Главная // Актуальные документы // Рекомендация / РекомендацииСПРАВКА
Источник публикации
М.: Стройиздат, 1986
Примечание к документу
Название документа
"Рекомендации по учету и предупреждению деформаций и сил морозного пучения грунтов"
"Рекомендации по учету и предупреждению деформаций и сил морозного пучения грунтов"
РЕКОМЕНДАЦИИ
ПО УЧЕТУ И ПРЕДУПРЕЖДЕНИЮ ДЕФОРМАЦИЙ
И СИЛ МОРОЗНОГО ПУЧЕНИЯ ГРУНТОВ
Рекомендованы к изданию решением секции по инженерно-геокриологическим исследованиям Научно-технического совета ПНИИИС Госстроя СССР.
Содержат материалы, развивающие и детализирующие положения, вошедшие в нормативные и инструктивно-методические документы о морозном пучении грунтов и его воздействии на сооружения; даны методы расчета устойчивости и эксплуатационной надежности работы сооружений на морозоопасных грунтах оснований, а также рекомендован комплекс мероприятий, направленных на предупреждение деформаций пучения грунтов и выпучивания фундаментов.
Для инженерно-технических работников, занимающихся инженерно-геологическими изысканиями, проектированием и строительством в районах распространения сезоннопромерзающих и вечномерзлых грунтов.
Ил. 18, табл. 15.
Промерзание поверхностных слоев земной коры обусловливает объемное деформирование многих влажных дисперсных горных пород, почв и грунтов, выражающееся в увеличении объема и неравномерном поднятии их поверхности вследствие замерзания воды и образования ледяных включений. Процесс такого деформирования пород в строительной практике принято называть морозным пучением, а сами грунты, подвергающиеся пучению, - пучинистыми или морозоопасными.
Необходимость учета и предупреждения воздействий промерзающих морозоопасных грунтов на фундаменты и конструкции зданий и сооружений (что сопряжено с оценкой деформаций и сил морозного пучения) является одним из основных условий обеспечения устойчивости, эксплуатационной пригодности и долговечности сооружений, возводимых в районах сезонного промерзания грунтов.
Напряженно-деформированное состояние грунта при морозном пучении обусловливает недопустимые перемещения и серьезные повреждения промышленно-гражданских зданий, гидротехнических, мелиоративных сооружений, разрушение покрытий автомобильных дорог и аэродромов, искривление рельсо-шпальной решетки железнодорожной колеи, смещение опор мостов, линий электропередачи, трубопроводов и других инженерных сооружений. Особенно широко деформации сооружений имеют место в районах глубокого сезонного промерзания грунтов, а также на территории с вечномерзлыми породами, где в условиях преимущественного распространения сильнопучинистых пылеватых грунтов воздействующие на сооружения силы пучения достигают значительных величин.
В дорожной практике морозное пучение грунтов приводит к образованию так называемых пучин, т.е. локальных взбугриваний земляного полотна, под которыми нередко понимают не только деформации грунтов при зимнем промерзании, но и потерю ими несущей способности весной вследствие осадки и переувлажнения оттаивающего грунта - основания.
Недоучет морозного пучения грунтов в строительстве, а также несвоевременное назначение противопучинных мероприятий наносят огромный ущерб народному хозяйству: снижают сроки и ухудшают условия эксплуатации сооружений, вызывают непроизводительные затраты труда, строительных материалов и финансовых средств.
Несмотря на широкое территориальное распространение явления пучения в нашей стране, действующие в настоящее время строительные нормы и правила и другие нормативно-методические документы не дают исчерпывающих и достаточно обоснованных расчетных характеристик и оперативных методов инженерного прогноза морозного пучения грунтов.
Призванные восполнить этот пробел Рекомендации составлены в развитие и дополнение существующих нормативных документов и предназначены для инженерно-технических работников проектно-изыскательских и строительных организаций.
В основу Рекомендаций положены обобщенные результаты многолетних экспериментальных и теоретических исследований морозного пучения грунтов с использованием материалов, освещающих опыт строительства на пучинистых грунтах. Прогноз характеристик морозного пучения дан с учетом современных представлений об этом процессе на основе анализа и проверки существующих схем и методов его расчета.
Рекомендации составлены в научно-производственной лаборатории изучения свойств мерзлых грунтов ПНИИИС Госстроя СССР; автор - д-р техн. наук В.О. Орлов.
1.1. Настоящие Рекомендации содержат сведения по выявлению, оценке и предупреждению деформаций и сил морозного пучения грунтов оснований зданий и сооружений, возводимых в районах сезонного промерзания и распространения вечномерзлых грунтов.
1.2. Рекомендации по учету и оценке деформаций морозоопасных грунтов используются при назначении противопучинных мероприятий и в расчетах оснований сооружений, проектируемых по второму предельному состоянию (по деформациям), согласно которому следует учитывать не только осадки грунтов основания, но и их деформации от пучения. Для зданий и сооружений, проектируемых на морозоопасных основаниях по первому предельному состоянию (по устойчивости), необходима проверка устойчивости и прочности фундаментов на действие сил морозного пучения.
1.3. Рекомендации по прогнозу характеристик морозного пучения грунтов расчетным методом предусматривают обязательное инженерно-геологическое обследование территории застройки с выявлением исходных данных, необходимых для расчета.
1.4. Полевые исследования пучинистых свойств промерзающих грунтов проводятся в соответствии с рекомендациями
[1]. При этом деформации морозного пучения грунтов определяются посредством инструментальных наблюдений за положением поверхностных и глубинных реперов (марок), а также пучиномеров согласно инструкциям, разрабатываемым ведомственными организациями, или в соответствии с техническим заданием и детальностью обследования территории застройки.
1.5. Лабораторные исследования пучинистых свойств грунтов проводятся в соответствии с рекомендациями
[1], а также с использованием методики, приведенной в
[2].
2. ОСНОВНЫЕ ПОНЯТИЯ И ОПРЕДЕЛЕНИЯ
2.1. Под морозным (криогенным) пучением понимается внутриобъемное деформирование промерзающих влажных почв, нескальных горных пород и грунтов, приводящее к увеличению их объема вследствие кристаллизации в них воды и разуплотнения минеральной составляющей при образовании ледяных включений в виде прослойков, линз, поликристаллов и т.д.
Внешним проявлением морозного пучения, характеризующим величину его линейной деформации, служат местные, как правило, неравномерные поднятия поверхности слоя промерзающего грунта, сменяющиеся осадкой последнего при оттаивании. В северных районах морфологическим признаком проявления пучения нередко служат такие формы рельефа, как площадное всхолмление, бугры и гряды пучения.
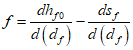
2.2. К основным характеристикам деформируемости промерзающего грунта относятся величина морозного пучения и ее производная - интенсивность.
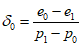
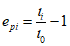
Под величиной пучения

некоторой точки поверхности грунта, промерзшего на глубину

, принято понимать высоту перемещения этой точки относительно ее исходного положения в предзимний период. Величина пучения

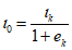
элементарного слоя

характеризует интенсивность пучения f (доли единицы), под которой понимается способность грунта в условиях льдообразования деформироваться в отдельной "точке" массива.
Значение f представляет собой дифференцированную по глубине пучащегося слоя алгебраическую сумму деформаций грунта за счет перемещения его вверх по нормали к фронту промерзания (деформация пучения

) и одновременной усадки его вниз

вследствие консолидации подстилающего немерзлого слоя грунта

. (1)

. (2)
График изменения значения f по глубине слоя промерзающего грунта называют эпюрой интенсивности пучения (рис. 1). Площадь этой эпюры численно равна величине

.
Рис. 1. Эпюра интенсивности пучения
В практических целях нередко используют значение средней интенсивности пучения

:

, (3)
которая графически представляет прямоугольную эпюру 0abc (см.
рис. 9).
Примечания. 1. Значение f является аналогом часто встречающихся в литературе терминов "относительное пучение" или "коэффициент пучения". 2. Не следует отождествлять понятия "интенсивность" и "скорость" пучения грунта; под скоростью пучения понимается приращение объема пучащегося грунта в единицу времени t.
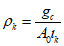
2.3. Под модулем морозного пучения

понимается величина пучения, отнесенная к слою морозоопасного талого грунта мощностью 1 м. Значение

определяется на основании экспериментальных данных о пучении по формуле

, (4)
где

- мощность слоя немерзлого грунта, м, вызывающего деформацию пучения величиной

, м.
Численно модуль пучения равен:

. (5)
2.4. Основным условием пучения любого грунта служит превышение общего объема замерзшей и незамерзшей (при данной отрицательной температуре) воды, аккумулированной в массиве промерзшего грунта, над объемом свободных от воды пор немерзлого грунта того же массива. Количество замерзшей воды, вызывающей пучение грунта, определяет так называемое избыточное льдовыделение

. Пучения грунта не будет, если объем свободных от воды пор равен или больше приращения объема замерзшей воды, характеризующей при данных условиях лед-цемент.
2.5. Если в несвязных крупнозернистых грунтах (пески, крупнообломочные породы с песчаным заполнителем) механизм морозного пучения может быть представлен моделью увеличения объема гетерогенной системы за счет расширения (при фазовом переходе) одного из компонентов - воды, то в связных (глинистых) грунтах механизм пучинообразования обусловлен сложным комплексом процессов тепловлагообмена, основная роль в которых принадлежит их кинетике и характеру перераспределения связанной (пленочной) влаги в промерзающем грунте. Наличие в глинистых и пылевато-песчаных грунтах связанной воды обусловливает процесс миграции жидкой фазы, выражающийся в перераспределении влаги начального содержания и накоплении ее в промерзающем грунте вследствие поступления из смежных немерзлых зон.
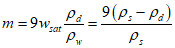
Криогенная миграция воды оказывает доминирующее влияние как на льдовыделение, так и на пучение грунтов. Если в условиях стабильного состояния влаги начального содержания за счет ее кристаллизации модуль пучения может составить лишь до 3 - 3,5 см/м, то при миграционном влагонакоплении он способен достигать 20 см/м и более.
2.6. Процесс морозного пучения, обусловленный льдовыделением и анизотропией роста кристаллов льда, протекает не только у границы промерзания, но и в некотором приграничном слое мерзлого грунта, называемом зоной промерзания или зоной одновременного пучения. Мерзлый грунт, залегающий выше зоны промерзания, при дальнейшем охлаждении практически не подвергается пучению, однако перемещается в результате пучения грунта в нижележащих слоях.
2.7. Все грунты в зависимости от их гранулометрического состава подразделяются на морозоопасные (пучинистые) и неморозоопасные (непучинистые) системы. В свою очередь все морозоопасные грунты в зависимости от содержания тонких фракций, условий увлажнения и промерзания могут быть подразделены по степени пучинистости на следующие группы, в которых основным показателем градации принят модуль пучения:
потенциально пучинистые (условно непучинистые) .................

слабопучинистые ...........................................

среднепучинистые ..........................................

сильнопучинистые ...........................................

чрезмернопучинистые ...........................................

Примечание. Термин "потенциально пучинистый" характеризует стабильное состояние промерзающего грунта лишь при его определенных физических свойствах (например, влажности), изменение которых способно повлечь переход грунта в ту или иную группу морозоопасности.
2.8. Условия устойчивости сооружений, возводимых на промерзающих морозоопасных грунтах, оцениваются не только абсолютной величиной пучения, но и его неравномерностью. Основными причинами неравномерного пучения грунтов являются:
неоднородность состава и сложения грунтов;
неравномерное увлажнение грунтов или их различная обводненность поверхностными или подземными водами;
неравномерность промерзания грунтов, вызываемая изменением их теплофизических свойств, различным распределением теплоизоляционных покрытий (снег, растительный покров и др.), неравномерным облучением, обдуваемостью ветром и пр.
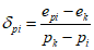
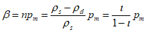
Критерий неравномерного пучения характеризуется относительной неравномерностью пучения

, под которой понимается отношение разности величин (деформаций) пучения

в двух близлежащих точках к расстоянию (длине заложения) между ними или к базе L. База L назначается в соответствии с конструктивными особенностями каждого типа сооружения. Величина

рассчитывается в соответствии с рекомендациями
разд. 5.
2.9. В строительной практике возможная неравномерность пучения может быть как допустимой, так и недопустимой. Допустимая по условиям эксплуатационной надежности работы сооружения разность в перемещениях промерзающего грунта характеризует степень допустимой неравномерности пучения.
Оценка степени неравномерности пучения грунтов особенно важна при расчетах эксплуатационной работы линейных сооружений (железных и автомобильных дорог, трубопроводов и др.) и малоэтажных зданий, которые отличаются незначительной жесткостью конструкций и малыми нагрузками.
Степень допустимой неравномерности определяется в первую очередь типом сооружения. Для каждого сооружения и его конструктивного решения может быть получена величина предельно допустимой деформации неравномерного пучения
(табл. 12). В этом случае одним из требований к расчету сооружений, возводимых на морозоопасных основаниях по деформациям, является соблюдение условия

. (6)
2.10. Морозное пучение резко изменяет физико-механические свойства грунтов при оттаивании. Эти изменения пропорциональны интенсивности пучения. При оттаивании мерзлых грунтов, подвергшихся пучению, повышается водопроницаемость и сжимаемость оттаявшего грунта, значительно понижается его несущая способность, что приводит к осадке сооружений, а на железных и автомобильных дорогах - к весенним просадкам земляного полотна, сопровождаемым разжижением и выплесками грунта, образованием бугров выпирания, смещением откосов, кюветов и т.п.
2.11. Пучение грунтов обусловливает развитие давления в зоне промерзания. Это давление характеризует собственно силы пучения или гидродинамические силы пучения, под которыми понимается сопротивление растущим кристаллам льда при замерзании и объемном расширении воды.
2.12. Различают следующие виды восприятия силового эффекта морозного пучения:
касательные силы пучения; нормальные силы пучения: у боковой поверхности фундаментов и конструкций сооружений, у подошвы фундаментов сооружений, балластных и подстилающих слоев железных и автомобильных дорог.
Для фундаментостроения наиболее важна оценка касательных и нормальных к подошве фундамента сил морозного пучения.
Замерзая около фундамента, грунт примерзает к его боковой поверхности. Развивающиеся в зоне промерзания собственно силы пучения стремятся переместить вместе с вышележащим слоем мерзлого грунта фундамент вверх, чему противодействуют его защемление в нижележащих слоях грунта и нагрузка от сооружения. При этом возникает нарушение статических связей смерзания (прочности смерзания) грунта с фундаментом, в результате чего возникает смещение - сдвиг мерзлого пласта относительно фундамента. Сопротивление смещению слоя мерзлого грунта относительно боковой поверхности фундамента обусловливает касательные силы пучения. Величина этих сил возрастает по мере увеличения площади контактных связей мерзлого грунта с фундаментом.
В ходе роста слоя промерзшего грунта может наступить такой момент, когда динамические связи мерзлого грунта с фундаментом превзойдут сопротивление заанкериванию фундамента и приложенной к нему нагрузки от сооружения. В этом случае начнется совместное перемещение фундамента с мерзлым грунтом или, как принято говорить, "выпучивание" фундамента. Среднеинтегральное тангенциальное усилие, при котором наступает предельное равновесие сил, действующих на фундамент перед его выпучиванием, характеризует нормативную величину касательных сил пучения.
Собственно силы пучения, действующие перпендикулярно поверхности фундамента или заложенного в грунт сооружения (трубопровод, стенки канала и пр.), определяют нормальные силы пучения.
Неравномерное промерзание и пучение грунта могут вызвать одностороннее боковое давление на фундамент, которое в отдельных случаях способно подвергнуть сооружение горизонтальным смещениям. Промерзание пучинистых грунтов под фундаментом (сооружением) обусловливает развитие нормальных сил пучения у его подошвы. В основном эти силы определяются среднеинтегральным значением собственно сил пучения на площади промерзающего массива, значительно превышающей площадь подошвы фундамента.
Если величина касательных сил пучения преимущественно не превышает 0,1 - 0,2 МПа (1 - 2 кгс/см2), то величина сил пучения, нормальных к подошве фундамента, может достигать 0,5 - 1 МПа (5 - 10 кгс/см2, а в отдельных случаях и до нескольких десятков кгс/см2).
3. РАСЧЕТНЫЕ ЗНАЧЕНИЯ ФАКТОРОВ, ВЛИЯЮЩИХ
НА МОРОЗНОЕ ПУЧЕНИЕ ГЛИНИСТЫХ ГРУНТОВ
3.1. Морозное пучение грунтов зависит от комплекса многочисленных факторов, происхождение и формирование которых связано с климатическими, гидрогеологическими, литологическими, а в районах распространения вечномерзлых грунтов - и геокриологическими условиями места обследования.
К основным природным факторам, количественно характеризующим интенсивность пучения грунтов, относятся: гранулометрический, минералогический и химический состав грунта, его водно-физические свойства и глубина залегания грунтовых вод в период промерзания, плотность грунта и степень его охлаждения, зависящая от температуры воздуха и теплоизоляции на поверхности грунта в зимний период.
Помимо природных факторов интенсивность пучения зависит также от геотехнических факторов, связанных с обустройством осваиваемой территории и возводимых на ней сооружений, нагрузкой на грунты от сооружений и др.
3.2. Морозоопасность грунтов и прогноз их характеристик пучения в целях назначения инженерных мероприятий по предупреждению деформаций сооружений могут быть с достаточной надежностью определены лишь при совместном комплексном учете всех воздействующих на пучение факторов.
Влияние гранулометрического, минералогического
и химического составов грунта на пучение
3.3. Одним из физических показателей пучения является дисперсность грунтов, т.е. степень их раздробленности, характеризуемая формой и размером твердых минеральных и органо-минеральных частиц, образующих поверхность раздела между физическими фазами грунтовой системы и обеспечивающих взаимосвязь с водой. Обладая запасом свободной поверхностной энергии, создающим энергетический потенциал грунтовой системы, минеральные частицы с большой удельной поверхностью взаимодействуют с жидкой фазой и растворенными в ней веществами.
Взаимодействие минеральных частиц с жидкой фазой обусловливает образование различных категорий связанной воды, которая существенно влияет не только на влагосодержание грунта, но и на миграционное накопление в нем влаги при промерзании, участвуя в формировании пучинистых свойств тонкодисперсных грунтов. При этом первостепенную роль играет так называемая пленочная (рыхлосвязанная) вода, которая своим перераспределением в зоне промерзания оказывает влияние на пучение грунта.
Наибольшее количество пленочной воды содержится в тонкодисперсных глинистых грунтах, имеющих большую удельную поверхность минеральных частиц, наименьшее - в крупнозернистых (песчаных и крупнообломочных) грунтах. Из этого следует, что наиболее морозоопасными являются глинистые грунты.
3.4. Наибольший размер минеральных частиц, при котором ощутимо воздействие силового поля скелета грунта на пленочный механизм миграции воды, а следовательно, и на интенсивность его пучения, составляет около 0,1 - 0,07 мм. Все крупнозернистые грунты, состоящие из фракций крупнее 0,1 - 0,07 мм, при наличии высоких фильтрационных свойств, как правило, не способны удерживать воду и подвергаться пучению за счет миграционного влагонакопления.
В условиях беспрепятственного оттока воды из замерзающего массива крупнообломочные грунты с песчаным заполнителем, пески гравелистые, крупные и средней крупности являются не морозоопасными. В условиях замкнутого объема, т.е. без свободного оттока воды из замерзающего массива, эти грунты не выходят за пределы слабопучинистых

.
3.5. Максимальная интенсивность пучения по гранулометрическому составу свойственна грунтам, дисперсность которых соответствует размеру минеральных частиц от 0,05 до 0,005 мм. Преобладание в составе грунта частиц указанного размера, номенклатурно представляющих фракции пыли, обеспечивает наиболее благоприятные условия криогенной миграции влаги.
Увеличение степени дисперсности частиц в пределах глинистых фракций (от 0,005 - 0,002 мм и менее) приводит к некоторому уменьшению удельного потока миграционной влаги в промерзающий грунт, что наиболее заметно проявляется с увеличением его плотности. В глинах наряду с ростом свободной энергии частиц возрастает и количество прочно связанной воды, не участвующей в процессах миграционного влагонакопления и пучения грунтов.
3.6. С учетом осредненной степени дисперсности глинистых грунтов интенсивность пучения их номенклатурных видов при прочих равных гидротермических условиях возрастает в следующей очередности: глины (с монтмориллонитовой основой) < супеси < суглинки < пылеватые грунты (супеси, суглинки, глины с каолинитовой основой).
3.7. Влияние минералогического состава тонких фракций на пучение в крупнообломочных и песчаных грунтах практически отсутствует. Оно становится заметным в тонкодисперсных грунтах, а наиболее резко проявляется в глинах, у которых химическая активность взаимодействия частиц с водой зависит от природы глинистых минералов (коллоидной фракции) и их обменной способности, связанной со строением и подвижностью кристаллической решетки.
Чем выше обменная способность и степень набухания группы минералов, содержащихся в основе глинистого грунта, тем менее морозоопасен этот грунт.
Минералы группы каолинита практически не содержат обменных ионов и обладают достаточно жесткой кристаллической структурой, характерной для ненабухающих грунтов. Эти обстоятельства обусловливают высокую влагопроницаемость и повышенную морозоопасность грунтов с каолинитовой основой. В иллите основным обменным катионом является калий, высокая степень гидратации которого понижает пучинистые свойства грунтов с иллитовой основой. Весьма высокий ионный обмен свойствен минералам группы монтмориллонита, обладающим высокой степенью набухаемости и малой водопроницаемостью. Морозоопасность глинистых грунтов с монтмориллонитовой основой в 2 - 3 раза меньше, чем грунтов с каолинитовой основой (при одинаковом процентном соотношении фракций грунта).
3.8. Весьма сильно способствуют набуханию хорошо гидратируемые одновалентные ионы

