Главная // Актуальные документы // Рекомендация / РекомендацииСПРАВКА
Источник публикации
М.: Всесоюзный научно-исследовательский институт транспортного строительства, 1982
Примечание к документу
Название документа
"Рекомендации по проектированию и сооружению земляного полотна на прижимных участках рек"
(утв. Минтрансстроем СССР 25.11.1982)
"Рекомендации по проектированию и сооружению земляного полотна на прижимных участках рек"
(утв. Минтрансстроем СССР 25.11.1982)
Зам. директора Всесоюзного
научно-исследовательского института
транспортного строительства
Н.Б.СОКОЛОВ
25 ноября 1982 года
РЕКОМЕНДАЦИИ
ПО ПРОЕКТИРОВАНИЮ И СООРУЖЕНИЮ ЗЕМЛЯНОГО ПОЛОТНА
НА ПРИЖИМНЫХ УЧАСТКАХ РЕК
Одобрены Главным техническим управлением и Главтранспроектом
Настоящие Рекомендации предназначены для использования проектными институтами и строительными организациями Минтрансстроя при индивидуальном проектировании и строительстве земляного полотна (насыпей и выемок) на прижимных участках в условиях, аналогичных условиям трассы БАМа.
В Рекомендациях рассмотрены методы проектирования подтопляемых насыпей и способы защиты их откосов от воздействия паводковых вод и ледохода, вопросы проектирования поперечного профиля скальных выемок (и полувыемок) с учетом мероприятий по защите пути от скально-обвальных явлений, приведены требования по технологии производства работ при сооружении указанных конструкций в специфических условиях крутых скальных косогоров при подтоплении их горными реками.
Рекомендации подготовлены на основании результатов полевых и лабораторных исследований, опытного строительства, а также теоретических разработок.
Рекомендации разработаны А.М. Володиным, И.Д. Ткачевским, Б.И. Цвелодубом, Ф.И. Целиковым, Л.Н. Юдиным, Е.А. Яковлевой (ЦНИИС), Н.И. Басалаевым, Е.А. Бойцовым, А.П. Кудрявцевым (Ленгипротранс), И.Я. Мелик-Бахтамян, Н.Е. Тевдорашвили (Грузинский политехнический институт).
В проведении исследований и опытном строительстве принимали участие Мосгипротранс, Ленинградский политехнический институт, Грузинский политехнический институт и строительные тресты Тындатрансстрой, Бамстроймеханизация, Бамтрансвзрывпром.
Рекомендации предназначены для широкой опытной проверки и накопления материалов к предстоящему пересмотру действующих нормативных документов.
Замечания и пожелания по настоящим Рекомендациям следует направлять по адресу: 129329 Москва, ул. Кольская, 1, ЦНИИС.
Зав. отделением земляного полотна
и верхнего строения пути
П.Г.ПЕШКОВ
1.1. Прижимные участки трассы <1> характеризуются сложностью производства работ при сооружении земляного полотна и последующего обеспечения безопасности движения поездов вследствие стесненности условий, воздействия скально-обвальных процессов, паводковых вод и ледохода.
--------------------------------
<1> Прижимные участки трассы - это места, в которых размещение земляного полотна ограничено с одной стороны крутыми (как правило, скальными) косогорами, а с другой - водотоками, в большинстве случаев не имеющими прибрежных террас.
Земляное полотно на прижимных участках может быть запроектировано насыпями, прислоненными к косогору, или полувыемками (выемками).
В первом случае возникает проблема защиты откосов насыпей от разрушающего воздействия паводковых вод и ледохода, во втором - защиты основной площадки от попадания обвально-осыпного материала с откосов выемок и косогоров. Окончательное решение в пользу того или иного варианта принимается на основании технико-экономических расчетов.
Имеющийся опыт проектирования, строительства и эксплуатации дорог в горных условиях (железнодорожные линии Комсомольск - Совгавань, Новокузнецк - Абакан, Карламан - Белорецк, БАМ и др.) свидетельствует о том, что проектирование земляного полотна на прижимах прислоненными насыпями предпочтительно по сравнению с проектированием его полувыемками.
1.2. В Рекомендациях даются различные конструктивные решения земляного полотна (насыпей и выемок) на прижимных участках трассы и предложения по технологии их осуществления. При этом отражены лишь особенности конструкций и технологии, связанные со спецификой расположения земляного полотна на прижимах. Остальные элементы конструкции и технологии принимаются по существующим нормативным документам.
Проектирование земляного полотна должно производиться на основании гидрологических обследований участков трассы с учетом климатических условий района.
1.3. При разработке рекомендаций по конструкциям защиты земляного полотна от размыва из местных скальных материалов в основу положены результаты натурного обследования подтопляемых насыпей на строящихся и эксплуатируемых железнодорожных линиях. Конструкции из скальных материалов, рассчитанные на восприятие водного потока, не всегда могут предотвратить деформации от ледового воздействия. На прижимах, расположенных на участках крутых поворотов реки, в периоды интенсивного ледохода, особенно при образовании заторов, возможно нарушение укрепления, сопровождающееся перемещением отдельных камней объемом до 1,5 - 2 м3. В то же время установлено, что при прочих равных условиях в меньшей степени подвержены деформациям при ледоходе уположенные откосы. При этом фракционный состав грунта таких откосов не имеет решающего значения для предотвращения деформаций.
Каменная наброска при сооружении подтопленных насыпей в основном применялась в виде уширенной отсыпки из несортированной горной массы под углом естественного откоса. В последующем такие откосы в результате совместного воздействия паводковых вод и ледохода частично переформировываются, образуя в нижней части откоса "профиль равновесия", который в дальнейшем сохраняет стабильность.
1.4. Конструкции гибких железобетонных покрытий разработаны и предложены для укрепления откосов подтопляемых насыпей на основании исследований ЦНИИСа. Такие конструкции применены на опытных объектах БАМа, в Западной Сибири, Казахстане и в других районах. Рекомендации по сферам их использования разработаны на основе результатов проектирования, строительства и эксплуатации этих конструкций как на опытных участках БАМа, так и на других объектах.
1.5. Для защиты откосов от размыва в некоторых случаях могут быть использованы и другие типы укрепления, применяемые на горных реках Кавказа, режимы которых (в части изменения скоростей течения) сходны с режимами рек БАМа.
1.6. Данные Рекомендации отражают основные особенности производства работ при сооружении земляного полотна на прижимных участках; они основаны на материалах опытных работ и экспериментальных исследований, являются в значительной степени новыми и учитывают мероприятия по охране окружающей среды.
2. ПРОЕКТИРОВАНИЕ ПРИСЛОНЕННЫХ НАСЫПЕЙ
2.1. Очертание поперечного профиля подтопляемых насыпей следует устанавливать с учетом всей совокупности топографических, инженерно-геологических и гидрологических условий.
Бровка насыпей, расположенных вдоль рек, должна возвышаться над наибольшей (расчетной) отметкой воды не менее чем на 0,5 м; бровка незатопляемых берм, в том числе образуемых каменной наброской защитных призм, - не менее чем на 0,25 м.
Наибольшую расчетную отметку воды следует определять, исходя из заданной вероятности превышения уровня, с учетом наката волны на откос и подпора.
Очертание поперечного профиля насыпи устанавливается расчетом. При выполнении расчетов необходимо учитывать влияние подтопления и сейсмического воздействия.
Учет влияния подтопления должен осуществляться путем внесения соответствующих поправок в расчетные значения физико-механических параметров грунта, введения в расчет гидродинамических сил и сил взвешивания.
Учет сейсмического воздействия рекомендуется осуществлять в соответствии с указаниями
СНиП по строительству в сейсмических районах
[1].
2.2. Откосы насыпей, постоянно или периодически подтопляемые, должны быть защищены от воздействия паводковых вод и ледохода.
Для укрепления откосов широко применяют каменные материалы: при высоких скоростях течения потока можно использовать гибкие железобетонные покрытия, а в определенных условиях - и другие инженерные конструкции (защитные и подпорно-оседающие стены, береговые ограждения и др.).
Для снижения размывающего воздействия потока на земляное полотно в сложных случаях (при высоких скоростях течения потока) предусматривают устройство поперечных сооружений (траверс, бун, шпор и полузапруд).
Конструкция защиты должна определяться на основании технико-экономического сравнения возможных вариантов.
2.3. В условиях строительства БАМа и аналогичных им при расчетных скоростях течения до 5 м/с наиболее целесообразными с точки зрения стоимости, возможностей механизации, простоты использования и ремонтно-восстановительных работ являются защитные конструкции из местного каменного (скального) материала слабовыветривающихся пород.
Такого рода конструкции могут быть запроектированы в виде защитных призм из скального грунта, уширенной защитной призмы за счет пересыпки несортированной горной массы, уположенных откосов и комбинации этих видов защитных устройств.
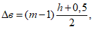
2.4. Основным типом укрепления из местного камня является конструкция в виде защитной призмы из скального грунта, содержащего камень расчетного диаметра
dк в количестве не менее 50%
(рис. 1).
Толщина защитного слоя должна быть не менее трех расчетных диаметров камня при ширине образуемой бермы
a не менее 1 м. При невозможности по местным условиям одновременной отсыпки ядра насыпи и защитной призмы в соответствии с рекомендациями
п. 4.7 ширину бермы
a следует назначать не менее 3 м. Крутизну откосов защитной призмы следует назначать такой же, как и крутизну укрепляемых откосов насыпи.
На вогнутых участках русла, где откосы насыпи могут подвергаться интенсивному воздействию ледохода, следует предусматривать защитную призму с шириной бермы a не менее 3 м с откосами не круче 1:2.
Рис. 1. Укрепление откоса насыпи
каменной наброской в виде защитной призмы:
а, б - соответственно при неразмываемых и размываемых
грунтах основания; 1 - каменная наброска, содержащая
камень расчетной крупности
dк в количестве

