Главная // Актуальные документы // Ведомость (форма)СПРАВКА
Источник публикации
М.: Стандартинформ, 2018
Примечание к документу
Документ
введен в действие с 1 сентября 2019 года.
Название документа
"ГОСТ 34389-2018. Межгосударственный стандарт. Техника сельскохозяйственная. Машины для первичной переработки льняной тресты. Методы испытаний"
(введен в действие Приказом Росстандарта от 07.12.2018 N 1077-ст)
"ГОСТ 34389-2018. Межгосударственный стандарт. Техника сельскохозяйственная. Машины для первичной переработки льняной тресты. Методы испытаний"
(введен в действие Приказом Росстандарта от 07.12.2018 N 1077-ст)
агентства по техническому
регулированию и метрологии
от 7 декабря 2018 г. N 1077-ст
МЕЖГОСУДАРСТВЕННЫЙ СТАНДАРТ
ТЕХНИКА СЕЛЬСКОХОЗЯЙСТВЕННАЯ
МАШИНЫ ДЛЯ ПЕРВИЧНОЙ ПЕРЕРАБОТКИ ЛЬНЯНОЙ ТРЕСТЫ
МЕТОДЫ ИСПЫТАНИЙ
Agricultural machinery. Machines for primary
processing of flax trusts. Test methods
ГОСТ 34389-2018
Дата введения
1 сентября 2019 года
Цели, основные принципы и основной порядок проведения работ по межгосударственной стандартизации установлены в
ГОСТ 1.0-2015 "Межгосударственная система стандартизации. Основные положения" и
ГОСТ 1.2-2015 "Межгосударственная система стандартизации. Стандарты межгосударственные, правила и рекомендации по межгосударственной стандартизации. Правила разработки, принятия, обновления и отмены"
1 РАЗРАБОТАН Новокубанским филиалом Федерального государственного бюджетного научного учреждения "Российский научно-исследовательский институт информации и технико-экономических исследований по инженерно-техническому обеспечению агропромышленного комплекса" (КубНИИТиМ)
2 ВНЕСЕН Федеральным агентством по техническому регулированию и метрологии
3 ПРИНЯТ Межгосударственным советом по стандартизации, метрологии и сертификации (протокол от 28 февраля 2018 г. N 106-П)
За принятие проголосовали:
Краткое наименование страны по МК (ИСО 3166) 004-97 | Код страны по МК (ИСО 3166) 004-97 | Сокращенное наименование национального органа по стандартизации |
Армения | AM | Минэкономики Республики Армения |
Беларусь | BY | Госстандарт Республики Беларусь |
Казахстан | KZ | Госстандарт Республики Казахстан |
Киргизия | KG | Кыргызстандарт |
Россия | RU | Росстандарт |
Таджикистан | TJ | Таджикстандарт |
4
Приказом Федерального агентства по техническому регулированию и метрологии от 7 декабря 2018 г. N 1077-ст межгосударственный стандарт ГОСТ 34389-2018 введен в действие в качестве национального стандарта Российской Федерации с 1 сентября 2019 г.
5 ВВЕДЕН ВПЕРВЫЕ
Информация об изменениях к настоящему стандарту публикуется в ежегодном информационном указателе "Национальные стандарты", а текст изменений и поправок - в ежемесячном информационном указателе "Национальные стандарты". В случае пересмотра (замены) или отмены настоящего стандарта соответствующее уведомление будет опубликовано в ежемесячном информационном указателе "Национальные стандарты". Соответствующая информация, уведомление и тексты размещаются также в информационной системе общего пользования - на официальном сайте Федерального агентства по техническому регулированию и метрологии в сети Интернет (www.gost.ru)
Настоящий стандарт распространяется на машины для первичной переработки льняной тресты: размотчики рулонов, мяльные, трепальные, трясильные и куделеприготовительные (далее - машины).
Настоящий стандарт устанавливает методы испытаний вышеперечисленных типов машин.
В настоящем стандарте использованы нормативные ссылки на следующие межгосударственные стандарты:
ГОСТ 12.1.003-2014 Система стандартов безопасности труда. Шум. Общие требования безопасности
ГОСТ 12.1.004-91 Система стандартов безопасности труда. Пожарная безопасность. Общие требования
ГОСТ 12.1.005-88 Система стандартов безопасности труда. Общие санитарно-гигиенические требования к воздуху рабочей зоны
ГОСТ 12.1.012-2004 Система стандартов безопасности труда. Вибрационная безопасность. Общие требования
ГОСТ 12.2.002-91 Система стандартов безопасности труда. Техника сельскохозяйственная. Методы оценки безопасности
ГОСТ 12.2.003-91 Система стандартов безопасности труда. Оборудование производственное. Общие требования безопасности
ГОСТ 12.2.062-81 Система стандартов безопасности труда. Оборудование производственное. Ограждения защитные
ГОСТ 12.4.026-2015 Система стандартов безопасности труда. Цвета сигнальные, знаки безопасности и разметка сигнальная. Назначение и правила применения. Общие технические требования и характеристики. Методы испытаний
ГОСТ OIML R 76-1-2011 Государственная система обеспечения единства измерений. Весы неавтоматического действия. Часть 1. Метрологические и технические требования. Испытания
ГОСТ 7502-98 Рулетки измерительные металлические. Технические условия
ГОСТ 9394-76 Волокно льняное короткое. Технические условия
<*>
--------------------------------
<*> В части метода определения фактической влажности действует
ГОСТ 25133-82 "Волокна лубяные. Метод определения влажности".
ГОСТ 16504-81 Система государственных испытаний продукции. Испытания и контроль качества продукции. Основные термины и определения
ГОСТ 20433-75 Лен-долгунец. Термины и определения <*>
--------------------------------
<*> В Российской Федерации действует
ГОСТ Р 52784-2007 "Лен-долгунец. Термины и определения".
ГОСТ 20915-2011 Испытания сельскохозяйственной техники. Методы определения условий испытаний
ГОСТ 21623-76 Система технического обслуживания и ремонта техники. Показатели для оценки ремонтопригодности. Термины и определения
ГОСТ 21786-76 Система "человек - машина". Сигнализаторы звуковые неречевых сообщений. Общие эргономические требования
ГОСТ 24055-2016 Техника сельскохозяйственная. Методы эксплуатационно-технологической оценки
ГОСТ 24383-89 Треста льняная. Требования при заготовках <**>
--------------------------------
<**> В Российской Федерации действует
ГОСТ Р 53143-2008 "Треста льняная. Требования при заготовках".
ГОСТ 26025-83 Машины и тракторы сельскохозяйственные и лесные. Методы измерения конструктивных параметров
ГОСТ 26026-83 Машины и тракторы сельскохозяйственные и лесные. Методы оценки приспособленности к техническому обслуживанию
ГОСТ 27388-87 Эксплуатационные документы сельскохозяйственной техники
ГОСТ 28305-89 Машины и тракторы сельскохозяйственные и лесные. Правила приемки на испытания <***>
--------------------------------
<***> В Российской Федерации действует
ГОСТ Р 54783-2011 "Испытания сельскохозяйственной техники. Основные положения".
ГОСТ 33734-2016 Техника сельскохозяйственная. Комбайны и машины для уборки льна. Методы испытаний
ГОСТ 33738-2016 Машины сельскохозяйственные и лесохозяйственные с электроприводом. Общие требования безопасности
Примечание - При пользовании настоящим стандартом целесообразно проверить действие ссылочных стандартов в информационной системе общего пользования - на официальном сайте Федерального агентства по техническому регулированию и метрологии в сети Интернет или по ежегодному информационному указателю "Национальные стандарты", который опубликован по состоянию на 1 января текущего года, и по выпускам ежемесячного информационного указателя "Национальные стандарты" за текущий год. Если ссылочный стандарт заменен (изменен), то при пользовании настоящим стандартом следует руководствоваться заменяющим (измененным) стандартом. Если ссылочный стандарт отменен без замены, то положение, в котором дана ссылка на него, применяется в части, не затрагивающей эту ссылку.
3.1 засоренность льнотресты: Массовая доля сорняков, семенных коробочек, посторонних примесей, камней и земли в составе льнотресты.
4.1 Цели, задачи и виды испытаний - по
ГОСТ 16504.
4.2 Порядок представления машины на испытания, оформление результатов приемки - в соответствии с ГОСТ 28305, а также в соответствии со стандартами, действующими в государствах - участниках Соглашения.
Эксплуатационные документы, представляемые с машиной, должны соответствовать ГОСТ 27388.
4.3 При приемке машин на испытания проводят предварительную оценку безопасности конструкции и делают заключение о возможности допуска к проведению испытаний.
При всех видах испытаний должен быть составлен и утвержден акт предварительной оценки безопасности конструкции и дано заключение о возможности допуска машины к испытаниям.
4.4 К продолжению испытаний не допускают (до устранения соответствующего недостатка) машины с конструкционными недостатками, представляющими реальную опасность травмирования оператора.
4.5 Машину представляют на испытания не позднее, чем за 15 дней до наступления агротехнического срока.
Типовая программа испытаний машин включает виды оценок в соответствии с таблицей 1.
Таблица 1
Вид оценки | Вид испытаний |
Приемочные | | | |
1 Технических параметров (техническая экспертиза) | + | + | + | + |
2 Агротехническая | + | + | + | - |
3 Оценка электропривода | + | + | + | + |
4 Безопасность и эргономичность конструкции | + | + | + | + |
5 Эксплуатационно-технологическая | + | + | + | + |
6 Надежность | + | + | + | + |
7 Экономическая | + | - | + | - |
