Главная // Актуальные документы // РуководствоСПРАВКА
Источник публикации
М.: Стройиздат, 1982
Примечание к документу
Название документа
"Руководство по проектированию конструкций панельных жилых зданий для особых грунтовых условий"
"Руководство по проектированию конструкций панельных жилых зданий для особых грунтовых условий"
ПО ПРОЕКТИРОВАНИЮ КОНСТРУКЦИЙ ПАНЕЛЬНЫХ ЖИЛЫХ ЗДАНИЙ
ДЛЯ ОСОБЫХ ГРУНТОВЫХ УСЛОВИЙ
Рекомендовано к изданию решением НТС НИИСК Госстроя СССР.
Разработано к "
Инструкции по проектированию конструкций панельных жилых зданий" и распространяется на проектирование конструкций бескаркасных жилых зданий для строительства в особых грунтовых условиях: на неоднородных, просадочных, вечномерзлых грунтах и на подрабатываемых территориях.
Даны рекомендации по выбору расчетной схемы деформируемого основания и рассчитываемого здания, по определению нагрузок на конструкции зданий и их расчету, а также по конструктивным решениям зданий.
Для инженерно-технических работников проектных и научно-исследовательских организаций.
Настоящее Руководство содержит рекомендации по проектированию конструкций панельных жилых зданий для строительства на неоднородных, просадочных, вечномерзлых грунтах и на подрабатываемых территориях.
В Руководстве приведены требования "
Инструкции по проектированию конструкций панельных жилых зданий", относящиеся к проектированию зданий в особых грунтовых условиях, а также положения, детализирующие эти требования, и дополнительные рекомендации по расчету и проектированию. Многие положения Руководства сопровождаются примерами расчета, охватывающими наиболее типичные случаи, встречающиеся в практике проектирования.
Руководство составлено НИИСК Госстроя СССР (д-р техн. наук
С.Н. КЛЕПИКОВ -
гл. 1,
2,
4,
5; кандидаты техн. наук
А.И. КИСИЛЬ - гл. 2,
3,
5,
7,
Н.
С. МЕТЕЛЮК - гл. 1,
А.С. ВАЙНБЕРГ - гл. 4,
В.И.
КРЕТОВ - гл. 3; инженеры
А.
И. МАРКОВ - гл. 5,
В.В. ВАСИЛЬЕВА - гл. 5,
В.В. ДАНИЛОВ -
гл. 7); совместно с институтами: КиевЗНИИЭП Госгражданстроя (кандидаты техн. наук
Б.П. ХАКАЛО -
гл. 7,
8,
В.Б. ШЕВЕЛЕВ -
гл. 7,
8,
В.С. ВОЛГА -
гл. 7,
8,
Г.А. ЧЕРВИНСКИЙ -
гл. 7; гл. инж.
Л.А. ПУНТУС -
гл. 8); ДонпромстройНИИпроект Госстроя СССР (кандидаты техн. наук Г.В
. АФАНАСЬЕВ - гл. 7,
А.А. ПЕТРАКОВ - гл. 7,
Д.А. МИЛЮКОВ - гл. 7; инженеры
В.Х. БАТРАК - гл. 4,
7,
К.П. ХОЛОПЧЕНКО - гл. 7); ЛенЗНИИЭП Госгражданстроя (д-р техн. наук
В.В. ДОКУЧАЕВ - гл. 2,
7; кандидаты техн. наук
Л.И. НЕЙМАРК -
гл. 2,
3,
6,
7,
8,
Д.Р. ШЕЙНКМАН - гл. 2,
7; инженеры
Н.Л. КОКОРИНА - гл. 2,
3,
6,
А.М. ОБРУЧНИКОВА -
гл. 6,
7); ЦНИИСК им. Кучеренко Госстроя СССР (канд. техн. наук
Б.А. КОСИЦЫН -
гл. 4,
5); НИИОСП им. Герсеванова Госстроя СССР (д-р техн. наук В.И. КРУТОВ -
гл. 2); ВНИМИ Минуглепрома СССР (канд. техн. наук
Р.А. МУЛЛЕР -
гл. 2,
4,
8; инж.
Н.Л. СТЕПАНОВ - гл. 2); ЦНИИЭП жилища Госгражданстроя (канд. техн. наук
В.И. ЛИШАК -
гл. 2,
4,
8, инженеры
В.Д. АГРАНОВСКИЙ - гл. 2,
4,
8,
Д.Д. СЕРГЕЕВ - гл. 7) и Укргипропромсельстрой Госкомсельхозтехники СССР (инж.
Я.В. ЮРИК - табл. 2.1 и
2.2).
Руководство разработано под общей редакцией д-ра техн. наук С.Н. КЛЕПИКОВА и канд. техн. наук А.И. КИСИЛЬ.
1.1. Настоящее Руководство составлено к "
Инструкции по проектированию конструкций панельных жилых зданий" и применяется при проектировании конструкций бескаркасных жилых зданий высотой не более 12 этажей для строительства в особых грунтовых условиях - на просадочных, вечномерзлых грунтах и на подрабатываемых территориях.
В Руководстве рассматриваются также вопросы проектирования зданий в обычных грунтовых условиях с учетом неравномерной сжимаемости грунтов (неоднородные грунты).
Рекомендации настоящего Руководства допускается учитывать при проектировании зданий для строительства и в других видах грунтовых условий, характеризующихся постепенным развитием неравномерных вертикальных и горизонтальных деформаций основания.
1.2. Конструкции панельных зданий для строительства в особых грунтовых условиях должны рассчитываться на воздействия неравномерных деформаций основания с учетом специфических особенностей отдельных видов особых грунтовых условий.
Расчет конструкций панельных зданий на воздействия неравномерных деформаций основания является расчетом на одну из расчетных комбинаций нагрузок согласно указаниям
Инструкции по проектированию конструкций панельных жилых зданий.
1.3. При расчете конструкций зданий на воздействия неравномерных деформаций основания наряду с методами расчета, изложенными в настоящем Руководстве, допускается применять также другие обоснованные методы.
1.4. При применении мероприятий по уменьшению возможных деформаций оснований или увеличению его несущей способности необходимо производить поверочные расчеты конструкций зданий на уменьшенные значения неравномерных деформаций с учетом увеличенной жесткости основания.
2. РАСЧЕТНЫЕ СХЕМЫ ДЕФОРМИРОВАНИЯ ОСНОВАНИЙ
2.1. Расчетная схема основания, используемая для определения усилий, деформаций и ширины раскрытия трещин в конструкциях зданий, возникающих вследствие неравномерных деформаций оснований, должна выбираться с учетом механических свойств грунтов, характера их напластований в основании, видов деформационных воздействий со стороны основания на здание и других факторов, оказывающих существенное влияние на совместную работу здания и основания.
2.2. При расчете конструкций панельных зданий на воздействие неравномерных деформаций основания допускается применять расчетную схему основания в виде модели переменного коэффициента жесткости.
Модель переменного коэффициента жесткости позволяет учитывать неоднородность грунтов по глубине и в плане здания, физическую и конструктивную нелинейность при расчетах на неравномерные вертикальные и горизонтальные перемещения, вызванные подземной разработкой полезных ископаемых или просадкой грунтов от их собственного веса при увлажнении, а также развитие деформаций основания во времени.
2.3. Модель переменного коэффициента жесткости характеризует, в общем случае, переменные деформационные свойства основания на контакте основания с фундаментами и служит для определения реактивного давления
p:
P = CS, (2.1)
где C - коэффициент жесткости основания;
S - совместная деформация основания и фундамента.
Коэффициент жесткости участка основания представляет собой усилие, которое необходимо приложить к единице его поверхности для ее перемещения на величину, равную единице. При определении значений коэффициентов жесткости следует учитывать основные параметры физико-механических свойств грунтов, размеры и форму подошвы фундамента, а в необходимых случаях - неоднородность геологического строения основания, распределительные свойства грунта, характер нагружения, пластические и реологические свойства грунтов.
В зависимости от характера воздействия со стороны основания на здание (подработка, неоднородность грунтов и т.п.) деформационные свойства основания на контакте с подошвой фундамента могут определяться одним или двумя видами коэффициентов жесткости: при сжатии
Cсж и при сдвиге
Cсд. Значения коэффициентов жесткости следует определять в соответствии с указаниями
прил. 2 главы СНиП II-8-78 "Здания и сооружения на подрабатываемых территориях" или по другим достаточно обоснованным методам.
2.4. При расчете здания или отдельных стен непрерывное основание моделируется совокупностью бесконечного множества не связанных друг с другом опорных стержней, жесткости которых характеризуются соответствующими величинами
C (рис. 2.1). Непрерывное основание допускается заменять при расчете отдельными стержнями, коэффициенты жесткости которых должны быть равны жесткостям заменяемых участков непрерывного основания (
рис. 2.1,
в). Расстояние между отдельными стержнями задается исходя из требований, предъявляемых к точности расчета. Деформации поверхности основания, не связанные с нагрузкой от здания и проявляющиеся в виде вертикальных и горизонтальных перемещений основания, моделируются в соответствии с
п. 5.4 настоящего Руководства смещениями опорных стержней (
рис. 2.1,
г).
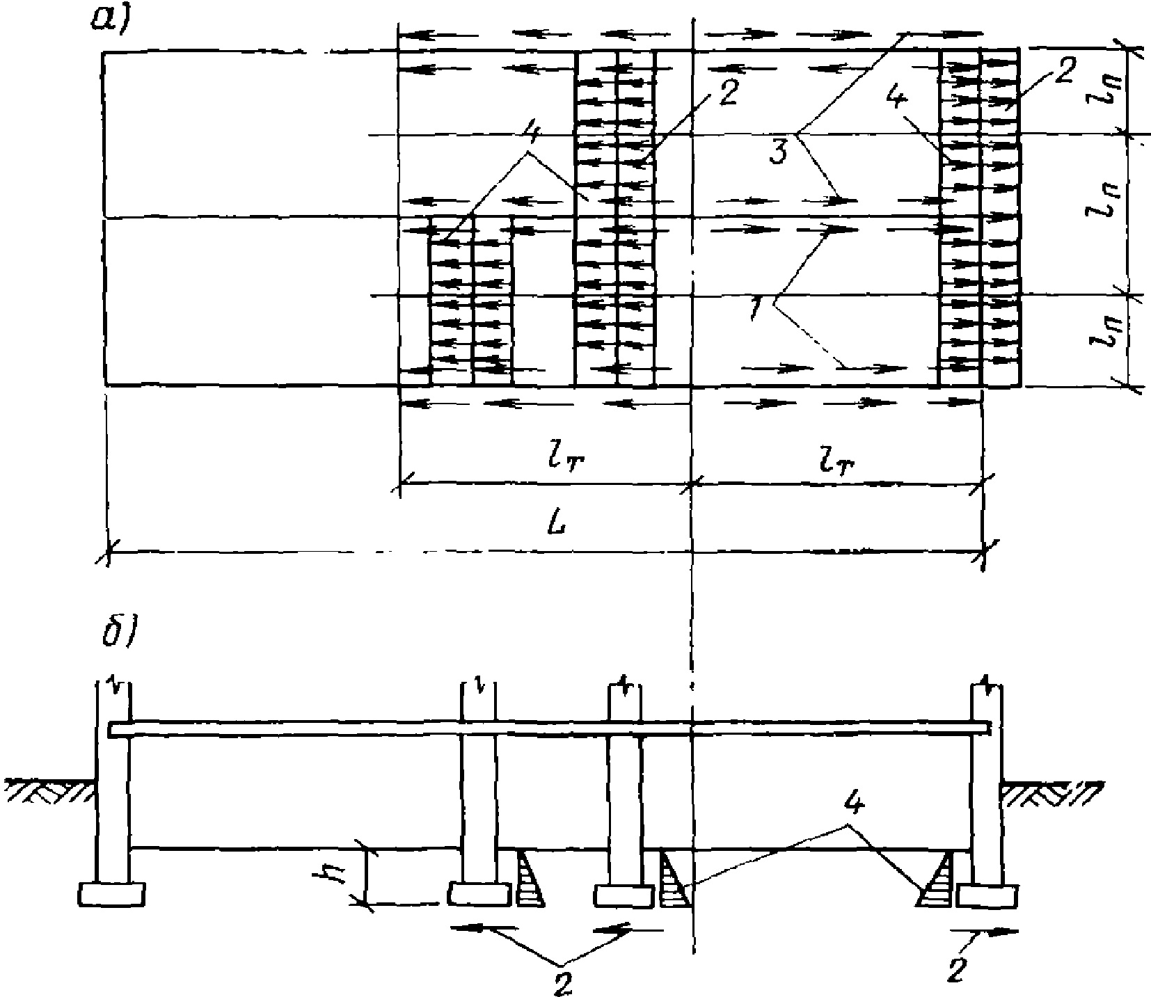
Рис. 2.1. Расчетные схемы основания
на примере плоской системы
а - непрерывное основание (горизонтальные стержни,
за исключением одного, условно не показаны); б - эпюры
коэффициентов жесткости при сжатии и сдвиге; в - основание
в виде отдельных стержней; г - дискретные опоры
для моделирования деформаций поверхности основания
2.5. В зависимости от значений контактных напряжений (нормальные и касательные напряжения на контакте основания с фундаментом) модель переменного коэффициента жесткости может приниматься в виде:
а) линейно-упругой системы, работающей на сжатие, растяжение и сдвиг;
б) нелинейно-упругой или неупругой системы, отражающей нелинейную связь между деформациями и нагрузками на основание в стабилизированном состоянии грунта, различие в деформационных свойствах основания при нагружении и разгрузке, несущую способность основания, нарушение контакта между фундаментом и основанием;
в) реологической системы, отражающей деформационные свойства основания для различных моментов времени в течение строительного и эксплуатационного периодов (в нестабилизированном состоянии грунта).
Выбор системы для расчета производится с учетом указаний настоящего Руководства.
2.6. Расчетные схемы деформирования оснований (изменение коэффициента жесткости и форма перемещений поверхности основания), необходимые для расчета зданий, возводимых в особых грунтовых условиях, следует принимать в соответствии с рекомендациями настоящего раздела.
2.7. При проектировании конструкций панельных зданий для строительства на основаниях, сложенных крупнообломочными, песчаными и глинистыми (непросадочными) грунтами, следует учитывать неравномерную сжимаемость этих грунтов, которая может быть вызвана неоднородностью геологического строения основания, естественной изменчивостью деформационных характеристик грунтов одного вида или изменчивостью свойств при повышении их влажности.
2.8. Неоднородность геологического строения основания характеризуется неодинаковой толщиной слоев грунта, линзообразным залеганием отдельных видов грунтов, выклиниванием отдельных слоев, неравномерным распределением в грунте различных включений (
рис. 2.2,
а).
Рис. 2.2. Неоднородное геологическое строение основания
а - геологический разрез; б - осадки поверхности
основания; в - эпюра коэффициента жесткости
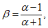
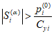
Закон изменения коэффициента жесткости основания, имеющего неоднородное геологическое строение, определяется по фактическим данным инженерно-геологических исследований площадки строительства. Коэффициент жесткости в i-той точке под подошвой фундамента определяется по формуле

(2.2)
где p - среднее равномерно распределенное давление под подошвой фундамента;
Si - осадка основания в
i-той точке
рис. 2.2,
б.
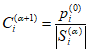
2.9. При простом геологическом строении основания, характеризующимся наличием одного вида грунта или наличием нескольких слоев различных видов грунтов с горизонтальным или пологим залеганием, модуль деформации грунтов в пределах контура здания может иметь различные значения, обусловленные естественной неоднородностью грунтов одного вида.
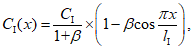
В этом случае значения коэффициентов жесткости основания

по длине здания определяется по формулам:
при

(2.3)
при

(2.4)
где

- безразмерная координата;
l1 - полудлина участка с переменным коэффициентом жесткости, определяемая по формуле

(2.5)
Cср - среднее значение коэффициента жесткости основания;
EI - приведенная изгибная жесткость здания (стены);
l - полудлина здания;

- коэффициент, характеризующий степень изменчивости сжимаемости основания

(2.6)

- степень изменчивости сжимаемости основания в плане здания,

(2.7)
Emax и Emin - соответственно наибольшее и наименьшее значения модуля деформации грунтов в пределах контура здания.
Расчет зданий следует производить для двух схем изменения коэффициента жесткости основания, соответствующих прогибу и выгибу здания (рис. 2.3, а и б).
Рис. 2.3. Расчетные эпюры коэффициента жесткости
при естественной неоднородности грунтов
а - для расчета на случай прогиба;
б - для расчета на случай выгиба
2.10. Основания, сложенные не полностью водонасыщенными (
G < 0,8) глинистыми грунтами и пылеватыми песками, могут изменять сжимаемость вследствие повышения влажности грунтов в процессе строительства и эксплуатации здания (рис. 2.4,
а).
Рис. 2.4. Расчетные эпюры коэффициента жесткости
при увлажнении основания
а - схема для определения длины участка изменения
коэффициента жесткости основания; б - эпюра коэффициента
жесткости при увлажнении под серединой здания;
в - то же, у торца здания
Определение деформационных и прочностных характеристик грунтов (модуль деформации
E, удельное сцепление
c и угол внутреннего трения

) с учетом возможного повышения влажности следует производить в соответствии с рекомендациями Руководства
[3].
Для предварительных расчетов зданий допускается пользоваться значениями характеристик
cII,

и
E для песчаных и глинистых грунтов, помещенными в табл. 2.1 и
2.2.
Виды песков | Обозначения характеристик | Значения удельного сцепления cII, кгс/см 2, угла внутреннего трения  , град, и модуля общей деформации E, кгс/см 2, при коэффициенте пористости e, равном |
0,4 | 0,45 | 0,5 | 0,55 | 0,6 | 0,65 | 0,7 | 0,75 | 0,8 |
Гравелистые и крупные | cII | 0,03 | 0,02 | 0,02 | 0,01 | 0,01 | 0 | 0 | - | - |
| 44 | 43 | 41 | 40 | 39 | 38 | 36 | - | - |
E | 570 | 500 | 450 | 400 | 350 | 300 | 250 | - | - |
Средней крупности | cII | 0,04 | 0,03 | 0,03 | 0,02 | 0,02 | 0,01 | 0,01 | - | - |
| 42 | 40 | 39 | 38 | 36 | 35 | 33 | - | - |
E | 550 | 500 | 450 | 400 | 350 | 300 | 250 | - | - |
Мелкие | Маловлажные G < 0,5 | cII | 0,06 | 0,06 | 0,05 | 0,04 | 0,03 | 0,02 | 0,01 | 0 | 0 |
| 40 | 38 | 37 | 36 | 34 | 32 | 30 | 28 | 26 |
E | 530 | 480 | 430 | 380 | 330 | 280 | 230 | 180 | 150 |
Влажные и водонасыщенные 0,5 G  1 | cII | 0,06 | 0,06 | 0,05 | 0,04 | 0,03 | 0,02 | 0,01 | 0 | 0 |
| 39 | 38 | 37 | 36 | 34 | 32 | 30 | 28 | 25 |
E | 480 | 430 | 380 | 330 | 280 | 240 | 200 | 170 | 130 |
Пылеватые | Маловлажные G < 0,5 | cII | 0,09 | 0,08 | 0,07 | 0,06 | 0,05 | 0,04 | 0,03 | 0,02 | 0,01 |
| 37 | 36 | 35 | 34 | 32 | 30 | 29 | 27 | 25 |
E | 450 | 390 | 310 | 230 | 200 | 180 | 160 | 140 | 120 |
Влажные 0,5 G  0,8 | cII | 0,08 | 0,07 | 0,06 | 0,05 | 0,04 | 0,03 | 0,02 | 0,01 | 0,01 |
| 35 | 34 | 33 | 32 | 31 | 29 | 27 | 26 | 25 |
E | 380 | 320 | 270 | 230 | 200 | 170 | 140 | 120 | 100 |
Водонасыщенные 1 G > 0,8 | cII | 0,07 | 0,06 | 0,05 | 0,04 | 0,03 | 0,02 | 0,02 | 0,01 | 0,01 |
| 33 | 32 | 31 | 30 | 29 | 27 | 26 | 25 | 24 |
E | 300 | 250 | 210 | 180 | 160 | 140 | 120 | 100 | 90 |
Характеристики песчаных грунтов в
табл. 2.1 относятся к кварцевым пескам, содержащим не более 20% полевого шпата и не более 5% мягких частиц, включая растительные остатки.
Характеристики грунтов в табл. 2.2 относятся к глинистым грунтам, содержащим не более 5% растительных остатков.
Консистенция IL | Обозначения характеристик | Значения удельного сцепления cII, кгс/см 2, угла внутреннего трения  , град, и модуля деформации E, кгс/см2, при коэффициенте пористости e, равном |
0,45 | 0,5 | 0,55 | 0,6 | 0,65 | 0,7 | 0,75 | 0,8 | 0,85 | 0,9 | 0,95 | 1 | 1,05 | 1,1 |
Супеси делювиальные, эоловые, эолово-делювиальные, озерные, озерно-аллювиальные, флювиогляциальные, аллювиальные |
0 > IL  -1 | cII | 0,25 | 0,2 | 0,18 | 0,16 | 0,14 | 0,12 | 0,11 | 0,1 | 0,09 | 0,08 | 0,07 | 0,06 | 0,05 | |
| 31 | 30 | 30 | 29 | 28 | 27 | 26 | 26 | 25 | 25 | 24 | 24 | 23 | |
E | 380 | 340 | 300 | 260 | 220 | 190 | 160 | 140 | 120 | 110 | 100 | 90 | 80 | 70 |
0 IL  0,25 | cII | 0,15 | 0,13 | 0,11 | 0,1 | 0,08 | 0,08 | 0,07 | 0,06 | 0,05 | 0,04 | 0,04 | 0,03 | 0,03 | |
| 30 | 29 | 29 | 28 | 27 | 25 | 24 | 24 | 23 | 23 | 22 | 21 | 20 | |
E | 350 | 310 | 270 | 230 | 190 | 160 | 130 | 110 | 100 | 90 | 80 | 70 | 60 | 50 |
0,25 < IL  0,75 | cII | 0,13 | 0,11 | 0,09 | 0,08 | 0,06 | 0,05 | 0,03 | 0,03 | 0,03 | 0,03 | 0,03 | 0,02 | 0,02 | |
| 28 | 27 | 26 | 25 | 24 | 23 | 21 | 21 | 20 | 19 | 19 | 18 | 18 | |
E | 320 | 280 | 240 | 200 | 160 | 130 | 100 | 90 | 70 | 70 | 60 | 50 | 45 | 40 |
0,75 IL  1 | cII | - | 0,09 | 0,07 | 0,06 | 0,05 | 0,04 | 0,03 | 0,03 | 0,03 | 0,02 | 0,02 | 0,02 | 0,02 | |
| - | 25 | 24 | 23 | 22 | 21 | 20 | 19 | 18 | 18 | 17 | 17 | 16 | |
E | - | 240 | 200 | 170 | 130 | 100 | 80 | 70 | 60 | 50 | 45 | 40 | 35 | 30 |
1 < IL | E | - | - | - | - | - | 80 | 70 | 60 | 50 | 45 | 40 | 35 | 30 | 20 |
Суглинки делювиальные, эоловые, эолово-делювиальные, аллювиальные, озерные, озерно-аллювиальные |
0 > IL  -1 | cII | 0,55 | 0,47 | 0,42 | 0,37 | 0,34 | 0,31 | 0,28 | 0,26 | 0,24 | 0,22 | 0,2 | 0,19 | 0,17 | |
| 28 | 27 | 27 | 26 | 26 | 25 | 25 | 24 | 24 | 23 | 22 | 21 | 20 | |
E | 370 | 330 | 300 | 270 | 250 | 220 | 200 | 180 | 170 | 150 | 140 | 120 | 100 | 90 |
0 IL  0,25 | cII | 0,47 | 0,42 | 0,37 | 0,34 | 0,31 | 0,28 | 0,25 | 0,23 | 0,22 | 0,2 | 0,19 | 0,17 | 0,15 | |
| 26 | 25 | 26 | 24 | 24 | 23 | 23 | 22 | 22 | 21 | 20 | 19 | 18 | |
E | 340 | 300 | 270 | 240 | 220 | 200 | 170 | 150 | 140 | 120 | 110 | 90 | 80 | 70 |
0,25 < IL  0,5 | cII | 0,39 | 0,37 | 0,34 | 0,31 | 0,28 | 0,25 | 0,23 | 0,2 | 0,18 | 0,17 | 0,15 | 0,14 | 0,13 | |
| 24 | 23 | 23 | 22 | 22 | 21 | 21 | 20 | 19 | 18 | 17 | 16 | 15 | |
E | 320 | 280 | 250 | 220 | 190 | 170 | 140 | 120 | 110 | 90 | 80 | 70 | 60 | 50 |
0,5 < IL  0,75 | cII | - | 0,31 | 0,29 | 0,27 | 0,25 | 0,22 | 0,2 | 0,18 | 0,16 | 0,15 | 0,14 | 0,13 | 0,12 | |
| - | 22 | 21 | 20 | 19 | 18 | 18 | 17 | 16 | 15 | 14 | 13 | 12 | |
E | - | 250 | 220 | 190 | 170 | 140 | 120 | 100 | 80 | 70 | 60 | 60 | 50 | 40 |
0,75 < IL  1 | cII | - | - | 0,25 | 0,23 | 0,21 | 0,18 | 0,16 | 0,14 | 0,12 | 0,11 | 0,1 | 0,09 | 0,08 | |
| - | - | 19 | 18 | 17 | 16 | 16 | 15 | 14 | 13 | 12 | 11 | 10 | |
E | - | - | 180 | 150 | 130 | 110 | 100 | 80 | 70 | 60 | 50 | 45 | 40 | 35 |
1 < IL | E | - | - | - | - | - | - | 80 | 70 | 60 | 50 | 45 | 40 | 35 | 25 |
Глины делювиальные, эоловые, эолово-делювиальные, аллювиальные, озерные, озерно-аллювиальные |
0 > IL  -1 | cII | 1 | 0,92 | 0,85 | 0,78 | 0,72 | 0,65 | 0,59 | 0,54 | 0,50 | 0,47 | 0,44 | 0,41 | 0,39 | - |
| 24 | 23 | 23 | 22 | 22 | 21 | 21 | 20 | 20 | 19 | 18 | 17 | 16 | - |
E | 400 | 360 | 330 | 300 | 270 | 250 | 230 | 220 | 210 | 190 | 180 | 160 | 150 | 130 |
0 IL  0,25 | cII | - | 0,88 | 0,81 | 0,74 | 0,68 | 0,61 | 0,54 | 0,5 | 0,47 | 0,44 | 0,41 | 0,38 | 0,36 | - |
| - | 21 | 21 | 20 | 20 | 19 | 19 | 18 | 18 | 17 | 16 | 15 | 14 | - |
E | - | 310 | 280 | 260 | 240 | 220 | 200 | 190 | 180 | 160 | 150 | 130 | 120 | 100 |
0,25 < IL  0,5 | cII | - | - | - | 0,62 | 0,57 | 0,53 | 0,5 | 0,46 | 0,43 | 0,40 | 0,37 | 0,34 | 0,32 | |
| - | - | - | 19 | 18 | 17 | 17 | 16 | 16 | 15 | 14 | 12 | 11 | |
E | - | - | - | 230 | 210 | 190 | 180 | 160 | 150 | 130 | 120 | 100 | 90 | 80 |
0,50 < IL  0,75 | cII | - | - | - | - | - | 0,46 | 0,41 | 0,38 | 0,36 | 0,34 | 0,33 | 0,31 | 0,29 | |
| - | - | - | - | - | 15 | 14 | 13 | 12 | 11 | 10 | 8 | 7 | |
E | - | - | - | - | - | 160 | 150 | 130 | 120 | 100 | 90 | 80 | 70 | 60 |
0,75 < IL  1 | cII | - | - | - | - | - | - | 0,38 | 0,36 | 0,33 | 0,31 | 0,29 | 0,27 | 0,25 | |
| - | - | - | - | - | - | 12 | 11 | 10 | 9 | 8 | 6 | 5 | |
E | - | - | - | - | - | - | 130 | 110 | 90 | 80 | 70 | 60 | 50 | 40 |
1 < IL | E | - | - | - | - | - | - | - | 90 | 80 | 70 | 60 | 50 | 40 | 30 |
Суглинки флювиогляциальные |
0 > IL  -1 | cII | 0,55 | 0,47 | 0,42 | 0,37 | 0,34 | 0,31 | 0,28 | 0,26 | 0,24 | 0,22 | 0,2 | - | - | - |
| 28 | 27 | 27 | 26 | 26 | 25 | 25 | 24 | 24 | 23 | 22 | - | - | - |
E | 450 | 410 | 380 | 350 | 320 | 290 | 250 | 220 | 200 | 170 | 150 | - | - | - |
0 IL  0,25 | cII | 0,47 | 0,42 | 0,37 | 0,34 | 0,31 | 0,28 | 0,25 | 0,23 | 0,22 | 0,2 | 0,18 | - | - | - |
| 26 | 25 | 25 | 24 | 24 | 23 | 23 | 22 | 22 | 21 | 20 | - | - | - |
E | 400 | 360 | 330 | 300 | 270 | 240 | 210 | 190 | 170 | 140 | 120 | - | - | - |
0,25 < IL  0,5 | cII | 0,39 | 0,37 | 0,34 | 0,32 | 0,28 | 0,25 | 0,23 | 0,2 | 0,18 | 0,17 | 0,15 | - | - | - |
| 24 | 23 | 23 | 22 | 22 | 21 | 21 | 20 | 19 | 18 | 17 | - | - | - |
E | 350 | 310 | 280 | 250 | 220 | 190 | 170 | 150 | 140 | 110 | 90 | - | - | - |
0,50 < IL  0,75 | cII | - | 0,31 | 0,29 | 0,27 | 0,25 | 0,22 | 0,2 | 0,18 | 0,16 | 0,15 | 0,14 | - | - | - |
| - | 22 | 21 | 20 | 19 | 18 | 18 | 17 | 16 | 15 | 14 | - | - | - |
E | - | 260 | 230 | 200 | 170 | 150 | 130 | 110 | 100 | 80 | 70 | - | - | - |
0,75 < IL  1 | cII | - | - | 0,25 | 0,23 | 0,21 | 0,18 | 0,16 | 0,14 | 0,12 | 0,11 | 0,1 | - | - | - |
| - | - | 19 | 18 | 17 | 16 | 16 | 15 | 14 | 13 | 12 | - | - | - |
E | - | - | 200 | 170 | 140 | 120 | 110 | 90 | 70 | 60 | 50 | - | - | - |
Расчетом проверяются два случая изгиба здания - выгиб и прогиб, соответствующие наиболее неблагоприятному для работы здания положению участка увлажнения грунта - под серединой и у торца здания. Изменение коэффициента жесткости основания проявляется на участке, полудлина которого
l1 (
рис. 2.4,
б).
Коэффициент жесткости основания

на участке изменения определяется по формуле

(2.8)
где

- безразмерная координата;

(2.9)
Cе и Eе - коэффициент жесткости и модуль деформации грунта основания, соответствующие естественной влажности грунта;
Eв - модуль деформации грунта в условиях полного водонасыщения.
Длина участка
l1 (
рис. 2.4,
а), на котором происходит изменение коэффициента жесткости, зависит от глубины увлажнения и определения по формуле

(2.10)
где a - ширина источника замачивания;
h - величина сжимаемой толщины основания, определяется в соответствии с требованиями главы
СНиП по проектированию оснований зданий и сооружений;
k - коэффициент, учитывающий характер распространения воды в толще грунтов, рекомендуется принимать для глин 0,4 - 0,6, для песков - 1 - 1,4;
l - полудлина здания.
2.11. При расчете конструкций зданий на воздействие неравномерных деформаций основания одновременный учет (суммирование) трех видов неоднородности грунтов (неоднородность геологического строения основания по
п. 2.8, естественная изменчивость деформационных характеристик грунтов одного вида по
п. 2.9, изменчивость свойств грунтов при увлажнении по
п. 2.10) не должен производиться.
В качестве расчетных усилий принимаются наибольшие усилия, определенные для какого-либо одного вида неоднородности грунтов.
I тип грунтовых условий
2.12. При проектировании конструкций зданий на просадочных грунтах с I типом грунтовых условий принимают, что неравномерные деформации грунтов в основании происходят только при местном их замачивании вследствие просадки в пределах деформируемой зоны от нагрузки фундаментов и собственного веса грунта.
Возможные в этих условиях просадки грунтов от собственного веса величиной до 5 см не учитываются.
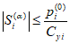
2.13. Степень изменчивости сжимаемости оснований на просадочных грунтах с I типом грунтовых условий оценивается коэффициентом

(2.11)
и средним модулем деформации основания
Eср = 0,5(
Eе +
Eв), (2.12)
где
Sср - средняя осадка здания на просадочном грунте природной влажности, вычисляемая по
формуле (2.18);
SпрI - возможная величина просадки грунта в пределах деформируемой зоны от наиболее нагруженного фундамента по рассматриваемой оси, определяется с учетом полного водонасыщения грунтов по
формуле (2.13): при возведении фундаментов на естественном основании - в пределах деформируемой зоны
hдеф при частичном устранении просадочных свойств грунтов на глубину
hупI в пределах слоя
h1 с коэффициентом условий работы
m = 1
(рис. 2.5);
Eе и Eв - соответственно нормативные значения модуля деформации просадочных грунтов при естественной влажности и в водонасыщенном состоянии, определяемые по результатам полевых или лабораторных испытаний с введением коэффициентов.
Рис. 2.5. Схема к расчету возможных величин просадок
фундаментов на просадочных грунтах с I типом
грунтовых условий
2.14. Просадка грунтов основания от нагрузки фундаментов в пределах всей или нижней части деформируемой зоны при частичном устранении просадочных грунтов определяется по формуле

(2.13)
где

- относительная просадочность грунта, определяется при его полном водонасыщении для каждого слоя грунта в пределах деформируемой зоны при давлении, равном сумме природного давления и давления от фундамента в середине рассматриваемого слоя;
hi - толщина i-го слоя грунта;
n - число слоев, на которые разбита деформируемая зона hдеф;
m - коэффициент условий работы основания, принимаемый: для фундаментов шириной от 12 м и более m = 1, а для ленточных фундаментов шириной до 3 м и прямоугольных шириной до 5 м

(2.14)
Здесь p - среднее давление под подошвой фундамента, кгс/см2;
pпр - начальное просадочное давление, кгс/см2;
p0 - давление, равное 1 кгс/см2.
Примечания: 1. Коэффициент
m для ленточных фундаментов шириной более 3 м и прямоугольных более 5 м определяется интерполяцией между значениями
m, вычисляемыми по
формуле (2.14) и
m = 1
.
2. При изменении pпр в пределах деформируемой зоны не более чем в 1,5 раза коэффициент m допускается принимать постоянным.
2.15. При полном устранении просадок грунтов от нагрузки фундаментов характеристики изменчивости сжимаемости основания определяются в зависимости от принятого метода устранения просадок и принимаются равными при применении:
уплотнения грунтов до

,

,
Eср = 150 кгс/см
2;
закрепления силикатизацией и обжигом

,
Eср = 200 кгс/см
2;
полной прорезки свайными фундаментами

и
Eср для подстилающего слоя грунта, на который опираются сваи.
2.16. При устранении просадочных свойств грунтов в пределах верхней части деформируемой зоны уплотнением или закреплением
(рис. 2.5) средний модуль деформации в пределах просадочного слоя вычисляется по
формуле (2.12), а степень изменчивости сжимаемости оснований

вычисляется по
формуле (2.11), в которой возможная величина просадки грунта
SпрI вычисляется в пределах слоя
h1 залегающего от нижней границы уплотненного или закрепленного слоя до глубины деформируемой зоны, с учетом действующих в нем суммарных давлений от собственного веса грунта и дополнительной нагрузки фундамента.
2.17. В зависимости от характеристик деформируемости оснований под действием нагрузки фундаментов условия строительства на просадочных грунтах с I типом грунтовых условий, в том числе и в случаях применения полного или частичного устранения просадочных свойств грунтов, подразделяются на три группы (табл. 2.3).
Таблица 2.3
Условия строительства | Значение  при среднем модуле деформации E, кгс/см 2 |
30 | 50 | 100 | 200 | 300 |
Тяжелые | > 1,7 | > 1,8 | > 2 | > 2,5 | > 3 |
Средние | 1,2 - 1,7 | 1,4 - 1,8 | 1,5 - 2 | 1,6 - 2,5 | 1,7 - 3 |
Легкие | < 1,2 | < 1,4 | < 1,5 | < 1,6 | < 1,7 |
2.18. В качестве расчетной модели основания на просадочных грунтах с I типом грунтовых условий принимается модель переменного коэффициента жесткости, механические свойства которой характеризуются средним коэффициентом
C, тс/м
2, вычисляемым с учетом рекомендаций
п. 2.3 по формуле

(2.15)
где p - среднее давление под подошвой фундаментов здания на основание, тс/м;
Sср - средняя осадка здания, м.
Давление p определяется по формуле

(2.16)
где l - полудлина здания;
pi - давление от расчетной нагрузки под подошвой i-го фундамента на основание, тс/м, определяемое по формуле

(2.17)
где

- суммарная расчетная нагрузка на единицу длины подошвы
i-го фундамента, тс/м;

- средний объемный вес грунта выше подошвы фундамента, тс/м
3;
li, bi, hi - соответственно длина, ширина и глубина заложения фундамента, м.
Средняя осадка здания Sср определяется по формуле, м:

(2.18)
где
Si - осадка
i-го фундамента, м, вычисляемая согласно главе
СНиП II-15-74 по проектированию оснований зданий и сооружений для двухслойного основания;
Fi - площадь подошвы i-го фундамента, м2.
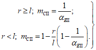
2.19. Коэффициент жесткости основания на просадочных грунтах с I типом грунтовых условий, в том числе при полном или частичном устранении просадочных свойств, определяется по формуле
CI = mсIC, (2.19)
где mсI - коэффициент снижения жесткости основания, определяется по формуле

(2.20)
2.20. Расчетная схема изменения коэффициента жесткости основания по длине здания задается в соответствии с
рис. 2.6. На участке местного замачивания просадочного грунта длиной 2
lI коэффициент жесткости основания
CI(
x) определяется по формуле

(2.21)
где

(2.22)
Рис. 2.6. Схема изменения коэффициента жесткости основания
по длине здания при замачивании грунтов
а - под серединой здания; б - под торцом здания
Полудлина участка местного замачивания грунта и локального уменьшения коэффициента жесткости основания принимается равной:

(2.23)
где EI - изгибная жесткость здания;
lп - полудлина участка, м, на котором проявляется неравномерная просадка грунта от нагрузки фундаментов, определяемая по формуле

(2.24)
где
h - толщина слоя грунта, в пределах которого возможна просадка от нагрузки фундамента, принимаемая равной
(рис. 2.7) при возведении фундаментов на естественном основании
h =
hдеф и частичном устранении просадочных свойств грунтов
h =
h1.
Рис. 2.7. Схемы для определения полудлины участка
неравномерной просадки грунта от нагрузки фундамента
а - на естественном основании; б - при устранении
просадочных свойств грунта в пределах части
деформируемой зоны
Значения величины

принимаются по табл. 2.4 в зависимости от строения просадочной толщи.
Строение толщи | Значения величины  |
лессовидная супесь | лессовый суглинок |
Однородная | 1,2 | 1,7 |
Фильтрационная способность верхнего слоя больше, чем нижнего | 1,55 | 2,3 |
То же, меньше, чем нижнего | 1 | 1,35 |
2.21. За расчетную полудлину участка местного ослабления жесткости основания lр при расчете конструкций зданий принимается:

(2.25)
II тип грунтовых условий
2.22. Проектирование конструкций зданий на просадочных грунтах с II типом грунтовых условий осуществляется с учетом возможности проявления просадок грунтов
(рис. 2.8) от нагрузки фундаментов в пределах деформируемой зоны (вертикальных перемещений), от собственного веса грунта в нижней части просадочной толщи, а также горизонтальных перемещений.
Примечание. При проектировании в грунтовых условиях II типа по просадочности уплотнения, закрепления или прорезки свайными фундаментами в пределах всей просадочной толщи следует учитывать возможные неравномерные оседания поверхности основания и свай вследствие замачивания окружающего грунта естественной структуры и проявления сил негативного трения на боковых поверхностях уплотненных, закрепленных массивов грунта и свай.
Рис. 2.8. Характер развития деформаций земной поверхности
при замачивании грунтов
а - кривая вертикальных перемещений; б - кривая
горизонтальных перемещений; зоны: I - разуплотненная;
II - уплотненная; III - нейтральная
При необходимости учета неравномерных деформаций основания от нагрузки фундаментов и собственного веса грунта допускается использовать принцип независимости действия сил и для наиболее неблагоприятного расположения источника замачивания раздельно определять усилия в конструкциях от неравномерных деформаций основания при просадках грунтов от нагрузки фундаментов в пределах части деформируемой зоны и в нижней части просадочной толщи от собственного веса грунта.
2.23. Максимальная величина просадки (вертикального перемещения) грунта от собственного веса (
рис. 2.8,
а) определяется по формуле

(2.26)
где n - число слоев, на которые разбита деформируемая зона;

- относительная просадочность грунта
i-го слоя в пределах толщины зоны просадки грунта от собственного веса в условиях полного водонасыщения грунта при давлении, равном природному в середине рассматриваемого слоя;
hi - толщина i-го слоя грунта, м;
m - коэффициент условий работы основания, принимаемый равным 1.
При слиянии деформируемой зоны с зоной просадки грунта от собственного веса за верхнюю границу зоны просадки принимается глубина, на которой суммарное вертикальное давление от нагрузки фундамента и собственного веса грунта имеет минимальное значение.
2.24. Величины просадок грунтов от их собственного веса
Sмпр.гр(
x) на криволинейных участках
r их развития в плане (
рис. 2.8,
а) определяются по формуле

(2.27)
где
Sмпр.гр - максимальная просадка грунта от собственного веса в центре замачиваемой площади
(п. 2.23);
x - расстояние, см, от центра замачиваемой площади или начала горизонтального участка просадки до i-той точки, в которой определяется величина просадки Sмпр.гр(x) (в пределах 0 < x < r);
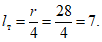
r - длина, см, криволинейного участка просадки грунта от его собственного веса, определяемая по формуле

(2.28)
где H - полная величина просадочной толщи.
2.25. При применении комплекса водозащитных мероприятий и устройстве в основании сплошного маловодопроницаемого экрана из уплотненного грунта толщиной не менее 1,5 м конструкции зданий должны рассчитываться на расчетные величины максимальных

просадок грунтов от собственного веса, определяемых с учетом неполного водонасыщения грунта.
Расчетная величина максимальной просадки

при неполном водонасыщении грунта определяется по
формуле (2.26), в которую подставляются величины относительной просадочности отдельных слоев грунта при неполном водонасыщении

, определяемые по формуле

(2.29)
где Wк и Gк - конечная влажность и степень влажности грунта после замачивания;
Wпр и Gпр - начальная просадочная влажность и степень влажности, соответствующая начальной просадочной влажности грунта;
Wв и Gв - влажность и степень влажности, соответствующие полному водонасыщению грунта;

- относительная просадочность при полном водонасыщении.
Примечания: 1. При начальной влажности
Wпр(
Gпр) меньше природной
W(
G) в
формуле (2.29) вместо
Wпр(
Gпр) принимается
W(
G)
.
2. Для предварительных расчетов допускается принимать Gк = 0,65; Gпр = 0,4 - 0,5; Gв = 0,85.
2.26. Степень изменчивости сжимаемости основания на просадочных грунтах с II типом грунтовых условий оценивается коэффициентом

(2.30)
где eос - средняя относительная деформация грунта от нагрузки фундамента в пределах сжимаемой зоны, равная:

(2.31)
S - величина осадки наиболее характерного по нагрузкам и размерам фундамента, определяемая по
главе СНиП II-15-74 с учетом полного или частичного устранения просадочных свойств грунтов в пределах деформируемой зоны;
ha - толщина сжимаемой зоны основания от нагрузки фундамента;
eпр - средняя относительная деформация грунта при просадке его от собственного веса, равная:

(2.32)

- расчетная просадка грунта от собственного веса, определяемая по
п. 2.25;
hсв - толщина зоны просадки от собственного веса, вычисляемая по формуле

(2.33)
где H - мощность просадочной толщи от дневной поверхности до кровли непросадочного слоя или уровня грунтовых вод, м;
pпр - начальное просадочное давление грунтов толщи, тс/м2;