,

,

, чем объясняется пониженная морозоопасность грунтов, насыщенных ионами этих металлов. С увеличением валентности обменных катионов степень набухания понижается, а морозоопасность грунта возрастает. Пучение грунтов за счет миграционного влагонакопления понижается в случае насыщения катионами, составляющими следующий ряд:

.
3.9. Введение в обменный комплекс многовалентных катионов повышает интенсивность пучения слабопучинистых (монтмориллонитовых) грунтов. У морозоопасных (каолинитовых) грунтов способность к пучению утрачивается в случае их насыщения одновалентными катионами.
Влияние влажности и источников увлажнения грунта на пучение
3.10. Морозное деформирование грунтов обусловлено их осенним (предзимним) увлажнением, на которое оказывает влияние круглогодичный цикл изменения влажностного режима, зависящий от климатических и гидрогеологических условий места обследования.
3.11. Основными источниками увлажнения сезонно промерзающих грунтов в природных условиях служат жидкие атмосферные осадки и подземные (грунтовые и почвенные воды), залегающие на достаточно близком расстоянии от поверхности грунта. О количестве атмосферных осадков, выпадающих в осенний период, судят по долгосрочным прогнозам гидрометеослужбы.
При глубоком залегании уровня подземных вод (УПВ) или их отсутствии источником увлажнения грунтов могут быть атмосферные осадки, выпадающие в виде дождей в летне-осенний период.
В районах, где в осенний период выпадает большое количество осадков (как, например, в средней полосе и северной части СССР), грунты перед промерзанием, как правило, водонасыщены, что обусловливает их высокую интенсивность пучения. В районах с умеренным или незначительным количеством осенних осадков, где ощутим большой дефицит влажности воздуха (например, Казахстан, юго-восточная часть Сибири), пучение грунтов, в основном, обусловливается высоким залеганием грунтовых вод.
В засушливых районах, где граница промерзания не достигает каймы капиллярного поднятия, криогенная миграция может осуществляться за счет парообразной влаги, влияние которой на пучение грунтов будет тем ощутимее, чем меньше паропроницаемость слоя промерзшего грунта. Однако и в условиях слабой паропроницаемости грунтов их степень морозоопасности, как правило, не выходит за пределы слабопучинистых грунтов.
3.12. Наиболее распространенным путем увлажнения грунтов сезоннопромерзающего слоя грунтовыми водами является капиллярное передвижение воды в пределах капиллярного поднятия от зеркала грунтовых вод. Изменение положения УПВ влечет соответствующее перемещение каймы капиллярного поднятия, зона которой в зависимости от состава и сложения грунтов может достигать 3 - 3,5 м.
3.13. Интенсивность пучения грунтов повышается при наличии подземных вод в пределах слоя сезонного промерзания или близком расположении их к границе промерзания. При увеличивающейся с глубиной предзимней влажности интенсивность пучения однородных по составу грунтов приближается к равномерной или несколько возрастает по мере продвижения границы промерзания. В условиях равномерного увлажнения однородного грунта при глубоком залегании грунтовых вод или их отсутствии интенсивность пучения с глубиной понижается.
3.14. Условия, когда подземные воды не оказывают влияния на увлажнение грунтов сезоннопромерзающего слоя, зависят от глубины залегания УПВ перед началом промерзания, состава, сложения и глубины промерзания грунтов.
Ориентировочное минимальное расстояние между полной глубиной сезонного промерзания и предзимним положением УПВ, при котором эти воды не оказывают влияния на увлажнение промерзающего грунта, для основных видов грунтов приведено в табл. 1.
Таблица 1
Влияние УПВ на увлажнение промерзающего грунта
N п.п. | Наименование грунтов | Минимально безопасное для увлажнения промерзающих грунтов расстояние от их подошвы до УПВ, м |
1 | Глины с монтмориллонитовой и иллитовой основой | 3,5 |
2 | Глины с каолинитовой основой, суглинки, в том числе пылеватые | 2,5 |
3 | Супеси, в том числе пылеватые | 1,5 |
4 | Пески мелкие и пылеватые | 1,0 |
3.15. Годовой цикл колебаний УПВ в районах с сезонным промерзанием грунтов обычно имеет следующий характер.
Весной УПВ поднимается с началом снеготаяния и достигает своего наивысшего положения в течение непродолжительного времени после протаивания грунтов сезоннопромерзшего слоя. В последующий весенне-летний сезон УПВ постепенно снижается, сопровождаясь кратковременным поднятием или замедлением спада грунтовых вод в периоды выпадения атмосферных осадков. С наступлением осеннего дождливого периода УПВ поднимается и в зависимости от количества выпавших осадков может достигать высоких отметок. В период устойчивого промерзания грунтов УПВ неизменно понижается вплоть до достижения своего наинизшего положения в конце зимы.
Режим почвенных вод (верховодка) в течение года весьма неустойчив. Имея сезонный характер, эти воды зависят прежде всего от гидрометеорологических условий. В осенний период дожди пополняют запасы верховодки, а в отдельных случаях и вызывают ее появление. Наиболее часто верховодка образуется в морозоопасных грунтах - суглинках, тяжелых супесях и лессовидных породах, в которых она может существовать продолжительное время. Преимущественным местом образования верховодки являются равнинные участки с плохо обеспеченным поверхностным стоком, блюдца, западины, бессточные котловины.
3.16. Промышленное освоение площадей и застройка территории приводят в процессе эксплуатации зданий и сооружений к нарушению природного гидрогеологического режима грунтов, в связи с чем изменяется и влажность оснований, требующая специальных методов прогноза при оценке промерзания и пучения грунтов.
Повышение влажности может происходить в результате:
подъема УПВ, прогнозируемого согласно
[3];
накопления влаги в поверхностных слоях грунтов за счет нарушения природных условий ее испарения вследствие застройки и асфальтирования территории, устройства водонепроницаемых отмосток и т.п.
3.17. При оценке морозоопасности грунтов по их влажностному режиму помимо определения средней влажности немерзлого грунта

в пределах сезоннопромерзающего слоя и содержания незамерзшей воды

в промерзшем грунте следует выявлять следующие расчетные показатели влажности, характеризующие начальные условия и интенсивность пучения грунтов:

- влажность предела пучения немерзлого грунта;

- критическая влажность пучения немерзлого глинистого грунта;

- миграционная влажность (удельное миграционное влагонакопление);

- предел активной влажности немерзлого глинистого грунта.
3.18. Содержание незамерзшей воды в мерзлом грунте

зависит от величины его отрицательной температуры T. В соответствии со
СНиП по проектированию оснований и фундаментов на вечномерзлых грунтах

, (7)
где

- влажность грунта на границе раскатывания, доли единицы;

- коэффициент, принимаемый по вышеуказанной главе
СНиП в зависимости от вида грунта и его температуры (см.
п. 3.21,
табл. 2); w - влажность грунта, доли единицы;

- равновесная концентрация порового раствора в засоленном грунте, принимаемая в зависимости от температуры:
Значение T, °C... | -0,5 | -1 | -2 | -3 | -4 | -6 | -8 | -10 |
Значение  , доли единицы | 0,005 | 0,012 | 0,026 | 0,045 | 0,062 | 0,1 | 0,135 | 0,168 |
Примечание. Данные приведены для значений температур ниже температуры начала замерзания;

- концентрация порового раствора в засоленном грунте, вычисляемая по формуле

(8)
при

, (9)
здесь

- степень засоленности грунта, %;

- содержание в грунте (по массе) легкорастворимых солей;

- плотность сухого грунта, т/м3.
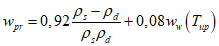
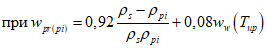
3.19. Влажность предела пучения

характеризует такое предельно стабильное состояние немерзлого грунта трехфазной системы (скелет + вода + воздух), при котором заполнение воздушных пор льдом в процессе кристаллизации воды не вызывает возможного увеличения объема грунта.
Влажность предела пучения

определяет первое начальное условие пучения грунта любой разновидности, выражаемое неравенством

, (10)
где

; (11)
здесь

- средняя влажность немерзлого грунта в пределах слоя промерзания, доли единицы; 0,92;

;

- соответственно плотность льда, твердых частиц и скелета немерзлого грунта, т/м3 (г/см3);

- содержание (по массе) незамерзшей воды в мерзлом грунте, доли единицы, при температуре, равной

[где

- минимальная температура зоны промерзания, при которой прекращается пучение грунта (см.
п. 3.30,
табл. 2)].
Характеризуя стабильное состояние грунта в условиях трехфазной системы,
формула (11) не учитывает способности влаги к миграции. Поэтому
условие (10) является необходимым, но недостаточным для связных глинистых грунтов.
3.20. Критическая влажность пучения

характеризует такое предельно стабильное состояние немерзлого глинистого грунта, при котором содержание связанной воды практически не влияет на ее подвижность в промерзающем и нижележащем талом грунте.
Наличие влажности в грунте выше критического значения

(12)
определяет второе начальное условие пучения глинистых грунтов за счет миграции в них влаги в жидкой фазе.

, (13)
где

- влажность грунта на границе текучести, доли единицы;

- число пластичности, доли единицы.
Критическая влажность

при

может быть определена по рис. 2 на основе исходных данных о водно-физических свойствах грунта. Значение

может быть определено по
рис. 3.
Рис. 2. Значение критической влажности

в зависимости от числа пластичности

и предела
текучести

грунта (при

)
Рис. 3. Значение параметра

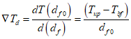
3.21. Миграционная влажность

характеризует приращение влаги в единице объема промерзающего связного грунта как за счет перераспределения начальной влажности, так и вследствие подтока влаги из смежных зон талого грунта. Миграционное влагонакопление в промерзающем грунте является главной причиной интенсивного пучинообразования и избыточного льдовыделения.
Оценка удельного миграционного влагонакопления

в промерзающем грунте производится по формуле

, (14)
где

- параметр, выражающий отношение коэффициентов влагопроводимости талого и мерзлого грунта; в практических расчетах

может быть равным:

, (15)
где

- влажность, соответствующая полному водонасыщению талого грунта, доли единицы;

- температурный импульс, возбуждающий движение влаги в промерзающем грунте;

, (16)
где

- расчетная температура у поверхности грунта, °C, приравненная к средней температуре охлаждающей среды за период промерзания;

- расчетная, оптимальная для миграции влаги температура охлаждающей среды, °C;

, (17)
где

- температура зоны промерзания, при которой прекращается пучение грунта, °C (см.
п. 3.30,
табл. 2);

- значение критического градиента температуры в зоне промерзания, равное в среднем 10 °C/м (0,1 °C/см);

- глубина промерзания грунта, м (см);

- табулированный коррелятивный параметр (см.
табл. 2), выражающий связь между температурой и содержанием незамерзшей воды в зоне промерзания (пучения):

(18)
при

.

,
где

- коэффициент пропорциональности, характеризующий мощность слоя в зоне промерзания в интервале температур

и

, не превышающих по абсолютной величине значения

;

- коэффициент пропорциональности, характеризующий зону одновременного пучения грунта

:

(19)
при

, (20)
где

- содержание незамерзшей воды в мерзлом грунте при температуре

.
Для оценки коэффициента

могут быть использованы графики

, представленные на рис. 4.
Рис. 4. Значения параметра

3.22. Предел активной влажности

или иначе оптимальная в смысле пучения влажность немерзлого грунта характеризует такое влажностное состояние промерзающего глинистого грунта, при котором его пучение за счет криогенной миграции воды будет максимальным:

. (21)
Здесь обозначения те же, что у параметров
п. 3.21.
Таблица 2
Значения параметров

,

и температуры
прекращения пучения

различных видов пучинистого грунта
Наименование вида грунта | Число пластичности грунта  | Температура прекращения пучения  | Значение параметра  | Значение коэффициента  при температуре грунта T, °C |
-0,3 | -0,5 | -1 | -2 | -3 | -4 | -6 | -8 | -10 |
Супесь | | -1,5 | 3,55 | 0,6 | 0,5 | 0,4 | 0,35 | 0,33 | 0,3 | 0,28 | 0,26 | 0,25 |
Супесь пылеватая | | -2 | 5 | | | | | | | | | |
Суглинок | | -2 | 4,25 | 0,7 | 0,65 | 0,6 | 0,5 | 0,48 | 0,45 | 0,43 | 0,41 | 0,4 |
Суглинок пылеватый | | -2,5 | 5 | | | | | | | | | |
Суглинок | | -2,5 | 3,8 | - | 0,75 | 0,65 | 0,55 | 0,53 | 0,5 | 0,47 | 0,46 | 0,45 |
Суглинок пылеватый | | -3 | 5,35 | | | | | | | | | |
Глина | | -4 | 2,5 | - | 0,95 | 0,9 | 0,65 | 0,63 | 0,6 | 0,58 | 0,56 | 0,55 |
Примечание. Для промежуточных значений температуры величина коэффициента

принимается по интерполяции.
При начальной влажности

количество влаги свыше

не участвует в формировании льда миграционного происхождения, так как лед за счет этой влаги компенсируется по объему усадкой талого грунта подстилающего слоя. Поэтому при условии

в расчетах миграционной влажности

вместо w следует принимать значение

.
Влияние плотности грунта на пучение
3.23. При оценке влияния естественной плотности грунтов на пучение в первую очередь необходимо принимать во внимание характер гетерогенной системы грунта, представляющей в талом состоянии трехфазную (скелет - вода - воздух) или двухфазную (скелет - вода) среду. В зависимости от этого признака, определяющего степень водонасыщения грунта, его плотность, выражаемая объемной массой скелета

, будет по-разному влиять на интенсивность пучения.
3.24. В соответствии с первым начальным условием пучения
[формула (10)] в трехфазных системах воздушные поры могут частично или полностью заполняться кристаллизующейся водой без увеличения объема грунта в целом. Это обстоятельство позволяет принять некоторую минимальную плотность

за исходную, ниже значения которой пучение грунта при данной степени его водонасыщения будет отсутствовать.
С увеличением плотности грунта трехфазной системы интенсивность пучения грунта возрастает, достигая максимума при некоторой условной плотности

, характеризуемой, с одной стороны, минимальным объемом воздушных пор системы, а с другой, оптимальной упаковкой частиц, обеспечивающей наиболее благоприятные условия работы пленочного механизма миграции воды.
Возрастание плотности грунта в условиях двухфазной системы влечет снижение влагосодержания и удельного потока воды, причем последний при

становится равным нулю. Как следствие этого соответственно уменьшается и интенсивность пучения грунта.
3.25. При оптимальном в смысле пучения водонасыщении грунта его условная плотность

, соответствующая максимальному пучению за счет миграционного влагонакопления в промерзающем грунте, ориентировочно составляет

, (22)
где

- оптимальная плотность грунта, под которой понимается плотность при стандартном уплотнении.
3.26. Если грунт, находящийся при плотности

, подвергнуть дальнейшему уплотнению, то его интенсивность пучения будет понижаться пропорционально уменьшению потока миграционной влаги и при так называемой критической плотности

будет равна нулю (рис. 5). При последующем уплотнении этого грунта перераспределение воды в жидкой фазе прекратится, а пучение за счет начального влагосодержания, значительно снижаясь, не выйдет за пределы слабопучинистых грунтов. Влажность уплотненных грунтов при этом обычно не превышает значения критической влажности

.
Рис. 5. Характер изменения интенсивности пучения
в зависимости от плотности глинистого грунта
3.27. Стабильное (по морозоопасности) состояние промерзающего грунта определяется его начальным влагосодержанием, пористостью и температурой кристаллизации воды в зоне промерзания. Условие, когда эти параметры характеризуют прекращение пучения грунта, выражается уравнением его стабильного объема

. (23)
Это уравнение иллюстрировано кривой, представленной на рис. 6. При

интенсивность пучения может возрастать за счет как начального, так и миграционного влагонасыщения грунта; при

пучение проявляется лишь за счет начальной влажности, не превышая при этом модуля слабопучинистых грунтов

.
Рис. 6. Кривая уравнения стабильного
объема промерзающего грунта
1 - зона возможного пучения грунта за счет как начального,
так и миграционного водонасыщения; 2 - зона пучения грунта
за счет начального водонасыщения

3.28. Значение критической плотности скелета

, характеризующее стабильность объема промерзающего грунта с достаточной для практики точностью, может быть оценено формулой

. (24)
Пример 1. Определить возможную морозоопасность и условия стабильного объема промерзающего грунта, используемого в качестве грунтовой подушки.
Исходные данные. Грунт - суглинок, имеющий следующие водно-физические свойства:

;

;

;

;

.
По данным
табл. 2 определяем температуру прекращения пучения суглинка

и содержание в нем незамерзшей воды

.
По
формуле (13) рассчитаем критическую влажность

, определив предварительно по
рис. 3 значение

:
По
формуле (24) определим критическую плотность скелета, при которой пучение суглинка будет отсутствовать:
При этом плотность грунта

будет равна

.
Таким образом, морозное пучение данного суглинка при начальной влажности

не выйдет за пределы слабопучинистого грунта

и вовсе прекратится при достижении его плотности

.
Влияние степени охлаждения грунта на пучение
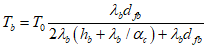
3.29. На характер пучения грунтов влияет степень их охлаждения. Степень охлаждения (как и ее производные - скорость и глубина промерзания грунта) зависит от температурного режима охлаждающей среды, продолжительности периода промерзания, водных и теплофизических свойств грунта, а также теплоизоляции на его поверхности.
3.30. По температурному признаку процесс пучения грунта, протекающий в зоне промерзания, характеризуется интервалом температур, экстремальные значения которых определяют начало процесса пучения

и его прекращение

. Как правило, значение

бывает на несколько десятых градуса ниже, чем температура начала замерзания грунта

, что выражается в некотором "опережении" процессов кристаллизации воды над процессом пучения грунта.
Значение

характеризует минимальную температуру зоны промерзания, при которой прекращаются перемещение и кристаллизация пленочной воды, способной вызвать увеличение объема промерзающего грунта. Значение температуры

для основных видов номенклатурных грунтов приведено в
табл. 2 (п. 3.21).
3.31. Неразрывность пленок воды при ее движении в зоне промерзания сохраняется благодаря наличию температурного градиента, образующего градиент концентрации незамерзшей влаги и вместе с тем являющегося непосредственно возбудителем ее движения. Значение этого градиента

в зоне промерзания

может быть выражено

, (25)
где

(см.
п. 3.21);

определяется опытным путем.
Для глинистых грунтов с влажностью

значение

может быть определено по формуле В.И. Федорова

. (26)
3.32. Связь между степенью охлаждения и интенсивностью пучения грунта выражается через величину и периодичность изменений температурного градиента зоны промерзания

, соответствующего критическому значению

при максимальных скоростях перемещения пленочной воды. Интенсивность пучения понижается по мере отклонения

в ту или иную сторону от критического значения, принимаемого в инженерных расчетах равным для глинистых грунтов 10 град/м (0,1 град/см).
3.33. Оценка оптимальных условий пучения грунтов по температурному признаку производится с учетом расчетных значений оптимальной температуры

и температурного импульса

, являющихся параметрами расчета миграции воды в условиях действия температурных градиентов

, т.е. когда абсолютное значение средней температуры у поверхности промерзающего грунта

.
3.34. Температура поверхности грунта, оголенного от снега и других видов теплоизоляции, формируется в результате теплообмена промерзающего грунта с атмосферой и подстилающими его слоями.
Теплоотдача грунта в зимний период приводит к тому, что температура его поверхности

несколько превышает температуру воздуха, но, как правило, не более чем на 1,5 - 2 °C. Поэтому в практике инженерных расчетов процессов промерзания и пучения за расчетную температуру поверхности оголенного грунта может быть принято значение температуры воздуха

