Главная // Актуальные документы // ПриказСПРАВКА
Источник публикации
Документ опубликован не был
Примечание к документу
Текст документа приведен в соответствии с публикацией на сайте https://www.minstroyrf.ru/ по состоянию на 13.02.2024.
Документ
введен в действие с 15.01.2024.
Название документа
"Изменение N 5 к СП 20.13330.2016 "СНиП 2.01.07-85* Нагрузки и воздействия"
(утв. и введено в действие Приказом Минстроя России от 14.12.2023 N 918/пр)
"Изменение N 5 к СП 20.13330.2016 "СНиП 2.01.07-85* Нагрузки и воздействия"
(утв. и введено в действие Приказом Минстроя России от 14.12.2023 N 918/пр)
Утверждено и введено в действие
и жилищно-коммунального хозяйства
Российской Федерации
(Минстрой России)
от 14 декабря 2023 г. N 918/пр
ИЗМЕНЕНИЕ N 5 К СП 20.13330.2016
"СНиП 2.01.07-85* НАГРУЗКИ И ВОЗДЕЙСТВИЯ"
Дата введения
15 января 2024 года
Содержание
Дополнить наименованием приложения М в следующей редакции:
"Приложение М Методика определения пульсационной составляющей основной ветровой нагрузки ............................".
Введение
Дополнить шестым абзацем в следующей редакции:
"Изменение N 5 выполнено авторским коллективом АО "НИЦ "Строительство" - ЦНИИСК им. В.А. Кучеренко (руководитель разработки - канд. техн. наук И.В. Лебедева, канд. техн. наук Л.М. Арутюнян, Д.С. Богачев) при участии РААСН (д-р техн. наук В.И. Травуш) и ФГБУ "Главная геофизическая обсерватория им. А.И. Воейкова" (канд. геогр. наук М.В. Клюева).".
2 Нормативные ссылки
Дополнить нормативными ссылками в следующей редакции:
"
СП 14.13330.2018 "СНиП II-7-81* Строительство в сейсмических районах" (с изменениями N 2, N 3)";
"
СП 385.1325800.2018 Защита зданий и сооружений от прогрессирующего обрушения. Правила проектирования. Основные положения (с изменениями N 1, N 2, N 3).".
3 Термины и определения
"В настоящем своде правил применены термины по
ГОСТ 27751, а также следующие термины с соответствующими определениями:".
4 Общие положения
"При необходимости учета длительности нагрузок, в том числе влияния реологических или нелинейных свойств материалов, при проверке на выносливость, усталостную прочность и в других случаях, оговоренных в действующих документах по стандартизации в области проектирования конструкций и оснований, устанавливаются пониженные нормативные значения нагрузок от оборудования, людей, животных и транспортных средств на перекрытия жилых и общественных зданий, зданий сельскохозяйственного назначения, от мостовых и подвесных кранов, снеговых, температурных климатических воздействий.".
Дополнить перечислением в) в следующей редакции:
"в) при расчете по особым предельным состояниям - принимают равными единице, если в действующих документах по стандартизации в области проектирования конструкций и оснований не установлены другие значения.".
"4.3 Расчетные значения особых проектных нагрузок (экстремальных климатических, ударных, взрывных, нагрузок от пожарных автомобилей на стилобатные и подземные части зданий) устанавливают в соответствии с
СП 296.1325800 или заданием на проектирование, особых аварийных нагрузок - в соответствии с
СП 385.1325800 или заданием на проектирование, сейсмических - в соответствии с
СП 14.13330.".
Пункт 4.7. Дополнить пунктом 4.8 в следующей редакции:
"4.8 Пониженные нормативные значения равномерно распределенных кратковременных нагрузок устанавливают в соответствии с 8.2.3; равномерно распределенных нагрузок от транспортных средств - в соответствии с 8.4.4; крановых нагрузок - в соответствии с 9.19 и 9.20; снеговых нагрузок - в соответствии с 10.11; температурных климатических воздействий - в соответствии с 13.7.".
5 Классификация нагрузок
"и) кратковременные нагрузки с пониженным нормативным значением (см. 4.1, 4.8).".
8 Нагрузки от оборудования, людей, животных, складируемых материалов и изделий, транспортных средств
8.1 Определение нагрузок от оборудования, складируемых материалов и изделий
8.2 Равномерно распределенные нагрузки
"8.2.3 Пониженные нормативные значения равномерно распределенных кратковременных нагрузок, указанных в таблице 8.3, устанавливают в зависимости от рассматриваемой расчетной ситуации:
- при определении вертикальных предельных прогибов элементов конструкций на основе физиологических и эстетико-психологических требований - по таблице Д.1 приложения Д.2;
- при определении вертикальных предельных прогибов элементов конструкций, ограничиваемых исходя из технологических и конструктивных требований - по таблице Л.1 приложения Л.
В других случаях пониженные нормативные значения равномерно распределенных кратковременных нагрузок устанавливают с понижающим коэффициентом, принимаемым в действующих документах по стандартизации в области проектирования строительных конструкций и оснований, но не менее 0,35.".
8.4 Нагрузки от транспортных средств
"8.4.4 Пониженные нормативные значения равномерно распределенных нагрузок от транспортных средств устанавливают с понижающим коэффициентом, принимаемым в действующих документах по стандартизации в области проектирования или в задании на проектирование в зависимости от рассматриваемой расчетной ситуации, но не менее 0,35.".
9 Нагрузки от мостовых и подвесных кранов
Пункт 9.19. Дополнить слово: "конструкциям" словами: "пониженные нормативные".
10 Снеговые нагрузки
"Для зданий и сооружений, имеющих габаритные размеры покрытия, превышающие 100 м в обоих направлениях, за исключением покрытий, указанных на схемах Б.1 и Б.5 приложения Б, а также во всех случаях, не предусмотренных приложением Б (при иных формах покрытий, при необходимости учета различных направлений переноса снега по покрытию, близко расположенных зданий и сооружений окружающей застройки и т.п.), схемы распределения снеговой нагрузки по покрытиям и значения коэффициента

