагрегатные;
- объекты канализации и очистных сооружений - канализационная малогабаритная установка производительностью 8 - 60 м3/ч; канализационная насосная станция для невзрывоопасных стоков производительностью 24 - 68 м3/ч; канализационные насосные станции для взрывоопасных стоков производительностью 8 - 20, 24 - 68 м3/ч; канализационные очистные сооружения производительностью 12 - 50 м3/сут; канализационные очистные сооружения производительностью 1400 - 2700 м3/сут в 15-ти блоках, 4200 - 700 м3/сут в 18-ти блоках;
- объекты компрессорных установок - автоматизированная блочная компрессорная станция производительностью 60 м3/ч; станция компрессорная производительностью 300 м3/ч; блок-бокс воздушной компрессорной станции (БКС-3/40) производительностью 8 м3/ч;
- объекты связи и автоматизации производственных процессов - операторная контрольно-измерительных приборов (КИП); блочно-комплектная операторная из трех блоков; операторная центральная;
- объекты транспортно-складского хозяйства - блок-бокс насосной станции масел на 3 - 4 насоса Ш 8-25-5,8/2,5Б, Ш 8-25-5,8/2,5Б с маслоочистительной установкой ПСМ1-3000; блок-бокс насосной станции темных нефтепродуктов производительностью 36 м3/ч из двух блоков; топливораздаточный пункт на три колонки с насосами ВК-5/24А; блок-бокс станции светлых нефтепродуктов производительностью 50 м3/ч из двух блоков; маслораздаточный пункт из двух колонок; склад масел в таре вместимостью 10 бочек; склад масел с насосной станцией из боксов серии 672 в 10 блоках; блок для мотопомпы; гаражный комплекс из блоков типа 1612А;
- унифицированная индустриальная строительная система "Блок" - модуль "Короб"; объемный блок рядовой (состоит из двух модулей); объемный блок лестничный; объемный блок без боковой стены; полносборная трансформаторная подстанция 2 x 630 кВА из четырех блоков; объемный блок связи;
- объекты жилищно-гражданского строительства - железобетонные кабины санитарно-технических узлов (совмещенные, раздельные); раздельные железобетонные кабины санитарно-технических узлов; блоки железобетонных шахт лифтов.
Объекты отраслевого назначения возводятся только в одной конкретной отрасли. Например, нефтеперекачивающие насосные станции применяются только в системах нефтепрома и газпрома, а насосные станции орошения - в мелиоративных системах. Номенклатура таких объектов приведена в
таблице 4.9.
Таблица 4.9
Базовая номенклатура объектов, рекомендуемых к возведению
мобильными подразделениями
Наименование отрасли | Наименование объекта | Характеристика объекта |
Промышленное строительство |
Электроэнергетика | Электрическая подстанция | Все типы подстанций напряжением 35/0,4 кВ, 35/6 - 10 кВ, 110/10 кВ, 110/35/10 кВ и т.д. |
Воздушные линии электропередачи | Напряжение 35, 110 - 150 кВ и др., количество цепей 1 - 2 |
Комплекс электроснабжения | В составе: воздушные линии, трансформаторные подстанции (комплектные и мачтовые) |
Магистральная тепловая сеть | Диаметр трубопроводов: 250 - 350 мм; 400 - 450 мм; 600 - 1000 мм; 1200 мм; 1400 мм |
Нефтедобывающая промышленность | Дожимная нефтенасосная станция с предварительным сбросом пластовой воды в блочно-комплектном исполнении | Производительность: 5, 10, 20 тыс. м3/сут |
Дожимная нефтенасосная станция без предварительного сброса пластовой воды в блочно-комплектном исполнении | Производительность: 5, 10, 20 тыс. м3/сут |
Нефтепроводы, газопроводы, водоводы | Протяженность, км (диаметр, мм): до 10 (до 250); 10 - 20 (250 и более) |
Межпромысловые нефтепроводы и газопроводы | Протяженность до 20 км, диаметр до 500 мм |
Центральный пункт сбора и подготовки нефти, газа и воды в блочно-комплектном исполнении | Производительность: 1, 3, 6, 9 млн. т/год |
Установка подготовки нефти | Производительность: 1, 3, 6, 9 млн. т/год |
Газокомпрессорная станция в блочно-комплектном исполнении | Производительность до 300 и свыше 300 тыс. м3/сут |
Компрессорная станция газлифтной добычи нефти | Производительность до 300 и свыше 300 тыс. м3/сут |
Установка осушки газа в блочно-комплектном исполнении | Производительность 500 тыс. м3/сут |
Установка очистки газа от сероводорода в блочно-комплектном исполнении | Производительность 500 тыс. м3/сут |
Кустовая насосная станция в блочно-комплектном исполнении | Производительность от 4 до 16 тыс. м3/сут |
Нефтеперерабатывающая промышленность | Комплекс установки первичной атмосферной переработки нефти с обессоливанием сырья (ЭЛОУ-АТ-6) | Мощность по переработке сырья 6000 тыс. т/год |
Комплекс установки первичной атмосферно-вакуумной переработки нефти с обессоливанием сырья (ЭЛОУ-АВТ-6) | Мощность по переработке сырья 6000 тыс. т/год |
Комплекс установки вакуумной перегонки мазута | Мощность по переработке сырья от 1300 до 3000 тыс. т/год |
Комплекс установки каталитического риформинга с предварительной гидроочисткой сырья (Л-35-11-1000) | Мощность по переработке сырья 1000 тыс. т/год |
Комплекс сбора прямогонного газа | Мощность по переработке сырья 100 тыс. т/год |
Газовая промышленность | Установка комплексной подготовки газа | Мощность: 2,5; 3,5; 5; 10 млрд. м3/год |
Головные сооружения по подготовке газа | Мощность: 10, 15 млрд. м3/год |
Холодильная станция | Производительность, млрд. м3/газа (млн. т конденсата) в год: 10 (0,5); 15 (4,5) |
Газораспределительная станция | Часовая пропускная способность 150, 300, 500 тыс. м3 |
Подземные хранилища газа | Объем активного газа 0,5; 1; 2; 3; 5 млрд. м3 |
Торфяная промышленность | Предприятие по добыче торфа с преимущественной разработкой низинной залежи | Мощность 50, 90, 150 тыс. т торфа в год |
Предприятие по добыче торфа с преимущественной разработкой верховой залежи | Мощность 30, 60 тыс. т торфа в год |
Завод торфяных брикетов | Мощность 30, 60 тыс. т брикетов в год |
Черная металлургия | Рудники с открытым способом разработки | Проектная мощность 4, 8, 12, 20 млн. т/год |
Рудник с подземным способом разработки | Проектная мощность рудника 3 млн. т/год сырой руды |
Цветная металлургия | Карьер | Руды, вмещающие и покрывающие их породы - нескальные. Проектная мощность карьера от 0,5 до 30 млн. т/год сырой руды |
Руды, вмещающие и покрывающие их породы - скальные. Проектная мощность карьера от 4 до 30 млн. т/год сырой руды. Руды, вмещающие их породы - скальные, покрывающие породы - нескальные. Проектная мощность карьера от 0,5 до 30 млн. т/год сырой руды |
Рудник | При штольном вскрытии месторождения. Проектная мощность рудника от 0,1 до 3 млн. т/год сырой руды. При шахтном вскрытии месторождения. Проектная мощность рудника от 0,1 до 3 млн. т/год сырой руды |
Лесная и деревообрабатывающая промышленность | Лесозаготовительное предприятие (без переработки древесины) | Мощность по вывозке древесины 200 тыс. м3/год |
Лесосплавное предприятие | Мощность в навигационный период сплава древесины 500, 1000, 2000 тыс. м3/год |
Лесоперевалочное предприятие | Мощность 250, 500 тыс. м3/год |
Пищевая промышленность | Сахарный завод | Мощность переработки свеклы 3, 6 тыс. т/сут |
Хлебозавод | Мощность 30 т хлебобулочных изделий и 0,7 т мучных кондитерских изделий в сутки |
Завод (комбинат) пищевых концентратов | Мощность 15, 25 тыс. т пищевых концентратов в год |
Чайная фабрика | Мощность 90 т переработки зеленого чайного листа в сутки |
Чаеразвесочная фабрика | Мощность 5 - 15 тыс. т расфасовки чая в год |
Винодельческий завод по переработке винограда | Мощность 10 (500) - 20 (1000) тыс. т переработки винограда в сезон (т/сут) |
Винодельческий завод по разливу вина | Мощность 3 млн. дал вина в год |
Пивоваренный завод | Мощность 2 млн. дал пива, 0,5 дал безалкогольных напитков, 20 млн. бутылок минеральной воды в год |
Солодовенный завод (цех) | Мощность 20 - 40 тыс. т солода в год |
Дрожжевой завод | Мощность 6000 т пекарных дрожжей в год |
Завод по производству патоки из кукурузы | Мощность до 100 т переработки зерна в сутки |
Мясная и молочная промышленность | Молочный комбинат | Мощность переработки 65 т молока. Выработка 50 т цельномолочной продукции, 1,6 т сливочного масла в смену |
Сыродельный комбинат | Мощность выработки 2,5 - 2,8 т сыра, 5 т цельномолочной продукции, 0,6 т молочного сахара, 1,9 т сливочного масла в смену |
Маслодельный комбинат | Мощность 2,5 - 3 т сухого обезжиренного молока или заменителя цельного молока, 5 т цельномолочной продукции, 1,2 т сливочного масла |
Молокоприемный пункт | Мощность 10 - 20 т молока в смену |
Рыбная промышленность | Рыбоперерабатывающее предприятие | Мощность 5, 10 т готовой продукции в сутки |
Комбинат рыбной гастрономии | Мощность 20 т готовой продукции в сутки с холодильником вместимостью 5 тыс. т |
Полносистемное прудовое рыбоводное хозяйство по выращиванию товарной рыбы | Площадь 500, 1000 га |
Нагульное прудовое рыбоводное хозяйство | Площадь 100, 200 га |
Прудовой рыбопитомник | Площадь 200, 500 га |
Тепловодное бассейновое и садковое хозяйство по выращиванию товарной рыбы | Мощность 1000, 2000 т товарной рыбы в год |
Лососевый рыбоводный завод | Мощность 30 млн. шт. молоди в год |
Осетровый рыбоводный завод | Мощность 3 млн. шт. молоди за один цикл |
Мукомольно-крупяная, комбикормовая промышленность и заготовки | Мельзавод | Мощность 100, 250, 500 т/сутки |
Комбикормовый завод | Мощность 200, 320, 630 т/сутки |
Элеватор | Из железобетонных конструкций вместимостью от 25 до 80 тыс. т |
Силосный корпус | Сборный железобетонный, вместимостью 18, 27 тыс. т |
Устройство для приема зерна с автотранспорта | На 2 проезда. Производительность 180 т/час |
Местная промышленность | Предприятие по производству сувениров из металла | Мощность 100 тыс. руб./год (в ценах 1984 г.) |
Предприятие по производству замочно-скобяных изделий | Мощность 1500 тыс. руб./год (в ценах 1984 г.) |
Предприятие по производству трубных изделий | Мощность 5600 тыс. руб./год (в ценах 1984 г.) |
Предприятие по производству корпусной мебели | Мощность 2000 тыс. руб./год (в ценах 1984 г.) |
Предприятие по производству спортивного инвентаря | Мощность 2500 тыс. руб./год (в ценах 1984 г.) |
Предприятие по производству текстильно-галантерейных изделий | Мощность 3600 тыс. руб./год (в ценах 1984 г.) |
Предприятие по производству обуви | Мощность 1800 тыс. руб./год (в ценах 1984 г.) |
Предприятие по производству строчевышивальных изделий | Мощность 2000 тыс. руб./год (в ценах 1984 г.) |
Предприятие по производству швейных изделий | Мощность 10000 тыс. руб./год (в ценах 1984 г.) |
Предприятие по производству детской металлической игрушки | Мощность 600 тыс. руб./год (в ценах 1984 г.) |
Предприятие по производству стеклянно-елочных украшений | Мощность 9400 тыс. руб./год (в ценах 1984 г.) |
Предприятие по производству деревянной игрушки | Мощность 1300 тыс. руб./год (в ценах 1984 г.) |
Предприятие по производству декоративной росписи | Мощность 800 тыс. руб./год (в ценах 1984 г.) |
Предприятие по производству художественной керамики | Мощность 550 тыс. руб./год (в ценах 1984 г.) |
Предприятие по производству художественного фарфора | Мощность 3000 тыс. руб./год (в ценах 1984 г.) |
Предприятие по производству электромузыкальных инструментов | Мощность 1000 тыс. руб./год (в ценах 1984 г.) |
Предприятие по производству духовых музыкальных инструментов | Мощность 3000 тыс. руб./год (в ценах 1984 г.) |
Предприятие по производству клавишных музыкальных инструментов | Мощность 3500 тыс. руб./год (в ценах 1984 г.) |
Сельскохозяйственное и водохозяйственное строительство |
Сельскохозяйственное строительство | Племенная ферма крупного рогатого скота | 800 коров |
Комплекс по производству молока | 300, 800, 1200 коров |
Ферма выращивания телок и нетелей | 1200, 3000, 6000 скотомест |
Коровник | На 200 коров |
Родильное отделение | На 48 коров с телятником на 237 голов |
Молочный блок | Производительность 3,6 т/сутки |
Репродукторная ферма мясных пород с выращиванием телят до 7 - 8 месячного возраста | 600, 800, 1200 коров |
Комплекс выращивания и откорма молодняка крупного рогатого скота | 2500, 5000, 10000 голов |
Площадка для откорма молодняка крупного рогатого скота | 1000, 3000, 5000, 10000 скотомест |
Ферма откорма крупного рогатого скота | 1000, 2000 голов |
Коровник с помещениями для телят и ремонтного молодняка (для подсобных хозяйств предприятий) | 25, 50, 100 коров |
Телятник | От 228 до 640 голов |
Здание молодняка крупного рогатого скота | 360, 1000 голов |
Здание откорма крупного рогатого скота | 500 голов |
Летний лагерь крупного рогатого скота | 500 коров |
Свиноводческая племенная ферма | От 100 до 600 основных маток |
Репродукторная ферма по выращиванию поросят | 6, 12, 24 тыс. голов/год |
Репродукторная племенная ферма выращивания ремонтных (гибридных) свинок | Для свиноводческих комплексов 54, 108 тыс. голов/год |
Откормочная ферма | Свиней, 12, 24 тыс. голов/год |
Комплекс по выращиванию и откорму | 27 тыс. свиней в год |
Ферма выращивания и откорма | 12, 24 тыс. свиней в год |
Свинарник-маточник | 60, 120 маток |
Свинарник для выращивания и откорма (для подсобных хозяйств предприятий) | 100, 300, 500 свиней в год |
Свинарник для откорма (для подсобных хозяйств предприятий) | 100, 300, 500 свиней в год |
Свинарник для поросят-отъемышей | 1520, 2160 голов |
Свинарник для холостых и супоросных маток | 390 мест |
Станция искусственного осеменения для свиноводческих комплексов со среднегодовым поголовьем | 1200, 3000, 6000 маток |
Санпропускник | 30, 60, 120 человек |
Кормоприготовительный цех для комплексов и ферм по производству молока | 400, 800, 1200 коров |
Кормосмесительный цех для комплексов выращивания нетелей | 3 - 6 тыс. скотомест |
| Кормоцех для свиноводческих ферм | Производительность 60 т/сутки |
Комбикормовый цех | Производительность 4, 10 т/ч |
Цех полнорационных кормов | Производительность 1,5 - 3 т/ч |
Цех брикетированных кормов | Производительность 1,5 - 3 т/ч |
Пункт приготовления витаминной травяной муки | Производительность 0,66 - 1,5 т/ч |
Склад сухого брикетирования жома | 1500 т |
Завод по производству мясокостной муки | Производительность 1,5 т/смену |
Предприятия сельхозтехники | Авторемонтный завод | На 3 тыс. автомобилей УАЗ, 5 тыс. автомобилей КамАЗ, 6 тыс. автомобилей ГАЗ-53А и ГАЗ-53Б |
Мотороремонтный завод | От 7 до 40 тыс. двигателей и коробок перемены передачи автомобилей |
Трактороремонтный завод | По ремонту шасси тракторов и их агрегатов |
Мастерская | По ремонту тракторов Т-4 с программой 800 шасси в год |
Предприятия по ремонту комбайнов | По ремонту зерноуборочных комбайнов и специальных комбайнов на готовых агрегатах, а также силосоуборочных комбайнов, хлопкоуборочных машин, корнеуборочных и ботвоуборочных машин, рисоуборочных комбайнов |
Завод по ремонту дизельной топливной аппаратуры | На 60 тыс. комплектов в год |
Завод по ремонту автотракторного электрооборудования | С программой 2 млн. руб. в год (в ценах 1984 г.) |
Ремонтная мастерская | На 200 тракторов и комбайнов |
Специализированное производство по централизованному восстановлению деталей двигателей | С программой 934 тыс. руб. в год (в ценах 1984 г.) |
Станция технического обслуживания автомобилей | От 100 до 300 автомобилей МАЗ, КрАЗ, КамАЗ; от 400 до 600 автомобилей ГАЗ-53, ГАЗ-53А, ГАЗ-53Б, ЗИЛ-130, ММЗ-555, УАЗ |
Станция технического обслуживания тракторов | От 200 до 800 тракторов К-700 и Т-150, Т-150К |
Специализированная мастерская по изготовлению монтажных узлов и заготовок для животноводческих ферм | С программой 4 млн. руб. в год (в ценах 1984 г.) |
Станция технического обслуживания оборудования животноводческих ферм | С программой 250 тыс. руб. в год (в ценах 1984 г.) |
Станция технического обслуживания машин и оборудования животноводческих ферм и комплексов | С программой 350 тыс. руб. в год (в ценах 1984 г.) |
Прирельсовый механизированный склад запасных частей без административных помещений | Вместимостью от 1000 т до 10000 т. Блок складов площадью от 2,8 до 18 тыс. м2 |
Прирельсовый склад | Для хранения теплоизоляционных материалов и изделий вместимостью 1000 т. Блок складов площадью 2 тыс. м2 |
Склад готовой продукции | Для технологических металлоконструкций и узлов трубопроводов вместимостью 2500 т. Площадь склада 4 тыс. м2 |
Открытый механизированный склад | Вместимостью 2000 - 4000 т, площадь склада 7 - 12 тыс. м2 |
Заготовка и переработка сельскохозяйственной продукции | Завод плодоовощных консервов | Мощность 30, 50, 80 млн. условных банок в год |
Завод сухофруктов | Мощность от 0,9 до 3,6 тыс. т/год |
Завод быстрозамороженной продукции | Мощность от 2 до 10 тыс. т/год |
Завод сухого пищевого пектина | Мощность 300 т/год |
Завод сухого картофельного пюре | Мощность от 0,8 до 4 тыс. т готовой продукции в год |
Цех плодоовощных консервов | Мощность от 5 до 20 млн. условных банок в год |
Холодильник для фруктов с цехом товарной обработки | Вместимость от 500 до 10000 т |
Холодильник для бахчевых культур | Вместимость от 250 до 1000 т |
Холодильник для маточной и продовольственной капусты | Вместимость от 1000 до 4000 т |
Хранилище продовольственной капусты без искусственного охлаждения | Вместимость от 1000 до 4000 т |
Холодильник для маточной продовольственной моркови и корнеплодов | Вместимость от 500 до 4000 т |
Теплицы весенне-летние | Площадь от 1000 до 15000 м2 |
Теплицы зимние | Площадь от 1000 до 15000 м2 |
Тепличные комбинаты | Площадь теплиц от 1 до 12 га |
Шампиньонница | Площадь от 0,35 до 0,7 га |
Шампиньонный комплекс | Площадь 1 га |
Объекты мелиоративных систем | Оросительные системы (очереди) и отдельные орошаемые массивы (кроме рисовых) при наличии водоисточников | Площадь системы орошения от 0,25 до 30 тыс. га |
Оросительные системы (очереди) и отдельные орошаемые массивы (кроме рисовых) со строительством водохранилища в качестве водоисточника | Площадь системы орошения от 0,1 до 10 тыс. га |
Рисовые оросительные системы (очереди) | Площадь системы от 0,5 до 20 тыс. га |
Рисовые оросительные системы (очереди) в условиях, требующих защиты от затопления | Площадь системы от 0,5 до 10 тыс. га |
Системы (очереди) лиманного орошения | Площадь системы орошения от 1 до 10 тыс. га |
Оросительно-осушительные системы (очереди) | Площадь системы от 0,25 до 10 тыс. га |
Осушительные системы (очереди) с открытой регулирующей сетью | Площадь системы осушения от 0,2 до 20 тыс. га |
Осушительные системы (очереди) с закрытой регулирующей сетью | Площадь системы осушения от 0,1 до 10 тыс. га |
Осушительные системы (очереди) со строительством водохранилища | Площадь системы осушения от 0,25 до 10 тыс. га |
Обводнительные системы (очереди) из местных водоисточников | Площадь системы обводнения от 5 до 500 тыс. га |
Обводнительные системы (очереди) с подачей воды водопроводами | Площадь системы (очереди) обводнения от 30 до 100 тыс. га |
Орошение земель сточными водами | Площадь системы орошения от 0,5 до 3 тыс. га |
| Планировка орошаемых земель | Без предварительного снятия плодородного слоя почвы при объеме земляных работ по планировке от 200 до 5000 тыс. м3 |
Планировка орошаемых земель | С предварительным снятием и восстановлением плодородного слоя почвы. При объеме земляных работ по планировке от 200 до 5000 тыс. м3 |
Культур-технические работы на землях, не требующих осушения, чистых от зарослей древесной растительности и камней | Площадь от 0,1 до 1 тыс. га |
Коллекторы, селевые русла, другие каналы, включая сооружения на трассах: мосты, переходы, перепады, быстротоки | С профильным объемом земляных работ от 50 до 10000 тыс. м3 |
Регулирование рек-водоприемников для осушения | С объемом земляных работ от 0,1 до 5 млн. м3 |
Дамбы обвалования земляные или из каменной наброски | Длина от 1 до 50 км |
Отдельные крупные сооружения на реках и каналах (гидроузлы, головные водозаборные сооружения, вододелители, дюкеры, перегораживающие сооружения и др.) | Объем бетонных и железобетонных работ от 1 до 40 тыс. м3 |
Магистральные каналы оросительных систем в земляном или облицованном русле при объеме бетона и железобетона до 10 м3 на 1 тыс. м3 профильного объема земляных работ (включительно) | Профильный объем земляных работ от 0,5 до 5 млн. м3 |
Скважины вертикального дренажа | Общая глубина 50 - 100 м |
Участки автоматизированного полива | Площадь полива от 100 до 600 га |
Системы группового водоснабжения | Протяженностью до 500 км, производительность от 4 до 80 тыс. м3/сут. Протяженностью 1000 км, производительность от 40 до 160 тыс. м3/сут |
Лесное хозяйство | Пожарно-химическая станция | Здание объемом 650 м3, стены кирпичные |
Лесной питомник | Площадь 30 га |
Гараж | На 8 автомашин и 8 тракторов, объем 5 тыс. м3 |
Кордон | Объем 560 м3 |
Цех по производству товаров народного потребления и изделий производственного назначения | Площадь 1200 м3, объем 5 тыс. м3 |
Цех по переработке низкосортной древесины | Площадь 2500 м2, объем 15 тыс. м3 |
Цех изготовления лесохозяйственных машин | Объем 31 тыс. м3 |
Лесная машинно-мелиоративная станция | Мощность 10 тыс. га осушения лесных земель в год |
Ремонтно-механическая мастерская | На 100 условных ремонтов в год |
Нижний склад | Мощность 100 тыс. м3 древесины в год |
Производственно-лабораторный корпус лесхоза | Объем 1,7 тыс. м3 |
Транспортное строительство |
Железнодорожный транспорт | Однопутные железные дороги | Дороги нормальной колеи с полным комплексом устройств и постоянных сооружений протяженностью 70 - 300 км |
Однопутные железные дороги и подъездные пути | Протяженность 10 - 50 км |
Вторые и последующие пути, и двухпутные вставки | Протяженность очередей строительства 50 - 100 км |
Электрификация существующих железных дорог | Однопутных, протяженность 100 - 200 км Двухпутных, протяженность 100 - 200 км |
Автоматическая путевая блокировка | Протяженность 100 - 300 км |
Диспетчерская централизация | Протяженность участка, км, на: один диспетчерский круг до 100 два диспетчерских круга 101 - 200 три диспетчерских круга 201 - 300 |
Кабельные линии железнодорожной сигнализации и связи | Комплекс гражданских, станционных и линейных сооружений, протяженность трассы 100 - 500 км |
Грузовой склад ангарного типа | Площадь от 6 до 12 тыс. м2 |
Контейнерная механизированная площадка | Суточное количество перерабатываемых контейнеров 600 - 900 ед. |
Платформа высокая | Пассажирская или погрузочно-разгрузочная до 2550 м2 |
Речной транспорт | Речной механизированный порт | Причалы с портовыми зданиями и сооружениями, наружными коммуникациями. Количество причалов 2 - 8 шт. |
Причал речной | С блоками бытовых помещений, складом и пассажирским павильоном. Длина причальной линии 100 м |
Причал пассажирский со зданием речного вокзала | Пассажировместимость 250 - 400 чел. |
Склад речного порта | Одноэтажный, пролет до 30 м, общая площадь 2500 м2 |
Шлюз судоходный | Однокамерный с причальными линиями и палами. Камера из монолитного или сборного железобетона. Размер камеры 270 x 18 x 30 x 30 |
Блок производственных цехов | Общая площадь 3 - 5 тыс. м2 |
Судоподъемное сооружение - слип с инженерными сетями | Грузоподъемность 2400 т, 10 - 12 дорожек, на свайном или щебеночном основании, из сборных железобетонных балок |
Дорожное хозяйство | Автомобильные дороги с усовершенствованными капитальными типами дорожного покрытия | II и III категории, возводимые с применением бетоноукладочного комплекта с рельсформами или обычного комплекта асфальтобетонного оборудования, протяженность дороги от 48 до 250 км |
Автомобильные дороги с усовершенствованными облегченными и переходными типами покрытий | III, IV, V категорий, протяженность дороги от 25 до 250 км |
Магистральный трубопроводный транспорт | Магистральный трубопровод (линейная часть) | Протяженность от 100 до 1000 км. Диаметр от 500 до 1400 мм |
Головная насосная станция в комплектно-блочном исполнении | Мощность 8 - 90 млн. т/год |
Промежуточная нефтеперекачивающая станция в комплектно-блочном исполнении | Мощность 8 - 90 млн. т/год |
Резервуарный парк из металлических вертикально-цилиндрических резервуаров | Вместимость от 40 до 2000 тыс. м3 |
Пункт налива нефти | Мощность 3 - 6 млн. т/год |
Компрессорная станция магистрального газопровода | Мощность 18 - 90 тыс. кВт |
Газораспределительная станция | Пропускная способность 150 - 500 тыс. м3/год |
Отдельный аварийно-ремонтный пункт | Обслуживание участка магистрального трубопровода протяженностью 15 - 200 км |
Мосты и тоннели | Железнодорожный мост | Однопутный длиной от 100 до 500 м |
Автодорожный мост | Длиной от 50 до 400 м, с шириной проезжей части от 6,5 до 24 м |
Железнодорожный тоннель | Однопутный тоннель, сооружаемый в крепких скальных породах, длиной 150 - 1000 м |
Строительство предприятий связи | Магистральная кабельная линия связи | Протяженность трассы 500 - 1000 км |
Внутризоновая кабельная линия связи (ВКЛС) | Протяженность трассы 100 - 300 км |
Радиорелейная линия связи прямой видимости с телефонными и телевизионными каналами | Протяженность трассы 100 - 1000 км |
Территориальный автоматизированный узел управления и коммутации (ТАУК) | Комплекс зданий производственного, вспомогательного и гражданского назначения, станционные и энергетические сооружения, узел |
Сетевой узел переключения первичной сети (СУП) | Комплекс зданий производственного, вспомогательного и гражданского назначения, станционные и энергетические сооружения, узел |
5 Особенности мобильной строительной системы (организационные формы мобильного строительства - вахтовая, экспедиционная, экспедиционно-вахтовая; организация труда и отдыха, состав и содержание организационно-технологической документации)
5.1 Организационные методы производства работ мобильными подразделениями
Режимы трудовой деятельности мобильных организаций и их подразделений определяются методами организации работ - экспедиционный, вахтовый, экспедиционно-вахтовый
(рисунок 5.1).
а - экспедиционная; б - вахтовая; в - экспедиционно-вахтовая
Рисунок 5.1 - Организационные формы мобильного строительства
Под экспедиционным понимается режим трудовой деятельности, при котором имеют место территориальный и функциональный отрывы первичных производственных структур, элементов социальной и производственной инфраструктуры и автономность их от базового города или от других мест базирования организаций.
Экспедиционный режим предполагает возможность межрегионального использования ресурсов строительства. При его применении работники периодически направляются к местам производства работ, которые могут находиться на значительных (в пределах различных районов страны) расстояниях от места постоянного семейного проживания для длительного пребывания там без членов семьи.
Экспедиционный режим трудовой деятельности предусматривает выполнение подразделениями пионерных комплексов работ в течение ограниченного времени.
Работники размещаются в экспедиционных мобильных поселках (или стационарных населенных пунктах), максимально приближенных к объектам пионерных работ. По окончании этих работ мобильный поселок перебазируется к новому объекту пионерного освоения, а работники возвращаются в базовый населенный пункт постоянного семейного проживания. Цикл выездов к месту работы и возвращений в базовый населенный пункт повторяется по определенной заранее запланированной очередности.
Экспедиционный режим трудовой деятельности позволяет даже при отсутствии регулярной транспортной связи между базовым городом и экспедиционным поселком осуществлять разовые (не маятниковые) перевозки работников, расширяя тем самым межрегиональное перераспределение и эффективное использование трудовых ресурсов строительства.
Структура социально-бытового обслуживания в экспедиционном поселке рассчитана на удовлетворение повседневных и периодических потребностей работников, проживающих без членов семей, и включает ограниченную торговлю и бытовое обслуживание, организацию досуга во внерабочее время и в дни отдыха.
Под вахтовым понимается режим строительного производства, когда при значительном удалении строящихся объектов от мест дислокации строительной организации и постоянного жительства работа на них осуществляется вахтовым (сменным) персоналом, который в период нахождения на объекте проживает без членов семьи в специально созданных вахтовых поселках и систематически, через определенное время, возвращается к месту постоянного жительства для отдыха.
Признак вахтового режима - периодические (маятниковые) передвижения работников к месту приложения труда и обратно, к месту постоянного семейного проживания для отдыха.
Применение вахтового метода организации строительства возможно в любом регионе страны на всех видах строительства при возведении рассредоточенных и линейно-протяженных объектов, в мобильных и стационарных строительных организациях с созданием в них мобильных подразделений (управлений, участков, бригад).
Зона вахтового строительства территориально характеризуется его ближней и дальней границами. Ближняя граница определяется расстоянием ежедневной транспортной доступности (30 - 50 км или 1 - 1,5 ч транспортирования работников), дальняя - расстоянием до наиболее удаленного объекта, но в пределах одной природно-климатической зоны или двух часовых поясов.
Условие применения вахтового метода - наличие или организация взаимоувязанной системы жилищно-производственных баз, включающей:
- жилищно-производственный комплекс базового города с развитой социальной инфраструктурой для постоянного проживания и культурно-бытового обслуживания работников и членов их семей;
- вахтовый поселок, содержащий элементы социальной инфраструктуры, рассчитанные для временного проживания работников без членов семей и удовлетворения их повседневных потребностей.
Целесообразность применения вахтового метода организации строительства определяют следующие факторы:
- малообъемность работ на объекте или его пионерное освоение;
- сложность и неустойчивость транспортных коммуникаций;
- сезонный характер производства строительно-монтажных работ;
- экстремальные условия труда.
Вахтовый режим трудовой деятельности предусматривает выполнение пионерных работ на осваиваемых строительных площадках в течение определенного (небольшого) периода времени, после которого состав рабочих "вахты" полностью сменяется. Вахты рабочих доставляются на площадку пионерных работ с опорных баз, которые могут быть расположены как вблизи района освоения, так и на значительном удалении от него. Во время вахты рабочие живут в мобильных вахтовых поселках, развертываемых в непосредственной близости к строительной площадке; на время отдыха они возвращаются в опорные населенные пункты семейного проживания.
Экспедиционно-вахтовый режим - синтез экспедиционного и вахтового методов трудовой деятельности и предполагает использование производственной структуры, социальной и производственной инфраструктуры, а также системы производственных баз в зоне вахтового строительства, а также социальной структуры городов, расположенных в экономически развитых районах.
Экспедиционно-вахтовый режим предполагает перевозку работников без членов их семей в базовые поселки или города на время экспедиции с дальнейшей их деятельностью по вахтовой схеме.
Характерные признаки экспедиционно-вахтового режима:
- наличие зоны вахтового строительства;
- межрегиональное использование трудовых ресурсов;
- наличие жилищного комплекса и развитой социальной инфраструктуры в городах экономически развитых районов страны для постоянного проживания трудящихся и членов их семей;
- наличие взаимосвязанной системы жилищно-производственных баз в зоне вахтового строительства, включающей жилищно-производственный комплекс базового города с предприятиями производственной (тыловой) базы строительной организации для бесперебойного материально-технического обеспечения строительства и развитую инфраструктуру, с базой адаптации - местом межвахтового отдыха экспедиционно-вахтовых работников; вахтовый поселок;
- отсутствие постоянной транспортной связи базового города с городами постоянного проживания трудящихся и наличие регулярной связи с вахтовыми поселками;
- проживание в базовом городе и вахтовом поселке только экспедиционно-вахтовых коллективов без членов их семей;
- работа осуществляется по вахтовому режиму с удлиненной рабочей сменой и использованием суммированного учета рабочего времени.
Экспедиционно-вахтовый режим используется как комбинация экспедиционного и вахтового режимов. При этом пионерное подразделение находится на строительной площадке в течение всего срока осуществления комплекса пионерных работ (как при экспедиционном режиме), а отдельные его звенья или группы работают по вахтовому режиму. В этом случае абсолютная продолжительность пребывания отдельных звеньев или групп работников на каждой осваиваемой площадке всегда меньше, чем время производства работ на той же площадке всем пионерным подразделением.
5.2 Порядок перехода строительной организации в статус мобильной
Для перехода строительной организации или ее подразделений в статус мобильной организации
<*> рекомендуется последовательно реализовать следующие мероприятия:
- разработать и утвердить "Положение о вахтовом методе организации работ";
- ввести в действие приказ о переводе сотрудников на вахтовый метод организации работ;
- письменно известить работника о переходе на вахтовый метод организации работ;
- заключить дополнительные соглашения к трудовым договорам.
--------------------------------
<*> Переход строительной организации или ее подразделений в статус мобильной организации рассмотрен на примере перехода на вахтовый метод организации работ.
Целесообразность разработки "Положения о вахтовом методе организации работ" диктуется необходимостью объединения в одном документе принципиальных положений об условиях работы вахтовым методом - организация работ (формирование вахтового персонала, доставка работников на вахту и обратно), организация вахтовых поселков (жилищно-коммунальное и санитарно-бытовое обслуживание работников), режим труда и отдыха (суммарный учет рабочего времени, продолжительность рабочей смены и междусменного отдыха), оплата труда, льготы и компенсации (порядок оплаты труда, премирование работников, учет сверхурочных работ, надбавки к тарифной ставке, учет районных коэффициентов) и других разделов, учитывающих специфику деятельности строительной организации
[11],
[21],
[28].
"Положение о вахтовом методе организации работ" распространяется на всех работников строительной организации или ее подразделений, работающих по вахтовому методу. Содержание положения следует до его принятия согласовать с первичной профсоюзной организацией (при ее наличии), так как этот документ серьезно изменяет условия труда работников. В течение пяти рабочих дней профсоюз должен представить свое мотивированное заключение. При наличии разногласий составляется протокол и только после этого работодатель может утвердить положение независимо от степени урегулирования разногласий.
В качестве образца в
приложении А приведено "Положение о вахтовом методе организации работ" в ООО "Стройтрансгаз".
После принятия и вступления в силу "Положения о вахтовом методе организации работ" необходимо издать приказ о введении в строительной организации вахтового метода работ и о переводе на него работников. Такой приказ составляется в свободной форме, но с обязательной аргументацией изменений, вносимых в правила трудового распорядка отдельных подразделений или бригад, которые будут непосредственно задействованы вахтовым методом. В частности, в приказе указываются:
- основание для перевода мощностей на другие удаленные объекты;
- изменения в графиках работы подразделений (бригад);
- наименование должностей и подразделений, переводимых на вахтовый метод;
- характеристика вахтового метода с указанием продолжительности вахты и смен, доставки работников на вахту и обратно;
- дата начала работы вахтовым методом.
Приказ издается на бланке строительной организации, подписывается ее руководителем и передается для исполнения ответственным лицам - руководителю подразделения, работники которого переводятся на вахтовый метод, и начальнику отдела кадров.
Образец проекта приказа о переходе на вахтовый метод работы приведен в
приложении Б.
Следующий шаг предусматривает письменное извещение работника о переходе на вахтовый метод работ, который осуществляется согласно трудовому
кодексу за два месяца до вступления в силу изменений условий труда. Как правило, письменное извещение подготавливается в виде уведомления в свободной форме, которое должно содержать:
- дату перехода на вахтовый метод работы;
- график работы на вахте;
- перечень вакантных должностей в случае отказа работника от перевода на вахтовый метод;
- основание для увольнения работника при его отказе о переводе на вахтовый метод и от вакантных должностей.
Уведомление должно содержать графу "С уведомлением ознакомлен" и подпись работника, удостоверяющая о своевременном его ознакомлении о переводе на вахтовый метод работы.
Уведомление составляет и подписывает, как правило, начальник отдела кадров или другое лицо, назначенное ответственным за ознакомление работников с изменениями.
С работниками, которые дали согласие на работу по вахтовому методу, заключаются дополнительные соглашения к трудовому договору, так как до этого они работали в другом режиме. В дополнительном соглашении для каждого работника фиксируются новые условия труда, а именно:
- дата перехода на вахтовый метод работы;
- график работы на вахте;
- порядок оплаты труда;
- условия доставки на вахту и обратно.
К работе вахтовым методом нельзя привлекать лиц до 18 лет, беременных женщин, женщин, дети которых не достигли 3 лет, и лиц, здоровье которых не позволяет работать на вахте.
Образец дополнительного соглашения к трудовому договору приведен в
приложении В.
Работники, отказавшиеся от перевода на вахтовый метод работы и предложенных вакансий (основание - письменное уведомление), подлежат увольнению с выплатой зарплаты за отработанные дни, компенсации неиспользованного отпуска и пособий, указанных в нормативных документах строительной организации.
Работники, принимаемые на работу в строительной организации по вахтовому методу, оформляются через соответствующий трудовой договор
(приложение Г), в котором указываются
[19]:
предмет договора, права и обязанности работника и работодателя, рабочее время и время отдыха, условия оплаты труда, ответственность сторон.
Организация работы мобильных подразделений должна обеспечивать ритмичность, непрерывность, комплексность технологических процессов на объекте; соблюдение правил по охране труда, эксплуатации, техническому обслуживанию и ремонту машин; сохранность материальных ценностей; преемственность административно-технического и хозяйственного руководства.
Основные факторы, влияющие на выбор режимов трудовой деятельности мобильных подразделений: характеристика района строительства, особенности осваиваемой площадки и трасс коммуникаций, тип строительной организации, удаленность осваиваемой площадки от опорных городов и тыловых баз.
В этой связи режимы труда и отдыха устанавливаются в зависимости от:
- социальных и медико-биологических ограничений трудовой деятельности;
- технологических и экономических характеристик рабочего процесса;
- условий и видов производства работ;
- природно-климатических характеристик мест производства работ и их влияния на сезонный характер и условия частичной акклиматизации работников;
- длительности времени пребывания работников в пути из мест постоянного проживания;
- используемых транспортных средств и возможности организовать бесперебойную доставку;
- продолжительности экспедиции (вахты).
Основные параметры режима труда и отдыха определяются общим циклом, состоящим из продолжительности экспедиции или вахты, времени в пути от места постоянного проживания на строительство и обратно и периодического отдыха.
Продолжительность экспедиции или вахты - число дней, отработанных на объекте без выезда к месту постоянного проживания, суммированных с выходными днями, использованными во время нахождения на объекте.
Время в пути - число дней, включая неполные, затраченные на доставку работников с мест постоянного проживания к месту экспедиции или вахты и обратно после их окончания.
Продолжительность периодического отдыха - число дней (недель) отдыха в местах постоянного проживания после окончания экспедиции или вахты, предоставленных в качестве компенсации за переработанное сверх установленного законодательством времени в течение экспедиции или вахты.
Минимальная продолжительность экспедиции (вахты) устанавливается из условия, что общее время в пути в оба конца не превышает 10% рабочего времени за один цикл труда и отдыха.
Для учета вахтовых работ составляется соответствующий график, который основывается на следующих положениях:
- продолжительность рабочей недели равняется 40 час;
- продолжительность рабочей смены на вахте не должна превышать 12 час;
- продолжительность отдыха между вахтами не может быть меньше 12 час;
- время работника в пути от дома до места отправки на вахту включается в период отдыха между вахтами;
- время переработки суммируется и компенсируется дополнительными днями отдыха или дополнительной оплатой сверхурочных часов;
- время на доставку работника на вахту и обратно может совпадать с выходными днями и днями межвахтового отдыха;
- в календарной неделе должно быть не менее одного выходного дня;
- распределение рабочей нагрузки и отдыха должно быть равномерным в течение всей вахты.
Для отдельных категорий работников продолжительность рабочей недели может устанавливаться 36 или 24 часа в зависимости от условий труда.
Формы построения графиков работы вахтовым методом не регламентированы и, как правило, индивидуальны в каждой организации
(рисунок 5.2). Так как график работы вахтовым методом - внутренний документ организации, то в него могут вноситься изменения и дополнения, но при этом он должен учитывать не только интересы работодателя, но и трудовые права работников с обеспечением нормативного времени на отдых между сменами и вахтами
[22],
[25].
Общество с ограниченной ответственностью "Нефтехимпромстрой"
__________________________________________________________________
(наименование организации)
производственный отдел
__________________________________________________________________
(наименование структурного подразделения)
УТВЕРЖДАЮ
Генеральный директор
___________ К.В. Пигин
18.07.2017
График работы на вахте
Номер документа | Дата составления | | Период графика | | Учетный период |
4 | 18.07.2017 | 01.10.2017 | 31.12.2017 | квартал |
Фамилия, инициалы, должность (специальность, профессия) сотрудника | Табельный номер | Месяц | График работы на вахте за III квартал | Всего дней (часов) за месяц | Всего дней (часов) за квартал | Дата и подпись сотрудника |
1 | 2 | 3 | 4 | 5 | 6 | 7 | 8 | 9 | 10 | 11 | 12 | 13 | 14 | 15 | X |
16 | 17 | 18 | 19 | 20 | 21 | 22 | 23 | 24 | 25 | 26 | 27 | 28 | 29 | 30 | 31 |
| | | | | | | | | | | | | | | | | | | | | |
генерального директора
ООО "Гамма"
от 1 августа 2013 г. N 5
График работы на вахте на 2013 г.
Номер смены | Начало работы | Окончание работы | Время отдыха |
1 | 06.00 | 13.00 | 14.00 - 05.00 |
2 | 13.30 | 20.30 | 21.30 - 12.30 |
3 | 21.00 | 04.00 | 05.00 - 20.00 |
Технические перерывы: 13.00 - 13.30; 20.30 - 21.00; 04.00 - 06.00 Время доставки от места проживания на вахте до места выполнения работ - 2 часа. Время доставки от пункта сбора до места выполнения работы - 2 дня, обратно - 2 дня. Рабочая неделя: 5 дней с двумя выходными (суббота, воскресенье). Продолжительность вахты - 1 месяц. |
Вводится в действие со 2 августа 2013 г. |
С графиком ознакомлена бригада N 1 в составе: |
Силантьев Г.Р. | 01.08.2013 | Силантьев |
Абрамов Т.Н. | 01.08.2013 | Абрамов |
Уланов И.В. | 01.08.2013 | Уланов |
а - ООО "Нефтехимпромстрой"; б - ООО "Гамма"
Рисунок 5.2 - Образцы графика работы вахтовым методом
Рабочее время на вахте может уплотняться за счет увеличения продолжительности смены до 9, 10, 11 и 12 ч или увеличения числа рабочих смен в неделю. В результате у работника накапливаются часы переработки
(таблица 5.1), которые суммируются до целых рабочих дней с предоставлением дополнительного отдыха.
Таблица 5.1
Время переработки на вахте
Продолжительность смены, ч | Продолжительность переработки при рабочей неделе, ч |
5 дней | 6 дней |
8 | 0 | 8 |
9 | 5 | 14 |
10 | 10 | 20 |
11 | 15 | 26 |
12 | 20 | 32 |
Пример расчета дополнительного отдыха
Продолжительность вахты 28 дней (4 недели), продолжительность смены - 10 ч с перерывом на обед - 1 ч, число выходных дней - 4.
1 Фактическая продолжительность работы работника за вахту составит:
(28 - 4)·10 = 240 ч.
2 Нормативная продолжительность работы за вахту равняется:
4·40 = 160 ч.
3 Продолжительность переработки работником на вахте определяется как
240 - 160 = 80 ч.
4 Число выходных дней дополнительного междувахтового отдыха работника составит
80:8 = 10 дн.
Продолжительность работы на вахте, как правило, составляет до одного месяца. В исключительных случаях она может быть увеличена, но согласно Трудовому
кодексу не должна превышать трех месяцев
[1].
Распространенные графики работы вахтовым методом - симметричные и несимметричные графики
(таблица 5.2). В первом случае работник 15 дней работает и 15 дней отдыхает, а во втором случае два месяца работы сменяются одним месяцем отдыха.
Фрагмент графика работы вахтовым методом в ритме 15 x 15
1 | |
Ф.И.О. работника | Иванов И.И. |
Должность | Бригадир |
Январь | 02.01 - 16.01 |
Февраль | 01.02 - 15.02 |
Март | 03.03 - 17.03 |
2 | |
Ф.И.О. работника | Сидоров Н.А. |
Должность | Электросварщик |
Январь | 17.01 - 31.01 |
Февраль | 16.02 - 02.03 |
Март | 18.03 - 01.04 |
На основании многолетнего отечественного опыта работы мобильных подразделений рекомендуются следующие циклы труда и отдыха:
- в районах, где основные работы выполняются в зимний сезон (например, в районах Заполярья, Тюменской обл. и Коми), а условия доставки рабочих затруднены, рекомендуется двойной цикл, включающий два с половиной месяца (октябрь - декабрь экспедиции, три недели отдыха, затем два с половиной месяца экспедиции (январь - март) и полтора месяца отдыха);
- при работах в отдаленных районах - девять недель экспедиции (вахты), четыре недели отдыха;
- при работах в обжитых районах четыре недели экспедиции (вахты) и две недели отдыха;
- при выполнении работ в относительной близости от мест постоянного проживания - три недели вахта, неделя - отдых или две недели вахта - неделя - отдых.
Режимы труда и отдыха вахтовых работников устанавливаются в каждом конкретном случае в зависимости от природно-климатических условий и специфики выполняемых работ.
Критерием выбора рационального режима труда и отдыха должно быть обеспечение максимально высокого и стабильного уровня производительности труда вахтовых работников.
Для ориентировочных расчетов можно использовать усредненные коэффициенты снижения производительности труда вахтовых работников, полученные по результатам отечественных и зарубежных исследований:
- при 9-часовой рабочей смене от 0,02 до 0,05;
- при 10-часовой рабочей смене от 0,05 до 0,08;
- при 11-часовой рабочей смене от 0,08 до 0,12;
- при 12-часовой рабочей смене от 0,12 до 0,18.
Доставка вахтовых работников от постоянного места жительства на строящийся объект и обратно осуществляется как собственным транспортом строительной организации, так и предоставляемым ей на основе долгосрочных договоров, заключаемых с организациями путей сообщения, гражданской авиации, речного флота и автомобильного транспорта.
Все транспортные средства должны быть специально оборудованы для перевозки людей.
Вид транспорта выбирается с учетом сложившихся в регионе транспортных коммуникаций и наименьших затрат по стоимости и времени пребывания вахтовых работников в пути к месту работы и обратно.
Выбор средств транспорта и времени перевозки должен учитывать возникновение у вахтовых работников транспортной усталости и снижение трудоспособности, а также предусматривать реабилитационное время для преодоления отрицательных воздействий перевозки.
Число рейсов и дней перевозки работников определяется в зависимости от выбранного варианта вахтового цикла и порядка сменяемости вахтовых работников.
Проезд вахтовых работников от постоянного места жительства до вахтового поселка, а также до места работы (объекта) и обратно оплачивает строительная организация.
Компенсация ее затрат на транспортирование работников осуществляется заказчиком по счетам, выставляемым строительной организацией на основе маршрутных листов водителей транспортных средств или других проездных документов.
Используется, как правило, следующий порядок смены состава экспедиции (вахты):
- побригадно - замена осуществляется в составе первичного трудового коллектива - специализированной или комплексной бригады; возможно прекращение работ на период отдыха полного состава коллектива бригады между экспедициями (вахтами) или выполнение работ подменными бригадами на основе скользящего побригадного графика;
- по звеньям - внутри бригады выделяются звенья, работа которых осуществляется по скользящему графику; возможно выделение подменных звеньев на период отдыха бригады.
Смену административно-управленческого и инженерно-технического персонала рекомендуется осуществлять в индивидуальном порядке по графику, обеспечивающему преемственность технического и организационного руководства строительным процессом.
Смена и доставка к месту работы и обратно работников, связанных с обслуживанием и эксплуатацией вахтовых поселков и производственно-складских комплексов, производится по индивидуальному графику, который должен обеспечивать непрерывность обслуживания строительного производства, учет и сохранность материальных ценностей.
Смена вахтовых работников всех категорий и их транспортирование должны осуществляться централизованно и контролироваться диспетчерской службой и руководством строительной организации.
Наилучшие условия для наименьшего снижения производительности труда работника обеспечиваются применением режимов с изменяющейся продолжительностью рабочих смен.
При необходимости отдых между экспедициями (вахтами) может быть сокращен с последующей компенсацией свободным временем в удобный для организации и работников сезон. Разрешается присоединять дни отдыха к очередному отпуску или другим, предусмотренным законом отпускам сверх максимального размера отпуска, установленного законодательством.
Администрация организации, осуществляющей работы экспедиционно-вахтовым методом, по согласованию с комитетом профсоюза устанавливает работникам графики сменности, а также графики предоставления дополнительных дней отдыха за переработанное в учетный период время.
Для инженерно-технических работников устанавливается график, обеспечивающий бесперебойное ведение работ на объекте.
Для руководящих и инженерно-технических работников, периодически выезжающих на объекты для руководства работами и инженерно-технического обслуживания этих объектов, действует режим, установленный для работников, находящихся в служебной командировке.
Для производителей работ и мастеров применяются режимы труда и отдыха, принятые для основного контингента работников экспедиции или вахты.
Режимы труда и отдыха персонала, занятого обслуживанием вахтовых поселков и производственно-складских комплексов, зависят от специфики производства и устанавливаются в каждом конкретном случае особо.
Для обслуживания непрерывного производственного процесса могут устанавливаться круглосуточные сменные режимы труда. Возможно чередование восьми рабочих часов через двенадцать часов отдыха, двенадцати часов работы через двенадцать часов отдыха и другие режимы труда.
5.3 Организация учета труда и отдыха
Организация труда при работе мобильных подразделений должна предусматривать систему мероприятий по рациональному использованию рабочей силы, расстановке рабочих в процессе производства, разделению и кооперации труда, его нормированию и стимулированию, организации рабочих мест и обеспечивать повышение производительности труда рабочих, улучшение качества работ и экономию материалов на основе эффективного использования рабочего времени, средств механизации и материальных ресурсов
[17],
[18],
[29],
[30].
Мероприятия по организации труда рекомендуется акцентировать на:
- разработке режимов труда и отдыха вахтовых работников;
- определении численности вахтовых рабочих и линейных инженерно-технических работников;
- установлении порядка сменяемости вахтовых работников;
- организации учета рабочего времени и времени отдыха вахтовых работников.
Основными документами по учету рабочего времени в вахтовом режиме работы организаций рекомендуются:
- для работников, регулярно выезжающих в экспедиции (на вахты), - табель учета рабочего времени типовой формы и табель учета календарных дней пребывания в экспедиции (на вахте) и в пути
(таблица 5.3);
- для работников, периодически выезжающих для руководства и выполнения работ непосредственно на объекты - маршрутный лист
(таблица 5.4).
Утверждаю:
Руководитель организации
_______________(подпись)
учета календарных дней пребывания в экспедиции (вахте) и в пути
Наименование организации
Наименование объекта
за _________ месяц ________ года
Табельный номер | Фамилия, имя, отчество | Дни месяца |
1 | 2 | 3 | 4 | 5 | 6 | 7 | 8 | 9 | 10 | 11 | 12 | 13 | 14 | 15 | 16 | ... | 31 | Итого |
Производитель работ (мастер) _______________ (подпись)
Условные обозначения:
10 - число фактически отработанных часов в течение рабочего дня;
Д - дни следования в пути;
В - выходные и праздничные дни;
П - дни периодического отдыха;
О - дни отпуска;
Б - дни нетрудоспособности.
Маршрутный лист переездов на объекты строительства
______________________________
Занимаемая должность, ФИО
______________________________
Наименование организации
Пункт назначения (объект, город, село и т.д.) | Цель поездки | Срок поездки | Дата выезда | Отметка о прибытии | Отметка о выбытии |
дата | должность | подпись | дата | должность | подпись |
Подпись выдавшего задание _______________ (подпись)
Подпись исполнителя _____________________ (подпись)
Табель учета рабочего времени на рабочих и линейных инженерно-технических работников ведется лицом, возглавляющим участок работы, и за его подписью ежемесячно предоставляется в бухгалтерию. В табеле указывается число фактически отработанных часов в течение рабочего дня, а также дни периодического отдыха за переработанное время.
Маршрутный лист выдается работникам экспедиционных (вахтовых) подразделений по указанию руководителя. Отметки в маршрутных листах о прибытии и убытии с объекта проставляет работник, уполномоченный на это приказом. Без таких отметок маршрутный лист любого работника организации бухгалтерией к оплате не принимается.
Лицам, выезжающим в командировку на объекты, на которых работы выполняются экспедиционно-вахтовым методом, выдаются командировочные удостоверения в установленном порядке.
На каждого работника, занятого в экспедиционно-вахтовом режиме, сотрудником отдела кадров ведется специальная ведомость режима труда и отдыха
(таблица 5.5), содержащая сведения по месяцам и нарастающим итогом о фактически отработанных календарных днях и часах, установленном размере периодического отдыха (отгулов за переработку) и фактически использованных отгулах.
Ведомость учета баланса времени работников экспедиционных (вахтовых)
строительно-монтажных подразделений
________________________ ____________________ _________________________
Наименование организации Наименование объекта ФИО работника и должность
за _____________ года
Месяц | Фактически отработано календарных дней (ч) | Положено отгулов, календарных дней | Фактически использовано отгулов, календарных дней | Всего фактически отработано с 1.01 нарастающим итогом, календарных дней | Положено отгулов с 1.01 нарастающим итогом, календарных дней | Фактически использовано отгулов с 1.01 нарастающим итогом, календарных дней |
всего | районный коэффициент к заработной плате |
Январь Февраль Март Апрель ............ Декабрь | | | | | | | |
Начальник отдела кадров ___________ (подпись)
Для определения стажа и установления надбавок к заработной плате и дополнительных отпусков на каждого работника следует завести специальную карточку по учету календарного времени пребывания в экспедиции (вахте) (
таблицы 5.6 и
5.7).
Карточка по учету календарного времени пребывания
в экспедиции (вахте)
_____________________________________ ______________________________
Наименование организации ФИО
Месяц | 2019 г. | 2020 г. | 2021 г. | 2022 г. |
Число календарных дней |
за месяц | всего нарастающим итогом | за месяц | всего нарастающим итогом | за месяц | всего нарастающим итогом | за месяц | всего нарастающим итогом |
Январь Февраль ............ ............ Декабрь | | | | | | | | |
Данные о предоставлении надбавок к заработной плате
и дополнительных отпусков за работу в экспедиции (вахте)
____________________________
ФИО
Надбавка к заработной плате, %, за работу на Крайнем Севере и в районах, приравненных к районам Крайнего Севера | Дополнительный отпуск за работу на Крайнем Севере и в районах, приравненных к районам Крайнего Севера | Продолжительность отпуска, дни |
Дата установления надбавки к заработной плате | Размер установленной надбавки | Дата установления дополнительного отпуска | Число дней дополнительного отпуска | За какой период устанавливается | Основной отпуск с учетом стажа и за работу во вредных условиях | Дополнительный отпуск за работу в районах Крайнего Севера и местностях, приравненных к ним | Всего |
Ведение карточек и определение стажа для установления надбавок к заработной плате и дополнительных отпусков возлагается на отдел кадров экспедиционной организации.
Вахтовым работникам, уволившимся до окончания учетного периода, дата увольнения с их согласия может устанавливаться с учетом дней, полагающихся для отдыха (отгула) в связи с работой сверх установленной продолжительности рабочего времени.
За правильность учета календарных дней пребывания работников на объектах строительства личную ответственность несут руководители организаций и начальники отдела кадров.
Таблица 5.8
Режимы труда и отдыха вахтовых работников
при 9-часовой смене и различной продолжительности
вахтовой работы
Дни недели | Продолжительность вахтового цикла |
Недели |
I | II | I | II | III | I | II | III | IV | I | II | III | IV | V | VI |
Понедельник | 9 | О (7) | 9 | 9 | О (7) | 9 | 9 | 9 | О (7) | 9 | 9 | 9 | 9 | О (7) | О (7) |
Вторник | 9 | О (5) | 9 | 9 | О (7) | 9 | 9 | 9 | О (7) | 9 | 9 | 9 | 9 | О (7) | |
Среда | 9 | | 9 | 9 | О (7) | 9 | 9 | 9 | О (7) | 9 | 9 | 9 | 9 | О (7) | |
Четверг | 9 | | 9 | 9 | О (3) | 9 | 9 | 9 | О (7) | 9 | 9 | 9 | 9 | О (7) | |
Пятница | 9 | | 9 | 9 | | 9 | 9 | 9 | О (7) | 9 | 9 | 9 | 9 | О (7) | |
Суббота | 8 | | 8 | 8 | | 8 | 8 | 8 | О (1) | 8 | 8 | 8 | 8 | О (6) | |
Воскресенье | В | | ВВ | В | | ВВ | ВВ | В | | ВВ | ВВ | ВВ | В | | |
Отработано | 53 | 106 | 159 | 212 |
Переработано | 12 | 24 | | 36 | | 48 | | |
Обозначения: "В" - выходной день; "ВВ" - вахтовый выходной день; "О" - день отгула; (...) - дни отгулов. |
Таблица 5.9
Режимы труда и отдыха вахтовых работников
при 10-часовой смене и различной продолжительности
вахтовой работы
Дни недели | Продолжительность вахтового цикла |
Недели |
I | II | I | II | III | I | II | III | IV | V | I | II | III | IV | V | VI |
Понедельник | 10 | О (7) | 10 | 10 | О (7) | 10 | 10 | 10 | О (7) | О (7) | 10 | 10 | 10 | 10 | О (7) | О (7) |
Вторник | 10 | О (7) | 10 | 10 | О (7) | 10 | 10 | 10 | О (7) | О (6) | 10 | 10 | 10 | 10 | О (7) | О (7) |
Среда | 10 | О (4) | 10 | 10 | О (7) | 10 | 10 | 10 | О (7) | | 10 | 10 | 10 | 10 | О (7) | О (7) |
Четверг | 10 | | 10 | 10 | О (7) | 10 | 10 | 10 | О (7) | | 10 | 10 | 10 | 10 | О (7) | О (7) |
Пятница | 10 | | 10 | 10 | О (7) | 10 | 10 | 10 | О (7) | | 10 | 10 | 10 | 10 | О (7) | О (3) |
Суббота | 9 | | 9 | 9 | О (1) | 9 | 9 | 9 | О (6) | | 9 | 9 | 9 | 9 | О (6) | |
Воскресенье | В | | В | ВВ | | ВВ | ВВ | В | | | ВВ | ВВ | ВВ | В | В | |
Отработано | 59 | 118 | 177 | 236 |
Переработано | 18 | 36 | 54 | 72 |
Таблица 5.10
Режимы труда и отдыха вахтовых работников
при 11-часовой смене и различной продолжительности
вахтовой работы
Дни недели | Продолжительность вахтового цикла |
Недели |
I | II | I | II | III | IV | I | II | III | IV | V | I | II | III | IV | V | VI | VII |
Понедельник | 11 | О (7) | 11 | 11 | О (7) | О (7) | 11 | 11 | 11 | О (7) | О (7) | 11 | 11 | 11 | 11 | О (7) | О (7) | О (7) |
Вторник | 11 | О (7) | 11 | 11 | О (7) | | 11 | 11 | 11 | О (7) | О (7) | 11 | 11 | 11 | 11 | О (7) | О (7) | О (7) |
Среда | 11 | О (7) | 11 | 11 | О (7) | | 11 | 11 | 11 | О (7) | О (7) | 11 | 11 | 11 | 11 | О (7) | О (7) | |
Четверг | 11 | О (3) | 11 | 11 | О (7) | | 11 | 11 | 11 | О (7) | О (7) | 11 | 11 | 11 | 11 | О (7) | О (7) | |
Пятница | 11 | | 11 | 11 | О (7) | | 11 | 11 | 11 | О (7) | О (3) | 11 | 11 | 11 | 11 | О (7) | О (7) | |
Суббота | 10 | | 10 | 10 | О (6) | | 10 | 10 | 10 | О (6) | | 10 | 10 | 10 | 10 | О (6) | О (6) | |
Воскресенье | В | | В | ВВ | В | | ВВ | ВВ | В | В | | ВВ | ВВ | ВВ | В | В | В | В |
Отработано | 65 | 130 | 195 | 260 |
Переработано | 24 | 48 | 72 | 99 |
Режимы труда и отдыха вахтовых работников
при 12-часовой смене и различной продолжительности
вахтовой работы
Дни недели | Продолжительность вахтового цикла |
Недели |
I | II | I | II | III | IV | I | II | III | IV | V | VI | I | II | III | IV | V | VI | VII |
Понедельник | 12 | О (7) | 12 | 12 | О (7) | О (7) | 12 | 12 | 12 | О (7) | О (7) | О (8) | 12 | 12 | 12 | 12 | О (7) | О (7) | О (7) |
Вторник | 12 | О (7) | 12 | 12 | О (7) | О (7) | 12 | 12 | 12 | О (7) | О (7) | | 12 | 12 | 12 | 12 | О (7) | О (7) | О (7) |
Среда | 12 | О (7) | 12 | 12 | О (7) | О (5) | 12 | 12 | 12 | О (7) | О (7) | | 12 | 12 | 12 | 12 | О (7) | О (7) | О (7) |
Четверг | 12 | О (7) | 12 | 12 | О (7) | | 12 | 12 | 12 | О (7) | О (7) | | 12 | 12 | 12 | 12 | О (7) | О (7) | О (7) |
Пятница | 12 | О (2) | 12 | 12 | О (7) | | 12 | 12 | 12 | О (7) | О (7) | | 12 | 12 | 12 | 12 | О (7) | О (7) | О (7) |
Суббота | 11 | | 11 | 11 | О (6) | | 11 | 11 | 11 | О (6) | О (6) | | 11 | 11 | 11 | 11 | О (6) | О (6) | О (1) |
Воскресенье | В | | ВВ | В | В | | ВВ | ВВ | ВВ | В | В | | ВВ | ВВ | ВВ | В | В | В | |
Отработано | 71 | 142 | 213 | 284 |
Переработано | 30 | 60 | 90 | 123 |
Рациональные режимы труда и отдыха вахтовых работников
с изменяющейся продолжительностью рабочих смен
Продолжительность вахты, недели | Понедельник | Вторник | Среда | Четверг | Пятница | Суббота | Воскресенье | Количество фактически отработанных часов | Средняя продолжительность смены | Количество переработанных часов | Количество дней |
рабочих | выходных вахтовых | выходных | отгула | вахтового цикла |
1-я | 9 | 10 | 11 | 11 | 9 | 6 | В | 56 | 9,33 | 15 | 6 | - | 1 | 2,14 | 9 - 10 |
10 | 12 | 12 | 12 | 11 | 6 | В | 62 | 10,53 | 21 | 6 | - | 1 | 3 | 10 |
8 | 9 | 10 | 11 | 10 | 6 | ВВ | 108 | 9,00 | 26 | 12 | 1 | 1 | 3,71 | 17 - 18 |
9 | 10 | 11 | 10 | 8 | 6 | В | | | | | | | | |
2-я | 9 | 10 | 12 | 12 | 11 | 6 | ВВ | 119 | 10,00 | 38 | 12 | 1 | 1 | 5,43 | 19 - 20 |
10 | 12 | 12 | 12 | 18 | 6 | В | | | | | | | | |
7 | 8 | 9 | 10 | 9 | 6 | ВВ | | | | | | | | |
9 | 10 | 11 | 11 | 10 | 6 | ВВ | 220 | 9,16 | 56 | 24 | 3 | 1 | 8,00 | 36 |
10 | 11 | 11 | 11 | 10 | 6 | ВВ | | | | | | | | |
4-я | 10 | 11 | 11 | 10 | 7 | 6 | В | | | | | | | | |
7 | 8 | 9 | 10 | 9 | 6 | ВВ | | | | | | | | |
9 | 10 | 12 | 12 | 10 | 6 | ВВ | 226 | 9,4 | 86 | 24 | 3 | 1 | 12,29 | 40 - 41 |
10 | 11 | 12 | 12 | 10 | 6 | ВВ | | | | | | | | |
10 | 12 | 12 | 10 | 7 | 6 | В | | | | | | | | |
Обозначения: "В" - выходной день; "ВВ" - вахтовый выходной день, предоставляемый работникам в вахтовом поселке. |
Рекомендуемые внутрисменные режимы труда и отдыха вахтовых работников при отрицательных температурах приведены на
рисунке 5.3.
А. При продолжительности смены 9 ч
труд средней физической напряженности
труд тяжелой физической напряженности
Б. При продолжительности смены 10 ч труд
средней физической напряженности
труд тяжелой физической напряженности
В. При продолжительности смены 11 ч
труд средней физической напряженности
труд тяжелой физической напряженности
Д. При продолжительности смены 12 ч
труд средней физической напряженности
труд тяжелой физической напряженности
Обозначения: Р-1 - режим при I степени жесткости погоды
и температуре наружного воздуха до минус 25 °C; Р-2 - режим
погоды при II степени жесткости погоды и температуре
наружного воздуха от минус 25 °C до 30 °C; Р-3 - режим
при III степени жесткости погоды и температуре наружного
воздуха от минус 30 °C до 45 °C
Примечание - К труду средней физической напряженности относится выполнение малярных, кровельных, изолировочных, сантехнических работ; тяжелой напряженности - выполнение монтажных, каменных, бетонных, штукатурных работ.
Рисунок 5.3 - Внутрисменные режимы труда и отдыха
вахтовых работников в холодный период года
при различной продолжительности рабочей смены
и физической напряженности труда
Следует учитывать, что организация труда и его учет при мобильных формах принципиально отличается от таких форм, как командировка или сезонная работа. Командировка - выполнение разового поручения вне постоянного места работы со специальным оформлением документов и выплатой суточных расходов с сохранением средней зарплаты, а сезонная работа характеризуется, прежде всего, продолжительностью работ (в зависимости от сезона) и не связывается с необходимостью разрабатывать специальные режимы труда и отдыха
[10]. Поэтому вахтовый и другие методы организации работ регулируются отдельными нормативными актами
[8],
[9],
[12].
6 Пионерное освоение территорий (подготовка и организация пионерного освоения, структура пионерных формирований, социально-бытовое обслуживание работников)
6.1 Подготовка и организация пионерного освоения территорий
Под пионерным освоением территорий строительных площадок понимается осуществление до начала подготовительного периода строительства и финансируемые заказчиком начальные (пионерные) мероприятия по жизнеобеспечению, подготовке строительно-монтажных организаций и подразделений, а также материально-технической базы и проведению подготовки территорий будущих объектов и трасс внеплощадочных коммуникаций.
Пионерное освоение включает предварительную подготовку территорий к будущему строительству и комплекс мероприятий по приемке и развертыванию строительно-монтажных формирований и их материально-технической базы.
Состав работ по предварительной подготовке территорий включает часть работ, относящихся к подготовительному периоду при строительстве объектов в освоенных районах - создание геодезической разбивочной основы, осушение болот, выкорчевка пней и кустарников и др. В зоне вечномерзлых грунтов осуществляются и специальные работы, связанные со стабилизацией грунтов.
Комплекс мероприятий по подготовке жизнеобеспечения включает организационно-хозяйственные и инженерно-технические мероприятия.
Первые предусматривают действия по обеспечению работающих жильем, топливом, водой, питанием, энергией, медицинским обслуживанием, надежно действующим как внутри, так и межрайонными транспортом и связью.
К инженерно-техническим мероприятиям жизнеобеспечения относятся: создание приемочных площадок - "мишеней" для сбрасывания с авиасредств срочных грузов; вертолетных площадок и посадочно-взлетных полос, причальных и швартовых береговых устройств и сооружений, сборка рейдовых плавсредств, складские и сборочные площадки для приема в навигацию из базовых центров людей, машин и механизмов, оборудования, материалов, конструкций, а также сборка мобильных комплексов жилого, коммунально-бытового и общественного назначения, инженерных объектов и агрегатов тепло-, водо-, электроснабжения.
Базовая номенклатура видов работ, выполняемых специализированными мобильными подразделениями:
- вырубка леса, расчистка и планировка территории (на объектах пионерного комплекса);
- плотничные и столярные (монтаж сборных и контейнерных домов (на объектах пионерного комплекса) согласно
ГОСТ 22853,
ГОСТ 25957;
- заполнение дверных и оконных проемов, сборка и установка деревянных конструкций);
- монтаж металлических конструкций;
- устройство монолитных бетонных и железобетонных конструкций, в том числе арматурные работы, устройство инвентарных опалубок (деревянных и металлических), возведение конструкций в скользящей опалубке, укладка бетона; торкретирование; устройство бетонных полов согласно
ГОСТ 27751;
- штукатурные;
- малярные;
- облицовочные (облицовка внутренних стен, укладка плиток в покрытие пола);
- устройство кровель из рулонных материалов, в том числе на битумных мастиках (горячих и холодных);
- устройство полов (дощатых, паркетных, линолеумных и из полихлорвиниловых плиток (ПХВ));
- остекление переплетов (металлических и деревянных);
- гидроизоляционные, в том числе изоляция оклеечная и обмазочная;
- земляные: вертикальная планировка территории; отрывка вертикальных стволов для прокладки штолен; разработка котлованов; траншей; намывка дамб, согласно
СП 22.13330,
СП 45.13330;
- строительство автомобильных дорог из монолитного, сборного железобетона, а также с асфальтовым покрытием по щебеночному основанию;
- горизонтальная проходка (щитовая);
- устройство экранов из пленок при строительстве солеотвалов и шламохранилищ;
- свайные (сваи забивные, буронабивные и др.) согласно
СП 24.13330;
- монтаж сборного железобетона;
- антисептирование и антипирирование древесины и огнезащита металлоконструкций;
- устройство монолитных фундаментов и заглубленных сооружений с использованием метода "стена в грунте";
- силикатизация грунтов.
Подготовка пионерного освоения строительной площадки осуществляется на всех уровнях проектирования, планирования, организации и управления строительством и охватывает организации-заказчики, главные управления по строительству и объединения, в составе которых функционируют мобильные подразделения.
Основные этапы подготовки пионерного освоения строительной площадки сводятся к следующим мероприятиям:
- разработка предложений по организации пионерного освоения, устанавливающих принципы организации работ;
- разработка проектов двухлетних и долгосрочных программ пионерного освоения;
- расчет мощности функционирующих пионерных комплексов (и их отрядов пионерного освоения) и разработка предложений по формированию, при необходимости, новых отрядов (или пионерных комплексов);
- разработка и оптимизация графиков производства пионерных работ в составе проекта организации строительства;
- расчет потребности в трудовых и материально-технических ресурсах;
- разработка программ на весь период производства пионерных работ;
- организация и планирование работы участка развертывания отряда и освоения территории применительно к задачам перебазирования вахтовых формирований работников к новому району деятельности.
В соответствии с утвержденными предложениями по организации пионерного освоения строительных площадок генподрядные и субподрядные строительно-монтажные тресты (объединения) формируют проекты программ пионерного освоения, включающие в себя перечень площадок, принятых к пионерному освоению в течение планового и последующего за ним года с указанием сроков начала и окончания пионерных работ по этим площадкам и с выделением объемов работ, выполняемых по генподряду и собственными силами.
На основе данных о распределении объемов работ по исполнителям, приведенных в предложениях по организации пионерного освоения, генподрядные организации определяют субподрядчиков по строительным площадкам и объектам, оформляют с ними протоколы согласования объемов работ. Одновременно с этим строительным и специальным подразделениям передают согласованные с поставщиками графики поставки требуемых ресурсов.
Распределение объемов работ на пионерных объектах, включенных в программу пионерных комплексов по подведомственным организациям, проводят с учетом требований ритмичного их освоения, исходя из условий наиболее полной и равномерной нагрузки производственной мощности мобильных формирований.
На стадии согласования объемов пионерных работ производственную мощность привлекаемых для их выполнения подразделений пионерного комплекса определяют укрупненным расчетом на основании данных по численности и выработке. Параллельно решаются вопросы формирования новых пионерных подразделений.
На основании предварительных данных по программе пионерного освоения, объемам работ и мероприятий, инфраструктуре и срокам выполнения пионерные комплексы совместно с проектно-технологическими организациями для работ, выполняемых собственными силами, разрабатывают календарные графики производства работ по подразделениям (отрядам пионерного освоения) и сводные календарные графики.
Сводные календарные графики производства работ оптимизируются исходя из условий равномерного и непрерывного использования трудовых и технических ресурсов за счет:
- определения очередности выполнения работ на объектах;
- совмещения выполнения работ во времени;
- изменения интенсивности потребления ресурсов.
Руководители пионерных подразделений (пионерного комплекса и отрядов пионерного освоения) при уточнении календарных графиков согласовывают сроки выполнения отдельных работ и мероприятий, сроки представления фронта работ и другие данные по своим подразделениям.
На основании организационно-технологической документации, разработанной на пионерный комплекс в целом, проводится организация и планирование работ отрядов пионерного освоения. Для каждого отряда пионерного освоения разрабатывают следующие показатели:
- общий объем работ и мероприятий с распределением по осваиваемым площадкам или объектам, предусмотренным программой пионерного освоения с учетом переходящих и задельных площадок и объектов;
- расчетная стоимость работ и мероприятий по каждой площадке и объекту, с учетом переходящих и задельных;
- сроки начала и окончания пионерного освоения строительной площадки (объекта) в целом, а также выполнения комплекса работ и мероприятий, поручаемых данному отряду пионерного освоения;
- показатели, необходимые для организации работ отряда пионерного освоения по методу бригадного подряда;
- режим работы и отдыха рабочих при работе экспедиции и вахты.
С целью своевременного и точного отражения в проектной документации затрат, связанных с экспедиционными, вахтовыми и экспедиционно-вахтовыми формами пионерного освоения и строительства, заказчик совместно с проектными организациями уточняет:
- перечень объектов, пионерную подготовку и сооружение которых намечено проводить мобильными подразделениями;
- рациональные схемы транспортных перемещений экспедиционно-вахтовых работников и передислокации производственных мощностей и мобильной социальной инфраструктуры вахтовых поселков;
- базовые режимы труда и отдыха, в соответствии с видом строительства, районом дислокации объекта, порядком организации производственного процесса.
Одновременно заинтересованные стороны корректируют и уточняют объемы резервов и ресурсов на непредвиденные работы с резервированием дополнительных средств на покрытие убытков строительно-монтажных организаций генерального подрядчика (в первую очередь пионерных комплексов, работающих на основе мобильных форм), вызываемых воздействием сложных экономических и агрессивных природных факторов на строительное производство и производительность труда работников, а также высокими дополнительными затратами средств и материальных ресурсов из-за необходимости периодического перебазирования мобильных формирований на значительные расстояния и маятниковых перевозок работников вахты и экспедиционно-вахтовых подразделений пионерного комплекса и основного периода строительства.
Материально-техническое обеспечение работ и мероприятий пионерного освоения новых строительных площадок должно осуществляться на основе производственно-технологической комплектации объектов освоения с поставкой строительных конструкций, изделий, материалов и оборудования технологическими комплектами в соответствии с графиком производства строительно-монтажных работ.
При планировании и организации комплектных поставок рекомендуется применять унифицированную нормативно-технологическую документацию (УНТД), которая включается в состав проекта производства работ.
Для повышения эффективности комплектации и обеспечения строящихся объектов необходимыми материально-техническими ресурсами целесообразно ввести расчеты за поставленные технологические комплекты в соответствии с графиком производства строительно-монтажных работ.
Поставки материально-технических ресурсов рекомендуется планировать непосредственно на вахтовую бригаду.
Для снижения объемов строительно-монтажных работ и сокращения трудоемкости пионерного освоения новых строительных площадок с применением мобильных форм целесообразно применять комплектно-блочный метод монтажа, позволяющий значительно повышать уровень заводской готовности конструкций, блочно-комплектных устройств и блоков за счет переноса работ со строительной площадки в стационарные условия и способствующий осуществлению трудосберегающих мероприятий в условиях дефицита на обустройство и содержание каждого работника в районах нового освоения.
Для обеспечения сохранности материальных ценностей необходима их передача от одного сменного коллектива другому на основе приемо-сдаточного акта.
В качестве нормативной базы для определения потребности в материально-технических ресурсах следует использовать рабочие чертежи объектов пионерного освоения и подготовки, данные осуществленных этапов инженерных изысканий, типовых проектов производства работ и технологических схем, региональные нормы расхода материалов в капитальном строительстве.
Поставка ресурсов должна предусматриваться в необходимой технологической последовательности, в строгой увязке со сроками производства пионерных работ и мероприятий, с необходимым опережением для ревизии, контрольного монтажа и подготовки оборудования и механизмов к использованию.
Поставка ресурсов должна учитывать особенность транспортных, в том числе навигационных режимов регионов освоения и на коммуникациях, по правилам, предусмотренным на используемых видах транспорта.
Для обеспечения надежности календарных планов пионерного освоения площадок строительства и выполнения пионерных работ и мероприятий запасы материальных ресурсов рассчитываются с учетом установленного календарным планом времени потребления. Размеры запасов должны рассчитываться по действующим методикам норм производственных запасов.
Для обеспечения сохранности материально-технических ресурсов необходимо осуществлять их полную контейнеризацию и пакетирование с учетом использования тары в качестве временных складских емкостей.
Условия и место хранения материальных ресурсов должны назначаться генподрядной строительной организацией. Складские комплексы строительной организации, в том числе отрядов пионерного освоения, должны обеспечивать сохранность материальных ресурсов в размере производственного запаса на соответствующий плановый период с учетом межнавигационных резервов.
На стадии разработки проекта пионерного освоения строительных площадок оформляются следующие документы
[7]:
- по материальным ресурсам: сводная ведомость потребности в материалах, изделиях, конструкциях, оборудовании, арматуре, кабельной продукции и график их поставки; сводный график обеспечения блочными, блочно-комплектными устройствами, технологическими агрегатами, инвентарными зданиями, помещениями, оборудованием;
- по техническим и трудовым ресурсам: сводный график движения рабочих; потребность в машинах, механизмах, приспособлениях и инвентаре; сводный график работы и перебазировки основных строительных машин и механизмов.
В сводной ведомости "потребности" необходимое количество и сроки поставки материальных ресурсов приводятся раздельно по объектам строительства, пионерному комплексу в целом и по отрядам пионерного освоения.
Потребности рассчитывают на основании ведомости объемов работ, их стоимости и трудозатрат, а также данных нормативных документов, проектов производства работ и технологических схем. В сводном графике движения рабочих показывается потребность в рабочих по каждому пункту пионерного освоения. Потребность в машинах, механизмах, приспособлениях и инвентаре определяется по каждому отряду пионерного освоения на основании расчетов, произведенных при установлении структуры пионерного освоения по данным проекта производства работ и технологических схем. Результаты расчета сводятся в табели технического оснащения подразделений отрядов пионерного освоения, которые приводятся в соответствующем разделе пояснительной записки проекта пионерного освоения строительной площадки. Сводный график работы и перебазировки основных строительных машин и механизмов должен содержать данные об их работе, с учетом перерывов для их перебазировки с площадки на площадку.
6.2 Организационная структура пионерного комплекса
Для выполнения работ по освоению территорий создается пионерный комплекс как автономно действующая совокупность трудовых ресурсов с необходимыми мобильными техническими ресурсами.
Организационно пионерный комплекс формируется как специализированный строительно-монтажный трест, состоящий из управлений (отрядов) пионерных работ. Такие отряды функционально состоят из двух подразделений - "Производство" и "Обеспечение", объединяющих, в свою очередь, ряд специализированных участков
(рисунок 6.1).
Рисунок 6.1 - Организационная структура пионерного комплекса
Подразделение "Производство" отряда пионерных работ состоит из трех участков:
- развертывания отряда и освоения территории, в свою очередь, объединяющего четыре рабочие группы:
- пионерного базирования;
- организационно-хозяйственного жизнеобеспечения;
- инженерно-технического жизнеобеспечения;
- лесоинженерных, гидромелиоративных работ и специальной
предварительной инженерной подготовки площадок;
- производства пионерных строительно-монтажных работ, объединяющего четыре рабочие группы:
- геодезической и инженерной подготовки территории;
- строительства транспортных коммуникаций и сооружений;
- возведения инвентарных пионерных элементов жилого поселка и
производственной базы;
- монтажа инвентарных объектов и коммуникаций водо-, энерго- и
теплоснабжения;
- подготовки строительства основных сооружений, объединяющего четыре рабочие группы:
- развертывания жилого и коммунально-бытового комплексов;
- развертывания производственной базы и складского хозяйства;
- подготовки строительно-монтажных работ;
- приемки и размещения трудовых и материальных ресурсов
строительно-монтажных формирований подготовительного и основного периодов
строительства.
Подразделение "Обеспечение" отряда пионерных работ состоит из трех участков:
- водоснабжения и теплоэнергетики;
- транспорта и строительной механизации;
- жилого фонда, складского хозяйства и коммунально-бытового комплекса.
Подразделение "Производство" непосредственно и через производственно-технический отдел подчинено главному инженеру отряда пионерных работ:
- участки водоснабжения и теплоэнергетики, а также транспорта и строительной механизации подразделения "Обеспечение" через отдел главного механика и непосредственно также подчинены главному инженеру;
- участок жилого фонда, складского хозяйства и коммунально-бытового комплекса подразделения "Обеспечение" через коммунально-эксплуатационную часть и непосредственно подчинен начальнику отряда пионерных работ.
Начальник отряда пионерных работ осуществляет контроль всех работ по пионерному освоению площадки строительства, поручаемых конкретному отряду (приемку технической документации, разработку и согласование организационно-технологической документации, уточнение сроков предоставления или открытия фронта работ, разработку режима работы комплексно-специализированных потоков при экспедиционно-вахтовой форме использования трудовых ресурсов).
При необходимости осуществления работ по пионерной подготовке строительной площадки (и далее работ подготовительного и основного периодов строительства) экспедиционными и вахтовыми подразделениями экспедиционный (вахтовый) контингент работников может приниматься на базу-площадку, подготовленную подразделениями участка развертывания отряда и освоения территории и освоенную участком подготовки строительства основных сооружений и участком жилого фонда, складского хозяйства и коммунально-бытового комплекса.
Пионерный комплекс функционирует на основе тыловой базы строительной индустрии - промышленных, в том числе ремонтно-восстановительных предприятий, расположенных в пределах промышленно развитого центра страны или на круглогодично действующей транспортной магистрали, способных самостоятельно или на основе кооперации с аналогичными промышленными предприятиями или комплексами в других районах обеспечивать формирование, развертывание и деятельность мобильных и стационарных строительно-монтажных организаций (и в том числе их пионерных комплексов) в отдаленных неосвоенных районах страны. Неосвоенным считается район (территория), комплекс ресурсов которого исключает возможность их использования в качестве базы начальных (пионерных) этапов развертывания деятельности строительно-монтажных формирований.
Руководство пионерного комплекса и экспедиционных организаций разрабатывает совместно с предприятиями транспортных отраслей план перевозок персонала, включая условия пересадок и отдыха на пути следования работников в вахтовые поселки и обратно, предоставляет соответствующие заявки и заключает договоры с транспортными и коммунальными организациями.
Текущее планирование осуществляет:
- на уровне объединения - производственно-распределительное управление совместно с транспортным подразделением;
- на уровне пионерного комплекса - группа пионерного базирования.
В планах технического развития и повышения эффективности производства пионерных экспедиционных организаций отражается система технических и организационно-хозяйственных мероприятий, транспортного обслуживания, инженерной и социально-бытовой подготовки.
Строительство жилья и объектов социально-бытового обслуживания для работников пионерных экспедиционных организаций и их семей в обжитых районах страны может осуществляться за счет капиталовложений, выделяемых целевым назначением для жилищно-гражданского строительства в районах, где ведут работы эти организации. При этом порядок строительства и права пионерных экспедиционных организаций по распределению жилого фонда устанавливаются по согласованию с местными административными органами.
6.3 Жилищно-коммунальное и социально-бытовое обслуживание
Жилищно-коммунальное и социально-бытовое обслуживание экспедиции или вахты включает:
- планирование потребности и размещение заказов на изготовление, комплектацию и дооборудование на собственной ремонтно-технической базе вагонов-домов, сборно-разборных зданий, секций и других жилых, бытовых и административных подвижных модулей;
- проектирование с привлечением архитектурно-проектных организаций поселков для временного проживания и схемы из размещения на объектах строительного освоения согласно
СП 246.1325800;
- организацию транспортирования подвижных модулей на объекты;
- монтаж административных подвижных модулей и установку вагонов-домов в поселках, демонтаж поселков по завершении работ;
- осуществление кооперации и взаимодействия с прочими участниками строительного освоения или собственно строительства по оборудованию и эксплуатации поселков;
- организацию тепло-, энерго- и водоснабжения поселков;
- обеспечение совместно с органами территориального рабочего снабжения питания и торгового обслуживания работников;
- организацию медицинского и санитарно-гигиенического обслуживания;
- обеспечение охраны окружающей среды.
Вахтовые поселки для временного проживания рассматриваются как населенные пункты особого вида с комплексом жилых, культурных, санитарных и хозяйственных, инвентарных зданий и сооружений, предназначенных для обеспечения условий жизнедеятельности работников мобильных организаций
[20],
[24].
Создаются три типа вахтовых поселков:
- полустационарные размещаемые преимущественно вблизи места осваиваемых площадок; часть зданий и сооружений такого поселка не подлежит демонтажу и используется как постоянные здания для проживания работников подготовительного и основного периодов строительства и для эксплуатационного персонала в первый период пусконаладочных работ на строящемся объекте;
- мобильные, перемещаемые в районе освоения и строительства или за его пределы один раз в 6 - 12 месяцев;
- высокомобильные, перемещаемые по мере изменения фронта работ один раз в 2 - 3 недели.
Вахтовые поселки
(рисунок 6.2) создаются генеральным подрядчиком для жизнеобеспечения работников своей организации, субподрядных и обслуживающих организаций (транспортных, отделов рабочего снабжения, медсанчастей и др.) согласно
СП 44.13330.
1 - спальный блок на 12 человек; 2 - блок обслуживания
(курительная, чистка одежды и обуви, сушилка, кладовая);
3 - санитарно-технический блок с комнатой бытового
обслуживания; 4 - блок основного входа с вестибюлем
и гардеробом; 5 - соединительный блок с зоной отдыха;
6 - столовая на 50 человек с обеденным залом на 30 мест
и технологическими помещениями;
7 - коммунально-хозяйственный блок (баня прачечная,
парикмахерская и электрощитовая)
Рисунок 6.2 - Мобильный жилой комплекс на 48 человек
Порядок обслуживания работников субподрядной организации при их проживании в вахтовом поселке, а также возмещения затрат регулируется договором субподряда.
Вне района деятельности генподрядной организации субподрядные экспедиционные организации создают собственные поселки.
Место и сроки организации вахтовых поселков определяются проектом организации строительства.
Состав вахтового поселка и площади его зданий и помещений определяются из расчета необходимой численности рабочих, инженерно-технических работников и обслуживающего персонала, единовременно проживающих в поселке, с добавлением к ней 5% численности внештатных работников - временных, прикомандированных, практикантов и др.
В проект вахтового поселка включаются план размещения, состав зданий и сооружений, электро-, водо- и теплоснабжение, связь, схема подъездных дорог согласно
СП 4.13130. Кроме того, обосновываются способы доставки рабочих и служащих, комплекс вопросов по организации питания, медицинского обслуживания, отдыха и т.д.
Работники, занятые на вахтах и проживающие в вахтовом поселке, обеспечиваются трехразовым горячим питанием.
Дополнительное усиленное, на льготных условиях, питание вахтовых работников при увеличенном сверх 8 ч рабочем времени вахты организуется за счет фонда социально-культурных мероприятий и жилищного строительства. Размещение и оснащение объектов общественного питания согласовывается с территориальной санэпидемслужбой.
Порядок медицинского обслуживания проживающих в вахтовом поселке, комплектование медперсонала, обеспечение медикаментами, эвакуации заболевших устанавливаются администрацией строительной организации совместно с органами здравоохранения.
Готовность вахтового поселка к передаче его в эксплуатацию определяется комиссией, в состав которой включаются представители: администрации строительной организации, комитета профсоюза, предприятия торговли и общественного питания, санитарной и пожарной служб.
Акт комиссии о приемке вахтового поселка в эксплуатацию составляется по установленной форме и утверждается руководителем строительной организации.
Эксплуатация вахтового поселка ведется участком жилого фонда подразделения "Обеспечение".
Для руководства работ по эксплуатации вахтового поселка назначается его заведующий.
Штат вахтового поселка, обязанности и взаимоотношения обслуживающего персонала устанавливает руководитель пионерного отряда или экспедиционной организации.
Постоянное проживание в вахтовом поселке неработающих членов семьи экспедиционного персонала не предусматривается.
Вахтовые поселки, как правило, комплектуются из мобильных (инвентарных) зданий контейнерного и сборно-разборного типов согласно
ГОСТ 22853,
ГОСТ 25957.
На стадии составления проекта организации строительства (ПОС) определяется номенклатура применяемых мобильных зданий, их расчетная площадь и количество с указанием принятых проектов, оптовой цены и годовых эксплуатационных затрат.
На стадии составления проекта производства работ (ППР) разрабатываются перечень применяемых мобильных зданий и их привязка к участкам строительной площадки.
Вид и номенклатуру мобильных зданий, необходимых для выполнения строительно-монтажных работ (СМР), определяют с учетом технологической специфики работ (участие рабочих различных специальностей; состав строительных машин, средств спецавтотранспорта и др.) и используемых строительных конструкций, изделий, деталей, полуфабрикатов, материалов и оборудования.
Расчет потребных площадей и мощности мобильных зданий различных видов и разновидностей проводится на основании существующей системы нормативов. Для проведения таких расчетов используются показатели потребности в площадях мобильных зданий различного вида и разновидности (функционального назначения) на одного работника, одну строительную машину или средство спецавтотранспорта, а также показатели периодичности выполнения технических обслуживаний и ремонтов строительных машин и средств спецавтотранспорта, нормы запаса и складирования материально-технических ресурсов. При расчетах используются также фактические и расчетные данные конкретного ПОС и ППР (численность работающих по видам работ, структурный состав работающих, нормативный запас материально-технических ресурсов, количество технических обслуживаний и ремонтов строительных машин и средств спецавтотранспорта и др.).
Потребная площадь жилых зданий И1, м2, рассчитывается по формуле
И1 = Ч·S1, (6.1)
где Ч - общая численность работников, занятых на выполнении СМР и в подсобных производствах, чел.;
S1 - норматив потребности в площадях жилых зданий для размещения одного работника, м2/чел.
Численность работников на стадии составления ПОС определяется по периодам строительства через объемы СМР в расчетных периодах строительства (определяется по ведомости объемов строительных, монтажных и специальных работ), среднегодовую выработку на одного работника, занятого на СМР и в подсобных производствах (определяется из плана по труду), расчетную продолжительность периодов строительства объекта.
При составлении ППР численность работников определяется аналогично, но для конкретных объектов с использованием данных соответствующего графика производства работ.
Потребность в мобильных зданиях, м2, для базовых жилых поселков строителей рассчитывается, исходя из общей численности проживающих в них

