Главная // Актуальные документы // РуководствоСПРАВКА
Источник публикации
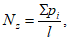
М.: Стройиздат, 1975
Примечание к документу
Название документа
"Руководство по расчету башенных копров угольных и рудных шахт"
"Руководство по расчету башенных копров угольных и рудных шахт"
ПО РАСЧЕТУ БАШЕННЫХ КОПРОВ УГОЛЬНЫХ И РУДНЫХ ШАХТ
Настоящее Руководство составлено на основе действующих нормативных документов по расчету строительных конструкций и результатов научно-исследовательских работ, выполненных в Донецком Промстройниипроекте и Донецком политехническом институте.
Руководство содержит основные положения расчета строительных конструкций и оснований башенных копров и материалы, связанные с их спецификой.
Руководство разработано Донецким Промстройниипроектом Госстроя СССР (кандидаты техн. наук В.Е. Андреев, В.М. Левин, В.Р. Шнеер, А.С. Поверский, И.И. Михеев, инженеры В.Д. Передерей, И.Я. Нежурко, В.М. Копылов, В.Е. Жигарев, Р.Е. Щербаковский, Д.С. Ермак) при участии Донецкого политехнического института МВ и ССО УССР (канд. техн. наук, доцент В.Ф. Грибиниченко) и Макеевского инженерно-строительного института МВ и ССО УССР (канд. техн. наук, доцент Ю.М. Гусев).
Руководство предназначено для инженерно-технических работников проектных и строительных организаций.
1.1. Настоящее Руководство содержит материалы по расчету строительных конструкций и оснований башенных копров угольных и горнорудных шахт.
1.2. Расчет строительных конструкций и оснований следует производить в соответствии с действующими главами СНиП и другими нормативными документами.
2. РАСЧЕТ КОНСТРУКЦИЙ БАШЕННЫХ КОПРОВ
2.1. Расчет башни и ее элементов следует производить по следующим предельным состояниям:
а) для всей башни - первое предельное состояние (устойчивость положения против опрокидывания и скольжения по грунту под влиянием расчетных горизонтальных и вертикальных статических и динамических нагрузок, с учетом деформации грунта в результате воздействий усилий от башни, рядом расположенных сооружений, влияния горных выработок) и второе предельное состояние (достижение осадкой основания и креном башни предельных значений);
б) для несущих стен и каркасов - первое предельное состояние (прочность, устойчивость формы и выносливость);
в) для перекрытий и покрытий - первое предельное состояние (прочность, выносливость) и второе предельное состояние (статические и динамические деформации и перемещения);
г) для основания башни - первое предельное состояние (выпучивание грунта и разрушение шейки ствола) и второе предельное состояние (достижение осадкой и креном башни предельных значений). Для определения предельного состояния следует учитывать совместное действие силовых факторов на поверхности земли и влияние горных выработок (в самом невыгодном сочетании);
д) для внутренней шахты башни - первое предельное состояние (прочность), для герметических станков - первое (прочность) и второе (трещиностойкость) предельные состояния.
2.2. Для расчета несущих конструкций копра необходимы следующие данные:
а) инженерно-геологическое заключение, согласно "Инструкции по инженерным изысканиям для промышленного строительства" (СН 225-62). Программа на производство инженерно-геологических изысканий должна дополнительно предусматривать:
проведение изысканий после проходки (любым способом) устья ствола и отрывки котлована под фундамент; если проектированию копра предшествует проходка ствола, изыскательские работы проводятся один раз после проходки устья ствола;
отбор образцов грунта, взятых с контакта крепь-породы, для лабораторных исследований в количестве, достаточном для статистического обобщения;
б) коэффициент бокового давления грунта (для расчета крепи шейки ствола);
в) возможные осадки, а также крен копра вследствие неравномерного сжатия и нарушения структурного строения грунтов основания в результате проходки ствола, подработок и др.;
г) генеральный план поверхности угольного или горнорудного предприятия;
д) данные о сечении ствола;
ж) технологические чертежи (планы и разрезы); спецификация оборудования; данные о подъемно-транспортном оборудовании и оборудовании для заводки и смены сосудов, навески и смены канатов, о месте приложения, направлении, величинах и характеристиках нагрузок (длительно действующие, кратковременные, статические, динамические);
и) характеристика динамического оборудования (в объеме, обусловленном соответствующими нормативными документами и требованиями раздела, приведенного ниже);
к) нагрузка от примыкающих зданий и сооружений;
л) дополнительные данные, по
подпунктам "д",
"е",
"ж" и
"и" для оборудования проходки (при использовании копра или его части для проходки или углубления ствола) и монтажа оборудования (величины и места приложения нагрузок при производстве строительно-монтажных работ);
м) при строительстве копра в особых условиях (наличие подработки, вечной мерзлоты, сейсмический район и т.п.) - дополнительные данные согласно соответствующим главам СНиП;
н) район строительства;
о) схемы расположения оборудования на перекрытиях и других элементах копра с указанием характера нагрузки (статическая, динамическая), величины, места приложения и рода (сосредоточенная, распределенная, моментная);
п) задание на устройство подкрановых путей;
р) схемы емкостей и объемные веса заполняющих их сыпучих;
с) величины депрессии и компрессии в помещениях копра, связанные с шахтной вентиляцией при прямой и реверсивной работе шахтных вентиляторных установок, и схемы герметизации помещений копра;
т) конструктивная схема копра, для копров с несущими стенами - со схемами проемов в последних.
Исходя из района строительства производится определение снеговых и ветровых нагрузок, температурно-влажностных и сейсмических воздействий.
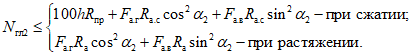
2.3. Классификация нагрузок и коэффициенты перегрузки приведены в
табл. 1.
Таблица 1
Классификация нагрузок и коэффициенты перегрузки
Вид нагрузки | Нагрузки | Коэффициент перегрузки |
Постоянные | Собственный вес строительных конструкций | 1,1 |
Вес утеплителя и засыпок | 1,2 |
Вес и давление грунтов | 1,2 |
Временные длительные | Вес стационарного технологического оборудования: | |
а) собственный вес стационарного технологического оборудования (многоканатные подъемные машины, редукторы, электромоторы, насосы, грохоты, отклоняющие шкивы, жесткие и гибкие проводники, амортизаторы и т.п.) | 1,2 |
б) вес заполнения оборудования и емкостей полезным ископаемым | 1,2 |
Рабочие усилия в подъемных канатах (вес канатов, подъемных сосудов, прицепных устройств и материалов в подъемном сосуде) | 1,2 |
Рабочие усилия в канатах проводников | 1,2 |
Давление, вызванное депрессией или компрессией | 1,2 |
Воздействия осадок основания от рядом расположенных зданий и сооружений | 1,0 |
Распределенная нагрузка при хранении материалов, деталей и т.п. | 1,3 |
Кратковременные | Нагрузки от оборудования, возникающие в пускоостановочном, переходном и испытательном режимах, в том числе усилия в канатах (сбегающая и набегающая ветвь) при предохранительном торможении всех подъемных машин | 1,0 |
Нагрузки от подвижного подъемно-транспортного оборудования, используемого при строительстве и эксплуатации (монтаж оборудования, его смена и ремонт, откатка) | 1,2 |
Нагрузки, возникающие при использовании постоянного копра для проходки ствола | 1,2 |
Распределенная полезная нагрузка на площадях, не занятых оборудованием (вес людей, деталей, ремонтных материалов в зонах обслуживания оборудования) | 1,3 |
Нагрузки, возникающие при перевозке, перестановке и монтаже оборудования, а также строительных конструкций, складываемых материалов и изделий при реконструкции или строительстве | 1,2 |
Температурные, климатические воздействия | 1,0 |
Снеговые нагрузки | 1,4 |
Ветровые " | 1,3 |
Нагрузки от гололеда | 1,3 |
Нагрузки от посадки клети на кулаки | 1,2 |
Особые | Усилия в подъемных канатах при защемлении сосуда в стволе | 1,0 |
Усилия в подъемных канатах при переподъеме | 1,2 |
Сейсмические воздействия | 1,0 |
Влияние взрывных работ в зоне сооружения | 1,0 |
Нагрузки от неравномерной осадки грунтов основания | 1,0 |
Примечание. Нагрузки от сооружений, опирающихся на башенный копер, обусловленные действием на них постоянных, временных, длительных, кратковременных и особых нагрузок, принимаются из расчета этих сооружений.
2.4. Величины нагрузок и коэффициенты перегрузки (кроме указанных в
табл. 1) должны определяться по главе
СНиП II-6-74 "Нагрузки и воздействия".
2.5. Расчет конструкций башенных копров и их элементов, а также оснований следует производить с учетом неблагоприятных комбинаций нагрузок в следующих сочетаниях:
а) основные сочетания, составляемые из постоянных, временных длительных и кратковременных нагрузок и воздействий;
б) особые сочетания, составляемые из постоянных, временных длительных, кратковременных и одной из особых нагрузок и воздействий.
При этом при расчете прочности и устойчивости конструкций и оснований на основные сочетания нагрузок и воздействий расчетные величины кратковременных нагрузок и воздействий или соответствующих им усилий (напряжений) в конструкции или основании следует умножать на коэффициенты, приведенные в
табл. 2.
Таблица 2
Коэффициенты сочетания нагрузок
Число одновременно учитываемых кратковременных нагрузок | Коэффициент |
Одна | 1,0 |
Две-три | 0,9 |
Четыре и более | 0,85 |
При расчете прочности и устойчивости конструкций и оснований на особые сочетания нагрузок и воздействий расчетные величины кратковременных нагрузок (за исключением ветровой) следует умножить на коэффициент 0,8. Расчетную величину ветровой нагрузки разрешается принимать с коэффициентом сочетания 0,5.
2.6. Нагрузки от подвижного состава узкой колеи (откатка) следует учитывать при рабочем (снаряженном) его состоянии с коэффициентом перегрузки 1,3 и условным коэффициентом динамичности 1,25.
2.7. Для башенных копров с каркасом и навесными панелями стен принимают следующие расчетные схемы:
а) для каркаса без связей - рамная, со связями - рамно-связевая;
б) для стен (в зависимости от конструкции закрепления панели) - косоизгибаемый стержень или, в своей плоскости, изгибаемый стержень, а из плоскости - плита, опертая по трем сторонам;
в) для перекрытий - однопролетные и многопролетные балочные плиты и балки; плиты, опертые по контуру.
2.8. Для башенных копров с несущими стенами принимают следующие расчетные схемы:
а) для стен - консольный сжато-изогнутый стержень (при расчете общего распределения усилий вне мест приложения местных нагрузок) и упрощенная модель складки (при расчете распределения усилий в зонах приложения местных нагрузок); материал стен при расчете внутренних усилий от кратковременных нагрузок принимается упругим, при расчете на длительные силовые и температурно-влажностные воздействия: бетон - упруго-ползучее тело, арматура - упругая;
б) для перекрытия - согласно
п. 2.7.
2.9. Плиты перекрытий рассчитываются аналогично расчету плит перекрытий многоэтажных промышленных зданий согласно общепринятой методике.
Для неразрезных многопролетных плит и балок, если они не несут динамическую нагрузку, допускается определять изгибающие моменты и поперечные силы с учетом пластического перераспределения в соответствии с действующими нормами.
Плиты с отношением большей стороны к меньшей менее чем 2:1 должны рассчитываться как опертые по контуру, разрезные или неразрезные, в соответствии со схемой перекрытий.
Для перекрытий, разделяющих помещения с различным давлением воздуха (когда одно из помещений сообщается с шахтной вентиляционной сетью, а второе - с атмосферой), в нагрузку должен быть включен перепад давлений.
2.10. Расчетные пролеты железобетонных плит и балок должны определяться по
табл. 3 и
рис. 1.
Таблица 3
Расчетные пролеты железобетонных плит и балок
Конструкция | Метод расчета |
по упругой стадии | с учетом перераспределений усилий |
Плита | средний пролет | l1 | l0 |
крайний пролет | | |
Балка | | b1 <= 0,05l0 и b2 <= 0,05l0 b1 >= 0,05l0 и b2 >= 0,05l0 1,05l0 | Между поддерживающими балками - l0 Между стеной и поддерживающей балкой при бетонировании балок после возведения стен -  Между стенами при бетонировании балок после возведения стен -  Между стеной и поддерживающей балкой или между стенами при бетонировании балок в скользящей опалубке - l0 |
Рис. 1. Расчетные пролеты балок
а - однопролетных; б - многопролетных
2.11. Опорные моменты в плитах должны определяться по граням поддерживающих балок, являющихся промежуточными опорами; стены могут служить только крайними шарнирными опорами.
2.12. Опорные моменты в балках должны определяться по граням поддерживающих балок, являющихся промежуточными опорами; стены также могут служить промежуточными опорами; если балки возводятся в скользящей опалубке одновременно со стенами, то опорные моменты следует определять по грани последних; если балки выполняются после бетонирования стен, то по оси последних.
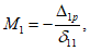
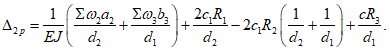
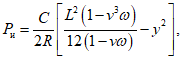
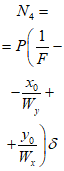
2.13. При расчете балки машинного зала, опирающейся на внутреннюю шахту в одной точке, изгибающий момент в сечении над средней опорой
(рис. 2) с учетом податливости несущих стен и шахты надлежит определять по формуле

(1)
где

(2)

(3)
EJ - жесткость балки;
c - коэффициент податливости левой (правой) опоры, определяемый по формуле

(4)
c1 - коэффициент податливости внутренней шахты (станка), определяемый по
формуле (5) (при опирании внутренней шахты на фундамент) или
(6) (при опирании внутренней шахты на опорные балки
(рис. 3);

(5)

(6)

,
a1 - площадь эпюры изгибающих моментов от внешней нагрузки, действующей на левый шарнирно-опертый пролет балки, и расстояние от центра тяжести этой эпюры до левой опоры;

,
b2 - площадь и расстояние от центра тяжести эпюры второго пролета до опоры
2;
R0, R1, R2 - соответственно опорная реакция в левой опоре 0, в средней опоре 1 и в опоре 2 от внешней нагрузки, действующей на шарнирно-опорные балки.
Рис. 2. Балка машинного зала с одной промежуточной опорой
Рис. 3. План расположения опорных балок
под внутренние стены
При вычислении податливости несущих стен в
формуле (4) учитываются высоты
h и площади поперечного сечения
F отдельных частей стен.
При вычислении податливости внутренней шахты (станка) в
формулах (5) и
(6) учитывают высоты
h1 и площади поперечного сечения отдельных частей станка, а также момент инерции
J0 и площадь поперечного сечения
F0, которые равны сумме моментов инерции и сумме площадей поперечного сечения опорной балки и железобетонных перегородок, опирающихся обоими концами на наружные стены.
Участки перегородок, ослабленные проемами, при определении F0 и J0 не учитываются.
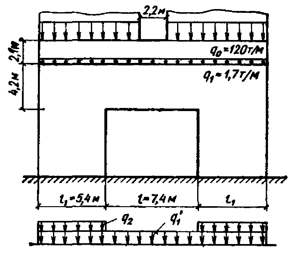
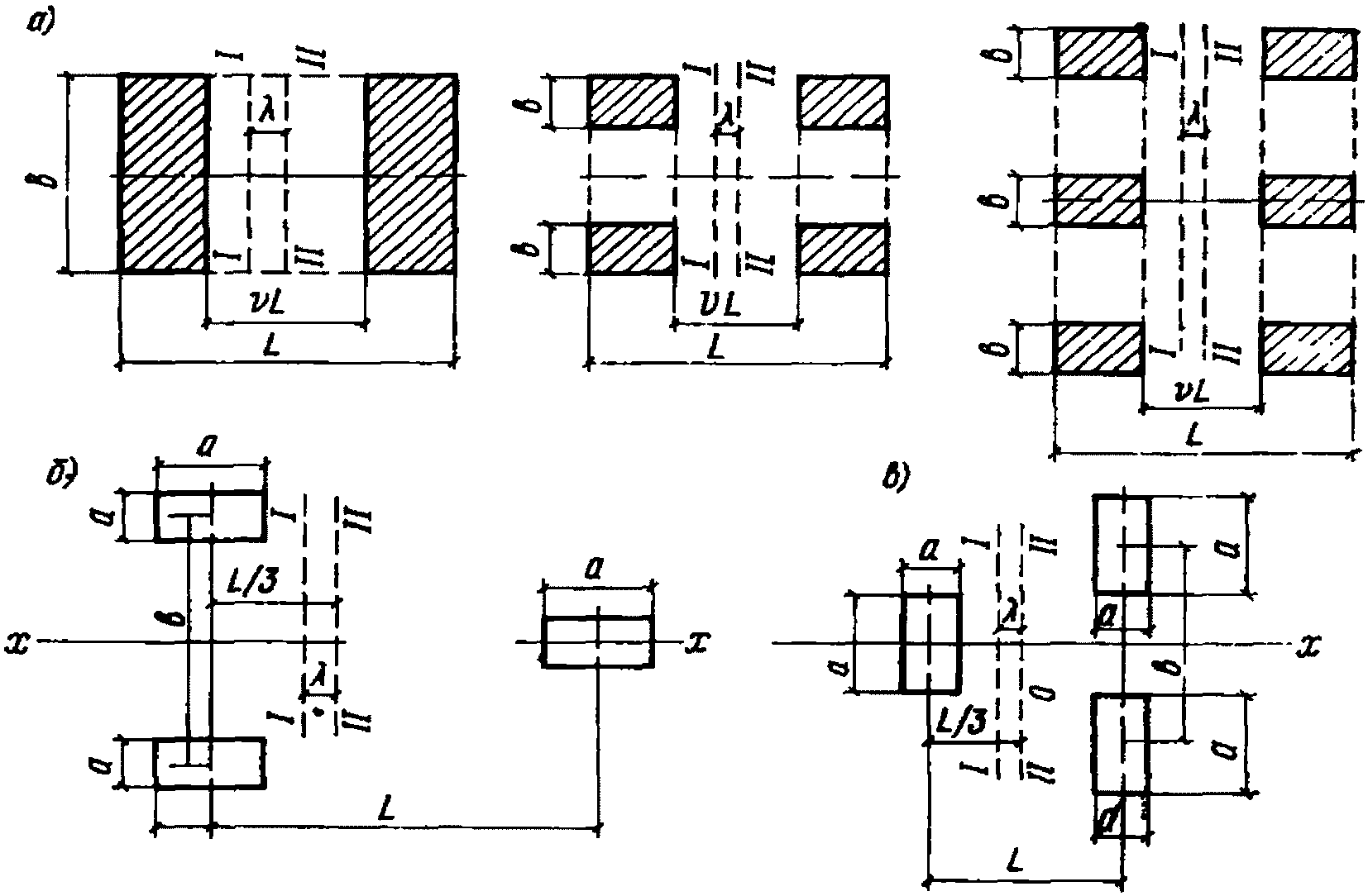
Определить изгибающие моменты в балке машинного зала, изображенной на
рис. 4. Балка опирается на наружные стены и диафрагму, передающую давление на внутреннюю шахту. Наружные стены в нижней части на высоте 10 м имеют площадь поперечного сечения 21,6 м
2, а в верхней части высотой 42 м площадь сечения 14,4 м
2. Внутренняя шахта имеет площадь поперечного сечения 6 м
2, высоту 44 м и опирается на фундамент. Размеры диафрагмы: площадь поперечного сечения 5,2 м
2, высота 8 м. Сечение балки машинного зала 0,8 x 3 м
2.
Рис. 4. Расчет балки машинного зала
Определяем момент инерции балки
Коэффициенты податливости левой и правой опор по
формуле (4)
Коэффициент податливости внутренней шахты по
формуле (5)
Единичный коэффициент метода сил определяем по
формуле (2)
Величины внешних нагрузок:
P1 = 65 т; P2 = 290 т; P3 = 16 т; P4 = 40 т;
P5 = 111 т; P6 = 10,5 т; P7 = 7 т/м.
Для вычисления грузового коэффициента

на
рис. 4 построены эпюры изгибающих моментов от действия внешних нагрузок на однопролетные балки. Показаны также координаты центров тяжести эпюр. Площадь эпюры от распределенной нагрузки, действующей на левый пролет:
То же, для правого пролета
Площадь эпюр изгибающих моментов от действия сосредоточенных сил может быть определена по формуле
От силы P1 = 65 т площадь равна:
Первый индекс в обозначении площади указывает на пролет, а второй - на действующую нагрузку.
Точно так же от остальных сил, приложенных к левому пролету:
Площадь эпюр от сил на правом пролете
Опорные реакции от нагрузок, действующих на шарнирно-опертые балки, определяются обычным путем.
Опорная реакция в левой опоре
В средней опоре
В правой опоре
Наибольший изгибающий момент в левом пролете может быть вычислен обычным путем. Он равен 574 т·м и действует в сечении под силой
P2. Если не учитывать податливость наружных стен и внутреннего станка, то изгибающий момент над средней опорой

, а наибольший момент в левом пролете 420 т·м. Отличие опорных и пролетных моментов, вычисленных при учете податливости опор, от тех же величин для балки на жестких опорах велико.
Податливость опор следует учитывать при расчете балок машинного зала.
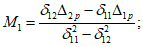
2.14. При расчете балки машинного зала, опирающейся на две стены внутренней шахты, изгибающие моменты в сечениях над средними опорами
(рис. 5) с учетом податливости несущих стен и шахты следует определять по формулам:

(7)

(8)
где

(9)

(10)

(11)

(12)
В
формулах (9) -
(12) использованы обозначения предыдущего пункта. Кроме того, введены следующие обозначения:
a2 - расстояние от центра тяжести эпюры изгибающих моментов второго пролета до опоры 1;

,
b3 - площадь эпюры изгибающих моментов от внешней нагрузки, действующей на третий шарнирно-опертый пролет балки, и расстояние от центра тяжести этой эпюры до опоры
3;
R3 - реакция в опоре 3 от нагружения третьего пролета внешней нагрузкой.
Рис. 5. Балка машинного зала с двумя промежуточными опорами
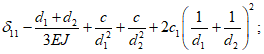
2.15. Расчетные внутренние усилия в несущих стенах надлежит определять раздельно от следующих видов нагрузок:
а) постоянных, временных длительно действующих нагрузок и воздействий, а также особых воздействий, связанных с просадкой основания (вследствие его природной просадочности или влияния горных выработок);
б) временных кратковременных нагрузок и воздействий, а также особых нагрузок (связанных с резкими нарушениями технологического процесса, временной неисправностью или поломкой оборудования, в том числе с внезапным защемлением сосуда, обрывом каната) и воздействий (сейсмических воздействий, связанных как с естественной сейсмичностью района, так и с введением взрывных работ в проходимом или реконструируемом стволе).
Полученные раздельно внутренние усилия затем складываются.
2.16. Расчетные усилия рекомендуется определять в нескольких горизонтальных сечениях по высоте копра. Следует выбирать самые нагруженные и самые ослабленные сечения, а также сечения в местах изменения толщины стены, например:
а) сечение над фундаментной плитой или лентой, или, при наличии примыкающих вентиляционных каналов - над низом проема в месте их примыкания;
б) сечение над низом проема для заводки сосудов;
в) сечение над верхом этого проема;
г) еще 2 - 3 сечения через 10 м по высоте копра.
2.17. Нормальные внутренние усилия в поперечных сечениях несущих стен от внецентренно приложенных вертикальных нагрузок следует определять по формуле

(13)
где Nz(x, y) - нормальное усилие в точке сечения с координатами x, y;
P - суммарная продольная сила в рассматриваемом сечении;
Mx, My - изгибающие моменты в рассматриваемом сечении от внецентренного приложения вертикальной нагрузки относительно осей x, y;
Jx, Jy - моменты инерции относительно осей x, y;
x, y - расстояния от осей x и y до волокна, в котором определяются внутренние усилия;
F - площадь рассматриваемого поперечного сечения;
- толщина стены в точке рассматриваемого сечения с координатами
x,
y.
2.18. Момент вертикальных нагрузок следует определять с учетом изменения их эксцентриситета из-за крена копра, происходящего как вследствие просадки грунта (естественной и вызванной горными подработками), так и деформации основания под нагрузкой. Изменение эксцентриситета (i-й вертикальной нагрузки относительно центра тяжести рассчитываемого j-го сечения от крена) следует определять по формуле

(14)
где hi, hj - высота точки приложения i-й нагрузки и высота рассчитываемого j-го сечения над подошвой фундамента;
iп - прогнозируемый наклон свободной земной поверхности в месте расположения копра вследствие горных подработок;

- дополнительный крен копра вследствие податливости основания под нагрузкой.
2.19. При линейной зависимости между моментом, передаваемым на основание, и креном сооружения крен может быть найден по формуле

(15)
где

- начальный момент нагрузок до деформации основания;
Mг - момент горизонтальных нагрузок;
Ni - i-я вертикальная нагрузка;
eoi - ее эксцентриситет относительно центра тяжести площади подошвы фундамента до крена;

- крен копра от момента
M0 = 1, определяемый в соответствии с указаниями настоящего Руководства
(п. 3.11).
2.20. Нормальные внутренние усилия в поперечных сечениях несущих стен от горизонтальных нагрузок следует определять по формуле

(16)
где использованы обозначения
п. 2.17.
Для башенных копров без внутренних стен значения нормальных внутренних усилий, найденные по
формуле (16), на участке протяженностью
l (где
l - длина стены, перпендикулярной плоскости изгиба) от опорного сечения следует умножать на коэффициент 1,2.
2.21. Расчет нормальных внутренних усилий в поперечных сечениях несущих стен рекомендуется выполнять при помощи расчетных бланков N 1, 2, 3 (
табл. 4,
5,
6).
Таблица 4
определения моментов нагрузок относительно исходных осей
Отметка и N нагрузки | Величина нагрузок, P | Координаты нагрузок | Px | Py |
x | y |
| | | | | |
Примечание. Координаты нагрузок вводятся с поправками, определенными по
формуле (14).
Таблица 5
определения моментов в горизонтальных
(поперечных) сечениях от ветровой нагрузки
Высота зоны над уровнем земли | k | m | | | f | qi | | | | |
1 | 2 | 3 | 4 | 5 | 6 | 7 | 8 | 9 | 10 | 11 |
| | | | | | | | | | |
Примечания: 1. Величины
k,
m,

определяются для различных зон копра по главе
СНиП II-6-74 "Нагрузки и воздействия".
2.

.
3. qi = Af, A = nqic B - постоянная для данного копра; n, q0, c - по указанной главе СНиП; B - ширина копра в направлении, перпендикулярном направлению ветра.
4.

