Главная // Актуальные документы // Рекомендация / РекомендацииСПРАВКА
Источник публикации
М.: Стройиздат, 1975
Примечание к документу
Название документа
"Рекомендации по расчету свайных фундаментов в слабых грунтах"
"Рекомендации по расчету свайных фундаментов в слабых грунтах"
ПО РАСЧЕТУ СВАЙНЫХ ФУНДАМЕНТОВ В СЛАБЫХ ГРУНТАХ
В Рекомендациях приведен расчет свай и свайных фундаментов промышленных и гражданских зданий и сооружений на слабых грунтах.
Предназначены для научных и инженерно-технических работников, занимающихся расчетами и проектированием свайных фундаментов в слабых грунтах.
Редакторы - кандидаты технических наук Б.Л. Фаянс и И.З. Гольдфельд.
"Рекомендации по расчету свайных фундаментов в слабых грунтах" разработаны в соответствии с планом Госстроя СССР на 1971 - 1974 гг. по пересмотру действующих и разработке новых нормативных документов и государственных стандартов для строительства.
| | ИС МЕГАНОРМ: примечание. В официальном тексте документа, видимо, допущена опечатка: СНиП II-17 имеет название "Свайные фундаменты", а не "Свайные фундаменты и глубокие опоры". | |
Рекомендации могут быть применены при проектировании свайных фундаментов с возможностью включения их после апробации в новую главу
СНиП II-17 "Свайные фундаменты и глубокие опоры".
Рекомендации выполнены НИИ оснований и подземных сооружений имени Н.М. Герсеванова (НИИОСП) (кандидаты технических наук Б.В. Бахолдин, Б.С. Сальников, Б.Л. Фаянс, В.Г. Федоровский) с участием ГПИ Фундаментпроект (канд. техн. наук Ю.Г. Трофименков), ЦНИИИС (канд. техн. наук И.З. Гольдфельд), МИСИ им. Куйбышева (канд. техн. наук Н.М. Дорошкевич, д-р техн. наук Н.А. Цытович), КИСИ (кандидаты технических наук И.П. Бойко, М.С. Грутман), Харьковский Промстройниипроект кандидаты технических наук Г.С. Лекумович, И.Я. Лучковский), Эстпромпроект (инж. М. Метс).
Основные определения
1.1. Настоящие рекомендации предназначены для расчета свай и свайных фундаментов гражданских и промышленных зданий и сооружений на слабых грунтах.
1.2. К слабым грунтам относятся глинистые грунты текучей и текучепластичной консистенции, илы, торфы и заторфованные грунты, а также пылеватые и мелкие пески рыхлого сложения (особенно в водонасыщенном состоянии), для которых модуль общей деформации не превышает 3000 - 5000 кН/м2 в диапазоне давлений под штампом 50 - 200 кН/м2.
Примечание. Рекомендации не распространяются на просадочные и набухающие от замачивания грунты.
1.3. Расчет оснований свайных фундаментов производится по двум предельным состояниям:
по первому предельному состоянию - по несущей способности (прочности или устойчивости);
по второму предельному состоянию - по деформациям (осадкам, прогибам и перемещениям).
1.4. Несущая способность PI сваи определяется предельной прочностью грунта ее основания. В качестве несущей способности испытанной сваи на графике зависимости осадки от нагрузки S = f(P) принимается нагрузка, при которой график асимптотически стремится к вертикали или имеет постоянный, но малый наклон к ней (не менее 3 мм осадки на 10 кН прироста нагрузки).
1.5. Расчет по деформациям определяется той нагрузкой PII, под действием которой не будет нарушена эксплуатационная пригодность здания или сооружения в течение всего периода его службы. Расчет осадок производится по теории линейно-деформируемых тел в пределах линейного участка графика S = f(P). Граница линейного участка определяется пределом пропорциональности Pп - нагрузкой, предшествующей той, при которой приращение осадки превосходит в 2 раза и более приращение от предыдущей ступени.
1.6. Модуль общих деформаций E при расчете осадок определяется по результатам лабораторных или полевых испытаний грунта под нижним концом сваи для слоя толщиной h >= 4d (d - диаметр или сторона поперечного сечения сваи).
Конструкции свай и свайных фундаментов
1.7. Конструкции свай и свайных фундаментов определяются видом грунтов и типом их напластований, величиной и характером нагрузок на фундаменты, а также конструктивными особенностями зданий и сооружений.
1.8. Основные типы напластований слабых грунтов представлены на рис. 1.
Рис. 1. Характерные типы напластований слабых грунтов
1.9. Для напластований типа а (рис. 1) рекомендуются забивные и буронабивные призматические сваи или сваи с уширением на конце, прорезающие слабую толщу и входящие в прочный грунт.
1.10. Для напластований типа б целесообразна прорезка всей толщи слабых грунтов забивными составными сплошными или полыми сваями и сваями-оболочками с соединением элементов по мере забивки.
Буронабивные сваи различных видов, устраиваемые без или с креплением стенок скважин, рекомендуется применять на площадках с неоднородными геологическими условиями, в которых применение забивных свай затруднено или невозможно.
1.11. При небольших статических нагрузках для напластований типа б допускается неполная прорезка толщи слабых грунтов. С целью повышения несущей способности свай в этих условиях и сокращения количества свай устраивают различного вида уширения на их нижнем конце, а также применяют конические сваи.
1.12. Для напластований типа в рекомендуются фундаменты из забивных призматических или конических свай с ростверком на грунте.
1.13. Для напластований типа
г следует использовать забивные призматические сваи сплошного сечения или полые с закрытым нижним концом, а также сваи с раскрывающимся наконечником. Глубина заделки свай в несущий слой определяется с учетом подстилающего слабого слоя в соответствии с требованиями
СНиП II-15-74.
1.14. Сваи, как правило, должны прорезать толщу слабых грунтов и входить в более прочный (несущий) слой грунта на глубину, требуемую по расчету, но не менее:
а) в песчаные грунты от мелких до гравелистых плотные и средней плотности и в глинистые грунты твердой и полутвердой консистенции - не менее 0,7 - 1 м;
б) в пылеватые песчаные грунты (в том числе во все рыхлые) и в глинистые грунты с консистенцией B > 0,6 - не менее 1,5 - 2 м;
в) полые сваи с открытым нижним концом, сваи-оболочки и набивные сваи с уширением или без него должны входить в несущий слой на глубину не менее полутора диаметров уширения или двух диаметров ствола сваи.
Производство работ при устройстве свайных фундаментов
1.15. Выбор оборудования для устройства свайных фундаментов производится с учетом типа напластований слабых грунтов, конструкции свай и особенностей проектируемого здания или сооружения.
1.16. В пылеватых сильновлажных песках и в глинистых грунтах с консистенцией B > 0,6 рекомендуется применять механические или паровоздушные молоты. Если погружение сваи от одного удара (отказ) не превышает 25 - 30 см, можно применять штанговые дизель-молоты, а при отказе не более 7 - 8 см - трубчатые дизель-молоты.
1.17. При забивке сваи на значительную глубину и необходимости прорезки прочных грунтов целесообразно применять низкочастотные вибраторы, а для облегчения погружения - подмыв водой.
1.18. Погружение свай в глинистые грунты с консистенцией B <= 0,6 рекомендуется производить высокочастотными вибраторами с дополнительным пригрузом; для облегчения погружения допускается устройство лидерных скважин.
1.19. Буронабивные сваи допускается устраивать под глинистым раствором на площадках с глинистыми грунтами мягкопластичной и текучепластичной консистенции.
1.20. Буронабивные сваи в водонасыщенных глинистых грунтах текучей консистенции рекомендуется устраивать с креплением стенок скважины обсадными трубами. Устройство буронабивных свай длиной 40 м и более производится при помощи специальных станков с креплением стенок скважины инвентарными обсадными трубами.
1.21. Сваи рекомендуется забивать, начиная от середины куста или свайного поля. Забивка свай в грунт контролируется по отказам.
1.22. Если в пределах верхних слабых напластований имеются прослойки плотного грунта, рекомендуется проходить эти прослойки бурением с последующей забивкой свай через лидерные скважины в несущий слой.
1.23. С целью снижения динамических воздействий на существующие здания и сооружения при забивке свай применяют сваи меньшего сечения, подмыв водой, устройство лидерных скважин. Целесообразно использование сваевдавливающих агрегатов.
1.24. Ориентировочные безопасные расстояния забивки свай от существующих зданий:
при использовании паровоздушных, механических
и дизельных молотов ......................................... 10 - 20 м
при использовании вибропогружателей ......................... 40 - 50 м
при вибрационном погружении свай-оболочек ................... 50 - 80 м
1.25. Земляные работы вблизи свайных фундаментов (отрывка траншей и котлованов, осушение грунта) выполняются до забивки свай. При необходимости производства таких работ после устройства свайных фундаментов следует предусмотреть соответствующие крепления (п. 1.6 СНиП III-Б.1-62*) или рассчитать несущую способность оснований свайных фундаментов как оснований, ограниченных откосом.
2. РАСЧЕТ ОДИНОЧНОЙ СВАИ НА ВЕРТИКАЛЬНУЮ НАГРУЗКУ
Расчет по несущей способности
2.1. Несущая способность PI одиночной сплошной или полой сваи с закрытым нижним концом вычисляется по формуле