- средний объемный вес грунтов, тс/м
3, лежащих выше зоны просадки грунта от собственного веса, принимаемый при замачивании сверху с учетом полного водонасыщения.
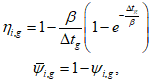
2.27. В грунтовых условиях II типа по просадочности вычисление средней жесткости основания CII при просадке грунтов от собственного веса производится с учетом следующих положений:
сжимаемость водонасыщенного грунта в пределах увлажненной зоны, размеры которой возрастают с глубиной, значительно превышает снижаемость этого же грунта при естественной влажности;
за пределами зоны увлажнения жесткость основания определяется величиной модуля деформации грунтов естественной влажности.
Средняя жесткость оснований CII, тс/м2, в пределах зоны увлажнения вычисляется по формуле
CII = mCIIC, (2.34)
где
C - средний коэффициент жесткости основания, определяемый по рекомендациям
п. 2.18;
mCII - коэффициент снижения жесткости основания при замачивании, определяемый в зависимости от расчетной длины криволинейного участка просадки грунта от собственного веса r по формулам:

(2.35)
2.28. Горизонтальные перемещения происходят на криволинейных участках просадки грунта r и характеризуются зонами разуплотнения I и уплотнения II грунта.
В пределах зон горизонтального уплотнения происходит уплотнение грунта с перемещением его от периферии в сторону центра замачиваемой площади.
В зонах горизонтального разуплотнения происходят горизонтальные перемещения с разуплотнением грунта, выражающемся появлением в нем растягивающих напряжений и образованием просадочных трещин.
2.29. Расчетные величины горизонтального перемещения Uпр, см, на поверхности основания при просадке грунта от собственного веса определяются по формуле

(2.36)
где r - расчетная длина криволинейного участка просадки грунта от собственного веса, см;

- относительное горизонтальное перемещение поверхности грунта, определяемое по формуле

(2.37)

- расчетная величина просадки грунта от собственного веса, см, определяемая по
п. 2.25.
Примечание. Максимальное значение относительного горизонтального перемещения

принимается равным 10 мм/м.
2.30. Изменение величины горизонтальных перемещений на криволинейном участке просадки грунта от собственного веса описывается выражением

(2.38)
где x - координата i-той точки в м, в которой определяется величина горизонтального перемещения грунта, изменяющаяся при расположении начала координат в точке O с максимальным значением горизонтального перемещения от нуля до плюс r/2 и от нуля до минус r/2.
ПОДРАБАТЫВАЕМЫЕ ТЕРРИТОРИИ
2.31. Панельные здания, возводимые на подрабатываемых территориях, должны проектироваться с учетом сдвижений и деформаций земной поверхности, происходящих в результате подземной выемки полезного ископаемого
(рис. 2.9).
Рис. 2.9. Схема деформаций земной поверхности
при подземной выемке полезного ископаемого
а - при пологом падении пласта полезного ископаемого;
б - при крутом падении пласта; 1 - кривая оседаний;
2 - эпюра относительных горизонтальных деформаций
2.32. В качестве исходных данных для проектирования зданий должны быть заданы максимальные величины ожидаемых (нормативных) деформаций земной поверхности на участке строительства в направлениях вкрест и по простиранию пласта:
оседание

, см;
наклон i, мм/м;
кривизна выпуклости, вогнутости
K, (1/км), или радиус кривизны

, км;
горизонтальное сдвижение

, см;
горизонтальная деформация (растяжения или сжатия)

, мм/м;
уступ высотой h, см.
Определение величин деформаций земной поверхности осуществляется по специально разработанным методикам, а также с учетом требований главы
СНиП по проектированию зданий и сооружений на подрабатываемых территориях.
2.33. В зависимости от ожидаемых деформаций земной поверхности подрабатываемые территории подразделяются на группы в соответствии с табл. 2.5.
Таблица 2.5
Группа территорий | Ожидаемые деформации земной поверхности |
относительные горизонтальные деформации растяжения или сжатия  | радиус кривизны R, км | наклон i |
I | | 1 R < 3 | 20 i > 10 |
II | | 3 R < 7 | 10 i > 7 |
III | | 7 R < 12 | 7 i > 5 |
IV | | 12 R < 20 | 5 i > 0 |
Подрабатываемые территории, на которых при выемке пластов полезного ископаемого образуются уступы земной поверхности, подразделяются, в зависимости от ожидаемой высоты уступа, на группы в соответствии с табл. 2.6.
Таблица 2.6
Группа территорий | Ожидаемая высота уступа h, см | Группа территорий | Ожидаемая высота уступа h, см |
Iк | 25 h > 15 | IIIк | 10 h > 5 |
IIк | 15 h > 10 | IVк | 5 h > 0 |
2.34. Расчетные деформации земной поверхности, учитываемые при расчете зданий как факторы нагрузки, определяются умножением значений ожидаемых деформаций на соответствующие коэффициенты перегрузки n, принимаемые по табл. 2.7.
Таблица 2.7
Вид деформации земной поверхности | Обозначение коэффициента перегрузки | Коэффициенты перегрузки |
Оседание  | | 1,1 (0,9) |
Горизонтальное сдвижение  | | 1,1 (0,9) |
Наклон i | ni | 1,2 (0,8) |
Кривизна K | nK | 1,4 (0,6) |
Относительные горизонтальные деформации  растяжения | | 1,2 (0,8) |
Уступ h | nh | 1,2 (0,8) |
Примечание. Коэффициенты перегрузки меньше единицы следует учитывать при расчете зданий и сооружений на одновременное действие деформаций земной поверхности двух и более видов, когда уменьшение значения деформаций какого-либо вида может ухудшить условия работы конструкций.
2.35. При расчете конструкций зданий на воздействия деформаций земной поверхности необходимо вводить коэффициенты условий работы m, определяемые по табл. 2.8 в зависимости от общей длины здания (отсека).
Таблица 2.8
Вид деформаций земной поверхности | Обозначение коэффициента условий работы | Коэффициенты условий работы при длине здания L, м |
менее 15 | 15 - 30 | более 30 |
Наклон i | mi | 1 | 0,85 | 0,7 |
Кривизна K | mK | 1 | 0,7 | 0,55 |
Относительные горизонтальные деформации растяжения - сжатия  | | 1 | 0,85 | 0,7 |
Примечание. При расчете здания в поперечном направлении за L принимается его ширина. |
2.36. Расчетная схема вертикальных перемещений земной поверхности при подземной выемке полезных ископаемых принимается в виде параболического цилиндра с радиусом в вершине, равном
R, или оседания основания параллельно начальной горизонтальной поверхности с образованием вертикального уступа высотой
h (рис. 2.10,
2.11).
Рис. 2.10. Воздействие вертикальных деформаций земной
поверхности при плавной мульде сдвижения
а - кривизна выпуклости; б - кривизна вогнутости
Рис. 2.11. Расчетные схемы расположения уступа под зданием
1 - план здания; 2 - вертикальные перемещения земной
поверхности при ступенчатой мульде
Значения радиуса кривизны R и высоты уступа h используются при расчете зданий на воздействие неравномерных вертикальных деформаций земной поверхности.
2.37. Расчетное оседание любой точки основания y относительно оси здания или его отсека определяется по формуле

(2.39)
где
nK,
mK - коэффициенты перегрузки и условий работы, принимаемые по главе
СНиП II-8-78;
x - расстояние от рассматриваемой точки до соответствующей центральной оси здания или его отсека.
2.38. За расчетное местоположение уступа в плане здания принимается его действительное (протрассированное с соседних участков) или такое, при котором возникающие в несущих конструкциях здания усилия будут наибольшими (см.
рис. 2.11).
Невыгодное положение уступа под зданием, определяемое расстоянием a от торца здания, определяется расчетом.
2.39. Величины относительных горизонтальных деформаций используются для определения растягивающих и сжимающих сил, действующих на фундаментно-подвальную часть зданий.
2.40. Расчетное перемещение точек земной поверхности относительно центральной оси здания или отсека
(рис. 2.12), вызванное воздействием горизонтальных деформаций растяжения (сжатия), определяется по формуле

(2.40)
где

- ожидаемая величина относительных горизонтальных деформаций; обозначения
n,
m и
x приведены к
формуле (2.39).
Рис. 2.12. Воздействие относительных горизонтальных
деформаций земной поверхности на здание
а - деформации растяжения; б - деформации сжатия
2.41. Наклон i учитывается при расчете высоких зданий, у которых перемещение центра тяжести может вызвать появление дополнительных усилий в несущих конструкциях (рис. 2.13) и в основании, или зданий, у которых величина крена ограничена условиями эксплуатации лифтового оборудования.
Рис. 2.13. Воздействие наклона земной поверхности на здание
ОТТАИВАЮЩЕЕ ВЕЧНОМЕРЗЛОЕ ОСНОВАНИЕ
2.42. Проектирование конструкций зданий на основании, включающем мерзлые грунты, оттаивание которых допускается в процессе эксплуатации, следует осуществлять с учетом неравномерных осадок фундаментов, вызванных деформациями грунтов в зоне ("чаше") оттаивания, глубина и конфигурация которой изменяются во времени.
В соответствии с главой СНиП II-18-76 осадки оттаивающего основания складываются из трех составляющих деформаций
Sот, вызванных оттаиванием грунта без нагрузки; деформаций

, вызванных обжатием оттаявшего грунта под действием собственного веса; деформаций
Sq, вызванных уплотнением оттаявшего грунта под действием постоянных и временных нагрузок от здания.
2.43. При расчете и проектировании зданий на оттаивающем вечномерзлом основании следует учитывать: переменность свойств основания как в продольном, так и поперечном направлениях; значительную неравномерность давления, передаваемого фундаментом на грунт; непрерывное изменение свойств основания в течение длительного (десятки лет) периода.
2.44. Переменность свойств основания в продольном и поперечном направлениях рекомендуется учитывать пространственной расчетной моделью основания с дискретным описанием его свойств в некотором числе точек контакта с фундаментом.
2.45. Значительная неравномерность давлений фундамента на грунт в каждый момент времени деформирования учитывается неупругой расчетной моделью основания, отражающей нелинейную связь между деформациями и нагрузками, различие в деформационных свойствах основания при нагружении и разгрузке, несущую способность основания, возможность нарушения контакта между фундаментом и основанием.
При этом рассматривается возможность образования трех различных зон в основании:
в первой зоне реакции основания равны нулю, а деформации основания не повторяются фундаментами (зона нулевых реакций или зона отрыва основания от фундамента);
во второй зоне реакции основания находятся в пределах 0 < p < pпр и деформации фундаментов повторяют деформации основания (зона уплотнения);
в третьей зоне реакции основания равны предельным давлениям на него pпр, а развитие осадок ограничивается только жесткостью конструкций (зона пластических деформаций).
2.46. При расчете усилий и деформаций, вызванных в конструкциях здания неравномерной осадкой фундаментов на оттаивающих вечномерзлых грунтах, последние представляются в виде искривляемого неравномерно сжимаемого основания с переменными во времени и плане здания геометрическими и жесткостными параметрами.
Непрерывный процесс деформирования заменяется при этом рядом последовательных этапов

, на протяжении каждого из которых свойства основания на контакте с фундаментами описываются следующими характеристиками, заданными в некотором конечном числе точек:
вертикальным перемещением y = S0d поверхности искривления основания, не зависящим от нагрузки на фундаменты, приложенной на данном временном этапе;
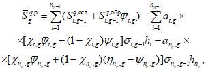
коэффициентом жесткости основания cg при деформировании его нагрузкой от здания, приложенной на данном этапе.
2.47. В каждый расчетный момент времени в любой точке контакта связь между осадками фундаментов W и реактивным отпором основания p имеет вид

(2.41)
При этом характеристика cm,g в зависимости от типа деформирования данного участка основания принимается:
cm,g = 0, если

;

, если

; (2.42)

, если

.
Здесь

- коэффициент жесткости основания в линейной стадии его деформирования нагрузкой от здания;

- значение реактивного отпора основания, соответствующее потери им несущей способности.
2.48. Величины

,

, и

должны отражать изменение температурного режима и механических свойств грунтов, происшедшее как на предыдущих, так и на рассматриваемом этапе времени.
При расчете здания в реальных мерзлотно-геологических условиях эти величины определяются по
п. 2.51 -
2.53.
При учете свойств нелинейной наследственной ползучести основания в пределах одного расчетного этапа времени приняты следующие допущения:
механические параметры основания постоянны и ступенчато изменяются от этапа к этапу;
зависимости "давление - деформация" взаимно подобны для всех моментов времени, кроме i = 0;
скорость изменения давления (как и y = S0) постоянна, что эквивалентно кусочно-линейной аппроксимации процесса во времени.
Определение параметров расчетной модели
оттаивающего вечномерзлого основания
2.49. При определении расчетных параметров оттаивающее вечномерзлое основание представляется в виде многослойной расчетной модели с переменным во времени количеством
n деформируемых однородных по высоте слоев оттаявшего грунта с различными физико-механическими свойствами и подстилающего слоя мерзлого грунта, деформативностью которого пренебрегают.
Глубину оттаявшей толщи, принимаемой в расчете согласно требованиям СНиП II-18-76, следует определять с учетом изменения ее во времени до момента, соответствующего заданному сроку эксплуатации здания. При этом границу оттаивания рекомендуется определять теплотехническим расчетом по методике, изложенной в прил. 3 главы СНиП II-18-76, а также с помощью вычислительных машин и аналоговых устройств. В ЛенЗНИИЭП разработана программа МОПС, предназначенная для расчета нестационарного температурного поля в слоисто-однородной среде.
2.50. Деформация слоя i в момент времени tg принимается равной:

(2.43)

- деформация оттаивания, происходящая без нагрузки, определяется в соответствии с главой СНиП II-18-76 по формуле

(2.44)
где hi - толщина i-го слоя оттаявшего грунта;
Ai - коэффициент оттаивания i-го слоя грунта, характеризующий осадку грунта при его оттаивании без нагрузки;
Лсi - разность между суммарной льдистостью i-го слоя грунта и суммарной льдистостью образца грунта, взятого из этого слоя;
kлi - коэффициент, учитывающий неполное смыкание микропор при оттаивании мерзлого грунта, принимаемый в зависимости от средней толщины ледяных включений

; при
kл = 0,7; при
kл = 0,9, при промежуточных значениях

коэффициент
kл определяется интерполяцией.
Примечание. Коэффициент оттаивания A следует определять по результатам полевых испытаний мерзлых грунтов горячими штампами либо по данным лабораторных испытаний в соответствии с ГОСТ 19706-74. При определении A из испытаний горячими штампами значение Лсi принимается равным нулю.

- деформация уплотнения от действия собственного веса оттаявшего грунта, определяемая по формуле

(2.45)
| | ИС МЕГАНОРМ: примечание. Обозначения даны в соответствии с официальным текстом документа. | |
где

- степень обратимости деформации, численно равная отношению коэффициентов обратимой и полной деформаций;

- деформация уплотнения от действия дополнительного давления на грунт, вызванного нагрузкой от здания, определяемая по формулам:
при возрастании давления во времени (нагружение)

(2.46)
при уменьшении давления (разгрузке)

(2.47)

- деформация слоя
i от действия собственного веса грунта, накопившаяся к началу рассматриваемого этапа времени

,

- соответственно обратимая и остаточная части деформации слоя от дополнительного давления, накопившиеся к началу рассматриваемого этапа времени

, см;
ai,g - коэффициент сжимаемости грунта в
слое i на этапе

, равный:

(2.48)
где

- коэффициент мгновенной сжимаемости, принимаемый приближенно равным коэффициенту обратимой (упругой) сжимаемости грунта, см
2/кгс;

- коэффициент сжимаемости, соответствующий деформации ползучести, приближенно принимаемый равным коэффициенту остаточной сжимаемости грунта, см
2/кгс;

- безразмерная величина, характеризующая приращение за промежуток времени

деформации ползучести (консолидации) слоя
i, вызванной постоянным напряжением в слое; эта величина может быть получена при аппроксимации кривых ползучести грунта в виде

(2.49)
при

,
где

частном
случае может быть представлена в форме

(2.50)
(

- время запаздывания деформации);
- безразмерная величина, характеризующая приращение за промежуток времени

деформации ползучести (консолидации) слоя
i, вызванной единичным приращением напряжения в слое
i; при

величина

определяется по формуле

(2.51)

- давление в середине
i-го слоя от собственного веса оттаявшего грунта, кгс/см
2;

;

- напряжение в i-том слое грунта от дополнительного давления в моменты времени
tg-1 и
tg, кгс/см
2;
hi - толщина i-го слоя грунта.
2.51. Величина вертикального перемещения
y =
Sg поверхности искривляемого основания в момент времени

определяется суммой трех составляющих:

(2.52)
где

- осадка оттаивания, равная:

(2.53)
ng - число слоев, на которое разбивается толщина грунта, оттаявшего к моменту времени tg;

- осадка уплотнения основания от действия собственного веса оттаявшего грунта, определяемая по формуле

(2.54)

- давление в середине
i-го слоя, от собственного веса грунта, равное по главе СНиП II-18-76 "Основания и фундаменты на вечномерзлых грунтах"

(здесь

- объемный вес грунта, кгс/см
3;
h - глубина заложения подошвы от отметки планировки, см;
zi-1, zi - расстояние от подошвы фундамента соответственно до кровли и подошвы i-го слоя, см);

- осадка уплотнения в момент времени
tg, вызванная длительным приложением переменного во времени дополнительного давления
q(
t) от здания за период от начала нагружения до начала рассматриваемого этапа

и определяемая по формулам:
при возрастании давления (нагружение)

(2.55)
при уменьшении давления (разгрузка)

(2.56)

- величина напряжения в каждом
i-том слое основания, вызванного дополнительным давлением
qg-1 от здания; по рекомендованной СНиП II-18-76 расчетной схеме основания в виде линейно-деформируемого слоя конечной толщины эту величину можно приближенно определять по формуле

(2.57)
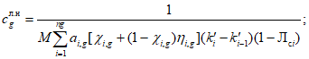
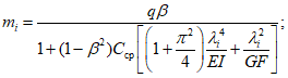
2.52. Величина коэффициента жесткости основания

на этапе

определяется по формулам:
при увеличении давления (нагружение)

(2.58)
при уменьшении давления (разгрузка)

(2.59)
M - безразмерный коэффициент, учитывающий концентрацию напряжений вследствие наличия подстилающего слоя (мерзлого грунта), определяемый в зависимости от отношения
H/
b по
табл. 2.9;
H - расстояние от подошвы фундамента до границы вечномерзлого или малосжимаемого слоя, см;
b - ширина подошвы фундамента, см;

,

- безразмерные коэффициенты, определяемые по
табл. 2.10 соответственно для кровли и подошвы
i-го слоя в зависимости от отношения
H/
b и коэффициента Пуассона грунта, значение которого может приниматься равным: 0,27 - для крупнообломочных грунтов; 0,3 - для песков и супесей; 0,35 - для суглинков; 0,42 - для глин;
ki-1, ki - безразмерные коэффициенты, принимаемые в зависимости от формы подошвы фундамента, отношений l/b (l - длина фундамента), H/b и положения рассматриваемой точки.
Отношение H/b | Коэффициент M | Отношение H/b | Коэффициент M |
| 1,35 | | 1,10 |
| 1,25 | | 1,05 |
| 1,15 | | 1 |
| Коэффициенты  при отношении H/ b, равном |
0,25 | 0,5 | 0,75 | 1 | 1,5 | 2 | 2,5 | 5 | 10 |
0,27 | 1,35 | 1,33 | 1,31 | 1,31 | 1,29 | 1,29 | 1,29 | 1,28 | 1,28 |
0,3 | 1,35 | 1,35 | 1,35 | 1,35 | 1,35 | 1,35 | 1,35 | 1,35 | 1,35 |
0,35 | 1,36 | 1,42 | 1,45 | 1,47 | 1,49 | 1,5 | 1,52 | 1,53 | 1,54 |
0,42 | 1,55 | 1,79 | 1,93 | 2 | 2,1 | 2,15 | 2,18 | 2,24 | 2,28 |
Для точки подошвы фундамента, находящегося на вертикальной оси, проходящей через середину здания, коэффициент ki вычисляется по формуле

(2.60)
где
k0i - значение
k0 для центра фундамента, принимаемое по
табл. 2.11 для глубины
k1i - значение
k1 для середины большей стороны фундамента, принимаемое по
табл. 2.12.
z/b | Коэффициенты k0 при l/b, равном |
1 | 1,4 | 1,8 | 2,4 | 3,2 | 5 | 10 и более |
0 | 0,000 | 0,000 | 0,000 | 0,000 | 0,000 | 0,000 | - |
0,2 | 0,128 | 0,126 | 0,124 | 0,123 | 0,123 | 0,122 | 0,122 |
0,4 | 0,277 | 0,273 | 0,271 | 0,268 | 0,265 | 0,263 | 0,262 |
0,6 | 0,406 | 0,411 | 0,410 | 0,407 | 0,403 | 0,400 | 0,397 |
0,8 | 0,508 | 0,526 | 0,530 | 0,529 | 0,526 | 0,521 | 0,517 |
1,0 | 0,586 | 0,618 | 0,630 | 0,634 | 0,633 | 0,627 | 0,622 |
1,2 | 0,645 | 0,691 | 0,712 | 0,723 | 0,725 | 0,720 | 0,714 |
1,4 | 0,691 | 0,750 | 0,779 | 0,798 | 0,805 | 0,803 | 0,795 |
1,6 | 0,728 | 0,797 | 0,835 | 0,862 | 0,874 | 0,875 | 0,867 |
1,8 | 0,757 | 0,836 | 0,881 | 0,916 | 0,934 | 0,939 | 0,932 |
2,0 | 0,782 | 0,868 | 0,920 | 0,963 | 0,987 | 0,998 | 0,991 |
2,2 | 0,802 | 0,896 | 0,953 | 1,003 | 1,033 | 1,050 | 1,045 |
2,4 | 0,820 | 0,919 | 0,982 | 1,038 | 1,074 | 1,097 | 1,094 |
2,6 | 0,834 | 0,939 | 1,007 | 1,068 | 1,111 | 1,140 | 1,140 |
2,8 | 0,847 | 0,957 | 1,028 | 1,095 | 1,143 | 1,180 | 1,183 |
3,0 | 0,858 | 0,972 | 1,048 | 1,119 | 1,172 | 1,216 | 1,223 |
3,2 | 0,868 | 0,985 | 1,064 | 1,141 | 1,199 | 1,249 | 1,260 |
3,4 | 0,877 | 0,997 | 1,080 | 1,160 | 1,222 | 1,279 | 1,295 |
3,6 | 0,885 | 1,008 | 1,093 | 1,177 | 1,244 | 1,307 | 1,328 |
3,8 | 0,892 | 1,018 | 1,105 | 1,193 | 1,263 | 1,332 | 1,359 |
4,0 | 0,898 | 1,027 | 1,116 | 1,207 | 1,281 | 1,356 | 1,388 |
4,5 | 0,912 | 1,045 | 1,140 | 1,238 | 1,320 | 1,409 | 1,455 |
5,0 | 0,922 | 1,060 | 1,159 | 1,263 | 1,352 | 1,453 | 1,514 |
5,5 | 0,931 | 1,073 | 1,175 | 1,283 | 1,378 | 1,490 | 1,566 |
6,0 | 0,939 | 1,083 | 1,188 | 1,300 | 1,401 | 1,522 | 1,612 |
8,0 | 0,959 | 1,111 | 1,224 | 1,348 | 1,463 | 1,614 | 1,755 |
| | ИС МЕГАНОРМ: примечание. Текст в графе "3,2" дан в соответствии с официальным текстом документа. | |
|
10 | 0,972 | 1,129 | 1,246 | 1,378 | 11,502 | 1,672 | 1,852 |
z/b | Коэффициенты k1 при l/b, равном |
1 | 1,4 | 1,8 | 2,4 | 3,2 | 5 | 10 и более |
0 | 0,000 | 0,000 | 0,000 | 0,000 | 0,000 | 0,000 | 0,000 |
0,2 | 0,062 | 0,060 | 0,059 | 0,058 | 0,058 | 0,057 | 0,057 |
0,4 | 0,135 | 0,132 | 0,129 | 0,127 | 0,125 | 0,123 | 0,122 |
0,6 | 0,204 | 0,206 | 0,204 | 0,201 | 0,198 | 0,195 | 0,192 |
0,8 | 0,265 | 0,275 | 0,277 | 0,275 | 0,272 | 0,267 | 0,263 |
1,0 | 0,316 | 0,336 | 0,343 | 0,346 | 0,344 | 0,338 | 0,333 |
1,2 | 0,359 | 0,389 | 0,403 | 0,410 | 0,411 | 0,406 | 0,400 |
1,4 | 0,394 | 0,433 | 0,454 | 0,468 | 0,473 | 0,470 | 0,462 |
1,6 | 0,423 | 0,472 | 0,499 | 0,520 | 0,529 | 0,529 | 0,521 |
1,8 | 0,448 | 0,504 | 0,538 | 0,565 | 0,580 | 0,583 | 0,576 |
2,0 | 0,469 | 0,532 | 0,572 | 0,605 | 0,626 | 0,634 | 0,627 |
2,2 | 0,487 | 0,556 | 0,601 | 0,641 | 0,667 | 0,681 | 0,675 |
2,4 | 0,502 | 0,577 | 0,626 | 0,672 | 0,704 | 0,724 | 0,720 |
2,6 | 0,516 | 0,595 | 0,649 | 0,700 | 0,737 | 0,763 | 0,762 |
2,8 | 0,528 | 0,611 | 0,669 | 0,725 | 0,767 | 0,800 | 0,802 |
3,0 | 0,538 | 0,625 | 0,687 | 0,748 | 0,794 | 0,833 | 0,839 |
3,2 | 0,547 | 0,638 | 0,703 | 0,768 | 0,819 | 0,864 | 0,875 |
3,4 | 0,555 | 0,649 | 0,717 | 0,786 | 0,841 | 0,893 | 0,908 |
3,6 | 0,563 | 0,660 | 0,730 | 0,802 | 0,862 | 0,920 | 0,939 |
3,8 | 0,570 | 0,669 | 0,741 | 0,817 | 0,880 | 0,944 | 0,969 |
4,0 | 0,576 | 0,677 | 0,752 | 0,831 | 0,898 | 0,967 | 0,998 |
4,5 | 0,589 | 0,695 | 0,775 | 0,860 | 0,935 | 1,018 | 1,062 |
5,0 | 0,599 | 0,710 | 0,793 | 0,884 | 0,966 | 1,060 | 1,119 |
5,5 | 0,608 | 0,722 | 0,808 | 0,904 | 0,991 | 1,097 | 1,170 |
6,0 | 0,615 | 0,732 | 0,821 | 0,921 | 1,013 | 1,128 | 1,216 |
8,0 | 0,635 | 0,760 | 0,857 | 0,969 | 1,075 | 1,219 | 1,356 |
10 | 0,647 | 0,777 | 0,879 | 0,998 | 1,113 | 1,276 | 1,453 |
Для точки подошвы фундамента, находящейся на вертикальной оси, проходящей через край здания, коэффициент ki равен:

(2.61)
где
k2i - значение
k2 для середины меньшей стороны фундамента, принимаемое по
табл. 2.13;
k3i - значение
k3 для угловых точек фундамента, принимаемое по
табл. 2.14.
z/b | Коэффициент k2 при l/b, равном |
1 | 1,4 | 1,8 | 2,4 | 3,2 | 5 | 10 и более |
0,0 | 0,000 | 0,000 | 0,000 | 0,000 | 0,000 | 0,000 | 0,000 |
0,2 | 0,062 | 0,061 | 0,061 | 0,061 | 0,061 | 0,061 | 0,061 |
0,4 | 0,135 | 0,133 | 0,132 | 0,132 | 0,131 | 0,131 | 0,131 |
0,6 | 0,204 | 0,202 | 0,201 | 0,200 | 0,199 | 0,199 | 0,198 |
0,8 | 0,265 | 0,264 | 0,262 | 0,261 | 0,260 | 0,259 | 0,258 |
1,0 | 0,316 | 0,317 | 0,316 | 0,314 | 0,312 | 0,311 | 0,310 |
1,2 | 0,359 | 0,362 | 0,362 | 0,360 | 0,359 | 0,357 | 0,356 |
1,4 | 0,394 | 0,401 | 0,402 | 0,401 | 0,399 | 0,397 | 0,396 |
1,6 | 0,423 | 0,435 | 0,438 | 0,438 | 0,436 | 0,433 | 0,431 |
1,8 | 0,448 | 0,464 | 0,469 | 0,470 | 0,468 | 0,466 | 0,463 |
2,0 | 0,469 | 0,489 | 0,496 | 0,499 | 0,498 | 0,495 | 0,493 |
2,2 | 0,487 | 0,511 | 0,520 | 0,525 | 0,525 | 0,522 | 0,519 |
2,4 | 0,502 | 0,530 | 0,542 | 0,548 | 0,549 | 0,547 | 0,544 |
2,6 | 0,516 | 0,547 | 0,561 | 0,570 | 0,572 | 0,570 | 0,566 |
2,8 | 0,528 | 0,562 | 0,579 | 0,589 | 0,593 | 0,591 | 0,588 |
3,0 | 0,538 | 0,575 | 0,594 | 0,607 | 0,612 | 0,611 | 0,607 |
3,2 | 0,547 | 0,587 | 0,608 | 0,623 | 0,629 | 0,630 | 0,626 |
3,4 | 0,555 | 0,598 | 0,621 | 0,638 | 0,646 | 0,648 | 0,644 |
3,6 | 0,563 | 0,608 | 0,633 | 0,651 | 0,661 | 0,664 | 0,660 |
3,8 | 0,570 | 0,617 | 0,643 | 0,664 | 0,675 | 0,680 | 0,676 |
4,0 | 0,578 | 0,625 | 0,653 | 0,676 | 0,689 | 0,694 | 0,691 |
4,5 | 0,589 | 0,642 | 0,674 | 0,701 | 0,718 | 0,728 | 0,725 |
5,0 | 0,599 | 0,656 | 0,692 | 0,723 | 0,743 | 0,757 | 0,756 |
5,5 | 0,608 | 0,668 | 0,706 | 0,741 | 0,765 | 0,783 | 0,784 |
6,0 | 0,615 | 0,678 | 0,719 | 0,756 | 0,784 | 0,806 | 0,897 |
8,0 | 0,635 | 0,706 | 0,753 | 0,801 | 0,839 | 0,877 | 0,894 |
10,0 | 0,647 | 0,723 | 0,775 | 0,829 | 0,875 | 0,926 | 0,957 |
z/b | Коэффициент k3 при l/b, равном |
1 | 1,4 | 1,8 | 2,4 | 3,2 | 5 | 10 и более |
0,0 | 0,000 | 0,000 | 0,000 | 0,000 | 0,000 | 0,000 | 0,000 |
0,2 | 0,029 | 0,029 | 0,029 | 0,029 | 0,029 | 0,028 | 0,028 |
0,4 | 0,064 | 0,063 | 0,062 | 0,062 | 0,061 | 0,061 | 0,061 |
0,6 | 0,102 | 0,100 | 0,098 | 0,097 | 0,097 | 0,096 | 0,096 |
0,8 | 0,138 | 0,137 | 0,135 | 0,134 | 0,133 | 0,132 | 0,131 |
1,0 | 0,172 | 0,172 | 0,171 | 0,169 | 0,168 | 0,167 | 0,166 |
1,2 | 0,203 | 0,206 | 0,205 | 0,203 | 0,202 | 0,200 | 0,199 |
1,4 | 0,230 | 0,236 | 0,236 | 0,235 | 0,233 | 0,231 | 0,230 |
1,6 | 0,254 | 0,263 | 0,265 | 0,265 | 0,263 | 0,261 | 0,259 |
1,8 | 0,275 | 0,287 | 0,291 | 0,292 | 0,291 | 0,288 | 0,286 |
2,0 | 0,293 | 0,309 | 0,315 | 0,317 | 0,316 | 0,314 | 0,311 |
2,2 | 0,309 | 0,328 | 0,337 | 0,340 | 0,340 | 0,338 | 0,335 |
2,4 | 0,322 | 0,346 | 0,356 | 0,362 | 0,362 | 0,360 | 0,357 |
2,6 | 0,335 | 0,361 | 0,374 | 0,381 | 0,383 | 0,381 | 0,378 |
2,8 | 0,346 | 0,375 | 0,390 | 0,399 | 0,402 | 0,401 | 0,397 |
3,0 | 0,355 | 0,387 | 0,404 | 0,416 | 0,420 | 0,420 | 0,416 |
3,2 | 0,364 | 0,399 | 0,417 | 0,431 | 0,437 | 0,437 | 0,433 |
3,4 | 0,372 | 0,409 | 0,429 | 0,445 | 0,452 | 0,454 | 0,450 |
3,6 | 0,379 | 0,418 | 0,441 | 0,458 | 0,467 | 0,469 | 0,466 |
3,8 | 0,385 | 0,426 | 0,451 | 0,470 | 0,481 | 0,485 | 0,481 |
4,0 | 0,391 | 0,434 | 0,460 | 0,481 | 0,493 | 0,499 | 0,495 |
4,5 | 0,403 | 0,451 | 0,480 | 0,506 | 0,522 | 0,531 | 0,529 |
5,0 | 0,414 | 0,465 | 0,497 | 0,527 | 0,547 | 0,560 | 0,559 |
5,5 | 0,422 | 0,476 | 0,512 | 0,545 | 0,568 | 0,585 | 0,586 |
6,0 | 0,429 | 0,486 | 0,524 | 0,560 | 0,586 | 0,608 | 0,611 |
8,0 | 0,449 | 0,513 | 0,558 | 0,604 | 0,641 | 0,678 | 0,694 |
10,0 | 0,461 | 0,530 | 0,579 | 0,631 | 0,676 | 0,726 | 0,757 |
2.53. Величина предельного отпора грунта

определяется по
формуле (28) главы СНиП II-15-74.
2.54. В случае ориентировочного расчета допустимо одноэтапное решение задачи. В этом случае

;

. Тогда величина вертикального перемещения
S0 вычисляется по формулам:
при увеличении дополнительного давления

(2.62)
при уменьшении дополнительного давления

(2.63)
Sот определяется по формуле

(2.64)
q - нагрузка от здания на фундамент.
Величина коэффициента жесткости основания Cл вычисляется по формуле

(2.65)
3. ОБЩИЕ УКАЗАНИЯ ПО РАСЧЕТУ ЗДАНИЙ
3.1. Конструкции панельных жилых зданий, проектируемых для строительства в особых грунтовых условиях, должны удовлетворять требованиям расчета по потере несущей способности или полной непригодности к эксплуатации (первая группа предельных состояний) и по непригодности к нормальной эксплуатации (вторая группа предельных состояний).
Расчетом на воздействие неравномерных деформаций основания по первой группе предельных состояний следует проверять:
конструкции здания и их стыковые соединения для предотвращения разрушений в период строительства и расчетного срока эксплуатации здания;
здание в целом для предотвращения недопустимого крена;
основание здания для предотвращения потери его несущей способности.
Расчетом по второй группе предельных состояний должны быть проверены:
панели перекрытий и связи между ними на усилия, возникающие в плоскости перекрытий;
стены здания для ограничения раскрытия трещин и взаимных смещений панелей.
3.2. Расчет конструкций зданий должен производиться с учетом наиболее неблагоприятных комбинаций нагрузок и воздействий. Комбинации нагрузок и воздействий, а также порядок их учета при расчете по первой и второй группам предельных состояний, следует принимать в соответствии с рекомендациями
пп. 3.6 и
3.7 настоящего Руководства, а для подрабатываемых территорий - с учетом дополнительных требований главы
СНиП II-8-78.
3.3. Перемещения и усилия в конструкциях панельных зданий при расчете по предельным состояниям первой и второй группы следует, как правило, определять с учетом неупругих деформаций бетона и арматуры и наличия трещин.
Учет неупругих деформаций материала допускается осуществлять путем снижения начальных модулей упругости в соответствии с указаниями
Инструкции по проектированию конструкций панельных жилых зданий.
3.4. Усилия, действующие в плоскости стен и перекрытий в зависимости от характера деформаций основания, особенностей конструктивно-планировочного решения и требуемой точности расчета, следует, как правило, определять на основе пространственных или плоских расчетных схем.
При определении реактивных давлений основания и обобщенных усилий в зданиях допускается принимать расчетные схемы в виде балки, системы перекрестных балок и плиты, лежащих на деформируемом основании. С помощью таких расчетных схем производятся, при необходимости, учет нелинейных и длительных деформаций основания, определение невыгодного положения источника замачивания относительно здания на просадочных грунтах и наиболее неблагоприятного положения здания на мульде сдвижения при подработке и т.д. При этом усилия в элементах конструкций могут определяться на основе следующих расчетных схем:
а) из здания выделяются отдельные стены, каждая из которых рассчитывается независимо как плоская пластинчатая или стержневая система на непосредственно приложенные к ней нагрузки, часть которых (реакции основания, усилия взаимодействия между стенами) определяется из расчета по балочной или плитной расчетной схеме;
б) используются заранее установленные для данного вида зданий (теоретическим или экспериментальным путем) законы распределения усилий по высоте стен.
3.5. Расчетную схему основания, используемую при расчете деформаций грунтов от нагрузок, следует принимать в соответствии с указаниями
гл. 2 настоящего Руководства.
3.6. При расчете панельных зданий и их конструкций следует учитывать следующие нагрузки и воздействия:
постоянные:
а) вес конструкций зданий;
б) вес и боковое давление грунтов;
длительные:
а) нагрузки на перекрытия технических этажей и чердачных помещений, нормативные величины которых принимаются равными весу установленного оборудования и дополнительно 75 кгс/м2;
б) воздействие неравномерных деформаций оснований, возникающих при обжатии грунта нагрузками от здания и не сопровождающихся изменением структуры и свойств грунта;
нагрузка на перекрытия от веса людей, мебели и легкого оборудования в размере 50 кгс/м2 (указанная нагрузка считается действующей во всех помещениях жилого дома, а также на балконах, лоджиях, в лестничных клетках, коридорах, вестибюлях и пр.);
| | ИС МЕГАНОРМ: примечание. Обозначение пункта дано в соответствии с официальным текстом документа. | |
г) снеговая нагрузка, равная нормативной минус 70 кгс/м2 для районов, где нормативная снеговая нагрузка 70 кгс/м2 и ниже, а длительная временная нагрузка от снега равна нулю;
температурное климатическое воздействие, обусловленное годовым изменением среднемесячных температур наиболее холодного и теплого месяцев;
| | ИС МЕГАНОРМ: примечание. Обозначение пункта дано в соответствии с официальным текстом документа. | |
е) влажностное воздействие, обусловленное уменьшением начальной изготовительной влажности до равновесного состояния и сопровождающееся деформациями усадки;
кратковременные:
а) нагрузка на перекрытие жилых зданий, равных нормативной нагрузке минус нагрузка величиной 50 кгс/м2, которая считается длительной;
нормативная временная нагрузка при расчете элементов, к которым она непосредственно приложена, принимается в размере:
в квартирах - 150 кгс/м2;
в вестибюлях, коридорах, лестницах и относящихся к ним проходах - 300 кгс/м2;
на балконах и лоджиях - 400 кгс/м2 на полосе шириной 0,8 м, которая примыкает к внешнему ограждению, либо 200 кгс/м2 по всей площади (учитывается нагрузка, вызывающая наибольшие усилия);
при расчете основания, фундаментов и стен величина нормативной нагрузки во всех перечисленных помещениях принимается равной 150 кгс/м
2 (при этом суммарную нагрузку допускается снижать умножением на коэффициент

, где
m - число учитываемых в расчете полностью загруженных перекрытий над рассматриваемым сечением);
б) снеговая нагрузка, равная нормативной нагрузке, но не более 70 кгс/м2;
в) климатическое температурно-влажностное воздействие, обусловленное максимально возможным изменением температуры и влажности конструкции (с учетом суточных изменений под влиянием суточных колебаний температуры воздуха и прямого солнечного облучения ограждающих конструкций);
г) ветровая нагрузка;
особые:
а) воздействие неравномерных деформаций основания при оттаивании вечномерзлых грунтов;
б) воздействие просадок основания, возникающих при замачивании лессовидных грунтов;
в) воздействие сдвижений и деформаций земной поверхности в районах горных выработок;
г) нагрузки, вызванные резкими нарушениями нормальных условий эксплуатации (взрыв бытового газа или других взрывоопасных веществ, пожар и т.п.);
д) нагрузки, возникающие при выравнивании зданий, от подъемных устройств.
3.7. Расчет конструкций следует выполнять с учетом наиболее неблагоприятных комбинаций нагрузок и воздействий или соответствующих им усилий. Нагрузки и воздействия, учитываемые в различных основных сочетаниях нагрузок, и коэффициенты перегрузки, на которые должны умножаться нормативные величины нагрузок и воздействий в различных комбинациях при расчете конструкций жилых зданий и их оснований, приведены в табл. 3.1.
Номера расчетных комбинаций нагрузок и воздействий | Коэффициенты перегрузки, учитываемые в расчетных комбинациях различных по продолжительности нагрузок и воздействий |
постоянных от собственного веса конструкций, объемный вес которых | длительных | кратковременных | особых |
от веса людей и мебели <*> | снеговых | температурно-влажностных воздействий | воздействий неравномерных деформаций основания | от веса людей, мебели и временного оборудования <*> | снеговых | температурно-влажностных воздействий | ветровых | при выравнивании | прочие |
более 1800 кгс/м3 | 1800 кгс/м3 |
При расчете по первой группе предельных состояний |
1 | 1,1 | 1,2 | 1,4 | - | - | - | 1,4 | - | - | - | - | - |
2 | 1,1 | 1,2 | - | 1,4 | - | - | - | 1,4 | - | - | - | - |
3 | 1,1 | 1,2 | | | - | - | | - | - | - | - | - |
4 | 1,1 | 1,2 | 1,4 | 1,4 | | - | - | - | | - | - | - |
5 | 1,1 | 1,2 | 1,4 | 1,4 | - | 1 | - | - | - | - | - | - |
6 | 1,1 | 1,2 | 1,4 | 1,4 | - | - | - | - | - | 1,2 | - | - |
7 | 1,1 | 1,2 | 1,4 | 1,4 | 0,9 | 0,9 | - | - | - | 0,9·1,2 | - | - |
8 | 1,1 | 1,2 | 1,4 | 1,4 | - | - | - | - | - | - | - | 1 |
9 | 1,1 | 1,2 | 1,4 | 1,4 | | | | | | | 1,5 | - |
При расчете по второй группе предельных состояний |
10 | 1 | 1 | 1 | - | - | - | - | - | - | - | - | - |
11 | 1 | 1 | 1 | - | - | - | 1 | - | - | - | - | - |
12 | 1 | 1 | - | 1 | - | - | - | - | - | - | - | - |
13 | 1 | 1 | - | 1 | - | - | - | 1 | - | - | - | - |
14 | 1 | 1 | 1 | 1 | 0,9 | 0,9 | - | - | - | 0,9 | - | - |
15 | 1 | 1 | 1 | 1 | - | - | -- | - | - | - | 1 | - |
--------------------------------
<*> Нагрузки в коридорах, вестибюлях, лестничных клетках, балконах, лоджиях принимаются с коэффициентом перегрузки 1,3.
<**> Учитывается длительная или кратковременная составляющая температурного воздействия.
Примечание. Коэффициент