- высота
i-й зоны,
lij - расстояние от середины
i-й зоны до
j-го рассчитываемого сечения.
5. Разбивку на зоны принимать в соответствии с указанной главой СНиП.
Таблица 6
определения внутренних усилий
в горизонтальных поперечных сечениях несущих стен
Отметка сечения | | F | Wx | Wy | | | | | | | | | | | |
1 | 2 | 3 | 4 | 5 | | 7 | | | | 11 | 12 | 13 | 14 | 15 | 16 |
| | | | | | | | | | | | | | | |
В
бланк N 1 вносятся величины вертикальных постоянных и временных нагрузок и координаты их в произвольной системе координат и вычисляются моменты этих нагрузок относительно осей этой системы. При заполнении
бланка N 1 следует пользоваться
рис. 6 и
7.
Рис. 6. Исходные данные для определения моментов
вертикальных нагрузок
Рис. 7. Положение центра тяжести горизонтального сечения
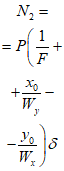
Определение изгибающих моментов в принятых горизонтальных (поперечных) сечениях от ветровой нагрузки рекомендуется производить при помощи расчетного
бланка N 2. Сюда заносятся данные о габаритах сооружения в плане и по высоте и ветровой напор в уровне земли.
Определение вертикальных нормальных усилий рекомендуется выполнять в расчетном
бланке N 3.
Сюда заносятся для каждого принятого сечения его геометрические характеристики, суммы вышележащих вертикальных нагрузок и их моментов относительно осей принятой системы координат и моменты ветровых нагрузок, приложенных выше рассматриваемого сечения, относительно этого сечения.
В результате вычислений, предусмотренных этим бланком, определяются вертикальные усилия в наружных стенах у углов.
2.22. Распределение вертикальных усилий между углами по ширине стены рекомендуется принимать по линейному закону, по этому же закону рекомендуется принимать и распределение усилий во внутренних стенах, принимая вертикальные усилия в них у мест пересечения с наружными стенами, равными
(рис. 8):

(17)
где

,
- нормальные вертикальные усилия во внутренней и наружной стене соответственно;

,

- толщины пересекающихся внутренней и наружной стены.
Рис. 8. Огибающая эпюра погонных усилий
2.23. При определении расчетных сумм вышележащих вертикальных нагрузок и их моментов для каждого рассчитываемого сечения необходимо учитывать положение каждой из указанных нагрузок относительно ядра этого сечения. Стороны ядра в центральных осях описываются уравнениями
(рис. 9)

(18)
Рис. 9. Ядро поперечного сечения
2.24. Временные вертикальные нагрузки, приложенные вне ядра сечения, учитываются при определении усилий только в углах, лежащих по ту же сторону от ближайшей прямой, описываемой
уравнением (18), что и эти нагрузки.
Таким образом, эпюра усилий, показанная на
рис. 8, является огибающей.
2.25. Распределение усилий в стене от местных нагрузок (например, под местами опирания балок машзала) должно рассчитываться как в пластинке, входящей в состав складчатой системы.
Сечение стены под самой балкой проверяется расчетом на смятие, остальные сечения - на сжатие.
При этом в зависимости от варианта опирания балки на стену: в заранее оставленном в стене проеме или путем совместного бетонирования стены и балки расчет следует производить в соответствии с указаниями
пп. 2.26 и
2.27.
2.26. Если опирание балки на стену осуществляется в заранее оставленном проеме, расчет распределения нормальных внутренних усилий в стене под балкой следует производить по формуле
где Nz - нормальное вертикальное внутреннее усилие, т/м;
Q - равнодействующая местной вертикальной нагрузки (опорная реакция балки), т;
A и
B - коэффициенты, принимаемые по
табл. 7;
k1 - коэффициент, принимаемый на участке 0 <=
z <= 1 м
(рис. 10) по
табл. 8 и определяемый на участке 1,5 м <=
z <= 4,5 м по формуле

(20)
в которой коэффициент
k принимается по
табл. 9 в зависимости от отношения

;
k2 - коэффициент, принимаемый по
табл. 10 при

, и равным 1 при

;
b - ширина опорной части балки, м;
l - длина стены, на которую опирается балка, м;

- толщина стены, м;
z - координата точки, в которой определяется Nz, относительно горизонтальной оси, проходящей через опорную площадку балки, м;
x - координата точки, в которой определяется Nz, относительно вертикальной оси, проходящей через центр тяжести опорной площадки балки, м.
Рис. 10. К расчету несущих стен
на местные вертикальные нагрузки
2.27. Если опирание балки на стену осуществляется путем совместного бетонирования стены и балки, расчет распределения нормальных внутренних усилий в стене под балкой следует производить по формуле:
Nz = 0,1Q(
A +
Bk1)x(7 -
h), (21)
где Nz - нормальное вертикальное внутреннее усилие, т/м;
Q - равнодействующая местной вертикальной нагрузки (опорная реакция балки), т;
A,
B,
K - коэффициенты, принимаемые в соответствии с указаниями
п. 2.26;
h - высота балки, м.
Рассчитать распределение внутренних усилий в стене башенного копра под местом опирания балки машинного зала при следующих данных: опорная реакция балки
Q = 440 т, ширина опорной части балки
b = 1 м, толщина стены

, длина стены
l = 18 м, марка бетона 300, опирание балки на стену осуществляется в заранее оставленном проеме.
Таблица 7
Значения коэффициента A и B
z, м | +/- x, м |
0,0 | 0,50 | 1,00 | 1,25 | 1,50 | 1,75 | 2,00 | 2,25 | 2,50 | 2,75 |
A | B | A | B | A | B | A | B | A | B | A | B | A | B | A | B | A | B | A | B |
1,0 | 0,000 | 1,000 | 0,000 | 1,000 | 0,100 | 0,000 | - | - | - | - | - | - | - | - | - | - | - | - | - | - |
1,5 | 0,000 | 1,000 | 0,000 | 1,000 | 0,067 | 0,333 | 0,100 | 0,000 | - | - | - | - | - | - | - | - | - | - | - | - |
2,0 | 0,000 | 1,000 | 0,000 | 1,000 | 0,050 | 0,500 | 0,075 | 0,250 | 0,100 | 0,000 | - | - | - | - | - | - | - | - | - | - |
2,5 | 0,000 | 1,000 | 0,000 | 1,000 | 0,040 | 0,600 | 0,060 | 0,400 | 0,080 | 0,200 | 0,100 | 0,000 | - | - | - | - | - | - | - | - |
3,0 | 0,000 | 1,000 | 0,000 | 1,000 | 0,033 | 0,667 | 0,050 | 0,500 | 0,067 | 0,333 | 0,083 | 0,167 | 0,100 | 0,000 | - | - | - | - | - | - |
3,5 | 0,000 | 1,000 | 0,000 | 1,000 | 0,029 | 0,710 | 0,043 | 0,572 | 0,057 | 0,429 | 0,071 | 0,286 | 0,086 | 0,143 | 0,100 | 0,000 | - | - | - | - |
4,0 | 0,000 | 1,000 | 0,000 | 1,000 | 0,025 | 0,750 | 0,038 | 0,625 | 0,050 | 0,500 | 0,063 | 0,375 | 0,075 | 0,250 | 0,088 | 0,125 | 0,100 | 0,000 | - | - |
4,5 | 0,000 | 1,000 | 0,000 | 1,000 | 0,022 | 0,778 | 0,033 | 0,667 | 0,044 | 0,556 | 0,056 | 0,445 | 0,067 | 0,333 | 0,078 | 0,222 | 0,089 | 0,111 | 0,100 | 0,000 |
Примечание. При 0 <= z <= 1 м на участке -0,5b <= x <= +0,5b принимается A = 0,000; B = 1,000.
Таблица 8
b, м |
z, м | 0,4 | 0,7 | 1,0 | 1,5 | 2,0 |
0 | 2,500 | 1,430 | 1,000 | 0,667 | 0,500 |
0,5 | 0,955 | 0,870 | 0,780 | 0,630 | 0,485 |
1,0 | 0,450 | 0,450 | 0,450 | 0,450 | 0,450 |
Таблица 9
| 0,025 | 0,050 | 0,075 | 0,100 | 0,125 | 0,150 |
k | 0,91 | 0,98 | 1,06 | 1,13 | 1,20 | 1,27 |
Таблица 10
z, м |
b, м | 0 | 0,5 | 1,0 | 1,5 | 2,5 | 3,5 | 4,5 |
0,4 | 1,00 | 1,25 | 1,35 | 1,35 | 1,25 | 1,15 | 1,10 |
0,7 | 1,00 | 1,15 | 1,25 | 1,30 | 1,20 | 1,15 | 1,10 |
1,0 | 1,00 | 1,10 | 1,20 | 1,25 | 1,20 | 1,15 | 1,10 |
1,5 | 1,00 | 1,10 | 1,15 | 1,20 | 1,15 | 1,10 | 1,05 |
2,0 | 1,00 | 1,05 | 1,10 | 1,10 | 1,10 | 1,10 | 1,05 |
Таблица 11
Величины напряжения 
Марка бетона |  , м | b, м |
0,4 | 0,7 | 1,0 | 1,5 | 2,0 |
200 | 0,15 | 2300 | 1550 | 1300 | 1150 | 1050 |
0,20 | 1750 | 1200 | 1000 | 850 | 800 |
0,25 | 1400 | 950 | 800 | 700 | 650 |
0,30 | 1150 | 800 | 650 | 550 | 550 |
0,35 | 1000 | 650 | 550 | 500 | 450 |
0,40 | 850 | 600 | 500 | 400 | 400 |
300 | 0,15 | 3000 | 2050 | 1700 | 1450 | 1400 |
0,20 | 2250 | 1550 | 1250 | 1100 | 1050 |
0,25 | 1800 | 1200 | 1000 | 900 | 850 |
0,30 | 1500 | 1000 | 850 | 750 | 700 |
0,35 | 1300 | 850 | 750 | 650 | 600 |
0,40 | 1150 | 750 | 650 | 550 | 500 |
400 | 0,15 | 3450 | 2350 | 1950 | 1700 | 1600 |
0,20 | 2600 | 1750 | 1450 | 1250 | 1200 |
0,25 | 2100 | 1400 | 1150 | 1000 | 950 |
0,30 | 1750 | 1200 | 950 | 850 | 800 |
0,35 | 1500 | 1000 | 850 | 750 | 700 |
0,40 | 1300 | 900 | 750 | 650 | 600 |
Примечание. Промежуточные значения величин в
табл. 7 -
11 допускается определять по линейной интерполяции.
Таблица 12
для определения нормальных внутренних усилий
в стене под местной нагрузкой
N точек | XМ | zМ | | 0 <= z <= 1 м | 1,5 м <= z <= 4,5 м | | |
| | |
A | B | k1 | k | k1 | k2 | Nz, т/м |
1 | 0,00 | 0,0 | 0,00 | 1,00 | 1,00 | - | - | 1,00 | 440,0 |
2 | 0,00 | 0,5 | 0,00 | 1,00 | 0,78 | - | - | 1,10 | 378,0 |
3 | 0,00 | 1,00 | 0,00 | 1,00 | 0,45 | - | - | 1,20 | 238,0 |
4 | 0,00 | 1,5 | 0,00 | 1,00 | - | 1,0 | 0,286 | 1,25 | 157,0 |
5 | 0,00 | 2,5 | 0,00 | 1,00 | - | 1,0 | 0,180 | 1,20 | 95,2 |
6 | 0,00 | 3,5 | 0,00 | 1,00 | - | 1,0 | 0,134 | 1,15 | 68,0 |
7 | 0,00 | 4,5 | 0,00 | 1,00 | - | 1,0 | 0,109 | 1,10 | 52,8 |
8 | 1,25 | 2,5 | 0,06 | 0,40 | - | 1,0 | 0,180 | 1,20 | 64,5 |
9 | 1,75 | 2,5 | 0,10 | 0,00 | - | 1,0 | 0,180 | 1,20 | 44,0 |
... | ... | ... | ... | ... | ... | ... | ... | ... | ... |
Для определения нормальных внутренних усилий можно пользоваться расчетным бланком N 4
(табл. 12).
Эпюры нормальных внутренних усилий, построенные по найденным значениям
Nz, показаны на
рис. 11.
Рис. 11. Расчетные эпюры вертикальных сжимающих усилий
2.28. Напряжения в бетоне и арматуре при проверке несущей способности стен следует определять с учетом силовых и температурно-влажностных воздействий:

(22)

(23)
где

,

- напряжения в бетоне и арматуре от длительно действующей нагрузки с учетом ползучести, усадки и старения бетона;

,

- напряжения в бетоне и арматуре от кратковременных нагрузок;
| | ИС МЕГАНОРМ: примечание. В официальном тексте документа, видимо, допущена опечатка: приложение 2 отсутствует. | |

,

- напряжения в бетоне и арматуре, возникающие вследствие колебаний наружной температуры. Определение несущей способности сечения см. в приложении 2.
2.29. Напряжения в бетоне от длительной нагрузки с учетом ползучести, усадки и старения бетона следует определять из
уравнения (24), а напряжения в арматуре - по
формуле (25):

(24)

(25)

- коэффициент армирования стены

- текущее время, сутки;
t - момент времени, для которого вычисляются напряжения, сутки;
Ea - модуль упругости арматуры, кг/см2;

- удельная нагрузка на единицу площади сечения стены в момент времени

, кг/см
2, определяемая по формуле

(26)
где нормальная сила

и моменты

и

вычисляются при помощи приведенных выше
(п. 2.21) расчетных бланков для стадии возведения с шагом

в зависимости от скорости возведения;

- относительная деформация усадки бетона, определяемая по формуле

(27)

- удельная осевая относительная деформация бетона

(28)

- начальный модуль упругости бетона в возрасте

, кг/см
2, определяемый по формуле

(29)
где Eб - конечное значение модуля упругости в зрелом возрасте (принимается по действующим главам СНиП);

и

- коэффициенты, принимаемые по
табл. 15;

- мера ползучести бетона, см
2/кг, определяемая по формуле

(30)
где

(31)

(32)

(33)
Таблица 13
Значения
и k
Бетон | | k |
Тяжелый | 3,0 x 10-4 | 0,020 |
Шлакопемзобетон | 4,3 x 10-4 | 0,017 |
Таблица 14
Значения коэффициента 
Толщина стены, мм | |
200 | 1,00 |
250 | 0,95 |
300 | 0,90 |
400 | 0,80 |
Таблица 15
Значения коэффициентов
и 
Бетон | | |
Тяжелый бетон | 0,520 | 0,045 |
Шлакопемзобетон | 0,583 | 0,144 |
Таблица 16
Коэффициенты для определения 
Коэффициенты | Бетон |
тяжелый | шлакопемзобетон |
A | 0,8 | 0,8 |
| 0,035 | 0,010 |
| 5,0 | 5,0 |
a | 40,0 x 10-7 | 50,0 x 10-7 |
b1 | 35,9 x 10-7 | 65,0 x 10-7 |
b2 | 55,5 x 10-7 | 56,4 x 10-7 |
b3 | 0 | 0 |
b4 | 9,0 x 10-7 | 60,0 x 10-7 |
b5 | 55,4 x 10-7 | 0 |
b6 | 0 | 0 |
c | 18,5 x 10-7 | 7,0 x 10-7 |
| 0,0327 | 0,0314 |
| 0,3870 | 0,2170 |
| 0 | 0 |
| 0,0640 | 0,0980 |
| 0,3100 | 0 |
| 0 | 0 |
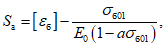
2.30. Напряжения

,

допускается приближенно определять по формулам:

(34)
| | ИС МЕГАНОРМ: примечание. Формула дана в соответствии с официальным текстом документа. | |

(35)
где

,

- напряжения от длительной нагрузки с учетом ползучести бетона, кг/см
2, определяемые по формулам:

(36)

(37)

- отношение модулей упругости арматуры и бетона;
P - удельная нагрузка, кг/см2;
Hа - коэффициент увеличения напряжений в арматуре сжатого железобетонного элемента за счет ползучести бетона, принимается по
табл. 17;

- сжимающие напряжения в арматуре, вызванные усадкой бетона, кг/см
2, определяемые для тяжелого бетона по
формуле (38), для шлакопемзобетона по
формуле (39):

(38)
| | ИС МЕГАНОРМ: примечание. Формула дана в соответствии с официальным текстом документа. | |

(39)

- коэффициент, учитывающий масштабный фактор (принимается по
табл. 14);

- растягивающие напряжения в бетоне, вызванные его усадкой, кг/см
2, определяемые по формуле

(40)

- коэффициент армирования.
Таблица 17
Скорость возведения стен, м/сут | Hа |
1 | 2,5 |
2 | 2,8 |
3 | 3,0 |
5 | 3,3 |
2.31. Напряжения от кратковременных нагрузок и воздействий определяются по формулам:

(41)

(42)
где
- нормальное усилие от кратковременных нагрузок и воздействий, определяемое суммированием величин, полученных для статических общих и местных нагрузок при помощи расчетных
бланков N 1 -
4, и для динамических нагрузок - по формулам следующего раздела;

- толщина стены.
2.32. Температурные напряжения в бетоне и арматуре, возникающие вследствие колебаний наружной температуры, следует определять по формулам

(43)

(44)
где

- расчетная амплитуда колебаний температуры наружного воздуха, °C;
Tmax, Tmin - расчетные температуры наружного воздуха самого жаркого и самого холодного месяцев года, принимаемые по главе СНиП "Строительная климатология и геофизика. Основные положения проектирования", °C;

- коэффициент армирования;
n - отношение модулей упругости арматуры и бетона.
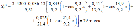
Пример 2.3.
Проверить несущую способность стен башенного копра с учетом длительных и температурно-влажностных факторов при следующих данных: стены копра возводятся из бетона марки 300 (
Rпр = 130 кг/см
2,
Eб = 3,15·10
5 кг/см
2) и арматуры класса А-II (
Rа = 2700 кг/см
2,
Eа = 2,1·10
6 кг/см
2), отношение модулей упругости арматуры и бетона
n = 6,67; толщина стен

; коэффициент армирования расчетного сечения

; максимальная длительная удельная нагрузка на сечение
p = 31 кг/см
2; кратковременная погонная нагрузка

; скорость возведения копра 3 м/сутки; район строительства - Донецк.
В соответствии с заданной скоростью возведения башенного копра определяем для расчетного сечения величины

,

и

с интервалом

. Далее по
формулам (26) и
(27) с шагом

вычисляем удельную нагрузку на сечение и относительные деформации усадки бетона
Затем, используя приведенную в
приложении к настоящему Руководству программу "Ползучесть", в результате решения
уравнений (24) и
(25) определяем напряжения

и

.
Искомые напряжения будут равны:
Температурные напряжения, возникающие вследствие колебаний наружной температуры, при
Tmax = 22 °C и
Tmin = -6,4 °C (по главе СНиП для Донецка) определяем по
формулам (43) и
(44):
Таким образом, несущая способность расчетного сечения обеспечена.
2.33. Для расчета подземных участков стен необходимо определить нормальные вертикальные Nz и горизонтальные Nx усилия, сдвигающие (в плоскости стены) усилия T и изгибающие моменты от бокового давления грунта обратной засыпки Mx и My.
2.34. Усилия Nz определяются как опорные реакции фундаментной плиты или усилия на метр фундаментной ленты или свайного ростверка.
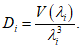
Опорные реакции фундаментной плиты должны определяться сбором нагрузки (отпора грунта) с соответствующей грузовой площади по эпюре отпора грунта. Допускается определять Nz по формуле

(45)
где
p1 и
p2 - ординаты эпюры отпора грунта по краям грузовой полосы шириной
ai (рис. 12).
Рис. 12. К расчету опорных реакций фундаментной плиты
Усилия, передаваемые фундаментной лентой, определяются по формуле

(46)
где
p1 и
p2 - ординаты эпюры отпора грунта на внешнем и внутреннем крае ленты шириной
b (рис. 13).
Рис. 13. К расчету усилий, передаваемых на стену
фундаментной лентой
Усилия, передаваемые свайным ростверком
(рис. 14):

(47)
где

- сумма усилий в сваях, лежащих в одной плоскости, перпендикулярной к оси ростверка (стены);
l - шаг свай вдоль оси ростверка (стены).
Рис. 14. К определению усилий, передаваемых на стену
свайным ростверком
2.35. Усилия
Nx должны определяться как сумма реакций участков примыкающих перпендикулярных наружных стен и усилий, определенных как для балки-стенки на участках под проемами
(рис. 15). Необходимая для этого эпюра бокового давления грунта может быть найдена по формуле статики сыпучей среды
где q(z) - интенсивность бокового давления грунта засыпки на расстоянии z от дневной поверхности, т/м2;

- угол внутреннего трения грунта засыпки;

- угол трения грунта засыпки по бетону; при отсутствии данных допускается принимать

;
- объемный вес грунта;

- эквивалентный слой грунта, м, отвечающий временной нагрузке на поверхности грунта
p, т/м
2; при отсутствии проектных данных допускается принимать
p = 1 т/м
2.
Рис. 15. К определению усилий на участках
подземной части стен под проемами
Коэффициент
k можно определять по номограмме
рис. 16.
Рис. 16. Номограмма для определения коэффициента
K
Усилия
Nx1(
z), передаваемые примыкающими стенами, определяются сбором нагрузки (бокового давления грунта) с соответствующей грузовой площади
(рис. 15):
Nx1(z) = q(z)bi, (49)
bi - ширина грузовой площади, приходящаяся на рассчитываемую стену, равная расстоянию между серединами соответствующих пролетов.
2.36. Усилия
Nx2 на участках стен под проемами для заводки сосудов следует определять как в балках-стенках, загруженных фундаментной плитой, лентой или ростверком, по соответствующим таблицам (
табл. 18,
рис. 17). Полные горизонтальные нормальные усилия определяются алгебраическим суммированием величин
Nx1 и
Nx2 в соответствующих точках:
Nx(z) = Nx1(z) + Nx2(z). (50)
Таблица 18
Значения коэффициентов для определения усилий
в балке-стенке
N точек | l/h = 0,5 | l/h = 1 | l/h = 2 |
Nx2/q | Nz/q | T/q | Nx2/q | Nz/q | T/q | Nx2/q | Nz/q | T/q |
1 | -0,306 | -1,000 | 0 | -0,602 | -1,000 | 0 | -1,376 | -1,000 | - |
2 | -0,083 | -0,500 | 0 | -0,083 | -0,500 | 0 | -0,083 | -0,500 | 0 |
3 | +0,140 | 0 | 0 | +0,436 | 0 | 0 | +1,210 | 0 | 0 |
4 | +0,104 | -1,0 | 0 | +0,878 | -1,000 | 0 | +3,051 | -1,000 | 0 |
5 | -0,083 | -0,500 | 0,375 | -0,083 | -0,500 | -0,750 | -0,083 | -0,500 | -1,500 |
6 | -0,027 | -1,000 | 0 | -1,045 | -1,000 | 0 | -3,218 | -1,000 | 0 |
Рис. 17. Расчетные точки участка стены под проемом
2.37. Сдвигающие усилия на участках под проемами определяются как в балках-стенках по соответствующим таблицам.
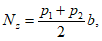
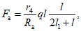
2.38. Расчет участков внутренних стен, расположенных ниже нулевой отметки, производится на нормальные вертикальные Nz и горизонтальные Nx усилия, а также в опорных сечениях участков под проемом - на главные нормальные усилия Nгл1 и Nгл2.
При этом в верхней, средней и нижней точках опорного и пролетного сечений надлежит проверять следующие условия:

(51)
Nz <= 100hRпр + Fа.вRа.с - при растяжении. (52)
Кроме того, в средней точке опорного сечения:

(53)

(54)
Здесь h - толщина стены, см;
Rпр - призменная прочность бетона;
Fа.г и Fа.в - площадь горизонтальной и вертикальной рабочей арматуры на 1 м сечения стены, см2/м;
Rа и Rа.с - расчетное сопротивление растянутой и сжатой арматуры, кг/см2.
Величины и направления главных нормальных усилий определяют по формулам

(55)

(56а)

(56б)
где

и

- углы наклона нормалей к главным площадкам, отсчитываемые от горизонтальной оси.
2.39. При расчете аналогичных участков наружных стен их сечения должны проверяться на совместное действие осевых нормальных и сдвигающих усилий, определяемых, как указано выше, для внутренних стен, и изгибающих моментов, вызванных боковым давлением грунта обратной засыпки.
2.40. Распределение интенсивности бокового отпора грунта по вертикали может определяться по
формуле (48).
2.41. Изгибающие моменты следует определять как для плиты, опертой по контуру и загруженной трапецеидальной нагрузкой с минимальной интенсивностью

по верхней стороне и максимальной интенсивностью

по нижней стороне, где
H - расстояние от нижней стороны до дневной поверхности.
При этом для рассчитываемого участка стены принимаются следующие граничные условия:
по нижней стороне - шарнирное опирание;
по двум боковым сторонам - жесткое защемление;
по верхней стороне, если перекрытие на нулевой отметке предполагается выполнить до производства обратной засыпки, шарнирное опирание.
Если это перекрытие будет выполнено после обратной засыпки, то расчет подземных участков стен должен производиться для двух стадий строительства:
а) к моменту устройства перекрытий на нулевой отметке - на соответствующие этому моменту вертикальные и горизонтальные нагрузки, при отсутствии опирания по верхней стороне (свободный край);
б) после устройства этого перекрытия к моменту приложения полной нагрузки - на полные вертикальные и горизонтальные нагрузки, при шарнирном опирании по верхней стороне.
2.42. Изгибающие моменты Mx и Mz определяются по формулам:
| | ИС МЕГАНОРМ: примечание. Формула дана в соответствии с официальным текстом документа. | |
Mx = (a1qmin = + a2qmax)l2; (57)
Mz = (b1qmin + b2qmax)l2. (58)
Значения коэффициентов
a1,
a2 и
b1,
b2 для стены со свободным верхним краем (
рис. 18,
а) могут быть найдены по
табл. 19, а для стены с шарнирным опиранием по верхнему краю (
рис. 18,
б) - по
табл. 20.
Рис. 18. К расчету подземных участков стен
на поперечную нагрузку
а - стена со свободным верхним краем;
б - с шарнирным опиранием по верхнему краю
Таблица 19
Значения коэффициентов a1, a2, b1, b2
| | ИС МЕГАНОРМ: примечание. При публикации в издании М.: Стройиздат, 1975 в таблице допущен типографский брак. Цифра, не пропечатанная в официальном тексте документа, в электронной версии данного документа заменена символом "!". | |
N точек | l/h = 0,5 | l/h = 1,0 |
Mx | My | Mx |
a1 | a2 | b1 | b2 | a1 | a2 |
2 | 0,021 | 0,021 | 0,004 | 0,004 | 0,017 | 0,020 |
3 | 0,041 | 0,042 | 0,!00 | 0,000 | 0,035 | 0,010 |
5 | -0,041 | -0,042 | 0,000 | 0,000 | -0,0041 | -0,036 |
6 | -0,08 | -0,018 | 0,000 | 0,000 | -0,074 | -0,011 |
Продолжение табл. 19
N точек | l/h = 1,0 | l/h = 2,0 |
My | Mx | My |
b1 | b2 | a1 | a2 | b1 | b2 |
2 | 0,004 | 0,009 | 0,014 | 0,09 | 0,004 | 0,009 |
3 | 0,000 | 0,000 | 0,024 | 0,012 | 0,000 | 0,000 |
5 | 0,000 | 0,000 | -0,050 | -0,022 | 0,000 | 0,000 |
6 | 0,000 | 0,000 | -0,80 | -0,022 | 0,000 | 0,000 |
Таблица 20
Значения коэффициентов a1, a2, b1, b2
N точек | l/h = 0,5 | l/h = 1,0 |
Mx | My | Mx |
a1 | a2 | b1 | b2 | a1 | a2 |
2 | 0,017 | 0,026 | 0,004 | 0,004 | 0,010 | 0,019 |
5 | -0,028 | -0,057 | - | - | -0,032 | -0,038 |
Продолжение табл. 20
N точек | l/h = 1,0 | l/h = 2,0 |
My | Mx | My |
b1 | b2 | a1 | a2 | b1 | b2 |
2 | 0,005 | 0,015 | 0,0045 | 0,0047 | 0,10 | 0,010 |
5 | - | - | 0,026 | -0,015 | - | - |
2.43. Для участков наружных стен, рассчитываемых на совместное действие осевых нагрузок и бокового давления грунта, требуемое количество арматуры определяется по
формулам (59) -
(68). В том числе для всех точек, кроме средней точки опорного сечения, для случая сжимающих нормальных усилий - по
формулам (59) -
(62), для случая растягивающих нормальных усилий - по
формулам (63) -
(68):