(6.2)
где

- удельный вес семейных в общем числе работающих;

- удельный вес одиночек в общем числе работающих;
Kс - коэффициент семейности.
На стадии ПОС, при отсутствии других данных, удельный вес одиночек и семейных в общем числе работающих для поселков на 150 жителей принимается равным соответственно 0,9 и 0,1; для поселков на 150 - 1000 жителей - 0,5 и 0,5; для поселков на 1 - 10 тыс. жителей - 0,3 и 0,7. При этом коэффициент семейности для подготовительного периода строительства принимается равным 1,0 - 1,2, для основного периода - равным 2,2.
Жилая площадь на одного человека устанавливается в соответствии с принятыми в отрасли или регионе нормативами на семейных и одиночек. При их отсутствии рекомендуется определять норму жилой площади из расчета 6 м2 на одного человека, при этом допускается принимать норму, равную 4,5 м2 для мобильных зданий контейнерного типа при эксплуатации жилых поселков строителей на одном месте не более 3 - 6 мес или вахтовом методе производства работ.
Потребная площадь мобильных зданий общественного назначения И2, м2, для жилых поселков строителей (медпункты, магазины, столовые, комбинаты бытового обслуживания, бани, прачечные, клубы и др.) определяют с учетом численности семей работающих

(6.3)

(6.4)
где S2n - нормативы потребности в площадях общественных зданий n-й разновидности, м2/чел.
Потребную площадь мобильных зданий вспомогательного назначения определяют как для объектов, используемых при обустройстве всех строительных площадок независимо от специфики строительного производства (конторы прорабов и мастеров, гардеробные, уборные и др.), так и для зданий специального назначения (душевые, здания для кратковременного отдыха, обогрева и сушки одежды рабочих и др.), состав которых формируется в зависимости от особенностей технологических процессов и организации санитарно-бытового обслуживания работников.
Расчет потребных площадей мобильных зданий, м2, вспомогательного назначения И3 производят по формуле

(6.5)
где Чn - численность работников, нуждающихся в использовании n-й разновидности зданий вспомогательного назначения, чел.;
S3n - норматив потребности в площадях зданий вспомогательного назначения n-й разновидности, м2/чел.
Способ расчета Ч
n при определении площадей зданий различного назначения, а также соответствующие значения нормативов приведены в
таблице 6.1.
Таблица 6.1
Нормативы потребности в площадях зданий
вспомогательного назначения различных разновидностей
в расчете на одного работника
Номенклатура (разновидность зданий) | Норматив потребности в расчете на одного работающего, м2/чел. | Принцип расчета числа работающих |
Конторы | 4,0 | На общее число ИТР, служащих, охраны (в наиболее многочисленную смену - 80% их общего количества) |
Здания для проведения занятий и культурно-массовых мероприятий | 0,55 | На число работающих в наиболее многочисленную смену (до 75% их общего количества) |
Здания для кратковременного отдыха, обогрева и сушки одежды | 0,7 | То же |
Гардеробные | 0,9 | На общее число рабочих, включая учеников и практикантов (до 15% рабочих) |
То же, с умывальником, сушилкой и помещением для кратковременного отдыха | 1,2 | То же |
Душевые с преддушевой | 0,5 | На число рабочих в наиболее многочисленную смену (до 70% их общего количества) |
Уборные (с комнатой для личной гигиены женщин) | 0,1 (0,2) | 30% и 70% числа работающих в наиболее многочисленную смену, соответственно женщин и мужчин |
Столовые | 0,80 | На число работающих в наиболее многочисленную смену |
Медпункты | 0,09 | То же |
Для приближенных расчетов следует использовать следующую формулу

(6.6)
где

- коэффициент сменности;
S3 - суммарный норматив потребности, м2/чел., определяют по формуле

(6.7)
Потребную площадь складов И4, м2, определяют по формуле

(6.8)
где Qм - количество материально-технических ресурсов, потребное для выполнения заданного объема СМР, кг, м3 и т.п.;
З - нормы запаса материально-технических ресурсов по их видам, дн.;
S4 - полезная площадь складов, необходимая для размещения единицы ресурсов, м2/кг и т.д.;
L1 - коэффициент неравномерности поступления материально-технических ресурсов на склад (1,2 - 1,5);
L2 - коэффициент неравномерности отпуска материально-технических ресурсов со склада (1,1 - 1,2);
V - продолжительность выполнения заданного объема СМР, связанного с расходованием данного вида материально-технического ресурса, дн.
На стадии составления ПОС нормативные и расчетные показатели для расчета площадей мобильных зданий складского назначения определяют следующим образом.
Количество материально-технических ресурсов Q, потребное для выполнения заданного объема СМР, рассчитывают по ведомости объемов строительных, монтажных и специальных работ по отдельным объектам, пусковым комплексам и периодам строительства.
Продолжительность выполнения заданного объема СМР
V, связанного с расходованием конкретного вида ресурса, принимают равной кварталу, поскольку односменный расход материалов

определяется, как правило, по данным сводных смет.
Нормы запасов материально-технических ресурсов З определяют на основании графиков потребности в строительных конструкциях, изделиях, деталях, полуфабрикатах, материалах и оборудовании, в соответствии с которыми устанавливают сроки поставки этих ресурсов по объектам и периодам их строительства.
На стадии составления ППР указанные показатели уточняются и дифференцируются по видам СМР и расчетным периодам строительства на основе графика производства работ и графика поступления на объект (здание, сооружение) строительных конструкций, деталей, полуфабрикатов, материалов и оборудования.
Потребную площадь мобильных зданий производственного назначения необходимо определять раздельно для каждой их разновидности в привязке к периодам строительства и видам СМР, которые они обслуживают.
Потребность в инструментальных, электротехнических, сантехнических, столярно-плотничных мастерских; бетонорастворосмесительных и асфальтобетонных установках; малярных и штукатурных станциях определяют по отношению необходимого объема работ соответствующей мастерской, станции или установки в натуральных измерителях в расчетный период к эксплуатационной производительности этих мобильных объектов.
Потребную общую площадь мастерских и станций (профилакториев) технического обслуживания (ТО) и ремонта строительных машин и средств спецавтотранспорта

, м
2, следует определять по формуле

(6.9)
где G - трудоемкость работ по ТО и ремонту средств механизации строительства, маш.-дн.;

- фонд рабочего времени мастерской или станции на расчетные периоды строительства, дни;

- коэффициент использования оборудования;

- потребная площадь для размещения одной строительной машины или средств спецавтотранспорта, м
2/маш.
Трудоемкость работ G, маш.-дн., по ТО и ремонту средств механизации строительства определяют по каждому типу строительных машин и средств спецавтотранспорта по формуле
G = Мnторgтор, (6.10)
где М - потребное количество строительных машин и средств спецавтотранспорта, шт.;
nтор - количество ТО и ремонтов строительных машин и средств спецавтотранспорта на расчетный период, шт.;
gтор - трудоемкость выполнения одного технического обслуживания или ремонта, маш.-дн.
Значение показателя М на стадии составления ПОС принимают по графику потребности в основных строительных машинах, а на стадии составления ППР - по графику потребности в основных строительных машинах по объекту (зданию, сооружению), исходя из объемов механизированных работ и среднечасовой эксплуатационной производительности машин-представителей.
Число ТО и ремонтов (nтор) определяют для каждой группы строительных машин и средств спецавтотранспорта по формуле
nтор = nкр + nто2 + nто1, (6.11)
где nкр - число капитальных ремонтов;
nто2 - число вторых технических обслуживаний ТО-2;
nто1 - число первых технических обслуживаний ТО-1.
Показатели nкр, nто1, nто2 рассчитывают по следующим формулам:

(6.12)

(6.13)