устанавливают на основе опыта нормирования снеговых нагрузок, результатов модельных испытаний в аэродинамических трубах (см. приложения Ж и И) с учетом 4.7 или имеющихся данных, с учетом оценки объемов снегопереноса и снегонакопления.".
"10.11 Для районов со средней температурой января минус 5 °C и ниже (по
таблице 5.1 СП 131.13330.2020) пониженное нормативное значение снеговой нагрузки устанавливают в зависимости от рассматриваемой расчетной ситуации, но не ниже 0,5 от ее полного нормативного значения. При этом коэффициенты
ce и
ct принимают равными единице.
Для районов со средней температурой января выше минус 5 °C пониженное значение снеговой нагрузки не учитывают.
Примечание - Положения настоящего пункта распространяются на все случаи применения пониженных нормативных значений снеговой нагрузки, в том числе приведенных в таблице Д.1 приложения Д, таблице Л.1 приложения Л.".
Пункт 10.13. Дополнить пунктом 10.14 в следующей редакции:
"10.14 Экстремальные значения снеговой нагрузки необходимо учитывать в соответствии с СП 296.1325800.2017 (
таблица А.1 приложения А) в особых сочетаниях для населенных пунктов или в задании на проектирование.".
11 Воздействия ветра
Исключить слова: "Коэффициент надежности по нагрузке для основной и пиковой ветровых нагрузок следует принимать равным 1,4; при расчете на резонансное вихревое возбуждение коэффициент надежности по нагрузке принимается равным 1,0.".
11.1 Основная ветровая нагрузка
"3 Для высот
ze <= 10 м коэффициент
k(
ze), а также коэффициент

пульсации давления ветра (см. 11.1.8) определяются по таблицам 11.2 и 11.4 соответственно. Промежуточные значения определяются линейной интерполяцией.".
"в) для сооружений, у которых вторая собственная частота меньше предельной, необходимо производить динамический расчет с учетом s первых форм собственных колебаний.
Число s следует определять из условия fs < flim < fs+1.
При численной реализации используют уточненную методику, приведенную в приложении М.".
Примечания. Дополнить примечанием 3 в следующей редакции:
"3 Расчет зданий и сооружений на действие пульсационной составляющей основной ветровой нагрузки включает:
- определение усилий и перемещений (суммарных и по формам колебаний);
- определение сил инерции по формам колебаний;
- определение предельных частот колебаний;
- оценку усталостной прочности и выносливости элементов сооружения согласно требованиям действующих документов по стандартизации в области проектирования.".
"а) для железобетонных и каменных зданий и сооружений, а также для зданий со стальным или смешанным сталежелезобетонным каркасом при наличии сплошных наружных ограждающих конструкций

;".
"в) для конструкций из стекла, а также для смешанных сооружений, имеющих одновременно стальные и железобетонные несущие конструкции при отсутствии сплошных наружных ограждающих конструкций,