<*> Проводят в соответствии с 4.6. <**> Проводят в соответствии с 4.7. Примечание - Знак "+" означает, что оценка проводится, знак "-" - не проводится. |
4.6 При квалификационных и периодических испытаниях оценку безопасности и эргономичности конструкции (на соответствие
разделу 9 настоящего стандарта) допускается не проводить в случае наличия сертификата соответствия, выданного аккредитованным органом по сертификации.
4.7 При проведении типовых испытаний машин включают виды оценок, на изменение значения показателей которых повлияли изменения конструкции изделия.
4.8 Сравнительные испытания проводят в идентичных условиях.
4.9 Применяемые средства измерений должны быть поверены до начала испытаний в соответствии с правилами, действующими в государствах - участниках Соглашения.
4.10 Нестандартные и единичные средства измерений, испытательное оборудование подлежат аттестации, проводимой в установленном порядке.
5 Подготовка к испытаниям
5.1 Перед началом испытаний на основании типовой программы испытаний составляют рабочую программу-методику испытаний, в которой указывают с учетом требований заказчика и особенностей конкретного образца перечень определяемых показателей по каждому виду оценки, фактические значения по которым в процессе испытаний записывают в рабочие формы испытаний, и методы их определения, режимы, условия, место испытаний, наименования средств измерений и оборудования, применяемых при испытании, с указанием их погрешности.
5.2 При подготовке машины к испытаниям необходимо соблюдать следующие требования:
- машина должна отвечать требованиям безопасности;
- до начала испытаний машина должна быть обкатана и отрегулирована в соответствии с руководством по эксплуатации;
- техническое состояние машины должно отвечать требованиям технического задания (далее - ТЗ), технических условий (далее - ТУ) и руководства по эксплуатации.
5.3 Параметры, характеризующие условия работы машины при испытаниях, должны находиться в пределах, соответствующих ТЗ (ТУ) на испытуемую машину.
5.4 Перед проведением испытаний проводят обучение и инструктаж персонала по вопросам устройства и безопасной эксплуатации машины.
6 Методы оценки технических параметров
6.1 Оценку технических параметров проводят по стандартам, действующим в государствах - участниках Соглашения.
6.2 Определение габаритных размеров и массы машины проводят по ГОСТ 26025.
6.3 Перечень технических параметров, характеризующих конструкцию машины, приведен в
форме А.1 (приложение А).
7 Методы агротехнической оценки
7.1 Номенклатура определяемых показателей
Показатели условий испытаний и качества выполнения технологического процесса, определяемые при агротехнической и эксплуатационно-технологической оценках машин, приведены в
формах А.2 -
А.7 (приложение А).
7.2 Требования к условиям испытаний
7.2.1 Льняное сырье для проведения испытаний машин должно соответствовать требованиям ТЗ (ТУ) на испытуемую машину.
7.2.2 Льняное сырье заготавливают партиями. В каждой партии сырье должно быть однородным по цвету, длине стеблей, засоренности, влажности.
Льняная треста, заготовленная для проведения испытаний машин, должна быть номером не менее 1,25, соответствовать ГОСТ 24383, а также стандартам, действующим в государствах - участниках Соглашения.
7.2.3 Для достижения равенства партии льнотресты по свойствам проводят обезличивание ее путем поочередной раскладки снопов и рулонов по повторностям и вариантам опытов. Если по условиям опыта льнотреста подвергается сушке и отлежке (вне технологической линии), то ее обезличивание следует проводить после сушки и отлежки.
7.2.4 Отходы трепания должны быть однородными, с закостренностью не более 60%. Каждую партию отходов трепания заготавливают с однотипной льнотресты одной партии.
7.2.4.1 Обезличивание партии отходов трепания по повторностям и вариантам опытов проводят путем поочередного раскладывания пучков отходов после предварительного подсушивания, если такое проводилось.
7.2.4.2 При испытании трясильных и куделеприготовительных машин в технологической линии, включая мяльно-трепальный агрегат и сушилку отходов трепания, специальную заготовку отходов трепания не проводят. В этом случае заготавливают необходимое количество однотипной льнотресты одной партии.
7.2.5 Массу заготавливаемой льнотресты для испытаний определяют из расчета выполнения работ, предусмотренных рабочей программой-методикой испытаний.
При испытаниях размотчиков рулонов на одну повторность необходимо иметь не менее одного рулона льнотресты, при испытаниях мяльно-трепальных машин - не менее 50 кг льнотресты в снопах или одного рулона, обеспечивающих получение не менее трех пачек (кулиток) длинного волокна. Масса пачки (кулитки) волокна должна соответствовать
ГОСТ 10330. Масса отходов трепания для одной повторности опыта должна быть не менее 25 кг.
Для технологической наладки, отбора регулировочных проб при определении оптимального режима и проведения дополнительных опытов по каждому варианту опыта следует дополнительно заготовить не менее 300 кг льнотресты в снопах или не менее двух рулонов льнотресты и не менее 150 кг отходов трепания. Взвешивание сырья по повторностям проводят в день отбора проб на анализ качества и определение влажности. Погрешность взвешивания - +/- 0,5 кг.
7.2.6 Подготовленное сырье (льнотреста, отходы трепания) должно быть выравненным по влажности. Разница по влажности в пределах одной партии допускается не более 1%.
7.3 Определение показателей условий испытаний
7.3.1 У заготовленной для испытаний льнотресты определяют:
- вид льнотресты (моченцовая или сланцевая);
- способ расстила (комбайновый или ручной);
- способ заготовки: в снопах (машинной или ручной вязки) или рулонах;
- материал и способ обвязки снопов, рулонов по ГОСТ 24383,
ГОСТ 17308.
7.3.2 Отбор проб из партии сырья льнотресты перед ее обезличиванием проводят из снопов или рулонов по ГОСТ 24383.
7.3.3 Диаметр, длину, массу и плотность рулона определяют по
ГОСТ 33734.
7.3.4 Массу шпагата, тип намотки шпагата на бобину определяют по
ГОСТ 17308.
7.3.5 Качество льнотресты (влажность, цвет, номер льнотресты, длину снопа, засоренность) определяют по ГОСТ 24383. Результаты записывают в
формы Б.1,
Б.2 (приложение Б).
7.3.6 Отбор проб из подготовленной партии отходов трепания перед их обезличиванием проводят по ГОСТ 9394.
При испытаниях трясильных и куделеприготовительных машин в технологической линии отбор проб исходного материала проводят перед началом каждого опыта. Пробы отбирают с транспортеров-питателей и приемных камер. Из отобранных проб составляют объединенную пробу массой не менее 3 кг для всей партии отходов трепания. Из объединенной пробы отбирают две лабораторные пробы, из которых берут по две навески для анализа. Результаты записывают в
форму Б.3 (приложение Б).
7.3.7 Содержание в отходах трепания массовой доли костры и сорных примесей определяют по ГОСТ 9394. Результаты записывают в
форму Б.3 (приложение Б).
7.3.8 Влажность льнотресты определяют по ГОСТ 24383, влажность отходов трепания - по
ГОСТ 25133.
7.3.9 Показатели условий испытаний записывают в
формы А.2 -
А.4 (приложение А).
7.4 Определение показателей качества выполнения технологического процесса
7.4.1 Перед оценкой качества работы машины на каждой партии сырья проводят не менее двух регулировочных опытов с целью установления оптимальных регулировок, исходя из соблюдения требований ТЗ (ТУ) по показателям качества.
7.4.1.1 Испытания размотчиков рулонов проводят в агрегате с мяльно-трепальной машиной на режимах, предусмотренных требованиями ТЗ (ТУ) на размотчик рулонов.
7.4.1.2 Для мяльных и трепальных машин поочередно подбирают необходимые регулировки (количество и массу подаваемых горстей, степень нажатия пружин мяльных вальцов, толщину слоя подаваемой льнотресты, скорость зажимного транспортера, частоту вращения трепальных барабанов и т.д.) с целью получения необходимой степени промина льнотресты и протрепа волокна без повреждения продуктивной части при наибольшем выходе длинного волокна и наименьшем количестве недоработки.
7.4.1.3 По куделеприготовительным машинам поочередно подбирают необходимые регулировки с целью получения кондиционного волокна (толщину обрабатываемого слоя, степень нажатия пружин, скорость рабочих органов, положение игл, наклон решетки трясильной машины и т.д.).
7.4.1.4 Параметры окончательно установленных оптимальных регулировок записывают в журнал испытаний.
7.4.2 При испытаниях машин число опытов при определении показателей качества выполнения технологического процесса должно быть не менее двух, проведенных на оптимальных регулировках.
7.4.3 Измерение продолжительности опыта проводят секундомером. Погрешность измерения - +/- 1 с. За начало опыта считают момент подачи первой порции (горсти) материала в питатель или приемную камеру, за окончание - подачу последней порции. Результаты записывают в
форму Б.4 (приложение Б).
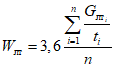
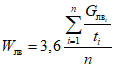
7.4.4 Производительность машины по льнотресте Wлт, т/ч, вычисляют по формуле