(6.14)
где B - планируемая наработка (пробег) каждой группы машин-представителей, маш.-ч или км;
Bкр, B2, B1 - нормативная наработка (пробег) каждой группы машин-представителей соответственно до капитального ремонта, ТО-2, ТО-1, маш.-ч или км.
Количество передвижных мастерских для ТО и ремонта строительных машин на местах их эксплуатации следует определять исходя из трудоемкости работ по ТО или ремонту строительных машин, приходящейся на передвижные мастерские, и возможностей этих мастерских.
Потребное количество мобильных зданий, сооружений и установок производственного назначения, служащих для инженерного обеспечения, определяют при составлении рабочих схем временного электро-, водо-, теплоснабжения и размещения сетей канализации. В зависимости от разновидностей это количество устанавливают в следующей последовательности: выявление и группировка потребителей электричества, воды и пара; расчет электрических нагрузок, потребности в воде и паре; выбор источников снабжения и определение их количества.
После определения требуемой электрической нагрузки для обеспечения строительной площадки, мобильного жилого поселка и т.д. выбирают источники электроснабжения и рассчитывают потребное их количество из отношения показателя расчетной электрической нагрузки к мощности каждой из установок. При этом учитывают распределение потребности в энергии по времени, территориальному размещению потребителей и возможности обеспечения нужд строителей за счет постоянных источников.
Расчетное количество устройств и установок электроснабжения уточняют на стадии ППР после определения суммарной потребности в электроэнергии на строительной площадке, в жилом поселке строителей и др.
Потребное количество воды рассчитывают из условия обеспечения производственных, хозяйственно-бытовых и противопожарных нужд строительства, мобильных жилых поселков строителей и т.д.
Расчет потребности в воде на стадии составления ПОС выполняют по периодам строительства (или этапам работ) на время максимального потребления. Потребность в воде определяют раздельно для строительной площадки, жилого поселка, производственной бани и др. как суммарную потребность на производственные, хозяйственно-бытовые и противопожарные нужды.
Выбор установок каптажа родников, водозабора из поверхностных источников, очистки воды и др. и обоснование их количества обуславливается местными топографическими, санитарными, гидрогеологическими и другими природными условиями, требованиями потребителей и показателями мощностей соответствующих установок и станций.
Потребность в тепле рассчитывают для нужд мобильного жилого поселка строителей, бытового городка (отопление, вентиляция и горячее водоснабжение), а также для обеспечения выполнения отдельных видов СМР (прогрев бетона, оттаивание грунта, разогрев заполнителей и т.п.) и сушки строящихся объектов. Расчет общей потребности в тепле следует проводить дифференцированно по группам потребителей, исходя из максимального часового расхода в отопительный период и среднего расхода в остальное время года.
Потребное количество котельных, котлов и электробойлерных по их разновидностям рассчитывают, исходя из показателя общей потребности в тепле, часовой эксплуатационной производительности этих установок и устройств и коэффициента их использования.
Вид, состав и число очистных сооружений назначаются в зависимости от характеристики и количества поступающих на очистку сточных вод, требуемой степени их очистки, метода использования осадка, местных условий, часовой эксплуатационной производительности этих установок и коэффициента их использования.
Таким образом, для определения потребного количества мобильных зданий и сооружений инженерного обеспечения необходимо сначала рассчитать их мощность, а затем, исходя из данных проектов мобильных зданий той или иной разновидности, установить их количество и площадь.
6.4 Состав и содержание организационно-технологической документации
Состав и содержание документов проекта организации строительства на объекты, возводимые мобильными подразделениями, разрабатывается в соответствии с
[7].
В состав проекта организации строительства, как правило, включаются:
- календарный план строительства, в котором определяются сроки и очередность строительства зданий, сооружений, узлов с распределением по ним капитальных вложений и объемов строительно-монтажных работ по кварталам, годам с выделением работ подготовительного периода строительства;
- строительные генеральные планы для подготовительного и основного периода строительства с указанием на нем существующих, подлежащих сносу, проектируемых зданий и сооружений; мест расположения временных зданий и сооружений; постоянных и временных дорог, путей перемещения кранов, действующих, проектируемых, временных инженерных сетей и мест их подключения к источникам обеспечения строительной площадки электроэнергией, водой, теплом, паром, связью; складских площадок; мест расположения геодезических знаков и привязанных к ним разбивочных осей зданий, сооружений;
- организационно-технологические схемы возведения основных зданий и сооружений с указанием основных строительных машин и схемой технологической последовательности работ;
- ведомости потребности в материалах, сборных конструкциях, оборудовании с распределением по календарным периодам строительства;
- ведомость потребности в основных строительных машинах и транспортных средствах, объемов грузоперевозок;
- график потребности в рабочих по предприятиям - исполнителям работ;
- график режима труда и отдыха работников;
- график сменяемости работников;
- пояснительная записка, содержащая: решения, учитывающие особые условия строительства и связанные с этим дополнительные затраты; мероприятия по охране труда и окружающей природной среды; вид транспорта для перевозки работников; потребная мощность и состав вахтового (базового) поселка;
- технико-экономические показатели: продолжительность строительства основного и подготовительного периодов, максимальная численность работающих, общая трудоемкость.
При этом следует иметь в виду, что в сметной документации должны учитываться:
- доплаты работникам за проработанное время в связи с введением его суммированного учета и за вахтовый метод работы;
- затраты на приобретение или оплату транспортных средств для перевозки работников от постоянного места жительства к строящимся объектам и обратно;
- затраты на создание и содержание вахтовых (базовых) поселков.
В процессе разработки документов ПОС рекомендуется использовать апробированные в отечественной строительной практике прогрессивные решения, в том числе:
- технологическую специализацию при выполнении строительно-монтажных работ своими силами, позволяющую более эффективно использовать основные фонды;
- принятие в договорах подряда на себя разработку рабочей документации на строительно-монтажные работы, выполняемые своими силами, а также проектов организации строительства и производства работ, обеспечивающих увязку конструктивных и технологических решений, учет реальных возможностей строительного предприятия применительно к строящемуся объекту;
- материально-техническое обеспечение на основе производственно-технологической комплектации, при которой поставка сборных строительных конструкций, деталей и инженерного оборудования производится в строгой увязке с технологией и сроками производства строительно-монтажных работ;
- выполнение строительно-монтажных работ поточным методом с обеспечением их технологической последовательности и технически обоснованного совмещения;
- узловой метод управления проектированием и строительством крупных промышленных комплексов, предусматривающий возможность на основе выявления функциональных и временных зависимостей в составе пускового комплекса выделять конструктивно и технологически обособленные узлы для организации целенаправленного производства работ и достижения в возможно короткие сроки их технической готовности, необходимой для автономного опробования и наладки отдельных технологических линий и установок;
- систему планирования и осуществления строительно-монтажных работ по недельно-суточным графикам и диспетчерского контроля их выполнения, обеспечивающую рациональное использование материально-технических, трудовых ресурсов и своевременное принятие решений по управлению строительным производством;
- внутрипроизводственную систему управления качеством на основе взаимоувязанных стандартов предприятия по осуществлению входного, пооперационного и приемочного контроля, стимулирования и ответственности за качество работы.
Для сложных объектов рекомендуется дополнительно разрабатывать:
- комплексный укрупненный сетевой график, отражающий взаимосвязи между всеми участниками строительства, в котором определены продолжительность основных этапов подготовки рабочей документации и строительства объекта, состав и сроки выполнения работ подготовительного периода, очередность строительства отдельных зданий и сооружений в составе пускового или градостроительного комплекса, сроки поставки технологического оборудования;
- указания об очередности и сроках проведения необходимых исследовательских работ, испытаний и режимных наблюдений для обеспечения качества и надежности возводимых конструкций, зданий и сооружений;
- указания об особенностях построения геодезической разбивочной основы и методах геодезического контроля в процессе строительства, а также иного инструментального контроля качества и надежности возводимых конструкций, зданий и сооружений;
- особенности организации связи и оперативно-диспетчерского управления строительством.
Состав и содержание ПОС может дополняться с учетом специфики проектируемых объектов. Так, например, рекомендуется при строительстве магистральных линейных сооружений общей сети (магистральных железных и автомобильных дорог, магистральных нефте- и газопроводов, линий связи и электропередачи и т.п.) дополнительно в составе проекта организации строительства необходимо:
- приводить объемы и трудоемкость основных строительно-монтажных работ по участкам трассы;
- указывать места обхода или преодоления специальными средствами естественных препятствий и преград, переправ на реках;
- приводить перечень привлекаемых мобильных строительных организаций с характеристикой их производственной мощности и оснащения;
- определять размещение баз материально-технического снабжения, производственных предприятий и объектов энергетического обеспечения, обслуживающих строительство на отдельных участках трассы, а также жилых поселков для строителей;
- отражать транспортную схему доставки материально-технических ресурсов с расположением станций и пристаней разгрузки, промежуточных складов и временных подъездных дорог, в том числе временной дороги вдоль трассы сооружения;
- предусматривать решения по возможному использованию отдельных участков вновь строящихся железных и автомобильных дорог, линий связи и электропередачи для нужд строительства;
- устанавливать в зависимости от территориального размещения строительных организаций распределение их мобильных подразделений по участкам трассы в увязке с графиком работ.
В то же время при строительстве объектов в северной климатической зоне должен учитываться целый ряд физических, географических и экономических факторов:
- продолжительность периодов времени года с низкими температурами воздуха, сильными ветрами и снежными заносами, а также малой естественной освещенностью территории;
- вечномерзлые грунты;
- отдаленность объектов строительства от промышленно развитых центров и баз централизованного материально-технического снабжения;
- зависимость доставки материально-технических ресурсов от навигационных (сезонных) режимов на внутренних водных путях и морских каботажных линиях;
- ограниченность местных источников энергии
[4];
- необходимость применения специальных видов транспорта;
- повышенную подверженность экологических систем воздействию хозяйственной деятельности и их трудную восстанавливаемость, а также необходимость ликвидации отходов, не утилизируемых в производстве, утилизации элементов, содержащихся в сточных водах и выбросах в атмосферу, их очистки, обеззараживания и улавливания
[6];
- сложность организации строительной площадки в заболоченных и подтопляемых районах;
- сложность организации санитарно-бытового обеспечения работников.
ПОС - обязательный документ для заказчика, подрядных организаций, а также организаций, осуществляющих финансирование и материально-техническое обеспечение строительства и должен разрабатываться генеральной проектной организацией или по ее заказу другой проектной организацией.
Исходные материалы для разработки проекта организации строительства:
- технико-экономические обоснования строительства или расчеты, обосновывающие хозяйственную необходимость и экономическую целесообразность строительства конкретного объекта, и задание на его проектирование;
- материалы инженерных изысканий (при реконструкции объектов - материалы их предпроектного технического обследования) и данные режимных наблюдений на территориях, подверженных неблагоприятным природным явлениям и геологическим процессам;
- рекомендованные генеральной подрядной и субподрядной организациями решения по применению материалов и конструкций, средств механизации строительно-монтажных работ, порядку обеспечения строительства энергетическими ресурсами, водой, временными инженерными сетями, а также местными строительными материалами;
- сведения об условиях поставки и транспортирования с предприятий - поставщиков строительных конструкций, готовых изделий, материалов и оборудования;
- специальные требования к строительству сложных и уникальных объектов;
- сведения об условиях производства строительно-монтажных работ на реконструируемых объектах;
- объемно-планировочные и конструктивные решения зданий и сооружений и принципиальные технологические схемы основного производства объекта (его очереди), подлежащего строительству, с разбивкой на пусковые комплексы и узлы;
- сведения об условиях обеспечения кадрами строителей;
- сведения об условиях обеспечения строительства транспортом, в том числе для доставки строителей от места проживания к месту работы;
- данные о дислокации и мощностях общестроительных и специализированных организаций и условиях их перебазирования;
- данные о наличии производственной базы строительной индустрии и возможностях ее использования;
- сведения об условиях обеспечения строителей питанием, жилыми и культурно-бытовыми помещениями;
- мероприятия по защите территории строительства от неблагоприятных природных явлений и геологических процессов и этапность их выполнения;
- сведения об условиях строительства, предусмотренных контрактами с иностранными фирмами.
Проекты производства работ разрабатываются на строительство здания или сооружения в целом, на возведение его отдельных частей (подземная часть, надземная часть, секция, этаж, ярус, пролет и т.п.), на выполнение отдельных технически сложных строительных, монтажных и специальных строительных работ, а также работ подготовительного периода в соответствии с
СП 48.13330.
В состав ППР на возведение здания, сооружения или его части (узла) включаются:
- календарный план производства работ по объекту или комплексный сетевой график, в которых устанавливаются последовательность и сроки выполнения работ с максимально возможным их совмещением;
- строительный генеральный план с указанием: границ строительной площадки и видов ее ограждений, действующих и временных подземных, наземных и воздушных сетей и коммуникаций, постоянных и временных дорог, схем движения средств транспорта и механизмов, мест установки строительных и грузоподъемных машин, путей их перемещения и зон действия, размещения постоянных, строящихся и временных зданий и сооружений, мест расположения знаков геодезической разбивочной основы, опасных зон, путей и средств подъема работающих на рабочие ярусы (этажи), а также проходов в здания и сооружения, размещения источников и средств энергообеспечения и освещения строительной площадки, расположения заземляющих контуров, мест расположения устройств для удаления строительного мусора, площадок и помещений складирования материалов и конструкций, площадок укрупнительной сборки конструкций, расположения помещений для санитарно-бытового обслуживания строителей, питьевых установок и мест отдыха, а также зон выполнения работ повышенной опасности. На просадочных грунтах водоразборные пункты, временные сооружения и механизированные установки с применением мокрых процессов должны размещаться на строительной площадке с низовой по рельефу местности стороны от зданий и сооружений, а площадки вокруг них должны быть спланированы с организованным быстрым отводом воды;
- графики поступления на объект строительных конструкций, изделий, материалов и оборудования с данными о поступлении этих ресурсов по каждой подрядной бригаде и с приложением комплектовочных ведомостей (при наличии службы производственно-технологической комплектации - унифицированной документации по технологической комплектации), а в случае строительства комплектно-блочным методом - графики комплектной поставки блоков;
- графики движения рабочих кадров и основных строительных машин по объекту.
Графики движения основных строительных машин следует разрабатывать с учетом своевременного выполнения каждой бригадой поручаемого ей комплекса работ:
- технологические карты (схемы) (с использованием соответствующей типовой документации) на выполнение отдельных видов работ с включением схем операционного контроля качества, описанием методов производства работ, указанием трудозатрат и потребности в материалах, машинах, оснастке, приспособлениях и средствах защиты работающих, а также последовательности демонтажных работ при реконструкции предприятий, зданий и сооружений;
- решения по производству геодезических работ, включающие схемы размещения знаков для выполнения геодезических построений и измерений, а также указания о необходимой точности и технических средствах геодезического контроля выполнения строительно-монтажных работ;
- решения по технике безопасности;
- мероприятия по выполнению работ вахтовым методом, включающие графики работы, режимы труда и отдыха и составы технологических комплектов оснащения бригад;
- решения по прокладке временных сетей водо-, тепло- и энергоснабжения и освещения (в том числе аварийного) строительной площадки и рабочих мест с разработкой, при необходимости, рабочих чертежей подводки сетей от источников питания;
- перечни технологического инвентаря и монтажной оснастки, а также схемы строповки грузов;
- пояснительная записка, содержащая:
- обоснование решения по производству работ, в том числе выполняемых в зимнее время;
- потребность в энергетических ресурсах и решения по ее покрытию;
- перечень мобильных (инвентарных) зданий и сооружений и устройств с расчетом потребности и обоснованием условий привязки их к участкам строительной площадки;
- мероприятия, направленные на обеспечение сохранности и исключения хищения материалов, изделий, конструкций и оборудования на строительной площадке, в зданиях и сооружениях;
- мероприятия по защите действующих зданий и сооружений от повреждений, а также природоохранные мероприятия;
- технико-экономические показатели, включая объемы и продолжительность выполнения строительно-монтажных работ, а также их себестоимость в сопоставлении со сметной, уровень механизации и затраты труда на 1 м3 объема, 1 м2 площадки здания, на единицу физических объемов работ или иной показатель, принятый для определения производительности труда.
ППР на выполнение отдельных видов работ (монтажных, санитарно-технических, отделочных, геодезических и т.п.) должен состоять из календарного плана производства работ по виду работ, строительного генерального плана, технологической карты производства работ с приложением схемы операционного контроля качества, данных о потребности в основных материалах, конструкциях и изделиях, а также используемых машинах, приспособлениях и оснастке и краткой пояснительной записки с необходимыми обоснованиями и технико-экономическими показателями, кроме того, в состав проекта производства геодезических работ следует дополнительно включать: указания о точности и методах производства геодезических работ при создании разбивочной сети здания, сооружения и детальных разбивках, схемы расположения пунктов разбивочной сети, монтажных рисок, маяков и способы их закрепления, конструкции геодезических знаков, а также перечень исполнительной геодезической документации.
ППР на подготовительный период строительства должен включать:
- календарный план производства работ по объекту;
- строительный генеральный план с указанием на нем мест расположения временных, в том числе мобильных (инвентарных) зданий, сооружений и устройств, вне- и внутриплощадочных сетей с подводкой их к местам подключения и потребления, а также постоянных объектов, возводимых в подготовительный период для нужд строительства, с выделением работ, выполняемых по ним в подготовительный период;
- технологические карты;
- графики движения рабочих кадров и основных строительных машин;
- график поступления на строительство необходимых на этот период строительных конструкций, изделий, основных материалов и оборудования;
- схемы размещения знаков для выполнения геодезических построений, измерений, а также указания о необходимой точности и технических средствах геодезического контроля;
- пояснительную записку.
Запрещается осуществление строительно-монтажных работ без утвержденного ПОС. Не допускаются отступления от решений проекта организации строительства без согласования с организациями, разработавшими и утвердившими его.
Технологические карты (ТК) разрабатываются для обеспечения строительства рациональными решениями по технологии, организации и механизации отдельных видов работ в целях реализации конкретных строительных технологий при соблюдении требований качества, безопасности производства работ и эксплуатации, охраны окружающей среды и пожарной безопасности
[3],
[5],
[6].
Технологические карты используются в составе проектов производства работ: на возведение здания, сооружения или его части (узла); на выполнение отдельных видов работ (монтажных, санитарно-технических, отделочных, геодезических и т.п.); на подготовительный период строительства и при разработке ПОС и другой организационно-технологической документации, связанной с подготовкой производства, выполнением строительно-монтажных и специализированных работ; при проведении обучения и повышения квалификации рабочих и ИТР строительных и монтажных специальностей, при подготовке тендерной документации, исходных данных для заключения договоров подряда, контроля качества выполнения работ заказчиками, генеральными подрядчиками и надзорными органами.
ТК должны включать шесть разделов:
Область применения.
Технология и организация выполнения работ: требования к качеству предшествующих работ; требования к технологии производства работ; технологические схемы производства работ; транспортирование и складирование изделий и материалов; схемы комплексной механизации.
Требования к качеству и приемке работ: требования к качеству поставляемых материалов и изделий; схемы операционного контроля качества; перечень технологических процессов, подлежащих контролю.
Техника безопасности и охрана труда, экологическая и пожарная безопасность.
Потребность в ресурсах: перечень машин и оборудования; перечень технологической оснастки, инструмента, инвентаря и приспособлений; ведомость потребности в материалах, изделиях и конструкциях.
Технико-экономические показатели: продолжительность выполнения работ; график производства работ; трудоемкость и машиноемкость выполнения работ; калькуляция затрат труда или машинного времени.
ТК разрабатываются строительно-монтажными организациями за счет накладных расходов или по их заказу проектно-технологическими организациями и утверждаются главным инженером строительно-монтажной организации. При необходимости состав материалов может быть расширен.
7 Оснащение мобильных формирований строительной техникой (расчетные показатели потребности в строительных машинах, автотранспортных средствах, в передвижных средствах технической эксплуатации машин)
7.1 Расчетные показатели потребности в строительных машинах
По расчетным показателям, приведенным в
таблице 7.1, устанавливают количество строительных машин, необходимых для выполнения строительно-монтажных работ, удельный показатель объема которых выражен в физическом измерении. Количество машин рассчитывают согласно действующим положениям.
Таблица 7.1
Потребность мобильных строительных организаций в основных
строительных машинах при выполнении различных видов СМР
Вид работ | Вид основных строительно-монтажных работ | Основные строительные машины для выполнения СМР | Единица измерения | Потребность в основных строительных машинах на единицу измерения, шт. |
при односменной работе | при сменности, сложившейся в мобильных организациях |
Земляные | Разработка грунта при устройстве выемок и насыпей навымет | Одноковшовые экскаваторы - прямая лопата с ковшами вместимостью, м3 | 1000 м3 в плотном теле | | |
0,4 | 0,0164 | 0,0114 |
0,65 | 0,0107 | 0,0074 |
0,80 | 0,0077 | 0,0053 |
1,0 | 0,0063 | 0,0044 |
1,25 | 0,0058 | 0,0041 |
Разработка грунта при устройстве выемок и насыпей навымет с погрузкой в транспортные средства | Одноковшовые экскаваторы - прямая лопата с ковшами вместимостью, м3 | 1000 м3 в плотном теле | | |
0,4 | 0,0231 | 0,0160 |
0,65 | 0,0152 | 0,0106 |
0,80 | 0,0100 | 0,0070 |
1,0 | 0,0087 | 0,0059 |
1,6 | 0,0058 | 0,0037 |
Разработка грунта в котлованах навымет | Одноковшовые экскаваторы - обратная лопата с ковшами вместимостью, м3 | 1000 м3 в плотном теле | | |
0,4 | 0,0211 | 0,0147 |
0,65 | 0,0150 | 0,0104 |
1,0 | 0,0085 | 0,0058 |
Разработка грунта в котлованах навымет с погрузкой в транспорт | Одноковшовые экскаваторы - обратная лопата с ковшами вместимостью, м3 | 1000 м3 в плотном теле | | |
0,4 | 0,0341 | 0,0237 |
0,6 | 0,0242 | 0,0168 |
1,0 | 0,0137 | 0,0095 |
Разработка грунта в траншеях навымет | Одноковшовые экскаваторы - обратная лопата с ковшами вместимостью, м3 | 1000 м3 в плотном теле | | |
0,4 | 0,0198 | 0,0138 |
0,65 | 0,0136 | 0,0094 |
1,0 | 0,0077 | 0,0054 |
Одноковшовые экскаваторы - обратная лопата с ковшами вместимостью, м3 | 1000 м3 в плотном теле | | |
0,4 | 0,0288 | 0,0200 |
0,65 | 0,0203 | 0,0141 |
1,0 | 0,0115 | 0,0080 |
Срезка растительного слоя | Бульдозеры на тракторах класса 10 т тяги | 10000 м2 очищенной поверхности | 0,0078 | 0,0053 |
Грейдеры (средние) | " | 0,0162 | 0,0147 |
Разработка и перемещение грунта | Прицепные скреперы с перемещением грунта до 300 м на тракторах класса, т тяги | 1000 м3 в плотном теле | | |
6 | 0,0166 | 0,0146 |
10 | 0,0119 | 0,0104 |
15 | 0,0094 | 0,0082 |
Самоходные скреперы с перемещением до 500 м с ковшом вместимостью, м3 | 1000 м3 в плотном теле | | |
8 | 0,0166 | 0,0146 |
10 | 0,0119 | 0,0104 |
15 | 0,0094 | 0,0082 |
Самоходные скреперы с перемещением до 500 м с ковшом вместимостью, м3 | 1000 м3 по обмеру в плотном теле | | |
8 | 0,0192 | 0,0154 |
15 | 0,0090 | 0,0072 |
Бульдозеры с перемещением грунта до 30 м на тракторах класса, т тяги | 1000 м3 в плотном теле | | |
3 | 0,0125 | 0,0109 |
6 | 0,0089 | 0,0063 |
10 | 0,0053 | 0,0038 |
15 | 0,0042 | 0,0030 |
Разработка грунта земснарядами с намывом площадей | Земснаряд производительностью 1200 - 1400 м3 по воде | 1000 м3 грунта | 0,0159 | 0,0078 |
То же, с намывом узкопрофильных частей сооружений или штабелей | То же | 1000 м3 в плотном теле | 0,0232 | 0,0113 |
Свайные | Вертикальное погружение железобетонных свай | Установки на базе механических кранов-экскаваторов грузоподъемностью до 20 т | 1000 м3 железобетонных свай | 0,5023 | 0,4018 |
Вертикальное погружение железобетонных свай в стесненных условиях | Установки на базе механических кранов-экскаваторов грузоподъемностью до 20 т | 1000 м3 железобетонных свай | 0,6333 | 0,5067 |
Погружение железобетонных свай шпунтового ряда | Установки на базе механических кранов-экскаваторов грузоподъемностью до 20 т | 1000 м3 железобетонных свай | 0,7317 | 0,5853 |
Вертикальное погружение стальных свай | Установки на базе механических кранов-экскаваторов грузоподъемностью до 20 т | 1000 т стальных свай | 0,1769 | 0,1415 |
Монтаж сборных и устройство монолитных железобетонных и бетонных конструкций | Укладка фундаментных блоков массой до 2 т | Башенные краны грузоподъемностью 5 т и стреловые гусеничные краны грузоподъемностью 10 т | 1000 м3 | 0,1614 | 0,1261 |
Пневмоколесные и автомобильные краны грузоподъемностью 10 т | 1000 м3 | 0,1978 | 0,1705 |
Укладка фундаментов под колонны | Башенные краны грузоподъемностью 5 т, стреловые гусеничные краны грузоподъемностью 10 т | 1000 м3 фундаментов | 0,2227 | 0,1750 |
Пневмоколесные и автомобильные краны грузоподъемностью 15 т | 1000 м3 фундаментов | 0,2733 | 0,2356 |
Укладка блоков свайного ростверка на шлаковую подсыпку и две сваи | Башенные краны грузоподъемностью 5 т и стреловые гусеничные краны грузоподъемностью 10 т | 1000 м3 ростверков | 0,2881 | 0,2251 |
Пневмоколесные и автомобильные краны грузоподъемностью 16 т | 1000 м3 ростверков | 0,3534 | 0,3046 |
Установка блоков стен подвалов (масса до 2 т) | Башенные краны грузоподъемностью 5 т и стреловые гусеничные краны грузоподъемностью 10 т | 1000 м3 блоков | 0,1557 | 0,1216 |
Пневмоколесные и автомобильные краны грузоподъемностью 10 т | 1000 м3 блоков | 0,2865 | 0,2470 |
Установка цокольных блоков наружных стен (масса 3 т) | Башенные краны грузоподъемностью 5 т и стреловые гусеничные краны грузоподъемностью 10 т | 1000 м3 блоков | 0,0663 | 0,0518 |
Пневмоколесные и автомобильные краны грузоподъемностью 16 т | 1000 м3 блоков | 0,0812 | 0,0700 |
Установка блоков наружных стен | Башенные краны грузоподъемностью 8 т и стреловые гусеничные краны грузоподъемностью 16 т | 1000 м3 | 0,1844 | 0,1441 |
Пневмоколесные и автомобильные краны грузоподъемностью 16 т | 1000 м3 | 0,2262 | 0,1950 |
Установка блоков внутренних стен | Башенные краны грузоподъемностью 8 т и стреловые гусеничные краны грузоподъемностью 16 т | 1000 м3 | 0,2634 | 0,2059 |
Установка колонн в стаканы фундаментов (масса колонн 10 т) | Башенные краны грузоподъемностью 10 т и автомобильные краны грузоподъемностью 20 т | 1000 м3 | 0,0879 | 0,0687 |
Пневмоколесные и автомобильные краны грузоподъемностью 20 т | 1000 м3 | 0,1078 | 0,0929 |
Установка колонн на нижестоящие или на фундаментные плиты | Башенные краны грузоподъемностью 10 т и стреловые гусеничные краны грузоподъемностью 20 т | 1000 м3 | 0,0734 | 0,0574 |
Пневмоколесные и автомобильные краны грузоподъемностью 20 - 40 т | 1000 м3 | 0,0901 | 0,0777 |
Сборка ферм пролетом 24 м из двух половин | Башенные краны грузоподъемностью 15 т и стреловые гусеничные краны грузоподъемностью 25 т | 1000 м3 | 0,0778 | 0,0608 |
Пневмоколесные и автомобильные краны грузоподъемностью 20 т | 1000 м3 | 0,0954 | 0,0823 |
Сборка ферм пролетом 32 м из двух половин | Башенные краны грузоподъемностью 20 т и стреловые гусеничные краны грузоподъемностью 40 т | 1000 м3 | 0,0326 | 0,0255 |
Пневмоколесные и автомобильные краны грузоподъемностью 40 т | 1000 м3 | 0,0400 | 0,0450 |
Укладка ригелей и прогонов массой 6,5 т | Башенные краны грузоподъемностью 10 т и стреловые гусеничные краны грузоподъемностью 25 т | 1000 м3 | 0,1374 | 0,1073 |
Пневмоколесные и автомобильные краны грузоподъемностью 20 т | 1000 м3 | 0,1686 | 0,1453 |
Укладка ригелей и прогонов массой 20 т | Башенные и стреловые гусеничные краны грузоподъемностью 40 т | 1000 м3 | 0,2770 | 0,2165 |
Пневмоколесные и автомобильные краны грузоподъемностью 40 т | 1000 м3 | 0,3398 | 0,2929 |
Укладка балок перекрытий (масса балок 6,5 т) | Башенные краны грузоподъемностью 10 т и стреловые гусеничные краны грузоподъемностью 25 т | 1000 м3 | 0,1374 | 0,1073 |
Пневмоколесные и автомобильные краны грузоподъемностью 20 т | 1000 м3 | 0,1686 | 0,1453 |
Укладка фундаментных балок | Башенные краны грузоподъемностью 15 т и стреловые гусеничные краны грузоподъемностью 25 т | 1000 м3 | 0,2305 | 0,1801 |
Пневмоколесные и автомобильные краны грузоподъемностью 40 т | 1000 м3 | 0,2827 | 0,2437 |
Укладка подкрановых балок массой до 11 т | Башенные краны грузоподъемностью 15 т и стреловые гусеничные краны грузоподъемностью 25 т | 1000 м3 | 0,2304 | 0,1801 |
Пневмоколесные и автомобильные краны грузоподъемностью 40 т | 1000 м3 | 0,2827 | 0,2438 |
Установка ферм и балок покрытий пролетом 24 м | Башенные и стреловые гусеничные краны грузоподъемностью 25 т | 1000 м3 | 0,1306 | 0,1020 |
Пневмоколесные и автомобильные краны грузоподъемностью 20 т | 1000 м3 | 0,1602 | 0,1381 |
Установка ферм и балок покрытий пролетом 32 м | Башенные и стреловые гусеничные краны грузоподъемностью 25 т | 1000 м3 | 0,1920 | 0,1500 |
Пневмоколесные и автомобильные краны грузоподъемностью 40 т | 1000 м3 | 0,2356 | 0,2031 |
Укладка плит и панелей перекрытий площадью 15 м2 | Башенные и стреловые гусеничные краны грузоподъемностью 25 т | 1000 м3 | 0,0461 | 0,0360 |
Пневмоколесные и автомобильные краны грузоподъемностью 20 т | 1000 м3 | 0,0057 | 0,0488 |
Укладка плит и панелей покрытий площадью 15 м | Башенные и стреловые гусеничные краны грузоподъемностью 25 т | 1000 м3 | 0,0621 | 0,0485 |
Пневмоколесные и автомобильные краны грузоподъемностью 40 т | 1000 м3 | 0,0761 | 0,0656 |
Установка панелей наружных стен каркасно-панельных зданий площадью 10 м2 | Башенные и стреловые гусеничные краны грузоподъемностью 25 т | 1000 м3 | 0,2016 | 0,1575 |
Пневмоколесные и автомобильные краны грузоподъемностью 20 т | 1000 м3 | 0,2573 | 0,2218 |
Установка панелей наружных и внутренних стен и панелей лестничных клеток (площадь панелей до 15 м2) | Башенные краны грузоподъемностью 10 т и стреловые гусеничные краны грузоподъемностью 25 т | 1000 м3 | 0,0615 | 0,0480 |
Пневмоколесные и автомобильные краны грузоподъемностью 40 т | 1000 м3 | 0,0754 | 0,0650 |
Установка лестничных маршей в каменных зданиях | Башенные краны грузоподъемностью 10 т и стреловые гусеничные краны грузоподъемностью 25 т | 1000 м3 | 0,1882 | 0,1471 |
Пневмоколесные и автомобильные краны грузоподъемностью 40 т | 1000 м3 | 0,2303 | 0,1991 |
Подача бетонной смеси к месту укладки на расстояние до 250 м | Бетононасосы производительностью, м3/ч | 1000 м3 | | |
10 | | 0,2469 | 0,2351 |
20 | | 0,1109 | 0,1056 |
Примечание - В нормативах не учтены простои машин по метеорологическим условиям. |
7.2 Расчетные показатели потребности в автотранспортных средствах
По расчетным показателям, приведенным в
таблице 7.2, устанавливают количество основных автотранспортных средств для обеспечения перевозок грузов (на удельную единицу измерения их объемов в натуральных показателях). В этой таблице пригородными видами перевозок грузов принимается перевозка грузов в пределах 50 км, а технологическими считаются перевозки, выполняемые внутри предприятий и на территории строительных площадок.
Таблица 7.2
Потребность мобильных строительных организаций
в основных автотранспортных средствах для перевозки грузов
Вид груза и перевозок | т | Тип основных автотранспортных средств | Грузоподъемность автотранспортных средств, т | Потребность в автотранспортных средствах на единицу измерения, шт. |
Грунт: пригородные перевозки | 1000 | Автомобили-самосвалы | 3,5 | 0,109 |
5,25 | 0,0715 |
6,0 | 0,0647 |
8,0 | 0,0438 |
10,0 | 0,0365 |
12,0 | 0,0331 |
технологические перевозки | Автомобили-самосвалы | 8,0 | 0,0146 |
10,0 | 0,0117 |
12,0 | 0,011 |
Нерудные строительные материалы: пригородные перевозки | 1000 | Автомобили-самосвалы | 3,5 | 0,109 |
5,25 | 0,0715 |
6,0 | 0,0647 |
8,0 | 0,0438 |
10,0 | 0,0365 |
12,0 | 0,0331 |
технологические перевозки | Автомобили-самосвалы | 8,0 | 0,0146 |
10,0 | 0,0117 |
12,0 | 0,011 |
Асфальтовая масса: пригородные перевозки | 1000 | Автомобили-самосвалы | | |
погрузка из бункера | 3,5 | 0,102 |
5,25 | 0,0717 |
6,0 | 0,0675 |
8,0 | 0,0531 |
10,0 | 0,0465 |
12,0 | 0,0435 |
погрузка из смесителя | 3,5 | 0,124 |
5,25 | 0,0975 |
6,0 | 0,0919 |
8,0 | 0,078 |
10,0 | 0,0714 |
12,0 | 0,0659 |
Бетон и раствор: пригородные перевозки | 1000 | погрузка из бункера | 3,5 | 0,102 |
6,0 | 0,0717 |
5,8 | 0,0675 |
8,0 | 0,0531 |
10,0 | 0,0465 |
12,0 | 0,0435 |
погрузка из смесителя | 3,5 | 0,124 |
5,25 | 0,0975 |
6,0 | 0,0919 |
8,0 | 0,078 |
10,0 | 0,0714 |
12,0 | 0,0659 |
Автобетоновозы | | |
погрузка из бункера | 4,0 | 0,0962 |
погрузка из смесителя | 4,0 | 0,129 |
Авторастворовозы | | |
погрузка из бункера | 2,7 | 0,171 |
погрузка из смесителя | 2,7 | 0,22 |
Автобетоносмесители | 5,7 | 0,0968 |
погрузка из бункера | 8,8 | 0,0777 |
Битум | 1000 | Автопоезда-битумовозы в составе седельного тягача и полуприцепа | 6,85 | 0,17 |
14,5 | 0,087 |
Цемент | 1000 | Автопоезда-цементовозы в составе седельного тягача и полуприцепа | 10,0 | 0,100 |
14,0 | 0,0765 |
22,0 | 0,0556 |
Кирпич | 1000 | Автопоезда в составе тягача и полуприцепа | 7,7 | 0,125 |
14,2 | 0,0761 |
13,5 | 0,0793 |
11,5 | 0,109 |
16,0 | 0,0845 |
16,0 | 0,0845 |
Железобетонные конструкции | 1000 | Автопоезда в составе: | | |
седельного тягача и полуприцепа-панелевоза | 8,5 | 0,0972 |
12,0 | 0,0776 |
14,0 | 0,0721 |
18,5 | 0,0602 |
седельного тягача и полуприцепа-сантехкабиновоза | 9,0 | 0,0934 |
14,0 | 0,0687 |
12,0 | 0,0776 |
17,0 | 0,0631 |
9,4 | 0,0879 |
12,0 | 0,0753 |
Металлопрокат, трубы | 1000 | Автопоезда в составе седельного тягача и полуприцепа | 7,5 | 0,118 |
Лес круглый | 1000 | Автопоезда-лесовозы | 17,0 | 0,120 |
23,0 | 0,0942 |
Строительные материалы в контейнерах и пакетах | 1000 | Автопоезда в составе: | | |
тягача и прицепа | 11,5 | 0,109 |
седельного тягача и полуприцепа | 16,0 | 0,0845 |
16,0 | 0,0845 |
7,7 | 0,125 |
14,2 | 0,0761 |
13,5 | 0,0793 |
Технологическое оборудование | 1000 | Автопоезда-тяжеловозы | 25 | 0,102 |
40 | 0,0892 |
60 | 0,0585 |
Инвентарные (мобильные) здания | 1000 | Автопоезда в составе седельного тягача и полуприцепа | 7,7 | 0,125 |
14,2 | 0,0761 |
13,5 | 0,0793 |
При определении количества автотранспортных средств, необходимых для перевозки заданного объема груза, учитывают вид груза, способ производства строительно-монтажных работ, дальность перевозки.
Количество автотранспортных средств i-го вида, необходимых для перевозки заданного объема определенного груза Ri, находят по формуле
Ri = V·gi, (7.1)
где V - объем груза, подлежащего перевозке, выраженный в физическом измерении, тыс. т;
gi - потребность i-го вида автотранспортных средств для перевозки удельной физической единицы объема груза (определяется по расчетным показателям оснащения автотранспортом).
7.3 Расчетные показатели потребности в передвижных средствах обеспечения технической эксплуатации строительных машин
По расчетным показателям устанавливают количество передвижных средств соответствующего назначения, приходящихся на 100 строительных машин и необходимых для выполнения работ по техническому и технологическому обслуживанию
(таблица 7.3).
Таблица 7.3
Передвижные средства, необходимые для выполнения работ
по техническому и технологическому обслуживанию
Наименование | Назначение | Количество на 100 строительных машин, шт. |
1 Передвижные мастерские для технического обслуживания и ремонта строительных машин |
Универсальная передвижная мастерская ТО и ремонта строительных машин типа А-701М; ССТО-1А; ЛВ-8А; передвижного комплекса МТО СМ-130 | Плановое ТО строительных машин, а также поиск дефектов и устранение последствий отказов и неисправностей машин на местах их использования | 3 |
Передвижная мастерская ТО и ремонта строительных машин с гидравлическим приводом типа МРД-ГМ-130; ССТО-3Г; МТО-1 | То же, строительных машин с объемным гидравлическим приводом |
Передвижная мастерская ТО и ремонта строительных машин с электрическим приводом типа МТОР-БК | То же, строительных машин с электрическим приводом |
Передвижные ремонтные мастерские: | Текущий ремонт строительных машин на местах их использования | 2 |
текущего ремонта строительных машин типа 3901; АО 300; МТО-СМ-130; МТО-СДМ; ПРМ-1 | Поиск дефектов машин без применения специализированных средств технического диагностирования и устранение последствий отказов и неисправностей машин |
агрегатного ремонта типа АМ-1 | Текущий ремонт машин агрегатным методом, то есть замена неисправных агрегатов машин на новые или заранее отремонтированные |
2 Передвижные средства для обеспечения строительных машин топливо-смазочными материалами |
Автомобиль-топливомаслозаправщик типа АТМЗ-4,5-375; Т-401-130; 03-5467; 03-1926 | Транспортирование топливо-смазочных материалов и заправка ими строительных машин на местах их использования | 3 |
Автомобиль-топливозаправщик типа ТЗА-7,5-500А; ТЗ-7-500; ТЗ-5-375; АЦЗ-4,4-131; АТЗ-3,8-130; АТЗ-3,8-53А; АТЗ-2,4-52 | Транспортирование топлива и заправка ими строительных машин на местах их использования | 1 |
Прицепы-тяжеловозы: | Транспортирование строительных машин массой | 1 |
грузоподъемностью 20 т | до 20 т |
грузоподъемностью 40 т | до 40 т |
грузоподъемностью 60 т | до 60 т |
грузоподъемностью 80 т | до 80 т |
3 Передвижные средства для транспортировки строительных машин |
Автомобили-тягачи | Транспортирование строительных машин на буксире или прицепах-тяжеловозах | 1 |
Колесные тракторы | То же | 1 |
При определении количества транспортных средств учитывают только перевозки строительных машин, связанные с проведением их ТО и ремонта.
Требуемое количество передвижных средств необходимо определять на основе данных расчетных показателей, фактического наличия в организации строительных машин и средневзвешенного радиуса обслуживания машин.
Фактическое наличие строительных машин в организациях следует устанавливать по форме статистической отчетности с учетом следующей номенклатуры строительных машин на гусеничном и пневмоколесном ходу: тракторы с навесным экскаваторным оборудованием; экскаваторы одноковшовые (в том числе экскаваторы-планировщики); экскаваторы многоковшовые; экскаваторы-краны; бульдозеры; скреперы; автогрейдеры; краны гусеничные; трубоукладчики пневмоколесные и на специальном шасси; погрузчики одноковшовые; краны башенные на рельсовом ходу. Строительные машины, не предусмотренные названной номенклатурой, не следует учитывать при определении потребности в передвижных средствах.
Количество строительных машин, учитываемых при определении потребности в передвижных средствах, следует принимать по их фактическому наличию за минусом 20% машин, ТО и текущий ремонт которых проводят на стационарных эксплуатационных базах.
При определении количества передвижных средств обеспечения машин топливо-смазочными материалами также не следует учитывать строительные машины с электрическим приводом (башенные краны, а также экскаваторы и экскаваторы-краны с электрическим приводом).
Количество передвижных средств, приведенное в таблицах расчетных показателей, установлено для организаций, эксплуатирующих строительные машины в условиях сосредоточенного строительства со средневзвешенным радиусом обслуживания до 20 км.
Для рассредоточенного строительства при средневзвешенном радиусе обслуживания от 20 до 50 км следует принимать поправочный коэффициент 1,3, а при средневзвешенном радиусе обслуживания от 50 до 80 км - коэффициент 1,8.
Средневзвешенный радиус обслуживания строительных машин следует определять по формуле

(7.2)
где

- средневзвешенный радиус обслуживания машин - средневзвешенное расстояние от эксплуатационной базы (или линейного строительного участка с инвентарной эксплуатационной базой) до объекта работы строительных машин, км;
ni - количество строительных машин, работающих на расстоянии lk от эксплуатационной базы, шт.;
n - фактическая численность строительных машин, шт.
При определении средневзвешенного радиуса обслуживания строительных машин рекомендуется использовать следующие интервалы расстояний
lk: 0 - 2 км

