Главная // Актуальные документы // Рекомендация / РекомендацииСПРАВКА
Источник публикации
М.: Стройиздат, 1989
Примечание к документу
Название документа
"Рекомендации по прогнозу теплового состояния мерзлых грунтов"
"Рекомендации по прогнозу теплового состояния мерзлых грунтов"
ПО ПРОГНОЗУ ТЕПЛОВОГО СОСТОЯНИЯ МЕРЗЛЫХ ГРУНТОВ
Рекомендовано к изданию решением секции по инженерно-геокриологическим исследованиям Научно-технического совета ПНИИИС Госстроя СССР.
Даны расчетные схемы прогнозирования глубины сезонного промерзания-протаивания грунтов и среднегодовой температуры грунтов. Изложены методы аналитического определения исходных параметров при прогнозировании теплового состояния грунтов и методы экспериментального определения исходных параметров при постановке стационарных наблюдений. Приведены примеры расчетов.
Для инженерно-технических работников научно-исследовательских и изыскательских организаций.
Прогнозирование температурного режима грунтов тесно связано с проблемой освоения северных и восточных районов нашей страны, так как от динамичности теплового состояния грунтов зависит устойчивость сооружений и интенсивность развития многих инженерно-геологических процессов.
В настоящее время существует достаточно большое количество расчетных методик (формул) для определения положения границы промерзания-протаивания и среднегодовой температуры грунта, которые в большинстве случаев основываются на частных решениях задачи Стефана с целым рядом предпосылок и допущений. Поэтому при прогнозировании приходится сталкиваться с проблемами выбора оптимальной методики для расчета и назначения исходных параметров. С этой целью был проведен анализ существующих методик расчета глубин промерзания-протаивания и среднегодовой температуры грунта. Оценена погрешность расчетных методов по сравнению с результатами моделирования процессов промерзания-протаивания грунта на гидроинтеграторе системы В.С. Лукьянова.
Основными и, в то же время, результирующими характеристиками температурного режима и теплового состояния грунтов являются среднегодовая температура (tгр) и мощность слоя сезонного промерзания-протаивания грунта (СМС, СТС). Эти характеристики являются важнейшими с точки зрения строительной практики, так как они в большинстве случаев определяют метод строительства на мерзлых грунтах и тип фундамента инженерных сооружений. Значительная динамичность этих характеристик в естественных условиях и при их нарушении во многом определяет развитие ряда криогенных процессов и явлений, негативные последствия которых сказываются на устойчивости сооружений и природном равновесии окружающей среды.
Грунты представляют собой многокомпонентную капиллярно-пористую среду, и промерзание-протаивание в них следует рассматривать как сложный термодинамический процесс, где наряду с обычным кондуктивным переносом тепла имеет место и массообмен. В связи с этим аналитическое исследование процессов промерзания-протаивания в грунтах в общей постановке сопряжено со значительными трудностями физического и математического характера. Достигнутые в настоящее время успехи в исследовании тепло- и массопереноса в промерзающих и протаивающих грунтах позволяют упростить физическую модель явления и довести постановку задачи до желаемого решения. Так оказалось, что в большинстве случаев при решении практических задач можно ограничиться теорией кондуктивной теплопередачи, а существующий массообмен учитывать с помощью эффективных значений некоторых теплофизических параметров (коэффициентов).
Задача о промерзании-протаивании грунта, задача Стефана, представляет собой систему дифференциальных уравнений теплопроводности для мерзлой и талой зон и условие сопряжения на этой границе. Основная трудность решения этой задачи в общей постановке состоит в том, что условие на границе раздела фаз относит ее к классу нелинейных задач математической физики. Точные аналитические решения задачи Стефана получены только для частных случаев и не отвечают реальным условиям теплообмена в грунтах, напочвенных покровах и приземном слое атмосферы. Существующие численные решения могут быть использованы только с применением ЭВМ, программирования и моделирующих устройств, что в некоторой степени снижает их оперативность и широкое использование в инженерной практике. Численные методы наиболее широко применяются при решении многомерных и многофронтовых задач.
Наиболее доступными и оперативными на практике являются приближенные аналитические решения задачи Стефана, полученные путем некоторых упрощений при постановке задачи и допущений в ходе ее решения. В основе большей части приближенных решений лежит предпосылка о квазистационарности температурного поля. Теоретическое обоснование этого метода впервые дано Л.С. Лейбензоном. Согласно этому методу, распределение температуры в мерзлой и талой зонах задается произвольными функциями, удовлетворяющими граничным условиям.
Основные допущения и предпосылки при выводе расчетных формул для определения глубин промерзания-протаивания грунта, которые наиболее полно учитывают основные природные факторы, сводятся к следующему: использование принципа квазистационарности температурного поля, замена переменной температуры поверхности на постоянную; замена напочвенных покровов и теплоизоляции на поверхности эквивалентным слоем грунта и при этом постоянным во времени; учет фазовых переходов только на границе промерзания-протаивания; приближенный учет нижних граничных условий; упрощения при задании начальных условий. Исследования показывают, что влияние этих предпосылок и допущений на достоверность расчета неоднозначно и для обоснования степени надежности результатов расчета по формулам необходима суммарная оценка всех перечисленных выше предпосылок и допущений.
Анализ существующих расчетных формул по определению глубин промерзания-протаивания показал, что, если в расчетной схеме не учитывать теплоизолирующий слой на поверхности, погрешность не выходит за пределы 5 - 10%. При учете теплоизолирующего слоя среднее значение относительной погрешности возрастает до 30 - 40% при доверительном интервале погрешности +/- 20%. Таким образом, использование на практике таких расчетных методов требует дополнительного обоснования.
При определении среднегодовой температуры грунта решение задачи о промерзании-протаивании значительно усложняется по сравнению с расчетом положения границы фазового раздела, и достоверность существующих приближенных аналитических решений в связи с этим не всегда находится в соответствии с требованиями практики. Поэтому необходимо искать иные пути и подходы к разработке более совершенной методики определения основных характеристик теплового состояния грунтов.
Другим очень важным моментом разрабатываемой методики является выбор исходных параметров при прогнозировании теплового состояния грунтов.
Исследования, выполненные в ПНИИИСе, позволили повысить точность приближенных аналитических решений при определении глубин промерзания-протаивания грунта и, не упрощая общую постановку задачи Стефана, разработать оперативную методику определения среднегодовой температуры грунта по номограммам.
Рекомендации разработаны ПНИИИС (канд. геол.-минерал. наук В.П. Чернядьев, инж. В.А. Пакулин -
разд. 4).
1. РАСЧЕТНАЯ СХЕМА ДЛЯ ПРОГНОЗИРОВАНИЯ ГЛУБИН
СЕЗОННОГО ПРОМЕРЗАНИЯ-ПРОТАИВАНИЯ ГРУНТОВ
1.1. Глубина промерзания-протаивания грунта определяется по формуле, полученной в результате приближенного аналитического решения задачи Стефана методом Л.С. Лейбензона

(1)

(2)
где Q
м = Q
ф + 0,5t
мC
м; Q
т = Q
ф + 0,5C
тt
т;

;

;

; h
м, h
т - глубина сезонного промерзания-протаивания за расчетный период, м;

,

- коэффициент теплопроводности грунта в мерзлом и талом состояниях, 1,16, Вт/(м
2·°C);

,

- продолжительность расчетного периода при промерзании и протаивании, ч; t
м, t
т - среднее значение температуры на поверхности изоляции за расчетный период при промерзании и протаивании, °C;

,

- суммы среднемесячных температур за расчетный период при промерзании и протаивании, °C·мес; C
м, C
т - объемная теплоемкость грунта в мерзлом и талом состояниях, 4,2 кДж/(м
3·°C); T
м, T
т - среднеинтегральное значение температуры в талой зоне при промерзании и мерзлой зоне при протаивании, °C; Q
ф - скрытая теплота фазовых превращений, 4,2 кДж/м
3;

,

- термическое сопротивление теплоизоляции соответственно при промерзании и протаивании, 0,86 м
2·°C/Вт; h
из - мощность слоя изоляции на поверхности грунта, м;

- коэффициент теплопроводности изоляции, 1,16 Вт/(м·°C).
1.2. Расчетные
формулы (1),
(2) учитывают все основные природные факторы, обусловливающие и влияющие на процессы промерзания-протаивания грунта: температуру на поверхности изоляции, растительность, периоды промерзания-протаивания, теплоизоляцию на поверхности грунта, тепловое влияние подстилающих горизонтов грунта, теплоту фазовых переходов и теплофизические характеристики грунта. Расчетная схема позволяет рассчитывать глубины промерзания-протаивания как в естественных условиях, так и при техногенных нарушениях природной обстановки. Прогнозные значения глубин промерзания-протаивания находятся в соответствии с предполагаемыми изменениями исходных параметров, учитывающихся данной расчетной схемой.
1.3. При расчетах мощности сезоннопромерзающего и сезоннопротаивающего слоев (СМС, СТС) по
формулам (1) и
(2) расчетный период и тепловой импульс (сумма среднемесячных температур) определяются в соответствии с датами перехода среднемесячной температуры дневной поверхности через 0 °C.
1.4. В формулы введена среднеинтегральная температура грунта, значение которой определяется по соответствующим графикам
(рис. 1) в зависимости от среднегодовой температуры грунта. Эта зависимость получена методом обратного расчета при решении серии задач на гидроинтеграторе с учетом возможного диапазона изменения исходных данных. Таким приемом в скрытом виде удалось сбалансировать все возможные погрешности, которые неизбежны при выводе расчетных формул. В результате среднестатистическая погрешность снижена до 5 - 10%, что позволяет рекомендовать данные формулы для практических расчетов.
Рис. 1. Зависимость среднеинтегральной температуры
от среднегодовой температуры грунта
1 - для промерзания; 2 - для протаивания
1.5. Зависимость среднеинтегрального значения температуры (T) от среднегодовой температуры грунта (tгр) физически наиболее оправдана, так как последняя является результирующей характеристикой температурного режима слоя сезонного промерзания-протаивания грунта и используется на практике для определения теплового состояния промерзающих-протаивающих грунтов.
1.6. Предлагаемое решение позволяет рассчитать не только глубину сезонного промерзания-протаивания, но и в результате несложных преобразований получить расчетные формулы для многолетнего промерзания-протаивания грунта, для определения мощности оптимальной отсыпки для предохранения от протаивания льдистых отложений при инженерной подготовке территории. При расчетах протаивания льдистых грунтов данное решение позволяет учесть и консолидацию грунта. По сравнению с другими решениями значительно упрощается и расчет глубин промерзания-протаивания слоистой толщи.
1.7. Для определения оптимальной мощности отсыпки расчетная формула имеет вид

(3)
Индекс "1" соответствует слою отсыпки, а "2" - сезоннопротаивающему слою (СТС);

- сжимаемость слоя сезонного протаивания. Остальные обозначения такие же, как в
формулах (1) и
(2).
В
формуле (3) учтены все решающие факторы, определяющие процессы промерзания-протаивания грунта при наличии на поверхности песчаной отсыпки. Расчет позволяет определить оптимальную отсыпку в широком диапазоне изменения мерзлотно-грунтовых условий при инженерной подготовке территории. Данная расчетная схема позволяет учесть и сжимаемость грунтов слоя сезонного протаивания.
1.8. При среднегодовой температуре грунта, близкой к 0 °C, расчетная формула для определения оптимальной отсыпки упрощается

