Главная // Актуальные документы // Рекомендация / РекомендацииСПРАВКА
Источник публикации
М.: НИИЖБ Госстроя СССР, 1984
Примечание к документу
Название документа
"Рекомендации по оценке состояния железобетонных конструкций при эксплуатации в агрессивных средах"
"Рекомендации по оценке состояния железобетонных конструкций при эксплуатации в агрессивных средах"
ОРДЕНА ТРУДОВОГО КРАСНОГО ЗНАМЕНИ
НАУЧНО-ИССЛЕДОВАТЕЛЬСКИЙ ИНСТИТУТ
БЕТОНА И ЖЕЛЕЗОБЕТОНА (НИИЖБ)
ГОССТРОЯ СССР
РЕКОМЕНДАЦИИ
ПО ОЦЕНКЕ СОСТОЯНИЯ ЖЕЛЕЗОБЕТОННЫХ КОНСТРУКЦИЙ
ПРИ ЭКСПЛУАТАЦИИ В АГРЕССИВНЫХ СРЕДАХ
Печатаются по решению секции коррозии и спецбетонов НТС НИИЖБ от 26 июня 1984 г.
Рекомендации содержат основные положения по натурным обследованиям, лабораторным исследованиям и оценке состояния железобетонных конструкций при их эксплуатации в условиях воздействия агрессивных сред. Приведен пример расчета эксплуатационной надежности конструкций по прочности.
Предназначены для научных и инженерно-технических работников научно-исследовательских и учебных институтов, а также строительных и заводских лабораторий.
Настоящие Рекомендации содержат методические указания по проведению обследования железобетонных конструкций при эксплуатации в агрессивных средах, по оценке коррозионных повреждений в момент обследования конструкций и прогнозированию их эксплуатационной надежности на более отдаленные сроки.
Рекомендации позволят унифицировать приемы проведения обследований и подходы к расчетным оценкам, получить большее количество сопоставимых данных по материалам обследований и выработать единую систему критериев по диагностике состояния железобетонных конструкций.
Рекомендации разработаны НИИЖБ Госстроя СССР (д-р техн. наук Е.А. Гузеев, кандидаты техн. наук М.Г. Булгакова, В.И. Агаджанов, М.И. Субботкин, инж. Н.В. Савицкий) при участии Иркутского политехнического института Минвуза РСФСР (канд. техн. наук Б.И. Пинус), Харьковского ПромстройНИИпроекта Госстроя СССР (канд. техн. наук И.Н. Заславский), НИИПромстроя Минпромстроя СССР (канд. техн. наук В.В. Яковлев) с учетом методики натурных исследований, предложенной институтом ИНЧЕРК СРР совместно с другими странами - членами СЭВ, и "Методических рекомендаций по обследованию коррозионного состояния арматуры и закладных деталей в железобетонных конструкциях" (М., 1978).
Все замечания и предложения по содержанию настоящих Рекомендаций просим направлять в НИИЖБ по адресу: 109389, Москва, 2-я Институтская ул., д. 6.
Дирекция НИИЖБ
1.1. Настоящие Рекомендации составлены в развитие Методического материала по стандартизации СЭВ ММ7-83 "Принципы диагностики состояния конструкций при эксплуатации" в части оценки состояния наземных железобетонных конструкций, эксплуатирующихся в зданиях и сооружениях с агрессивными средами.
1.2. Рекомендации предназначены для оценки возможных изменений или повреждений железобетонных конструкций в результате воздействия агрессивных сред, что необходимо для прогноза состояния конструкций при эксплуатации и реконструкции.
1.3. Состояние конструкции следует оценивать по результатам обследования, которое состоит из:
натурного обследования;
лабораторного исследования;
вероятностно-статистического анализа результатов натурного обследования и лабораторного исследования с расчетной оценкой несущей способности и надежности железобетонных конструкций.
2.1. В процессе натурного обследования состояния конструкций здания или сооружения объект обследования разбивается на участки по виду конструкций (балки, плиты, колонны и т.п.) и по особенностям условий эксплуатации (зоны интенсивных технологических проливов агрессивных жидкостей, газовыделений, увлажнения, тепловыделения и т.п.).
Примечание. Оценка вида и степени агрессивного воздействия среды в настоящих Рекомендациях не рассматривается.
2.2. Обследование состояния конструкций производят:
визуальным осмотром;
неразрушающими методами контроля;
методами отбора проб, не влияющих на эксплуатационную пригодность конструкций.
2.3. Визуальный осмотр включает в себя:
оценку проектного положения конструкций;
оценку состояния поверхности бетона (наличие сколов, раковин, выцветов, высолов, следов увлажнения и подтеков, масляных пятен, следов ржавчины, обнажения и выпучивания арматуры, отслаивания защитного слоя, а также характер трещин на поверхности бетона и других дефектов);
оценку состояния защитных покрытий на поверхности конструкций (наличие отслоений, пузырей, расслоения, изменение цвета и блеска).
2.4. Визуальный осмотр в первую очередь следует производить преимущественно с северной стороны здания, по его углам и в тех частях помещения, где наблюдается постоянная повышенная коррозионная опасность (высокая влажность, скопление агрессивных пылей и газов, наличие подтеков).
2.5. Визуальный осмотр производят с применением оптических приборов (увеличительные лупы, трубки Бринелля и т.п.), а в плохо доступных местах - с помощью специальных оптических приборов (например, полевого бинокля с 8 - 12-кратным увеличением).
2.6. Результаты визуального осмотра фиксируют в виде карты дефектов, нанесенных на планы или разрезы здания, или в виде таблиц со следующими условными обозначениями основных дефектов (табл. 1).
Таблица 1
Условные обозначения и характеристики дефектов
Условное обозначение дефекта или повреждения | Характеристика дефекта или повреждения |
1 | 2 |
| Разрушение бетона на глубину менее толщины защитного слоя (шелушение, отслаивание, раковины) a, b - примерные размеры дефекта |
| Проломы в полках плит, выколы бетона и отколы углов и ребер на глубину более защитного слоя d - примерный диаметр пролома |
| Подтеки, конденсат, местное увлажнение, фильтрация влаги, высолы на поверхности b - примерная протяженность подтеков |
| Пятна ржавчины на поверхности бетона a, b - примерные размеры пятен ржавчины |
| Трещины между полками и ребрами плит l - протяженность трещин  - примерная ширина раскрытия трещин |
| Трещины в полках и ребрах плит, балках, колоннах и т.д. |
| Оголение арматурной сетки |
| Трещины, имеющие наклон под углом  к продольной оси элемента, с указанием предполагаемого характера происхождения (к - коррозионные, с - силовые, т - технологические) l - протяженность трещин |
| Оголение арматурных стержней l - протяженность дефекта |
| Выпучивание отдельных арматурных стержней l - протяженность дефекта |
| Участки нарушения защитного покрытия Л.П - лакокрасочного или пленки; И - изоляционного (в том числе гидроизоляции); Ф - футеровки |
| Нарушение анкеровки закладных деталей |
| Отсутствие приварки закладных деталей |
| Недостаточность площади опирания |