(1)
где F, u - соответственно площадь брутто сечения, м2, и периметр сваи, м;
R, fi - сопротивление грунта соответственно под нижним концом сваи и i-го слоя по ее боковой поверхности, кН/м2;
li - толщина i-го слоя грунта, м.
2.2. Для забивных сплошных и полых свай с закрытым нижним концом, погружаемых механическими, паровоздушными или дизельными молотами, значения сопротивлений грунтов с показателем консистенции
B <= 0,6 принимаются по
табл. 1 и
2 СНиП II-Б.5-67*.
2.3. Для грунтов с
B = 0,7 - 1,2 следует пользоваться значениями
B и
fi по табл. 1 и
2 настоящих Рекомендаций.
Таблица 1
Глубина забивки сваи h, м | Консистенция грунта B под нижним концом сваи |
0,7 | 0,8 | 0,9 | 1 | 1,1 |
3 | 700 | 650 | 600 | 600 | 550 |
4 | 800 | 750 | 700 | 700 | 650 |
5 | 850 | 800 | 750 | 750 | 700 |
6 | 850 | 800 | 800 | 750 | 750 |
7 | 900 | 800 | 800 | 800 | 750 |
8 | 950 | 900 | 850 | 800 | 800 |
9 | 950 | 900 | 850 | 850 | 850 |
10 | 1000 | 950 | 900 | 850 | 850 |
12 | 1050 | 1000 | 950 | 950 | 900 |
15 - 30 | 1100 | 1050 | 1000 | 1000 | 950 |
Средняя глубина расположения i-го слоя h, м | Консистенция B грунта i-го слоя по боковой поверхности |
0,7 | 0,8 | 0,9 | 1 | 1,1 | 1,2 |
1 | 5 | 4 | 4 | 3 | 3 | 2 |
2 | 10 | 8 | 7 | 6 | 5 | 4 |
3 | 13 | 11 | 10 | 8 | 7 | 6 |
4 | 15 | 13 | 11 | 9 | 8 | 6 |
5 | 17 | 15 | 12 | 10 | 9 | 7 |
6 | 17 | 15 | 13 | 11 | 9 | 7 |
7 | 18 | 15 | 13 | 11 | 9 | 8 |
8 | 18 | 16 | 13 | 11 | 10 | 8 |
9 | 18 | 16 | 14 | 12 | 10 | 9 |
10 | 18 | 17 | 14 | 12 | 11 | 9 |
12 | 20 | 17 | 15 | 13 | 12 | 10 |
15 - 30 | 21 | 19 | 16 | 14 | 13 | 11 |
2.4. Значения сопротивлений fi в грунтах с B > 1,2 при отсутствии опытных данных допускается определять по формуле

(2)
где fi - сопротивление i-го слоя грунта на боковой поверхности сваи, кН/м2;

- средневзвешенный объемный вес грунтов, кН/м
3, залегающих в пределах
hi;
hi - глубина залегания i-го слоя, м;

,
c - соответственно угол внутреннего трения, град и удельное сцепление, кН/м
2, для грунта
i-го слоя, определяемые путем сдвига переуплотненных образцов грунта в лабораторных условиях.
2.5. Если предусматриваемые проектом способы погружения свай отличаются от указанных выше, сопротивления грунта
R и
fi определяются путем умножения на понижающие коэффициенты, взятые из
табл. 3 СНиП II-Б.5-67*.
2.6. Сопротивление торфяных грунтов с содержанием органических примесей больше 10%, залегающих с поверхности или в виде отдельных прослоек, не учитывается.
Расчет по деформациям
2.7. Расчет осадок забивной призматической сваи производится согласно
СНиП II-Б.5-67*.
2.8. Расчет осадок забивной сваи с уширенной пятой производится аналогично расчету призматической сваи, но размеры подошвы условного фундамента принимаются не более полутора диаметров уширения.
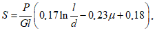
2.9. Осадка буронабивной призматической сваи, находящейся в однослойной толще грунта, вычисляется в пределах линейного участка графика S = f(P) по формуле
где l, d - длина и диаметр ствола буронабивной сваи, м;
G,