; 2 - 8 км

; 8 - 20 км

; 20 - 40 км

; 40 - 60 км

; 60 - 80 км

.
Фактическое расстояние от объекта, где ведут работы на строительных машинах, до эксплуатационной базы необходимо определять по схемам действующих дорог с учетом расстояния от этих дорог до строительных площадок и внутрипостроечных переездов.
Количество передвижных средств, необходимых для организации обслуживания и ремонта строительных машин, при средневзвешенном радиусе их обслуживания более 80 км настоящими показателями не устанавливается.
Если строительные объекты удалены от основной эксплуатационной базы на 80 км и более, то в соответствии с настоящими показателями и сложившимися организационными формами технической эксплуатации машин, средневзвешенными радиусами обслуживания машин для основной базы и линейных участков и фактической численностью обслуживаемых машин следует определять количество передвижных средств, базирующихся на основной эксплуатационной базе и на линейных участках.
Структуру парка передвижных мастерских необходимо определять, учитывая конкретные условия работы мобильных строительных организаций, численность и структуру парка строительных машин, и его специализацию, рассредоточенность машин по объектам строительства и существующую организационную форму технической эксплуатации машин. Рекомендуемая структура передвижных мастерских приведена в
таблице 7.4.
Таблица 7.4
Рекомендуемая структура передвижных мастерских
Наименование передвижных мастерских | Структура передвижных мастерских, %, для |
смешанных парков строительных машин | парков землеройных машин | парков подъемно-транспортных машин |
Универсальные передвижные мастерские ТО и ремонта строительных машин | 0,40 | 0,40 | 0,30 |
Передвижные мастерские ТО и ремонта строительных машин с гидравлическим приводом | 0,10 | 0,20 | - |
Передвижные мастерские ТО и ремонта машин с электрическим приводом | 0,10 | - | 0,30 |
Передвижные мастерские текущего ремонта строительных машин | 0,20 | 0,20 | 0,20 |
Передвижные мастерские ремонта строительных машин агрегатным методом | 0,20 | 0,20 | 0,20 |
Чтобы определить структуру парка передвижных мастерских для конкретных организаций, необходимо учитывать, помимо приведенных выше рекомендаций, область применения этих мастерских.
Передвижные мастерские ТО и ремонта строительных машин целесообразно применять в организациях, эксплуатирующих свыше 15-ти машин с электрическим приводом и 20-ти машин с гидравлическим приводом.
Передвижные мастерские для агрегатного метода ремонта целесообразно применять в организациях, ежегодно выполняющих примерно 50 плановых текущих ремонтов строительных машин (экскаваторы, бульдозеры, грузоподъемные машины др.) на местах их использования.
Для оснащения линейных строительных участков по сооружению магистральных трубопроводов, автомобильных и железных дорог, линий электропередач и т.п. следует применять передвижные ремонтно-механические мастерские. При наличии в мобильной строительной организации централизованной системы ТО и ремонта строительных машин могут быть применены передвижные мастерские технического диагностирования строительных машин, оснащенные оборудованием, оснасткой, инструментом и приборами подобно мастерским типа КП-503 и КИ-13905 - для организаций, эксплуатирующих примерно 100 машин различных типов и назначения, а типа МТО-БК - для организаций, эксплуатирующих примерно 50 машин с электрическим приводом.
8 Оснащение мобильных формирований мобильными зданиями (расчетные показатели потребности в жилых, общественных и административно-бытовых зданиях, складских и производственных зданиях)
8.1 Расчетные показатели потребности в жилых, общественных и административно-бытовых зданиях
Расчетные показатели общей площади жилых поселков строителей целесообразно определять в следующей последовательности:
- базовый состав населения поселка;
- демографический состав жителей;
- общая численность населения поселка;
- требуемая площадь зданий поселка.
Базовый состав населения поселка строителей устанавливается как сумма общего числа работающих на строительстве и обслуживающих его производствах, числа работающих на предприятиях и хозяйствах, выделенных на самостоятельный баланс, числа работающих в различных других учреждениях и организациях и учитываемых в поселке строителей.
Демографический состав жителей поселка определяется исходя из показателя данных о соотношении одиночек и семейных в группе работающих и структуре семей. При отсутствии ведомственных демографических показателей в расчетах могут быть использованы следующие величины общего базового состава населения поселка:
- число одиночек для освоенных районов до 20%, для неосвоенных и малообжитых районов до 50%, в том числе для пионерного периода от 70% до 100%;
- коэффициент семейственности для пионерного периода - 1,2, подготовительного периода 1,3 - 1,5, основного периода строительства 2 - 3;
- удельный вес различных по численности семей, в том числе состоящих из двух человек - 30% - 100%, из трех человек до 50%, из четырех и более человек до 20%.
Рекомендуемые расчетные показатели площади жилых, общественных и административно-бытовых зданий приведены в
таблице 8.1.
Таблица 8.1
Расчетные показатели площади жилых, общественных
и административно-бытовых зданий
Номенклатура зданий | Единица измерений | Расчетный показатель площади, м2 |
1 Жилой дом для семейных | 1 чел. | 9 |
2 Общежитие | 1 чел. | 6 |
3 Магазин продовольственных товаров (с подсобными помещениями) | 100 чел. | 3,9 |
4 Магазин промышленных товаров (с подсобными помещениями) | 100 чел. | 29,3 |
5 Баня | 100 чел. | 11,6 |
6 Прачечная | 100 чел. | 4,4 |
7 Столовая | 10 чел. | 10,2 |
8 Комбинат бытового обслуживания | 100 чел. | 25,1 |
9 Здравпункт с изолятором | 100 чел. | 8,9 |
10 Почта | 100 чел. | 3,2 |
11 Детский сад-ясли, дошкольная образовательная организация (ДОО) или детские дошкольные учреждения | 100 чел. (семейных) | 22 |
12 Школа | 100 чел. (семейных) | 18,8 |
В исключительных случаях по согласованию с органами санитарного надзора допускается сокращение жилой площади до 4,5 м2 на 1 чел. за счет соответствующего увеличения площади комнаты отдыха. Расчет площади столовой допускается осуществлять только для одиноких, но в любом случае не менее чем на 50% жителей поселка. Площадь детских яслей, садов и школ рекомендуется устанавливать с учетом 100% охвата детей всех возрастных групп.
Результаты расчетов по определению требуемых площадей различной номенклатуры целесообразно представлять в виде табличных и графических материалов.
8.2 Расчетные показатели потребности в складских зданиях
Расчетные показатели оснащения мобильными зданиями складского назначения (
таблицы 8.2 и
8.3) разработаны на удельные показатели объема по видам установленных работ.
Таблица 8.2
Показатели потребности в мобильных зданиях
складского назначения при производстве различных видов
строительно-монтажных работ
Шифр работы | Вид работ и их характеристика | Единица измерения | Группа складов | Требуемая площадь зданий, м2 |
общая | полезная |
1 | Прокладка инженерных коммуникаций | | | | |
1.1 | Антикоррозионная битумно-резиновая и битумно-полимерная изоляция стальных трубопроводов диаметром 200 мм | 1000 м | В | 13,7 | 9,6 |
1.2 | Устройство круглых водопроводных колодцев в сухом грунте | 1000 м3 | А | 6,4 | 4,5 |
В | 12,3 | 8,6 |
1.3 | Устройство сборных железобетонных канализационных колодцев диаметром 1500 мм в сухом грунте | 1000 м3 | А | 28,6 | 20,0 |
Б | 2,3 | 1,6 |
1.4 | Устройство односекционных прямоугольных сборных железобетонных коллекторов для подземных коммуникаций | 1000 м3 | А | 25,7 | 18,0 |
Б | 1,4 | 1,0 |
2 | Строительство автомобильных дорог из монолитного и сборного железобетона с асфальтовым покрытием | | | | |
2.1 | Устройство цементобетонных оснований толщиной 18 см с применением автогрейдера | 1000 м2 | А | 4,1 | 2,9 |
Б | 0,3 | 0,2 |
2.2 | Устройство однослойных цементобетонных покрытий толщиной 22 см механизированным способом с разгрузкой бетона со смежной полосы | 1000 м2 | А | 5,9 | 4,1 |
Б | 2,3 | 1,6 |
В | 0,3 | 0,2 |
2.3 | Дорожные покрытия из сборных прямоугольных железобетонных плит площадью до 10,5 м2 | 1000 м3 | А | 0,9 | 0,6 |
В | 4,4 | 3,1 |
2.4 | Устройство покрытий из горячих плотных асфальтобетонных смесей типа А толщиной 4 см | 1000 м2 | В | 2,6 | 1,8 |
Е | 2,7 | 1,9 |
3 | Гидроизоляция | | | | |
Устройство боковой оклеечной гидроизоляции фундаментов из рулонного материала в два слоя | 1000 м2 | В | 20,7 | 14,5 |
4 | Устройство экранов из пленок при строительстве солеотвалов и шламохранилищ | 1000 м2 | Г | 0,4 | 0,3 |
Ж | 3,1 | 2,2 |
5 | Монолитный бетон и железобетон | | | | |
Устройство железобетонных фундаментов объемом до 10 м3 под колонны | 1000 м3 | А | 64,1 | 44,9 |
Б | 8,3 | 5,8 |
Д | 29,9 | 20,9 |
6 | Возведение монолитных зданий и промышленных сооружений в инвентарных опалубках | 1000 м3 | А | 54,4 | 38,1 |
Б | 30,3 | 21,2 |
Устройство железобетонных стен силосов диаметром 12 - 15 м | 1000 м3 | Д | 13,3 | 9,3 |
7 | Монтаж сборного железобетона (в основном серии ИИ-04) | | | | |
7.1 | Установка стеновых панелей подземных помещений площадью до 8 м2 при наибольшей массе монтажного элемента до 5 т | 1000 шт. | А | 11,7 | 8,2 |
Б | 0,3 | 0,2 |
7.2 | Установка панелей наружных стен площадью до 10 м2 в многоэтажных промышленных зданиях | 1000 шт. | А | 0,7 | 0,5 |
Б | 1,3 | 0,9 |
В | 3,6 | 2,5 |
7.3 | Установка панелей внутренних стен площадью до 10 м2 в жилых и общественных зданиях | 1000 шт. | А | 0,6 | 0,4 |
Б | 3,3 | 2,3 |
7.4 | Установка прямоугольных колонн промышленных зданий массой до 12 т в стаканы фундаментов с глубиной заделки более 0,7 м | 1000 шт. | А | 12,7 | 8,9 |
Установка колонн многоэтажных зданий массой более 5 т на нижестоящие колонны | 1000 шт. | А | 3,1 | 2,2 |
Б | 3,9 | 2,7 |
7.5 | Укладка балок и ригелей перекрытий и покрытий многоэтажных промышленных зданий массой 6,5 т | 1000 шт. | А | 7,0 | 4,9 |
Б | 12,3 | 8,6 |
Укладка фундаментных балок массой до 20 т в промышленных зданиях | 1000 шт. | А | 3,1 | 2,2 |
Укладка подкрановых балок массой до 12 т в одноэтажных зданиях при массе колонн до 15 т | 1000 шт. | Б | 12,0 | 8,4 |
Установка составных форм массой до 15 т с укрупненным пролетом до 24 м | 1000 шт. | Б | 0,4 | 0,3 |
Укладка плит перекрытий и покрытий многоэтажных промышленных зданий по ригелям | 1000 шт. | А | 5,3 | 3,7 |
Укладка лестничных маршей и площадок, в том числе: | 1000 шт. | | | |
площадок с опиранием на стену | Б | 0,6 | 0,4 |
маршей | А | 0,7 | 0,5 |
8 | Кровельные работы | | | | |
8.1 | Огрунтовка основания из бетона или раствора под водоизоляционный кровельный ковер | 1000 м2 | В | 0,7 | 0,5 |
8.2 | Устройство трехслойной скатной кровли из рулонных материалов | 1000 м2 | В | 14,7 | 10,3 |
Д | 0,3 | 0,2 |
9 | Антисептирование и огнезащита древесины | | | | |
9.1 | Антисептирование водными растворами: | | | | |
поверхностей стен | 1000 м2 | Е | 0,9 | 0,6 |
перегородок | 1000 м2 | Е | 1,0 | 0,7 |
покрытий по фермам | 1000 м2 | Е | 0,6 | 0,4 |
9.2 | Огнезащита деревянных конструкций обрешетки под кровлю покрытия и настилов по фермам | 1000 м2 | Е | 0,7 | 0,5 |
10 | Отделочные работы | | | | |
10.1 | Улучшенная штукатурка фасада (стен) цементно-известковым раствором | 1000 м2 | А | 1,4 | 1,0 |
10.2 | Улучшенная штукатурка по бетону поверхностей внутри здания: | | | | |
стен | 1000 м2 | А | 1,4 | 1,0 |
Б | 0,14 | 0,1 |
потолков | 1000 м2 | А | 1,4 | 1,0 |
Б | 0,14 | 0,1 |
10.3 | Известковая окраска внутри помещений по бетону | 1000 м2 | А | 0,04 | 0,03 |
Г | 0,0014 | 0,001 |
10.4 | Известковая окраска фасадов зданий по штукатурке или бетону с лесов | 1000 м2 | А | 0,04 | 0,03 |
Г | 0,003 | 0,002 |
11 | Устройство монолитных фундаментов и заглубленных сооружений с использованием метода "стена в грунте" | 1000 м3 | А | 64,1 | 44,9 |
Б | 21,4 | 15,0 |
12 | Облицовочные работы | | | | |
12.1 | Облицовка стен гранитом "под скалу" с числом плит до 4 шт./м2 | 1000 м2 | А | 3,7 | 2,6 |
12.2 | Гладкая облицовка стен внутри зданий искусственными плитками по бетону (без карнизных, плинтусных и угловых плиток) и без установки плиток туалетного гарнитура | 1000 м2 | А | 1,4 | 1,0 |
В | 2,9 | 2,0 |
Таблица 8.3
Показатели потребности в мобильных арматурных мастерских
при производстве различных видов СМР
Шифр работы | Вид работ и их характеристика | Ед. изм. | Требуемое количество арматурных мастерских (шт.) производительностью |
3 т/смену | 5 т/смену |
837 т/год | 1396 т/год |
1 | Прокладка инженерных коммуникаций | | | |
1.2 | Устройство круглых водопроводных колодцев в сухом грунте | 1000 м3 | 0,0729 | 0,0437 |
1.3 | Устройство сборных железобетонных канализационных колодцев диаметром 1500 мм в сухом грунте | 1000 м3 | 0,0131 | 0,0079 |
1.4 | Устройство односекционных прямоугольных сборных железобетонных коллекторов для подземных коммуникаций | 1000 м3 | 0,0081 | 0,0049 |
2 | Строительство автомобильных дорог из монолитного и сборного железобетона с асфальтовым покрытием | | | |
2.2 | Устройство однослойных цементно-бетонных покрытий толщиной 22 см механизированным способом с разгрузкой бетона со смежной полосы покрытия | 1000 м2 | 0,0134 | 0,0080 |
5 | Монолитный бетон и железобетон | | | |
Устройство железобетонных фундаментов объемом до 10 м3 под колонны | 1000 м3 | 0,0490 | 0,0294 |
6 | Возведение монолитных зданий и промышленных сооружений в инвентарных опалубках | | | |
Устройство железобетонных стен силосов диаметром 12 - 15 м | 1000 м3 | 0,1792 | 0,1074 |
7 | Устройство монолитных фундаментов и заглубленных сооружений с использованием метода "стена в грунте" | 1000 м3 | 0,1219 | 0,0731 |
Показатели оснащения мобильными зданиями складского назначения рассчитаны по группам складов для хранения следующих видов материалов (при возможности их совместного хранения):
- цемента и извести (принятое обозначение - склады группы А);
- арматуры, электродов и монтажных элементов (склады группы Б);
- кровельных, гидроизоляционных и отделочных (склады группы В);
- лакокрасочных (склады группы Г);
- лесоматериалов (склады группы Д);
- химических (склады группы Е);
- полиэтиленовой пленки (склады группы Ж).
Расчет требуемой общей (полезной) площади складов был выполнен на единицу каждого вида работ на планируемый период, равный одному кварталу. При этом показатели требуемой площади складов определяли только по тем материалам, которые подлежат хранению в закрытых складах или под навесом.
8.3 Расчетные показатели потребности в производственных зданиях
Расчетные показатели оснащения мобильными зданиями производственного назначения разработаны на удельные показатели объема по видам установленных работ.
Расчетные показатели оснащения мобильными бетоно- и растворосмесительными установками
(таблица 8.4) сформированы исходя из показателей выхода готовой продукции - бетона или раствора (м
3/год), а также показателей часовой эксплуатационной производительности установок (5, 20, 30 м
3/ч). Показатели годовой эксплуатационной производительности установок приняты соответственно 11165, 44660, 66990 м
3/год исходя из 6-дневной рабочей недели, коэффициента сменности, равного 1, коэффициента использования установок, равного 0,9 и условий эксплуатации мобильной смесительной установки.
Таблица 8.4
Показатели потребности в мобильных бетоно-
и растворосмесительных установках при производстве
различных видов СМР
Шифр работы | Вид работ и их характеристика | Ед. изм. | Требуемое количество установок (шт.) производительностью |
бетоносмесительных ---------------------------- растворосмесительных |
5м3/ч -------------- 1165 м3/год | 20 м3/ч --------------- 44660 м3/год | 30 м3/ч --------------- 66990 м3/год |
1 | Прокладка инженерных коммуникаций | | | | |
1.1 | Устройство круглых водопроводных колодцев в сухом грунте | 1000 м3 | 0,0141 -------- - | 0,0035 -------- - | 0,0023 -------- - |
1.2 | Устройство сборных железобетонных канализационных колодцев диаметром 1500 мм в сухом грунте | 1000 м3 | 0,0469 -------- - | 0,0117 -------- - | 0,0078 -------- - |
1.3 | Устройство односекционных прямоугольных сборных железобетонных коллекторов для подземных коммуникаций | 1000 м3 | 0,0271 -------- 0,0178 | 0,0068 -------- 0,0045 | 0,0045 -------- 0,0030 |
2 | Строительство автомобильных дорог из монолитного и сборного железобетона и с асфальтовым покрытием | | | | |
2.1 | Устройство цементно-бетонных оснований толщиной 18 см с применением автогрейдера | 1000 м2 | 0,0146 -------- - | 0,0036 -------- - | 0,0024 -------- - |
2.2 | Устройство однослойных цементно-бетонных покрытий толщиной 22 см механизированным способом с разгрузкой бетона со смежной полосы покрытия | 1000 м2 | 0,0201 -------- - | 0,0050 -------- - | 0,0033 -------- - |
2.3 | Дорожные покрытия из сборных прямоугольных железобетонных плит площадью до 10,5 м2 | 1000 м3 | 0,0004 -------- 0,0006 | 0,0001 -------- 0,0002 | 0,0001 -------- 0,0001 |
5 | Монолитный бетон и железобетон | | | | |
Устройство железобетонных фундаментов объемом до 10 м3 под колонны | 1000 м3 | 0,0909 -------- - | 0,0227 -------- - | 0,0152 -------- - |
6 | Возведение монолитных зданий, промышленных сооружений в инвентарных опалубках | | | | |
Устройство железобетонных стен силосов диаметром 12 - 15 м | 1000 м3 | 0,0931 -------- - | 0,0233 -------- - | 0,0155 -------- - |
7 | Монтаж сборного железобетона (в основном серии ИИ-04) | | | | |
7.1 | Установка стеновых панелей подземных помещений площадью до 8 м2 при наибольшей массе монтажного элемента до 5 т | 1000 шт. | 0,0201 -------- - | 0,0050 -------- - | 0,0033 -------- - |
7.2 | Установка панелей наружных стен площадью до 10 м2 в многоэтажных промышленных зданиях | 1000 шт. | - -------- 0,0014 | - -------- 0,0003 | - -------- 0,0002 |
7.3 | Установка панелей внутренних стен площадью до 10 м2 в жилых и общественных зданиях | 1000 шт. | 0,0003 -------- 0,0008 | 0,0001 -------- 0,0002 | 0,0001 -------- 0,0001 |
7.4 | Установка прямоугольных колонн промышленных зданий массой до 10 т в стаканы фундаментов | 1000 шт. | 0,0157 -------- - | 0,0039 -------- - | 0,0026 -------- - |
7.5 | Установка колонн многоэтажных зданий массой более 5 т на нижестоящие колонны | 1000 шт. | 0,0039 -------- - | 0,0010 -------- - | 0,0007 -------- - |
7.6 | Укладка балок и ригелей перекрытий и покрытий многоэтажных промышленных зданий массой 6,5 т | 1000 шт. | 0,0088 -------- - | 0,0022 -------- - | 0,0015 -------- - |
7.7 | Укладка фундаментных балок массой до 2 т в промышленных зданиях | 1000 шт. | 0,0028 -------- 0,0004 | 0,0007 -------- 0,0001 | 0,0005 -------- 0,0001 |
7.10 | Укладка плит перекрытий и покрытий многоэтажных промышленных зданий по ригелям | 1000 шт. | 0,0090 -------- - | 0,0022 -------- - | 0,0015 -------- - |
7.11 | Укладка лестничных маршей и площадок, в том числе: | | | | |
площадок с опиранием на стену | 1000 шт. | - -------- 0,0008 | - -------- 0,0002 | - -------- 0,0001 |
маршей | 1000 шт. | 0,0005 -------- 0,0006 | 0,0001 -------- 0,0001 | 0,0001 -------- 0,0001 |
10 | Отделочные работы | | | | |
10.1 | Улучшенная штукатурка фасада (стен) цементно-известковым раствором по камню | 1000 м2 | - -------- 0,0017 | - -------- 0,0004 | - -------- 0,0003 |
10.2 | Улучшенная штукатурка по бетону поверхностей внутри здания: | | | | |
стен | 1000 м2 | - -------- 0,0016 | - -------- 0,0004 | - -------- 0,0003 |
потолков | 1000 м2 | - -------- 0,0016 | - -------- 0,0004 | - -------- 0,0003 |
11 | Устройство монолитных фундаментов и заглубленных сооружений с использованием метода "стена в грунте" | 1000 м3 | 0,0909 -------- - | 0,0227 -------- - | 0,0152 -------- - |
12 | Облицовочные работы | | | | |
12.1 | Облицовка стен гранитом "под скалу" с числом плит до 4 шт./м2 | 1000 м2 | - -------- 0,0033 | - -------- 0,0008 | - -------- 0,0006 |
12.2 | Гладкая облицовка стен внутри здания искусственными плитками по бетону (без карнизных, плинтусных и угловых плиток) и без установки плиток туалетного гарнитура | 1000 м2 | - -------- 0,0013 | - -------- 0,0003 | - -------- 0,0002 |
9 Оснащение мобильных формирований технологической оснасткой (расчетные показатели потребности для монтажа одноэтажных и многоэтажных каркасных зданий, возведение крупнопанельных жилых зданий)
9.1 Расчетные показатели потребности для монтажа одноэтажных промышленных зданий приведены в
таблицах 9.1 -
9.12.
Таблица 9.1
Рекомендуемые средства при монтаже сборных конструкций
одноэтажных промышленных зданий (комплект)
для контроля точности
Наименование средства, тип, основные размеры, характеристика | Количество, шт. |
Нивелир | 1 |
Теодолит | 2 |
Штатив для геодезических инструментов | 3 |
Рулетка измерительная металлическая с металлической лентой длиной 20 м | 1 |
Рулетка измерительная металлическая с металлической лентой длиной 5 м | 1 |
Отвес типа ОТ-200 или ОТ-600 | 1 |
Метр металлический складной | 6 |
Линейка измерительная стальная длиной 500 или 1000 мм | 1 |
Набор мелков для разметки | 1 компл. |
Кисть флейцевая шириной 62 мм для нанесения рисок | 2 |
Рейка для нивелирования 1,5 x 2 = 3 м | 1 |
Уровень длиной 300 мм или 700 мм | 1 |
Штангенциркуль | 2 |
Угольники поверочные 90° | 2 |
Чертилка стальная 5 мм, 175 мм | 4 |
Кернер | 2 |
Проволока для сварки углеродистой конструкционной стали диаметром 2 мм | 100 м |
Таблица 9.2
Первичные комплекты приспособлений для разгрузки и раскладки
сборных конструкций в зоне монтажа
Наименование конструкции | Состав первичного комплекса | Техническая характеристика |
наименование | количество, шт. | грузоподъемность, т | монтажная высота, м | масса, т |
1 Сборные железобетонные конструкции |
Колонны массой до 4,0 т | Траверса универсальная с передвигаемыми по балке обоймами, оснащенная двумя универсальными стропами | 1 | 4 | 2,9 | 0,25 |
Оттяжки пеньковые диаметром 19 - 24 мм, длиной 15 м | 1 | | | |
Колонны массой до 6,3 т | Траверса универсальная с передвигаемыми по балке обоймами, оснащенная двумя универсальными стропами | 1 | 6,3 | 3,7 | 0,26 |
Оттяжки пеньковые диаметром 19 - 24 мм, длиной 15 м | 1 | | | |
Колонны массой до 10 т | Траверса универсальная с передвигаемыми по балке обоймами, оснащенная двумя универсальными стропами | 1 | 10 | 4,5 | 0,79 |
Оттяжки пеньковые диаметром 19 - 24 мм, длиной 15 м | 1 | | | |
Колонны массой 16 т | Траверса универсальная с передвигаемыми по балке обоймами, оснащенная двумя универсальными стропами | 1 | 16 | 5,2 | 1,17 |
Оттяжки пеньковые диаметром 19 - 24 мм, длиной 15 м | 1 | | | |
Колонны массой до 40 т | Траверса для подъема балок и ригелей | 1 | 40 | 4,5 | 1,14 |
Оттяжки пеньковые диаметром 19 - 24 мм, длиной 15 м | 1 | | | |
Балки фундаментные пролетом 6 м, массой 2,5 т | Строп двухветвевой | 1 | 2,5 | 2,4 | 0,08 |
Оттяжка пеньковая диаметром 19 - 24 мм, длиной 15 м | 1 | | | |
Балки фундаментные пролетом 12 м, массой до 6,3 т | Строп двухветвевой | 1 | 6,3 | 5 | 0,09 |
Оттяжка пеньковая диаметром 19 - 24 мм, длиной 15 м | 1 | | | |
Фермы стропильные пролетом 18 м, массой до 10 т | Приспособления для строповки | 1 | 10 | 2,3 | 0,5 |
Балки стропильные двускатные решетчатые пролетом 18 м | Оттяжка пеньковая диаметром 19 - 24 мм, длиной 15 м | 1 | 4 | 5 | 6 |
Фермы стропильные пролетом 18 и 24 м, массой до 16 т | Приспособления для строповки | 1 | 16 | 2,3 | 0,5 |
Оттяжка пеньковая диаметром 19 - 24 мм, длиной 15 м | 2 | | | |
Фермы стропильные пролетом 24 м, массой до 20 т | Приспособления для строповки | 1 | 25 | 3,6 | 1,75 |
Оттяжка пеньковая диаметром 19 - 24 мм, длиной 15 м | 2 | | | |
Фермы стропильные | Приспособления для строповки | 1 | 12 | 0,4 | 0,15 |
Оттяжка пеньковая диаметром 19 - 24 мм, длиной 15 м | 2 | | | |
Балки стропильные с параллельными поясами пролетом 6 м | Строп двухветвевой | 1 | 1,6 | 2 | 0,02 |
Оттяжка пеньковая диаметром 19 - 24 мм, длиной 15 м | 2 | | | |
Балки стропильные с параллельными поясами пролетом 9 м | Строп двухветвевой | 1 | 3,2 | 3 | 0,04 |
Оттяжка пеньковая диаметром 19 - 24 мм, длиной 15 м | 2 | | | |
Балки стропильные с параллельными поясами пролетом 12 м | Строп двухветвевой | 1 | 5 | 5,3 | 0,05 |
Оттяжка пеньковая диаметром 19 - 24 мм, длиной 15 м | 2 | | | |
Балки стропильные двускатные решетчатые пролетом 12 м | Приспособление грузоподъемностью 10 т для строповки ферм | 1 | 10 | 2,3 | 0,5 |
Оттяжка пеньковая диаметром 19 - 24 мм, длиной 15 м | 2 | | | |
Плиты покрытий 3 x 6 м | Приспособление грузоподъемностью 5 т для подъема плит 6 x 3 м | 1 | 4 | 0,31 - 1,65 | 0,4 - 0,53 |
Оттяжка пеньковая диаметром 19 - 24 мм, длиной 15 м | 2 | | | |
Плиты покрытий 3 x 12 м и 1,5 x 12 м легкосбрасываемые | Приспособление грузоподъемностью 10 т для строповки плит | 1 | 10 | 3,3 - 2,02 | 0,7 |
Оттяжка пеньковая диаметром 19 - 24 мм, длиной 15 м | 2 | | | |
Панели стеновые длиной 6 м, массой до 3,2 т | Строп двухветвевой | 1 | 3,2 | 1,8 | 0,2 |
Панели стеновые длиной 6 м, массой до 4 т | Строп двухветвевой | 1 | 4 | 1,8 | 0,25 |
Панели стеновые длиной 6 м, массой до 5 т | Строп двухветвевой | 1 | 5 | 1,8 | 0,3 |
Панели стеновые длиной 12 м, массой до 10 т | Приспособление для строповки стеновых панелей | 1 | 10 | 3,92 | 0,72 |
Оттяжка пеньковая диаметром 19 - 24 мм, длиной 15 м | 1 | | | |
Панели стеновые длиной 12 м, массой до 10 т | Приспособление для строповки стеновых панелей | 1 | 10 | 1,9 | 0,4 |
Оттяжка пеньковая диаметром 19 - 24 мм, длиной 15 м | 1 | | | |
Панели перегородок длиной 6 м | Строп двухветвевой | 1 | 1 | 2,0 | 0,1 |
2 Стальные конструкции |
Подкрановые балки и тормозные фермы массой до 3 т | Строп четырехветвевой | 1 | 3 | 4,24 | 0,088 |
Оттяжка пеньковая диаметром 19 - 24 мм, длиной 15 м | 1 | | | |
Подкрановые балки и тормозные фермы массой до 5 т | Строп четырехветвевой | 1 | 5 | 9,3 | 0,215 |
Оттяжка пеньковая диаметром 19 - 24 мм, длиной 15 м | 1 | | | |
Блок из двух подкрановых балок пролетом 12 м | Траверса для подъема подкрановых балок | 1 | 10 | 3 | 0,25 |
Оттяжка пеньковая диаметром 19 - 24 мм, длиной 15 м | 1 | | | |
Конструкции светоаэрационных фонарей, связей и распорок | Строп двухветвевой | 1 | 3,2 | 3 | 0,25 |
Оттяжка пеньковая диаметром 19 - 24 мм, длиной 15 м | 1 | | | |
Оконные панели | Траверса для подъема переплетов остекления | 1 | 1,25 | 3,2 | 0,3 |
Оттяжки пеньковые диаметром 19 - 24 мм, длиной 15 м | 1 | | | |
Таблица 9.3
Первичные комплекты рекомендуемых приспособлений
для складирования сборных конструкций
Наименование конструкции | Наименование средства, тип, основные размеры, характеристика | Количество, шт. |
1 Железобетонные конструкции |
Колонны и балки фундаментные | Деревянные подкладки (брусья) толщиной 150 мм | 2 |
Фермы строительные и подстропильные | Кассета для складирования ферм | 2 |
Балки стропильные | Кассета для складирования балок | 2 |
Плиты покрытий 3 x 6 м (на штабель из пяти плит) | Деревянные подкладки (брусья) толщиной 150 мм | 2 |
Деревянные прокладки (брусья) толщиной 100 мм и длиной 250 мм | 16 |
Плиты покрытий 3 x 12 м и 1,5 x 12 м с выступающими монтажными петлями (на штабель из четырех плит) | Деревянные подкладки (брусья) толщиной 150 мм | 2 |
Прокладки (брусья) толщиной 180 мм, длиной 250 мм | 12 |
То же, с откидными монтажными петлями | Деревянные подкладки (брусья) толщиной 150 мм | 2 |
Деревянные прокладки (брусья) толщиной 50 мм, длиной 250 мм | 12 |
Панели стен и перегородок | Склад-пирамида | 2 |
2 Стальные конструкции |
Балки, подкрановые связи и др. | Деревянные подкладки (брусья) толщиной 150 мм | 2 |
Конструкции фонарей | Кассета на шесть панелей | 1 |
Деревянные подкладки (брусья) толщиной 150 мм | 2 |
Примечания 1 Длина каждой подкладки должна превышать ширину опираемой плоскости конструкции не менее чем на 100 мм. 2 Количество подкладок и прокладок дается на одну конструкцию (кроме плит покрытия). |
Таблица 9.4
Первичные комплекты инструментов для подготовки
к монтажу сборных конструкций
Наименование конструкции | Операция | Наименование инструмента, тип, характеристика | Количество, шт. |
1 Железобетонные конструкции |
Колонны | Очистка конструкций и закладных деталей | Молоток-кирочка | 2 |
Кувалда | 1 |
Скребок | 3 |
Щетка стальная прямоугольная | 3 |
Очистка дна стакана | Ковш отделочный (совок) | 2 |
Ведро | 2 |
Защита стакана от засорения | Деревянный щит (на один стакан) | 1 |
Укладка выравнивающего слоя на дно стакана <*> | Кельма | 2 |
Лопата | 2 |
Ведро | 2 |
Очистка конструкций и закладных деталей | Молоток ручной электрический или пневматический | 1 |
Машина ручная шлифовальная электрическая или пневматическая | 2 |
Очистка дна стакана | Молоток ручной электрический или пневматический | 1 |
Ковш отделочный (совок) | 2 |
Ведро | 2 |
Защита стакана от засорения | Деревянный щит (на один стакан) | 2 |
Укладка выравнивающего слоя на дно стакана <*> | Кельма | 2 |
Лопата | 2 |
Ведро | 2 |
Фундаментные балки, фермы (балки) стропильные и подстропильные, плиты покрытий, панели стен и перегородок (подготовка ручным инструментом) | Очистка мест опирания и закладных деталей | Молоток-кирочка | 2 |
Кувалда | 1 |
Скребок | 3 |
Щетка стальная прямоугольная | 3 |
Фундаментные балки, фермы (балки) стропильные и подстропильные, плиты покрытий, панели стен и перегородок (подготовка механизированным инструментом) | Очистка мест опирания и закладных деталей | Молоток ручной электрический или пневматический | 2 |
Машина ручная шлифовальная электрическая или пневматическая | 1 |
2 Стальные конструкции |
Подкрановые балки, тормозные балки и фермы, фонари, оконные панели, связи и распорки (подготовка ручным инструментом) | Очистка конструкции | Молоток | 2 |
Скребок | 3 |
Щетка стальная прямоугольная | 3 |
Подкрановые балки, тормозные балки и фермы, фонари, оконные панели, связи и распорки (подготовка механизированным инструментом) | Очистка конструкции | Молоток ручной электрический или пневматический | 1 |
Машина ручная шлифовальная электрическая или пневматическая | 1 |
<*> Вместо выравнивающего слоя можно применять калиброванные армобетонные подкладки, для работы с которыми инструмент не требуется. |
Таблица 9.5
Первичные комплекты средств для устройства рабочего места
Наименование конструкции | Наименование средства, тип, основные размеры, характеристика | Количество, шт. |
Подкрановые балки | Лестница секционная приставная с площадкой (стальная) | 2 |
Покрытия при высоте до низа стропильных конструкций до 4,8 м | Подмости секционные | 2 |
Ограждение канатное | |
Покрытия при высоте до низа стропильных конструкций от 6 до 18 м | Лестница секционная приставная с площадкой (стальная) | 2 |
Полумаршевая лестница H = 42 м (для подъема и спуска рабочих на смонтированные конструкции покрытия) | 1 |
Фонари шириной 12 м, длиной 6 и 12 м | Мостик переходной | 1 |
Люлька навесная (на стропильную ферму) | 1 |
Навесная лестница-площадка | 3 |
Приставная лестница-стремянка | 10 |
Фонари шириной 6 м, длиной 6 и 12 м | Мостик переходной | 1 |
Люлька навесная (на стропильную ферму) | 1 |
Навесная лестница-площадка | 3 |
Приставная лестница-стремянка | 10 |
Панели стеновые. Высота стены до 10 м (монтаж) | Автогидроподъемник | 2 |
Панели стеновые. Высота стены до 16 м (монтаж) | Автогидроподъемник | 2 |
Панели стеновые. Высота стены до 22,5 м (монтаж) | Автогидроподъемник | 2 |
Панели стеновые длиной 6 м. Высота стены 22,5 м | Подмости для монтажа стеновых панелей промышленных зданий | 1 |
Панели стеновые длиной 6 м (расшивка швов) | Траверса грузоподъемностью 6,5 т с люлькой | 1 |
Панели стеновые длиной 12 м (расшивка швов | Люлька самоподъемная грузоподъемностью 220 кг, длиной 4 м; высотой подъема 52 м | 1 |
Таблица 9.6
Первичные комплекты рекомендуемых приспособлений
для монтажа сборных конструкций
Наименование конструкции | Состав первичного комплекса | Техническая характеристика |
наименование | кол-во, шт. | грузоподъемность, т | монтажная высота, м | масса, т |
1 Сборные железобетонные конструкции |
Колонны прямоугольного сечения для бескрановых зданий, в том числе оборудованных подвесным транспортом. Масса до 6,3 т | Траверса грузоподъемностью 6,3 т | 1 | 6,3 | 0,8 | 0,1 |
Оттяжка пеньковая диаметром 19 - 24 мм, длиной 15 м | 1 | | | |
Колонны прямоугольного сечения для бескрановых зданий, в том числе оборудованных подвесным транспортом. Масса от 6,3 до 10 т | Приспособление для подъема колонн | 1 | 10 | 1,57 | 0,34 |
Оттяжка пеньковая диаметром 19 - 24 мм, длиной 15 м | 1 | | | |
Колонны прямоугольного сечения для зданий, оборудованных мостовыми кранами. Масса до 12,5 т | Траверса универсальная, оснащенная двумя универсальными стропами | 1 | 16 | 0,9 | 0,04 |
Оттяжка пеньковая диаметром 19 - 24 мм, длиной 15 м | 1 | | | |
Кантователь для колонн | 1 | 15 | 6 | 0,41 |
Колонны двухветвевые массой до 16 т | Траверса универсальная, оснащенная двумя универсальными стропами | 1 | 16 | 0,9 | 0,04 |
Оттяжка пеньковая диаметром 19 - 24 мм, длиной 15 м | 1 | | | |
Кантователь | 1 | 15 | 6 | 0,41 |
Распорный домкрат для усиления двухветвевых колонн при кантовке | 1 | - | - | 0,03 |
Колонны двухветвевые массой от 16 до 25 т | Траверса | 1 | 25 | 0,93 | 0,36 |
Оттяжка пеньковая диаметром 19 - 24 мм, длиной 15 м | 1 | | | |
Колонны двухветвевые массой от 25 до 26,6 т | Траверса | 1 | 40 | 0,8 | 0,34 |
Оттяжка пеньковая диаметром 19 - 24 мм, длиной 15 м | 1 | | | |
Колонны прямоугольного сечения фахверков массой до 8 т | Захват для колонн | 1 | 8 | 0,5 | 0,14 |
Оттяжка пеньковая диаметром 19 - 24 мм, длиной 15 м | 1 | | | |
Балки фундаментные пролетом 6 м, массой 2,5 т | Строп двухветвевой | 1 | 2,5 | 2,4 | 0,08 |
Оттяжка пеньковая диаметром 19 - 24 мм, длиной 15 м | 1 | | | |
Балки фундаментные пролетом 12 м, массой до 6,3 т | Строп двухветвевой | 1 | 6,3 | 5 | 0,09 |
Оттяжка пеньковая диаметром 19 - 24 мм, длиной 15 м | 1 | | | |
Фермы стропильные пролетом 18 м, массой до 10 т | Приспособление для строповки | 1 | 10 | 2,3 | 0,5 |
Балки стропильные двускатные решетчатые пролетом 18 м | Оттяжка пеньковая диаметром 19 - 24 мм, длиной 15 м | 2 | | | |
Фермы стропильные пролетом 18 и 24 м, массой до 16 т | Приспособление для строповки | 1 | 16 | 2,3 | 0,5 |
Оттяжка пеньковая диаметром 19 - 24 мм, длиной 15 м | 2 | | | |
Фермы стропильные пролетом 24 м, массой до 20 т | Приспособление для строповки | 1 | 25 | 3,6 | 1,75 |
Оттяжка пеньковая диаметром 19 - 24 мм, длиной 15 м | 2 | | | |
Фермы подстропильные | Приспособление для строповки ферм | 1 | 12 | 3,4 | 0,15 |
Оттяжка пеньковая диаметром 19 - 24 мм, длиной 15 м | 2 | | | |
Балки стропильные с параллельными поясами пролетом 6 м | Строп двухветвевой | 1 | 1,6 | 2 | 0,02 |
Оттяжка пеньковая диаметром 19 - 24 мм, длиной 15 м | 2 | | | |
Балки стропильные с параллельными поясами пролетом 9 м | Строп двухветвевой | 1 | 3,2 | 3 | 0,04 |
Оттяжка пеньковая диаметром 19 - 24 мм, длиной 15 м | 2 | | | |
Балки стропильные двускатные решетчатые пролетом 12 м | Приспособление грузоподъемностью 10 т для строповки ферм | 1 | 10 | 2,3 | 0,5 |
Оттяжка пеньковая диаметром 19 - 24 мм, длиной 15 м | 1 | | | |
| | ИС МЕГАНОРМ: примечание. Текст во второй графе дан в соответствии с официальным текстом документа. | |
|
Плиты покрытий 3 x 6 м | Траверса 0 = 4 т для подъема плит 6 x 3 м | 1 | 4 | 0,31 - 1,65 | 0,4 - 0,53 |
Оттяжка пеньковая диаметром 19 - 24 мм, длиной 15 м | 2 | | | |
Плиты покрытий 3 x 12 и 1,5 x 12 м легкосбрасываемые | Приспособление 0 = 10 т для строповки плит | 1 | 10 | 3,3 - 2,02 | 0,7 |
Оттяжка пеньковая диаметром 19 - 24 мм, длиной 15 м | 2 | | | |
Панели стеновые длиной 6 м, массой до 3,2 т | Строп двухветвевой | 1 | 3,2 | 1,8 | 0,2 |
Панели стеновые длиной 6 м, массой до 4 т | Строп двухветвевой | 1 | 4 | 1,8 | 0,25 |
Панели стеновые длиной 6 м, массой до 5 т | Строп двухветвевой | 1 | 5 | 1,8 | 0,3 |
Панели стеновые длиной 12 м, массой 5 т | Траверса для строповки стеновых панелей | 1 | 5 | 3,92 | 0,72 |
Оттяжка пеньковая диаметром 19 - 24 мм, длиной 15 м | 1 | | | |
Панели стеновые длиной 12 м, массой до 10 т | Приспособление для строповки стеновых панелей | 1 | 10 | 1,9 | 0,4 |
Оттяжка пеньковая диаметром 19 - 24 мм, длиной 15 м | 1 | | | |
Панели перегородок длиной 6 м | Строп двухветвевой | 1 | 1 | 2,0 | 0,1 |
2 Стальные конструкции |
Подкрановые балки и тормозные фермы массой до 3 т | Строп четырехветвевой | 1 | 3,4 | 24 | 0,08 |
Оттяжка пеньковая диаметром 19 - 24 мм, длиной 15 м | 1 | | | |
Подкрановые балки и тормозные фермы массой до 5 т | Строп четырехветвевой | 1 | 5 | 9,3 | 0,215 |
Оттяжка пеньковая диаметром 19 - 24 мм, длиной 15 м | 1 | | | |
Блок из двух подкрановых балок пролетом 12 м с тормозными конструкциями | Траверса для подъема подкрановых балок | 1 | 10 | 3 | 0,25 |
Оттяжка пеньковая диаметром 19 - 24 мм, длиной 15 м | 1 | | | |
Конструкция светоаэрационных фонарей, связей и распорок | Строп двухветвевой | 1 | 3,2 | 3 | 0,25 |
Оттяжка пеньковая диаметром 19 - 24 мм, длиной 15 м | 1 | | | |
Оконные панели | Траверса для подъема переплетов остекления | 1 | 1,25 | 3,2 | 0,3 |
Таблица 9.7
Первичные комплекты рекомендуемых приспособлений
для временного закрепления и выверки конструкций
Наименование конструкции | Наименование средства, тип, основные размеры, характеристика | Количество, шт. | Масса, т |
Колонны зданий высотой до низа стропильных конструкций до 10,8 м | | 50 | 0,007 |
Фиксатор | 4 | 0,01 |
Колонны зданий высотой до низа стропильных конструкций более 10,8 м | | 50 | 0,007 |
Фиксатор | 4 | 0,01 |
Расчалка с винтовой стяжкой для колонн | 20 | 0,02 |
Якорь переносной железобетонный | 20 | 0,5 |
Фермы (балки) стропильные пролетом 18 и 24 м | Крышевой кондуктор-распорка | 1 | 3,67 |
Инвентарная распорка для временного закрепления ферм | 1 | 0,122 |
Фермы и балки стропильные пролетом 18 и 24 м | Крышевой кондуктор-распорка | 1 | 0,122 |
Инвентарная распорка | 1 | 0,089 |
Фонари (монтаж плоскостными элементами) | Инвентарные подкосы со струбцинами и скобами | 6 | 0,05 |
<*> Количество клиновых вкладышей, расчалок и якорей может быть изменено в зависимости от конкретных условий монтажа, сроков снятия временных креплений и т.д. |
Таблица 9.8
Первичные комплекты рекомендуемого оборудования
для сварки и резки
Наименование работы | Тип или основные размеры | Количество, шт. |
Ручная дуговая электросварка | Источник питания сварочной дуги 300 - 500 А (сварочный аппарат) с комплектом пусковой и измерительной аппаратуры и подводящим кабелем | 1 |
Кабель для электрической дуговой сварки | 50 м |
Электрододержатель пружинный | 1 |
Шаблоны электросварщика (набор) | 1 |
Щетка стальная прямоугольная | 1 |
Зубило слесарное | 1 |
Молоток слесарный типа Б-7 | 1 |
Плоскогубцы комбинированные | 1 |
Метр металлический складной | 1 |
Футляр для хранения электродов массой 10 - 12 кг (и для огарков) | 1 |
Сумка для инструментов и электродов | 2 |
Переносная металлическая будка размерами 1,16 x 1,66 x 1,8 м (для сварочной аппаратуры, инструментов и электродов) | 1 |
Автогенная сварка и резка | Баллоны ацетиленовые (или генератор ацетиленовый низкого и среднего давления) | 2 |
Баллоны стальные малой и средней вместимости для газов | 2 |
Редукторы баллонные для газопламенной обработки | 3 |
Горелка сварочная (с комплектом наконечников с мундштуками) | 1 |
Резаки инжекторные для ручной кислородной резки | 1 |
Рукава резиновые для газовой сварки и резки металла | 40 м |
Ниппели к резиновым рукавам аппаратуры для газопламенной обработки металла | 4 |
Ключи гаечные разводные | 2 |
Молотки слесарные стальные типа Б-7 | 1 |
Зубила слесарные | 2 |
Напильник плоский N 4 | 1 |
Щетка стальная прямоугольная | 1 |
Плоскогубцы комбинированные | 1 |
Отвертки слесарно-монтажные | 1 |
Керосиново-кислородная резка | Баллоны стальные малой и средней вместимости для газов | 2 |
Рукава резиновые для газовой сварки и резки металла | 40 м |
Редукторы баллонные для газопламенной обработки | 2 |
Бачок для керосина | 1 |
Манометр на бачок для керосина | 1 |
Резак керосиново-кислородный (толщина стали до 200 мм) | 1 |
Клапан предохранительный | 1 |
Ниппели к резиновым рукавам аппаратуры для газопламенной обработки металла | 4 |
Ключи гаечные разводные | 2 |
Молотки слесарные стальные типа Б-7 | 1 |
Зубила слесарные | 2 |
Напильник плоский N 4 | 1 |
Щетка стальная прямоугольная | 1 |
Плоскогубцы комбинированные | 1 |
Отвертки слесарно-монтажные типа А | 1 |
Таблица 9.9
Первичные комплекты рекомендуемых приспособлений
для металлизации сварных стыков
Наименование процесса | Средство, тип, основные размеры, характеристика | Количество, шт. |
Газопламенное нанесение покрытий | Универсальный передвижной агрегат, включающий следующее оборудование: | |
установку газопламенного напыления | 1 |
передвижной компрессор производительностью 0,5 м3/мин | 1 |
осушитель воздуха - масловлагоотделитель, давление до 10 кгс/см2 | 1 |
регулятор давления сжатого воздуха | 1 |
баллоны стальные сварные для сжиженных газов на давление 16 кгс/см2 или баллоны ацетиленовые | 2 |
редуктор для пропан-бутана или для ацетилена | 1 |
тележку для перевозки баллонов | 1 |
рукава резиновые диаметров 9 - 12 мм | 30 м |
Нанесение покрытий электрометаллизацией | Ручной электрометаллизационный аппарат с электрическим приводом | 1 |
Передвижной компрессор СО-7 производительностью 0,5 м3/мин | 1 |
Трансформатор сварочный номинальной мощности 30 кВА и сварочного тока 500 А | 1 |
Катушка для проволоки | 1 |
Масловлагоотделитель, давление до 10 кгс/см2 | 1 |
Рукава резиновые диаметром 9 - 12 мм | 30 м |
Гибкий медный кабель ПРГД-25 сечением 25 мм2 | 30 м |
Вольтметр до 65 В | 1 |
Амперметр до 300 А | 1 |
Щетка-иглофреза | 1 |
Таблица 9.10
Первичные комплекты рекомендуемых средств для заделки стыков
и швов между строительными конструкциями
Наименование сопряжения | Средство, тип, основные размеры, характеристика | Количество, шт. |
Стык колонны с фундаментом стаканного типа (ручная заделка) | Ящик для раствора вместимостью 0,27 м3 | 6 |
Лопата растворная типа ЛР | 4 |
Кельма | 2 |
Глубинный вибратор с диаметром наконечника 28 или 36 мм | 1 |
Стык колонны с фундаментом стаканного типа (механизированная заделка) | Установка для приемки и транспортирования жесткого раствора | 1 |
Лопата растворная типа ЛВ | 2 |
Кельма типа КБ | 2 |
Глубинный вибратор с диаметром наконечника 28 или 36 мм | 1 |
Швы между плитами покрытий (ручная заделка) | Ящик для раствора вместимостью 0,24 м3 | 2 |
Емкость (ведро) | 2 |
Лопата растворная типа ЛР | 2 |
Швы между плитами покрытий (механизированная заделка) | Агрегат для замоноличивания стыков плит покрытий цементно-песчаным раствором | 1 |
Лопата растворная типа ЛР | 2 |
Стык и швы стеновых и перегородочных панелей (заделка раствором) | Ящик для раствора вместимостью 0,24 м3 | 2 |
Емкость (ведро) | 2 |
Лопата растворная типа ЛР | 2 |
Вибратор глубинный с диаметром наконечника 28 мм | 1 |
Кельма типа КБ | 2 |
Молоток-кирочка типа МКИ | 2 |
Щетка стальная прямоугольная | 1 |
Расшивка | 4 |
Стыки и швы стеновых и перегородочных панелей (герметизация стыков нетвердеющими мастиками) | Установка для набивки гильз мастикой | 1 |
Термостат для подогрева гильз с мастикой | 1 |
Газовая горелка типа ГПС-15 | 2 |
Баллоны стальные сварные для сжиженных газов на давление 16 кгс/см2 | 2 |
Редуктор для пропан-бутана | 1 |
Рукава резиновые | 30 м |
Рукава резиновые напорные с текстильным каркасом | 30 м |
Расшивка (для мастики) | 2 |
Заправщик жгутовых материалов | 1 |
Компрессор с рабочим давлением 0,7 МПа | 1 |
Будка изолировщиков | 1 |
Стыки и швы стеновых и перегородочных панелей - герметизация тиоколовыми мастиками | Ручной шприц | 1 |
Смесительно-заправочное устройство | 1 |
Газовая горелка типа ГПС-15 | 2 |
Баллоны стальные сварочные для сжиженных газов на давление 16 кгс/см2 | 2 |
Редуктор для пропан-бутана | 1 |
Рукава резиновые напорные с текстильным каркасом | 30 м |
Расшивка (для мастики) | 2 |
Будка изолировщика | 1 |
Таблица 9.11
Первичный комплекс рекомендуемых приспособлений
для предварительной укрупненной сборки
Наименование конструкции | Наименование средства, тип, основные размеры, характеристика | Количество, шт. | Масса, т |
Блок из двух подкрановых балок пролетом 12 м (с тормозной фермой). Высота балок до 1050 мм | Стенд для укрупнительной сборки | 1 | 2,22 |
Строп четырехветвевой грузоподъемностью 5 т | 1 | 0,22 |
Блок из двух подкрановых балок пролетом 12 м (с тормозной фермой). Высота балок до 1800 мм | Стенд для укрупнительной сборки | 1 | 2,33 |
Строп четырехветвевой грузоподъемностью 5 т | 1 | 0,22 |
Укрупнительная сборка фонарных ферм и панелей длиной 6 и 12 м | Стеллажи для укрупнительной сборки | 4 - 7 | 0,08 |
Шаблон | 1 | 0,05 |
Строп двухветвевой грузоподъемностью 5 т | 1 | 0,03 |
Таблица 9.12
Рекомендуемые средства индивидуальной защиты по профессиям
рабочих на монтаже сборных конструкций
Профессия | Назначение средства защиты | Наименование, марка средства защиты | Количество на 1 чел, шт. | Примечание |
Монтажник конструкций | Защита от падения человека с высоты | Предохранительный монтажный пояс | 1 | Обязателен к применению |
Защита головы от падения предметов с высоты | Каска с двух и трехслойными подшлемниками или каска шахтерская полиэтиленовая | 1 | То же |
Защита рук рабочего при контакте со стальными канатами, конструкциями и деталями, имеющими заусенцы и неровные края | Рукавицы брезентовые | 1 пара | Обязательны к применению |
Защита органов зрения и лица от брызг расплавленного металла, аэрозолей, слепящего действия света | Очки закрытые с кожаной полумаской | 1 | Применяют при электрогазосварочных работах |
Защита от поражения электрическим током при сварке на наружных установках после дождя и снегопада | Перчатки диэлектрические | 1 пара | Применяют при электросварочных работах |
То же | Диэлектрические коврики | 1 | То же |
Машинист монтажного крана | Защита головы от случайного падения предметов с высоты | Каска с двух- и трехслойными подшлемниками | 1 | Обязательна к применению |
Защита рук рабочего при контакте со стальными канатами, конструкциями и деталями, имеющими заусенцы и неровные края | Рукавицы комбинированные | 1 пара | Обязательны к применению |
Защита органов дыхания от пыли, песка, частиц грунта | Респиратор ШБ-1 "Лепесток" | 1 | Применяют для защиты от цементной, угольной и других видов пыли |
Защита органов слуха от шума | Противошумные наушники или противошумные вкладыши из ткани | 1 | Применяют для защиты от воздействия высокочастотного (шипящего, свистящего, звенящего) производственного шума с уровнем звуковой мощности до 100 - 120 дБ |
Стропальщик | Защита от падения человека с высоты | Пояс предохранительный | 1 | Обязателен к применению |
Защита головы от случайного падения предметов с высоты | Каска с двух- и трехслойными подшлемниками | 1 | То же |
Защита рук рабочих при контакте со стальными канатами, конструкциями и деталями, имеющими заусеницы и неровные края | Рукавицы брезентовые | 1 пара | Обязателен к применению |
Электросварщик | Защита от падения человека с высоты | Пояс предохранительный | 1 | То же |
Защита головы от случайного падения предметов с высоты | Каска с двух- и трехслойными подшлемниками | 1 | То же |
Защита рук рабочего при контакте с конструкциями и деталями, имеющими заусеницы, а также неровные края поверхности | Рукавицы брезентовые или асбестоцементные и брезентовые нарукавники | 1 пара | Применяют для защиты от брызг расплавленного металла, в частности, при проведении поточной сварки |
Защита органов зрения и лица от брызг расплавленного металла, электросварочных аэрозолей, действия электрической дуги | Щиток электросварщика или маска сварщика | 1 | Обязательны к применению для защиты глаз, лица от воздействия вредных излучений и ожогов, брызг расплавленного металла |
Защита органов дыхания от аэрозолей, пыли | Респиратор типа "Лепесток" | 1 | Применяют при наличии аэрозолей или пыли. Можно применять одновременно со щитком |
| | ИС МЕГАНОРМ: примечание. Текст в графе "Примечание" дан в соответствии с официальным текстом документа. | |
|
| Защита от поражения электрическим током при сварке на наружных установках после дождя и снегопада | Сапоги резиновые диэлектрические формовые | 1 пара | Применяют после дождя и |
Перчатки диэлектрические | 1 пара | То же |
Диэлектрические коврики | 1 | То же |
Газосварщик, газорезчик | Защита от падения человека с высоты | Пояс предохранительный | 1 | Применяют при работе на высоте |
Защита головы от случайного падения предметов с высоты | Каска с двух- и трехслойными подшлемниками | 1 | Обязательная к применению |
Защита рук рабочего при контакте с конструкциями и деталями, имеющими заусенцы и неровные края | Рукавицы брезентовые | 1 пара | Обязательны к применению для защиты от брызг и расплавленного металла |
Защита органов зрения и лица от брызг расплавленного металла, аэрозоля, слепящего действия света | Щиток электросварщика универсальный или маска сварщика | 1 | Обязательны к применению |
Очки закрытые с кожаной полумаской или очки со стеклами-светофильтрами | 1 | Применяют при газосварочных работах |
Плотник | Защита от падения человека с высоты | Пояс предохранительный | 1 | Обязателен к применению |
Защита головы от случайного падения предметов с высоты | Каска типа с двух- и трехслойными подшлемниками | 1 | Обязательна к применению |
Защита рук рабочего при контакте с конструкциями, деталями и материалами, имеющими заусенцы, а также неровные края поверхности | Рукавицы брезентовые | 1 пара | То же |
Защита органов зрения и лица от пыли, стружки, опилок | Очки типа "Моноблок-2" | 1 | Применяют при наличии пыли, стружки, опилок |
Бетонщик | Защита от падения человека с высоты | Пояс предохранительный | 1 | Применяют при работе на высоте |
Защита головы от случайного падения предметов с высоты | Рукавицы брезентовые | 1 пара | Применяют при контакте с конструкциями и деталями |
Защита рук рабочего при контракте с конструкциями и деталями, имеющими заусенцы и неровные края | Рукавицы брезентовые | 1 пара | Применяют при контакте с конструкциями и деталями |
Защита органов зрения и лица от пыли при очистке бетонных поверхностей, брызг строительного раствора | Очки типа "Моноблок-2" | 1 | Применяют при очистке бетонных поверхностей и работе со строительным раствором |
Защита от поражения электрическим током при электропрогреве бетона | Перчатки диэлектрические | 1 пара | Применяют при электропрогреве бетона |
Коврики диэлектрические резиновые | 1 | Применяют при электропрогреве бетона |
Защита от действия вибрации при работе с механизированным инструментом | Рукавицы антивибрационные | 1 пара | Применяют при работе с вибраторами и механизированным инструментом |
Изолировщик на антикоррозионной изоляции | Защита от падения человека с высоты | Пояс предохранительный | 1 | Обязателен к применению |
Защита головы от случайного падения предметов с высоты | Каска типа с двух- и трехслойными подшлемниками | 1 | То же |
Защита органов зрения и лица от металлической пыли | Очки типа "Моноблок-2" | 1 | Обязательны к применению |
Защита органов дыхания рабочего при очистке металлических конструкций от коррозии металлическими щетками или механизированным инструментом, насечке изолируемых поверхностей | Респиратор типа "Лепесток" | 1 | Обязателен к применению |
9.2 Расчетные показатели потребности для монтажа многоэтажных каркасных зданий приведены в
таблице 9.13.
Таблица 9.13
Многоэтажные каркасные здания
Операция | Приспособление, устройство и инструмент | Количество на 1 бригаду, шт. | Масса, кг |
Комплект для контроля качества |
Разбивка осей и исполнительная съемка | Теодолиты со штативами | 2 комплекта | |
Рулетки измерительные металлические | 3 | |
Рулетка компенсационная | 1 | |
Отвесы | 2 | |
Угольник стальной | 1 | |
Линейки стальные мерительные длиной 100 и 500 мм | 4 | |
Кернер | 2 | |
Набор мелков для разметки | 1 комплект | |
Линейка самоцентрирующая для определения осей элементов | 6 | |
Кисть флейцевая | 2 | |
Проволока стальная диаметром 2 мм | 50 м | |
Выверка горизонта | Нивелир со штативом | 1 комплект | |
Рулетка измерительная металлическая | 1 | |
Рейка для нивелирования | 4 | |
Комплект для складирования сборных конструкций в зоне монтажа |
| Уровни | 2 | |
Набор мелков для разметки | 1 комплект | |
Кисть флейцевая | 2 | |
Складирование колонн | Деревянные прокладки размером 100 x 100 x 3200 мм | 18 | |
Складирование ригелей | Деревянные прокладки размером 100 x 100 x 3200 мм | 24 | |
Складирование плит перекрытий | Деревянные подкладки размером 100 x 100 x 3200 мм | 256 | |
Складирование диафрагмы жесткости | Кассета | 2 комплекта | 400 |
Склад-пирамида | 2 | 1000 |
Складирование стеновых поясных панелей <**> | Кассета для панелей толщиной 350 мм | 9 | 218 |
Кассета для панелей толщиной 300 м | 9 | 210 |
Захват и подача лестничных маршей | Захват | 1 комплект | 60 |
Разгрузка, раскладка, захват и подача диафрагм жесткости, фундаментных блоков, ригелей, плит перекрытий и покрытий лестничных маршей и панелей стен <**> | Строп четырехветвевой грузоподъемностью, т: | | |
6,3 | 1 | 48 |
10,0 | 1 | 48 |
12,5 | 1 | 120 |
Разгрузка, раскладка, захват и подъем панелей перекрытий, панелей стен и диафрагм жесткости за 2 и 4 петли, обеспечивающие одинаковую нагрузку на ветви стропа | Траверса универсальная грузоподъемностью 10 т | 1 | 55 |
Разгрузка, раскладка, захват | Траверса грузоподъемностью 1,5 т | 1 | 244 |
Поворот колонны вокруг продольной оси на 90° в предмонтажное положение | Устройство для кантовки колонн | 1 | 20 - 24 |
Кассета для панелей толщиной 250 мм | 9 | 200 |
Складирование стеновых простеночных панелей | Склад-пирамида | 4 | 1000 |
Складирование перегородок <*> | Склад-пирамида | 2 - 4 | 1000 |
Складирование лестничных маршей | Кассета | 2 комплекта | 200 |
Комплект для разгрузки и раскладки конструкций в зоне монтажа для захвата и подачи конструкций в проектное положение |
Захват и подача колонн <**> | Захват рамочный грузоподъемностью 3 т | 1 | 45 |
То же, 6,3 т | 1 | 124 |
То же, 8 т | 1 | 232 |
Захват балансирный грузоподъемностью 8 т | 1 | 162 |
Комплект для устройства рабочего места на высоте и обеспечение безопасности |
Сообщение между этажами строящегося здания до установки лестничных маршей <**> | Инвентарная лестница высотой (м): | | |
2,0 + 3,0 | 2 | 24,3 + 38 |
3,3 | 2 | 48 |
3,6 | 2 | 59,4 |
4,2 | 2 | 66,8 |
4,8 | 2 | 74,1 |
6,0 | 2 | 87,8 |
Монтаж элементов, сварка и заделка стыков <*> | Передвижная площадка высотой (м): | | |
1,7 | 4 - 6 | 48 |
2,0 | 4 - 6 | 73 |
3,0 | 4 - 6 | 96 |
Приставная площадка высотой (м): | | |
2,8 | 4 | 67 |
3,8 | 4 | 61 |
Производство монтажных и сварочных работ по фасадным осям и в углах здания (при монтаже одиночным кондуктором) | Площадка: | | |
фасадная | 8 | 252 |
угловая | 2 | 304 |
Герметизация вертикальных и горизонтальных стыков панелей наружных стен со стороны фасадов | Площадка навесная | 2 | 2710 |
Ограждение лестничных маршей <*> | Ограждение трубчатое | 4 - 10 | 34 |
Подъем рабочих при заделке стыков между стеновыми панелями со стороны фасадов | Люлька | 1 | 760 |
Временное ограждение строительных площадок и опасных зон вблизи строящегося здания | Стойки с комплектом бортовых элементов | 26 комплектов | 44 |
Временное ограждение перекрытия и монтажной зоны | Трубчатое ограждение с креплением за монтажные петли, торцы плит или ригеля, а также тросовое, с креплением за колонны | 52 комплекта | 40 - 58 |
Временное ограждение открытых проемов окон | Ограждение сетеполотном с креплением за колонны | 52 комплекта | 25,4 |
Трубчатое ограждение | 52 комплекта | 8 |
Временное ограждение дверных проемов шахт лифтов | Трубчатое ограждение | 52 комплекта | 8 |
Освещение рабочих мест | Мачта поэтажная | 2 | 293 |
Светильник | 2 | 21 |
Комплект средств для временного закрепления и выверки |
Выверка и временное закрепление колонны в стакане фундамента | Комплект приспособлений, инструмента | 88 (2) | 7 (830) |
Выверка и временное закрепление колонн | Кондуктор одиночный | 12 | 561 |
Установка в проектное положение и временное крепление многоэтажных колонн <***> | Балка опорная | 12 - 17 | 81 - 108 |
Подкос | 18 - 24 | 30 |
Хомут (для всех сечений) | 9 - 12 | 13 - 18 |
Временное крепление и выверка диафрагм жесткости и стеновых панелей <*> | Подкосы: | | |
длина 6200 мм | 4 - 8 | 34 |
длина 4000 мм | 4 - 8 | 24 |
длина 1900 - 2900 мм | 4 - 8 | 17 |
Струбцина | 4 - 8 | 16 |
4 - 8 | 8 |
Временное крепление и выверка диафрагм жесткости и гипсобетонных перегородок <*> | Струбцина со стойкой | 4 | 51 |
Стойка | 4 - 8 | 26 |
Временное крепление и выверка гипсобетонных перегородок <*> | Упор | 10 - 28 комплектов (по 4 в каждом) | 26 |
Монтаж поясных панелей стен <*> | Струбцина | 4 - 8 комплектов (3 хомута + 2 стяжки) | 30 |
Монтаж простеночных панелей <*> | Струбцина со стойкой | 7 - 14 компл. (по 2 в каждом) | 52 |
Временное крепление угловых панелей стен | Хомут | 4 | 15 |
Выверка панелей стен и перегородок | Рейка с уровнем | 2 | 7 |
Разбивка рисок для установки панелей стен | Шаблон | 2 | 1 |
Установка панелей стен | Шаблон | 4 | 1 |
Комплект приспособлений и опалубок для заделки стыков и швов |
Ограждение полости стыка | Инвентарная опалубка | 6 - 12 | 27,4 |
Замоноличивание стыков между ригелем и колонной | Опалубка ниши ригеля, мм | | |
центральная H = 3080 | 16 | 26 |
H = 3960 | 16 | 30 |
у стены H = 3080 | 8 | 29 |
H = 3960 | | |
Замоноличивание стыков-диафрагм жесткости и колонн | Опалубка, мм | | |
H = 2460 | 8 комплектов (по 2 шт.) | 38 |
H = 2760 | 8 | 41,5 |
H = 3280 | 8 | 49 |
H = 3580 | 8 | 55,8 |
Замоноличивание стыков | Агрегат с турбулентным смесителем СБ-43Б для приготовления раствора и бетона из сухих смесей | 1 | |
Ящик для раствора вместимостью 0,27 м3 | 6 | |
Пресс-опалубка для замоноличивания стыков колонн | 4 | |
Контейнер для сухих смесей вместимостью 2,7 м3 | 2 | |
Ящик для компонентов вместимостью 0,35 м3 | 4 | |
Тележка со съемной емкостью вместимостью 0,1 м3 | 4 | |
Подштопка для заделки раствором горизонтальных швов | 2 | |
Ящик-контейнер утепленный при работе в зимних условиях вместимостью 0,3 м3 | 4 | |
Ведро | 6 | |
Герметизация стыков | Заправщик жгутовых материалов | 1 | |
Электрогерметизатор со сменными насадками | 1 | |
Головка распылительная для металлизации закладных деталей | 1 | |
Бачок питательный с порошком для напыления | 1 | |
Контейнер-тележка с баллонами газа (пропан-бутан), шлангами и огнетушителями в комплекте с газовой горелкой | 1 комплект | |
Масловодоотделитель | 1 | |
Установка компрессорная передвижная | | |
Горелка газовая для просушивания стыков | 1 комплект | |
Емкость для мастики 0,03 м3 | | |
Термостат для подогрева гильз с мастикой | 1 | |
Установка для набивки гильз мастикой в комплексе с компрессорной установкой | 1 | |
Шприц пневматический для герметизации стыков нетвердеющими мастиками | 1 | |
Преобразователь частоты тока | 1 | |
Трансформатор переносной понижающий на 36 В | 1 | |
Сварка стыков | Ящик инструментальный сварщика | 2 | |
Трансформатор сварочный (в комплекте со сварочными проводами) | | |
Мобильные здания для монтажной бригады (располагаемые на монтажном горизонте): | | |
будка монтажника | 1 | |
сушилка для спецодежды | 1 | |
будка изолировщика | 1 | |
<*> Если в таблице приведены две цифры, первая обозначает минимальное количество комплектов оснастки, необходимое для монтажа. <**> Выбирается один из типоразмеров оснастки в зависимости от характеристики конструкций, монтируемых организацией. <***> Оборудование, рекомендуемое для монтажа каркаса с многоэтажными колоннами. |
9.3 Расчетные показатели потребности для возведения крупнопанельных жилых зданий
Расчетные показатели потребности для возведения крупнопанельных жилых зданий приведены в
таблице 9.14.
Таблица 9.14
Крупнопанельные жилые дома
Операция | Приспособление, устройство и инструмент | Количество на одну бригаду, шт. |
Возведение надземной части здания |
Строповка всех элементов конструкций и кантование плит перекрытий в процессе подъема | Универсальное грузозахватное приспособление с автоматическим кантованием грузоподъемностью 8 т | 1 |
Строповка элементов крупнопанельных зданий | То же, с дистанционной расстановкой крюков грузоподъемностью 10 т | 1 |
Строповка сантехнических кабин за монтажные петли, закрепленные на поддоне | Траверса для подъема санитарно-технических кабин | 1 |
Строповка лестничных маршей без монтажных петель и технологических отверстий | Грузозахватное приспособление для монтажа лестничных маршей грузоподъемностью 2,1 т | 1 |
Строповка лестничных маршей без монтажных петель и технологических отверстий | Захват вилочный для лестничных маршей грузоподъемностью 1,5 т | 2 |
Строповка плит перекрытий толщиной 120 - 140 мм с технологическими отверстиями | Петля инвентарная грузоподъемностью 3 т | 2 |
Строповка элементов конструкций крупнопанельных зданий | Строп универсальный шестиветвевой грузоподъемностью 10 т | 1 |
Строповка шахт лифтов и сантехнических кабин различных габаритных размеров | Траверсы универсальные для монтажа шахт лифтов и сантехкабин грузоподъемностью 7 т | 1 |
Строповка плит перекрытий толщиной 120 - 160 мм с технологическими отверстиями | Захват петлевой грузоподъемностью 3 т | 2 |
Строповка труб мусоропровода | Захват для мусоропровода грузоподъемностью 300 кг | 2 |
Строповка лестничных маршей и плит лоджий с петлями и монтажными отверстиями | Захват вилочный грузоподъемностью 3 т | 2 |
Монтаж наружных и внутренних стеновых панелей |
Временное крепление и выверка стеновых панелей | Подкос телескопический | 20 |
Закрепление подкоса к плитам перекрытий, имеющим технологические отверстия | Устройство анкерное | 20 |
Временное крепление и выверка внутренних стеновых панелей и перегородок | Стойка | 20 |
То же | Стойка опорная монтажная | 20 |
Временное крепление и выверка балконных плит | Приспособление для монтажа балконных плит | 5 |
Временное крепление гипсобетонных перегородок | Стойка | 20 |
Временное крепление внутренних панелей | Связь монтажная | 4 |
Временное крепление внутренних стеновых панелей по верху | Штанга с осевым зажимом (начальная) | 4 |
Временное крепление внутренних становых панелей по верху | Штанга с осевым зажимом | 20 |
Временное крепление вентиляционных блоков | Струбцина | 4 |
Временное крепление подкоса в шов между многопустотными плитами перекрытий | Анкер щелевой | 10 |
10 Оснащение мобильных формирований средствами малой механизации и ручным инструментом (параметры оснащения нормокомплектами мобильных бригад, расчетные показатели потребности для пионерного освоения территорий, различных видов работ)
10.1 Параметры оснащения нормокомплектами мобильных бригад
Расчетные показатели оснащения бригад средствами малой механизации и ручным инструментом представляют собой совокупность таблиц расчетных показателей оснащения на соответствующие виды работ.
В табель технического оснащения рабочих мест средствами малой механизации и ручным инструментом входят следующие документы:
- организационно-технологические параметры производственной программы
(таблица 10.1);
- перечень технических средств, включенных в технологические комплекты по видам работ и конструктивам (
таблицы 10.2 и
10.3);
- табель технического оснащения строительной организации
(таблица 10.4);
- организационно-технологические параметры расчетных показателей оснащения нормокомплектами мобильных организаций
(таблица 10.5).
Организационно-технологические параметры
производственной программы (пример)
Наименование видов работ и конструктивов | Удельные расчетные показатели | Годовой объем в натуральных измерителях | Количество технологических комплектов, шт. |
объем работ в натуральных измерителях | Прогнозируемая выработка с учетом коэффициента использования (Kн = 0,5) | численность рабочих, чел. | численность технологического звена, чел. | |
Монтаж сборных железобетонных конструкций многоэтажных зданий | 10 тыс. м2 | 0,33 тыс. м2 ---------- чел.-год | 33 | 11 | 3 | 44,7 тыс. м2 | 13 |
Устройство монолитных бетонных и железобетонных конструкций, в т.ч. арматурные работы при устройстве инвентарных опалубок (деревянных и металлических), возведение конструкций в скользящей опалубке | 10 тыс. м3 | 0,21 тыс. м3 ---------- чел.-год | 48 | 12 | 4 | 21,7 тыс. м3 | 9 |
Перечень технических средств, включенных
в технологический комплект по устройству монолитных бетонных
и железобетонных конструкций (пример)
Соотношение между годовой программой
и удельным расчетным показателем составляет:
Наименование технических средств | Количество, шт. или комплектов | |
на удельный показатель объема работ | | на центральном складе (запас хранения) |
Арматурная мастерская, оснащенная следующим оборудованием: | 4 | 18 | 1 | 19 |
ножницы ручные механизированные | 8 | 36 | 3 | 39 |
станок для гибки арматуры | 8 | 36 | 3 | 39 |
сварочный кондуктор | 8 | 36 | 3 | 39 |
станок сверлильный | 8 | 36 | 3 | 39 |
подвесная сварочная машина | 8 | 36 | 3 | 39 |
преобразователь сварочный | 8 | 36 | 3 | 39 |
молоток ручной пучковый | 8 | 36 | 3 | 39 |
Гладилка ленточная с конусным концом | 16 | 72 | 7 | 79 |
Кельма для бетонных и каменных работ | 32 | 143 | 14 | 157 |
Перечень технических средств, включенных в технологический
комплект по монтажу сборных железобетонных конструкций
многоэтажных зданий (пример)
Соотношение между годовой программой
и удельным расчетным показателем составляет:
Наименование технических средств | Количество, шт. или комплектов | Всего по табелю |
на удельный показатель объема работ | на годовую программу | на центральном складе (запас хранения) |
Комплект одиночных кондукторов и площадок (фасадных и угловых) для монтажа колонн | 6 | 13 | 2 | 15 |
Шаблон для разметки осей колонн (изготавливается мастерской строительной организации) | 6 | 13 | 2 | 15 |
Кондуктор углообразный для совмещенного монтажа, выверки и временного закрепления колонн | 9 | 20 | 2 | 22 |
Шприц пневматический для герметизации стыков нетвердеющими мастиками | 6 | 13 | 2 | 15 |
Струбцина спаренная для временного крепления панели к колонне | 18 | 39 | 3 | 42 |
Гладилка ленточная с конусным концом | 6 | 13 | 2 | 15 |
Кельма для бетонных и каменных работ | 9 | 20 | 2 | 22 |
УТВЕРЖДАЮ:
Управляющий трестом
___________________
"__" _______ 20_ г.
Табель оснащения мобильного формирования набором
технических средств для производства работ по монтажу
сборных железобетонных конструкций (пример)
Наименование технических средств | Расчетное число на годовую программу, шт. | Расчетный резерв, шт. | Общее число средств, шт. | Источник комплектования | Масса, габаритные размеры в транспортируемом состоянии, ед. изм. |
Шприц для герметизации стыков | 12 | 2 | 15 | | |
Молоток ручной пучковый пневматический | 36 | 3 | 39 | | |
Гладилка ленточная с конусным концом | 13 | 2 | 15 | | |
Кельма для бетонных и каменных работ | 20 | 2 | 22 | | |
Шаблон для разметки осей колонн | 13 | 2 | 15 | Производится в мастерской строительной организации | |
Начальник мобильного строительного
формирования (СУ, участок, отряд) п.п.
Главный механик п.п.
Таблица 10.5
Организационно-технологические параметры расчетных
показателей оснащения нормокомплектами мобильных организаций
Наименование работ и конструктивов | Объем в натуральных удельных показателях | Характеристика утвержденного технологического процесса | Прогнозируемая годовая выработка в натуральных показателях на одного человека | Расчетная трудоемкость, чел.-дн. ( 7 x 8) <*> | Расчетная продолжительность работы, дн. | Расчетная численность рабочих, чел. ( 2: 5) <*> | Расчетная численность бригады (звена) по обязательной технологии, чел. | Планируемое количество бригад (звеньев) и нормокомплектов, ед. ( 8: 9) <*> |
по технологической карте | с учетом коэффициента использования (0,5) |
1 | | 3 | 4 | | 6 | | | | 10 |
Вырубка леса, расчистка и планировка территории (на объектах пионерного комплекса) | 10 тыс. м2 | Нормокомплект | 0,82 тыс. м2 ---------- чел.-год | 0,41 тыс. м2 ---------- чел.-год | 5520 | 230 | 24 | 6 | 4 |
Монтаж сборных щитовых домов (на объектах пионерного комплекса) | 10 тыс. м2 строительных конструкций | То же | 1,24 тыс. м2 ---------- чел.-год | 0,625 | 3680 | 230 | 16 | 8 | 2 |
Плотничные и столярные работы (заполнение дверных и оконных проемов, сборка и установка деревянных конструкций) | 10 тыс. м2 | Нормокомплекты | 3,34 тыс. м2 ---------- чел.-год | 1,67 | 1380 | 230 | 6 | 3 | 2 |
Монтаж сборных железобетонных конструкций многоэтажных зданий | 10 тыс. м3 | То же | 0,66 тыс. м3 ---------- чел.-год | 0,33 | 7590 | 230 | 33 | 11 | 3 |
Монтаж металлических конструкций | 1000 т | " | 0,25 тыс. т ---------- чел.-год | 0,125 | 1840 | 230 | 8 | 2 | 4 |
Устройство монолитных бетонных и железобетонных конструкций, в т.ч. инвентарных опалубок; арматурные работы; возведение конструкций в подвижной опалубке; укладка бетонной смеси | 10 тыс. м3 железобетона | " | 0,42 тыс. м3 ---------- чел.-год | 0,21 | 11040 | 230 | 48 | 12 | 4 |
Торкретирование | 10 тыс. м2 | Установка УММ | 9,85 тыс. м2 ---------- чел.-год | 4,92 | 460 | 230 | 2 | 2 | 1 |
Устройство бетонных полов | 10 тыс. м2 | Нормокомплект | 3,33 тыс. м2 ---------- чел.-год | 1,66 | 1380 | 230 | 6 | 6 | 1 |
Штукатурные работы | 100 тыс. м2 | То же | 4,16 тыс. м2 ---------- чел.-год | 2,08 | 11040 | 230 | 48 | 12 | 4 |
Малярные работы | 100 тыс. м2 | Нормокомплект | 6,66 тыс. м2 ---------- чел.-год | 3,33 | 6900 | 230 | 30 | 10 | 3 |
Облицовка внутренних стен; укладка плиток в покрытие пола | 10 тыс. м2 | Нормокомплект | 3,34 тыс. м2 ---------- чел.-год | 1,67 | 1380 | 230 | 6 | 3 | 2 |
Устройство кровель из рулонных материалов, в том числе: | | | | | | | | | |
на горячих битумных мастиках | 100 тыс. м2 | Нормокомплект | 5,72 тыс. м2 ---------- чел.-год | 2,86 | 8050 | 230 | 35 | 7 | 5 |
на холодных битумных мастиках | То же | То же | 11,12 тыс. м2 ---------- чел.-год | 5,56 | 4140 | 230 | 18 | 6 | 3 |
Устройство полов: | | | | | | | | | |
дощатых | 10 тыс. м2 | Нормокомплект | 2,2 тыс. м2 ---------- чел.-год | 1,25 | 2070 | 230 | 9 | 2 | 4 |
паркетных | То же | То же | 3,0 тыс. м2 ---------- чел.-год | 1,43 | 1610 | 230 | 7 | 1 | 7 |
линолеумных и из плиток ПХВ | " | " | 13,2 тыс. м2 ---------- чел.-год | 7,14 | 3450 | 230 | 14 | 2 | 7 |
Остекление переплетов | | | | | | | | | |
металлических деревянных | 100 тыс. м2 | Нормокомплект | 8,0 тыс. м2 ---------- чел.-год | 4,0 | 5520 | 230 | 24 | 6 | 4 |
Прокладка трубопроводов для инженерных коммуникаций (водопровод, канализация, теплосети) | 100 тыс. м2 | Нормокомплект | 4,16 тыс. м ---------- чел.-год | 2,08 | 11040 | 230 | 48 | 8 | 6 |
Гидроизоляционные работы, в том числе: | | | | | | | | | |
оклеечная изоляция | 100 тыс.м2 | Нормокомплект | 11,2 тыс. м2 ---------- чел.-год | 5,6 | 4140 | 230 | 18 | 6 | 3 |
обмазочная изоляция | То же | То же | 40,0 тыс. м2 ---------- чел.-год | 20,0 | 1150 | 230 | 5 | 5 | 1 |
<*> В скобках указаны номера граф настоящей таблицы. |
При расчете организационно-технологических параметров коэффициент использования технологического комплекта принят равным 0,5. При составлении табеля оснащения конкретной организации значение коэффициента следует уточнять.
Перечень организационно-технологических параметров производственной программы - первичный документ для составления табеля технического оснащения, определяющий по основным видам работ, конструктивам и характеристикам утвержденных технологических процессов следующие показатели: объем работ в натуральных показателях, планируемую выработку в натуральных показателях, расчетную трудоемкость, продолжительность работ. Перечисленные данные подготавливаются соответствующими отделами строительной организации. Итог перечня организационно-технологических параметров - расчетное число рабочих и технологических комплектов.
в
графе 1 приводят наименования видов работ и конструктивов, которые соответствуют специфике работ конкретной организации;
графы 2 -
6 - по соответствующим показателям таблиц расчетных показателей оснащения;
графа 7 - в соответствии с планируемыми объемами работ в натуральных показателях (при этом можно использовать среднегодовые или прогнозируемые показатели);
Перечень технических средств, входящих в технологический комплект, разрабатывается в соответствии с расчетными показателями объемов работ данной строительной организации.
графа 1 - расчетные показатели оснащения;
графа 2 - количество технических средств на удельный показатель годовой программы в натуральных измерителях, определяемое из расчетных показателей оснащения;
графа 3 - количество технических средств на годовую программу строительной организации, определяемое умножением данных графы 2 на соотношение между годовой программой и удельным показателем с округлением до целого числа;
графа 4 - количество технических средств, хранящихся на центральном складе, определяемое в соответствии с расчетным резервом (запасом) с округлением до целого числа.
Для бесперебойного обеспечения объектов техническими средствами оснащения рабочих мест рекомендуется иметь на складе следующий расчетный резерв (запас) средств, % потребности:
ручной инструмент и оснастка со сроком службы
до 9 мес ................................. 75;
до 12 мес ................................ 50;
до 18 мес ................................ 30;
более 18 мес ............................. 20;
машины ручные ............................ 10;
строительно-монтажные пистолеты .......... 20;
вибраторы ................................ 20;
другие средства малой механизации ........ 20.
Расчетный запас технических средств, которые хранят непосредственно в бригадных инструментальных пунктах (контейнерах), включен в состав технологических комплектов расчетных показателей оснащения. Расчетный резерв технических средств, которые рекомендуется иметь на складе, включается в перечень технических средств по видам работ и конструктивам.
При расчетах табеля технического оснащения для конкретной организации допускают, с разрешения вышестоящей организации и при соответствующем обосновании, изменения в сторону увеличения количества резервных средств, принимая во внимание мобильный характер организации строительно-монтажного производства (расстояния перевозок, условия транспортирования, климатические условия).
10.2 Расчетные показатели потребности для пионерного освоения территорий
10.2.1 Работы по вырубке леса, расчистке и планировке территории на объектах пионерного комплекса (
таблицы 10.6 -
10.7).
Таблица 10.6
Перечень технических средств оснащения рабочих мест,
включенных в технологический комплект
| | ИС МЕГАНОРМ: примечание. Сноска в таблице дана в соответствии с официальным текстом документа. | |
Наименование технологических комплектов | Наименование технических средств | Количество нормокомплектов на удельный показатель годовой программы, шт. | Количество средств на один нормокомплект, шт. | Количество средств на удельный показатель объема работ, шт. ( 3 x 6) |
для повседневного использования | для периодического использования и резерв | |
1 | 2 | | | | | 7 |
Технологический комплект для производства работ по вырубке леса, расчистке и планировке территории (на объектах пионерного комплекса) | Молоток отбойный пневматический | 4 | 5 | 1 | 6 | 24 |
Пилы бензомоторные | 4 | 2 | 6 | 24 |
Мостик переходной инвентарный | 9 | 2 | 11 | 44 |
Лестница переносная | 2 | 1 | 3 | 12 |
Установка осветительная переносная | 3 | 1 | 4 | 16 |
Каска защитная монтажная | 9 | 2 | 11 | 44 |
<*> В скобках указаны номера граф настоящей таблицы. |
Таблица 10.7
Ручной строительно-монтажный
и контрольно-измерительный инструмент
Наименование инструмента | Количество инструмента (шт.) для | Расчетная потребность, шт. |
землекопов, 2 чел. | транспортные рабочие, 2 чел. | по норме для повседневного использования | для периодического использования и в резерв | всего на один нормокомплект | на удельный показатель объема работ |
по норме на 100 чел. с учетом срока службы | расчетная потребность | по норме на 100 чел. с учетом срока службы | расчетная потребность |
Ножовка по дереву | 0 | 1 | 5 | 1 | 2 | 1 | 3 | 12 |
Топор строительный | 5 | 1 | 5 | 1 | 2 | 1 | 3 | 12 |
Кирка-мотыга | 2 | 1 | 6 | 1 | 2 | 1 | 3 | 12 |
Кирка двухсторонняя | 1 | 1 | - | - | 1 | 1 | 2 | 8 |
Молоток плотничный | - | - | 13 | 1 | 1 | 1 | 2 | 8 |
Лом-гвоздодер | 13 | 1 | - | - | 1 | 1 | 2 | 8 |
Ломы обыкновенные | 10 | 1 | - | - | 1 | 1 | 2 | 8 |
Лопаты копальные остроконечные | 150 | 2 | 8 | 1 | 3 | 1 | 4 | 16 |
Лопаты копальные прямоугольные | 100 | 1 | 8 | 1 | 2 | 1 | 3 | 12 |
Лопаты подборочные | 54 | 1 | 4 | 1 | 2 | 1 | 3 | 12 |
Скребок | 10 | 1 | - | - | 1 | 1 | 2 | 8 |
Кувалда кузнечная продольная остроносая | 4 | 1 | - | - | 1 | 1 | 2 | 8 |
Кувалда кузнечная продольная тупоносая | 4 | 1 | 1 | 1 | 2 | 1 | 3 | 12 |
Ломы монтажные | - | - | 6 | 1 | 1 | 1 | 2 | 8 |
Рулетка измерительная металлическая | 5 | 1 | 5 | 1 | 2 | 1 | 3 | 12 |
Отвесы стальные строительные | 9 | 1 | - | - | 1 | 1 | 2 | 8 |
Лопаты растворные | 24 | 1 | - | - | 1 | 1 | 2 | 8 |
По расчету при производстве работ по вырубке леса, расчистке и планировке территории требуются рабочие специальностей, приведенных в
таблице 10.8.
Таблица 10.8
Расчет численного состава бригады
Специальность | На бригаду | На удельный показатель объема работ |
Вальщики леса | 1 | 4 |
Лесорубы | 1 | 4 |
Землекопы | 2 | 8 |
Транспортные (подсобные) рабочие | 2 | 8 |
Итого: | 6 | |
<*> Расчетная численность рабочих по прогнозируемой выработке с учетом коэффициента использования  составляет 22 чел. |
Принимается численность рабочих, кратная числу бригад, 24 чел. В соответствии с этим произведена корректировка выработки.
10.2.2 Монтаж сборно-разборных зданий на объектах пионерного комплекса (
таблицы 10.9 -
10.10).
Таблица 10.9
Перечень технических средств оснащения рабочих мест,
включенных в технологический комплект для монтажа
сборно-разборных зданий
Наименование технических средств | Количество нормокомплектов на удельный показатель годовой программы, шт. | Количество средств на один нормокомплект, шт. | Количество средств на удельный показатель объема работ, шт., ( 2 х 5) <*> |
для повседневного использования | для периодического использования и в резерв | |
1 | | | | | 6 |
Вагончик-контейнер с набором стационарного оборудования и механизмов, в том числе: | 2 | 1 | 1 | 2 | 4 |
верстак столярный | 1 | 1 | 2 | 4 |
верстак слесарный (с электроточилом и слесарными тисками) | 1 | 1 | 2 | 4 |
машина деревообрабатывающая | 1 | 1 | 2 | 4 |
станок заточный электрический | 1 | 1 | 2 | 4 |
машина ручная сверлильная | 1 | 1 | 2 | 4 |
машина ручная сверлильная | 1 | | 2 | 4 |
электрическая | | | | |
Пила ручная электрическая | 1 | 1 | 2 | 4 |
Машина ручная сверлильная электрическая (со сверлом с победитовой наплавкой) | 1 | 1 | 2 | 4 |
Рубанок ручной электрический | 1 | 1 | 2 | 4 |
Долбежник ручной электрический | 1 | 1 | 2 | 4 |
Приспособление для врезки дверных замков | 1 | 1 | 2 | 4 |
Машина для острожки деревянных полов | 1 | 1 | 2 | 4 |
Сжим реечный | 2 | 2 | 4 | 8 |
Стусло | 1 | 1 | 2 | 4 |
Столик облегченный | 1 | 1 | 2 | 4 |
Контейнер для погонажных изделий | 1 | 1 | 2 | 4 |
Машина ручная шлифовальная электрическая угловая | 1 | 1 | 2 | 4 |
Агрегат электросварочный | 1 | 1 | 2 | 4 |
Компрессор диафрагменный | 1 | | 2 | 4 |
Прижим верстачный для труб | 1 | 1 | 2 | 4 |
Лебедка ручная монтажная | 1 | 1 | 2 | 4 |
Кран консольный ("кран в окно") | 1 | 1 | 2 | 4 |
Самозахват с трещоткой для нарезания резьбы и зенкования труб | 2 | 1 | 1 | 2 | 4 |
Тележка ручная платформенная | 1 | 1 | 2 | 4 |
Заглушки комплектные проходные | 1 | 1 | 2 | 4 |
Редукторы: | | | | |
кислородный | 1 | 1 | 2 | 4 |
ацетиленовый | 1 | 1 | 2 | 4 |
пропан-бутановые | 1 | 1 | 2 | 4 |
Генератор ацетиленовый | 1 | 1 | 2 | 4 |
Пенал для электродов | 1 | 1 | 2 | 4 |
Маска электросварщика | 1 | 1 | 2 | 4 |
Очки защитные газосварщика | 2 | 2 | 4 | 8 |
Насос ручной гидравлический | 1 | 1 | 2 | 4 |
Инструментально-раздаточная мастерская на колесном шасси | 1 | 1 | 2 | 4 |
Переносной светильник с кабелем и понижающим трансформатором | 1 | 1 | 2 | 4 |
Трубогибы ручные для труб | 1 | 1 | 2 | 4 |
Щетка стальная угловая пневматическая | 1 | 1 | 2 | 4 |
Молоток пневматический или электрический с защитным устройством и сменными наконечниками | | | | |
МП-8 | 1 | 1 | 2 | 4 |
ИЭ-4709А | 1 | 1 | 2 | 4 |
МО-44 | 1 | 1 | 2 | 4 |
Бороздодел ручной | 1 | 1 | 2 | 4 |
Лестница переносная | 1 | 1 | 2 | 4 |
Тиски слесарные поворотные | 1 | 1 | 2 | 4 |
Тиски стуловые | 1 | 1 | 2 | 4 |
Центраторы для труб | 1 | 1 | 2 | 4 |
Стропы четырехветвевые | 2 | 2 | 1 | 3 | 6 |
Пресс гидравлический | 1 | 1 | 2 | 4 |
Горелки газовые с комплектом сменных мундштуков | 1 | 1 | 2 | 4 |
Газовый резак с комплектом наконечников, работающий на ацетилене и пропан-бутане | 1 | 1 | 2 | 4 |
Затворы предохранительные для газосварочных работ | 1 | 1 | 2 | 4 |
Клещи для обработки проводов | 1 | 1 | 2 | 4 |
Сварочные ранцевые полуавтоматы | 1 | 1 | 2 | 4 |
Электрододержатель до 500 А | 1 | 1 | 2 | 4 |
Передвижные установки газовой сварки и пайки | 1 | 1 | 2 | 4 |
Пружинная клемма заземления | 1 | 1 | 2 | 4 |
Трансформатор сварочный | 1 | 1 | 2 | 4 |
<*> В скобках указаны номера граф настоящей таблицы. |
Таблица 10.10
Ручной строительно-монтажный
и контрольно-измерительный инструмент
Наименование инструмента | Количество инструментов, шт., для рабочих следующих специальностей | Расчетная потребность, шт. |
плотников, по совместительству монтажников и такелажников, 2 чел. | плотников, 2 чел. | столяров, 2 чел. | слесаря-сантехника, по совместительству газоэлектросварщика, 1 чел. | слесаря-электромонтажника, 1 чел. | по норме для повседневного использования | для периодического использования и в резерв | всего на один нормокомплект | на удельный показатель объема работ |
по норме на 100 чел. с учетом срока службы | расчетная потребность | по норме на 100 чел. с учетом срока службы | расчетная потребность | по норме на 100 чел. с учетом срока службы | расчетная потребность | по норме на 100 чел. с учетом срока службы | расчетная потребность | по норме на 100 чел. с учетом срока службы | расчетная потребность |
Долота плотничные 6, 8, 10, 12, 16, 20 мм (комплект) | 15 | 1 | - | - | - | - | - | - | - | - | 1 | 1 | 2 | 4 |
Долота столярные 6, 8, 10, 12, 16, 20 мм (комплект) | - | - | - | - | 50 | 1 | - | - | - | - | 1 | 1 | 2 | 4 |
Коловороты с трещоткой | 9 | 1 | - | - | 8 | 1 | - | - | - | - | 2 | 1 | 3 | 6 |
Ножовка по дереву | 50 | 2 | 50 | 2 | 25 | 2 | - | - | - | - | 6 | 2 | 8 | 16 |
Ножовка столярная | - | - | - | - | 33 | 2 | - | - | - | - | 2 | 1 | 3 | 6 |
Пила поперечная двуручная по дереву | 10 | 1 | - | - | - | - | - | - | - | - | 1 | 1 | 2 | 4 |
Пила лучковая с металлическим или деревянным станком | - | - | - | - | 11 | 2 | - | - | - | - | 2 | 1 | 3 | 6 |
Полуфуганок | - | - | - | - | 8 | 1 | - | - | - | - | 1 | 1 | 2 | 4 |
Разводка для пил | - | 10 | 1 | - | | | - | - | - | - | 1 | 1 | 2 | 4 |
Рейсмус реечный | - | 10 | 1 | - | 50 | 1 | - | - | - | - | 2 | 1 | 3 | 6 |
Рубанок с одиночным ножом | - | 18 | 1 | - | 8 | 1 | - | - | - | - | 2 | 1 | 3 | 6 |
Рубанок-шерхебель | - | 20 | 1 | - | 17 | 1 | - | - | - | - | 2 | 1 | 3 | 6 |
Рубанок с двойным ножом | - | 18 | 1 | - | 8 | 1 | - | - | - | - | 2 | 1 | 3 | 6 |
Рубанок-фальцгебель | - | - | - | - | 12 | 1 | - | - | - | - | 1 | 1 | 2 | 4 |
Рубанок-зензубель | - | - | - | - | 12 | 1 | - | - | - | - | 1 | 1 | 2 | 4 |
Сверла перовые к коловороту диаметром 6, 8, 10 мм (набор) | 9 | 1 | - | - | 3 | 1 | - | - | - | - | 2 | 1 | 3 | 6 |
Сверла витые к коловороту диаметром 12, 16, 20, 25, 32, 40 мм (набор) | 9 | 1 | - | - | 3 | 1 | - | - | - | - | 2 | 1 | 3 | 6 |
Сверла центровые к коловороту диаметром 12, 16, 20, 25, 32, 40 мм (набор) | 9 | 1 | - | - | 3 | 1 | - | - | - | - | 2 | 1 | 3 | 6 |
Топор строительный | 50 | 2 | 50 | 2 | - | - | - | - | - | - | 4 | 1 | 5 | 10 |
Фуганок | - | - | - | - | 4 | 1 | - | - | - | - | 1 | 1 | 2 | 4 |
Цикли с шириной ножа 35 и 60 мм | - | - | - | - | 9 | 1 | - | - | - | - | 1 | 1 | 2 | 4 |
- | - | - | - | 8 | 1 | - | - | - | - | 1 | 1 | 2 | 4 |
Киянка прямоугольная | - | - | - | - | 33 | 2 | - | - | - | - | 2 | 1 | 3 | 6 |
Молоток-кулачок | 25 | 1 | - | - | - | - | - | - | - | - | 1 | 1 | 2 | 4 |
Молоток плотничный | 33 | 2 | 33 | 2 | - | - | - | - | - | - | 4 | 1 | 5 | 10 |
Молоток столярный | | | | | | | | | | | | | | |
МСТ-1 | - | - | - | - | 17 | 1 | - | - | - | - | 1 | 1 | 2 | 4 |
МСТ-2 | - | - | - | - | 17 | 1 | - | - | - | - | 1 | 1 | 2 | 4 |
Клещи строительные | | | | | | | | | | | | | | |
КС-180 | - | - | - | - | 17 | 1 | - | - | - | - | 1 | 1 | 2 | 4 |
КС-250 | 13 | 1 | - | - | - | - | - | - | - | - | 1 | 1 | 2 | 4 |
Ломы-гвоздодеры | | | | | | | | | | | | | | |
ЛГ-16 | 6 | 1 | - | - | - | - | - | - | - | - | 1 | 1 | 2 | 4 |
ЛГ-20 | 7 | 1 | - | - | - | - | - | - | - | - | 1 | 1 | 2 | 4 |
ЛГ-24 | 7 | 1 | - | - | - | - | - | - | - | - | 1 | 1 | 2 | 4 |
Ломы обыкновенные | 6 | 1 | - | - | - | - | - | - | - | - | 1 | 1 | 2 | 4 |
Отвертка столярная или слесарно-монтажная | - | - | - | - | 50 | 2 | - | - | - | - | 2 | 1 | 3 | 6 |
Шлямбуры (комплект) | 100 | 2 | 100 | 2 | - | - | 24 | 1 | 20 | 1 | 6 | 2 | 8 | 16 |
Скребок | 20 | 1 | - | - | - | - | - | - | - | - | 1 | 1 | 2 | 4 |
Шпатели с металлической ручкой | | | | | | | | | | | | | | |
ШМ-45 | - | - | - | - | - | - | 12 | 1 | - | - | 1 | 1 | 2 | 4 |
ШМ-75 | - | - | - | - | - | - | 11 | 1 | - | - | 1 | 1 | 2 | 4 |
Лопата копальная остроконечная | 24 | 1 | - | - | - | - | - | - | - | - | 1 | 1 | 2 | 4 |
Лопата копальная прямоугольная | 27 | 1 | - | - | - | - | - | - | - | - | 1 | 1 | 2 | 4 |
Лопата подборочная | 14 | 1 | - | - | - | - | - | - | - | - | 1 | 1 | 2 | 4 |
Кельма для бетонных и каменных работ | 27 | 2 | - | - | - | - | - | - | - | - | 2 | 1 | 3 | 6 |
Конопатка стальная | | | | | | | | | | | | | | |
К-40-01 | 8 | 1 | - | - | - | - | 18 | 1 | - | - | 2 | 1 | 3 | 6 |
К-50-01 | 10 | 1 | - | - | - | - | 17 | 1 | - | - | 2 | 1 | 3 | 6 |
Кирко-мотыга | | | | | | | | | | | | | | |
КМ-1 | 6 | 1 | - | - | - | - | - | - | - | - | 1 | 1 | 2 | 4 |
КМ-2 | 6 | 1 | - | - | - | - | - | - | - | - | 1 | 1 | 2 | 4 |
Бородки слесарные | - | - | - | - | - | - | 23 | 2 | 23 | 2 | 4 | 1 | 5 | 10 |
Зубила | 50 | 2 | - | - | - | - | 93 | 2 | 23 | 2 | 6 | 2 | 8 | 16 |
Зубила монтажные | 50 | 2 | - | - | - | - | - | - | - | - | 2 | 1 | 3 | 6 |
Клуппы трубные | - | - | - | - | - | - | 12 | 1 | - | - | 1 | 1 | 2 | 4 |
Кусачки торцовые | 10 | 1 | - | - | - | 25 | 1 | - | 50 | 1 | 3 | 1 | 4 | 8 |
Кусачки боковые с изолирующими ручками | - | - | - | - | - | - | - | - | 50 | 1 | 1 | 1 | 2 | 4 |
Ножницы ручные для резки металла | - | - | - | - | - | - | 8 | 1 | 8 | 1 | 2 | 1 | 3 | 6 |
Плашки круглые для метрической резьбы | - | - | - | - | - | - | 46 | 1 | - | - | 1 | 1 | 2 | 4 |
Плашки круглые для трубной цилиндрической резьбы | - | - | - | - | - | - | 48 | 1 | - | - | 1 | 1 | 2 | 4 |
Полотна ножовочные | - | - | - | - | - | - | 480 | 5 | 100 | 2 | 7 | 2 | 9 | 18 |
Рамки ножовочные ручные | - | - | - | - | - | - | 10 | 1 | 10 | 1 | 2 | 1 | 3 | 6 |
Труборез малогабаритный | - | - | - | - | - | - | 16 | 1 | - | - | 1 | 1 | 2 | 4 |
Труборез ручной | - | - | - | - | - | - | 12 | 1 | - | - | 1 | 1 | 2 | 4 |
Труборез | - | - | - | - | - | - | 12 | 1 | - | - | 1 | 1 | 2 | 4 |
Труборез для стальных труб ТРС-50 | - | - | - | - | - | - | 7 | 1 | - | - | 1 | 1 | 2 | 4 |
Трубогибы ручные секторные | - | - | - | - | - | - | 18 | 1 | - | - | 1 | 1 | 2 | 4 |
Кувалда кузнечная продольная тупоносая типа | | | | | | | | | | | | | | |
К-2 | 1 | 1 | - | - | - | - | - | - | - | - | 1 | 1 | 2 | 4 |
К-5 | 1 | | - | - | - | | - | - | - | - | 1 | 1 | 2 | 4 |
Кувалда кузнечная продольная остроносая | 2 | 1 | - | - | - | - | - | - | - | - | 1 | 1 | 2 | 4 |
Молоток слесарный с круглым бойком массой 0,8 кг | - | - | - | - | - | - | 50 | 1 | 50 | 1 | 2 | 1 | 3 | 6 |
Ключи гаечные с открытым зевом двухсторонние (комплект) | 10 | 1 | - | - | - | - | 12 | 1 | 33 | 1 | 3 | 1 | 4 | 8 |
Ключи гаечные торцовые с квадратной шестигранной головкой к коловороту | 9 | 1 | - | - | - | - | - | - | - | - | 1 | 1 | 2 | 4 |
Ключи гаечные разводные | 10 | 1 | 10 | 1 | - | - | 36 | 1 | - | - | 3 | 1 | 4 | 8 |
Ключи трубные рычажные | | | | | | | | | | | | | | |
N 1 | - | - | - | - | - | - | 18 | 1 | - | - | 1 | 1 | 2 | 4 |
N 2 | - | - | - | - | - | - | 47 | 1 | - | - | 1 | 1 | 2 | 4 |
N 3 | - | - | - | - | - | - | 35 | 1 | - | - | 1 | 1 | 2 | 4 |
Ключи трубные накидные (520 шт.) | - | - | - | - | - | - | 35 | 1 | - | - | 1 | 1 | 2 | 4 |
Кернеры | - | - | - | - | - | - | - | - | 24 | 1 | 1 | 1 | 2 | 4 |
Ломы монтажные ЛМ-20 | 7 | 1 | - | - | - | - | - | - | - | - | 1 | 2 | 2 | 4 |
ЛМ-24 | 7 | 1 | - | - | - | - | - | - | - | - | 1 | 1 | 2 | 4 |
ЛМ-32 | 7 | 1 | - | - | - | - | - | - | - | - | 1 | 1 | 2 | 4 |
Отвертки диэлектрические | 25 | 2 | 25 | 2 | - | - | 24 | 2 | - | - | 6 | 2 | 8 | 16 |
Отвертки слесарно-монтажные | - | - | - | - | 50 | 2 | - | - | - | - | 2 | 1 | 3 | 6 |
Отвертки под крестообразные шлицы | - | - | - | - | 50 | 2 | - | - | - | - | 2 | 1 | 2 | 6 |
Плоскогубцы комбинированные | 10 | 2 | 10 | 2 | - | - | 18 | 2 | - | - | 6 | 2 | 8 | 16 |
Плоскогубцы комбинированные с изолирующими ручками | - | - | - | - | - | - | - | - | 67 | 2 | 2 | 1 | 3 | 6 |
Напильник трехгранный длиной 150 мм | 400 | 8 | 400 | 8 | - | - | - | - | - | - | 16 | 3 | 19 | 38 |
Напильник ромбический длиной 200 мм | 400 | 8 | 400 | 8 | 200 | 4 | - | - | - | - | 20 | 4 | 24 | 48 |
Напильник полукруглый 250 мм | - | - | - | - | - | - | 200 | 4 | - | - | 4 | 1 | 5 | 10 |
Напильники круглые (набор) | 100 | 2 | - | - | - | - | - | - | - | - | 2 | 1 | 3 | 6 |
Бруски шлифовальные | 67 | 2 | 67 | 2 | 67 | 1 | - | - | - | - | 5 | 1 | 6 | 12 |
Щетка стальная прямоугольная | 50 | 2 | 50 | 2 | - | - | 70 | 2 | - | - | 6 | 2 | 8 | 15 |
Горелка "Звездочка" | - | - | - | - | - | - | 50 | 1 | - | - | 1 | 1 | 2 | 4 |
Резак инжекторный | - | - | - | - | - | - | 50 | 1 | - | - | 1 | 1 | 2 | 4 |
Круглогубцы с изолирующими рукоятками | - | - | - | - | - | - | - | - | 50 | 1 | 1 | 1 | 2 | 4 |
Линейка металлическая | - | - | - | - | - | - | - | - | 50 | 1 | 1 | 1 | 2 | 4 |
Метр складной деревянный | 100 | 2 | 100 | 2 | 100 | 2 | - | - | - | - | 6 | 2 | 8 | 16 |
Метр складной металлический | - | - | - | - | - | - | - | - | 100 | 2 | 2 | 1 | 3 | 6 |
Рулетка измерительная металлическая | 15 | 2 | 5 | 1 | 5 | 1 | 22 | 2 | 17 | 1 | 7 | 2 | 9 | 18 |
Циркуль разметочный без дуги | - | - | - | - | - | - | - | - | 25 | 1 | 1 | 1 | 2 | 4 |
Циркуль с дугой | - | - | - | - | 17 | 1 | 25 | 1 | - | - | 2 | 1 | 3 | 6 |
Чертилка | - | - | - | - | - | - | 20 | 1 | - | - | 1 | 1 | 2 | 4 |
Шнур разметочный в корпусе | 20 | 2 | 20 | 2 | - | - | - | - | - | - | 4 | 1 | 5 | 10 |
Отвесы стальные строительные | | | | | | | | | | | | | | |
ОТ-200 | - | - | - | - | 9 | 1 | - | - | - | - | 1 | 1 | 2 | 4 |
ОТ-600 | 9 | 1 | 9 | 1 | - | - | - | - | - | - | 2 | 1 | 3 | 6 |
ОТ-1000 | 9 | 1 | - | - | - | - | - | - | - | - | 1 | 1 | 2 | 4 |
Угольник деревянный | - | - | - | - | 50 | 2 | - | - | - | - | 2 | 1 | 3 | 6 |
Угольник металлический | 9 | 2 | 9 | 2 | - | - | 18 | 2 | 18 | 2 | 8 | 2 | 10 | 20 |
Уровни строительные | | | | | | | | | | | | | | |
УС-2-11 | 8 | 1 | 8 | 1 | - | - | 18 | 1 | - | - | 3 | 1 | 4 | 8 |
УС-25-1-11 | - | - | - | - | 17 | 2 | - | - | - | - | 2 | 1 | 3 | 6 |
Уровень гибкий (водяной) | 5 | 1 | 5 | 1 | - | - | - | - | - | - | 2 | 1 | 3 | 6 |
Штангенциркуль | - | - | - | - | - | - | 9 | 1 | 9 | 1 | 2 | 1 | 3 | 6 |
По расчету при монтаже сборных щитовых деревянных домов требуются рабочие специальностей, приведенных в
таблице 10.11.
Таблица 10.11
Расчет численного состава бригады
Специальность | На бригаду, чел. | На удельный показатель объема работ, чел. |
Плотники (по совместительству монтажники и такелажники | 2 | 4 |
Плотники | 2 | 4 |
Столяры | 2 | 4 |
Слесари-сантехники (по совместительству газоэлектросварщики) | 1 | 2 |
Слесари-электромонтажники | 1 | 2 |
Итого: | 8 | 16 |
10.2.3 Плотничные и столярные работы - заполнение дверных и оконных проемов, сборка и установка деревянных конструкций (
таблицы 10.12 -
10.13).
Таблица 10.12
Перечень технических средств оснащения рабочих мест,
включенных в технологический комплект для плотничных
и столярных работ (заполнение дверных и оконных проемов,
сборка и установка деревянных конструкций)
Наименование технических средств | Количество нормокомплектов на удельный показатель годовой программы, шт. | Количество средств на 1 нормокомплект, шт. | Количество средств на удельный показатель объема работ, шт. ( 2 x 5) <*> |
для повседневного использования | для периодического использования и в резерв | всего |
1 | | | | | 6 |
Вагончик-контейнер с набором стационарного оборудования и механизмов, в т.ч.: | 9 | 1 | 1 | 2 | 4 |
верстак столярный | 1 | 1 | 2 | 4 |
верстак слесарный (с электроточилом и слесарными тисками) | 1 | 1 | 2 | 4 |
машина деревообрабатывающая | 1 | 1 | 2 | 4 |
машина заточная электрическая | 1 | 1 | 2 | 4 |
машина ручная сверлильная электрическая на стойке | 1 | 1 | 2 | 4 |
машина ручная сверлильная электрическая | 1 | 1 | 2 | 4 |
Пила ручная электрическая дисковая | 1 | 1 | 2 | 4 |
Машина ручная сверлильная электрическая (со сверлом с победитовой наплавкой) | 1 | 1 | 2 | 4 |
Рубанок ручной электрический | 1 | 1 | 2 | 4 |
Долбежник ручной электрический | 1 | 1 | 2 | 4 |
Приспособление для врезки дверных замков | 1 | 1 | 2 | 4 |
Машина для строжки деревянных полов | 1 | 1 | 2 | 4 |
Сжим реечный | 4 | 1 | 5 | 10 |
Ящик для инструмента | 8 | 2 | 10 | 20 |
Стусло | 2 | 1 | 3 | 6 |
Столик облегченный | 1 | 1 | 2 | 4 |
Лестница-стремянка (изготовляется в мастерской строительной организации) | 2 | 1 | 3 | 6 |
Светильник переносной ручной | 3 | 1 | 4 | 8 |
Контейнер для погонажных изделий | 2 | 1 | 3 | 6 |
<*> В скобках указаны номера граф настоящей таблицы. |
Таблица 10.13
Ручной строительно-монтажный
и контрольно-измерительный инструмент
Наименование инструмента | Количество инструмента (шт.) для звена плотников из 3 чел. | Расчетная потребность, шт. |
по норме на 100 чел. с учетом срока службы | расчетная потребность | по норме для повседневного использования | для периодического использования и в резерв | всего на один нормокомплект | на удельный показатель объема работ |
Долота плотничные (комплект) | 5 | 1 | 1 | 1 | 2 | 4 |
Коловороты с трещоткой | 9 | 1 | 1 | 1 | 2 | 4 |
Ножовка по дереву | 50 | 2 | 2 | 1 | 3 | 6 |
Пила поперечная двуручная по дереву | 10 | 1 | 1 | 1 | 2 | 4 |
Разводка для пил | 10 | 1 | 1 | 1 | 2 | 4 |
Рейсмус реечный | 10 | 1 | 1 | 1 | 2 | 4 |
Рубанок с одиночным ножом | 18 | 1 | 1 | 1 | 2 | 4 |
Рубанок-шерхебель | 20 | 1 | 1 | 1 | 2 | 4 |
Рубанок с двойным ножом | 18 | 1 | 1 | 1 | 2 | 4 |
Стамески плоские с шириной лезвия: | | | | | | |
6 | 2 | 1 | 1 | 1 | 2 | 4 |
10 | 2 | 1 | 1 | 1 | 2 | 4 |
16 | 3 | 1 | 1 | 1 | 2 | 4 |
Сверла перовые к коловороту (набор) | 9 | 1 | 1 | 1 | 2 | 4 |
Сверла витые к коловороту (набор) | 9 | 1 | 1 | 1 | 2 | 4 |
Сверла зенковые к коловороту | 9 | 1 | 1 | 1 | 2 | 4 |
Сверла центровые к коловороту (набор) | 9 | 1 | 1 | 1 | 2 | 4 |
Топор строительный | 50 | 2 | 2 | 1 | 3 | 6 |
Молоток плотничный | 33 | 2 | 2 | 1 | 3 | 6 |
Клещи строительные | 13 | 1 | 1 | 1 | 2 | 4 |
Ломы-гвоздодеры | 6 | 1 | 1 | 1 | 2 | 4 |
Шлямбуры (комплект) | 100 | 1 | 1 | 1 | 2 | 4 |
Скребок | 20 | 1 | 1 | 1 | 2 | 4 |
Конопатка стальная | | | | | | |
К-40-01 | 8 | 1 | 1 | 1 | 2 | 4 |
К-50-01 | 10 | 1 | 1 | 1 | 2 | 4 |
Ножницы для резки арматуры | 20 | 1 | 1 | 1 | 2 | 4 |
Кусачки торцовые | 10 | 1 | 1 | 1 | 2 | 4 |
Кувалда кузнечная продольная остроносая | | | | | | |
К-3 | 7 | 1 | 1 | 1 | 2 | 4 |
К-4 | 6 | 1 | 1 | 1 | 2 | 4 |
Ключи гаечные с открытым зевом двусторонние (комплект) | 10 | 1 | 1 | 1 | 2 | 4 |
Ключи гаечные торцовые с квадратной шестигранной головкой к коловороту | 9 | 1 | 1 | 1 | 2 | 4 |
Ломы монтажные | 21 | 1 | 1 | 1 | 2 | 4 |
Отвертки слесарно-монтажные | 25 | 1 | 1 | 1 | 2 | 4 |
Плоскогубцы комбинированные | 10 | 1 | 1 | 1 | 2 | 4 |
Напильник трехгранный 150 мм | 400 | 12 | 12 | 2 | 14 | 28 |
Напильник ромбический 200 мм | 400 | 12 | 12 | 2 | 14 | 28 |
Щетка стальная прямоугольная | 50 | 2 | 2 | 1 | 3 | 6 |
Ключи гаечные разводные | 10 | 1 | 1 | 1 | 2 | 4 |
Метр складной деревянный | 100 | 3 | 3 | 1 | 4 | 8 |
Рулетка измерительная металлическая | 5 | 1 | 1 | 1 | 2 | 4 |
Шнур разметочный в корпусе | 20 | 1 | 1 | 1 | 2 | 4 |
Отвесы стальные строительные | 17 | 1 | 1 | 1 | 2 | 4 |
Угольник металлический | 9 | 1 | 1 | 1 | 2 | 4 |
Уровни строительные | 8 | 1 | 1 | 1 | 2 | 4 |
По расчету при производстве плотничных и столярных работ требуются плотники, чел.:
3 - на звено;
6 - на удельный показатель объема работ.
Расчетная численность рабочих по прогнозируемой выработке с учетом коэффициента использования