, (1)
где n - число опытов, шт.;

- масса льнотресты, прошедшая через мяльную машину за
i-й опыт, кг;
ti - продолжительность i-го опыта, с.
Производительность машины по льноволокну Wлв, т/ч, вычисляют по формуле

, (2)
где

- масса полученного льноволокна (длинного или короткого) за
i-й опыт, кг.
Результаты записывают в
форму Б.4 (приложение Б), значение производительности вычисляют с округлением до первого десятичного знака.
7.4.5 Массу остатка льнотресты с каждого рулона, не поддающегося размотке, и массу верхнего слоя льнотресты, снятого с рулона при заправке шпагата, взвешивают с погрешностью +/- 0,1 кг. Число рулонов - не менее трех.
Полученную массу вычитают из общей массы льнотресты в рулоне, для исключения ее из расчета производительности машины. Результаты записывают в
форму Б.5 (приложение Б) и вычисляют среднеарифметическое значение массы с округлением до целого числа.
7.4.5.1 Массовую долю льнотресты с рулона, не поддающегося размотке qн.р, %, вычисляют по формуле

, (3)
где n' - число рулонов (лент), шт.;
qi - массовая доля льнотресты с не поддающегося размотке i-го рулона, %;

, (4)
где

- масса остатка льнотресты с
i-го рулона после размотки, кг;