(4)
С достаточной для практики точностью использование данного решения (4) возможно, если среднегодовая температура грунта не ниже минус 2 °C.
1.9. При необходимости поднять верхнюю границу мерзлых грунтов в связи со значительной сжимаемостью сезоннопротаивающего слоя в расчетных
формулах (3),
(4) мощность слоя оттаивания (R
от) принимается в соответствии с предполагаемым сокращением слоя сезонного протаивания.
1.10. Расчет многолетнего промерзания проводится по следующей схеме.
1. Определяется глубина промерзания грунта за первый год в соответствии с предполагаемыми нарушениями поверхностных и грунтовых условий

(5)
Среднеинтегральное значение Tт определяется в соответствии с начальным значением среднегодовой температуры грунта, т.е. без учета нарушений.
2. Определяется глубина протаивания

(6)
3. Находится время смыкания


(7)
4. Определяется глубина промерзания за второй год и каждый последующий

(8)
1.11. Среднеинтегральное значение температуры (T
i) при расчетах многолетнего промерзания грунтов за первый год (T
1) определяется в зависимости от начального значения среднегодовой температуры грунта по графику (см.
рис. 1). В последующие годы среднеинтегральная температура при расчетах назначается в соответствии со следующей схемой
При этом величина tгр соответствует начальному ее значению.
1.12. Аналогично многолетнему промерзанию рассчитывается и многолетнее протаивание

(9)
Среднеинтегральная температура (Ti) при расчетах многолетнего протаивания определяется в соответствии с вышеизложенной схемой для расчета многолетнего промерзания.
1.13. При протаивании льдистых грунтов в результате техногенных нарушений мощность протаявшего льдистого горизонта

определяется по следующей зависимости

(10)
где

,

- мощность слоя сезонного протаивания соответственно для естественных и нарушенных условий;

- относительная просадка льдистого горизонта.
1.14. Общая осадка протаявшего льдистого грунта (S) равна

(11)
1.15. Если в результате нарушения естественных условий происходит уплотнение сезоннопротаивающего слоя, то общую осадку можно определить из следующего выражения

(12)
где

- относительная сжимаемость сезоннопротаивающего слоя.
1.16. В случае неоднородной грунтовой толщи и изменения теплофизических характеристик грунтов по разрезу глубина промерзания-протаивания может быть рассчитана двумя способами.
1.17. Первый способ заключается в последовательности расчета промерзания-протаивания каждого слоя. Так, для расчета глубины промерзания слоистой толщи схема расчета будет следующей:
а) определяется время промерзания

первого слоя (h
1)

(13)
б) определяется время промерзания второго и каждого последующего слоя

(14)
в) определяется мощность промерзания в предполагаемом последнем слое

(15)
| | ИС МЕГАНОРМ: примечание. Формула дана в соответствии с официальным текстом документа. | |
где

.
Глубина протаивания (hт) рассчитывается аналогично глубине промерзания (hм).
1.18. При расчетах глубин промерзания неоднородной грунтовой толщи среднеинтегральное значение температуры (T) подстилающих грунтов принимается постоянным и определяется в зависимости от среднегодовой температуры грунта по графику (см.
рис. 1).
1.19. Предлагаемую схему расчета глубины промерзания-протаивания грунта по первому способу целесообразно использовать только в том случае, если мощность чередующихся неоднородных слоев превышает 0,3 м.
1.20. Второй способ расчета промерзания-протаивания слоистой толщи возможен только в том случае, когда мощность слоев не превышает 0,3 м. При этом используются
формулы (1) и
(2), а осредненные значения теплофизических характеристик находятся следующим образом:
По такой схеме глубина промерзания находится методом последовательного приближения, т.е. вначале задается условным значением глубина промерзания-протаивания (см.
рис. 18 -
22). В дальнейшем значение этой величины уточняется. Примеры расчета глубин сезонного и многолетнего промерзания-протаивания грунтов приведены в
прил. 1 -
4.
2. РАСЧЕТНАЯ СХЕМА ДЛЯ ПРОГНОЗИРОВАНИЯ
СРЕДНЕГОДОВОЙ ТЕМПЕРАТУРЫ ГРУНТА
2.1. Существующие расчетные методы определения среднегодовой температуры грунта основаны или на приближенных решениях задачи Стефана, или исходят из закона Фурье о затухании амплитуды с глубиной в однородной среде. При этом оказывается, что предпосылки и допущения при постановке задачи и ее решении существенно сказываются на точности получаемых результатов по сравнению с более точными решениями.
2.2. Рекомендуемая методика разрабатывалась с позиций сохранения математической сложности в постановке задачи. Упрощения были сделаны только в отношении выбора граничных условий. Для реализации такого подхода решена большая серия задач (около 1000 вариантов) на гидроинтеграторе системы В.С. Лукьянова. При постановке и решении задач учитывались возможные изменения: верхних граничных условий (сочетание условий прогрева и охлаждения поверхности для территории СССР); термического сопротивления напочвенных покровов; состава, увлажненности грунта и их теплофизических характеристик. Все решения задач на гидроинтеграторе обобщены и составлены номограммы
(рис. 2) для оперативного определения среднегодовой температуры грунта при соответствующем знании исходных параметров.
Рис. 2. Номограммы для расчета среднегодовой температуры
скального, песчаного и суглинистого грунта при равенстве
коэффициентов теплопроводности в талом
и мерзлом состояниях

2.3. Для определения среднегодовой температуры грунта должны быть известны следующие данные: тепловой импульс (сумма среднемесячных температур на дневной поверхности за теплый и холодный период); термическое сопротивление теплоизоляции на поверхности грунта соответственно за теплый (R
л) и холодный (R
з) периоды; состав грунта и его теплофизические свойства (

, C, Q
ф).
2.4. По номограммам (см.
рис. 2) в зависимости от состава грунта (скальные грунты, песок, суглинок) определяется значение среднегодовой температуры грунта (t
гр) для случая равенства коэффициентов теплопроводности в талом и мерзлом состояниях. Тепловой импульс за летний период по номограммам дается кратным 10, а термическое сопротивление теплоизоляции на поверхности за этот период - кратным 0,5 и 1 м
2·°C/Вт. Для промежуточных значений этих параметров используется интерполяция, а погрешность расчета при этом не выходит за пределы 0,1 - 0,2°. Для теплового импульса, равного нулю

, фазовые переходы в грунте отсутствуют и значение t
гр практически не зависит от состава грунта. Поэтому номограммы для

приведены только для скального грунта.
2.5. При различии коэффициентов теплопроводности грунта в талом и мерзлом состояниях

графически определяется понижение среднегодовой температуры грунта

в зависимости от соотношения

и теплового импульса на поверхности за теплый период
(рис. 3, а).

.
Рис. 3. Зависимость понижения и повышения среднегодовой
температуры грунта при неравенстве коэффициентов
теплопроводности грунта

от летнего
прогрева

и отношения

а - для суглинистых грунтов; б - для песчаных
и скальных грунтов
2.6. В песчаных грунтах при теплообмене наряду с кондуктивной теплопередачей значительную роль играет и конвективная составляющая теплообмена за счет фильтрации грунтовых вод и инфильтрации атмосферных осадков. В предлагаемой методике конвективный теплообмен учитывается за счет эффективного коэффициента теплопроводности грунта в талом состоянии. При этом

, а

. Повышение среднегодовой температуры грунта

находится графически
(рис. 3, б) в зависимости от соотношения

и теплового импульса на поверхности грунта за теплый период

.
2.7. Для определения температурной поправки

необходимо знать тепловой импульс

под слоем теплоизоляции, нахождение которого аналитическим путем представляет определенные трудности. На
рис. 4 представлена зависимость теплового импульса под слоем теплоизоляции для суглинистых, песчаных и скальных грунтов от теплового импульса на поверхности изоляции

, термического сопротивления изоляции (R
из) и среднегодовой температуры грунта. Номограммы построены по результатам решения серии соответствующих тепловых задач на гидроинтеграторе и позволяют довольно точно по сравнению с существующими приближенными аналитическими решениями и достаточно оперативно определять тепловой импульс под слоем теплоизоляции при расчетах среднегодовой температуры грунта.
2.8. Поскольку значение t
гр функционально связано с определением теплового импульса (t
пг), то нахождение последнего по номограммам (см. рис. 4) возможно только методом последовательного приближения. На практике достаточно оказывается одного или двух расчетов, так как абсолютное значение поправки

сравнительно мало и не выходит за пределы 2 °C.
Рис. 4. Зависимость теплового импульса в теплый период
под слоем теплоизоляции

от теплового импульса
на поверхности

, от грунтовых условий
и термического сопротивления теплоизоляции (Rиз)
2.9. При моделировании теплового процесса на гидроинтеграторе и последующем составлении номограмм для суглинистых грунтов теплота фазовых переходов принята равной 20000·4,2 кДж/м
3. Такое увлажнение грунта является предельным для условия равенства коэффициентов теплопроводности грунта в талом и мерзлом состояниях. Поэтому, если экспериментально известно, что равенство коэффициентов теплопроводности грунта

имеет место при меньших затратах тепла на фазовые превращения, то значение среднегодовой температуры грунта определяется интерполяцией в пределах значений для суглинистого и песчаного грунта. Так же поступают и в случае несоответствия затрат тепла на фазовые превращения для песков, (Q
ф = 10000·4,2 кДж/м
3), только интерполирование проводится в пределах значений для песчаного и скального грунтов (Q
ф = 0).
3. МЕТОДЫ АНАЛИТИЧЕСКОГО ОПРЕДЕЛЕНИЯ ИСХОДНЫХ ПАРАМЕТРОВ
ПРИ ПРОГНОЗИРОВАНИИ ТЕПЛОВОГО СОСТОЯНИЯ ГРУНТОВ
3.1. Основными исходными параметрами при прогнозировании t
гр и мощности СТС, СМС являются температура дневной поверхности соответственно за теплый и холодный периоды и их продолжительность, термические свойства напочвенных покровов и искусственных покрытий, теплофизические свойства грунта (

, C и Q). Поскольку среднеинтегральная температура грунта (T) функционально связана с t
гр, то значение ее находится в соответствии с прогнозом последней.
3.2. Температура дневной поверхности (tп) в природных условиях является результирующей характеристикой сложного тепломассообмена напочвенных покровов и грунта с приземным слоем атмосферы. Реально при прогнозировании теплового состояния грунтов мы располагаем температурой приземного слоя воздуха, определяемой сетью метеостанций гидрометеослужбы. Поэтому на практике в геокриологии при теплотехнических расчетах чаще всего используют связь температуры дневной поверхности (tп) с температурой воздуха (tв) и составляющими теплового баланса (R, LE, B)

(17)
где aк - коэффициент конвективного теплообмена;
R - радиационный баланс;
LE - затраты тепла на испарение;
B - тепловой поток через поверхность.
3.3. Величина радиационного баланса (R), согласно М.И. Будыко, определяется из выражения

(18)
где Q - суммарная радиация;
A - альбедо земной поверхности;
I - эффективное излучение, рассчитанное по температуре воздуха;