(59)

при

(60)
|  при e' > h0 - a'; | |
 при e' < h0 - a'; | (64) |
|  при e' > h0 - a'; | (65) |
 при  | (66) |
 при  | (67) |
 при e' < h0 - a'. | |
Здесь приняты следующие обозначения:

- при сжимающих
N;

- при растягивающих
N и

;

- при растягивающих
N и

;
N, M - нормальная сила и изгибающий момент, действующие на 1 м рассчитываемого сечения;
h0 - h - a - рабочая высота сечения стены;
h - полная высота сечения (толщина) стены;
a, a' - расстояние от центра тяжести растянутой (соответственно сжатой зоны) арматуры до ближайшей грани сечения;
- относительная высота сжатой зоны сечения, определяемая по
табл. 21 в зависимости от величины
которая всегда должна удовлетворять условию
A0 <= 0,4; это условие обеспечивается подбором сечений бетона и арматуры; в
формуле (60) при

, найденной по
формуле (59), принимается

;

- относительная высота сжатой зоны сечения, определяемая по
табл. 21 в зависимости от величины

- определяется по
табл. 21 в зависимости от
A01;
Fа,

- площадь рабочей растянутой (соответственно сжатой) арматуры на 1 м рассчитываемого сечения.
Таблица 21
Значения коэффициентов
и 
| | A0 | | | A0 |
0,01 | 0,995 | 0,01 | 0,29 | 0,855 | 0,248 |
0,02 | 0,99 | 0,02 | 0,3 | 0,85 | 0,255 |
0,03 | 0,985 | 0,03 | 0,31 | 0,845 | 0,262 |
0,04 | 0,98 | 0,039 | | | |
0,05 | 0,975 | 0,049 | 0,32 | 0,84 | 0,269 |
0,06 | 0,97 | 0,058 | 0,33 | 0,835 | 0,275 |
0,07 | 0,965 | 0,067 | 0,34 | 0,83 | 0,282 |
0,08 | 0,96 | 0,077 | 0,35 | 0,825 | 0,289 |
0,09 | 0,955 | 0,086 | 0,36 | 0,82 | 0,295 |
0,1 | 0,95 | 0,095 | | | |
0,11 | 0,945 | 0,104 | 0,37 | 0,815 | 0,301 |
0,12 | 0,94 | 0,113 | 0,38 | 0,81 | 0,308 |
0,13 | 0,935 | 0,121 | 0,39 | 0,805 | 0,314 |
0,14 | 0,93 | 0,13 | 0,4 | 0,8 | 0,32 |
0,15 | 0,925 | 0,139 | 0,41 | 0,795 | 0,326 |
0,16 | 0,92 | 0,147 | 0,42 | 0,79 | 0,332 |
0,17 | 0,915 | 0,155 | 0,43 | 0,785 | 0,337 |
0,18 | 0,91 | 0,164 | 0,44 | 0,78 | 0,343 |
0,19 | 0,905 | 0,172 | 0,45 | 0,775 | 0,349 |
0,2 | 0,9 | 0,18 | 0,46 | 0,77 | 0,354 |
0,21 | 0,895 | 0,188 | 0,47 | 0,765 | 0,359 |
0,22 | 0,89 | 0,196 | 0,48 | 0,76 | 0,365 |
0,23 | 0,885 | | 0,49 | 0,755 | 0,37 |
0,24 | 0,88 | 0,203 | 0,5 | 0,75 | 0,375 |
0,25 | 0,875 | 0,211 | 0,51 | 0,745 | 0,38 |
0,26 | 0,87 | 0,219 | 0,52 | 0,74 | 0,385 |
0,27 | 0,865 | 0,226 | 0,53 | 0,735 | 0,39 |
0,28 | 0,86 | 0,234 | 0,54 | 0,73 | 0,394 |
| | 0,241 | 0,55 | 0,724 | 0,4 |
| | | - | - | - |
Для средней точки опорного сечения требуемое количество арматуры следует определять по
формулам (59) -
(68), но с заменой
N на
Nгл 1 и
Nгл 2,
M - на

(соответственно

),
Fа на

(соответственно

),
a и
a' на
(соответственно

) и
(соответственно

).
Параметры
h0,
c,
e,
e' и другие, зависящие от
Fа,

,
a и
a', вычисляются с учетом новых значений этих величин.
2.44. Искривление основания вызывает перераспределение отпора грунта по подошве фундамента и, следовательно, изменение усилий
Nx и
Nz. Эпюра отпора грунта с учетом искривления принимается в соответствии с положениями
главы 3 настоящего Руководства.
Горизонтальные деформации основания вызывают дополнительные усилия в фундаментной плите или ленте, а также непосредственно в самих стенах. Эти усилия могут быть определены по действующим нормам проектирования зданий и сооружений над горными выработками.
2.45. При расчете на ветровую нагрузку несущих стен в уровне больших проемов, расположенных по одной оси во всех стенах, перпендикулярных этой оси, необходимо к усилиям, найденным по
формуле (16), добавить усилия от изгиба простенков с обеих сторон проемов как стоек однопролетной одноэтажной рамы с жестким ригелем.
2.46. При расчете внутренних усилий вокруг проемов зону концентрации принимают равной 0,25
l (рис. 19). Расчетную сжимающую силу, действующую на участке шириной 0,25
l у кромки проема, следует определять по формуле

(69)
где
Q - равнодействующая местных внутренних усилий в простенках у проема, определяемая по
формуле (70) - при загружении согласно
рис. 19,
а, и по
формуле (71) - при загружении согласно
рис. 19,
б:

(71)
r1 и
r2 - коэффициенты, определяемые по
табл. 22;
N - равнодействующая всей нагрузки, приложенной по длине 2l1 + l;
l1 - ширина простенка; при ширине простенка более 2l и высоте стены над проемом менее 2l следует принимать l1 = 2l.
Рис. 19. Расчетные схемы участков стены
а - над проемом; б - между проемами
Таблица 22
Значение коэффициентов r1, r2, r3 и r4
Коэффициенты | h/l |
0,33 | 0,5 | 0,75 | 1,0 | 1,25 | 1,5 |
r1 | 0,979 | 0,934 | 0,850 | 0,755 | 0,655 | 0,560 |
r2 | 0,150 | 0,460 | 0,760 | 0,934 | 1,032 | 1,076 |
r3 | 0,400 | 0,360 | 0,322 | 0,300 | 0,280 | 0,260 |
r4 | 0,010 | 0,027 | 0,046 | 0,076 | 0,112 | 0,160 |
Продолжение табл. 22
Коэффициенты | h/l |
1,75 | 2,0 | 2,25 | 2,5 | 2,75 | 3,0 |
r1 | 0,560 | 0,560 | 0,560 | 0,560 | 0,560 | 0,560 |
r2 | 1,096 | 1,120 | 1,120 | 1,120 | 1,120 | 1,120 |
r3 | 0,242 | 0,230 | 0,220 | 0,210 | 0,204 | 0,200 |
r4 | 0,190 | 0,234 | 0,304 | 0,354 | 0,384 | 0,400 |
Площадь арматуры, воспринимающая местные растягивающие усилия по верхней и нижней граням проема, определяется по
формуле (72) - при загружении по
рис. 19,
а и по формуле
(73) - при загружении по
рис. 19,
б:

(72)

(73)
где
r3 и
r4 - коэффициенты, определяемые по
табл. 22.
Арматура, подобранная по
формулам (72) или
(73), должна быть установлена в зоне высотой 0,15
l и заведена за грани вертикальных стен проема как растянутая при изгибе.
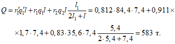
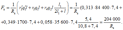
Рассчитать обрамление проема
(рис. 20) при следующих данных: распределенная нагрузка от перекрытия
q1 = 4 т/м, распределенная нагрузка от собственного веса копра, внецентренно приложенных вертикальных нагрузок и ветровой нагрузки
q2 = 140 т/м.
Равнодействующие местных внутренних усилий в простенках вычисляем по
формулам (70) и
(71), предварительно определив по
табл. 22 коэффициенты
r1 = 0,918 при

и
r2 = 0,934 при

:
Q1 = 0,918·4·2,2 ~= 8 т;
Равнодействующая от обеих нагрузок
Q = 8 + 115 = 123 т.
Расчетная сила, сжимающая бетон и арматуру у простенка на длине 0,25
l, по
формуле (69)
Определяем площадь арматуры, воспринимающей местные растягивающие усилия в верхней и нижней гранях стены у проема. По
табл. 22 коэффициенты
r3 = 0,352 при

и
r4 = 0,076 при

.
Полная площадь поперечного сечения арматуры, устанавливаемой на высоте 0,15l стены над проемом и под ним:
При постановке Rа в кг/см2 получим ответ в см2.
Рассчитать обрамление проема для схемы, представленной на
рис. 21,
а.
Ввиду того, что нагрузка q0 частично находится над нижним проемом, заменяем ее двумя: нагрузкой, действующей в пределах простенков нижнего проема, и сплошной нагрузкой, действующей над нижним проемом.
Нагрузка над нижним проемом
Усилие в обрамлении проема может быть определено отдельно от нагрузок

и
q1, действующих по всей длине конструкции, и от нагрузки
q2 = 120 - 84,4 = 35,6 т/м,
действующей в пределах простенков нижнего проема
(рис. 21).
для

и
q2 

;
z2 = 0,830;
для
q1 
r1 = 0,911.
Равнодействующая местных внутренних усилий в простенке у проема
Расчетную силу, сжимающую бетон и арматуру обрамления в простенке на участке шириной 0,25
l, найдем по
формуле (69)
Площадь арматуры, воспринимающей местные растягивающие усилия в стене над верхней гранью проема, определяем по
формулам (72) и
(73). Коэффициенты
r3 и
r4 принимаем по
табл. 22 (для

,

и
q2 
, а для
q1 
).
| | ИС МЕГАНОРМ: примечание. Формула дана в соответствии с официальным текстом документа. | |
При подстановке Rа в кг/см2 получим ответ в см2.
2.47. Несущую способность всего сечения копра из условия потери местной устойчивости следует определять как сумму несущих способностей отдельных прямоугольных, угловых и тавровых элементов сечения
(рис. 22).
Рис. 22. Элементы сечения при расчете местной устойчивости
Несущую способность каждого элемента следует определять по формуле

(74)
где Rа.с, Rпр - расчетное сопротивление продольной арматуры и бетона при осевом сжатии;
Fа, F - площадь поперечного сечения продольной арматуры и бетона;

- коэффициент продольного изгиба, определяемый по
табл. 23.
Таблица 23
Значение коэффициентов
для железобетонных элементов
Гибкость | <= 28 | 35 | 42 | 48 | 55 | 62 | 69 | 76 | 83 |
| 1 | 0,98 | 0,96 | 0,93 | 0,89 | 0,85 | 0,81 | 0,77 | 0,73 |
Продолжение табл. 23
Гибкость | 90 | 97 | 104 | 111 | 118 | 125 | 132 | 139 |
| 0,68 | 0,64 | 0,59 | 0,54 | 0,49 | 0,44 | 0,40 | 0,35 |
При расчленении сечения ширина полок угловых и тавровых элементов не должна превышать шести толщин в одну сторону от внутреннего угла или ребра. Гибкость элемента определяется по формуле

(75)
В
формуле (75) высота рассматриваемой конструкции принимается равной высоте этажа,

, а наименьший момент инерции
Jmin элементов определяется относительно главной центральной оси.
Рассчитать на местную устойчивость наружные стены копра в пределах одного этажа при следующих данных: высота этажа h = 4,8 м; стены монолитные, железобетонные из бетона марки 200 (Rпр = 800 т/м2).
Поперечное сечение башенного копра (
рис. 23,
а) расчленяем на отдельные элементы. Равнобокий угловой элемент показан на
рис. 23,
б. Находим геометрические характеристики этого элемента:
Jx = 0,1424 м
4;
F = 0,6 м
2;
Jxy = 0,0837 м
4;
Jmin = 0,0587 м
4.
Рис. 23. Расчет местной устойчивости стен (к
примеру 2.6)
а - поперечное сечение башенного копра;
б - равнобокий угловой элемент
Несущую способность равнобокого углового элемента определяем по
формуле (74) без учета арматуры
N = 1·0,85·800·0,6 = 408 т.
Расчет несущей способности других элементов сводим в
табл. 24.
Наименование элементов | Количество элементов | F, м2 | Jmin, м4 | | | N, т |
Неравнобокий угловой | 1 | 0,48 | 0,0218 | 22,5 | 1 | 326 |
Симметричный тавровый | 6 | 0,75 | 0,0257 | 25,8 | 1 | 510 |
Несимметричный тавровый | 2 | 0,514 | 0,0175 | 26,1 | 1 | 349 |
Прямой участок стены, l = 1 м | 27,2 | 0,2 | 0,00067 | 83,2 | 0,72 | 98 |
Определяем несущую способность всего сечения башни
N = 408·3 + 326 + 510·6 + 349·2 + 98·27,2 = 7970 т.
2.48. Так как конструкция каркаса копра представляет собой пространственную стержневую систему, для расчета может быть использована программа МАРСС-103 (расчет плоских и пространственных стержневых систем) или одна из программ расчета рамных конструкций (КАРРА, СИДР).
Программа МАРСС-103 позволяет учесть пространственную работу конструкции при действии на нее произвольных внешних силовых факторов (сосредоточение силы, распределенные нагрузки, температурные и деформационные воздействия) при следующих количественных ограничениях:
n1 + n2 <= 400, (76)
где n1 - степень статической неопределенности системы в предположении, что все соединения стержней между собой и закрепления в опорных точках неподвижны; для плоской (пространственной) системы n1 = 3k (6k), где k - число внутренних контуров;
n2 - сумма степеней свободы всех подвижных сочленений.
При этом число стержней рассчитываемой конструкции должно быть не более 510 (стержнем называется элемент постоянной жесткости, расположенный между двумя узлами).
Качественных ограничений ни на геометрическую схему, ни на характеристики соединения и жесткости, ни на силовые воздействия не накладывается.
2.49. Для расчета стержневой конструкции необходимо описать ее расчетную схему.
Каждый стержень системы на расчетной схеме изображается его геометрической осью; стержни, образующие узел, считаются сходящимися своими концами в центре узла.
2.50. Для составления исходных данных машинного расчета специализированному подразделению должны быть заданы следующие сведения о расчетной схеме стержневой системы:
а) характер соединения стержней между собой и закрепления в опорных точках (неподвижные, подвижные соединения);
б) координаты всех узлов в произвольно выбранной правой системе координат;
в) жесткости всех стержней при деформациях в тех направлениях, которые должны быть учтены в расчете: растяжение - сжатие, сдвиг, кручение, изгиб -
EF,

,

,
GJкр,
EJ1,
EJ2,
где E - модуль упругости, т/м2;
G - модуль сдвига, т/м2;
F - площадь поперечного сечения, м2;
Jкр, J1, J2 - момент инерции поперечного сечения при кручении и изгибе относительно координатных осей;

,

- коэффициенты, выражающие формы поперечного сечения на величину деформации сдвига;
г) положение в пространстве главных центральных осей инерции поперечного сечения каждого стержня (только для пространственных систем);
д) типы внешних нагрузок, место их приложения, направление, величина.
2.51. Расчетная схема не должна содержать абсолютно жестких замкнутых контуров, а также стержней нулевой длины (lmin = 0,001 м).
2.52. Расчетная схема пространственной или плоской конструкции отличается от общепринятой схемы иным изображением некоторых соединений стержней системы в узлах и опорах для удовлетворения следующим требованиям:
а) опирание различных стержней, входящих в один узел, должно быть одинаковым;
б) конструкция должна быть соединена с любой опорой одним стержнем; для этого чаще всего достаточно разделить составной узел стержнем с бесконечно большой жесткостью и малой длиной на два или, если требуется, больше простых узлов.
Часто встречающиеся случаи для плоской системы показаны на
рис. 24.
Рис. 24. Представление составного узла на расчетной схеме
2.53. Результатом расчета пространственной стержневой системы являются: нормальная и две поперечные силы, крутящий и два изгибающих момента, возникающие в концевых поперечных сечениях каждого стержня при статическом приложении внешних нагрузок.
Результат расчета плоской стержневой системы - нормальная и поперечная сила, а также изгибающий момент от каждого вида загружения.
2.54. Динамический расчет копров и их конструктивных элементов должен обеспечить несущую способность последних в их совместной работе на статическую и динамическую нагрузки и ограничить вертикальные и горизонтальные перемещения от динамических воздействий пределами, исключающими возможность вредного влияния колебаний на обслуживающий персонал и технологический процесс.
Допускаемые величины параметров колебаний из условия санитарно-гигиенических и технологических требований приведены в "
Инструкции по расчету несущих конструкций промышленных зданий и сооружений на динамические нагрузки".
Проверка на вредное физиологическое воздействие вибрации от нагрузок, возникающих при реализации предохранительного торможения и при резкой задержке поднимающегося сосуда в стволе шахты, не производится.
2.55. Проверку устойчивости положения копра следует производить с учетом динамического воздействия нагрузок, добавляя к статическим нагрузкам статически приложенные горизонтальные и вертикальные динамические нагрузки и силы инерции. При этом динамические нагрузки и соответствующие им силы инерции надлежит учитывать на основании рассмотрения их совместного воздействия в невыгоднейших сочетаниях, способствующих потере общей устойчивости. Нагрузки, способствующие потере общей устойчивости, принимаются расчетными, а препятствующие - нормативными.
2.56. Условие выносливости сжатых и сжато-изогнутых элементов копра при совместном воздействии нормативных статических и расчетных динамических нагрузок при малых эксцентриситетах (в сечении отсутствуют растягивающие напряжения) проверяется по формуле

(77)
где Pд - расчетная амплитуда вертикальной динамической силы;
Nн - вертикальная сила от воздействия нормативных статических нагрузок;

,

- изгибающие моменты, действующие в вертикальной плоскости по направлению
x и
y (для прямоугольных в плане копров) от нормативных статических нагрузок (вертикальных, горизонтальных, местного воздействия ветровой нагрузки, депрессии или компрессии);
M0x,
M0y - амплитуды изгибающих моментов от расчетной динамической нагрузки (того же знака, что и момент от статической нагрузки), определяемые согласно
пп. 2.77 -
2.84 настоящего Руководства;
Rпр - расчетное сопротивление бетона;

- коэффициент, принимаемый по
табл. 25 в зависимости от коэффициента асимметрии цикла напряжений в бетоне

(78)

,

- соответственно наименьшее и наибольшее значения напряжений в бетоне, возникающие при нормативных нагрузках.
Примечания. 1. При наличии в бетонном сечении растягивающих напряжений, а также для стальных каркасов башен условие выносливости проверяется в соответствии с указаниями глав СНиП.
2. Проверка условий выносливости для несущих конструкций копра при воздействии на них нагрузок от предохранительного торможения и резкой задержки поднимающегося сосуда в стволе шахты не производится.
Таблица 25
Значения коэффициента 
| <= 0,1 | 0,2 | 0,3 | 0,4 | 0,5 | 0,6 |
Тяжелый бетон  | 0,75 | 0,80 | 0,85 | 0,90 | 0,95 | 1,00 |
Шлакопемзобетон  | 0,72 | 0,76 | 0,81 | 0,86 | 0,92 | - |
2.57. Динамический расчет рекомендуется производить в следующей последовательности:
а) определить динамические нагрузки от подъемных машин и другого технологического оборудования;
б) определить частоты собственных колебаний;
в) определить амплитуды динамических перемещений и проверить выполнение условий
п. 2.54 относительно физиологических и технологических требований по ограничению колебаний;
г) определить амплитуды внутренних усилий (изгибающих моментов, поперечных сил) в конструкциях и проверить несущую способность на совместное действие статических и динамических нагрузок.
2.58. Исходные данные для проведения динамического расчета должны отвечать требованиям "
Инструкции по расчету несущих конструкций промышленных зданий и сооружений на динамические нагрузки" и дополнительно содержать следующие сведения, необходимые для определения динамических нагрузок от подъемных установок:
а) типы подъемных машин, редукторов и электродвигателей, их количество, общий вес и вес вращающихся частей, расположение в плане и по высоте башенного копра, способ крепления к несущим конструкциям;
б) маховые моменты редукторов и роторов электродвигателей, передаточное число редукторов, число оборотов электродвигателей и эксцентриситет их вращающихся частей;
в) вес приводного шкива трения с валом и его приведенный вес, эксцентриситет его центра тяжести, угол обхвата его канатами, вес коренной части подъемной машины;
г) тип тормозных устройств;
д) тип подъемных сосудов, их вес с прицепными устройствами, вес противовесов, величина полезного груза, вес и количество вагонеток при клетевых подъемах;
е) количество головных и хвостовых канатов, ГОСТы, модуль упругости обтянутых головных канатов и коэффициент поглощения энергии при колебаниях грузов на канатах;
| | ИС МЕГАНОРМ: примечание. Обозначения пунктов даны в соответствии с официальным текстом документа. | |
д) схемы подъемов с учетом перспективной разработки горизонтов, тахограммы подъемов.
2.59. Динамические нагрузки, вызванные работой электродвигателей, преобразовательных агрегатов, неуравновешенностью шкивов трения и отклоняющих шкивов, а также другим технологическим оборудованием, определяются согласно "
Инструкции по расчету несущих конструкций промышленных зданий и сооружений на динамические нагрузки", "
Инструкции по определению динамических нагрузок от машин, устанавливаемых на перекрытиях промышленных зданий" и паспортным данным заводов-изготовителей.
2.60. Динамические усилия в ветвях головных канатов
(рис. 25) при нормальном режиме работы подъема (пуск машины, равноускоренное и равнозамедленное движение, рабочее торможение, загрузка и разгрузка) рекомендуется заменять статическим эквивалентом, величина которого определяется по формуле

(
i = 1, 2), (79)
где

- максимальное статическое натяжение в соответствующей ветви головных канатов, определяемое по формуле

(80)
Qi - вес концевых грузов с учетом хвостовых канатов;
q0 - вес ветви головных канатов.
Рис. 25. Схема для определения динамических усилий
в ветвях головных канатов
2.61. Динамические нагрузки при реализации предохранительного торможения следует определять для случая подъема груженого сосуда. При этом длина груженой ветви принимается равной расстоянию от оси шкива трения до места в стволе шахты, где происходит переход от равномерного движения к равнозамедленному. Динамические усилия в ветвях головных канатов
(рис. 25) могут быть найдены по формуле

(
i = 1, 2), (81)
где

- круговая частота колебаний грузов на канатах, определяемая по формуле

(82)
в которой

(83)
a - скорость распространения упругой волны деформации в канатах;

- собственные числа, определяем из выражения

(84)
Eк - модуль упругости металла обтянутых канатов, принимаемый Eк = (1,5 - 1,8)106 кг/см2;
F - площадь сечения проволок всех канатов ветви;
g - ускорение силы тяжести.
2.62. Динамические усилия в каждой ветви головных канатов при внезапной задержке поднимающегося сосуда следует представлять в виде двух однократных кратковременных импульсов синусоидальной формы. Один из них соответствует усилию в ветви по первому тону колебаний системы (см.
рис. 25) и имеет продолжительность действия

; другой равен сумме импульсов всех последующих тонов и имеет продолжительность

. Величины импульсов определяются по формулам:

(85)
где v0 - максимальная скорость подъема;
| | ИС МЕГАНОРМ: примечание. Обозначения даны в соответствии с официальным текстом документа. | |

,

- коэффициенты, пропорциональные амплитудным значениям динамических усилий в ветвях головных канатов при колебаниях системы по
n-му тону. Максимальные значения

для случая встречи поднимающегося сосуда с абсолютно жесткой преградой для поднимающейся и опускающейся ветви, соответственно определяются по следующим формулам:
n = 1, 2...
Здесь
MR - приведенная к окружности шкива трения масса всех вращающихся частей подъемной установки (отклоняющие шкивы, редукторы, роторы электродвигателей).
Значение

определяется из уравнения

(86)
Примечания: 1. Длина поднимающейся ветви канатов принимается согласно
п. 2.61.
2. Для определения коэффициентов

рекомендуется пользоваться расчетным бланком
(табл. 26).
3. При определении импульса по второму тону, с приемлемой для практики точностью, достаточно удерживать два-три члена
ряда (85).
Таблица 26
Расчетный бланк определения коэффициентов 
Продолжение табл. 26
Продолжение табл. 26
4. Если в результате расчетов получится, что значение выражения

больше суммарного разрывного усилия канатов ветви (
Pр), что практически невозможно, то в этом случае вместо коэффициентов