- масса верхнего слоя льнотресты, снятого с
i-го рулона при заправке шпагата, кг;
Mi - масса i-го рулона, кг.
Результаты записывают в
форму Б.5 (приложение Б).
7.4.6 Толщину разматываемой ленты в рулоне измеряют линейкой. В каждой ленте рулона число измерений должно быть не менее 10, погрешность измерения - +/- 0,5 см. Результаты записывают в
форму Б.6 (приложение Б) и вычисляют среднеарифметическое значение с округлением до целого числа.
7.4.7 Разрывы в ленте льнотресты в каждом рулоне определяют измерением разрывов между стеблями более 10 см. Погрешность измерения - +/- 1 см.
Результаты записывают в
форму Б.7 (приложение Б).
Линейную долю разрывов в ленте

, %, вычисляют по формуле

, (5)
где

- линейная доля разрывов в
i-й ленте, %;

, (6)
где k - число измеренных разрывов;

- длина
j-го разрыва между стеблями в
i-й ленте, м;
Li - длина i-й ленты, м.
Вычисления проводят с округлением до первого десятичного знака.
7.4.8 Растянутость ленты льнотресты в рулоне определяют по ГОСТ 24383.
7.4.9 Выход прокладочного шпагата

, %, вычисляют по формуле

, (7)
где G1 - масса прокладочного шпагата, намотанного на бобину размотчика, кг;
G2 - общая масса прокладочного шпагата в рулоне, кг.
7.4.10 Выход длинного льноволокна определяют пропуском льнотресты через мяльно-трепальную машину. Число опытов не менее трех. Число повторностей каждого опыта должно быть не менее трех. Длинное льноволокно на выходе из машины взвешивают с погрешностью +/- 1 г. Результаты записывают в
форму Б.8 (приложение Б). Взвешенные пробы связывают в пачки (кулитки) по повторностям, данные записывают в этикетки
формы Б.9 (приложение Б).
Выход длинного льноволокна

, %, вычисляют по формуле

, (8)
где

- выход длинного льноволокна за
i-й опыт, %;

, (9)
где

- масса длинного льноволокна после доработки за
i-й опыт, кг;

- масса льнотресты, приведенная к влажности длинного льноволокна за
i-й опыт, кг;

, (10)
где

- масса льнотресты при фактической влажности льноволокна в
i-м опыте, кг;

- влажность льноволокна в
i-м опыте, %;

- фактическая влажность льнотресты в
i-м опыте, %.
7.4.11 Отбор проб льноволокна на влажность проводят по
ГОСТ 10330, определение фактической влажности льноволокна - по
ГОСТ 25133.
7.4.12 Для определения содержания костры сорных примесей и недоработки в длинном льноволокне отбирают пробы из пачек массой по
7.2.5. Отбор проб проводят по ГОСТ 10330 (
пункты 3.1.2,
3.1.3).
Массовую долю содержания костры, сорной примеси и недоработки в длинном льноволокне определяют по ГОСТ 10330 (
пункты 3.4.7,
3.4.8). Результаты записывают в
форму Б.10 (приложение Б) и вычисляют среднеарифметическое значение с округлением до целого числа.
7.4.13 Для определения выхода чистого длинного льноволокна необходимо длинное льноволокно (включая недоработку) вручную доработать, отсортировать, связать в пачки по
ГОСТ 10330 и взвесить с погрешностью +/- 5 г.
Выход чистого длинного льноволокна

, %, вычисляют по формуле

, (11)
где

- выход чистого длинного льноволокна за
i-й опыт, %;

, (12)
где

- масса чистого длинного льноволокна, полученная за
i-й опыт, кг.
7.4.14 Номер чистого длинного льноволокна определяют при его сдаче на приемный пункт по
ГОСТ 10330.
Номер чистого длинного льноволокна N вычисляют по формуле

, (13)
где nп - число пачек, шт.;
Gi - масса i-й пачки чистого длинного льноволокна соответствующего номера после ручной доработки, кг;
Ni - номер чистого длинного льноволокна i-й пачки после ручной доработки.
Результаты записывают в
форму Б.8 (приложение Б) и вычисляют среднеарифметическое значение с округлением до целого числа.
7.4.15 Степень промина тресты мяльной машиной определяют проведением дополнительного опыта при установившемся режиме работы машины. Для этого отбирают 10 горстей льнотресты, определяют массу каждой горсти с погрешностью +/- 1 г.
Каждую горсть пропускают через мяльную машину, собирают, осторожно протряхивают и определяют массу горсти после пропуска. Погрешность взвешивания - +/- 1 г. Результаты взвешивания записывают в
форму Б.11 (приложение Б).
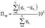
Степень промина льнотресты Птр, %, вычисляют по формуле

, (14)
где nг - число горстей, шт.;

- масса
i-й горсти льнотресты перед пропуском через мяльную машину, г;

- масса
i-й горсти льнотресты после пропуска через мяльную машину, г.
Вычисления проводят с округлением до первого десятичного знака.
7.4.16 Повреждение продуктивной части стеблей промятой льнотресты определяют проведением дополнительного опыта при установившемся режиме для каждого варианта. Для этого через мяльную машину пропускают три специально подготовленные горсти льнотресты, не имеющие стеблей с разрывом продуктивной части. После пропуска через мяльную машину из каждой горсти отбирают без выбора пучок стеблей в количестве не менее 100 штук. В каждом пучке определяют общее число стеблей и стебли, имеющие повреждения (разрыв) продуктивной части. Результаты записывают в
форму Б.12 (приложение Б).
Повреждение продуктивной части стеблей Cпр, %, вычисляют по формуле

, (15)
где

- число горстей, шт.;

- число стеблей с повреждением продуктивной части в
i-й горсти, шт.;

- общее число стеблей в
i-й горсти, шт.
Вычисления проводят с округлением до целого числа.
7.4.17 Короткое льноволокно, полученное из отходов трепания при испытаниях куделеприготовительных машин, взвешивают с погрешностью +/- 1 г. Исходная масса отходов трепания по
7.2.5. Результаты записывают в этикетку
формы Б.9 (приложение Б).
Выход короткого льноволокна

, %, вычисляют по формуле

, (16)
где

- выход короткого волокна в
i-м опыте, %;

, (17)
где

- масса чистого короткого льноволокна, полученная за
i-й опыт, кг;