50%
Размеры в метрах
При размываемых основаниях необходимо предусматривать устройство у подошвы насыпи упорной призмы (см.
рис. 1, б), требования к крупности камня в которой такие же, как и для камня защитной призмы на откосе. Объем камня в упорной призме назначают из условия обеспечения естественной самоотмостки откоса, образующейся в яме размыва у подошвы насыпи, и создания достаточного упора для защитной конструкции откоса насыпи.
Ориентировочно глубину размыва
hразм можно определить по формуле
[2]

(1)
где vр - расчетная скорость потока у подошвы откоса, м/с;
hп - глубина потока у подошвы откоса (при расчетном уровне высоких вод заданной повторяемости), м;
d - средний диаметр фракций грунта, глубина размыва которого прогнозируется, м.
2.5. Определение расчетного диаметра камня dк, м, требуемого для укрепления откоса, рекомендуется производить по формуле

(2)
где A - коэффициент, учитывающий устойчивость камня на откосе; рекомендуется принимать A = 1 на участках крутых поворотов русла реки (R < 300 м) и A = 1,15 во всех остальных случаях;

,

- соответственно объемная масса камня и воды;

- угол наклона поверхности откоса к горизонту.
В качестве расчетной скорости течения vр при проектировании защитных конструкций принимается средняя скорость потока на вертикали у подошвы откоса в рассматриваемом створе.
2.6. Конструкция защиты земляного полотна от размыва в виде уширенной защитной призмы
(рис. 2), создаваемой за счет пересыпки под углом естественного откоса (откос 1:
m0 - примерно 1:1,25) несортированной горной массы, рассчитана на последующее частичное переформирование скального грунта под воздействием внешних факторов (паводковых вод и ледохода) с образованием на откосе самоотмостки из крупного камня.
На
рис. 3 приведены графики, позволяющие установить требуемую величину уширения

для насыпей разной высоты при двух значениях расчетной крупности камня
dк.
Рис. 2. Укрепление откоса насыпи несортированной горной
массой, отсыпаемой под углом естественного откоса
в виде уширенной защитной призмы:
1 - контур защищаемого откоса;
2 - несортированная горная масса
Величины требуемой пересыпки установлены исходя из предположения, что после максимального при расчетном горизонте размыва

на подтопляемом откосе насыпи еще останется защитный слой несортированной горной массы толщиной 2
dк. Это гарантирует от повреждения откос собственно земляного полотна в пределах его проектного контура.
Применение указанной конструкции целесообразно при отсутствии в требуемом количестве камня расчетной крупности, необходимого для укрепления защищаемого откоса насыпи заданной проектом крутизны, и наличии горной массы, содержащей такой камень в меньшем количестве. Она рекомендуется для защиты откосов насыпей от паводковых вод и ледохода на дорогах III и IV категорий при расчетных скоростях течения до 4 м/с. По технико-экономическим соображениям она целесообразна при высоте насыпей не свыше 10 м.
Рис. 3. Величина уширения насыпи

при защите откоса
от размыва с использованием несортированной горной массы:
m - заложение укрепляемого откоса насыпи;
dк = 1 м; ---
dк = 0,5 м
2.7. Конструкция защиты в виде уположенного откоса устраивается из несортированной горной массы с заложением 1:4 - 1:5 на высоту подтопления откоса. Такие конструкции рекомендуются для широкой опытной проверки на участках трассы, где:
земляное полотно может быть подвержено интенсивным ледовым воздействиям;
на месте отсутствует в достаточном количестве горная масса, содержащая камень расчетного размера, определенного по
формуле (2);
расчетная скорость течения ее превышает 4 м/с;
ширина русла такова, что создание уположенного откоса вызывает стеснение его на всех уровнях не свыше 15%.
По технико-экономическим соображениям эта конструкция целесообразна при глубине подтопления не свыше 5 м. Применение указанной конструкции рекомендуется, в частности, для защиты верховых откосов поперечных сооружений; в этих условиях не происходит стеснения русла водотока.
2.8. Защита головной части поперечных сооружений в зоне наибольшего воздействия льда возможна путем укрепления откосов каменной наброской расчетного размера dк, содержащей негабариты величиной более 1,5 - 2 м. Применение такой конструкции целесообразно также для создания упорных призм в основании защитных креплений.
2.9. Создание крупногабаритных массивов возможно из местного сравнительно мелкого каменного материала, например, путем омоноличивания на месте укладки каменной наброски бетоном. Под воздействием внешних факторов со временем неизбежно появление трещин в монолите с выделением отдельностей. Сохранность образовавшихся крупных глыб во времени зависит от местных климатических условий и может быть определена натурными наблюдениями.
2.10. При конструировании защитной призмы из скального грунта по типу, представленному на
рис. 1, на участках с радиусом кривизны менее 300 м рекомендуется проверять расчетный диаметр камня, определяемый по
формуле (2), на устойчивость его под влиянием ледового воздействия. Эта проверка осуществляется в такой последовательности.
Определяется величина горизонтальной составляющей нагрузки от льда на откос Pг, т/м, при ударе ледяного поля по формуле