определяется по формуле
, где
m - число этажей, расположенных выше рассматриваемого горизонтального сечения.
Порядок учета различных нагрузок и воздействий при расчете по первой и второй группам предельных состояний показан в табл. 3.2.
Проверяемая расчетом конструкция | Характер расчета | Номера расчетных комбинаций (см. табл. 3.1) при проверке |
прочности | прогибов | наличия трещин и их раскрытия |
Панели перекрытий | На изгиб из плоскости | 1 | 10 | 11 |
На растяжение | 8 | - | - |
Кровельные панели | То же | 2 | 12 | 13 |
Стеновые панели | На сжатие и изгиб в плоскости стены | 3 - 8 | - | 14 |
Стыковые соединения | На срез, растяжение | 4 - 8 | - | 14 |
Надпроемные перемычки | На изгиб от вертикальной нагрузки | 1 | - | 11 |
На перекос | 4 - 8 | - | 14 |
Конструкции фундаментов | На растяжение и изгиб в плоскости стены | 8 | - | - |
На продавливание | 9 | - | - |
Основание | Давление | 15 | - | По несущей способности |
3.8. Расчет панельных зданий или их частей на воздействие неравномерных деформаций основания допускается выполнять на основе одно-, двух- или трехмерных расчетных схем.
Одномерные расчетные схемы (стержни, балки) применяются тогда, когда изменение свойств (физических, конструктивных, геометрических, деформационных) конструкции, внешних воздействий и условий опирания в направлении двух других измерений пренебрежимо мало.
Применение двухмерных расчетных схем допускается в тех случаях, когда изменение указанных выше свойств несущественно в направлении одного из трех измерений.
Трехмерные расчетные схемы должны применяться в тех случаях, когда из трех направлений измерений нельзя выделить одно или два с преобладающим изменением свойств, перечисленных выше.
3.9. Выбор расчетной схемы и степень идеализации рассчитываемой конструкции здания должны проводиться с учетом особенностей конструктивно-планировочного решения здания, характера и величин расчетных деформаций основания, степени достоверности исходных данных, а также требуемой точности расчета.
Расчетная схема здания и применяемый метод расчета должны позволять, в необходимых случаях, учитывать физическую, конструктивную и геометрическую нелинейность, ползучесть материалов конструкций и основания.
3.10. В зависимости от вида расчетного элемента, положенного в основу расчетной схемы, рекомендуется применять расчетные схемы следующих типов:
стержневые системы с дискретными связями (балочные, рамные, решетчатые);
плитные и пластинчато-стержневые системы;
составные тонкостенные стержни;
составные призматические оболочки;
комбинированные системы.
Применение вышеуказанных схем должно учитывать возможность максимального использования для расчета на ЭВМ.
Перечень разработанных программ для ЭВМ по расчету панельных зданий и их конструкций приведен в табл. 3.3.
Таблица 3.3
N п.п. | Программа | Назначение и характеристика программы | Тип ЭВМ | Организация-разработчик |
1 | ГАММА-3 | Расчет конструкций панельных зданий как плоских систем, МКЭ | МИНСК-32 (22) М-222 | Киев-ЗНИИЭП |
2 | ГАММА-4 | Расчет панельных зданий по пространственной схеме, МКЭ | МИНСК-32 (22) | " |
3 | РАЗДАН-М | Пространственный расчет зданий повышенной этажности на основе составных тонкостенных стержней | М-222 | Сиб-ЗНИИЭП |
4 | АРЗ | Расчет зданий и диафрагм жесткости по пространственной схеме, тонкостенные стержни | МИНСК-22 | ЦНИИЭП жилища |
5 | ЭКСПРЕСС | Расчет пространственных стержневых систем | " | Гипрохиммаш (Киев) |
6 | СУПЕР-76 | Расчет пластинчато-стержневых систем, МКЭ | " | НИИАСС Госстроя УССР (Киев) |
7 | МАРСС-ЕС-76 | Расчет пространственных стержневых систем | ЕС-1020 (ДОС) | ЦНИПИ-АСС |
8 | КОНТАКТ (ИТК-51) | Расчет зданий на неравномерные осадки фундаментов. Составной стержень | М-222 | ЛенЗНИИЭП |
9 | МОПС 1-13 | Расчет чаш протаивания | " | " |
10 | ПРИЗ-5 | Расчет бескаркасных крупнопанельных зданий на неравномерные осадки основания в условиях горных подработок | МИНСК-32 (22) | ЦНИПИ-АСС |
11 | ППП АПЖБК | Расчет пластинчато-стержневых систем, МКЭ | ЕС-1020 (ОС ЕС) | НИИАСС Госстроя УССР (Киев) |
12 | ПРОКРУСТ | То же | ЕС-1022 (ДОС ЕС) | Дон-ПСНИИ-проект (Донецк) |
13 | РУБИН | Расчет кренов и давлений на грунт фундаментов | ЕС-1022 (ДОС ЕС) | То же |
14 | КОНТУР | Расчет зданий методом пространственных конечных элементов (ПКЭ) | ЕС-1030 (ДОС ЕС) | НИИСК Госстроя СССР (Киев) |
15 | ТОСТ-М ТОСТ-ЕС | Расчет зданий с несущими стенами как тонкостенных стержней | М-222 ЕС-1033 (ОС ЕС) | Киевпроект (Киев) |
Стержневые системы с дискретными связями
3.11. В стержневых системах основным расчетным элементом являются одномерные элементы, имеющие параметры жесткости, соответствующие характеру их работы. Совместность деформаций элементов обеспечивается в конечном числе точек (узлов) с помощью жестких или податливых связей.
Наиболее упрощенной расчетной схемой является стержень (балка), покоящийся на упругом основании (
рис. 3.1,
а). Стержень имеет жесткостные характеристики, соответствующие приведенной жесткости отдельной стены или здания в целом:
EI, GF.
Рис. 3.1. Стержневые системы
а - балочная; б - балочно-составная;
в - балочно-перекрестная
Такая расчетная схема служит для определения реакций основания под зданием, являющихся нагрузкой на здание со стороны деформируемого основания. С помощью балочной расчетной схемы значительно облегчается учет при расчете здания таких факторов, как неоднородность грунтов основания по длине здания, нелинейная зависимость осадок оснований от давлений и т.п. Приведенные жесткостные характеристики балки определяются по специальной методике.
Балочная расчетная схема рекомендуется для расчета зданий высотой до 9 этажей с несущими наружными и внутренними продольными и поперечными стенами при опирании перекрытий размером на комнату по контуру.
3.12. Для определения усилий действующих в плоскости стены здания, последняя может рассматриваться как балочно-составная система, состоящая из горизонтальных параллельных балок, соединенных конечным числом связей (
рис. 3.1,
б).
Жесткость балок соответствует жесткости перемычек с примыкающими участками перекрытий, а жесткость связей - жесткости простенков.
Перекрестная система (
рис. 3.1,
в) представляет собой раму на упругом основании, работающую на нагрузку в своей и перпендикулярной плоскости. В такой расчетной схеме стержни обоих направлений моделируют работу продольных и поперечных стен и примыкающих к ним участков перекрытий. Стержни имеют жесткости, равные приведенным жесткостным характеристикам стен и примыкающих к ним участков перекрытий. Расчетная схема в виде перекрестной стержневой системы позволяет приближенно учитывать пространственный характер работы здания и рекомендуется для определения усилий взаимодействия между основанием и зданием высотой до 9 этажей с несущими продольными и редко или нерегулярно расположенными поперечными стенами.
| | ИС МЕГАНОРМ: примечание. Нумерация пунктов дана в соответствии с официальным текстом документа. | |
3.14. В рамных расчетных схемах стена здания рассматривается как многоэтажная многопролетная рама. Стойками рамы являются простенки, а ригелями - перемычки с учитываемыми в расчете частями перекрытий (
рис. 3.2,
а).
Рис. 3.2. Стержневые системы
а - рамная; б, в - модели участка повышенной жесткости;
г - решетчатая; 1 - участок повышенной жесткости;
2 - жесткие траверсы (

;
EF = 0);
3 - шарнир; 4 - фрагмент стены
Глухие участки стен моделируются стержнями повышенной жесткости (
рис. 3.2,
б) либо уточненной моделью стержневой системы (
рис. 3.2,
в).
Рамные расчетные схемы рекомендуется применять, как правило, для расчета отдельных стен здания.
3.15. Отдельные стены здания или его элементы (панели) могут быть рассчитаны по решетчатой расчетной схеме, представляющей собой систему вертикальных, горизонтальных и наклонных стержней, шарнирно соединенных между собой в узлах (
рис. 3.2,
г).
Жесткости отдельных стержней, заменяющих сплошную стену, определяются на основе зависимостей, полученных из условий равенства деформаций исходной и заменяющей системы.
Плитные и пластинчато-стержневые системы
3.16. Конструктивные решения панельных зданий хорошо описываются расчетными схемами с использованием двумерных (плит и пластин) и одномерных (стержней) расчетных элементов.
Для определения усилий взаимодействия зданий, имеющих сложное очертание в плане, с искривленным основанием, рекомендуется расчетная схема в виде абсолютно жесткой плиты (штампа) (
рис. 3.3,
а). Данная расчетная схема применима для зданий с фундаментом в виде монолитной плиты и соотношением высоты здания
H к размеру в плане
L -
H:
L 
1.
Рис. 3.3. Пластинчатые системы
а - жесткий штамп; б - двухслойная плита; в - плита
конечной жесткости; г - пространственная схема;
1 - фундамент; 2 - здание; 3 - конечный элемент;
4 - основание; 5 - расчетный элемент;
6 - связь или контактный элемент
При расчете здания на основе заменяющей плиты с использованием программных средств целесообразно представление здания и фундаментной части в виде различных плит, объединенных в дискретных точках (узлах расчетной схемы) условиями совместности деформаций (
рис. 3.3,
б).
Приведенные характеристики жесткости каждой плиты определяются раздельно.
Для зданий, приведенные характеристики жесткости которых на изгиб
Dx,
Dy имеют конечные значения, может быть использована расчетная схема в виде ортотропной плиты на упругом основании (
рис. 3.3,
в).
3.17. Расчет здания в целом или отдельных его частей рекомендуется выполнять с использованием в расчетной схеме пластинчатых конечных элементов, работающих на изгиб и (или) в условиях плоского напряженного состояния (
рис. 3.3,
г).
Параметры жесткости конечных элементов:
E - модуль упругости и

- толщина, принимаются по соответствующим характеристикам конструктивных элементов.
Между узлами расчетной схемы могут быть введены также расчетные элементы в виде стержней, моделирующих конструктивные элементы (пояса, пилоны) или участки перекрытий. Связи между расчетными узлами могут быть абсолютно жесткими либо податливыми.
Рассмотренная расчетная схема позволяет рассчитывать нерегулярные по длине и высоте системы, учитывать проемность, неупругие деформации материала и т.п.
3.18. При расчете систем с большим числом неизвестных могут возникать трудности реализации на ЭВМ, связанные с ограничением ресурсов ЭВМ по объему памяти, времени счета или особенностями программных средств.
Для преодоления трудностей вычислительного характера рекомендуется использовать приемы, уменьшающие объем задачи, решаемой на ЭВМ за один этап.
Рекомендуются следующие приемы:
укрупнение расчетных элементов с целью образования "суперэлементов" (рационально для конструкций, обладающих балочно-регулярной структурой); жесткостные характеристики суперэлементов могут быть найдены через приведенные характеристики жесткости либо путем определения численных матриц жесткости на основе более подробной расчетной схемы (
рис. 3.3.
д);
выделение из здания фрагментов или отдельных конструктивных элементов и расчет их на воздействия, найденные с использованием упрощенных расчетных схем.
Составные тонкостенные стержни
3.19. Расчет зданий повышенной этажности (более девяти этажей) с несущими стенами может выполняться по расчетной схеме, в основе которой использован вертикальный составной тонкостенный стержень
(рис. 3.4). Расчетные схемы такого типа представляют собой плоскую или пространственную систему тонкостенных составных стержней и могут быть разделены на два типа:
первый тип состоит из ветвей и швов (
рис. 3.4,
а); ветви обладают конечной величиной осевой
z и сдвиговой жесткости; швы обладают конечной величиной сдвиговой и бесконечной величиной поперечной
x,
y жесткости;
второй тип состоит из поясов и стенок (
рис. 3.4,
б); пояса обладают конечной величиной осевой
z жесткости, стенки обладают конечной величиной сдвиговой и бесконечной величиной поперечной
x,
y жесткости.
Рис. 3.4. Системы составных тонкостенных стержней
а - составной стержень первого типа; б - то же,
второго типа; 1 - шов; 2 - ветвь; 3 - пояс; 4 - стенка
Осевой жесткости несущих элементов (ветвей и поясов) соответствует жесткость простенков продольных и поперечных стен, а сдвиговой жесткости связей (швов и стенок) - жесткость перемычек и прилегающих участков перекрытий.
Условиями применимости вертикальных расчетных схем являются: неизменяемость контура поперечного x, y сечения здания, что соответствует абсолютной жесткости перекрытий в своей плоскости; регулярное расположение проемов по высоте здания; ступенчато-регулярное изменение по высоте характеристик жесткости расчетных элементов.
3.20. Расчет протяженных в плане зданий (вдоль осей
x и
y) может выполняться на основе тех же расчетных схем (см.
п. 3.19), но располагаемых горизонтально.
Тогда расчетным элементам, ветвям и поясам будут соответствовать горизонтальные элементы фундаментно-подвальной и цокольной части, перемычки с примыкающими к ним участками перекрытий, железобетонные пояса.
Связевым расчетным элементам, швам и стенкам будут соответствовать простенки.
Характеристики жесткости (податливости) расчетных элементов должны определяться с учетом жесткости (податливости) конструктивных элементов связей (растворных швов и закладных деталей).
Условиями применимости горизонтальных расчетных схем являются:
неизменяемость контура поперечного (x, z или y, z) сечения здания, что соответствует абсолютной жесткости поперечных несущих стен;
регулярность расположения проемов по длине здания;
ступенчато-регулярное изменение по длине здания характеристик жесткости расчетных элементов.
Составные призматические оболочки
3.21. Расчетная схема в виде составной призматической оболочки позволяет учитывать деформации контура поперечного сечения, а также деформации поперечного сдвига.
Расчетные схемы данного вида могут быть разделены на два типа:
первый тип рассматривает составные оболочки с непрерывным законом изменения деформаций в направлении трех измерений;
для второго типа расчетной схемы принимается кусочно-линейный закон изменения деформаций в одном из направлений.
3.22. Расчетная схема первого типа представляет собой многогранную призму многосвязного контура поперечного сечения, грани которой объединены в ребрах условиями равновесия и совместности деформаций (
рис. 3.5,
а).
Рис. 3.5. Составные призматические оболочки
а - многосвязная призма; б - схема разбивки на ПКЭ;
1 - ребра; 2 - грани; 3 - пространственный конечный элемент
Геометрические и физические характеристики плоских граней оболочки эквивалентны соответствующим параметрам несущих элементов здания с учетом податливости швов и связей.
3.23. Расчетная схема второго типа представляет собой систему пространственных тонкостенных конечных элементов (ПКЭ), объединенных в направлении
z условиями равновесия (
рис. 3.5,
б).
В пределах ПКЭ в направлении оси z изменение деформаций принято линейным, а в направлении двух других осей x и y закон деформирования принят в виде конечных разложений в функциональный ряд.
В направлении осей x, y, z возможен учет податливости швов, конструктивных связей между ПКЭ и упругого неоднородного основания в виде дискретных связей конечной жесткости. В пределах каждого ПКЭ возможен учет проемов.
Податливость перекрытий в своей плоскости учитывается путем введения конечного элемента специального вида, отвечающего размерам и форме смежного ПКЭ.
Использование расчетных схем на основе ПКЭ значительно сокращает объем задачи, уменьшая количество решаемых уравнений и время счета на ЭВМ в десятки раз при сохранении той же точности расчета, что и на основе МКЭ.
Членение несущих конструкций здания на призматические оболочки или ПКЭ может выполняться как в вертикальном, так и в горизонтальном направлении.
Данные расчетные схемы имеют аналогичные с составными стержнями области применения.
3.24. Для расчета зданий на оттаивающем вечномерзлом основании применяется расчетная схема первого типа в виде горизонтальной призматической оболочки многосвязного контура поперечного сечения, усиленной продольными стержневыми элементами (стрингерами), моделирующими работу железобетонных горизонтальных поясов.
При этом в уравнения, описывающие напряженно-деформированное состояние, должны быть введены параметры, зависящие от времени.
Комбинированные системы
3.25. Для описания сложных конструктивных решений целесообразно использование комбинированных расчетных схем.
Некоторые из таких схем, рекомендуемых для анализа распределения усилий в фундаментно-подвальной части здания, приведены на рис. 3.6.
Рис. 3.6. Комбинированные расчетные схемы
а - плитно-стержневая; б - пластинчато-балочная;
1 - контактные связи; 2 - здание (EI; GF);
3 - цоколь; 4 - фундамент; 5 - основание;
6 - балочно-перекрестная система
Плитная часть фундамента может быть описана двумерными конечными элементами, цокольная часть здания представлена рамной системой, а вышележащие конструкции здания заменены балкой с приведенными характеристиками жесткости (
рис. 3.6,
а). В расчетной схеме на
рис. 3.6,
б цокольная часть здания описана конечными двумерными элементами, а ниже- и вышележащие части представлены балочной схемой с приведенными характеристиками жесткости.
Контактные связи в комбинированных расчетных схемах, моделирующие взаимодействие различных частей системы, должны учитывать конструктивное решение, деформационные характеристики материала и характер передаваемых через связи усилий.
Расчетные модели швов
3.26. В зависимости от конструктивных решений швов между панелями и возможностей программных средств, используемых для расчета, могут быть использованы различные расчетные модели швов.
Простейшей моделью шва, передающего нормальные и сдвигающие усилия, является решетчатая модель (
рис. 3.7,
а).
Рис. 3.7. Расчетные модели швов
а - решетчатая; б - рамная; в - контактная;
г - пластинчатая; д - комбинированная; 1 - конечный
элемент конструкции; 2 - конечный элемент шва;
3 - контактный элемент
Связи имеют только осевую жесткость EF, соответствующую жесткости шва на участке b.
Возможна также рамная модель шва (
рис. 3.7,
б), элементы которой имеют жесткости
EF,
EI, соответствующие участку шва
b.
Обе схемы имеют ограничения: размер шва a должен быть соизмерим с размером участка b; передача усилий в шве осуществляется в дискретных узлах.
При малых размерах шва
a целесообразно применение контактных расчетных элементов, для которых задаются погонные величины жесткости в любом из трех направлений:
Kx,
Ky,
Kz (
рис. 3.7,
в).
Непрерывный характер передачи усилий в шве можно учесть с помощью пластинчатой модели шва (
рис. 3.7,
г). При малой ширине шва
а и для сохранения соотношений конечных элементов шва
b:
c ~= 1 конечные элементы шва выводятся из плоскости основных несущих элементов.
При необходимости получения раздельных групп усилий взаимодействия в шве целесообразно применение комбинированных моделей (
рис. 3.7,
д).
4. ОПРЕДЕЛЕНИЕ ОБОБЩЕННЫХ УСИЛИЙ ПРИ РАСЧЕТЕ ЗДАНИЙ
РАСЧЕТ НА ВОЗДЕЙСТВИЕ ГОРИЗОНТАЛЬНЫХ ДЕФОРМАЦИЙ ОСНОВАНИЯ
4.1. Воздействие горизонтальных деформаций основания (величины их определяются по рекомендациям
гл. 2) в силу наличия трения грунта по подошве и заглубленным боковым поверхностям фундаментов, а также нормального давления сдвигающегося грунта на заглубленную часть фундаментов вызывает в конструкциях здания появление усилий.
4.2. Суммарное горизонтальное растягивающее усилие
N в рассчитываемом фундаменте, вызванное горизонтальными перемещениями грунта при просадке от собственного веса
(рис. 4.1), определяется по формуле
N =
Nт +
Nтп +
Nб +
Nд, (4.1)
| | ИС МЕГАНОРМ: примечание. Обозначения даны в соответствии с официальным текстом документа. | |
где Nт и Nтп - усилия, вызванные трением сдвигающегося грунта в продольном направлении по подошве рассчитываемого фундамента Nт и по подошве фундаментов, примыкающих к рассчитываемому, и передающиеся на рассчитываемый фундамент Nтп;
Nб - усилие, вызванное силами трения грунта по заглубленным боковым поверхностям рассчитываемого фундамента;
Ng - усилие, вызванное нормальным давлением сдвигающегося грунта на фундаменты, примыкающие к рассчитываемому.
Рис. 4.1. Схема сил, передающихся на фундаменты
под влиянием горизонтальных перемещений грунта
при просадке его от собственного веса
а - план фундаментов; б - продольный разрез фундаментов;
1 - силы трения по подошве фундаментов продольных стен;
2 - то же, поперечных стен, примыкающих на участке lт;
3 - силы трения по заглубленным боковым поверхностям
фундаментов; 4 - эпюры нормального давления
сдвигающегося грунта на поперечные стены
4.3. Усилие Nт находится по формуле

(4.2)
где

- расчетное относительное горизонтальное перемещение, определяемое по
формуле (2.37), максимальное значение которого принимается

;
q - расчетная нагрузка на единицу длины подошвы рассчитываемого фундамента с коэффициентом перегрузки n = 1, тс/м;
lт - длина участка здания, м, на который передаются горизонтальные перемещения;

- коэффициент трения фундамента по грунту, принимаемый приближенно для уплотненных суглинков 0,4 и супесей 0,45 в водонасыщенном состоянии (при
G 
0,8).
Длина lт зависит от протяженности здания или его отсека L, полудлины криволинейного участка просадки, грунта от собственного веса r и принимается:

(4.3)
4.4. Усилие Nтп определяется по формуле

(4.4)
где
Nтпi - усилие, передаваемое на рассчитываемый фундамент от примыкающей
i-той стены, определяется по
формуле (4.5);
n - количество стен, примыкающих к расчетной в пределах участка lт,

(4.5)
где qп - нагрузка на 1 м длины подошвы фундамента примыкающей n-й стены;
lп - длина фундамента, примыкающего к рассчитываемому.
4.5. Усилие Nб принимается равным:

(4.6)
где cз - удельное сцепление грунта обратной засыпки с заглубленной поверхностью фундамента, принимаемое для лессовидных супесей 0,2 тс/м2, суглинков 0,3 тс/м2;
F - площадь поверхности заглубленной в грунт части фундамента, м2, на участке длиной lт (включая и площадь подошвы фундамента).
| | ИС МЕГАНОРМ: примечание. Обозначения даны в соответствии с официальным текстом документа. | |
4.6. Усилие Ng, передающееся на рассчитываемый фундамент от примыкающих стен, определяется по формуле

(4.7)
где n - количество стен, примыкающих к расчетной стене в пределах участка lт;
Nдi - усилие от i-той примыкающей стены, принимается равным:

(4.8)
где

- объемный вес грунта обратной засыпки в водонасыщенном состоянии при
G 
0,8, принимается равным 1,9 тс/м
3;
hi - заглубление фундамента, м, рассматриваемой примыкающей стены;

- угол внутреннего трения грунта обратной засыпки, определяется по
табл. 4.1 при плотности

и
G 
0,8;
Обозначения характеристик грунтов | Нормативные и расчетные значения удельного сцепления cн, cр, кгс/м 2, и угла внутреннего трения  ,  , град, при объемном весе скелета  уплотненного грунта, тс/м 3, равном |
1,5 | 1,6 | 1,7 | 1,8 |
cн | 0,17 | 0,25 | 0,35 | 0,45 |
cр | 0,11 | 0,17 | 0,23 | 0,3 |
| 22 | 24 | 25 | 26 |
| 19 | 21 | 22 | 23 |
4.7. Определяется суммарное горизонтальное усилие Nп.с в рассчитываемом фундаменте, соответствующее предельному сопротивлению грунта на сдвиг,

(4.9)
где Fп - площадь подошвы фундаментов расчетной стены и участков примыкающих к ней стен на длине lт;
pср - средняя величина расчетного давления на основание, тс/м2, под подошвой фундамента;

,
cр - расчетные значения соответственно угла внутреннего трения и удельного сцепления грунта, определяемые по
табл. 4.1 в зависимости от величины объемного веса скелета уплотненного грунта при полном его водонасыщении,
G 
0,8.
За расчетную величину суммарного горизонтального усилия, возникающего в фундаменте, принимается минимальная величина, получаемая из
выражений (4.1) и
(4.9).
4.8. В случае решения фундаментно-подвальной части зданий по податливой конструктивной схеме суммарное горизонтальное усилие N, передающееся на конструкции, расположенные выше шва скольжения, определяется по формуле
N = Nт + Nтп + Nб + Nд, (4.10)
где
Nт - усилие, вызванное трением конструкций фундамента по шву скольжения при сдвиге фундаментов, определяется по
формуле (4.11);
Nтп - усилие от трения при сдвиге фундаментов по шву скольжения под примыкающими стенами и передающееся на конструкции фундамента рассчитываемой стены, определяется по
формуле (4.12);
Nб,
Nд - обозначения те же, что и в
формуле (4.1), определяются по
формуле (4.6),
(4.7), в которых принимается величина заглубления от уровня поверхности грунта до отметки шва скольжения.
4.9. Усилие Nт определяется по формуле
где
f - коэффициент трения по шву скольжения, принимаемый по
табл. 4.2,
m1 - коэффициент условий работы, учитывающий неполное развитие силы трения по шву скольжения, принимается по графику
рис. 4.2 в зависимости от
lт.
Материал заполнения шва скольжения | Расход материала, кг/м2 | Коэффициент трения f |
Два слоя полиэтиленовой пленки с прослойкой графита | 0,4 | 0,15 |
Два слоя пергамина с прослойкой молотого графита | 1 | 0,2 |
То же, с прослойкой щипаной слюды | 1 | 0,3 |
То же, с прослойкой инертной пыли | 1 | 0,4 |
Рис. 4.2. График коэффициента m1
Усилие Nтп определяется по формуле

(4.12)

- коэффициент, учитывающий неполное развитие силы трения по шву скольжения, принимается по
табл. 4.3 в зависимости от количества примыкающих стен на длине участка
lт;
n - количество стен, примыкающих к расчетной в пределах участка lт.
Количество учитываемых стен на участке lт | Коэффициент условий работы  | Количество учитываемых стен на участке lт | Коэффициент условий работы m1 |
1 | 1 | 4 | 0,6 |
2 | 0,85 | 5 | 0,5 |
3 | 0,7 | 6 | 0,4 |
Пример 4.1. Определить усилие в фундаменте продольной наружной стены (по оси
A) девятиэтажного дома серии 96 при следующих условиях.
Источник замачивания расположен за пределами плана здания; мощность просадочной толщи
H = 18 м; в основании здания - уплотненный грунтовый слой лессовидной супеси, характеризуемый объемным весом скелета

; среднее давление на грунт под подошвой фундамента
pср = 20 тс/м
2; максимальная величина просадки грунта от собственного веса

; глубина заложения фундамента от уровня планировки
h = 2 м; заглубление фундамента поперечных примыкающих стен от уровня пола
hi = 1 м. План фундаментов здания схематично представлен на рис. 4.3.
Для расчета принимаем из
табл. 4.1 следующие характеристики грунтов основания:
удельное сцепление cн = 2,5 и cр = 1,7 тс/м2;
угол внутреннего трения

и

;
коэффициент трения фундамента по грунту

;
удельное сцепление грунта обратной засыпки с поверхностью фундамента cз = 0,2 тс/м2.
По
формуле (2.28) определяем полудлину криволинейного участка просадки грунта от собственного веса, в которой принимаем для лессовидной супеси величину
r = 18·1,55 = 27,9 ~= 28 м.
Относительное горизонтальное перемещение поверхности основания вычисляется по
формуле (2.37)
Длина участка здания lт, на котором передаются горизонтальные перемещения, будет равна:
при

Определяем усилия в фундаментной части рассчитываемой стены.
Nт = 100·8·10-3·20·1,2·7·0,45 = 60,48 тс.
Nтп = 2·100·8·10-3·20·1,2·2,25·0,45 = 38,88 тс.
Nб = 100·8·10-3·0,2·28 = 4,5 тс.
По
формуле (4.1) определяем суммарное горизонтальное усилие, действующее на фундамент продольной наружной стены,
N = 60,48 + 4,5 + 38,88 + 9,4 = 113,26 тс.
Суммарное горизонтальное усилие в фундаменте, соответствующее предельному состоянию грунта на сдвиг, определяем по
формуле (4.9), в которой:
Fп = 7·1,2 + 1,2·2·2,25 = 13,8 м2;
Nп.с = 13,8(20·tg21 + 1,7) = 129,42 тс.
Из расчета получено, что N < Nп.с, следовательно, за расчетную величину горизонтального усилия, на которую необходимо конструировать фундамент продольной стены, следует принимать N = 113,26 тс.
Подрабатываемые территории
4.10. Суммарное усилие, действующее на здание и вызванное горизонтальными деформациями грунта при подработке, определяется в соответствии с рекомендациями разд. 6 Руководства
[1].
РАСЧЕТ НА ВОЗДЕЙСТВИЕ ВЕРТИКАЛЬНЫХ ДЕФОРМАЦИЙ ОСНОВАНИЯ
Обобщенные жесткостные характеристики здания
4.11. Обобщенные жесткостные характеристики при изгибе
EI и сдвиге
GF для отдельных стен или здания в целом высотой до пяти этажей рекомендуется определять в соответствии с рекомендациями Руководства
[1].
Для зданий выше пяти этажей, а также для уточнения величин жесткости, полученных из расчета по Руководству
[1], жесткостные характеристики рекомендуется определять из расчета здания с использованием строгих расчетных схем в соответствии с указаниями
пп. 5.16 -
5.18 настоящего Руководства.
Общий случай расчета зданий
4.12. Изложенная в настоящем разделе методика дана для общего случая расчета зданий в особых грунтовых условиях, когда учитываются переменные по длине жесткостные характеристики здания, переменная жесткость основания, произвольные оседания поверхности основания и нелинейная деформируемость грунта.
Здание для расчета приводится к одномерной системе - балке с переменными по длине жесткостными характеристиками. Балка, покоящаяся на произвольно искривленном основании переменной жестокости, делится на
n участков равной длины
a (рис. 4.4), где число
n назначается в зависимости от требуемой точности результатов расчета. Точки разбиения располагаются таким образом, чтобы можно было учесть характерные особенности приложения внешней нагрузки, эпюры коэффициента жесткости основания
C(
x), его искривления
y(
x), а также изменения изгибной
EI(
x) и сдвиговой
GF(
x) жесткости балки.
Рис. 4.4. К расчету балки на упругом искривленном основании
а - схема деления балки на участки; б - эпюра коэффициента
жесткости; в - деформация балки на искривленном основании
В точках 1, 2, ..., n определяются приведенные интенсивности q(x) внешней нагрузки. При наличии распределенной нагрузки g(x) приведенная интенсивность q(x) = g(x); сосредоточенные силы приводятся к эквивалентным распределенным нагрузкам.
Внешние нагрузки на балку подсчитываются в соответствии с рекомендациями
гл. 3 настоящего Руководства.
В точках 1, 2, ..., n в направлении от левого конца балки к правому определяются значения изгибающих моментов Miв и поперечных сил Qiв от внешней нагрузки, принимая положительным направление сил вверх.
Расчет здания производится по приведенному в данном разделе алгоритму с учетом указаний
пп. 4.13,
4.14.
В результате расчета определяются величины обобщенных изгибающих моментов, поперечных сил, реактивного отпора основания и осадок здания.
4.13. При рассмотрении модели основания в виде линейно-упругой системы
(п. 2.5) с помощью приведенного алгоритма решается линейно-упругая задача, для которой значения коэффициентов жесткости
C и искривления основания
y берутся из эпюр
C(
x) и
y(
x) в точках
0,
1,
2, ...,
n. Эпюра
C(
x) строится на основании зависимости
C(x) = pср/S(x).
Если в результате решения линейно-упругой задачи величины нормальных напряжений p на отдельных участках контакта основания с фундаментом не удовлетворяют условиям
0,5
pн
p 
1,5
R или
p < 0,5
pн,
p > 1,5
R (4.14)
на участке
F 
0,2
Fр, то дальнейший расчет рекомендуется производить с использованием нелинейно-неупругой системы.
pн - начальное давление сооружения на основание, действующее до появления смещений поверхности основания;
R - расчетное давление на основание, определяемое согласно требованиям главы
СНиП по проектированию оснований зданий и сооружений;
F - площадь контакта основания с фундаментом, на котором допускается превышение напряжений p;
Fр - площадь контакта основания с фундаментом, на котором появляются нормальные напряжения.
4.14. При рассмотрении нелинейно-неупругой системы решается нелинейно-неупругая задача путем многократного решения линейно-упругих задач с последовательно меняющимися жесткостными характеристиками основания. При этом учитываются нелинейная связь между деформациями и нагрузками на основание, различие в деформационных свойствах основания при нагружении и разгрузке, несущая способность основания, а также возможность нарушения контакта между фундаментом и основанием.
Последовательность решения нелинейно-неупругой задачи с использованием приведенного ниже алгоритма расчета балки на упругом основании следующая.
В нулевом приближении решается линейно-упругая задача. Рассматривается балка на неискривленном основании, находящаяся под действием внешней нагрузки (вес стены, здания и т.п.). Эпюра коэффициентов жесткости, используемых в нулевом приближении, строится на основании зависимости

(4.15)
где pср - среднее давление под подошвой фундамента на основание;
S(
x) - осадка фундамента (балки) относительно поверхности основания от внешней нагрузки, определяется в соответствии с указаниями
прил. 3 главы СНиП II-15-74.
Последовательность вычислений при решении этого приближения соответствует алгоритму. Однако следует иметь в виду, что в правой части уравнений (табл. 4.4) необходимо принять величины смещения поверхности основания yi равными нулю.
N уравнения | | | | | | ... | | ... | | | Свободные члены (правая часть) |
1 | | | | | | | | | | | B1 |
2 | A20 | | | | | | | | | | B2 |
3 | A30 | A31 | | | | | | | | | B3 |
... | ... | ... | ... | ... | ... | ... | | | | | ... |
r | Ar0 | Ar1 | Ar2 | Ar3 | Ar4 | ... | | ... | | | Br |
... | ... | ... | ... | ... | ... | ... | ... | ... | | | ... |
n - 1 | An-1, 0 | An-1, 1 | An-1, 2 | An-1, 3 | An-1, 4 | ... | An-1, i | ... | | | Bn-1 |
n | An, 0 | An, 1 | An, 2 | An, 3 | An, 4 | ... | An, i | ... | An, n-1 | An, n | Bn |
n + 1 | An+1, 0 | An+1, 1 | An+1, 2 | An+1, 3 | An+1, 4 | ... | An+1, i | ... | An+1, n-1 | An+1, n | Bn+1 |
В нулевом приближении определяются усилия в балке, осадки балки

и реактивные давления

.
В первом приближении решается линейно-упругая задача на воздействие неравномерных смещений основания. Внешняя нагрузка равна нулю. Коэффициенты жесткости основания принимаются из нулевого приближения. Результаты решения: усилия в балке, осадки балки

и реактивные давления
.
Во втором и последующих приближениях решается линейно-упругая задача аналогично первому приближению. Коэффициенты жесткости основания определяются на основании результатов предыдущего приближения исходя из нелинейной зависимости деформации основания от нагрузки, приведенной в алгоритме.
Расчет повторяется до тех пор, пока усилия или перемещения в предыдущем и последующих циклах не совпадут с заданной степенью точности. Окончательные значения силовых факторов и перемещений в системе получаются алгебраическим суммированием результатов нулевого и последнего приближения.
Алгоритм расчета балки на искривленном основании
(общий случай)
Исходными данными для расчета служат следующие величины:
n - количество участков, на которые делится балка;
a - длина участка, м;
qr - интенсивность внешней распределенной нагрузки, тс/м (r = 1, 2, ..., n - 1);
EIr, GFr - изгибная и сдвиговая жесткость балки (стены или здания), тс·м2, тс (r = 1, 2, ..., n - 1);
yi - смещение поверхности основания, м (i = 0, 1, ..., n);

- погонный коэффициент жесткости основания, тс/м
2 (
i = 0, 1, ...,
n);
Miв, Qiв - усилия в i-й точке от внешней нагрузки, тс·м, тс (i = 1, 2, ..., n);
Фi - несущая способность основания (i = 0, 1, ..., n) при вертикальной нагрузке, тс/м;

- давление на грунт под подошвой фундамента от внешней нагрузки (
i = 0, 1, ...,
n), тс/м;

- осадка балки относительно поверхности основания от внешней нагрузки, м (
i = 0, 1, ...,
n);
Cyi - погонный коэффициент жесткости основания при уменьшении давления под подошвой фундамента (разгрузке), тс/м2 (i = 0, 1, ..., n);

- величина относительной разности между наибольшими моментами смежных приближений, характеризующая точность расчета.
В

приближении расчета

вычисления ведутся в такой последовательности:
1. Определяются коэффициенты системы уравнений
(табл. 4.4), постоянные во всех приближениях расчета:
Ar0 = 3r - 1 (r = 2, 3 ..., n - 1); An0 = 1;
An+1, 0 = 3n - 1;
Ari = 6(r - i) (r = 3, 4, ..., n - 1; i = 1, 2, ..., r - 2);
Ani = 2 (i = 1, 2, ..., n - 1); Ann = 1;
An+1, i = 6(n - i) (i = 1, 2, ..., n - 1); An+1, n = 1.
2. Вычисляются параметры жесткостей:
3. Определяются коэффициенты, изменяющиеся от приближения к приближению:
4. Вычисляются свободные члены уравнений:
(r = 1, 2, ..., n - 1);
6. Решается система уравнений
табл. 4.4 относительно неизвестных интенсивностей реактивных давлений основания

в точках балки 0, 1, ...,
n.
7. Определяются осадки балки относительно поверхности основания
8. Вычисляются значения коэффициентов жесткости основания

для последующего приближения:
при

если

, то

;
если

, то

;
при

если

, то

;
если

, то

.
9. Определяются поперечные силы:
10. Определяются изгибающие моменты:
Процесс последовательных приближений производится до удовлетворения условия
где

- наибольшая величина момента, полученная в каком-либо сечении
i в

приближении расчета;

- величина момента в том же сечении в

приближении.
Пример 4.2. На
рис. 4.5 приведена расчетная схема здания в виде балки длиной
L = 20 м с постоянными изгибной и сдвиговой жесткостью:
EI = 20·10
6 тс·м
2;
GF = 1,2·10
6 тс. Внешняя нагрузка
q = 70 тс/м; несущая способность основания при вертикальной нагрузке постоянная по длине балки и равная Ф
i = 140 тс/м; коэффициент жесткости основания при разгрузке принимаем
Cyi = 40 000 тс/м
2.
а - расчетная схема здания; б - эпюры изгибающих моментов;
в - эпюры поперечных сил
Здание подвергается воздействию вертикальных ступенчатых смещений основания в соответствии со схемой, изображенной на
рис. 4.5,
а.
Решается линейно-упругая задача в нулевом приближении. Очевидно, что при однородном в плане здания основании и при принятой модели основания осадка балки от внешней нагрузки

равна

.
Решается линейно-упругая задача в первом приближении. В качестве нагрузки в первом и последующих приближениях являются только воздействия от смещения основания. Расчет следует выполнять с помощью приведенного выше алгоритма расчета балки на упругом основании, приняв в правой части системы уравнений
табл. 4.4 Qiв и
Miв равными нулю.
Коэффициент жесткости основания в первом приближении расчета принимается постоянным по длине балки и равным его значению, полученному от внешней нагрузки,
Результаты решения (осадка балки

; давление основания под подошвой фундамента

и усилия в балке) приведены в табл. 4.5.
N точки | 1-е приближение | | 2-е приближение | | 3-е приближение | |
| | | | | |
0 | -22,45 | -336,70 | 3 120 | -28,88 | -90,11 | 2 430 | -29,03 | -70,55 | 2 410 |
1 | -18,22 | -273,25 | 3 840 | -23,27 | -89,37 | 3 010 | -23,2 | -69,83 | 3 015 |
2 | -14,21 | -213,11 | 4 930 | -17,73 | -87,43 | 3 950 | -17,43 | -68,83 | 4 020 |
3 | -10,35 | -155,18 | 6 770 | -12,26 | -83 | 5 720 | -11,7 | -66,94 | 5 980 |
4 | -6,55 | -98,27 | 10 680 | -6,84 | -73,01 | 10 240 | -6,02 | -61,64 | 11 640 |
5 | -2,74 | -41,06 | 25 550 | -1,44 | -36,71 | 40 000 | -0,36 | -14,36 | 40 000 |
6 | 1,19 | 17,84 | 13 300 | 3,99 | 53,01 | 10 500 | 5,33 | 55,98 | 9 550 |
7 | 5,32 | 79,86 | 13 170 | 9,52 | 125,45 | 7 340 | 11,13 | 81,67 | 6 330 |
8 | 9,77 | 146,48 | 7 180 | 15,26 | 109,58 | 4 590 | 17,06 | 78,3 | 4 100 |
9 | 14,61 | 219,15 | 4 790 | 21,19 | 101,51 | 3 305 | 23,14 | 76,47 | 3 030 |
10 | 19,85 | 299,31 | 3 510 | 27,32 | 95,88 | 2 563 | 29,36 | 75,26 | 2 385 |
11 | 25,89 | 388,31 | 2 700 | 33,63 | 90,81 | 2 080 | 35,74 | 74,34 | 1 956 |
12 | 32,49 | 487,39 | 2 155 | 40,13 | 86,48 | 1 745 | 42,26 | 73,74 | 1 656 |
13 | 39,84 | 597,64 | 1 757 | 46,8 | 82,23 | 1 495 | 40,92 | 73,13 | 1 432 |
14 | 48 | 719,88 | 1 460 | 53,63 | 78,29 | 1 305 | 55,7 | 72,69 | 1 257 |
15 | -43,02 | -645,32 | 1 625 | -39,41 | -64,05 | 1 782 | -37,4 | -66,64 | 1 870 |
16 | -34,42 | -516,36 | 2 030 | -32,45 | -65,88 | 2 160 | -30,51 | -65,9 | 2 295 |
17 | -26,19 | -392,69 | 2 675 | -25,52 | -68,26 | 2 750 | -23,66 | -65,07 | 2 960 |
18 | -18,23 | -273,38 | 3 840 | -18,62 | -71,48 | 3 760 | -16,85 | -63,36 | 4 160 |
19 | -10,49 | -157,32 | 6 675 | -11,76 | -78,53 | 5 950 | -10,09 | -60,03 | 6 940 |
20 | -2,88 | -43,19 | 24 300 | -4,98 | -120,93 | 14 050 | -3,37 | -47,42 | 20 750 |
Решается линейно-упругая задача во втором и последующих приближениях. Коэффициенты жесткости определяются исходя из результатов предыдущего загружения на основании следующих формул:
для

,
если

, то

;
если

, то

;
для

,
если

, то

;
если

, то

.
В
табл. 4.5 приведены результаты промежуточных приближений в виде значений осадки балки

реактивного давления основания под подошвой фундамента

и коэффициентов жесткости

, а на
рис. 4.5 представлены результаты расчетов для этих же приближений в виде эпюр изгибающих моментов

и поперечных сил

в балке.
ЧАСТНЫЕ СЛУЧАИ РАСЧЕТА БАЛКИ НА УПРУГОМ ОСНОВАНИИ
Балка на основании с переменным коэффициентом жесткости
4.15. Рассматривается балка с равномерно-распределенной нагрузкой
q на неоднородном основании. Изменение коэффициента жесткости основания принято в соответствии с рекомендациями
п. 2.9.
Максимальные значения изгибающего момента Mmax и поперечной силы Qmax будут определяться по формулам:

(4.16)
где

(4.17)
| | ИС МЕГАНОРМ: примечание. Формула дана в соответствии с официальным текстом документа. | |

, (4.18)
EI,
GF - соответственно изгибная и сдвиговая жесткость балки; остальные обозначения приведены в
формулах (2.3) -
(2.7).
В
формулах (4.16) верхние знаки в правой части равенств соответствуют схеме выгиба, а нижние - схеме прогиба.
Пример 4.3. В 9-этажном панельном здании требуется определить наибольшую величину обобщенного изгибающего момента
Mmax и перерезывающей силы
Qmax от неравномерных осадок основания.
Полудлина отсечка здания
l = 31,3 м, изгибная жесткость здания
EI = 64,4·10
6 тс·м
2, сдвиговая жесткость здания
GF = 1,48·10
6 тс, средняя величина давления под подошвой фундамента на основание
p = 131,72 тс/м. Характеристики основания: средний модуль деформации грунтов основания
E = 1000 тс/м
2; средняя осадка здания
S = 0,02 м; степень изменчивости сжимаемости основания

.
Определяем вспомогательные величины.
Среднее значение коэффициента жесткости основания
Приведенная расчетная полудлина локального ослабления жесткости основания, определяемая по
формуле (4.18) с учетом
формулы (2.5), равна:
Коэффициент, характеризующий степень изменчивости сжимаемости основания, находится по
формуле (2.6)
По
формулам (4.16) находим значение максимального обобщенного изгибающего момента и поперечной силы в сечениях здания:

;

.
4.16. Рассматривается балка с равномерно-распределенной нагрузкой на упругом основании, которое характеризуется переменным коэффициентом жесткости. Форма эпюры коэффициента жесткости представлена на рис. 4.6.
Рис. 4.6. Расчетная схема к определению усилий в балке
а - нагрузка на балку; б - эпюра коэффициентов жесткости;
в - эпюра реактивных давлений основания
При симметричной эпюре коэффициента жесткости величина интенсивности реактивного давления основания определяется по формулам:

(4.19)
p1 = 2q - p0, (4.20)
где
Изгибающие моменты и поперечные силы для любого сечения в пределах левого участка балки (0
x <
a) могут быть определены из выражений:

(4.22)
Максимальная величина изгибающего момента будет в середине балки (при x = l)

(4.23)
Максимальная величина поперечной силы будет иметь место при

(4.24)
Если деформации сдвига незначительно влияют на величины усилий в системе, то в приведенных выше формулах можно принять n = 0.
Пример 4.4. Требуется рассчитать продольную наружную стену пятиэтажного здания с учетом переменной жесткости основания. Расчетная схема стены и эпюра коэффициентов жесткости основания изображены на рис. 4.7. Длина здания 2
l = 74,9 м; нагрузка
q = 6,5 тс/м; изгибная жесткость
EI = 4,87·10
6 тс x м
2; коэффициенты жесткости
C0 = 108,3 тс/м
2;
C1 = 162,4 тс/м
2.
а - расчетная схема; б - эпюра коэффициентов жесткости
По
формуле (4.23) находим максимальное значение изгибающего момента в среднем сечении стены.
Балка на основании со II типом
грунтовых условий по просадочности
4.17. В случае, когда расчетная модель здания может быть принята в виде абсолютно жесткой балки, лежащей на упругом основании с постоянным коэффициентом жесткости
C (
рис. 4.8,
а) и наклонными оседаниями (
рис. 4.8,
б и
в), наибольшие значения изгибающих моментов
Mmax и поперечных сил
Qmax определяются по формулам:

(4.25)

(4.26)
где

,

- безразмерные наибольшие значения изгибающих моментов и поперечных сил, определяемые по графикам
рис. 4.9 и
4.10.
Рис. 4.8. Балка на наклонно оседающем основании
а - расчетная схема балки и эпюра коэффициента жесткости;
б - расчетная схема наклонного оседания поверхности
основания у торца балки; в - то же, под серединой балки
Рис. 4.9. Графики для определения безразмерных величин
и
для случая наклонного оседания основания
у конца балки
Рис. 4.10. Графики для определения безразмерных величин
и
для случая наклонного оседания основания
под серединой балки
Значения
и 
определяются в зависимости от относительной длины наклонного участка поверхности основания

и приведенной наибольшей высоты оседания основания

(4.27)
где h - наибольшая расчетная высота оседания поверхности основания под зданием.
Формулами (4.25) -
(4.27) можно пользоваться при расчете зданий на воздействие просадки грунтов от их собственного веса в грунтовых условиях II типа по просадочности. При этом необходимо учитывать наиболее неблагоприятные расположения источников замачивания по отношению к зданию, вызывающих наибольшие усилия
M и
Q разных знаков.
В случае замачивания у торца (
рис. 4.8,
б) и под серединой (
рис. 4.8,
в) здания следует принимать:
при

(4.28)
при

(4.29)
где
r - расчетная полудлина криволинейного участка просадки грунта от собственного веса, определяемая согласно указаниям
п. 2.24 настоящего Руководства;
a - расчетная длина наклонного участка оседания основания под зданием, принимаемого для простоты расчетов прямолинейным;

- величина просадки грунта от собственного веса (см.
пп. 2.23,
2.25 настоящего Руководства).
Балка на искривленном линейно-деформируемом основании
4.18. Рассматривается балка на симметрично искривленном упругом основании, характеризуемом постоянным коэффициентом жесткости C. Для расчета балка делится на четыре участка (рис. 4.11). Деформации сдвига балки не учитываются.
Рис. 4.11. К расчету балки на упругом основании
Величина интенсивности реактивного давления основания в точках деления балки на участки определяется по формулам:

(4.30)
Изгибающие моменты и поперечные силы в сечениях балки вычисляются по формулам:

(4.31)
Здесь:

(4.32)
где

- сумма проекций всех внешних сил на ось.
Остальные обозначения в формулах, а также правило знаков ясны из предыдущей методики расчета.
Пример 4.5. Расчетная схема здания в виде балки и форма искривления поверхности основания изображены на рис. 4.12. Исходные данные: нагрузки
q = 58,86 тс/м; погонный коэффициент жесткости основания
C = 5886 тс/м
2; изгибная жесткость здания
EI = 2,943 x 10
6 тс·м
2; длина здания
L = 20 м.
а - расчетная схема балки;
б - форма искривления поверхности основания
Требуется определить величину изгибающего момента в среднем сечении балки.
y0 = 0;
y1 = 0,75·10
-2 м;
y2 = 10-2 м; D = 8·4,82 + 26·4,8 + 4 = 313,2;
(для упрощения вычислений принимаем в данном примере EI = q·0,5·105);
Изгибающий момент в среднем сечении
4.19. Рассматривается балка длиной L с равномерно-распределенной нагрузкой q на искривленном с радиусом R основании, характеризуемом постоянным коэффициентом жесткости.
| | ИС МЕГАНОРМ: примечание. Текст дан в соответствии с официальным текстом документа. | |
Обобщенные усилия в балке определяются в зависимости от характеристики условий подработки здания

, определяемой по формуле

(4.33)
Знак "+" принимается при кривизне вогнутости, знак "-" - при кривизне выпуклости.
Изгибающие моменты и поперечные силы в сечениях балки вычисляются по формулам:

(4.34)

(4.35)
Наибольшие значения обобщенных усилий определяются из выражений:

(4.36)

(4.37)
x - текущая координата по длине балки

;

- коэффициент, учитывающий влияние изгибной
EI и сдвиговой
GF жесткости здания и жесткостной характеристики основания на обобщенные усилия и определяемый по формуле

(4.38)
Пример 4.6. Требуется определить усилия в сечении здания при расчете на искривление земной поверхности по радиусу
R = 5 км. Равномерно-распределенная нагрузка
q = 634,9 кгс/см, коэффициент жесткости основания
C = 969,6 кгс/см
2, длина здания
L = 1940 см. Изгибная жесткость
EI = 4,56·10
13 кгс·см
2, сдвиговая жесткость
GF = 9,28·10
8 кгс.
Определяем коэффициент

, учитывающий жесткостные характеристики здания и основания по
формуле (4.38),
В случае необходимости подсчитываем усилия по длине здания, например в сечении, находящемся на расстоянии 1/4 длины здания от торца (x = 485).
Балка на ступенчато-оседающем основании
4.20. При проектировании зданий на площадках с неизвестным положением уступов в соответствии с
п. 2.38 настоящего Руководства принимается, что линия уступа проходит под зданием в наиболее невыгодном месте с точки зрения возникновения наибольших усилий в здании.
Расчет зданий базируется на следующих предпосылках:
расчетная схема здания представляет собой балку бесконечной жесткости - штамп
(п. 4.21) или имеющую конечную жесткость в виде обобщенных характеристик
EI и
GF (п. 4.22), загруженную равномерно распределенной нагрузкой
q;
основание является упругой средой, характеризуется постоянным коэффициентом жесткости;
между подошвой фундамента и грунтом существует односторонняя связь - грунт воспринимает только сжимающие напряжения.
4.21. Для бесконечно жесткой балки усилия определяются по формулам:

(4.39)

(4.40)
где L - длина здания;

,

- безразмерные величины, определяются по графику
рис. 4.13 в зависимости от относительной высоты уступа

(4.41)
где h - расчетная высота уступа.
Рис. 4.13. Графики для определения безразмерных величин 
и 
4.22. При учете конечной жесткости балки усилия определяются по
формулам (4.39) и
(4.40), в которых безразмерные величины

и

находятся по графикам
рис. 4.14 и
4.15 в зависимости от следующих параметров:
Примечание. На вертикальной оси графика рис. 4.14 отложены безразмерные величины

(одно деление равно 1·10
-2).
Рис. 4.14. График для определения 
Рис. 4.15. График для определения 
Изгибающие моменты
Mmax и поперечные силы
Qmax определяются как в продольных, так и в поперечных стенах здания. Для определения
Mmax и
Qmax в поперечных стенах необходимо в
формулах (4.39) и
(4.40) вместо длины
L подставить его ширину
B.
РАСЧЕТ ЗДАНИЙ НА СОВМЕСТНОЕ ВОЗДЕЙСТВИЕ ГОРИЗОНТАЛЬНЫХ
И ВЕРТИКАЛЬНЫХ ДЕФОРМАЦИЙ ОСНОВАНИЯ С УЧЕТОМ НЕЛИНЕЙНОЙ
ЗАВИСИМОСТИ ОСАДКИ ОСНОВАНИЯ ОТ ДАВЛЕНИЯ
4.23. Нелинейную диаграмму деформирования оснований фундаментов эксплуатируемых зданий при оседании земной поверхности вследствие подработок или просадок лессовых грунтов II типа по просадочности допускается заменять билинейной
(рис. 4.16), луч
1 которой описывает характер деформирования основания на участках дополнительного нагружения, а луч
2 - на участках разгрузки основания. Жесткости основания на участках дополнительного нагружения
Cн и разгрузки
Cр измеряются соответственно тангенсами углов наклона лучей
1 и
2 (

;

).
Рис. 4.16. Билинейная диаграмма деформирования оснований
Жесткость основания на участках дополнительного нагружения может быть выражена через упругую жесткость основания того же самого i-го фундамента ленточного типа на участках разгрузки формулой

(4.43)
где
n - коэффициент снижения жесткости основания на участках дополнительного нагружения вследствие учета реологических и других нелинейных факторов, вызывающих появление необратимых деформаций основания (определяется путем штамповых испытаний оснований на территории застройки одновременно с величиной упругой жесткости основания

при полной разгрузке штампа).
При типовом проектировании жесткость основания на участках разгрузки

следует определять в соответствии с указаниями
прил. 2 главы СНиП II-8-78 для заданного значения модуля деформации грунта основания.
Величина коэффициента снижения жесткости основания на участках дополнительного нагружения n принимается соответствующей грунтовым условиям территорий, для застройки которых разрабатывается типовой проект здания (оговаривается в задании на проектирование и в паспорте типового проекта).
4.24. Порядок расчета зданий на воздействие деформаций просадочных грунтов при замачивании, деформаций земной поверхности от подземной выемки полезных ископаемых и т.п. следующий:
в качестве расчетной модели здания с продольными и поперечными несущими стенами (или каждой продольной стены в зданиях с продольными несущими стенами) принимается балка на упругом деформирующемся основании, жесткость которого на участках дополнительного нагружения

и разгрузки

описывается
зависимостью (4.43);
величины параметров деформации основания назначаются в соответствии с указаниями
разд. 2 настоящего Руководства - вертикальные деформации земной поверхности трактуются как искривление основания по радиусу
R, км, подвижки грунта измеряются относительными горизонтальными деформациями

, мм/м;
определяются изгибная
EI и сдвиговая
GF жесткости расчетной модели (балки) в соответствии с рекомендациями
п. 4.11;
подсчитывается по указаниям
прил. 2 главы СНиП II-8-78 жесткостная характеристика основания здания в эксплуатационном состоянии, которая принимается в дальнейшем за жесткостную характеристику основания расчетной модели (балки) на участках разгрузки

, и средняя осадка здания
Sср; жесткостная характеристика основания расчетной модели на участках дополнительного нагружения

устанавливается по
формуле (4.43);
отыскивается граница участков дополнительного нагружения и разгрузки основания;
путем расчета балки на упругом основании с жесткостными характеристиками

на участках разгрузки и

на участках дополнительного нагружения строятся эпюры реактивного отпора основания, изгибающих моментов и перерезывающих сил;
производится проверка правильности назначения границ участков дополнительного нагружения и разгрузки основания и отсутствия нарушения контакта балки с основанием путем сопоставления максимальной отрицательной величины приращения реактивного отпора со средней нагрузкой на основание до проявления воздействия.
Расчет зданий на вертикальные деформации земной поверхности
4.25. Расчетная схема балки на упругом основании с участками дополнительного нагружения и разгрузки для расчета зданий на вертикальные деформации земной поверхности выпуклостью вверх приведена на рис. 4.17.
Рис. 4.17. Расчетная схема балки на деформируемом основании
Поскольку на этом этапе разыскиваются только дополнительные усилия от оседания земной поверхности, нагрузка от массы здания в расчетной схеме и в дальнейших выкладках не фигурирует.
Если потребуется определить полные перемещения здания от его массы и воздействий деформаций земной поверхности, к перемещениям S(x) следует добавить Sср. Аналогично и полный реактивный отпор будет равен P(x) = q + CiS(x), где q - погонная нагрузка от веса здания.
4.26. Длина первого участка - зоны дополнительного нагружения на половине длины здания l1 - определяется из уравнения

(4.44)
где l - половина длины здания;
n - коэффициент снижения жесткости основания на участках дополнительного нагружения - см.
пояснение к (4.43).
Длина второго участка - зоны разгрузки - равна: l2 = l - l1 (предполагается, что нарушение контакта балки с основанием отсутствует).
4.27. Дифференциальное уравнение, описывающее изгиб балки с учетом деформаций сдвига на первом и втором участках в безразмерных координатах

имеет вид

(4.45)
где

- вертикальные перемещения точек подошвы фундамента в грунте;
i - 1, 2, ... (номера участков основания расчетной схемы).
Для первого участка:

(4.46)
Для второго участка:
При решении дифференциального
уравнения (4.45) методом начальных параметров перемещения и усилия в расчетной модели определяются по формулам:

(4.47)

,

,

,

- соответственно вертикальные перемещения в грунте, угол поворота, изгибающий момент и перерезывающая сила в сечении с абсциссой

на
i-том участке балки;
S0,i,

,
M0,i,
Q0,i - то же, в начале отсчета;

- функции влияния сосредоточенно приложенных перемещений и усилий (см.
табл. 4.6 и
4.7).
s > r
| S0 | | M0 | Q0 |
S | | | | |
| | | | |
M | | | | |
Q | | | | |
Обозначения:  ;  ;  ;  ;  ;  ;  ;  ;  . |
s < r
Функции влияния распределенных по длине балки вертикальных деформаций земной поверхности

имеют вид:
на первом участке:

(4.48)
на втором участке:

(4.49)
Правило знаков перемещений и усилий показано на рис. 4.18.
Рис. 4.18. Внутренние усилия в сечении балки
Два неизвестных начальных параметра
S0,1 и
M0,1 
находятся путем решения системы уравнений:

(4.50)
где

(4.51)
Начальные параметры второго участка:

(4.52)
Критерием для оценки правильности назначения границы участков дополнительного нагружения и разгрузки основания является выполнение равенства S1(1) = 0. Если невязка составит свыше пяти процентов S0,1, то следует уточнить длину первого и второго участков основания и повторить расчет.
Эпюры изгибающих моментов и перерезывающих сил строятся по
формулам (4.47) после определения начальных параметров для обоих участков расчетной модели.
Расчет на горизонтальные деформации земной поверхности
4.28. Расчетная схема при этом виде воздействий изображена на рис. 4.19, а.
Рис. 4.19. К расчету на горизонтальные деформации
земной поверхности
а - расчетная схема при воздействиях горизонтальных
деформаций основания;
б - эпюра сдвигающих усилий
Уравнение эпюры погонных сдвигающих усилий (
рис. 4.19,
б) допускается аппроксимировать кубической параболой

(4.53)
где
N0 - равнодействующая сдвигающих усилий с половины отсека, определяется по рекомендациям работы
[1].
Уравнения эпюры сдвигающих усилий на первом и втором участках основания в безразмерных координатах:

(4.54)
4.29. Дифференциальные уравнения изгиба расчетной модели от нецентрально приложенных сдвигающих сил с учетом отпора упругого основания с билинейной диаграммой деформирования отличаются от
(4.45) лишь правой частью и для первого и второго участков имеют вид:

(4.55)
где
hT - плечо потока сдвигающих сил

относительно нейтральной оси здания.
Знак в правой части уравнений принят для расчетного случая горизонтальных деформаций растяжения грунта.
4.30. Изгибная жесткость расчетной модели
EI и положение условной нейтральной оси определяются как для растянуто-изогнутой комплексной конструкции, составленной из растянутых арматурных поясов, по рекомендациям работы
[1].
4.31. Решения дифференциальных
уравнений (4.55) для участков
1 и
2 будут отличаться от
(4.45) только функциями влияния распределенных воздействий

,

,

,

, а функции влияния

сохраняются теми же.
Выражения функций влияния распределенных воздействий от горизонтальных деформаций растяжения грунта:
для первого участка

(4.56)
для второго участка:

(4.57)
Эпюры силовых воздействий и перемещений строятся также по
формулам (4.47) после определения начальных параметров для обоих участков и проверки правильности назначения границы участков основания.
4.33. При расчете зданий на одновременное воздействие вертикальных и горизонтальных деформаций земной поверхности в
выражения для свободных членов (4.51) вводятся суммарные величины соответствующих функций влияния с нормируемыми коэффициентами сочетаний воздействий. Алгоритм расчета остается тем же.
Пример 4.7. Определяются обобщенные усилия, возникающие в отсеке пятиэтажного крупнопанельного здания длиной 2
l = 19,4 м, с поперечными и продольными несущими стенами при его подработке пологопадающим пластом с расчетными параметрами подработки
R = 5 км и

. Рассматривается случай одновременного воздействия вертикальных деформаций земной поверхности, вызывающих выгиб здания, и горизонтальных деформаций растяжения (
рис. 4.20,
а). В основании залегают грунты со средним значением модуля деформации
Eг = 300 кгс/см
2.
а - расчетная схема; б - эпюра сдвигающих усилий; в - то же,
растягивающих усилий; г - то же, изгибающих моментов;
д - то же, поперечных сил; е - то же, приращения
реактивного отпора
Изгибная жесткость здания в целом, подсчитанная как растянуто-изогнутая комплексная конструкция по рекомендациям работы
[1], оказалась равной
EJ = 4,6 x 10
13 кгс·см
2, суммарная сдвиговая жесткость всех трех продольных стен
GF = 9,3·10
8 кгс, расстояние от плоскости шва скольжения до нейтральной оси в сечении посередине здания
hт = 130 см.
Средняя погонная нагрузка на основание расчетной модели
q = 635 кгс/см. Средняя жесткостная характеристика основания, найденная по рекомендациям работы
[1] (она же жесткость основания на участке разгрузки) -
Cр = 970 кгс/см
2. По техническому заданию на привязку здания к местным условиям коэффициент снижения жесткости основания на участках дополнительного нагружения равен:
n = 2,5, поэтому
Равнодействующая сдвигающих усилий от горизонтальных деформаций растяжения грунта посередине здания, найденная по рекомендациям работы
[1], равна
N0 = 173 600 кгс. Эпюра

, построенная по
формуле (4.53), изображена на
рис. 4.20,
б.
По
формуле (4.44) определим длину участка дополнительного нагружения основания
l1:
l1 = 655 см; l2 = 970 - 655 = 315 см.
для первого участка:
r1 = 0,29916;
s1 = 1,11624;
для второго участка:
r2 = 0,22748;
s2 = 0,67502.
Устанавливаем, что
s1 >
r1,
s2 >
r2, поэтому следует пользоваться выражениями функции влияния, приведенными в
табл. 4.6.
Дальнейшие вычисления выполним в табличной форме, подсчитав предварительно по формулам
табл. 4.6:

;

;

;

.
В табл. 4.8 использованы результаты промежуточных вычислений, приведенных ниже.
xi, см | | | | | |
1 | 2 | 3 | 4 | 5 | 6 |
0 | 0 | 0 | 0 | 0 | 1 |
130 | 0,19847 | 0,16218 | 0,15092 | 0,16308 | 1,01437 |
390 | 0,59542 | 0,48655 | 0,45278 | 0,50626 | 1,12137 |
655 | 1 | 0,81716 | 0,76043 | 0,91186 | 1,35385 |
0 | 0 | 0 | 0 | 0 | 1 |
| 0,1746 | 0,08794 | 0,07847 | 0,08806 | 1,00388 |
315 | 1 | 0,50368 | 0,44939 | 0,52535 | 1,12976 |
Продолжение табл. 4.8
| | | | | |
7 | 8 | 9 | 10 | 11 | 12 |
0 | 1 | 0 | 1 | 0 | 0 |
0,15016 | 0,9874 | 0,15232 | 1,00159 | 0,16103 | 0,02449 |
0,43898 | 0,90297 | 0,49226 | 1,01256 | 0,45714 | 0,22224 |
0,68842 | 0,72367 | 0,93202 | 0,97974 | 0,65989 | 0,62772 |
0 | 1 | 0 | 1 | 0 | 0 |
0,07839 | 0,99691 | 0,07869 | 1,00078 | 0,08779 | 0,0069 |
0,43388 | 0,89959 | 0,49018 | 1,01632 | 0,4726 | 0,22794 |
Продолжение табл. 4.8
| | | |
13 | 14 | 15 | 16 |
1 | 0 | 0 | 0 |
1,00335 | - | -18,3788 | - |
1,02856 | - | -166,7826 | - |
1,02495 | - | -471,0967 | - |
1 | 0 | 0 | 0 |
1,00157 | 55,0301 | -3,2892 | 5,85613 |
1,04238 | 319,57718 | -108,611 | 22,9944 |
Продолжение табл. 4.8
| | | |
17 | 18 | 19 | 20 |
0 | 0 | 1 | 0 |
3,28025 | - | 0,99983 | 5,04936 |
29,76735 | - | 0,99656 | 15,3344 |
84,0813 | - | 0,93454 | 25,8356 |
0 | 0 | 1 | 0 |
1,46765 | 2,72559 | 0,99999 | 5,33792 |
48,4622 | 507,275 | 0,99027 | 31 |
Продолжение табл. 4.8
| | | | |
21 | 22 | 23 | 24 | 25 |
0 | 0 | - | 0 | 0 |
-30,88529 | -0,01688 | - | -0,04994 | 16,71551 |
-836,2366 | -0,15277 | - | -0,46705 | 46,08155 |
-3976,83 | -0,42403 | 7,33043 | -1,73676 | 62,0649 |
0 | 0 | - | 0 | 62,065 |
-5,9252 | -0,07699 | - | -0,20594 | 60,98868 |
-1102,77 | -0,52524 | - | -2,00826 | 0 |
Продолжение табл. 4.8
| | | | |
26 | 27 | 28 | 29 | 30 |
0,3574 | 0 | 0 | 0 | 0,3577 |
0,3586 | 0 | 0,00269 | 0 | 0,34441 |
0,36761 | 0 | 0,02442 | 0 | 0,23926 |
0,36632 | 0 | 0,06899 | 0 | 0,01128 |
0,01128 | 0 | 0 | 0 | 0,01128 |
0,0113 | 0,00753 | 0,00003 | 0,00363 | -0,0545 |
0,01176 | 0,04374 | 0,00109 | 0,01427 | -0,45439 |
Продолжение табл. 4.8
| | | | | |
31 | 32 | 33 | 34 | 35 | 36 |
138,7612 | 0 | 0 | -1,46436 | 0 | -1,46436 |
133,6311 | 0,11724 | 0 | -1,46412 | 0 | -1,39682 |
92,8329 | 1,06389 | 0 | -1,45932 | 0 | -0,86248 |
4,3766 | 3,00507 | 0 | -1,36851 | 0 | -0,1002 |
4,3766 | 0 | 0 | -0,1002 | 0 | -0,1002 |
-52,8602 | 0,00166 | 0,00037 | -0,1002 | 0,34154 | 0,03743 |
-440,7534 | 0,05467 | 0,06944 | -0,09922 | 1,98345 | 0 |
Продолжение табл. 4.8
| | | | |
37 | 38 | 39 | 40 | 41 |
0 | 0 | 0 | 0 | 0 |
18,0464 | 0 | 0,0452 | 0 | 16,71551 |
54,8051 | 0 | 1,2246 | 0 | 46,08155 |
92,3364 | 0 | 5,8235 | 0 | 62,065 |
0 | 0 | 0 | 62,065 | 62,065 |
0,60212 | 0,20089 | 0,00059 | 62,16216 | 60,98868 |
3,4968 | 6,6336 | 0,1105 | 64,69521 | 0 |
a11 = 4,84622·107·1,02495 - 5,07275·109·3,97683·10-4 +
+ 0,99027·8,40813·107 + 3,19577·102·2,58356·105 =
= 2,13481·108;
a12 = -4,84622·107·4,71097·10-9 - 5,07275·109·
·1,40477·10-11 + 0,99027·0,93454 - 319,57718·3,97683·10-4 =
= 0,49878;
a21 = 3,1·105·1,02495 - 4,84622·107·3,97683·10-4 -
- 1,10277·10-4·8,40813·107 + 1,04238·2,58356·105 =
= 5,58482·103;
a22 = -3,1·105·4,71097·10-9 - 4,84622·107·1,40477·10-11 -
- 1,10277·10-4·0,93454 - 1,04238·3,97683·10-4 =
= -2,65873·10-3.
Свободные члены уравнения

также определим по
формулам (4.51), заменив в них функции влияния распределенных воздействий от кривизны

, ...,

на суммарные значения функций влияния от вертикальных и горизонтальных деформаций земной поверхности из
табл. 4.8 при

.
Опуская выкладки, запишем:
Решив систему уравнений, находим:
S0,1 = 0,3574 см; M0,1 = -1,464365·107 кгс·см.
Для проверки точности назначения границы зон дополнительного нагружения и разгрузки подсчитаем ординату S1(1), которая должна быть равна нулю.
S1(1) = 1,02495·0,3574 + 4,71097·10-9·1,464365·107 -
- 0,42403 = 0,01128 см.
Невязка оказалась допустимой, так как составляет 3% S0,1.
Подсчет ординат эпюр перемещения

, приращения реактивного отпора

, изгибающих моментов

и перерезывающих сил

приведен в
табл. 4.8. Начальный параметр

для 2-го участка, отсутствующий в таблице, равен

, величины остальных начальных параметров
S0,2 = 0,01128 см;
M0,1 = -1,002·10
6 кгс·см;
Q0,2 = 62 065 кгс (см.
шестую строку в табл. 4.8).
Эпюры обобщенных усилий - растягивающих

, изгибающих моментов

и перерезывающих сил

приведены на
рис. 4.20,
в -
д. Эпюра приращения реактивного отпора

изображена на
рис. 4.20,
е.
Заключаем, что нарушения контакта основания с фундаментом нет, так как максимальная отрицательная величина приращения реактивного отпора

меньше средней погонной нагрузки на основание до подработки
q = 635 кгс/см.
Пользуясь данными
табл. 4.8, нетрудно также установить, что ошибка в назначении границы зон дополнительного нагружения и разгрузки составила 9,4 см, т.е. около 3% длины наиболее короткого второго участка
l2 = 315 см.
5. ОПРЕДЕЛЕНИЕ УСИЛИЙ В КОНСТРУКЦИЯХ ЗДАНИЙ
ОБЩАЯ МЕТОДИКА ОПРЕДЕЛЕНИЯ УСИЛИЙ В ЗДАНИИ
5.1. Расчет стены здания рекомендуется выполнять с помощью метода конечных элементов (МКЭ). Для составления расчетной схемы идеализированную схему стены необходимо расчленить на конечные элементы. При этом расчетная схема может быть представлена различными типами элементов: пластинчатыми элементами, эквивалентными панельным конструкциям и стыковым соединениям; стержневыми, моделирующими работу поясов, отдельных конструктивных связей и т.д.
5.2. Расчет стены здания на основе пластинчатой или пластинчато-стержневой расчетной схемы выполняется в несколько этапов. На первом этапе определяются жесткостные характеристики элементов схемы. При этом оценку жесткости (податливости) панелей и стыковых соединений рекомендуется производить с учетом их конструктивных особенностей, физических свойств бетона и стали, характера и направления прикладываемого усилия. Величины жесткостных характеристик допускается принимать по результатам натурных испытаний панелей, связей, фрагментов зданий и т.п. или с помощью расчета на основании рекомендаций, помещенных ниже.
Отдельные панели с закрепленными от смещения основными узлами рассчитываются на поочередно задаваемые в этих узлах единичные силы или смещения (в зависимости от метода, применяемого для решения общей системы, - метод сил или метод перемещений). Полученные из расчета величины смещений или реакций в узлах являются элементами численной матрицы податливости или жесткости, характеризующей упругие свойства пластинок.
На втором этапе с использованием полученных на первом этапе матриц рассчитывается система на заданные нагрузки. Из решения определяются усилия и перемещения в узлах расчетной схемы. На третьем этапе рассчитываются отдельные панели на усилия или перемещения, найденные из второго этапа расчета.
Расчет панелей может быть выполнен методом конечных элементов.
Расчет стены здания с использованием в своей расчетной схеме пластинчатых элементов, упругие свойства которых характеризуются матрицей жесткости, проиллюстрирован в
примере 5.1.
5.3. При расчете конструкций здания на особое сочетание нагрузок постоянная и временная нагрузка от веса конструкций здания, мебели, оборудования и т.д. приводится к поэтажной равномерно распределенной и передается в узлы элементов расчетной схемы в уровне перекрытий. Особая нагрузка в виде воздействий неравномерных деформаций основания (горизонтальные и вертикальные перемещения) на стену здания учитывается расчетом системы здания на перемещение опор. Моделирование грунтового основания в этом случае осуществляется в соответствии с рекомендациями п. 5.4 настоящего Руководства.
5.4. Грунтовое основание моделируется в виде системы дискретных опор - вертикальных и горизонтальных (
рис. 2.1,
в). Каждая опора состоит из двух стержней, расположенных по одной оси (
рис. 2.1,
г). Жесткость стержня
1 определяется по формуле
EF1 = Cla, (5.1)
где C - коэффициент жесткости основания при сжатии или сдвиге, тс/м2;
l - длина стержня, м;
a - длина заменяемого дискретными опорами участка непрерывного основания, м.
Жесткость стержня 2 равна:
В узле A в направлении воздействия прикладывается сила P, величина которой вычисляется по формуле

(5.2)
где y - смещение земной поверхности в рассматриваемой точке, м.
5.5. Воздействия неравномерных вертикальных деформаций основания на здания при расчете стены могут быть также заданы в виде реакций основания, которые определяются из расчета стены здания по балочной расчетной схеме в соответствии с рекомендациями
гл. 4 (балка при этом должна иметь жесткость, эквивалентную жесткости системы). Реакции основания могут быть получены из расчета какой-либо другой упрощенной расчетной схемы, например, перекрестной системы и т.п.
Реакции основания задаются в виде сосредоточенных сил в узлах соединений элементов, моделирующих в рассчитываемой системе цокольные панели или фундаментный пояс.
5.6. Воздействия от горизонтальных деформаций земной поверхности наряду со способом, изложенным в
п. 5.3, допускается задавать в виде горизонтальных сил (определение их см.
пп. 4.1 -
4.10), сосредоточенно приложенных к узлам нижнего яруса расчетной схемы. Моделирование грунтового основания при этом осуществляется по схеме
рис. 2.1,
в.
5.7. Сдвигающие усилия взаимодействия продольных и поперечных стен, которые необходимо учитывать при переходе от пространственной расчетной схемы здания к отдельным плоским системам, распределяются по высоте системы пропорционально сдвиговым жесткостям вертикальных стыков между панелями продольных и поперечных стен.
5.8. Используя метод конечных элементов, можно учесть методом попыток различную деформируемость панельных конструкций и стыковых соединений при растяжении и сжатии. Для этого по опыту задается картина напряженно-деформированного состояния стены от внешних воздействий (зоны сжатия и растяжения панельных конструкций и стыковых соединений) и в соответствии с ней назначаются жесткостные характеристики конечных элементов, моделирующих панели и стыковые соединения. Рассчитывается стена на внешние силовые и деформационные воздействия, определяются знаки нормальных напряжений или усилий в сечениях конечных элементов и соответственно этим знакам корректируются величины жесткостных характеристик конечных элементов. Повторяется расчет стены до тех пор, пока знаки нормальных напряжений конечных элементов предыдущей и последующей попыток не совпадут. (Эта процедура может быть автоматизирована специальной программой.)
5.9. При расчете зданий повышенной этажности на воздействие неравномерных осадок основания с учетом податливости конструкций требуется предварительно находить по рекомендациям
пп. 5.16 -
5.18 приведенные значения сдвиговой и изгибной жесткости стен. Приведенную изгибную жесткость рекомендуется определять с учетом конструктивной нелинейности деформирования стен и, поскольку ее величина существенно зависит от вида напряженного состояния, проверять соответствие введенного в расчет значения изгибной жесткости найденному по завершении расчета.
ИСПОЛЬЗОВАНИЕ ЭКВИВАЛЕНТНЫХ МЕХАНИЧЕСКИХ ХАРАКТЕРИСТИК
ПАНЕЛЕЙ В ОБЩЕЙ МЕТОДИКЕ ОПРЕДЕЛЕНИЯ УСИЛИЙ В ЗДАНИИ
5.10. При расчете зданий с применением пластинчатой расчетной схемы
п. 5.1 допускается в качестве конечного элемента принимать сплошную ортотропную пластинку размерами, равными натурным размерам панели или стыковых соединений, с эквивалентными механическими характеристиками. Рекомендации по определению эквивалентных механических характеристик даны в
пп. 5.12 -
5.15 настоящего Руководства, а в
примере 5.2 показано определение механических характеристик элементов расчетной схемы и даны результаты расчета стены МКЭ.
5.11. При замене стеновых панелей и стыков в расчетной схеме ортотропными пластинками в расчет вводятся эквивалентные характеристики

или

,

или

, где

,
- модули упругости при сжатии,

,
- то же, при растяжении,
Gxy - модуль сдвига, соответствующий напряжениям сжатия или растяжения

и

в срединной точке конечного элемента.
5.12. Механические характеристики конечных элементов, эквивалентные панельным конструкциям, ослабленным оконным (или дверным) проемом, определяются по формулам:

(5.3)

,

,
Gxy - модули упругости конечного элемента толщиной

, эквивалентного панели;
a,
b - габаритные размеры панели (конечного элемента) - см.
рис. 5.1;
dр, hр - расчетные размеры рамы, к которой приводится панельная конструкция с проемом;

,

,

- жесткость соответственно нижней, верхней перемычек и простенка панели при сжатии (с индексом "с") или растяжении (с индексом "р"), определяемая по рекомендациям
[1] или
[2] с учетом примыкающих к панелям участков перекрытий;
Bн, Bв, Bс - изгибная жесткость тех же элементов панели;

- сдвиговая жесткость панели в своей плоскости - см.
[1].
Рис. 5.1. К определению эквивалентных механических
характеристик панелей
а - наружная стеновая панель; б - то же, внутренняя
5.13. Величина модуля сдвига
Gxy, эквивалентного панели с дверным проемом внутренней стены (см.
рис. 5.1,
б), подсчитывается по формуле

(5.4)
где
GF1, Gfв - соответственно сдвиговая жесткость глухого участка панели и верхней перемычки;
hр,
d,
dр,
dо - размеры проемной части панели (см.
рис. 5.1,
б).
Примечание. Если панель внутренней стены условно расчленяется на два конечных элемента, то в качестве размера
a в
формуле (5.3) принимается длина конечного элемента, моделирующего проемную часть панели.
5.14. Шпоночное омоноличенное соединение панелей в вертикальном стыке или монолитный средний простенок в двухмодульной панели моделируются в расчетных схемах также конечным элементом эквивалентной сдвиговой жесткости с длиной a в пределах зоны активного влияния касательных напряжений, возникающих в стыке (20 - 30 см), и высотой b, равной принятой высоте конечных элементов данного яруса.
5.15. Величина модуля упругости

и

для конечного элемента, моделирующего податливое соединение панелей в вертикальном стыке, определяется по механическим характеристикам материала стыка
EFс,
EFр (см. пп. 2.18, 2.19 в
[2]), причем в механических характеристиках стыка при растяжении необходимо учитывать податливость стыкового соединения

(см. п. 2.3 в
[2]).
Величина модуля сдвига
Gxy для конечного элемента с размерами

подсчитывается по формуле

(5.5)
где

- податливость всех связей стыкового соединения, сопротивляющихся сдвигу (см. п. 2.6 в
[2]);
aст,
bст,

- ширина, высота и толщина слоя бетона омоноличивания стыка или суммы участков омоноличивания;
Gст - модуль сдвига бетона омоноличивания стыка;
bп,

- высота и толщина панели;
Gп - модуль сдвига бетона тела панели.
Определение жесткости панельных стен
5.16. Сдвиговая жесткость стены в
i-том сечении определяется как сумма сдвиговых жесткостей столбца конечных элементов, а величина приведенной сдвиговой жесткости всей стены - по формуле

(5.6)
где li - ширина i-го столбца конечных элементов;
m - число столбцов конечных элементов в расчетной модели.
5.17. Численные значения изгибной жесткости панельных стен также зависят от вида их напряженного состояния. Рекомендуется следующая методика определения изгибной жесткости стен:
от ожидаемых силовых воздействий на стену методом конечных элементов с учетом конструктивной нелинейности отыскивается величина вертикального перемещения торца цокольного или фундаментного пояса в уровне его подошвы относительно середины здания yA;
от тех же усилий при той же схеме опирания записывается выражение вертикального перемещения
yA относительно середины эквивалентной балки с изгибной
EI и сдвиговой
GF жесткостями - определяются числовые значения коэффициентов

и

в выражении
подсчитывается по указаниям
п. 5.16 величина приведенной сдвиговой жесткости
GF расчетной модели;
по полученным числовым значениям
yA,

,

и
GF находится величина изгибной жесткости стены по формуле
5.18. При одновременном учете воздействий от вертикальных и горизонтальных деформаций основания в качестве расчетного случая следует принимать вертикальные деформации, вызывающие выгиб здания, и горизонтальные деформации растяжения грунта. Изгибная жесткость крупнопанельных стен определяется по методике, изложенной выше, причем величина вертикального перемещения торца
yA отыскивается методом конечных элементов от усилий, появляющихся вследствие вертикальных деформаций грунта, при значениях жесткостных характеристик элементов, соответствующих напряженному состоянию от одновременного воздействия растяжения и выгиба стены.
Пример 5.1. Требуется определить усилия в конструкциях продольной наружной стены девятиэтажного дома серии 96 от воздействий на здание неравномерных смещений земной поверхности при подработке.
Расчетные параметры деформаций земной поверхности: радиус кривизны
R = 5 км, относительные горизонтальные деформации растяжения

.
Грунтовые условия: в основании здания залегают глинистые грунты, деформационные свойства которых характеризуются на контакте с фундаментом средним коэффициентом жесткости при сжатии Cсж = 1000 т/м3 и при сдвиге Cсд = 700 т/м3.
Монтажная схема рассчитываемой стены представлена на
рис. 5.2. Панели наружных стен толщиной 30 см выполнены из керамзитобетона марки М75. Начальный модуль упругости и коэффициент Пуассона бетона соответственно равны
E = 8·5·10
5 тс/м
2,

. Соединение панелей осуществляется между собой стыковкой арматурных стержней на сварке в уровне пола и надоконной перемычки. Площадь сечения арматуры в стыке, образующей непрерывный горизонтальный пояс,
Fа = 3,39 см
2. Панели перекрытий сплошные размером на комнату из тяжелого бетона толщиной 10 см. В расчет вводится арматура, расположенная вдоль короткой стороны панели, с участка, равного шести толщинам перекрытия. Расчетное сечение арматуры
Fа = 1,51 см
2.
Рис. 5.2. Монтажная схема рассчитываемой стены
Вертикальные стыки панелей заполняются бетоном. В горизонтальных стыках усилия сжатия передаются через слой раствора.
Стены фундаментно-подвальной части здания толщиной 40 см выполнены из сборных бетонных блоков. Расчетный модуль деформации кладки из бетонных блоков принят
E = 8·10
4 тс/м
2, коэффициент Пуассона кладки -

.
По низу сборных бетонных блоков устраивается сборно-монолитный железобетонный пояс сечением b = 1,2 и h = 0,4 м. Начальный модуль деформации бетона пояса E = 2,4·106 тс/м2.
Расчетная схема стены здания представлена на
рис. 5.3. Элементами расчетной схемы являются: пластинки с проемами (стеновые панели)
1; стержни, моделирующие работу плит перекрытия и фундаментного пояса,
2 и
3; горизонтальные и вертикальные связи между панелями, моделирующие работу стыков на сжатие, растяжение и сдвиг,
4 и
5; прямоугольные пластинчатые элементы (стены подвала)
6; горизонтальные и вертикальные опорные стержни, моделирующие работу грунтового основания,
7.
Рис. 5.3. Расчетная схема стены здания
а - общий вид; б - фрагмент расчетной схемы; в - схема
нагрузок; 1 - 8 - опоры
Как видно из
рис. 5.3, в расчетной схеме принято дискретное (узловое) соединение панелей между собой с помощью связей: для двухмодульных панелей в шести узлах, для одномодульных - в четырех узлах.
Воздействия от вертикальных смещений земной поверхности заданы в виде вертикальных сил (
рис. 5.3,
в), приложенных к узлам расчетной схемы в уровне фундаментного пояса. Величины сил определены в соответствии с рекомендациями
п. 5.4 настоящего Руководства.
К этим же узлам приложены горизонтальные силы, полученные из расчета здания на воздействие горизонтальных деформаций основания по методике, изложенной в
[1]. Решение задачи осуществляется по программе СУПЕР
[7] на ЭВМ "Минск-32" (в программе реализован алгоритм метода перемещений).
В
табл. 5.1 приведены геометрические и физические характеристики элементов расчетной схемы и дано описание процедур, используемых при решении задачи по программе СУПЕР. Значения жесткости опорных стержней
Rx и
Rz, помещенные в
табл. 5.1, определены на основании рекомендаций
п. 5.4 настоящего Руководства. Расчетные величины жесткости горизонтальных стыковых соединений сжатию и сдвигу определены по Пособию
[2], а для вертикальных стыковых соединений приняты на основании обобщения результатов экспериментальных исследований 9-этажных зданий на просадочных грунтах.
N п.п. | Элемент | N типа жесткости элемента расчетной схемы | Геометрические и физические характеристики элементов | Описание процедуры, характеризующей конечные элементы в программе СУПЕР |
EF·102, тс | Rx·102, тс | Rz·102, тс/м2 | E·102, тс | | |
1 | Фундаментный пояс | III | 500 | - | - | - | - | - | - |
2 | Панель перекрытия | IV | 43,1 | - | - | - | - | - | Стержень общего вида |
3 | Панель покрытия | V | 53,7 | - | - | - | - | - | - |
4 | Горизонтальный стык | VI | - | 25 000 | 71,4 | - | - | - | Упругая связь. Узлы, между которыми моделируется податливость связи, могут иметь одинаковые координаты |
5 | Вертикальный стык | VII | - | 26 | 170 | - | - | - |
6 | Стеновая панель | X | Численная матрица жесткости | Конечный элемент, задаваемый численной матрицей жесткости |
7 | То же | XI |
8 | " | XII |
9 | " | XIII |
10 | Стена подвала | XIV | - | - | - | 800 | 0,16 | 0,4 | Прямоугольный элемент плосконапряженной системы |
11 | Опорный стержень | I | - | - | 60 | - | - | - | Связь конечной жесткости по направлению, совпадающему с осями общей системы координат |
II | - | 42 | - | - | - | - |
XV | - | - | 132 | - | - | - |
XVI | - | 92,4 | - | - | - | - |
XVII | - | - | 144 | - | - | - |
XX | - | 100,8 | - | - | - | - |
XXI | - | - | 132 | - | - | - |
XXII | - | 92,4 | - | - | - | - |
XXIII | - | - | 12 | - | - | - |
XXIV | - | 84 | - | - | - | - |
XXV | - | - | 132 | - | - | - |
XXVI | - | 92,4 | - | - | - | - |
XXVII | - | - | 144 | - | - | - |
XXX | - | 100,8 | - | - | - | - |
XXXI | - | - | 72 | - | - | - |
XXXII | - | 50,4 | - | - | - | - |
Условные обозначения: EF - продольная жесткость элемента; Rx и Rz - жесткость элемента в направлении оси x и z; E,  и  - соответственно расчетный модуль деформации материала, коэффициент Пуассона и толщина элемента. |
Поскольку расчетная схема имеет в своем составе сложный элемент - панель с проемом, целесообразно расчет такой системы выполнять в три этапа. На первом этапе рассчитываются отдельные панели на единичные смещения и формируются численные матрицы жесткости, на втором этапе с использованием полученных матриц рассчитывается вся система. Из решения задачи будут получены перемещения узлов и усилия в связях и в перекрытиях. Для раскрытия напряженно-деформированного состояния стеновых панелей на третьем этапе выполняется расчет самих панелей на реакции, полученные в отброшенных связях.
Расчетная схема стены здания имеет четыре типа панелей. Для каждого типа строится своя матрица жесткости. Учитывая число узлов закрепления панели в расчетной схеме, матрица жесткости для двухмодульных панелей будет иметь порядок 12 x 12, а для одномодульных - 8 x 8.
В качестве примера на рис. 5.4 приведена расчетная схема панели Н-105к, а в
табл. 5.2 - ее матрица жесткости.
Рис. 5.4. Расчетная схема панели Н-105
N п.п. | 1 | 2 | 3 | 4 | 5 | 6 | 7 | 8 | 9 | 10 | 11 | 12 |
1 | 261 | 67,30749 | -147,775 | -29,2366 | -26,1137 | 8,529799 | -8,5113 | 4,167299 | -64,976 | -48,0664 | -13,62609 | -2,7016 |
2 | | 249,12 | -14,723 | -15,111 | -6,6814 | 2,412 | 10,20349 | -212,838 | -49,9812 | -22,5709 | -6,1252 | -1,005599 |
3 | | | 474,2999 | -4,3863 | -178,9449 | 19,33389 | -66,7943 | 80,77269 | -28,2082 | -5,4729 | -52,5833 | -75,52429 |
4 | | | | 553,15 | 35,6555 | -18,0757 | 24,7236 | -28,97 | -5,125099 | -454,2921 | -21,6309 | -36,69899 |
5 | | | | | 279,3 | -72,83449 | -15,4345 | 4,408499 | -57,51169 | 37,5029 | -1,3081 | 1,9480 |
6 | | | | | | 221,55 | 6,9706 | -1,5969 | 51,664 | -24,996 | -13,6638 | -179,2907 |
7 | | | | | | | 195,68 | -72,69 | -96,93709 | 29,47379 | -8,001699 | 1,3184 |
8 | | | | | | | | 279,3099 | -15,4477 | -35,27309 | -1,2108 | -0,631499 |
9 | | | | | | | | | 364,76 | 10,76399 | -117,1068 | 8,1261 |
10 | | | | | | | | | | 566,849 | -24,2015 | -29,71259 |
11 | | | | | | | | | | | 165,3699 | 66,8324 |
12 | | | | | | | | | | | | 247,33 |
Примечание. Все элементы таблицы следует умножить на 1·102. |
С использованием матриц жесткости отдельных панелей и характеристик других элементов, приведенных в
табл. 5.1, выполнен расчет стены здания отдельно на вертикальные и горизонтальные воздействия. Результаты расчета стены представлены на рис. 5.5 -
5.12.
Рис. 5.5. Распределение нормальных сил, тс, в вертикальных
стыках стены при воздействии на здание вертикальных
деформаций основания
+ растяжение; - сжатие
Рис. 5.6. Распределение нормальных сил, тс, в вертикальных
стыках стены при воздействии на здание горизонтальных
деформаций основания
+ растяжение; - сжатие
Рис. 5.7. Распределение усилий сдвига, тс, в вертикальных
стыках стены при воздействии на здание вертикальных
деформаций основания
Рис. 5.8. Распределение усилий сдвига, тс, в вертикальных
стыках стены при воздействии на здание
горизонтальных деформаций основания
Рис. 5.9. Распределение нормальных сил, тс, в горизонтальных
стыках стены при воздействии на здание вертикальных
деформаций основания
+ растяжение; - сжатие
Рис. 5.10. Распределение нормальных сил, тс,
в горизонтальных стыках стены при воздействии на здание
горизонтальных деформаций основания
+ растяжение; - сжатие
Рис. 5.11. Распределение усилий сдвига, тс, в горизонтальных
стыках стены при воздействии на здание вертикальных
деформаций основания
Рис. 5.12. Распределение усилий сдвига, тс, в горизонтальных
стыках стены при воздействии на здание горизонтальных
деформаций основания
При определении напряженного состояния отдельной панели в ее расчетной схеме
(рис. 5.13) принята более мелкая, чем на
рис. 5.4, сетка разбивки на конечные элементы. Опорное закрепление панели принято внешне статически определимым по отношению к самой панели (
рис. 5.13,
а).
Рис. 5.13. К расчету стеновой панели
а - расчетная схема; б - схема загружения при воздействии
на здание вертикальных деформаций основания; в - то же,
от горизонтальных деформаций основания
Для панели Н-105к первого этажа, расположенной во втором столбце справа, схема нагрузок (нагрузками являются реакции в связях) показана на
рис. 5.13,
б.
Эпюры напряжений нормальных