- исходная масса отходов трепания в
i-м опыте, кг.
Вычисления проводят с округлением до целого числа.
7.4.18 Отбор проб и определение содержания костры и сорных примесей в коротком льноволокне при испытаниях трясильных машин определяют по ГОСТ 9394. Результаты записывают в
форму Б.3 (приложение Б) и вычисляют среднеарифметическое значение с округлением до целого числа.
7.4.19 Отбор проб и определение разрывной нагрузки скрученной ленточки определяют по ГОСТ 9394. Результаты записывают в ведомость
формы Б.13 (приложение Б) и вычисляют среднеарифметическое значение с округлением до первого десятичного знака.
7.4.20 Номер короткого льноволокна определяют по ГОСТ 9394.
7.4.21 Показатели качества выполнения технологического процесса машинами после обработки записывают в
формы А.5 -
А.7 (приложение А).
7.5 Средства измерений и оборудование, применяемые при определении показателей агротехнической оценки
Перечень средств измерений и оборудования, применяемых при определении показателей агротехнической оценки, приведен в
приложении В.
8 Методы оценки электропривода
8.1 Номенклатура определяемых показателей приведена в
форме А.8 (приложение А).
8.2 Оценку электропривода машин проводят в соответствии с национальными стандартами, действующими в государствах - участниках Соглашения.
Результаты оценки электропривода оформляют в соответствии с
формой А.8 (приложение А).
9 Методы оценки безопасности и эргономичности конструкции
Оценку показателей и требований безопасности и эргономичности конструкции машины проводят по
ГОСТ 12.2.002 на соответствие требованиям ТЗ (ТУ) с определением показателей, приведенных в
форме А.9 (приложение А).
Результаты записывают в протокол по
форме А.10 (приложение А).
10 Методы оценки надежности
10.1 Оценку надежности машин при испытаниях проводят по стандартам, действующим в государствах - участниках Соглашения, с определением показателей, приведенных в
форме А.11 (приложение А).
10.2 Машины испытывают на видах работ в соответствии с
ГОСТ 24055.
10.3 На каждом виде работ машину испытывают на режимах, обеспечивающих получение заданной в ТЗ (ТУ) производительности при допустимых показателях качества.
10.4 Для сокращения сроков испытаний допускается проводить ускоренные испытания на надежность по действующим стандартам на режимах, воспроизводящих эксплуатационные нагрузки. Наработка при ускоренных испытаниях не должна превышать 30% от общей заданной наработки.
10.5 Наработку машины измеряют часами основного времени. Для учета наработки в часах основного времени проводят сплошной хронометраж.
Допускается определять наработку в часах основной работы расчетом по наработке в физических единицах за весь период испытаний и производительности по результатам эксплуатационно-технологической оценки.
10.6 В течение всего периода испытаний ведут учет отказов и повреждений.
10.7 Определение затрат времени и труда на выявление и устранение отказов осуществляют пооперационным хронометражем с погрешностью измерения продолжительности операции +/- 5 с.
10.8 Затраты времени и труда на выявление и устранение отказов в течение всего периода испытаний суммируют и учитывают при расчете показателей надежности.
10.9 Устранение сложных отказов, связанных с разборкой или заменой основных базовых узлов, осуществляют сервисные службы изготовителей. Определение затрат времени и труда по
10.7.
10.10 Техническое состояние машины и замененных (восстановленных) деталей и узлов оценивают при проведении заключительной технической экспертизы.
10.11 Информацию по операциям технического обслуживания собирают и обрабатывают по ГОСТ 26026.
10.12 Показатели надежности определяют по наработке, измеряемой временем основной работы, и оценивают сопоставлением фактических показателей надежности с нормативными значениями или с показателями сравниваемой машины. Отклонение наработок сравниваемых машин не должно быть более 20%.
10.13 Показатели надежности записывают в
форму А.11 (приложение А).
10.14 Значение показателей надежности определяют при достижении сезонной (заданной) наработки.
11 Методы эксплуатационно-технологической оценки
11.1 Эксплуатационно-технологическую оценку машин проводят в соответствии с
ГОСТ 24055.
Во время испытаний контролируют соблюдение выбранного режима работы и качество выполнения технологического процесса.
Показатели условий испытаний и качества выполнения технологического процесса определяют по методам, изложенным в
разделе 7.
11.2 Сбор информации для эксплуатационно-технологической оценки проводят во время контрольных смен.
Сбор информации о нарушениях технологического процесса и технических отказах проводят в течение всего периода наблюдений.
11.3 Результаты эксплуатационно-технологической оценки записывают в
форму А.12 (приложение А).
12 Методы экономической оценки
Экономическую оценку машины и оформление результатов проводят по стандартам, действующим в государствах - участниках Соглашения.
13 Обработка и анализ результатов испытаний
13.1 Обработку результатов испытаний машин проводят по программе, разработанной для данного типа машин.
13.2 Результаты испытаний оформляют в соответствии с
формами А.1 -
А.12 (приложение А).
13.3 Полученные результаты используют для анализа соответствия результатов испытаний машин требованиям ТЗ (ТУ), а также для сопоставления их с показателями сравниваемой машины.
13.4 На основании анализа полученных значений показателей делают выводы о качестве работы испытуемой машины при выполнении заданного технологического процесса.
13.5 Общие выводы по результатам испытаний машин делают на основании анализа показателей по всем видам оценок.
(рекомендуемое)
ОФОРМЛЕНИЕ РЕЗУЛЬТАТОВ ИСПЫТАНИЙ
Техническая характеристика машины
Наименование показателя | Значение показателя |
Тип машины | |
Потребляемая мощность, кВт | |
Установленная мощность, кВт | |
Производительность, т/ч | |
__________________ | |
__________________ | |
Габаритные размеры машины, мм: | |
- длина; | |
- ширина; | |
- высота | |
Оперативная трудоемкость монтажа досборки машины на месте применения, чел.-ч | |
Число точек смазки, шт., всего | |
в том числе: | |
ежесменных; | |
периодических; | |
сезонных | |
Число передач, шт.: | |
- ременных; | |
- цепных; | |
- шарнирных (карданных); | |
- редукторов | |
Пределы регулирования рабочих органов: | |
________________________________ | |
________________________________ | |
________________________________ | |
Частота вращения вальцов, с-1 | |
Скорость зажимного транспортера, м/с | |
Частота вращения трепальных барабанов, с-1 | |
Число электродвигателей, шт. | |
Мощность электродвигателя, кВт | |
Число оборотов, об/мин | |