в
формулы (85) следует подставлять коэффициенты

, которые равны
2.63. Коэффициент перегрузки для динамических нагрузок, возникающих при предохранительном торможении и внезапной задержке сосуда в стволе шахты, принимается равным 1.
2.64. При проверке несущей способности башенного копра и его элементов на совместное действие статических и динамических нагрузок, нагрузки, возникающие при предохранительном торможении, учитываются в основном сочетании нагрузок с коэффициентом сочетания, равным 1, а при внезапной задержке сосуда в стволе - в особом сочетании нагрузок с коэффициентом сочетания 0,8.
2.65. При оборудовании башенного копра несколькими подъемами расчет конструкций следует производить для невыгоднейшей комбинации нагрузок. Предохранительное торможение надлежит рассматривать одновременно для всех, нескольких или одной подъемной машины, а внезапную задержку сосуда в стволе, ввиду ее случайного характера, следует рассматривать только для одной из машин при нормальной работе остальных.
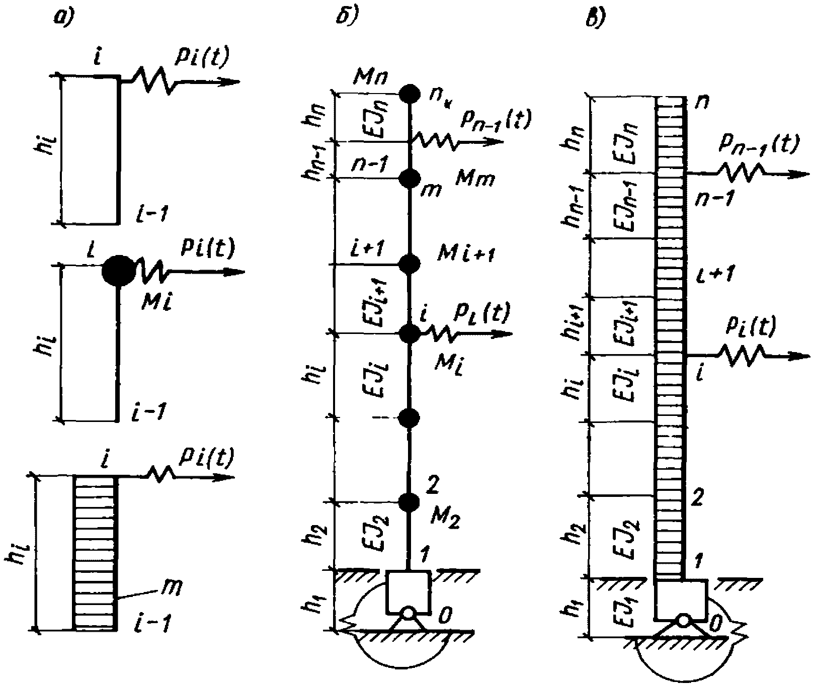
РАСЧЕТНЫЕ СХЕМЫ, ЧАСТОТЫ И ФОРМЫ СОБСТВЕННЫХ КОЛЕБАНИЙ
2.66. Частоты и формы собственных колебаний конструкций башенного копра определяются в соответствии с расчетными схемами сооружения или его элементов. Расчетную схему следует принимать с учетом особенностей конструкции, руководствуясь в каждом конкретном случае соображениями наилучшего соответствия схемы фактической работе конструкции.
2.67. Для определения частот собственных горизонтальных колебаний расчетную схему для копров с несущими стенами следует принимать в виде упругой консоли с сосредоточенными в уровнях перекрытий или других характерных местах (в зависимости от конструктивного решения башни и распределения весовых нагрузок) массами или с массой, распределенной по высоте
(рис. 26). При этом копер совершает только изгибные колебания. Расчетные схемы каркасных копров принимаются в соответствии с указаниями "
Инструкции по расчету несущих конструкций промышленных зданий и сооружений на динамические нагрузки". Расчетные схемы для всех видов копров следует принимать с учетом неравномерного сжатия грунта под подошвой фундамента при повороте последнего в вертикальной плоскости.
Примечания: 1. Для скальных и малодеформируемых грунтов можно не учитывать податливость основания и расчетную схему представлять в виде жестко заделанной на уровне верхнего обреза фундамента консоли.
2. Для каркасных копров, имеющих период собственных колебаний (основной тон) более 0,5 с, допускается принимать расчетную схему как для копров с несущими стенами.
Рис. 26. Расчетные схемы башенных копров
а, б - с сосредоточенными массами и упругой или жесткой
опорой; в, г - с массой, равномерно распределенной
на участках с различной жесткостью; д, е - с равномерно
распределенной массой и постоянной жесткостью
2.68. Расчетные схемы перекрытий при расчете на вертикальные колебания следует назначать в соответствии с "
Инструкцией по расчету несущих конструкций промышленных зданий и сооружений на динамические нагрузки". При этом концы балок перекрытий, заделанные в наружные несущие железобетонные стены, перегородки и внутренний короб, принимаются свободно лежащими на опорах (шарнирное опирание).
2.69. Башенный копер имеет ряд частот собственных горизонтальных колебаний. Число вычисляемых частот (соответственно и количество сосредоточенных масс при выборе расчетной схемы) следует определять в соответствии с "
Инструкцией по расчету несущих конструкций промышленных зданий и сооружений на динамические нагрузки", а также в зависимости от частот источников возбуждения так, чтобы последняя из вычисляемых частот превышала бы частоту вынужденных колебаний. Число вычисляемых частот для любых расчетных схем башенных копров рекомендуется определять в следующей последовательности:
а) установить на основании технологического задания максимальную частоту источников возбуждения

;
б) определить относительную жесткость основания башни по формуле

(87)
где EJ - изгибная жесткость копра;
Jф - момент инерции площади основания фундамента относительно оси поворота;

- коэффициент упругого неравномерного сжатия грунта, определяемый в соответствии с нормативными документами по расчету оснований и фундаментов;
в) найти значение

при
i <= 8 по графику
(рис. 27), при
i > 8 по формуле
i = 9, 10...; (88)
г) определить собственные круговые частоты колебаний по формуле

(89)
д) количество частот (
i), необходимое для расчета тонов собственных колебаний, определяют из условия

.
Рис. 27. График функции

Примечание.
Формула (89) и график

справедливы для расчетной схемы копра в виде упруго заделанной консоли постоянной жесткости по высоте с равномерно распределенной массой.
2.70. Частоты и формы собственных горизонтальных колебаний копра могут быть найдены по формулам "
Инструкции по расчету несущих конструкций промышленных зданий и сооружений на динамические нагрузки".
2.71. Круговые частоты собственных горизонтальных колебаний для расчетных схем с одной, двумя и тремя сосредоточенными массами определяются из выражений:

(90)
| | ИС МЕГАНОРМ: примечание. Формула дана в соответствии с официальным текстом документа. | |

(91)

(92)
где M1 ... Mn - сосредоточенные массы, приложенные в точках 1, 2, 3 ... n;

- перемещение
i-й массы от действия единичной силы, приложенной к
k-й массе.
Перемещения

для консоли с постоянной жесткостью по высоте с учетом упругости основания (
рис. 26,
а) определяются по формуле

(93)
2.72. Для расчетных схем копров с дискретными и распределенными массами, имеющими различную жесткость по высоте, а также для схем с числом степеней свободы более трех и постоянной жесткостью, целесообразно использовать метод начальных параметров в матричной форме. При этом определение собственных частот колебаний следует производить на вычислительных машинах.
2.73. Матричное уравнение метода начальных параметров для расчетной схемы в виде консоли с постоянной или переменной по высоте изгибной жесткостью (
рис. 26,
а), с любым числом степеней свободы (сосредоточенных масс) и с учетом упругости основания имеет вид

(94)
где Yn, Y0 - матрицы-столбцы параметров в начальном и n-м сечении;

- матрица сосредоточенной массы;
Gi - переходная матрица жесткости;

- матрица опоры, учитывающая упругость основания.
Величины, входящие в
уравнение (94), определяются из следующих выражений:

(95)

(96)

(97)

(98)

(99)
где
yn - амплитуда горизонтального смещения в n-м сечении;

и

- амплитуды угла поворота в начальном и
n-м сечении;
Q0 - амплитуда поперечной силы в начальном сечении;
H - полная высота копра с учетом фундамента;
hi, EJi - соответственно высота и изгибная жесткость i-го участка копра, причем за величину EJ принимается жесткость любого участка.
2.74. Матричное уравнение для расчетной схемы в виде жестко заделанной консоли с любым числом степеней свободы (
рис. 26,
б) имеет вид

(100)
где

(101)

(102)
2.75. Матричное уравнение для расчетной схемы в виде консоли с распределенной массой, с постоянной или переменной по высоте жесткостью и с учетом упругости основания (
рис. 26,
в,
д) имеет вид

(103)
в котором значения
Y0 и
Ф0 определяют из
(95) и
(99), а величину
Ai находят из выражения:

(104)
где
mi - масса единицы длины i-го участка.
В состав переходной матрицы

входят функции:
которые выражаются через табулированные функции А.Н. Крылова
Численные значения табулированных функций А.Н. Крылова приведены в
табл. 27.
Таблица 27
Функции
,
,
,
и функции А.Н. Крылова