(3)
| | ИС МЕГАНОРМ: примечание. В официальном тексте документа, видимо, допущена опечатка: имеется в виду таблица приложения 1, а не приложения [1]. | |
где
A1 - климатический коэффициент, принимаемый по
таблице в приложении [1];
Rп - временное сопротивление льда при изгибе, т/м2, принимаемое равным 0,5Rр. Здесь
Rр - временное сопротивление льда при раздроблении, принимаемое при наивысшем уровне ледохода равным 45 т/м2;
hл - толщина льда, м (принимается равной 0,8 от наибольшей за зимний период толщины с вероятностью превышения 1%);

- угол наклона поверхности откоса к горизонту, град;

- угол между направлением движения льдины и направлением откоса в плане, град;

- коэффициент, принимаемый в зависимости от толщины льда
hл:
hл, м | 0,4 | 0,5 | 0,6 - 0,7 | 0,8 - 0,9 | 1 - 1,3 |
 , м -1 | 0,008 | 0,07 | 0,06 | 0,05 | 0,04 |
Вычисляется расчетный диаметр камня

, требуемый для укрепления откоса, из условия противодействия ледовому воздействию по выражению

(4)
где

- угол внутреннего трения материала каменной наброски, град;

,

- соответственно объемная масса камня и воды, т/м
3.
В качестве расчетного выбирается наибольший размер камня из определенных по
формулам (2) и
(4).
2.11. Гибкие железобетонные покрытия целесообразно применять для укрепления подтопляемых откосов при скоростях течения потока более 4 - 5 м/с, ожидаемых неравномерных осадках на откосах насыпей, возможных навалах льда толщиной до 1,0 - 1,5 м.
Покрытия применимы на откосах крутизной не более 1:2 в границах от расчетной отметки верха крепления до меженного уровня. В зоне меженного горизонта необходимо создание упора в виде каменной призмы, устойчивой на действие потока и льда.
Покрытия выполняют картами длиной по фронту защиты до 200 м, площадью до 2 тыс. м2, из сборных блоков площадью 10 - 20 м2, соединенных между собой безмоментными связями.
2.12. Покрытия могут быть сплошные, плитные
(рис. 4) и сквозные - решетчатые
(рис. 5) с заполнением ячеек несортированной горной массой.
Рис. 4. Гибкие железобетонные плиты:
1 - петли для стыкования диаметром 14 мм,
длиной 800 мм; 2 - полиэтиленовое покрытие;
3 - пакеты арматурных стержней
Размеры в миллиметрах
Рис. 5. Гибкие железобетонные решетки
Гибкость создается за счет шарнирного соединения элементов, представляющих собой арматуру в оболочке из полиэтилена.
Наброска в решетке выдерживает повышенную скорость потока по сравнению с такой же наброской, находящейся в свободном состоянии