.
3.35. Наличие стационарного слоя теплоизоляции поверхности грунта приводит к задержке начала промерзания грунта, исчисляемой периодом времени

, причем в течение последующего периода промерзания грунта

средняя температура его поверхности будет более высокая, чем значение

. Поэтому при оценке характеристик пучения теплоизолированного грунта необходимо определение не только глубины промерзания грунта под теплоизоляцией

, но и средней температуры его поверхности

, а также периода времени

.
Условия теплоотдачи с поверхности грунта, характеризующие среднее за период промерзания термическое сопротивление теплоизоляции, могут быть учтены путем введения в расчет некоторого эквивалентного этому сопротивлению слоя

, зависящего от нестационарного коэффициента теплопередачи k(t) и коэффициента теплопроводности промерзающего грунта

, (27)
где

- коэффициент теплоотдачи свободной поверхности, зависящий от конвективного теплообмена у поверхности; в расчетах

может быть принят (с запасом) 23 Вт/(м2 x °C) [20 ккал/(м2 x ч x °C)];

- термическое сопротивление теплоизоляции при мощности ее слоя

, м, и коэффициенте теплопроводности

, Вт/м x °C [ккал/(м x ч x °C)];

- коэффициент теплопроводности мерзлого грунта, Вт/(м x °C) [ккал/(м x ч x °C)].
При наличии исходных данных о

,

,

,

,

рассмотренные выше значения могут быть определены из следующих выражений:

; (28)

; (29)

; (30)

. (31)
Примечание. При малых глубинах промерзания (до 1 - 1,5 м) значениями

и

можно пренебречь.
3.36. Температура воздуха

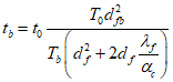
на момент времени t зимнего периода может быть определена по формуле

(32)
при

,
где

- отрицательная температура воздуха в момент времени t, мес;

- минимальная среднемесячная температура воздуха за зимний период

, мес.
3.37. Температура поверхности теплоизолированного грунта

в текущий момент t его сезонного промерзания определяется по
формуле (32) при значениях коэффициентов

,
где

- минимальная температура поверхности грунта под теплоизоляцией, определяемая по рис. 7 в зависимости от термического сопротивления

.
Рис. 7. Номограмма для расчета минимальной температуры
поверхности грунта под теплоизоляцией

, °C, в зависимости
от термического сопротивления изоляции R, м2 x °C/Вт, суммы
градус-суток отрицательной температуры (

, °C)
и числа зимних периодов промерзания (n)
При n = 1; 1 -

; 2 -

;
3 -

; 4 -

При

(за один сезон);
5 - n = 2; 6 - n = 3; 7 - n = 4
3.38. Текущее значение температуры грунта

на глубине

в пределах мерзлого слоя

можно определить по формуле

, (33)
где

- температура поверхности грунта на момент t, определяемая по одному из приведенных методов расчета (
пп. 3.34;
3.36;
3.37).
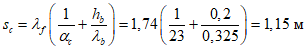
Пример 2. Для уменьшения сил выпучивания фундаментов законсервированного на зимний период строительного объекта поверхность грунтов строительной площадки во избежание их глубокого сезонного промерзания предполагалось покрыть слоем древесных опилок мощностью

и с коэффициентом теплопроводности

.
Определить глубину промерзания грунта под теплоизоляцией

, среднюю

и минимальную

температуру его поверхности, а также время начала промерзания грунта

при последующих исходных данных.
Грунт - суглинок пылеватый, промерзающий при открытой поверхности до глубины

; коэффициент теплопроводности его в мерзлом состоянии

при числе дней с отрицательной температурой за период промерзания грунта t = 208

, средняя температура воздуха составляет

; коэффициент теплоотдачи

.

.
Глубина промерзания грунта под теплоизоляцией согласно
формуле (28) составит

.
Среднюю температуру поверхности грунта под изоляцией в период его промерзания

определяем по
формуле (29):

.
Минимальную температуру поверхности грунта в период промерзания определяем по
рис. 7 при

, т.е. при

; n = 1 и


.
Период времени промерзания грунта под теплоизоляцией

определяем по
формуле (30):

.
Отсюда, согласно
формуле (31), грунт начнет промерзать через

(полмесяца после начала установления периода отрицательных температур воздуха).
Влияние мощности слоя промерзшего грунта, нагрузки
и геокриологических условий участка на пучение грунтов
3.39. Сезонное промерзание грунтов в природных условиях колеблется в достаточно широких пределах - от нескольких сантиметров в южных областях европейской части СССР до 3 м в северных и северо-восточных регионах страны, а в районах с маловлажными грунтами и незначительным снежным покровом (например, в Центральном и Восточном Забайкалье) - до 5 м и более.
В сложившейся природной обстановке глубина сезонного промерзания незначительно меняется в течение ряда лет, и отклонение обычно не превышает 10 - 20% среднего многолетнего значения, принимаемого за нормативное

, причем в районах с глубоким сезонным промерзанием грунтов (2 м и более) процент этого отклонения уменьшается.
Освоение новых территорий и строительство различного рода зданий и сооружений в ряде случаев приводят к существенному изменению глубины промерзания грунтов оснований.
3.40. Нормативная глубина сезонного промерзания грунта

, м, при отсутствии данных многолетних наблюдений определяется в соответствии с указаниями
СНиП по проектированию оснований зданий и сооружений на основе теплотехнических расчетов, а для районов, где

, - по упрощенной формуле

, (34)
где

- сумма абсолютных значений среднемесячных отрицательных температур за зиму в данном районе, принимаемых по главе
СНиП по строительной климатологии и геофизике, а при отсутствии в ней данных для конкретного пункта или района строительства - по результатам наблюдений гидрометеорологической станции, находящейся в аналогичных условиях со строительной площадкой;

- глубина промерзания при

, зависящая от вида грунта и принимаемая равной, м: для суглинков и глин - 0,23; супесей, песков мелких и пылеватых - 0,28; песков гравелистых, крупных и средней крупности - 0,3; крупнообломочных грунтов - 0,34.
Значение

для грунтов неоднородного сложения определяется как средневзвешенное по глубине в пределах слоя промерзания грунта.
3.41. Расчетная глубина сезонного промерзания грунта

у фундаментов определяется по формуле

, (35)
где

- нормативная глубина промерзания, определяемая по
п. 3.40;

- коэффициент, учитывающий влияние теплового режима здания (сооружения) на глубину промерзания грунта у фундамента стен и колонн, принимаемый согласно данным табл. 3.
Таблица 3
Конструктивные особенности здания | Коэффициент  при расчетной среднесуточной температуре воздуха в помещении, примыкающем к фундаментам наружных стен и колонн, °C |
5 | 10 | 15 | 20 и более |
1 | 2 | 3 | 4 | 5 |
Здания (сооружения) с полами, устраиваемыми: | | | | |
на грунте | 0,8 | 0,7 | 0,6 | 0,5 |
на лагах по грунту | 0,9 | 0,9 | 0,7 | 0,6 |
по утепленному цокольному перекрытию | 1 | 0,9 | 0,8 | 0,7 |
Здания (сооружения) с подвалом или техническим подпольем | 0,7 | 0,6 | 0,5 | 0,4 |
Примечания. 1. К помещениям, примыкающим к фундаментам наружных стен и колонн, относятся подвалы и технические подполья, а при их отсутствии - помещения первого этажа. 2. При промежуточных значениях температуры воздуха

принимается с округлением до ближайшего меньшего значения, указанного в
табл. 3.
3.42. Характер течения грунтов по глубине в общем случае обусловлен их влажностным режимом (см.
пп. 3.10 -
3.14), а величина пучения пропорциональна в течение всего зимнего периода мощности слоя промерзающего грунта. Особый случай представляет промерзание и пучение грунтов в условиях смыкания слоя сезонного оттаивания с вечномерзлыми или скальными недренирующими породами.
3.43. В районах распространения вечномерзлых грунтов, где наблюдается их смыкание со слоем сезонного промерзания - протаивания (геокриологические условия "сливающегося типа"), необходимо учитывать следующие две особенности, предопределяющие характер пучения грунта по глубине:
а) промерзание грунтов сезоннопротаивающего слоя протекает в течение неполного зимнего периода и прекращается значительно ранее наступления положительных температур воздуха. В условиях небольшого снежного покрова (до 20 - 30 см) или его отсутствия промерзание грунтов заканчивается (т.е. достигает верхней границы вечномерзлых грунтов) в первой половине зимы, как правило, за первые 1,5 - 2 мес с устойчивыми отрицательными температурами воздуха;
б) отсутствие подтока воды в промерзающий грунт извне, т.е. со стороны вечномерзлых (или скальных) пород, обусловливает процесс пучения не во всем промерзающем слое, а лишь в некоторой верхней, активной его части

, составляющей в зависимости от гидротермических условий промерзания от 0,25 до 0,7 мощности этого слоя.
Отмеченные особенности необходимо учитывать в расчетах характеристик пучения путем введения в расчетные схемы значений средней температуры у поверхности грунта

за фактический период его промерзания и так называемой зоны активного пучения

.
3.44. Значение температуры поверхности грунта

за период его промерзания может быть определено графоаналитическим методом. Сначала определяется сумма абсолютных значений градусо-суток отрицательных температур воздуха

за период промерзания t' грунта:

, (36)
где

- удельная теплота кристаллизации воды, принимаемая равной 33,4 кДж/кг (80 ккал/кг); w - средняя предзимняя влажность грунта сезоннооттаивающего слоя, доли единицы;

- плотность скелета грунта, кг/м3;

- содержание (по массе) незамерзшей воды в мерзлом грунте при температуре, равной

, где

- ориентировочное значение температуры воздуха за первый месяц промерзания грунта;

- коэффициент теплопроводности мерзлого грунта, Вт/(м x °C) [ккал/(м x ч x °C)];

- расчетная глубина оттаивающего грунта, м.
Затем в координатах "сумма градусо-суток - время" строится кумулятивная кривая температуры воздуха (рис. 8) за первую половину зимнего периода, на которой находится точка, соответствующая значению

. Прямая, проведенная из этой точки параллельно оси ординат до пересечения с осью абсцисс, отсекает на последней отрезок, равный значению t. Отношение

дает искомое значение

, которое корректируется повторным расчетом по вышеприведенной схеме путем введения в
формулу (36) поправки на незамерзшую воду

.
Рис. 8. Графический метод построения кривой сезонного
промерзания и определения периодов времени промерзания
отдельных слоев не однородных по составу грунтов
3.45. В районах распространения вечномерзлых грунтов значение активной зоны пучения

слоя сезонного оттаивания

определяется по формуле

, (37)
3.46. Зависимость морозного пучения от мощности сезоннопромерзающего слоя, как и от действия внешнего давления (нагрузки) проявляется посредством воздействия массы мерзлого грунта на физико-механические процессы, протекающие при перераспределении воды в подстилающих слоях талого грунта и приводящие к его усадке. В свою очередь согласно
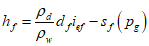
п. 2.2 усадка грунта является составной частью величины пучения.
3.47. Величина усадки

от веса слоя

промерзшего грунта

, МПа, в общем виде может быть представлена выражением

, (38)
где

- усадка талого грунта, м, возникающая при пучении грунта в вышележащем промерзшем слое

; знак "минус" указывает, что усадка неравнозначна пучению;

- коэффициент сжимаемости (уплотнения) талого грунта,

(см2/кгс), определяемый стандартным компрессионным испытанием образцов грунта естественной структуры при изменении давления от

до

;

,

- коэффициенты пористости грунта, соответствующие его природному сложению на глубине

и при давлении

. E - модуль деформации глинистых грунтов, МПа (кгс/см2), определяемый в зависимости от показателя консистенции и коэффициента пористости в соответствии с указаниями
СНиП по проектированию оснований зданий и сооружений;

- безразмерный коэффициент, равный 0,8.
В зависимости от степени влажности грунта

величина

, согласно
(38), определяется по следующим формулам:
при


; (39)
при


, (40)
где

- плотность минеральных частиц грунта, кг/м3;

- переводной коэффициент.
3.48. В условиях заданного давления на грунт от постоянной нагрузки

в качестве исходных данных для расчета характеристик пучения, включая усадку грунта, принимаются функционально зависящие от давления средние значения плотности скелета

и влажности

талого грунта в слое

, оцениваемые следующими соотношениями:

; (41)

, (42)
где

- коэффициент пористости грунта при давлении от внешней нагрузки p.
3.49. С изменением плотности и влажности грунта под влиянием внешней постоянной нагрузки

изменяется величина усадки, которая для данного случая может быть представлена формулой общего вида

, (43)
где

- коэффициент сжимаемости талого грунта,

(см2/кгс) при действии нагрузки

, превышающей значение

на 0,05 МПа;

;

- коэффициенты пористости образца грунта на глубине

, соответствующие значениям

и

;

- давление от массы слоя промерзшего грунта мощностью

;

- давление на скелет грунта от внешней нагрузки;

, E - те же обозначения, что в
формуле (38), п. 3.47.

. (44)
В зависимости от степени влажности грунта

величина усадки (при

, кг/м3) определяется по следующим формулам:
при


; (45)
при


, (46)
где

- влажность грунта, уплотненного внешней нагрузкой (см. пп. 3.50,
5.17).
3.50. Определение физических свойств грунта в зависимости от давления производится стандартными компрессионными испытаниями образцов грунта естественной структуры, залегающего в пределах промерзающего слоя

. При этом оценка искомых величин сводится к следующей методике.
После полного уплотнения образца грунта нагрузкой

, превышающей

, в конце опыта определяется плотность скелета грунта

:

, (47)
где

- масса образца высушенного грунта после его испытания;

- площадь поперечного сечения образца;

- высота образца в конце опыта.
По данным значений

и

в соответствии с
формулой (41) определяется конечное значение коэффициента пористости

. (48)

, (49)
где

- высота образца грунта после полного уплотнения его заданной нагрузкой (i-й);

определяется прибавлением в конечной высоте образца величины осадки, соответствующей изменению нагрузки от

до

;

- приведенная высота образца грунта, определяемая по формуле

. (50)
Значение предзимней влажности грунта

рассчитывается по
формуле (42) на основании полученных данных о значениях

и

или вычисляется непосредственно из опыта по формуле

, (51)
где

- масса воды в образце грунта в конце опыта;

- масса образца грунта после уплотнения его заданной (i-й) нагрузкой;

- масса образца грунта в конце опыта;

- то же, что в
формуле (47).
3.51. Предварительно (до промерзания) уплотнение грунтов постоянной нагрузкой, как правило, способствует уменьшению их интенсивности пучения. В первую очередь это положение справедливо для водонасыщенных грунтов, имеющих степень влажности, равную или близкую к единице, когда грунт уплотняется в условиях отжатия свободной воды. Однако в трехфазных системах, у которых влияние нагрузки от сооружения сводится к осадке грунта за счет свободных (воздушных) пор, интенсивность его пучения в последующий период эксплуатации сооружения может измениться как в сторону понижения, так и повышения в соответствии с отмеченными выше закономерностями влияния плотности грунтов на пучение.
4. НАЗНАЧЕНИЕ И ОЦЕНКА ИСХОДНЫХ ДАННЫХ
ДЛЯ ПРОГНОЗА МОРОЗНОГО ПУЧЕНИЯ ГРУНТОВ
4.1. Достоверность аналитической оценки характеристик пучения промерзающих грунтов зависит не только от надежности метода их расчета, но и в значительной степени от правильной оценки физических свойств грунтов и обоснованного назначения исходных нормативных значений показателей, определяющих процесс пучения.
4.2. Для прогнозирования характеристик пучения грунтов необходимо установление ряда нормативных значений исходных показателей, к которым в первую очередь относятся:
зерновой (гранулометрический) состав грунта;
плотность скелета грунта

;
плотность твердых частиц грунта

;
пластичность грунта

,

;

;
влажность грунта w;
средняя температура

и продолжительность

периода промерзания грунта;
мощность слоя промерзшего грунта

.
Остальные показатели определяются расчетом или табулированы в зависимости от состава и физических свойств грунтов обследуемого участка.
Если исходные данные первых четырех наименований являются достаточно постоянными величинами во времени и определяются в ходе проведения изыскательских работ, то остальные параметры в зависимости от различий в годичных климатических циклах и обустройства территории застройки могут претерпеть значительные изменения, вызывая тем самым неопределенность расчетных величин. Поэтому достоверность прогноза характеристик пучения в значительной мере будет зависеть от оптимального выбора и надлежащей обеспеченности трех последних исходных параметров.
4.3. Исследованию подвергаются грунты, которые характеризуют мощность слоя сезонного (или многолетнего) промерзания в пределах контура проектируемого объекта. При выявлении грунтовых вод на обследуемом участке глубину горных выработок, закладываемых в наиболее характерных точках рельефа, следует увеличить в соответствии с данными, приведенными в
табл. 1, п. 3.14.
4.4. Количество горных выработок для определения физических свойств грунтов в общем случае зависит от степени неоднородности грунтов основания, типа, назначения и размеров сооружения в плане, особенностей его конструктивных элементов, в том числе фундаментов, а также от степени надежности выявляемых расчетных характеристик. В частности, объем изыскательских работ для каждого типа сооружения и его конструктивного решения может регламентироваться требованием о заданной степени допустимой неравномерности пучения, характеризуемой величиной предельно допустимой деформации неравномерного пучения (см.
п. 2.9). Рациональным следует считать такое количество отбора проб грунта, которое с определенной степенью надежности позволяет судить о достаточной освещенности его физических свойств на всем обследуемом участке.
4.5. Показатели физических свойств грунта определенного генезиса и состояния распределяются в соответствии с нормальным законом математической статистики. Поэтому для оценки достоверности того или иного физического показателя, полученного в ходе изысканий, может быть использован метод доверительных пределов, позволяющий определить необходимое число проб, если известны основное (среднее квадратичное) отклонение и точность определения данного показателя.
Согласно методу доверительных пределов достаточное количество проб n для слоя однородного промерзающего грунта с заданной доверительной вероятностью (надежностью) искомого показателя, численно равной интегралу вероятности

, определяется формулой

, (52)
где

- нормированное отклонение;

- показатель точности определения, выражающий отношение основной ошибки

среднего значения частичной совокупности

к среднему значению общей совокупности

, %;

- основное отклонение общей совокупности, принимаемое равным при достаточно большом числе наблюдений (n > 20 ~ 30) основному отклонению

частичной совокупности

, (53)
где

- i-тый член в ряду случайных величин (частное значение данного показателя).
По
формуле (52) определяется число наблюдений n, достаточное для того, чтобы на основании частичной совокупности получить среднее значение исследуемого показателя, отличающееся от его среднего значения общей совокупности не более чем

.
Применяя эту
формулу при использовании основной ошибки среднего значения с нормированным отклонением

, будем иметь степень надежности

. При другой заданной вероятности

определяем t:
| 0,68 | 0,8 | 0,85 | 0,9 | 0,95 | 0,99 |
| 1 | 1,28 | 1,44 | 1,65 | 1,95 | 2,58 |
Основное отклонение характеризует рассеяние значений ряда распределений. Оно не зависит ни от генетической, ни от возрастной принадлежности обследуемого слоя грунта. Для приближенных расчетов количества проб грунта могут быть рекомендованы следующие значения допустимых основных отклонений:

- 0,02 т/м3; для

- 0,07 т/м3; для w,

и

- соответственно 4, 5 и 3%.
Существенно влияет на число n показатель точности определения

. Чем точнее произведено исследование, тем меньше будет показатель

. В зависимости от природы изучаемого явления показатель точности исследования считается достаточным, если он не превышает 3 - 5%.
Рекомендуемые допустимые значения этого показателя, по А.А. Кагану, для ряда физических характеристик грунтов приведены в табл. 4.
Таблица 4
Значение показателя точности определения
физических характеристик грунтов

Характеристика грунта | Пределы изменения характеристик |
Естественная влажность w, % | < 10 | 10 - 20 | 20 - 30 | 30 - 50 | > 50 |
Показатель  , % | 0,5 | 1,0 | 1,2 | 1,5 | 2,0 |
Влажность на границе текучести  , % | < 20 | 20 - 30 | 30 - 50 | 50 | - |
Показатель  , % | 1 | 2 | 3 | 4 | - |
Влажность на границе раскатывания  , % | < 10 | 10 - 20 | 20 - 30 | > 30 | - |
Показатель  , % | 1 | 1,5 | 2 | 3 | - |
Плотность грунта  , т/м3 | > 2,3 | 2,1 - 2,3 | 1,8 - 2,1 | 1,6 - 1,8 | < 1,6 |
Показатель  , % | 0,10 | 0,05 | 0,05 | 0,03 | 0,02 |
Плотность частиц  , т/м3 | В любом диапазоне значение 0,02 |
Показатель  , % |
Величины основных отклонений для исследуемого слоя грунта могут отличаться от значений, которые приведены выше. Поэтому в конкретных условиях число n должно уточняться в ходе исследований.
4.6. При оценке характеристик пучения следует различать два вида их прогноза - краткосрочный и долгосрочный.
Краткосрочный прогноз предусматривает оперативное определение характеристик пучения с целью установления возможного влияния морозоопасности грунтов на конструктивный объект в предстоящий зимний период.
Долгосрочный прогноз предусматривает определение максимальных деформаций пучения, способных возникнуть при существующих условиях за длительный период эксплуатации сооружения. Эти значения могут предназначаться для учета пучинистых свойств грунтов как на конкретной строительной площадке, так и для района строительства в целом.
При долгосрочном прогнозе исходные показатели подлежат обязательной статистической обработке. При этом для гражданских и промышленных сооружений согласно
СНиП по проектированию оснований зданий и сооружений рекомендуется задаваться следующей доверительной вероятностью (степенью надежности)