Количество персонала по профессиям, необходимого для обслуживания операций, непосредственно связанных с работой машины, чел.: | |
Другие показатели по отдельным узлам и рабочим органам | |
________________________________ | |
________________________________ | |
________________________________ | |
Показатели условий испытаний
размотчиков рулонов льна при агротехнической
и эксплуатационно-технологической оценках
Наименование показателя | Значение показателя |
Вид оценки |
Агротехническая | Эксплуатационно-технологическая |
Дата | + | + |
Сорт льна | + | + |
Вид и способ приготовления льнотресты | + | + |
Способ заготовки льнотресты | + | + |
Размер рулона, см: | + | + |
- длина; | | |
- диаметр | | |
Масса рулона, кг | + | + |
Плотность рулона, кг/м3 | + | - |
Материал обвязки | + | - |
Способ обвязки: | + | - |
- с внутренней прокладкой шпагата; | | |
- с внешней обвязкой | | |
Масса бобин шпагата, кг | + | - |
Тип намотки шпагата на бобину | + | - |
Влажность льняной тресты, % | + | + |
Примечание - Знак "+" означает, что показатель определяют, знак "-" - не определяют. |
Показатели условий испытаний
мяльно-трепальных машин при агротехнической
и эксплуатационно-технологической оценках
Наименование показателя | Значение показателя |
Вид оценки |
Агротехническая | Эксплуатационно-технологическая |
Дата | + | + |
Сорт льна | + | + |
Вид и способ приготовления льнотресты | + | + |
Способ заготовки льнотресты | + | + |
Длина снопа, см | + | + |
Растянутость ленты льнотресты | + | + |
Горстевая длина, см | + | - |
Масса горсти, г | + | - |
Цвет льноволокна | + | - |
Номер льнотресты | + | + |
Засоренность, % | + | + |
Влажность, % | + | + |
Примечание - Знак "+" означает, что показатель определяют, знак "-" - не определяют. |
Показатели условий испытаний трясильных
и куделеприготовительных машин при агротехнической
и эксплуатационно-технологической оценках
Наименование показателя | Значение показателя |
Вид оценки |
Агротехническая | Эксплуатационно-технологическая |
Дата | + | + |
Сорт льна | + | + |
Вид и способ приготовления льнотресты | + | + |
Способ заготовки льнотресты | + | + |
Засоренность отходов трепания, % | + | + |
Влажность отходов трепания, % | + | + |
Примечание - Знак "+" означает, что показатель определяют, знак "-" - не определяют. |
Показатели качества выполнения технологического процесса
размотчиками рулонов льна при агротехнической
и эксплуатационно-технологической оценках
Наименование показателя | Значение показателя |
Вид оценки |
Агротехническая | Эксплуатационно-технологическая |
Режим работы | | |
Скорость разматывания рулона, м/мин | + | + |
Показатели качества работы | | |
Производительность машины по льнотресте, т/ч | + | + |
Массовая доля льнотресты с рулона, не поддающегося размотке, % | + | - |
Толщина разматываемой ленты, см | + | - |
Разрывы в ленте, % | + | + |
Растянутость ленты льнотресты в рулоне | + | - |
Выход прокладочного шпагата, % | + | - |
Примечание - Знак "+" означает, что показатель определяют, знак "-" - не определяют. |
Показатели качества выполнения технологического процесса
мяльно-трепальными машинами при агротехнической
и эксплуатационно-технологической оценках
Наименование показателя | Значение показателя |
Вид оценки |
Агротехническая | Эксплуатационно-технологическая |
Режим работы | | |
Частота вращения вальцов, с-1 | + | + |
Скорость зажимного транспортера, м/с | + | + |
Частота вращения трепальных барабанов, с-1 | + | + |
Показатели качества работы | | |
Производительность машины по льнотресте, т/ч | + | + |
Выход длинного льноволокна, % | + | + |
Влажность льноволокна, % | + | - |
Массовая доля костры в длинном льноволокне, % | + | - |
Массовая доля недоработки в длинном льноволокне, % | + | - |
Выход чистого длинного льноволокна, % | + | + |
Номер чистого длинного льноволокна | + | - |
Степень промина льнотресты, % | + | + |
Повреждение продуктивной части стеблей промятой льнотресты, % | + | + |
Примечание - Знак "+" означает, что показатель определяют, знак "-" - не определяют. |
Показатели качества выполнения
технологического процесса трясильными
и куделеприготовительными машинами при агротехнической
и эксплуатационно-технологической оценках
Наименование показателя | Значение показателя |
Вид оценки |
Агротехническая | Эксплуатационно-технологическая |
Режим работы | | |
Частота вращения вальцов мяльно-вытяжного аппарата, с-1: | | |
- первой пары | + | + |
- последней пары | + | + |
Частота вращения трепального барабана, с-1 | + | + |
Показатели качества работы | | |
Производительность машины по льноволокну <*>, кг/ч | + | + |
Выход короткого льноволокна, % | + | + |
Массовая доля костры и сорных примесей в коротком льноволокне <*>, % | + | + |
Разрывная нагрузка скрученной ленточки, Н | + | + |
Номер короткого льноволокна | + | + |
<*> Рекомендуется определять при испытаниях трясильных машин. Примечание - Знак "+" означает, что показатель определяют, знак "-" - не определяют. |
Показатели оценки электропривода
Наименование показателя | Значение показателя |
Дата проведения испытаний | |
Культура, сорт | |
Производительность за 1 ч основного времени, т/ч | |
Чистота материала, % | |
Количество активной энергии, затраченное на выполнение технологического процесса, кВт·ч | |
Количество реактивной энергии, затраченное на выполнение технологического процесса, кВар·ч | |
Удельный расход электроэнергии, кВт·ч/т | |
Удельные энергозатраты за час основного времени на физическую единицу наработки, МДж/т | |
Средний коэффициент мощности | |
Установленная мощность, кВт: | |
в том числе электродвигателей | |
______________________________________ (наименование механизма, привод и т.д.) | |
______________________________________ | |
Потребляемая из сети активная мощность, кВт·ч | |
в том числе электродвигателями: | |
______________________________________ | |
______________________________________ | |
Коэффициент загрузки электродвигателя | |
Номенклатура показателей, требований безопасности
и эргономичности конструкции машины
Наименование показателя, требования |