(5)
где vреш и vсв - скорость потока, допускаемая для наброски d50, находящейся соответственно в ячейках решетки и в свободном состоянии, м/с;
t - внутренний размер ячейки решетки по направлению потока, м;
dк - расчетный диаметр d50 наброски, м.
При укреплении откосов насыпи, сооруженной из мелкозернистых грунтов, следует предусматривать меры, исключающие суффозию их через защитную одежду (устройство песчано-гравийного фильтра, противосуффозионного синтетического мата из нетканых и других полотен).
Поверхность откоса, на которую укладывается покрытие, должна быть спланирована; допускаются неровности размером +/- 0,20 м на длине 5 м. В основании под плиты недопустимы выступы отдельных камней на величину более 0,15 м.
2.13. Решетчатое покрытие устраивается по слою подготовки из несортированной горной массы толщиной, равной двум расчетным диаметрам dк, и ячейки решетки заполняют этим же материалом. При заполнении решетки несортированной горной массой, характеризующейся dк = 25 - 30 см > 50%, защитная способность конструкций возрастает примерно в 1,7 раза; для нее допустима скорость до vр ~= 6 м/с.
2.14. Укрепление подтопляемых откосов возможно комбинированными защитными конструкциями, содержащими отдельные элементы перечисленных выше устройств (например, комбинация защитной призмы из скального грунта расчетной крупности в нижней части насыпи и гибких железобетонных покрытий в верхней и т.д.).
2.15. Рациональными видами инженерных конструкций, применяемых в определенных условиях для защиты откосов от размыва, являются: защитные и подпорно-оседающие стены, сборные железобетонные ряжи, береговые ограждения и т.д. [
3,
4].
2.16. Защитные и подпорно-оседающие стены применяются для укрепления земляного полотна при расположении его на стесненных участках русла и при высоких скоростях течения. Материалом для стен служит обычно бетон или железобетон. Типы защитных стен весьма многочисленны
(рис. 6).
При проектировании защитных стен особое внимание следует уделять мероприятиям по предотвращению подмыва их оснований, так как подмыв является основной причиной деформаций этих сооружений.
Рис. 6. Схемы конструкций защитных стен:
а - монолитные; б - сборно-монолитные;
в - сборные из железобетонных тонкостенных элементов
2.17. Подпорно-оседающие стены являются бесфундаментной разновидностью продольных берегоукрепительных сооружений. Они состоят из одевающих стен и оседающих массивов (рис. 7).
Рис. 7. Подпорно-оседающая стена:
1 - сборная одевающая стена из блоков; 2 - насыпь
(или защищаемый берег); 3 - противовес (нарощенный
участок оседающего массива); 4 - прокладка из толя;
5 - сборно-монолитный оседающий массив
Основным преимуществом подпорно-оседающих стен по сравнению с выполняющими аналогичные функции в тех же гидрологических условиях защитными стенами является отсутствие фундамента, затраты на сооружение которого составляют около 40% стоимости стены. Вследствие этого общая стоимость защиты и трудоемкость при ее выполнении значительно снижаются по сравнению с устройством защитных стен.
2.18. Подпорно-оседающие стены в технико-экономическом отношении целесообразно применять при расчетных скоростях течения в пределах от 4 до 8 м/с и наличии в русле реки (в зоне предполагаемого основания подпорно-оседающих стен) гравийно-галечно-валунного материала.
2.19. Одевающие стены и оседающие массивы подпорно-оседающих стен рекомендуется проектировать преимущественно из сборных элементов.
Высоту (длину) оседающих массивов целесообразно принимать с учетом их последующего погружения на глубину размыва
hразм, прогнозируемую по
формуле (1).
Наращивание оседающих массивов на длину, соответствующую глубине размыва, целесообразно осуществлять (частично или полностью) в процессе строительства подпорно-оседающих стен.
В случае значительной глубины меженных вод или с целью снижения величины опускания оседающих массивов, а также при недостаточной изученности рельефа и фракционного состава дна русла рекомендуется создавать под оседающими массивами искусственное основание (наброску).
Начало участка защиты откоса (берега) подпорно-оседающими стенами, с целью предотвращения их повреждения с торца целесообразно защищать путем заделки первых секций оседающих массивов в откос (берег) или посредством постройки шпоры, располагаемой с верховой стороны участка защиты.
2.20. При наличии у основания подтопляемой насыпи слаборазмываемых грунтов или выходов скалы для защиты откосов насыпи от размыва возможно применять сборные железобетонные ряжи, заполненные камнем.
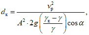
Береговые ограждения из железобетонных свай и досок
(рис. 8) используются при возможности забивки свай в дно водотока у защищаемого объекта. Железобетонные доски укладываются за сваями и прикрепляются к ним. Пространство между стеной из железобетонных досок и защищаемым откосом заполняется каменной наброской. В зависимости от крупности материала стену из железобетонных досок устраивают сплошной или сквозной.
При возможности больших размывов основания пространство около внешней стороны ограждения дополнительно укрепляют (см.
рис. 8).
2.21. Конструкции гибких железобетонных покрытий, защитных и подпорно-оседающих стен, железобетонных ряжей и ограждений из железобетонных свай и досок целесообразно проверять на устойчивость под влиянием ледового воздействия в соответствии с рекомендациями
п. 2.10.
Рис. 8. Продольные защитные железобетонные ограждения:
1 - муфта; 2 - железобетонные сваи; 3 - рандбалка;
4 - железобетонные доски размером 300 x 50 x 10 см
2.22. На участках крутых излучин при высоких скоростях течения потока эффективным средством защиты откосов земляного полотна от размыва является устройство поперечных сооружений: траверс (бун), шпор, полузапруд.
Поперечные сооружения обеспечивают изменение режима потока, уменьшая его размывающее воздействие на подтопляемые откосы насыпи. Размещение поперечных сооружений, их конструктивное оформление и материалы назначают в соответствии с [
2,
5].
В пределах между поперечными сооружениями для укрепления откосов насыпи применяют способы защиты, учитывающие снижение скоростей течения в зоне подтопляемого откоса.
2.23. При решении вопроса о целесообразности устройства поперечных сооружений и их размещения на объекте, а также необходимости срезки противоположного берега рекомендуется применять моделирование речного потока. Проектирование размера и формы срезки осуществляют в соответствии с [
2,
5].
2.24. Поперечные сооружения бывают сплошными (из местного грунта с укреплением их откосов одним из способов, перечисленных выше) или же сквозными [
3,
4]. На
рис. 9 -
12 приведены некоторые конструкции сквозных поперечных сооружений:
из бетонных прямоугольных массивов со сквозными зазорами между массивами (см.
рис. 9);
из свайных колодцев, заполненных камнем (см.
рис. 10);
из сборных железобетонных элементов, состоящих из двух рядов железобетонных свай, между которыми уложены железобетонные балки (см.
рис. 11);
ныряющего типа из отдельных бетонных секций с парными шарнирными связями между ними с наклонным гребнем в сторону реки (см.
рис. 12).
Секции ныряющей части поперечного сооружения благодаря шарнирным связям могут опускаться при подмыве дна; сооружения ныряющего типа можно устраивать также из тетраподов или тетраэдров.
На реках с интенсивным ледоходом, где возможно образование заторов льда, применять поперечные сооружения из сборных элементов не рекомендуется.
Рис. 9. Шпора из бетонных прямоугольных массивов
со сквозными зазорами
3. ПРОЕКТИРОВАНИЕ СКАЛЬНЫХ ВЫЕМОК
Проектирование откосов скальных выемок должно основываться на оценке их общей устойчивости в соответствии с имеющимися расчетными схемами (учитывающими наличие и направление поверхностей ослабления - трещин по отношению к откосу, характер заполнения трещин, прочность пород и их блочность), приведенными в
[6].
Рис. 10. Шпора из свайных колодцев, заполненных камнем:
1 - крупная каменная наброска
d 
25 см; 2 - сваи
| | ИС МЕГАНОРМ: примечание. Нумерация пунктов дана в соответствии с официальным текстом документа. | |
3.2. При наличии благоприятно ориентированных по отношению к откосу поверхностей ослабления (горизонтальных, запрокинутых, секущих откос вкрест, имеющих угол падения в сторону откоса не свыше 30°) наиболее приемлемы для расчета схемы, приведенные на
рис. 13, в, г, а во всех прочих случаях (для неблагоприятно ориентированных поверхностей ослабления) - схемы на
рис. 13, а, б.
3.3. Рекомендуемые значения высот устойчивых откосов скальных выемок для различных инженерно-геологических условий, характерных для пород трассы БАМа (гранитогнейсов, гранитоидов, диоритов и др.), приведены в
табл. 1 -
3. Эти значения определены в результате многих расчетов, выполненных ЦНИИСом при наиболее неблагоприятных значениях расчетных параметров, полученных на основании статистической обработки их значений, выявленных на объектах трассы БАМа, и для наиболее невыгодных сочетаний инженерно-геологических условий (в частности, наиболее опасного направления поверхностей ослабления).
Рис. 11. Конструкция поперечного сооружения
из железобетонных элементов:
1 - железобетонные балки; 2 - железобетонные сваи
Рис. 12. Конструкция поперечного сооружения
"ныряющего" типа из бетонных массивов
Рис. 13. Расчетные схемы для определения
устойчивости скальных откосов:
а, б, в, г - соответствуют расчетным схемам
III, VI, IX, X Методических указаний
[6];
1 - контур поверхности обрушения;

и

- угол
внутреннего трения пород соответственно
по контакту поверхностей ослабления и в куске
При более благоприятных условиях и соответствующем обосновании высоты откосов, указанные в
табл. 1 и
2, могут быть повышены.
3.4. Рекомендуемые очертания откосов скальных выемок в коренных скальных породах и делювиально-элювиальном шлейфе представлены на
рис. 14 <*>.
--------------------------------
<*> На косогорах круче 1:3 нагорные канавы не устраиваются.
Таблица 1
Рекомендуемые значения высот устойчивых откосов в коренных
слабовыветрелых и слаботрещиноватых скальных породах
(