2.7. Неразрушающие методы следует применять для контроля геометрических характеристик конструкций, прочностных характеристик бетона (плотности, динамического модуля упругости, а также для контроля расположения арматуры и закладных частей).
2.8. Фактические геометрические размеры элементов, прогибы, выколы и т.д. рекомендуется замерять с помощью метра, стальной рулетки, мерительной стальной линейки, штангенциркуля, отвеса, теодолита.
2.9. Ширину раскрытия трещин рекомендуется замерять в местах максимального раскрытия на уровне растянутой арматуры. Протяженность трещин измеряют с помощью, миллиметровой линейки, а ширину раскрытия - шаблонными толщиномерами, градуированными лупами с 4-кратным увеличением или мерительным микроскопом с 24-кратным увеличением. Стабилизацию ширины раскрытия трещин проверяют путем установки гипсовых маяков.
Глубину трещин можно определить с помощью игл и тонких проволочных щупов, а также ультразвуковым импульсным методом.
2.10. Прочность бетона железобетонных конструкций следует определять неразрушающими методами контроля с помощью приборов механического действия: методом пластической деформации, упругого отскока, отрыва со скалыванием, отрыва, скалывания ребра конструкций (ГОСТ 22690.0-77 - ГОСТ 22690.4-77;
ГОСТ 21243-75; "
Руководство по определению прочности бетона в изделиях и конструкциях методом отрыва со скалыванием по
ГОСТ 21243-75", М., 1977 г.).
| | ИС МЕГАНОРМ: примечание. Взамен ГОСТ 17624-78 Постановлением Госстроя СССР от 26.12.1986 N 67 c 1 января 1988 года введен в действие ГОСТ 17624-87. | |
| | ИС МЕГАНОРМ: примечание. Взамен ГОСТ 17623-78 Постановлением Госстроя СССР от 01.07.1987 N 126 с 1 января 1988 года введен в действие ГОСТ 17623-87. | |
2.11. Оценку однородности, прочности бетона, динамического модуля упругости, наличия скрытых дефектов следует производить по распределению параметров распространения продольных ультразвуковых волн, измеряемых с помощью специальных ультразвуковых приборов, а также методами радиационной дефектоскопии (ГОСТ 17624-78; ГОСТ 17623-78).
| | ИС МЕГАНОРМ: примечание. Взамен ГОСТ 22904-78 с 1 января 1995 года Межгосударственной научно-технической комиссией по стандартизации и техническому нормированию в строительстве (МНТКС) 10 ноября 1993 года принят ГОСТ 22904-93. | |
2.12. Толщину защитного слоя бетона железобетонных конструкций и проверку фактического армирования рекомендуется производить с применением магнитного метода (ГОСТ 22904-78).
2.13. Метод отбора проб, не влияющий на эксплуатационную пригодность конструкций, применяют для оценки прочности бетона, величины защитного слоя бетона, осмотра состояния стальной арматуры, определения степени, вида и глубины коррозионных повреждений на месте, а также с целью отбора проб для лабораторных исследований.
2.14. Толщину защитного слоя бетона определяют также путем вскрытия арматуры. Этот метод следует применять как дополнительный в случаях, когда необходимы визуальная оценка состояния арматуры или отбор проб арматурных элементов, или когда невозможно применить неразрушающий метод контроля величины защитного слоя.
2.15. Глубину преобразованного слоя бетона с измененными свойствами определяют в тех случаях, когда необходимо знать:
степень нейтрализации кислыми газами pH порового электролита (сохранность арматурной стали обеспечивается при pH >= 11,8);
концентрацию ионов хлора (пороговое значение концентрации Cl' составляет ориентировочно 0,5 и 0,1% массы цемента соответственно для ненапряженной и напрягаемой арматуры).
2.16. Определение глубины нейтрализации бетона производят на свежем сколе бетона.
Глубину нейтрализации бетона кислыми газами (или карбонизации углекислым газом) определяют колориметрическим способом, основанным на изменении цвета органических индикаторов в зависимости от величины водородного показателя. Оценку глубины нейтрализации производят путем обработки поверхности бетона на свежем изломе индикаторами pH (фенолфталеином, тимолфталеином, ализарином и др.), которые различно окрашивают зоны неизмененного и преобразованного бетона: 1%-ный спиртовой раствор фенолфталеина - от бесцветного (pH = 8,3) до красно-фиолетового (pH = 10,5); 0,1%-ный спиртовой раствор тимолфталеина - от бесцветного (pH = 9,3) до синего (pH = 10,5); 0,1%-ный водный раствор ализаринового-красного - от желтого (pH = 10,1) до лилового (pH = 12,1). Через минуту после нанесения раствора-индикатора линейкой с точностью до 1 мм измеряют глубину нейтрализации бетона.
2.17. Визуальную глубину проникания хлор-ионов определяют путем нанесения на свежий излом бетона 1%-ного раствора азотнокислого серебра. Помутнение раствора свидетельствует о наличии в бетоне ионов хлора. Метод основан на реакции образования белого осадка хлористого серебра при взаимодействии растворимых солей серебра с хлор-ионами. Метод позволяет определить наличие ионов хлора при концентрациях, превышающих 0,3% массы цемента.
2.18. Отбор проб материалов конструкций производят в целях уточнения характера и степени повреждений путем проведения физико-механических и физико-химических исследований в лабораторных условиях.
2.19. Отбор образцов бетона из существующих конструкций производят выпиливанием, высверливанием или отколом. Для выпиливания выбирают участки конструкций без арматуры.
Метод отбора образцов назначают в зависимости от вида испытания, массивности сооружения и наличия инструментов, способных обеспечить извлечение образцов и целостность исследуемой конструкции. Глубину отбора проб бетона принимают с учетом результатов колориметрических испытаний, а размер пробы - с учетом крупности заполнителей бетона.
Взятые пробы бетона для химических исследований сразу же после отбора помещают в пластиковые пакеты или бюксы и герметизируют. Масса каждого образца должна быть не менее 30 г.
2.20. Количество образцов бетона, отбираемых для исследований, должно быть не менее трех из каждой зоны обследования. Если в результате определения или исследования трех образцов одной партии отличия составляют более чем 30%, то из конструкций этой зоны дополнительно отбирают еще не менее шести образцов.
| | ИС МЕГАНОРМ: примечание. В официальном тексте документа, видимо, допущена опечатка: имеется в виду ГОСТ 10060-76, а не ГОСТ 100060-76. | |
2.21. Морозостойкость отобранных из существующих конструкций образцов бетона определяют по ГОСТ 100060-76, если из отобранных образцов можно выпиливать кубы с ребром не менее 100 мм. Испытания образцов меньших размеров (30 x 30 x 60 или 40 x 40 x 160 мм) можно проводить по ускоренному методу Добролюбова-Ромера или методу ЦНИЛ Главкиевстроя. Для этого образцы насыщают в воде в течение 5 сут, а затем герметизируют, например, в резиновых мешках или полиэтиленовой пленкой. Замораживание образцов осуществляют в 32%-ном растворе