- модуль сдвига, кН/м
2, и коэффициент Пуассона грунта;

(4)
--------------------------------
2.10. Осадка буронабивной призматической сваи, прорезающей слой слабого грунта и упирающейся пятой в прочный грунт, определяется в пределах линейного участка по формуле

(5)
где
G1,

и
G2,

- модуль сдвига и коэффициент Пуассона соответственно верхнего слабого и нижнего прочного слоев.
2.11. Если на поверхности грунта залегает слой торфа, не уплотняющийся внешними нагрузками, при расчете осадок за отметку поверхности грунта принимается отметка низа слоя торфа.
2.12. В случае возможности возникновения сил отрицательного трения учет их следует производить в соответствии с "Рекомендациями по учету сил отрицательного трения при проектировании свайных фундаментов" (НИИ оснований и подземных сооружений, 1972 г.).
3. РАСЧЕТ ОДИНОЧНОЙ СВАИ НА ГОРИЗОНТАЛЬНУЮ НАГРУЗКУ
3.1. Расчету подлежат сваи, погруженные в грунтовое основание на глубину более 20d (d - диаметр или сторона поперечного сечения сваи). Учет влияния ростверка допускается при специальном обосновании.
3.2. Расчет свай по несущей способности производится из условия
| | ИС МЕГАНОРМ: примечание. Формула дана в соответствии с официальным текстом документа. | |

(6)
где PI - несущая способность сваи, кН;
p - величина, определяемая по графикам на
рис. 2 и
3 в зависимости от

,

и сжимаемости грунта;

(7)
M - расчетный изгибающий момент, воспринимаемый сечением сваи, кН·м, и определяемый по СНиП II-В.1-62* "Бетонные и железобетонные конструкции. Нормы проектирования";

- объемный вес скелета грунта, кН/м
3;

(7а)
bр - расчетная ширина сваи, м, равная
bр = 1,5b + 0,5;
b - ширина сваи, м;
Bсв - жесткость поперечного сечения сваи, кН·м2, принимаемая равной 0,85EбJ при кратковременном и 0,55EбJ при длительном действии нагрузки;
Eб - модуль упругости бетона, кН/м2;
J - момент инерции поперечного сечения сваи, м4;
K - коэффициент пропорциональности грунта, кН/м
4 (п. 3.4);
e - эксцентриситет приложения нагрузки, равный расстоянию от горизонтальной силы до поверхности грунта, м.
Рис. 2. График зависимости

для
E = 1000 - 7500 кН/м
2
Рис. 3. График зависимости

для
E = 7500 - 15 000 кН/м
2
3.3. Горизонтальное перемещение
S, м, и угол поворота

, рад, сваи на уровне поверхности грунта определяют по графикам на
рис. 4 -
7 в зависимости от

,

и сжимаемости грунта:

(8)

(9)
Рис. 4. График зависимости

для
E = 1000 - 7500 кН/м
2
Рис. 5. График зависимости

для
E = 7500 - 15 000 кН/м
2
Рис. 6. График зависимости

для
F = 1000 - 7500 кН/м
2
Рис. 7. График зависимости

для
E = 7500 - 15000 кН/м
2
3.4. Перемещение сваи
Sг в месте приложения нагрузки определяется по формуле

(10)
3.5. Коэффициент пропорциональности грунта K определяется по результатам натурных испытаний свай горизонтальной нагрузкой по формуле

(11)
где

вычисляют по формуле

(12)
Pг - горизонтальная нагрузка на уровне головы сваи в пределах линейного участка на графике Sг = f(Pг).
3.6. При отсутствии испытаний коэффициент K приближенно можно определять по табл. 3.
Модуль деформации грунта E, кН/м2 | Коэффициент пропорциональности K, кН/м4 |
1000 - 7500 | 1000 - 5000 |
7500 - 15 000 | 5000 - 15 000 |
Примечание. При расчете буронабивных свай значения коэффициента
K, определяемые по
табл. 3, уменьшаются на 20%.
3.7. При наличии многослойной толщи следует использовать приведенное значение K для грунтов, расположенных до глубины hм:
hм = 2(d + 1), м. (13)
При двухслойной толще приведенное значение K определяется по формуле

(14)
при трехслойной - по формуле

(15)
где hI, hII и hIII - толщины соответственно I сверху, II и III слоев грунта (в пределах hм);
KI, KII, KIII - значения коэффициентов пропорциональности для I, II и III слоев.
4. РАСЧЕТ СВАЙНОГО ФУНДАМЕНТА НА ВЕРТИКАЛЬНУЮ НАГРУЗКУ
Расчет по несущей способности
4.1. Расчет свайного фундамента по несущей способности на вертикальную центрально-приложенную нагрузку учитывает количество, расположение и геометрические размеры свай и производится по формуле

(16)
где l - глубина погружения сваи в грунт, м;
F - площадь поперечного сечения сваи, м2;
n - количество свай в фундаменте;
Pj - сопротивление грунта, кН/м
2, под нижним концом
j-й сваи
(п. 4.2);
Tj - сопротивление грунта, кН/м, на единицу длины боковой поверхности
j-й сваи
(п. 4.3).
4.2. Сопротивление грунта под нижним концом
j-й сваи определяют по формуле
Rj = Rо(1 + Bj), (17)
где Rо - сопротивление грунта под нижним концом одиночной сваи, кН/м2;
Bj - коэффициент влияния соседних свай на грунт под концом j-й сваи, определяемый по формуле

(18)
Здесь
bm - коэффициент влияния соседней
m-й сваи на грунт под острием
j-й сваи (рис. 8) в зависимости от параметров

и

(
r - расстояние между центрами
j-й и
m-й свай).
Рис. 8. График значений коэффициентов
am и
bm
4.3. Сопротивление грунта на единицу длины боковой поверхности
j-й сваи определяют по формуле

(19)
где Tо - сопротивление грунта на единицу длины боковой поверхности одиночной сваи, кН/м, равное ufi;
AI - AIV - коэффициенты влияния соседних свай на грунт по боковой поверхности j-й сваи (п. 4.4).
4.4. Для определения
AI -
AIV через центр рассматриваемой
j-й сваи проводятся четыре взаимно перпендикулярные полуоси I, II, III, IV
(рис. 9). Коэффициент
AI учитывает сопротивление грунта по обращенной в сторону полуоси I поверхности сваи от влияния свай, расположенных выше полуосей II и IV, и вычисляется по формуле

(20)
где m = 1, 2, ..., k; k - количество свай, влияние которых учитывается коэффициентом AI;
am - коэффициент, представленный на графике
рис. 8, в зависимости от параметров

и

;