; блочность

0,5 м)
Инженерно-геологические особенности коренных скальных пород, слагающих откос | Значения высот устойчивых откосов, м, при их заложении |
1:0,2 | 1:0,5 | 1:0,75 | 1:1 |
Благоприятно ориентированные по отношению к откосу поверхности ослабления; заполнитель трещин отсутствует |  30 - 35 | 35 - 40 | 40 - 50 | > 50 |
То же при наличии заполнителя трещин |  20 - 25 | 25 - 30 | 30 - 40 | > 40 |
Неблагоприятно ориентированные по отношению к откосу поверхности ослабления; заполнитель трещин отсутствует | - | 15 - 20 | 20 - 30 | 30 - 45 |
То же при наличии заполнителя трещин | - |  10 | 10 - 15 | 15 - 20 |
Примечание. Создание откосов крутизною 1:0,2 возможно только при применении контурного взрывания; откосы заложением 1:0,5 целесообразно создавать с использованием метода наклонных откосных скважин.
Таблица 2
Рекомендуемые значения высот устойчивых откосов в коренных
сильнотрещиноватых скальных породах (блочность < 0,5 м)
Инженерно-геологические особенности коренных скальных пород, слагающих откос | Значения высот устойчивых откосов, м, при их заложении |
1:0,5 | 1:0,75 | 1:1 |
Благоприятно ориентированные по отношению к откосу поверхности ослабления; заполнитель трещин отсутствует | Прочная скала  |
 35 -------- - | 35 - 45 ---------  35 | 45 - 55 --------- 35 - 50 |
Выветрелая скала  |
 15 - 20 ------------- - | 20 - 30 ------------  20 - 25 | 30 - 40 --------- 25 - 35 |
То же при наличии заполнителя трещин | Прочная скала |
 25 -------- - | 25 - 35 ---------  25 | 35 - 50 --------- 25 - 45 |
Выветрелая скала |
 15 -------- - | 15 - 20 ---------  15 | 20 - 30 --------- 15 - 25 |
Неблагоприятно ориентированные по отношению к откосу поверхности ослабления; заполнитель трещин отсутствует | < 10 | 10 - 15 | 15 - 20 |
То же при наличии заполнителя трещин | < 5 | 5 - 10 | 10 - 15 |
Примечания: 1. В числителе для пород с благоприятной ориентацией трещин указаны значения блочности 0,3 - 0,5 м, а в знаменателе - блочности 0,05 - 0,3 м.
2. Настоящая таблица не распространяется на легковыветривающиеся литологические разности.
Таблица 3
Рекомендуемая крутизна откоса
в зоне делювиально-элювиального шлейфа
Характеристика зоны шлейфа | Рекомендуемое заложение откоса |
Верхняя зона (делювий) | Мощность зоны hв, м | 1:m |
 2 | 1:1 |
2 - 4 | 1:1 - 1:1,25 |
> 4 | 1:1,5 |
Нижняя зона (элювий или "разборная скала") | Мощность зоны hн, м | 1:К |
 3 | Заложение откоса принимается таким же, как и в нижележащей коренной скальной породе (1:К - 1:n) |
> 3 | В зависимости от блочности 1:К = 1:0,75 - 1:1,5 |
Таблица 4
Габариты улавливающих траншей
Общая высота откоса H, м | Ширина траншеи понизу, м | Глубина траншеи, м |
 16 | 4 | 1,0 - 1,25 |
16 - 25 | 4 - 5 | 1,25 - 1,50 |
25 - 35 | 5 - 6 | 1,50 - 2,0 |
> 35 | 6 - 8 | 2,0 - 2,5 |
Рис. 14. Очертания откосов скальных выемок:
1 - технологическая полка безопасности шириной 6 - 8 м;
2 - верхняя зона шлейфа; 3 - коренные скальные породы;
4 - нижняя зона шлейфа; B - ширина траншеи;
Z - глубина траншеи
3.5. У подошвы откосов скальных выемок необходимо предусматривать путевые улавливающие траншеи, габариты которых приведены в
табл. 4. Создание траншеи повышает безопасность движения и обеспечивает возможность механизированной очистки обвально-осыпного материала, образование которого неизбежно в процессе выветривания и сейсмического воздействия.
3.6. Для возможности профилактической механизированной очистки откосов скальных выемок от неустойчивых скальных обломков в процессе сооружения и эксплуатации их в верхней зоне откоса следует предусматривать технологическую полку безопасности для прохода машин и механизмов, ширина которой принимается равной 7 - 8 м. Для очистки рекомендуется использовать гирлянду с шипами.
При незначительной крутизне косогора и возможности прохождения по нему машин и механизмов такие полки можно не устраивать.
Предельная допустимая крутизна поверхности косогора и полки в сторону откоса по условиям техники безопасности должна составлять <1>
при высоте зачищаемого откоса до 20 м:
в мерзлых грунтах .............................. 5°
в талых грунтах ................................ 15°
при высоте зачищаемого откоса свыше 20 м:
в мерзлых грунтах .............................. Работа
не допускается
в талых грунтах ................................ До 10°
--------------------------------
<1> Указанные значения получены в результате тяговых расчетов с учетом сопротивляемости гирлянды с шипами перемещению ее тяговым механизмом и значений сдвиговых характеристик грунтов на поверхности полок.
3.7. При высоте откоса более 35 - 40 м следует в средней его части устраивать дополнительную технологическую полку безопасности для возможности очистки механизированным путем всей поверхности откоса выемки. При этом целесообразно расстояние по высоте от подошвы откоса до первой полки делать максимально возможным (но не свыше 30 - 35 м). В этом случае обеспечивается минимальный объем дополнительных работ, связанных с устройством полки.
3.8. Для получения более достоверных данных о скальных породах и ориентации поверхностей ослабления следует считать целесообразным перед началом строительных работ проведение бурения разведочных скважин с отбором ориентированных кернов. До организации таких работ следует проводить уточнение инженерно-геологических характеристик (прежде всего ориентации поверхностей ослабления) по мере вскрытия выемок с откосами высотой свыше 25 - 30 м после разработки одного-двух их ярусов. При этом в необходимых случаях должна осуществляться корректировка проектных очертаний скальных откосов.
3.9. При сооружении выемок в стабилизировавшихся глыбовых осыпях (курумниках) рекомендуется откосы их в зоне глыбового материала устраивать аналогично тому, как это рекомендовано для делювия (см.
рис. 14 и
табл. 3).
3.10. В случае подрезки откосом скоплений глыбового материала на косогорах крутизною свыше 35° в районах с сейсмичностью, превышающей 8 баллов, целесообразно предусматривать у основания откосов соответствующие защитные сооружения (в виде, например, уширенных улавливающих траншей, рассчитанных на вмещение объема сползшего материала).
Указанные рекомендации основываются на результатах расчетов, выполненных при угле внутреннего трения глыбового материала, равном 40°. При меньших углах необходимо проведение дополнительных расчетов.
Для оценки степени устойчивости глыбового материала на косогорах может быть использована формула

(6)
где Kз - коэффициент запаса устойчивости;

- угол наклона косогора, град;

- угол внутреннего трения глыбового материала на контакте с поверхностью косогора;
Kс - коэффициент сейсмичности, равный 0,025; 0,050 и 0,100 соответственно для районов с расчетной сейсмичностью 7, 8 и 9 баллов.
4. ТЕХНОЛОГИЯ СООРУЖЕНИЯ ПРИСЛОНЕННЫХ НАСЫПЕЙ
И УКРЕПЛЕНИЯ ИХ ОТКОСОВ
4.1. Сооружение прислоненных подтопляемых насыпей должно производиться в два этапа: отсыпка в воду и возведение надводной части
(рис. 15).
4.2. Отсыпку части насыпи, находящейся в русле реки, в воду следует осуществлять способом "с головы" как при продольной (вдоль реки) транспортировке грунта, так и при поперечном его перемещении из прилегающего косогора. Эти работы целесообразно выполнять при меженном уровне воды и скорости течения не более 2 м/с.
Рис. 15. Технологическая схема сооружения
прислоненной насыпи на речном прижиме:
а - отсыпка нижней части насыпи в воду; б - отсыпка
подводной части насыпи; в - планировка защитной бермы;
1 - автосамосвал; 2 - бульдозер;
3 - виброкаток; 4 - планировочная цепь
4.3. Поперечное направленное перемещение грунта из прилегающего косогора в прислоненную насыпь с использованием энергии взрыва скважинных зарядов на сброс не менее 70% объема породы или обрушение целесообразно применять при крутизне косогора соответственно не менее 45° и 60°. Использовать этот способ следует только на объектах опережающего строительства при отсутствии притрассовой автодороги, а также при дальности автовозки грунта на дороге более 5 км с обязательным выполнением мероприятий по охране окружающей среды.
4.4. Отсыпку нижней части насыпи до отметки, превышающей горизонт воды на 0,5 м, следует производить путем продольной надвижки бульдозером грунта, доставляемого на разгрузочную площадку, под прикрытием защитной призмы. Для этого на объекте необходимо иметь два комплекта машин: один для отсыпки защитной призмы, сооружаемой из скального грунта заданного состава, другой - для отсыпки тела насыпи из горной массы.
Для уменьшения объема уноса мелких фракций грунта потоком отсыпку следует вести в интенсивном темпе с предварительным накоплением в зоне отвала запаса грунта в объеме не менее 20 - 30 м3. Целесообразно применять на отсыпке бульдозеры, способные перемещать за цикл 8 - 10 м3 грунта, или спаренные бульдозеры меньшей мощности.
4.5. При отсыпке подводной части защитной призмы под углом естественного откоса ширину первого надводного слоя грунта с учетом последующей профилировки откоса экскаватором обратная лопата следует увеличивать на
(рис. 16), равную