или 50%-ном растворе этиленгликоля при температуре минус 20 °C, а оттаивание - в воде при температуре 20 °C. Продолжительность цикла 1 ч.
2.22. Для оценки состояния арматуры железобетонного элемента производят отколы защитного слоя в местах, наиболее подверженных повреждению (в местах отслоения защитного слоя, ржавых подтеков, пятен ржавчины, наличия продольных и поперечных трещин).
При вскрытии выявляют общее состояние поверхности арматуры. В местах, где арматура подверглась интенсивной коррозии, производят тщательную зачистку от ржавчины до появления металлического блеска. Сечение арматуры в местах ослабления измеряют штангенциркулем или микрометром.
Детальную оценку степени коррозионных повреждений арматуры следует производить согласно
п. 3.8 настоящих Рекомендаций.
При необходимости можно прибегать к вырезу арматурного стержня с помощью газовых или бензиновых горелок. Из существующего элемента вырезают по два образца от одноименных стержней на участках конструкций, наименее ответственных с точки зрения несущей способности. Длина вырезаемых стержней должна быть не менее

, где d - диаметр арматуры, мм.
При наличии сварной арматуры желательно, чтобы в длину вырезанного стержня попали участки сварки продольной арматуры с поперечной.
2.23. В месте отбора образцов необходимо восстановить сечение арматуры приваркой арматурных стержней, накладок и т.п. Приварку заменяющих элементов необходимо производить до вырезки образца. Длина перепуска концов заменяющего стержня в обе стороны от вырезанного участка при одностороннем шве должна быть не менее 10d.
2.24. Оценку состояния преднапряженной арматуры следует производить при обязательном участии специализированных организаций.
2.25. Места конструкций, в которых произвели отбор проб, заделывают бетоном марки, соответствующей марке бетона по прочности и водонепроницаемости самих конструкций, но не менее чем М150 и W2.
3. ЛАБОРАТОРНЫЕ ИССЛЕДОВАНИЯ
3.1. Лабораторные исследования включают в себя физико-механические и физико-химические исследования, которые проводятся на пробах и образцах, извлеченных из тела конструкций при натурном обследовании.
В состав основных лабораторных исследований входят:
определение прочности, влажности, водонасыщения, пористости и состава бетона;
определение щелочности бетона, водорастворимых компонентов, содержания ионов

и Cl' и других веществ;
определение состояния стальной арматуры и ее расчетных параметров.
3.2. Определение прочности бетона производят испытанием на сжатие образцов, извлеченных из конструкций (кубов, цилиндров). Параллельные стороны образца образуют путем распиливания и шлифовки, а выравнивание, в случае необходимости, осуществляют с помощью цементно-песчаного раствора.
Результаты испытания следует приводить к кубиковой прочности бетона путем умножения на поправочный коэффициент, определяемый по соотношению прочности бетона кернов (соответствующих по форме и размерам кернам, отобранным из конструкций), высверленных из кубов, к прочности самих кубов.
3.3. Определение влажности бетона производят на отобранных из конструкций пробах в виде отдельных кусков. Наибольшая крупность раздробленной части бетона должна быть не более максимального размера зерен заполнителя. Дробление и взвешивание пробы следует производить сразу же после ее отбора, а хранение до испытания - в герметичной упаковке, объем которой превышает объем уложенных в нее образцов не более чем в 2 раза. После взвешивания пробы помещают в сушильный шкаф и высушивают до постоянной массы при температуре 105 +/- 5 °C.
Влажность бетона по массе

, %, вычисляют по формуле

,
где

и

- масса пробы (образца), г, соответственно до и после сушки.
3.4. Определение водонасыщения и пористости бетона, необходимое для оценки его проницаемости, производят следующим образом.
Отобранные из конструкций образцы бетона (каждый отдельно) взвешивают