:
при расчете оснований по несущей способности - 0,95;
при расчете оснований по деформации - 0,85;
для особо ответственных сооружений 1 класса - 0,99.
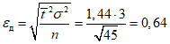
Пример 3. При изысканиях под промышленное сооружение на стадии технического проекта исследован двухметровый слой суглинка, средняя влажность которого по определению 45 проб составила 25%.
Определить для достоверной оценки данного показателя необходимое число проб n грунта на влажность при заданной степени надежности

и

; рассчитанное по
формуле (53) основное отклонение

составило 3%.
Подставив полученные значения в
формулу (52), найдем для характеристики влажности показатель точности определения

:

.
При влажности w = 25% показатель точности определения должен быть не более 1,2%. Таким образом, полученная по 45 пробам точность превышает табличную. Для выбора расчетного значения влажности в данном случае можно было бы ограничиться

.
Назначение исходных данных при краткосрочном прогнозе
4.7. При краткосрочном прогнозе характеристик пучения в первую очередь необходимо учитывать местные сведения об осенне-зимнем периоде обследуемой территории (погодные условия, режим увлажнения грунтов и т.п.), которые могут быть получены на ближайшей метеостанции на основании опыта местного строительства и проводимых ранее изысканий, а также в результате опроса населения.
4.8. Физические показатели грунтов допускается определить в летне-осенний период, предшествующий расчетному зимнему сезону. Лишь определение влажности грунтов, как правило, должно проводиться осенью или, как исключение, рассчитываться по данным разовых замеров в летний период с поправкой на осеннее увлажнение грунтов.
Расчетное значение влажности определяется на основании обследования грунтов строительной площадки путем отбора проб из выработок, закладываемых в наиболее характерных точках площадки (на повышенных и пониженных участках, в углах проектируемого на площадке здания и т.п.). За расчетные значения w принимаются экспериментальные значения, полученные по ряду обследованных выработок, глубина которых назначается в зависимости от расчетной глубины промерзания и разновидности грунтов с учетом их обводнения грунтовыми водами.
4.9. Отбор проб грунта на влажность производится в выработках бороздковым методом, позволяющим охарактеризовать послойную влажность в пределах мощности слоя 20 - 25 см. Значение средней влажности w рассчитывается по формуле

, (54)
где

,

,...,

,...,

- послойная влажность талого грунта в пределах сезоннопромерзающего слоя

;

,...,

- мощность отдельных слоев талого грунта.
Примечания. 1. В условиях влияния УПВ на грунты сезоннопромерзающего слоя глубина выработок для отбора проб на влажность увеличивается в соответствии с
табл. 1, п. 3.14. 2. При наличии на площадке обследования подземных вод, уровень которых в предзимний период доходит до отметки, соответствующей более чем половине нормативного расстояния, указанного в
табл. 1, и глубине сезонного промерзания

в качестве расчетного значения принимается влажность, соответствующая полному водонасыщению грунта.
4.10. Нормативная глубина сезонного промерзания

и расчетная температура поверхности грунта

определяются на основании климатологических данных районов обследования, а также данных ближайшей метеостанции в соответствии с рекомендациями
пп. 3.34;
3.35;
3.40;
3.41;
3.43;
3.45.
При наличии данных наблюдений за глубиной промерзания грунта в течение ряда лет и данных о среднезимних температурах воздуха за те же годы в качестве значений

и

принимаются данные того года, в котором отношение величин

является максимальным.
4.11. При переходе от нормативной глубины промерзания грунта на оголенном от снега и дерна участке к глубине промерзания конструкции автомобильных дорог значение

умножается на коэффициент 1,2.
При наличии на поверхности промерзающего грунта теплоизоляционного покрытия расчет параметров

и

производится в соответствии с рекомендациями
п. 3.35.
Назначение исходных данных при долгосрочном прогнозе
4.12. При долгосрочном прогнозе характеристик пучения определение физических показателей, в частности расчетной влажности грунтов, следует производить в летне-осенний период после полного оттаивания грунтов, промерзающих в течение предшествующего зимнего сезона. При этом обследование грунтов строительной территории производится в соответствии с рекомендациями, приведенными в
пп. 4.1 -
4.9.
4.13. Методика оценки расчетной (предзимней) влажности грунта при долгосрочном прогнозе основывается на том, что общее влагосодержание талого грунта в поверхностном слое ограниченной мощности

в любой момент летне-осеннего сезона может рассматриваться как функция осадконакоплений и испарения с поверхности грунта за определенный предшествующий период, длительность которого зависит от фильтрационных свойств исследуемого грунта.
Согласно этому положению значение расчетной влажности может быть определено по формуле

, (55)
где

- средняя влажность грунта в пределах сезоннопромерзающего слоя

, полученная в результате проводимых в летне-осенний сезон изысканий;

- расчетное (по многолетним данным) количество осадков, выпавших за некоторый летний период

, предшествующий моменту проведения изысканий;

- расчетное (по многолетним данным) количество осадков, выпавших в предзимний (до установления отрицательных температур воздуха) период

, равный по продолжительности периоду

;

- коэффициент, учитывающий различие в условиях испарения с поверхности грунта в периоды

и

, рассчитываемые по многолетним данным:

, (56)
где

,

- среднее атмосферное давление соответственно за периоды

и

;

,

- средняя скорость ветра соответственно за периоды

и

;

,

- средняя абсолютная влажность воздуха соответственно за периоды

и

;

,

- средние разности скорости ветра и влажности воздуха на двух уровнях в пределах 2 м от поверхности грунта соответственно за периоды

и

.
При некотором запасе надежности расчета влажности w значение коэффициента

в
формуле (55) может быть принято равным единице.
Примечания. 1.
Формула (55) справедлива при допущении, что поверхностный сток на строительной площадке в периоды

и

остается неизменным. 2. Испарение с поверхности грунта, как правило, уменьшается по мере приближения зимнего сезона.
Продолжительность периода

определяется по формуле

, (57)
где

- коэффициент фильтрации исследуемого грунта, м/сут.
Значение

может быть ограничено 90 сутками, поскольку при малой водопроницаемости морозных грунтов

процесс изменения его влажностного режима за счет инфильтрата осадков протекает настолько медленно, что за 3-месячный период не выходит за пределы слоя

.
Ориентировочные значения

для отдельных видов грунта составляют: для супеси - 0,5 - 1 мес; для суглинка - 2 мес; для глины - 3 мес.
Расчетные величины

и

определяются по формуле

, (58)
где

- среднее количество осадков, выпавших соответственно в периоды

и

за n лет наблюдений;

- нормированное отклонение количества осадков за периоды

и

от среднего значения

при заданной степени надежности (см.
п. 4.5);

- основное отклонение (см.
п. 4.5).
Расчет искомых величин по изложенной схеме правомерен при достаточно большом числе справочных данных об осадках, составляющих непрерывный ряд не менее чем за 20 лет (n >= 20).
Располагая данными о количестве осадков за 10 - 20 лет, расчет

и

производится в соответствии с критериями значимости при малом объеме наблюдений. В этом случае основное отклонение заменяется в расчете его оценкой

, определяемой из дисперсии по формуле

, (59)
где

- количество осадков, выпавших соответственно в периоды

и

за i-тый год наблюдений.
При этом в зависимости от принятой обеспеченности и числа лет наблюдений n нормированное отклонение

находят по таблице значений доверительных показателей (табл. 5).
Таблица 5
Значения

при заданной обеспеченности
Значение n - 1 | Обеспеченность, % |
20 | 10 | 5 | 1 |
9 | 1,38 | 1,83 | 2,26 | 3,25 |
10 | 1,37 | 1,81 | 2,23 | 3,17 |
11 | 1,36 | 1,80 | 2,20 | 3,11 |
12 | 1,36 | 1,78 | 2,18 | 3,05 |
13 | 1,35 | 1,77 | 2,16 | 3,01 |
14 | 1,34 | 1,75 | 2,14 | 2,98 |
15 | 1,34 | 1,75 | 2,13 | 2,95 |
16 | 1,34 | 1,75 | 2,12 | 2,92 |
17 | 1,33 | 1,74 | 2,11 | 2,90 |
18 | 1,33 | 1,73 | 2,10 | 2,88 |
19 | 1,33 | 1,73 | 2,09 | 2,86 |
20 | 1,33 | 1,72 | 2,09 | 2,85 |
4.14. Расчетная температура поверхности грунта

определяется на основе обработки многолетних (не менее чем за 10 лет) климатологических данных об отрицательных температурах воздуха района обследования по следующей формуле:

, (60)
где

- сумма значений среднемесячных отрицательных температур воздуха в i-том году;

- число месяцев с отрицательной температурой воздуха в i-том году; n - число наблюдений (n > 10).
4.15. Нормативная глубина промерзания

определяется на основе обработки многочисленных (не менее чем за 10 лет) данных о промерзании грунтов района обследования, а при их отсутствии - теплотехническим расчетом или по указаниям
п. 3.40 с введением в расчетные формулы значения

(см.
п. 4.14).
При наличии данных наблюдений за глубиной промерзания грунта

в течение ряда лет (в крайнем случае, за один год), а также данных о среднезимних температурах воздуха за те же годы значение

может быть определено по формуле

, (61)
где

- средняя глубина промерзания за ряд (x) лет (или, в крайнем случае, за один год);

- средняя за тот же ряд (x) лет наблюдений среднезимняя температура воздуха;

- средняя многолетняя за n лет наблюдений (n = 10 - 20) среднезимняя температура воздуха;

- нормированное отклонение, определяемое по данным
табл. 4;

- оценка основного отклонения, определяемая по формуле

, (62)
здесь

- среднезимняя температура воздуха за i-тый год наблюдений.
| | ИС МЕГАНОРМ: примечание. В официальном тексте документа, видимо, допущена опечатка: пункт 3.55 отсутствует. | |
4.16. Долгосрочный прогноз температуры поверхности и глубины промерзания грунта под стационарными слоями теплоизоляции и покрытиями автомобильных дорог производится с использованием расчетных параметров
пп. 4.14 и
4.15 в соответствии с рекомендациями пп. 3.55 и
4.11.
5. ПРОГНОЗ ХАРАКТЕРИСТИК МОРОЗНОГО ПУЧЕНИЯ ГРУНТОВ РАСЧЕТОМ
5.1. Прогноз величины и интенсивности морозного пучения грунтов производится расчетом на основании данных исследования физико-механических свойств талых грунтов площадки обследования (см.
разд. 4), причем за исходные данные принимаются результаты инженерно-строительных изысканий, предопределяющие наиболее неблагоприятные, в смысле пучения, грунтовые условия.
5.2. При назначении расчетных данных в первую очередь необходимо исходить из гидрогеологических условий грунтов площадки обследования. В районах, характеризующихся сезонным промерзанием грунтов, где вечномерзлые породы отсутствуют или залегают на достаточно большой глубине, по геокриологическому признаку следует различать:
участки, сложенные грунтами, имеющими предзимнюю влажность, соответственно равную или близкую полному водонасыщению, т.е. когда

[см.
п. 3.19, формула (11)];
участки, сложенные грунтами, имеющими неполное водонасыщение в осенний период, т.е. когда

.
Участки первого типа, как правило, характеризуются наличием грунтовых вод, расстояние от уровня которых до границы сезонного промерзания не превышает значений, приведенных в
табл. 1.
Участки второго типа характеризуются отсутствием грунтовых вод или залеганием их уровня ниже границы сезонного промерзания грунтов на расстоянии, превышающем значения
табл. 1.
Приведенные градации влагосодержания диктуют выбор схемы расчета избыточного льдовыделения

в промерзающем грунте, а следовательно, и деформаций его пучения.
5.3. Во всех рассмотренных ниже расчетных схемах глубина промерзания

принята при значении температуры открытой поверхности грунта

. Для случая теплового воздействия на промерзающий грунт сооружения или теплоизоляционного покрытия, а также для геокриологических условий "сливающегося типа" значения глубины промерзания и температуры поверхности грунта принимаются в соответствии с рекомендациями, приведенными в
пп. 3.35;
3.41;
3.43 -
3.45.
5.4. Значения параметров

,

и

, входящих в расчет миграционного влагонакопления
(п. 3.21) для незасоленных грунтов, приведены в
табл. 2. Для засоленных грунтов, содержащих незамерзшей воды

, параметр

рассчитывается по
формуле (18), а температура прекращения пучения засоленного грунта

- по следующей формуле:

. (63)
5.5. Величина пучения грунта

может быть представлена уравнением общего вида

, (64)

; (65)

(66)

, (67)
где

- избыточное льдовыделение, доли единицы, характеризующее количество замерзшей воды, вызывающей пучение грунта;

,

- коэффициенты сжимаемости талого грунта соответственно при действии массы слоя промерзшего грунта и внешней нагрузки

(см.
пп. 3.47 -
3.49).
В соответствии с
выражениями (64) -
(67) расчет интенсивности f (доли единицы) и величины

, м, пучения промерзающего грунта производится по формулам:

; (68)

. (69)
Расчет характеристик пучения глинистых
водонасыщенных грунтов при

5.6. Для глинистых грунтов с начальной влажностью w в осенний период, превышающей влажность предела пучения
(п. 3.19), избыточное льдовыделение

оценивается формулой

, (70)
где

- содержание незамерзшей воды в промерзающем грунте, определяемое по рекомендациям
п. 3.18;

- средняя миграционная влажность в пределах слоя промерзающего грунта

, определяемая по рекомендациям
п. 3.2 в соответствии с условием

(см.
п. 3.22).

. (71)
Примечание. В условиях

,

,

оценка значений

и f может производиться без учета величины усадки

, идущей в этом случае в запас надежности расчетных характеристик.
5.8. При действии внешней нагрузки на промерзающий грунт

и учете при этом изменения физических свойств
(п. 3.48) величина пучения при

в соответствии с
формулами (45),
(46) п. 3.49 определяется из выражения

; (72)

(73)

; (74)

, (75)
где индексы

у параметров, входящих в
формулы (72) -
(75), указывают на их зависимость от внешней нагрузки

.
Расчет характеристик пучения глинистых грунтов
при неполном их водонасыщении при

5.9. Для глинистых грунтов, имеющих в осенний период влажность, ниже или равную влажности предела пучения
(п. 3.19), избыточное льдовыделение

оценивается формулой

, (76)

. (77)
Примечание. В условиях p = 0 и h < 2,5 - 3 м оценка значений

и f может производиться без учета величины усадки

, идущей в запас надежности расчетных характеристик.
5.11. При действии внешней нагрузки на промерзающий грунт

и учете при этом изменения физических свойств
(п. 3.48) величина пучения при

в соответствии с
формулами (45),
(46) п. 3.49 определяется из выражения

, (78)
где

;

- расчетные параметры, определяемые по
формулам (73) -
(75) в зависимости от действия внешней нагрузки

.
Примеры расчета.
Пример 4. Определить величину

и среднюю интенсивность

пучения аллювиального пылеватого суглинка на оголенной площадке в условиях г. Игарки при промерзании до глубины 2,2 м.
При средней влажности промерзающего грунта w = 33,3% его послойная предзимняя влажность до глубины

составляла:
h, м | 0,0 - 0,4 | 0,4 - 0,8 | 0,8 - 1,2 | 1,2 - 1,6 | 1,6 - 2,0 | 2,0 - 2,4 |
 , % | 30,9 | 31,1 | 32,7 | 33,7 | 35,6 | 35,8 |
При числе дней с отрицательной температурой за отмеченный период t = 208 и

средняя температура на поверхности грунта

. Остальные данные:

;

;

;

;

;

. Согласно
табл. 2 получим:

;

;

. Тогда

. По формулам
п. п. 3.19 -
3.22 определим значения

,

,

,

,

,

,

,

,

. При

(см.
рис. 3).

.
Определив по
рис. 4 при

и

значение

, получим

;

.
Значение

, следовательно,

.

.
При

избыточное льдовыделение

определим по формуле

.
Пренебрегая усадкой грунта

, величина пучения, согласно
формуле (71), будет равна:

.
При этом средняя интенсивность пучения составит:

.
Пример 5. Определить величину

и среднюю интенсивность

пучения при тех же условиях, что в
примере 4, но при действии давления от нагрузки на поверхности грунта

.
Согласно опытным данным коэффициент пористости ненагруженного грунта, равный

, изменится на глубине 1 - 1,1 м при давлении от нагрузки

до

. При этом изменится плотность скелета

и начальная влажность w грунта до значений

и

. По
формулам (41) и
(42) при

определим

и

:

;

.
Определив по
рис. 4 при

и

значение

, найдем

.

;

.
Для оценки усадки грунта

при пучении определим в соответствии с указаниями
СНиП по проектированию оснований зданий и сооружений нормативное значение модуля деформации E в зависимости от коэффициента пористости

и показателя консистенции

:
при

;

; E = 10,7 МПа (107 кгс/см2).
Тогда усадка грунта

при пучении при

, согласно
формуле (45), будет равна:
Средняя интенсивность пучения

при этом будет равна:

.
Пример 6. При тех же условиях, что в
примерах 4 и
2, определить величину

и среднюю интенсивность

пучения грунта при устройстве теплоизоляционного покрытия на его поверхности.
Согласно расчетным данным, приведенным в
примере 2, средняя температура поверхности и глубина промерзания грунта под теплоизоляцией соответственно равны:

;

.
Средняя предзимняя влажность грунта до глубины 1,6 м составит w = 32,1%.
В соответствии с
п. 3.21 определим значения

,

,

,

и

.

при

и

, согласно
рис. 4,

. Отсюда

;

.
Значение

, следовательно,

.
При значениях

и

, меньших, чем в
примере 1, очевидно,

.

;

.
Пренебрегая усадкой грунта

, величина пучения

, согласно
формуле (71), составит

,
а средняя интенсивность пучения

:

.
Расчет характеристик пучения песчаных
и крупнообломочных грунтов
5.12. Пучинистые свойства несвязных крупнозернистых грунтов оцениваются на основе предварительного выявления их гранулометрического состава, в зависимости от которого эти грунты в порядке возрастания их возможной морозоопасности подразделяются на следующие группы:
1) крупнообломочные грунты с песчаным заполнителем, гравелистые, крупно- и среднезернистые пески, не содержащие включений пылевато-глинистых фракций;
2) пески первой группы, содержащие включения пылевато-глинистых фракций;
3) пески мелкие и пылеватые, а также супеси с

;
4) крупнообломочные грунты преимущественно с пылевато-глинистым заполнителем.
В приведенных группах степень пучинистости грунтов возрастает по мере увеличения в их составе пылевато-глинистых фракций.
5.13. Грунты первой группы
п. 5.12 относятся к неморозоопасным грунтам. Как уже отмечалось (см.
п. 3.3), лишь при залегании их в условиях замкнутого объема, где невозможен беспрепятственный отток воды из промерзающего массива, эти грунты переходят в категорию слабопучинистых грунтов. Если при этом минеральные частицы не испытывают взвешивающее действие воды, максимальное значение модуля пучения

, соответствующее полной влагоемкости грунта

, определяется по формуле

. (79)
5.14. Грунты последних трех групп
п. 5.12 в зависимости от содержания в них пылевато-глинистых фракций, обусловливающих количество связанной воды, могут быть как морозоопасными, так и неморозоопасными грунтами. Поэтому прежде чем делать количественную оценку пучения таких грунтов, необходимо определить их критерий дисперсности Д (п. 5.15), на основании которого устанавливается принадлежность грунта к категории морозоопасных.
5.15. Способность грунта к связыванию количества влаги, необходимого для развития процесса пучения, может быть выражена через капиллярный потенциал, пористость и интегральную поверхность частиц в единице объема грунта. В обобщенном виде эти показатели представляют собой критерий морозоопасности грунта по степени дисперсности (критерий дисперсности) Д, определяемый по формуле

, (80)
где

- удельная поверхностная энергия [поверхностное натяжение

(0,077 г/см)]; k - коэффициент пропорциональности, равный

; e - коэффициент пористости талого грунта;

- плотность воды,

(1 г/см3);

- средний диаметр частиц (агрегатов) грунта, м, определяемый по формуле

, (81)
где

,

,...,

- процентное содержание отдельных фракций грунта, доли единицы;

,

,...,

- средний диаметр частиц отдельных фракций, м.
В практических расчетах диаметры отдельных классифицированных фракций определяются по их минимальным размерам, умноженным на коэффициент 1,4. За расчетный диаметр последней наименьшей фракции принимается ее максимальный диаметр, деленный на коэффициент 1,4.
Граница перехода неморозоопасной системы в морозоопасную соответствует значению критерия дисперсности Д = 1.
При Д < 1 грунты относятся к неморозоопасным; пучение их возможно лишь в частном случае, отмеченном в
п. 5.13.
При 1 < Д < 5 грунты относятся к слабопучинистым; модуль пучения их составляет не более 3,5 см/м промерзающего грунта.
При Д > 5 грунты относятся к последующим, более высоким степеням морозоопасности; пучинистые свойства таких грунтов подлежат дополнительным расчетам.
Примеры расчета.
Пример 7. Оценить степень морозоопасности природного кварцевого песка из г. Надыма, имеющего коэффициент пористости

и следующий гранулометрический состав:
Песок Пыль Глина
Размер частиц
отдельных фракций, мм ..... < 0,1 < 0,05 < 0,005
Количество частиц, % ...... 10 3 0
В соответствии с рекомендациями
п. 5.15 определим средний размер частиц отдельных фракций:

;

;

.