Общие требования к безопасности конструкции узлов и агрегатов, специфические требования к машине [ ГОСТ 12.2.003, ГОСТ 33738, ТЗ (ТУ)] Требования к обеспечению безопасности при монтаже, транспортировании и хранении [ ГОСТ 12.2.003, ГОСТ 33738, ТЗ (ТУ)] Параметры рабочих мест, средств доступа к рабочим местам и местам обслуживания [ ГОСТ 33738, ТЗ (ТУ)] Наличие предупреждающих надписей и знаков безопасности [ ГОСТ 12.2.003, ТЗ (ТУ)] Требования к системе символов для обозначения органов управления и средств отображения информации [ ГОСТ 33738, ТЗ (ТУ)] Требования к обеспечению безопасности операций по очистке [ ГОСТ 12.2.003, ТЗ (ТУ)] Требования к исключению возможности самопроизвольного включения (выключения) рабочих органов [ ГОСТ 33738, ГОСТ 12.2.003, ТЗ (ТУ)] Рабочее пространство для оператора [ ГОСТ 33738, ТЗ (ТУ)] Параметры и расположение органов управления [ ГОСТ 33738, ТЗ (ТУ)] Силы сопротивления перемещению органов управления и регулировки [ ГОСТ 33738, ТЗ (ТУ)] Относительная влажность воздуха на рабочем месте оператора [ ГОСТ 12.1.005, ТЗ (ТУ)] Концентрация пыли на рабочем месте оператора [ ГОСТ 12.1.005, ТЗ (ТУ)] Общая вибрация на рабочем месте оператора [ ГОСТ 12.1.012, ТЗ (ТУ)] Удобство и безопасность технического и технологического обслуживания [ ГОСТ 12.2.003, ТЗ (ТУ)] |
Показатели безопасности и эргономичности
конструкции машины (для протокола)
Наименование показателя, требования | Значение показателя по | Заключение о соответствии |
стандарту | результатам испытаний |
| | | |
Наименование показателя | Значение показателя |
Общая наработка, ч, т | |
Общее число отказов, шт. | |
в том числе по группам сложности: | |
- I группы сложности; | |
- II группы сложности; | |
- III группы сложности | |
Наработка на отказ, ч, т | |
в том числе по группам сложности: | |
- I группы сложности; | |
- II группы сложности; | |
- III группы сложности | |
Среднее время восстановления, ч/отказ | |
Время проведения ежесменного технического обслуживания, ч | |
Трудоемкость ежесменного технического обслуживания, чел.-ч | |
Удельная суммарная трудоемкость технических обслуживаний, чел.-ч/ч | |
Удельная суммарная оперативная трудоемкость технических обслуживаний, чел.-ч/ч | |
Удельная суммарная оперативная трудоемкость текущих ремонтов (выявления и устранения отказов), чел.-ч/ч | |
Удельная суммарная трудоемкость текущих ремонтов (выявления и устранения отказов), чел.-ч/ч | |
Коэффициент готовности: | |
- с учетом организационного времени; | |
- по оперативному времени | |
Коэффициент технического использования | |
Перечень отказов и повреждений (помещают в приложении к протоколу) | |
Эксплуатационно-технологические показатели
Наименование показателя | Значение показателя |
Вид работы |
| | |
Период проведения оценки (дата) | | | |
Место проведения оценки | | | |
Условия проведения испытаний <*> | | | |
| | | |
Производительность за 1 ч времени, т/ч: | | | |
- основного; | | | |
- технологического; | | | |
- сменного | | | |
Удельный расход электроэнергии, кВт·ч/т | | | |
Эксплуатационно-технологические коэффициенты: | | | |
- технологического обслуживания; | | | |
- надежности технологического процесса; | | | |
- использования технологического времени; | | | |
- использования сменного времени | | | |
Количество обслуживающего персонала, чел. | | | |
Показатели качества выполнения технологического процесса <**> | | | |
|
(обязательное)
ФОРМЫ РАБОЧИХ ВЕДОМОСТЕЙ РЕЗУЛЬТАТОВ ИСПЫТАНИЙ
Ведомость определения номера льнотресты
Марка машины __________________ Место испытаний ____________________
Дата __________________________ Культура, сорт _____________________
Средства измерений _________________________________________________
Проба | Масса горсти льнотресты, г | Масса длинного льноволокна, г | Цвет льноволокна |
1 | | | |
2 | | | |
3 | | | |
... | | | |
n (10) | | | |
Сумма | | | |
Среднеарифметическое значение | | | |
Число процентономеров (по ГОСТ 24383) | | | |
Номер льнотресты | | | |
Исполнитель _____________ ________________ _____________________
должность личная подпись инициалы, фамилия
Ведомость определения засоренности
льнотресты, длины и растянутости снопа
Марка машины __________________ Место испытаний ____________________
Дата __________________________ Культура, сорт _____________________
Средства измерений _________________________________________________
Номер снопа | Длина снопа, см | Длина горсти, см | Растянутость снопа | Содержание сорняков и примесей в льнотресте |
Масса, г | Засоренность, % |
исходной пробы | сорняков | семенных коробочек | посторонних примесей | камней и земли |
1 | | | | | | | | | |
2 | | | | | | | | | |
3 | | | | | | | | | |
... | | | | | | | | | |
10 | | | | | | | | | |
Сумма | | | | | | | | | |
Среднеарифметическое значение | | | | | | | | | |
Исполнитель _____________ ________________ _____________________
должность личная подпись инициалы, фамилия
Ведомость определения массовой доли костры
и сорных примесей в коротком льноволокне
Марка машины _________ Место испытаний _______ Дата ________________
Культура, сорт _____________________________________________________
Средства измерений _________________________________________________
Проба | Навеска | Исходная масса навески, г | Масса обработанного короткого льноволокна, г | Масса отходов, г | Массовая доля отходов, % | Массовая доля костры и сорных примесей в коротком льноволокне, % |
1 | 1 | | | | | |
2 | | | | | |
2 | 1 | | | | | |
2 | | | | | |
Сумма | | | | | | |
Среднеарифметическое значение | | | | | | |
Примечание - Суммарная масса короткого льноволокна и отходов не должна отличаться от первоначальной массы навески более чем на 1 г. Если разность больше, повторно обрабатывают вторую навеску. За окончательный результат принимают среднеарифметическое результатов двух определений. |
Исполнитель _____________ ________________ _____________________
должность личная подпись инициалы, фамилия
Ведомость определения производительности машины
Марка машины _________ Место испытаний ____________ Дата ___________
Культура, сорт ______________ Средства измерений ___________________
Опыт | Продолжительность опыта, с | Масса льнотресты, кг | Масса длинного льноволокна, кг | Производительность |
по льнотресте, т/ч | по льноволокну, кг/ч |
1 | | | | | |
| | | | |
| | | | |
2 | | | | | |
| | | | |
| | | | |
3 | | | | | |
| | | | |
| | | | |
Сумма | | | | | |
Среднеарифметическое значение | | | | | |
Исполнитель _____________ ________________ _____________________
должность личная подпись инициалы, фамилия
Ведомость определения массовой доли
льнотресты с рулона, не поддающегося размотке
Марка машины ___________________ Место испытаний ___________________
Дата ___________________________ Культура, сорт ____________________
Средства измерений _________________________________________________
Номер (рулон) | Масса верхнего слоя льнотресты, снятого с рулона при заправке шпагата, кг | Масса остатка льнотресты после размотки, кг | Масса рулона, кг | Массовая доля льнотресты, не поддающейся размотке, % |
1 | | | | |
2 | | | | |
3 | | | | |
Сумма | | | | |
Среднеарифметическое значение | | | | |
Исполнитель _____________ ________________ _____________________