и помещают в воду до полного водонасыщения. Для ускорения процесса водопоглощения образцы можно помещать в воду, доводить ее до кипения и выдерживать в кипящей воде в течение 2 ч. Насыщенные водой образцы бетона обтирают влажным материалом и взвешивают на воздухе

и в воде на гидростатических весах

. После этого куски бетона высушивают в сушильном шкафу при температуре не выше 100 +/- 5 °C

.
При наличии вакуум-установки образцы насыщают водой под вакуумом.
По данным этих испытаний определяют:
Объемную массу бетона, кг/м3, в сухом состоянии

.
Объемную массу бетона, кг/м3, в насыщенном состоянии

.
Водонасыщение бетона, %,

.
Пористость бетона, %,

.
Ориентировочно бетон на плотных заполнителях считается плотным при W <= 5% и

, обычным - при 5 < W <= 8% и

и пористым при W > 8% и

.
Примечание. Если целью натурного исследования является более детальное определение пористости бетона (оценка объема открытых некапиллярных пор, полного объема пор, объема открытых капиллярных пор, объема условно-замкнутых пор и т.д.), то следует пользоваться специальными документами.
3.5. Определение состава бетона (содержание цемента в бетоне) производят факультативно в соответствии с "Методическими
рекомендациями по определению первоначального состава бетона" (М., 1983).
Для оценки степени коррозии бетона в конструкции этот анализ производят на пробах бетона, взятых из разрушенных участков, и сопоставляют с анализом бетона, взятого из сохранившихся участков. При отсутствии паспортных данных о виде примененного цемента следует провести качественное определение вида цемента (на пробах непрокорродированного бетона), для чего на кусок бетона наносят несколько капель серной кислоты 1 - 5%-ной концентрации. Выделение при этом сероводорода с характерным запахом свидетельствует о том, что бетон изготовлен на цементе с добавкой шлаков - шлакопортландцементе. При отсутствии запаха сероводорода цемент относится либо к обычным портландцементам, либо к пуццолановым портландцементам.
Следует обратить внимание на цвет бетона в изломе. Темно-синий цвет характерен для бетона на шлакопортландцементах. Бетон на обычном портландцементе имеет темно-серый цвет, на пуццолановом портландцементе - светло-серый.
3.6. Щелочность бетона (pH поровой жидкости растворной части бетона) определяют с целью оценки степени выщелачивания или нейтрализации поверхностных слоев бетона. Образцы, взятые послойно через 5 - 10 мм по глубине конструкции, размельчают с удалением заполнителя до размеров, проходящих через отверстия сита 0,2 мм.
При этом должно быть установлено процентное содержание в бетоне измельченной части (исключая щебень) с тем, чтобы данные химических анализов пересчитать по отношению ко всей массе бетона.
Навеску измельченной пробы 5 - 10 г помещают в колбу и заливают 100 - 200 мл дистиллированной воды (соотношение массы пробы и воды 1:20). Плотно закрытую колбу взбалтывают (сначала через каждые 10 - 15 мин, а затем реже). По истечении суток раствор отфильтровывают и производят приближенное или точное измерение pH фильтрата.
Приближенное измерение pH производят с помощью индикаторной бумаги. Окраску пятна от фильтрата сравнивают с колориметрической шкалой индикаторной бумаги. Точное измерение pH производят pH-метром или потенциометром.
3.7. В зависимости от вида агрессивной среды производят определение наличия в бетоне предполагаемых компонентов.
Водорастворимые компоненты определяют путем растворения 100 г приготовленного материала в 800 г дистиллированной воды. Смесь встряхивают в течение 1 ч, а затем после 24-часового отстоя фильтруют.
Из приготовленного раствора определяют последовательно содержание ионов кальция, магния, натрия, калия, аммония, хлора, сульфата, нитрата и органических веществ
(Прил. 1).
3.8. Определение состояния стальной арматуры производят по следующим показателям:
характеру коррозии арматуры (равномерная, сплошная, точечная, пятнами, тонкий налет ржавчины, слоистая - пластины ржавчины, язвенная);
толщине и плотности продуктов коррозии;
структуре стали;
физико-химическим характеристикам.
Площадь поражения поверхности арматуры оценивают визуально в процентах. Глубину коррозионных поражений определяют в зависимости от вида коррозии арматуры. При равномерной коррозии толщину отделяющейся пленки ржавчины определяют с помощью микрометра.
3.9. При язвенной коррозии удаляют слой ржавчины травлением в 10%-ном растворе соляной кислоты с добавлением 1%-ного раствора уротропина с последующей промывкой. После этого арматуру опускают на 5 мин в насыщенный раствор нитрата натрия и осушают фильтровальной бумагой. Глубину язв определяют с помощью индикатора с иглой или с помощью микроскопа, установленных на штативе.
Если на поверхности арматуры имеется большое количество язв, начальный отсчет индикатора берется с помощью калиброванной пластинки, положенной на поверхность арматуры. При этом толщину пластины учитывают при подсчете глубины язв. В случаях, когда коррозией повреждена вся поверхность стержня, глубину поражения определяют в сравнении с диаметром арматуры по проекту в месте наибольшего повреждения.
Условная оценка коррозионного состояния арматуры приведена в табл. 2.
Характер коррозионного повреждения стальной арматуры | Условная оценка состояния, баллы |
Поверхность чистая | 0 |
Тонкий налет ржавчины на площади менее 10% площади поверхности | 1 |
Слоистая ржавчина или язвы, вызывающие уменьшение площади сечения арматурного стержня до 5% | 2 |
Слоистая ржавчина или язвы, вызывающие уменьшение площади сечения арматурного стержня на 5 - 15% | 3 |
Слоистая ржавчина или язвы, вызывающие уменьшение площади сечения арматурного стержня более чем на 15% | 4 |
3.10. Структуру стали исследуют в лаборатории с целью обнаружения возможных дефектов в виде трещин, включений, местных изменений структуры. Исследование проводится методами металлографического анализа, дифракции "X"-излучениями, электронной дифракцией, акустическими методами и т.п.
3.11. Физико-механические испытания предусматривают определение прочности арматурного элемента на растяжение, относительного удлинения при разрыве, предела текучести, числа перегибов.
4. ОЦЕНКА СОСТОЯНИЯ ЖЕЛЕЗОБЕТОННЫХ КОНСТРУКЦИЙ
4.1. По степени повреждения железобетонные конструкции разделяют на пять категорий, принадлежность к которым ориентировочно определяет техническое состояние, возможность и условия дальнейшей эксплуатации конструкций (табл. 3).
Таблица 3
Категории состояния железобетонных конструкций
Категория состояния | Оценка технического состояния | Признаки повреждений | Рекомендации по ремонтно-восстановительным работам |
косвенные | прямые | прочие признаки |
защитные покрытия | глубина нейтрализации бетона,  , см | превышение предельно допустимых концентраций агрессивных компонентов  , % | состояние арматуры (в баллах по табл. 2 настоящих Реко мен даций) | прочность бетона, МПа | ширина раскрытия нормируемых расчетом трещин, мм | относительные прогибы |
I | Исправное | - | | | 0 | | | | Не имеет | Нормальное функционирование конструкций полностью обеспечено при соблюдении правил эксплуатации |
II | Удовлетворительное | Повреждены на площади до 10% | | | 1 | | | | Шелушение бетона, высолы на поверхности, отслаивание, пятна ржавчины, налет ржавчины на закладных деталях | Требуется текущий ремонт |
III | Неудовлетворительное | Повреждены на площади более 10% | | | 2 | | | | Местное увлажнение (подтеки), трещины коррозионного происхождения вдоль арматуры, частичные околы защитного с оголением арматуры слоя, коррозионные повреждения, отсутствие сварки на закладных деталях, недостаточность площадки опирания | Текущий ремонт с возобновлением защиты от коррозии с указанием сроков его проведения |
IV | Крайне неудовлетворительное | - | - | - | 3 | | | | Продольные трещины вдоль арматуры в зонах ее анкеровки из-за нарушения анкеровки закладных деталей | Капитальный ремонт с указанием срока проведения с выполнением работ по восстановлению эксплуатационных качеств конструкций |
V | Аварийное | - | - | - | 4 | То же | То же | | Разрывы стержней рабочей арматуры и хомутов, выкрашивание бетона сжатой зоны изгибаемых и внецентренно сжатых элементов, выпучивание стержней сжатых элементов | Срочное принятие мер по предотвращению обрушения конструкций (страховочные мероприятия, ограничение нагрузок и т.п.). Капитальный ремонт с усилением или заменой конструкций |
R - средне-статистический показатель фактической прочности бетона;