.
Критерий дисперсности составит тогда, согласно
формуле (80),
при e = 0,45

;
при e = 0,7 Д = 1,8.
Следовательно, по расчету надымский песок относится к слабопучинистым грунтам

. По экспериментальным данным ЛенЗНИИЭП значения модуля пучения этого песка достигают 1,2 - 2,5 см/м.
Пример 8. Минимальное содержание мелкозема, при котором наблюдается пучение элювиальных крупнообломочных грунтов Урала, составляет 5%. Если принять средний размер частиц мелкого заполнителя 0,01 мм, а крупных фракций 1 мм, то при их процентном соотношении 5:95 и минимальной пористости n = 0,3 (e = 0,43) критерий дисперсности

,
что подтверждают данные экспериментальных исследований.
5.16. Характеристики пучения морозоопасных крупнозернистых грунтов, имеющих Д > 5, рассчитываются с учетом так называемого "буферного эффекта" свободной воды, заключающегося в ее отжатии от границы промерзания в подстилающие слои талого грунта вследствие высоких фильтрационных свойств и малой влагоудерживающей способности песчано-гравелистых частиц. Учет "буферного эффекта" сводится к оценке количества влаги

, удерживаемой скелетом грунта и вводимой в расчет вместо начальной влажности w. Являясь переменным значением, величина

зависит от давления, возникающего в промерзающем грунте при кристаллизации воды.
В песчаных грунтах вся нагрузка воспринимается непосредственно их скелетом. Учитывая, однако, что в грунтах последних трех групп
п. 5.12 находится то или иное количество пылевато-глинистого заполнителя (мелкозема), с некоторым допущением можно считать, что давление будет восприниматься как песчаными частицами, так и гидратными оболочками тонких фракций. Поэтому при свободной (незагруженной) поверхности водонасыщенного несвязного грунта

, (82)
где

- расчетное значение количества влаги, доли единицы, удерживаемой скелетом несвязного грунта при действии давления, равного

, МПа (кгс/см2);

- глубина промерзания грунта, м.
При действии внешней нагрузки

на грунт

, (83)
где

- расчетное значение количества влаги, доли единицы, удерживаемой скелетом несвязного грунта при действии давления от грунта

и внешней нагрузки

, МПа (кгс/см2).
5.17. Изменение влажности крупнозернистых грунтов в процессе их уплотнения нагрузкой невозможно установить непосредственно опытом, поскольку в момент снятия нагрузки с испытываемого образца объем пор грунта увеличивается и быстро поглощает воду из чаши, в которой находится образец. Если же воду слить перед снятием нагрузки, то вода вытекает из пор грунта. Поэтому определение значения

для крупнозернистых грунтов (как и для других видов грунтов) может быть произведено по результатам изменения деформаций образца грунта при компрессионном испытании на основе оценки соответствующего коэффициента пористости

, определяемого по формуле Н.А. Цытовича

(84)

,
где

- начальная высота образца;

- полная осадка образца в компрессионном приборе при данной ступени загружения

, измеренная от начала загружения.
Значение

определяется по
формуле (42) п. 3.48. Образцы грунта приготовляются к лабораторным испытаниям по обычной методике. Если испытанию подвергаются крупнообломочные грунты, то частицы размером более 10 - 20 мм заменяются в них по весу более мелкими частицами (3 - 5). Давление на грунт дается ступенями до конечной заданной нагрузки

или

.
5.18. Характеристики пучения

и

крупнозернистых грунтов 2 - 4 групп
п. 5.12 рассчитываются по
формулам (68),
(69) на основе оценки количества и качественных признаков мелкозема, принимаемого как некоторый эквивалент глинистого грунта. Учитывая, однако, что крупнозернистые грунты обладают малой сжимаемостью, особенно при достаточно высокой начальной плотности

, в условиях отсутствия внешней нагрузки усадкой их можно пренебречь

. Тогда формула расчета величины пучения примет вид:

. (85)
5.19. Избыточное льдовыделение

крупнозернистых грунтов 2 - 4 групп
п. 5.12 определяется в зависимости от их расчетного начального влагосодержания

,

, параметров пористости

,

, включающих начальную плотность

,

, и наличия внешней нагрузки на промерзающий грунт. При этом в качестве исходных данных расчета удельного миграционного влагонакопления в промерзающем грунте принимаются физические свойства (

,

и др.), температурные параметры (

,

и др.) мелкозема, к которому относятся частицы крупнозернистого грунта размером менее 0,25 мм.
5.20. Расчет избыточного льдовыделения

и величины пучения

промерзающего крупнозернистого грунта в условиях отсутствия внешней нагрузки производится по следующим двум схемам:
I. При

;


, (86)
где

; (87)

(88)
при

; (89)

, (90)
где

- расчетное начальное влагосодержание крупнозернистого грунта, доли единицы, определяемое в соответствии с
п. 5.16;

- средняя миграционная влажность мелкозема, к которому относятся частицы грунта размером менее 0,25 см, доли единицы;

;

- содержание незамерзшей воды в мелкоземе соответственно при значениях температуры

и

, определяемой согласно
п. 3.18;

- коэффициент, учитывающий пористость крупнозернистого грунта, приходящуюся на мелкозем;

- процентное (по массе) содержание мелкозема в крупнозернистом грунте, доли единицы;

- критическая влажность мелкозема, доли единицы, определяемая по
формуле (13) п. 3.20 при

и принимаемая равной

при

, где

- максимальная молекулярная влагоемкость;

- температура прекращения пучения мелкозема, принимаемая при

по
табл. 2 или по
5.4 при

;

- параметр, определяемый при

в соответствии с пластичностью мелкозема по
формуле (18) п. 3.21 или по
табл. 2, а при

- принимаемый равным

(в среднем 20).
Остальные параметры те же, что в
п. 5.17.
Примечание. При

содержание незамерзшей воды в крупнозернистом грунте может быть принято равным нулю.
Величина пучения по первой расчетной схеме (

;

) определяется в соответствии с
формулами (85) и
(86).
5.21. Более широко распространено пучение крупнозернистых грунтов применительно ко второй расчетной схеме:
II. При

;


, (91)
По второй расчетной схеме величина пучения определяется из выражения

. (92)
5.22. Расчет избыточного льдовыделения

и величины пучения

в условиях действия внешней нагрузки на промерзающий крупнозернистый грунт производится по следующим двум схемам в соответствии с изменением физических свойств грунта:
III. При

;


. (93)
Здесь

. (94)

(95)
при

; (96)

, (97)
где индекс

у параметров указывает на их зависимость не только от

, но и от

(
пп. 3.16,
3.17), причем значение

определяется по
формуле (41).
Следует подчеркнуть, что для крупнозернистых грунтов, имеющих жесткий скелет, содержание воды в грунте, особенно при неполном насыщении пор водой, не влияет на характер компрессионной кривой (грунт с разным содержанием воды может иметь один и тот же коэффициент пористости). Поэтому значение

может быть определено только на основании вышеуказанной методики (см.
п. 5.17).
Величина пучения в условиях

;

с учетом усадки промерзающего грунта

[
формулы (45),
(46)] определяется по формуле

. (98)
5.23. При действии внешней нагрузки на промерзающий крупнозернистый грунт

в условиях его водонасыщения

избыточное льдовыделение и величина пучения определяются по следующей схеме с учетом усадки грунта

[
формулы (45),
(46)].
IV. При

;


, (99)
Величина пучения определяется из выражения

. (100)
Расчет характеристик пучения неоднородных
по составу переслаивающихся грунтов
5.24. При наличии на площадке изысканий в пределах сезоннопромерзающего слоя песчано-гравелистых и глинистых грунтов расчет характеристик пучения многослойной толщи производится раздельно для каждого конкретного вида грунта.
В качестве исходных данных расчета принимаются:
а) характеристики, определяемые на основе результатов наблюдений и оценки физических свойств грунтов, а именно:
нормативная глубина сезонного промерзания грунтов

;
время промерзания грунтов

;
температурный режим и средняя зимняя температура у поверхности грунта

;
осредненные физические характеристики отдельных видов грунтов в послойном залегании;
б) параметры, определяемые расчетом, в том числе средние расчетные температуры промерзания отдельных видов грунта, выявляемые графоаналитическим методом.
5.25. Для оценки расчетной температуры промерзания отдельных видов (или слоев) грунта в координатах "сумма градусо-суток - время" строится кумулятивная кривая отрицательных температур воздуха за зимний период (см.
рис. 8), по которой определяется средняя зимняя температура промерзания грунтов

:

, (101)
где

- сумма градусо-суток отрицательных температур воздуха за зимний период

.
Исходя из прямолинейного распределения температуры в мерзлом грунте, средняя температура

, характеризующая количество незамерзшей воды в каждой грунтовой разности (или отдельном слое грунта), будет равна:

, (102)
где

- средняя температура мерзлого грунта в слоях 1, 2,..., i;

- расстояние от поверхности грунта до середины i-го слоя.
Сумма градусо-суток, соответствующая сезоннопромерзающему слою грунта

, может быть представлена выражением

, (103)
где

- теплофизический коэффициент, определяемый из
выражения (103) и принимаемый постоянным при промерзании грунтов в пределах слоя

, сут/м2;

- среднее количество воды, кристаллизующейся в единице объема грунта в пределах слоя

, доли единицы;

- средняя влажность грунта в пределах отдельных слоев (1, 2,..., i, n), доли единицы;

- количество незамерзшей воды (доли единицы) в грунте отдельных слоев (1, 2,..., i, n);

определяется в соответствии с данными
п. 3.18;

- мощность отдельных слоев грунта, см.
Полученные данные позволяют определить суммы градусо-суток

, соответствующие промерзанию грунта отдельных слоев. Так, для первого верхнего слоя (считая от поверхности грунта)

; (104)
для верхних двух слоев -

(105)
и т.д.
Расчетные значения суммы градусо-суток (

,

,...,

) будут соответствовать на кумулятивной кривой определенным точкам a, b, c. Если по оси ординат отложить значения слоев

,

,

, как это показано на
рис. 8, и провести из точек a, b, c линии, параллельные оси ординат, то точки пересечения с осью абсцисс дадут периоды времени промерзания отдельных слоев грунта (

,

,

), а точки пересечения с отметками залегания слоев - кривую промерзания грунтов.
В периоды времени

,

,

средняя температура поверхности грунта может быть определена из выражений:
для поверхностного слоя

; (106)
для слоя

и последующих нижележащих слоев

. (107)
Зная значения температуры поверхности в отдельные периоды, оценка расчетных температур (

,

,...,

) при послойном промерзании грунтов, за исключением температуры поверхностного слоя

[см.
формулу (106)], может быть определена из выражения

. (108)
5.26. Оценка характеристик пучения отдельных видов или слоев грунта производится согласно методикам, приведенным в
пп. 5.5 -
5.23, причем вместо значений

и

для каждого вида грунта принимаются соответственно мощность его слоя (

,

,...,

) и расчетная температура промерзания (

,

,...,

).
Расчет интенсивности пучения
по глубине слоя промерзающего грунта
5.27. Рассмотренные выше методы расчета интенсивности пучения дают представление лишь о среднеинтегральном ее значении для слоя промерзающего грунта в целом. Между тем при решении ряда задач, связанных с назначением глубины заложения фундаментов, и проведением противопучинных мероприятий, направленных на предупреждение морозных деформаций грунтов или уменьшение его силовых воздействий на фундаменты и конструкции сооружений, нередко возникает необходимость оценки фактической интенсивности пучения по глубине слоя промерзающего грунта. Наличие информации о смещениях промерзающего грунта на различных глубинах в условиях управления временем, температурой и глубиной промерзания грунта посредством назначения теплоизоляционных покрытий его поверхности или иных мероприятий позволяет уменьшить пучение до допустимых размеров или вовсе его устранить.
5.28. Непосредственно определить расчетом фактическую интенсивность пучения практически невозможно, поскольку изменение ее по глубине промерзающего слоя подчиняется сложному закону и в каждом конкретном случае имеет свои особенности, зависящие от переменности многочисленных факторов.
Экспериментальные или расчетные данные о величинах

и

позволяют получить осредненную по глубине интенсивность пучения

, которая в соответствии с
формулой (68) графически представляет прямоугольную эпюру, рис. 9, 0, a, b, c, ограниченную прямой ab, проведенной параллельно оси ординат

.
1)
2)
Рис. 9. Графическое построение эпюры
интенсивности пучения грунта
1) - связь между средней и фактической эпюрами
для сезоннопромерзающего слоя грунта в целом;
2) - построение фактической эпюры по данным
о послойном пучении грунта
Если на график нанести фактическую эпюру интенсивности пучения, ограниченную кривой 0, a'b'c'c, то заштрихованные части площадей этой эпюры, лежащие справа и слева от прямой ab, будут равновелики между собой. В этом смысле связь между средней

и фактической

интенсивностью пучения может быть выражена уравнением

, (109)
из которого следует, что площади обеих эпюр равновелики и равны значению

. Поэтому для расчетной оценки значения

можно воспользоваться методом дифференциации значения

, в соответствии с которым определяются средние интенсивности пучения

,

,

отдельных слоев

,

,

промерзающего грунта, а по их значениям графически выявляется фактическая интенсивность пучения для всего сезоннопромерзающего слоя

.
5.29. Определение средней интенсивности пучения в пределах отдельных элементов сезоннопромерзающего слоя

производится на основе исходных данных о послойной оценке физических свойств грунтов и степени его охлаждения в период промерзания

при соответствующей ему средней зимней температуре

на поверхности грунта. При этом степень дифференциации средней интенсивности пучения будет зависеть от величины элементов, на которые расчленяется сезоннопромерзающий слой и для которых определяются указанные выше исходные данные.
5.30. Методика прогноза фактической интенсивности пучения сводится к следующей расчетной схеме.
Сезоннопромерзающий слой

условно делится на ряд прослойков

,

,...,

,

, в которых определяется начальная влажность грунта -

,

,...,

,

, а при послойном изменении состава грунта - его пластичность и плотность.
На основе осредненных показателей физических свойств грунта по методам, изложенным в
пп. 5.6 -
5.23, рассчитывается величина пучения

всего сезоннопромерзающего слоя. Ее значение может быть представлено равенством

, (110)
где

,

,...,

и

,

,...,

- соответственно величины и интенсивности пучения промерзающего грунта в слоях мощностью

,

,...,

.
Если пренебречь деформациями промерзающего грунта за счет начального влагосодержания, которое в соответствии с основным условием пучения (
пп. 2.4,
2.5) не выходит за пределы величины модуля слабопучинистых грунтов

, средняя интенсивность пучения

в отдельных слоях составит

, (111)

; (112)

; (113)

. (114)
Здесь в
формуле (112) все параметры являются средневзвешенными величинами, отнесенными ко всему слою

, а в
формуле (113) индексы 1, 2,..., i указывают на принадлежность параметров к определенным расчетным слоям

,

,...,

. Значения

и

определяются в зависимости от вида грунта данного слоя по
табл. 2 или по
п. 5.1 и по
формуле (18).
Примечание. При послойном изменении состава грунтов, имеющих значительные расхождения в плотности, значения параметров

и

в
формулах (112) -
(114) умножаются на плотность скелета, соответствующую данному слою грунта.
5.31. На основании полученных в
п. 5.30 расчетных данных строится послойная эпюра интенсивности для всего сезоннопромерзающего слоя (см.
рис. 9), на которую, согласно уравнению равных площадей
(109), наносится огибающая кривая, характеризующая фактическую интенсивность пучения.
6. РАСЧЕТ МОРОЗООПАСНЫХ ОСНОВАНИЙ И ВОЗВОДИМЫХ
НА НИХ ФУНДАМЕНТОВ ПО ПРЕДЕЛЬНЫМ СОСТОЯНИЯМ
Глубина заложения фундаментов
6.1. В соответствии со
СНиП по проектированию оснований зданий и сооружений обеспечение устойчивости и прочности зданий и сооружений, возводимых на морозоопасных основаниях, предопределяется решением следующих задач:
а) назначением глубины заложения фундамента с учетом предупреждения возможного промерзания и пучения грунтов основания под подошвой фундамента;
б) проверкой устойчивости и прочности фундамента на действие касательных сил пучения, возникающих в процессе промерзания и пучения грунта у боковой поверхности фундамента.
6.2. Глубина заложения фундаментов (от поверхности планировки) отапливаемых зданий и сооружений по условиям недопущения промерзания грунта и развития нормальных сил морозного пучения под подошвой фундамента
(п. 2.12) для наружных стен и колонн назначается по указаниям
СНиП по проектированию оснований зданий и сооружений.
Глубина заложения фундаментов согласно табл. 6 назначается для зданий и сооружений, не допускающих вертикальных перемещений и рассчитываемых по первому предельному состоянию (по устойчивости).
Таблица 6
Глубина заложения фундаментов из условий возможности
пучения промерзающих грунтов основания
<*>
N п.п. | Вид и критерий <**> оценки морозоопасности грунта | Расстояние от поверхности планировки до уровня подземных вод в период промерзания грунта <***> | Глубина заложения фундамента |
1 | Скальные, крупнообломочные грунты с песчаным заполнителем, пески гравелистые, крупные и средние без пылевато-глинистых фракций | Любое | Не зависит от расчетной глубины промерзания |
2 | Крупнообломочные грунты и все виды песков, включая пылеватые при D < 1 | " | Не зависит от расчетной глубины промерзания |
3 | Крупнообломочные грунты с пылевато-глинистым заполнителем, пески мелкие и пылеватые, супеси с  при 1 < D < 5 | Превышает расчетную глубину промерзания на 1,5 м и более | Не менее 0,5 расчетной глубины промерзания |
4 | Крупнообломочные грунты с пылевато-глинистым заполнителем, пески мелкие и пылеватые при D > 1 | Меньше расчетной глубины промерзания или превышает ее не более чем на 1,5 м | Не менее расчетной глубины промерзания |
5 | Супеси, суглинки, глины при  | Превышает расчетную глубину промерзания в супесях, суглинках и глинах соответственно на 1,5; 2,5; 3,5 м | Не менее 0,5 расчетной глубины промерзания |
6 | Супеси, суглинки, глины при  | Любое | Не менее расчетной глубины промерзания |
--------------------------------
<*> Действие нагрузки от сооружений на пучинистые свойства грунта данными таблицы не учитывается.
<**> Приведенные в
табл. критерии D,

,

определяются в соответствии с рекомендациями
пп. 3.19;
3.20;
5.15.
<***> При оценке глубины залегания уровня подземных вод необходимо учитывать сезонные и многолетние его колебания, а также возможность его повышения или понижения, связанные с проведением технических и мелиоративных мероприятий (водопроводная и канализационная сеть на площадке, дренаж и т.п.).
6.3. Для зданий и сооружений, приспособленных к вертикальным перемещениям или сохраняющих нормальные эксплуатационные качества при возникновении некоторых допустимых перемещений, промерзание грунтов под подошвой фундаментов допускается при определенных грунтовых условиях (см.
п. 6.28). В этом случае глубина заложения фундаментов назначается расчетом (см.
п. 6.29) исходя из проектирования сооружения по второму предельному состоянию (по деформациям).
Условия развития и оценка касательных
и нормальных сил морозного пучения
6.4. Формирование напряженного состояния между фундаментом и морозоопасным грунтом начинается с момента их смерзания. Развитие касательных напряжений с увеличением площади смерзания грунта с боковой поверхностью фундамента обусловливает среднеинтегральное (суммарное) значение силы пучения
(п. 2.12), величина которой зависит от многих переменных: температуры, влажности (льдистости) и вида грунта, глубины и характера его промерзания и пучения, конфигурации, материала и состояния поверхности фундамента, геокриологических условий и других факторов.
6.5. При сезонном промерзании грунтов, как и при геокриологических условиях "несливающегося типа", момент достижения