- угол между полуосью I и лучом, проведенным из центра
j-й в центр влияющей
m-й сваи.
Рис. 9. Схема для определения коэффициентов
A
Аналогично определяются коэффициенты AII, AIII, AIV.
Для наружных поверхностей свай, расположенных по периметру фундамента, коэффициенты AI - AIV равны 1.
Расчет по деформациям
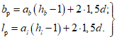
4.5. Расчет свайного фундамента по деформациям производится как для условного массива, размеры подошвы которого определяются по схеме на
рис. 10 по формулам:

(21)
где ab, al - расстояние между осями свай, м, соответственно по ширине и по длине подошвы;
nl - число рядов свай;
nв - количество свай в ряду;
rn - расстояние края подошвы условного массива от оси крайних свай фундамента, определяемое в зависимости от среднего сопротивления грунта по боковой поверхности
fср, размеров свай и величины напряжения, равной 0,2 от природного давления
Pпр (рис. 11).
Рис. 10. Схема определения размеров условного фундамента
Рис. 11. Номограмма для определения
rn
Примечания:
1.
rn принимается из условия

в зависимости от величины
fср или
Pб.
2.

;
3.
Pб - сопротивление сваи по боковой поверхности, определяемое в соответствии с
пп. 4.1,
4.3,
4.4.
4. Пунктиром показан порядок определения rn для сваи длиной 6 м, сечением 0,3 x 0,3 м при fср = 20 кН/м2 и 0,2Pпр = 3 кН/м2 и для сваи длиной 14 м, сечением 0,35 x 0,35 при Pбок = 500 кН.
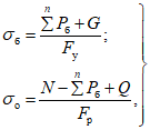
4.6. Осадка свайного фундамента определяется от давлений в плоскости нижних концов свай, определяемых по формулам:

(22)
где

- давление от нагрузки по боковой поверхности сваи, кН/м
2;
| | ИС МЕГАНОРМ: примечание. Текст дан в соответствии с официальным текстом документа. | |

- то же, по нижнему концу сваи, кН/м
2;

- сумма нагрузок по боковой поверхности свай, кН, определяемая с учетом их совместной работы по
пп. 4.1,
4.3,
4.4;
Fу - площадь подошвы условного массива Fу = bуlу, м2;
G - вес условного грунтового массива, кН;
N - внешняя нагрузка на свайный фундамент, кН;
Q - вес ростверка и свай, кН;
Fр - площадь распределения давлений от нагрузок по нижним концам свай, равная Fр = bрlр,
где

(23)
4.7. Среднее давление по подошве условного массива не должно превышать величины нормативного давления грунта

(24)
4.8. Давление под подошвой условного массива по его оси определяют по формуле

(25)
где

и

- коэффициенты изменения давления по глубине, определяемые по
табл. 4 в зависимости от параметров соответственно:

(26)
l - длина сваи, м;
z - расстояние от уровня определения давления до поверхности грунта, м.
n | k | m |
0,1 | 0,2 | 0,4 | 0,6 | 0,8 | 1 | 2 | 3 |
1 | 2 | 3 | 4 | 5 | 6 | 7 | 8 | 9 | 10 |
1 | 1 | 0,50 | 0,52 | 0,54 | 0,57 | 0,61 | 0,62 | 0,76 | 0,86 |
1,2 | 0,05 | 0,15 | 0,32 | 0,42 | 0,48 | 0,52 | 0,71 | 0,84 |
1,5 | 0,01 | 0,03 | 0,11 | 0,21 | 0,30 | 0,37 | 0,62 | 0,78 |
2,5 | 0 | 0,01 | 0,02 | 0,04 | 0,07 | 0,11 | 0,32 | 0,52 |
1,2 | 1 | 0,52 | 0,53 | 0,56 | 0,59 | 0,61 | 0,64 | 0,79 | 0,88 |
1,2 | 0,06 | 0,17 | 0,34 | 0,44 | 0,50 | 0,54 | 0,74 | 0,87 |
1,5 | 0,01 | 0,04 | 0,13 | 0,23 | 0,32 | 0,40 | 0,65 | 0,81 |
2,5 | 0 | 0,01 | 0,02 | 0,05 | 0,09 | 0,13 | 0,36 | 0,56 |
1,4 | 1 | 0,51 | 0,53 | 0,56 | 0,58 | 0,61 | 0,65 | 0,76 | 0,88 |
1,2 | 0,06 | 0,18 | 0,36 | 0,43 | 0,51 | 0,56 | 0,76 | 0,87 |
1,5 | 0,01 | 0,05 | 0,15 | 0,25 | 0,35 | 0,42 | 0,68 | 0,82 |
2,5 | 0 | 0,01 | 0,03 | 0,06 | 0,10 | 0,14 | 0,39 | 0,59 |
1,6 | 1 | 0,51 | 0,53 | 0,56 | 0,60 | 0,62 | 0,67 | 0,80 | 0,90 |
1,2 | 0,11 | 0,23 | 0,38 | 0,45 | 0,50 | 0,55 | 0,76 | 0,88 |
1,5 | 0,01 | 0,05 | 0,16 | 0,26 | 0,36 | 0,44 | 0,70 | 0,84 |
2,5 | 0 | 0,01 | 0,03 | 0,06 | 0,11 | 0,17 | 0,42 | 0,62 |
2 | 1 | 0,52 | 0,53 | 0,56 | 0,62 | 0,64 | 0,69 | 0,82 | 0,89 |
1,2 | 0,08 | 0,22 | 0,39 | 0,47 | 0,54 | 0,59 | 0,80 | 0,88 |
1,5 | 0,02 | 0,06 | 0,18 | 0,30 | 0,39 | 0,47 | 0,73 | 0,86 |
2,5 | 0 | 0,01 | 0,04 | 0,07 | 0,13 | 0,19 | 0,45 | 0,65 |
2,5 | 1 | 0,51 | 0,54 | 0,58 | 0,63 | 0,65 | 0,70 | 0,83 | 0,90 |
1,2 | 0,10 | 0,23 | 0,40 | 0,48 | 0,56 | 0,61 | 0,81 | 0,89 |
1,5 | 0,02 | 0,07 | 0,20 | 0,31 | 0,41 | 0,49 | 0,74 | 0,86 |
2,5 | 0 | 0,01 | 0,05 | 0,10 | 0,15 | 0,32 | 0,61 | 0,77 |
3 | 1 | 0,53 | 0,55 | 0,59 | 0,64 | 0,66 | 0,72 | 0,84 | 0,90 |
1,2 | 0,11 | 0,24 | 0,41 | 0,50 | 0,57 | 0,63 | 0,82 | 0,90 |
1,5 | 0,03 | 0,08 | 0,22 | 0,33 | 0,43 | 0,51 | 0,75 | 0,87 |
2,5 | 0 | 0,01 | 0,05 | 0,11 | 0,17 | 0,23 | 0,50 | 0,68 |
10 | 1 | 0,55 | 0,60 | 0,67 | 0,71 | 0,74 | 0,76 | 0,85 | 0,93 |
1,2 | 0,14 | 0,27 | 0,46 | 0,57 | 0,63 | 0,70 | 0,85 | 0,92 |
1,5 | 0,06 | 0,13 | 0,27 | 0,37 | 0,47 | 0,55 | 0,79 | 0,88 |
2,5 | 0,01 | 0,04 | 0,11 | 0,16 | 0,24 | 0,30 | 0,53 | 0,70 |
4.9. Осадки свайного фундамента вычисляют методом элементарного суммирования в пределах активной зоны по формуле