,

- соответственно нормативное и расчетное сопротивления бетона, принимаемые по СНиП;

- среднестатистическая глубина нейтрализации бетона защитного слоя;

- среднестатистическая толщина защитного слоя;

- среднестатистическая величина концентрации агрессивных компонентов в бетоне;

- предельно допустимая концентрация агрессивных компонентов в бетоне;

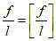
- относительный прогиб конструкций (f - прогиб, l - пролет).
1. Значения параметров в квадратных скобках принимаются по данным главы
СНиП II-21-75 "Бетонные и железобетонные конструкции".
2. Косвенные признаки для IV и V категорий состояния не указаны, так как не являются определяющими.
Категории I и II не требуют расчетных оценок состояния конструкций, но предполагают, в случае необходимости, выполнение расчетов прогноза времени до начала коррозионных процессов в арматуре конструкций в агрессивных средах конкретных условий эксплуатации.
Категории III - V требуют обязательной расчетной оценки как отдельных наиболее поврежденных конструкций, так и группы однотипных по виду и условиям эксплуатации конструкций.
4.2. Прогноз времени до начала коррозионных процессов в арматуре железобетонных конструкций с повреждениями I и II категории, уточняющий интервал времени до следующего обследования, производят по следующим признакам:
глубине нейтрализации бетона кислыми газами (углекислый, сернистый газы, фтористый водород, сероводород, сероуглерод);
содержанию хлоридов у поверхности арматуры.
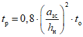
При нейтрализации защитного слоя бетона кислыми газами срок времени до полной его нейтрализации (потери защитных свойств бетона по отношению к арматуре) составит

,
где

- время, в течение которого защитный слой бетона будет полностью нейтрализован, годы;

- среднее значение защитного слоя бетона, см;

- глубина нейтрализации, см, на момент обследования (справедливо при

);

- время эксплуатации конструкций до обследования, годы.
4.3. При воздействии хлорсодержащих газовых сред время до достижения предельно допустимого содержания хлоридов у поверхности арматуры составит

,
где

- время достижения предельно допустимой концентрации хлоридов у поверхности арматуры, годы;

- среднее значение защитного слоя бетона, см;

- среднее значение содержания хлоридов в поверхностном слое бетона на момент обследования, %;

- глубина проникания хлор-ионов на момент обследования, см (справедливо при

);

- предельно допустимое содержание хлоридов у поверхности стальной арматуры, %.
4.4. Определение несущей способности и эксплуатационной пригодности железобетонных конструкций III - V категорий состояния производят в соответствии с нормами по расчету и проектированию железобетонных конструкций с использованием фактических данных, полученных в процессе обследования, а именно: прочности бетона, площади сечения арматуры и характеристик арматурной стали, геометрических размеров сечения элементов, наличия и расположения трещин.
При этом сначала производят расчет несущей способности отдельных наиболее поврежденных конструкций (см. п. 4.5 настоящих Рекомендаций), а затем группы однотипных по виду и условиям эксплуатации конструкций (например, плит покрытий, или перекрытий, или колонн и т.п., за исключением наиболее поврежденных конструкций (см.
п. 4.6 настоящих Рекомендаций).
4.5. При расчете несущей способности и эксплуатационной пригодности отдельных наиболее поврежденных конструкций необходимые для расчета характеристики бетона определяют путем вычисления среднего значения фактической кубиковой прочности бетона

с учетом величины коэффициента вариации, принимаемой за фактическую марку бетона,