составляет 7 чел.
Принимается численность рабочих, кратная числу звеньев, 6 чел. В соответствии с этим проводят корректировку выработки.
10.3 Расчетные показатели потребности для различных видов работ
10.3.1 Монтаж сборных железобетонных конструкций многоэтажных зданий
Количественный состав ручного строительно-монтажного и контрольно-измерительного инструмента для производства работ по монтажу сборных железобетонных конструкций многоэтажных зданий приведен в
таблице 10.14.
Таблица 10.14
Ручной строительно-монтажный
и контрольно-измерительный инструмент
Наименование инструмента | Количество инструментов, шт., для рабочих специальностей | Расчетная потребность, шт. |
монтажников конструкций, 15 чел. | бетонщиков, 2 чел. | электросварщиков, 2 чел. | металлизаторщика (антикоррозионщика), 1 чел. | такелажника, 1 чел. | по норме для повседневного использования | для периодического использования и в резерв | всего на один нормокомплект | на удельный показатель объема работ |
по норме на 100 чел. с учетом срока службы | расчетная потребность | по норме на 100 чел. с учетом срока службы | расчетная потребность | по норме на 100 чел. с учетом срока службы | расчетная потребность | по норме на 100 чел. с учетом срока службы | расчетная потребность | по норме на 100 чел. с учетом срока службы | расчетная потребность |
Ножовка по дереву | 8 | 1 | - | - | - | - | - | - | 5 | 1 | 2 | 1 | 3 | 9 |
Скарпели для бетонных и каменных работ | | | | | | | | | | | | | | |
ИР-581 | 9 | 1 | 8 | 1 | - | - | - | - | - | - | 2 | 1 | 3 | 9 |
ИР-561 | 8 | 1 | 9 | 1 | - | - | - | - | - | - | 2 | 1 | 3 | 9 |
Топор строительный | 5 | 1 | 5 | 1 | - | - | - | - | 10 | 1 | 3 | 1 | 4 | 12 |
Молоток-кулачок | 25 | 2 | - | - | - | - | - | - | - | - | 2 | 1 | 3 | 9 |
Молоток плотничный | - | - | 13 | 1 | - | - | - | - | 13 | 1 | 2 | 1 | 3 | 9 |
Гладилка ленточная с конусным концом | - | - | 12 | 1 | - | - | - | - | - | - | 1 | 1 | 2 | 6 |
Гладилка трапециевидная с закругленным концом | - | - | 7 | 1 | - | - | - | - | - | - | 1 | 1 | 2 | 6 |
Гребок для бетонных работ | - | - | 18 | 1 | - | - | - | - | - | - | 1 | 1 | 2 | 6 |
Ломы обыкновенные | - | - | 8 | 1 | - | - | - | - | 6 | 1 | 2 | 1 | 3 | 9 |
Лом-гвоздодер | - | - | - | - | - | - | - | - | 10 | 1 | 1 | 1 | 2 | 6 |
Скребок | 20 | 1 | 20 | 1 | - | - | - | - | 10 | 2 | 3 | 1 | 4 | 12 |
Лопаты растворные | 40 | 1 | 70 | 1 | - | - | - | - | 24 | 1 | 3 | 1 | 4 | 12 |
Кирка-мотыга | - | - | - | - | - | - | - | - | 6 | 1 | 1 | 1 | 2 | 6 |
Лопаты совковые | - | - | 21 | 1 | - | - | - | - | - | - | 1 | 1 | 2 | 6 |
Лопаты копальные остроконечные | - | - | - | - | - | - | - | - | 32 | 1 | 1 | 1 | 2 | 6 |
Лопаты копальные прямоугольные | - | - | 11 | 1 | - | - | - | - | - | - | 1 | 1 | 2 | 6 |
Лопаты подборочные | - | - | - | - | - | - | - | - | 4 | 1 | 1 | 1 | 2 | 6 |
Кельмы для бетонных и каменных работ | 27 | 1 | 47 | 1 | - | - | - | - | - | - | 2 | 1 | 3 | 9 |
Конопатка стальная | 7 | 1 | - | - | - | - | - | - | - | - | 1 | 1 | 2 | 6 |
Кисть филеночная | - | - | 10 | 1 | - | - | - | - | - | - | 1 | 1 | 2 | 6 |
Зубила слесарные | 50 | 2 | 50 | 1 | 200 | 2 | - | - | - | - | 5 | 1 | 6 | 18 |
Зубила монтажные | 50 | 1 | - | - | - | - | - | - | - | - | 1 | 1 | 2 | 6 |
Кусачки торцовые | - | - | 18 | 1 | - | - | - | - | - | - | 1 | 1 | 2 | 6 |
Кувалда кузнечная продольная остроносая | | | | | | | | | | | | | | |
К-3 | - | - | 2 | 1 | - | - | - | - | - | - | 1 | 1 | 2 | 6 |
К-10 | 2 | 1 | - | - | - | - | - | - | - | - | 1 | 1 | 2 | 6 |
Кувалда кузнечная тупоносая продольная | - | - | - | - | - | - | - | - | 1 | 1 | 1 | 1 | 2 | 6 |
Полотна ножовочные | - | - | - | - | 200 | 4 | - | - | - | - | 4 | 1 | 5 | 15 |
Рамки ножовочные ручные | - | - | - | - | 50 | 1 | - | - | - | - | 1 | 1 | 2 | 6 |
Щетка стальная прямоугольная | 150 | 3 | 40 | 1 | 200 | 4 | - | - | - | - | 8 | 2 | 10 | 30 |
Ломы монтажные | 31 | 2 | - | - | - | - | - | - | 6 | 1 | 3 | 1 | 4 | 12 |
Молотки слесарные с квадратным бойком массой 1 кг | 12 | 1 | - | - | 50 | 1 | - | - | - | - | 2 | 1 | 3 | 9 |
Отвертки диэлектрические | - | - | - | - | 100 | 2 | - | - | - | - | 2 | 1 | 3 | 9 |
Плоскогубцы комбинированные с изолированными ручками | - | - | - | - | 50 | 1 | - | - | - | - | 1 | 1 | 2 | 6 |
Напильники полукруглые (в наборе) | - | - | - | - | 200 | 2 | - | - | - | - | 2 | 1 | 3 | 9 |
Ключи гаечные разводные | - | - | - | - | 50 | 1 | - | - | - | - | 1 | 1 | 2 | 6 |
Ключи гаечные с открытым зевом односторонние (комплект) | 25 | 1 | - | - | - | - | - | - | - | - | 1 | 1 | 2 | 6 |
Электрододержатели | - | - | - | - | 17 | 2 | - | - | - | - | 2 | 1 | 3 | 9 |
Рулетка измерительная металлическая | 10 | 1 | 5 | 1 | - | - | - | - | 5 | 1 | 3 | 1 | 4 | 12 |
Отвесы стальные строительные | | | | | | | | | | | | | | |
ОТ-400 | 9 | 1 | 9 | 1 | - | - | - | - | - | - | 2 | 1 | 3 | 9 |
ОТ-600 | 9 | 1 | - | - | - | - | - | - | - | - | 1 | 1 | 2 | 6 |
ОТ-1000 | 9 | 1 | - | - | - | - | - | - | - | - | 1 | 1 | 2 | 6 |
Шнур разметочный в корпусе | - | - | 17 | 1 | - | - | - | - | - | - | 1 | 1 | 2 | 6 |
Уровни строительные | 13 | 1 | 10 | 1 | - | - | - | - | - | - | 2 | 1 | 3 | 9 |
Уровень гибкий водяной | 5 | 1 | 5 | 1 | - | - | - | - | - | - | 2 | 1 | 3 | 9 |
Метр складной металлический | - | - | - | - | 100 | 2 | - | - | - | - | 2 | 1 | 3 | 9 |
Крейцмейсель слесарный | - | - | - | - | 200 | 4 | - | - | - | - | 4 | 1 | 5 | 15 |
Циркуль разметочный | - | - | - | - | 25 | 1 | - | - | - | - | 1 | 1 | 2 | 6 |
По расчету при монтаже сборных железобетонных конструкций многоэтажных зданий требуются рабочие специальностей, приведенных в
таблице 10.15.
Таблица 10.15
Расчет численного состава бригады
Специальность | На бригаду | На удельный показатель объема работ |
Монтажники конструкций | 5 | 15 |
Бетонщики-плотники | 2 | 6 |
Электросварщики | 2 | 6 |
Металлизаторщики (антикоррозионщики) | 1 | 3 |
Такелажники | 1 | 3 |
Итого: | 11 | 33 |
Расчетная численность рабочих по прогнозируемой выработке с учетом коэффициента использования