- относительная излучательная способность поверхности;

- постоянная Стефана - Больцмана;
T - температура воздуха, К.
3.4. Аналитически затраты на испарение определяются по следующей формуле Будыко М.И.
| | ИС МЕГАНОРМ: примечание. Формула дана в соответствии с официальным текстом документа. | |

(19)
где L - скрытая теплота парообразования;
e - удельная влажность воздуха;
K - коэффициент турбулентной диффузии пара.
Коэффициент конвективного теплообмена (коэффициент теплоотдачи) в строительной физике определяется по формуле Бютнера

(20)
где a0 и m - эмпирические коэффициенты;
u - скорость ветра.
3.5. На основании экспериментальных исследований А.В. Павлов для участков с естественным растительным покровом и оголенным грунтом рекомендует следующие значения этих коэффициентов: a0 = 2,67 Вт/(м2·град·час); m = 5,7 Вт·сек1/2/(м5/2·°C). При этом скорость ветра определяется на высоте 1 м. Для бетонных, асфальтовых и покрытий полиэтиленовой пленкой значение aк, определяемое по вышеприведенной зависимости, следует соответственно умножить на коэффициенты 1,3; 1,5 и 1,6.
3.6. Тепловой поток (B) можно определить из уравнения теплового баланса
B = R - LE - P. (21)
При этом значение турбулентного теплообмена между земной поверхностью и атмосферой (P) следует определять из выражения

(22)
где

- плотность воздуха;
Cр - удельная теплоемкость воздуха;
D - интегральный коэффициент диффузии.
3.7. В связи с тем, что параметры R и B непосредственно зависят от температуры поверхности, а LE - косвенно, аналитическое определение tп по вышеприведенной схеме возможно только методом последовательного приближения.
3.8. На практике при расчетах t
п используют и упрощенный способ, исходя из
выражения (17), а значения составляющих теплового баланса (R, LE, B) берут по атласу теплового баланса земного шара и другим опубликованным материалам гидрометеослужбы. Коэффициент конвективного теплообмена в этом случае определяют также исходя из
формулы (20).
3.9. Расчет температуры поверхности целесообразен только для теплового периода года. В холодный период года значения составляющих радиационного баланса по абсолютной величине крайне незначительны, и согласно
зависимости (17) температура поверхности будет близка к температуре воздуха. Это подтверждают и многочисленные экспериментальные исследования.
3.10. Для оперативности использования данного подхода к аналитическому определению температуры поверхности на территории СССР составлены соответствующие карты верхних граничных условий (рис. 5,
6), на которых изолиниями показано несколько значений температуры поверхности за теплый период, соответствующих минимальному и максимальному прогреву поверхности в естественных условиях и максимально возможному при инженерной мелиорации с использованием пленочных покрытий.
Рис. 5. Карта верхних граничных условий
(температура воздуха)
Рис. 6. Карта верхних граничных условий
(температура дневной поверхности)
3.11. Минимальный прогрев свойственен затененным поверхностям, для которых температура дневной поверхности за теплый период практически соответствует температуре воздуха. Так как радиационный баланс естественной поверхности и соотношение его составляющих в значительной степени зависят от микроусловий, то значение теплового импульса для открытой поверхности, приведенное на карте, не всегда будет соответствовать действительным значениям, так как при расчетах температуры дневной поверхности открытых участков исходили из возможного максимального эффекта влияния составляющих теплового баланса. Поэтому все возможное разнообразие естественных условий относительно прогрева поверхности должно попадать в учтенный диапазон изменения значений теплового импульса за теплый период для затененной и открытой поверхности. При наличии экспериментальных данных по радиационному и тепловому балансу значение температуры дневной поверхности, определяемое по картам-схемам, уточняется дополнительным расчетом по вышеизложенной схеме.
3.12. Условия охлаждения поверхности грунта зависят от температуры воздуха в холодный период и наличия теплоизоляционных покровов. На картосхеме (см.
рис. 5) отрицательный тепловой импульс за холодный период через поверхность рассчитан в соответствии со среднемесячными значениями температуры воздуха по данным метеостанций.
3.13. В естественных условиях мощным теплоизолятором является снежный покров и, в меньшей степени, растительный. Поскольку распределение снежного покрова по площади для большей части территории СССР довольно неравномерно, то целесообразно при оценке влияния его на тепловое состояние грунтов воспользоваться следующей схематизацией. Особенно большие различия в мощности снежного покрова отмечаются на открытых и защищенных участках, связанные с ветровым переносом. Это обстоятельство и учтено при составлении карты термического сопротивления снежного покрова для открытой и защищенной поверхности (рис. 7). Максимальные значения здесь соответствуют защищенным участкам, а минимальные - открытым. Такой диапазон изменения термического сопротивления снежного покрова позволяет при прогнозировании оценить вероятные изменения мощности СМС, СТС и среднегодовой температуры грунта.
Рис. 7. Карта значений термического сопротивления
снежного покрова (естественные условия)
3.14. Сложность оценки теплоизоляционных свойств снежного покрова заключается не только в разнообразии характера снегонакопления (изменения его мощности), но и в том, что коэффициент теплопроводности снежного покрова зависит от плотности и температуры. Это обстоятельство значительно осложняет постановку и решение прогнозных задач по определению мощности СМС, СТС и среднегодовой температуры грунта. На основании обобщения экспериментальных данных для оценки теплоизоляционных свойств снежного покрова при прогнозировании температурного режима промерзающих-протаивающих грунтов рекомендуется зависимость термического сопротивления снежного покрова от его мощности (рис. 8), которая в скрытом виде учитывает влияние температуры и плотности при определении теплофизических свойств снежного покрова. Следует иметь в виду, что для территорий, где значение отрицательного теплового импульса превышает минус 150 °C·мес (см. рис. 8), величину термического сопротивления, определяемую по этой зависимости, следует увеличить в 1,3 раза.

Рис. 8. Зависимость термического сопротивления
снежного покрова от мощности снежной толщи
1 - при среднем значении мощности за холодный период;
2 - при максимальном значении на период февраль - март
3.15. По особенностям тепло- и влагообмена растительный покров можно подразделить на следующие основные группы: леса, кустарники, луга и мохово-лишайниковые и дерновые покровы. Это связано с тем, что поглощение радиации и излучение тепла в лесу, в основном, совершается внешней поверхностью крон в некотором объемном пространстве. Под полог леса проникает лишь небольшое количество радиации, определяемое густотой и сомкнутостью крон. Луговая растительность, в отличие от леса, не имеет внешней поверхности и поглощение радиации происходит по всей массе травостоя, которая непосредственно контактирует с грунтом. Поэтому при расчетах температуры дневной поверхности следует исходить из того, что в случае древесной растительности (лес, подлесок) температура дневной поверхности (верхнее граничное условие) соответствует температуре воздуха в метеобудке на высоте 2 м, а при наличии луговой растительности температура дневной поверхности должна рассчитываться с учетом лучистого теплообмена по методике, изложенной выше. Кустарники по характеру ослабления радиации занимают промежуточное положение между лесом и лугом.
3.16. Мохово-лишайниковые и дерновые покровы в расчетной схеме при определении глубины промерзания-протаивания и среднегодовой температуры грунта учитываются посредством термического сопротивления (R
из), исходя из теплофизических свойств покровов

. Для различных природных зон территории, занятой мерзлыми грунтами, обобщенные значения термических свойств наиболее характерных типов естественных покровов для лесотундры и тундры приведены в табл. 1. Приводимые значения термических характеристик получены в результате стационарных режимных наблюдений за теплообменом в грунтах и растительных покровах.
Характеристика напочвенного покрова | Степень увлажнения | Коэффициент теплопроводности, Вт/(м·°C) | Термическое сопротивление, (м2·°C)/Вт |
холодный период | теплый период | холодный период | теплый период |
Лесотундра |
Мощный моховой покров с очесом, преимущественно сфагнум | Слабоувлажненный | 0,44 | 0,23 | 0,5 | 0,86 |
Увлажненный | 0,76 | 0,27 | 0,26 | 0,5 |
Переувлажненный | 1,16 | 0,6 | 0,09 | 0,17 |
То же, при отсыпке песчаным грунтом | Слабоувлажненный | 0,7 | 0,35 | 0,22 | 0,43 |
Увлажненный | 0,9 | 0,46 | 0,13 | 0,25 |
Маломощный моховой покров, преимущественно зеленые мхи | Слабоувлажненный | 0,23 | 0,2 | 0,43 | 0,5 |
То же, при отсыпке сверху песчаным грунтом | Слабоувлажненный | 0,35 | 0,26 | 0,26 | 0,34 |
Ягель | Сухой | 0,17 | 0,52 | 0,39 | 0,39 |
Дерновый покров | Слабоувлажненный | 0,6 | 0,46 | 0,26 | 0,34 |
Тундра |
Сфагнум | Увлажненный | 0,23 | 0,24 | 0,65 | 0,61 |
Слабоувлажненный | 0,21 | 0,18 | 0,72 | 0,81 |
Зеленые мхи, сфагнум, ягель | Сухой | 0,2 | 0,16 | 0,35 | 0,43 |
Сфагнум и зеленые мхи | Слабоувлажненный | 0,22 | 0,18 | 0,46 | 0,53 |
3.17. Термические характеристики искусственных покровов (асфальт, бетонные покрытия, пенопласт, пенополиуретан и т.д.) определяются, исходя из теплофизических свойств этих покровов
(табл. 2). В случае многослойного покрова определяется суммарное значение термического сопротивления из выражения