(27)
где

,

- вертикальные нормальные напряжения, кН/м
2, на верхней и нижней границах
i-го слоя;
hi - толщина i-го слоя, м;
Ei - модуль деформации i-го слоя, кН/м2.
Нижняя граница активной зоны определяется из условия

(
Pпр - природное давление).
4.10. Модуль деформации грунта определяют по результатам испытания грунта штампом и корректируют с учетом глубины по формуле

(28)
где D - диаметр (ширина) штампа, м;
S - осадка штампа при давлении

в пределах линейной части графика испытания, м;

- удельное давление по подошве штампа, кН/м
2;

- коэффициент, определяемый в зависимости от формы штампа и глубины заложения (табл. 5).
| Штамп | | Штамп |
круглый | квадратный | круглый | квадратный |
0,005 | 0,471 | 0,469 | 0,20 | 0,532 | 0,505 |
0,015 | 0,474 | 0,471 | 0,40 | 0,592 | 0,541 |
0,025 | 0,476 | 0,473 | 0,80 | 0,687 | 0,609 |
0,04 | 0,482 | 0,476 | 2 | 0,910 | 0,770 |
0,10 | 0,501 | 0,487 | | | |
Примечание. Таблица составлена для коэффициента Пуассона

.
4.11. Модуль деформации грунта, уплотненного при погружении свай, в пределах слоя мощностью, равной 3 - 4 диаметра сваи, значительно выше естественного и определяется по данным испытания одиночной сваи статической нагрузкой по формуле

(29)

и

- коэффициенты, определяемые по
табл. 5;
Sод - осадка одиночной сваи, см.
Учет работы ростверка
4.12. В случае устройства свайных фундаментов с низким ростверком при залегании его на слое слабого водонасыщенного грунта под подошвой ростверка рекомендуется устраивать песчаную подушку толщиной 30 - 50 см.
При опирании ростверка на верхний прочный или средней прочности пласт грунта, толщина которого под ростверком не менее чем в 2 раза превышает его ширину, можно при расчете несущей способности свайного фундамента учитывать работу ростверка.
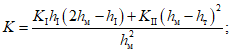
Нагрузка, воспринимаемая непосредственно ростверком Pр, определяется по формуле

(30)
где P - нагрузка на свайный фундамент на уровне подошвы ростверка, кН;
Pр - нагрузка, передаваемая на основание ростверком, кН;
Fу - площадь подошвы условного фундамента (на уровне нижних концов свай);
Fр - площадь ростверка;
E2 - модуль деформации основания ростверка;
E1 - то же, условного фундамента;

;

.
5. ПОЛЕВЫЕ ИСПЫТАНИЯ ДЛЯ ПРОЕКТИРОВАНИЯ СВАЙНЫХ ФУНДАМЕНТОВ
5.1. Полевые испытания свай и свайных фундаментов производятся с целью:
а) определения их несущей способности и деформаций;
б) проверки возможности погружения до заданной проектной отметки;
в) оценки изменения несущей способности и деформаций во времени и в связи с возможным изменением грунтовых условий (подъемом уровня грунтовых вод и т.д.).
5.2. Полевые испытания для определения несущей способности свай выполняются:
1) посредством нагружения натурных свай статической или ударной нагрузкой;
2) статическим зондированием;
3) с помощью сваи-штампа или модели сваи.
| | ИС МЕГАНОРМ: примечание. Постановлением Минстроя России от 23.02.1995 N 18-20 с 1 января 1996 года введен в действие ГОСТ 5686-94. | |
Основные положения методики испытаний регламентируются ГОСТ 5686-69 и СН 448-72 "Указания по зондированию грунтов для строительства"; требования к методике в связи со спецификой слабых грунтов изложены ниже.
5.3. Схема испытаний свай и свайных кустов по характеру, величине и направлению нагрузок должна быть максимально приближена к схеме работы фундамента в составе сооружения.
При испытании производственных свай и кустов необходимо гарантировать возможность их последующего использования.
5.4. Количество испытаний устанавливается в соответствии с указаниями раздела 6 настоящих Рекомендаций.
5.5. Принимаемая по результатам испытаний проектная нагрузка на сваю должна удовлетворять требованиям норм расчета фундаментов по предельным состояниям.
5.6. Чтобы полнее использовать несущую способность забивных свай и свай-оболочек, их испытания статическими и динамическими нагрузками должны выполняться после окончания процессов упрочнения окружающего грунта.
Продолжительность оптимального "отдыха" сваи или сваи-оболочки (окончание процесса упрочнения) составляет:
в песчаных грунтах - 3 сут;
в глинистых грунтах с консистенцией B < 0,8: супесях - 10 сут; суглинках - 20 сут, глинах - 30 сут;
в глинистых грунтах с консистенцией B >= 0,8 - 40 сут.
5.7. При невозможности проведения испытаний в указанные сроки рекомендуется определять несущую способность свай и свай-оболочек по результатам испытаний в более ранние сроки, например непосредственно после забивки и через 3 и 6 сут по формуле

(31)
где P0, P3, P6 - несущая способность соответственно сразу, через 3 и 6 суток после забивки;

- коэффициент увеличения несущей способности за 60 суток отдыха, определяемый в зависимости от соотношения

по табл. 6.
Таблица 6
| 1 | 1,2 | 1,4 | 1,6 | >= 1,8 |
| 1 | 1,2 | 1,6 | 2,2 | 3,6 |
Испытания ударной нагрузкой
5.8. Несущая способность PI сваи по данным забивки (добивки) определяется по формуле

(32)
где e - остаточный отказ (погружение) сваи от одного удара, см;
c - упругий отказ, см;
Q - вес ударной части молота, кН;
q - вес сваи и наголовника (для дизель-молотов и опирающейся на сваю стационарной части молота), кН;
H - расчетная высота падения ударной части молота, см, определяемая по
табл. 9 СНиП II-Б.5-67*;