составляет 32 чел.
Принимается численность, кратная числу бригад, 33 чел., в соответствии с этим проводится корректировка выработки.
10.3.2 Монтаж металлических конструкций
Перечень технических средств оснащения рабочих мест, включенных в технологический комплект, и ручной строительно-монтажный и контрольно-измерительный инструмент для производства работ по монтажу металлических конструкций приведен соответственно в
таблицах 10.16 и
10.17.
Таблица 10.16
Перечень технических средств оснащения рабочих мест,
включенных в технологический комплект для производства
работ по монтажу металлоконструкций
Наименование технических средств | Количество нормокомплектов на удельный показатель годовой программы, шт. | Количество средств на один нормокомплект, шт. | Количество средств на удельный показатель объема работ, шт., |
для повседневного использования | для периодического использования и в резерв | всего |
1 | | | | | 6 |
Станок электрический для сверления отверстий в железобетоне | 4 | 1 | 1 | 2 | 8 |
Машина ручная сверлильная электрическая двухскоростная ударовращательного действия | 1 | 1 | 2 | 8 |
Перфоратор ручной электрический | 1 | 1 | 2 | 8 |
Ножницы пневматические вырубные | 1 | 1 | 2 | 8 |
Ножницы электрические ножевые | 1 | 1 | 2 | 8 |
Гайковерт электрический | 1 | 1 | 2 | 8 |
Трансформатор сварочный однопостовой | 1 | 1 | 2 | 8 |
Машина ручная шлифовальная электрическая угловая | 1 | 1 | 2 | 8 |
Установка компрессорная передвижная для малярных работ | 2 | 1 | 3 | 12 |
Ящик инструментальный для сварщика | 1 | 1 | 2 | 8 |
Ящик инструментальный трехсекционный | 1 | 1 | 2 | 8 |
Ящик инструментальный | 1 | 1 | 2 | 8 |
Каска строительная | 4 | 2 | 6 | 24 |
Очки защитные с прямой вентиляцией Щиток защитный для электросварщика | 2 | 1 | 3 | 12 |
Пояс предохранительный | 2 | 1 | 3 | 12 |
<*> В скобках указаны номера граф настоящей таблицы. |
Таблица 10.17
Ручной строительно-монтажный
и контрольно-измерительный инструмент
Название инструмента | Количество инструмента, шт., для монтажников (по совместительству газоэлектросварщиков), 2 чел. | Расчетная потребность, шт. |
по норме на 100 чел. с учетом срока службы | расчетная потребность | по норме для повседневного использования | для периодического использования и в резерв | всего на один нормокомплект | на удельный показатель объема работ |
Кисть-ручник | 40 | 1 | 1 | 1 | 2 | 8 |
Кисть филеночная | 27 | 1 | 1 | 1 | 2 | 8 |
Зубила | 25 | 1 | 1 | 1 | 2 | 8 |
Зубила монтажные | 25 | 1 | 1 | 1 | 2 | 8 |
Полотна ножовочные | 200 | 4 | 4 | 1 | 5 | 20 |
Рамки ножовочные ручные | 25 | 1 | 1 | 1 | 2 | 8 |
Кувалда остроконечная продольная остроносая | | | | | | |
К-6 | 4 | 1 | 1 | 1 | 2 | 8 |
К-10 | 4 | 1 | 1 | 1 | 2 | 8 |
Молотки слесарные с квадратным бойком массой | | | | | | |
0,6 кг | 50 | 1 | 1 | 1 | 2 | 8 |
1,0 кг | 25 | 1 | 1 | 1 | 2 | 8 |
Ключи гаечные с открытым зевом односторонние (комплект) | 25 | 1 | 1 | 1 | 2 | 8 |
Ключи гаечные комбинированные с открытым и закрытым зевом (комплект) | 13 | 1 | 1 | 1 | 2 | 8 |
Ключи гаечные коликовые | 25 | 1 | 1 | 1 | 2 | 8 |
Ключи двухсторонние коленчатые (комплект) | 13 | 1 | 1 | 1 | 2 | 8 |
Ключи гаечные разводные | 50 | 1 | 1 | 1 | 2 | 8 |
Кернеры разные | 25 | 1 | 1 | 1 | 2 | 8 |
Напильник трехгранный длиной 200 мм | 100 | 2 | 2 | 1 | 3 | 12 |
Напильники круглые (набор) | 100 | 2 | 2 | 1 | 3 | 12 |
Напильники полукруглые | 200 | 4 | 4 | 1 | 5 | 20 |
Щетка стальная прямоугольная | 100 | 2 | 2 | 1 | 3 | 12 |
Крейцмейсель слесарный | 200 | 4 | 4 | 1 | 5 | 20 |
Горелка "Звездочка" | 50 | 1 | 1 | 1 | 2 | 8 |
Резак инжекторный | 50 | 1 | 1 | 1 | 2 | 8 |
Электрододержатели | 17 | 1 | 1 | 1 | 2 | 8 |
Метр складной металлический | 200 | 4 | 4 | 1 | 5 | 20 |
Рулетка измерительная металлическая | 8 | 1 | 1 | 1 | 2 | 8 |
Циркуль разметочный с дугой | 25 | 1 | 1 | 1 | 2 | 8 |
Отвесы стальные строительные | | | | | | |
ОТ-600 | 4 | 1 | 1 | 1 | 2 | 8 |
ОТ-1000 | 2 | 1 | 1 | 1 | 2 | 8 |
Угольник металлический | 9 | 1 | 1 | 1 | 2 | 8 |
Уровни строительные | 10 | 2 | 2 | 2 | 4 | 16 |
Уровень гибкий водяной | 3 | 1 | 1 | 1 | 2 | 8 |
По расчету при производстве работ по монтажу металлоконструкций требуются монтажники (по совместительству газоэлектросварщики), чел.:
2 - на звено;
8 - на удельный показатель объема работ.
10.3.3 Устройство монолитных бетонных и железобетонных конструкций (
таблицы 10.18 -
10.19).
Таблица 10.18
Перечень технических средств оснащения рабочих мест,
включенных в технологический комплект
| | ИС МЕГАНОРМ: примечание. Таблица дана в соответствии с официальным текстом документа. | |
Наименование технологических комплектов | Наименование технических средств | Количество нормокомплектов на удельный показатель годовой программы, шт. | Количество средств на один нормокомплект, шт. | Количество средств на удельный показатель объема работ, шт., ( 3 x 6) <*> |
для повседневного использования | для периодического использования и в резерв | всего |
1 | 2 | | | | | 7 |
Технологический комплект для производства работ по устройству монолитных бетонных и железобетонных конструкций, в том числе арматурные работы, устройство инвентарных опалубок, возведение конструкций в подвижной опалубке, укладка бетонной смеси | Арматурная мастерская, оснащенная следующим оборудованием: | 4 | 1 | - | 1 | 4 |
ручные механизированные ножницы | 1 | 1 | 2 | 8 |
станок для гибки арматуры | 1 | 1 | 2 | 8 |
сварочный кондуктор | 1 | 1 | 2 | 8 |
сверлильный станок | 1 | 1 | 2 | 8 |
подвесная сварочная машина | 1 | 1 | 2 | 8 |
сварочный преобразователь | 1 | 1 | 2 | 8 |
ручная шлифовальная электрическая угловая машина | 1 | 1 | 2 | 8 |
сварочный однопостовой трансформатор | 1 | 1 | 2 | 8 |
сварочный полуавтомат | 1 | 1 | 2 | 8 |
сварочный выпрямитель | | | | |
сварочный агрегат с двигателем внутреннего сгорания | 1 | 1 | 2 | 8 |
керосинорез | 1 | 1 | 2 | 8 |
фиксатор | 3 | 1 | 4 | 16 |
струбцина | 2 | 1 | 3 | 12 |
прижим | 1 | 1 | 2 | 8 |
приспособление для сжима стержней | 2 | 1 | 3 | 12 |
универсальный кондуктор | 3 | 1 | 4 | 16 |
ведро | 1 | 1 | 2 | 8 |
пенал для электродов | 2 | 1 | 3 | 12 |
кислородный редуктор | 1 | 1 | 2 | 8 |
тележка для транспортировки баллонов | 1 | 1 | 2 | 8 |
двухветвевой канатный строп | 1 | 1 | 2 | 8 |
Опалубочная мастерская, оснащенная следующим оборудованием: | 1 | - | 1 | 4 |
фуговальный станок | 1 | 1 | 2 | 8 |
круглопильный станок | 1 | 1 | 2 | 8 |
электрическая пила | 1 | 1 | 2 | 8 |
электрический рубанок | 1 | 1 | 2 | 8 |
столярный верстак | 1 | 1 | 2 | 8 |
слесарный верстак | 1 | 1 | 2 | 8 |
сверлильный станок | 1 | 1 | 2 | 8 |
ручная шлифовальная электрическая машина | 1 | 1 | 2 | 8 |
Ручной электрический ударный гайковерт | 1 | 1 | 2 | 8 |
Окрасочный агрегат | 1 | 1 | 2 | 8 |
Ручной пневматический краскораспылитель | 1 | 1 | 2 | 8 |
Красконагнетательный бак | 1 | 1 | 2 | 8 |
Ручной пучковый пневматический молоток | 1 | 1 | 2 | 8 |
Компрессорная передвижная установка для малярных работ | 2 | 1 | 3 | 12 |
Четырехветвевой строп | 2 | 1 | 3 | 12 |
Рычаг с двухветвевым цепным захватом | 1 | 1 | 2 | 8 |
Навесная площадка | 1 | 1 | 2 | 8 |
Навесная лестница | 2 | 1 | 3 | 12 |
Инструментальный трехсекционный ящик | 1 | 1 | 2 | 8 |
Бачок вместимостью 0,018 м3 | 1 | 1 | 2 | 8 |
Растворный ящик 0,24 м3 | 1 | 1 | 2 | 8 |
Винтовой домкрат с трещоткой | 2 | 1 | 3 | 12 |
Лестницы | 1 | 1 | 2 | 8 |
Приставная деревянная лестница | 1 | 1 | 2 | 8 |
Переходные мостики | 1 | 1 | 2 | 8 |
Контейнер для подачи домкратных стержней | 1 | 1 | 2 | 8 |
Инструментальный ящик | 1 | 1 | 2 | 8 |
Машина для уплотнения грунта | 1 | 1 | 2 | 8 |
Ящик с трансформатором переносной | 1 | 1 | 2 | 8 |
Глубинные вибраторы | 1 | 1 | 2 | 8 |
Поверхностный электрический вибратор | 1 | 1 | 2 | 8 |
Бункер | 1 | 1 | 2 | 8 |
Виброрейка длиной 3,34 мм | 1 | 1 | 2 | 8 |
Поворотный бункер | 1 | 1 | 2 | 8 |
Приспособление для сварки контрольных образцов | 1 | 1 | 2 | 8 |
Траверса-кантователь | 1 | 1 | 2 | 8 |
Растяжка | 2 | 1 | 3 | 12 |
Подъемно-переставная площадка для арматурных работ | 1 | 1 | 2 | 8 |
Передвижная площадка | 1 | 1 | 2 | 8 |
Электрическое точило | 1 | 1 | 2 | 8 |
Ручная угловая пневматическая машина | 1 | 1 | 2 | 8 |
Станок для очистки домкратных стержней | 1 | 1 | 2 | 8 |
Кондуктор для сборки домкратных рам (изготавливается на рабочем месте) | 1 | 1 | 2 | 8 |
<*> В скобках указаны номера граф настоящей таблицы. Примечание - Комплект инвентарной опалубки включают в табель оснащения в соответствии с конструктивным решением бетонируемых конструкций и проектом производства работ. |
Таблица 10.19
Ручной строительно-монтажный
и контрольно-измерительный инструмент
Наименование инструмента | Количество инструмента, шт., для | Расчетная потребность, шт. |
арматурщика, по совместительству такелажника, 1 чел. | арматурщика, с правами электросварщика, 1 чел. | электросварщика, 1 чел. | слесарей строительных, 2 чел. | плотников, по совместительству бетонщиков, 3 чел. | бетонщиков, 2 чел. | бетонщиков, по совместительству такелажников, 2 чел. | по норме для повседневного использования | для периодического использования и в резерв | всего на один нормокомплект | на удельный показатель годовой программы |
по норме на 100 чел. с учетом срока службы | расчетная потребность | по норме на 100 чел. с учетом срока службы | расчетная потребность | по норме на 100 чел. с учетом срока службы | расчетная потребность | по норме на 100 чел. с учетом срока службы | расчетная потребность | по норме на 100 чел. с учетом срока службы | расчетная потребность | по норме на 100 чел. с учетом срока службы | расчетная потребность | по норме на 100 чел. с учетом срока службы | расчетная потребность |
Долота плотничные (комплект) | - | - | - | - | - | - | - | - | 15 | 1 | - | - | - | - | 1 | 1 | 2 | 8 |
Коловороты с трещоткой | - | - | - | - | - | - | - | - | 9 | 1 | - | - | - | - | 1 | 1 | 2 | 8 |
Молоток шанцевый | 7 | 1 | 7 | 1 | - | - | - | - | - | - | - | - | - | - | 2 | 1 | 3 | 12 |
Ломы обыкновенные | 15 | 1 | - | - | - | - | - | - | - | - | 8 | 1 | 8 | 1 | 3 | 1 | 4 | 16 |
Скарпели для каменных и бетонных работ | | | | | | | | | | | | | | | | | | |
ИР 581 | - | - | - | - | - | - | 30 | 1 | 17 | 1 | 17 | 1 | 17 | 1 | 4 | 1 | 5 | 20 |
ИР 561 | - | - | - | - | - | - | 30 | 1 | - | - | - | - | 1 | - | 1 | 1 | 2 | 8 |
Топор строительный | 10 | 1 | - | - | - | - | - | - | 50 | 1 | 5 | 1 | 5 | 1 | 4 | 1 | 5 | 20 |
Ножовка по дереву | 5 | 1 | - | - | - | - | - | - | 50 | 2 | - | - | 5 | 1 | 4 | 1 | 5 | 20 |
Пила поперечная двуручная по дереву | - | - | - | - | - | - | - | - | 10 | 1 | - | - | - | - | 1 | 1 | 2 | 8 |
Молоток плотничный | - | - | - | - | - | - | - | - | 33 | 1 | 13 | 1 | 13 | 1 | 3 | 1 | 4 | 16 |
Разводка для пил | - | - | - | - | - | - | - | - | 10 | 1 | - | - | - | - | 1 | 1 | 2 | 8 |
Рейсмус реечный | - | - | - | - | - | - | - | - | 10 | 1 | - | - | - | - | 1 | 1 | 2 | 8 |
Рубанки с одиночным ножом | - | - | - | - | - | - | - | - | 18 | 1 | - | - | - | - | 1 | 1 | 2 | 8 |
Рубанок-шерхебель | - | - | - | - | - | - | - | - | 20 | 1 | - | - | - | - | 1 | 1 | 2 | 8 |
Рубанок с двойным ножом | - | - | - | - | - | - | - | - | 18 | 1 | - | - | - | - | 1 | 1 | 2 | 8 |
Стамески плоские (комплект) | - | - | - | - | - | - | - | - | 15 | 1 | - | - | - | - | 1 | 1 | 2 | 8 |
Сверла перовые к коловороту (комплект) | - | - | - | - | - | - | - | - | 9 | 1 | - | - | - | - | 1 | 1 | 2 | 8 |
Сверла зенковые к коловороту | - | - | - | - | - | - | - | - | 9 | 1 | - | - | - | - | 1 | 1 | 2 | 8 |
Сверла центровые к коловороту (комплект) | - | - | - | - | - | - | - | - | 9 | 1 | - | - | - | - | 1 | 1 | 2 | 8 |
Добойник стальной паркетный | - | - | - | - | - | - | - | - | 17 | 1 | - | - | - | - | 1 | 1 | 2 | 8 |
Лом-гвоздодер | 10 | 1 | - | - | - | - | - | - | 20 | 1 | - | - | 20 | 1 | 2 | 1 | 3 | 12 |
Клещи строительные | - | - | - | - | - | - | - | - | 26 | 1 | - | - | - | - | 1 | 1 | 2 | 8 |
Шлямбуры (комплект) | - | - | - | - | - | - | - | - | 100 | 3 | - | - | - | - | 3 | 1 | 4 | 16 |
Скребок | 10 | 1 | - | - | - | - | - | - | 20 | 1 | 20 | 1 | 20 | 1 | 3 | 1 | 4 | 16 |
Лопаты растворные | 24 | 1 | - | - | - | - | - | - | 70 | 2 | 70 | 2 | 70 | 2 | 6 | 2 | 8 | 32 |
Кирко-мотыга | | | | | | | | | | | | | | | | | | |
КМ-1 | - | - | - | - | - | - | - | - | - | - | - | - | 6 | 1 | 1 | 1 | 2 | 8 |
КМ-2 | 12 | 1 | - | - | - | - | - | - | - | - | - | - | 6 | 1 | 1 | 1 | 2 | 8 |
Лопаты копальные остроконечные | 24 | 1 | - | - | - | - | - | - | - | - | - | - | 24 | 1 | 1 | 1 | 2 | 8 |
Лопаты копальные прямоугольные | 24 | 1 | - | - | - | - | - | - | 33 | 1 | 33 | 1 | 24 | 1 | 3 | 1 | 4 | 16 |
Лопаты подборочные | 14 | 1 | - | - | - | - | - | - | - | - | - | - | 14 | 1 | 1 | 1 | 2 | 8 |
Лопаты совковые | - | - | - | - | - | - | - | - | 27 | 1 | 27 | 1 | 27 | 1 | 3 | 1 | 4 | 16 |
Конопатка стальная | - | - | - | - | - | - | - | - | 18 | 1 | - | - | - | - | 1 | 1 | 2 | 8 |
Гладилка ленточная с конусным концом | - | - | - | - | - | - | - | - | 12 | 1 | 12 | 1 | 12 | 1 | 3 | 1 | 4 | 16 |
Гладилка ленточная | - | - | - | - | - | - | - | - | 11 | 1 | 11 | 1 | 11 | 1 | 3 | 1 | 4 | 16 |
Гладилка трапециевидная | - | - | - | - | - | - | - | - | 12 | 1 | 12 | 1 | 12 | 1 | 3 | 1 | 4 | 16 |
Гребок для бетонных работ | - | - | - | - | - | - | - | - | 133 | 2 | 133 | 1 | 133 | 1 | 4 | 1 | 5 | 20 |
Кельмы для бетонных и каменных работ | - | - | - | - | - | - | - | - | 47 | 2 | 47 | 2 | 47 | 2 | 6 | 2 | 8 | 32 |
Кисть филеночная | - | - | - | - | - | - | - | - | - | - | 10 | 1 | - | - | 1 | 1 | 2 | 8 |
Бородки слесарные | - | - | - | - | - | - | 23 | 1 | - | - | - | - | - | - | 1 | 1 | 2 | 8 |
Зубила | 17 | 1 | - | - | 200 | 2 | 93 | 2 | 50 | 1 | 50 | 1 | 50 | 1 | 8 | 2 | 10 | 40 |
Дрель ручная | - | - | - | - | - | - | 25 | 1 | - | - | - | - | - | - | 1 | 1 | 2 | 8 |
Ножницы для резки металла | - | - | - | - | - | - | 8 | 1 | - | - | - | - | - | - | 1 | 1 | 2 | 8 |
Кусачки торцевые | 22 | 1 | 22 | 1 | - | - | - | - | 10 | 1 | 18 | 1 | 18 | 1 | 5 | 1 | 6 | 24 |
Кусачки боковые | 22 | 1 | 22 | 1 | - | - | - | - | - | - | - | - | - | - | 2 | 1 | 3 | 12 |
Кувалда кузнечная продольная остроносая | 7 | 1 | - | - | - | - | 10 | 1 | - | - | - | - | 2 | 1 | 3 | 1 | 4 | 16 |
Кувалда кузнечная продольная тупоносая | 1 | 1 | - | - | - | - | - | - | - | - | - | - | 1 | 1 | 2 | 1 | 3 | 12 |
Молотки слесарные с круглым бойком массой 0,8 кг | 13 | 1 | 13 | 1 | - | - | 50 | 1 | - | - | - | - | - | - | 3 | 1 | 4 | 16 |
Полотна ножовочные | - | - | - | - | 200 | 10 | 152 | 10 | - | - | - | - | - | - | 20 | 20 | 40 | 160 |
Рамки ножовочные ручные | - | - | - | - | 50 | 1 | 5 | 1 | - | - | - | - | - | - | 2 | 1 | 3 | 12 |
Труборез для резки труб | - | - | - | - | - | - | 25 | 1 | - | - | - | - | - | - | 1 | 1 | 2 | 8 |
Плашки круглые для метрической резьбы | - | - | - | - | - | - | 20 | 1 | - | - | - | - | - | - | 1 | 1 | 2 | 8 |
Плашки круглые для трубной цилиндрической резьбы | - | - | - | - | - | - | 48 | 1 | - | - | - | - | - | - | 1 | 1 | 2 | 8 |
Ключи гаечные с открытым зевом двусторонние (комплект) | - | - | - | - | - | - | 17 | 1 | 10 | 1 | - | - | - | - | 2 | 1 | 3 | 12 |
Ключи гаечные торцовые с квадратной и шестигранной головками к коловороту | - | - | - | - | - | - | - | - | 9 | 1 | - | - | - | - | 1 | 1 | 2 | 8 |
Ключи гаечные двусторонние с открытым зевом (комплект) | - | - | - | - | - | - | 25 | 1 | - | - | - | - | - | - | 1 | 1 | 2 | 8 |
Ключи рожковые (комплект) | - | - | - | - | - | - | 23 | 1 | - | - | - | - | - | - | 1 | 1 | 2 | 8 |
Кернеры разные | - | - | - | - | - | - | 24 | 1 | - | - | - | - | - | - | 1 | 1 | 2 | 8 |
Ломы монтажные | 6 | 1 | - | - | - | - | 10 | 1 | 21 | 1 | - | - | 12 | 1 | 4 | 1 | 5 | 20 |
Отвертки слесарно-монтажные | - | - | - | - | - | - | 50 | 1 | 25 | 1 | - | - | - | - | 2 | 1 | 3 | 12 |
Отвертки под крестообразные шлицы | - | - | - | - | - | - | 50 | 2 | - | - | - | - | - | - | 2 | 1 | 3 | 12 |
Плоскогубцы комбинированные с изолированными ручками | 8 | 1 | 8 | 1 | 50 | 1 | 18 | 1 | 10 | 1 | - | - | - | - | 5 | 1 | 6 | 18 |
Плоскогубцы обычные | 5 | 1 | 5 | 1 | - | - | - | - | - | - | - | - | - | - | 2 | 1 | 3 | 18 |
Отвертки диэлектрические | - | - | - | - | 100 | 2 | - | - | - | - | - | - | - | - | 2 | 1 | 3 | 18 |
Напильники полукруглые (комплект) | - | - | - | - | 200 | 1 | - | - | - | - | - | - | - | - | 1 | 1 | 2 | 8 |
Напильники плоские (в наборе) | - | - | - | - | - | - | 200 | 1 | - | - | - | - | - | - | 1 | 1 | 2 | 8 |
Напильники трехгранные | 200 | 1 | - | - | - | - | - | - | 800 | | 25 | - | - | - | 26 | 5 | 31 | 124 |
Щетка стальная прямоугольная | 50 | 1 | 50 | 1 | 200 | 2 | 60 | 1 | 50 | 1 | 40 | 1 | 49 | 1 | 8 | 2 | 10 | 40 |
Электрододержатели | - | - | - | - | 17 | 1 | - | - | - | - | - | - | - | - | 1 | 1 | 2 | 8 |
Рулетка измерительная металлическая | 5 | 1 | 5 | 1 | 5 | 1 | 10 | 1 | 5 | 1 | 5 | 1 | 5 | 1 | 7 | 2 | 9 | 36 |
Линейка металлическая | - | - | - | - | - | - | 26 | 1 | - | - | - | - | - | - | 1 | 1 | 2 | 8 |
Отвесы стальные строительные | - | - | - | - | - | - | 12 | 1 | 17 | 1 | 9 | 1 | 9 | 1 | 4 | 1 | 5 | 20 |
Уровни строительные | - | - | - | - | - | - | 18 | 1 | 15 | 1 | 10 | 1 | 10 | 1 | 4 | 1 | 5 | 20 |
Уровень гибкий (водяной) | - | - | - | - | - | - | 10 | 1 | 5 | 1 | 5 | 1 | 5 | 1 | 4 | 1 | 5 | 20 |
Штангенциркуль | - | 9 | 1 | 9 | 1 | - | 9 | 1 | - | - | - | - | - | - | 3 | 1 | 4 | 16 |
Щуп металлический | - | - | - | - | - | - | 10 | 1 | - | - | - | - | - | - | 1 | 1 | 2 | 8 |
Шнур разметочный | - | - | - | - | - | - | - | - | 20 | 1 | 17 | 1 | 17 | 1 | 3 | 1 | 4 | 16 |
Угольник металлический | - | - | - | - | - | - | 18 | 1 | 9 | 1 | - | - | - | - | 2 | 1 | 3 | 12 |
Крейцмейсель слесарный | - | - | - | - | 200 | 2 | - | - | - | - | - | - | - | - | 2 | 1 | 3 | 12 |
Циркуль разметочный | - | - | - | - | - | - | 25 | 1 | - | - | - | - | - | - | 1 | 1 | 2 | 8 |
По расчету при устройстве монолитных бетонных и железобетонных конструкций требуются рабочие специальностей, приведенных в
таблице 10.20.
Таблица 10.20
Расчет численного состава бригады
Специальность | На бригаду, чел. | На удельный показатель объема работ, чел. |
Арматурщики (по совместительству такелажники) | 1 | 4 |
Арматурщики (с правами электросварщика) | 1 | 4 |
Электросварщики | 1 | 4 |
Строительные слесари | 2 | 8 |
Плотники (по совместительству бетонщики) | 3 | 12 |
Бетонщики | 2 | 8 |
Бетонщики (по совместительству такелажники) | 2 | 8 |
Итого: | 12 | 48 |
Расчетная численность рабочих по прогнозируемой выработке на данных работах с учетом коэффициента использования составляет 43 чел. Принимается численность рабочих, кратная числу бригад. Соответственно производится корректировка выработки.
Таблица 10.21
Перечень технических средств оснащения рабочих мест,
включенных в технологический комплект
Наименование технологических комплектов | Наименование технических средств | Количество нормокомплектов на удельный показатель годовой программы, шт. | Количество средств на один нормокомплект, шт. | Количество средств на удельный показатель объема работ, шт. ( 3 x 6) <*> |
для повседневного использования | для периодического использования и в резерв | всего |
1 | 2 | | | | | 7 |
Технологический комплект для устройства бетонных полов | Комплект оборудования вакуумный комплекс | 1 | 1 | 1 | 2 | 2 |
<*> В скобках указаны номера граф настоящей таблицы. |
Таблица 10.22
Ручной строительно-монтажный
и контрольно-измерительный инструмент
Наименование инструмента | Количество инструмента (шт.) для бетонщиков, 6 чел. | Расчетная потребность, шт. |
по норме на 100 чел. с учетом срока службы | расчетная потребность | по норме для повседневного использования | для периодического использования и в резерв | всего на один нормокомплект | на удельный показатель объема работ |
Скарпели для каменных и бетонных работ | | | | | | |
ИР-581 | 8 | 1 | 1 | 1 | 2 | 2 |
ИР-561 | 9 | 1 | 1 | 1 | 2 | 2 |
Топор строительный | 5 | 1 | 1 | 1 | 2 | 2 |
Молоток плотничный | 13 | 1 | 1 | 1 | 2 | 2 |
Гладилка ленточная | 12 | 1 | 1 | 1 | 2 | 2 |
Гладилка трапециевидная | 12 | 1 | 1 | 1 | 2 | 2 |
Гладилка для плинтусов | 20 | 1 | 1 | 1 | 2 | 2 |
Гребок для бетонных работ | 18 | 2 | 2 | 1 | 3 | 3 |
Скребок | 20 | 1 | 1 | 1 | 2 | 2 |
Лопаты растворные | 70 | 5 | 5 | 1 | 6 | 6 |
Кельмы для бетонных и каменных работ | 47 | 5 | 5 | 1 | 6 | 6 |
Кисть филеночная | 10 | 1 | 1 | 1 | 2 | 2 |
Ломы обыкновенные | 8 | 1 | 1 | 1 | 2 | 2 |
Лопаты копальные прямоугольные | 33 | 1 | 1 | 1 | 2 | 2 |
Лопаты совкового типа | 27 | 2 | 2 | 1 | 3 | 3 |
Кусачки торцовые | 18 | 1 | 1 | 1 | 2 | 2 |
Кувалда кузнечная продольная остроносая | 4 | 1 | 1 | 1 | 2 | 2 |
Щетка стальная прямоугольная | 40 | 1 | 1 | 1 | 2 | 2 |
Рулетка измерительная металлическая | 5 | 1 | 1 | 1 | 2 | 2 |
Шнур разметочный в корпусе | 17 | 1 | 1 | 1 | 2 | 2 |
Отвесы стальные строительные | 9 | 1 | 1 | 1 | 2 | 2 |
Уровни строительные | 10 | 1 | 1 | 1 | 2 | 2 |
Уровень гибкий (водяной) | 5 | 1 | 1 | 1 | 2 | 2 |
По расчету при производстве работ по устройству бетонных полов требуются бетонщики, чел.:
6 - на бригаду;
6 - на удельный показатель объема работ.
Таблица 10.23
Перечень технических средств оснащения рабочих мест,
включенных в технологический комплект
Наименование технологических комплектов | Наименование технических средств | Количество нормокомплектов на удельный показатель годовой программы, шт. | Количество средств на один нормокомплект, шт. | Количество средств на удельный показатель объема работ, шт., |
для повседневного использования | для периодического использования и в резерв | всего |
1 | 2 | 3 | 4 | 5 | 6 | 7 |
Технологический комплект для производства торкретирования | Цемент-пушка | 1 | 2 | 1 | 3 | 3 |
Каска со щитком | 2 | 1 | 3 | 3 |
Ведро | 1 | 1 | 2 | 2 |
<*> В скобках указаны номера граф настоящей таблицы. |
Таблица 10.24
Ручной строительно-монтажный
и контрольно-измерительный инструмент
Наименование инструмента | Количество инструмента, шт., для штукатуров, 2 чел. | Расчетная потребность, шт. |
по норме на 100 чел. с учетом срока службы | расчетная потребность | по норме для повседневного использования | для периодического использования и в резерв | всего на один нормокомплект | на удельный показатель объема работ |
Кельма для штукатурных работ | 67 | 12 | 2 | 12 | 14 | 14 |
Ковш для отделочных работ | 10 | 5 | 1 | 5 | 6 | 6 |
Лопата растворная | 33 | 5 | 2 | 5 | 7 | - |
Полутерок | 68 | 2 | - | 2 | 2 | 2 |
 с прямой кромкой | | | | | | |
ПП-1200 | 6 | 2 | 1 | - | 3 | 3 |
ПП-1600 | 6 | - | 1 | - | 1 | 1 |
 с зубчатой кромкой | | | | | | |
ПЗ-1200 | 10 | 2 | - | 2 | 2 | 2 |
ПЗ-1800 | 10 | 2 | - | 2 | 2 | 2 |
Полутерок деревянный | 10 | 2 | 1 | 2 | 3 | 3 |
Скребок | 20 | 2 | - | 2 | 2 | 2 |
Сокол разборный дюралюминиевый | 100 | 6 | 1 | 6 | 7 | 7 |
Терка пенопластовая | 15 | 6 | 6 | 2 | 8 | 8 |
Отвес стальной строительный | 9 | 5 | 5 | - | 5 | 5 |
Рулетка измерительная металлическая | 8 | 1 | 1 | - | 1 | 1 |
По расчету для торкретных работ требуются штукатуры (торкретчики), чел.:
2 - на звено;
2 - на удельный показатель объема работ.
Таблица 10.25
Перечень технических средств оснащения рабочих мест,
включенных в технологический комплект
Наименование технологических комплектов | Наименование технических средств | Количество нормокомплектов на удельный показатель годовой программы, шт. | Количество средств на один нормокомплект, шт. | Количество средств на удельный показатель объема работ, шт., |
для повседневного использования | для периодического использования и в резерв | всего |
1 | 2 | | | | | 7 |
Технологический комплект для производства штукатурных работ | Станция штукатурная, доукоплектованная агрегатом | 4 | 1 | 1 | 2 | 8 |
Штукатурный агрегат для поэтажных работ | 1 | 1 | 2 | 8 |
Растворосмеситель СО-46Б | 1 | 1 | 2 | 8 |
Растворосмеситель СО-23Б | 1 | 1 | 2 | 8 |
Машина ручная штукатурно-затирочная | 2 | 1 | 3 | 12 |
| | ИС МЕГАНОРМ: примечание. Значения в графах 4 - 7 даны в соответствии с официальным текстом документа. | |
|
| Штукатурный агрегат СО-57Б | | | | | |
Преобразователь частоты тока | 2 | 1 | 3 | 12 |
Трансформатор понижающий | 1 | 1 | 2 | 8 |
Тележка с емкостью для раствора | 4 | 1 | 5 | 20 |
Ящик штукатурный малый | 5 | 2 | 7 | 28 |
Емкость для раствора | 5 | 2 | 7 | 28 |
Ведро | 2 | 1 | 7 | 28 |
Рейкодержатель универсальный | 10 | 3 | 13 | 52 |
Стойка инвентарная телескопическая | 5 | 2 | 7 | 28 |
Экран защитный для радиаторов | 3 | 1 | 4 | 16 |
Экран защитный для столярных изделий | 5 | 2 | 7 | 28 |
Столик складной двухвысотный | 4 | 1 | 5 | 20 |
Столик универсальный облегченный | 4 | 1 | 5 | 20 |
Столик-стремянка | 4 | 1 | 5 | 20 |
Столик универсальный с полкой | 2 | 1 | 3 | 12 |
Столик инвентарный однотрубный тупиковый 51 мм | 1 | 1 | 2 | 8 |
Тележка грузовая с подъемной платформой | 1 | 1 | 2 | 8 |
Быстроразъемные шланговые соединения  , 38, 25, 18, 12 мм | 1 комплект | 1 | 2 | 8 |
Хомуты диаметром 50, 38, 25, 12 мм | 1 | 1 | 2 | 8 |
Стояк для воды инвентарный | 1 | 1 | 2 | 8 |
Каска строительная | 12 | 5 | 17 | 68 |
<*> В скобках указаны номера граф настоящей таблицы. |
Таблица 10.26
Ручной строительно-монтажный
и контрольно-измерительный инструмент
Наименование инструмента | Количество инструмента, шт., для штукатуров, 11 чел. | Расчетная потребность, шт. |
по норме на 100 чел. с учетом срока службы | расчетная потребность | по норме для повседневного использования | для периодического использования и в резерв | всего на один нормокомплект | на удельный показатель объема работ |
Кельма для штукатурных работ | 67 | 12 | 12 | 9 | 21 | 84 |
Кисть-макловица | 25 | 6 | 6 | 8 | 14 | 56 |
Ковш для отделочных работ | 10 | 5 | 5 | 1 | 6 | 24 |
Лопата растворная | 33 | 5 | 5 | 4 | 9 | 36 |
Молоток штукатурный | 10 | 2 | 2 | 1 | 3 | 12 |
Ножовка по дереву широкая с деревянной ручкой | 5 | 1 | 1 | 1 | 2 | 8 |
Отрезовка | 10 | 2 | 2 | 1 | 3 | 12 |
Полутерок | | | | | | |
ИР-702 | 68 | 2 | 2 | 1 | 3 | 12 |
ИР-702 I | 68 | 2 | 2 | 1 | 3 | 12 |
ИР-702 II | 68 | 2 | 2 | 1 | 3 | 12 |
 с прямой кромкой | | | | | | |
ПП-1200 | 6 | 2 | 2 | 1 | 3 | 12 |
ПП-1600 | 6 | 2 | 2 | 1 | 3 | 12 |
 с зубчатой кромкой | | | | | | |
ПЗ-1200 | 10 | 2 | 2 | 1 | 3 | 12 |
ПЗ-1800 | 10 | 2 | 2 | 1 | 3 | 12 |
 лузговое | 5 | 2 | 2 | 1 | 3 | 12 |
 усеночное | 6 | 2 | 2 | 1 | 3 | 12 |
Приспособление для срезки фасок | 15 | 3 | 3 | 1 | 4 | 16 |
Рустовка стальная | 15 | 3 | 3 | 1 | 4 | 16 |
Скарпель для плиточных работ | 10 | 2 | 2 | 1 | 3 | 12 |
Скребок | 20 | 2 | 2 | 1 | 3 | 12 |
Сокол разборный дюралюминиевый | 100 | 6 | 6 | 1 | 7 | 28 |
Терка войлочная | 132 | 6 | 6 | 38 | 44 | 176 |
Терка деревянная | 400 | 6 | 6 | 20 | 26 | 144 |
Терка пенопластовая | 15 | 6 | 6 | 38 | 44 | 176 |
Терка пороплатовая | 15 | 6 | 6 | 38 | 44 | 176 |
Метр складной деревянный | 15 | 3 | 3 | 1 | 4 | 16 |
Отвес стальной строительный | 9 | 5 | 5 | 1 | 6 | 24 |
Прибор (конус) | 5 | 1 | 1 | 1 | 2 | 8 |
Рейка контрольная | 20 | 2 | 2 | 1 | 3 | 12 |
Рулетка измерительная металлическая | 8 | 1 | 1 | 1 | 2 | 8 |
Уровень строительный | 8 | 1 | 1 | 1 | 2 | 8 |
По расчету при производстве штукатурных работ требуются рабочие специальностей, приведенных в
таблице 10.27.
Таблица 10.27
Расчет численного состава бригады
Специальность | На бригаду, чел. | На удельный показатель объема работ, чел. |
Операторы штукатурной станции | 1 | 4 |
Штукатуры | 11 | 44 |
Итого | 12 | 48 |
Таблица 10.28
Перечень технических средств оснащения рабочих мест,
включенных в технологический комплект
Наименование технологических комплектов | Наименование технических средств | Количество нормокомплектов на удельный показатель годовой программы, шт. | Количество средств на один нормокомплект, шт. | Количество средств на удельный показатель объема работ, шт., |
для повседневного использования | для периодического использования и в резерв | всего |
1 | 2 | | | | | 7 |
Технологический комплект для производства малярных работ | Окрасочный агрегат | 3 | 1 | 1 | 2 | 6 |
Окрасочный агрегат высокого давления | 1 | 1 | 2 | 6 |
Окрасочный агрегат на пять удочек | 1 | 1 | 2 | 6 |
Окрасочный агрегат в комплекте с компрессорной установкой | 1 | 1 | 2 | 6 |
Штукатурно-затирочная машина для шлифовки прошпаклеванных поверхностей стен | 1 | 1 | 2 | 6 |
Шпаклевочный агрегат | 1 | 1 | 2 | 6 |
Окрасочный агрегат высокого давления | 1 | 1 | 2 | 6 |
Вибросито для процеживания малярных составов | 1 | 1 | 2 | 6 |
Универсальный столик для помещений высотой до 2,7 м | 1 | 1 | 2 | 6 |
Лестница-стремянка | 2 | 1 | 3 | 9 |
Трехколесная тележка для транспортировки отделочных материалов | 1 | 1 | 2 | 6 |
Складной двухвысотный столик для помещений высотой до 2,7 м | 5 | 2 | 7 | 21 |
Складной столик | 2 | 1 | 3 | 9 |
Установка со столиком для нанесения клея на обои | 1 | 1 | 2 | 6 |
Двухступенчатый стол для наклейки обоев | 1 | 1 | 2 | 6 |
Приспособление для разливки окрасочных составов | 1 | 1 | 2 | 6 |
Приспособление для окраски торцов оконных переплетов и дверных полотен | 2 | 1 | 3 | 12 |
Краскопульт ручного действия | 1 | 1 | 2 | 6 |
Мастерская инструментально-раздаточная | 1 | 1 | 2 | 6 |
Емкость для хранения кистей в соответствующем растворе или воде | 1 | 1 | 2 | 6 |
Устройство для перемешивания шпатлевок и красок | 1 | 1 | 2 | 6 |
Емкость для окрасочных составов с зажимным устройством для кистей | 3 | 1 | 4 | 12 |
Строительная каска | 10 | 4 | 14 | 52 |
Резиновые перчатки | 10 | 4 | 14 | 52 |
Респиратор | 2 | 1 | 3 | 9 |
Защитные очки | 2 | 1 | 3 | 9 |
Машина для шлифовки прошпаклеванных дощатых полов | 1 | 1 | 2 | 6 |
Предохранительные щитки | 1 | 1 | 2 | 6 |
Ведро | 1 | 1 | 2 | 6 |
Преобразователь частоты тока | 1 | 1 | 2 | 6 |
<*> В скобках указаны номера граф настоящей таблицы. |
Таблица 10.29
Ручной строительно-монтажный
и контрольно-измерительный инструмент
Наименование инструмента | Количество инструмента, шт., для маляров, 9 чел. | Расчетная потребность, шт. |
по норме на 100 чел. с учетом срока службы | расчетная потребность | по норме для повседневного использования | для периодического использования и в резерв | всего на один нормокомплект | на удельный показатель объема работ |
Терка-зачистка с полукруглой ручкой | 5 | 1 | 1 | 1 | 2 | 6 |
Терка-зачистка с шарниром и удлиненной ручкой | 8 | 1 | 1 | 1 | 2 | 6 |
Шпатели | 13 | 2 | 2 | 1 | 33 | 9 |
Шпатель-скребок | 13 | 2 | 2 | 1 | 3 | 9 |
Шпатель зубчатый | 13 | 2 | 2 | 1 | 3 | 9 |
Кисть-ручник | 50 | 5 | 5 | 1 | 6 | 18 |
Кисть флейцевая | 20 | 2 | 2 | 1 | 3 | 9 |
Кисть филеночная | 13 | 1 | 1 | 1 | 2 | 6 |
Кисть маховая | 25 | 2 | 2 | 1 | 3 | 9 |
Кисть-макловица | 10 | 1 | 1 | 1 | 2 | 6 |
Устройство для перемешивания жидкой шпатлевки | 25 | 2 | 2 | 1 | 3 | 9 |
Валики малярные | 100 | 9 | 9 | 2 | 11 | 33 |
Валики малярные (комплект) | 50 | 5 | 5 | 1 | 6 | 18 |
Валик малярный угловой | 25 | 2 | 2 | 1 | 3 | 9 |
Накатка двухваликовая | 15 | 1 | 1 | 1 | 2 | 6 |
Щетка торцовая | 13 | 1 | 1 | 1 | 2 | 6 |
Щетка для обойных работ | 13 | 1 | 1 | 1 | 2 | 6 |
Щетка стальная прямоугольная | 25 | 2 | 2 | 1 | 3 | 9 |
Рулетка измерительная металлическая | 4 | 1 | 1 | 1 | 2 | 6 |
Шнур разметочный в корпусе | 10 | 1 | 1 | 1 | 2 | 6 |
Отвесы стальные | 7 | 1 | 1 | 1 | 2 | 6 |
По расчету при производстве малярных работ требуются рабочие специальностей, приведенных в
таблице 10.30.
Таблица 10.30
Расчет численного состава бригады
Специальность | На бригаду, чел. | На удельный показатель объема работ, чел. |
Маляры | 9 | 27 |
Операторы малярной станции | 1 | 3 |
Итого | 10 | 30 |
10.3.8 Облицовочные работы - облицовка внутренних стен, укладка плиток в покрытие пола (
таблицы 10.31 -
10.32).
Таблица 10.31
Перечень технических средств оснащения рабочих мест,
включенных в технологический комплект
Наименование технологических комплектов | Наименование технических средств | Количество нормокомплектов на удельный показатель годовой программы, шт. | Количество средств на один нормокомплект, шт. | Количество средств на удельный показатель объема работ, шт., |
для повседневного использования | для периодического использования и в резерв | всего |
1 | 2 | | | | | 7 |
Технологический комплект для производства облицовочных работ (облицовка внутренних стен и укладка плиток в покрытие пола) | Растворосмеситель с откидными лопастями | 4 | 1 | 1 | 2 | 8 |
Машина для приготовления и подачи жестких растворов | 1 | 1 | 2 | 8 |
Машина мозаично-шлифовальная | 1 | 1 | 2 | 8 |
Трансформатор трехфазный | 1 | 1 | 2 | 8 |
Контейнер для плиточника-облицовщика | 3 | 1 | 4 | 16 |
Шаблон для сортировки плиток | 2 | 1 | 3 | 12 |
Тележка на пневмоколесном ходу | 1 | 1 | 2 | 8 |
Ящик-столик плиточника | 4 | 1 | 5 | 20 |
Шаблон для облицовки поверхностей глазурованной плиткой | 2 | 1 | 3 | 12 |
Шаблон регулирующий | 2 | 1 | 3 | 12 |
Емкость для мастики | 2 | 1 | 3 | 12 |
Скоба для установки глазурованных плиток | 40 | 20 | 60 | 240 |
Столик двухвысотный с ограждением и полкой | 2 | 1 | 3 | 12 |
Вышка передвижная сборно-разборная | 1 | 1 | 2 | 8 |
Приспособление для резки глазурованной плитки | 1 | 1 | 2 | 8 |
Ведро | 3 | 1 | 4 | 16 |
Емкость для раствора | 1 | 1 | 2 | 8 |
Светильник переносной ручной | 2 | 1 | 3 | 12 |
Контейнер для облицовочных плиток | 2 | | | 8 |
Светильник | 1 | | | 4 |
Сборно-разборные подмости | 1 | 1 | 2 | 8 |
Спаренный шаблон | 2 | 1 | 3 | 12 |
<*> В скобках указаны номера граф настоящей таблицы. |
Таблица 10.32
Ручной строительно-монтажный
и контрольно-измерительный инструмент
Наименование инструмента | Количество инструмента, шт., для облицовщиков-плиточников, 6 чел. | Расчетная потребность, шт. |
по норме на 100 чел. с учетом срока службы | расчетная потребность | по норме для повседневного использования | для периодического использования и в резерв | всего на один нормокомплект | на удельный показатель объема работ |
Кусачки для плиточных работ | 33 | 2 | 2 | 1 | 3 | 6 |
Резец для резки керамических плиток | 100 | 6 | 6 | 2 | 8 | 16 |
Скарпели для плиточных работ | 50 | 3 | 3 | 1 | 4 | 8 |
Киянки специальные плоские, круглые из резины и пластмассы или молотки резиновые | 40 | 2 | 2 | 1 | 3 | 6 |
Гладилка для плинтусов | 20 | 1 | 1 | 1 | 2 | 4 |
Молоток для плиточных работ | 34 | 2 | 2 | 1 | 3 | 6 |
Лопатка для плиточных работ | 133 | 8 | 8 | 2 | 10 | 20 |
Полутерки | 10 | 1 | 1 | 1 | 2 | 4 |
Правило, окованное одностороннее | 60 | 4 | 4 | 1 | 5 | 10 |
Скребок | 20 | 1 | 1 | 1 | 2 | 4 |
Шпатель зубчатый с пластмассовой ручкой | 13 | 6 | 6 | 2 | 8 | 16 |
Шпатель плиточника | 25 | 6 | 6 | 2 | 8 | 16 |
Лопаты растворные | 67 | 4 | 4 | 1 | 5 | 10 |
Кисть малярная травяная | 100 | 6 | 6 | 2 | 8 | 16 |
Ковш для отделочных работ | 35 | 2 | 2 | 1 | 3 | 6 |
Зубила | 25 | 2 | 2 | 1 | 3 | 6 |
Молотки слесарные с квадратным бойком массой | | | | | | |
1,0 кг | 12 | 1 | 1 | 1 | 2 | 4 |
0,6 кг | 12 | 1 | 1 | 1 | 2 | 4 |
Щетка стальная прямоугольная | 25 | 2 | 2 | 1 | 3 | 6 |
Рулетка измерительная металлическая | 10 | 1 | 1 | 1 | 2 | 4 |
Шнур разметочный в корпусе | 33 | 2 | 2 | 1 | 3 | 6 |
Отвесы стальные строительные | 34 | 2 | 1 | 1 | 2 | 4 |
Угольник металлический | 10 | 1 | 1 | 1 | 2 | 4 |
Уровень строительный | 25 | 2 | 2 | 1 | 3 | 6 |
Уровень гибкий (водяной) | 10 | 1 | 1 | 1 | 2 | 4 |
Штырь для плиточных работ | 133 | 8 | 8 | 2 | 10 | 20 |
По расчету при производстве облицовочных работ требуются рабочие специальностей, приведенных в
таблице 10.33.
Таблица 10.33
Расчет численного состава бригады
Специальность | На звено, чел. | На удельный показатель объема работ, чел. |
Облицовщики-плиточники внутренних стен | 3 | |
Облицовщики-плиточники (укладка плиток в покрытие пола) | 3 | 6 |
Итого | 6 | 12 |
<*> Расчетная численность рабочих на облицовке внутренних стен по прогнозируемой выработке с учетом коэффициента использования  составляет 7 чел. |
Принимается численность рабочих, кратная числу звеньев - 6 чел. В соответствии с этим скорректирована выработка.
10.3.9 Устройство кровель из рулонных материалов на горячих битумных мастиках (
таблицы 10.34 -
10.35).
Таблица 10.34
Перечень технических средств оснащения рабочих мест,
включенных в технологический комплект
Наименование технологических комплектов | Наименование технических средств | Количество нормокомплектов на удельный показатель годовой программы, шт. | Количество средств на один нормокомплект, шт. | Количество средств на удельный показатель объема работ, шт., |
для повседневного использования | для периодического использования и в резерв | всего |
1 | 2 | | | | | 7 |
Технологический комплект для устройства рулонной кровли на битумных мастиках | Агрегат для перекачки битумных мастик | 5 | 1 | 1 | 2 | 10 |
Ножницы ручные дисковые | 1 | 1 | 2 | 6 |
Машины для сушки основания кровли | 1 | 1 | 2 | 10 |
Котел битумоварочный | 1 | 1 | 2 | 10 |
Машина универсальная транспортировочная | 1 | 1 | 2 | 10 |
Контейнер для рулонных материалов | 2 | 1 | 3 | 15 |
Тележка на пневмоходу | 2 | 1 | 3 | 15 |
Устройство для раскладки и прикатки рулонных материалов | 1 | 1 | 2 | 10 |
Шкаф для подогрева рулонных материалов | 1 | 1 | 2 | 10 |
Бачок для битумной мастики | 2 | 1 | 3 | 15 |
Тележка для транспортирования бачка с мастикой | 1 | 1 | 2 | 10 |
Каска винипластовая | 7 | 2 | 9 | 45 |
Очки защитные закрытые с прямой вентиляцией | 7 | 2 | 9 | 45 |
Пояс предохранительный | 7 | 2 | 9 | 45 |
Щиток наголовный | 3 | 1 | 4 | 20 |
<*> В скобках указаны номера граф настоящей таблицы. |
Таблица 10.35
Ручной строительно-монтажный
и контрольно-измерительный инструмент
Название инструмента | Количество инструмента, шт., для кровельщиков, 7 чел. | Расчетная потребность, шт. |
по норме на 100 чел. с учетом срока службы | расчетная потребность | по норме для повседневного использования | для периодического использования и в резерв | всего на один нормокомплект | на удельный показатель объема работ |
Ножовка по дереву | 5 | 1 | 1 | 1 | 4 | 20 |
Нож для резки линолеума | 23 | 1 | 1 | 1 | 2 | 10 |
Топор строительный | 5 | 1 | 1 | 1 | 2 | 10 |
Молоток плотничный | 18 | 1 | 1 | 1 | 2 | 10 |
Гребок для кровельных работ | 100 | 7 | 7 | 2 | 9 | 45 |
Скребок | 20 | 1 | 1 | 1 | 2 | 10 |
Шпатель-скребок | 35 | 3 | 3 | 1 | 4 | 20 |
Ковшик для разлива мастики | 35 | 3 | 3 | 1 | 4 | 20 |
Лопаты подборочные | 67 | 6 | 6 | 2 | 8 | 40 |
Щетка стальная прямоугольная | 70 | 6 | 6 | 2 | 8 | 40 |
Рулетка измерительная металлическая | 5 | 1 | 1 | 1 | 2 | 10 |
Отвесы стальные строительные | 4 | 1 | 1 | 1 | 2 | 10 |
Уровни строительные | 5 | 1 | 1 | 1 | 2 | 10 |
По расчету при устройстве рулонной кровли на горячих битумных кукерсольных мастиках требуются кровельщики, чел.:
7 - на бригаду;
35 - на удельный показатель объема работ.
Расчетная численность рабочих по прогнозируемой выработке с учетом коэффициента использования