(23)
где

,

- соответственно толщина и коэффициент теплопроводности n-го слоя изоляции.
Материал теплоизоляционного покрова | Плотность, кг/м3 | Характеристика в сухом состоянии | Коэффициент теплопроводности в условиях эксплуатации, Вт/(м·°C) |
удельная теплоемкость, кДж/ (кг·°C) | коэффициент теплопроводности, Вт/ (м·°C) |
Железобетон | 2500 | 0,84 | 1,69 | 2,04 |
Бетон на гравии или щебне из природного камня | 2400 | 0,84 | 1,51 | 1,86 |
Туфобетон | 1800 | 0,84 | 0,64 | 0,99 |
" | 1200 | 0,84 | 0,29 | 0,47 |
| | ИС МЕГАНОРМ: примечание. Текст дан в соответствии с официальным текстом документа. | |
|
Пензобетон | 1600 | 0,84 | 0,52 | 0,68 |
" | 800 | 0,84 | 0,19 | 0,26 |
Керамзитобетон | 1800 | 0,84 | 0,66 | 0,92 |
" | 500 | 0,84 | 0,14 | 0,23 |
Шунгизитобетон | 1400 | 0,84 | 0,49 | 0,64 |
" | 1000 | 0,84 | 0,27 | 0,38 |
Перлитобетон | 1200 | 0,84 | 0,29 | 0,50 |
" | 600 | 0,84 | 0,12 | 0,23 |
Шлакопемзобетон | 1800 | 0,84 | 0,59 | 0,76 |
" | 1000 | 0,84 | 0,23 | 0,37 |
Пенобетон | 1000 | 0,84 | 0,29 | 0,47 |
" | 300 | 0,84 | 0,08 | 0,13 |
Кирпич | 1800 | 0,88 | 0,56 | 0,81 |
Туф | 2000 | 0,88 | 0,76 | 1,05 |
" | 1200 | 0,88 | 0,27 | 0,41 |
Деревянный настил | 500 | 2,3 | 0,14 | 0,26 |
" " | 700 | 2,3 | 0,17 | 0,23 |
Плиты древесноволокнистые | 1000 | 2,3 | 0,15 | 0,29 |
То же | 200 | 2,3 | 0,06 | 0,08 |
Плиты торфяные | 300 | 2,3 | 0,064 | 0,08 |
" " | 200 | 2.3 | 0,052 | 0,064 |
Пакля | 150 | 2,3 | 0,05 | 0,07 |
Маты минераловатные | 125 | 0,84 | 0,056 | 0,07 |
" " | 50 | 0,84 | 0,048 | 0,06 |
Пенополистирол | 150 | 1,34 | 0,05 | 0,06 |
" | 40 | 1,34 | 0,038 | 0,05 |
Пенополиуретан | 80 | 1,47 | 0,041 | 0,05 |
" | 40 | 1,47 | 0,029 | 0,04 |
Гравий керамзитовый | 800 | 0,84 | 0,18 | 0,23 |
" " | 200 | 0,84 | 0,099 | 0,12 |
Щебень из доменного шлака | 800 | 0,84 | 0,18 | 0,26 |
" " " | 400 | 0,84 | 0,122 | 0,16 |
Асбестоцемент | 1800 | 0,84 | 0,35 | 0,52 |
" | 1600 | 0,84 | 0,23 | 0,41 |
Битум | 1400 | 1,68 | 0,27 | 0,27 |
" | 1000 | 1,68 | 0,17 | 0,17 |
Асфальтобетон | 2100 | 1,68 | 1,05 | 1,05 |
3.18. При наличии естественных или искусственных покровов температура дневной поверхности при расчетах h
стс и t
гр определяется в зависимости от температуры воздуха и лучистого теплообмена по вышеизложенной методике или по картосхемам (см.
рис. 5,
6) с учетом условий затененности поверхности.
3.19. Расчет температуры дневной поверхности склонов различной ориентации также следует приводить по вышеизложенной методике. Поскольку месячные и суточные суммы радиационного баланса (R) определяются, главным образом, астрономическими факторами, то в соответствии с методикой (Микроклимат, 1967) упрощается нахождение величины радиационного баланса, исходя из следующего соотношения:

(24)
В табл. 3 приведено отношение суточных сумм радиационного баланса на северном и южном склонах крутизной 10 и 20° к суммам на горизонтальной поверхности.
Широта, град. | Северный склон |
20° | 10° |
IV | V | VI | VII | VIII | IX | IV | V | VI | VII | VIII | IX |
50 | 0,76 | 0,87 | 0,9 | 0,89 | 0,82 | 0,62 | 0,88 | 0,93 | 0,95 | 0,94 | 0,92 | 0,83 |
| | ИС МЕГАНОРМ: примечание. Значение в графе VI для 20° дано в соответствии с официальным текстом документа. | |
|
52 | 0,74 | 0,87 | 0,98 | 0,88 | 0,8 | 0,61 | 0,87 | 0,93 | 0,95 | 0,93 | 0,91 | 0,81 |
54 | 0,73 | 0,86 | 0,89 | 0,88 | 0,8 | 0,59 | 0,86 | 0,92 | 0,94 | 0,93 | 0,9 | 0,8 |
56 | 0,72 | 0,86 | 0,88 | 0,88 | 0,79 | 0,58 | 0,85 | 0,92 | 0,94 | 0,92 | 0,9 | 0,78 |
58 | 0,7 | 0,85 | 0,88 | 0,87 | 0,78 | 0,57 | 0,84 | 0,92 | 0,93 | 0,92 | 0,89 | 0,77 |
60 | 0,69 | 0,85 | 0,87 | 0,86 | 0,77 | 0,55 | 0,83 | 0,91 | 0,94 | 0,91 | 0,89 | 0,75 |
62 | 0,68 | 0,84 | 0,86 | 0,86 | 0,76 | 0,53 | 0,82 | 0,91 | 0,94 | 0,91 | 0,89 | 0,72 |
64 | 0,67 | 0,84 | 0,86 | 0,85 | 0,74 | 0,52 | 0,82 | 0,91 | 0,94 | 0,92 | 0,88 | 0,7 |
66 | 0,65 | 0,83 | 0,85 | 0,84 | 0,73 | 0,5 | 0,81 | 0,9 | 0,95 | 0,92 | 0,87 | 0,68 |
68 | 0,64 | 0,83 | 0,84 | 0,83 | 0,72 | 0,48 | 0,8 | 0,9 | 0,96 | 0,94 | 0,87 | 0,65 |
Продолжение табл. 3
Широта, град. | Южный склон |
20° | 10° |
IV | V | VI | VII | VIII | IX | IV | V | VI | VII | VIII | IX |
50 | 1,11 | 1,05 | 1,02 | 1,03 | 1,08 | 1,19 | 1,21 | 1,09 | 1,04 | 1,06 | 1,14 | 1,34 |
52 | 1,11 | 1,05 | 1,02 | 1,03 | 1,09 | 1,19 | 1,23 | 1,1 | 1,04 | 1,07 | 1,15 | 1,38 |
54 | 1,12 | 1,05 | 1,03 | 1,03 | 1,09 | 1,2 | 1,24 | 1,1 | 1,05 | 1,08 | 1,16 | 1,39 |
56 | 1,13 | 1,06 | 1,03 | 1,04 | 1,1 | 1,2 | 1,26 | 1,11 | 1,06 | 1,08 | 1,17 | 1,4 |
58 | 1,14 | 1,06 | 1,03 | 1,04 | 1,1 | 1,21 | 1,27 | 1,11 | 1,06 | 1,09 | 1,17 | 1,41 |
60 | 1,14 | 1,07 | 1,03 | 1,04 | 1,11 | 1,21 | 1,28 | 1,12 | 1,07 | 1,09 | 1,18 | 1,42 |
62 | 1,15 | 1,07 | 1,04 | 1,05 | 1,11 | 1,22 | 1,3 | 1,12 | 1,07 | 1,1 | 1,19 | 1,43 |
64 | 1,16 | 1,07 | 1,04 | 1,05 | 1,12 | 1,22 | 1,31 | 1,13 | 1,08 | 1,1 | 1,19 | 1,44 |
66 | 1,16 | 1,08 | 1,04 | 1,05 | 1,12 | 1,23 | 1,33 | 1,13 | 1,08 | 1,11 | 1,2 | 1,45 |
68 | 1,17 | 1,08 | 1,04 | 1,06 | 1,13 | 1,23 | 1,34 | 1,14 | 1,09 | 1,11 | 1,21 | 1,46 |
Зная радиационный баланс горизонтальной поверхности и определяя из
табл. 3 коэффициент K для данной широты местности, находим величину радиационного баланса склона нужной экспозиции и крутизны.
3.20. Теплофизические свойства грунта (

, C и Q) как параметры, необходимые для расчета мощности СТС, СМС и среднегодовой температуры грунта, определяются в соответствии с составом грунта и его водно-физическими свойствами.
3.21. В расчетных
формулах (1) и
(2) скрытая теплота фазовых превращений выделяется и поглощается на подвижной границе раздела фаз. Поэтому параметр Q
ф определяется по формуле

(25)
где

- объемный вес скелета грунта; W, W
н - соответственно суммарная и незамерзшая влага, доли единицы.
Количество незамерзшей воды в мерзлых грунтах Wн при отсутствии опытных данных определяется согласно рекомендаций СНиП II-18-76, ч. II, гл. 18.
3.22. Объемная теплоемкость мерзлых и талых грунтов (Cм, Cт) находится как суммарная величина по отношению к теплоемкости составных частей

(26)

(27)
где cск, cл и cв - соответственно удельные теплоемкости скелета грунта, льда и воды.
Удельная теплоемкость скелета минерального грунта при расчетах Cт и Cм принимается равной 0,84, торфа - 2,3, льда - 2,1, а воды - 4,2 кДж/(кг·°C).
3.23. Коэффициент теплопроводности промерзающих-протаивающих грунтов (