,
где

- среднее значение кубиковой прочности бетона;

- коэффициент требуемой прочности бетона, принимаемый по
ГОСТ 18105.1-80 и
ГОСТ 18105.2-80.
По полученной величине фактической марки бетона

по действующим нормам принимаются значения прочностных характеристик бетона (см. "
Руководство по определению и оценке прочности бетона в конструкциях зданий и сооружений" (М., 1979)).
Необходимые для расчета характеристики арматурной стали принимаются по действующим нормативным документам. Площадь сечения арматуры в расчетном сечении принимают по полученным при обследовании фактическим минимальным величинам, замеренным в данном сечении. Если в результате коррозии площадь одного арматурного стержня уменьшилась вдвое, ее не учитывают при расчете.
Полученные характеристики бетона и величины площадей сечения арматуры следует умножать на коэффициенты

и

, приведенные в табл. 4 и учитывающие избирательный, случайный характер коррозионных процессов. Коэффициенты

и

назначают в зависимости от категорий повреждения конструкций или их состояния.
Таблица 4
Категория состояния конструкций по табл. 3 | | |
I, II | 1 | 1 |
III | 0,9 | 0,95 |
IV, V | 0,8 | 0,9 |
4.6. При расчете несущей способности и эксплуатационной пригодности группы однотипных по виду и условиям эксплуатации конструкций принимают следующие параметры:
а) прочность бетона - по
п. 4.5 настоящих Рекомендаций без учета коэффициента

;
б) площадь сечения арматуры вычисляют по среднему значению диаметров стали без учета понижающего коэффициента

.
Средние значения диаметров арматуры определяют по выборочным значениям сохранившихся диаметров арматуры с доверительной вероятностью 0,95 по формуле

,
где

- среднее значение сохранившегося диаметра прокорродированной арматуры с доверительной вероятностью 0,95, см;

- выборочное значение диаметра, см;
n - объем выборки (не менее 30);

- среднее квадратичное значение диаметра арматуры, см;

- коэффициент Стьюдента.
Степень ослабления площади сечения арматуры коррозией определяется, %, по формуле

,
где

- исходный диаметр арматуры, см.
Если в результате расчетов несущей способности, ширины раскрытия трещин, прогибов полученные значения удовлетворяют требованиям
СНиП II-21-75 "Бетонные и железобетонные конструкции. Нормы проектирования", конструкция считается пригодной к дальнейшей эксплуатации. В противном случае необходимо выполнять ремонтно-восстановительные мероприятия, указанные в
табл. 3.
4.7. В случаях, когда имеются статистические данные по прочностным свойствам материалов и геометрическим размерам сечений обследуемых конструкций, целесообразно выполнять расчет вероятности безотказной работы по несущей способности по
Прил. 2.
Этот расчет выполняют факультативно в целях освоения метода и накопления данных. Результаты расчетной оценки надежности следует согласовывать с авторами настоящих Рекомендаций.
МЕТОДЫ ОПРЕДЕЛЕНИЯ СОДЕРЖАНИЯ
В БЕТОНЕ ПРЕДПОЛАГАЕМЫХ КОМПОНЕНТОВ
Присутствие в бетоне водорастворимых компонентов определяют в растворе, приготовленном, как указано в
п. 3.7 настоящих Рекомендаций.
Ионы кальция определяются комплексометрически путем титрования раствором Комплексона III.
Ионы магния определяются по синему осадку, который выпадает с хинализарином в сильно щелочной среде. При добавлении окислителей, таких как бромная вода, осадок не меняет окраски. Количественное содержание ионов магния определяется в присутствии эриохромчерного Т-индикатора, аналогично определению кальция.
Ионы натрия и его соединения качественно определяются по окраске пламени газовой горелки в желтый цвет. Окрашивание исчезает, если смотреть через синее кобальтовое стекло. Количественное содержание ионов натрия определяется на пламенном фотометре.
Ионы калия выявляются по окрашиванию солями калия пламени горелки в фиолетовый цвет, который не исчезает, если смотреть через кобальтовое стекло. Количественное содержание ионов калия определяется на пламенном фотометре.
Ионы аммония определяются по окрашиванию в желтый цвет раствора при добавлении к нему сегнетовой соли и реактива Несслера. Количественное содержание ионов аммония определяется колориметрически.
Ионы хлора определяются по белому осадку, который выпадает при обработке азотнокислым серебром. Количественное содержание ионов хлора определяется титрованием в присутствии хромата калия при pH 6,5 - 10,5 стандартным раствором азотнокислого серебра.
Сульфат-ионы выявляются по белому нерастворимому осадку - сульфату бария, образующемуся при реакции с ионами бария в кислой среде. Содержание сульфат-ионов определяется при титровании в присутствии натриевой соли ализаринсульфокислоты или нитхромазо в слабокислой метанольной среде стандартным раствором хлорида бария. Для этого определения пробу бетона 10 г следует обработать 1 л дистиллированной воды.
Сульфат-ионы можно определять также кондуктометрически, титрованием раствором ацетата бария или гравиметрическим методом, основанным на образовании осадка сульфата бария.
Ионы нитрата можно определить по окрашиванию раствора в сернокислой среде с бруцином в красный цвет, желтеющий во времени. Количественное содержание ионов нитрата определяется колориметрически в сернокислой среде с использованием индиго.
Нитраты можно определить также полярографическим или вольтамперометрическим методом, основанным на восстановлении нитрата-иона в щелочной среде до образования аммиака.
Органические вещества определяются с помощью подкисления раствора с органическими веществами разбавленной серной кислотой, которая обесцвечивает 0,01 н. раствор перманганата калия. Содержание органических веществ определяется количеством веществ, окисляемых перманганатом калия.
Определение ионов хлора, сульфата, нитрата, аммония и т.п. возможно также из водного раствора электрохимическим методом, основанным на измерении разности потенциалов между сравнительным электродом и ион-селективным электродом.
Сульфид-ионы определяются следующим образом: в присутствии сероводорода при обработке сульфидов соляной кислотой бумага, пропитанная раствором ацетата свинца, чернеет.
Для количественного определения сульфид-ионов сероводород, выделенный из сульфидов при действии соляной кислоты, поглощают 1 н. раствором щелочи, нейтрализуют соляной кислотой до pH 8, добавляют избыток стандартного раствора йода и раствором тиосульфата натрия титруют оставшийся йод.
Масло выявляется с помощью кристаллов камфоры, которые помещают на поверхность раствора. В присутствии следов масла кристаллы остаются неподвижными. Для количественного определения масла его экстрагируют из бетона хлороформом или петролейным эфиром и после отгонки растворителя масляный остаток взвешивают.
Фенол определяется по резкому запаху хлорфенола, который ощущается при обработке фенола хлорной водой. Количественное содержание одно- и многозамещенных фенолов, а также их гомологов определяют колориметрически с диазосоединениями.
РАСЧЕТ ЭКСПЛУАТАЦИОННОЙ НАДЕЖНОСТИ
ПО ПРОЧНОСТИ НОРМАЛЬНЫХ СЕЧЕНИЙ ИЗГИБАЕМЫХ ЭЛЕМЕНТОВ
Расчет эксплуатационной надежности по прочности нормальных сечений выполняется для массовых изгибаемых железобетонных конструкций с простейшей формой геометрических сечений (плоские плиты покрытий и перекрытий, балки прямоугольного сечения, ленточные фундаменты) при соблюдении следующих условий:
нарушение сцепления арматуры с бетоном в опорных зонах отсутствует;
распределения параметров конструкций подчиняются нормальному закону;
физико-механические характеристики арматуры не изменяются;
относительная высота сжатой зоны