| | | | | | | | |
0,00 | 1,00000 | 0,00000 | 1,00000 | 0,00000 | 1,00000 | 0,00000 | 0,00000 | 0,00000 |
0,01 | 0,99995 | 0,01000 | 1,00005 | 0,01000 | 1,00000 | 0,01000 | 0,00005 | 0,00000 |
0,02 | 0,99980 | 0,02000 | 1,00020 | 0,02000 | 1,00000 | 0,02000 | 0,00020 | 0,00000 |
0,03 | 0,99955 | 0,03000 | 1,00045 | 0,03000 | 1,00000 | 0,03000 | 0,00045 | 0,00000 |
0,04 | 0,99920 | 0,03999 | 1,00080 | 0,04001 | 1,00000 | 0,04000 | 0,00080 | 0,00001 |
0,05 | 0,99875 | 0,04998 | 1,00125 | 0,05002 | 1,00000 | 0,05000 | 0,00125 | 0,00002 |
0,06 | 0,99820 | 0,05996 | 1,00180 | 0,06004 | 1,00000 | 0,06000 | 0,00180 | 0,00004 |
0,07 | 0,99755 | 0,06994 | 1,00245 | 0,07006 | 1,00000 | 0,07000 | 0,00245 | 0,00006 |
0,08 | 0,99680 | 0,07991 | 1,00320 | 0,08009 | 1,00000 | 0,08000 | 0,00320 | 0,00009 |
0,09 | 0,99595 | 0,08988 | 1,00405 | 0,09012 | 1,00000 | 0,09000 | 0,00405 | 0,00012 |
0,10 | 0,99500 | 0,09983 | 1,00500 | 0,10017 | 1,00000 | 0,10000 | 0,00500 | 0,00017 |
0,11 | 0,99396 | 0,10978 | 1,00606 | 0,11022 | 1,00001 | 0,11000 | 0,00605 | 0,00022 |
0,12 | 0,99281 | 0,11971 | 1,00721 | 0,12029 | 1,00001 | 0,12000 | 0,00720 | 0,00029 |
0,13 | 0,99156 | 0,12963 | 1,00846 | 0,13037 | 1,00001 | 0,13000 | 0,00845 | 0,00037 |
0,14 | 0,99022 | 0,13954 | 1,00982 | 0,14046 | 1,00002 | 0,14000 | 0,00980 | 0,00046 |
0,15 | 0,98877 | 0,14944 | 1,01127 | 0,15056 | 1,00002 | 0,15000 | 0,01125 | 0,00056 |
0,16 | 0,98723 | 0,15932 | 1,01283 | 0,16068 | 1,00003 | 0,16000 | 0,01280 | 0,00068 |
0,17 | 0,98558 | 0,16918 | 1,01448 | 0,17082 | 1,00003 | 0,17000 | 0,01445 | 0,00082 |
0,18 | 0,98384 | 0,17903 | 1,01624 | 0,18097 | 1,00004 | 0,18000 | 0,01620 | 0,00097 |
0,19 | 0,98200 | 0,18886 | 1,01810 | 0,19115 | 1,00005 | 0,19000 | 0,01805 | 0,00115 |
0,20 | 0,98007 | 0,19876 | 1,02007 | 0,20314 | 1,00007 | 0,20000 | 0,02000 | 0,00134 |
0,21 | 0,97803 | 0,20846 | 1,02213 | 0,21155 | 1,00008 | 0,21000 | 0,02205 | 0,00155 |
0,22 | 0,97590 | 0,21823 | 1,02430 | 0,22178 | 1,00010 | 0,22000 | 0,02420 | 0,00178 |
0,23 | 0,97367 | 0,22798 | 1,02657 | 0,23203 | 1,00012 | 0,23000 | 0,02645 | 0,00203 |
0,24 | 0,97134 | 0,23770 | 1,02894 | 0,24231 | 1,00014 | 0,24000 | 0,02880 | 0,00231 |
0,25 | 0,96891 | 0,24740 | 1,03141 | 0,25261 | 1,00016 | 0,25000 | 0,03125 | 0,00261 |
0,26 | 0,96639 | 0,25708 | 1,03399 | 0,26294 | 1,00019 | 0,26001 | 0,03380 | 0,00293 |
0,27 | 0,96377 | 0,26673 | 1,03667 | 0,27329 | 1,00022 | 0,27001 | 0,03645 | 0,00328 |
0,28 | 0,96106 | 0,27636 | 1,03946 | 0,28367 | 1,00026 | 0,28001 | 0,03920 | 0,00366 |
0,29 | 0,95824 | 0,28595 | 1,04235 | 0,29408 | 1,00029 | 0,29001 | 0,04205 | 0,00407 |
0,30 | 0,95534 | 0,29552 | 1,04534 | 0,30452 | 1,00034 | 0,30002 | 0,04500 | 0,00450 |
0,31 | 0,95233 | 0,30506 | 1,04844 | 0,31499 | 1,00038 | 0,31002 | 0,04805 | 0,00497 |
0,32 | 0,94924 | 0,31457 | 1,05164 | 0,32549 | 1,00044 | 0,32003 | 0,05120 | 0,00546 |
0,33 | 0,94604 | 0,32404 | 1,05495 | 0,33602 | 1,00049 | 0,33003 | 0,05445 | 0,00599 |
0,34 | 0,94275 | 0,33349 | 1,05836 | 0,34659 | 1,00055 | 0,34004 | 0,05780 | 0,00655 |
0,35 | 0,93937 | 0,34290 | 1,06188 | 0,35719 | 1,00062 | 0,35004 | 0,06125 | 0,00715 |
0,36 | 0,93590 | 0,35227 | 1,06550 | 0,36783 | 1,00070 | 0,36005 | 0,06480 | 0,00778 |
0,37 | 0,93233 | 0,36162 | 1,06923 | 0,37850 | 1,00078 | 0,37006 | 0,06845 | 0,00844 |
0,38 | 0,92866 | 0,37092 | 1,07307 | 0,38921 | 1,00086 | 0,38006 | 0,07220 | 0,00915 |
0,39 | 0,92491 | 0,38019 | 1,07702 | 0,39996 | 1,00096 | 0,39007 | 0,07605 | 0,00989 |
0,40 | 0,92106 | 0,38942 | 1,08107 | 0,41075 | 1,00106 | 0,40008 | 0,08000 | 0,01067 |
0,41 | 0,91712 | 0,39861 | 1,08523 | 0,42158 | 1,00117 | 0,41009 | 0,08405 | 0,01149 |
0,42 | 0,91309 | 0,40776 | 1,08950 | 0,43246 | 1,00129 | 0,42011 | 0,08820 | 0,01235 |
0,43 | 0,90897 | 0,41687 | 1,09388 | 0,44337 | 1,00142 | 0,43012 | 0,09245 | 0,01325 |
0,44 | 0,90475 | 0,42594 | 1,09837 | 0,45434 | 1,00156 | 0,44014 | 0,09681 | 0,01420 |
0,45 | 0,90045 | 0,43497 | 1,10297 | 0,46534 | 1,00171 | 0,45015 | 0,10126 | 0,01519 |
0,46 | 0,89605 | 0,44395 | 1,10768 | 0,47640 | 1,00186 | 0,46017 | 0,10581 | 0,01625 |
0,47 | 0,89157 | 0,45289 | 1,11250 | 0,48750 | 1,00203 | 0,47019 | 0,11047 | 0,01731 |
0,48 | 0,88699 | 0,46178 | 1,11743 | 0,49865 | 1,00221 | 0,48021 | 0,11522 | 0,01844 |
0,49 | 0,88233 | 0,47063 | 1,12247 | 0,50984 | 1,00240 | 0,49023 | 0,12007 | 0,01961 |
0,50 | 0,87758 | 0,47943 | 1,12763 | 0,52110 | 1,00260 | 0,50026 | 0,12502 | 0,02084 |
0,51 | 0,87274 | 0,48818 | 1,13289 | 0,53240 | 1,00280 | 0,51029 | 0,13007 | 0,02211 |
0,52 | 0,86782 | 0,49688 | 1,13827 | 0,54375 | 1,00304 | 0,52031 | 0,13522 | 0,02344 |
0,53 | 0,86281 | 0,50533 | 1,14377 | 0,55516 | 1,00329 | 0,53024 | 0,14048 | 0,02481 |
0,54 | 0,85771 | 0,51414 | 1,14938 | 0,56663 | 1,00354 | 0,54038 | 0,14583 | 0,02624 |
0,55 | 0,85262 | 0,52269 | 1,15510 | 0,57815 | 1,00381 | 0,55042 | 0,15129 | 0,02773 |
0,56 | 0,84726 | 0,53119 | 1,16094 | 0,58973 | 1,00410 | 0,56046 | 0,15684 | 0,02927 |
0,57 | 0,84190 | 0,53963 | 1,16690 | 0,60137 | 1,00440 | 0,57050 | 0,16250 | 0,03087 |
0,58 | 0,83646 | 0,54802 | 1,17297 | 0,61307 | 1,00471 | 0,58054 | 0,16825 | 0,03253 |
0,59 | 0,83094 | 0,55636 | 1,17916 | 0,62483 | 1,00505 | 0,59060 | 0,17411 | 0,03424 |
0,60 | 0,82534 | 0,56464 | 1,18547 | 0,63665 | 1,00540 | 0,60074 | 0,18006 | 0,03601 |
0,61 | 0,81965 | 0,57287 | 1,19189 | 0,64854 | 1,00577 | 0,61070 | 0,18612 | 0,03784 |
0,62 | 0,81388 | 0,58104 | 1,19844 | 0,66049 | 1,00616 | 0,62076 | 0,19228 | 0,03973 |
0,63 | 0,80803 | 0,58914 | 1,20510 | 0,67251 | 1,00656 | 0,63082 | 0,19853 | 0,04169 |
0,64 | 0,80210 | 0,59720 | 1,21189 | 0,68459 | 1,00699 | 0,64089 | 0,20489 | 0,04369 |
0,65 | 0,79608 | 0,60519 | 1,21879 | 0,69675 | 1,00742 | 0,65097 | 0,21136 | 0,04578 |
0,66 | 0,78999 | 0,61312 | 1,22582 | 0,70897 | 1,00790 | 0,66104 | 0,21791 | 0,04793 |
0,67 | 0,78382 | 0,62099 | 1,23297 | 0,72126 | 1,00830 | 0,67112 | 0,22458 | 0,05013 |
0,68 | 0,77757 | 0,62879 | 1,24025 | 0,73363 | 1,00891 | 0,68121 | 0,23134 | 0,05248 |
0,69 | 0,77125 | 0,63654 | 1, 24765 | 0,74607 | 1,00945 | 0,69130 | 0,23820 | 0,05477 |
0,70 | 0,76484 | 0,64422 | 1,25517 | 0,75858 | 1,01000 | 0,70140 | 0,24516 | 0,05718 |
0,71 | 0,75836 | 0,65183 | 1,26282 | 0,77117 | 1,01059 | 0,71150 | 0,25223 | 0,05967 |
0,72 | 0,75181 | 0,65938 | 1,27059 | 0,78384 | 1,01120 | 0,72161 | 0,25939 | 0,06223 |
0,73 | 0,74517 | 0,66687 | 1,27849 | 0,79659 | 1,01183 | 0,73173 | 0,26666 | 0,06486 |
0,74 | 0,73847 | 0,67429 | 1,28652 | 0,80941 | 1,01249 | 0,74185 | 0,27403 | 0,06756 |
0,75 | 0,73169 | 0,68164 | 1,29468 | 0,82232 | 1,01318 | 0,75198 | 0,28149 | 0,07034 |
0,76 | 0,72484 | 0,68892 | 1,30297 | 0,83530 | 1,01390 | 0,76211 | 0,28906 | 0,07319 |
0,77 | 0,71791 | 0,69614 | 1,31139 | 0,84838 | 1,01465 | 0,77226 | 0,29674 | 0,07612 |
0,78 | 0,71091 | 0,70328 | 1,31994 | 0,86153 | 1,01542 | 0,78240 | 0,30451 | 0,07913 |
0,79 | 0,70385 | 0,71035 | 1,32862 | 0,87478 | 1,01623 | 0,79256 | 0,31238 | 0,08228 |
0,80 | 0,69671 | 0,71736 | 1,33743 | 0,88811 | 1,01707 | 0,80273 | 0,32036 | 0,08538 |
0,81 | 0,68950 | 0,72429 | 1,34638 | 0,90152 | 1,01794 | 0,81290 | 0,32844 | 0,08862 |
0,82 | 0,68222 | 0,73115 | 1,35547 | 0,91503 | 1,01884 | 0,82309 | 0,33662 | 0,09194 |
0,83 | 0,67488 | 0,73793 | 1,36468 | 0,92863 | 1,01978 | 0,83328 | 0,34490 | 0,09535 |
0,84 | 0,66746 | 0,74464 | 1,37404 | 0,94233 | 1,02075 | 0,84348 | 0,35329 | 0,09885 |
0,85 | 0,65998 | 0,75128 | 1,38353 | 0,95612 | 1,02175 | 0,85380 | 0,36177 | 0,10242 |
0,86 | 0,65244 | 0,75784 | 1,39316 | 0,97000 | 1,02280 | 0,86392 | 0,37036 | 0,10608 |
0,87 | 0,64483 | 0,76433 | 1,40293 | 0,98398 | 1,02388 | 0,87415 | 0,37905 | 0,10983 |
0,88 | 0,63719 | 0,77074 | 1,41284 | 0,99806 | 1,02500 | 0,88440 | 0,38785 | 0,11366 |
0,89 | 0,62941 | 0,77707 | 1,42289 | 1,01224 | 1,02615 | 0,89465 | 0,39674 | 0,11758 |
0,90 | 0,62162 | 0,78333 | 1,43309 | 1,02652 | 1,02735 | 0,90492 | 0,40573 | 0,12159 |
0,91 | 0,61375 | 0,78950 | 1,44342 | 1,04090 | 1,02858 | 0,91520 | 0,41483 | 0,12570 |
0,92 | 0,60582 | 0,79560 | 1,45390 | 1,05539 | 1,02986 | 0,92549 | 0,42404 | 0,12990 |
0,93 | 0,59783 | 0,80162 | 1,46453 | 1,06998 | 1,03118 | 0,93082 | 0,43335 | 0,13418 |
0,94 | 0,58979 | 0,80756 | 1,47530 | 1,08468 | 1,03254 | 0,94612 | 0,44275 | 0,13856 |
0,95 | 0,58168 | 0,81342 | 1,48623 | 1,09948 | 1,03395 | 0,95645 | 0,45227 | 0,14303 |
0,96 | 0,57352 | 0,81919 | 1,49729 | 1,11440 | 1,03540 | 0,96679 | 0,46188 | 0,14761 |
0,97 | 0,56530 | 0,82489 | 1,50851 | 1,12843 | 1,03690 | 0,97716 | 0,47161 | 0,15297 |
0,98 | 0,55702 | 0,83050 | 1,51988 | 1,14457 | 1,03845 | 0,98753 | 0,48143 | 0,15704 |
0,99 | 0,54869 | 0,83603 | 1,53141 | 1,15983 | 1,04005 | 0,99793 | 0,49136 | 0,16190 |
1,00 | 0,54030 | 0,84147 | 1,54308 | 1,17520 | 1,04169 | 1,00833 | 0,50139 | 0,16687 |
1,01 | 0,53186 | 0,84683 | 1,55491 | 1,19069 | 1,04338 | 1,01876 | 0,51152 | 0,17193 |
1,02 | 0,52337 | 0,85211 | 1,56689 | 1,20630 | 1,04513 | 1,02920 | 0,52176 | 0,17710 |
1,03 | 0,51483 | 0,85730 | 1,57904 | 1,22203 | 1,04693 | 1,03953 | 0,53211 | 0,18237 |
1,04 | 0,50622 | 0,86240 | 1,59134 | 1,23788 | 1,04878 | 1,05014 | 0,54256 | 0,18774 |
1,05 | 0,49757 | 0,86742 | 1,60379 | 1,25386 | 1,05068 | 1,06064 | 0,55311 | 0,19322 |
1,06 | 0,48887 | 0,87236 | 1,61641 | 1,26996 | 1,05264 | 1,07116 | 0,56377 | 0,19880 |
1,07 | 0,48012 | 0,87720 | 1,62919 | 1,28619 | 1,05466 | 1,08169 | 0,57454 | 0,20449 |
1,08 | 0,47133 | 0,88196 | 1,64214 | 1,30254 | 1,05673 | 1,09225 | 0,58540 | 0,21029 |
1,09 | 0,46249 | 0,88663 | 1,65525 | 1,31903 | 1,05887 | 1,10283 | 0,59638 | 0,21620 |
1,10 | 0,45360 | 0,89121 | 1,66852 | 1,33565 | 1,06106 | 1,11343 | 0,60746 | 0,22222 |
1,11 | 0,44466 | 0,89570 | 1,68196 | 1,35240 | 1,06333 | 1,12405 | 0,61865 | 0,22835 |
1,12 | 0,43568 | 0,90010 | 1,69557 | 1,36929 | 1,06562 | 1,13469 | 0,62995 | 0,23460 |
1,13 | 0,42666 | 0,90441 | 1,70934 | 1,38631 | 1,06800 | 1,14536 | 0,64134 | 0,24095 |
1,14 | 0,41759 | 0,90863 | 1,72329 | 1,40347 | 1,07044 | 1,15605 | 0,65285 | 0,24742 |
1,15 | 0,40849 | 0,91276 | 1,73741 | 1,42078 | 1,07295 | 1,16677 | 0,66446 | 0,25401 |
1,16 | 0,39934 | 0,91680 | 1,75171 | 1,43822 | 1,07552 | 1,17750 | 0,67619 | 0,26071 |
1,17 | 0,39015 | 0,92075 | 1,76618 | 1,45581 | 1,07816 | 1,18828 | 0,68801 | 0,26753 |
1,18 | 0,38092 | 0,92461 | 1,78083 | 1,47355 | 1,08087 | 1,19908 | 0,69995 | 0,27477 |
1,19 | 0,37166 | 0,92837 | 1,79565 | 1,49143 | 1,08365 | 1,20990 | 0,71200 | 0,28153 |
1,20 | 0,36236 | 0,93204 | 1,81066 | 1,50946 | 1,08651 | 1,22075 | 0,72415 | 0,28871 |
1,21 | 0,35302 | 0,93562 | 1,82584 | 1,52764 | 1,08934 | 1,23163 | 0,73641 | 0,29601 |
1,22 | 0,34365 | 0,93910 | 1,84121 | 1,54598 | 1,09243 | 1,24254 | 0,74878 | 0,30344 |
1,23 | 0,33424 | 0,94249 | 1,85676 | 1,56447 | 1,09550 | 1,25348 | 0,76196 | 0,31099 |
1,24 | 0,32480 | 0,94578 | 1,87250 | 1,58311 | 1,09865 | 1,26444 | 0,77385 | 0,31867 |
1,25 | 0,31532 | 0,94898 | 1,88842 | 1,60192 | 1,10187 | 1,27545 | 0,78658 | 0,32645 |
1,26 | 0,30582 | 0,95209 | 1,90454 | 1,62088 | 1,10518 | 1,28648 | 0,79936 | 0,33439 |
1,27 | 0,29628 | 0,95510 | 1,92084 | 1,64001 | 1,10856 | 1,29750 | 0,81228 | 0,34245 |
1,28 | 0,28672 | 0,95802 | 1,93734 | 1,65930 | 1,11203 | 1,30866 | 0,82531 | 0,35064 |
1,29 | 0,27712 | 0,96084 | 1,95403 | 1,67876 | 1,11557 | 1,31980 | 0,83845 | 0,35896 |
1,30 | 0,26750 | 0,96356 | 1,97091 | 1,69838 | 1,11920 | 1,33097 | 0,85171 | 0,36741 |
1,31 | 0,25785 | 0,96618 | 1,98800 | 1,71818 | 1,12292 | 1,34218 | 0,86507 | 0,37600 |
1,32 | 0,24818 | 0,96872 | 2,00528 | 1,73814 | 1,12673 | 1,35343 | 0,87855 | 0,38471 |
1,33 | 0,23848 | 0,97115 | 2,02276 | 1,75828 | 1,13062 | 1,36471 | 0,89214 | 0,39357 |
1,34 | 0,22875 | 0,97348 | 2,04044 | 1,77860 | 1,13460 | 1,37604 | 0,90585 | 0,40256 |
1,35 | 0,21901 | 0,97572 | 2,05833 | 1,79909 | 1,13867 | 1,38740 | 0,91966 | 0,41169 |
1,36 | 0,20924 | 0,97786 | 2,07643 | 1,81977 | 1,14283 | 1,39881 | 0,93336 | 0,42096 |
1,37 | 0,19945 | 0,97991 | 2,09473 | 1,84062 | 1,14709 | 1,41026 | 0,94764 | 0,43035 |
1,38 | 0,18964 | 0,98185 | 2,11324 | 1,86166 | 1,15144 | 1,42175 | 0,96180 | 0,43991 |
1,39 | 0,17981 | 0,98370 | 2,13196 | 1,88289 | 1,15588 | 1,43329 | 0,97607 | 0,44959 |
1,40 | 0,16997 | 0,98545 | 2,15090 | 1,90430 | 1,16043 | 1,44487 | 0,99047 | 0,45933 |
1,41 | 0,16010 | 0,98710 | 2,17005 | 1,92591 | 1,16507 | 1,45655 | 1,00497 | 0,46941 |
1,42 | 0,15023 | 0,98865 | 2,18942 | 1,94770 | 1,16982 | 1,46817 | 1,01959 | 0,47952 |
1,43 | 0,14033 | 0,99010 | 2,20900 | 1,96970 | 1,17466 | 1,47990 | 1,03434 | 0,48980 |
1,44 | 0,13042 | 0,99146 | 2,22881 | 1,99188 | 1,17961 | 1,49167 | 1,04920 | 0,50021 |
1,45 | 0,12050 | 0,99271 | 2,24884 | 1,01427 | 1,18467 | 1,50349 | 1,06417 | 0,51078 |
1,46 | 0,11057 | 0,99387 | 2,26910 | 1,03686 | 1,18984 | 1,51537 | 1,07926 | 0,52149 |
1,47 | 0,10063 | 0,99492 | 2,28958 | 2,05965 | 1,19510 | 1,52728 | 1,09448 | 0,53237 |
1,48 | 0,09067 | 0,99588 | 2,31029 | 2,08265 | 1,20048 | 1,53926 | 1,10981 | 0,54339 |
1,49 | 0,08071 | 0,99674 | 2,33123 | 2,10586 | 1,20597 | 1,55130 | 1,12526 | 0,55456 |
1,50 | 0,07074 | 0,99749 | 2,35241 | 2,12928 | 1,21157 | 1,56338 | 1,14083 | 0,56590 |
1,51 | 0,06076 | 0,99815 | 2,37382 | 2,15291 | 1,21729 | 1,57533 | 1,15653 | 0,57738 |
1,52 | 0,05077 | 0,99871 | 2,39547 | 2,17676 | 1,22312 | 1,58773 | 1,17235 | 0,58903 |
1,53 | 0,04079 | 0,99917 | 2,41736 | 2,20082 | 1,22907 | 1,59999 | 1,18828 | 0,60083 |
1,54 | 0,03079 | 0,99953 | 2,43949 | 2,22510 | 1,23514 | 1,61231 | 1,20435 | 0,61279 |
1,55 | 0,02079 | 0,99978 | 2,46186 | 2,24961 | 1,24132 | 1,62469 | 1,22053 | 0,62492 |
1,56 | 0,01090 | 0,99994 | 2,48448 | 2,27434 | 1,24769 | 1,63714 | 1,23679 | 0,63720 |
1,57 | 0,00080 | 1,00000 | 2,50735 | 2,29930 | 1,25047 | 1,64965 | 1,25327 | 0,64965 |
1,58 | -0,00920 | 0,99996 | 2,53047 | 2,32449 | 1,26063 | 1,66222 | 1,26983 | 0,66226 |
1,59 | -0,01920 | 0,99982 | 2,55384 | 2,34991 | 1,26732 | 1,67486 | 1,28652 | 0,67504 |
1,60 | -0,02920 | 0,99957 | 2,57746 | 2,37557 | 1,27413 | 1,68757 | 1,30333 | 0,68800 |
1,61 | -0,03919 | 0,99923 | 2,60135 | 2,40146 | 1,28108 | 1,70034 | 1,32027 | 0,70112 |
1,62 | -0,04918 | 0,99879 | 2,62549 | 2,42760 | 1,28815 | 1,71319 | 1,33734 | 0,71441 |
1,63 | -0,05917 | 0,99825 | 2,64990 | 2,45397 | 1,29536 | 1,72608 | 1,35453 | 0,72786 |
1,64 | -0,06915 | 0,99761 | 2,67457 | 2,48059 | 1,30271 | 1,73910 | 1,37186 | 0,74149 |
1,65 | -0,07912 | 0,99687 | 2,69951 | 2,50746 | 1,31019 | 1,75216 | 1,38932 | 0,75530 |
1,66 | -0,08909 | 0,99602 | 2,72472 | 2,53459 | 1,31782 | 1,76530 | 1,40690 | 0,76928 |
1,67 | -0,09904 | 0,99508 | 2,75021 | 2,56196 | 1,32558 | 1,77852 | 1,42462 | 0,78344 |
1,68 | -0,10899 | 0,99404 | 2,77596 | 2,58959 | 1,33348 | 1,79181 | 1,44248 | 0,79778 |
1,69 | -0,11892 | 0,99290 | 2,80200 | 2,61748 | 1,34154 | 1,80519 | 1,46046 | 0,81229 |
1,70 | -0,12884 | 0,99166 | 2,82832 | 2,64563 | 1,34974 | 1,81864 | 1,47858 | 0,82669 |
1,71 | -0,13875 | 0,99033 | 2,85491 | 2,67405 | 1,35808 | 1,83219 | 1,49683 | 0,84186 |
1,72 | -0,14865 | 0,98889 | 2,88180 | 2,70273 | 1,36657 | 1,84581 | 1,53523 | 0,85692 |
1,73 | -0,15853 | 0,98735 | 2,90897 | 2,73168 | 1,37522 | 1,85952 | 1,53375 | 0,87216 |
1,74 | -0,16840 | 0,98572 | 2,93643 | 2,76091 | 1,38401 | 1,87331 | 1,55242 | 0,88759 |
1,75 | -0,17825 | 0,98399 | 2,96419 | 2,79041 | 1,39297 | 1,88820 | 1,57122 | 0,90321 |
1,76 | -0,18808 | 0,98215 | 2,99224 | 2,82020 | 1,40208 | 1,90117 | 1,59016 | 0,91903 |
1,77 | -0,19789 | 0,98022 | 3,02259 | 2,85026 | 1,41135 | 1,91524 | 1,60924 | 0,93502 |
1,78 | -0,20768 | 0,97820 | 3,04925 | 2,88061 | 1,42078 | 1,92940 | 1,62846 | 0,95120 |
1,79 | -0,21745 | 0,97607 | 3,07821 | 2,91125 | 1,43038 | 1,94366 | 1,64783 | 0,96759 |
1,80 | -0,22720 | 0,97385 | 3,10747 | 2,94217 | 1,44013 | 1,95801 | 1,66734 | 0,98416 |
1,81 | -0,23693 | 0,97153 | 3,13705 | 2,97340 | 1,45006 | 1,97246 | 1,68699 | 1,00093 |
1,82 | -0,24663 | 0,96911 | 3,16694 | 3,00492 | 1,46015 | 1,98697 | 1,70679 | 1,02191 |
1,83 | -0,25631 | 0,96659 | 3,19715 | 3,03674 | 1,47042 | 2,00166 | 1,72673 | 1,03507 |
1,84 | -0,26596 | 0,96398 | 3,22768 | 3,06886 | 1,48086 | 2,01642 | 1,74682 | 1,05244 |
1,85 | -0,27559 | 0,96128 | 3,25853 | 3,10129 | 1,49147 | 2,03128 | 1,76706 | 1,07001 |
1,86 | -0,28519 | 0,95847 | 3,28970 | 3,13403 | 1,50225 | 2,04625 | 1,78745 | 1,08778 |
1,87 | -0,29476 | 0,95557 | 3,32121 | 3,16709 | 1,51322 | 2,06133 | 1,80798 | 1,10576 |
1,88 | -0,30430 | 0,95258 | 3,35305 | 3,20046 | 1,52437 | 2,07652 | 1,82868 | 1,12394 |
1,89 | -0,31381 | 0,94949 | 3,38522 | 3,23415 | 1,53570 | 2,09182 | 1,84952 | 1,14233 |
1,90 | -0,32329 | 0,94630 | 3,41773 | 3,26816 | 1,54722 | 2,10723 | 1,87051 | 1,16093 |
1,91 | -0,33274 | 0,94302 | 3,45058 | 3,30250 | 1,55892 | 2,12276 | 1,89166 | 1,17974 |
1,92 | -0,34215 | 0,93965 | 3,48378 | 3,33718 | 1,57081 | 2,13841 | 1,91297 | 1,19877 |
1,93 | -0,35153 | 0,93618 | 3,51733 | 3,37218 | 1,58290 | 2,15418 | 1,93443 | 1,21800 |
1,94 | -0,36087 | 0,93261 | 3,55123 | 3,40752 | 1,59518 | 2,17006 | 1,95605 | 1,23745 |
1,95 | -0,37018 | 0,92896 | 3,58548 | 3,44321 | 1,61265 | 2,18608 | 1,97783 | 1,25713 |
1,96 | -0,37945 | 0,92521 | 3,62009 | 3,47923 | 1,62032 | 2,20222 | 1,99977 | 1,27701 |
1,97 | -0,38868 | 0,92137 | 3,65507 | 3,51561 | 1,63319 | 2,21849 | 2,02187 | 1,34712 |
1,98 | -0,39788 | 0,91744 | 3,69041 | 3,55234 | 1,64626 | 2,23489 | 2,04415 | 1,31745 |
1,99 | -0,40703 | 0,91341 | 3,72611 | 3,58942 | 1,65954 | 2,25142 | 2,06707 | 1,33800 |
2,00 | -0,41615 | 0,90930 | 3,76220 | 3,62686 | 1,67302 | 2,26808 | 2,08918 | 1,35878 |
2,01 | -0,42522 | 0,90509 | 3,79865 | 3,66466 | 1,68671 | 2,28337 | 2,11193 | 1,37828 |
2,02 | -0,43425 | 0,90079 | 3,83549 | 3,70283 | 1,70062 | 2,30181 | 2,13487 | 1,40102 |
2,03 | -0,44323 | 0,89641 | 3,87271 | 3,74138 | 1,71474 | 2,31889 | 2,15797 | 1,42249 |
2,04 | -0,45218 | 0,89193 | 3,91032 | 3,78029 | 1,72907 | 2,33611 | 2,18125 | 1,44418 |
2,05 | -0,46107 | 0,88736 | 3,94832 | 3,81958 | 1,74362 | 2,35347 | 2,20470 | 1,46611 |
2,06 | -0,46992 | 0,88271 | 3,98671 | 3,85926 | 1,75840 | 2,37098 | 2,22832 | 1,48827 |
2,07 | -0,47873 | 0,87796 | 4,02550 | 3,89932 | 1,77360 | 2,38864 | 2,25212 | 1,51068 |
2,08 | -0,48748 | 0,87313 | 4,06470 | 3,93977 | 1,78861 | 2,40645 | 2,27609 | 1,53332 |
2,09 | -0,49619 | 0,86821 | 4,10430 | 3,98061 | 1,80405 | 2,42441 | 2,30024 | 1,55620 |
2,10 | -0,50485 | 0,86321 | 4,14431 | 4,02186 | 1,81973 | 2,44253 | 2,32458 | 1,57933 |
2,11 | -0,51345 | 0,85812 | 4,18474 | 4,06350 | 1,83565 | 2,46081 | 2,34910 | 1,60269 |
2,12 | -0,52201 | 0,85294 | 4,22558 | 4,10555 | 1,85179 | 2,47925 | 2,37380 | 1,62630 |
2,13 | -0,53051 | 0,84768 | 4,26685 | 4,14801 | 1,86817 | 2,49785 | 2,39868 | 1,65017 |
2,14 | -0,53896 | 0,84233 | 4,30855 | 4,19089 | 1,88479 | 2,51661 | 2,42375 | 1,67428 |
2,15 | -0,54736 | 0,83690 | 4,35067 | 4,23419 | 1,90165 | 2,53554 | 2,44002 | 1,69865 |
2,16 | -0,55570 | 0,83138 | 4,39323 | 4,27791 | 1,91876 | 2,55464 | 2,47447 | 1,72327 |
2,17 | -0,56399 | 0,82579 | 4,43623 | 4,32205 | 1,93612 | 2,57392 | 2,50011 | 1,74813 |
2,18 | -0,57221 | 0,82010 | 4,47967 | 4,36663 | 1,95373 | 2,59337 | 2,52594 | 1,77326 |
2,19 | -0,58039 | 0,81434 | 4,52356 | 4,41165 | 1,97158 | 2,61300 | 2,55198 | 1,79865 |
2,20 | -0,58850 | 0,80850 | 4,56791 | 4,45711 | 1,98970 | 2,63208 | 2,57820 | 1,81431 |
2,21 | -0,59656 | 0,80257 | 4,61271 | 4,50301 | 2,00807 | 2,65279 | 2,60464 | 1,85022 |
2,22 | -0,60455 | 0,79657 | 4,65797 | 4,54936 | 2,02671 | 2,67296 | 2,63126 | 1,87640 |
2,23 | -0,61249 | 0,79048 | 4,70370 | 4,59617 | 2,04560 | 2,69332 | 2,65810 | 1,90285 |
2,24 | -0,62036 | 0,78432 | 4,74989 | 4,64344 | 2,06476 | 2,71388 | 2,68513 | 1,92956 |
2,25 | -0,62817 | 0,77807 | 4,79657 | 4,69117 | 2,08420 | 2,73462 | 2,71237 | 1,95655 |
2,26 | -0,63592 | 0,77175 | 4,84372 | 4,73937 | 2,10390 | 2,75556 | 2,73982 | 1,98381 |
2,27 | -0,64361 | 0,76535 | 4,89136 | 4,78804 | 2,12387 | 2,77670 | 2,76748 | 2,01135 |
2,28 | -0,65123 | 0,75888 | 4,93948 | 4,83720 | 2,14412 | 2,79804 | 2,79536 | 2,03916 |
2,29 | -0,65879 | 0,75233 | 4,98810 | 4,88684 | 2,16465 | 2,81958 | 2,82345 | 2,06725 |
2,30 | -0,66628 | 0,74571 | 5,03722 | 4,93696 | 2,18547 | 2,84133 | 2,85175 | 2,09563 |
2,31 | -0,67370 | 0,73901 | 5,08684 | 4,98758 | 2,20657 | 2,86329 | 2,88027 | 2,12429 |
2,32 | -0,68106 | 0,73223 | 5,13697 | 5,03870 | 2,22795 | 2,88546 | 2,90902 | 2,15324 |
2,33 | -0,68834 | 0,72538 | 5,18762 | 5,09032 | 2,24964 | 2,90785 | 2,93798 | 2,18247 |
2,34 | -0,69556 | 0,71846 | 5,23878 | 5,14245 | 2,27161 | 2,93045 | 2,96717 | 2,21200 |
2,35 | -0,70271 | 0,71147 | 5,29047 | 5,19510 | 2,29388 | 2,95328 | 2,99659 | 2,24182 |
2,36 | -0,70979 | 0,70441 | 5,34269 | 5,24827 | 2,31645 | 2,97634 | 3,02624 | 2,27193 |
2,37 | -0,71680 | 0,69728 | 5,39544 | 5,30196 | 2,33932 | 2,99962 | 3,05612 | 2,30234 |
2,38 | -0,72374 | 0,69007 | 5,44873 | 5,35618 | 2,36250 | 3,02312 | 3,08624 | 2,33306 |
2,39 | -0,73060 | 0,68280 | 5,50256 | 5,41093 | 2,38598 | 3,04686 | 3,11658 | 2,36406 |
2,40 | -0,73739 | 0,67546 | 5,55695 | 5,46623 | 2,40978 | 3,07084 | 3,14717 | 2,39539 |
2,41 | -0,74411 | 0,66806 | 5,61189 | 5,52207 | 2,43389 | 3,09506 | 3,17800 | 2,42700 |
2,42 | -0,75075 | 0,66058 | 5,66739 | 5,57847 | 2,45832 | 3,11952 | 3,20907 | 2,45895 |
2,43 | -0,75732 | 0,65304 | 5,72346 | 5,63542 | 2,48307 | 3,14423 | 3,24039 | 2,49119 |
2,44 | -0,76382 | 0,64544 | 5,78010 | 5,69294 | 2,50814 | 3,16919 | 3,27196 | 2,52375 |
2,45 | -0,77023 | 0,63776 | 5,83732 | 5,75103 | 2,53354 | 3,19439 | 3,30378 | 2,55664 |
2,46 | -0,77657 | 0,63003 | 5,89512 | 5,80969 | 2,56927 | 3,21986 | 3,33585 | 2,58983 |
2,47 | -0,78283 | 0,62223 | 5,95352 | 5,86893 | 2,58535 | 3,24558 | 3,36817 | 2,62335 |
2,48 | -0,78901 | 0,61437 | 6,01250 | 5,92876 | 2,61174 | 3,27156 | 3,40076 | 2,65720 |
2,49 | -0,79512 | 0,60645 | 6,07209 | 5,98918 | 2,63848 | 3,29781 | 3,43360 | 2,69136 |
2,50 | -0,80114 | 0,59847 | 6,13229 | 6,05020 | 2,66557 | 3,32433 | 3,46672 | 2,72586 |
2,51 | -0,80709 | 0,59043 | 6,19310 | 6,11183 | 2,69300 | 3,35113 | 3,50010 | 2,76070 |
2,52 | -0,81295 | 0,58233 | 6,25453 | 6,17407 | 2,72079 | 3,37820 | 3,53374 | 2,79584 |
2,53 | -0,81873 | 0,57417 | 6,31658 | 6,23692 | 2,74893 | 3,40555 | 3,56765 | 2,83137 |
2,54 | -0,82444 | 0,56596 | 6,37927 | 6,30040 | 2,77742 | 3,43318 | 3,60175 | 2,86722 |
2,55 | -0,83005 | 0,55768 | 6,44259 | 6,36451 | 2,80627 | 3,46110 | 3,63632 | 2,90342 |
2,56 | -0,83559 | 0,54936 | 6,50656 | 6,42926 | 2,83549 | 3,48931 | 3,67107 | 2,93995 |
| | ИС МЕГАНОРМ: примечание. Текст в девятой графе дан в соответствии с официальным текстом документа. | |
|
2,57 | -0,84104 | 0,54097 | 6,57118 | 6,49464 | 2,86507 | 3,51780 | 3,70061 | 2,87683 |
2,58 | -0,84641 | 0,53253 | 6,63646 | 6,56068 | 2,89502 | 3,54660 | 3,74144 | 3,01408 |
2,59 | -0,85169 | 0,52404 | 6,70240 | 6,62738 | 2,92535 | 3,57571 | 3,77705 | 3,05167 |
2,60 | -0,85689 | 0,51550 | 6,76901 | 6,69473 | 2,95606 | 3,60511 | 3,81295 | 3,08962 |
2,61 | -0,86200 | 0,50691 | 6,83629 | 6,76276 | 2,98714 | 3,63483 | 3,84915 | 3,12793 |
2,62 | -0,86703 | 0,49826 | 6,90426 | 6,83146 | 3,01862 | 3,66486 | 3,88565 | 3,16660 |