,

) определяется в зависимости от состава, влажности и плотности грунта по табл. 4 (СНиП II-18-76).
Таблица 4
Плотность сухого грунта, т/м3 | Суммарная влажность грунта, доли единицы | Коэффициент теплопроводности грунта, Вт/(м·°C) |
песок | супесь | суглинок | глина | торф |
| | | | | | | |
0,1 | 9 | - | - | - | - | - | - | 0,8 | 1,3 |
0,1 | 6 | - | - | - | - | - | - | 0,4 | 0,7 |
0,1 | 4 | - | - | - | - | - | - | 0,2 | 0,4 |
0,1 | 2 | - | - | - | - | - | | 0,1 | 0,2 |
0,2 | 4 | - | - | - | - | - | - | 0,8 | 1,3 |
0,2 | 2 | - | - | - | - | - | - | 0,2 | 0,5 |
0,3 | 3 | - | - | - | - | - | - | 0,9 | 1,4 |
0,3 | 2 | - | - | - | - | - | - | 0,4 | 0,7 |
0,4 | 2 | - | - | - | 2,1 | - | 2,1 | 0,9 | 1,4 |
0,7 | 1 | - | - | - | 2,1 | - | 2 | - | - |
1 | 0,6 | - | - | - | 2 | - | 1,9 | - | - |
1,2 | 0,4 | - | - | - | 1,9 | 1,55 | 1,8 | - | - |
1,4 | 0,35 | - | - | 1,8 | 1,85 | 1,55 | 1,7 | - | - |
1,4 | 0,3 | - | - | 1,75 | 1,9 | 1,45 | 1,55 | - | - |
1,4 | 0,25 | 1,9 | 2,15 | 1,55 | 1,8 | 1,3 | 1,5 | - | - |
1,4 | 0,2 | 1,6 | 1,85 | 1,3 | 1,5 | 1,1 | 1,2 | - | - |
1,4 | 0,15 | 1,4 | 1,6 | 1,1 | 1,3 | 0,9 | 1 | - | - |
1,4 | 0,1 | 1,1 | 1,3 | 0,9 | 1 | 0,7 | 0,75 | - | - |
1,4 | 0,05 | 0,75 | 0,8 | 0,6 | 0,7 | 0,5 | 0,5 | - | - |
1,6 | 0,3 | - | - | 1,85 | 2 | 1,7 | 1,8 | - | - |
1,6 | 0,25 | 2,5 | 2,7 | 1,8 | 1,9 | 1,5 | 1,7 | - | - |
1,6 | 0,2 | 2,15 | 2,4 | 1,6 | 1,75 | 1,3 | 1,5 | - | - |
1,6 | 0,15 | 1,8 | 2 | 1,55 | 1,55 | 1,1 | 1,2 | - | - |
1,6 | 0,1 | 1,45 | 1,6 | 1,15 | 1,3 | 0,9 | 0,9 | - | - |
1,6 | 0,05 | 1 | 1,1 | 0,8 | 0,9 | 0,6 | 0,65 | - | - |
1,8 | 0,2 | 2,7 | 2,8 | 1,85 | 2 | 1,55 | 1,8 | - | - |
1,8 | 0,15 | 2,25 | 2,6 | 1,7 | 1,8 | 1,4 | 1,55 | - | - |
1,8 | 0,1 | 2 | 2,2 | 1,45 | 1,55 | 1,05 | 1,2 | - | - |
1,8 | 0,05 | 1,45 | 1,5 | 1 | 1 | 0,7 | 0,75 | - | - |
2 | 0,1 | 1,3 | 2,9 | 1,75 | 1,85 | 1,3 | 1,4 | - | - |
2 | 0,05 | 2,1 | 2,15 | - | - | - | - | - | - |
4. МЕТОДЫ ЭКСПЕРИМЕНТАЛЬНОГО ОПРЕДЕЛЕНИЯ ИСХОДНЫХ ПАРАМЕТРОВ
ПРИ ПОСТАНОВКЕ СТАЦИОНАРНЫХ НАБЛЮДЕНИЙ
4.1. Аналитическое определение исходных параметров в большинстве случаев невозможно без дополнительных экспериментальных исследований теплообмена в натурных условиях. Даже и те приемы получения исходных данных для прогнозирования, изложенные выше, во многом базируются на экспериментальном материале. Поэтому наиболее надежный и обоснованный прогноз теплового состояния грунтов возможен только при проведении соответствующих стационарных наблюдений за теплообменом в приземном слое атмосферы, покровах и грунтах на экспериментальных площадках с естественными условиями и возможными их нарушениями при хозяйственном освоении территории. При этом цель таких стационарных наблюдений ставится несколько шире и заключается: в установлении закономерностей теплообмена в различных природных комплексах; в уточнении математической модели исследуемого процесса теплообмена; в обосновании предпосылок и допущений при использовании в целях прогноза приближенных аналитических решений; в определении и оценке исходных параметров при использовании расчетных методов; в установлении региональных и теоретических зависимостей при определении исходных данных с учетом основных природных факторов; в определении влияния возможных нарушений природной обстановки на характер теплообмена в грунтах.
4.2. Наиболее полный объем стационарных режимных наблюдений по исследованию и количественной оценке природных факторов, обусловливающих тепловой режим грунтов, включает в себя: общие метеорологические и теплобалансовые наблюдения; тепловые измерения (температура и теплопотоки) в грунте, растительном и снежном покровах; наблюдение за влажностным режимом грунта и уровнем грунтовых вод; изучение текстурных особенностей промерзающих и протаивающих грунтов; наблюдения за высотой, плотностью и структурными особенностями снежного покрова; за основными мерзлотными процессами.
4.3. Методика проведения метеорологических и теплобалансовых наблюдений разработана Гидрометеослужбой СССР. Для проведения этих наблюдений используется стандартная аппаратура, позволяющая осуществлять непрерывную и периодическую запись. Теплобалансовые наблюдения наиболее трудоемки и для их проведения необходимы значительные материальные затраты и привлечение специалистов соответствующей квалификации. Поэтому на практике для оценки температуры дневной поверхности проще исходить из непосредственных наблюдений ее в различных условиях, устанавливая общие и частные закономерности функциональной связи tп с основными природными факторами. Опыт показывает, что такой подход в инженерной практике оказывается вполне оправданным и позволяет получить сравнительно надежные результаты по количественной оценке этого параметра при прогнозировании теплового состояния грунтов.
4.4. Тепловые измерения в приземном слое атмосферы, грунте, растительном и снежком покровах осуществляются дистанционно с пульта с использованием датчиков-преобразователей.
Для размещения датчиков в грунте проходится скважина глубиной 10 - 15 м. До глубины 3 м датчики устанавливаются с интервалом 0,5 м, а ниже через каждые 1 - 2 м. Во избежание конвекции после установки датчиков скважина засыпается песком. В приповерхностном слое грунта до глубины 0,5 м датчики устанавливаются через 0,1 м. Срочность замеров температуры зависит от глубины расположения датчиков, мощности СТС, СМС, характера снегонакопления и наличия растительных напочвенных покровов. Так, в слое с суточными колебаниями температуры возникает необходимость в четырех-, восьмикратных наблюдениях. В более глубоких слоях достаточно наблюдать за температурой 1 раз в сутки.
4.5. Тепловые измерения в растительном и снежном покровах по сравнению с измерениями в грунте имеют некоторые особенности. Это связано, прежде всего, с особенностями процесса теплопередачи в этих средах, где наряду с кондукцией определенная роль принадлежит и конвекции. Поэтому для определения эффективных значений теплофизических характеристик в снежном и растительном покровах необходимо знать не только температурное поле, но и значение удельного теплопотока. Для исследования температурного поля в снежном и растительном покровах электрические термометры сопротивления устанавливаются с интервалом не более 0,1 м. В напочвенных покровах незначительной мощности датчики должны быть установлены на верхней и нижней границах.
4.6. Для определения теплопотока через поверхность, в грунте и напочвенных покровах используются тепломеры специального изготовления, соответствующей чувствительности и инерционности. Тепломеры устанавливаются на поверхности покрова, под покровом и в грунте. Теплофизические характеристики напочвенных покровов и поверхностных слоев грунта следует определять только тогда, когда устанавливается квазистационарный режим. Условие квазистационарности устанавливается по характеру температурного режима льда и теплопотокам в этих покровах. Опыт показывает, что определение эффективных значений теплофизических характеристик покровов возможно и за более длительные периоды при смене стационарных и нестационарных состояний, но в этом случае возрастает вероятность погрешности. Такой метод пригоден и для определения эффективных значений коэффициента теплопроводности песчаных грунтов, когда при протаивании существенную роль в общем теплообмене играет конвекция.
4.7. Коэффициент теплопроводности напочвенных растительных покровов зависит от условий увлажнения. Поэтому наряду с исследованием теплового режима этих покровов определяется их влажность и объемный вес. Режим измерения влажности зависит от выпадения осадков, но не реже 1 раза в 15 дней. В холодный период влажность измеряется один раз после полного промерзания покрова.
4.8. Измерение влажности грунтов на всех площадках должно проводиться в течение всего годового цикла с интервалом во времени от 15 до 30 дней. Пробы на влажность берутся в начале и конце промерзания из шурфов методом бороздки, а в процессе промерзания и протаивания точечный отбор проб осуществляется с помощью зондировочного бурения скважин на глубину слоя СТС, СМС.
4.9. Наблюдения за динамикой промерзания и протаивания осуществляются мерзлотомерами Данилина, Ротомского и зондировочным бурением. Следует иметь в виду, что в холодный период глубина промерзания по мерзлотомеру Данилина вследствие конвекции в обсадке и условий замерзания свободной воды не всегда соответствует реальной величине. В этом случае она должна корректироваться зондировочным бурением. При промерзании мелкодисперсных грунтов более достоверные данные о глубине промерзания могут быть получены с помощью мерзлотомера Ротомского. Для определения глубины протаивания надежным инструментом является мерзлотный щуп (заостренный металлический стержень).
4.10. Для наблюдения за динамикой мощности снежного покрова на площадках устанавливаются снегомерные рейки. Высота снежного покрова фиксируется ежедневно, а плотность его определяется весовым способом с частотой 1 - 2 раза в декаду в зависимости от скорости снегонакопления и ветрового режима. Изучение стратиграфии снежного покрова проводится 1 - 2 раза в месяц в шурфе. При значительном перераспределении снежного покрова по территории проводится снегомерная съемка по заранее намеченным профилям. Эпизодические наблюдения за мощностью и плотностью снежного покрова по профилям не должны быть реже 1 раза в месяц.
4.11. Полевые режимные наблюдения дополняются лабораторными исследованиями состава, водно-физических, теплофизических и механических свойств грунтов. Для лабораторных исследований отбираются пробы и монолиты. Лабораторные исследования включают: определение гранулометрического и минералогического составов, водно-физических свойств (влажность, нижний и верхний предел пластичности, число пластичности, удельный и объемный вес, содержание органических примесей, коэффициент фильтрации, адсорбционные свойства), прочностных свойств (модуль деформации, длительная прочность на сжатие, разрыв и сдвиг, удельное сцепление, угол внутреннего трения), теплофизических свойств (коэффициент теплопроводности и температуропроводности, удельная теплоемкость, массообменные характеристики, температура замерзания влаги в грунтах, количество незамерзшей воды), просадочность мерзлых грунтов при оттаивании.
4.12. При выборе экспериментальных площадок учитывают особенности теплообмена в различных природных ландшафтах и условия развития различных инженерно-геокриологических процессов. Поэтому количество площадок зависит от специфики геокриологических условий и особенностей развития наиболее опасных инженерно-геокриологических процессов.
4.13. В процессе освоения территории изменяются, прежде всего, поверхностные условия теплообмена. Эти изменения связаны с нарушением режима снегонакопления, уничтожением растительных покровов, осушением и заболачиванием территории, созданием искусственных покрытий, отсыпкой и снятием грунта с поверхности. Искусственно создать все перечисленные случаи нарушения поверхностных условий и их сочетания на экспериментальных площадках чрезвычайно сложно, и не всегда даже есть в этом необходимость. Поэтому целесообразно ограничить комплекс нарушений и рассмотреть наиболее типичные, которые более существенно сказываются на устойчивости инженерных сооружений и природном равновесии.