составляет 34 чел.
Принимается численность рабочих, кратная числу бригад, 35 чел.
В соответствии с этим проводится корректировка выработки.
10.3.10 Устройство кровель из рулонных материалов на холодных битумных мастиках (
таблицы 10.36 -
10.37).
Таблица 10.36
Перечень технических средств оснащения рабочих мест,
включенных в технологический комплект
Наименование технологических комплектов | Наименование технических средств | Количество нормокомплектов на удельный показатель годовой программы, шт. | Количество средств на один нормокомплект, шт. | Количество средств на удельный показатель объема работ, шт., |
для повседневного использования | для периодического использования и в резерв | всего |
1 | 2 | | | | | 7 |
Технологический комплект для устройства рулонной кровли на холодных битумных мастиках | Установка передвижная кровельная | 3 | 1 | 1 | 2 | 6 |
Машина для сушки основания кровли | 1 | 1 | 2 | 6 |
Тележка на пневмоходу 0,12 м3 | 2 | 1 | 3 | 9 |
Бачок для битумной мастики | 2 | 1 | 3 | 9 |
Тележка для транспортирования бачка с мастикой | 1 | 1 | 2 | 6 |
Каска винипластовая | 6 | 2 | 8 | 24 |
Щиток наголовный | 2 | 1 | 3 | 9 |
Пояс предохранительный | 6 | 2 | 8 | 24 |
Очки защитные закрытые с прямой вентиляцией | 3 | 1 | 4 | 12 |
Устройство для раскатки и прикатки рулонных материалов | 1 | 1 | 2 | 6 |
<*> В скобках указаны номера граф настоящей таблицы. |
Таблица 10.37
Ручной строительно-монтажный
и контрольно-измерительный инструмент
Наименование инструмента | Количество инструмента, шт., для кровельщиков, 6 чел. | Расчетная потребность, шт. |
по норме на 100 чел. с учетом срока службы | расчетная потребность | по норме для повседневного использования | для периодического использования и в резерв | всего на один нормокомплект | на удельный показатель объема работ |
Ножовка по дереву | 5 | 1 | 1 | 1 | 2 | 6 |
Нож для резки линолеума | 23 | 2 | 2 | 1 | 3 | 9 |
Топор строительный | 5 | 1 | 1 | 1 | 2 | 6 |
Молоток плотничный | 18 | 1 | 1 | 1 | 2 | 6 |
Гребок для кровельных работ | 100 | 6 | 6 | 2 | 8 | 24 |
Скребок | 20 | 1 | 1 | 1 | 2 | 6 |
Шпатель-скребок | 35 | 3 | 3 | 1 | 4 | 12 |
Ковшик для разлива мастики | 35 | 3 | 3 | 1 | 4 | 12 |
Лопаты подборочные | 67 | 5 | 5 | 1 | 6 | 18 |
Щетка стальная прямоугольная | 70 | 5 | 5 | 1 | 6 | 18 |
Рулетка измерительная металлическая | 5 | 1 | 1 | 1 | 2 | 6 |
Отвесы стальные строительные | 4 | 1 | 1 | 1 | 2 | 6 |
Уровни строительные | 5 | 1 | 1 | 1 | 2 | 6 |
По расчету при устройстве рулонной кровли на холодных битумных кукерсольных мастиках требуются кровельщики, чел.:
6 - на бригаду;
18 - на удельный показатель годовой программы.
Расчетная численность рабочих по прогнозируемой выработке с учетом коэффициентов

составляет 20 чел.
Принимается численность рабочих, кратная числу бригад, 18 чел.
В соответствии с этим производится корректировка выработки.
Таблица 10.38
Перечень технических средств оснащения рабочих мест,
включенных в технологический комплект
Наименование технологических комплектов | Наименование технических средств | Количество нормокомплектов на удельный показатель годовой программы, шт. | Количество средств на один нормокомплект, шт. | Количество средств на удельный показатель объема работ, шт., |
для повседневного использования | для периодического использования и в резерв | всего |
1 | 2 | | | | | 7 |
Устройство паркетных полов | Вакуумная подметально-пылесосная машина | 7 | 1 | 1 | 2 | 14 |
Паркетострогальная машина | 1 | 1 | 2 | 14 |
Паркетошлифовальная машина | 1 | 1 | 2 | 14 |
Электрополотерная машина | 1 | 1 | 2 | 14 |
Пила электрическая стационарная | 1 | 1 | 2 | 14 |
Электропила дисковая по дереву | 1 | 1 | 2 | 14 |
Рубанок ручной электрический | 1 | 1 | 2 | 14 |
| | ИС МЕГАНОРМ: примечание. Текст в графе "Наименование технических средств" дан в соответствии с официальным текстом документа. | |
|
| Ведро с цельной крышкой вместимостью 0,03 м | | 1 | 1 | 2 | 14 |
Бачок для мастики | 1 | 1 | 2 | 14 |
Каска строительная | 1 | 1 | 2 | 14 |
Очки защитные | 1 | 1 | 2 | 14 |
Точило электрическое | 1 | 1 | 2 | 14 |
Шуруповерт ручной электрический | 1 | 1 | 2 | 14 |
<*> В скобках указаны номера граф настоящей таблицы. |
Таблица 10.39
Ручной строительно-монтажный
и контрольно-измерительный инструмент
Наименование инструмента | Количество инструмента, шт., для паркетчика, 1 чел. | Расчетная потребность, шт. |
по норме на 100 чел. с учетом срока службы | расчетная потребность | по норме для повседневного использования | для периодического использования и в резерв | всего на один нормокомплект | на удельный показатель объема работ |
Ножовка по дереву | 33 | 1 | 1 | 1 | 2 | 14 |
Ножовка с обушком | 17 | 1 | 1 | 1 | 2 | 14 |
Разводка для пил | 17 | 1 | 1 | 1 | 2 | 14 |
Рубанок с двойным ножом | 12 | 1 | 1 | 1 | 2 | 14 |
Рубанок-шпунтубель | 5 | 1 | 1 | 1 | 2 | 14 |
Рубанок-плятгебель | 2 | 1 | 1 | 1 | 2 | 14 |
Стамески плоские | 4 | 1 | 1 | 1 | 2 | 14 |
Цикли | 34 | 1 | 1 | 1 | 2 | 14 |
Добойник стальной паркетный | 67 | 1 | 1 | 1 | 2 | 14 |
Молоток паркетный | 33 | 1 | 1 | 1 | 2 | 14 |
Клещи строительные | 12 | 1 | 1 | 1 | 2 | 14 |
Скребок | 20 | 1 | 1 | 1 | 2 | 14 |
Шпатель зубчатый с пластмассовой ручкой | 20 | 1 | 1 | 1 | 2 | 14 |
Напильник трехгранный длиной 200 мм | 400 | 8 | 8 | 2 | 10 | 70 |
Ковш для разлива мастики | 20 | 1 | 1 | 2 | 2 | 14 |
Щетка волосяная полотерная | 30 | 1 | 1 | 1 | 2 | 14 |
Метр складной деревянный | 100 | 1 | 1 | 1 | 2 | 14 |
Рулетка измерительная металлическая | 5 | 1 | 1 | 1 | 2 | 14 |
Шнур разметочный в корпусе | 20 | 1 | 1 | 1 | 2 | 14 |
Угольник металлический | 9 | 1 | 1 | 1 | 2 | 14 |
Угольник деревянный | 9 | 1 | 1 | 1 | 2 | 14 |
Уровни строительные | 9 | 1 | 1 | 1 | 2 | 14 |
По расчету при устройстве паркетных полов требуются паркетчики в количестве, чел.:
1 - на звено;
7 - на удельный показатель объема работ.
Таблица 10.40
Перечень технических средств оснащения рабочих мест,
включенных в технологический комплект
Наименование технологических комплектов | Наименование технических средств | Количество нормокомплектов на удельный показатель годовой программы, шт. | Количество средств на один нормокомплект, шт. | Количество средств на удельный показатель объема работ, шт., |
для повседневного использования | для периодического использования и в резерв | всего |
1 | 2 | | | | | 7 |
Технологический комплект для устройства дощатых полов | Машина для острожки полов | 4 | 1 | 1 | 2 | 8 |
Строительный подъемник | 1 | 1 | 2 | 8 |
Рубанок ручной электрический | 1 | 1 | 2 | 8 |
Машина ручная сверлильная | 1 | 1 | 2 | 8 |
Электрическая дисковая пила | 1 | 1 | 2 | 8 |
| | ИС МЕГАНОРМ: примечание. Текст в графе "Наименование технических средств" дан в соответствии с официальным текстом документа. | |
|
| Шаблон деревянный размером 1020 x 30 x 30 для проверки расстояния между лагами (собственного изготовления) | | 1 | 1 | 2 | 8 |
Рейка контрольная размером 100 x 40 x 2800 для выверки лаг (собственного изготовления) | 1 | 1 | 2 | 8 |
Сжим реечный для сплачивания досок пола | 2 | 1 | 3 | 12 |
Шаблон для запиловки плинтусов на "ус" | 1 | 1 | 2 | 8 |
Скобы стальные (в мастерской строительной организации) | 2 | 1 | 3 | 12 |
Деревянные клинья (в мастерской строительной организации) | 3 | 1 | 4 | 16 |
Ведро | 1 | 1 | 2 | 8 |
Швабра мочальная | 1 | 1 | 2 | 8 |
<*> В скобках указаны номера граф настоящей таблицы. |
Таблица 10.41
Ручной строительно-монтажный
и контрольно-измерительный инструмент
Название инструмента | Количество инструмента, шт., для плотников, 2 чел. | Расчетная потребность, шт. |
по норме на 100 чел. с учетом срока службы | расчетная потребность | по норме для повседневного использования | для периодического использования и в резерв | всего на один нормокомплект | на удельный показатель объема работ |
Долота плотничные с шириной полотна, мм: 6, 8, 10, 12, 16, 20 | 15 | 1 | 1 | 1 | 2 | 8 |
Коловорот с трещоткой | 9 | 1 | 1 | 1 | 2 | 8 |
Ножовка по дереву | 50 | 2 | 2 | 1 | 3 | 12 |
Пила поперечная двуручная по дереву | 10 | 1 | 1 | 1 | 2 | 8 |
Разводка для пил | 10 | 1 | 1 | 1 | 2 | 8 |
Рейсмус реечный | 10 | 1 | 1 | 1 | 2 | 8 |
Рубанок с одиночным ножом | 18 | 1 | 1 | 1 | 2 | 8 |
Рубанок-шерхебель | 20 | 1 | 1 | 1 | 2 | 8 |
Рубанок с двойным ножом | 18 | 1 | 1 | 1 | 2 | 8 |
Стамески плоские с шириной лезвия, мм: 6, 10, 16, 20, 32, 40 | 2 | 1 | 1 | 1 | 2 | 8 |
Сверла перовые к коловороту 6, 8, 19 (комплект) | 9 | 1 | 1 | 1 | 2 | 8 |
Сверла витые к коловороту 12, 16, 20, 25, 32, 40 (комплект) | 9 | 1 | 1 | 1 | 2 | 8 |
Сверла центровые к коловороту диаметром, мм: 12, 16, 20, 25, | 9 | 1 | 1 | 1 | 2 | 8 |
Топор строительный | 50 | 1 | 1 | 1 | 2 | 8 |
Добойник стальной паркетный | 17 | 1 | 1 | 1 | 2 | 8 |
Молоток плотничный | 33 | 2 | 2 | 1 | 3 | 12 |
Клещи строительные | 13 | 1 | 1 | 1 | 2 | 8 |
Ломик-гвоздодер | 7 | 1 | 1 | 1 | 2 | 8 |
Скребок | 20 | 1 | 1 | 1 | 2 | 8 |
Кусачки торцовые | 10 | 1 | 1 | 1 | 2 | 8 |
Кувалда кузнечная продольная | 7 | 1 | 1 | 1 | 2 | 8 |
Ломы монтажные | 7 | 1 | 1 | 1 | 2 | 8 |
Отвертки слесарно-монтажные | 25 | 1 | 1 | 1 | 2 | 8 |
Плоскогубцы комбинированные | 10 | 1 | 1 | 1 | 2 | 8 |
Напильник трехгранный длиной 200 мм | 400 | 8 | 8 | 2 | 10 | 40 |
Щетка стальная прямоугольная | 50 | 1 | 1 | 1 | 2 | 8 |
Ключи гаечные разводные | 10 | 1 | 1 | 1 | 2 | 8 |
Метр складной деревянный | 100 | 2 | 2 | 1 | 3 | 12 |
Рулетка измерительная металлическая | 5 | 1 | 1 | 1 | 2 | 8 |
Шнур разметочный в корпусе | 20 | 1 | 1 | 1 | 2 | 8 |
Отвесы стальные строительные | 17 | 1 | 1 | 1 | 2 | 8 |
Угольник металлический | 9 | 1 | 1 | 1 | 2 | 8 |
Уровни строительные | 8 | 1 | 1 | 1 | 2 | 8 |
Уровень гибкий (водяной) | 5 | 1 | 1 | 1 | 2 | 8 |
По расчету при устройстве дощатых полов требуются плотники, чел.:
2 - на звено;
8 - на удельный показатель объема работ.
Расчетная численность рабочих по прогнозируемой выработке при устройстве дощатых полов (1,1) составляет 9 чел.
Принимается численность рабочих, кратная числу бригад, 8 чел. В соответствии с этим корректируется выработка.
Таблица 10.42
Перечень технических средств оснащения рабочих мест,
включенных в технологический комплект
Наименование технологических комплектов | Наименование технических средств | Количество нормокомплектов на удельный показатель годовой программы, шт. | Количество средств на один нормокомплект, шт. | Количество средств на удельный показатель объема работ, шт., |
для повседневного использования | для периодического использования и в резерв | всего |
1 | 2 | | | | | 7 |
Устройство полов линолеумных и из плиток ПХВ | Вакуумная подметально-пылесосная машина | 7 | 1 | 1 | 2 | 14 |
Аппарат для сварки линолеума | 1 | 1 | 2 | 14 |
Машина сверлильная электрическая ручная | 1 | 1 | 2 | 14 |
Печь электроподогревательная | 1 | 1 | 2 | 14 |
Каток вальцовочный ножной | 1 | 1 | 2 | 14 |
Бачок изолировщика для мастики | 1 | 1 | 2 | 14 |
Тележка двухколесная для транспортирования бачка с мастикой | 1 | 1 | 2 | 14 |
<*> В скобках указаны номера граф настоящей таблицы. |
Таблица 10.43
Ручной строительно-монтажный
и контрольно-измерительный инструмент
Наименование инструмента | Количество инструмента, шт., для облицовщиков синтетическими плитками, 2 чел. | Расчетная потребность, шт. |
по норме на 100 чел. с учетом срока службы | расчетная потребность | по норме для повседневного использования | для периодического использования и в резерв | всего на один нормокомплект | на удельный показатель объема работ |
Ножовка по дереву | 7 | 1 | 1 | 1 | 2 | 14 |
Нож для резки линолеума | 33 | 1 | 1 | 1 | 2 | 14 |
Молоток плотничный | 7 | 1 | 1 | 1 | 2 | 14 |
Молоток резиновый | 50 | 1 | 1 | 1 | 2 | 14 |
Клещи строительные | 10 | 1 | 1 | 1 | 2 | 14 |
Лопатка для плиточных работ | 20 | 1 | 1 | 1 | 2 | 14 |
Скребок | 20 | 1 | 1 | 1 | 2 | 14 |
Шпатель зубчатый с пластмассовой ручкой | 50 | 1 | 1 | 1 | 2 | 14 |
Шпатели | 17 | 1 | 1 | 1 | 2 | 14 |
Штапель плиточника | 50 | 1 | 1 | 1 | 2 | 14 |
Щетка волосяная полотерная | 50 | 1 | 1 | 1 | 2 | 14 |
Метр складной деревянный | 25 | 1 | 1 | 1 | 2 | 14 |
Рулетка измерительная металлическая | 5 | 1 | 1 | 1 | 2 | 14 |
Шнур разметочный в корпусе | 3 | 1 | 1 | 1 | 2 | 14 |
Угольник металлический | 17 | 1 | 1 | 1 | 2 | 14 |
Уровни строительные | 10 | 1 | 1 | 1 | 2 | 14 |
Уровень гибкий (водяной) | 13 | 1 | 1 | 1 | 2 | 14 |
По расчету при устройстве полов из линолеума и плиток ПХВ требуются облицовщики синтетическими плитками, чел.:
2 - на звено;
14 - на удельный показатель объема работ.
Расчетная численность рабочих по прогнозируемой выработке при устройстве полов линолеумных и из плиток ПХВ составляет 15 чел.
Принимается численность рабочих, кратная числу бригад, 14 чел. В соответствии с этим корректируется выработка.
Таблица 10.44
Перечень технических средств оснащения рабочих мест,
включенных в технологический комплект
Наименование технологических комплектов | Наименование технических средств | Количество нормокомплектов на удельный показатель годовой программы, шт. | Количество средств на один нормокомплект, шт. | Количество средств на удельный показатель объема работ, шт., |
для повседневного использования | для периодического использования и в резерв | всего |
1 | 2 | | | | | 7 |
Технологический комплект для производства стекольных работ (остекление металлических и деревянных переплетов) | Приспособление "Шмель" | 4 | 1 | 1 | 2 | 8 |
Пневмопромазчик | 1 | 1 | 2 | 8 |
Пневмозаправщик | 1 | 1 | 2 | 8 |
Шуруповерт ручной реверсивный электрический | 1 | 1 | 2 | 8 |
Пистолет скобозабивной пневматический | 1 | 1 | 2 | 8 |
Установка компрессорная передвижная | 1 | 1 | 2 | 8 |
Установка для раскроя стекла | 1 | 1 | 2 | 8 |
Приспособление для резки стекла | 1 | 1 | 2 | 8 |
Контейнер для стекла | 1 | 1 | 2 | 8 |
Кассета | 2 | 1 | 3 | 12 |
Линейка (рейка) деревянная размером 1200 x 50 x 15 мм; 2200 x 50 x 15 мм (изготавливается в мастерской строительной организации) | 2 | 1 | 3 | 12 |
Лестница катучая | 1 | 1 | 2 | 8 |
Столик облегченный | 2 | 1 | 3 | 12 |
Кассета для переноски стекла | 2 | 1 | 3 | 12 |
Заправщик | 1 | 1 | 2 | 8 |
Ведро вместимостью 8 - 10 л | 2 | 1 | 3 | 12 |
Стол для резки оконного стекла | 1 | 1 | 2 | 8 |
Устройство для резки стекла | 3 | 1 | 4 | 16 |
Штанга для резки стекла | 1 | 1 | 2 | 8 |
Захват вакуумный | 3 | 1 | 4 | 16 |
Захват вакуумный ручной двухтарельчатый | 1 | 1 | 2 | 8 |
Приспособление для резки штапиков | 1 | 1 | 2 | 8 |
<*> В скобках указаны номера граф настоящей таблицы. |
Таблица 10.45
Ручной строительно-монтажный
и контрольно-измерительный инструмент
Наименование инструмента | Количество инструмента, шт., для стекольщиков, 6 чел. | Расчетная потребность, шт. |
по норме на 100 чел. с учетом срока службы | расчетная потребность | по норме для повседневного использования | для периодического использования и в резерв | всего на один нормокомплект | на удельный показатель объема работ |
Нож для отделочных работ | 50 | 3 | 3 | 1 | 4 | 16 |
Стеклорез роликовый из твердого сплава | 1200 | 12 | 12 | 4 | 16 | 64 |
Стеклорез роликовый | 1200 | 12 | 12 | 4 | 16 | 64 |
Стеклорез алмазный | 5 | 6 | 6 | 2 | 8 | 32 |
Стамески плоские с шириной лезвия, мм: 32, 40 | 15 | 6 | 6 | 2 | 8 | 32 |
Клещи строительные | 16 | 6 | 6 | 2 | 8 | 32 |
Кисть-ручник | 100 | 6 | 6 | 2 | 8 | 32 |
Кусачки торцовые | 25 | 2 | 2 | 1 | 3 | 12 |
Молотки слесарные с квадратным бойком массой 0,6 кг | 7 | 1 | 1 | 1 | 2 | 8 |
Отвертки слесарно-монтажные | 25 | 6 | 6 | 2 | 8 | 32 |
Отвертки под крестообразные шлицы | 25 | 6 | 6 | 2 | 8 | 32 |
Плоскогубцы комбинированные | 10 | 6 | 6 | 2 | 8 | 32 |
Щетка стальная прямоугольная | 40 | 2 | 2 | 1 | 3 | 12 |
Ключи гаечные разводные | 25 | 2 | 2 | 1 | 3 | 12 |
Молоток столярный | 50 | 6 | 6 | 2 | 8 | 32 |
Метр складной деревянный | 100 | 6 | 6 | 2 | 8 | 32 |
Рулетка измерительная металлическая | 13 | 1 | 1 | 1 | 2 | 8 |
Угольник деревянный | 10 | 1 | 1 | 1 | 2 | 8 |
По расчету при остеклении металлических и деревянных переплетов требуются стекольщики, чел.:
6 - на бригаду;
24 - на удельный показатель объема работ.
Расчетная численность рабочих по прогнозируемой выработке с учетом коэффициента использования

составляет 25 чел.
Принимается численность рабочих, кратная числу бригад, 24 чел. В соответствии с этим корректируется выработка.
10.3.15 Прокладка трубопроводов для инженерных коммуникаций - водопровод, канализация, теплосети (
таблицы 10.46 -
10.47).
Таблица 10.46
Перечень технических средств оснащения рабочих мест,
включенных в технологический комплект
Наименование технологических комплектов | Наименование технических средств | Количество нормокомплектов на удельный показатель годовой программы, шт. | Количество средств на один нормокомплект, шт. | Количество средств на удельный показатель объема работ, шт., |
для повседневного использования | для периодического использования и в резерв | всего |
1 | 2 | | | | | 7 |
Технологический комплект для прокладки трубопроводов для инженерных коммуникаций (водопровод, канализация, теплосети) | Мастерская сантехническая передвижная, включающая инструментально-раздаточную мастерскую | 6 | 1 | 1 | 2 | 12 |
Траверса механизированная | 1 | 1 | 2 | 12 |
Установка водоотливная | 1 | 1 | 2 | 12 |
Установка для гидравлического испытания | 1 | 1 | 2 | 12 |
Пневмоконопатка с набором сменного инструмента | 1 | 1 | 2 | 12 |
Оборудование газосварщика в составе: | | | | |
бачок для жидкого горючего | 1 | 1 | 2 | 12 |
керосинорез | 1 | 1 | 2 | 12 |
электрододержатель | 1 | 1 | 2 | 12 |
Агрегат сварочный однопостовой | 1 | 1 | 2 | 12 |
Вакуум-агрегат с комплектом вакуумкамер | 1 | 1 | 2 | 12 |
Труборез переносной газорезательный | 1 | 1 | 2 | 12 |
Пневмочеканка с набором сменного инструмента | 1 | 1 | 2 | 12 |
Машина ручная шлифовальная электрическая угловая | 1 | 1 | 2 | 12 |
Гайковерт редкоударный | 1 | 1 | 2 | 12 |
Зубило пневматическое | 1 | 1 | 2 | 12 |
Молоток пучковый пневматический | 1 | 1 | 2 | 12 |
Подъемник для труб | 1 | 1 | 2 | 12 |
Светильник | 4 | 2 | 6 | 36 |
Строп | 1 | 1 | 2 | 12 |
Трамбовка электрическая | 1 | 1 | 2 | 12 |
| | ИС МЕГАНОРМ: примечание. Значения в графах 4 - 7 даны в соответствии с официальным текстом документа. | |
|
| Визирка раздвижная | | | | | |
Захват клещевой полуавтоматический | 2 | 1 | 3 | 18 |
Захват | 2 | 1 | 3 | 18 |
Лестница для спуска людей в траншею | 2 | 1 | 3 | 18 |
Лоток чеканщика-водопроводчика | 1 | 1 | 2 | 12 |
Мачта прожекторная | 4 | 1 | 5 | 30 |
Мостик переходной | 2 | 1 | 3 | 18 |
Обноска инженерных сетей | 2 | 1 | 3 | 18 |
Ограждение инвентарное | 2 | 1 | 3 | 18 |
Палатка для сварщика | 2 | 1 | 3 | 18 |
Ящик для компонентов вместимостью 0,25 м3 | 2 | 1 | 3 | 18 |
Бачок | 2 | 1 | 3 | 18 |
Битумопульт | 2 | 1 | 3 | 18 |
Домкрат гидравлический | 2 | 1 | 3 | 18 |
Ключ трубный | 2 | 1 | 3 | 18 |
Коврик сварщика | 1 | 1 | 2 | 12 |
Центратор для труб | 2 | 1 | 3 | 18 |
<*> В скобках указаны номера граф настоящей таблицы. |
Таблица 10.47
Ручной строительно-монтажный
и контрольно-измерительный инструмент
Название инструмента | Количество инструмента, шт., для | Расчетная потребность, шт. |
трубоукладчиков, 6 чел. | слесарей-сантехников, 1 чел. | электросварщиков, 1 чел. | по норме для повседневного использования | для периодического использования и в резерв | всего на один нормокомплект | на удельный показатель объема работ |
по норме на 100 чел. с учетом срока службы | расчетная потребность | по норме на 100 чел. с учетом срока службы | расчетная потребность | по норме на 100 чел. с учетом срока службы | расчетная потребность |
Лопаты растворные | 36 | 6 | - | - | - | - | 6 | 2 | 8 | 48 |
Кельма для бетонных и каменных работ | 24 | 6 | - | - | - | - | 6 | 2 | 8 | 48 |
Лопаты копальные остроконечные | 24 | 3 | - | - | - | - | 3 | 1 | 4 | 24 |
Лопаты копальные прямоугольные | 24 | 3 | - | - | - | - | 3 | 1 | 4 | 24 |
Лопаты подборочные | 28 | 13 | - | - | - | - | 3 | 1 | 4 | 24 |
Скарпели для каменных и бетонных работ | - | - | 30 | 1 | - | - | 1 | 1 | 2 | 8 |
Шпатели | - | - | 12 | 1 | - | - | 1 | 1 | 2 | 12 |
Конопатка стальная | - | - | 18 | 1 | - | - | 1 | 1 | 2 | 12 |
Бородки слесарные | - | - | 23 | 1 | - | - | 1 | 1 | 2 | 12 |
Зубила | - | - | 93 | 1 | 200 | 2 | 3 | 1 | 4 | 24 |
Клуппы трубные | - | - | 12 | 1 | - | - | 1 | 1 | 1 | 12 |
Ножницы ручные для резки металла | - | - | 8 | 1 | - | - | 1 | 1 | 2 | 12 |
Плашки круглые для трубной цилиндрической резьбы | - | - | 48 | 1 | - | - | 1 | 1 | 2 | 12 |
Полотна ножовочные | - | - | 480 | 5 | 200 | 2 | 7 | 2 | 9 | 54 |
Рамки ножовочные ручные | - | - | 10 | 1 | 50 | 1 | 2 | 1 | 3 | 18 |
Кувалда кузнечная продольная тупоносая | 10 | 1 | 10 | 1 | - | - | 2 | 1 | 3 | 18 |
Труборез малогабаритный | - | - | 16 | 1 | - | - | 1 | 1 | 2 | 12 |
Труборез ручной | - | - | 12 | 1 | - | - | 1 | 1 | 2 | 12 |
Молотки слесарные с круглым бойком массой 0,8 кг | 50 | 3 | 35 | 1 | - | - | 4 | 1 | 5 | 30 |
Ключи гаечные двусторонние с открытым зевом (комплект) | 10 | 1 | 12 | 1 | - | - | 2 | 1 | 3 | 18 |
Ключи трубные рычажные | | | | | | | | | | |
N 1 | - | - | 47 | 1 | - | - | 1 | 1 | 2 | 12 |
N 2 | - | - | 35 | 1 | - | - | 1 | 1 | 2 | 12 |
N 3 | - | - | 18 | 1 | - | - | 1 | 1 | 2 | 12 |
Ключи трубные накидные | - | - | 35 | 1 | - | - | 1 | 1 | 2 | 12 |
Отвертки слесарно-монтажные разные | - | - | 24 | 1 | - | - | 1 | 1 | 2 | 12 |
Отвертки диэлектрические | - | - | - | - | 100 | 1 | 1 | 1 | 2 | 12 |
Ломы монтажные | 10 | 1 | - | - | - | - | 1 | 1 | 2 | 12 |
Плоскогубцы комбинированные | - | - | 18 | 1 | 50 | 1 | 2 | 1 | 3 | 18 |
Трубогибы ручные секторные 14, 19 | - | - | 18 | 1 | - | - | 1 | 1 | 2 | 12 |
Чеканки стальные (комплект) | 15 | 1 | 15 | 1 | - | - | 2 | 1 | 3 | 18 |
Напильники полукруглые | - | - | - | - | 200 | 2 | 2 | 1 | 9 | 18 |
Напильники трехгранные длиной 300 мм | - | - | 70 | 1 | - | - | 1 | 1 | 2 | 12 |
Напильник плоский тупоносый длиной 300 мм | - | - | 70 | 1 | - | - | 1 | 1 | 2 | 12 |
Щетка стальная прямоугольная | 60 | 4 | 70 | 1 | 200 | 2 | 7 | 2 | 9 | 54 |
Ключи гаечные разводные | - | - | 36 | 1 | 50 | 1 | 2 | 1 | 3 | 18 |
Метр складной металлический | - | - | 100 | 1 | 100 | 1 | 2 | 1 | 3 | 18 |
Рулетка измерительная металлическая | 5 | 1 | 10 | 1 | - | - | 2 | 1 | 3 | 18 |
Шнур разметочный в корпусе | 20 | 1 | - | - | - | - | 1 | 1 | 2 | 12 |
Отвесы стальные строительные | 12 | 1 | 12 | 1 | - | - | 1 | 1 | 2 | 12 |
Угольник металлический | - | - | 18 | 1 | - | - | 1 | 1 | 2 | 12 |
Уровни строительные | - | - | 18 | 1 | - | - | 1 | 1 | 2 | 12 |
Уровень гибкий (водяной) | 10 | 1 | 10 | 1 | - | - | 2 | 1 | 3 | 18 |
Крейцмейсель слесарный | - | - | - | - | 200 | 2 | 2 | 1 | 3 | 18 |
Циркуль разметочный | - | - | - | - | 25 | 1 | 1 | 1 | 2 | 12 |
Штангенциркуль | - | - | 9 | 1 | - | - | 1 | 1 | 2 | 12 |
По расчету при прокладке трубопроводов для инженерных коммуникаций требуются рабочие специальностей, приведенных в
таблице 10.48.
Таблица 10.48
Расчет численного состава бригады
Специальность | На бригаду, чел. | На удельный показатель объема работ, чел. |
Трубоукладчики | 6 | 36 |
Слесари-сантехники | 1 | 6 |
Электросварщики | 1 | 6 |
Итого | 8 | 48 |
Таблица 10.49
Перечень технических средств оснащения рабочих мест,
включенных в технологический комплект
| | ИС МЕГАНОРМ: примечание. Таблица дана в соответствии с официальным текстом документа. | |
Наименование технологических комплектов | Наименование технических средств | Количество нормокомплектов на удельный показатель годовой программы, шт. | Количество средств на один нормокомплект, шт. | Количество средств на удельный показатель объема работ, шт. ( 3 x 6) <*> |
для повседневного использования | для периодического использования и в резерв | всего |
1 | 2 | | | | | 7 |
Технологический комплект для устройства оклеечной изоляции | Машина для подогрева и нанесения битумной мастики | 3 | 1 | 1 | 2 | 6 |
Машина для сушки основания кровли | | 1 | 1 | 2 | 6 |
Тележка с рамкой для перевозки рубероида | | 2 | 1 | 3 | 9 |
Бачок изолировщика вместимостью 0,015 м3 | | 2 | 1 | 3 | 9 |
Тележка двухколесная для транспортирования бачка с мастикой | | 1 | 1 | 2 | 6 |
Каска винипластовая | 6 | 2 | 8 | 24 |
Щиток наголовный с каской | 2 | 1 | 3 | 9 |
Пояс предохранительный | 6 | 2 | 8 | 24 |
Очки защитные закрытые с прямой вентиляцией | 3 | 1 | 4 | 12 |
<*> В скобках указаны номера граф настоящей таблицы. |
Таблица 10.50
Ручной строительно-монтажный
и контрольно-измерительный инструмент
Наименование инструмента | Количество инструмента, шт., для кровельщиков, 6 чел. | Расчетная потребность, шт. |
по норме на 100 чел. с учетом срока службы | расчетная потребность | по норме для повседневного использования | для периодического использования и в резерв | всего на один нормокомплект | на удельный показатель объема работ |
Ножовка по дереву | 5 | 1 | 1 | 1 | 2 | 6 |
Нож для резки линолеума | 23 | 2 | 2 | 1 | 3 | 9 |
Топор строительный плотничный | 5 | 1 | 1 | 1 | 2 | 6 |
Молоток | 18 | 1 | 1 | 1 | 2 | 6 |
Гребок для кровельных работ | 100 | 6 | 6 | 2 | 8 | 24 |
Скребок | 20 | 1 | 1 | 1 | 2 | 6 |
Шпатель-скребок | 35 | 3 | 3 | 1 | 4 | 12 |
Ковшик для разливки мастики | 35 | 3 | 3 | 1 | 4 | 12 |
Лопаты подборочные | 67 | 5 | 5 | 1 | 6 | 18 |
Щетка стальная прямоугольная | 70 | 5 | 5 | 1 | 6 | 18 |
Рулетка измерительная металлическая | 5 | 1 | 1 | 1 | 2 | 6 |
Отвесы стальные строительные | 4 | 1 | 1 | 1 | 2 | 6 |
Уровни строительные | 5 | 1 | 1 | 1 | 2 | 6 |
По расчету при устройстве оклеечной изоляции требуются изолировщики, чел.:
6 - на бригаду;
14 - на удельный показатель объема работ.
Расчетная численность рабочих по прогнозируемой выработке с учетом коэффициента использования