2,63 | -0,87197 | 0,48957 | 6,97292 | 6,90085 | 3,05047 | 3,69521 | 3,92235 | 3,20564 |
2,64 | -0,87682 | 0,48082 | 7,04228 | 6,97092 | 3,08273 | 3,72587 | 3,95955 | 3,24505 |
2,65 | -0,88158 | 0,47203 | 7,11234 | 7,04169 | 3,11538 | 3,75186 | 3,99696 | 3,28483 |
2,66 | -0,88626 | 0,46319 | 7,18312 | 7,11317 | 3,14843 | 3,78818 | 4,03469 | 3,32499 |
2,67 | -0,89085 | 0,45431 | 7,25461 | 7,18536 | 3,18188 | 3,81984 | 4,07273 | 3,36552 |
2,68 | -0,89534 | 0,44537 | 7,32683 | 7,25827 | 3,21755 | 3,85182 | 4,11108 | 3,40645 |
2,69 | -0,89975 | 0,43640 | 7,39978 | 7,33190 | 3,25001 | 3,88415 | 4,14926 | 3,44775 |
2,70 | -0,90407 | 0,42738 | 7,47347 | 7,40626 | 3,28470 | 3,91682 | 4,18877 | 3,48944 |
2,71 | -0,90830 | 0,41832 | 7,54791 | 7,48137 | 3,31980 | 3,94985 | 4,22810 | 3,53152 |
2,72 | -0,91244 | 0,40921 | 7,62310 | 7,55722 | 3,35533 | 3,92321 | 4,26717 | 3,57401 |
2,73 | -0,91648 | 0,40007 | 7,69905 | 7,63383 | 3,39128 | 4,01695 | 4,30777 | 3,61688 |
2,74 | -0,92044 | 0,39088 | 7,77578 | 7,71124 | 3,42767 | 4,05105 | 4,34811 | 3,66017 |
2,75 | -0,92430 | 0,38166 | 7, 85328 | 7,78935 | 3,46449 | 4,08550 | 4,38879 | 3,70384 |
2,76 | -0,92807 | 0,37240 | 7,93157 | 7,86828 | 3,50175 | 4,12034 | 4,42982 | 3,74794 |
2,77 | -0,93175 | 0,36310 | 8,01065 | 7,94799 | 3,53945 | 4,15554 | 4,47120 | 3,79244 |
2,78 | -0,93533 | 0,35376 | 8,09053 | 8,02849 | 3,57760 | 4,19112 | 4,51293 | 3,83736 |
2,79 | -0,93883 | 0,34439 | 8,17122 | 8,10980 | 3,61619 | 4,22709 | 4,55503 | 3,88271 |
2,80 | -0,94222 | 0,33499 | 8,25273 | 8,19192 | 3,65525 | 4,26345 | 4,59748 | 3,92847 |
2,81 | -0,94553 | 0,32555 | 8,33506 | 8,27486 | 3,69476 | 4,30020 | 4,64030 | 3,97465 |
2,82 | -0,94873 | 0,31608 | 8,41823 | 8,35862 | 3,73493 | 4,33735 | 4,68330 | 4,02127 |
2,83 | -0,95185 | 0,30658 | 8,50224 | 8,44322 | 3,77520 | 4,37490 | 4,72705 | 4,06832 |
2,84 | -0,95486 | 0,29704 | 8,58710 | 8,52867 | 3,81612 | 4,41285 | 4,77098 | 4,11582 |
2,85 | -0,95779 | 0,28748 | 8,67281 | 8,61497 | 3,85751 | 4,45122 | 4,81530 | 4,16315 |
2,86 | -0,96061 | 0,27789 | 8,75940 | 8,70213 | 3,89940 | 4,49001 | 4,86000 | 4,21212 |
2,87 | -0,96334 | 0,26827 | 8,84668 | 8,79016 | 3,94176 | 4,52921 | 4,90510 | 4,26095 |
2,88 | -0,96598 | 0,25862 | 8,93520 | 8,87907 | 3,98461 | 4,56884 | 4,95059 | 4,31028 |
2,89 | -0,96852 | 0,24895 | 9,02444 | 8,96887 | 4,02796 | 4,60891 | 4,99648 | 4,35996 |
2,90 | -0,97096 | 0,23925 | 9,11458 | 9,05956 | 4,07181 | 4,64940 | 5,04277 | 4,41016 |
2,91 | -0,97330 | 0,22953 | 9,20564 | 9,15116 | 4,11617 | 4,69034 | 5,08947 | 4,46082 |
2,92 | -0,97555 | 0,21978 | 9,29761 | 9,24368 | 4,16103 | 4,73173 | 5,13658 | 4,51195 |
2,93 | -0,97770 | 0,21002 | 9,39051 | 9,33712 | 4,20640 | 4,77357 | 5,18410 | 4,56355 |
2,94 | -0,97975 | 0,20023 | 9,48436 | 9,43149 | 4,25230 | 4,81586 | 5,23206 | 4,61563 |
2,95 | -0,98170 | 0,19042 | 9,57915 | 9,52681 | 4,29875 | 4,85862 | 5,28042 | 4,66820 |
2,96 | -0,98356 | 0,18060 | 9,67490 | 9,62303 | 4,34567 | 4,90181 | 5,32923 | 5,72124 |
2,97 | -0,98531 | 0,17075 | 9,77161 | 9,72031 | 4,39315 | 4,94553 | 5,37846 | 4,77478 |
2,98 | -0,98697 | 0,16089 | 9,86930 | 9,81851 | 4,44117 | 4,98970 | 5,42814 | 4,82881 |
2,99 | -0,98853 | 0,15101 | 9,96798 | 9,91770 | 4,48972 | 5,03435 | 5,47825 | 4,88335 |
3,00 | -0,98999 | 0,14112 | 10,06766 | 10,01787 | 4,53883 | 5,07949 | 5,52883 | 4,93838 |
3,01 | -0,99135 | 0,13121 | 10,16835 | 10,11905 | 4,58850 | 5,12513 | 5,57985 | 4,99392 |
3,02 | -0,99262 | 0,12129 | 10,27005 | 10,22125 | 4,63872 | 5,17127 | 5,63133 | 5,04998 |
3,03 | -0,99378 | 0,11136 | 10,37277 | 10,32446 | 4,68950 | 5,21791 | 5,68327 | 5,10655 |
3,04 | -0,99484 | 0,10142 | 10,47654 | 10,42870 | 4,74085 | 5,26556 | 5,73569 | 5,16364 |
3,05 | -0,99581 | 0,09146 | 10,58135 | 10,53339 | 4,79277 | 5,31272 | 5,78858 | 5,22126 |
3,06 | -0,99667 | 0,08150 | 10,68722 | 10,64033 | 4,84527 | 5,36090 | 5,84195 | 5,27942 |
3,07 | -0,99744 | 0,07153 | 10,79416 | 10,74774 | 4,89836 | 5,40963 | 5,89580 | 5,33810 |
3,08 | -0,99810 | 0,06155 | 10,90218 | 10,85622 | 4,95204 | 5,45888 | 5,95014 | 5,39734 |
3,09 | -0,99867 | 0,05157 | 11,01129 | 10,96579 | 5,00631 | 5,50868 | 6,00498 | 5,45711 |
3,10 | -0,99914 | 0,04158 | 11,12150 | 11,07645 | 5,06118 | 5,55901 | 6,06032 | 5,51744 |
3,11 | -0,99950 | 0,03159 | 11,23282 | 11,18822 | 5,11666 | 5,60990 | 6,11616 | 5,57832 |
3,12 | -0,99977 | 0,02159 | 11,34527 | 11,30111 | 5,17275 | 5,66135 | 6,17252 | 5,63976 |
3,13 | -0,99993 | 0,01159 | 11,45885 | 11,41513 | 5,22931 | 5,71336 | 6,22936 | 5,70177 |
3,14 | -1,00000 | 0,00159 | 11,57357 | 11,53029 | 5,28678 | 5,76594 | 6,28678 | 5,76435 |
3,15 | -0,99996 | -0,00841 | 11,68946 | 11,64661 | 5,34475 | 5,81910 | 6,34471 | 5,82751 |
3,16 | -0,99983 | -0,01841 | 11,80651 | 11,76409 | 5,40316 | 5,87284 | 6,40317 | 5,89125 |
3,17 | -0,99960 | -0,02840 | 11,92474 | 11,88274 | 5,46257 | 5,92717 | 6,46217 | 5,95657 |
3,18 | -0,99926 | -0,03840 | 12,04417 | 12,00258 | 5,52245 | 5,98209 | 6,52171 | 6,02049 |
3,19 | -0,99883 | -0,04839 | 12,16480 | 12,12363 | 5,58298 | 6,03762 | 6,58182 | 6,08601 |
3,20 | -0,99829 | -0,05837 | 12,28665 | 12,24588 | 5,64418 | 6,09375 | 6,64247 | 6,15213 |
3,21 | -0,99766 | -0,06835 | 12,40972 | 12,36936 | 5,70603 | 6,15050 | 6,70369 | 6,21885 |
3,22 | -0,99693 | -0,07833 | 12,53404 | 12,49408 | 5,76855 | 6,20787 | 6,76349 | 6,28621 |
3,23 | -0,99609 | -0,08829 | 12,65961 | 12,62005 | 5,83161 | 6,26588 | 6,82800 | 6,35417 |
3,24 | -0,99516 | -0,09825 | 12,78644 | 12,74728 | 5,89564 | 6,32451 | 6,89080 | 6,42277 |
3,25 | -0,99413 | -0,10820 | 12,91456 | 12,87578 | 5,96021 | 6,38379 | 6,95384 | 6,49199 |
3,26 | -0,99300 | -0,11813 | 13,04396 | 13,00557 | 6,02535 | 6,44372 | 7,01848 | 6,56185 |
3,27 | -0,99177 | -0,12805 | 13,17467 | 13,13667 | 6,09145 | 6,50431 | 7,08322 | 6,63236 |
3,28 | -0,99044 | -0,13797 | 13,30670 | 13,26907 | 6,15813 | 6,56555 | 7,14857 | 6,70352 |
3,29 | -0,98901 | -0,14786 | 13,44006 | 13,40280 | 6,22552 | 6,62747 | 7,21454 | 6,77533 |
3,30 | -0,98748 | -0,15775 | 13,57476 | 13,53788 | 6,29364 | 6,69006 | 7,28112 | 6,84782 |
3,31 | -0,98585 | -0,16761 | 13,71082 | 13,67430 | 6,36248 | 6,75334 | 7,34833 | 6,92095 |
3,32 | -0,98413 | -0,17746 | 13,84825 | 13,81210 | 6,43206 | 6,81732 | 7,41619 | 6,99478 |
3,33 | -0,98230 | -0,18729 | 13,98707 | 13,95127 | 6,50238 | 6,88199 | 7,48460 | 7,06928 |
3,34 | -0,98038 | -0,19711 | 14,12728 | 14,09185 | 6,57345 | 6,94737 | 7,55383 | 7,14448 |
3,35 | -0,97836 | -0,20690 | 14,26891 | 14,23382 | 6,64527 | 7,01346 | 7,62363 | 7,22036 |
3,36 | -0,97624 | -0,21668 | 14,41196 | 14,37723 | 6,71786 | 7,08027 | 7,69410 | 7,29696 |
3,37 | -0,97403 | -0,22643 | 14,55646 | 14,52207 | 6,78121 | 7,14782 | 7,76524 | 7,37425 |
3,38 | -0,97172 | -0,23616 | 14,70241 | 14,66836 | 6,86534 | 7,21610 | 7,83706 | 7,45226 |
3,39 | -0,96931 | -0,24586 | 14,84983 | 14,81612 | 6,94026 | 7,28513 | 7,90957 | 7,53099 |
3,40 | -0,96680 | -0,25554 | 14,99874 | 14,96536 | 7,01597 | 7,35491 | 7,98277 | 7,61045 |
3,41 | -0,96419 | -0,26520 | 15,14914 | 15,11610 | 7,09247 | 7,42546 | 8,05666 | 7,69065 |
3,42 | -0,96149 | -0,27482 | 15,30106 | 15,26885 | 7,16978 | 7,49676 | 8,13028 | 7,77159 |
3,43 | -0,95870 | -0,28443 | 15,45451 | 15,42213 | 7,24790 | 7,56885 | 8,20661 | 7,85326 |
3,44 | -0,95581 | -0,29400 | 15,60951 | 15,57745 | 7,32685 | 7,64172 | 8,28266 | 7,93573 |
3,45 | -0,95282 | -0,30354 | 15,76607 | 15,73432 | 7,40662 | 7,71539 | 8,35945 | 8,01893 |
3,46 | -0,94974 | -0,31305 | 15,92420 | 15,89277 | 7,48723 | 7,78986 | 8,38697 | 8,10291 |
3,47 | -0,94656 | -0,32254 | 16,08393 | 16,05281 | 7,51858 | 7,86514 | 8,51535 | 8,18768 |
3,48 | -0,94328 | -0,33199 | 16,24526 | 16,21416 | 7,65099 | 7,94124 | 8,59427 | 8,27322 |
3,49 | -0,93992 | -0,34140 | 16,40822 | 16,37772 | 7,73415 | 8,01816 | 8,67407 | 8,35956 |
3,50 | -0,93646 | -0,35078 | 16,57282 | 16,54263 | 7,81818 | 8,09592 | 8,75464 | 8,44671 |
3,51 | -0,93290 | -0,36013 | 16,73908 | 16,70919 | 7,90309 | 8,17453 | 8,83599 | 8,53466 |
3,52 | -0,92925 | -0,36944 | 16,90701 | 16,87741 | 7,98888 | 8,25398 | 8,91813 | 8,62843 |
3,53 | -0,92551 | -0,37871 | 17,07664 | 17,04733 | 8,07556 | 8,33431 | 9,00107 | 8,71302 |
3,54 | -0,92168 | -0,38795 | 17,24797 | 17,21895 | 8,16315 | 8,41550 | 9,08482 | 8,80346 |
3,55 | -0,91775 | -0,39715 | 17,42102 | 17,39230 | 8,25164 | 8,49717 | 9,16938 | 8,89472 |
3,56 | -0,91374 | -0,40631 | 17,59582 | 17,56738 | 8,34104 | 8,58054 | 9,25478 | 8,98685 |
3,57 | -0,90963 | -0,41542 | 17,77237 | 17,74422 | 8,43137 | 8,61440 | 9,34100 | 9,07982 |
3,58 | -0,90543 | -0,42450 | 17,95071 | 17,92283 | 8,52264 | 9,74917 | 9,42807 | 9,17367 |
3,59 | -0,90114 | -0,43353 | 18,13084 | 18,10324 | 8,61485 | 8,83485 | 9,51599 | 9,26838 |
3,60 | -0,89676 | -0,44252 | 18,31278 | 18,28546 | 8,70801 | 8,92147 | 9,60477 | 9,36399 |
3,61 | -0,89229 | -0,45147 | 18,49655 | 18,46950 | 8,80213 | 9,00902 | 9,69442 | 9,46048 |
3,62 | -0,88773 | -0,46037 | 18,68218 | 18,65539 | 8,89772 | 9,09751 | 9,78495 | 9,55788 |
3,63 | -0,88308 | -0,46922 | 18,86967 | 18,84315 | 8,99330 | 9,18696 | 9,87637 | 9,65618 |
3,64 | -0,87835 | -0,47803 | 19,05904 | 19,03279 | 9,09035 | 9,27738 | 9,86870 | 9,75541 |
3,65 | -0,87352 | -0,48679 | 19,25033 | 19,22434 | 9,18845 | 9,36878 | 10,06193 | 9,85557 |
3,66 | -0,86861 | -0,49550 | 19,44354 | 19,41781 | 9,28747 | 9,46116 | 10,15608 | 9,95666 |
3,67 | -0,86361 | -0,50416 | 19,63869 | 19,61321 | 9,38754 | 9,55453 | 10,25115 | 10,05869 |
3,68 | -0,85853 | -0,51277 | 19,83581 | 19,81059 | 9,48864 | 9,64891 | 10,34717 | 10,16168 |
3,69 | -0,85336 | -0,52133 | 20,03491 | 20,00994 | 9,59077 | 9,74430 | 10,44414 | 10,26564 |
3,70 | -0,84810 | -0,52984 | 20,23601 | 20,21129 | 9,68159 | 9,84072 | 10,54206 | 10,37057 |
3,71 | -0,84276 | -0,53829 | 20,43914 | 20,41466 | 9,79819 | 9,93819 | 10,64095 | 10,47648 |
| | ИС МЕГАНОРМ: примечание. Текст в пятой графе дан в соответствии с официальным текстом документа. | |
|
3,72 | -0,83733 | -0,54669 | 20,64431 | 21,62008 | 9,90349 | 10,03670 | 10,74082 | 10,58339 |
3,73 | -0,83183 | -0,55504 | 20,85155 | 20,82756 | 10,00986 | 10,13626 | 10,84169 | 10,69130 |
3,74 | -0,82623 | -0,56333 | 21,06087 | 21,03712 | 10,11732 | 10,23690 | 10,94355 | 10,80023 |
3,75 | -0,82054 | -0,57156 | 21,27203 | 21,24878 | 10,22587 | 10,33861 | 11,04643 | 10,91017 |
3,76 | -0,81480 | -0,57974 | 21,48575 | 21,46257 | 10,33552 | 10,44141 | 11,15033 | 11,02116 |
3,77 | -0,80896 | -0,58786 | 21,70156 | 21,67851 | 10,44630 | 10,54533 | 11,25526 | 11,13318 |
3,78 | -0,80305 | -0,59592 | 21,91943 | 21,89661 | 10,55819 | 10,65034 | 11,36124 | 11,24627 |
3,79 | -0,79705 | -0,60392 | 22,13950 | 22,11690 | 10,67123 | 10,75649 | 11,46878 | 11,36041 |
3,80 | -0,79097 | -0,61186 | 22,36178 | 22,33941 | 10,78540 | 10,87377 | 11,57638 | 11,47564 |
3,81 | -0,78481 | -0,61974 | 22,58629 | 22,56415 | 10,90074 | 10,97221 | 11,68555 | 11,59195 |
3,82 | -0,77857 | -0,62755 | 22,81307 | 22,79114 | 11,01725 | 11,08180 | 11,79582 | 11,70935 |
3,83 | -0,77226 | -0,63531 | 23,04212 | 23,02041 | 11,13493 | 11,19255 | 11,90719 | 11,82786 |
3,84 | -0,76587 | -0,64300 | 23,27348 | 23,25199 | 11,25380 | 11,30449 | 12,01969 | 11,94750 |
3,85 | -0,76940 | -0,65063 | 23,50717 | 23,48589 | 11,37389 | 11,41763 | 12,13329 | 12,06826 |
3,86 | -0,76285 | -0,65819 | 23,74321 | 23,72214 | 11,49518 | 11,53198 | 12,24803 | 12,19017 |
3,87 | -0,74624 | -0,66568 | 23,98162 | 23,96076 | 11,61769 | 11,64754 | 12,36393 | 12,31322 |
3,88 | -0,73954 | -0,67311 | 24,22243 | 24,20178 | 11,74145 | 11,76434 | 12,48099 | 12,43745 |
3,89 | -0,73277 | -0,68047 | 24,46567 | 24,44522 | 11,86646 | 11,88238 | 12,59922 | 12,56285 |
3,90 | -0,72593 | -0,68777 | 24,71135 | 24,69110 | 11,99271 | 12,00166 | 12,71864 | 12,68944 |
3,91 | -0,71902 | -0,69499 | 24,95950 | 24,93946 | 12,12024 | 12,12224 | 12,83926 | 12,81723 |
3,92 | -0,71203 | -0,70215 | 25,21014 | 25,19030 | 12,24905 | 12,24407 | 12,96109 | 12,94623 |
3,93 | -0,70498 | -0,70923 | 25,46331 | 25,44367 | 12,37917 | 12,36722 | 13,08415 | 13,07645 |
3,94 | -0,69785 | -0,71625 | 25,71902 | 25,69958 | 12,51059 | 12,49167 | 13,20844 | 13,20797 |
3,95 | -0,69065 | -0,72319 | 25,97731 | 25,95806 | 12,64333 | 12,61744 | 13,33398 | 13,34063 |
3,96 | -0,68338 | -0,73006 | 26,23819 | 26,21913 | 12,77740 | 12,74453 | 13,46079 | 13,47460 |
3,97 | -0,67605 | -0,73686 | 26,50170 | 26,48283 | 12,91283 | 12,87299 | 13,58888 | 13,60966 |
3,98 | -0,66865 | -0,74358 | 26,76786 | 26,74917 | 13,04960 | 13,00280 | 13,71825 | 13,74637 |
3,99 | -0,66118 | -0,75023 | 27,03669 | 27,01819 | 13,18775 | 13,13398 | 13,84893 | 13,88421 |
4,00 | -0,65364 | -0,75680 | 27,30823 | 27,28992 | 13,32730 | 13,26656 | 13,98094 | 14,02366 |
4,01 | -0,64604 | -0,76330 | 27,58250 | 27,56437 | 13,46823 | 13,40053 | 14,11427 | 14,16384 |
4,02 | -0,63838 | -0,76972 | 27,85953 | 27,84158 | 13,61057 | 13,53593 | 14,24895 | 14,30565 |
4,03 | -0,63065 | -0,77607 | 28,13934 | 28,12157 | 13,75435 | 13,67275 | 14,38500 | 14,44882 |
4,04 | -0,62286 | -0,78234 | 28,42197 | 28,40437 | 13,89955 | 13,81102 | 14,52242 | 14,59335 |
4,05 | -0,61500 | -0,78853 | 28,70744 | 28,69002 | 14,04622 | 13,95074 | 14,66122 | 14,73228 |
4,06 | -0,60709 | -0,79464 | 28,99578 | 28,97853 | 14,19435 | 14,09195 | 14,80144 | 14,88658 |
4,07 | -0,59911 | -0,80067 | 29,28702 | 29,26994 | 14,34395 | 14,23464 | 14,94306 | 15,03530 |
4,08 | -0,59107 | -0,80662 | 29,58119 | 29,56428 | 14,49506 | 14,37883 | 15,08613 | 15,18545 |
4,09 | -0,58298 | -0,81249 | 29,87882 | 29,86158 | 14,64767 | 14,52455 | 15,23065 | 15,33703 |
4,10 | -0,57482 | -0,81828 | 30,17843 | 30,16186 | 14,80180 | 14,67179 | 15,37663 | 15,43007 |
4,11 | -0,56661 | -0,82398 | 30,48156 | 30,46515 | 14,95747 | 14,82058 | 15,57408 | 15,64456 |
4,12 | -0,55834 | -0,82961 | 30,78774 | 30,77150 | 15,11470 | 14,97095 | 15,67304 | 15,80055 |
4,13 | -0,55002 | -0,83515 | 31,09700 | 31,08092 | 15,27350 | 15,12288 | 15,82351 | 15,96304 |
4,14 | -0,54164 | -0,84061 | 31,40937 | 31,39345 | 15,43386 | 15,27641 | 15,97551 | 16,11703 |
4,15 | -0,53321 | -0,84598 | 31,72488 | 31,70912 | 15,59533 | 15,43157 | 16,12905 | 16,27755 |
4,16 | -0,52472 | -0,85127 | 32,04357 | 32,02796 | 15,75942 | 15,58835 | 16,28415 | 16,43962 |
4,17 | -0,51618 | -0,85648 | 32,36545 | 32,35000 | 15,92464 | 15,74676 | 16,44082 | 16,60324 |
4,18 | -0,50759 | -0,86160 | 32,69058 | 32,67528 | 16,09150 | 15,90648 | 16,59909 | 16,76844 |
4,19 | -0,49895 | -0,86663 | 33,01897 | 33,00382 | 16,26001 | 16,06860 | 16,75896 | 16,93522 |
4,20 | -0,49026 | -0,87158 | 33,36066 | 33,33567 | 16,43020 | 16,23204 | 16,92046 | 17,10363 |
4,21 | -0,48152 | -0,87643 | 33,68569 | 33,67085 | 16,60208 | 16,39721 | 17,08360 | 17,27121 |
4,22 | -0,47273 | -0,88121 | 34,02409 | 34,00939 | 16,77568 | 16,56409 | 17,24841 | 17,44530 |
4,23 | -0,46390 | -0,88589 | 34,36589 | 34,35134 | 16,95099 | 16,73272 | 17,41490 | 17,61862 |
4,24 | -0,45501 | -0,89048 | 34,71113 | 34,69672 | 17,12806 | 16,90312 | 17,58307 | 17,79360 |
4,25 | -0,44609 | -0,89499 | 35,05984 | 35,04557 | 17,30687 | 17,07529 | 17,75297 | 17,97028 |
4,26 | -0,43712 | -0,89941 | 35,41205 | 35,39793 | 17,48746 | 17,24926 | 17,92458 | 18,14867 |
4,27 | -0,42810 | -0,90373 | 35,76781 | 35,75383 | 17,66985 | 17,42505 | 18,09795 | 18,32878 |
4,28 | -0,41904 | -0,90797 | 36,12714 | 36,11330 | 17,85405 | 17,60266 | 18,27309 | 18,51064 |
4,29 | -0,40994 | -0,91211 | 36,49009 | 36,47638 | 18,04008 | 17,78214 | 18,45002 | 18,69425 |
4,30 | -0,40080 | -0,91617 | 36,85668 | 36,84311 | 18,22794 | 17,96347 | 18,62874 | 18,87964 |
4,31 | -0,39162 | -0,92013 | 37,22696 | 37,21353 | 18,41767 | 18,14670 | 18,80929 | 19,06683 |
4,32 | -0,38240 | -0,92400 | 37,60096 | 37,58766 | 18,60928 | 18,33183 | 18,99168 | 19,25583 |
4,33 | -0,37314 | -0,92778 | 37,97873 | 37,96556 | 18,80280 | 18,51889 | 19,17594 | 19,44667 |
4,34 | -0,36384 | -0,93146 | 38,36029 | 38,34725 | 18,99823 | 18,70790 | 19,36207 | 19,63935 |
4,35 | -0,35451 | -0,93505 | 38,74568 | 38,73278 | 19,19558 | 18,89887 | 19,55010 | 19,83392 |
4,36 | -0,34514 | -0,93855 | 39,13496 | 39,12218 | 19,39491 | 19,09182 | 19,74005 | 20,03037 |
4,37 | -0,33574 | -0,94196 | 39,52814 | 39,51549 | 19,59620 | 19,28677 | 19,93194 | 20,22872 |
4,38 | -0,32630 | -0,94527 | 39,92528 | 39,91275 | 19,79949 | 19,48374 | 20,12579 | 20,42901 |
4,39 | -0,31688 | -0,94848 | 40,32641 | 40,31401 | 20,00479 | 19,68277 | 20,32162 | 20,63121 |
4,40 | -0,30733 | -0,95160 | 40,73157 | 40,71930 | 20,21212 | 19,88385 | 20,51945 | 20,83545 |
4,41 | -0,29780 | -0,95463 | 41,14081 | 41,12865 | 20,42150 | 20,08701 | 20,71931 | 21,04164 |
4,42 | -0,28824 | -0,95756 | 41,55416 | 41,54213 | 20,63296 | 20,29229 | 20,92120 | 21,24985 |
4,43 | -0,27865 | -0,96039 | 41,97167 | 41,95975 | 20,84651 | 20,49968 | 21,12516 | 21,46007 |
4,44 | -0,26903 | -0,96313 | 42,39337 | 42,38157 | 21,06217 | 20,70922 | 21,33120 | 21,67235 |
4,45 | -0,25939 | -0,96577 | 42,81931 | 42,80763 | 21,27996 | 20,92093 | 21,53935 | 21,88670 |
4,46 | -0,24972 | -0,96832 | 43,24954 | 43,23797 | 21,49991 | 21,13483 | 21,74963 | 22,10315 |
4,47 | -0,24002 | -0,97077 | 43,68409 | 43,67264 | 21,72204 | 21,35094 | 21,96236 | 22,32170 |
4,48 | -0,23030 | -0,97312 | 44,12300 | 44,11167 | 21,94635 | 21,56927 | 22,17665 | 22,54240 |
4,49 | -0,22056 | -0,97537 | 44,56633 | 44,55511 | 22,17288 | 21,78587 | 22,39345 | 22,76524 |
4,50 | -0,21080 | -0,97753 | 45,01412 | 45,00301 | 22,40166 | 22,01274 | 22,61246 | 22,99027 |
4,51 | -0,20101 | -0,97959 | 45,46641 | 45,45541 | 22,63270 | 22,23791 | 22,83371 | 23,21750 |
4,52 | -0,19120 | -0,98155 | 45,92324 | 45,91235 | 22,86602 | 22,46540 | 23,05722 | 23,44695 |
4,53 | -0,18138 | -0,98341 | 46,38467 | 46,37389 | 23,10165 | 22,69524 | 23,28303 | 23,67865 |
4,54 | -0,17154 | -0,98518 | 46,85074 | 46,84006 | 23,33965 | 22,92744 | 23,51114 | 23,91962 |
4,55 | -0,16168 | -0,98684 | 47,32149 | 47,31092 | 23,57990 | 23,16204 | 23,74159 | 24,14888 |
4,56 | -0,15180 | -0,98841 | 47,79697 | 47,78651 | 23,82259 | 23,39905 | 23,97439 | 24,38796 |
4,57 | -0,14191 | -0,98988 | 48,27723 | 48,26688 | 24,06766 | 23,63850 | 24,20957 | 24,62888 |
4,58 | -0,13200 | -0,99125 | 48,76232 | 48,75207 | 24,31766 | 23,88041 | 24,44916 | 24,87166 |
4,59 | -0,12208 | -0,99252 | 49,25229 | 49,24214 | 24,56510 | 24,12481 | 24,68719 | 25,11733 |
4,60 | -0,11215 | -0,99369 | 49,74718 | 49,73713 | 24,81752 | 24,37172 | 24,92967 | 25,36541 |
4,61 | -0,10221 | -0,99476 | 50,24705 | 50,23710 | 25,07242 | 24,62117 | 25,17463 | 25,61593 |
4,62 | -0,09226 | -0,99574 | 50,75194 | 50,74209 | 25,32984 | 24,87318 | 25,42210 | 25,86892 |
4,63 | -0,08230 | -0,99661 | 51,26191 | 51,25215 | 25,58980 | 25,12777 | 25,67210 | 26,12438 |
4,64 | -0,07233 | -0,99738 | 51,77700 | 51,76734 | 25,85233 | 25,38498 | 25,92467 | 26,38236 |
4,65 | -0,06235 | -0,99805 | 52,29727 | 52,28771 | 26,11746 | 25,64483 | 26,14981 | 26,64288 |
4,66 | -0,05237 | -0,99863 | 52,82277 | 52,81331 | 26,38520 | 25,90734 | 26,43757 | 26,90597 |
4,67 | -0,04238 | -0,99910 | 53,35356 | 53,34419 | 26,65559 | 26,17254 | 26,69797 | 27,17164 |
4,68 | -0,03238 | -0,99948 | 53,88968 | 53,88040 | 26,92865 | 26,44046 | 26,96103 | 27,43994 |
4,69 | -0,02239 | -0,99975 | 54,43118 | 54,42200 | 27,20440 | 26,71113 | 27,22678 | 27,71087 |
4,70 | -0,01239 | -0,99992 | 54,97813 | 54,96904 | 27,48287 | 26,98456 | 27,49526 | 27,98448 |
4,71 | -0,00239 | -1,00000 | 55,53058 | 55,52158 | 27,76410 | 27,26079 | 27,76799 | 28,26079 |
4,72 | 0,00761 | -0,99997 | 56,08858 | 56,07967 | 28,04810 | 27,53985 | 28,04045 | 28,53982 |
4,73 | 0,01761 | -0,99984 | 56,65219 | 56,64337 | 28,33490 | 27,82177 | 28,31729 | 28,82160 |
4,74 | 0,02761 | -0,99962 | 57,22147 | 57,21273 | 28,62454 | 28,10655 | 28,59693 | 29,10618 |
4,75 | 0,03760 | -0,99929 | 57,79647 | 57,78782 | 28,91704 | 28,39327 | 28,87944 | 29,39356 |
4,76 | 0,04759 | -0,99887 | 58,37725 | 58,36868 | 29,21242 | 28,68490 | 29,16483 | 29,68378 |
4,77 | 0,05758 | -0,99834 | 58,96386 | 58,95538 | 29,51072 | 28,97852 | 29,45314 | 29,97686 |
4,78 | 0,06756 | -0,99772 | 59,55637 | 59,54798 | 29,81197 | 29,27513 | 29,74440 | 30,27285 |
4,79 | 0,07753 | -0,99699 | 60,15484 | 60,14653 | 30,11619 | 29,57477 | 30,03855 | 30,57176 |
4,80 | 0,08750 | -0,99616 | 60,75932 | 60,75109 | 30,42341 | 29,87746 | 30,33591 | 30,87363 |
4,81 | 0,09746 | -0,99524 | 61,36988 | 61,36173 | 30,73367 | 30,18325 | 30,73367 | 31,17849 |
4,82 | 0,10740 | -0,99422 | 61,98658 | 61,97851 | 31,04699 | 30,49215 | 30,93959 | 31,48637 |
4,83 | 0,11734 | -0,99309 | 62,60947 | 62,60149 | 31,36340 | 30,80420 | 31,24607 | 31,79729 |
4,84 | 0,12726 | -0,99187 | 63,23863 | 63,23072 | 31,68295 | 31,11943 | 31,55569 | 32,11130 |
4,85 | 0,13718 | -0,99055 | 63,87411 | 63,86628 | 32,00565 | 31,43787 | 31,86847 | 32,42842 |
4,86 | 0,14708 | -0,98913 | 64,51598 | 64,50823 | 32,33153 | 31,75955 | 32,18445 | 32,74868 |
4,87 | 0,15696 | -0,98761 | 65,16430 | 65,15662 | 32,66063 | 32,08450 | 32,53670 | 33,07212 |
4,88 | 0,16683 | -0,98599 | 65,81913 | 65,81153 | 32,99298 | 32,41277 | 32,82615 | 33,39876 |
4,89 | 0,17668 | -0,98427 | 66,48055 | 66,47303 | 33,32862 | 32,74438 | 33,15194 | 33,72865 |
4,90 | 0,18651 | -0,98245 | 67,14861 | 67,14117 | 33,66756 | 33,07936 | 33,48105 | 34,06181 |
4,91 | 0,19633 | -0,98054 | 67,82339 | 67,81602 | 34,00976 | 33,41774 | 33,81353 | 34,39828 |
4,92 | 0,20612 | -0,97853 | 68,50496 | 68,49766 | 34,35554 | 33,79570 | 34,14942 | 34,73810 |
4,93 | 0,21590 | -0,97642 | 69,19337 | 69,18614 | 34,70464 | 34,10486 | 34,48879 | 35,02128 |
4,94 | 0,22565 | -0,97421 | 69,88870 | 69,88155 | 35,05718 | 34,45367 | 34,83153 | 35,42788 |
4,95 | 0,23538 | -0,97190 | 70,59102 | 70,58394 | 35,41320 | 34,80602 | 35,17782 | 35,77792 |
4,96 | 0,24509 | -0,96950 | 71,30040 | 71,29339 | 35,77275 | 35,16195 | 35,52765 | 36,13145 |
4,97 | 0,25477 | -0,96700 | 72,01692 | 72,00997 | 36,13585 | 35,52149 | 35,88107 | 36,48849 |
4,98 | 0,26443 | -0,96441 | 72,74063 | 72,73375 | 36,50253 | 35,88467 | 36,23810 | 36,84908 |
4,99 | 0,27406 | -0,96171 | 73,47161 | 73,46481 | 36,87284 | 36,25155 | 36,59878 | 37,21326 |
2.76. Для определения круговых частот собственных колебаний из матричных
уравнений (94),
(100) и
(103) необходимо произвести перемножение соответствующих матриц (за исключением матрицы-столбца
Y0) и в полученной результирующей переходной матрице удержать элементы, стоящие на пересечении тех строк, номера которых совпадают с номерами нулевых элементов матрицы
Yn и тех столбцов, номера которых совпадают с номерами не равных нулю элементов матрицы
Y0. Раскрытие определителя полученной квадратной матрицы второго порядка и приравнивание его нулю дает уравнение, корни которого будут являться искомыми круговыми частотами.
ПЕРЕМЕЩЕНИЯ И ВНУТРЕННИЕ УСИЛИЯ
2.77. Расчет элементов башенного копра на нагрузки, возникающие при различных режимах работы подъема, необходимо производить с учетом схем приложения этих нагрузок
(рис. 28). В общем случае при торможении на несущие конструкции башенного копра (перекрытие машинного зала; перекрытие, на котором расположены отклоняющие шкивы; несущие стены или каркас) действуют нагрузки, определяемые по следующим формулам:
а) перекрытие машинного зала