,

и касательных

, полученных из расчета стены на вертикальные и горизонтальные воздействия деформаций земной поверхности, приведены для характерных сечений панели на рис. 5.14 -
5.19.
Рис. 5.14. Эпюры нормальных напряжений 
,
тс/м2, в сечениях
панели при воздействии на здание вертикальных
деформаций основания
Рис. 5.15. Эпюры нормальных напряжений
, тс/м2, в сечениях
панели при воздействии на здание горизонтальных
деформаций основания
Рис. 5.16. Эпюры нормальных напряжений
, тс/м2, в сечениях
панели при воздействии на здание вертикальных
деформаций основания
Рис. 5.17. Эпюры нормальных напряжений
, тс/м2, в сечениях
панели при воздействии на здание горизонтальных
деформаций основания
Рис. 5.18. Эпюры касательных напряжений
, тс/м2, в сечениях
панели при воздействии на здание вертикальных
деформаций основания
Рис. 5.19. Эпюры касательных напряжений
, тс/м2, в сечениях
панели при воздействии на здание горизонтальных
деформаций основания
Пример 5.2. Рассчитывается наружная продольная стена экспериментального крупнопанельного здания, предназначенного для застройки территории Центрального района Донбасса с пологопадающими угольными пластами III группы по прогнозируемым деформациям (
R 
7 км,

).
Здание с продольными несущими стенами, тремя внутренними и двумя наружными поперечными стенами, опирающимися на фундаменты ленточного типа.
Монтажная схема наружной продольной стены, состоящей из двенадцати ярусов конструкций (включая фундаментный пояс и цокольные панели), приведена на
рис. 5.20. Внутренние поперечные стены соединяются с продольными в плоскостях
a и
b стыками шпоночного типа, наружные поперечные стены - в плоскостях
c с перевязкой стыков. Жесткость шпоночных вертикальных стыков панелей внутренних поперечных и продольных стен такова, что усилия взаимодействия этих стен воспринимаются, в основном, сборно-монолитным ярусом цокольных панелей. Усилия взаимодействия наружных продольных и поперечных стен
P1 передаются в местах перевязки стыков панелей в шести точках по высоте здания
(рис. 5.21).
Рис. 5.20. Монтажная схема рассчитываемой стены
Рис. 5.21. Расчетная схема стены
Вертикальные стыки панелей рассчитываемой стены также шпоночного типа и, кроме того, перевязываются глухими (простеночными) участками двухмодульных панелей. Горизонтальная рабочая арматура панелей, образующая поэтажные арматурные пояса, стыкуется на сварке.
Поскольку конструкция стены и воздействия на нее симметричны относительно середины здания, в методе конечных элементов принимается консольная расчетная схема (рис.
5.21). Глухие участки двухмодульных панелей и вертикальные стыки шпоночного типа между панелями моделируются элементами с эквивалентными механическими характеристиками.
В расчетной схеме согласно
рис. 5.21 поэтажная распределенная нагрузка от массы здания, мебели и т.п.
q = 43,82 тс/м преобразуется в узловую.
Реакции основания, полученные из расчета по рекомендациям
гл. 4 настоящего Руководства на воздействия вертикальных деформаций земной поверхности с учетом билинейной диаграммы деформирования основания, приложены к нижним узлам расчетной схемы. Усилия взаимодействия наружных продольных и поперечных стен распределяются пропорционально жесткостям соединений и прикладываются, как указывалось выше, к шести точкам по высоте стены. Усилия взаимодействия внутренних поперечных стен с рассчитываемой стеной учтены путем корректировки усилий реактивного отпора основания.
Покажем, как определяются с учетом рекомендаций
пп. 5.8,
5.10 -
5.15 настоящего Руководства механические характеристики конечных элементов, эквивалентные панельным конструкциям и стыковым соединениям.
Первый ярус - парапетные панели
НП1,
НП2 и
НП6 (рис. 5.20).
Размеры панелей: высота - 180 см, толщина - 40 см, материал - керамзитобетон марки М75. Начальный модуль упругости, соответствующий керамзитобетону с проектной объемной массой, равен
Eб = 72 500 кгс/см
2. Согласно рекомендациям п. 2.21
[2], коэффициент учета длительного действия нагрузки следует принимать равным 0,5. Расчетное значение модуля упругости
Eдл = 0,5·72 500 = 3,625·10
4 кгс/см
2. Расчетное значение модуля сдвига
Gдл = 0,4·3,625·10
4 = 1,45·10
4 кгс/см
2.
Застыкованная арматура панелей - два стержня диаметром 8 мм марки АI:
Eа = 2,1·10
6 кгс/см
2,
Fа = 1,0 см
2. В связи с тем что стыки арматуры сварные, податливость стыка

и, согласно п. 2.18,
[2] -
где
Вертикальные стыки панелей
НП1,
НП2,
НП6 шпоночного типа со следующими характеристиками: податливость при сдвиге стыка, подсчитанная по рекомендациям пп. 2.6 - 2.8
[2], равна

(две плоскости среза при трех шпонках с площадью смятия
Fсд = 72 см
2 каждая и бетоном омоноличивания той же марки, что и у тела панели). Геометрические размеры стыка: ширина
aст = 25 см, толщина

, высота
bст = 168 см. Стык моделируется конечным элементом размером 30 x 180 x 40 см.
По
формуле (5.5) настоящего Руководства эквивалентная величина модуля сдвига
Характеристики конечных элементов (к. э.) первого яруса. Стык панелей
НП6 - к. э. 1/101; размер 15 x 180 x 40 см;

;

;
Тело панелей
НП1,
НП2,
НП6 - к. э. 2/102: размер 300 x 180 x 40 см;

;

;

;
Gxy =
Gдл = 1,45 x 10
4 кгс/см
2. Эти же характеристики присваиваются конечному элементу 3/103 размером 30 x 180 x 40 см, моделирующему участок панели, перевязывающий вертикальный стык стеновых панелей второго яруса (см.
рис. 5.20). Конечный элемент 4/104 размером 30 x 180 x 40 см, моделирующий стык панелей
НП1 -
НП6 и
НП2 -
НП6, отличается от конечного элемента 1/101 лишь длиной, равной 30 см. Трехзначный номер здесь и далее присваивается конечным элементам с модулями упругости по оси
x при растяжении

.
Второй ярус - стеновые панели
Н3, Н27,
Н17. Двухмодульная панель
Н3, панель
Н17 и оконная часть панели
Н27. Размеры панели: высота 280 см, толщина 40 см, материал - керамзитобетон марки М100. Начальный модуль упругости
Eб = 9,5·10
4 кгс/см
2, расчетный
Eдл = 0,5·9,5·10
4 = 4,75·10
4 кгс/см
2. В состав расчетной площади поперечного сечения верхней перемычки включается и участок железобетонного перекрытия шириной в три толщины (3 x 16 см = 48 см); расчетный модуль упругости бетона перекрытия
Eдл = 0,5·2,6·10
5 = 1,3·10
5 кгс/см
2. Застыкованная ванной сваркой горизонтальная рабочая арматура панели состоит из четырех стержней диаметром 1 см и одного стержня диаметром 0,8 см марки АIII (модуль упругости
Eа = 2·10
6 кгс/см
2). Суммарная площадь поперечного сечения арматуры

. Высота верхней (надоконной) перемычки 35 см, нижней (подоконной) части панели 85 см, ширина простенка 76 см,
hр = 207 см,
dр = 254 см,
a = 300 см,
b = 280 см.
Механические характеристики элементов панели, подсчитываемые по рекомендациям
[2]:

;

(жесткость арматуры не учитывается из-за малой степени армирования);

,

; изгибные жесткости перемычек и простенков
Bв = 5,77·10
9 кгс·см
2,
Bс = 5,91·10
10 кгс·см
2,
Bн = 8,265·10
10 кгс·см
2.·
Сдвиговая жесткость панели с оконным проемом оказалась равной:
Механические характеристики конечного элемента 6/106, моделирующего оконные участки панелей Н3, Н27 и Н17:
Те же механические характеристики, за исключением Gxy, принимаются и для конечных элементов, моделирующих стыковые соединения и средние простенки двухмодульных панелей. Аналогично определяются эквивалентные механические характеристики конечных элементов, моделирующих участки панелей с балконными дверными проемами, шпоночные стыки панелей сплошные панели цокольного яруса и элементы фундаментного пояса. Характеристики конечных элементов приведены в табл. 5.3.
Номер конечного элемента | Характеристики конечных элементов |
размеры, см |  , кгс/см 2 |  , кгс/см 2 |  , кгс/см 2 | Gxy, кгс/см2 |
1/101 | 40 x 15 x 180 | 3,6 x 104 | 420 | 3,6 x 104 | 300 |
2/102 | 40 x 300 x 180 | 3,6 x 104 | 420 | 3,6 x 104 | 1,45 x 104 |
3/103 | 40 x 30 x 180 | 3,6 x 104 | 420 | 3,6 x 104 | 1,45 x 104 |
4/104 | 40 x 30 x 180 | 3,6 x 104 | 420 | 3,6 x 104 | 300 |
5/105 | 40 x 15 x 280 | 3,4 x 104 | 1,4 x 103 | 3,1 x 104 | 1,9 x 104 |
6/106 | 40 x 300 x 280 | 3,4 x 104 | 1,4 x 103 | 3,1 x 104 | 660 |
7/107 | 40 x 30 x 280 | 3,4 x 104 | 1,4 x 103 | 3,1 x 104 | 680 |
8/108 | 40 x 30 x 280 | 3,4 x 104 | 1,4 x 103 | 3,1 x 104 | 1,9 x 104 |
9/109 | 40 x 300 x 280 | 2,4 x 104 | 2 x 103 | 2,6 x 104 | 250 |
10/110 | 40 x 15 x 280 | 3,4 x 104 | 1,4 x 103 | 3,1 x 104 | 680 |
11/111 | 40 x 15 x 240 | 1,5 x 105 | 3,2 x 103 | 1,5 x 105 | 6 x 104 |
12/112 | 40 x 300 x 240 | 1,5 x 105 | 3,2 x 103 | 1,5 x 105 | 6 x 104 |
13/113 | 40 x 30 x 240 | 1,5 x 105 | 3,2 x 103 | 1,5 x 105 | 6 x 104 |
14/114 | 40 x 15 x 30 | 1,5 x 105 | 7,7 x 104 | 1,5 x 105 | 6 x 104 |
15/115 | 40 x 300 x 30 | 1,5 x 105 | 7,7 x 104 | 1,5 x 105 | 6 x 104 |
16/116 | 40 x 30 x 30 | 1,5 x 105 | 6,2 x 104 | 1,5 x 105 | 6 x 104 |
17/117 | 40 x 300 x 30 | 1,5 x 105 | 6,2 x 104 | 1,5 x 105 | 6 x 104 |
18/118 | 40 x 30 x 30 | 1,5 x 105 | 4,2 x 104 | 1,5 x 105 | 6 x 104 |
19/119 | 40 x 300 x 30 | 1,5 x 105 | 4,2 x 104 | 1,5 x 105 | 6 x 104 |
20/120 | 40 x 30 x 30 | 1,5 x 105 | 2,4 x 104 | 1,5 x 105 | 6 x 104 |
21/121 | 40 x 300 x 30 | 1,5 x 105 | 2,4 x 104 | 1,5 x 105 | 6 x 104 |
22/122 | 40 x 15 x 30 | 1,5 x 105 | 2,4 x 104 | 1,5 x 105 | 6 x 104 |
Примечание. Трехзначный номер присваивается конечному элементу с модулем упругости по оси x при растяжении  . |
Далее был выполнен расчет стены методом конечных элементов по Программе расчета конструкций из ортотропных пластин Отделения вычислительной техники ЦНИИСК им. Кучеренко.
На
рис. 5.22 показаны результаты расчета стены: эпюра перерезывающих сил в панельных конструкциях и эпюры продольных сил в арматурных поясах в вертикальных сечениях, проведенных через середины столбцов панелей. Для сжато-изогнутой цокольно-фундаментной части здания даны сжимающие усилия и изгибающие моменты, действующие в тех же сечениях.
Рис. 5.22. Результаты расчета стены здания на воздействие
вертикальных деформаций основания
а - схема нагрузок, кгс; б - эпюра поперечных сил, кгс;
в - эпюры продольных сил в арматурных поясах, кгс
Приведенные на
рис. 5.22 эпюры усилий, а также другая информация, выдаваемая ЭВМ на печать, позволяют проверить прочность всех панельных конструкций и стыковых соединений.
Покажем теперь, как определяются сдвиговые и изгибная жесткости стены в целом по данным расчета стены МКЭ.
Сдвиговая жесткость отдельного участка стены определяется как сумма сдвиговых жесткостей столбца конечных элементов (см.
рис. 5.20,
табл. 5.3). Так, сдвиговая жесткость стены на первом участке, состоящая из конечных элементов N 1, 5, 10, 14, равна:
GF1 = 40·180·300 + 5·40·280·1,9·104 + 4·40·280·680 +
+ 40·240·6·104 + 40·30·6·104 = 1,745·109 кгс.
Замечаем, что сдвиговая жесткость пятого и девятого участков такая же по величине, что и первого (GF5 = GF9 = GF1). Аналогично
GF2 = GF8 = 8,225·108 кгс; GF3 = GF7 = 1,645·109 кгс;
GF4 = 8,042·108 кгс; GF6 = 7,996·108 кгс.
Приведенная сдвиговая жесткость стены
Изгибная жесткость стены определяется по вертикальному перемещению торца здания yA по формуле
где

,

.
На рис. 5.23 приведены эпюры изгибающих моментов и перерезывающих сил
Mр,

,
Qр,

в эквивалентной балке, нагруженной той же нагрузкой, что и стена.
Рис. 5.23. К определению изгибной жесткости стены
а - схема нагрузок на эквивалентную балку; б - эпюра
моментов в эквивалентной балке от заданной нагрузки;
в - то же, от силы P = 1, приложенной в точке A; г - эпюра
поперечных сил в эквивалентной балке от заданной нагрузки;
д - то же, от силы P = 1, приложенной в точке A
Перемножая эпюры по правилу Верещагина, имеем:
Вертикальное перемещение точки
A (см.
рис. 5.23) относительно середины здания из расчета МКЭ
yA = 0,34631 см.
Изгибная жесткость стены
6. РАСЧЕТ ЗДАНИЙ, РАСПОЛОЖЕННЫХ НА ОТТАИВАЮЩИХ
ВЕЧНОМЕРЗЛЫХ ОСНОВАНИЯХ
6.1. Для расчета зданий на оттаивающем вечномерзлом основании разработана программа КОНТАКТ (ИТК-51 "Расчет зданий на неравномерные осадки фундаментов").
Расчетная схема здания принята в виде совокупности параллельных обобщенных балок (по числу продольных стен в здании), объединенных межбалочными связями, распределенными по длине. Деформационные свойства каждой продольной стены описываются набором изгибных и сдвиговых жесткостных характеристик, каждая пара которых соответствует определенной форме искривления основания
(рис. 6.1). Эта система расположена на искривленном, неравномерно сжимаемом основании, характеризующемся тремя параметрами: величиной вертикального перемещения

, коэффициентом жесткости
cj,m, а также предельной величиной отпора

. Для каждой продольной стены эти параметры заданы в
n точках на контакте стены с основанием, называемых точками контакта. Величины

,
cj,m,

определяются для расчетного момента времени в соответствии с
гл. 2.
Рис. 6.1. К расчету здания на оттаивающих
вечномерзлых основаниях
Исходными данными для расчета являются также геометрические параметры здания и следующие его жесткостные характеристики:
податливости расчетных поясов каждой продольной стены здания ai,j 1 кгс;
сдвиговые жесткости цокольно-фундаментной части, первого и типового этажа каждой продольной стены здания

, кгс;
суммарная сдвиговая жесткость поперечных стен для цокольно-фундаментной части и всех этажей здания

, кгс;
приведенная жесткость здания при вертикальном сжатии стен цокольно-фундаментной части, первого и типового этажей

, кгс;
сдвиговая жесткость перекрытий

, кгс.
Расчет на ЭВМ идет в такой последовательности:
при решении задачи в упругомгновенной постановке вычисляются приведенные жесткостные характеристики

,

,

,

- для каждой из форм искривления основания (
r = 1, 2, ...,
s), причем
s =
n - 2, где
n - число точек контакта;
для фиксированного исходными данными момента времени определяются обобщенные балочные усилия и перемещения, а также усилия в межбалочных связях;
определяются и выводятся на печать усилия в расчетных поясах и связях стен и перекрытий.
Расчет здания по программе КОНТАКТ приведен в
примере 6.1.
6.2. Для решения задачи расчета системы "здание-основание" в нестационарной постановке с учетом переменных во времени свойств обоих компонентов системы разработана программа ЛМ ЕС-79 с механизированной подготовкой исходных данных.
ОПРЕДЕЛЕНИЕ ЖЕСТКОСТНЫХ ХАРАКТЕРИСТИК КОНСТРУКТИВНЫХ
ЭЛЕМЕНТОВ ЗДАНИЯ
6.3. Длительный характер деформирования конструкций здания учитывается при расчете по программе КОНТАКТ введением понижающего коэффициента 0,5 к величинам начальных жесткостных характеристик.
Определение податливости расчетных поясов при продольном
растяжении (сжатии)
6.4. Начальная податливость расчетного пояса определяется по формуле

(6.1)
где EFi,j - жесткость расчетного пояса, равная сумме приведенных жесткостей конструктивных элементов, входящих в данный пояс.
В расчетное сечение поясов входят надпроемные и подпроемные участки стен, армированные пояса и примыкающие к ним участки перекрытий. Ширина этих участков, вводимых в расчет в соответствии с рекомендациями
Инструкции [8], равна шести толщинам перекрытия. В случаях специального решения связей между перекрытиями, образования в перекрытиях скрытых поясов допускается, при соответствующем обосновании, введение в расчет другой ширины перекрытия.
В расчетное сечение нулевого и первого поясов кроме элементов усиления могут включаться примыкающие к ним участки стен подвала высотой, равной 1 - 1,5 толщины стены.
Для крупнопанельного здания образование трещин допускается, как правило, только в местах стыков конструктивных элементов. Приведенная жесткость каждого элемента в этом случае вычисляется по формуле

(6.2)
где

- податливость стыкового соединения, определяемая по указаниям
Инструкции [8];
d - длина конструктивного элемента;
Fэ - площадь поперечного сечения элемента (бетона);
Fа - площадь арматуры;
Eэ, Eа - начальные модули упругости материалов.
В случае учета трещинообразования в материале панели жесткость при растяжении вычисляется по формуле

(6.3)
где

- коэффициент, учитывающий работу бетона на участках между трещинами; значение этого коэффициента допускается принимать равным 0,7.
Расчетная податливость пояса равна:

(6.4)
Определение сдвиговой жесткости элементов
продольных стен здания
6.5. Величина начальной жесткости элементов продольных стен здания определяется по формуле

(6.5)
где
ly - длина участка стены, на котором определяется сдвиговая жесткость

;
g - число расчетных участков на ly;
t - номер расчетного участка (t = 1, 2, ..., g);
li,t - длина каждого расчетного участка, равная для крупнопанельного здания расстоянию между вертикальными стыками (длина панели);

- податливость вертикальных швов между панелями продольной стены при сдвиге, определяемая в соответствии с указаниями
[8];
GFi,t - сдвиговая жесткость каждого расчетного участка, равная:
для цокольно-фундаментной части здания
GF0,t = GFф + GFц, (6.6)
GFф и GFц - соответственно приведенные сдвиговые жесткости фундаментной и цокольной частей стены.
При наличии дверных проемов, проходов и т.д. GFф и GFц находятся по формуле

(6.7)
где V - число проемов на расчетном участке;
lf - ширина проема;
GFf - сдвиговая жесткость стены в месте ослабления проемом, вычисляемая по формуле

(6.8)
Bf - изгибная жесткость перемычки, определяемая по
Инструкции [8];
GF - приведенная сдвиговая жесткость сплошного участка стены;

- приведенный коэффициент податливости при перекосе перемычек, расположенных в рассматриваемом вертикальном сечении стены в пределах высоты этажа и определяемый в соответствии с указаниями
[8];
для наружных стен зданий

(6.9)
hi,t - высота этажа;
di,t - длина панели;

- жесткостная характеристика панели, определяемая в соответствии с табл. 3 или 4 "Пособия по расчету крупнопанельных зданий. Выпуск 1"
[2], как для замкнутой рамы при перекосе, в зависимости от типа стыковых соединений.
Если на расчетном участке стены, имеющем n панелей, m панелей имеют по два проема, то условно их можно представить как 2m панелей с одним проемом. Общее число панелей тогда будет равно n + m. В этом случае допускается n панелей рассчитывать как имеющие соединения только по углам, а m панелей как имеющие соединения в виде рассредоточенных по высоте замоноличенных связей.
Для внутренних стен зданий

(6.10)
Расчетная сдвиговая жесткость одного этажа продольной стены равна:

(6.11)
Определение суммарной сдвиговой жесткости
поперечных стен здания
6.6. Для определения суммарной сдвиговой жесткости поперечных стен здания

вычисляются сдвиговые жесткости каждой поперечной стены, находящейся в промежутке между соседними продольными стенами, и суммируются по всей длине здания
l.
Начальная сдвиговая жесткость каждой поперечной стены находится по формуле

(6.12)
lп.ст - длина поперечной стены;
Расчетная сдвиговая жесткость каждой поперечной стены

(6.13)
Определение приведенной жесткости стен
при вертикальном сжатии
6.7. Начальная приведенная жесткость стен при вертикальном сжатии

определяется по формуле

(6.14)
где hi - высота этажа при определении жесткости стен первого и типового этажей и высота цокольно-фундаментной части при определении жесткости этой части здания;
u' - число конструктивных элементов, входящих по высоте в этаж i и обладающих разными жесткостями при сжатии;
hu - высота конструктивного элемента;
EFu - приведенная жесткость при сжатии каждого элемента (E - модуль упругости материала; Fu - площадь горизонтального сечения конструктивного элемента без проемов, отверстий и т.д.).
В площадь Fu входят площадь горизонтального сечения конструктивного элемента рассматриваемой продольной стены и полусумма площадей горизонтальных сечений элементов поперечных стен, расположенных справа и слева от продольной стены (т.е. в промежутках j - 1 и j).
Расчетная жесткость стен при вертикальном сжатии

(6.15)
Определение сдвиговой жесткости перекрытия
6.8. Начальная сдвиговая жесткость перекрытия определяется по формуле

(6.16)
где bj - расстояние между продольными стенами;
GFп - приведенная сдвиговая жесткость перекрытия, равная

(здесь
G - модуль сдвига материала,

- приведенная высота перекрытия);

- коэффициент податливости при сдвиге, определяемый по
Инструкции [8]. Расчетная сдвиговая жесткость перекрытия

(6.17)
РАСЧЕТ БЕЗ ПРИМЕНЕНИЯ ЭВМ
6.9. Расчет зданий на оттаивающих вечномерзлых грунтах без применения ЭВМ производится в такой последовательности:
определение геометрических и жесткостных параметров здания и основания (исходных данных);
определение приведенных жесткостных характеристик здания;
определение обобщенных перемещений и усилий в здании;
определение расчетных усилий в конструкциях здания.
6.10. Определение жесткостных параметров основания производится по
пп. 2.49 -
2.54, а жесткостных параметров здания по
пп. 6.3 -
6.5 настоящего Руководства.
6.11. При определении жесткостных характеристик здания вводится допущение об отсутствии вертикальной сжимаемости в здании.
Приведенные изгибные

и сдвиговые

жесткостные характеристики каждой продольной стены здания для
r-й формы искривления основания вычисляются по формулам:

(6.18)

(6.19)
где j - номер продольной стены (j = 1, 2, ..., t);
k - число этажей в здании (i = 0, 1, ..., k);
hi,j - высота i-го этажа;
h0,j - расчетная высота цокольно-фундаментной части здания.
Величина h0,j определяется в зависимости от конструктивного решения цокольно-фундаментной части здания. При наличии в цокольно-фундаментной части усиленных поясов, расположенных по подушкам фундаментов и в уровне пола первого этажа, величина h0,j принимается равной расстоянию между центрами тяжести этих поясов. При отсутствии усиления величина h0,j вычисляется по формуле

(6.20)
EIц - приведенная изгибная жесткость цокольно-фундаментной части;
EF - приведенная жесткость цокольно-фундаментной части при продольном сжатии (растяжении)

(6.21)
здесь hц - высота цокольно-фундаментной части здания;

- сдвиговая жесткость цокольно-фундаментной части стены;
- коэффициенты распределения усилий в здании по высоте, вычисляемые по формулам:
для одноэтажного здания с подвалом или двухэтажного здания без подвала:

(6.22)

(6.23)

(6.24)
для двухэтажного здания с подвалом (или трехэтажного здания без подвала):

(6.25)

(6.26)

(6.27)

(6.28)
для трехэтажного здания с подвалом (или четырехэтажного здания без подвала):

(6.29)

(6.30)

(6.31)

(6.32)

(6.33)
для четырехэтажного с подвалом (или пятиэтажного здания без подвала):

(6.34)

(6.35)

(6.36)

(6.37)

(6.38)

(6.39)
для пятиэтажного здания с подвалом (или шестиэтажного здания без подвала):

(6.40)

(6.41)

(6.42)

(6.43)

(6.44)

(6.45)

(6.46)

(6.47)

(6.48)

(6.49)

(6.50)

(6.51)

(6.52)

(6.53)

(6.54)
ai,j - податливость расчетного пояса i, j при растяжении (сжатии);
- относительная податливость расчетного пояса
i,
j, равная

;
ai,j - сдвиговая податливость этажа здания, равная

,
где
- сдвиговая жесткость
i,
j этажа здания;
l - длина здания;
- относительная расчетная высота цокольно-фундаментной части здания, равная

;
h - высота типового этажа;

- коэффициент формы искривления, равный:
при r = 1 | |
при r = 2 | |
при r = 3 | |
По
формулам (6.40) -
(6.46) допускается определять коэффициенты

для зданий до девяти этажей, при этом средние этажи следует объединять таким образом, чтобы расчетное число ярусов в здании равнялось 5.
Определение обобщенных перемещений и усилий в здании
6.12. При определении величин обобщенных усилий и перемещений в здании на деформируемых в процессе оттаивания вечномерзлых грунтах принимается расчетная схема в виде системы параллельных обобщенных балок на искривляемом неравномерно сжимаемом основании с переменными во времени и в плане здания характеристиками, причем для расчета без применения ЭВМ вводится упрощающее допущение о равенстве осадок обобщенных балок в каждом поперечном сечении системы.
Перемещения подошвы фундамента при пяти расчетных поперечных сечениях контакта здания с основанием (координаты по длине здания xm = 0; 0,25l; 0,5l; 0,75l; l) определяются по формулам:

(6.55)

(6.56)

(6.57)

(6.58)

(6.59)
где l - длина здания;
q - погонная нагрузка от здания на уровне низа подошвы фундамента;
EI(r) и GF(r) - приведенные изгибные и сдвиговые жесткости здания для r = 1, 2, 3.

(6.60)

(6.61)
где

и

вычисляются по
формулам (6.18) -
(6.19). Коэффициенты
K1,
K2,
K3,
C, Д
в общем виде находятся из системы уравнений:

(6.62)
cm - приведенный коэффициент жесткости основания

(6.63)

- приведенное вертикальное перемещение поверхности основания

(6.64)
Величины
cj,m и

определяются в соответствии с
гл. 2.
Коэффициенты K1, K2, K3, C, Д в частных случаях могут быть вычислены по формулам:

(6.65)

(6.66)

(6.67)

(6.68)

(6.69)
при симметричном прогибе:

(6.71)

(6.72)

(6.73)
при выгибе здания:

(6.74)

(6.75)
Примечание. Применение этих формул ограничивается случаями с возможностью распространения зоны нулевых давлений на краю здания не более чем на 0,2 длины осадочного отсека.
Перемещения подошвы фундамента при трех расчетных поперечных сечениях контакта здания с основанием (координаты по длине здания равны xm = 0; 0,5l; l) определяются по формулам:
| | ИС МЕГАНОРМ: примечание. В официальном тексте документа, видимо, допущена опечатка: имеется в виду формула (6.76), а не формула (6.67). | |

(6.67)

(6.77)

(6.78)
где

(6.79)

(6.80)

(6.81)
Примечание. При учете нелинейного характера деформирования основания расчет по
формулам (6.76) -
(6.81) возможен только для случая прогиба здания.
Если в результате решения оказывается, что в какой-либо точке контакта
m обобщенной балки
j перемещения

, то в этой точке задается новое значение
cj,m = 0.
Если в точке
j,
m получается

, то новое значение
cj,m в этой точке равно:
С учетом этих откорректированных значений
cj,m по
формулам (6.63) -
(6.64) находятся новые значения
cm и

и снова определяется
Wm для всех точек. Решение продолжается до тех пор, пока не будет выполняться условие

(
u - номер итерации,
r = 1, 2, 3). Получающиеся при этом величины коэффициентов
K являются окончательными и используются для определения обобщенных усилий в здании.
6.13. Обобщенные суммарные изгибающие моменты и перерезывающие силы в здании равны:
при пяти расчетных поперечных сечениях контакта:

(6.82)

(6.83)
Величины Mm и Qm определяются по формулам:
M1 = M5 = Q1 = Q5 = 0; (6.84)

(6.85)

(6.86)

(6.87)

(6.88)

(6.89)

(6.90)
при трех расчетных поперечных сечениях контакта:

(6.91)

(6.92)
6.14. Обобщенные изгибающие моменты и перерезывающие силы в каждой продольной стене здания определяются по формулам:
при пяти расчетных поперечных сечениях контакта:

(6.93)

(6.94)
при трех расчетных поперечных сечениях:

(6.95)

(6.96)
6.15. Распределение усилия сдвига R'j,m в межбалочных связях определяется по формулам:
при пяти расчетных поперечных сечениях контакта

(6.97)

(6.98)

(6.99)

(6.100)

(6.101)
Примечание. При j = 1 (крайний межбалочный промежуток) R'j-1,m = 0;
при трех расчетных поперечных сечениях контакта:

(6.102)

(6.103)

(6.104)
Определение расчетных усилий в конструкциях здания
6.16. Усилия в элементах здания при пяти расчетных сечениях контакта здания с основанием определяются следующим образом:
продольные усилия Ni,j,m в расчетном поясе каждой продольной стены здания находятся в двух вариантах по формулам:

(6.105)

(6.106)
горизонтальные погонные сдвигающие усилия T'i,j,m в каждом расчетном ярусе находятся также в двух вариантах по формулам:

(6.107)

(6.108)
Из величин Ni,j,m и T'i,j,m, вычисленных по двум вариантам, выбираются максимальные.

- коэффициенты распределения усилий по высоте здания, вычисляемые так же, как

, при условном приведении жесткостных характеристик конструктивных элементов всех продольных стен к одной балке;
горизонтальные сдвигающие усилия в простенках равны:
Ti,j,m =
T'i,j,mli,пр, (6.109)
где li,пр - расстояние между осями проемов;
вертикальные сдвигающие усилия в каждом продольном расчетном поясе равны:

(6.110)
где
Qi,j,m = T'i,j,mhi.
Изгибающие моменты в расчетном поясе i, j вычисляются по формулам:
Mi,j,1 =
Mi,j,5 = 0; (6.111)

(6.112)

(6.113)

(6.114)
где EIi,j - приведенная изгибная жесткость расчетного пояса i, j;
распределенные усилия сдвига в поперечных стенах каждого этажа находятся по формуле

(6.115)
где

- сдвиговая жесткость поперечных стен этажа
i.
Усилие сдвига в поперечной стене равно:
Ri,j,m =
R'i,j,mli,t, (6.116)
где li,t - расстояние между поперечными стенами;
максимальные погонные сдвигающие усилия в перекрытиях

находятся по формуле

(6.117)
Усилия в элементах здания при трех расчетных сечениях контакта здания в основании находятся аналогично. Определение усилий в здании без применения ЭВМ см. в
примере расчета 6.2.
Требуется определить с помощью ЭВМ по программе КОНТАКТ дополнительные усилия в конструкциях крупнопанельного здания от действия неравномерных осадок фундаментов.
Расчет проводится на стадии разработки типового проекта. Здание пятиэтажное с продольными и поперечными несущими стенами. Фундаменты ленточные из сборных блоков. По сборным фундаментным подушкам по всем стенам здания устраивается монолитный железобетонный пояс высотой 60 см.
Цокольные панели всех внутренних и наружных стен железобетонные, выполнены из бетона марки М200. В уровне пола первого этажа соединение цокольных панелей наружных стен осуществляется стыковкой четырех арматурных стержней, а панелей внутренних стен - двух стержней. По верху цокольных панелей всех продольных и поперечных стен имеется монолитный железобетонный пояс высотой 10 см.
Панели наружных стен выполнены из керамзитогазозолобетона. Марка материала панелей первого этажа М75, а панелей других этажей - М50. Соединение панелей наружных стен в уровне пола первого и пятого этажей, а также чердачного перекрытия осуществляется стыковкой четырех стержней, а в уровне пола второго, третьего и четвертого этажей - стыковкой 2 стержней.
Панели внутренней продольной и всех поперечных стен выполнены из бетона марки М200.
Панели продольной стены соединяются между собой стыковкой двух стержней.
Панели перекрытий сплошные, размером на комнату из бетона марки М200. В перекрытиях устраивается скрытый пояс шириной 120 см. Соединение панелей перекрытий над подвалом, четвертым и пятым этажами осуществляется стыковкой шести стержней, а над первым, вторым и третьим этажами - четырех стержней. Бетон замоноличивания стыков наружных панелей марки М150, в остальных случаях - марки М200.
В исходные данные для расчета входят геометрические характеристики здания, жесткостные характеристики конструктивных элементов здания и жесткостные характеристики основания.
Геометрические характеристики здания:
l = 3240 см (длина здания, две секции);
k = 5 (число этажей в здании);
e = 3 (число продольных стен в здании);
hц = 400 см (общая высота цокольно-фундаментной части здания);
h1 = 300 см (высота первого этажа);
h = 300 см (высота типового этажа);
bj = 600 см (расстояние между продольными стенами);
h0j = 350, 358, 350 см (расчетная высота цокольно-фундаментной части каждой продольной стены, равная расстоянию между центрами тяжести нулевого и первого расчетных поясов).
Определение жесткостных характеристик конструктивных
элементов здания
Жесткостные характеристики конструктивных элементов здания вычисляются для одной рядовой секции (рис. 6.2,
6.3).
Рис. 6.2. Конструктивная система панельного здания
а - фасад по оси А; б - разрез I-I
Рис. 6.3. План типового этажа
Начальные модули упругости материала конструктивных элементов здания приведены в табл. 6.1.
Таблица 6.1
Элемент | Марка материала | Начальный модуль упругости E·105, кгс/см2 |
Монолитные железобетонные пояса | М200 | 2,4 |
Стены фундаментов (кладка из блоков) | М150 - М200 | 1,17 |
Цокольные панели наружных и внутренних стен | М200 | 2,15 |
Панели перекрытий | М200 | 2,15 |
Панели наружных стен первого этажа | М75 | 0,85 |
Панели наружных стен типового этажа | М50 | 0,75 |
Панели внутренних стен | М200 | 2,15 |
Арматура | АI | 21 |
Определение податливости расчетных поясов
Рассмотрим пояс 3; 1. Расчетный пояс 3; 1 на разных участках стены имеет различную податливость. Поэтому податливость всего пояса вычисляется по формуле
где ay - податливость пояса на каждом участке;
ly - длина участка;
n - число участков.
В расчетное сечение пояса 3; 1 в осях
9-10;
10-11;
11-12;
12-13 и
13-14 (рис. 6.4) входят следующие элементы конструкций здания:
подоконная перемычка панелей третьего этажа с площадью поперечного сечения
надоконная перемычка панелей второго этажа с площадью поперечного сечения
участок перекрытия шириной, равной ширине скрытого пояса, - 120 см, с площадью поперечного сечения
| | ИС МЕГАНОРМ: примечание. Текст дан в соответствии с официальным текстом документа. | |
Рис. 6.4. Расчетное сечение пояса 3.1
Определение податливости пояса в осях 9-10 и 13-14:
EF3; 1 = EFв.п + EFн.п + EFпер.
Приведенная продольная жесткость каждого конструктивного элемента вычисляется по
формуле (6.2).
Соединение панелей наружных стен осуществляется стыковкой двух стержней диаметром 16 мм при бетоне замоноличивания марки М150.
Коэффициент податливости арматурной связи при растяжении определяется по
ВСН [8].
Длина панелей dв.п = dн.п = 360 см.
Плиты перекрытий соединяются между собой сваркой четырех стержней диаметром 12 мм при бетоне замоноличивания марки М200. Длина dпер = 360 см.
оси 9-10; 13-14.
Определение податливости пояса в осях 10-11; 11-12; 12-13.
Пояс 3; 1 в осях 10-11; 11-12; 12-13 отличается от пояса 3; 1 в осях 9-10; 13-14 длиной элементов:
dв.п = dн.п = 300 см; dпер = 300 см;
оси 10-11, 11-12, 12-13.
Начальная податливость пояса 3; 1:
Расчетная податливость пояса 3; 1:
a3; 1 = 0,5261·10-8 : 0,5 = 1,0522·10-8 1/кгс.
Аналогично вычисляются податливости расчетных поясов всех продольных стен здания.
Определение сдвиговой жесткости конструктивных элементов
продольных стен 
Сдвиговая жесткость элементов продольных стен в пределах одного этажа определяется по
формулам (6.5) -
(6.10).
Рассмотрим определение сдвиговой жесткости типового этажа наружной стены, расположенной по оси
А. Сдвиговая жесткость определяется на участке длиной
ly = 1620 см
(рис. 6.5). На этой длине имеются две панели длиной 360 см и три панели длиной 300 см.
Рис. 6.5. К определению сдвиговой жесткости элементов
наружной продольной стены
а - разбивка на расчетные участки; б - панель наружной
продольной стены
Сдвиговая жесткость панели с одним проемом при соединении ее с другими панелями только в углах вычисляется по формулам табл. 3
[2].
Для панелей длиной 300 см:
Bв = 3,962·1010 кгс·см2;
Bн = 36,6430·1010 кгс·см2;
Bс = 10,7174·1010 кгс·см2;
n = iвm2 + iн(1 - m)2 + 2iс(1 - 3m + 3m2) =
= 56,3043·10-10·0,36732 + 6,0879·10-10(1 - 0,3673)2 +
+ 2·21,1450·10-10(1 - 3·0,3673 + 3·0,36732) =
= 22,8396·10-10 1/(кгс·см);
Сдвиговая жесткость панели длиной 360 см находится аналогично:
GFl=360 = 3,0272·107 кгс.
Определение сдвиговой податливости стыков панелей
Сдвиговую податливость стыка панелей определяем согласно данным
Инструкции [8].
Панели наружных стен третьего этажа соединяются между собой стержнями диаметром 16 мм (двумя в верхней части панели и двумя стержнями в нижней части панели).
Бетон замоноличивания марки М150.
Начальная сдвигаемая жесткость стены типового этажа
Расчетная сдвиговая жесткость типового этажа наружной стены
Аналогичным образом вычисляются сдвиговые жесткости цокольно-фундаментной части и первого этажа наружных стен здания.
Рассмотрим определение сдвиговой жесткости типового этажа внутренней стены (ось Б). Сдвиговая жесткость определяется на участке длиной ly = 1620 см (рис. 6.6, а).
Рис. 6.6. К определению сдвиговой жесткости элементов
внутренней продольной стены
а - разбивка на расчетные участки; б - панель внутренней
продольной стены
На этой длине имеются две панели длиной 360 см с проемами (В-5), две панели длиной 300 см без проемов (В-6) и одна панель длиной 300 см с проемом (В-4).
Вычисляем сдвиговую жесткость панели В-5 (
рис. 6.6,
б).
Изгибная жесткость перемычки определяется по рекомендациям
Инструкции [8]:
GF = 0,4·2,15·105·285·16 = 39,216·107.
Коэффициент

определяется по рекомендациям
[8]:
Сдвиговая жесткость панели В-4 вычисляется аналогично:
GFВ-4 = 7,8326·107 кгс.
Панель В-6 проемов не имеет:
GFВ-6 = 39,216·107 кгс.
Панели внутренней продольной стены соединяются между собой стыковкой двух арматурных стержней диаметром 16 мм. Коэффициент податливости вычислен в соответствии с рекомендациями
[8]:
Начальная сдвиговая жесткость типового этажа внутренней продольной стены равна:
Расчетная сдвиговая жесткость типового этажа внутренней продольной стены
Определение суммарной сдвиговой жесткости поперечных стен 
Определим сдвиговую жесткость поперечных стен типового этажа, находящихся в промежутке между продольными стенами, расположенными по осям А и Б, для одной секции.
В этом промежутке имеются две панели с проемом (В-1), три панели без проемов (В-2) и один вентиляционный блок БВ2.
Вычислим сдвиговую жесткость панели В-1 (рис. 6.7).
Рис. 6.7. К определению сдвиговой жесткости поперечных стен
Начальная сдвиговая жесткость поперечной стены с проемом вычисляется по
формуле (6.12).
Изгибная жесткость перемычки:
Bf = 11064,4614·107 кгс·см2;
GF = 0,4·2,15·105·285·12 = 29,412·107 кгс.
Коэффициент

определяется по рекомендациям
ВСН [8]
Панель В-1 соединяется с каждой продольной стеной при помощи двух арматурных выпусков диаметром 16 мм.
Коэффициент податливости стыков, вычисленный в соответствии с рекомендациями
[8], равен:
для стыка В-1 и наружных стен
для стыка В-1 и внутренней продольной стены
Начальная жесткость панели В-2 с учетом податливости стыков с продольными стенами
GFВ-2 = 0,6949·107 кгс.
Начальная жесткость вентиляционного блока БВ-1 с учетом податливости стыков с продольными стенами
GFБВ-1 = 0,6973·107 кгс.
Начальная сдвиговая жесткость поперечных стен на одну секцию
Расчетная суммарная сдвиговая жесткость поперечных стен типового этажа между осями А-Б на одну секцию
Так же вычисляются суммарные сдвиговые жесткости стен для всех этажей здания.
Определение приведенной жесткости стен
Приведенные жесткости при вертикальном сжатии стен типового этажа