4.14. В соответствии с комплексом наблюдений на экспериментальных площадках устанавливается коммутирующая, измерительная и регистрирующая аппаратура. Для обеспечения необходимой точности измерений к этой аппаратуре должны предъявляться особые требования.
4.15. Исследования, проведенные в ПНИИИСе в 1978 - 1984 гг., позволили значительно улучшить метрологические характеристики типовой аппаратуры отечественного производства и разработать автоматизированную измерительную систему АСИ-500
<*>. В отличие от измерительно-информационных систем (ИИС), оператор АСИ не только контролирует работу аппаратуры, но и (по аналогии с АСУ) активно участвует в самом процессе измерений - оценивает результаты измерений, корректирует параметры аппаратуры, изменяет программу и методику измерений и т.п. Технические характеристики термометрических комплексов АСИ-500 приведены в работе "Рекомендации по применению автоматизированных комплексов аппаратуры для температурных измерений в грунтах". Для полевых условий эксплуатации разработаны метрологически совершенные, экономичные переносные приборы
(табл. 5).
--------------------------------
<*> Цель разработки АСИ - показать возможности и уровень метрологических характеристик (высокая точность), которые можно достигнуть, совершенствуя только методику измерений.
4.16. При разработке термометрических комплексов и полевых приборов основное внимание уделено метрологическому обеспечению температурных измерений (применение стандартных гостированных термодатчиков, поверка и корректировка аппаратуры по образцовым мерам непосредственно в момент измерений), а также вопросу унификации и взаимозаменяемости не только термодатчиков, но и вторичной аппаратуры, с возможностью градуировки и поверки простыми, но надежными средствами.
4.17. Новая, более производительная технология проведения наблюдений, обеспечивающая повышенную точность измерений температуры, достигнута в результате разработки: способа измерений температуры грунтов в полевых условиях; способа повышения разрешающей способности потенциометров; способа повышения чувствительности и точности цифровых вольтметров; метода измерений, исключающего температурную погрешность измерительного моста; метода измерений, исключающего погрешность от сопротивления линии связи; метода измерений, исключающего термоЭДС в линии связи и элементах измерительного моста; метода измерений с применением алгоритмов и тест-программ.
4.18. Для выявления источников погрешности измерительных устройств, их количественного учета и выбора методов коррекции принимается следующая классификация погрешностей: систематические, прогрессирующие, дополнительные и случайные.
К систематическим отнесены погрешности, не изменяющиеся с течением времени (делители напряжения, мостовые ореолы). К прогрессирующим - погрешности, медленно изменяющиеся со временем и являющиеся результатом старения деталей (сопротивления резисторов, емкости конденсаторов). К дополнительным - погрешности не изменяющихся во времени функций, вызывающих их влияние (напряжение, температура). К случайным - неопределенные по своей величине, функционально зависящие от многих переменных.
4.19. Критерием оценки метрологической надежности является следующее: систематические погрешности корректируются повторной аттестацией (сличением с образцовыми мерами); прогрессирующие требуют непрерывного повторения коррекции и тем чаще, чем интенсивнее их проявление; дополнительные корректируются введением преобразователей, воспринимающих влияющую величину и вводящих соответствующую поправку в результат измерений; случайные погрешности корректировке не подлежат - их значения не могут быть предсказаны.
4.20. В связи с тем, что точность измерений зависит как от нормируемых метрологических характеристик аппаратуры, так и от методики измерений, введен термин "метрологический уровень", характеризующий метрологическое совершенство прибора, аппаратуры или комплекса (см.
табл. 5).
Некоторые результаты метрологического анализа термопреобразователей представлены в
табл. 7 -
11.
4.21. Высокие требования предъявляются к изоляции линии связи
(табл. 6) и особенно при использовании транзисторных преобразователей. Поэтому термометрические приборы необходимо оснащать устройствами для количественной оценки состояния изоляции линии связи и датчиков. Операции контроля изоляции не должны быть сложными, чтобы не увеличивать время основного измерения - температуры. В разработанной аппаратуре эти требования выполнены - контроль изоляции производится по тому же отсчетному устройству, что и температура, операция контроля выполняется простым нажатием кнопки и отсчетом по шкале прибора.
4.22. В
табл. 8,
9 представлены допустимые отклонения (максимально возможные) метрологических характеристик термометров ГСП, гарантируемых ГОСТ 6651-78. Отклонение R
100/R
0 (см.
табл. 7) для термометров ГСП незначительно и находится в пределах требуемой точности измерений температуры (см.
табл. 9).
4.23. Точность определения R
0 при заводской градуировке (см.
табл. 8) недостаточна для группировки термометров с одинаковым R
0 
<*>.
--------------------------------
<*> В ПНИИИСе разработан и широко применяется надежный способ градуировки (определение R0 и R50/R0) при температуре 15 - 30 °C, методом сравнения с образцовыми термометрами, для которых R0 и R100/R0 определяется с точностью до 0,001% в Московском центре стандартизации и метрологии (МЦСМ).
Марка измерительного прибора | Диапазон измерений, °C | Разрешающая способность <*>, мм/0,1 °C | Метрологический уровень |
исключаются погрешности | условия выполнения схемы |
ЭТС-1 | +/- 50 | 1 | U0, Kу, Uм, Eм, Rкм | R2 = R1 + 4Rп R3 = R0 + 4Rп Rэ = R3 Rк = Rп |
М-100/10 | +/- 50 | 1 | То же | R2 = R1 - 4Rп R3 = R0 - 4Rп Rэ = R3 + 3Rп |
М-100/5 | +/- 50 | 2 | " | R2 = R1 - 9Rп R3 = R0 - Rп |
МО-100/5 | +/- 55 | 2 | " | R2 = R1 - 5Rп R3 = Rэ - R0 Rк = Rп |
М-100/5-10/1 | +/- 50 | 10 | Цена деления 0,01 °C | R2 = R1 + 4Rп R3 = R0 - 10Rпп Rк = Rп |
--------------------------------
<*> Точность определяется методикой измерений.
Принятые обозначения источников погрешностей:
U0 - дрейф нуля усилителя; Kу - коэффициент усиления; Uм - напряжение питания моста; Rкм - переходное сопротивление контактов моста; Eм - термоЭДС в линии связи и элементах моста.
Преобразователь | Сопротивление R0 Rэкв, Ом | Допустимые | Чувствительность мкВ/0,1 °C | Погрешность изоляции линии связи (Rиз = 1 МОм), °C |
мощность рассеивания, мВт | ток питания, мА |
Термистор | 1000 | 0,01 - 0,05 | 0,1 - 0,2 | (0,2 - 2) 103 | 0,02 |
Термотранзистор | 1000 | 0,01 - 0,05 | 0,1 - 0,2 | 200 | 0,1 - 0,2 |
Медный ТС | 234 | 0,1 - 0,5 | 0,5 - 1 | 50 - 100 | 0,05 |
100П, 100М | 100 | 0,1 - 0,5 | 1 - 2 | 40 - 80 | 0,02 |
Термопара | 100 | - | - | 4 - 6 | 0,005 |
Тип преобразователя | Допустимое отклонение R100/R0 для классов |
I | II | III | IV | V |
ТСП | +0,0015 -0,0005 | +0,0015 -0,001 | +0,0015 -0,002 | +0,0015 -0,003 | +0,0015 -0,005 |
ТСМ | - | +/- 0,001 | +/- 0,002 | +/- 0,003 | +0,003 -0,005 |
Тип преобразователя | Допустимое отклонение R0, %, для классов |
I | II | III | IV | V |
ТСП | +/- 0,05 | +/- 0,1 | +/- 0,2 | +/- 0,4 | +/- 0,8 |
ТСМ | - | +/- 0,1 | +/- 0,2 | +/- 0,5 | +/- 1 |
Измеряемая температура, °C | Отклонение R100/R0 | |
0,0005 | 0,001 | 0,002 | 0,003 |
От -5 до 5 | | 0,005 | 0,01 | 0,02 | 0,03 | +/- 0,1 |
" -6 " -10 " 6 " 10 | | 0,01 | 0,02 | 0,04 | 0,05 | +/- 0,2 |
" -11 " -20 " 11 " 20 | | 0,02 | 0,04 | 0,08 | 0,1 | +/- 0,3 |
" -21 " -50 " 21 " 50 | | 0,05 | 0,1 | 0,2 | 0,3 | +/- 0,3 |
Время эксплуатации, ч | Допустимое отклонение R100/R0 | Погрешность при измерении температуры, °C |
10 | 20 | 30 | 40 | 50 |
1000 | 0,0007 | 0,02 | 0,03 | 0,05 | 0,06 | 0,08 |
2000 | 0,0010 | 0,02 | 0,05 | 0,07 | 0,10 | 0,12 |
4000 | 0,0013 | 0,03 | 0,06 | 0,09 | 0,12 | 0,15 |
6000 | 0,0015 | 0,03 | 0,07 | 0,11 | 0,14 | 0,18 |
8000 | 0,0017 | 0,04 | 0,08 | 0,12 | 0,16 | 0,20 |
10000 | 0,0020 | 0,05 | 0,10 | 0,15 | 0,20 | 0,25 |
Тип преобразователя | Градуировка | Длина линии связи, Rл, м | Сопротивление, Ом | Возможное отклонение | Погрешность, °C |
% | Ом |
ТСМ | 50М, 50П | 5 | 0,4 | 5 | 0,02 | 0,1 |
ТСП | 100М, 100П | 5 | 0,4 | 5 | 0,02 | 0,05 |
| 50М, 50П | 10 | 0,8 | 5 | 0,04 | 0,02 |
| 100М, 100П | 10 | 0,8 | 5 | 0,04 | 0,1 |
4.24. Погрешность медного термометра от изменения R
100/R
0 при длительной эксплуатации при температуре до 50 °C представлена в
табл. 10.
4.25. Требования к линий связи приведены в
табл. 11. При изготовлении термометрических кос необходимо тщательно подбирать провода, с одинаковым сечением и сопротивлением (из одной бухты). Провода, включаемые в противоположные плечи моста, следует выполнять из одного куска. При транспортировке и эксплуатации изготовленные косы не должны подвергаться механическим воздействиям.
5. ОПРЕДЕЛЕНИЕ СРЕДНЕГОДОВОЙ ТЕМПЕРАТУРЫ И ГЛУБИН
ПРОМЕРЗАНИЯ-ПРОТАИВАНИЯ ГРУНТОВ ПО КАРТОСХЕМАМ
5.1. Сложность аналитического определения исходных параметров и ограниченность стационарных режимных наблюдений за теплообменом грунта с приземным слоем атмосферы во многих случаях затрудняют использование расчетных схем при прогнозировании температурного режима промерзающих-протаивающих грунтов. Поэтому при подходе к прогнозированию становится важным знание изменчивости основных характеристик теплового состояния грунтов (hстс, hсмс и tгр) в естественных условиях и в результате возможных техногенных нарушений обстановки. Такая оценка возможна только при соответствующем учете изменчивости основных факторов и закономерностей их влияния на процессы промерзания-протаивания грунта.
5.2. Факторы и условия, определяющие процессы промерзания-протаивания в грунтах на территории СССР, крайне динамичны. В той или иной мере на мелкомасштабной карте удается отразить лишь климатические факторы: температуру воздуха, осадки, ветер, составляющие радиационного баланса. Состав поверхностных отложений и поверхностные условия, как правило, наиболее изменчивы в пространстве и нанести их на карту в целом для данной территории не представляется возможным. Поэтому при картировании tгр и мощности СТС, СМС возникает необходимость в составлении серии карт.
5.3. На формирование среднегодовой температуры грунта решающее влияние оказывают условия охлаждения, прогрева, состав отложений и влажность. С учетом возможных изменений этих факторов и условий составлена серия из десяти карт, позволяющих оценить диапазон изменения значений в естественных условиях и при их возможных нарушениях в процессе хозяйственного освоения территории. При составлении серии карт значений t
гр условия прогрева учтены тремя вариантами: минимальный прогрев (затененная поверхность), максимальный прогрев в естественных условиях (открытая поверхность) и максимально возможный при инженерной мелиорации. При оценке условий снегонакопления также рассмотрено три варианта: минимальное (открытые участки); максимальное (защищенные участки) и минимально возможное при его уплотнении. Состав грунта и увлажнение оценивались соотношением коэффициентов теплопроводности в талом и мерзлом состояниях: для слабовлажных суглинистых и песчаных грунтов с незначительным эффектом конвекции