составляет 20 чел.
Принимается численность рабочих, кратная числу бригад, 18 чел. В соответствии с этим корректируется выработка.
Таблица 10.51
Перечень технических средств оснащения рабочих мест,
включенных в технологический комплект
Наименование технологических комплектов | Наименование технических средств | Количество нормокомплектов на удельный показатель годовой программы, шт. | Количество средств на один нормокомплект, шт. | Количество средств на удельный показатель объема работ, шт. ( 3 x 6) <*> |
для повседневного использования | для периодического использования и в резерв | всего |
1 | 2 | | | | | 7 |
Технологический комплект для устройства обмазочной изоляции | Машина для подогрева и нанесения битумной мастики | 1 | 3 | 1 | 4 | 4 |
Агрегат для гидроизоляционных работ | 5 | 1 | 6 | 6 |
Щиток наголовный с каской | 5 | 1 | 6 | 6 |
<*> В скобках указаны номера граф настоящей таблицы. |
Таблица 10.52
Ручной строительно-монтажный
и контрольно-измерительный инструмент
Наименование инструмента | Количество инструмента (шт.) для кровельщиков, 5 чел. | Расчетная потребность, шт. |
по норме на 100 чел. с учетом срока службы | расчетная потребность | по норме для повседневного использования | для периодического использования и в резерв | всего на один нормокомплект | на удельный показатель объема работ |
Ножовка по дереву | 5 | 1 | 1 | 1 | 2 | 2 |
Нож для резки линолеума | 23 | 1 | 1 | 1 | 2 | 1 |
Топор строительный | 5 | 1 | 1 | 1 | 2 | 2 |
Молоток плотничный | 18 | 1 | 1 | 1 | 2 | 2 |
Гребок для кровельных работ | 100 | 5 | 5 | 1 | 6 | 6 |
Скребок | 20 | 1 | 1 | 1 | 2 | 2 |
Шпатель-скребок | 35 | 3 | 3 | 1 | 4 | 4 |
Ковш для разливки мастики | 35 | 3 | 3 | 1 | 4 | 4 |
Лопаты подборочные | 67 | 6 | 6 | 2 | 8 | 8 |
Щетка стальная прямоугольная | 70 | 6 | 6 | 2 | 8 | 8 |
Рулетка измерительная металлическая | 5 | 1 | 1 | 1 | 2 | 2 |
Отвесы стальные строительные | 4 | 1 | 1 | 1 | 2 | 2 |
Уровни строительные | 5 | 1 | 1 | 1 | 2 | 2 |
По расчету при устройстве обмазочной изоляции требуются изолировщики, чел.:
5 - на бригаду;
5 - на удельный показатель объема работ.
Расчетная численность рабочих по прогнозируемой выработке с учетом коэффициента использования

составляет 7 чел.
Принимается численность рабочих, кратная числу бригад, 5 чел. В соответствии с этим корректируется выработка.
ОБРАЗЕЦ ПОЛОЖЕНИЯ О ВАХТОВОМ МЕТОДЕ ОРГАНИЗАЦИИ РАБОТ
Положение распространяется на всех работников организации, работающих по вахтовому методу.
В настоящем положении используются следующие термины:
работодатель - ООО "Стройтрансгаз";
вахтовый метод организации работ (далее - вахтовый метод) - особая форма организации работ, основанная на использовании трудовых ресурсов вне их постоянного места жительства при условии невозможности обеспечения ежедневного возвращения работников к месту постоянного проживания;
вахтовый персонал - все работники, работающие по вахтовому методу;
вахта - периоды выполнения работ и междусменного отдыха на объекте (участке);
межвахтовый отдых - период времени между окончанием очередной вахты работника и началом следующей;
вахтовые поселки - полевые поселки, городки, а также другие специально оборудованные под жилье помещения, где проживает вахтовый персонал в период пребывания на объекте (участке);
положение - настоящее положение.
1 Общие положения
1.1 Положение о вахтовом методе организации работ работодателя разработано в целях обеспечения высокой эффективности производства работ и соблюдения государственных гарантий работников при выполнении работ вахтовым методом.
1.2 Положение разработано в соответствии с
[1] и
[11].
1.3 Рабочим местом при вахтовом методе считаются объекты (участки), на которых осуществляется непосредственная трудовая деятельность. Перемещение работников, привлеченных к работе по вахтовому методу, в связи с изменением места дислокации указанных объектов (участков) работы не является переводом на другую работу и не требует согласия работников. Направление работника на вахту не является служебной командировкой.
1.4 Решение о введении вахтового метода организации работ принимается работодателем с учетом мнения профсоюзного комитета организации. Затраты, связанные с применением вахтового метода, учитываются в составе расходов по обычным видам деятельности (общехозяйственные расходы).
1.5 Вахтой считается общий период, включающий время выполнения работ на объекте и междусменного отдыха в вахтовом поселке.
1.6 К вахтовому персоналу относятся все работники, заключившие трудовые договоры и работающие по вахтовому методу.
1.7 Работа вахтовым методом организуется по специальному режиму труда и отдыха, основанному на суммированном учете рабочего времени; междувахтовый отдых предоставляется в местах постоянного жительства.
1.8 Продолжительность вахты у работодателя составляет пятнадцать дней. В исключительных случаях на отдельных объектах продолжительность вахты может быть увеличена до трех месяцев. Решение об этом принимается работодателем с учетом мнения соответствующего профсоюзного комитета.
1.9 Работники, привлекаемые к работам вахтовым методом, в период нахождения на объекте (участке) проживают в специально создаваемых вахтовых поселках, полевых городках, а также в других, специально оборудованных под жилье, помещениях (далее - вахтовые поселки).
1.10 При заключении (изменении) трудового договора с работником, привлеченным к работе по вахтовому методу, особенности вахтового метода (режим труда и отдыха, продолжительность учетного периода, условия оплаты труда, предоставление льгот, компенсаций и т.д.) отражаются в трудовом договоре и приказе.
1.11 Вопросы, связанные с применением вахтового метода и не оговоренные в настоящем положении, решаются в соответствии с законодательством Российской Федерации.
2 Организация работы
2.1 Организация работы вахтовым методом должна обеспечивать ритмичность, непрерывность, комплексность выполнения работ на объектах, сохранность материальных ценностей.
2.2 К работам, выполняемым вахтовым методом, не могут привлекаться работники в возрасте до 18 лет, беременные женщины и женщины, имеющие детей в возрасте до трех лет, а также лица, имеющие медицинские противопоказания к выполнению работ вахтовым методом.
2.3 Комплектование вахтового персонала в первую очередь осуществляется из числа работников, состоящих в штате организации, с их согласия, а также лиц, проживающих в местах ведения работ вахтовым методом. При дефиците рабочих кадров комплектование вахтового персонала осуществляется в других регионах Российской Федерации.
Комплектование вахтового персонала вне места нахождения организации осуществляется по согласованию с государственными органами занятости, которым подведомственна территория, где предусматривается набор работников.
2.4 Доставка работников на вахту осуществляется организованно от пункта сбора (базового города) до места работы и обратно экономически целесообразными видами транспорта на основе долгосрочных договоров, заключаемых с соответствующими транспортными организациями.
Для доставки работников на некоторые участки может использоваться транспорт, принадлежащий работодателю. Пунктом сбора (базовым городом) считается место, из которого организованно осуществляется доставка работников к месту работы и обратно.
3 Организация вахтовых поселков
3.1 Вахтовый поселок включает в себя все объекты жилищно-коммунального и социально-бытового назначения, подсобных хозяйств и иных аналогичных служб, предназначенных обеспечивать работникам необходимые условия во время исполнения ими работ и междусменного отдыха, должен иметь устойчивую радио- или телефонную связь с аппаратом управления организации.
Техническое и бытовое обслуживание вахтовых поселков обеспечивается как соответствующим штатным персоналом работодателя, так и работниками специализированных сервисных организаций.
3.2 Ответственность за обустройство и содержание вахтовых поселков, организацию социально-бытового обслуживания работников, обеспечение безопасности проживания персонала в вахтовом поселке возлагается на службу социального обеспечения работодателя. Работодатель по согласованию с профсоюзным комитетом утверждает правила проживания в вахтовом поселке, обязательные для всех проживающих в конкретном поселке.
3.3 Решение о строительстве и ликвидации вахтового поселка принимается работодателем с учетом технико-экономического обоснования.
Вопросы строительства и ликвидации вахтовых поселков решаются совместно с местными администрациями соответствующих муниципальных образований.
3.4 Вахтовые поселки сооружаются по типовым или индивидуальным проектам, включающим генеральный план вахтового поселка с привязкой к местности, состав помещений, электро-, водо- и теплоснабжение, почтово-телеграфную связь, схему подъездных путей (взлетно-посадочной полосы), обоснование способа доставки персонала, смету затрат на его строительство и содержание. Проектом вахтового поселка решаются вопросы надлежащей организации питания, отдыха и досуга, медицинского, торгово-бытового и культурного обслуживания проживающих. Обязательное требование при выборе места дислокации вахтового поселка - сокращение времени проезда работников от места проживания в вахтовом поселке до места работы и обратно.
Проект вахтового поселка согласовывается с органами государственного санитарного и пожарного надзора и утверждается руководителем организации.
3.5 Готовность вахтового поселка к передаче его в эксплуатацию определяется комиссией, в состав которой включаются представители работодателя, профсоюзного комитета, организаций торговли и общественного питания, санитарной и пожарной служб, органов здравоохранения. Акт комиссии о приемке вахтового поселка в эксплуатацию утверждается руководителем организации.
3.6 Для работников мобильных производственных бригад сооружаются мобильные вахтовые поселки, состоящие из передвижных объектов жилищно-коммунального и социально-бытового назначения, подсобных хозяйств и иных аналогичных служб, предназначенных обеспечивать работникам необходимые условия во время исполнения или работ и между сменного отдыха.
3.7 Проживание и нахождение в вахтовых поселках детей и неработающих членов семей, нахождение работников в вахтовых поселках в период междувахтового отдыха запрещается.
3.8 Плата за проживание в общежитиях с работающих вахтовым методом не взимается.
Подрядные и другие организации возмещают организации, в ведении которой находится вахтовый поселок, затраты за проживание своих работников.
4 Режим труда и отдыха. Учет рабочего времени
4.1 При вахтовом методе организации работ у работодателя установлен суммированный учет рабочего времени. Продолжительность учетного периода - один год.
Учетный период охватывает все рабочее время, время в пути от места нахождения организации или от пункта сбора (базового города) до места работы и обратно и время отдыха, приходящееся на конкретный календарный отрезок времени. При этом продолжительность рабочего времени за учетный период не должна превышать нормального числа рабочих часов, установленного в
[1].
У работодателя ведется специальный учет рабочего времени и времени отдыха каждого работника по месяцам и нарастающим итогом за весь учетный период.
4.2 Режим рабочего времени, предусматривающий продолжительность ежедневной работы (смены), время начала и окончания работы, время перерывов в работе, число смен в сутки, чередование рабочих дней и дней отдыха устанавливаются организацией с учетом особенностей производства в коллективном договоре, правилах внутреннего трудового распорядка или локальных нормативных актах в соответствии с
[1], иными федеральными законами, локальными нормативными актами работодателя.
4.3 Рабочее время и время отдыха в рамках учетного периода регламентируется графиком работы на вахте, который утверждается работодателем с учетом мнения профсоюзного комитета и доводится до сведения работников не позднее, чем за два месяца до введения его в действие. В графиках также предусматриваются дни (часы), необходимые для доставки работников на вахту и обратно.
Время нахождения в пути к месту работы и обратно в норму рабочего времени не включается и приходится на дни междувахтового отдыха.
Продолжительность ежедневной работы (смены) у работодателя установлена продолжительностью 11 ч в сутки. Для работников, занятых на работах с вредными и (или) опасными условиями труда, где установлена сокращенная продолжительность рабочего времени, максимально допустимая продолжительность ежедневной работы (смены) не может превышать:
8 ч - при 36-часовой рабочей неделе;
6 ч - при 30-часовой рабочей неделе и менее.
4.4 Продолжительность ежедневного (междусменного) отдыха работников с учетом обеденных перерывов составляет 12 часов. Недоиспользованные часы ежедневного (междусменного) отдыха, а также дни еженедельного отдыха суммируются и предоставляются в виде дополнительных свободных от работы дней (дни междувахтового отдыха) в течение учетного периода. Дни еженедельного отдыха предоставляются по графику работы и могут приходиться на любые дни недели.
4.5 Работодатель с учетом мнения профсоюзного комитета имеет право вводить для мастеров, прорабов, начальников участков (смен) и другого цехового персонала, непосредственно осуществляющего руководство на объекте, режим труда и отдыха, установленный для основного персонала рабочих.
4.6 Норма рабочего времени, которую работник должен отработать в учетном периоде, исчисляется по расчетному графику пятидневной рабочей недели с двумя выходными днями, в субботу и воскресенье, исходя из следующей продолжительности ежедневной работы (смены): 8 ч - при 40-часовой рабочей неделе; при продолжительности рабочей недели менее 40 ч - количество часов, получаемое в результате деления установленной продолжительности рабочей недели на пять дней.
Для женщин, работающих и постоянно проживающих в районах Крайнего Севера и приравненных к ним местностях, нормальное количество часов в учетном периоде определяется из расчета 36-часовой рабочей недели.
На работах с вредными условиями труда норма рабочего времени исчисляется исходя из установленной законодательством сокращенной продолжительности рабочего времени.
Нормальная продолжительность рабочего времени на вахте определяется для учетного периода в вышеуказанном порядке.
4.7 При неполном времени работы в учетном периоде или на вахте (отпуск, болезнь и т.п.) норма рабочего времени корректируется на часы, приходящиеся на дни отсутствия на работе.
5 Оплата труда, льготы и компенсации
5.1 Оплата труда работников при вахтовом методе организации работ производится в соответствии с действующим у работодателя положением об оплате труда работников, исходя из установленных месячных должностных окладов и часовых тарифных ставок:
- рабочих-сдельщиков - за объем выполненных работ по укрупненным, комплексным и другим действующим нормам и расценкам;
- рабочих-повременщиков - за все фактически отработанное время, ч, из расчета установленных тарифных ставок присвоенных разрядов.
Оплата труда работников, которым установлены должностные оклады, производится из расчета часовой ставки за фактически отработанное время, ч. Часовая ставка работников в этих случаях определяется путем деления должностного оклада на среднемесячное количество рабочих часов в учетном периоде.
5.2 Премирование работников осуществляется в соответствии с действующим у работодателя положением о премировании, в пределах средств, предусмотренных на эти цели.
5.3 К заработной плате работников, выполняющих работы вахтовым методом, применяются коэффициенты (районные, за высокогорность, пустынность и безводность), а также процентные надбавки, установленные в конкретной местности.
5.4 Работа в нерабочие праздничные дни, предусмотренная графиком работы при суммированном учете рабочего времени, включается в норму рабочего времени в учетном периоде. Для работников, труд которых оплачивается по часовым ставкам, оплата в праздничный день производится в двойном размере, исходя из часовых ставок. Работникам, которым установлены должностные оклады, оплата за часы работы в праздничный день производится в размере не менее одинарной дневной или часовой ставки сверх оклада, если работа в нерабочие праздничный день производилась в пределах месячной нормы рабочего времени, и в размере не менее двойной часовой или дневной ставки сверх оклада, если работа производилась сверх месячной нормы.
5.5 Сверхурочная работа допускается в случаях, установленных
[1]. Сверхурочными признаются часы сверх нормы рабочих часов за учетный период. Сверхурочные работы не должны превышать для каждого работника четырех часов в течение двух дней подряд и 120 часов в год.
Работодатель обеспечивает точный учет сверхурочных работ, выполненных каждым работником.
Оплата сверхурочной работы или компенсирование дополнительным временем отдыха производится в соответствии с
[1] и коллективным или трудовым договором.
5.6 Часы переработки рабочего времени в пределах графика работы на вахте могут накапливаться в течение календарного года и суммироваться до целых дней с последующим предоставлением дополнительных дней отдыха.
5.7 Дни отдыха в связи с работой за пределами нормальной продолжительности рабочего времени в учетном периоде в пределах графика работы на вахте оплачиваются в размере тарифной ставки (оклада) без применения районного коэффициента и процентной надбавки за работу в районах Крайнего Севера и приравненных к ним местностях, получаемых работником ко дню наступления отдыха, из расчета за восьмичасовой рабочий день.
5.8 Работодатель или действующий по его поручению руководитель подразделения вправе, в случае неприбытия вахтового (сменного) персонала, привлекать работников, выполняющих работу вахтовым методом на объекте (участке), с их письменного согласия к работе сверх продолжительности рабочего времени, установленного графиками работы на вахте, до прибытия смены. В этом случае руководитель подразделения обязан принять все меры для организации доставки вахтового (сменного) персонала в кратчайшие сроки.
5.9 Работникам, выполняющим работы вахтовым методом, за каждый календарный день пребывания в местах производства работ в период рабочей вахты, а также за фактические дни нахождения в пути от пункта сбора (базового города) до места выполнения работы и обратно выплачивается взамен суточных надбавка за вахтовый метод работы в следующих размерах:
75% месячной тарифной ставки, должностного оклада - в районах Крайнего Севера и приравненных к ним местностях;
50% месячной тарифной ставки, должностного оклада - в районах Европейского Севера, Сибири и Дальнего Востока, а также в районах освоения Прикаспийского нефтегазового комплекса;
30% месячной тарифной ставки, должностного оклада - в остальных районах страны.
При выплате указанной надбавки другие виды компенсаций за подвижной характер работ и полевое довольствие не выплачивается.
5.10 Исчисление суммы надбавок за вахтовый метод работы осуществляется в следующем порядке:
при оплате по месячным окладам - оклад соответствующего работника делится на количество календарных дней конкретного месяца. Полученная дневная ставка умножается на количество фактических дней пребывания работника на вахте и в пути и от этой суммы определяется надбавка в установленном размере, %;
при оплате по часовым тарифным ставкам - месячная тарифная ставка определяется путем умножения часовой ставки на количество рабочих часов по календарю конкретного месяца. Дальнейший расчет производится в том же порядке, что и у работников, оплачиваемых по месячным окладам.
5.11 За дни нахождения в пути от пункта сбора (базового города) к месту работы и обратно, предусмотренные графиком работы, а также за дни задержки работников в пути по метеорологическим условиям или по вине транспортных организаций работнику выплачивается дневная тарифная ставка (оклад) из расчета за восьмичасовой рабочий день.
5.12 Неявка работника к месту выполнения работы в день, определенный графиком работы, или отсутствие в указанный день без уважительных причин более четырех часов является прогулом.
5.13 Работникам, работающим вахтовым методом в районах Крайнего Севера и в приравненных к ним местностях, устанавливаются районные коэффициенты к заработной плате, выплачиваются процентные надбавки к заработной плате и предоставляются дополнительные отпуска за работу в этих местностях в порядке и на условиях, предусмотренных для лиц, постоянно работающих и проживающих в указанных районах и местностях. В стаж работы, дающий право на получение процентных надбавок и дополнительного отпуска за работу в районах Крайнего Севера и в приравненных к ним местностях, работникам, работающим вахтовым методом, за исключением работников, проживающих в этих местностях, включаются календарные дни пребывания на вахте в районах Крайнего Севера и в приравненных к ним местностях и фактические дни нахождения в пути от пункта сбора (базового города) к месту работы и обратно, предусмотренные графиками работ.
Остальные гарантии и компенсации, предусмотренные
[1] для работающих и постоянно проживающих в районах Крайнего Севера и в приравненных к ним местностях, на работников, принятых вахтовым методом из других регионов, не распространяются.
5.14 Ежегодный основной оплачиваемый отпуск работникам, занятым на работах вахтовым методом, предоставляется в установленном порядке, продолжительность ежегодного основного оплачиваемого отпуска 28 календарных дней.
Работникам, занятым на тяжелых работах, работах с вредными и (или) опасными и иными особыми условиями труда, по результатам аттестации рабочих мест предоставляются дополнительные оплачиваемые отпуска продолжительностью не менее семи календарных дней в соответствии с
[31].
Если окончание ежегодного оплачиваемого отпуска работника приходится на дни междувахтового отдыха, то руководитель подразделения вправе при составлении графика работы после отпуска выбрать один из трех вариантов:
- по соглашению с работником предоставить ему отпуск без сохранения заработной платы до начала следующей вахты;
- с согласия работника перевести его в другую смену вахты;
- по заявлению работника предоставить ему дни оплачиваемого отдыха с последующим пересмотром графика работ, чтобы сбалансировать в течение года возникшую недоработку или переработку.
5.15 Исчисление среднего заработка во всех случаях производится в установленном законодательством порядке.
5.16 Работникам, уволившимся до окончания учетного периода, дата увольнения может указываться, с их согласия, с учетом полагающихся дней междувахтового отдыха.
5.17 Иные дополнительные льготы работникам, выполняющим работы вахтовым методом, предоставляются в соответствии с коллективным договором или локальными нормативными актами организации.
6 Заключительные положения
6.1 Лица, виновные в нарушении настоящего положения, несут дисциплинарную и/или материальную ответственность в соответствии с законами Российской Федерации.
6.2 Настоящее положение - неотъемлемая часть коллективного договора.
ОБРАЗЕЦ ПРИКАЗА О РАБОТЕ ВАХТОВЫМ МЕТОДОМ
___________________________________________________________________________
(наименование работодателя)
ПРИКАЗ N ________
о работе вахтовым методом
на объекте _______________________________________
г. __________________________ "___" _____________ ____ г.
В связи с необходимостью организации на объекте ______________ в районе
____________ работ вахтовым методом и на основании
ст. 297 Трудового
кодекса РФ приказываю:
1 Работы на объекте _____________ в районе __________________ выполнять
вахтовым методом.
1.1 Организацию работы на вахте возложить на __________________________
(ФИО, должность)
1.2 ___________________________ при организации работы вахтовым методом
(ФИО, должность)
обеспечить ритмичность, непрерывность, комплексность выполнения работ на
объектах (участках), преемственность вахтового персонала, сохранность
материальных ценностей.
1.3 Выполнять работу укрупненными бригадами с применением подрядных
принципов организации и оплаты труда.
2 Для выполнения работ вахтовым методом на объекте ____________________
в районе _________________ привлечь следующих состоящих в штате работников,
не имеющих медицинских противопоказаний к выполнению работ указанным
методом, проживающих в месте нахождения работодателя и согласных
выполнять работы вахтовым методом (далее - "вахтовики"):
2.1 __________________ - должность на вахте ___________________________
(ФИО, должность)
2.2 __________________ - должность на вахте ___________________________
2.3 __________________ - должность на вахте ___________________________
2.4 __________________ - за 2 - 4 дня до направления в вахтовый поселок
(ФИО, должность)
организовать медицинский осмотр вахтовиков.
3 Создать в районе ___________________ вахтовый поселок в соответствии
с утвержденным проектом в срок до "___" _______________ _____ г.
3.1 Назначить ответственным за создание вахтового
поселка ____________________________________.
(ФИО, должность)
3.2 Утвердить объем и порядок финансирования для создания вахтового
поселка в соответствии с утвержденной проектно-сметной документацией.
3.3 Утвердить комиссию по приемке вахтового поселка в эксплуатацию в
составе:
3.3.1 ________________________ - председатель.
(Ф.И.О., должность)
3.3.2 ________________________ - заместитель председателя.
3.3.3 ________________________ - представитель профсоюзной организации.
3.3.4 ________________________ - представитель муниципального органа
власти.
3.3.5 ________________________ - представитель предприятия торговли
и общественного питания.
3.3.6 ________________________ - представитель санитарной службы.
3.3.7 ________________________ - представитель пожарной службы.
3.3.8 ________________________ - представитель органа здравоохранения.
3.4 Техническое и бытовое обслуживание, охрану и поддержание порядка
вахтового поселка обеспечивать соответствующим сменным штатным персоналом.
3.5 Ответственность за содержание вахтового поселка, организацию
бытового обслуживания и культурно-массовой работы с вахтовиками возложить
на _________________________________.
(ФИО, должность)
При этом:
- по согласованию с профсоюзным органом утвердить внутренний распорядок
обслуживания для всех проживающих в этом поселке;
- организовать избрание в вахтовом поселке общественного совета
в составе не менее __________ человек.
3.6 ___________________ обеспечивать проживающих в вахтовом поселке лиц
(ФИО, должность)
транспортом, торгово-бытовым обслуживанием, а также ежедневным трехразовым
горячим общественным питанием.
3.7 Для удешевления стоимости питания в столовых (буфетах) вахтового
поселка использовать средства фонда социального развития предприятия в
объеме ________________ рублей в год.
3.8 ________________________ решить с органами здравоохранения по месту
(ФИО, должность)
расположения вахтового поселка вопрос о прикреплении вахтовиков к
лечебно-профилактическим учреждениям для их медицинского обеспечения.
3.9 _____________________ организовать комплектование вахтового поселка
(ФИО, должность)
медицинским персоналом, медикаментами и медоборудованием, а при
необходимости обеспечить эвакуацию заболевших или пострадавших.
3.10 ________________ организовать взаимодействие с правоохранительными
(ФИО, должность)
органами по вопросам их компетенции.
4 Утвердить продолжительность вахты:
4.1 Время выполнения работ на объекте - _______________________________
4.2 Время междусменного отдыха - ______________________________________
4.3 Утвердить график работы на вахте (прилагается) -
4.4 Каждый день отдыха в связи с переработкой рабочего времени в
пределах графика на вахте (день междувахтового отдыха) оплачивать в размере
дневной тарифной ставки (дневной ставки, части должностного оклада) за день
работы (или в размере ______________ (установленном коллективным договором,
локальным нормативным актом или трудовым договором)).
4.5 Часы переработки рабочего времени в пределах графика работы на
вахте, не кратные целому рабочему дню, накапливать в течение календарного
года и суммировать до целых рабочих дней с последующим предоставлением
дополнительных дней междувахтового отдыха.
5 Поручить _____________________ и __________________ организовать учет
(ФИО, должности)
рабочего времени при работе вахтовым методом на объекте __________________.
Вести учет рабочего времени и времени отдыха каждого вахтовика
по месяцам и за весь учетный период.
6 Установить суммированный учет рабочего времени за месяц (квартал или
иной более длительный период, но не более чем за один год) при вахтовом
методе работы на объекте _________________________________________________.
7 Установить пункт сбора для отправки на вахту - ______________________
8 Установить маршрут движения на вахту: - ___________ - _____________ -
___________. Обратный маршрут: - ____________ - ____________ - __________ -
________________.
9 Утвердить перечень транспортных средств для доставки вахтовиков -
_____________ из пункта _________________ в пункт ________________________.
10 Вахтовикам за каждый календарный день пребывания в местах
производства работ в период вахты, а также за фактические дни нахождения
в пути от пункта сбора до места выполнения работы и обратно выплачивать
взамен суточных надбавку за вахтовый метод работы в размере и порядке,
устанавливаемых коллективным договором от "___" _________ __ г. N _________
(и/или: локальным нормативным актом, принимаемым с учетом мнения выборного
органа первичной профсоюзной организации), трудовым договором.
11 За каждый день нахождения в пути от пункта сбора до места выполнения
работы и обратно, предусмотренный графиком работы на вахте, а также за дни
задержки в пути по метеорологическим условиям или вине транспортных
организаций вахтовику следует выплачивать дневную тарифную ставку (или:
часть должностного оклада за день работы).
12 Вариант: работникам, выезжающим для выполнения работ вахтовым
методом в районы Крайнего Севера и приравненные к ним местности из других
районов:
установить районный коэффициент и выплачивать процентные надбавки к
заработной плате в порядке и размерах, предусмотренных для лиц, постоянно
работающих в районах Крайнего Севера и приравненных к ним местностях.
13 Проживание вахтового (сменного) персонала в период междувахтового
отдыха в вахтовых поселках запрещается.
14 Премирование вахтовиков следует осуществлять в соответствии с
действующим положением о премировании. При этом премия начисляется на
заработную плату без учета оплаты дней междувахтового отдыха.
15 В случае неприбытия вахтового (сменного) персонала следует
привлекать вахтовиков к работе сверх продолжительности рабочего времени,
установленного графиками работы на вахте, до прибытия смены. В этом случае
следует принять все меры для организации доставки вахтового (сменного)
персонала в кратчайшие сроки.
16 В случае, когда работник по уважительным причинам своевременно не
прибыл к пункту сбора вахтового (сменного) персонала и до объекта работы
следовал самостоятельно, _______________________ возмещать ему транспортные
(ФИО, должность)
расходы применительно к нормам, предусмотренным законодательством
о служебных командировках.
17 В порядке, установленном коллективным договором (или: локальным
нормативным актом), в первую очередь предоставлять путевки на
санаторно-курортное лечение, отдых и туризм работникам, работающим вахтовым
методом.
18 Контроль за соблюдением настоящего приказа возложить на
__________________________
(ФИО, должность)
(должность, ФИО и подпись руководителя)
С приказом ознакомлены:
"____" ______________ ____ г. __________________________
(подпись, ФИО, должность)
"____" ______________ ____ г. __________________________
(подпись, ФИО, должность)
ОБРАЗЕЦ ДОПОЛНИТЕЛЬНОГО СОГЛАШЕНИЯ N 1
К ТРУДОВОМУ ДОГОВОРУ ОТ 31 МАРТА 2006 Г. N 11-ТД
2 июля 2007 г. Москва
Закрытое акционерное общество "Прогресс" в лице генерального директора Карпова Геннадия Ивановича, действующего на основании устава, именуемое в дальнейшем "Работодатель", с одной стороны и Григорьев Василий Никитич, именуемый в дальнейшем "Работник", с другой стороны заключили настоящее соглашение о нижеследующем:
1 Изложить пункт 1.5 трудового договора в следующей редакции: "Местом работы работника - строительный объект N ПО/321, расположенный по адресу: Россия, Ульяновская обл., рабочий поселок Николаевка".
2 Изложить пункт 2.1 трудового договора в следующей редакции: "Работнику устанавливается вахтовый режим работы на основании Положения о вахтовом методе работы от 29 июня 2007 г. N 23 и графика работы на вахте (приложение к приказу генерального директора ЗАО "Прогресс" от 2 июля 2007 г. N 144)".
3 Ввести в раздел 3 трудового договора "Оплата труда" пункты 3.6 и 3.7 следующего содержания:
"3.6 Работнику устанавливается надбавка за вахтовый метод работы в размере 100 рублей за каждый календарный день вахты и фактические дни нахождения в пути от пункта сбора до места выполнения работ и обратно.
3.7 За каждый день нахождения в пути от пункта сбора до места выполнения работы и обратно, предусмотренные графиком работы на вахте, а также за дни задержки в пути по метеорологическим условиям или по вине транспортных организаций работнику выплачивается часть оклада за день работы (дневная ставка)".
4 Настоящее дополнительное соглашение - неотъемлемая часть трудового договора от 31 марта 2006 N 11-ТД и вступает в силу с 3 сентября 2007 г.
5 Настоящее дополнительное соглашение составлено в двух экземплярах, имеющих равную юридическую силу. Один экземпляр передается Работнику, другой остается у Работодателя.
Работодатель: Работник:
Генеральный директор
_____________ Г.И. Карпов _______________ В.Н. Григорьев
(подпись) (подпись)
м.п.
ОБРАЗЕЦ ТРУДОВОГО ДОГОВОРА (ВАХТОВЫЙ МЕТОД РАБОТЫ)
ФИО (полное наименование работодателя), в лице (наименование должности, ФИО), действующего на основании (Устава, положения, доверенности), именуемый в дальнейшем "Работодатель", с одной стороны и гражданин(ка) РФ (ФИО работника), именуемый(ая) в дальнейшем "Работник", с другой стороны, вместе именуемые "Стороны", заключили настоящий договор о нижеследующем.
1 Предмет договора
1.1 По настоящему трудовому договору Работник обязуется выполнять обязанности по профессии/должности (указывается работа по должности в соответствии со штатным расписанием, профессии, специальности с указанием квалификации; конкретный вид поручаемой работнику работы) в (место работы, а в случае, когда работник принимается для работы в филиале, представительстве или ином обособленном структурном подразделении организации, расположенном в другой местности, - место работы с указанием обособленного структурного подразделения и его местонахождения), а Работодатель обязуется обеспечивать Работнику необходимые условия труда, предусмотренные трудовым законодательством, а также своевременную и полную выплату заработной платы.
1.2 Работа по настоящему договору - основное место работы для Работника.
1.3 Работник привлекается к работе вахтовым методом.
1.4 Условия труда на рабочем месте по степени вредности и (или) опасности - оптимальные (1 класс)/допустимые (2 класс)/вредные (указать класс и подкласс вредности)/опасные (4 класс).
1.5 Срок испытания при приеме на работу составляет (указать срок)./Работник принимается на работу без испытания.
1.6 Трудовой договор заключен на неопределенный срок.
1.7 Работник обязан приступить к работе с (число, месяц, год).
2 Права и обязанности работника
2.1 Работник имеет право на:
- заключение, изменение и расторжение трудового договора в порядке и на условиях, которые установлены Трудовым
кодексом РФ, иными федеральными законами;
- предоставление ему работы, обусловленной трудовым договором;
- рабочее место, соответствующее государственным нормативным требованиям охраны труда и условиям, предусмотренным коллективным договором (при его наличии);
- своевременную и в полном объеме выплату заработной платы в соответствии со своей квалификацией, сложностью труда, количеством и качеством выполненной работы;
- отдых, обеспечиваемый установлением нормальной продолжительности рабочего времени, сокращенного рабочего времени для отдельных профессий и категорий работников, предоставлением еженедельных выходных дней, нерабочих праздничных дней, оплачиваемых ежегодных отпусков;
- полную достоверную информацию об условиях труда и требованиях охраны труда на рабочем месте;
- подготовку и дополнительное профессиональное образование в порядке, установленном Трудовым
кодексом РФ, иными федеральными законами;
- объединение, включая право на создание профессиональных союзов и вступление в них для защиты своих трудовых прав, свобод и законных интересов;
- участие в управлении организацией в предусмотренных Трудовым
кодексом РФ, иными федеральными законами, при наличии, и коллективным договором формах;
- ведение коллективных переговоров и заключение коллективных договоров и соглашений через своих представителей, а также на информацию о выполнении коллективного договора, соглашений;
- защиту своих трудовых прав, свобод и законных интересов всеми не запрещенными законом способами;
- разрешение индивидуальных и коллективных трудовых споров, включая право на забастовку, в порядке, установленном Трудовым
кодексом РФ, иными федеральными законами;
- возмещение вреда, причиненного ему в связи с исполнением трудовых обязанностей, и компенсацию морального вреда в порядке, установленном Трудовым
кодексом РФ, иными федеральными законами;
- обязательное социальное страхование в случаях, предусмотренных федеральными законами;
- иные права, предусмотренные действующим трудовым законодательством и иными нормативными правовыми актами, содержащими нормы трудового права, коллективным договором, локальными нормативными актами.
2.2 Работник обязан:
- добросовестно исполнять свои трудовые обязанности, возложенные на него трудовым договором;
- соблюдать правила внутреннего трудового распорядка;
- соблюдать трудовую дисциплину;
- выполнять установленные нормы труда;
- соблюдать требования по охране труда и обеспечению безопасности труда;
- бережно относиться к имуществу Работодателя (в том числе к имуществу третьих лиц, находящемуся у Работодателя, если Работодатель несет ответственность за сохранность этого имущества) и других работников;
- незамедлительно сообщить Работодателю либо непосредственному руководителю о возникновении ситуации, представляющей угрозу жизни и здоровью людей, сохранности имущества Работодателя (в том числе имущества третьих лиц, находящегося у Работодателя, если Работодатель несет ответственность за сохранность этого имущества);
- иные обязанности, предусмотренные действующим трудовым законодательством и иными нормативными правовыми актами, содержащими нормы трудового права, коллективным договором, локальными нормативными актами.
3 Права и обязанности работодателя
3.1 Работодатель имеет право:
- заключать, изменять и расторгать трудовой договор с Работником в порядке и на условиях, которые установлены Трудовым
кодексом РФ, иными федеральными законами;
- вести коллективные переговоры и заключать коллективные договоры;
- поощрять Работника за добросовестный эффективный труд;
- требовать от Работника исполнения им трудовых обязанностей и бережного отношения к имуществу Работодателя (в том числе имуществу третьих лиц, находящемуся у Работодателя, если Работодатель несет ответственность за сохранность этого имущества) и других работников, соблюдения правил внутреннего трудового распорядка;
- привлекать Работника к дисциплинарной и материальной ответственности в порядке, установленном Трудовым
кодексом РФ, иными федеральными законами;
- принимать локальные нормативные акты;
- создавать объединения работодателей в целях представительства и защиты своих интересов и вступать в них;
- создавать производственный совет;
- иные права, предусмотренные действующим трудовым законодательством и иными нормативными правовыми актами, содержащими нормы трудового права, коллективным договором, локальными нормативными актами.
3.2 Работодатель обязан:
- соблюдать трудовое законодательство и иные нормативные правовые акты, содержащие нормы трудового права, локальные нормативные акты, условия трудового договора, соглашений, коллективного договора (при его наличии);
- предоставить Работнику работу, обусловленную трудовым договором;
- обеспечивать безопасность и условия труда, соответствующие государственным нормативным требованиям охраны труда;
- обеспечивать Работника оборудованием, инструментами, технической документацией и иными средствами, необходимыми для исполнения им трудовых обязанностей;
- обеспечивать Работнику равную оплату за труд равной ценности;
- выплачивать в полном размере причитающуюся Работнику заработную плату в сроки, установленные в соответствии с Трудовым
кодексом РФ, коллективным договором (при его наличии), правилами внутреннего трудового распорядка, трудовым договором;
- вести коллективные переговоры, а также заключать коллективный договор в порядке, установленном Трудовым
кодексом РФ;
- предоставлять представителям работников полную и достоверную информацию, необходимую для заключения коллективного договора, соглашения и контроля за их выполнением;
- знакомить Работника под роспись с принимаемыми локальными нормативными актами, непосредственно связанными с его трудовой деятельностью;
- своевременно выполнять предписания федерального органа исполнительной власти, уполномоченного на осуществление федерального государственного надзора за соблюдением трудового законодательства и иных нормативных правовых актов, содержащих нормы трудового права, других федеральных органов исполнительной власти, осуществляющих государственный контроль (надзор) в установленной сфере деятельности, уплачивать штрафы, наложенные за нарушение трудового законодательства и иных нормативных правовых актов, содержащих нормы трудового права;
- рассматривать представления соответствующих профсоюзных органов, иных избранных работниками представителей о выявленных нарушениях трудового законодательства и иных актов, содержащих нормы трудового права, принимать меры по устранению выявленных нарушений и сообщать о принятых мерах указанным органам и представителям;
- создавать условия, обеспечивающие участие Работника в управлении организацией в формах, предусмотренных Трудовым
кодексом РФ, иными федеральными законами и коллективным договором (при его наличии);
- обеспечивать бытовые нужды Работника, связанные с исполнением им трудовых обязанностей;
- осуществлять обязательное социальное страхование Работника в порядке, установленном федеральными законами;
- возмещать вред, причиненный Работнику в связи с исполнением им трудовых обязанностей, а также компенсировать моральный вред в порядке и на условиях, которые установлены Трудовым
кодексом РФ, другими федеральными законами и иными нормативными правовыми актами Российской Федерации;
- иные обязанности, предусмотренные действующим трудовым законодательством и иными нормативными правовыми актами, содержащими нормы трудового права, коллективным договором, локальными нормативными актами.
4 Рабочее время и время отдыха
4.1 В связи со спецификой деятельности Работнику устанавливается суммированный учет рабочего времени.
4.2 Учетным периодом является, например, месяц, квартал, но не более года. Учетный период охватывает все рабочее время, время в пути от места нахождения Работодателя или от пункта сбора до места выполнения работы и обратно, а также время отдыха, приходящееся на данный календарный отрезок времени.
4.3 Продолжительность рабочего времени за учетный период не должна превышать нормального числа рабочих часов, установленных законодательством.
4.4 Рабочее время и время отдыха в пределах учетного периода регламентируются графиком работы на вахте, который утверждается Работодателем и доводится до сведения Работника не позднее, чем за два месяца до введения его в действие.
Дни нахождения в пути к месту работы и обратно в рабочее время не включаются и могут приходиться на дни междувахтового отдыха.
4.5 Продолжительность ежедневной работы (смены) должна быть не более 12 ч.
4.6 Число дней еженедельного отдыха в текущем месяце должно быть не менее числа полных недель этого месяца. Дни еженедельного отдыха могут приходиться на любые дни недели.
4.7 Часы переработки рабочего времени в пределах графика работы на вахте, не кратные целому рабочему дню, могут накапливаться в течение календарного года и суммироваться до целых рабочих дней с последующим предоставлением дополнительных дней междувахтового отдыха.
4.8 Работнику предоставляется ежегодный оплачиваемый отпуск продолжительностью (значение) календарных дней.
4.9 Работнику предоставляется ежегодный дополнительный оплачиваемый отпуск продолжительностью (значение) календарных дней (указать основание предоставления дополнительного отпуска).
4.10 По семейным обстоятельствам и другим уважительным причинам Работнику по его письменному заявлению может быть предоставлен отпуск без сохранения заработной платы, продолжительность которого определяется по соглашению между Работником и Работодателем.
5 Условия оплаты труда
5.1 Оплата труда Работника при вахтовом методе организации работ производится: рабочих-сдельщиков - за объем выполненных работ по укрупненным комплексным и другим действующим нормам и расценкам; рабочих-повременщиков - за все фактически отработанное время, ч, из расчета установленных тарифных ставок присвоенных разрядов; мастеров, прорабов, начальников участков (смен) и другого линейного (цехового) персонала, непосредственно осуществляющего руководство на объекте (участке), - за все фактически отработанное по графику время, ч, из расчета установленных должностных окладов. Часовая ставка работников в этих случаях определяется путем деления должностного оклада на количество рабочих часов по календарю расчетного месяца; других руководителей, специалистов и служащих, также работающих на вахте, - за фактически отработанное время, дни, из расчета установленных должностных окладов.
5.2 За каждый календарный день пребывания в местах производства работ в период вахты, а также за фактические дни нахождения в пути от места нахождения Работодателя (пункта сбора) до места выполнения работы и обратно Работнику выплачивается взамен суточных надбавка за вахтовый метод работы.
5.3 За каждый день нахождения в пути от места нахождения Работодателя (пункта сбора) до места выполнения работы и обратно, предусмотренные графиком работы на вахте, а также за дни задержки в пути по метеорологическим условиям или вине транспортных организаций Работнику выплачивается дневная тарифная ставка, часть оклада (должностного оклада) за день работы (дневная ставка).
5.4 Премирование Работника осуществляется в соответствии с (наименование локального нормативного акта). При этом премия начисляется на заработную плату без учета оплаты дней междувахтового отдыха.
5.5 К заработной плате Работника применяются коэффициенты (районные, за высокогорность, пустынность и безводность) в размерах, установленных для работников основной деятельности в местах производства работ.
5.6 Каждый день отдыха в связи с переработкой рабочего времени в пределах графика работы на вахте (день междувахтового отдыха) оплачивается в размере дневной тарифной ставки, дневной ставки (части оклада, должностного оклада) за день работы, если более высокая оплата не установлена коллективным договором или локальным нормативным актом.
5.7 Заработная плата выплачивается Работнику (указать конкретные числа календарного месяца)./Заработная плата выплачивается Работнику не реже чем каждые полмесяца в день, установленный правилами внутреннего трудового распорядка.
5.8 При выполнении работы за пределами нормальной продолжительности рабочего времени, в ночное время, выходные и нерабочие праздничные дни, при совмещении профессий (должностей), при исполнении обязанностей временно отсутствующего сотрудника Работнику производятся соответствующие доплаты в порядке и размере, установленных коллективным договором и локальными нормативными актами.
5.9 На период действия настоящего трудового договора на Работника распространяются все гарантии и компенсации, предусмотренные действующим трудовым законодательством РФ.
6 Ответственность сторон
6.1 В случае неисполнения или ненадлежащего исполнения Работником своих обязанностей, указанных в настоящем трудовом договоре и должностной инструкции, нарушения трудового законодательства РФ, а также причинения Работодателю материального ущерба он несет дисциплинарную, материальную и иную ответственность согласно действующему законодательству РФ.
6.2 Работодатель несет перед Работником материальную и иную ответственность согласно действующему законодательству РФ.
7 Заключительные положения
7.1 Споры между сторонами, возникшие при исполнении настоящего трудового договора, рассматриваются в порядке, установленном Трудовым
кодексом РФ и иными федеральными законами.
7.2 Во всем остальном, что не предусмотрено настоящим трудовым договором, Стороны руководствуются законодательством РФ, регулирующим трудовые отношения.
7.3 Трудовой договор заключен в письменной форме, составлен в двух экземплярах, каждый из которых имеет одинаковую юридическую силу.
7.4 Все изменения и дополнения к настоящему трудовому договору оформляются двусторонним письменным соглашением.
7.5 Настоящий трудовой договор может быть прекращен по основаниям, предусмотренным действующим трудовым законодательством.
8 Реквизиты и подписи сторон
Работодатель (вписать нужное) Работник (вписать нужное)
(должность, подпись, инициалы, фамилия) (подпись, инициалы, фамилия)
МП
Экземпляр трудового договора мною получен (число, месяц, год)
(подпись, фамилия, инициалы работника)
[1] Федеральный
закон от 30 декабря 2001 г. N 197-ФЗ "Трудовой кодекс Российской Федерации"
[2] Федеральный
закон от 29 декабря 2004 г. N 190-ФЗ "Градостроительный кодекс Российской Федерации"
| | ИС МЕГАНОРМ: примечание. В официальном тексте документа, видимо, допущена опечатка: Федеральный закон "Технический регламент о безопасности зданий и сооружений" от 30.12.2009 имеет номер 384-ФЗ, а не 394-ФЗ. | |
[3] Федеральный
закон от 30 декабря 2009 г. N 394-ФЗ "Технический регламент о безопасности зданий и сооружений"
[4] Федеральный
закон от 23 ноября 2009 г. N 261 "Об энергосбережении и о повышении энергетической эффективности и о внесении изменений в отдельные законодательные акты Российской Федерации"
[5] Федеральный
закон от 22 июля 2008 г. N 123 "Технический регламент о требованиях пожарной безопасности"
[6] Федеральный
закон от 10 января 2002 г. N 7-ФЗ "Об охране окружающей среды"
[7]
Постановление Правительства Российской Федерации от 16 февраля 2008 г. N 87 "О составе разделов проектной документации и требований к их содержанию"
[8]
Постановление Правительства Российской Федерации от 03.02.2005 г. N 51 "О размерах и порядке выплаты надбавки за вахтовый метод работы работникам федеральных государственных организаций и федеральных государственных учреждений" (с изменениями и дополнениями)
[9]
Постановление Правительства Российской Федерации от 11.12.2002 г. N 884 "Правила предоставления ежегодного дополнительного оплачиваемого отпуска работникам с ненормируемым рабочим днем в организациях, финансируемых за счет средств федерального бюджета"
[10]
Постановление Правительства Российской Федерации от 13.10.2008 г. N 749 "Положение об особенностях направления работников в служебные командировки"
[11]
Постановление Госкомтруда СССР, Секретариата ВЦСПС, Минздрава СССР от 31 декабря 1987 г. N 794/33-82 (ред. от 17.01.1990 г., с изм. от 19.02.2003 г.) "Об утверждении Основных положений о вахтовом методе организации работ"
[12]
Порядок исчисления нормы рабочего времени на определенные календарные периоды времени (месяц, квартал, год) в зависимости от установленной продолжительности рабочего времени в неделю. Приказ Министерства здравоохранения и социального развития Российской Федерации от 13.08.2009 г. N 588Н
[13]
СТО НОСТРОЙ 2.33.14-2011 Организация строительного производства. Общие положения
[14]
СТО НОСТРОЙ 2.33.51-2011 Организация строительного производства. Подготовка и производство строительных и монтажных работ
[15]
СТО НОСТРОЙ 2.33.52-2011 Организация строительного производства. Организация строительной площадки. Новое строительство
[16] Агапкин В.М., Хайтун А.Д. Вахтовый метод строительства. - М.: Знание, 1990
[17] Борисов Д.В. Вахтовый метод как особая форма организации трудового процесса: диссертация ученой степени на соискание ученой степени кандидата экономический наук, Москва, 2004
[18] Вахтовый метод работы в нефтяной промышленности.//Аналитический журнал "PETROLEUM", 2001, апрель
[19] Глазырин В.В. Трудовые договоры (контракты) в условиях Крайнего Севера//Справочник кадровика. - 2001; N 4
[20] Зимин П.И., Лазарева В.Т. Вахтенные жилые комплексы для Севера. - Л.: Стройиздат, 1978
[21] Методические рекомендации по организации вахтового метода работ в строительстве. М., 2007
[22] Методические рекомендации по расчету табеля оснащения рабочих мест техническими средствами/ВНИПИтруда в строительстве. - М., 1982
[23] Олейник П.П. Организация строительного производства. М.: Изд-во АСВ, 2010
[24] Олейник П.П., Степанов И.В. Мобильные здания в строительстве. - М.: Стройиздат, 1985
[25] Особенности применения вахтового метода в строительстве. М.: "Строительство: бухгалтерский учет и налогообложение", 2010, N 1
[26] Отраслевое
положение о вахтовом методе организации работ. М.: ГипродорНИИ, 1988
[27] Повышение эффективности мобильных строительных организаций/Под общей ред. Б.В. Прыкина. - М.: Стройиздат, 1988
[28] Рекомендации по внедрению вахтового метода организации строительства. - М.: Стройиздат, 1984
[29] Руководящие указания по расчетам эффективности и затрат, связанных с применением экспедиционно-вахтового метода в нефтегазовом строительстве.
РД 102-67-87
[30] Сысоев Е.О. Вахтовый метод организации труда при интенсификации производственных возможностей трудового коллектива: диссертация на соискание ученой степени кандидата экономических наук, Хабаровск, 2009
[31]
Постановление Правительства РФ от 20.11.2008 N 870 "Об установлении сокращенной продолжительности рабочего времени, ежегодного дополнительного оплачиваемого отпуска, повышенной оплаты труда работникам, занятым на тяжелых работах, работах с вредными и (или) опасными и иными особыми условиями труда"
Ключевые слова: вахтовые поселки, пионерное освоение территорий, вахтовые метод работы, материально-техническое обеспечение строительства, мобильные подразделения, организация строительства |