на одну секцию определяются по
формуле (6.14).
1. Ось А
В площадь горизонтального сечения входят площади горизонтальных сечений панелей, расположенных по оси А, и сумма площадей горизонтальных сечений панелей, расположенных на половине промежутка между осями А и Б.
2. Ось Б
3. Ось В
Расчетные приведенные жесткости стен типового этажа при вертикальном сжатии на одну секцию равны:
Определение сдвиговой жесткости перекрытий 
Расчетная сдвиговая жесткость перекрытий
Определение нагрузки на продольные стены
Нагрузка подсчитана с учетом коэффициентов перегрузки по расчетной комбинации N 8
табл. 3.2 настоящего Руководства:
q1,m = q3,m = 355 кгс/см; q2,m = 580 кгс/см.
Общая нагрузка на 1 секцию равна:
q = (355·2 + 580)1620 = 2,0898·106 кгс.
Жесткостные характеристики всех конструктивных элементов здания, необходимые для расчета, сведены в
табл. 6.2. Параметры основания, заданные в соответствии с требованиями, предъявленными к разработке типового проекта (см.
гл. 2), приведены в
табл. 6.3 и
6.4.
Этаж (пояс) | Стена j | Жесткостные характеристики конструктивных элементов здания |
ai,j·10 -8,  |  , кгс |  , кгс |  , кгс | GFпер·107, кгс |
0 | 1 | 0,2136 | 27,0481 | 9,2990 | 158,2751 | 5,026 |
1 | 0,4476 | 0,5838 | 4,4321 | 2,0994 |
2 | 1,0410 | 0,4085 | 4,2481 | 2,0280 |
3 | 1,0522 | 0,4085 | 4,2481 | 2,0280 |
4 | 1,0522 | 0,5292 | 4,2481 | 2,0280 |
5 | 0,7088 | 0,6209 | 4,2481 | 2,0280 |
6 | 0,6092 | | | |
0 | 2 | 0,2136 | 26,4055 | 9,0863 | 158,6444 | 5,026 |
1 | 0,6320 | 0,5617 | 6,9677 | 2,2432 |
2 | 0,9352 | 0,5617 | 6,9677 | 2,1666 |
3 | 0,9352 | 0,5617 | 6,9677 | 2,1666 |
4 | 0,9352 | 0,5617 | 6,9677 | 2,1666 |
5 | 0,7457 | 0,5617 | 6,9677 | 2,1666 |
6 | 0,7457 | | | |
0 | 3 | 0,2136 | 14,5673 | 9,5218 | | |
1 | 1,0318 | 0,6991 | 4,4888 | | |
2 | 1,8506 | 0,1432 | 4,3128 | | |
3 | 1,8478 | 0,1432 | 4,3128 | | |
4 | 1,8478 | 0,1933 | 4,3128 | | |
5 | 1,3024 | 0,2344 | 4,3128 | | |
6 | 1,1226 | | | | |
m | Параметры основания, вариант I "Симметричный прогиб" |
| |
j = 1, 3 | j = 2 | j = 1, 3 | j = 2 |
1 | 5 | 9 | 180 | 120 |
2 | 6,2 | 11 | 165 | 110 |
3 | 7 | 12,4 | 155 | 105 |
4 | 7,5 | 13,5 | 150 | 100 |
5 | 7 | 12,4 | 155 | 105 |
6 | 6,2 | 11 | 165 | 110 |
7 | 5 | 9 | 180 | 120 |
m | Параметры основания, вариант II - "Наклонный выгиб" |
| |
j = 1, 3 | j = 2 | j = 1, 3 | j = 2 |
1 | 5,0 | 7,5 | 210 | 140 |
2 | 5,1 | 7,6 | 192 | 126 |
3 | 5,4 | 7,9 | 174 | 104 |
4 | 6,0 | 9 | 150 | 100 |
5 | 9,2 | 12,8 | 130 | 88 |
6 | 12,0 | 16,4 | 122 | 82 |
7 | 15,0 | 20,5 | 120 | 80 |
Расчет проводится на ЭВМ М-222 по программе КОНТАКТ ИТК-51 "Расчет зданий на неравномерные осадки фундаментов". Результаты расчета приведены в табл. 6.5 -
6.8 и
рис. 6.8 и
6.9.
Таблица 6.5
Усилие, перемещение | Стена j | Обобщенные усилия и перемещения в продольных стенах рассчитываемого здания (вариант I) при относительной координате сечения  |
0 | 0,15 | 0,3 | 0,5 | 0,7 | 0,85 | 1 |
Mj, тс·м | j = 1 | 0 | 159,85 | 410,76 | 572,9 | 410,76 | 159,85 | 0 |
j = 2 | 0 | 166,51 | 424,52 | 592,36 | 424,52 | 166,51 | 0 |
j = 3 | 0 | 72,26 | 174,63 | 238,91 | 174,63 | 72,26 | 0 |
здание | 0 | 398,62 | 1009,91 | 1404,17 | 1009,91 | 398,62 | 0 |
Qj, тс | j = 1 | 0 | 51,8 | 45,1 | 0 | -45,1 | -51,8 | 0 |
j = 2 | 0 | 53,75 | 45,97 | 0 | -45,97 | -53,75 | 0 |
j = 3 | 0 | 23,09 | 18,45 | 0 | -18,45 | -23,09 | 0 |
здание | 0 | 128,64 | 109,52 | 0 | -109,52 | -128,64 | 0 |
Wj, см | j = 1 | 9,69 | 10,31 | 10,81 | 11,08 | 10,81 | 10,31 | 9,69 |
j = 2 | 9,86 | 10,48 | 10,9 | 11,53 | 10,90 | 10,48 | 9,86 |
j = 3 | 9,64 | 10,3 | 10,82 | 11,11 | 10,82 | 10,3 | 9,64 |
Таблица 6.6
Усилие, перемещение | Стена j | Обобщенные усилия и перемещения в продольных стенах рассчитываемого здания (вариант II) при относительной координате сечения  |
0 | 0,15 | 0,3 | 0,5 | 0,7 | 0,85 | 1 |
Mj, тс·м | j = 1 | 0 | -187,8 | -545,41 | -813,42 | -489,99 | -149,38 | 0 |
j = 2 | 0 | -194,15 | -574,11 | -851,06 | -522,74 | -158,08 | 0 |
j = 3 | 0 | -77,56 | -228,19 | -352,28 | -196,87 | -54,49 | 0 |
здание | 0 | -459,51 | -1347,71 | -2016,76 | -1209,6 | -361,95 | 0 |
Qj, тс | j = 1 | 0 | -64,49 | -71,34 | 5,33 | 74,67 | 55,07 | 0 |
j = 2 | 0 | -70,3 | -77,85 | 5,05 | 81,2 | 61,22 | 0 |
j = 3 | 0 | -27,28 | -32,33 | 2,84 | 34,69 | 21,78 | 0 |
здание | 0 | -162,07 | -181,52 | 13,22 | 190,56 | 138,07 | 0 |
Wj, см | j = 1 | 6,84 | 7,86 | 9,00 | 11,03 | 13,88 | 16,36 | 18,89 |
j = 2 | 6,97 | 8,00 | 9,13 | 11,16 | 14,03 | 16,51 | 19,03 |
j = 3 | 6,90 | 7,88 | 8,99 | 10,98 | 13,88 | 16,38 | 18,94 |
Рис. 6.8. К примеру расчета здания (по программе КОНТАКТ).
Распределение обобщенных балочных усилий и перемещений
А - для случая прогиба; Б - для случая зависания;
а - изгибающих моментов M, тс·м; б - поперечных сил Q, тс;
в - осадок S, см
Рис. 6.9. Расчетные усилия Ni,j в продольных поясах
в сечении 
| | ИС МЕГАНОРМ: примечание. Текст дан в соответствии с официальным текстом документа. | |
а - для случая прогиба; б - для случая зависания;
1 - наружная стена по оси А; 2 - внутренняя стена по оси Б;
3 - наружная стена по оси В
Таблица 6.7
Обозначение усилия | Стена j | Продольные усилия в расчетных поясах здания (вариант II), тс, при относительной координате сечения  |
0 | 0,15 | 0,3 | 0,5 | 0,7 | 0,85 | 1 |
N0j | j = 1 | 0 | 25,47 | 61,92 | 84,56 | 61,92 | 25,47 | 0 |
j = 2 | 0 | 21,67 | 50,96 | 69,29 | 50,96 | 21,67 | 0 |
j = 3 | 0 | 16,43 | 38,4 | 51,89 | 38,4 | 16,43 | 0 |
N1j | j = 1 | 0 | -17,8 | -40,94 | -54,68 | -40,94 | -17,8 | 0 |
j = 2 | 0 | -13,18 | -27,91 | -36,53 | -27,91 | -13,18 | 0 |
j = 3 | 0 | -14,76 | -33,84 | -45,39 | -33,84 | -14,76 | 0 |
N2j | j = 1 | 0 | -2,9 | -7,84 | -11,1 | -7,84 | -2,9 | 0 |
j = 2 | 0 | -2,3 | -6,14 | -8,65 | -6,14 | -2,3 | 0 |
j = 3 | 0 | -0,78 | -2,13 | -3,03 | -2,13 | -0,78 | 0 |
N3j | j = 1 | 0 | -0,7 | -1,97 | -2,84 | -1,97 | -0,7 | 0 |
j = 2 | 0 | -0,64 | -1,77 | -2,54 | -1,77 | -0,64 | 0 |
j = 3 | 0 | -0,08 | -0,22 | -0,32 | -0,22 | -0,08 | 0 |
N4j | j = 1 | 0 | -0,24 | -0,68 | -0,98 | -0,68 | -0,24 | 0 |
j = 2 | 0 | -0,35 | -0,99 | -1,43 | -0,99 | -0,35 | 0 |
j = 3 | 0 | -0,01 | -0,04 | -0,05 | -0,04 | -0,01 | 0 |
N5j | j = 1 | 0 | -0,55 | -1,55 | -2,24 | -1,55 | -0,55 | 0 |
j = 2 | 0 | -0,97 | -2,73 | -3,93 | -2,73 | -0,97 | 0 |
j = 3 | 0 | -0,05 | -0,15 | -0,22 | -0,15 | -0,05 | 0 |
N6j | j = 1 | 0 | -3,26 | -8,93 | -12,73 | -8,93 | -3,26 | 0 |
j = 2 | 0 | -4,23 | -11,43 | -16,21 | -11,43 | -4,23 | 0 |
j = 3 | 0 | -0,74 | -2,03 | -2,88 | -2,03 | -0,74 | 0 |
Обозначение усилия | Стена j | Продольные усилия в расчетных поясах здания (вариант II), тс, при относительной координате сечения  |
0,0 | 0,15 | 0,30 | 0,50 | 0,70 | 0,85 | 1,0 |
N0j | j = 1 | 0 | -27,55 | -81,24 | -124,48 | -69,59 | -19,19 | 0 |
j = 2 | 0 | -22,12 | -67,95 | -103,88 | -58,85 | -15,36 | 0 |
j = 3 | 0 | -16,77 | -49,77 | -78,22 | -41,71 | -10,75 | 0 |
N1j | j = 1 | 0 | 17,68 | 53 | 83,62 | 43,08 | 10,4 | 0 |
j = 2 | 0 | 11,18 | 36,43 | 58,23 | 29,23 | 5,61 | 0 |
j = 3 | 0 | 14,63 | 43,63 | 69,32 | 35,94 | 8,83 | 0 |
N2j | j = 1 | 0 | 3,68 | 10,58 | 15,32 | 9,72 | 3,14 | 0 |
j = 2 | 0 | 2,89 | 8,41 | 12,19 | 7,71 | 2,46 | 0 |
j = 3 | 0 | 10,02 | 2,87 | 4,15 | 2,69 | 0,89 | 0 |
N3j | j = 1 | 0 | 0,94 | 2,65 | 3,82 | 2,56 | 0,88 | 0 |
j = 2 | 0 | 0,85 | 2,42 | 3,48 | 2,33 | 0,8 | 0 |
j = 3 | 0 | 0,11 | 0,3 | 0,43 | 0,29 | 0,1 | 0 |
N4j | j = 2 | 0 | 0,32 | 0,91 | 1,32 | 0,89 | 0,31 | 0 |
j = 2 | 0 | 0,47 | 1,35 | 1,95 | 1,32 | 0,46 | 0 |
j = 3 | 0 | 0,02 | 0,05 | 0,07 | 0,05 | 0,02 | 0 |
N5j | j = 1 | 0 | 0,73 | 2,08 | 3 | 2,03 | 0,71 | 0 |
j = 2 | 0 | 1,31 | 3,73 | 5,37 | 3,63 | 1,26 | 0 |
j = 3 | 0 | 0,71 | 0,2 | 0,29 | 0,2 | 0,07 | 0 |
N6j | j = 1 | 0 | 4,20 | 12,02 | 17,4 | 11,3 | 3,75 | 0 |
j = 2 | 0 | 5,41 | 15,62 | 22,64 | 14,63 | 4,78 | 0 |
j = 3 | 0 | 0,95 | 2,72 | 3,96 | 2,55 | 0,84 | 0 |
Определить усилия в элементах крупнопанельного здания от действия неравномерных осадок фундаментов без применения ЭВМ.
Конструктивная система здания описана в примере расчета здания по программе "Контакт". Глубина заложения подошвы фундамента hф = 2 м, ширина подошвы bф = 2 м.
Основание сложено суглинками, их суммарная влажность
Wс = 0,25 м, число пластичности
Iр = 0,08, влажность на пределе раскатывания
Wр = 0,15, объемный вес грунта в талом состоянии

, объемный вес в мерзлом состоянии

. Температура в подвале
tп = 5 °C. Температура вечномерзлого грунта на глубине 10 м
t0 = -1 °C. Сопротивление теплопередаче пола подвала
R0 = 1 м·ч·град/ккал. Коэффициенты теплопроводности талого и мерзлого грунта равны

;

. Коэффициенты оттаивания
A и сжимаемости
a, см
2/кгс, определены исходя из испытаний мерзлых грунтов горячими штампами (Л
сi = 0).
До глубины 1,6 м A = 0,016, a = 0,006 см2/кгс; ниже - A = 0,02, a = 0,008.
Расчет здания производится в один этап для момента времени 7 лет.
Расчет здания производится в такой последовательности:
подсчет исходных данных;
вычисление коэффициентов распределения усилий по высоте здания

и

;
определение приведенных изгибных EI(r) и сдвиговых GF(r) жесткостей здания;
определение обобщенных перемещений и усилий в здании;
определение расчетных усилий в конструктивных элементах здания.
Подсчет исходных данных
Для расчета необходимы следующие данные:
жесткостные параметры основания;
геометрические и жесткостные характеристики конструктивных элементов здания;
нагрузка на здание.
Определение параметров основания
Параметры основания определяются по формулам
гл. 2.
Найдем величины этих параметров для точки контакта, находящейся под центром здания. Глубина оттаивания грунта под серединой здания определяется по прил. 3 к главе СНиП II-18-76.
Определим глубину оттаивания грунта под серединой здания за время, равное семи годам. Глубина оттаивания грунта под серединой здания (считая от поверхности грунта под полом подвала здания) за время, равное 61 320 ч (7 лет), определяется по формуле (8) прил. 3 главы СНиП II-18-76:
I0 по номограмме рис. 4 главы СНиП равно 0,015.
k1 = 1;

;
Hс = 1(0,51 - 0,113)12 = 4,8 м.
Так как расчет проводится в один этап, то параметры основания вычисляются по
формулам (2.63) -
(2.64) (рис. 6.10).
Рис. 6.10. К определению параметров основания
В рассматриваемой точке поверхности основания ожидается максимальная для этой поверхности величина вертикального перемещения S0 (вследствие максимальной глубины оттаивания). Поэтому в процессе оттаивания реактивное давление основания в этой точке снижается - происходит разгрузка основания, вследствие чего величина вертикального перемещения S0 равна:
S0 = 8,16 + 1,85 + 3,55 = 13,56 см.
Коэффициент жесткости основания Cл равен:
Для остальных точек контакта величины
S0 и
C вычисляются аналогично. Параметры основания
S0 и
C приведены в
табл. 6.14.
Величина

принята равной 700 кг/см.
Рассматривается вариант искривления основания по форме "симметричный прогиб".
Геометрические и жесткостные характеристики элементов здания:
l - длина здания;
k - число этажей;
t - число продольных стен;
hц - высота цокольно-фундаментной части здания;
h - высота этажа;
ai,j - податливость расчетного пояса i, j при сжатии (растяжении);

- сдвиговые жесткости цокольно-фундаментной части и всех этажей здания;

- суммарные сдвиговые жесткости поперечных стен каждого этажа здания.
Поскольку точка "контакта" под серединой здания находится в месте пересечения продольного и поперечного фундаментов, то коэффициенты
ki принимаются равными
k0i и находятся по
табл. 2.11:
для кровли первого слоя k0 = 0;
для подошвы первого слоя при

;
для кровли второго слоя k1 = 0,517;
для подошвы второго слоя при

.
Коэффициенты

для суглинков

находятся по
табл. 2.10:
для кровли первого слоя

;
для подошвы первого слоя

;
для кровли второго слоя

;
для подошвы второго слоя

.
Нагрузка на здание
Нагрузка на здание определяется на уровне низа подошвы фундамента по рекомендациям
гл. 3 настоящего Руководства;

.
q = 355 + 580 + 355 = 1290 кгс/см (см.
пример 6.1).
Вычисление коэффициентов
и 
Таблица 6.9
i | ai,1 x 10-8 | | di,1 x 10-2 | Коэффициенты распределения усилий по высоте в наружной стене  ( j = 1) |
r = 1 |
| | | | |
1 | 2 | 3 | 4 | 5 | 6 | 7 | 8 | 9 |
0 | 0,2136 | 0,2052 | 0,0453 | 0,6800 | - | - | -0,2773·10-2 | 2,0602 |
1 | 0,4476 | 0,43 | 1,5416 | 2,9566 | 1,8256 | 3,0073 | 0,7808 |
2 | 1,041 | 1 | 2,2032 | 4,1924 | 11,395 | -6,9736 | 0,5098 |
3 | 1,0522 | 1,0108 | 2,2032 | 4,2032 | 16,5999 | -27,447 | 0,4386 |
4 | 1,0522 | 1,0108 | 2,2032 | 3,8738 | 15,259 | -50,659 | 0,411 |
5 | 0,7088 | 0,6809 | 2,2032 | 3,4477 | 12,891 | -199,21 | 0,3460 |
6 | 0,6092 | 0,5852 | - | - | - | 17,063 | - |
Продолжение табл. 6.9
Коэффициенты распределения усилий по высоте наружной стены  ( j = 1) |
r = 2 | r = 3 |
| | | | | | | | | |
10 | 11 | 12 | 13 | 14 | 15 | 16 | 17 | 18 | 19 |
0,7087 | - | - | -0,5052·10-3 | 1,8101 | 0,8967 | - | - | -0,2339·10-5 | 1,2588 |
3,9336 | 2,6023 | 3,8132 | 0,5066 | 10,3317 | 9,0795 | 10,478 | 0,1482 |
5,5888 | 20,984 | -13,838 | 0,3015 | 14,7326 | 151,21 | -132,87 | 0,077 |
5,5996 | 30,273 | -74,826 | 0,263 | 14,7433 | 216,19 | -1949,6 | 0,0721 |
5,2696 | 28,486 | -135,39 | 0,2526 | 14,4134 | 211,48 | -2951,3 | 0,0716 |
4,8441 | 25,063 | -731,07 | 0,2239 | 13,988 | 201,15 | -43275 | 0,0687 |
- | - | 30,647 | - | - | - | 215,98 | - |
Таблица 6.10
i | ai2 | | di2 | Коэффициенты распределения усилий по высоте внутренней стены  ( j = 2) |
r = 1 |
| | | | |
1 | 2 | 3 | 4 | 5 | 6 | 7 | 8 | 9 |
0 | 0,2136 | 0,2281 | 0,0485 | 0,9576 | - | - | -0,2603·10-2 | 1,6775 |
1 | 0,633 | 0,6758 | 1,6023 | 3,4419 | 2,8393 | 4,6033 | 0,7649 |
2 | 0,9352 | 1 | 1,6023 | 3,7661 | 11,963 | -9,7335 | 0,5858 |
3 | 0,9352 | 1 | 1,6023 | 3,7661 | 13,184 | -33,826 | 0,5285 |
4 | 0,9352 | 1 | 1,6023 | 3,5685 | 12,421 | -39,337 | 0,4914 |
5 | 0,7457 | 0,7974 | 1,6023 | 3,3598 | 11,337 | -136,81 | 0,3884 |
6 | 0,7457 | 0,7974 | - | - | - | 15,494 | - |
Продолжение табл. 6.10
Коэффициенты распределения усилий по высоте внутренней стены  ( j = 2) |
r = 2 | r = 3 |
| | | | | | | | | |
10 | 11 | 12 | 13 | 14 | 15 | 16 | 17 | 18 | 19 |
0,9918 | - | - | -0,5274·10-3 | 1,431 | 1,2158 | - | - | -0,3050·10-5 | 0,9732 |
4,5723 | 4,0781 | 5,8763 | 0,4881 | 11,975 | 14,102 | 16,124 | 0,1369 |
4,8965 | 21,383 | -18,977 | 0,3516 | 12,299 | 146,27 | -172,22 | 0,0927 |
4,8965 | 22,976 | -88,841 | 0,3209 | 12,299 | 150,26 | -2104 | 0,0889 |
4,6939 | 21,984 | -95,619 | 0,3066 | 12,096 | 147,77 | -1749,7 | 0,0883 |
4,4912 | 20,445 | -447,76 | 0,2577 | 11,894 | 143,23 | -21375 | 0,0827 |
- | - | 25,734 | - | - | - | 155,92 | - |
Таблица 6.11
i | ai3 | | di3 | Коэффициенты распределения усилий по высоте наружной стены  ( j = 3) |
r = 1 |
| | | | |
1 | 2 | 3 | 4 | 5 | 6 | 7 | 8 | 9 |
0 | 0,2136 | 0,1154 | 0,0841 | 0,7198 | - | - | 0,3061·10-3 | 1,7314 |
1 | 1,0318 | 0,5575 | 9,0817 | 6,6164 | 4,4516 | 5,8219 | 0,3251 |
2 | 1,8506 | 1 | 6,2849 | 5,4994 | 39,386 | -23,761 | 0,2727 |
3 | 1,8478 | 0,9985 | 6,2849 | 5,4980 | 29,239 | -126,2 | 0,2622 |
4 | 1,8478 | 0,9985 | 4,6560 | 5,2032 | 27,61 | -130,12 | 0,2565 |
5 | 1,3024 | 0,7038 | 3,8396 | 4,8113 | 24,539 | -691,11 | 0,2273 |
6 | 1,1226 | 0,6066 | - | - | - | 30,046 | - |
Продолжение табл. 6.11
Коэффициенты распределения усилий по высоте наружной стены  ( j = 3) |
r = 2 | r = 3 |
| | | | | | | | | |
10 | 11 | 12 | 13 | 14 | 15 | 16 | 17 | 18 | 19 |
0,7498 | - | - | -0,4348·10-4 | 1,5676 | 0,9461 | - | - | -0,131·10-6 | 1,1565 |
9,8541 | 7,0777 | 8,478 | 0,198 | 31,056 | 21,071 | 30,6680 | 0,0516 |
7,74 | 75,271 | -54,032 | 0,1641 | 22,413 | 695,05 | -650,62 | 0,045 |
7,7385 | 58,899 | -411,07 | 0,1595 | 22,411 | 501,3 | -14522 | 0,0448 |
7,4438 | 56,607 | -395,35 | 0,1577 | 22,112 | 494,66 | -10735 | 0,0447 |
7,0519 | 51,998 | -3008,2 | 0,1452 | 21,725 | 479,98 | -240126 | 0,0435 |
- | - | 59,742 | - | - | - | 502,37 | - |
i | ai | | di | Коэффициенты распределения усилий по высоте для зданий в целом  |
r = 1 |
| | | | |
1 | 2 | 3 | 4 | 5 | 6 | 7 | 8 | 9 |
0 | 0,0712 | 0,1830 | 0,0183 | 0,7687 | - | - | 0,2123·10-2 | 1,8879 |
1 | 0,209 | 0,5371 | 0,723 | 3,4528 | 2,3657 | 3,7664 | 0,7018 |
2 | 0,3891 | 1 | 0,8083 | 4,1449 | 13,312 | -9,0369 | 0,4962 |
3 | 0,3905 | 1,0036 | 0,8083 | 4,1485 | 16,188 | -35,11 | 0,4404 |
4 | 0,3905 | 1,0036 | 0,7008 | 3,8751 | 15,069 | -51,058 | 0,4144 |
5 | 0,2841 | 0,7301 | 0,6351 | 3,5351 | 13,166 | -198,37 | 0,3439 |
6 | 0,2582 | 0,6636 | - | - | - | 17,446 | - |
Продолжение табл. 6.12
Коэффициенты распределения усилий по высоте для зданий в целом  |
r = 2 | r = 3 |
| | | | | | | | | |
10 | 11 | 12 | 13 | 14 | 15 | 16 | 17 | 18 | 19 |
0,7998 | - | - | -0,3867·10-3 | 1,6432 | 1,0031 | - | - | -0,1799·10-5 | 1,1382 |
4,675 | 3,4538 | 4,8856 | 0,4467 | 12,708 | 12,4592 | 14,094 | 0,126 |
5,5158 | 24,808 | -18,251 | 0,2948 | 14,491 | 183,16 | -179,54 | 0,0768 |
5,5194 | 29,437 | -97,254 | 0,2656 | 14,495 | 209,04 | -2589,9 | 0,0733 |
5,2459 | 27,947 | -134,16 | 0,265 | 14,221 | 205,13 | -2839,7 | 0,0729 |
4,9059 | 25,203 | -714,63 | 0,2242 | 13,881 | 196,88 | -40952 | 0,0696 |
- | - | 30,859 | - | - | - | 211,54 | - |
Значения коэффициентов

, используемых в этих таблицах, равны:

;

;

.
Определение приведенных жесткостей здания
Приведенные изгибные
FI(r) и сдвиговые
GF(r) жесткости для всего здания и каждой продольной стены вычисляются по
формулам (6.18) и
(6.19);
(6.60) и
(6.61) и приведены в табл. 6.13.
Таблица 6.13
Стена j | Жесткостные характеристики здания |
EI(r), кгс·см2·1014 | GF(r), кгс·109 |
r = 1 | r = 2 | r = 3 | r = 1 | r = 2 | r = 3 |
j = 1 | 0,507 | 0,3961 | 0,2613 | 0,5501 | 0,4686 | 0,351 |
j = 2 | 0,5468 | 0,4089 | 0,2415 | 0,6288 | 0,5312 | 0,3761 |
j = 3 | 0,1964 | 0,1292 | 0,1195 | 0,2451 | 0,2113 | 0,1704 |
Здание | 1,2502 | 0,9342 | 0,6223 | 1,424 | 1,2111 | 0,8975 |
m | Параметры основания |
 , см |  , кгс/см 2 |
j = 1, 3 | j = 2 | j = 1, 3 | j = 2 |
1 | 5,5 | 9,5 | 150 | 110 |
2 | 7,2 | 12,1 | 130 | 95 |
3 | 8 | 13,55 | 120 | 82 |
4 | 7,2 | 12,1 | 130 | 95 |
5 | 5,5 | 9,5 | 150 | 110 |
Определение обобщенных перемещений и усилий в здании
Из сравнения перемещений
Wm и

видно, что под внутренней стеной здания

;

;

, а в точках на краях здания под наружными стенами

,
т.е. Wm = 10,47 см > 10,17 см.
Следовательно, величины C в этих точках следует принять равными:
c2,2 = c2,3 = c2,4 = 0;
С учетом этих величин вычисляются новые приведенные характеристики основания и коэффициенты

В точках под краями наружных стен:
W1 = 10,62 см > 10,5 см.
В этих точках задаются:

, и расчет повторяется;
e3 = 2,4884;
Следовательно, K1 = 0,0448; K3 = 0,0165.
Обобщенные изгибающие моменты в здании вычисляются по
формулам (6.93) и приведены в табл. 6.15.
Обозначение момента | Величины изгибающих моментов в здании, тс·м |
| | | | |
M | M(r) | | M(r) | | M(r) | | M |
r = 1 | r = 2 | r = 3 | r = 1 | r = 2 | r = 3 | r = 1 | r = 2 | r = 3 |
Mm | 0 | 870 | 0 | 226,5 | 1096,5 | 2461,0 | 0 | -453,2 | 2007,8 | 870 | 0 | 226,5 | 1096,5 | 0 |
M1m | 0 | 352,8 | 0 | 95,1 | 447,9 | 997,9 | 0 | -190,3 | 807,6 | 352,8 | 0 | 95,1 | 447,7 | 0 |
M2m | 0 | 380,5 | 0 | 87,9 | 468,4 | 1076,4 | 0 | -175,9 | 900,5 | 87,9 | 0 | 87,9 | 468,4 | 0 |
M3m | 0 | 136,7 | 0 | 43,5 | 180,2 | 386,7 | 0 | -87,0 | 299,7 | 43,5 | 0 | 43,5 | 180,2 | 0 |
Таблица 6.16
Обозначение поперечной силы | Величины поперечных сил в здании, тс |
| | | | |
Q | Q(r) | | Q(r) | | Q(r) | | |
r = 1 | r = 2 | r = 3 | r = 1 | r = 2 | r = 3 | r = 1 | r = 2 | r = 3 |
Qm | 0 | 253 | 0 | -44 | 209 | 0 | 0 | 0 | 0 | -253 | 0 | 44 | -209 | 0 |
Q1m | 0 | 97,7 | 0 | -17,2 | 80,5 | 0 | 0 | 0 | 0 | -97,7 | 0 | 17,2 | -80,5 | 0 |
Q2m | 0 | 111,7 | 0 | -18,4 | 93,3 | 0 | 0 | 0 | 0 | -111,7 | 0 | 18,4 | -93,3 | 0 |
Q3m | 0 | 43,6 | 0 | -8,4 | 35,2 | 0 | 0 | 0 | 0 | -43,6 | 0 | 8,4 | -35,2 | 0 |
в первом межбалочном промежутке
во втором межбалочном промежутке (определяется по второй наружной стене):
Определение расчетных усилий
в конструктивных элементах здания
Обозначение усилия | Продольные усилия в расчетных поясах в наружной стене j = 1, тс |
| | | | |
Ni1 | | | | | | | Ni1 |
r = 1 | r = 2 | r = 3 | r = 1 | r = 2 | r = 3 | r = 1 | r = 2 | r = 3 |
N01 | 0 | 49,55 -------- 48,18 | 0 | 20,93 -------- 20,53 | 70,48 -------- 68,71 | 140,14 -------- 135,98 | 0 | -41,89 -------- -41,07 | 98,25 -------- 94,91 | 49,55 -------- 48,18 | 0 | 20,93 -------- 20,53 | 70,48 -------- 68,71 | 0 |
N11 | 0 | -30,77 -------- -30,20 | 0 | -18,47 -------- -18,25 | -49,24 -------- -48,45 | -87,04 -------- -85,43 | 0 | +36,96 -------- 36,52 | -50,08 -------- -48,91 | -30,77 -------- -30,20 | 0 | -18,47 -------- -18,25 | -49,24 -------- -48,45 | 0 |
N21 | 0 | -6,52 -------- -5,24 | 0 | -1,18 -------- -0,89 | -7,70 -------- -6,13 | -18,43 -------- -14,81 | 0 | 2,37 -------- 1,78 | -16,06 -------- -13,03 | -6,52 -------- -5,24 | 0 | -1,18 -------- -0,89 | -7,70 -------- -6,13 | 0 |
N31 | 0 | -1,71 -------- -1,42 | 0 | -0,08 -------- -0,06 | -1,79 -------- -1,48 | -4,84 -------- -4,02 | 0 | 0,16 -------- 0,13 | -4,68 -------- -3,89 | -1,71 -------- -1,42 | 0 | -0,08 -------- -0,06 | -1,79 -------- -1,48 | 0 |
N41 | 0 | -0,66 -------- -0,66 | 0 | -0,01 -------- -0,01 | -0,67 -------- -0,67 | -1,88 -------- -1,87 | 0 | 0,02 -------- 0,01 | -1,82 -------- -1,86 | -0,66 -------- -0,66 | 0 | -0,01 -------- -0,01 | -0,67 -------- -0,67 | 0 |
N51 | 0 | -1,56 -------- -1,80 | 0 | -0,05 -------- -0,06 | -1,61 -------- -1,86 | -4,42 -------- -5,08 | 0 | 0,10 -------- 0,12 | -4,32 -------- -4,96 | -1,56 -------- -1,80 | 0 | -0,05 -------- -0,06 | -1,61 -------- -1,86 | 0 |
N61 | 0 | -8,32 -------- -8,76 | 0 | -1,14 -------- -1,20 | -9,46 -------- -9,96 | -23,54 -------- -24,77 | 0 | 2,28 -------- 2,51 | -21,26 -------- 22,26 | -8,32 -------- -8,76 | 0 | -1,14 -------- -1,20 | -9,46 -------- -9,96 | 0 |
Примечание. В числителе - по коэффициенту  , в знаменателе - по коэффициенту  . |
Таблица 6.18
Обозначение усилия | Продольные усилия в расчетных поясах внутренней стены j = 2, тс |
| | | | |
Ni2 | | | | | | | Ni2 |
r = 1 | r = 2 | r = 3 | r = 1 | r = 2 | r = 3 | r = 1 | r = 2 | r = 3 |
N02 | 0 | 44,69 -------- 51,85 | 0 | 10,86 -------- 18,97 | 55,55 -------- 70,82 | 126,42 -------- 146,68 | 0 | -21,73 -------- -37,96 | 104,69 -------- 108,72 | 44,69 -------- 51,85 | 0 | 10,86 -------- 18,97 | 55,55 -------- 70,82 | 0 |
N12 | 0 | -24,31 -------- 32,58 | 0 | -9,31 -------- -16,87 | -33,62 -------- -49,45 | -68,78 -------- -92,16 | 0 | 18,63 -------- 33,76 | -50,15 -------- -58,4 | -24,31 -------- 32,58 | 0 | -9,31 -------- -16,84 | -33,62 -------- -49,45 | 0 |
N22 | 0 | -4,77 -------- -5,65 | 0 | -0,52 -------- -0,82 | -5,29 -------- -6,47 | -13,5 -------- -15,97 | 0 | 1,03 -------- 1,64 | -12,47 -------- -14,33 | -4,77 -------- -5,65 | 0 | -0,52 -------- -0,82 | -5,29 -------- -6,47 | 0 |
N32 | 0 | -1,53 -------- -1,53 | 0 | -0,04 -------- -0,06 | -1,57 -------- -1,59 | -4,32 -------- -4,33 | 0 | 0,08 -------- 0,12 | -4,24 -------- -4,21 | -1,53 -------- -1,53 | 0 | -0,04 -------- -0,06 | -1,57 -------- -1,59 | 0 |
N42 | 0 | -0,99 -------- -0,71 | 0 | -0,01 -------- -0,01 | -1 -------- -0,72 | -2,8 -------- -2,02 | 0 | 0,01 -------- 0,01 | -2,79 -------- -2,01 | -0,99 -------- -0,71 | 0 | -0,01 -------- -0,01 | -1 -------- -0,72 | 0 |
N52 | 0 | -2,74 -------- -1,94 | 0 | -0,06 -------- -0,05 | -2,8 -------- -1,99 | -7,76 -------- -5,48 | 0 | 0,12 -------- 0,11 | -7,64 -------- -5,37 | -2,74 -------- -1,94 | 0 | -0,06 -------- -0,05 | -2,8 -------- -1,99 | 0 |
N62 | 0 | -10,34 -------- -9,44 | 0 | -0,92 -------- -1,16 | -11,26 -------- -10,6 | -29,27 -------- -26,72 | 0 | 1,85 -------- 2,32 | -27,42 -------- -24,4 | -10,34 -------- -9,44 | 0 | -0,92 -------- -1,16 | -11,26 -------- -10,6 | 0 |
Примечание. В числителе - по коэффициенту , в знаменателе - по коэффициенту  . |
Обозначение усилия | Продольные усилия в расчетных поясах наружной стены j = 3, тс |
| | | | |
Ni3 | | | | | | | Ni3 |
r = 1 | r = 2 | r = 3 | r = 1 | r = 2 | r = 3 | r = 1 | r = 2 | r = 3 |
N03 | 0 | 23,45 -------- 18,63 | 0 | 10,62 -------- 9,39 | 34,07 -------- 28,02 | 66,35 -------- 52,7 | 0 | -21,24 -------- -18,77 | 45,11 -------- 33,93 | 23,45 -------- 18,63 | 0 | 10,62 -------- 9,39 | 34,07 -------- 28,02 | 0 |
N13 | 0 | -19,05 -------- -11,7 | 0 | -10,14 -------- -8,35 | -29,19 -------- -20,05 | -53,89 -------- -33,11 | 0 | 20,29 -------- 16,69 | -33,6 -------- -16,42 | -19,05 -------- -11,7 | 0 | -10,14 -------- -8,35 | -29,19 -------- -20,05 | 0 |
N23 | 0 | -0,71 -------- -2,03 | 0 | -0,06 -------- -0,41 | -0,77 -------- -2,44 | -2 -------- -5,74 | 0 | 0,12 -------- 0,81 | -1,88 -------- -4,93 | -0,71 -------- -2,03 | 0 | -0,06 -------- -0,41 | -0,77 -------- -2,44 | 0 |
N33 | 0 | -0,14 -------- -0,55 | 0 | -0,01 -------- -0,03 | -0,15 -------- -0,58 | -0,41 -------- -1,56 | 0 | 0 -------- 0,06 | -0,41 -------- -1,5 | -0,14 -------- -0,55 | 0 | -0,01 -------- -0,03 | -0,15 -------- -0,58 | 0 |
N43 | 0 | -0,07 -------- -0,26 | 0 | 0 -------- 0 | -0,07 -------- -0,26 | 0,22 -------- -0,72 | 0 | 0 -------- 0,01 | -0,22 -------- -0,71 | -0,07 -------- -0,26 | 0 | 0 -------- 0 | -0,07 -------- -0,26 | 0 |
N53 | 0 | -0,4 -------- -0,7 | 0 | -0,01 -------- -0,03 | -0,41 -------- -0,73 | -1,12 -------- -1,97 | 0 | 0,03 -------- 0,05 | -1,09 -------- -1,92 | -0,4 -------- -0,7 | 0 | -0,01 -------- -0,03 | -0,41 -------- -0,73 | 0 |
N63 | 0 | -3,08 -------- -3,39 | 0 | -0,4 -------- -0,57 | -3,48 -------- -3,96 | -8,71 -------- -9,6 | 0 | 0,8 -------- 1,15 | 7,91 -------- -8,45 | -3,08 -------- -3,39 | 0 | -0,4 -------- -0,57 | -3,48 -------- -3,96 | 0 |
Примечание. В числителе - по коэффициенту  , в знаменателе - по коэффициенту  . |
Таблица 6.20
Обозначение усилия | Сдвигающие усилия в наружной стене j = 1, кгс/см |
| | | | |
| | | | | | |
r = 1 | r = 2 | r = 3 | r = 1 | r = 2 | r = 3 |
| 0 | 137,2 -------- 133,14 | 0 | -37,86 -------- -37,12 | 99,34 -------- 96,02 | 0 | -137,2 --------- -133,14 | 0 | 37,86 -------- 37,12 | -99,34 -------- -96,02 | 0 |
| 0 | 52 -------- 49,49 | 0 | -4,46 -------- -4,11 | 47,54 -------- 45,38 | 0 | -52,6 -------- -49,49 | 0 | 4,46 -------- 4,11 | -47,54 -------- -45,38 | 0 |
| 0 | 33,95 -------- 34,99 | 0 | -2,32 -------- -2,5 | 31,63 -------- 32,49 | 0 | -33,95 -------- -34,99 | 0 | 2,32 -------- 2,5 | -31,63 -------- -32,49 | 0 |
| 0 | 29,3 -------- 31,06 | 0 | -2,17 -------- -2,39 | 27,13 -------- 28,67 | 0 | -29,3 -------- -31,06 | 0 | 2,17 -------- 2,39 | -27,13 -------- -28,67 | 0 |
| 0 | 27,38 -------- 29,22 | 0 | -2,15 -------- -2,38 | 25,23 -------- 26,84 | 0 | -27,38 -------- -29,22 | 0 | 2,15 -------- 2,38 | -25,23 -------- -26,84 | 0 |
| 0 | 23,05 -------- 24,25 | 0 | -2,06 -------- -2,27 | 20,99 -------- 21,98 | 0 | -23,05 -------- -24,25 | 0 | 2,06 -------- 2,27 | -20,99 -------- -21,98 | 0 |
Примечание. В числителе - по коэффициенту  , в знаменателе - по коэффициенту  . |
Таблица 6.21
Обозначение усилия | Сдвигающие усилия во внутренней стене j = 2, кгс/см |
| | | | |
| | | | | | |
r = 1 | r = 2 | r = 3 | r = 1 | r = 2 | r = 3 |
| 0 | 131,2 -------- 152,21 | 0 | -21,25 -------- -39,71 | 109,95 -------- 112,5 | 0 | -131,2 --------- -152,21 | 0 | 21,25 ------- 39,71 | -109,95 --------- -112,5 | 0 |
| 0 | 59,83 -------- 56,58 | 0 | -3,03 -------- -4,4 | 56,8 -------- 52,18 | 0 | -59,83 -------- -56,58 | 0 | 3,03 ------- 4,4 | -56,8 -------- -52,18 | 0 |
| 0 | 45,82 -------- 40,01 | 0 | -2,02 -------- -2,68 | 43,8 -------- 37,33 | 0 | -45,82 -------- -40,01 | 0 | 2,02 ------- 2,68 | -43,8 -------- -37,33 | 0 |
| 0 | 41,33 -------- 35,51 | 0 | -1,94 -------- -2,56 | 40,39 -------- 32,95 | 0 | -41,33 -------- -35,51 | 0 | 1,94 ------- 2,56 | -40,39 -------- -32,95 | 0 |
| 0 | 38,44 -------- 33,41 | 0 | -1,93 -------- -2,54 | 36,51 -------- 30,97 | 0 | -38,44 -------- -33,41 | 0 | 1,93 ------- 2,54 | -36,51 -------- -30,97 | 0 |
| 0 | 30,37 -------- 27,73 | 0 | -1,81 -------- -2,43 | 28,56 -------- 25,3 | 0 | -30,37 -------- -27,73 | 0 | 1,81 ------- 2,43 | -28,56 -------- -25,3 | 0 |
Примечание. В числителе - по коэффициенту  , в знаменателе - по коэффициенту  . |
Обозначение усилия | Сдвигающие усилия в наружной стене j = 3, кгс/см |
| | | | |
| | | | | | |
r = 1 | r = 2 | r = 3 | r = 1 | r = 2 | r = 3 |
| 0 | 74,8 -------- 59,41 | 0 | -20,51 -------- -18,13 | 54,29 -------- 41,28 | 0 | -74,8 -------- -59,41 | 0 | 20,51 -------- 18,13 | -54,29 -------- -41,28 | 0 |
| 0 | 14,05 -------- 22,09 | 0 | -0,91 -------- 2,01 | 13,14 -------- 20,08 | 0 | -14,05 -------- -22,09 | 0 | 0,91 -------- 2,01 | -13,14 -------- -20,08 | 0 |
| 0 | 11,78 -------- 15,62 | 0 | -0,8 -------- -1,22 | 10,98 -------- 14,4 | 0 | -11,78 -------- -15,62 | 0 | 0,8 -------- 1,22 | -10,98 -------- -14,4 | 0 |
| 0 | 11,33 -------- 13,86 | 0 | -0,79 -------- -1,17 | 10,54 -------- 12,69 | 0 | -11,33 -------- -13,86 | 0 | 0,79 -------- 1,17 | -10,54 -------- -12,69 | 0 |
| 0 | 11,08 -------- 13,04 | 0 | -0,79 -------- 1,16 | 10,29 -------- 11,88 | 0 | -11,08 -------- -13,04 | 0 | 0,79 -------- 1,16 | -10,29 -------- -11,88 | 0 |
| 0 | 9,82 -------- 10,82 | 0 | -0,77 -------- -1,11 | 9,05 -------- 9,71 | 0 | -9,82 -------- -10,82 | 0 | 0,77 -------- 1,11 | -9,05 -------- -9,71 | 0 |
Примечание. В числителе - по коэффициенту  , в знаменателе - по коэффициенту  . |
Горизонтальные сдвигающие усилия в простенках вычисляются по
формуле (6.109).
Например, горизонтальное сдвиговое усилие в простенках второго этажа равно:
T2,1,2 = 32,49·300 = 9,75·103 кгс.
Например, вертикальные сдвигающие усилия в расчетном поясе 3,1 равны:
Например, изгибающий момент в расчетном поясе 3,1 в сечении с координатой x = 0,5l (изгибная жесткость пояса EI3,1 = 1,63·1012 кгс·см2 равен:
Усилия сдвига в поперечной стене определяются по
формулам (6.115) и
(6.116) и равны для второго этажа в сечении с координатой 0,25
l:
в первом межбалочном промежутке
во втором межбалочном промежутке
Сдвигающие усилия в перекрытиях в осях А и Б (промежуток j = 1) приведены в табл. 6.23.
Таблица 6.23
Обозначение усилия | Сдвигающие усилия в перекрытии  , кгс/см |
| | | | |
| | | | | | |
r = 1 | r = 2 | r = 3 | r = 1 | r = 2 | r = 3 |
| 0 | 4,16 | 0 | -2,43 | 1,73 | 0 | -4,16 | 0 | 2,43 | -1,73 | 0 |
| 0 | 0,72 | 0 | -0,12 | 0,6 | 0 | -0,72 | 0 | 0,12 | -0,6 | 0 |
| 0 | 0,2 | 0 | -0,01 | 0,19 | 0 | -0,2 | 0 | 0,01 | -0,19 | 0 |
| 0 | 0,09 | 0 | -0,001 | 0,089 | 0 | -0,09 | 0 | 0,001 | -0,089 | 0 |
| 0 | 0,25 | 0 | -0,01 | 0,24 | 0 | -0,25 | 0 | 0,01 | -0,24 | 0 |
| 0 | 1,21 | 0 | -0,17 | 1,04 | 0 | -1,21 | 0 | 0,17 | -1,04 | 0 |
7.1. Проектирование конструкций панельных жилых зданий для строительства в особых грунтовых условиях должно осуществляться с соблюдением требований как общестроительных, так и специальных, обусловленных особенностями строительства в этих условиях и приведенных в соответствующих главах СНиП, Инструкции по проектированию панельных жилых зданий, а также в настоящем разделе.
7.2. Для обеспечения прочности, устойчивости и эксплуатационной надежности зданий, проектируемых для строительства в особых грунтовых условиях, в проектах должны предусматриваться:
предпостроечная инженерная подготовка строительных площадок, снижающая неравномерность деформаций основания и величину дополнительных усилий в период строительства и эксплуатации зданий;
конструктивные меры защиты, повышающие прочность и пространственную жесткость зданий;
мероприятия, компенсирующие неравномерную осадку и ликвидирующие крен зданий с помощью различных выравнивающих устройств;
горные меры, предусматривающие такой порядок и режим добычи ископаемых, при которых деформации земной поверхности не превышали бы заданных величин;
мероприятия, обеспечивающие нормальную эксплуатацию наружных и внутренних инженерных сетей, лифтов и прочего инженерного оборудования в период деформаций основания, а также после их завершения.
Выбор технических решений в проектах зданий должен осуществляться на основе технико-экономического анализа различных вариантов в зависимости от величины и характера ожидаемых деформаций земной поверхности, физико-механических характеристик грунтов основания, конструктивных особенностей проектируемых зданий.
7.3. Конструктивная система отсеков панельных зданий должна соответствовать характеру деформации земной поверхности.
На просадочных грунтах и подрабатываемых территориях здания следует проектировать на основе следующих конструктивных систем:
система I - с поперечными и продольными несущими стенами, на которые перекрытия опираются по контуру или трем сторонам (
рис. 7.1,
а);
система II - с продольными несущими стенами, поперечными диафрагмами жесткости и перекрытиями, опертыми, как правило, по двум сторонам на продольные стены (рис. 7.1, б).
Рис. 7.1. План-схема конструктивной системы
панельного здания
а - с поперечными и продольными несущими стенами;
б - с продольными несущими стенами; 1 - панели наружных
стен; 2 - панели внутренних стен; 3 - панели перекрытия
При проектировании зданий высотой 9 - 12 этажей для строительства в тяжелых условиях предпочтение должно отдаваться односекционным домам с увеличенной шириной корпуса и компактной формой плана с размещением лифта и лестничной клетки в центре здания.
При проектировании зданий на вечномерзлых грунтах выбор конструктивных систем следует осуществлять по рекомендациям
пп. 7.47,
7.48 настоящего Руководства.
7.4. В качестве основной конструктивной меры защиты здания от воздействия неравномерных деформаций оснований следует предусматривать разрезку здания на замкнутые прямоугольные отсеки деформационными швами. При необходимости следует также предусматривать усиление конструкций отсеков в соответствии с расчетными усилиями от неравномерных деформаций основания.
7.5. Длины отсеков зданий следует назначать по расчету в зависимости от: величин расчетных (ожидаемых) деформаций земной поверхности; расчетных характеристик грунтов; особенностей конструктивно-планировочных решений; этажности зданий.
Деформационные швы должны располагаться на границах планировочных секций.
Назначаемые длины отсеков должны соответствовать требованиям унификации конструкций.
Для каждой длины отсека в типовом или повторно применяемом проекте должна быть установлена на основании расчетов область возможного применения по каждому из видов особых грунтовых условий.
Длину рядовых и торцовых секций в типовых проектах рекомендуется принимать, по возможности, одинаковой. В случае если отсеки одного типа здания будут иметь различную протяженность, область применения такого проекта должна определяться по отсеку, имеющему наибольшую длину.
7.6. Деформационные швы между отсеками должны обеспечивать компенсацию горизонтальных деформаций основания, свободный наклон или поворот отсека при неравномерных деформациях основания. Ширина деформационного шва определяется расчетом в зависимости от этажности и длины здания, специфики грунтовых условий.
Устройство деформационных швов не должно вызывать дополнительных теплопотерь в здании. В местах деформационных швов должны возводиться парные утепленные поперечные стены, имеющие сопротивление теплопередаче не ниже