; для увлажненных суглинистых и торфяных грунтов

; для песчаных грунтов с учетом конвективного теплообмена

.
Принятая схематизация при составлении серии карт среднегодовой температуры грунта позволяет прогнозировать значение этой характеристики в широком пределе ее изменения под воздействием природных и техногенных факторов.
5.4. Для поверхности с моховым покровом составлено две карты (рис. 9,
10), на которых изолиниями показано четыре значения среднегодовой температуры грунта в зависимости от характера снегонакопления (максимальное, минимальное) и условий прогрева (открытые, защищенные участки).
Рис. 9. Картосхема значений t
гр для затененной поверхности
с моховым покровом
1 - для максимального снегонакопления;
2 - для минимального снегонакопления
Рис. 10. Картосхема значений t
гр для открытой поверхности
с моховым покровом
1 - для максимального снегонакопления;
2 - для минимального снегонакопления
В качестве грунтовых условий для поверхности с моховым покровом при расчетах t
гр принимался увлажненный торф. Учитывать более дифференцированно здесь влажность и грунтовые условия не имеет особого смысла, так как понижение среднегодовой температуры грунта

за счет соотношения

крайне незначительно (см.
рис. 4) в связи с небольшим тепловым импульсом под слоем мха.
Наиболее низкие среднегодовые температуры грунта в естественных условиях характерны для поверхности с моховым покровом, а при нарушениях естественных условий возможны только в случае удаления снежного покрова или значительном его уплотнении.
5.5. При наличии мохового и дернового покрова рассматривать варианты формирования tгр для случаев максимально возможного прогрева при инженерных мероприятиях и уплотненного снежного покрова с практической точки зрения нецелесообразно, так как эти изменения обычно приводят и к нарушению растительного покрова.
5.6. Для поверхности с дерновым покровом и лишенной растительности также составлено по две карты (рис. 11 -
14).
Рис. 11. Картосхема значений tгр для затененной поверхности
с дерновым покровом
1 - для максимального снегонакопления;
2 - для минимального снегонакопления
Рис. 12. Картосхема значений tгр для открытой поверхности
с дерновым покровом
1 - для максимального снегонакопления;
2 - для минимального снегонакопления
Рис. 13. Картосхема значений tгр для затененной поверхности
без напочвенного растительного покрова
1 - для максимального снегонакопления;
2 - для минимального снегонакопления
Рис. 14. Картосхема значений t
гр для открытой поверхности
без напочвенного растительного покрова
Расчетные значения t
гр на этих картах соответствуют слабовлажным суглинистым грунтам

и песчаным грунтам со слабым проявлением конвективного теплообмена

. В случае более увлажненного суглинистого грунта

дополнительное понижение среднегодовой температуры грунта

определяется на соответствующей картосхеме (рис. 15). Для песчаных грунтов со значительным проявлением конвективного теплообмена

повышение среднегодовой температуры грунта

определяется также по картосхеме
(рис. 16).
Рис. 15. Картосхема расчетных значений понижения

при

1 - при наличии дернового покрова;
2 - для оголенной поверхности
Рис. 16. Картосхема значений повышения
среднегодовой температуры грунта при

5.7. На картосхеме
(рис. 17) приведены расчетные значения для слабовлажного суглинистого грунта

и песчаного со слабым проявлением конвективного теплообмена

для случая максимально возможного прогрева поверхности при соответствующей инженерной мелиорации грунтов. Рассматривать для этого случая варианты увлажнения суглинистого грунта нецелесообразно, так как при таком прогреве поддерживать значительное увлажнение поверхностных отложений на практике не представляется возможным. Исключения возможны при агротехнических мероприятиях, но в этом случае учесть понижение среднегодовой температуры грунта при

можно, воспользовавшись картосхемой теплового импульса (см.
рис. 6) и графической зависимостью (см.
рис. 3). Таким же образом, используя картосхему (см.
рис. 6) и данные моделирования (см.
рис. 3), можно учесть и повышение среднегодовой температуры грунта в связи с проявлением конвективного теплообмена в песчаных грунтах

.
Рис. 17. Картосхема значений t
гр при максимально возможном
прогреве поверхности
1 - для максимального снегонакопления;
2 - для минимального снегонакопления
5.8. При расчетах среднегодовой температуры грунта и построении картосхем использовались метеоданные, соответствующие определенным высотным отметкам метеостанций. Поэтому для равнинной части территории СССР расчетные значения t
гр соответствуют реальной поверхности, а для горной части территории соответствие имеет место только там, где высотные отметки не превышают 1500 - 2000 м. Для более высоких отметок при определении t
гр по данным картосхемам необходимы дополнительные расчеты с использованием номограмм (см.
рис. 2,
3,
4) и соответствующих данных о температуре за теплый и холодный периоды.
5.9. На картах (см.
рис. 9 -
17) можно проследить влияние на формирование среднегодовой температуры грунта как отдельных природных факторов, так и их совокупности. Такой анализ особенно важен при прогнозе t
гр, так как обеспеченность данного прогноза зависит не только от точности расчетного метода, но, прежде всего, от достоверности количественной оценки того или иного фактора природной обстановки. Зная в количественном отношении влияние каждого фактора на формирование среднегодовой температуры грунта, можно говорить и о степени точности прогнозируемых результатов. С другой стороны, выявление степени влияния тех или иных факторов позволяет предусмотреть объем и характер исследований для получения необходимой и надежной информации об изменении среднегодовой температуры грунта в результате предполагаемых техногенных нарушений природной обстановки.
5.10. На формирование мощности сезонно-талого слоя основное влияние оказывают следующие природные факторы: температура приземного слоя воздуха за летний период и его продолжительность, составляющие теплового баланса на поверхности (условие затененности, характер нарушения), теплофизические свойства покровов и протаивающего грунта, распределение температуры в толще грунта на момент начала протаивания. Возможное сочетание этих факторов и их изменчивость при техногенном воздействии на окружающую среду приводит к значительному диапазону изменения мощности СТС.
В связи с тем, что поверхностные условия, состав и увлажнение грунта взаимно обусловлены при составлении картосхем глубин сезонного протаивания, при наличии мохового покрова рассмотрен суглинистый грунт с влажностью 35% и торф с влажностью 500%. Менее увлажненный, а также песчаный грунт для таких условий нехарактерен.
5.11. Анализ влияния отдельных факторов на процессы сезонного протаивания в целом для территории СССР показывает, что такие факторы, как снегонакопление, оцениваемое через tгр, и условие затененности, менее других оказывают влияние на мощность СТС. Поэтому при составлении картосхем учитывался не диапазон изменения этих параметров, а их осредненное значение, что привело к существенному сокращению количества карт.
5.12. Для оценки возможных изменений мощности СТС в естественных и нарушенных условиях составлено три карты (рис. 18 -
20), на которых изолиниями показано 6 значений мощности сезонно-талого слоя. При этом влажность грунтов для песков и суглинков учитывалась посредством коэффициентов, определяемых по графику, что значительно расширяет пределы изменения мощности СТС, показанные на картосхемах.
Рис. 18. Карта мощности сезонно-талого слоя при наличии
мохового покрова
1 - для суглинистых грунтов; 2 - для торфянистых грунтов
Рис. 19. Картосхема мощности сезонно-талого слоя
глинистых грунтов
1 - для оголенной поверхности;
2 - для задернованной поверхности
Рис. 20. Картосхема мощности сезонно-талого слоя
песчаных грунтов
1 - для оголенной поверхности;
2 - для задернованной поверхности
5.13. Минимальные значения мощности СТС возможны при наличии мохового покрова (см.
рис. 18) и для всей области распространения многолетнемерзлых пород изменяются от 0 до 0,5 - 0,9 м. При этом диапазон изменения мощности СТС при наличии торфа составляет всего лишь 0,5 м, а при суглинистом грунте - 0,9 м.
Мощность СТС при наличии суглинистого грунта и дернового покрова изменяется от 0,25 до 1,25 - 2 м. При наличии песчаных грунтов и дернового покрова максимальная мощность СТС увеличивается до 3 м. Однако при расчетах учтен только кондуктивный теплообмен в грунтах, поэтому на юге области распространение многолетнемерзлых пород, значение мощности СТС в песчаных грунтах может быть и несколько выше, чем на приведенных картосхемах.
На поверхности, лишенной растительности, наблюдаются максимальные глубины протаивания грунтов. Мощность СТС суглинка в зависимости от влажности изменяется от 0,5 до 1,75 - 2,75 м, а при наличии песчаных грунтов с влажностью 5% увеличивается до 3,75 м даже без учета конвективного теплообмена в грунтах.
5.14. При формировании мощности сезонно-мерзлого слоя основными природными факторами являются температура приземного слоя воздуха за холодный период и его продолжительность, теплофизические характеристики покровов и промерзающего грунта, распределение температуры в толще грунта на момент начала промерзания. Такие факторы, как затененность и растительный покров, в большей степени сказываются на формировании среднегодовой температуры грунта, чем на мощности СМС, а ее изменение в области СМС незначительно. Поэтому учет какого-то среднего значения tгр при расчетах мощности СМС не приводит к существенным погрешностям и в то же время значительно сокращает анализ возможных вариантов изменения значений этой характеристики.
5.15. При построении картосхем для определения мощности СМС (рис. 21 -
22) учтено три варианта условий снегонакопления: максимальное, минимальное и его отсутствие, а для грунтовых условий следующие литологические разности: суглинок и песок, а также диапазон изменения влажности.
Рис. 21. Картосхема мощности сезонно-мерзлого слоя
глинистых грунтов
1 - для максимального снегонакопления; 2 - для минимального
снегонакопления; 3 - для оголенной поверхности
Рис. 22. Картосхема мощности сезонно-мерзлого слоя
песчаных грунтов
1 - для минимального снегонакопления; 2 - для максимального
снегонакопления; 3 - для оголенной поверхности
5.16. На двух картосхемах показано 6 значений мощности СМС для глинистых грунтов с влажностью 20% и песчаных с влажностью 15%. Диапазон изменения влажности при расчетах мощности СМС учитывается с помощью коэффициентов, определяемых графически.
5.17. Минимальная мощность СМС возможна при максимальном снегонакоплении и для суглинистого грунта с влажностью 30% в пределах территории СССР изменяется от 0 до 1,5 м, а для песчаного грунта с влажностью 5% - от 0 до 3,5 м.
Максимальная мощность СМС возможна при удалении с поверхности снежного покрова (оголенная поверхность). Так, при влажности суглинистых грунтов, равной 15%, она изменяется от 0 до 3,5 м, а при влажности 30% этих же грунтов - от 0 до 2,5 м.
ПРИМЕР РАСЧЕТА СРЕДНЕГОДОВОЙ ТЕМПЕРАТУРЫ И ГЛУБИНЫ СЕЗОННОГО
ПРОМЕРЗАНИЯ-ПРОТАИВАНИЯ ГРУНТА
В районе Уренгойского месторождения Западной Сибири предполагается освоение территории. В естественных условиях для территории характерен слабоувлажненный моховой покров мощностью 0,2 м, представленный сфагнумом. Сезоннопротаивающий слой и мерзлый до глубины 2 м представлен торфом, влажность которого 600%, а плотность сухого грунта

- 0,15 г/см
3. Необходимо определить значение t
гр и мощность СТС, СМС для естественных условий и при возможных техногенных нарушениях, связанных с освоением территории, для следующих вариантов:
1) естественные условия, мощность снежного покрова (Hсн) равна 0,2 м;
2) удален моховой покров, влажность торфа уменьшилась (W = 400%,

);
3) удален моховой покров, увеличилась мощность снежного покрова (H
сн = 0,8), влажность торфа уменьшилась (W = 400%,

);
4) удален моховой покров, уменьшилась мощность снежного покрова (H
сн = 0,1), уменьшилась влажность торфа (W = 400%,

);
5) произведена отсыпка территории слоем песка мощностью 0,5 м, уменьшилась мощность снежного покрова (H
сн = 0,1 м), влажность песка W = 7%,

.
По картосхемам (см.
рис. 6) для открытых участков данного района тепловой импульс за холодный период

равен 130 °C·мес, за теплый

- 45 °C·мес, а продолжительность последнего четыре месяца.
Теплофизические характеристики грунтов определяем согласно
табл. 5.
Торф: W = 600%,

;

;

; C
т = 800; C
м = 600;

; W
н = 50%.