должность личная подпись инициалы, фамилия
Ведомость определения толщины разматываемой ленты
Марка машины ___________________ Место испытаний ___________________
Дата ___________________________ Культура, сорт ____________________
Средства измерений _________________________________________________
Измерение | Толщина ленты, см |
Номер рулона | Сумма | Среднеарифметическое значение |
1 | 2 | 3 |
1 | | | | | |
2 | | | | | |
3 | | | | | |
... | | | | | |
n (10) | | | | | |
Сумма | | | | | |
Среднеарифметическое значение измерений | | | | | |
Исполнитель _____________ ________________ _____________________
должность личная подпись инициалы, фамилия
Ведомость измерения разрывов в ленте льнотресты
Марка машины ____________________________ Дата _________________
Место испытаний ________________________________________________
Средства измерений _____________________________________________
Измерение (j) | Разрывы в ленте льнотресты между стеблями, см |
Номер ленты (i) |
1 | 2 | 3 |
1 | | | |
2 | | | |
3 | | | |
... | | | |
k | | | |
Сумма | | | |
Среднеарифметическое значение | | | |
Исполнитель _____________ ________________ _____________________
должность личная подпись инициалы, фамилия
Ведомость определения среднего номера длинного льноволокна
Марка машины ___________________ Место испытаний ___________________
Дата ___________________________ Культура, сорт ____________________
Средства измерений _________________________________________________
Опыт | Повторность | Масса длинного льноволокна после доработки, кг | Сумма процентономеров | Средний размер льноволокна, см |
1 | 1 | | | |
2 | | | |
3 | | | |
2 | 1 | | | |
2 | | | |
3 | | | |
3 | 1 | | | |
2 | | | |
3 | | | |
Сумма | | | | |
Среднеарифметическое значение | | | | |
Исполнитель _____________ ________________ _____________________
должность личная подпись инициалы, фамилия
Марка машины ______________________________________________________________
Место испытаний ___________________________________________________________
Культура, сорт ____________________________________________________________
Опыт ______________________________________________________________________
Повторность _______________________________________________________________
Точка _____________________________________________________________________
Наименование содержимого __________________________________________________
Дата ______________________________________________________________________
Общая масса, кг ___________________________________________________________
Масса тары, кг ____________________________________________________________
Чистая масса, кг __________________________________________________________
Исполнитель _____________ ________________ _____________________
должность личная подпись инициалы, фамилия
Ведомость определения содержания костры, сорной
примеси и недоработки в длинном льноволокне
Марка машины ______________________________________________________________
Место испытаний ___________________________________________________________
Дата ______________________________________________________________________
Культура, сорт ____________________________________________________________
Средства измерений ________________________________________________________
Повторность (пачка) | Проба | Содержание костры | Содержание недоработки |
Масса пробы (горсти), г | Масса костры и сорной примеси в пробе, г | Массовая доля костры и сорной примеси, % | Масса пробы (горсти), г | Масса недоработки в пробе, г | Массовая доля недоработки, % |
1 | 1 | | | | | | |
2 | | | | | | |
2 | 1 | | | | | | |
2 | | | | | | |
3 | 1 | | | | | | |
2 | | | | | | |
Сумма | | | | | | | |
Среднеарифметическое значение | | | | | | | |
Исполнитель _____________ ________________ _____________________
должность личная подпись инициалы, фамилия
Ведомость определения степени промина льнотресты
Марка машины ____________ Место испытаний __________________________
Дата ____________________ Культура, сорт ___________________________
Средства измерений _________________________________________________
Учетная горсть льнотресты | Масса горсти льнотресты перед пропуском через мяльную машину, г | Масса горсти льнотресты после пропуска через машину, г | Степень промина льнотресты, % |
1 | | | |
2 | | | |
3 | | | |
... | | | |
10 | | | |
Сумма | | | |
Среднеарифметическое значение | | | |
Исполнитель _____________ ________________ _____________________
должность личная подпись инициалы, фамилия
Ведомость определения повреждения стеблей
Марка машины ______________ Место испытаний ________________________
Дата ______________________ Культура, сорт _________________________
Опыт | Учетные пучки льнотресты | Число стеблей в пучке, шт. | Повреждение стеблей <*>, % |
Всего | в том числе с повреждением продуктивной части |
1 | 1 | | | |
2 | | | |
3 | | | |
2 | 1 | | | |
2 | | | |
3 | | | |
3 | 1 | | | |
2 | | | |
3 | | | |
Сумма | | | | |
Среднеарифметическое значение | | | | |
<*> Повреждение стеблей по каждому опыту определяют как среднеарифметическое значение по трем пучкам. |
Исполнитель _____________ ________________ _____________________
должность личная подпись инициалы, фамилия
Ведомость определения разрывной нагрузки скрученной ленточки
Марка машины ____________ Место испытаний __________________________
Опыт ____________ Повторность _____________ Дата ___________________
Культура, сорт _____________________________________________________
Средства измерений _________________________________________________
Номер отрезка | Разрывная нагрузка, Н | Номер отрезка | Разрывная нагрузка, Н | Номер отрезка | Разрывная нагрузка, Н |
1 | | 11 | | 21 | |
2 | | 12 | | 22 | |
3 | | 13 | | 23 | |
4 | | 14 | | 24 | |
5 | | 15 | | 25 | |
6 | | 16 | | 26 | |
7 | | 17 | | 27 | |
8 | | 18 | | 28 | |
9 | | 19 | | 29 | |
10 | | 20 | | 30 | |
Сумма | x | | x | | x |
Среднеарифметическое значение | x | | x | | x |
Исполнитель _____________ ________________ _____________________
должность личная подпись инициалы, фамилия
(рекомендуемое)
СРЕДСТВ ИЗМЕРЕНИЙ И ОБОРУДОВАНИЯ, ПРИМЕНЯЕМЫХ
ПРИ ОПРЕДЕЛЕНИИ ПОКАЗАТЕЛЕЙ АГРОТЕХНИЧЕСКОЙ ОЦЕНКИ
Рулетка с погрешностью измерений +/- 1 мм - по
ГОСТ 7502.
Длинномер с погрешностью измерений +/- 1 см.
Мяльно-трепальный станок.
Весы с диапазоном измерения от 0,4 г до 2000 г с погрешностью измерений +/- 10 мг - по
ГОСТ OIML R 76-1.
Весы с диапазоном измерения от 0,8 кг до 20 кг с погрешностью измерений +/- 20 мг - по
ГОСТ OIML R 76-1.
Влагомер с погрешностью измерений не более +/- 2%.
Секундомер с погрешностью измерений +/- 1 с.