наружной стены.
По фасаду деформационный шов должен быть закрыт нащельником и утеплен легкосжимаемым материалом, не препятствующим взаимному смещению наружных стен при неравномерных вертикальных и горизонтальных деформациях основания. В уровне покрытия шов должен быть перекрыт компенсационным устройством (рис. 7.2).
Рис. 7.2. Вариант конструктивного решения
деформационного шва в уровне крыши
1 - вкладыш из поролона; 2 - фартук-компенсатор
из оцинкованной стали; 3 - рулонный ковер; 4 - компенсатор
из оцинкованной стали; 5 - ребристая плита покрытия;
6 - поперечные стены отсеков
7.7. При компоновке отсека несущие стены следует располагать, как правило, симметрично относительно продольной и поперечной осей зданий и обеспечивать, по возможности, относительно равномерное распределение жесткостей по длине и ширине отсека. Простенки и проемы следует принимать одинаковых размеров, распределяя их равномерно по длине и высоте стены. Поперечные стены рекомендуется проектировать сквозными на всю ширину здания. В случае если по планировочным требованиям нарушается сквозное расположение поперечных стен, необходимо предусматривать устройство их связи с внутренней продольной стеной, которое должно обеспечивать совместную работу продольных и смещенных поперечных стен как единой перекрестной системы.
Максимальная величина осевых смещений поперечных несущих стен должна быть не более 0,6 - 0,8 м, при этом общее количество смещений не должно превышать 20% общего числа поперечных стен.
В продольных стенах желательно не допускать изломы стен в плане. Если для выполнения каких-либо планировочных требований возникает необходимость в изломе продольных стен, то его величина не должна превышать 1,8 м, изломы следует ограничивать поперечными несущими стенами.
Высоту здания в пределах отсека следует принимать одинаковой. В местах изменения этажности здания необходимо предусматривать устройство деформационных швов.
7.8. Подземные и надземные конструкции отсека следует проектировать как элементы единой пространственной системы для восприятия усилий от приходящихся постоянных и временных нагрузок и от воздействия неравномерных деформаций основания.
Для увеличения пространственной жесткости здания следует использовать кроме торцовых и межсекционных стен также стены лестничных клеток. При этом одна из стен лестничной клетки должна быть продолжена на всю ширину здания.
7.9. Конструкции зданий, предназначенных для строительства в особых грунтовых условиях, следует проектировать с учетом максимального использования формовочного и технологического оборудования, применяемого на заводах для производства изделий по проектам зданий для обычных условий строительства.
7.10. В несущих стенах необходимо предусматривать непрерывные горизонтальные пояса для восприятия ими горизонтальных растягивающих усилий при изгибе стен в их плоскости.
Панели продольных и поперечных стен должны соединяться между собой и панелями перекрытия связями, способными воспринимать передаваемые на них усилия в стыках.
Стыки в зданиях между сборными железобетонными элементами рекомендуется выполнять следующими способами:
а) в виде шпонок (со сваркой арматурных выпусков или без них) и замоноличиванием шпонок бетоном;
б) сваркой выпусков арматуры и стальных закладных деталей
(рис. 7.3);
в) соединением скобками петлевых выпусков с последующим замоноличиванием (
рис. 7.4 и
7.5).
Рис. 7.3. Узел сопряжения наружных цокольных панелей
с внутренними для жесткой фундаментной подвальной части
1 - панель перекрытия; 2 - цокольная панель внутренней
стены; 3 - монолитный или сборно-монолитный фундаментный
пояс; 4 - наружные цокольные панели; 5 - гнутые стержни
для соединения выпусков арматуры из панелей с помощью
сварки; 6 - каркас, выпущенный из железобетонного пояса;
7 - прямые стержни для соединения выпусков арматуры панелей
Рис. 7.4. Сопряжение наружных стеновых панелей в углу
здания под перекрытием (в уровне поэтажного пояса)
1 - стеновые панели; 2 - П-образные скобы;
3 - выпуски-петли с вваренными в них пластинами
Рис. 7.5. Узел примыкания внутренней стеновой панели
к наружной. Сопряжение внизу панелей
1 - наружная стеновая панель; 2 - арматурные выпуски-петли
из наружной и внутренней панели; 3 - внутренняя стеновая
панель; 4 - П-образные стержни; 5 - фиксирующие пластины
Стыки между панелями следует замоноличивать бетоном марки на одну ступень выше марки бетона панелей.
Стальные закладные детали и соединительные элементы в стыках должны быть защищены от коррозии.
7.11. Наружные продольные стены зданий следует проектировать несущими.
Несущие стены зданий в пределах каждого отсека рекомендуется выполнять из панелей, изготовленных из одного материала и одинаковой конструкции.
В случае необходимости применения для разных стен различных материалов с отличающимися прочностными и деформативными характеристиками в местах сопряжения следует обеспечить их совместную работу и одинаковую деформацию от действия вертикальной нагрузки.
7.12. Стеновые панели наружных стен рекомендуется проектировать однослойными из плотного легкого бетона либо трехслойной конструкции с несущим слоем из бетона марки не ниже М150, для зданий повышенной этажности - не ниже М200. Соединение панелей наружных стен по высоте панели рекомендуется осуществлять петлевыми либо сварными связями.
Армирование панелей, надпроемных перемычек и прочих железобетонных конструкций производится в соответствии с расчетом по
СНиП II-21-75 сварными пространственными каркасами и сетками, к которым привариваются закладные детали, подъемные и анкерные петли. Участки панелей вблизи углов проемов рекомендуется усиливать постановкой дополнительных сеток. Подоконную часть панели следует армировать сеткой с шагом поперечной арматуры не более 300 мм (рис. 7.6 и
7.7).
Рис. 7.6. Схема армирования однослойной панели
1 - продольные стержни; 2 - хомуты; 3 - выпуски
для устройства связей; 4 - мелкоячеистые сетки
Рис. 7.7. Схема армирования однослойной двухмодульной панели
1 - продольные стержни; 2 - хомуты; 3 - выпуски
для устройства связей; 4 - мелкоячеистые сетки
7.13. Внутренние несущие конструкции рекомендуется проектировать из тяжелого бетона марки не ниже М200 толщиной не менее 14 см и преимущественно сплошного сечения. Ослабление несущих стен вентиляционными каналами должно компенсироваться дополнительным армированием в виде сварных сеток, объединенных поперечными арматурными каркасами, расположенными в поперечных стенках каналов.
Несущие стены зданий необходимо поэтажно объединять горизонтальными диафрагмами, образуемыми из панелей перекрытий.
7.14. Панели междуэтажных перекрытий следует применять в виде сплошных плоских плит размером на комнату, соединяющихся между собой по углам и продольным швам с помощью металлических накладок и связей на сварке, обеспечивающих восприятие усилий растяжения и сдвига.
С наружными стенами здания панели перекрытий должны быть связаны металлическими анкерами, а для восприятия сдвигающих усилий в швах между панелями перекрытий и панелями наружных стен необходимо предусматривать устройство замоноличенных бетонных шпонок.
Балконы, эркеры и карнизы рекомендуется устраивать в виде консольных вылетов панелей междуэтажных перекрытий или покрытий.
7.15. Конструкции фундаментно-подвальной части следует проектировать преимущественно сборно-монолитными с применением сборных изделий заводского изготовления. В особо тяжелых горно-геологических условиях строительства в том случае, если изделия заводского производства не обеспечивают достаточной прочности для восприятия возникающих усилий, следует применять монолитные железобетонные конструкции фундаментов. Описание схем конструктивных решений фундаментов приведено в
п. 7.38.
7.16. Подошву фундаментов здания (отсеков) следует, как правило, устраивать на одном уровне.
При проектировании фундаментов на разных отметках переход от более заглубленной части к менее заглубленной следует предусматривать уступами высотой не более 60 см.
Фундаменты примыкающих частей отсеков должны иметь одинаковое заглубление на протяжении не менее 1,5 м от деформационного шва. В этом случае фундаментный пояс должен устраиваться в одной плоскости на самой высокой отметке заложения фундаментов.
Ниже пояса кладка фундаментов может выполняться из бетонных блоков.
При резком изменении рельефа строительной площадки входы и отметки полов этажей соседних отсеков в пределах здания допускается принимать на разных отметках.
Местные заглубления конструкций фундаментов необходимо отделять от вышележащих конструкций швами скольжения (рис. 7.8).
Рис. 7.8. Устройство шва скольжения в случае
местного заглубления подполья или подвала
1 - шов скольжения; 2 - монолитный или сборно-монолитный
фундаментный пояс; 3 - конструкции местного
заглубления подвала
7.17. При выполнении стен подземной части здания из крупных блоков должна быть обеспечена перевязка кладки в каждом ряду, а также во всех углах и пересечениях.
Расстояние между вертикальными швами фундаментной кладки из крупных блоков в соседних горизонтальных рядах должно быть не менее 1/3 их высоты.
Стены фундаментов, состоящие из блоков, должны быть понизу и поверху объединены горизонтальными монолитными железобетонными поясами.
Устройство проемов в местах примыкания поперечных фундаментных стен к продольным не рекомендуется.
Горизонтальная гидроизоляция по плоскости стыка фундаментов с конструкциями надземной части устраивается в виде цементной стяжки толщиной 2 - 3 см с водостойкими добавками, а при наличии шва скольжения он может выполнять функции гидроизоляции.
Конструкция фундаментов в зоне деформационных швов должна обеспечивать самостоятельность перемещений поперечных стен, образующих эти швы.
7.18. При расчетной величине крена здания, превышающей предельно допустимую из условия обеспечения прочности, устойчивости и нормальных условий эксплуатации необходимо применение специальных мероприятий по выравниванию здания.
В зданиях, оборудованных лифтами, при величине крена, превышающей допустимую по условиям эксплуатации лифтов, следует предусматривать возможность рихтовки направляющих или выравнивания лифтовых шахт. С целью выравнивания лифтовые шахты следует проектировать обособленными, отделяя их зазорами от надфундаментных конструкций здания и машинного отделения. Конструкция фундаментов шахт должна обеспечить возможность применения выравнивающих средств.
При кренах отсеков, превышающих пределы возможного регулирования вертикальности направляющих или лифтовых шахт, производится выравнивание отсека в целом.
ЗДАНИЯ, СТРОЯЩИЕСЯ НА ПРОСАДОЧНЫХ ГРУНТАХ
Основные мероприятия по уменьшению деформаций основания
7.19. На просадочных грунтах с I типом грунтовых условий по просадочности следует применять, как правило, типовые проекты панельных зданий, разработанные для строительства в обычных условиях. Прочность и эксплуатационная пригодность панельных зданий в этих случаях обеспечиваются:
полным устранением просадочных свойств грунтов в пределах деформируемой зоны;
полной прорезкой толщи просадочных грунтов свайными фундаментами или опорами из закрепленного грунта.
7.20. Частичное устранение просадочных свойств грунтов в пределах лишь верхней части деформируемой зоны, а также неполная прорезка толщи просадочных грунтов допускаются при условии, если возможные суммарные величины осадок и просадок фундаментов и относительная разность их осадок не превышают предельных величин для рассматриваемых зданий, указанных в проекте или принимаемых по
СНиП II-15-74.
В случае если возможные суммарные величины осадок и просадок фундаментов и относительная разность их осадок при частичном устранении просадочных свойств грунтов или их неполной прорезке превышают предельные значения, конструкции зданий должны быть проверены расчетом на воздействие неравномерных деформаций основания и, при необходимости, должны быть усилены.
7.21. Устранение просадочных свойств грунтов в пределах деформируемой зоны достигается:
а) для зданий до пяти этажей:
устройством грунтовых подушек толщиной 1,5 - 2 м;
устройством фундаментов в вытрамбованных котлованах;
уплотнением тяжелыми трамбовками деформируемой зоны на глубину 1,5 - 2,5 м;
снижением давления на грунт по подошве фундамента до величины начального просадочного давления;
б) для зданий до девяти этажей:
устройством грунтовых подушек толщиной 2 - 3 м;
уплотнением тяжелыми трамбовками на глубину 2 - 3 м;
устройством фундаментов в вытрамбованных котлованах;
в) для зданий выше девяти этажей (а также для девятиэтажных зданий с нагрузкой свыше 60 тс на 1 м):
уплотнением грунтовыми сваями с доуплотнением буферного слоя тяжелыми трамбовками;
двухслойным уплотнением просадочных грунтов на глубину 4 - 5 м, включающим уплотнение тяжелыми трамбовками на глубину 1,5 - 2 м и устройством грунтовой подушки 2,5 - 3 м.
7.22. Полная прорезка просадочных грунтов на площадках с I типом грунтовых условий по просадочности выполняется: забивными призматическими или пирамидальными сваями; набивными сваями, устраиваемыми в пробуренных или в пробитых скважинах, в том числе с уширениями, выполненными выбуриванием или уплотнением грунта; столбами или лентами из закрепленного грунта.
7.23. Принятый в проекте метод устранения просадочных свойств грунтов или их прорезки на площадках с I типом грунтовых условий должен при привязке типового проекта назначаться с учетом фактических условий строительства - величины начального просадочного давления, глубины деформируемой зоны, возможной величины просадки, физико-механических характеристик просадочных грунтов, высоты зданий и нагрузок от них на фундаменты, производственных возможностей строительных организаций и других факторов на основе технико-экономического сравнения различных вариантов.
7.24. На площадках со II типом грунтовых условий по просадочности прочность и нормальная эксплуатация панельных зданий, возводимых по типовым проектам для обычных грунтовых условий строительства, должна обеспечиваться применением полного устранения просадочных грунтов в пределах всей просадочной толщи либо прорезки всей просадочной толщи.
Размеры, несущая способность уплотненных, закрепленных массивов грунта, а также свайных фундаментов при полной прорезке просадочных грунтов назначаются с учетом сил нагружающего (отрицательного) трения, возникающих при просадке окружающих грунтов от их собственной массы.
7.25. Полное устранение просадочности грунта в пределах просадочной толщи может осуществляться уплотнением грунтовыми сваями с доуплотнением буферного слоя тяжелыми трамбовками или уплотнением предварительным замачиванием, в том числе с глубинными взрывами в сочетании с устранением просадочных свойств грунтов в пределах деформируемой зоны.
7.26. Прорезка толщи просадочных грунтов выполняется при плотном подстилающем слое и величине толщи просадочных грунтов до 12 - 15 м забивными призматическими сваями, набивными или буронабивными сваями, как правило, с уширенной пятой, лентами или столбами из закрепленного грунта.
7.27. При невозможности или нецелесообразности принятия по технико-экономическим показателям полного устранения просадочных свойств грунтов II типа либо полной их прорезки необходим следующий комплекс мер по обеспечению прочности панельных зданий:
водозащитные мероприятия, снижающие вероятность замачивания грунтов на всю величину просадочной толщи и уменьшающие возможную величину просадок грунтов от их собственного веса;
подготовка основания под зданием путем уплотнения просадочного грунта тяжелыми трамбовками или устройство грунтовой подушки из местных глинистых грунтов, обеспечивающих полное или частичное устранение просадочных свойств грунтов в пределах деформируемой зоны под фундаментами, и создание в основании маловодопроницаемого экрана, препятствующего глубинному замачиванию грунта и повышению степени его влажности до полного насыщения;
конструктивные меры, обеспечивающие прочность и эксплуатационную пригодность панельных зданий, назначаемые по расчету их на возможные неравномерные просадки грунтов в основании.
Особенности конструктивных решений зданий
7.28. Крыши зданий рекомендуется проектировать с устройством внутренних водостоков с отводом воды в ливнесточную сеть. При отсутствии последней отвод воды следует осуществлять с помощью специально устроенной местной ливнесточной сети со сбросом в безопасные места за пределами территории, подлежащей застройке.
Применение организованного наружного водоотвода допускается только в III и IV строительно-климатических зонах для зданий высотой до пяти этажей включительно. При этом вода, попадающая на отмостки, должна поступать в ливнесточную сеть через примыкающие к отмосткам водоприемники или лотки.
7.29. В подпольях и подвалах должны предусматриваться водонепроницаемые полы с уклонами в сторону выпусков аварийных вод. По периметру стен подполья или подвала устраивается бетонный плинтус высотой 15 см.
Размеры проемов в стенах подвалов для пропуска коммуникаций назначаются с учетом возможных просадок здания в случае аварийного замачивания грунтов основания.
7.30. Принятые в типовом проекте мероприятия для обеспечения прочности и эксплуатационной пригодности панельных зданий на площадках со II типом грунтовых условий должны корректироваться при привязке типового проекта к конкретной площадке с учетом фактических грунтовых условий, производственных возможностей строительства, этажности зданий и других факторов.
7.31. В зданиях, проектируемых для строительства на грунтах II типа по просадочности с применением комплекса мероприятий, ширина зазора деформационного шва при встречном наклоне соседних отсеков принимается по
формулам (7.1) и
(7.2), но не менее 100 мм в 5-этажных и 250 мм в 9-этажных домах:
в уровне подошвы фундамента
в уровне карниза
где
aг и
aн - величины горизонтального перемещения отсека здания соответственно в уровне подошвы фундаментов и карниза, см, определяются по
формулам (7.3) -
(7.5):
если
r 
2
l,

; (7.3)
если
2l >
r
l,

. (7.4)
Горизонтальные перемещения принимаются равными нулю
при 2
l 
2
r:

(7.5)
где H - высота здания от подошвы фундамента до карниза, см;
l - полудлина здания, м;
r - расчетная полудлина криволинейного участка просадки грунтов от собственного веса;

- максимальная величина просадки грунтов от собственного веса;

- коэффициент, учитывающий совместную работу конструкций зданий с грунтом основания при просадке его от собственного веса:
если 2l > r,

(7.6)
если 2
l
r,
В случае если ширина зазора деформационного шва между отсеками 9-этажного здания, обеспечивающая их самостоятельную работу при просадках основания, не может быть осуществлена по техническим причинам, конструкции здания должны быть рассчитаны на усилия, которые могут возникнуть в них при замыкании деформационных швов.
Для передачи и распределения сжимающих усилий, возникающих при замыкании деформационных швов между отсеками, применяются специальные контактные устройства.
Проектирование контактных устройств в деформационных швах и определение усилий, передаваемых на конструкцию здания, следует осуществлять в соответствии с указаниями РСН 297-78
[4].
7.32. Конструкции панельных зданий, возводимых в грунтовых условиях II типа по просадочности с применением комплекса мероприятий для обеспечения их прочности, устойчивости и нормальной эксплуатации, должны рассчитываться:
а) для случая самостоятельной работы отсека - на воздействие вертикальных неравномерных деформаций основания;
б) на воздействие горизонтальных деформаций основания;
в) на усилия, возникающие при замыкании деформационных швов, - для случаев, оговоренных в
п. 7.31 настоящего Руководства.
Расчет конструкций здания и определение ширины зазора деформационных швов между отсеками должны выполняться для варианта с наиболее неблагоприятным расположением источника замачивания по отношению к зданию.
7.33. В случаях необходимости применения указанного в
п. 7.27 комплекса мероприятий для зданий высотой до девяти этажей включительно должны разрабатываться унифицированные для строительства в различных условиях типовые проекты зданий.
Типовое проектирование жилых домов на просадочных грунтах со II типом грунтовых условий следует выполнять из расчета на величину просадки от собственного веса грунта в интервалах: 0,1 - 0,25; 0,26 - 0,5; 0,51 - 0,7; 0,71 - 1 м при соответствующих значениях расчетной полудлины криволинейного участка просадки грунтов от собственного веса r, м, приведенных в табл. 7.1.
Таблица 7.1
Вариант | Расчетные значения Sпр.гр и r для разработки типовых проектов | Условия строительства |
Sпр.гр | r | Sпр.гр | r | Sпр.гр | r | Sпр.гр | r |
1 | 0,25 | 35 | 0,5 | 45 | - | - | - | - | Легкие |
0,1 | 23,5 | 0,26 | 35 | - | - | - | - |
2 | 0,25 | 28,5 | 0,5 | 36,5 | 0,75 | 41,5 | - | - | Средние |
0,1 | 19 | 0,26 | 29 | 0,51 | 37 | - | - |
3 | 0,25 | 20 | 0,5 | 26 | 0,75 | 29,5 | 1 | 32 | Тяжелые |
0,1 | 13,5 | 0,26 | 20,5 | 0,51 | 26 | 0,76 | 29,5 |
ЗДАНИЯ, СТРОЯЩИЕСЯ НА ПОДРАБАТЫВАЕМЫХ ТЕРРИТОРИЯХ
Конструктивные решения зданий
7.34. При проектировании панельных зданий для строительства на подрабатываемых территориях необходимо учитывать влияние неравномерных вертикальных и горизонтальных деформаций основания на работу подземных и надземных конструкций отсека.
Примечание. Строительство зданий на безугольных площадках на территориях с выработанными угольными пластами и законченным процессом оседания земной поверхности разрешается осуществлять по типовым или повторно применяемым проектам, разработанным для обычных условий строительства.
7.35. В зависимости от сроков и условий подработки в соответствии с
п. 5.18 главы СНиП II-8-78 назначается полный или сокращенный комплекс мер защиты.
Меры защиты, применяемые для панельных зданий, включают в себя следующие мероприятия:
а) повышающие прочность и общую пространственную жесткость зданий:
усиление подземной части здания с применением непрерывных горизонтальных поясов по контуру всех несущих стен, монолитных и сборно-монолитных ленточных фундаментов, перекрестных лент, плитных фундаментов (коробчатых, ребристых, плоских);
усиление несущих конструкций надфундаментной части здания, стыков и устройство непрерывных горизонтальных поясов в уровне перемычек и перекрытий;
б) снижающие влияние горных выработок на конструкции зданий:
разделение протяженных в плане зданий деформационными швами на отдельные отсеки прямоугольной формы;
устройство горизонтального шва скольжения в фундаментной части между фундаментным поясом и фундаментными подушками;
уменьшение поверхности фундаментов, имеющей контакт с грунтом;
уменьшение глубины заложения фундаментов до пределов, допустимых по условиям деформаций и несущей способности основания;
заложение фундаментов, как правило, на одном уровне;
засыпка пазух котлованов грунтом, обладающим малым сцеплением и трением на контакте с поверхностью фундаментов;
размещение подвалов и технических подполий, как правило, под всей площадью отсека здания;
устройство на основаниях, сложенных малосжимаемыми и несжимаемыми грунтами, грунтовых подушек из песка или пластичных глин;
в) компенсирующие неравномерную осадку зданий:
выравнивающие средства подъема (гидравлические, винтовые и клиновые домкраты и др.);
выравнивающие средства опускания - непрерывные или с жесткими вставками пояса, отдельные закрытого или полузакрытого типа опоры на основе термопластичных материалов (битум, асфальтобетон, полиэтилен и др.), опоры с удаляющимся песком и другие аналогичные устройства.
В случае когда применение перечисленных выше строительных мер защиты невозможно или нецелесообразно с экономической точки зрения, с целью уменьшения деформаций земной поверхности по согласованию с заинтересованными горнодобывающими предприятиями следует применять горные меры защиты.
7.36. Выполнение строительных и горных мер защиты в объеме, предусмотренном нормативными требованиями, не исключает возможности появления в несущих и ограждающих конструкциях допускаемых по условиям эксплуатации деформаций и трещин, устраняемых при проведении ремонта после подработки.
7.37. Ширина зазора деформационного шва между отсеками зданий определяется по формулам:
в уровне подошвы фундамента

(7.7)
в уровне карниза

(7.8)
где L - расстояние между центральными осями смежных отсеков;
H - высота здания от подошвы фундамента до карниза;

и

- соответственно коэффициенты перегрузки и условий работы, принимаемые по
табл. 3 и
4 СНиП II-8-78;

- величина относительной горизонтальной деформации;

- расчетный крен здания (отсека) от подработки, определяемый по формулам:
для площадок с главными деформациями земной поверхности

(7.9)
для площадок при сосредоточенных деформациях земной поверхности в виде уступа

(7.10)
где
nK,
nh,
mK - коэффициенты перегрузки и условий работы, принимаемые по
табл. 3 и
4 СНиП II-8-78;
R и h - ожидаемые деформации земной поверхности (соответственно радиус кривизны и высота уступа).
Особенности конструктивных решений
фундаментно-подвальной части зданий
7.38. Фундаментно-подвальная часть зданий может быть решена по жесткой, податливой или комбинированной конструктивной схеме.
Жесткая конструктивная схема осуществляется путем соединения конструктивных несущих элементов надземной и фундаментно-подвальной части здания в одну пространственную систему, при которой исключаются их самостоятельные перемещения от воздействия вертикальных и горизонтальных деформаций основания.
Жесткая конструктивная схема фундаментов зданий достигается устройством непрерывного железобетонного пояса по грунту под всеми несущими стенами и при необходимости также в верхней части фундаментов. Кроме этого предусматриваются дополнительные связи между подземными и надземными конструкциями.
В случае применения податливых фундаментов рекомендуется разделение надземной и подземной части здания швом скольжения. Над швом должен предусматриваться непрерывный железобетонный пояс, жестко связанный с перекрытием (рис. 7.9, а).
Рис. 7.9. Варианты конструктивных решений
фундаментно-подвальной части зданий
а - податливая конструктивная схема; б - комбинированная
конструктивная схема; 1 - шов скольжения; 2 - монолитное
перекрытие, совмещенное с цокольным поясом; 3 - стены
подвала, отделенные швом скольжения от вышележащих
конструкций; 4 - фундаментный пояс со сборным фундаментом;
5 - стены подвала, работающие совместно с надземной частью
здания; 6 - фундаментные подушки
Стены подземной части здания, расположенные ниже железобетонного пояса и шва скольжения, следует проектировать из сборных блоков заводского изготовления, сдвигающихся (без наклонов) по шву скольжения под действием горизонтальных деформаций основания. По низу блоков над фундаментными подушками устраивается шов скольжения.
Фундаменты комбинированной конструктивной схемы выполняются, в основном, аналогично жестким фундаментам. В нижней части фундаментов под железобетонным поясом устраивается шов скольжения (
рис. 7.9,
б).
7.39. При проектировании фундаментов в виде монолитной железобетонной плиты шов скольжения следует устраивать в уровне подошвы фундамента по бетонной подготовке.
При проектировании стен фундаментно-подвальной части из цокольных панелей необходимо соблюдать следующие условия:
а) цокольные панели для внутренних и наружных стен должны быть, как правило, сплошного сечения;
б) отверстия в панелях допускаются в местах прохода коммуникаций и входа в помещения техподполья;
в) отверстия в цокольных панелях, по возможности, не должны совпадать с проемами в надземной части;
г) горизонтальные железобетонные пояса устраиваются в теле панелей. Арматура поясов проходит по длине панелей вдоль верхней и нижней грани и заканчивается выпусками в количестве не менее двух (рис. 7.10).
Рис. 7.10. Схема армирования цокольной наружной панели
7.40. В зданиях с податливыми фундаментами полы по грунту следует проектировать нежесткими (например, из грунта с втрамбованным щебнем). При жестких конструкциях полов по периметру всех стен подвала необходимо предусматривать швы. Ширина швов принимается по расчету, но не менее 2 см. Швы должны заполняться битумной мастикой.
Шов скольжения должен устраиваться на хорошо выровненной раствором поверхности фундаментов.
Коэффициенты трения по шву скольжения, используемые при определении усилий в конструкциях здания от воздействия горизонтальных деформаций основания, принимаются по
табл. 5 СНиП II-8-78.
7.41. Фундаментный, а также цокольный (в случае его применения) железобетонные пояса должны образовывать горизонтальные рамы в пределах отсека; количество арматуры и распределение ее по сечению поясов принимаются по расчету на усилия от воздействия горизонтальных деформаций земной поверхности.
Для устройства железобетонных поясов следует применять бетон марки не ниже М150, арматуру класса А-I, А-II, А-III. Допускается устройство сборно-монолитных поясов при условии обеспечения равнопрочности стыков основному сечению пояса.
Армирование железобетонных поясов должно быть непрерывным. Переломы фундаментного и цокольного поясов по вертикали, как правило, не рекомендуются. Переломы допускается предусматривать при необходимости устройства пониженного входа в здание в месте пересечения цокольного пояса дверным проемом. Цокольный пояс в месте перелома следует рассчитывать как внецентренно-сжатый или внецентренно-растянутый элемент.
7.42. В зданиях, предназначенных для строительства на площадках, сложенных насыпными или слабыми грунтами с низким модулем деформации (
E 
100 кгс/см
2), а также на площадках с возможным резким ухудшением строительных свойств грунтов основания в результате подработки следует предусматривать свайные фундаменты, рассчитанные на действие вертикальных нагрузок и горизонтальных перемещений грунта.
Глубину заложения фундаментов следует назначать минимально возможной в соответствии с требованиями главы
СНиП II-15-74. При этом следует стремиться к уменьшению контакта боковых поверхностей фундаментов с грунтом.
7.43. В проектах зданий, подлежащих выравниванию с помощью домкратов, следует предусматривать:
под выравниваемой частью здания железобетонный пояс;
под поясом в углах, по пересечениям несущих стен и под простенками ниши для установки домкратов;
по низу ниш плиты или железобетонный пояс для распределения сосредоточенных нагрузок от домкратов;
по линии отрыва выравниваемых конструкций, т.е. в уровне верхней грани ниш, разделительный шов, который в необходимых случаях может быть и швом скольжения.
Мероприятия, обеспечивающие нормальную эксплуатацию внутридомовых санитарно-технических систем при выравнивании зданий (применение компенсационных устройств для стояков, крепление разводящих трубопроводов к элементам здания, расположенным над швом скольжения).
При устройстве ниш над фундаментным распределительным поясом, например, в фундаментах, выполненных из цокольных панелей (рис. 7.11, а), места расположения ниш или раскладку фундаментных подушек следует скорректировать таким образом, чтобы ниши располагались, по возможности, симметрично относительно центра тяжести фундаментных подушек, на которые будут передаваться нагрузки от домкратов.
Рис. 7.11. Конструктивные схемы фундаментов с применением
выравнивающих средств защиты здания
а - с проемами для домкратов; б - с непрерывным
термопластичным поясом; 1 - цокольная панель;
2 - проемы для домкратов; 3 - железобетонный
фундаментный пояс; 4 - шов скольжения;
5 - железобетонные подушки; 6 - термопластичный пояс
7.44. При выравнивании зданий с помощью поясов из термопластичного материала в подземной части должны быть предусмотрены (
рис. 7.11,
б):
сборный или монолитный бетонный пояс высотой 200 мм, укладываемый непосредственно на фундаментные подушки;
съемные или стационарные электронагреватели, размещаемые между бетонным и термопластичным поясом;
термопластичный пояс, размещаемый по периметру фундаментов всех несущих стен;
распределительный железобетонный пояс, размещаемый над термопластичным поясом.
7.45. При проектировании зданий для строительства в зонах, угрожаемых и опасных по выделению метана на поверхность земли, следует предусматривать защитные мероприятия от проникания и скопления метана в подвалах и нижних этажах. Защита обеспечивается вентиляцией подвала и подполий, газоизоляцией подземной части здания, дренированием газа на пути его движения к зданиям. При этом надлежит руководствоваться Инструкцией по защите зданий от проникания метана.
ЗДАНИЯ, СТРОЯЩИЕСЯ НА ВЕЧНОМЕРЗЛЫХ ГРУНТАХ
Конструктивные решения зданий
7.46. При проектировании панельных зданий на вечномерзлых грунтах, в первую очередь, должен быть выбран основной принцип использования вечномерзлых грунтов в качестве основания зданий.
I принцип - | вечномерзлые грунты основания используются в мерзлом состоянии, сохраняемом в процессе строительства в течение всего заданного периода эксплуатации здания; |
II принцип - | вечномерзлые грунты основания используются в оттаявшем состоянии (с допущением оттаивания их в процессе эксплуатации здания или с их оттаиванием на расчетную глубину до начала возведения). |
При строительстве панельных зданий выбор принципа использования вечномерзлых грунтов основания, а также средств, которыми достигается сохранение предусмотренного в проекте состояния основания, производится применительно к конкретным условиям с учетом стоимости, материалоемкости, трудоемкости и продолжительности строительства.
I принцип должен применяться, если грунты застраиваемой территории можно сохранить в мерзлом состоянии при экономически целесообразных затратах на мероприятия, обеспечивающие сохранение такого состояния.
Использование пластично-мерзлых грунтов в качестве основания по I принципу допускается при условии понижения их температуры в соответствии с пп. 3.16 и 4.11 главы СНиП II-18-76.
II принцип должен применяться при наличии в основании скальных или вечномерзлых грунтов, деформация которых при оттаивании не превышает предельно допускаемых значений для проектируемых зданий, а также при несплошном распространении вечномерзлых грунтов, неодинаковой глубине залегания верхней поверхности вечномерзлых грунтов и в других случаях, когда по технологическим или конструктивным особенностям здания экономически целесообразно применять II принцип.
Конструкции панельных зданий, возводимых по I принципу на твердомерзлых грунтах, на неравномерные осадки основания не рассчитываются.
Конструкции панельных зданий, возводимых по I принципу на пластично-мерзлых грунтах, должны проектироваться с учетом возможных неравномерных деформаций оснований.
При строительстве на вечномерзлых грунтах, используемых по II принципу, проектирование конструкций зданий должно вестись в соответствии с
пп. 7.48 -
7.50 настоящего Руководства.
7.47. Здания предназначенные для строительства на мерзлых грунтах, используемых по I принципу, как правило, следует проектировать на основе бескаркасных конструктивных систем с пролетами перекрытий 6 м и более, т.е. систем с продольными несущими стенами или с широким шагом поперечных несущих стен. Применение таких систем позволяет снизить стоимость и трудоемкость конструкций нулевого цикла и здания в целом, а также упростить устройство предприятий сети культурно-бытового обслуживания, встроенных в первые этажи жилых зданий.
Конструктивные решения должны обеспечивать, по возможности, наименьшие затраты при монтаже, сведение к минимуму мокрых строительных процессов, а также минимальный вес и пригодность сборных конструкций для перевозки в сложных транспортных условиях.
Наружные стены следует, как правило, проектировать из слоистых панелей с применением листовых материалов и эффективных утеплителей, которые не требуют мокрых процессов при монтаже и обладают высоким сопротивлением теплопередаче.
7.48. Панельные здания, предназначенные для строительства на вечномерзлых грунтах, используемых по II принципу, рекомендуется проектировать по следующим конструктивным схемам:
с несущими поперечными и продольными стенами при узком шаге поперечных стен (не более 3,6 м) и перекрытиями размером на комнату (
рис. 7.12,
а);
с навесными наружными стенами, одной или двумя продольными несущими стенами и несущими поперечными стенами (
рис. 7.12,
б,
в);
с несущими продольными стенами и поперечными диафрагмами жесткости, расположенными не реже чем через 12 м (
рис. 7.12,
г); в этом случае рекомендуется предусматривать частое (не реже 3,6 м) расположение жестких стен подвала.
Рис. 7.12. Схемы поперечных разрезов панельных зданий
а - здание поперечно-жесткое; б - здание с навесными
стенами, одной продольной несущей стеной и несущими
поперечными стенами; в - здание с навесными стенами
и несущими поперечными стенами; г - здание только
с продольными несущими стенами
Панельные здания следует проектировать с учетом преимущественного проявления неравномерных осадок основания поперек здания; при этом необходимо также учитывать их действие вдоль здания.
Приспособление конструкций к восприятию деформаций основания следует осуществлять увеличением жесткости цокольно-фундаментной части поперек здания и разрезкой осадочными швами на самостоятельные замкнутые отсеки.
7.49. Разрезать здания осадочными швами необходимо в соответствии с реальными мерзлотно-геологическими условиями участка строительства в местах наиболее резкого перепада ожидаемых осадок оттаивания.
При этом следует учесть, что при равных условиях прогиб предпочтительнее выгиба. В случае более или менее постоянных свойств основания в пределах застройки следует отделить осадочными швами торцовые секции зданий, а рядовые секции объединить в осадочные отсеки большей длины.
7.50. Проект панельного здания должен содержать варианты с расположением деформационных швов через одну, две секции, в проектах домов коридорной системы - через 30 м, а также варианты усиления цокольно-фундаментной части.
Деформационные швы должны разделять смежные отсеки по всей высоте здания, включая фундаменты. Ширина деформационного шва a должна быть не менее 10 см в зданиях высотой до пяти этажей включительно, в зданиях большей высоты она должна составлять:
a = 10 + 2(n - 5), (7.11)
где n - число этажей.
Для резкого снижения неравномерности осадок фундаментов и величин дополнительных усилий в элементах конструкций целесообразно снизить запасы несущей способности основания с целью увеличения скорости осадки в зонах его перегрузки. Поэтому ленточные фундаменты предпочтительнее сплошной фундаментной плиты.
При проектировании конструкций отсека здания следует, прежде всего, обеспечить прочность:
при растяжении - явных или скрытых горизонтальных поясов внизу и вверху стен подвала, а также в уровне чердачного перекрытия;
при сдвиге - стен подвала, простенков первого и последнего этажей.
Отдельные конструктивные элементы зданий,
проектируемых на вечномерзлых грунтах
7.51. Ростверки могут быть монолитные и сборные. Пример сопряжения сваи с монолитным ростверком показан на
рис. 7.13, где указаны минимальные размеры выпусков арматуры. Для обеспечения связи с ростверком в зависимости от применяемого типа сваи, обусловленного способом погружения
(п. 7.66), используются либо выпуски арматуры, либо арматура, обнажаемая после срубки головы забивной или бурозабивной сваи.
Рис. 7.13. Сопряжение сваи с монолитным ростверком
(размеры даны минимальные)
1 - свая; 2 - арматурные выпуски из сваи;
3 - монолитный железобетонный ростверк
При сборных ростверках уменьшается трудоемкость монтажа, повышается точность работ, но затрудняется обеспечение надлежащего качества заделки свай в гнезда ростверка, так как объем монолитного бетона незначителен и необходимо прогреть примыкающий к гнезду объем сборного бетона. Кроме того, при больших нагрузках часто не хватает сечения бетона у гнезд, где нужно разместить рабочую арматуру (рис. 7.14).
Рис. 7.14. Сопряжение сваи со сборным оголовком и ростверком
1 - свая; 2 - оголовок; 3 - ростверк; 4 - бетон
замоноличивания; 5 - арматурные выпуски из сваи;
6 - арматура стыка (по расчету);
7 - сварка закладных деталей
При сборных ростверках рекомендуется применять сборные или монолитные оголовники.
Сечение ростверка определяется расчетом, при этом минимальная ширина монолитного ростверка (при однорядном расположении свай) принимается не менее d + 2a + 50, где d - сторона сечения сваи поперек ростверка, мм; a - допуск на точность установки сваи (30 + 50 мм). Высота ростверка определяется из условия восприятия поперечной силы бетоном и хомутами (без установки отогнутой арматуры), она должна быть не менее 300 мм.
Морозостойкость бетона должна быть не менее Мрз 100, марка бетона - М200 при сборных и М150 при монолитных ростверках.
При пучинистых грунтах слоя сезонного протаивания под ростверком предусматривается зазор не менее 150 мм.
Наиболее существенной особенностью конструкций ростверков в условиях Севера является необходимость полного учета температурных воздействий. Расчет свай и ростверков на температурно-климатические воздействия состоит в определении усилий в ростверках как части надземного объема здания, подвергающегося температурным деформациям, и в определении усилий в сваях от их изгиба вследствие температурных деформаций конструкций цоколя.
Для снижения усилий от температурных деформаций необходимо выполнять работы по замоноличиванию конструкций при температуре воздуха, близкой к среднегодовой.
7.52. Компоновка конструкций цокольной части зданий должна обеспечивать: снижение усилий в элементах от температурных деформаций, удовлетворение теплотехническим требованиям, воздухонепроницаемость. Бетон элементов цокольного ограждения должен иметь марку по морозостойкости не менее Мрз 100. Продухи для вентиляции подполья рекомендуется устраивать, по возможности, выше для того, чтобы они в меньшей степени заносились снегом. Цокольное ограждение должно быть защищено от разрушения силами пучения грунта, для чего рекомендуется не доводить его до поверхности грунта, оставляя 150 мм; при непучинистых грунтах возможно касание низа ограждения грунта, что с точки зрения эксплуатации предпочтительнее.
Учитывая высокую жесткость и чувствительность к деформациям надфундаментных конструкций, связанные с малой длиной свай от заделки в грунте до ростверка, целесообразно не устраивать жесткого диска на уровне первого снизу перекрытия. Пространственную жесткость следует обеспечивать, считая (и выполняя) жесткими дисками все остальные перекрытия. Поэтому перекрытие над холодным подпольем следует решать без платформенного опирания элементов (по крайней мере, вдоль отсека), используя систему "вкладышей"; стыки панелей стен технического этажа с перекрытиями следует выполнять без заделки раствором (рис. 7.15).
Рис. 7.15. Пример решения ограждения холодного подполья
1 - свая; 2 - ростверк; 3 - стеновая панель; 4 - сборная
железобетонная цокольная панель; 5 - отмостка; 6 - отверстия
(продухи); 7 - закладные детали в цокольной панели;
8 - закладные детали в ростверке; 9 - соединительные
элементы на сварке, оголовок
В этом случае требования воздухонепроницаемости удовлетворяются за счет наклейки на швы в перекрытии полос герметического материала (полиэтиленовой пленки, рубероида и т.д.).
7.53. Перекрытия над холодными подпольями не отличаются существенно от конструкций перекрытий в обычных условиях.
Специфическими являются требования герметичности, повышенного термического сопротивления, недопустимости влагонакопления в толще перекрытия. Особенно строго должны удовлетворять этим требованиям перекрытия над холодными подпольями в помещениях с длительным пребыванием людей. Нормы требуют в этих случаях предусматривать обогрев полов с помощью водяных, воздушных систем, возможно применение греющего электрокабеля (наличие обогрева полов не позволяет уменьшить термическое сопротивление перекрытия). Пример конструкции перекрытия над подпольем с обогревом пола в случае отсутствия технического этажа дан на рис. 7.16.
Рис. 7.16. Пример конструкции перекрытия над холодным
подпольем в здании без технического этажа
1 - панель перекрытия; 2 - утеплитель; 3 - кирпичные
столбики размером 25 x 25 см с шагом 1 x 1 см; 4 - плоские
железобетонные плитки размером 1 x 1 x 0,06 м; 5 - чистый
пол; 6 - полость, в которой циркулирует подогретый воздух
7.54. В соответствии с опытом строительства и эксплуатации, учитывая недостаточную степень надежности систем с горячей водой и большую опасность оттаивания основания в случае протечек, следует проектировать здания с техническими подпольями или этажами. Конструкции перекрытий следует принимать по серии 2.140-2М "Детали перекрытий жилых и общественных зданий для II климатического района", вып. 1, где имеются вспомогательные таблицы для подбора утеплителя.
Крыльца при использовании грунтов основания по I принципу следует проектировать со ступенями плитного типа и с минимальной высотой, что улучшает условия эксплуатации.
Конструкции крылец рекомендуется решать в виде консолей, заделанных в ростверки здания, или с опиранием на одну-две сваи. При просадочных грунтах конструкции крылец должны быть отделены от основного здания, а их фундаменты - проверены на выпучивание.
Примеры решений крылец показаны на рис. 7.17.
Рис. 7.17. Примеры решений крылец зданий
с холодными подпольями
А - с консольной площадкой и сварным маршем;
Б - с монолитным косоуром на собственных фундаментах
и плитными ступенями; 1 - стена здания; 2 - консольные
балки площадки; 3 - плита площадки; 4 - сборный марш
со свободным опиранием на балку и ростверк; 5 - свая;
6 - ростверк; 7 - монолитный косоур со стойкой;
8 - плитные ступени; 9 - зона замены пучинистого грунта
Особенности конструктивных решений фундаментно-подвальной
части зданий при строительстве на вечномерзлых грунтах
Использование грунтов основания по I принципу
7.55. При проектировании зданий на основаниях, используемых по I принципу, необходимо не только сохранить грунты в мерзлом состоянии, но и обеспечить их проектный температурный режим, отвечающий требуемой несущей способности основания фундаментов. Это достигается устройством холодных подполий или холодных первых этажей, укладкой охлаждающих труб, каналов, установкой саморегулирующих охлаждающих устройств, заложением фундаментов ниже расчетной зоны оттаивания, соответствующими решениями инженерной подготовки территорий и вводов инженерных сетей в здания.
Способ охлаждения грунтов основания должен выбираться в зависимости от конкретных природных условий строительной площадки, конструктивных и технологических особенностей проектируемого здания на основе теплотехнического расчета, опыта местного строительства и экономической целесообразности.
7.56. По режиму охлаждения и вентилирования холодные подполья подразделяются на вентилируемые круглогодично (основной тип), вентилируемые только в летнее время и невентилируемые.
Способ вентилирования должен выбираться в зависимости от условий снегозаносимости:
а) при среднезимних скоростях ветра менее 4 - 6 м/с следует предусматривать назначаемые по расчету продухи в цоколе здания или открытые подполья. Продухи рекомендуется располагать выше поверхности снежных отложений, а высоту открытых подполий следует назначать из условия возможности свободного переноса снега под зданием.
При снежных отложениях свыше 30 см у продухов необходимо устраивать вентиляционные короба с приточными отверстиями, расположенными на 40 - 50 см выше поверхности снега.
Отверстия приточных труб при вентилировании с механическим побуждением следует располагать выше максимальной отметки снежных отложений у стены здания.
Вытяжные трубы выводятся выше конька крыши и оформляются дефлекторами;
б) при среднезимних скоростях ветра выше 4 - 6 м/с, если не предусмотрены специальные меры по снегозащите населенного пункта или комплекса зданий, следует предусматривать вытяжные трубы.
Естественное вентилирование подполья за счет ветрового напора обеспечивается при отношении высоты подполья hп к ширине здания B не менее 0,02. При меньшем значении этого отношения следует применять вентилирование с механическим побуждением.
7.57. Высота подполья, измеряемая от поверхности грунта под зданием до низа выступающих конструкций перекрытия, должна приниматься не менее 1 м, а при размещении в подполье санитарно-технических трубопроводов должна назначаться из условия свободного к ним доступа, но не менее 1,2 м.
На отдельных небольших по площади участках, например, под лестничными клетками, допускается местное уменьшение высоты подполья до 30 см при условии, что это не нарушает режима вентилирования подполья.
В проекте должна быть предусмотрена возможность доступа в подполье с целью мерзлотного контроля.
Поверхность грунта под зданием должна быть спланирована с уклоном в сторону отмостки не менее 0,02 при грунтовом и не менее 0,01 при усовершенствованном (асфальтовом, бетонном) покрытии. При прокладке в подполье санитарно-технических сетей в грунтовом покрытии под трубами устраиваются бетонные лотки для отвода воды в случае протечки.
7.58. Расчет подполья производится в соответствии с указаниями прил. 2 к главе СНиП по проектированию оснований и фундаментов на вечномерзлых грунтах и рекомендациями
[5] из условия обеспечения принятой температуры вечномерзлого грунта на его верхней поверхности