максимального значения

приурочен к 0,6 полного периода промерзания грунта с открытой поверхностью, что по времени соответствует наступлению минимальной (из среднемесячных значений) температуры воздуха и глубине промерзания грунта, равной

(где

- глубина сезонного промерзания).
После достижения максимума значение

уменьшается еще до наступления положительных температур воздуха.
С началом весеннего протаивания грунтов в районах с суровыми климатическими условиями зимнего периода рост касательных напряжений продолжается в нижних горизонтах сезоннопромерзающего слоя при общей тенденции уменьшения значения

.
6.6. При геокриологических условиях "сливающегося типа" касательная сила пучения

достигает максимальной величины на момент прекращения пучения грунта, т.е. при значении
(п. 3.42), соответствующем 0,6 - 0,7 мощности слоя протаивающего грунта.
6.7. Значение

, отнесенное к площади смерзания грунта с фундаментом

, характеризует расчетное значение удельной касательной силы морозного пучения

, определяемой по формуле

, (115)
где

- коэффициент, учитывающий геокриологические условия участка; при сезонном промерзании грунтов в условиях отсутствия или глубокого залегания вечномерзлых пород

; при смыкании промерзающего слоя с вечномерзлыми (или скальными) породами

;

- коэффициент, учитывающий материал и состояние поверхности фундамента в пределах слоя промерзающего грунта; значение

принимается по табл. 7;

- значение удельной нормативной касательной силы пучения, МПа (кгс/см2), определяемое в зависимости от степени морозоопасности грунта по
табл. 8;

- расчетная площадь боковой поверхности фундамента, м2, находящейся в пределах расчетной глубины слоя сезонного промерзания - оттаивания грунта.
Таблица 7
Значение коэффициента

, учитывающего материал
и состояние боковой поверхности фундамента
Материал фундамента и характер его боковой поверхности | Значение  |
Деревянные свайно-столбчатые фундаменты с гладкой поверхностью | 1,0 |
Железобетонные и бетонные фундаменты с гладкой поверхностью | 1,15 |
Железобетонные и бетонные фундаменты с шероховатой поверхностью (выступы и впадины до 5 мм) | 1,2 - 1,25 |
Железобетонные и бетонные фундаменты с выступами и впадинами на поверхности до 20 мм | 1,25 - 1,7 |
Бутобетонные фундаменты и фундаменты из бутовой кладки, закладываемые без опалубки | 2,0 и более |
Опоры с металлическими поверхностям (без специальной обработки) | 0,8 |
Примечание. При наличии выступов на фундаменте следует ориентироваться на максимальное значение

.
Таблица 8
Значения удельной нормативной касательной силы пучения
Степень пучинистости промерзающего грунта | Значение  , МПа (кгс/см2), при глубине сезонного промерзания грунта, м |
до 1,5 | до 2,5 | более 2,5 |
Чрезмерно и сильнопучинистые | 0,13 (1,3) | 0,1 (1,0) | 0,08 (0,8) |
Среднепучинистые | 0,1 (1,0) | 0,08 (0,8) | 0,06 (0,6) |
Слабопучинистые | 0,08 (0,8) | 0,06 (0,6) | 0,04 (0,4) |
Примечание. Для промежуточных глубин промерзания значение принимается по интерполяции.
6.8. Промерзание морозоопасного грунта под подошвой фундамента (или под трубопроводом) вызывает развитие нормальных сил пучения
(п. 2.12), среднеинтегральное значение

которых зависит от мощности слоя грунта, промерзающего под фундаментом (трубопроводом), его температуры, скорости пучения, а также площади подошвы фундамента. Значение

возрастает пропорционально понижению температуры, увеличению мощности слоя и скорости пучения промерзающего грунта, а также уменьшению площади подошвы фундамента (или диаметра трубопровода).
6.9. Значение

, отнесенное к площади подошвы фундамента, характеризует значение расчетной нормальной силы пучения

, кгс/см2, определяемой по формуле

, (116)
где

- среднее давление на подошву фундамента, МПа (кгс/см2) при действии сил пучения, определяемое согласно
п. 6.10;

- коэффициент, зависящий от площади подошвы фундамента и мощности слоя грунта

, промерзающего под фундаментом; значение

определяется по рис. 10;

- коэффициент, принимаемый для плоской формы подошвы фундамента равным 1; для круглой формы трубы

;

- площадь подошвы отдельно стоящего фундамента, а для трубопроводов - проекции 1 м трубы на горизонтальную плоскость, м2.
Рис. 10. Зависимость коэффициента

от площади

подошвы фундамента и глубины промерзания

под ним
6.10. Значение давления на подошву фундамента морозоопасного грунта

, промерзающего под фундаментом (трубопроводом) на глубину

, определяется в зависимости от формы подошвы по следующим формулам:
при круглой форме

; (117)
при квадратной форме

; (118)
при прямоугольной форме

, (119)
где a, b, r - соответственно стороны и радиус подошвы фундамента (или трубы), м;

- мощность слоя грунта, промерзающего под фундаментом (или трубой, считая от нижней образующей), м;

- сопротивление смещению (сдвигу) мерзлого грунта, МПа (кгс/см2), относительно фундамента (трубы), вызванному собственно силами пучения на площади массива, превышающей площадь подошвы фундамента:

, (120)
где

- средняя скорость пучения грунта (м/сут), промерзающего под фундаментом;

определяется в соответствии с рекомендациями
5-го разд.;

- абсолютное значение минимальной температуры мерзлого грунта под фундаментом (°C), определяемое в соответствии с рекомендациями
пп. 3.36 -
3.38; k - коэффициент соответствия, равный 200 МПа x м/сут x e °C.
Значения

в зависимости от параметров

и

приведены в табл. 9.
Таблица 9
Значения сопротивления сдвигу мерзлого
грунта

, МПа, относительно фундамента
Значение минимальной температуры промерзающего грунта под подошвой фундамента  | Средняя скорость пучения грунта  , м/сут, промерзающего под подошвой фундамента |
0,02 | 0,04 | 0,06 | 0,08 | 0,1 | 0,12 | 0,14 | 0,16 | 0,18 | 0,2 | 0,25 | 0,3 | 0,35 | 0,4 | 0,45 | 0,5 |
-0,6 | 5 | 11 | 16 | 22 | 27 | 33 | 38 | 44 | 49 | 55 | 68 | 82 | 96 | 110 | 123 | 137 |
-0,8 | 6 | 12 | 18 | 24 | 30 | 36 | 42 | 48 | 54 | 60 | 76 | 91 | 106 | 121 | 136 | 152 |
-1,0 | 7 | 13 | 20 | 27 | 34 | 40 | 47 | 54 | 60 | 67 | 84 | 101 | 118 | 135 | 152 | 169 |
-1,2 | 7,5 | 15 | 22 | 30 | 38 | 45 | 52 | 61 | 67 | 75 | 94 | 112 | 131 | 150 | 169 | 188 |
-1,4 | 8 | 16 | 25 | 33 | 41 | 50 | 58 | 67 | 75 | 83 | 104 | 125 | 146 | 167 | 188 | 208 |
-1,6 | 9 | 18 | 28 | 37 | 46 | 56 | 65 | 74 | 83 | 93 | 116 | 139 | 162 | 185 | 208 | 232 |
-1,8 | 10 | 20 | 31 | 41 | 51 | 62 | 72 | 82 | 93 | 103 | 128 | 154 | 180 | 206 | 231 | 257 |
-2,0 | 11 | 23 | 34 | 46 | 57 | 69 | 80 | 91 | 103 | 114 | 143 | 171 | 200 | 228 | 257 | 286 |
-2,2 | 13 | 25 | 38 | 51 | 63 | 76 | 89 | 101 | 114 | 127 | 158 | 190 | 222 | 254 | 286 | 317 |
-2,4 | 14 | 28 | 42 | 56 | 70 | 85 | 98 | 113 | 127 | 141 | 176 | 211 | 247 | 282 | 317 | 352 |
-2,6 | 15 | 31 | 47 | 62 | 78 | 94 | 109 | 125 | 141 | 156 | 195 | 235 | 274 | 313 | 352 | 391 |
-2,8 | 17 | 35 | 52 | 69 | 87 | 104 | 121 | 139 | 156 | 174 | 217 | 260 | 304 | 248 | 391 | 435 |
-3,0 | 19 | 38 | 58 | 77 | 96 | 116 | 135 | 154 | 174 | 193 | 241 | 289 | 338 | 386 | 434 | 483 |
-3,2 | 21 | 42 | 64 | 86 | 107 | 129 | 150 | 172 | 193 | 215 | 268 | 322 | 376 | 429 | 483 | 537 |
-3,4 | 24 | 47 | 72 | 95 | 119 | 143 | 167 | 191 | 215 | 238 | 298 | 358 | 417 | 477 | 536 | 596 |
-3,6 | 26 | 53 | 79 | 106 | 132 | 159 | 185 | 212 | 238 | 265 | 331 | 397 | 463 | 530 | 596 | 662 |
-4,0 | 33 | 65 | 98 | 131 | 163 | 196 | 229 | 261 | 294 | 327 | 408 | 490 | 572 | 653 | 735 | 817 |
-4,2 | 36 | 72 | 109 | 145 | 181 | 218 | 254 | 290 | 327 | 363 | 454 | 544 | 635 | 726 | 816 | 907 |
-4,4 | 40 | 81 | 121 | 161 | 201 | 242 | 282 | 322 | 363 | 403 | 504 | 604 | 705 | 806 | 907 | 1007 |
-4,6 | 45 | 90 | 134 | 179 | 224 | 269 | 313 | 358 | 403 | 448 | 559 | 671 | 783 | 895 | 1007 | 1119 |
-4,8 | 50 | 99 | 149 | 200 | 249 | 298 | 348 | 398 | 447 | 497 | 621 | 746 | 870 | 994 | 1119 | 1243 |
-5,0 | 55 | 110 | 166 | 221 | 276 | 331 | 387 | 442 | 497 | 552 | 690 | 828 | 966 | 1104 | 1242 | 1380 |
-5,2 | 61 | 123 | 184 | 245 | 307 | 368 | 429 | 491 | 552 | 613 | 767 | 920 | 1073 | 1227 | 1380 | 1533 |
-5,4 | 68 | 136 | 204 | 272 | 341 | 409 | 477 | 545 | 613 | 681 | 852 | 1022 | 1192 | 1362 | 1533 | 1703 |
-5,6 | 76 | 151 | 227 | 303 | 378 | 454 | 530 | 605 | 681 | 757 | 946 | 1135 | 1324 | 1513 | 1702 | 1892 |
-5,8 | 84 | 168 | 252 | 336 | 420 | 504 | 588 | 672 | 756 | 840 | 1051 | 1261 | 1471 | 1681 | 1891 | 2101 |
-6,0 | 93 | 187 | 280 | 373 | 467 | 560 | 653 | 747 | 840 | 933 | 1167 | 1400 | 1634 | 1867 | 2100 | 2334 |
Примечание. Для промежуточных значений

и

величина

принимается по интерполяции.
Расчет оснований и фундаментов по устойчивости
и прочности на воздействие сил морозного пучения
6.11. Под условиями устойчивости фундамента в промерзающем морозоопасном грунте понимается равновесие сил, воспринимаемых грунтом через фундамент от внешней нагрузки (вместе с массой фундамента), и сил пучения, возникающих в зоне фундамента и противодействующих нагрузке от сооружения и сил заанкеривания фундамента в подстилающих мерзлых или талых грунтах.
6.12. Расчет устойчивости фундамента, закладываемого на расчетную глубину, нормированную
табл. 6, производится исходя из возможности действия касательных сил пучения, величина которых устанавливается специальными исследованиями, а при их отсутствии - расчетом.
6.13. Определение касательных сил пучения расчетом производится на основании данных исследования грунтов строительной площадки, а также выявления характеристик промерзания и пучения грунтов.
6.14. В соответствии с условиями устойчивости фундаментов всех типов расчет их на воздействие касательных сил пучения производится согласно указаниям главы
СНиП по проектированию оснований и фундаментов на вечномерзлых грунтах по формуле

, (121)
где

- расчетное значение удельной касательной силы пучения, определяемое по
формуле (115);

- расчетная площадь боковой поверхности фундамента, м2, находящейся в пределах расчетной глубины слоя сезонного промерзания - оттаивания; F - расчетная постоянная нагрузка на фундамент, МН, определяемая с коэффициентом 0,9;

- расчетное значение силы, удерживающей фундамент от выпучивания вследствие смерзания его с вечномерзлым грунтом

или трения его поверхности с талым грунтом

, МН;

- коэффициент условий работы, принимаемый равным 1;

- коэффициент надежности, принимаемый равным 1.
6.15. Расчетное значение силы

, МН (кгс), удерживающей фундамент от выпучивания вследствие трения его поверхности с талым грунтом, определяется по формуле

, (122)
где

- расчетное сопротивление талого грунта сдвигу по боковой поверхности фундамента, МПа (кгс/см2) в j-том слое, принимаемое согласно указаниям главы
СНиП II-17-77;

- площадь вертикальной поверхности фундамента, м2, ниже отметки промерзания; значение

для свай и столбов без анкерной плиты принимается равным произведению толщины j-го слоя на периметр их сечения, для фундаментов с анкерной плитой - произведению j-го слоя на периметр анкерной плиты; n - число слоев.
6.16. Расчетное значение силы

, МН (кгс), удерживающей фундамент от выпучивания за счет смерзания его с вечномерзлым грунтом, определяется по формуле

, (123)
где

- расчетное сопротивление мерзлого грунта сдвигу по поверхности смерзания, МПа (кгс/см2), в j-том слое, принимаемое по табл. 10;

- площадь вертикальной поверхности смерзания, м2, расположенной в j-том слое; значение

определяется так же, как и

в
формуле (122).
Таблица 10
Расчетное сопротивление мерзлых грунтов и грунтовых
растворов сдвигу по поверхности смерзания
Наименование грунта | Значение  , МПа (кгс/см2), при температуре грунта, °C |
-0,3 | -0,5 | -1 | -1,5 | -2 | -2,5 | -3 | -3,5 | -4 | -6 |
Песчаные | 0,05 (0,5) | 0,08 (0,8) | 0,13 (1,3) | 0,16 (1,6) | 0,2 (2,0) | 0,23 (2,3) | 0,26 (2,6) | 0,29 (2,9) | 0,33 (3,3) | 0,38 (3,8) |
Глинистые, включая пылеватые | 0,04 (0,4) | 0,05 (0,5) | 0,1 (1) | 0,13 (1,3) | 0,15 (1,5) | 0,18 (1,8) | 0,2 (2) | 0,23 (2,3) | 0,25 (2,5) | 0,32 (3,2) |
Примечание. Значения

при смерзании грунта с металлическими поверхностями (если эти поверхности специально не обработаны) принимаются с коэффициентом 0,7.
6.17. При применении столбчатых фундаментов опорно-анкерного типа расчет сил, удерживающих фундамент от выпучивания, определяется в соответствии с рекомендациями
п. 7.19.
6.18. При необходимости заложения фундаментов в пределах сезоннопромерзающего слоя устойчивость сооружения в условиях промерзания морозоопасных грунтов под подошвой фундамента обеспечивается при совместном учете касательных и нормальных сил пучения. В этом случае расчет отдельно стоящих фундаментов по устойчивости на воздействие касательных и нормальных сил пучения производится по формуле

, (124)
6.19. Проверка всех типов заанкеренных фундаментов на прочность при действии касательных сил пучения производится в соответствии с главой
СНиП по проектированию оснований и фундаментов на вечномерзлых грунтах по формуле

, (125)
где

- расчетное усилие, разрывающее заанкеренный фундамент;

,

- те же обозначения, что в
п. 6.14.
Обеспечение устойчивости малонагруженных
свайно-столбчатых фундаментов
6.20. Назначение обоснованных значений сил пучения для фундаментов транспортных сооружений нередко бывает затруднительно по причине большой протяженности трассы, изменение природной обстановки на которой требует для каждого обследуемого района индивидуального решения противопучинной устойчивости сооружения. Особенно это касается сооружений с малонагруженными и ненагруженными фундаментами (опоры мостов, эстакад, контактной сети, мачт линий электропередачи, трубопроводов и др.). Для этих сооружений основным условием устойчивости фундаментов, обеспечивающим противодействие касательным силам пучения, является заложение фундаментов на достаточно безопасную, в смысле выпучивания, глубину.
6.21. В зависимости от глубины заложения ненагруженного свайно-столбчатого фундамента в талых грунтах основания его устойчивость сохраняется до определенной глубины промерзания морозоопасного грунта, ниже которой касательная сила пучения будет превосходить по величине силу заанкеривания фундамента.
Зависимость глубины заложения свай d в чрезмерно пучинистых талых грунтах от мощности слоя промерзшего грунта

, соответствующей нарушению равновесного состояния фундамента, показывает
(рис. 11), что устойчивое положение сваи сохраняется, если обеспечивается условие

. (126)
Рис. 11. Зависимость глубины заложения свайно-столбчатых
фундаментов d от мощности слоя промерзающего пучащегося
грунта

, при которой наступает их выпучивание
6.22. Безопасная глубина промерзания любого пучинистого грунта

, при которой сохраняется условие предельного равновесия свайного фундамента в талых грунтах (без учета массы фундамента и нагрузки), определяется уравнением

, (127)
где d - глубина заложения свайно-столбчатого фундамента в талом грунте, считая от его поверхности планировки.
6.23. Устойчивость ненагруженного свайно-столбчатого фундамента в вечномерзлых грунтах может быть обеспечена, если в условиях сохранения грунтов основания в мерзлом состоянии глубина заложения в них фундамента будет соответствовать удвоенному расчетному значению слоя сезонного оттаивания.
Расчет оснований и фундаментов по деформациям
промерзающих морозоопасных грунтов
6.24. Опыт эксплуатации отдельных видов зданий и сооружений показывает, что при определенных грунтовых условиях строительной площадки и конструктивных особенностях возводимых сооружений последние в процессе эксплуатации способны претерпевать некоторые перемещения под воздействием сил пучения, сохраняя при этом свои нормальные эксплуатационные качества.
На основании этого опыта, а также исходя из технико-экономических соображений, в ряде случаев представляется возможным проектировать фундаменты сооружений на морозоопасных основаниях не только по устойчивости стабильного положения сооружения, как этого требует глава
СНиП по проектированию оснований и фундаментов на вечномерзлых грунтах, но и по их допустимым деформациям от пучения промерзающих грунтов, т.е. по второму предельному состоянию. Проектирование сооружений по деформациям позволяет уменьшать глубину заложения фундаментов по сравнению с нормативными ее значениями, предусмотренными
СНиП по проектированию оснований зданий и сооружений и
п. 6.1 настоящего раздела.
6.25. Закладывать фундаменты в пределах слоя сезонного промерзания - оттаивания морозоопасных грунтов допускается в случаях, когда наряду с требованием
п. 6.28 соблюдаются следующие условия:
а) возможные деформации пучения под фундаментом не нарушают нормальной эксплуатации здания или сооружения;
б) возникающие в результате неравномерного поднятия и опускания фундаментов дополнительные усилия в конструкциях зданий (сооружений) не изменяют условий, предусмотренных расчетом их по предельным состояниям согласно
СНиП по проектированию оснований зданий и сооружений.
6.26. Заложение фундамента в пределах слоя промерзающего морозоопасного грунта неизбежно вызывает под фундаментом развитие сил пучения, в результате действия которых сооружение способно подвергаться вертикальным, нередко неравномерным перемещениям до предельного значения, равного величине пучения грунта, промерзающего под фундаментом. Поэтому при ограничении перемещений сооружения некоторой допустимой деформацией необходимо иметь представление о мощности слоя грунта основания под фундаментом, в пределах которого пучение не превышало бы заданной допустимой деформации для сооружения. На мощность этого слоя уменьшается глубина заложения фундамента при проектировании его в пределах сезонномерзлой толщи.
6.27. В условиях восприятия капитальными сооружениями малых деформаций заложение фундаментов по второму предельному состоянию в сильнопучинистых грунтах, характеризующихся высокой интенсивностью и неравномерностью пучения, как правило, не гарантирует сохранность сооружения, а вместе с тем и экономически не оправдано ввиду незначительного сокращения нормативной глубины заложения фундамента. Проектирование фундаментов по второму предельному состоянию в сильнопучинистых грунтах допускается лишь для одно-, двухэтажных зданий 3-го и 4-го класса, сохраняющих свою эксплуатационную пригодность при наличии относительно больших вертикальных перемещений при сезонном промерзании и оттаивании грунтов основания.
6.28. Основным требованием, ограничивающим возможность использования морозоопасных грунтов в качестве оснований при проектировании сооружений по деформациям, является выбор строительной площадки со слабопучинистым или среднепучинистым грунтом, однородным по составу в плане площадки и по глубине сезоннопромерзающего слоя.
6.29. Расчет фундаментов по допустимым деформациям сооружений от морозного пучения грунтов основания, промерзающих ниже подошвы фундамента, производится исходя из следующих двух условий:

, (128)
где

- предельно допустимое вертикальное перемещение (деформация) фундамента, принимаемое в зависимости от конструктивных особенностей сооружения численно равным 0,25 от предельных величин осадок, приведенных в соответствии со
СНиП по проектированию оснований зданий и сооружений или по табл. 11;

- расчетное вертикальное перемещение (деформация) промерзающего грунта под подошвой фундамента от действия сил пучения;

- предельно допустимая деформация сооружения при неравномерном пучении грунта, определяемая по
табл. 12;

- расчетная относительная неравномерность пучения грунта, промерзшего под подошвой фундамента, определяемая в соответствии с рекомендациями
разд. 5.
Таблица 11
Значения предельно допустимой величины
совместных вертикальных перемещений морозоопасного
грунта оснований и сооружений

Краткая характеристика конструктивных особенностей сооружений | Величина предельного вертикального перемещения  , м |
максимальная | средняя |
1. Промышленные и гражданские здания с каркасом: | | |
железобетонные рамы | 2 | - |
стальные рамы | 3 | - |
2. Здания и сооружения, в конструкциях которых не возникает дополнительных усилий от неравномерных деформаций основания | 4 | - |
3. Промышленные и гражданские здания без каркаса с несущими стенами из: | | |
крупных блоков, панелей и кирпичной кладки без армирования | - | 2,5 |
крупных блоков и кирпичной кладки с армированием или железобетонными поясами | - | 3,5 |
4. Сооружения ограниченных размеров в плане, отдельные или разделенные на независимые блоки на железобетонных ленточных и сплошных плитных фундаментах | 6 | - |
Таблица 12
Значение предельно допустимой деформации сооружения

при неравномерном пучении грунта основания
Тип сооружения | Краткая характеристика сооружения (или его эксплуатации) | Значение деформации  |
Промышленно-гражданские здания и сооружения | 1. Промышленные и гражданские здания с каркасом: | |
железобетонные с заполнением железобетонные рамы без заполнения | 0,1 |
стальные рамы с заполнением | 0,2 |
стальные рамы без заполнения | 0,4 |
2. Здания и сооружения, в конструкциях которых не возникает дополнительных усилий от неравномерных деформаций основания | 0,6 |
3. Промышленные и гражданские здания без каркаса с несущими стенами из: | |
крупных панелей | 0,035 |
крупных блоков и кирпичной кладки без армирования | 0,05 |
крупных блоков и кирпичной кладки с армированием или железобетонными поясами | 0,06 |
Железные дороги | Скорость движения подвижного состава, км/ч | |
менее 100 | 0,01 |
более 100 | 0,005 |
Автомобильные дороги | Покрытие дороги: | |
цементобетонное | 0,043 |
асфальтобетонное | 0,085 |
усовершенствованное облегченное | 0,12 |
6.30. В качестве расчетного перемещения

следует принимать величину пучения ненагруженного грунта, промерзающего ниже подошвы фундамента в характерных по влажностному режиму точках площадки. При этом влияние нагрузки от сооружения на интенсивность пучения принимается в запас надежности работы фундамента в промерзающем грунте.
Значение

определяется по формуле

, (129)
где

- средняя по глубине интенсивность пучения грунта под подошвой фундамента (доли единицы), определяемая в соответствии с рекомендациями
пп. 5.29 -
5.30;

- мощность слоя грунта, промерзающего под подошвой фундамента, м;

- расчетная глубина сезонного промерзания грунта у фундамента, м; d - глубина заложения фундамента, м.
При оценке

в качестве расчетной влажности выборочно принимается влажность грунта в одной из характерных точек площадки.
Значение

определяется по графику распределения интенсивности пучения грунта по глубине (см.
рис. 9). На этом графике в нижней части промерзшего слоя у отметки

вычисляется площадь эпюры, численно равная значению

. Параллельная оси абсцисс линия, отсекающая эту площадь, даст на пересечении с осью ординат отметку, соответствующую мощности слоя

.
6.31. Проверка второго
условия (128) производится на основе определения значения

эпюр интенсивности пучения, построенных для двух характерных точек площадки. Согласно этим эпюрам относительная неравномерность пучения

рассчитывается по формуле

, (130)
где

- разность между расчетными экстремальными величинами пучения грунта

;

слоя

под фундаментом в двух характерных точках площадки, расположенных на расстоянии

.
В случае неподтверждения проверкой второго условия определение разности

производится повторно, но при этом ранее принятая в расчет мощность слоя грунта

уменьшается до величины, удовлетворяющей второму условию.
6.32. В условиях однородных по составу грунтов и отсутствия грунтовых вод в пределах верхнего слоя, регламентированного данными
табл. 1, интенсивность пучения с глубиной уменьшается и выражается эпюрой в виде треугольника. В этом случае в соответствии с первым
условием (128) глубина заложения фундамента d может быть определена из выражения

, (131)
где

- величина пучения при расчетной глубине сезонного промерзания

в точке площадки, характеризуемой максимальной средней влажностью в пределах промерзающего грунта.

, (132)
где

- величина пучения грунта в точке j при глубине сезонного промерзания

.
6.33. Расчет сооружения по деформациям от морозного пучения грунтов не исключает проверки фундаментов на воздействие касательных сил пучения, проводимой в этом случае по формуле

, (133)
где

,

, F - те же обозначения, что в
п. 6.14.
6.34. Проверка фундаментов на действие сил пучения должна производиться как для законченного здания (сооружения), так и для условий незавершенного строительства. Если при этой проверке силы пучения окажутся более удерживающей силы анкера, массы фундамента и возведенной части здания (сооружения), то в процессе должны быть предусмотрены мероприятия по предохранению фундаментов от выпучивания. Мероприятия не должны вызывать коррозии материала фундамента.
7. МЕРОПРИЯТИЯ ПО ПРЕДУПРЕЖДЕНИЮ МОРОЗНОГО ПУЧЕНИЯ
ГРУНТОВ ОСНОВАНИЙ И ВЫПУЧИВАНИЯ ФУНДАМЕНТОВ
7.1. Противопучинные мероприятия для зданий и сооружений назначаются в том случае, если устойчивость сооружения, рассчитываемая на действие сил пучения
(разд. 6), не обеспечивается нагрузкой от сооружения и силами заанкеривания фундамента в талых или мерзлых грунтах, а также в случае необходимости уменьшения деформаций пучения или их полной ликвидации.
7.2. Назначение противопучинных мероприятий производится на основе учета следующих факторов:
экономической значимости и условий эксплуатации проектируемого сооружения (здания);
степени его ответственности сроков эксплуатации;
геологических и гидрогеологических особенностей строительной площадки;
типа фундамента.
Кроме того, на территории распространения вечномерзлых пород необходимо также учитывать:
геокриологические условия строительной площадки;
требования, регламентирующие метод использования вечномерзлых грунтов в качестве основания сооружения;
сезон работ нулевого цикла (производство земляных работ, устройство основания и фундаментов).
7.3. В зависимости от указанных в
п. 7.2 факторов возможны противопучинные мероприятия следующих видов:
инженерно-мелиоративные (тепломелиорация и гидромелиорация); строительно-конструктивные; физико-химические (засоление, гидрофобизация грунтов и др.); комбинированные.
Из них по продолжительности действия следует различать:
кратковременные мероприятия (срок действия 1 - 2 года);
долговременные мероприятия (срок действия свыше двух лет).
Инженерно-мелиоративные мероприятия
7.4. Эффективными противопучинными мероприятиями, обеспечивающими регулирование теплообмена промерзающих грунтов и управление процессом пучения и его силовыми воздействиями, являются в настоящее время мероприятия тепловой мелиорации. Тепловая мелиорация сводится к созданию в грунте в период промерзания температурного градиента горизонтального направления, что в условиях некоторого влагонакопления и осушения грунта позволяет: уменьшить или устранить промерзание грунта; повысить температуру мерзлого грунта, уменьшая тем самым значения касательных сил пучения; снизить интенсивность пучения грунта вследствие развития миграции влаги в сторону от фундамента.
Особенно важно предохранять грунты основания от промерзания при незавершенном к зимнему периоду строительстве возводимого объекта. В этом случае на поверхности грунтов необходимо устройство временных теплоизоляционных покрытий из сыпучих материалов (шлак, опилки и т.п.).
7.5. В качестве мероприятий тепловой мелиорации можно рекомендовать:
устройство термолокализаторов, обеспечивающих местное утепление грунта фундамента посредством теплоизоляции;
прокладку вблизи фундамента (по наружному периметру) подземных малозаглубленных коммуникаций, выделяющих в грунт тепло.
Термолокализатор представляет собой слой теплоизоляции, укладываемый, как правило, на поверхность грунта вокруг фундамента, если последний состоит из одиночных опор (рис. 12, а,
б) или несет конструкции неотапливаемого здания (сооружения). При обеспечении у отапливаемых зданий положительной температуры в подполье в зимний период укладка теплоизоляции производится только по наружному периметру ограждающих конструкций
(рис. 12, в). Последняя рекомендация не распространяется на здания, возводимые по принципу сохранения грунтов основания в мерзлом состоянии.
а)
Рис. 12. Тепломелиорация грунта у фундамента
а, б - у неотапливаемых зданий; в, г - у отапливаемых
зданий; 1 - фундамент; 2 - теплоизоляция; 3 - промерзший
грунт; 4 - утрамбованная поверхность грунта; 5 - покрытие
теплоизоляции материалом с малой водопроницаемостью;
6 - труба теплоносителя для обогрева грунта
Перед укладкой теплоизоляции поверхность грунта непосредственно у фундамента должна быть тщательно утрамбована и спланирована с уклоном 3 - 5% в сторону от фундамента. Для отвода поверхностных вод от фундамента грунт и слой теплоизоляции целесообразно покрыть гидроизоляционным материалом с достаточной воздухопроводимостью во избежание образования конденсата в грунте. Ширина покрытий грунта материалом должна превосходить ширину обратной засыпки пазух фундамента, но не менее 1 м. В качестве одного из способов сохранения теплоизоляции от водонасыщения следует рекомендовать пропитку ее различными вяжущими (мазут, нефть, битум и т.п.), теплофизические свойства которых должны быть учтены при назначении коэффициента теплопроводности изоляции.
7.6. Расчет глубины промерзания грунта у фундамента

при наличии термолокализатора, имеющего радиус или ширину слоя теплоизоляции

, может быть приближенно произведен по формуле

, (134)
где

- расчетная глубина промерзания грунта у фундамента при оголенной поверхности;

- расчетная глубина промерзания грунта под теплоизоляцией при отсутствии его бокового охлаждения;

определяется в соответствии с рекомендациями
п. 3.35.
7.7. Обогрев грунта у фундаментов по наружному периметру сооружения
(рис. 12, г) экономически целесообразен при возведении зданий на ленточных фундаментах. Для обогрева грунта системой центрального отопления следует использовать обратную линию труб теплоносителя, укладываемую на расстоянии 20 - 30 см от фундамента. В ряде случаев для предохранения грунта от промерзания могут быть использованы калориферные установки, дымовые газы, а также электрообогрев. Сечение трубопровода, количество труб и их расположение у фундамента определяются теплотехническим расчетом на основании климатических условий района строительства. При строительстве в суровых климатических условиях глубина заложения трубопровода не должна превышать 0,5 м. В районах распространения вечномерзлых пород применение обогрева грунтов возможно в случае, если мерзлые грунты основания используются по методу II.
7.8. Гидромелиоративные мероприятия, применяемые против пучения грунтов, зависят от условий источника увлажнения, рельефа местности и геологических особенностей грунта, характеризуемых их фильтрационной способностью. Эти мероприятия сводятся:
к понижению уровня грунтовых вод и осушению грунтов в пределах сезонномерзлого слоя;
к предохранению грунтов от насыщения поверхностными атмосферными и производственными водами.
Основным назначением рекомендуемых дренажных сооружений являются отвод и осушение грунтов оснований в летне-осенний сезон, а также в начальный период зимнего промерзания грунтов.
7.9. Осушение грунтов строительной площадки за счет понижения УПВ осуществляется посредством устройства водосборных канав, лотков, траншей (открытого и закрытого типа), дренажей (мелкого и глубокого заложения), дренажных песчаных прослоек и т.п. В качестве временных мероприятий для водопонижения грунтов могут быть использованы иглофильтровые установки (с применением в отдельных случаях электроосмотического управления), вакуумные дренажи и др.
7.10. Устройство дренажных сооружений у фундаментов (рис. 13) следует производить в средне- и крупнозернистых песках, укладываемых вместо пучинистых грунтов вдоль водоотводных каналов - дрен.
а)
б)
Рис. 13. Виды дренажных сооружений у фундаментов
а - схема водоотвода при заложении канала ниже расчетной
глубины сезонного промерзания грунта; б - схема водоотвода
при наличии слоя теплоизоляции у фундамента; 1 - фундамент;
2 - слой теплоизоляции; 3 - промерзший грунт; 4 - отмостка;
5 - дренирующий слой грунта; 6 - водоотводная труба
Для обеспечения наибольшей пористости и водопроницаемости применяемые пески должны иметь, по возможности, однородный гранулометрический состав. Песчаные дренирующие засыпки, устраиваемые у фундаментов, предусматривают не только отвод воды от фундамента, но и предохранение его от смерзания с пучинистым грунтом.
Расчет дренажей и их конструкций производится обычными методами.
7.11. Отметка заложения водоотводных каналов и закрытых лотков (рис. 14) определяется глубиной, на которую должен быть осушен грунт, а также условиями отвода грунтовых вод в систему сточно-ливневой канализации или в другие спускные сооружения и водоемы. При возможном соблюдении условий водоотвода каналы следует закладывать ниже расчетной глубины сезонного промерзания грунта.
а)
б)
в)
Рис. 14. Виды водоотводных сооружений
а - схема железобетонного лотка; б - схема закрытой траншеи;
в - схема деревянного лотка; 1 - водоотводное сооружение;
2 - песчано-гравийная засыпка; 3 - подготовка из тощего
бетона; 4 - трамбованная глина или тяжелый суглинок;
5 - слой теплоизоляции
7.12. При заложении дренажных систем в слое промерзающего грунта необходимо предусматривать меры по дополнительному отеплению теплоизоляций песчаных пазух дренажа, смотровых колодцев, а также водоотводных каналов и труб при расположении их выпусков на пологих склонах местности. В этом случае промерзание песчаных грунтов обратной засыпки у дренажных сооружений должно быть предусмотрено более замедленным, чем пучинистых грунтов ненарушенного сложения.
7.13. С целью предохранения грунтов основания от насыщения атмосферными и производственными водами следует производить вертикальную планировку территории у возводимого объекта с приданием последней необходимых уклонов для стока поверхностных вод, а также устраивать отмостки, предохраняющие от скопления этих вод у фундаментов. Устраиваемые вокруг здания отмостки с глиняными водоизолирующими слоями в основании должны перекрывать перекопанный грунт, уложенный при обратной засыпке пазух фундаментов. Глинистый грунт обратной засыпки надлежит укладывать с тщательным послойным уплотнением ручным или механическим трамбованием.
Открытые водосборные и водоотводные лотки и замощенные канавы следует устраивать от здания (сооружения) на расстоянии, которое не допускало бы возможного влияния водоотводных сооружений на промерзание грунтов у фундаментов.
7.14. При укладке подземных коммуникаций (водопровода, канализации) особое внимание следует обращать на тщательное производство работ по стыкованию труб вблизи здания. Надежное соединение труб обеспечивает предохранение грунтов от их возможного местного увлажнения. При обнаружении вблизи здания стоячей воды или ее утечки из водопроводной системы необходимо принимать срочные меры к ликвидации причин увлажнения грунтов.
7.15. К общим мероприятиям по осушению грунтов строительной площадки относится предохранение котлованов от попадания в них сточных атмосферных и почвенных вод сопредельных территорий.
Строительно-конструктивные мероприятия
7.16. Конструктивные противопучинные мероприятия предусматривают главным образом повышение эффективности работы конструкций фундаментов и сооружений в морозоопасных грунтах. Эти мероприятия предназначаются:
для снижения величины усилий, выпучивающих фундаменты;
для заанкеривания фундаментов в талых или мерзлых грунтах, залегающих глубже сезоннопромерзающего слоя;
для приспособления фундаментов и надземной части сооружения к неравномерным деформациям пучинистых грунтов.
7.17. С целью снижения величины касательных сил пучения рекомендуется:
проектировать сооружения на столбчатых и свайных фундаментах (постоянного сечения и с уширением на конце), по возможности заменяя ими ленточные и массивные фундаменты;
уменьшать количество отдельно стоящих опор фундаментов с целью увеличения нагрузки на каждую опору. При заданной расчетной нагрузке от сооружения, очевидно, осуществление этой рекомендации возможно при условии увеличения глубины заложения фундамента, увеличения площади опорной плиты и т.п.;
уменьшать сечение столбчатых фундаментов и свай в пределах слоя промерзающего пучащегося грунта. При этом установку деревянных столбов и забивку свай следует производить комлем вниз;
устраивать у железобетонных (сборных и монолитных) фундаментов наклонные боковые грани (до 1 - 2°), обеспечивающие в пределах слоя промерзающего пучащегося грунта увеличение сопротивления фундамента действию касательных сил пучения по сравнению с фундаментом, имеющим вертикальные грани.
Во избежание попадания поверхностных вод в зазор между грунтом и фундаментом вокруг здания следует устраивать отмостку (с уклоном 3 - 5° в сторону от фундамента) или навесные цокольные козырьки;
уменьшать шероховатость боковой поверхности фундаментов в пределах слоя промерзающего пучащегося грунта (затирка и железнение железобетонных фундаментов, острожка поверхности и затирка щелей деревянных стоек и свай) или увеличить шероховатость анкерной части фундамента. Целесообразно применять и комбинированное решение;
применять для обмазки боковой поверхности фундаментов вязкие несмерзающиеся материалы (консистентные смазки), а также гидрофобизирующие пропитки. В качестве таких материалов могут быть применены смолы, мазут, деготь, нефть, битумные мастики, а также разработанные НИИ оснований и подземных сооружений им. Н.М. Герсеванова высокомолекулярные эпоксидные компаунды, кремнийорганические соединения и пластичные смазки. Смазки типа БАМ-3 и БАМ-4 не затвердевают при температуре минус 40 - 50 °C и понижают касательные силы пучения на 50 - 60%. Покрытие фундаментов эластичными полимерными пленками снижает силы пучения до 8 раз, а рекомендуемые эпоксидные смолы ЭР-5 и ЭР-6 уменьшают шероховатость поверхности фундамента и ее смачиваемость, кроме того, способствуют большей сохранности материала фундамента от морозного разрушения. Рецептура отмеченных веществ и технология обработки ими материала фундамента приведены в Рекомендациях [
4 -
7].
7.18. Для заанкеривания фундаментов в талых или мерзлых грунтах, залегающих глубже сезоннопромерзающего слоя, рекомендуется использование:
деревянных и железобетонных свай, забиваемых на расчетную глубину, при которой обеспечивается их устойчивость в пучинистом грунте (см.
пп. 6.20 -
6.23);
деревянных столбчатых фундаментов с опорно-анкерными коротышами
(рис. 15). Использование анкерных устройств этого типа целесообразно при небольшом заглублении фундаментов в вечномерзлые грунты основания, сохраняющие свое мерзлое состояние в процессе эксплуатации здания (сооружения);
железобетонных столбчатых и рамно-стоечных фундаментов с опорно-анкерными плитами.
Рис. 15. Виды деревянных столбчатых фундаментов
с опорно-анкерными устройствами
а - составной фундамент; б - башмачный фундамент;
в - фундамент-стойка с лежнем
7.19. При устройстве малонагруженных фундаментов с опорно-анкерными плитами необходимо учитывать силы, возникающие на верхней поверхности плиты и препятствующие выпучиванию фундамента. Для этого в левую часть
формулы (121) вводится коэффициент

, который определяется по формуле

,
где a - сторона сечения стойки, см;

- сторона квадратной анкерной плиты, см;

,

- коэффициенты, определяемые по
табл. 13 в зависимости от

;

;