.
Эксплуатационная надежность конструкций по прочности нормальных сечений характеризуется вероятностью безотказной работы, которая определяется в предположении нормального закона распределения прочности по формуле

, (1)
где

- вероятность безотказной работы конструкций на момент обследования;
Ф - табулированная функция Лапласа (см. В.Е. Гмурман. Теория вероятности и математическая статистика. М., 1972);

- характеристика безопасности.
При использовании табулированных значений функции нормированного нормального распределения
зависимость (1) приобретает вид:

, (2)
где

- табулированная функция нормированного нормального распределения.
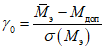
Характеристика безопасности расчетного или фактического изгибающего момента

определяется по формуле

, (3)
где

- математическое ожидание прочности нормальных сечений на момент обследования;

- среднее квадратическое отклонение прочности;

- внешний момент от расчетной нагрузки, задаваемый проектом, или фактический изгибающий момент в рассматриваемом сечении от внешней нагрузки.
Математическое ожидание прочности нормальных сечений определяется по формулам главы
СНиП II-21-75 с учетом следующих корректировок <*>:
--------------------------------
<*> Новое в проектировании бетонных и железобетонных конструкций/А.А. Гвоздев, С.А. Дмитриев, Ю.П. Гуща и др. - М., 1978.
а) значение

определяется по формуле

,

- в МПа;

- средняя опытная призменная прочность бетона;
б) при определении

при наличии опытных данных вместо величины

используют величину

, где

- среднее опытное значение предельной деформации бетона при центральном сжатии, но не более 2,5%, т.е.

. При отсутствии опытных данных величина

принимается согласно
СНиП II-21-75;
в) расчетное сопротивление арматуры

при наличии опытных данных заменяется средним значением физического или условного предела текучести

; расчетная призменная прочность бетона заменяется средним значением опытной призменной прочности бетона

; геометрические размеры сечений принимаются равными средним значениям, полученным по результатам обследований. При отсутствии опытных данных используются проектные средние значения сопротивления материалов, определяемые по
формулам (10).
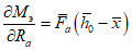
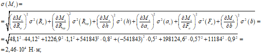
Среднее квадратическое отклонение прочности нормальных сечений определяется по формуле
где

,

,

,

,

,

- средние квадратические отклонения величины защитного слоя и соответствующих прочностных и геометрических параметров на момент обследования;

,

,

,

,

,

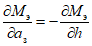
- частные производные прочности нормальных сечений на момент обследования по соответствующим параметрам, определяются следующим образом:

,

,

,

,

,

, (5)
где

,

,

,

,

,

- средние значения соответствующих параметров на момент обследования.
Конструкция удовлетворяет требованиям надежности, если

, (6)
где

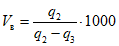
- начальная проектная обеспеченность расчетной прочности нормальных сечений, определяется по формулам:

(7)
или

. (8)

- характеристика безопасности расчетной прочности нормальных сечений, определяется по формуле

, (9)
где

- математическое ожидание прочности нормальных сечений на стадии проектирования при совместном учете изменчивости параметров, регламентированной требованиями нормативно-технических документов, определяется с учетом корректив, что и для

;
M - расчетная прочность нормальных сечений конструкций на стадии проектирования, определяемая по методике главы
СНиП II-21-75;

- среднее квадратическое отклонение прочности нормальных сечений на стадии проектирования, определяется по
формуле (4), где частные производные прочности нормальных сечений определяются по
формулам (5) при учете проектной изменчивости параметров конструкций.
Статистические характеристики изменчивости параметров конструкций, регламентированной нормативно-техническими документами, определяются следующим образом:
а) для прочностных свойств материалов:

,

,

,

, (10)
где

,

,

,

- соответственно средние квадратические отклонения и средние значения соответствующих параметров на стадии проектирования;
б) для геометрических параметров конструкций:

, (11)
где

- среднее квадратическое отклонение геометрических параметров на стадии проектирования;