. Эта температура назначается в зависимости от требуемой несущей способности оснований фундаментов и природной среднегодовой температуры грунтов
t0 в соответствии с требованиями п. 4.11 главы СНиП II-18-76.
7.59. При проектировании зданий необходимо учитывать возможности изменения природного температурного режима грунтов в результате освоения площадки, вызванного переформированием снегоотложений, ликвидацией растительности, нарушением поверхностного покрова, изменением условий вод как поверхностных, так и надмерзлотных. Прогноз изменения температурного режима должен производиться на основании расчетов, выполняемых по методике НИИ оснований и подземных сооружений
[6].
Выполнение такого расчета при природной среднегодовой температуре вечномерзлых грунтов, равной -2 °C и выше, является обязательным.
7.60. Проектом привязки жилого дома должны быть предусмотрены меры, предотвращающие возможности проявлений мерзлотных процессов, а также организация поверхностного стока на прилегающей к зданию территории. При льдистости вечномерзлых грунтов за счет ледяных включений Л
в 
0,1 должна предусматриваться подсыпка, толщина которой назначается по расчету из условий сохранения верхней границы вечномерзлых грунтов в ее природном состоянии (но не менее 1 м).
Планировка срезкой допускается как исключение на участках, где в пределах расчетной глубины сезонного оттаивания обнажаемых грунтов льдистость Лв < 0,03.
При устройстве подъездов к зданиям в насыпях, возвышающихся над поверхностью планировки, не должно образовываться замкнутых контуров, затрудняющих поверхностный сток воды, а также способствующих образованию снегоотложений у стен зданий, препятствующих вентиляции подполий.
7.61. При решении вводов-выпусков инженерных коммуникаций требуется учитывать не только тепловое влияние сетей на вечномерзлые грунты, но и опасность протечек. Необходимо принимать меры к повышению надежности за счет гидроизоляции поверхности грунта в подполье, обеспечения ее уклонов, а также повышения герметичности сетей.
Вводы-выпуски сетей должны быть надземными. Если трубопроводы располагаются в коробе (канале) с необходимой тепло- и гидроизоляцией, между ним и поверхностью планировки должен быть зазор для вентилирования не менее 30 см.
На вводах и выпусках (в канале или в коробе) должны предусматриваться лотки под трубами или другие конструктивные меры отвода воды, которая может появиться в случае аварии или при ремонте сетей.
При устройстве подземных вводов инженерных сетей, включая электрические кабели, следует предусматривать меры, исключающие возможность фильтрации вдоль каналов и кабелей надмерзлотных грунтовых вод к основаниям фундаментов.
В качестве таких мер могут применяться дренажные устройства и экраны, в частности из глинистого грунта.
7.62. Фундаменты зданий, строящихся на основаниях, используемых по I принципу, следует проектировать свайными (основной тип) или столбчатыми. Последние применяются при возведении зданий на подсыпках, на площадках с неглубоким залеганием кровли разрушенных скальных пород, а также на площадках с массивами подземного льда.
7.63. При конструировании свайных фундаментов в зданиях с холодными подпольями необходимо руководствоваться приведенными ниже рекомендациями (
пп. 7.65 -
7.71).
7.64. Морозостойкость бетона свай должна назначаться согласно требованиям
табл. 7.2 с учетом особо тяжелых условий их работы в пределах сезонно оттаивающего слоя и у поверхности грунта, где имеют место увлажнение талыми и надмерзловатыми водами, частая смена температур в течение суток весной и осенью, где в бетоне возникают наибольшие напряжения от изгиба. Можно повысить морозостойкость бетона специальной пропиткой на глубину не менее 10 мм.
N п.п. | Характеристика конструктивных решений | Проектная марка бетона |
по морозостойкости | по водонепроницаемости |
для зданий и сооружений классов |
I | II | III | IV | I | II | III | IV |
1 | Находящиеся в условиях постоянного смачивания переменным уровнем воды в открытых водоемах | Мрз 300 | Мрз 200 | Мрз 150 | Мрз 100 | В6 | В4 | В4 | В2 |
2 | Являющиеся одновременно надземными опорами конструкций (высокий свайный ростверк, эстакады и др.) | Мрз 200 | Мрз 150 | Мрз 100 | Мрз 75 | В4 | В4 | В2 | В2 |
3 | Погружаемые на всю глубину в грунт | Мрз 150 | Мрз 100 | Мрз 75 | Мрз 50 | В4 | В2 | В2 | В2 |
4 | Выступающие над поверхностью грунта и находящиеся внутри помещений с положительными температурами, подверженные воздействию температур ниже 0 °C в период строительства | Мрз 100 | Мрз 75 | Мрз 50 | Мрз 50 | В2 | В2 | В2 | В2 |
7.65. Свайные фундаменты должны проектироваться не только с учетом грунтовых условий, но и в соответствии с конструктивной схемой зданий: при поперечных несущих стенах, обладающих, как правило, высокой жесткостью, целесообразна редкая расстановка сильно нагруженных свай. Часть длины сваи в пределах холодного подполья и сезонно оттаивающего слоя не воспринимает вертикальных нагрузок, поэтому экономичнее полностью использовать несущую способность сваи не только по грунту, но и по материалу.
7.66. Следует избегать различных значений несущей способности свай в пределах одного здания, стремиться к простым и повторяющимся шагам свай. В местах пересечения несущих стен и в углах постановка свай обязательна. Выбор способа погружения свай производится с учетом данных табл. 7.3. Здесь же приведены величины минимальных расстояний между осями свай.
Таблица 7.3
Наименование свай по способу установки | Данные для выбора способа установки свай |
характеристика грунтов | средняя температура грунта в зоне заделки, °C | минимальное расстояние между сваями | коэффициент условий работы при расчете несущей способности основания |
Буроопускные с заполнением грунтовым или известково-песчаным раствором | Все виды грунтов | -0,5 и ниже | 2dскв | 1,1 |
Неглубокое залегание кровли коренных пород, перекрытых льдистыми просадочными при оттаивании грунтами, твердомерзлые | Независимо от температуры | 2d | 1,2 |
Опускные, погружаемые с предварительным оттаиванием грунтов | Глинистые и песчаные грунты с льдистостью Л в  0,44, с содержанием крупнообломочных включений до 15% | -1,5 и ниже | 3d | 1,1 |
То же, с последующим искусственным замораживанием оттаявшего грунта | То же | -0,5 и ниже | 3d | 1 |
Бурозабивные | Пластично-мерзлые грунты без крупнообломочных включений | | 3d | 1,2 |
Забивные | Глинистые пластично-мерзлые грунты без крупнообломочных включений (при условии подтверждения возможности забивки полевыми испытаниями) | Не выше -0,6 в супесях, -1 в суглинках | 3d | 1,2 |
Примечание. dскв - диаметр скважины; d - наибольший размер поперечного сечения сваи. |
7.67. Железобетонные буроопускные сваи применяются прямоугольного или квадратного сечения по номенклатуре Фундаментпроекта (серия 1.011-3м); забивные и бурозабивные - по номенклатуре для немерзлых грунтов (серия 1.011-1) при Мрз 300.
Для зданий до пяти этажей рекомендуется однорядное расположение свай в плане, при большей этажности, в зависимости от расчетной несущей способности, может применяться двухрядное.
7.68. Расчет оснований свайных фундаментов производится в соответствии с указаниями разд. 5 - 8 главы СНиП II-18-76.
При этом несущая способность свай в засоленных, сильнольдистых и заторфованных грунтах должна определяться по данным полевых испытаний статической вдавливающей нагрузкой. Определение усилий в сваях, вызываемых деформациями связанных с ними ростверков, рекомендуется производить в соответствии с
[5].
7.69. Особого внимания требует снижение усилий в сваях от температурных деформаций надземной части зданий. Снижению этих усилий способствуют:
расположение элементов с повышенной жесткостью: диафрагм, свай с пониженными отметками полов (у входов, приямков и т.д.) в середине температурного отсека, а не у его края;
сокращение размеров поперечного сечения свай, особенно в направлении наибольших температурных деформаций;
увеличение свободной длины сваи.
7.70. Наряду с призматическими сваями следует применять сваи-оболочки. Они наиболее эффективны при большой глубине залегания несущих грунтов, при этом объем скважин круглого сечения используется полнее, чем при погружении в них призматических свай. Сваи-оболочки благодаря большой несущей способности позволяют сократить число свай, использовать полноценно жесткость конструкций надземной части зданий.
7.71. Проект свайных фундаментов должен включать:
мерзлотно-грунтовые условия;
принятый принцип использования грунтов оснований и расчетные температуры грунта;
способ погружения свай (см.
п. 7.66) и состав грунтового раствора (для буроопускных);
время вмерзания свай и условия их загружения.
Расчет фундаментов должен производиться в соответствии с указаниями главы СНиП II-18-76.
7.72. Расчетные температуры в основании определяются с учетом устройств по регулированию температурного режима грунтов. При этом основания могут быть рассчитаны как из условия сохранения, так и понижения природных температур грунтов. Из первого условия обычно исходят при твердомерзлом состоянии грунтов, из второго - при пластично-мерзлом. Чтобы повысить экономичность решений фундаментов на пластично-мерзлых грунтах, допускается применять их искусственное охлаждение, поддерживаемое в дальнейшем усиленной вентиляцией соответствующим образом рассчитанного подполья (см.
п. 7.58).
Использование грунтов основания по второму принципу
7.73. При проектировании зданий на основаниях, используемых по второму принципу, необходимо, с одной стороны, уменьшить возможную неравномерность осадок, а с другой - обеспечить прочность несущих конструкций здания (включая и их фундаменты), достаточную для восприятия дополнительных усилий, которые при этом возникают.
7.74. Особенно большое влияние на неравномерность оттаивания оказывают подземные воды, переносящие тепло на большие расстояния. В связи с этим в проектах необходимо предусматривать организацию поверхностного стока и защиту оснований зданий от фильтрующих надмерзлотных вод, в частности образующихся в результате утечек из хозяйственных и промышленных источников. Не следует допускать фильтрацию воды в основание по таликам, образующимся вокруг ввода сетей в здания. Кроме того, необходимо исключать тепловое влияние вводов и выпусков сетей на местное ускоренное оттаивание грунтов, применяя соответствующие теплозащитные устройства и теплоизоляцию трубопроводов, прокладку их в каналах и др.
Обратная засыпка пазух у фундаментов должна выполняться с уплотнением грунта. Для отвода воды по наружному периметру зданий необходимо устраивать отмостки шириной не менее 1,5 м.
7.75. Уменьшение ожидаемых осадок оснований достигается предварительным оттаиванием грунтов, заменой сильносжимаемых при оттаивании слоев карьерным грунтом, применением свайных фундаментов в соответствии с указаниями пп. 3.20 - 3.22 главы СНиП II-18-76.
7.76. При абсолютных величинах деформаций оснований, превышающих указанные в главе СНиП II-18-76, следует повышать жесткость элементов подземной части здания за счет применения монолитных или сборно-монолитных фундаментов (предпочтительно в виде перекрестных лент), исключать, по возможности, проемы в стенах подземной и цокольной частей здания.
7.77. Фундаменты рекомендуется применять ленточного типа или свайные, если на соответствующей глубине грунты обладают достаточной несущей способностью.
7.78. При проектировании ленточных фундаментов на сжимаемых при оттаивании грунтах рекомендуется:
а) предусматривать укладку фундаментов на оттаявший слой (при необходимости - искусственно уплотненный) грунта толщиной не менее ширины подошвы фундамента;
б) при залегании под подошвой фундаментов крупнообломочных и разрушенных скальных пород, проявляющих осадки при оттаивании, устраивать песчаные подушки, способствующие уменьшению концентрации реактивных давлений на отдельные участки их подошвы.
С этой целью целесообразно применять прерывистые фундаменты на песчаной подготовке толщиной 30 - 40 см. Этот прием обеспечивает врезание фундаментов в грунт в местах повышенных напряжений и вовлечение в работу просевших при оттаивании смежных участков основания
(рис. 7.18);
в) исключать возможность сезонного промерзания грунтов под подошвой фундамента, если он укладывается на грунты, обладающие пучинистыми свойствами при промерзании;
г) в случаях, когда поверхностный слой грунта на расчетную глубину промерзания представлен непучинистыми грунтами природного сложения или карьерными, уложенными для образования насыпи или замены сильносжимаемых при оттаивании слоев природных грунтов в основании, закладывать подошвы фундаментов на возможно меньшей глубине, но не менее 1 м (для малоэтажных не менее 0,5 м);
д) ленточные фундаменты, выполняемые из тяжелого бетона, могут применяться как монолитные, так и сборные из крупных блоков и железобетонных фундаментных плит. При залегании в основании грунтов, проявляющих осадку при оттаивании (коэффициент оттаивания A > 0), необходимо предусматривать железобетонные пояса, армированные по расчету из условия совместной деформации фундамента и основания, но при этом площадь сечения арматуры должна быть не менее 10 см2.
При монолитных фундаментах железобетонные пояса устраиваются в их нижней части, при сборных - по верху фундаментных плит;
е) расстояния между осадочными швами следует принимать минимальными, размеры швов назначать с учетом крена, но не менее 10 см, добавляя по 2 см на каждый этаж выше второго.
Рис. 7.18. Пример решения конструкций фундаментов
при II принципе использования вечномерзлых грунтов
в качестве оснований
1 - фундаментные плиты; 2 - песчаное основание;
3 - монолитные железобетонные пояса; 4 - монолитные
железобетонные стойки, бетонируемые после монтажа
блоков стен подвалов; 5 - арматурные каркасы;
6 - блоки стен подвалов
7.79. При проектировании свайных фундаментов необходимо учитывать следующие особенности:
сваи могут погружаться забивным способом только при условии предварительного оттаивания грунтов на полную глубину забивки, в остальных случаях сваи погружаются в скважины, диаметр которых должен превышать наибольший размер поперечного сечения сваи на 15 см с заполнением образующейся полости вокруг сваи грунтовым песчаным или песчано-гравелистым раствором;
при требуемой глубине погружения более 16 м рекомендуется применять составные сваи сплошного сечения, а для многоэтажных зданий с большими нагрузками на фундаменты - буронабивные или трубонабивные согласно рекомендациям п. 3.27 главы СНиП II-18-76;
сваи-стойки должны заделываться в коренные породы по расчету, но не менее чем на 2 диаметра скважины с заполнением полости в пределах заделки сваи цементным раствором;
расчет свайных фундаментов производится в соответствии с указаниями п. 4.30 главы СНиП II-18-76 с учетом отрицательного трения, возникающего на боковой поверхности сваи по мере оттаивания и осадки окружающих сваю грунтов.
8. ОСОБЕННОСТИ РАЗРАБОТКИ И КОМПЛЕКТАЦИИ ПРОЕКТОВ ЗДАНИЙ
ДЛЯ СТРОИТЕЛЬСТВА В ОСОБЫХ ГРУНТОВЫХ УСЛОВИЯХ
РАЗРАБОТКА ТИПОВОГО ПРОЕКТА
8.1. Типовой проект здания, предназначенного для строительства в особых грунтовых условиях, может быть введен в действие только после экспериментальной проверки примененных в нем новых конструктивно-планировочных решений путем натурных испытаний здания.
Объем и характер испытаний определяется в зависимости от степени сложности условий строительства, а также поставленных задач по проверке принятых в проекте новых решений.
8.2. При разработке типовых проектов панельных зданий необходимо стремиться к максимальной унификации проектов с целью их применения для строительства в различных грунтовых и горно-геологических условиях.
Унифицированные типовые проекты зданий должны предусматривать общие объемно-планировочные и конструктивные решения надземной части. Конструктивные решения подземной части зданий должны разрабатываться в нескольких вариантах, применительно к различным условиям строительства.
8.3. В типовых проектах, предназначенных к применению в особых грунтовых условиях, должны при необходимости предусматриваться инженерная подготовка основания до начала строительства с целью снижения влияния воздействий неравномерных деформаций основания и другие специальные меры защиты проектируемых зданий от воздействий неравномерных деформаций основания, приведенные в
гл. 7 настоящего Руководства.
Характер и объемы предпостроечных работ по инженерной подготовке основания площадки строительства устанавливаются при привязке типового проекта и определяются спецификой фактических грунтовых условий, этажностью здания, технической оснащенностью строительных организаций, а на подрабатываемых территориях и условиями проведения подработки.
8.4. Типовой проект здания или блок-секции, предназначенный для строительства в грунтовых условиях II типа по просадочности, должен содержать данные, необходимые при привязке:
а) деформационные характеристики основания, принятые в качестве исходных данных при расчете здания;
б) область применения проекта в зависимости от величины возможной просадки основания от собственного веса грунтов, глубины просадочной толщи и радиуса просадочной воронки;
в) рекомендации по выбору толщины уплотненного грунтового слоя в зависимости от величины начального просадочного давления, величины дополнительных напряжений по глубине толщи от нагрузки фундаментов и других факторов;
г) рекомендации по составу и объему комплекса мероприятий;
д) величины обобщенных расчетных усилий, на действие которых рассчитывались конструкции здания;
е) величину ширины осадочных швов в свету;
ж) величины дополнительных горизонтальных расчетных усилий, возникающих при замыкании осадочных швов при просадке основания, определяемые в соответствии с расчетом;
и) места установки и конструкцию контактных устройств, рекомендации по их монтажу в осадочных швах.
Примечание. При проектировании жилых домов блок-секционным методом данные по
пп. е,
ж,
и приводятся в пояснительной записке к элементам блокировки секций.
8.5. При разработке типового проекта здания для строительства на основаниях, сложенных неравномерно сжимаемыми грунтами однородного геологического строения, конструкции здания должны быть рассчитаны при следующих характеристиках: среднее значение модуля деформации грунта
Eср = 100 кгс/см
2; коэффициент изменчивости сжимаемости основания в плане здания

.
В типовом проекте рекомендуется предусматривать несколько вариантов решений фундаментов, отличающихся по ширине подошвы. Для всех типовых решений фундаментов выявляются предельные сочетания характеристик

и [
E] и соответствующий этим сочетаниям перечень грунтовых условий. В проекте рекомендуется приводить графическую зависимость наименьшей величины модуля деформации грунта [
E] от коэффициента изменчивости сжимаемости грунта

, которая может быть использована для определения области применения проекта (см.
п. 8.19 -
8.21).
8.6. Типовые проекты панельных зданий, возводимых на вечномерзлых грунтах, должны содержать:
а) варианты решения фундаментов и конструкций нулевого цикла для различных принципов использования вечной мерзлоты и условий строительной площадки;
б) варианты усиления конструкций здания и разрезки здания произвольно расположенными осадочными швами на отсеки длиной в одну, две секции;
в) рекомендуемые мероприятия по улучшению строительных свойств основания (предварительное оттаивание на расчетную глубину или ее часть, предварительное замораживание грунтов, замена части грунтов и т.д.), предусмотренные при разработке вариантов конструктивных решений.
Для каждого сочетания длины отсека с вариантами решения конструкций нулевого цикла и усиления надземной части в пояснительной записке должны быть приведены предельные значения обобщенных усилий и относительной неравномерности основания в продольном

и поперечном

направлении отсека при типовых схемах деформирования в зависимости от величины предельного давления на грунт.
При разработке вариантов типового проекта рекомендуется производить детальный расчет (с использованием ЭВМ) пространственной системы "здание - вечномерзлое основание" для следующих типовых схем деформирования основания:
схема I
(рис. 8.1) - "симметричный прогиб", характерный для осадочного отсека, расположенного в середине здания (длина отсека принимается равной длине двух рядовых секций, но не более 40 м);
схема II
(рис. 8.2) - "наклонный выгиб", характерный для осадочного отсека, расположенного у края здания (длина отсека принимается равной длине одной торцовой секции).
Рис. 8.1. Деформированное основание по схеме
"симметричный прогиб"
а - вертикальное перемещение основания S0;
б - коэффициент жесткости Cл
Рис. 8.2. Деформированное основание по схеме
"несимметричный выгиб"
а - вертикальное перемещение основания S0;
б - коэффициент жесткости Cл
Параметры основания для точек, расположенных между фиксированными на рисунках, определяются криволинейной интерполяцией.
8.7. Типовой проект здания, предназначенный для строительства на подрабатываемых территориях, должен содержать:
а) величины горно-геологических параметров подработки и другие исходные данные, принятые при расчете здания;
б) величины обобщенных расчетных усилий, на действие которых рассчитывались конструкции здания;
в) предусмотренные меры защиты здания от воздействия неравномерных деформаций основания;
г) область применения проекта в зависимости от условий подработки, длины отсеков и жесткости основания;
д) область применения данного проекта на неравномерно сжимаемых и просадочных грунтах;
е) варианты конструктивного решения фундаментов для различных условий подработки.
ПРИВЯЗКА ТИПОВОГО ПРОЕКТА К КОНКРЕТНЫМ
ГЕОЛОГИЧЕСКИМ УСЛОВИЯМ
8.8. Проектирование фундаментов на естественном основании при привязке типовых проектов панельных зданий к конкретным геологическим условиям рекомендуется производить в такой последовательности:
а) исходя из возможной глубины промерзания, условий вертикальной планировки территории и характера напластований грунтов определяется необходимая глубина заложения фундаментов;
б) по данным инженерно-геологических изысканий определяется расчетное давление на основание под подошвой для имеющихся в составе типового проекта вариантов фундаментов;
в) из числа имеющихся вариантов фундаментов выбирается тот, который наиболее соответствует вычисленным значениям расчетных давлений на основание.
При наличии в пределах сжимаемой толщи основания слоев слабых грунтов необходима проверка прочности этих грунтов;
г) производится сравнение грунтовых условий площадки с допустимыми сочетаниями грунтов, приведенными в проекте; в случае их соответствия принятый вариант является окончательным. В противном случае для установления допустимости принятого решения используется зависимость [
E] от

(см.
п. 8.19).
8.9. При основаниях с повышенной неоднородностью возможны следующие решения:
применение вариантов фундаментов с большей опорной поверхностью;
подготовка основания (например, уплотнением, устройством песчаной подушки и др.) с целью снижения его сжимаемости и неоднородности до допустимой величины;
применение свайных фундаментов.
В первых двух решениях применимость того или иного варианта определяется соответствующими предельными сочетаниями [
E] и

.
Если изменчивость сжимаемости основания имеет четко выраженный характер, неравномерные осадки основания могут быть уменьшены за счет увеличения размеров или дополнительного заглубления фундаментов в местах залегания более сжимаемых грунтов. В этом случае требуется проверка неравномерности осадок фундаментов и сопоставление полученных величин с условной предельной неравномерностью осадок, указанной в типовом проекте.
8.10. При наличии в пределах плана одного здания грунтов, резко отличающихся по сжимаемости или характеру деформируемости во времени (например, скальные, крупнообломочные или песчаные грунты в сочетании с глинистыми грунтами в пластичном состоянии), а также в случае применения разных типов фундаментов (обычных на естественном основании и свайных) следует предусматривать в соответствующих местах осадочные швы.
8.11. Если в пределах длины здания расчетные давления на грунт сильно отличаются, то на различных участках могут быть приняты фундаменты, соответствующие различным имеющимся типовым решениям фундаментов. Если при этом грунты таковы, что большим значениям
R соответствуют большие значения
E (т.е. более прочные грунты одновременно являются менее сжимаемыми), то производится сопоставление фактических значений
E и

с предельным сочетанием этих параметров, которое определяется по варианту с наименьшей опорной поверхностью.
Если же большим значениям R соответствуют меньшие значения E, то должна производиться проверка неравномерности осадок.
8.12. Выбор мероприятий для обеспечения прочности и нормальной эксплуатации панельных зданий на просадочных грунтах (полное устранение просадочных свойств, полная прорезка или применение комплекса мероприятий) осуществляется при разработке технического проекта на основе технико-экономического анализа с учетом типа грунтовых условий по просадочности, возможной величины просадки, величины просадочной толщи, конструктивных особенностей здания, условий их эксплуатации, вероятности замачивания грунтов основания на всю величину просадочной толщи, взаимосвязи с соседними зданиями и коммуникациями, а также производственных возможностей строительных организаций.
8.13. Привязка проектов зданий на подрабатываемых территориях должна осуществляться на основе горно-геологического обоснования, составленного горнодобывающим предприятием или проектной организацией, содержащего:
геологические и гидрогеологические данные о подрабатываемой толще;
планы горных работ с указанием перспективы разработок;
сведения о системах и параметрах разработки полезного ископаемого;
данные об ожидаемых величинах деформаций земной поверхности;
перечень намечаемых строительных и горных мер защиты;
разрешение органов госгортехнадзора на строительство.
К проекту привязки зданий следует составлять специальный паспорт, в котором должно быть краткое описание конструктивной схемы здания, применяемых мер защиты; данные о величинах деформаций земной поверхности и физико-механических характеристик грунтов.
Паспорт составляется проектной организацией и передается совместно с проектно-сметной документацией строительной организации, которая после завершения строительства передает паспорт организации, эксплуатирующей здание с приложением актов на скрытые работы.
8.14. Инженерно-геологические исследования грунтов оснований зданий, строящихся на подрабатываемых территориях, должны проводиться в соответствии с требованиями главы СНиП, государственных стандартов и других нормативных документов по инженерным изысканиям и исследованиям грунтов для строительства, а также с учетом конструктивных особенностей проектируемых зданий и условий подработки зданий и степени сложности геологических условий.
Перечень дополнительных требований при производстве инженерно-геологических изысканий на просадочных грунтах приведен в п. 4.13
[3].
Выводы по инженерно-геологическим изысканиям на подрабатываемых территориях должны дополнительно содержать:
а) оценку изменений геоморфологических, гидрологических и гидрогеологических условий участка застройки вследствие местного оседания земной поверхности (возможность образования провалов, активизация процесса сдвижения вследствие геологических нарушений, активизации оползневых процессов, изменения уровня грунтовых вод с учетом сезонных и многолетних перепадов и т.п.);
б) оценку возможных изменений физико-механических свойств грунтов вследствие изменения гидрогеологических условий площадки;
в) сведения о местах расположения устьев старых вертикальных и наклонных выработок и о наличии выходов пластов и тектонических нарушений горных пород под наносы.
Объем и состав инженерно-геологических изысканий для проектов, предназначенных к строительству в особых грунтовых условиях, определяются программой, разрабатываемой с учетом особенностей геологического строения и условий разработки полезных ископаемых, а также типа проектируемого здания и его фундаментов.
8.15. Привязку типовых проектов зданий, строящихся на деформируемом вечномерзлом основании, следует осуществлять по методике, изложенной в п. 8.16 или по какой-либо другой методике, основные положения которой должны быть изложены в пояснительной записке к типовому проекту.
8.16. При привязке типового проекта здания расчет производится в такой последовательности:
согласно главе СНиП II-18-76 для нескольких (не менее 3) периодов эксплуатации здания определяются пространственные очертания зоны оттаивания и находится глубина заложения фундаментов;
для каждого расчетного момента времени в предположении нулевой жесткости здания вычисляются полные осадки фундаментов Sj,m под каждой продольной стеной в поперечных сечениях с шагом не более 10 м (одновременно находятся коэффициенты жесткости основания Cj,m);
для всех поперечных сечений вычисляется значение относительной неравномерности основания

:

(8.1)
j - левая, правая, средняя стены.
Назначаются места расположения деформационных швов и для каждого отсека определяется относительная продольная неравномерность основания

:

(8.2)
где

(8.3)
qj - погонная нагрузка на продольную стену;
m - левое, среднее, правое поперечные сечения отсека; из приведенных в типовом проекте вариантов конструктивных решений выбираются такие, чтобы при предельном давлении меньшем, чем указано для данного варианта, для каждого отсека соблюдались условия:

(8.4)
8.17. Привязку типовых проектов зданий на вечномерзлых грунтах следует производить с учетом требований
пп. 7.60 и
7.61.
ОПРЕДЕЛЕНИЕ ОБЛАСТИ ПРИМЕНЕНИЯ ТИПОВОГО ПРОЕКТА ЗДАНИЯ
ПРИ СТРОИТЕЛЬСТВЕ НА НЕРАВНОМЕРНО СЖИМАЕМЫХ ГРУНТАХ
8.18. Для установления области применения проекта используются величины предельных усилий изгибающего момента [M] и поперечной силы [Q], соответствующие исчерпанию несущей способности или вызывающие предельно допустимое раскрытие трещин в панелях и стыковых соединениях.
8.19. По величине предельного обобщенного изгибающего момента [
M] определяется величина средней погонной жесткости основания

по формуле

(8.5)
где

(8.6)
GF - приведенная сдвиговая жесткость стены (здания);
q - равномерно распределенная по длине здания нагрузка;

- коэффициент, характеризующий степень изменчивости сжимаемости основания.
Вычисляется величина среднего модуля деформации грунта
, соответствующая найденному значению

, по формуле

(8.7)
где
E' - принятое в расчете по указаниям
п. 8.5 значение модуля деформации грунта (
E' = 100 кгс/см
2);
S - значение средней осадки основания при E = E';
p - среднее давление под подошвой фундамента.
Находится величина коэффициента изменчивости сжимаемости грунта

:

(8.8)
Затем определяется по
формуле (4.18) значение расчетной приведенной полудлины

, соответствующее вычисленному значению

.
Вычисляется расчетная величина обобщенной поперечной силы
Q, соответствующая предельному обобщенному изгибающему моменту [
M] при данном значении

:

(8.9)
8.20. Если расчетная величина

превышает значение предельной поперечной силы [
Q] в здании, то определение границы области применения для этого значения

следует производить по [
Q] методом последовательного приближения следующим образом:
а) в первом приближении определяется значение обобщенного изгибающего момента

по формуле

(8.10)
б) определяется величина


(8.11)
в) по найденному значению

определяется значение

по
формуле (8.5);
г) производится проверка сходимости принятого значения по найденной величине

по формуле

(8.12)
При

следует продолжить вычисления приближений со значением

.
8.21. Для установления допустимых сочетаний различных грунтов в пределах плана здания применительно к каждому варианту типового решения фундаментов используется установленная зависимость

от
E и данные норм проектирования оснований о средних величинах физико-механических характеристик грунтов.
Возможные сочетания грунтов в пределах плана здания составляются из условий: 1) фактическое среднее давление на любой из входящих в сочетание грунтов для принятых размеров фундаментов не должно превышать давления, регламентируемого нормами проектирования оснований; 2) изменчивость сжимаемости основания, представленного двумя различными грунтами с модулями деформации
E1 и
E2 и равная

(
E1 >
E2), не должна превышать предельную величину

для данного среднего модуля деформации
E = 0,5(E1 + E2).
В отдельные сочетания включаются: а) песчаные грунты, отличающиеся крупностью и пористостью; б) глинистые грунты, отличающиеся происхождением, возрастом, консистенцией и пористостью (рекомендуется дополнительно рассматривать одновременно сочетание в пределах плана здания песчаных грунтов и глинистых грунтов твердой и полутвердой консистенции).
Выявленные допустимые сочетания грунтов записываются в виде таблицы, которая приводится в проекте.
Пример 8.1. Требуется определить область применения проекта 9-этажного панельного здания. Полудлина отсека
l = 31,3 м; изгибная и сдвиговая жесткость равны:
EI = 64,4·10
6 тс·м
2,
GF = 1,48·10
6 тс. Средняя равномерно распределенная нагрузка в уровне подошвы фундамента
q = 131,72 тс/м. Средний модуль деформации основания
E = 1000 тс/м
2, средняя осадка здания
S = 0,02 м, степень изменчивости сжимаемости основания

. Средний погонный коэффициент жесткости основания
C = 6586 тс/м
2.
Конструкции здания запроектированы исходя из предельного обобщенного изгибающего момента [M] = 1290 тс·м и при этом обеспечивают восприятие предельной поперечной силы [Q] = 120 тс.
По
формуле (8.5) определяем предельно допустимую величину средней погонной жесткости основания при принятом значении коэффициента

:
Вычисления значений

в зависимости от принятой величины коэффициента

приведены в табл. 8.1.
Формулы для вычислений | Результаты вычисления при коэффициенте  , равном |
0,2 | 0,3 | 0,4 | 0,5 |
f | 4,9 | 3,6 | 2,95 | 2,6 |
f2 | 23,96 | 12,94 | 8,69 | 6,75 |
| 4,79 | 3,46 | 2,77 | 2,4 |
| 9,685 | 7,06 | 5,72 | 5 |
| 0,96 | 0,91 | 0,84 | 0,75 |
| 9,298 | 6,425 | 4,805 | 3,749 |
| 0,0604 | 0,0906 | 0,1208 | 0,151 |
 , тс/м 2 | 6496 | 14101 | 25140 | 40283 |
 , кгс/см 2 | 100 | 217 | 387 | 620 |
| 1,5 | 1,86 | 2,33 | 3 |
| 7,4 | 6,2 | 5,45 | 5 |
 , тс | 87,2 | 104 | 118,3 | 129 |
Изображаем графически полученную зависимость минимальных значений модуля деформаций

от коэффициента изменчивости сжимаемости основания

с указанием допускаемой области применения данного проекта здания по предельному моменту [
M] (рис. 8.3).
Рис. 8.3. График допускаемой области применения проекта
при строительстве на неравномерно сжимаемых грунтах
Из
табл. 8.1 следует, что при

величина обобщенной поперечной силы в здании превышает предельное значение [
Q] = 120 тс. Поэтому для

определяем границу области применения данного здания по величине [
Q] = 120 тс методом последовательного приближения.
Принимаем: значения обобщенного изгибающего момента
MQ = 1100 тс·м при

.
Определяем величину

в первом приближении из условия

:
Определяем величину
Определяем значение

:
Проверяем значение величины

:
Во втором приближении:
Второе приближение дает удовлетворительную сходимость: 4,65 ~= 4,64.
Определяем

:
Полученную точку наносим на
рис. 8.3. Соединяем ее с точкой, соответствующей значению

, и получаем границу области применения здания по [
Q].
ОПРЕДЕЛЕНИЕ ОБЛАСТИ ПРИМЕНЕНИЯ ТИПОВОГО ПРОЕКТА ЗДАНИЯ
ПРИ СТРОИТЕЛЬСТВЕ НА ПОДРАБАТЫВАЕМЫХ ТЕРРИТОРИЯХ
8.22. Для установления области применения проекта используются величины предельных обобщенных усилий - изгибающего момента [M] и поперечной силы [Q], соответствующие исчерпанию несущей способности или вызывающие предельно допустимое раскрытие трещин в панелях и стыковых соединениях.
8.23. Для данного типового проекта здания с известными величинами изгибной EI и сдвиговой GF жесткости и длинами отсеков L устанавливается допустимый расчетный радиус кривизны земной поверхности на строительной площадке в зависимости от погонного коэффициента жесткости основания C:

(8.13)

(8.14)
Коэффициент жесткости основания
C определяется в соответствии с указаниями
прил. 2 главы СНиП II-8-78 и
гл. 2 настоящего Руководства.
Если построенная по
формулам (8.13) и
(8.14) область допустимых сочетаний расчетных радиусов кривизны земной поверхности
R и грунтовых условий
C не удовлетворяет конкретным условиям на площадке строительства, то область допустимых сочетаний
R и
C можно существенно расширить путем уменьшения длины отсека здания.
Пример 8.2. При исходных данных
примера 8.1 определить область применения проекта 9-этажного панельного здания длиной 31,3 м при строительстве на подрабатываемых территориях.
По
формулам (8.13) и
(8.14) определяем расчетную величину допустимого радиуса кривизны земной поверхности.
На рис. 8.4 приводится (вертикальная штриховка) область допустимых сочетаний радиусов кривизны земной поверхности и коэффициентов жесткости оснований на площадке строительства по предельному изгибающему моменту. Очевидно, что по предельной поперечной силе величина R примет меньшее значение.
Рис. 8.4. График допускаемой области применения проекта
при строительстве на подрабатываемых территориях
Если уменьшить длину отсека здания, например, до величины
L = 22 м (условно сохраняя жесткостные характеристики здания и предельную несущую способность), получим по
формуле (8.13) увеличенную область допустимых сочетаний расчетного радиуса кривизны земной поверхности и коэффициентов жесткости оснований на площадке строительства
R 
0,475
C.
На
рис. 8.4 горизонтальной штриховкой показана увеличенная область применения типового проекта.
1. Руководство по расчету и проектированию зданий и сооружений на подрабатываемых территориях. М., Стройиздат, 1977.
2. Пособие по расчету крупнопанельных зданий. Вып. I. Характеристики жесткости стен, элементов и соединений крупнопанельных зданий. М., Стройиздат, 1974.
3. Руководство по проектированию оснований зданий и сооружений. М., Стройиздат, 1978.
4. Инструкция по проектированию бескаркасных жилых домов, строящихся на просадочных грунтах с применением комплекса мероприятий. РСН 297-78.
5. Руководство по проектированию оснований зданий и сооружений на вечномерзлых грунтах. М., Стройиздат, 1980.
6. Порхаев Г.В., Щепоков В.К. Прогноз изменения температурного режима вечномерзлых грунтов. Л., Госстройиздат, 1978.
7. Инструкция по эксплуатации вычислительного комплекса "Супер-76" для прочностного расчета строительных конструкций на ЭВМ "Минск-32". НИИАСС Госстроя УССР, Киев, 1978.
8.
Инструкция по проектированию конструкций панельных жилых зданий. Госгражданстрой. М., 1978.