(105)

(106)

(107)
б) перекрытие, на котором расположены отклоняющие шкивы:

(108)
| | ИС МЕГАНОРМ: примечание. Формула дана в соответствии с официальным текстом документа. | |

(109)
в) несущие стены (каркас) копра

(110)
Примечание. Значения величин R, Rт, a, b и h1 берутся из паспорта на подъемную машину и технологического задания.
Рис. 28. Схемы воздействия нагрузок на конструкции
башенного копра
а - общая схема; б - перекрытие машинного зала
2.78. Определение амплитуд перемещений и внутренних усилий в элементах перекрытий башенного копра при воздействии периодических нагрузок (предохранительное торможение, неуравновешенность шкивов, работа электродвигателей и другого оборудования) производится согласно указаниям "
Инструкции по расчету несущих конструкций промышленных зданий и сооружений на динамические нагрузки". Величины нагрузок и усилия в ветвях головных канатов при предохранительном торможении определяются в соответствии с
пп. 2.61 и
2.77 настоящего Руководства.
Примечания. 1. Наибольшему значению нагрузок
q(
t) или
P(
t),
M(
t),

и
M'(
t) отвечает торможение груженого поднимающегося сосуда для ветви канатов, расположенной у отклоняющего шкива.
2. Частота нагрузок

,
q(
t) или
P(
t) принимается равной частоте собственных колебаний груженого сосуда на канатах.
2.79. Расчет перекрытий, несущих стен или каркаса башенного копра на воздействие импульсных нагрузок, которые возникают при внезапной задержке поднимающего сосуда в стволе шахты, производится согласно указаниям "
Инструкции по расчету перекрытий на импульсивные нагрузки". Значения импульсивных нагрузок определяются в соответствии с
пп. 2.62 и
2.77 настоящего Руководства. При этом следует рассматривать внезапную задержку ветви головных канатов, которая расположена у отклоняющего шкива, и полагать, что подъемная машина не заторможена

.
Примечание. Импульсивные нагрузки, определяемые по
формулам (106) -
(110), состоят из двух величин, первая из которых отвечает импульсу

, а вторая

. Расчет производится на одновременное действие обеих нагрузок с учетом продолжительности их действия.
2.80. При расчете несущих стен и каркаса копра на горизонтальные нагрузки
(рис. 29), возникающие при реализации предохранительного торможения, частота нагрузок принимается равной частоте собственных горизонтальных колебаний копра по основному тону

. При этом следует учитывать затухание собственных колебаний копра и колебаний сосуда на канатах. Амплитуды перемещений и внутренних усилий (изгибающих моментов и поперечных сил) для расчетных схем копров (
рис. 26,
д,
е) в виде консоли с равномерно распределенной массой (
m) и постоянной жесткостью по высоте (с учетом и без учета упругости основания) определяются по следующим формулам:

(111)

(112)

(113)
| | ИС МЕГАНОРМ: примечание. Обозначения даны в соответствии с официальным текстом документа. | |
где

,

,

,

,

- нормированные балочные функции и их производные. Значение этих функций приведено в "
Инструкции по расчету несущих конструкций промышленных зданий и сооружений на динамические нагрузки" и зависит от относительной ординаты

, отсчитываемой от заделки консоли (
рис. 26,
е) или подошвы фундамента (
рис. 26,
д);

- коэффициент, учитывающий поглощение энергии при колебаниях копра и сосуда на канатах, определяемый по графику
(рис. 30) в зависимости от отношения

, в котором

(114)

- коэффициент поглощения энергии при колебаниях сосуда на канатах, принимаемый по
табл. 28;

- коэффициент неупругого сопротивления, определяемый согласно "
Инструкции по расчету несущих конструкций промышленных зданий и сооружений на динамические нагрузки";
Pг - амплитуда горизонтальной динамической силы, величина которой определяется согласно указаниям
пп. 2.61 и
2.77; при этом длина поднимающейся ветви вычисляется по формуле

(115)
в которой G = Q + q0L;
Q - вес скипа с грузом или противовеса;
L - расстояние от оси шкива трения до петли хвостовых канатов.
Примечания: 1. Для более сложных расчетных схем копров значения амплитуд перемещений и внутренних усилий, вычисленные согласно указаниям "
Инструкции по расчету несущих конструкций промышленных зданий и сооружений на динамические нагрузки" или
п. 2.84 настоящего Руководства, следует умножать на коэффициент

.
2. Если в
формуле (115) подкоренное выражение получится отрицательным (частота

для данного подъема всегда больше частоты
pl, вычисленной с учетом погрешности ее определения), рекомендуется для определения максимальных амплитуд перемещений и внутренних усилий произвести расчет в соответствии с "
Инструкцией по расчету несущих конструкций промышленных зданий и сооружений на динамические нагрузки" без учета затухания колебаний, а также рассмотреть случай, когда

. При этом в
формулы (111) -
(113) и
(115) подставляется значение
p2, а балочные функции определяются для второго тона колебаний копра.
Рис. 29. Схема воздействия горизонтальных нагрузок
(при наличии отклоняющего шкива)
Рис. 30. График функции

Таблица 28
Значения коэффициента 
Тип каната | Диаметр, мм | ГОСТ | Коэффициент  |
25-140-1-ЖС (6 x 19 x 10С) | 25 | 2688-69 | 0,35 - 0,43 |
42-Н-107-В (6 x 36 + Мс7 x 7) | 42,0 | 7669-69 | 0,28 - 0,35 |
27,5-160-1 (6 x 30 x 10С) | 27,5 | 3085-69 | 0,3 - 0,38 |
- | 26,5 | 7669-69 | 0,3 - 0,4 |
2.81. Амплитуды перемещений и внутренних усилий для сложных расчетных схем башенных копров (различная жесткость участков копра, количество сосредоточенных масс более трех, динамические нагрузки приложены в любом сечении копра и т.п.) рекомендуется определять методом начальных параметров в матричной форме. Сущность этого метода для задач о вынужденных колебаниях заключается в том, что при действии в
i-м сечении невесомого участка стержня с сосредоточенной массой, без нее или с равномерно распределенной массой динамической силы с частотой

и амплитудой
Pi (
рис. 31,
а) зависимость между матрицами-столбцами параметров в сечениях
i-м и
i - 1 выражаются равенствами:

(116)
Yi = GiYi-1 + Ni; (117)
Yi = AiYi-1 + Ni, (118)
в которых значения
Mi и
Gi определяют из
выражений (97) и
(98), а величину
Ni находят из выражения

(119)
Рис. 31. Вынужденные горизонтальные колебания
башенных копров:
а - к решению задачи о вынужденных колебаниях
методом начальных параметров в матричной форме;
б, в - расчетные схемы копров с сосредоточенными
и распределенными параметрами
2.82. Матричное уравнение метода начальных параметров для расчетной схемы в виде консоли постоянной или переменной жесткости (
рис. 31,
б) с
n-м числом степеней свободы при воздействии любого количества динамических сил с одинаковой частотой

имеет вид:

(120)
2.83. Матричное уравнение для расчетной схемы в виде консоли с распределенной массой (
рис. 31,
в) с постоянной или переменной по высоте жесткостью и с учетом упругости основания имеет вид:

(121)
2.84. Для определения амплитуд перемещений и внутренних усилий из
уравнений (120) и
(121) необходимо произвести перемножение матриц, заменяя при этом в матрицах
Ai или
Mi при подсчете величин

или

круговую частоту собственных колебаний
p круговой частотой вынужденных колебаний

или

. Из результирующей матрицы, учитывая граничные условия, выделяются два уравнения, из которых определяются величины

и

. Зная элементы матрицы
Y0, параметры в любом сечении находятся методами строительной механики или их матричных уравнений (
рис. 31, б,
в)

(122)

(123)
Выполнить динамический расчет перекрытия машинного зала (подмашинных балок) и несущих стен башенного копра на нагрузки, возникающие при экстренных режимах работы подъема.
Данные по копру:
а) размер в плане 21 x 21 м, высота 115 м; глубина заложения подошвы фундамента от нулевой отметки 9 м;
б) материал несущих стен, перекрытий и перегородок - железобетон;
в) изгибная жесткость поперечного сечения башенного копра относительно обеих осей EJ = 4,5·109 тм2;
г) вес башенного копра на высоте 120 т/м;
д) основание - грунт с нормативным давлением 2,5 кг/см
2, для которого коэффициент упругого неравномерного сжатия

; значение

.
Данные по оборудованию:
а) подъемная машина МК 5 x 4 (безредукторная) установлена на отметке +98,5 м и опирается на две балки пролетом 9,2 м; размер опорных подшипников a = 2,57 м; расстояние между осями крепления тормозных балок c = 5,28 м; радиус тормозного шкива Rт = 2,25 м;
б) приведенная к окружности шкива трения масса всех вращающихся частей подъемной установки MR = 3,06 тс2/м;
в) подъемные канаты закрытой конструкции диаметром 40 мм, ГОСТ 10507-63, вес 1 м ветви канатов q0 = 0,036 т/м, продольная жесткость EкF = 6,45·104 т; суммарное разрывное усилие всех канатов ветви Pр = = 660 т;
г) подъемный сосуд - скип весом 22,5 т; полезный вес 35 т;
д) вес противовеса 42,4 т;
е) высота подъема 1360 м, скорость подъема v0 = 12 м/с.
Участок подъема, соответствующий равнозамедленному движению, имеет длину 80 м, расстояние от оси шкива трения до места в стволе шахты, где происходит переход от равномерного к равнозамедленному движению, равно 130 м; схема подъема изображена на
рис. 32,
а.
Рис. 32. Определение динамических усилий в ветвях
а - схема многоканатного подъема; б - расчетная схема
ОПРЕДЕЛЕНИЕ ДИНАМИЧЕСКИХ УСИЛИЙ В ВЕТВЯХ ГОЛОВНЫХ КАНАТОВ
а) Предохранительное торможение
Определяем частотный параметр

для груженой ветви при торможении поднимающего скипа на расстоянии
l1 = 130 м от оси шкива трения по
формуле (84)
Максимальные значения динамических усилий в ветвях будут равны 108 и 93,9 т [полагая в
формуле (81) 
].
б) Резкая задержка поднимающегося скипа в стволе шахты (защемление)
Расчетную схему подъема представляем так, как изображено на
рис. 32,
б. В соответствии со схемой определяем значение величин, входящих в
уравнение (86):
По формуле

определяем круговые частоты колебаний системы; находим продолжительность импульсов по первому и второму тону

и, используя выражения
п. 2.62 или
табл. 26, подсчитываем значения коэффициентов

. Полученные результаты сводим в
табл. 29.
Тон |  , 1/с |  , с | | | | | | |
1 | 2,6 | 1,21 | 0,545 | 0,520 | 0,504 | 0,480 | 187 | 177 |
2 | 9,2 | 0,34 | 0,915 | 0,415 | 0,845 | 0,383 | 312 | 142 |
3 | 13,9 | - | 0,445 | -0,125 | 0,410 | 0,115 | 152 | 42 |
4 | 21,4 | - | 0,027 | -0,064 | 0,025 | 0,059 | 9 | 22 |
| | 660 | 383 |
Так как полученная величина более суммарного разрывного усилия канатов ветви (
Pр = 660 т), то скорректируем коэффициенты

, используя выражение
В
табл. 29 приведены максимальные динамические усилия в обеих ветвях, которые можно рассматривать как статические эквиваленты динамических нагрузок при предварительном назначении сечений несущих конструкций копра.
В соответствии с указаниями
п. 2.62 динамические усилия в обеих ветвях канатов представляем в виде двух однократных импульсов синусоидальной формы.
Величины импульсов подсчитываем по
формуле (85). Защемленная ветвь:
Аналогично, вычисляя значения импульсов для опускающейся ветви, имеем
ОПРЕДЕЛЕНИЕ ДИНАМИЧЕСКИХ НАГРУЗОК, ВОЗДЕЙСТВУЮЩИХ НА КОНСТРУКЦИИ КОПРА
а) Предохранительное торможение
Перекрытие машинного зала
P(t) = 108·cos15° + 93,9 = 198 т.
Перекрытие под отклоняющие шкивы:
Башня копра
Pг = 108·0,259 = 28 т.
б) Защемление
При определении импульсивных нагрузок учитываем коэффициент сочетания 0,8 в соответствии с
п. 2.64. Величину импульсивных нагрузок определяем по выражениям, аналогичным
формулам (106) -
(110).
Перекрытие машинного зала:
Перекрытие под отклоняющие шкивы:
Башня копра:
На
рис. 33 показаны схемы воздействия динамических нагрузок на элементы копра. Нагрузки на перекрытие машинного зала, указанные на
рис. 33,
а, воздействуют на две подмашинные балки.
Рис. 33. Схемы воздействия нагрузок на конструкции копра
а - перекрытие машинного зала;
б - перекрытие под отклоняющие шкивы;
в - башня копра (несущие стены)
ОПРЕДЕЛЕНИЕ ЧАСТОТ СОБСТВЕННЫХ ГОРИЗОНТАЛЬНЫХ КОЛЕБАНИЙ КОПРА
По графику
(рис. 27) находим значения

, а по
формуле (89) - круговые частоты собственных колебаний. Имеем:
p2 = 24,5 1/сек; p3 = 70 1/сек; p4 = 139 1/сек;
p5 = 234 1/сек.
ОПРЕДЕЛЕНИЕ ПЕРЕМЕЩЕНИЙ И ВНУТРЕННИХ УСИЛИЙ
Подмашинные балки и балки под отклоняющие шкивы следует рассчитывать на воздействие нагрузок, возникающих при предохранительном торможении, согласно "
Инструкции по расчету несущих конструкций промышленных зданий и сооружений на динамические нагрузки". Расчет следует производить на периодическое воздействие (частота

) нагрузок, указанных на
рис. 33.
Расчет балок перекрытий и несущих стен копра на нагрузки, возникающие при защемлении поднимающего скипа в стволе шахты, следует производить согласно "Инструкции по расчету перекрытий на импульсные нагрузки". Действующий на перекрытия импульсивный момент рекомендуется заменить парой сил с плечом, равным длине опоры корпуса подшипников под подъемную машину или отклоняющий шкив.
В соответствии с
п. 2.80 определим изгибающий момент в сечении копра на отметке 0,00 м при воздействии горизонтальных нагрузок (
рис. 33,
в). Полагаем, что частота колебаний груженого скипа на канатах равна частоте собственных колебаний (основной тон) копра, т.е.

. Это соответствует длине ветви порядка 460 м [
формула (115)].
Ввиду того, что для каната рассматриваемого подъема отсутствуют экспериментальные данные по характеристике затухания, примем значение

, которое близко по величине к коэффициенту поглощения энергии для сплошного металлического стержня.
Находим отношение

, а по графику
(рис. 30) - значение

.
По таблицам находим значения

,

и

X1(0,86) = 1,59;
X1(0,7) = 1,19;

3. РАСЧЕТ ОСНОВАНИЙ БАШЕННЫХ КОПРОВ
3.1. Расчет оснований башенных копров следует производить по главе
СНиП "Основания зданий и сооружений. Нормы проектирования".
3.2. Нормативные характеристики грунтов необходимо определять по данным инженерно-геологических изысканий и исследований.
ВЫБОР ГЛУБИНЫ ЗАЛОЖЕНИЯ ФУНДАМЕНТА
3.3. Глубина заложения фундамента определяется по главе
СНиП "Основания зданий и сооружений. Нормы проектирования". Кроме того, дополнительно следует учитывать:
а) конструкцию примыкающих вентиляционных и других каналов;
б) наличие шейки ствола;
в) методы и последовательность производства работ по устройству шейки ствола фундаментов башенного копра и других примыкающих к нему подземных сооружений.
3.4. Минимальная глубина заложения подошвы фундамента в скальных грунтах может быть равна толщине выветрившегося слоя, но не менее 80 см.
ОПРЕДЕЛЕНИЕ РАЗМЕРОВ ПОДОШВЫ ФУНДАМЕНТА В ПЛАНЕ
3.5. Размеры подошвы фундамента в плане определяются по нормативным нагрузкам, действующим на фундамент, и по нормативному давлению на грунт.
ОПРЕДЕЛЕНИЕ НОРМАТИВНОГО ДАВЛЕНИЯ НА ГРУНТ
3.6. Нормативное давление на грунт определяется в соответствии с намеченными размерами подошвы фундамента и глубиной его заложения по формуле

(124)
где

- осредненный объемный вес грунта, залегающего выше подошвы фундамента;
Cн - нормативное удельное сцепление грунта, залегающего непосредственно под подошвой фундамента;
b - меньшая наружная сторона подошвы фундамента в форме прямоугольника с прямоугольным вырезом;
h - глубина заложения фундамента;
A,
B,
D - безразмерные коэффициенты, принимаемые по
табл. 30, в зависимости от

;

- нормативный угол внутреннего трения грунта, залегающего непосредственно под подошвой фундамента.
Таблица 30
| | ИС МЕГАНОРМ: примечание. Обозначения даны в соответствии с официальным текстом документа. | |
Значения коэффициентов A, B и Д
 , град | Прямоугольник | Круг |
A | B | Д | A | B | Д |
0 | 0 | 1 | 3,14 | 0 | 1 | 3,37 |
2 | 0,03 | 1,12 | 3,22 | 0,03 | 1,12 | 3,56 |
4 | 0,06 | 1,25 | 3,51 | 0,06 | 1,26 | 3,77 |
6 | 0,1 | 1,39 | 3,71 | 0,1 | 1,42 | 4 |
8 | 0,14 | 1,55 | 3,93 | 0,15 | 1,6 | 4,25 |
10 | 0,18 | 1,73 | 4,17 | 0,2 | 1,8 | 4,51 |
12 | 0,23 | 1,94 | 4,42 | 0,26 | 2,02 | 4,81 |
14 | 0,29 | 2,17 | 4,69 | 0,32 | 2,28 | 5,12 |
16 | 0,36 | 2,43 | 5 | 0,39 | 2,56 | 5,46 |
18 | 0,43 | 2,72 | 5,31 | 0,47 | 2,9 | 5,84 |
20 | 0,51 | 3,06 | 5,66 | 0,57 | 3,28 | 6,25 |
22 | 0,61 | 3,44 | 6,04 | 0,68 | 3,71 | 6,71 |
24 | 0,72 | 3,87 | 6,45 | 0,8 | 4,21 | 7,2 |
26 | 0,84 | 4,37 | 6,9 | 0,94 | 4,78 | 7,75 |
28 | 0,98 | 4,93 | 7,4 | 1,11 | 5,45 | 8,36 |
30 | 1,15 | 5,59 | 7,95 | 1,3 | 6,2 | 9 |
32 | 1,34 | 6,35 | 8,55 | 1,55 | 7,19 | 9,8 |
34 | 1,55 | 7,21 | 9,21 | 1,79 | 8,18 | 10,64 |
36 | 1,81 | 8,25 | 9,98 | 2,11 | 9,43 | 11,61 |
38 | 2,11 | 9,44 | 10,8 | 2,5 | 10,98 | 12,78 |
40 | 2,46 | 10,84 | 11,73 | 2,93 | 12,7 | 13,95 |
42 | 2,87 | 12,5 | 12,77 | 3,46 | 14,86 | 15,39 |
44 | 3,37 | 14,48 | 13,96 | 4,11 | 17,7 | 17,04 |
45 | 3,66 | 15,64 | 14,64 | 4,49 | 18,96 | 17,96 |
3.7. Для фундамента с подошвой в форме кольца или правильного многоугольника с круглым вырезом принимают значения

, где
F - площадь подошвы данной формы, определяемая наружными размерами без учета выреза.
ОПРЕДЕЛЕНИЕ КРЕНА БАШЕННОГО КОПРА
3.8. Крен башенного копра

следует определять по формуле
| | ИС МЕГАНОРМ: примечание. Формула дана в соответствии с официальным текстом документа. | |

(125)
где iп - наклон основания от неравномерных просадок в результате горных выработок, принимаемый равным наклону поверхности на участке сооружения (определяется согласно маркшейдерскому расчету);
i2, iG, ie - наклоны копра и его фундамента от моментных нагрузок.
| | ИС МЕГАНОРМ: примечание. Текст дан в соответствии с официальным текстом документа. | |
3.9. Моментные нагрузки от горизонтальных сил M2, от эксцентрично приложенных вертикальных сил Me и от отклонения центра тяжести копра при его наклоне MG определяются по формулам:
| | ИС МЕГАНОРМ: примечание. Формула дана в соответствии с официальным текстом документа. | |
Mг = Th2; (126)
Me = Ge; (127)

(128)
где T - равнодействующая нормативных горизонтальных нагрузок;
hг - расстояние от силы T до подошвы фундамента;
G - равнодействующая нормативных вертикальных нагрузок;
e - эксцентриситет приложения равнодействующей G;
hс - расстояние от центра тяжести массы башни до подошвы фундамента.
3.10. Суммарная моментная нагрузка M, передаваемая на основание, определяется по формуле:
3.11. Наклоны
iг,
ie и
iG в зависимости от формы фундамента определяются по формулам:
а) при кольцевом фундаменте:

(130)

(131)

(132)
б) при прямоугольном фундаменте с прямоугольным вырезом, симметричным относительно центральных осей:

(133)

(134)

(135)
3.12. Коэффициент сжатия грунта основания C в зависимости от формы фундамента определяется по формулам:
а) при кольцевом фундаменте

(136)
б) при прямоугольном фундаменте

(137)
E и

- модуль деформации и коэффициент Пуассона грунта;
r - радиус наружного кольца фундамента;
L - наружная сторона прямоугольного фундамента с вырезом, в направлении которой действует моментная нагрузка;
B - наружная сторона прямоугольного фундамента с вырезом, перпендикулярная стороне L;
W - безразмерный коэффициент, определяемый по
табл. 31;
r1 - радиус внутреннего кольца фундамента;

- отношение внутреннего радиуса кольца к наружному или отношение стороны выреза
L' к длине, параллельной ей стороне
L (рис. 34);

- отношение стороны выреза
B' к параллельной ей стороне
B (рис. 34);
A' - безразмерный коэффициент, определяемый по номограммам (
рис. 35 и
36), в зависимости от формы фундамента и выреза, а также отношения модуля упругости к модулю общей деформации грунта, обозначенного
k;
n - коэффициент формы подошвы фундамента, определяемый по
табл. 32, в зависимости от отношения размеров наружных сторон.
| 0,00 | 0,04 | 0,16 | 0,36 | 0,64 | 1,0 |
W | 0,50 | 0,53 | 0,53 | 0,53 | 0,55 | |
Рис. 34. Планы фундаментов различных форм
Рис. 35. Номограмма для определения безразмерных
коэффициентов t и A' при кольцевом фундаменте
Рис. 36. Номограмма для определения безразмерных
коэффициентов t и A' при прямоугольном фундаменте с вырезом
Рис. 37. Планы фундаментов в виде отдельных опор
а - фундамент из двух опор; б, в - фундаменты из трех опор
Рис. 38. Номограмма для определения коэффициентов
t и
A'
по известным значениям
k и

для фундаментов
в виде двух прямоугольных опор
3.14. При наличии нескольких рядов опор, параллельных действию момента, величина последнего распределяется между рядами поровну
(рис. 37).
3.15. При действии моментной нагрузки под произвольным углом к центральной оси прямоугольных фундаментов общий крен башенного копра следует определять в двух взаимно перпендикулярных направлениях от моментных нагрузок, полученных путем разложения общей моментной нагрузки по направлениям расчетных осей.
3.16. Указания
пп. 3.13 и
3.14 относятся лишь к фундаментам, в которых расстояние между отдельными опорами более чем в два раза превышает ширину этих опор.
3.17. При фундаменте в виде трех опор, расположенных на расстоянии, более чем в 2,5 раза превышающем ширину опоры (
рис. 37,
б), крен башенного копра следует определять в направлении действия одной опоры по формуле

(138)
где
A' и
t определяются по номограмме
(рис. 39);

(139)

(140)
Рис. 39. Номограмма для определения коэффициентов
t и
A
в зависимости от

для фундамента в виде трех опор
при моментной нагрузке в направлении одной опоры (I вариант)
3.18. Если моментная нагрузка действует в направлении двух опор (
рис. 37,
в), крен башенного копра следует определять по формуле

(141)
где
A' и
t определяются по номограмме
(рис. 40), а значения

и

- и согласно
п. 3.17.
Рис. 40. Номограмма для определения
t и
A' в зависимости
от

для фундамента в виде трех опор при моментной нагрузке
в направлении двух опор (II вариант)
3.19. Значения нормативного давления на грунт и коэффициента сжатия грунта основания при фундаментах в виде отдельных опор следует определять соответственно по
формулам (124) и
(137), как для одной опоры.
ОПРЕДЕЛЕНИЕ ДЕФОРМАЦИОННЫХ ХАРАКТЕРИСТИК ОСНОВАНИЯ
3.20. Модуль деформации грунта определяется при лабораторных испытаниях по формуле