(7)
где m - проектное заложение откоса;
h - глубина воды над подошвой проектного откоса, м.
Рис. 16. Схема формирования подводной части речного откоса
4.6. Сооружение насыпи в направлении течения реки предпочтительнее, чем против течения, так как при этом величина уноса грунта потоком меньше.
При выполнении работ в направлении против течения реки и скорости потока более 1 м/с для уменьшения объема уноса грунта из подводной части насыпи необходимо отсыпать защитную призму с опережением не менее чем на 3 м по отношению к фронту возведения насыпи. Величина этого уноса при отсутствии указанных мероприятий может достигать 3 - 5%.
Не следует производить отсыпку насыпей в воду неполным поперечным сечением с постоянным наращиванием до полного профиля по причине незащищенности насыпи от размыва и возможного разрушения ледоходом.
4.7. При возведении подводной части насыпи в зимнее время ледяной покров реки необходимо удалять на участке, равном длине фронта суточной отсыпки. Удаление льда следует производить комплексом механизмов, включающим трехбаровую машину и трактор со специальной волокушей, путем нарезки блоков, их подборки и транспортирования в отвал.
4.8. Отсыпку верхней надводной части прислоненных насыпей следует производить обычным порядком, послойно по технологическим схемам, приведенным в
ВСН 186-75 [7] с тщательным уплотнением грунтоуплотняющими машинами, предусматривая запас на осадку грунтов тела насыпи в размере до 3%. При этом сначала отсыпают слой насыпи на полную ширину одним комплектом машин, а затем с отставанием по фронту, равным 10 - 15 м, - слой защитной призмы из скального грунта заданного состава другим комплектом машин.
Планировку откосов защитной призмы, возведенной из камня расчетной крупности