;
для случая заложения фундамента в талые грунты

; для случая заложения фундамента в вечномерзлые грунты

,
где

- расчетная глубина промерзания у фундамента, м;

- расчетная глубина сезонного оттаивания, м; d - глубина заложения фундамента;

- высота нижней ступени анкерной плиты (башмака), м.
Таблица 13
Значения

| Значения  |
0,5 | 1 | 2 | 3 | 4 | 5 | 6 |
1 | 0,029 | 0,058 | 0,088 | 0,087 | 0,082 | 0,077 | 0,077 |
2 | 0,15 | 0,031 | 0,067 | 0,085 | 0,082 | 0,078 | 0,075 |
3 | 0,007 | 0,015 | 0,034 | 0,059 | 0,075 | 0,074 | 0,07 |
4 | 0,004 | 0,008 | 0,019 | 0,032 | 0,052 | 0,066 | 0,067 |
5 | 0,003 | 0,006 | 0,012 | 0,02 | 0,029 | 0,047 | 0,058 |
6 | 0,002 | 0,004 | 0,008 | 0,013 | 0,020 | 0,028 | 0,043 |
7 | 0,002 | 0,003 | 0,006 | 0,009 | 0,013 | 0,018 | 0,025 |
8 | 0,001 | 0,002 | 0,005 | 0,007 | 0,01 | 0,013 | 0,018 |
9 | 0,001 | 0,002 | 0,004 | 0,005 | 0,008 | 0,018 | 0,013 |
10 | 0,001 | 0,001 | 0,003 | 0,004 | 0,006 | 0,008 | 0,009 |
7.20. Для приспособления конструкций фундаментов и наземной части зданий к неравномерным деформациям пучинистых грунтов рекомендуется применять:
фундаменты в виде стоек, опертых на лежни и закрепленных с последними болтами и натяжным хомутом (для облегченных деревянных зданий);
фундаменты в виде стоек, связанных поверху рандбалкой, являющейся частью рамной надземной конструкции зданий. Для ответственных сооружений целесообразно применение фундаментов рамной конструкции или в виде сплошной железобетонной плиты
(рис. 16);
незаглубленные или малозаглубленные фундаменты в виде плит, лежней или блоков (для малоэтажных зданий в сельскохозяйственном строительстве, под оборудование открытых распределительных устройств электроподстанций и т.п.). При этом исключается накопление необратимых остаточных деформаций выпучивания, а для незаглубленных фундаментов - и касательных сил пучения;
устройство в каменных стенах и фундаментах железобетонных поясов, располагаемых на уровне междуэтажных перекрытий или перемычек над проемами, а также по обрезу подошвы фундамента;
устройство осадочных швов в сооружениях, имеющих сложное очертание в плане, с целью приведения сооружений к блокам простого очертания. Кроме того, осадочные швы устраиваются для разделения частей сооружений с резко отличным тепловыделением у наружных стен, а также при большой протяженности сооружения. В последнем случае осадочные швы назначаются не более чем через 18 - 20 м;
устройство под зданием (сооружением) сплошных подсыпок из местных строительных материалов (песок, гравий и др.), а под сельскохозяйственные здания - малозаглубленных фундаментов на локально уплотненном основании
[9]. Толщина подсыпки назначается в соответствии с расчетом интенсивности пучения грунта по глубине (
пп. 5.30,
5.31), но не менее 0,5 расчетной глубины сезонного промерзания грунта.
а)
б)
в)
Рис. 16. Схема жестких фундаментов
а - рамная конструкция фундамента; б - фундаменты-стойки,
являющиеся частью рамной надземной конструкции здания;
в - фундамент-плита; 1 - гравийно-галечная подсыпка
7.21. При проектировании сооружений на морозоопасных основаниях следует назначать конструктивный зазор между планировочной отметкой грунта и выступающими над фундаментом несущими конструкциями сооружения. Величина этого зазора ориентировочно принимается равной величине пучения плюс 10 - 15 см.
Физико-химические мероприятия
(техническая мелиорация грунтов)
7.22. Применяемые в настоящее время физико-химические мероприятия стабилизации морозоопасных промерзающих грунтов в основном сводятся:
к специальной обработке грунта вяжущими, благодаря которым грунт становится водостойким (гидрофобным) и теряет свои пучинистые свойства;
к насыщению грунта солевыми растворами, понижающими его температуру замерзания и тем самым способствующими уменьшению глубины промерзания грунта.
А. Гидрофобизация грунтов
7.23. Гидрофобизация грунтов, т.е. придание грунту водоотталкивающих свойств, производится посредством обработки его небольшим количеством вяжущего при определенных гидротермических условиях.
В качестве вяжущего могут применяться: жидкие нефтяные битумы (при весовом соотношении по массе твердого битума марки III к нефти 1:1,6), жидкие каменноугольные дегти, торфяные и древесные дегти, фурфурол-анилиновые смолы <*> в количестве 1 - 2% массы сухого грунта и другие материалы.
--------------------------------
<*> Гидрофобизация грунтов фурфурол-анилином основана на взаимодействии с грунтом поверхностно-активных веществ - фурфурола и анилина с образованием в грунте при обычной температуре синтетической фурфурол-анилиновой смолы.
7.24. Для придания грунту требуемой прочности и водостойкости в жидкие битумы целесообразно добавлять поверхностно-активные вещества - органические, кислоты и фенолы в сочетании с добавками в грунт мелких доз свежегашеной извести (в последнем случае в виде молотой извести - кипелки). В качестве поверхностно-активных веществ могут применяться органические и азотные основания, отходы канифольного производства, содержащие абиетиновые кислоты, каменноугольные масла, содержащие не менее 15% органических оснований, торфяные и древесные смолы, содержащие 15% высокомолекулярных фенолов и кислот.
7.25. Жидкие нефтяные битумы могут быть как заводского приготовления, так и составленными на месте производства работ путем разжижения твердых битумов марок I - III.
Для получения жидких битумов классов A в качестве разжижения следует применять лигрино-керосиновые фракции нефти, а класса B - нефть, мазут, тяжелые крекинг-остатки и другие тяжелые разжижители. В качестве жидких битумов могут быть также использованы тяжелые высокосмолистые нефти.
Каменноугольные дегти могут применяться как сырые, так и составленные из песка, антраценового масла или из песка и сырого дегтя.
7.26. Прочность и водостойкость гидрофобного грунта зависят в основном от минералогического и гранулометрического составов грунта, коллоидно-химического состава его тонкодисперсной части, содержания легкорастворимых солей.
Неблагоприятно влияют на взаимодействие грунта с вяжущими материалами глинистые минералы типа монтмориллонита или гидрослюд. Гидрофобизация глин и суглинков с числом пластичности более 0,12 требует повышенного расхода битума или дегтя.
Агрессивными легкорастворимыми солями для битума являются

и

даже в ничтожных количествах, а также

при содержании в грунте более 0,5%.
7.27. Наиболее пригодны для гидрофобизации супеси и пылеватые пески с преобладанием фракций от 0,5 до 0,05 мм. Песчаные и супесчаные грунты с

следует применять только с предварительным введением в них добавок пылеватых фракций.
Предпочтение следует отдавать карбонатным грунтам (лессы, морены и пр.), которые после укрепления битумом или дегтем приобретают большую водоустойчивость по сравнению с некарбонатными грунтами.
В качестве гидрофобного грунта возможно также применение золы каменного угля, для гидрофобизации которой требуется около 70 л раствора твердого битума марки III с нефтью на 1 м3 золы.
7.28. Ориентировочный расход вяжущих материалов для супесчано-суглинистых грунтов приведен в табл. 14.
Таблица 14
Расход вяжущих материалов для придания
гидрофобных свойств грунту
Наименование грунтов | Оптимальная влажность, % массы сухого грунта | Оптимальное количество жидкого вяжущего, % массы воздушно-сухого грунта |
битум (безводный) | каменноугольный деготь (безводный) |
Супеси с  | 4 - 7 | 5 - 8 | 6 - 9 |
Суглинки | 6 - 10 | 5 - 12 | 6 - 14 |
Глины | 10 - 15 | 8 - 15 | 10 - 18 |
Примечание. 1. Под оптимальной влажностью понимается влажность, обеспечивающая наилучшее уплотнение слоев грунта. 2. Оптимальное количество жидкого битума или дегтя для пылеватых грунтов на 1,5 - 2% больше, чем для непылеватых.
7.29. Для придания грунту требуемой прочности и водостойкости важное значение имеет высококачественное выполнение работ по измельчению грунта, перемешиванию его с вяжущим и уплотнению смеси.
При заготовке грунта производят его разрыхление, сушку (до воздушно-сухого состояния) и размельчение до требуемого агрегатного состава (количество агрегатов размером более 5 мм не должно превышать 10% общего объема грунта).
Размол сухих пылеватых и высокопластичных грунтов целесообразно производить в шаровых мельницах. Для перемешивания грунта с вяжущими используются смесительные установки - растворомешалки, грунто-смесители с двухвальной лопастной мешалкой, а также специальные установки, обеспечивающие приготовление однородной смеси.
Смешение грунта с вяжущими производится горячим способом при рабочей температуре компонентов около 120 - 150 °C. При гидрофобизации сухой размолотый грунт подогревается до указанной температуры и в него вливается подогретый раствор вяжущего, температура которого обеспечивает его жидкое состояние.
7.30. Для предохранения фундаментов зданий и инженерных сооружений от выпучивания вокруг фундаментов следует устраивать рубашку из гидрофобного грунта толщиной 0,15 - 0,25 м в зависимости от напора грунтовых вод в пределах расчетного слоя сезонного промерзания (рис. 17). Перед укладкой гидрофобного грунта поверхность фундамента дважды покрывается жидкими вяжущими, после чего вдоль фундамента устанавливается опалубка. Гидрофобный грунт укладывается отдельными слоями толщиной 20 - 30 см с последующим уплотнением каждого слоя. Для повышения плотности сухую смесь необходимо перед укладкой увлажнять до оптимальной влажности (см.
табл. 14).
а)
б)
Рис. 17. Схема предохранения фундамента от выпучивания
посредством устройства рубашки из гидрофобного грунта
1 - фундамент; 2 - гидрофобный грунт;
3 - промерзший грунт; 4 - грунт обратной засыпки
7.31. Засоление грунтов относится к противопучинным мероприятиям кратковременного действия (срок действия 1 - 2 года), если грунты не защищены от воздействия поверхностных и грунтовых вод.
Наиболее пригодны для засоления грунты малыми коэффициентами фильтрации. Засоление песчаных и супесчаных грунтов нецелесообразно вследствие быстрого вымывания из них солей.
7.32. При строительстве по принципу использования грунтов основания в мерзлом состоянии засоление грунтов деятельного слоя не рекомендуется во избежание нарушения температурного режима основания.
7.33. Для засоления грунтов применяют хлористый натрий, кальций и магний. Наиболее эффективными солями считаются хлористый натрий и кальций, понижающие температуру замерзания ниже -20 °C.
Расчет количества воды

, способного растворять соль в 1 м3 грунта, производится по формуле

, (135)
где

- плотность талого грунта, кг/м3;

- содержание прочно связанной воды, %.
7.34. Концентрация раствора

, т/м3, в зависимости от расчетной температуры, при которой не должен замерзать грунт, вычисляется по формуле

, (136)
где

- температура замерзания грунтового раствора, °C; a, n - коэффициенты, зависящие от температуры и применяемой соли; a и n определяются по табл. 15.
Таблица 15
Коэффициенты a и n для NaCl и

Интервалы температуры замерзания грунта, °C | a | n |
NaCl | | NaCl | |
От 0 до -4 | -0,0167 | -0,023 | 1,0 | 0,92 |
От -4 до -14 | -0,021 | -0,033 | 0,86 | 0,68 |
От -14 до -21,2 | -0,045 | -0,037 | 0,59 | 0,65 |
От -21,2 до -32 | - | -0,051 | - | 0,54 |
7.35. Относительное содержание чистой соли x в 1 т раствора выражается отношением

, (137)
где

- плотность, т/м3, раствора концентрации: для NaCl

; для

.
7.36. Расход соли при засолении грунта с плотностью скелета

, т/м3, и влажностью w, %, для получения концентрации раствора

определяется требуемой засоленностью грунта

по формуле

, (138)
где k > 1 - коэффициент, учитывающий загрязненность и гигроскопичность соли;

- содержание прочно связанной воды, %, равное

; здесь

- максимальная гигроскопичность грунта.
Применение для сильно увлажненных грунтов солевых растворов вместо кристаллических безводных солей не рекомендуется во избежание быстрого вымывания введенных в грунт солей.
7.37. Работы по засолению грунтов у фундаментов могут производиться двумя методами:
засолением грунта обратной засыпки до укладки его в пазухи котлована
(рис. 18, а);
устройством в незасоленных грунтах у фундамента шпуров
(рис. 18, б), набиваемых кристаллической солью и в дальнейшем заливаемых насыщенным раствором той же соли.
Рис. 18. Схема предохранения фундамента
от выпучивания посредством засоления грунта
а - засоление грунта обратной засыпки до укладки его
в пазухи котлована; б - устройство в незасоленном грунте
шпуров, набиваемых кристаллической солью; 1 - фундамент;
2 - засоленный грунт; 3 - отмостка; 4 - промерзший грунт
Уложенный в пазухи засоленный грунт тщательно уплотняется, а его спланированная поверхность защищается гидроизоляцией (слоем жирной глины, тощего бетона и т.п.).
Глубина заложения шпуров и расстояние между ними у фундамента определяются расчетной глубиной промерзания, а также скоростью проникновения соли из шпуров в окружающий грунт. В зависимости от вида грунта и его физико-механических свойств эта скорость может изменяться от 0,1 - 0,3 до 1 см/сут и более.
7.38. Засоление грунтов имеет и отрицательные стороны. Кроме кратковременности этого мероприятия, соли также влияют и на начальную структуру грунта, вследствие чего в дальнейшем грунт может оказаться более морозоопасным, чем до засоления.
Наличие солей повышает температуропроводность грунта. В практике имели место случаи, когда грунт, находящийся под слоем непромерзшего засоленного грунта, промерзал на

глубину, чем в обычных условиях.
Засоление грунтов ускоряет разрушение строительных материалов, усиливает коррозию подземных коммуникаций и т.п.
| | ИС МЕГАНОРМ: примечание. Нумерация разделов дана в соответствии с официальным текстом документа. | |
Б. Физические противопучинные мероприятия
7.39. Перспективным физическим методом борьбы с морозным пучением грунтов может быть метод стабилизации грунтов посредством введения в них добавок противопучинных компенсирующих веществ (ПКД), обладающих определенными объемно-деформационными свойствами. Применение ПКД способно компенсировать пучение грунта при замерзании и его просадочность при оттаивании.
7.40. В качестве ПКД могут быть использованы полуфабрикаты твердых синтетических высокомолекулярных соединений (полимеры) следующих групп:
жесткие полимеры, имеющие большой коэффициент объемного расширения, изменяющие свой объем в соответствии с изменением температуры окружающего грунта;
высокоэластичные полимеры (типа резин), способные обратимо деформироваться при многократно действующем периодическом давлении, равном 0,05 - 0,1 МПа (0,5 - 1 кгс/см2);
полимеры, обладающие одновременно свойствами соединений первой и второй групп.
7.41. Начальный объем ПКД (v), необходимый для стабилизации грунта на площади

для каждой из отмеченных в
п. 7.40 групп, может быть вычислен соответственно по формулам:

; (139)

; (140)

, (141)
где

- величина пучения, м;

- мощность промерзающего слоя, м;

- объемный коэффициент термического расширения ПКД;

- разность между средней летней температурой, °C, грунта в пределах слоя

и температурой прекращения пучения
(табл. 2);

- среднее значение главных напряжений (

,

,

), возникающих в грунте при пучении, МПа. Значение

приближенно принимается равным 0,1 МПа;

- модуль объемной упругости ПКД, МПа, равный:

. (142)
Здесь E - модуль Юнга, МПа;

- объемная деформация ПКД, равная сумме относительных линейных деформаций

,

,

;

- коэффициент Пуассона.
Примечание.
Формулы (139) -
(141) учитывают влияние начального объема ПКД на пучение грунта.
К эффективным ПКД следует отнести соединения, имеющие порядок значений E < 0,01 МПа и

.
Особенности в назначении противопучинных
мероприятий при строительстве по методу 1
7.42. Проектирование противопучинных мероприятий в районах распространения вечномерзлых грунтов должно производиться в каждом конкретном случае с учетом мерзлотно-грунтовых особенностей строительной площадки и требований, предъявляемых проектом к сохранению грунтов основания в мерзлом (или талом) состоянии при воздействии и эксплуатации сооружения.
Особое внимание следует уделять выбору типа противопучинных мероприятий при сохранении грунтов основания в мерзлом состоянии. Неверно принятое в этом случае решение может привести к нарушению температурного режима вечномерзлых грунтов, способствуя тем самым понижению верхней поверхности их залегания (процессу деградации) и осадке сооружения.
Одновременно следует учитывать возможное влияние температурного режима мерзлого грунта на работу противопучинных мероприятий и, в частности, на работу дренажных сооружений. При сохранении мерзлых грунтов в основании зданий и сооружений глубина заложения дренажных каналов и сборных коллекторов не должна превышать 2/3 расчетной глубины сезонного протаивания грунта.
7.43. Наиболее распространенным и эффективным средством обеспечения устойчивости сооружений при пучении грунтов сезоннооттаивающего слоя является заанкеривание фундаментов в вечномерзлых грунтах. При этом в качестве фундаментов целесообразно применять железобетонные сваи.
7.44. В условиях использования вечномерзлых грунтов в качестве основания при проектировании столбчатых и других типов фундаментов мелкого заложения производство котлованных работ и установку фундаментов необходимо вести в холодный период года, т.е. при отрицательных температурах воздуха.
Зимнее производство работ не только обеспечивает расчетную прочность мерзлых грунтов основания, но и позволяет провести предпостроечное охлаждение грунтов сезоннооттаивающего слоя с целью уменьшения его мощности в процессе эксплуатации сооружения. Повышение верхней границы вечномерзлых грунтов у фундаментов достигается посредством устройства на дневной поверхности грунта теплоизоляционных покрытий, предохраняющих грунты от оттаивания на полную мощность сезоннооттаивающего слоя в естественных условиях.
7.45. С целью наименьшего нарушения режима вечномерзлых грунтов в случае неизбежного производства котлованных работ в теплое время года необходимо предусматривать следующие мероприятия:
рытье котлована следует вести небольшими участками, углубляясь до проектной отметки вырубкой мерзлого грунта, но не оттаиванием; размер котлована не должен иметь излишних запасов;
котлован должен быть тщательно защищен от попадания в него поверхностных вод, а также от действия солнечных лучей и омывания его стенок теплым воздухом;
следует применять только сборные фундаменты, установка которых должна производиться сразу же после углубления котлована до проектной отметки;
под фундаментами должны устраиваться гравелисто-песчаные малосжимаемые подсыпки соответствующей толщины;
после установки фундаментов пазухи котлована сразу же должны засыпаться грунтом с послойным его трамбованием; обратная засыпка должна быть защищена от попадания в нее воды, а фундамент - от действия солнечных лучей.
7.46. С целью уменьшения мощности сезоннооттаивающего слоя и устранения влияния пучения грунтов на фундаменты вокруг последних рекомендуется устраивать термолокализаторы с теплопроводностью изоляции, обеспечивающей скорость промерзания грунта, примерно в 2 раза меньшую, чем скорость промерзания грунта при оголенной поверхности.
В качестве меры защиты фундамента от пучения возможно также применение гидрофобных грунтов.
1.
Руководство по определению физических, теплофизических и механических характеристик мерзлых грунтов. - М.: Стройиздат, 1973.
2. Рекомендации по определению морозной пучинистости грунтов оснований зданий и сооружений. - Свердловск: Уральский политехн. ин-т, 1979.
3. Руководство по проектированию оснований зданий и сооружений. - М.: Стройиздат, 1978.
4. Рекомендации по применению кремнийорганических соединений в борьбе с морозным выпучиванием фундаментов. - М.: Стройиздат, 1974.
5. Рекомендации по снижению сил примерзания грунта к строительным конструкциям физико-химическими методами. - М.: Стройиздат, 1975.
6. Рекомендации по снижению касательных сил морозного выпучивания фундаментов с применением пластических смазок и кремнийорганических смесей. - М.: Стройиздат, 1980.
7. Рекомендации по совершенствованию конструкций и норм проектирования искусственных сооружений, возводимых на пучинистых грунтах с учетом природных условий БАМ. - М.: ВНИИ транспортного строительства, 1981.
8.
Руководство по проектированию оснований и фундаментов на вечномерзлых грунтах. - М.: Стройиздат, 1980.
9.
Руководство по проектированию оснований и фундаментов на пучинистых грунтах. - М.: Стройиздат, 1979.