(142)
где

- коэффициент пористости грунта до сжатия;
a - коэффициент уплотнения;

- коэффициент Пуассона грунта, принимаемый по
табл. 33.
Таблица 33
Значения коэффициента Пуассона 
для различных видов грунтов
Грунты | Пески | Суглинки | Супеси | Глина |
| 0,27 | 0,35 | 0,30 | 0,42 |
3.21. Модуль упругости грунта определяется по формуле

(143)
где aн - коэффициент набухания, определяемый по ветви разгрузки компрессионной кривой при лабораторных испытаниях грунта.
3.22. Определенные по лабораторным испытаниям E и Eу могут быть использованы на стадии предварительных расчетов.
3.23. При полевых испытаниях грунтов круглыми штампами модуль деформации можно определять по формуле

(144)
где S - полная осадка штампа при средней нагрузке на него;
D - диаметр круглого штампа.
Определение модуля упругости грунта производится также по
формуле (144), но вместо
S подставляется значение упругой деформации, получающейся после сброса нагрузки со штампа. Значение средней нагрузки при этом соответствует давлению, с которого начался сброс нагрузки.
3.24. При многослойном основании средние значения E и Eу для отдельного сечения в пределах сжимаемой толщи могут быть найдены по формулам:

(145)

(146)
где Ei и Eуi - соответственно модули деформации и упругости отдельных слоев грунта основания;
hi - мощность отдельных слоев грунта.
ОПРЕДЕЛЕНИЕ ОСАДКИ БАШЕННОГО КОПРА
3.25. Осадку башенного копра следует определять по формуле
S = SG + Sм + Sи, (147)
где SG, Sм, Sи - осадка фундамента соответственно от вертикальных нагрузок на основание, от моментных нагрузок и от искривления основания при подработке.
3.26. Величина SG в зависимости от формы фундамента определяется по формулам:
а) при кольцевом фундаменте

(148)
б) при прямоугольном фундаменте

(149)
где

- среднее давление на основание, равное частному от деления вертикальных нормативных нагрузок на площадь подошвы фундамента.
3.27. Для башенного копра с фундаментами в виде отдельных равновеликих прямоугольных опор величина SG определяется, как для одной опоры со средним усилием на нее, равным частному от деления общей вертикальной силы на число опор.
3.28. Величина Sм, в зависимости от формы фундамента, определяется по формулам:
а) при кольцевом фундаменте

(150)
б) при прямоугольном фундаменте

(151)
Значение безразмерного коэффициента
t определяется по номограммам (см.
рис. 35,
36) в зависимости от формы фундамента и отношения модуля упругости к модулю деформации
k.
3.29. Для фундамента в виде четного числа отдельных опор величина
Sм определяется по
формуле (151), при этом
t находится по номограмме
(рис. 38).
3.30. При трехопорном фундаменте осадка Sм определяется по формуле

(152)
где
t находится в зависимости от величины
k по номограммам (
рис. 39 и
40) при направлении действия моментной нагрузки в сторону одной или двух опор соответственно.
3.31. Осадка Sи от искривления основания по радиусу в зависимости от формы фундамента, определяется по формулам:
а) при кольцевом фундаменте

(153)
б) при прямоугольном фундаменте

(154)
где

- расчетная осадка поверхности под центром фундамента от горных выработок.
Рис. 41. Схема эпюр отпора основания при его перегибе
а - от веса сооружений и искривления основания;
б - от моментной нагрузки; в - суммарная эпюра отпора
Рис. 42. Схемы эпюр отпора основания при его прогибе
а - от веса сооружения и искривления основания;
б - от моментной нагрузки; в - суммарная эпюра отпора
3.32. Для фундамента в виде четного числа отдельных опор величина
Sи определяется по
формуле (154) со знаком плюс
(рис. 41).
3.33. Расчетные осадки и крены башенных копров не должны превышать предельных значений, обусловленных главой
СНиП "Основания зданий и сооружений. Нормы проектирования". При условии ненарушения работы механизмов подъема предельная осадка башенного копра может быть принята равной 30 см, а предельный крен сооружения может быть принят равным 0,004.
3.34. При многослойном основании с несогласным залеганием пластов осадку и крен башенного копра следует определять методом послойного суммирования по главе
СНиП "Основания зданий и сооружений. Нормы проектирования" путем нахождения осадок точек краев фундамента, лежащих на центральной оси. Тогда разность осадок в краевых сечениях, отнесенная к расстоянию между сечениями, даст крен башенного копра, а полусумма осадок - среднюю осадку центра башенного копра.
Построение эпюр природных давлений, определение границы сжимаемой толщи грунта и осадки (в намеченных сечениях) производится по общим правилам, изложенным в нормативной литературе и главе
СНиП "Основания зданий и сооружений. Нормы проектирования".
Максимальные значения ординат эпюр дополнительных давлений по отпору грунта в рассматриваемых сечениях определяются с учетом момента, действующего в плоскости подошвы фундамента.
ОПРЕДЕЛЕНИЕ ОТПОРА ГРУНТА ОСНОВАНИЯ
3.35. Давление на основание следует определять по формуле
P = PG + Pм + Pи, (155)
где PG - среднее давление на основание, равное частному от деления суммы вертикальных сил на площадь подошвы фундамента;
Pм - часть давления, вызываемая только моментными нагрузками;
Pи - часть давления, возникающая от искривления основания при подработке.
3.36. Краевые давления

и

от моментной нагрузки, в зависимости от формы фундамента, определяются по формулам:
а) при кольцевом фундаменте:

(156)

(157)
б) при прямоугольном фундаменте:

(158)

(159)
где M - моментная нагрузка.
3.37. Расстояние

от оси фундамента до точки с нулевым значением (в направлении
P2), в зависимости от формы фундамента, определяется по формулам:
а) при кольцевом фундаменте

(160)
б) при прямоугольном фундаменте

(161)
3.38. При фундаменте с четным числом опор давления на основание определяются по
формулам (156) -
(159), в которых значение моментной нагрузки
M уменьшается во столько раз, сколько рядов отдельных опор располагается в направлении действия момента. Значения
t и
A' определяются по номограмме
(рис. 38).
3.39. Для трехопорного фундамента
(рис. 37), в зависимости от направления действия моментной нагрузки, краевые давления на основание определяются по формулам:
а) при моментной нагрузке, действующей в сторону одной опоры:

(162)

(163)
где
A' и
t определяются по номограмме
(рис. 39);
б) при моментной нагрузке, действующей в сторону двух опор:

(164)

(165)
3.40. Нулевые давления от моментной нагрузки находятся на расстоянии

от центра тяжести площадей трех опор в направлении
P2.
3.41. При искривлении основания в результате горных выработок по радиусу R давления на основание, в зависимости от формы фундамента, определяются по формулам:
а) при кольцевом фундаменте

(166)
б) при прямоугольном фундаменте

(167)
где y - текущая координата при расположении начала координат в центре основания.
3.42. Приведенные выше расчетные зависимости справедливы при условии
0 <= P <= 1,2Rн. (168)
3.43. При отсутствии значений модуля упругости грунта основания допускается принимать его значение равным модулю общей деформации.
При этом значение
C, найденное по
формулам (136) и
(137), следует умножить на коэффициент 1,7, а значение
A', в зависимости от формы фундамента, надлежит определять по формулам:
а) при кольцевом фундаменте

(169)
б) при прямоугольном фундаменте

(170)
4. РАСЧЕТ ТЕПЛОПОТЕРЬ ПОМЕЩЕНИЙ БАШЕННЫХ КОПРОВ
4.1. Расчет теплопотерь помещений башенного копра следует производить по главе СНиП "Отопление, вентиляция и кондиционирование воздуха" с учетом добавочных теплопотерь за счет инфильтрации наружного воздуха, вызванной общешахтной и ветровой депрессией, а также гравитационным давлением.
4.2. Суммарные теплопотери следует определять по формуле
Qс = Qосн + Qд + (Kд.о + Kд.с)F(tв - tн), (171)
где Qс - суммарные теплопотери, ккал/ч;
Qосн - основные теплопотери помещений через ограждения, определяемые по главе СНиП "Отопление, вентиляция и кондиционирование воздуха";
Qд - добавочные теплопотери через ограждения, величины которых следует принимать в соответствии с указаниями главы СНиП "Отопление, вентиляция и кондиционирование воздуха";
Kд.о - добавочные теплопотери за счет инфильтрации наружного воздуха через окна наветренной стороны;
Kд.с - добавочные теплопотери за счет инфильтрации наружного воздуха через стены;
F - площадь поверхности ограждения, м2;
tв - расчетная температура внутреннего воздуха помещения, град;
tн - расчетная температура наружного воздуха для холодного периода, соответствующая расчетным параметрам Б, град.
4.3. Для копров с монолитными железобетонными стенами при наличии депрессии во внутренней шахте добавки к теплопотерям на инфильтрацию наружного воздуха через окна рекомендуется определять по следующим формулам (для 250 <= h <= 400 мм вод. ст.):
а) для климатических условий Донбасса
Kд.о = 0,022h + 14,7 - 0,867·10-4hH -
- 0,094H ккал/м2·ч·град; (172)
б) для климатических условий Воркуты
Kд.о = 18,67 + 0,0133h - 0,15H ккал/м2·ч·град, (173)
где h - депрессия во внутренней шахте копра, мм вод. ст.;
H - уровень окон по высоте здания, м.
4.4. Добавочные теплопотери за счет инфильтрации наружного воздуха через стены башенных копров следует определять по формуле
Kд.с = AQосн. (174)
При отсутствии окон в подмашинной части копра A = 15%, при наличии окон по высоте копра A = 2,5%.
4.5. Для уменьшения теплопотерь помещений при проектировании башенных копров рекомендуется предусматривать специальные меры по уплотнению оконных и дверных проемов, а также между стеновыми панелями.
Программа "Ползучесть" предназначена для расчета напряжений в бетоне и арматуре сжатого железобетонного элемента, загружаемого в произвольном режиме, в основном - для монолитных железобетонных сооружений.
Расчет выполняется с учетом старения, ползучести и усадки бетона и температурных деформаций бетона и арматуры. Расчет может относиться как к средним по сечению напряжениям, так и к напряжениям в каком-либо элементе сечения с заданной нагрузкой на элемент.
В программе использовано решение интегрального уравнения совместности деформаций упругой арматуры и упругоползучего стареющего бетона (уравнение Вольтерра второго рода) методом конечных сумм (Боголюбова - Крылова).
Наибольшая погрешность на всем обсчитываемом интервале +/- 1%.
Исходные данные:
длительность загружения;
расчетное сопротивление и модуль упругости арматуры;
коэффициент армирования элемента;
начальный модуль упругости бетона и параметры функций, описывающих изменение модуля упругости и удельных деформаций ползучести

в форме, предложенной С.В. Александровским;
массив значений удельной (на единицу площади сечения) нагрузки на элемент;
массив значений деформаций усадки.
Программа выводит на печать исходные данные, а также результаты счета: срок с момента начала загружения, текущие напряжения в бетоне и арматуре.
На подготовку исходной информации, в зависимости от длительности режима загружения, необходимо от 0,5 до 3 ч. Машинное время
T = 5 + 0,003(
N2 +
N), где
N - количество шагов интегрирования. Результаты готовы для использования
(рис. 43).
Рис. 43. Блок-схема программы "Ползучесть"
Программа составлена на алголе (входной язык транслятора "МЭИ-3" для ЭВМ "Минск-22"). Использованы лишь стандартные программы математического обеспечения транслятора.
Программа самовосстанавливающаяся.
Исходная информация сохраняется.
1. ПОСТАНОВКА ЗАДАЧИ
В процессе длительного загружения сжатого железобетонного элемента к каждому моменту времени устанавливается определенное распределение внутренних усилий между арматурой и бетоном, обусловленное как режимом загружения, так и деформативными свойствами бетона и арматуры и протекающими в них процессами ("силовое" и температурное деформирование бетона и арматуры, старение, ползучесть и усадка бетона). Для прогноза дальнейшего поведения элемента, расчета его трещиностойкости при последующем загружении (например, изгибающим моментом) необходимо рассчитывать это распределение.
Расчет напряжений в бетоне сводится к решению интегрального уравнения (типа Вольтера второго рода), описывающего совместное деформирование бетона и арматуры, напряжения в которых находятся в равновесии с усилием в сечении:

(1)
где

- удельная осевая относительная деформация бетона, см
2/кг;

- коэффициент армирования

, безразмерный;
Eа - модуль упругости арматуры, кг/см2;
p(t) - удельная (на единицу площади поперечного сечения элемента) нормальная нагрузка в момент времени t, кг/см2;

- напряжения в бетоне в момент времени

, кг/см
2;
t - возраст бетона к моменту, для которого определяются напряжения, сутки;

- текущий возраст бетона в процессе загружения в интервале времени

, сутки;

- возраст бетона к началу процесса загружения;

,

- температурные деформации бетона и арматуры соответственно;

- деформации усадки бетона.
Напряжения в арматуре определяются из условия равновесия сечения элемента:

(2)
Для определения

используется выражение:

(3)
где

- начальный модуль упругости бетона в возрасте

, определенный по формуле, предложенной Н.Х. Арутюняном;

;
E0 - начальный модуль упругости "зрелого" бетона;

и

- параметры, являющиеся исходными данными задачи;

- функция удельных деформаций ползучести бетона, принимаемая по предложению С.В. Александровского в виде:

(4)
b1n,
v1n,

,
A,

- параметры, являющиеся исходными данными задачи,
A - безразмерный, остальные имеют размерность (сутки)
-1.
Исходными данными являются срок загружения, модуль упругости и расчетное сопротивление арматуры, начальный модуль упругости "зрелого" бетона, параметры функций роста модуля упругости бетона и удельных деформаций ползучести, коэффициент армирования, массив значений относительных деформаций усадки бетона в различные (текущие) сроки, массив значений удельной нагрузки на единицу площади поперечного сечения элемента в те же сроки.
Результаты расчета - напряжения в бетоне и арматуре в различные сроки загружения.
2. ЧИСЛЕННЫЙ МЕТОД И ХАРАКТЕРИСТИКА АЛГОРИТМА
Для определения напряжений в бетоне в процессе загружения в программе используется решение интегрального
уравнения (1) методом конечных сумм (Боголюбова - Крылова). Программа на каждом шаге определения

вычисляет ядро
уравнения (1) и определяет новое значение

с заданным шагом по
t. На каждом шаге после определения

определяется

по
формуле (2).
Точность расчета и время решения задачи определяются разбиением интервала загружения на конечные участки при решении
уравнения (1) методом конечных сумм.
Достаточная при практических расчетах точность достигается при разбиении начального отрезка в 30 сут на участки по 1 суткам, остальной части интервала - по 20 - 30 суток.
Расчет полностью автоматизирован.
3. АЛГОРИТМ
Вычислительная схема
Вычисления выполняются в два этапа:
первый - вычисление приращения напряжений в бетоне;
второй - вычисление напряжений в бетоне и арматуре.
На каждом шаге работают процедуры вычисления ядра и нагрузочного члена.
ВЫЧИСЛЕНИЕ ПРИРАЩЕНИЙ НАПРЯЖЕНИЙ В БЕТОНЕ

(1)
где j - номер шага по возрасту наблюдения;

- приращение напряжений в бетоне при
j-м приращении времени наблюдения;
fj - нагрузочный член к возрасту наблюдения после его j-го приращения, вычисляемой процедурой.
где p(t) - удельная нагрузка на единицу площади поперечного сечения элемента в момент времени t;

- коэффициент армирования;
Eа - модуль упругости арматуры;

- свободные (температурно-влажностные) деформации бетона в момент времени
t;
t - время наблюдения после j-го приращения
где

- приращения напряжений в бетоне, на
i-м шаге загружения, вычисленные на предыдущих шагах "наблюдения" по
формуле (1):
где E0 - начальный модуль упругости "зрелого" бетона;

,

,

,
A,

- числовые параметры, задаваемые в исходных данных;

- текущий возраст бетона к моменту реализации очередного шага загружения;
t - возраст бетона к моменту, для которого определяется напряжение.
где bin, vjn - числовые параметры, задаваемые в исходных данных, v20 = 0.
ВЫЧИСЛЕНИЕ НАПРЯЖЕНИЙ В БЕТОНЕ И АРМАТУРЕ

(2)

(3)
Для случаев, когда

, где
Rа - расчетное (или нормативное, по выбору проектировщика) сопротивление арматуры при
j >
m:

(4)
4. ИНСТРУКЦИЯ
ЗАДАНИЕ НА РАСЧЕТ
Исходные данные заносятся в стандартный бланк согласно указанным в его строках обозначениям.
Все исходные данные записываются в кг/см2·сут. Массив исходных данных:
N - длительность процесса загружения;
Eа - модуль упругости арматуры;
Rа - расчетное (или нормативное, по выбору проектировщика) сопротивление арматуры;
E0 - конечное значение начального модуля упругости бетона;

,

,
A,
b20,
b21,
b22,
b23,
b11,
b12,
b13 - параметры реологических функций бетона [по
формуле (4) раздела 1];

- коэффициент армирования;
b10,
v21,
v22,
v23,
v11,
v12,
v13,

,

- параметры реологических функций бетона [по
формуле (4) раздела 1];

- мерный массив значений свободных температурно-влажностных деформаций бетона с шагом в 1 сут.;
p-N - мерный массив значений удельной нагрузки на единицу площади сечения с шагом в 1 сут.
ПОДГОТОВКА ИСХОДНОЙ ИНФОРМАЦИИ
Кодировка исходных данных осуществляется в соответствии с требованиями Инструкции по "МЭИ-3". Ввод осуществляется транслированной программой с перфоленты.
РАБОТА ЗА ПУЛЬТОМ
Специальных операций за пультом не предусмотрено.
ОБРАБОТКА РЕЗУЛЬТАТОВ
Программа выводит на печать исходные данные и результаты счета. Последние выводятся в следующем порядке:
срок с момента начала загружения;
текущее значение напряжения в бетоне;
текущее значение напряжения в арматуре.
Бланк
для записи исходных данных
a1 | N | |
a2 | Eа | |
a3 | Rа | |
a4 | E0 | |
a5 | | |
a6 | | |
a7 | A | |
a8 | b20 | |
a9 | b21 | |
a10 | b22 | |
a11 | b23 | |
a12 | b11 | |
a13 | b12 | |
a14 | b13 | |
a15 | | |
a16 | b10 | |
a17 | V21 | |
a18 | V22 | |
a19 | V23 | |
a20 | V11 | |
a21 | V12 | |
a22 | V13 | |
a23 | | |
a24 | | |
a25 | | |
| | |
| | |
a24+N | | |
a25+N | P1 | |
| | |
| | |
a24+2N | PN | |
ПРОГРАММА "ПОЛЗУЧЕСТЬ" ДЛЯ ЭЦВМ "МИНСК-22"
Транслятор МЭИ-3
ПРОГРАММА "ПРЕДЕЛ"
Программа "Предел" предназначена для вычисления нормальной силы и изгибающего момента в сечении железобетонного элемента произвольной конфигурации и произвольного армирования (железобетонного башенного сооружения) при различных плоских эпюрах

, построения области их допустимых значений и исследования жесткости сечения.
В программе использован один из методов приближенного вычисления определенных интегралов - метод прямоугольников.
Точность метода определяется количеством участков, на которые разбивается интервал интегрирования; оно задается с исходными данными.
Исходными данными являются:
число участков, на которые разбивается сечение при интегрировании;
число значений удлинений краевых волокон при переборе эпюр

;
прочностные и деформативные характеристики бетона и арматуры;
площади, коэффициенты армирования и координаты центров тяжести участков, на которые разбито сечение;
напряжения в бетоне и арматуре и их деформации на этих участках от предшествующих загружений.
На печать выводятся исходные данные в результаты счета для каждого варианта эпюры

:
деформации краевых волокон;
нормальная сила и изгибающий момент в сечении (относительно его левой грани).
Программа автоматически перебирает заданное число значений деформаций краевых волокон. Граница области допустимых значений нормальной силы и момента определяется теми их значениями, которые соответствуют предельным величинам деформаций краевых волокон.
Машинное время
t = 30 + 0,16j2i с,
где i - число участков в сечении;
j - число перебираемых значений деформаций краевого волокна.
Время подготовки информации - 0,2 - 1 ч, в зависимости от i и конфигурации сечения.
Исходная информация сохраняется.
Блок-схема программы "Предел" приведена на
рис. 44.
Рис. 44. Блок-схема программы "Предел"
1. ПОСТАНОВКА ЗАДАЧИ
Проверка прочности и определение жесткости произвольного внецентренно сжатого железобетонного сечения могут быть выполнены расчетом нормальной силы и изгибающего момента при различных заданных эпюрах

. По принятой зависимости

вычисляются при любой заданной эпюре

напряжения в бетоне и арматуре любой точки сечения и затем выполняется их интегрирование по всей площади сечения (для определения нормальной силы) и интегрирование их произведения на расстояние до левой грани сечения (для определения момента относительно левой грани):

(1)

(2)
где N - нормальная сила в сечении;
M - изгибающий момент в сечении (относительно его левой грани);

,

- напряжения в бетоне и арматуре, связанные принятыми зависимостями с деформацией

, распределение которой по сечению автоматически варьируется программой;
dF - текущий элемент площади;
r - расстояние от левой грани сечения до текущего элемента.
Интегрирование выполняется численно, методом прямоугольников (в пределах элемента

,

,

и

принимаются постоянными).
Исходные данные задачи - число участков сечения, число значений деформаций краевого волокна, прочностные и деформативные характеристики бетона и арматуры, площади армирования и координаты участков сечения, напряжения и деформации от предшествующих загружений.
Результаты - нормальные силы и моменты относительно левой грани сечения при заданных значениях деформаций краевых волокон.
2. ЧИСЛЕННЫЙ МЕТОД И ХАРАКТЕРИСТИКА АЛГОРИТМА
Интегралы по
формулам (1) и
(2) определяются методом прямоугольников. Напряжения

и

вычисляются для точек, соответствующих центрам тяжести участков сечения, по принятым зависимостям

с учетом напряжений и деформаций от предшествующих загружений. Эпюра

задается значениями деформаций краевых волокон. Программа организует перебор этих значений от предельной деформации растяжения арматуры до предельной деформации сжатия бетона. Учитывается работа бетона только при сжатии. В результате каждой паре краевых деформаций сопоставляются соответствующие силы и момент.
Точность расчета определяется количеством участков, на которые разбивается сечение. Рекомендуется принимать это количество равным 10 - 20, в зависимости от сложности конфигурации сечения.
Программа может быть улучшена путем учета нелинейности эпюры

.
3. АЛГОРИТМ
Вычислительная схема

(1)
где

- деформация арматуры в момент перехода в пластическую стадию;
Rа - расчетное сопротивление арматуры;
Eа - модуль упругости арматуры.

(2)
где a - числовой параметр;

- коэффициент пластичности бетона при разрушении;
Rпр - призменная прочность бетона.
b = aE0, (3)
где b - числовой параметр;
E0 - начальный модуль упругости бетона.

(4)
где Sа - резерв деформирования крайнего левого волокна;

- предельная деформация сжатия бетона;

- напряжение в бетоне крайнего левого участка от предшествующих загружений.

(5)
где Sб - резерв деформирования крайнего правого волокна;

- напряжение в бетоне крайнего правого участка от предшествующих загружений.

(6)
где

- деформация левого волокна от рассматриваемого загружения;

- предельная деформация арматуры;

- деформация левого участка от предшествующих загружений;
j1 - номер варианта значения деформации левого участка из перебираемых вариантов;
jmax - общее число перебираемых вариантов значений деформаций крайнего волокна.

(7)

- деформация правого волокна от рассматриваемого загружения;

- деформация правого участка от предшествующего загружения;
j2 - номер варианта значения деформации правого участка из перебираемых вариантов.

(8)
где
k - тангенс угла наклона эпюры

;

- расстояние центра тяжести крайнего правого участка от левой грани сечения.

(9)
где
- деформация
i-го участка от рассматриваемого загружения;
zi - расстояние этого участка от левой грани сечения.

(10)
где

- полная деформация
i-го участка;

- его деформация от предшествующего загружения.

(11)
где N - нормальная сила в сечении от рассматриваемого загружения;
Si - усилие в i-м участке сечения.

(11.1)
где Fi - площадь i-го участка;

- его коэффициент армирования.
S1i = | | | (11.2) |
| (11.3) |
| (11.4) |
где

- напряжение в бетоне
i-го участка от предшествующих загружений
S2i = | | | (11.5) |
| (11.6) |
| (11.7) |

(11.8)

(11.9)

(12)
где M - момент внутренних сил относительно левой грани сечения от рассматриваемого загружения.

(13)
где

- усилие в
i-м участке от предшествующих загружений;
- напряжение в арматуре
i-го участка от предшествующих загружений.

(14)
где N' - нормальная сила в сечении от предшествующих загружений.

(15)
M' - момент относительно левой грани от предшествующих загружений.
4. ИНСТРУКЦИЯ
ЗАДАНИЕ НА РАСЧЕТ
Исходные данные заносятся в стандартный бланк в строгом соответствии с обозначениями в бланке. Все исходные данные записываются в т, м, м2, т/м2.
Состав массива исходных данных:
imax - число участков, на которые разбивается сечение;
jmax - число значений деформаций краевого волокна;

- коэффициент пластичности бетона при разрушении;

- предельная деформация бетона;

- предельная деформация арматуры;
Rпр - призменная (расчетная или нормативная) прочность бетона;
Rа - расчетное (или нормативное) сопротивление арматуры;
E0 - начальный модуль упругости бетона;
Eа - модуль упругости арматуры;
F - массив площадей участков сечения;

- массив коэффициентов армирования этих участков;
z - массив расстояний центров тяжести этих участков от левой грани сечения;

- массив напряжений в бетоне этих участков от предшествующих загружений;

- массив напряжений в арматуре этих участков от предшествующих загружений;

- массив деформаций этих участков от предшествующих загружений.
ПОДГОТОВКА ИСХОДНОЙ ИНФОРМАЦИИ
Кодировка исходных данных осуществляется в соответствии с Инструкцией к входному языку транслятора "МЭИ-3".
РАБОТА ЗА ПУЛЬТОМ
Никакие специальные операции за пультом при работе программы не требуются.
ОБРАБОТКА РЕЗУЛЬТАТОВ
Программа выводит на печать исходные данные и результаты счета в виде четверок чисел, первые два числа в которых дают деформации левого и правого волокна соответственно, третье число - соответствующая им нормальная сила в сечении, четвертое число - изгибающий момент в сечении относительно левой грани.
Бланк
для записи исходных данных
a1 | imax | |
a2 | jmax | |
a3 | | |
a4 | | |
a6 | Rпр | |
a7 | Rа | |
a8 | E0 | |
a9 | Eа | |
a10 | F1 | |
| | |
| | |
| | |
| | |
| | |
| z1 | |
| | |
| | |
| | |
| | |
| | |
| | |
| | |
| | |
| | |
| | |
| | |
ПРОГРАММА "ПРЕДЕЛ" ДЛЯ ЭЦВМ "МИНСК-22"
Транслятор МЭП-3