0,5 м, рекомендуется производить с помощью планировочной цепи (гирлянды с шипами), прикрепленной к трактору, перемещающемуся по берме или верхней площадке насыпи.
4.9. В том случае, когда защитная призма сооружается поперечным перемещением скального грунта заданного состава с основной площадки возведенной насыпи, уполаживание откоса призмы до проектной крутизны может быть осуществлено бульдозерами. При этом крутизна откоса, по которому обеспечивается безопасность движения бульдозера (по сцеплению), не должна превышать 1:2,5; при большей крутизне откоса следует применять комплект из двух бульдозеров, из которых верхний (на основной площадке) является страхующим
(рис. 17) и движется синхронно со страхуемым; при наличии лебедки страхующий бульдозер может находиться на одном месте.
4.10. Отсыпку поперечных сооружений целесообразно вести бульдозером послойно, одновременно с насыпью и защитной призмой из грунта, доставленного автосамосвалами на соответствующую по высоте площадку насыпи.
4.11. Укрепление откосов бун (насыпей) крупным камнем с расчетным диаметром более 0,5 м следует производить с использованием бульдозеров или автокрана.
Бульдозеры мощностью 300 - 500 л.с. рекомендуется использовать для устройства укрепления в виде каменной наброски, автокраны - для устройства каменной выкладки (в соответствии со СНиП IV-58-72 "Берегоукрепительные работы").
Рис. 17. Уположение речного откоса бермы
прислоненной насыпи спаренными бульдозерами:
1 - бульдозер-страховщик; 2 - страховочный трос;
3 - бульдозер-планировщик (положение бульдозера
в начале работы по уположению); 4 - то же
(положение бульдозера в конце работы по уположению)
В зимнее время возможна послойная отсыпка крупного камня в подводную часть откоса в сухом котловане, образованном путем промораживания реки до дна при постепенном удалении льда.
В летнее время устройство укрепления подводной части откоса возможно путем надвижки крупного камня бульдозером "с головы". При этом увеличивается ширина слоя укрепления на уровне уреза воды, что необходимо учитывать в проекте при подсчете требуемого для укрепления объема камня.
4.12. Для получения крупногабаритного камня рекомендуется соблюдать следующие условия производства буровзрывных работ:
скважины для зарядов принимать диаметром 150 мм и более, размещая их по разреженной по сравнению с принятой на рыхление сетке (примерно на 30%); рекомендуется отдавать преимущество однорядовому расположению скважин;
удельный расход ВВ в зависимости от крепости пород принимать равным 0,4 - 0,7 от расчетного на рыхление;
конструкцию зарядов предусматривать сплошной;
взрывание производить электрическим способом без замедления.
При этом можно получить крупногабаритный камень в количестве до 50% взорванной породы при условии, если среднее расстояние между естественными трещинами в массиве превышает 0,5 м.
4.13. Транспортировку крупного камня рекомендуется производить на автосамосвалах грузоподъемностью 12 - 14,5 т; погрузка его на автосамосвалы возможна фронтальными тракторными погрузчиками с ковшом емкостью не менее 2 м3, экскаваторами с ковшом емкостью 1,5 м3 и автокранами грузоподъемностью до 10 т. Перед укладкой глыбы в кузов во избежание его повреждения необходимо устраивать подсыпку из каменной мелочи или предварительно обшивать кузов с внутренней стороны досками (горбылем).
4.14. Уположение до 1:4 - 1:5 подводной части откосов бун, отсыпаемых из несортированной горной массы, целесообразно производить экскаваторами (планировщиками, обратной лопатой или драглайном) с площадки, отметка которой превышает уровень воды не менее чем на 0,2 м. На планировке надводной части таких откосов следует применять бульдозер.
4.15. Контроль гранулометрического состава камня, применяемого для укрепления откосов подтопляемых насыпей, рекомендуется производить по суммарному объему камней расчетного размера на поверхности откоса в пределах контрольной рамки
(приложение 2).
4.16. Сборные элементы гибких железобетонных покрытий целесообразно изготавливать на заводах ЖБК стройиндустрии или на полигонах строительных трестов.
4.17. Отличительной особенностью арматурных работ при изготовлении элементов гибких железобетонных покрытий является нанесение полиэтиленовой оболочки методом термопрессования на участках арматурных стержней (в местах шарнирных соединений).
Для заводского нанесения этих оболочек рекомендуется применять технологическую линию в соответствии с проектом N 1894, разработанным ПКБ ЦНИИСа, в полигонных условиях - технологическую линию с ручным прессом по проекту N 1216, разработанному тем же ПКБ.
4.18. Формование гибких плит или пакетов гирлянд решеток осуществляется в металлоформах, разработанных ПКБ ЦНИИСа (проекты N 227 и N 2467).
Режимы раскладки бетонной смеси, ее уплотнения и тепловлажностной обработки при этом стандартные.
4.19. Съем готовых изделий из форм на погрузочно-разгрузочных операциях выполняется с помощью специальных траверс, разработанных ПКБ ЦНИИСа (проекты N 2298 и N 2397А соответственно для плит и гирлянд решеток).
4.20. Складирование и транспортировка плит и пакетов гирлянд решеток производятся штабелями высотой до 1,5 м. При этом подкладок и прокладок не требуется.
4.21. Блоки решетки собирают из гирлянд на площадке сборки с помощью автокрана. Готовые блоки с помощью траверсы складируют в штабель высотой до 1,5 м и затем (на автоплощадке) доставляют к укрепляемому откосу насыпи.
4.22. Плиты и блоки решетки располагаются штабелями у бровки, а при необходимости и у подошвы откоса насыпи.
Монтаж плит и блоков решетки ведут, начиная с нижнего ряда.
Плиты и блоки объединяют в карту покрытия путем сварки деталей связи. Ячейки решетки заполняют несортированной горной массой (грейферным краном или ковшовым экскаватором).
5. ТЕХНОЛОГИЯ СООРУЖЕНИЯ ГЛУБОКИХ СКАЛЬНЫХ ПОЛУВЫЕМОК
(ВЫЕМОК) НА КРУТЫХ КОСОГОРАХ
5.1. Разработку глубоких скальных полувыемок следует производить после предварительного рыхления грунта буровзрывным способом землеройно-транспортными комплексами, включающими экскаваторы с ковшом емкостью 1 - 1,5 м3, фронтальные тракторные погрузчики с ковшом емкостью 1,5 - 2 м3, бульдозеры-рыхлители на тракторах мощностью 300 - 400 л.с. автосамосвалы грузоподъемностью 12 - 15 т.
5.2. При косогорности не менее 45° на труднодоступных барьерных объектах разработку полувыемок целесообразно производить взрывом массива скважинными зарядами на сброс в отвал с удалением грунта, оставшегося после взрыва на полках, бульдозерами.
При косогорности более 60° и отношении высоты откоса к ширине образуемой полки не менее 2:1 эффективно образование полувыемок взрывом массива на обрушение.
При проектировании и проведении взрывов на сброс и обрушение необходимо учитывать требования охраны окружающей среды
[8].
5.3. Перед началом основных работ на крутом скальном косогоре в зоне, прилегающей к бровке полувыемки, должна быть проложена тропа шириной не менее 1 м. Эта работа выполняется с применением взрывов накладных зарядов и ручного труда. Затем с тропы взрывами шпуровых или скважинных зарядов разрабатывают в пределах контура полувыемки технологическую полку шириной до 3 м для работы с нее легких буровых средств. Последующая разработка выемки производится ярусами при ширине полок не менее 6 м
(рис. 18).
Технологическая полка позволяет организовывать разработку полувыемки на широком фронте и, как правило, должна быть пройдена в первую очередь сквозной по всему объекту.
При проектировании производства работ следует учитывать, что удельные затраты труда на образование технологической полки примерно в 3 раза превышают соответствующие затраты на разработку основного объема полувыемки.
Рис. 18. Технологическая схема разработки
скальной выемки на речном прижиме:
1 - бурение шурфов перфоратором; 2 - образование тропы
взрывом; 3 - бурение скважин БМК-4; 4 - сброс грунта
взрывом; 5 - очистка технологической полки бульдозером;
6 - бурение скважин БТС-150; 7 - рыхление грунта
взрывом; 8 - разработка грунта яруса
экскаватором на автосамосвал
5.4. В делювиально-элювиальном слое скального косогора (грунт IV - VI групп) технологическая полка образуется бульдозером, продольными проходками, причем выходы прочных скальных пород в процессе выполнения работы следует разрыхлять взрывами шпуровых или накладных зарядов. При косогорности до 35° целесообразно применять горизонтальную врезку бульдозера в косогор с торца проходки. В случае косогорности более 35° следует применять поперечно-наклонную врезку с поверхности косогора универсальными бульдозерами с перекашиваемым в поперечной плоскости отвалом.
При нарезке технологической полки бульдозерами запрещается работать на уклонах круче 25° в скальных и талых нескальных грунтах и 12° в мерзлых нескальных грунтах, а также запрещается при косогорности 40° и круче выдвигаться более чем на 2 м на присыпку из грунта бульдозером массой от 45 т и более.
В процессе производства работ необходимо подстраховываться, применяя в качестве анкера местные предметы или другой бульдозер не меньшей массы.
5.5. В скальных породах VII - IX групп образование технологической полки рекомендуется производить взрывами шпуровых или скважинных зарядов малого диаметра (до 80 мм) с удалением оставшегося на полке грунта бульдозером на тракторе класса 10 - 12 т.
Как правило, забуривание скважин малого диаметра следует производить станками БМК-4 и СБМК-5 с тропы, а шпуров - перфораторами с закреплением их к местным предметам и искусственным анкерам.
В отдельных случаях, на коротких участках, когда скальный массив имеет крутизну более 60°, образование технологической полки может быть произведено взрывами горизонтальных скважинных зарядов длиной до 3 м.
Заряды скважин и шпуров при проходе технологической полки следует определять из расчета взрывания на сброс.
5.6. Разработку полувыемок на косогоре землеройными машинами следует производить лобовым забоем, ярусами высотой до 8 м, а при достаточной ширине полки - боковым забоем.
В случае поперечной разработки полувыемки бульдозерами в отвал при крутизне косогора, равной или меньшей угла естественного откоса разрабатываемого грунта, необходимо при проектировании производства работ учитывать неизбежность многократной перевалки грунта в низовую сторону.
5.7. Для уменьшения нарушений естественной структуры породы в откосах и основании выемок, разрабатываемых с применением взрывов на рыхление, сброс или обрушение следует ограничивать величину единовременно взрываемых зарядов; при проектной крутизне откосов 1:0,2 и круче в обязательном порядке применять метод контурного взрывания, при более пологих откосах - взрывание наклонных откосных скважин диаметром до 100 мм со сближенным их расположением. При этом бурение откосных скважин следует производить буровыми машинами БТС-75, а также БТС-60 с буровыми органами БМК-4 и ПКР-100, бурение скважин основных рядов - буровыми машинами СБШ-160 и БТС-150.
Удельную величину основного заряда при взрыве на сброс следует принимать в размере 1,5 - 2,5 кг/м3, а при взрыве на обрушение - 0,5 - 0,7 кг/м3 (в расчете на аммонит 6 ЖВ).
Общая масса зарядов, взрываемых в один прием с применением короткозамедленного взрывания, при разработке косогорной полувыемки не должна превышать 8 т на пикет.
5.8. Кювет-траншею глубиной до 2 м в полувыемках (выемках), разрабатываемых в скальных слабовыветривающихся породах, рекомендуется устраивать взрыванием грунта нижнего яруса по всей ширине основания до отметки дна траншеи с последующим удалением взорванного грунта из пределов контура траншеи бульдозером или экскаватором с погрузкой на автосамосвалы и транспортировкой за пределы полувыемки. В скальных легковыветривающихся породах грунт в пределах контура траншеи следует рыхлить взрывами шпуровых или скважинных зарядов малого диаметра со сгущением сетки скважин до 1,5 - 2 м и удалять взорванный грунт теми же способами, как в слабовыветривающихся породах.
5.9. Во избежание травмирования рабочих, занятых на буровзрывных и земляных работах в скальных выемках (полувыемках), следует периодически (по мере необходимости) производить оборочно-зачистные работы по удалению с откосов неустойчивых глыб и камней.
Оборочно-зачистные работы, как правило, следует выполнять механизированным способом с дополнением их в необходимых случаях ручным трудом верхолазов-альпинистов.
В качестве механизированного способа очистки высоких скальных откосов рекомендуется применять протаскивание по очищаемому откосу гибкой многозвенной гирлянды из отдельных цилиндров с шипами на поверхности или цепи.
ЗНАЧЕНИЯ КЛИМАТИЧЕСКИХ КОЭФФИЦИЕНТОВ А
1
Номер района | Границы районов | Климатический коэффициент А1 |
1 | Южнее линии Таллин - Минск - Харьков - Астрахань - Нукус - Алма-Ата | 0,75 |
| Южнее линии Выборг - Смоленск - Камышин - Актюбинск - Балхаш | 1,0 |
3 | Южнее линии Архангельск - Киров - Уфа - Кустанай - Караганда - Усть-Каменогорск | 1,25 |
4 | Южнее линии Воркута - Ханты-Мансийск - Красноярск - Улан-Удэ - Николаевск-на-Амуре | 1,75 |
| Южнее линии Диксон - Норильск - Бодайбо - Охотск | 2,0 |
6 | Севернее линии Диксон - Норильск - Бодайбо - Охотск | 2,25 |
Примечания: 1. Для
районов N 2 -
5 нижней границей является граница предыдущего района.
2. При проектировании ответственных сооружений климатический коэффициент может приниматься на основании оценки условий вскрытия реки по данным наблюдений, в частности, для рек, вскрывающихся при отрицательных температурах воздуха, он должен приниматься не менее 2.
СПОСОБ КОНТРОЛЯ СООТВЕТСТВИЯ ФАКТИЧЕСКОГО
СОДЕРЖАНИЯ КАМНЯ РАСЧЕТНОЙ КРУПНОСТИ
В НАБРОСКЕ ТРЕБУЕМОМУ ПО ПРОЕКТУ
[9]
Оценка (в процентах) фактического содержания камня расчетной крупности в наброске N производится по формуле