.
Торф: W = 400%;

;

;

; C
т = 900; C
м = 570; W
н = 50%;

.

.
Песок: W = 7%:

;

;

; C
т = 480; C
м = 420; W
н = 0.
С учетом конвективного теплообмена эффективное значение коэффициента теплопроводности талого песка

составляет 1,6·1,16 Вт/(м·°C).

.
Вариант 1.
Для естественных условий термическое сопротивление мохового покрова согласно
табл. 1 в талом и мерзлом состояниях соответственно равно:

;

.
По графику (см.
рис. 8) определяем термическое сопротивление снежного покрова. По мощности его 0,2 м значение R
сн = 1,0·0,86 м
2·°C/Вт. С учетом растительного и снежного покрова суммарное значение термического сопротивления напочвенного покрова в холодный период (R
з) составляет 1,6·0,86 м
2·°C /Вт (1 + 0,6).
По номограммам (см.
рис. 2) для суглинистых грунтов при

для данных условий (

;

; R
т = 1 и R
з = 1,6) значение среднегодовой температуры грунта будет равно минус 4,8 °C.
Тепловой импульс за теплый период под слоем изоляции для

;

; t
гр = -4,8 °C равен 6 °C (см.
рис. 4). Поэтому понижение среднегодовой температуры грунта для соотношения

будет равно минус 0,3 °C. Таким образом, истинное значение среднегодовой температуры грунта будет равно -4,8 + (-0,3) = -5,1 °C.
Определяем мощность сезонно-талого слоя, м, по
формуле (2):
Вариант 2.
При удалении мохового покрова с поверхности значение среднегодовой температуры грунта при

находим по номограммам (см.
рис. 2). Для R
3 = 1;

и

. Значение t
гр = -1,7 °C.
Понижение среднегодовой температуры грунта при

и

будет равно минус 1,2 °C (см.
рис. 3).
Истинное значение среднегодовой температуры грунта для данных нарушений находим суммированием:
tгр = -1,7 + (-1,2) = -2,9 °C.
Вариант 3.
При мощности снежного покрова 0,8 м его термическое сопротивление согласно графику (см.
рис. 8) будет равно 2,7·0,86 м
2·°C/Вт.
Значение среднегодовой температуры грунта при

в соответствии с номограммами (см.
рис. 2) составляет 2 °C, а понижение среднегодовой температуры грунта при

и

будет равно минус 1,2 °C (см.
рис. 3). Окончательное значение среднегодовой температуры грунта составит 0,8 °C. Таким образом, данное нарушение приводит к многолетнему протаиванию мерзлых грунтов.
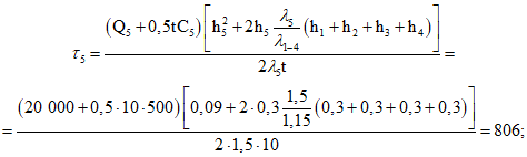
Определим мощность сезонного промерзания грунта, м, по
формуле (1)
Вариант 4.
При мощности снежного покрова равной 0,1 м его термическое сопротивление составляет 0,7·0,86 м
2·°C/Вт (см.
рис. 8). В этом случае значение среднегодовой температуры грунта при

будет равно минус 3,0 °C (см.
рис. 2). Понижение среднегодовой температуры грунта, так же, как и в предыдущих вариантах 2 и 3, равно минус 1,2 °C. Истинное значение среднегодовой температуры грунта будет равно минус 4,2 °C (минус 3 - минус 1,2).
Определим глубину сезонного протаивания, м, по
формуле (2)
Вариант 5.
По
таблице 1 определяем теплофизические характеристики мохового покрова после его уплотнения в результате отсыпки:

;

.
При расчете среднегодовой температуры грунта влияние отсыпки учтем через термическое сопротивление (Rотс). В холодный период значение термического сопротивления будет равно:
В теплый период значение термического сопротивления (Rт) с учетом отсыпки и напочвенного покрова будет равно:
По номограммам (см.
рис. 2) значение среднегодовой температуры грунта при

будет равно минус 4,6 °C.
Под слоем изоляции (R
т = 0,8) тепловой импульс будет равен 12 °C·мес
(рис. 4), а значение температурной поправки при

составит минус 0,6 °C
(рис. 3). Таким образом, истинное значение среднегодовой температуры грунта будет равно минус 5,2 °C (минус 4,6 - минус 0,6).
Определим мощность слоя сезонного протаивания, м, по
формуле (2):
ПРИМЕР РАСЧЕТА МНОГОЛЕТНЕГО ПРОМЕРЗАНИЯ ГРУНТОВ
Район широтного течения р. Оби в Западной Сибири. Залесенная территория. Грунты поверхностного слоя до глубины 10 м представлены пылеватой супесью, влажность которой 15%, а плотность сухого грунта - 1,4 г/см
3. В естественных условиях мощность снежного покрова 0,8 м. Тепловой импульс в соответствии с картосхемой (см.
рис. 5) за холодный период

составляет - 100 °C·мес, за теплый период

, а продолжительность последнего 5,5 мес.
Рассчитать глубину многолетнего промерзания грунта за 10 лет в случае полного удаления с площадки снежного покрова.
При мощности снежного покрова 0,8 м его термическое сопротивление равно 2,7·0,86 м
2·°C/Вт (см.
рис. 8).
Теплофизические характеристики супесчаного грунта при данных водно-физических свойствах следующие (см.
табл. 5):

;

; C
т = 520; C
м = 420; W
н = 5%;

.
По номограммам значение среднегодовой температуры грунта при

равно 3,1 °C. Значение t
гр для данного вида грунта определено интерполяцией как среднее между значениями для песчаных и суглинистых грунтов. Понижение температуры для соотношения

и

составляет минус 0,5 °C. Таким образом, в естественных условиях истинное значение среднегодовой температуры грунта будет равно 2,6 °C.
1. Определим глубину промерзания грунта, м, при снятом снежном покрове за первый год по
формуле (1)
2. Определим глубину протаивания, м
3. Определяем время смыкания при промерзании протаявшего слоя с мерзлым
4. Определяем глубину промерзания за каждый последующий год по
формуле (8)
ПРИМЕР РАСЧЕТА ПРОТАИВАНИЯ СЛОИСТОЙ ГРУНТОВОЙ ТОЛЩИ
Требуется рассчитать время протаивания слоистой грунтовой толщи.
Толща представлена чередованием слоев грунта, мощность слоев и теплофизические характеристики грунта приведены на рис. 23. Среднегодовая температура грунта 0 °C. Температура на поверхности (t) равна 10 °C. Объемная теплоемкость для всех слоев грунта постоянна и равна 500·4,2 кДж/(м3·°C).
Рис. 23. Результаты протаивания слоистой толщи
1 - моделирование; 2 - расчет по первому способу;
3 - расчет по второму способу
Расчет по первому способу. Последовательный расчет протаивания каждого слоя, ч
Расчет по второму способу заключается в осреднении теплофизических характеристик по разрезу.
Поскольку в нашем случае мощность слоев одинакова, то средневзвешенное значение будет равно среднеарифметическому
Осреднение коэффициентов теплопроводности по слоям сделано при расчетах по первому способу.
Рассчитаем время протаивания по второму способу раздельно для двух, трех, четырех, пяти, шести, семи и восьми слоев. Сравним результаты расчета по первому и второму способам.
Расчет протаивания данной слоистой толщи грунта выполнен моделированием на гидроинтеграторе, где задача решена без соответствующего упрощения; результаты расчета приближенными аналитическими методами (способы первый и второй) и моделированием на гидроинтеграторе (см.
рис. 23).
По сравнению с более точным методом расчета (моделированием) расчет по первому способу дает меньшую погрешность, чем по второму. Расчеты как по первому, так и по второму способам завышают фактическое протаивание грунта.
ПРИМЕР РАСЧЕТА ОПТИМАЛЬНОЙ МОЩНОСТИ ОТСЫПКИ
ДЛЯ ПРЕДОТВРАЩЕНИЯ МЕРЗЛЫХ ЛЬДИСТЫХ ГРУНТОВ ОТ ПРОТАИВАНИЯ
ПРИ ТЕХНОГЕННЫХ НАРУШЕНИЯХ
Район Ямбургского месторождения. Дренированная поверхность с мохово-лишайниковым покровом небольшой мощности 10 - 15 см. Среднегодовая температура пород минус 6 °C. Сезонно-талый слой представлен торфом с влажностью 600%, плотность сухого грунта

равна 0,1 г/см
3. Ниже залегают льдистые грунты, протаивание которых может привести к катастрофическим просадкам. Необходимо рассчитать мощность отсыпки из местного грунта (пылеватая супесь) для сохранения мерзлого состояния льдистых грунтов. При этом возможны два варианта сохранения мохового покрова и его удаления.
Тепловой импульс для холодного периода

, для теплого периода

, а продолжительность последнего 3,7 мес.
Теплофизические характеристики грунтов:
Торф: W = 600%,

;

;

; C
т = 800; C
м = 600;

; W
н = 50%;
Супесь пылеватая: W = 20%;

;

;

; W
н = 5,0%; C
т = 620; C
м = 500;
Термическое сопротивление мохового покрова в теплый и холодный периоды равно 0,8, а снежного покрова - 1,0·0,86 м
2·град/Вт. По номограммам (см.
рис. 2) значение среднегодовой температуры грунта при

равно минус 5,9 °C.
Тепловой импульс под слоем мха в теплый период

находим по номограммам
рис. 4. Для

и R
пок = 0,8 он равен 4 °C. Понижение среднегодовой температуры грунта при

и

равно минус 0,2 °C (см.
рис. 3). Таким образом, истинное значение среднегодовой температуры грунта для естественных условий будет равно минус 6,1 °C (минус 5,9 - минус 0,2).
Определим мощность сезоннопротаивающего слоя в естественных условиях, м, по
формуле (2)
При отсыпке территории песком происходит уплотнение мохового покрова и грунтов сезоннопротаивающего слоя. Термическое сопротивление мохового покрова становится равным 0,5·0,86 (м2·°C)/Вт. Сжимаемость слоя сезонного протаивания равна 0,1.
Определим по
формуле (3) оптимальную мощность отсыпки при сохранении мохового покрова
Определим мощность отсыпки по
формуле (3) в случае снятия мохового покрова

1. Гречищев С.Е., Чистотинов Л.В., Шур Ю.Л. Криогенные физико-геологические процессы и их прогноз. - М.: Недра, 1980. - 383 с.
2. Рекомендации по применению автоматизированных комплексов аппаратуры для температурных измерений в грунтах. - М.: Стройиздат, 1984. - 29 с.
3. Шуп Т. Решение инженерных задач на ЭВМ: Пер. с англ. - М.: Мир, 1982. - 235 с.
4. Чернядьев В.П., Чеховский А.Л., Стремяков А.Я., Пакулин В.А. Прогноз теплового состояния грунтов при освоении северных районов. - М.: Наука, 1984. - 137 с.