- коэффициент, определяемый по формуле

(33)
где
F,

- площади соответственно поперечного сечения (брутто) и боковой поверхности сваи, см
2;
nо, nб - коэффициенты перехода от динамических к статическим сопротивлениям грунта под нижним концом и по боковой поверхности сваи, равные nо = 0,00025 с·м/кН, nб = 0,025 с·м/кН;

- отношение несущих способностей грунта по нижнему концу сваи и для сваи в целом, определяемое по испытаниям тензометрической сваи, сваи-штампа или по данным зондирования;
g - ускорение силы тяжести.
5.9. Предел линейной зависимости осадки сваи от нагрузки
Pпр определяется по данным забивки (добивки) согласно
п. 6.2 СНиП II-Б.5-67*.
5.10. Остаточный отказ в процессе производственной бойки замеряется как средний отказ в последнем залоге из 3 - 5 ударов; при добивке число ударов в залоге принимается 1 - 2, не считая удара с малой высоты для осаживания оголовка.
Испытания статической нагрузкой
5.11. Проектная нагрузка на сваю или свайный фундамент выбирается по результатам их испытаний и должна удовлетворять требованиям расчета по несущей способности и по деформациям.
Выбор нагрузки производится на основе графиков зависимости осадки от нагрузки
S =
f(
P) и осадки по ступеням нагрузки от времени

.
5.12. Нагрузка на сваю передается ступенями в долях ожидаемой к моменту испытания несущей способности PI в диапазоне: 0 - 0,6PI - по 0,2PI; более 0,6PI - по 0,1PI.
5.13. Нагрузка при испытаниях должна быть доведена до величины, вызывающей осадку не менее 100 мм. Испытание прекращают в независимости от осадки при отсутствии условной стабилизации на ступени за время 36 ч или при невозможности его продолжения по техническим причинам.
5.14. Расстояние в свету между испытуемой забивной сваей и анкерными сваями должно быть не менее 2,5 - 3 м.
5.15. Предельная по несущей способности нагрузка характеризуется нагрузкой PI, отвечающей хотя бы одному из двух условий:
а) приращение осадки за ступень на графике S = f(P) превосходит в 5 раз и более приращения от предыдущей ступени;
б) "условная стабилизация" осадки на графике

отсутствует в течение 36 ч.
5.16. Предельная по деформациям нагрузка характеризуется нагрузкой
PII, которая может вызвать к концу срока эксплуатации (ко времени капитального ремонта) здания или сооружения предельную осадку
Sпр.ср (СНиП II-15-74).
5.17. Нагрузка
PII определяется по графику

в такой последовательности:
а) находятся коэффициенты

по ступеням нагрузок
Pi:

(34)
где St и S0 - осадки соответственно в момент времени t и t0 = 2 ч от начала приложения ступени нагрузки Pi (t > t0);
б) по значениям

для каждой ступени нагрузки определяют общий вид зависимости

от нагрузки
P путем статистической обработки частных значений:

(35)
в) в качестве предельной по деформациям нагрузки PII принимается ступень, которая вызовет к концу срока службы сооружения T предельную осадку Sпр.ср:

(36)
6. ОБРАБОТКА РЕЗУЛЬТАТОВ ПОЛЕВЫХ ИСПЫТАНИЙ
6.1. Назначение проектных нагрузок на свайный фундамент производится на основе обобщенных значений показателей путем статистической обработки их частных значений в различных точках опробования.
6.2. В качестве показателей используются: при зондировании - удельное сопротивление грунта под конусом и по боковой поверхности зонда (или суммарное сопротивление грунта внедрению зонда); при статических испытаниях свай (моделей и т.п.) - сопротивление грунта под острием и по боковой поверхности сваи или нагрузка, соответствующая тем или иным критериям на графике испытания S = f(P); при динамических испытаниях свай - величина остаточного (упругого) отказа.
6.3. Нормативные значения показателей устанавливаются непосредственно по испытаниям на данной конкретной площадке с учетом возможного изменения свойств грунтов в процессе строительства и последующей эксплуатации объекта.
6.4. Случайная ошибка при определении нормативного значения показателя с требуемой обеспеченностью (доверительной вероятностью) Д характеризуется случайной ошибкой (половиной длины доверительного интервала)

. Обеспеченность Д зависит от класса капитальности объекта, стадии проектирования и степени опасности предельного состояния (табл. 7).
Таблица 7
Класс капитальности объекта | Обеспеченность |
для стадии технического проекта | для стадии рабочего проекта | для стадии техно-рабочего проекта |
I | 0,95/0,85 | 0,99/0,95 | - |
II | 0,85/0,70 | 0,95/0,85 | - |
III - IV | - | - | 0,85/0,70 |
Примечание. Числитель дробных выражений относится к первой группе предельных состояний, знаменатель - ко второй.
6.5. Случайная ошибка

определяется по формуле

(37)
где n - число испытаний, относящихся к однотипному показателю и единому инженерно-геологическому элементу;
S - средняя квадратичная ошибка выборки, вычисляемая по формуле

(38)
где Ai - частное значение показателя в отдельном испытании;
Aср - среднее арифметическое значение показателя
t - коэффициент Стьюдента, принимаемый в зависимости от числа испытаний n и требуемой обеспеченности Д (табл. 8).
Таблица 8
Число испытаний n | Коэффициент Стьюдента t при |
Д = 0,70 | Д = 0,85 | Д = 0,95 | Д = 0,99 |
3 | 1,3 | 2,9 | 4,3 | 9,9 |
4 | 1,3 | 2,4 | 3,2 | 5,8 |
5 | 1,2 | 2,1 | 2,8 | 4,6 |
6 | 1,2 | 2 | 2,6 | 4 |
7 | 1,1 | 1,9 | 2,4 | 3,7 |
8 | 1,1 | 1,9 | 2,4 | 3,5 |
9 | 1,1 | 1,9 | 2,3 | 3,4 |
10 | 1,1 | 1,8 | 2,3 | 3,3 |
15 | 1,1 | 1,8 | 2,1 | 3 |
30 | 1,1 | 1,7 | 2 | 2,8 |
6.6. За нормативное значение показателя Aн принимается среднестатистическая, устанавливаемая с заданной обеспеченностью Д, вероятная наименьшая величина показателя

(39)
6.7. За расчетное значение показателя принимается величина

(40)
где m - коэффициент условий работы;
kн - коэффициент надежности.
Коэффициент m учитывает длительность действия нагрузки, кустовой эффект, метод устройства сваи и т.д. В связи с этим может быть введено несколько коэффициентов m для учета каждого фактора.
Коэффициент kн принимается равным:
а) для первой группы предельных состояний (по несущей способности) kн = 1,1 для объектов I - II классов и kн = 1,05 для объектов III - IV классов;
б) для второй группы предельных состояний (по деформациям) k = 1 вне зависимости от класса объекта.
6.8. Результаты испытаний включаются в одну выборку, если коэффициент вариации V показателя не превысит 20 - 30%; значение коэффициента вариации вычисляют по формуле