(1)
где

- суммарный объем камней, каждый из которых равен или превышает объем камня расчетного диаметра
Dрасч;
vконтр - объем горной массы в контролируемом слое; в общем случае
vконтр =
F·
Hрасч·(1 - п
к). (2)
Здесь F - площадь поверхности наброски, в пределах которой контролируется крупность камней;
Hрасч - толщина контролируемого слоя;
пк - пористость каменной наброски (принимается равной 0,3 - 0,4).
В частном случае для столбчатой формы камней, характеризующейся соотношением размеров 2:1:1, в качестве критерия соответствия расчетному размеру камня (его кондиционности) принимается соотношение
Lконд 
1,4·
Dрасч, (3)
где Lконд - размер камня на наибольшему направлению, при этом

(4)
Для столбчатой формы указанного выше соотношения размеров
Hрасч в
формуле (2) может быть вычислено по выражению
Hрасч = 0,6·Dрасч. (5)
Последовательность выполнения контроля представлена ниже:
1. На выбранное, характерное по фракционному составу камня, место откоса укладывается прямоугольная рамка из реек с делениями, охватывающая площадь
F;
2. Определяются частные и суммарный объем камней кондиционного размера

.
3. Вычисляется объем каменной наброски в пределах, оконтуренных рамкой, по
формуле (2).
4. Вычисляется по
формуле (1) процентное содержание кондиционных камней в наброске
N.
5. Аналогичные перечисленным в
пп. 1 -
4 измерения осуществляются еще в нескольких местах откоса (минимум в двух на протяжении 100 м участка защиты).
6. Производятся статистическая обработка частных значений по всем замеренным участкам и сравнение полученного (по нижнему пределу) процента содержания кондиционных камней с заданным по проекту.
Применительно к столбчатой форме камней с соотношением 2:1:1 выполнение замеров и оценка величины N по указанной выше методике значительно упрощаются и сводятся к следующему:
2. В пределах контура, ограниченного рамкой, выделяются камни, имеющие наибольший видимый габарит, превышающий или равный Lконд.
3. Замеряются наибольшие размеры (габариты) выделенных камней и заносятся в таблицу, образец которой приведен ниже.
Координаты контролируемого участка наброски (км, пк +) | Результаты измерения | Результаты вычисления |
Lконд.i (по интервалам), см | Количество камней в интервале | vконд.i = 0,17 x x Lконд.i x m | |
| | m1 | vконд 1 | |
| m2 | vконд 2 | |
и т.д. | | | |
| | | |
В процессе счета во избежание повторных замеров измеренные камни маркируются.
4. По результатам замеров процентного содержания кондиционных камней на контролируемых участках вычисляется с надежностью

вероятностное значение процентного содержания камня расчетной крупности по формуле

(6)
где

- среднеквадратическое отклонение, определяемое по выражению

(7)

- среднеарифметическое значение процентного содержания кондиционных камней по всем замеренным участкам наброски;
Ni - частные значения процентного содержания кондиционных камней по каждому из участков;
nу - количество участков (планограмм);

- нормированное отклонение, принимаемое по таблицам в зависимости от принятой надежности.
Полученные значения

сравниваются с запроектированной величиной процентного содержания
Nпроект камня расчетного размера. В результате дается оценка фактической крупности камней наброски и соответствия ее проекту, т.е. проверяется выполнение условия

.
1.
СНиП II-7-81. Строительство в сейсмических районах. Нормы проектировании. М., Стройиздат, 1982.
2. Цыпин В.Ш., Волченков Г.Я. Рекомендации по укреплению откосов сооружений мостовых переходов и насыпей на прижимных участках рек наброской из каменных материалов. М., ЦНИИС, 1979.
3. Мелик-Бахтамян И.Я. Обобщение опыта проектирования, строительства и эксплуатации берегоукрепительных и регуляционных сооружений на железных и автомобильных дорогах Закавказья. В сб. научных трудов "Защита земляного полотна от горных рек", вып. 12. М., Транспорт, 1976.
4. Ройнишвили Н.М., Мелик-Бахтамян И.Я., Тевдорашвили Н.Е. Берегоукрепительные сооружения на дорогах, пролегающих в узких горных долинах. Тбилиси, изд. ГПИ, 1971.
5. Наставление по изысканиям и проектированию железнодорожных и автодорожных мостовых переходов через водотоки (НИМП-72). М., Транспорт, 1972.
6. Целиков Ф.И., Яковлева Е.А. и др. Методические указания по проектированию земляного полотна (выемок) в легковыветривающихся скальных породах. М., ЦНИИС, 1974.
7. Технические указания по технологии сооружения железнодорожного земляного полотна
(ВСН 186-75). М., Стройиздат, 1975.
8. Бродов Е.Ю., Ткачевский И.Д. и др. Рекомендации по буровзрывным и земляным работам при разработке выемок и притрассовых карьеров в мерзлых и скальных грунтах на центральном участке БАМа, М., ЦНИИС, 1977.
9. Ткачевский И.Д. Контроль содержания кондиционных фракций грунта в защитных конструкциях подтопляемых насыпей на БАМе. В сб. научных трудов "Земляное полотно в сложных инженерно-геологических условиях". М., ЦНИИС, 1979.