- допускаемое отклонение от середины поля допусков, определяется по проектным данным или согласно ГОСТам на приемку конструкций.
При невыполнении требований надежности предусматриваются мероприятия по восстановлению и дальнейшему поддержанию надежности: ремонт, усиление, замена конструкций, защита их поверхности, снижение эксплуатационных нагрузок и т.д.
Пример расчета.
Оценить надежность по прочности нормальных сечений ленточных фундаментов Ф-24У серии 1.112-1.
Необходимость в такой оценке возникла из-за того, что грунтовые воды, в которых эксплуатировались фундаменты, на участках 1 и 2 перешли в разряд агрессивных в результате аварийных проливов технологических растворов.
По результатам оценки надежности определить мероприятия для обеспечения безотказной работы фундаментов на дальнейший период времени эксплуатации.
Проектные размеры фундаментов Ф-24У по серии 1.112-1 следующие: высота сечения - 50 см, ширина сечения - 113 см, величина защитного слоя - 3 см. Допуски на отклонения геометрических размеров составляют +/- 0,5 см. Проектная марка бетона 200. Фундаменты армируются двумя сетками

. Рабочая арматура - горячекатаная арматурная сталь периодического профиля класса А-III (

;

). Расчетный изгибающий момент в сечении -

.
В результате натурных обследований установлено, что на участке 1 коррозия арматуры отсутствует. На участке 2 имеется коррозия арматуры фундаментов. Степень ослабления площади сечения арматуры

. Коэффициент вариации площади сечения арматуры с коррозионными повреждениями

. Физико-механические характеристики арматуры сохранились на уровне проектных.
Статистический анализ данных исследований призменной прочности бетона, полученной испытанием выбуренных кернов, геометрических размеров и величины защитного слоя, показал, что их распределения подчиняются нормальному закону. Для участков 1 и 2 средние значения и среднее квадратическое отклонение соответственно призменной прочности бетона составляют 10,3 МПа и 1,1 МПа, высоты сечения - 50 см и 0,8 см, ширины сечения - 113 см и 0,9 см, величины защитного слоя - 3 см и 0,5 см.
Фактические нагрузки на фундаменты не исследовались. Поэтому следует определить эксплуатационную надежность конструкций на восприятие проектного расчетного момента.
Решение.
1. Определяем обеспеченность расчетной прочности нормальных сечений при удовлетворении требований нормативно-технических документов:
а) статистические характеристики параметров фундаментов:
Используя
табл. 11 и
13 СНиП II-21-75 для марки бетона 200, имеем:

.
Используя данные проекта для стали класса А-III, имеем

;

,

;

.
Среднее квадратическое отклонение геометрических параметров согласно
формуле (11):
высоты сечения

,
ширины сечения

,
величины защитного слоя

.
Проектные значения геометрических параметров конструкций являются их средними значениями. Согласно приведенным данным по армированию, количество ее в сечении составляет

.
Считаем ее детерминированной величиной, изменчивость ее не учитываем;
б) статистические характеристики изменчивости прочности нормальных сечений.
Средняя рабочая высота сечений:

.
Определяем среднюю относительную граничную высоту сжатой зоны бетона:

;

.
Средняя относительная высота сжатой зоны бетона:

.
Так как условие

удовлетворяется, то расчет надежности можно выполнять.
Определяем математическое ожидание прочности на стадии проектирования.

;

.
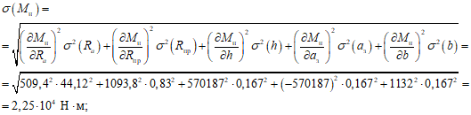
Определяем среднее квадратическое отклонение прочности. Для этого находим частные производные прочности по изменчивым параметрам.

;

;

;

;

;
в) расчетная прочность нормальных сечений

;

;

;

;
г) обеспеченность расчетной прочности сечений.
Характеристика безопасности:

.
Обеспеченность расчетной прочности сечений фундаментов:

;

;

.
2. Определяем эксплуатационную надежность обследованных фундаментов на участке 1:
а) статистические характеристики изменчивости прочности нормальных сечений по результатам обследований.
Средняя рабочая высота сечений:

.
Определяем среднюю относительную граничную высоту сжатой зоны бетона:

;

.
Средняя относительная высота сжатой зоны бетона:

.
Условие

обеспечивается.
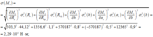
Определяем математическое ожидание прочности.

.
Определяем среднее квадратическое отклонение прочности.

;

;

;

;

;
б) обеспеченность расчетного изгибающего момента.
По проекту фундаменты рассчитаны на восприятие расчетного изгибающего момента

.
Характеристика безопасности:

.
Обеспеченность расчетного изгибающего момента

.
Проверяем условие безотказной работы фундаментов участка 1 по прочности нормальных сечений:

,

.
Условие безотказной работы фундаментов на участке 1 по прочности нормальных сечений на восприятие расчетного момента обеспечено. Это стало возможным из-за того, что проектом заложены дополнительные, не требуемые расчетом запасы - расчетная прочность сечений

, а проект ограничивает расчетный изгибающий момент величиной

.
Для дальнейшего обеспечения безотказной работы фундаментов необходимо выполнить только мероприятия по защите фундаментов от коррозии.
3. Определяем эксплуатационную надежность обследованных фундаментов на участке 2:
а) статистические характеристики изменчивости прочности нормальных сечений по результатам обследований.
Среднее значение площади сечения арматуры:

.
Среднее квадратическое отклонение площади сечения арматуры:

.
Средняя рабочая высота сечений:

.
Определяем среднюю относительную граничную высоту сжатой зоны бетона.

;
| | ИС МЕГАНОРМ: примечание. Формула дана в соответствии с официальным текстом документа. | |

.
Средняя относительная высота сжатой зоны бетона:

.
Условие

обеспечивается.
Определяем математическое ожидание прочности.

;

.
Определяем среднее квадратическое отклонение прочности.

;

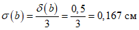
;

;

;

;

;
б) обеспеченность расчетного изгибающего момента.
Характеристика безопасности:

.
Обеспеченность расчетного изгибающего момента

.
Проверяем условие безотказной работы фундаментов участка 2 по прочности нормальных сечений:

.
Условие безотказности не обеспечивается.
Определяем допускаемый внешний изгибающий момент

из условия:

,

.
Откуда

.
Для дальнейшего обеспечения безотказной работы фундаментов требуется выполнить мероприятия по защите фундаментов от коррозии и снизить величину нагрузки на фундаменты.