(41)
Если V > 30%, результаты испытаний свидетельствуют о различии в методике испытаний, изменчивости физико-механических свойств грунтов и т.д. В подобных случаях проводят дополнительные испытания другими методами (зондированием, прессиометрией и т.д.) для выявления однородных участков или перегруппировывают выборку.
6.9. Отдельное испытание является ошибочным ("промахом") и выбрасывается, если выполняется условие

(42)
где Mi - вариация значений показателя в отдельном испытании;
Mmax - предельная вариация значений показателя с обеспеченностью 0,99 (табл. 9).
Таблица 9
Число испытаний n | 3 | 4 | 5 | 6 | 7 | 8 | 9 | 10 | 15 | 20 | 30 |
Предельная вариация Mmax | 1,4 | 1,7 | 2 | 2,1 | 2,3 | 2,4 | 2,5 | 2,5 | 2,8 | 3 | 3,1 |
В
случае (42) испытание выборки исключается, и статистическая обработка данных производится заново.
6.10. При наличии априорной информации необходимое число испытаний
n для получения результата с обеспеченностью Д и случайной ошибкой

устанавливается по
табл. 10 в зависимости от величины

:

(43)
где

- доля случайной ошибки от систематической

;
- априорная оценка среднеквадратичного отклонения исследуемой величины <1>.
--------------------------------
<1> При отсутствии априорной информации рекомендуется пользоваться методами последовательного оценивания.
Доля случайной ошибки  | Минимальное число испытаний n при |
Д = 0,7 | Д = 0,85 | Д = 0,95 | Д = 0,99 |
1 | 3 | 4 | 7 | 11 |
0,5 | 6 | 10 | 18 | 31 |
0,3 | 13 | 27 | 46 | 78 |
Определить несущую способность сваи сечением 0,3 x 0,3 м из бетона марки 300 с арматурой

, погруженную на глубину 6 м в грунт, модуль деформации которого
E = 15 000 кН/м
2, объемный вес скелета

. Сила
P приложена на расстоянии 0,52 м от поверхности грунта.
Вычисляем
Bсв = 18·10
3 кН·м
2, по
табл. 3 определяем
K = 15 000 кН·м
4.
Максимальный момент, воспринимаемый сечением сваи, M = 7,2 кН·м,
bр = 1,5·0,3 м + 0,5 м = 0,95 м;
По графику на
рис. 3 зависимости

при

определяем

. Величина максимальной горизонтальной силы, воспринимаемой сваей, по
формуле (6) равна:
Определяем угол поворота и перемещение головы сваи от силы

. По графикам

(см.
рис. 5) и

(см.
рис. 7) определяем

,

. По
формуле (8) получаем
Требуется определить несущую способность и осадку свайного фундамента, состоящего из 16 свай (см.
рис. 9,
10).
Глубина забивки свай в грунт l = 14 м, сечение свай 0,35 x 0,35 м, расстояние между сваями a1 = ab = 3d = 1,05 м.
Грунт - суглинок с консистенцией
B = 0,55 - 0,6, коэффициентом пористости 0,7, углом внутреннего трения

, сцеплением
C = 2 кН/м
2; модуль деформации грунта
Eо = 6000 кН/м
2; коэффициент Пуассона

.
По результатам испытания свай-штампов установлено:
полная несущая способность одиночной сваи PI = 800 кН;
сопротивление грунта под острием Pо = 300 кН
среднее сопротивление грунта по боковой поверхности
осадка при нагрузке 800 кН равна 0,005 м.
Определение несущей способности
Для определения несущей способности свайного фундамента достаточно определить несущую способность трех свай - центральной (ц), крайней (кр) и угловой (у).
Определение несущей способности сваи по боковой поверхности сводится к вычислению коэффициентов A1 - A4.
Вычисление коэффициентов
A производится в следующей последовательности. Проводятся полуоси
I -
IV и высчитываются относительные расстояния

между сваями и тангенсы углов

: по графикам
рис. 8 определяют значения
am в зависимости от

и

и затем по
формуле (20) высчитываются
A1 -
A4. Порядок расчета показан в табл. 11.
Таблица 11
N влияющих свай | Относительное расстояние  | | | | A |
1 | 2 | 3 | 4 | 5 | 6 |
Центральная свая N 10 |
Полуоси I и II |
5; 7 | 4,24 | 0,54 | 1 | 0,77 | | A1 = A2 = 0,08 |
1; 3 | 6,71 | 0,66 | 0,5 | 0,77 |
6 | 3 | 0,43 | 0 | 0,43 |
2 | 6 | 0,63 | 0 | 0,63 |
8 | 6,71 | 0,66 | 2 | 0,88 |
4 | 8,49 | 0,72 | 1 | 0,86 |
Полуоси III и IV |
16 | 6,71 | 0,66 | 1 | 0,88 | | A3 = A4 = 0,23 |
13; 15 | 4,24 | 0,54 | 1 | 0,77 |
14 | 3 | 0,43 | 0 | 0,43 |
Крайняя свая N 14 |
Полуось I |
9; 11 | 4,24 | 0,54 | 1 | 0,77 | | A1 = 0,03 |
5; 7 | 6,71 | 0,66 | 0,5 | 0,77 |
1; 3 | 9,49 | 0,75 | 0,333 | 0,81 |
12 | 6,71 | 0,66 | 2 | 0,88 |
8 | 8,49 | 0,72 | 1 | 0,86 |
4 | 10,82 | 0,78 | 0,667 | 0,86 |
10 | 3 | 0,43 | 0 | 0,43 |
6 | 6 | 0,63 | 0 | 0,63 |
2 | 9 | 0,73 | 0 | 0,73 |
Полуось II |
3 | 9,49 | 0,75 | 1 | | | A2 = 0,11 |
| | | 3 | 0,93 |
4 | 10,82 | 0,78 | 1,5 | 0,91 |
7 | 6,71 | 0,66 | 2 | 0,88 |
8 | 8,48 | 0,72 | 1 | 0,86 |
11 | 4,24 | 0,54 | 1 | 0,77 |
12 | 6,71 | 0,66 | 0,5 | 0,77 |
15 | 3 | 0,43 | 0 | 0,43 |
16 | 6 | 0,63 | 0 | 0,63 |
Полуось III |
- | - | 1 | 0 | 1 | | A3 = 1 |
Полуось IV |
5 | 6,71 | 0,66 | 2 | 0,88 | | A4 = 0,28 |
1 | 9,49 | 0,75 | 3 | 0,93 |
9 | 4,24 | 0,54 | 1 | 0,77 |
13 | 3 | 0,43 | 0 | 0,43 |
Угловая свая N 13 |
Полуоси I и II |
12 | 9,49 | 0,75 | 3 | 0,93 | | A1 = A2 = 0,96 |
8 | 10,82 | 0,78 | 1,5 | 0,91 |
4 | 12,73 | 0,81 | 1 | 0,90 |
11 | 6,71 | 0,66 | 2 | 0,88 |
7 | 8,49 | 0,72 | 1 | 0,86 |
3 | 10,82 | 0,78 | 0,667 | 0,86 |
10 | 4,24 | 0,54 | 1 | 0,77 |
6 | 6,71 | 0,66 | 0,5 | 0,77 |
2 | 9,49 | 0,75 | 0,333 | 0,81 |
9 | 3 | 0,43 | 0 | 0,43 |
5 | 6 | 0,63 | 0 | 0,63 |
1 | 9 | 0,73 | 0 | 0,73 |
Полуоси III и IV |
- | - | 1 | 0 | 1 | | A3 = A4 = 1 |
Для центральной сваи N 10 проводим через ее центр четыре взаимно перпендикулярные полуоси I, II, III, IV (см.
рис. 9). Коэффициент
A1 определяется от воздействия свай N 1 - 8, расположенных на прямой II - IV. Сваи N 9, 11, 12 не влияют на величину коэффициента
A1.
Коэффициент A2 определяется от воздействия свай N 3, 4, 7, 8, 11, 12, 15 и 16. Расположение их по отношению к свае N 10 и количество их такое же, как и при определении A1, т.е. A1 = A2. Точно так же A3 = A4.
Несущая способность нижних концов свай определяется с помощью графиков
рис. 8. Расчеты коэффициентов
Bj по
формуле (18) для центральной, крайней и угловой свай представлены в табл. 12.
Таблица 12
N влияющих свай | Относительное расстояние  | bm |
1 | 2 | 3 |
Центральная свая N 10 |
1; 3; 8; 16 | 6,71 | 0,030·4 = 0,118 |
2; 12 | 6 | 0,033·2 = 0,177 |
4 | 8,49 | 0,022·1 = 0,022 |
5; 7; 13; 15 | 4,24 | 0,051·4 = 0,202 |
| | |
Крайняя свая N 14 |
1; 3 | 9,49 | 0,019·2 = 0,037 |
5: 7; 12 | 6,71 | 0,030·3 = 0,088 |
9; 11 | 4,24 | 0,051·2 = 0,101 |
2 | 9 | 0,020·1 = 0,030 |
6; 16 | 6 | 0,033·2 = 0 067 |
10; 13; 15 | 3 | 0,075·2 = 0,225 |
4 | 10,82 | 0,016·1 = 0,016 |
8 | 8,49 | 0,022·1 = 0,022 |
| | |
Угловая свая N 13 |
1; 16 | 9 | 0,020·2 = 0,040 |
2; 12 | 9,49 | 0,019·2 = 0,038 |
3; 8 | 10,82 | 0,016·2 = 0,032 |
4 | 12,73 | 0,012·1 = 0,012 |
5; 15 | 6 | 0,033·2 = 0,066 |
5; 11 | 6,71 | 0,029·2 = 0,058 |
7 | 8,49 | 0,021·1 = 0,021 |
9; 14 | 3 | 0,074·2 = 0,148 |
10 | 4,24 | 0,050·1 = 0,050 |
| | |
Несущая способность центральной сваи
Несущая способность крайней сваи
Несущая способность угловой сваи
Полная несущая способность всего свайного фундамента равна
P = 4·590,3 + 8,652 + 4·693,5 = 10 351,2 кН.
Несущая способность свайного фундамента из 16 одиночных свай (без учета взаимного влияния) равна 800·16 = 12 800 кН. В данном случае за счет совместного влияния несущая способность сваи в фундаменте уменьшилась по сравнению с одиночной сваей на 19%.
Расчет осадки
Определим размеры подошвы условного фундамента. При
Pб = 500 кН и
l = 14 м,

bу = lу = 3d(n - 1) + 2r = 1,05·3 + 3,50 = 6,6 м;
bр = 1,05·3 + 3d = 4,2 м.
Определим давление в плоскости нижних концов свай от сил трения по боковой поверхности и нагрузки на острие с учетом влияния соседних свай, принимая из предыдущего расчета значения для центральных свай

, крайних свай

, угловой сваи

и общую нагрузку на куст

. Тогда
Давление от веса грунта G приближенно можно принять равным природному давлению и в расчете не учитывать.
Строим эпюру вертикальных давлений по оси массива
(рис. 12). Расчет приведен в
табл. 13:
Рис. 12. Эпюра вертикальных давлений по оси
условного массива
k | | | | | | z = kl |
1 | 0,56 | 0,53 | 3,40 | 27,10 | 30,5 | 14 |
1,1 | 0,47 | 0,38 | 2,40 | 19,40 | 21,8 | 15,4 |
1,2 | 0,36 | 0,21 | 1,50 | 12 | 13,5 | 16,8 |
1,3 | 0,29 | 0,15 | 0,96 | 7,70 | 8,7 | 18,2 |
1,5 | 0,16 | 0,07 | 0,50 | 3,80 | 4,3 | 21 |
2 | 0,06 | 0,02 | 0,17 | 0,87 | 1 | 28 |
2,5 | 0,03 | 0,01 | 0,08 | 0,41 | 0,5 | 35 |
3 | 0,02 | 0,01 | 0,05 | 0,25 | 0,3 | 42 |
Определяем значения коэффициентов

и

по
табл. 4 в зависимости от параметров:
n1 = 1;

Граница сжимаемой толщи принимается из условия равенства

;
Pпр = 0,2·141,1 = 30,8 кН/м
2, т.е. на глубине 22 м.
Определим модуль деформации уплотненного слоя грунта по результатам испытания сваи статической нагрузкой:
а) определяем ширину и длину условного штампа
bу = d + 2r = 0,35 + 3,5 = 3,85 м;
bр = d + 2d = 0,35 + 2·0,35 = 1,05 м;
б) давление по подошве условного штампа будет равно:
Значения

и

определяются по
табл. 5 в зависимости от параметров
| | ИС МЕГАНОРМ: примечание. Постановлением Минстроя России от 23.02.1995 N 18-20 с 1 января 1996 года введен в действие ГОСТ 5686-94. | |
Величина осадки Sод принимается в пределах линейной части графика S = f(P) испытания сваи по методике ГОСТ 5686-69 "Сваи и сваи-оболочки. Методы полевых испытаний".
Осадка фундамента определяется методом элементарного суммирования по
формуле (27):