.".
11.2 Пиковая ветровая нагрузка
Первый абзац. Дополнить слова: "в частности," словами: "конструкций фахверка,".
Дополнить
раздел пунктами 11.4 и 11.5 в следующей редакции:
"11.4 Коэффициент надежности по нагрузке для основной и пиковой ветровых нагрузок следует принимать равным 1,4.
При расчете на резонансное вихревое возбуждение коэффициент надежности по нагрузке принимают равным 1,0.
11.5 Экстремальные значения ветровой нагрузки, которые могут привести к возбуждению аэродинамически неустойчивых колебаний типа галопирования, дивергенции и различных видов флаттера, необходимо учитывать в соответствии с
СП 296.1325800 в особых сочетаниях.".
12 Гололедные нагрузки
"b - нормативное значение толщины стенки гололеда, мм (превышаемое в среднем один раз в 5 лет), на элементах кругового сечения диаметром 10 мм, расположенных на высоте 10 м над поверхностью земли, принимаемое по таблице 12.1, на высоте от 100 до 200 м - по таблице 12.1, а на высоте 200 м и более - по таблице 12.2. Нормативное значение толщины стенки гололеда допускается уточнять в установленном порядке на основе метеорологических данных для места строительства (см. 4.4).".
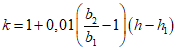
"
k - коэффициент, учитывающий изменение толщины стенки гололеда по высоте и принимаемый при высоте до 100 м по таблице 12.3; при высоте от 100 до 200 м по формуле:
kh = e
0,07h, где
h - высота элемента над поверхностью земли, но не более значений

, где
b2 указано в таблице 12.2 для высоты 200 м; при больших высотах - по формуле:

, где
b2 и
b1 соответствуют верхнему и нижнему значениям для смежных высот
h2 и
h1, которые приведены в таблице 12.2.".
Дополнить
раздел пунктом 12.6 в следующей редакции:
"12.6 Экстремальные значения гололедной нагрузки необходимо учитывать в соответствии с СП 296.1325800.2017 (
таблица А.2 приложения А) в особых сочетаниях для населенных пунктов или в задании на проектирование.".
13 Температурные климатические воздействия
Дополнить
раздел пунктом 13.9 в следующей редакции:
"13.9 Экстремальные значения температурных климатических воздействий необходимо учитывать в соответствии с СП 296.1325800.2017 (
таблица А.3 приложения А) в особых сочетаниях для населенных пунктов или в задании на проектирование.".
Приложение Б Схемы снеговых нагрузок и коэффициенты формы 
Б.3 Здания с продольными фонарями
Здания с продольными фонарями, закрытыми сверху
"но не более 4,0 и не более 3hl/S0; bl = hl, но не более b. При hl < f, где f - стрела подъема покрытия фонаря, следует принимать bl = hl + f/2.".
Б.8 Здания с перепадом высоты
"

для покрытий без парапетов при

, где

принимается из перечисления б);".
Б.11 Здания с купольными круговыми и близкими к ним по очертанию покрытиями
Перечисление б). После первого абзаца дополнить абзацем в следующей редакции:
"Здесь B-B - линия сопряжения поверхностей различной кривизны;

- уклон нижней поверхности;

- уклон верхней поверхности; точка C соответствует уклону одной из поверхностей в 30° либо уклону в точке A, если он составляет не более 30°. Остальные обозначения показаны на рисунке Б.14а.".
"Для вариантов 2 и 3 коэффициент

вычисляется согласно Б.11, перечисление а) по схеме варианта 2 на рисунке Б.14. Коэффициент

вычисляется по схеме варианта 2 на рисунке Б.14 для центральной части покрытия при
r1 =
l2/2.".
Дополнить пятым абзацем в следующей редакции:
"Для покрытий в виде сочетания двух сферических поверхностей различной кривизны на эллиптическом плане следует выполнить расчет коэффициентов

,

и

независимо для большего и меньшего диаметров эллипса, как указано выше, с интерполяцией полученных значений снеговой нагрузки для промежуточных направлений.".
Б.13 Покрытие с парапетами
"При этом коэффициент формы

принимают не более 3
h/
S0."
.
Приложение В Ветровые нагрузки
В.1 Аэродинамические коэффициенты
В.1.12 Сооружения и конструктивные элементы с круговой цилиндрической поверхностью
"

".
"Таблица В.6
hl/d | 1/6 | 1/4 | 1/2 | 1 | 2 | >= 5 |
ce2, ci | -0,5 | -0,55 | -0,7 | -0,8 | -0,9 | -1,05 |
".
В.1.14 Решетчатые конструкции
"Для ферм из труб при
Re < 4·10
5 и ферм из профилей коэффициент

определяется по таблице В.8 в зависимости от относительного расстояния между фермами
b/
h (рисунок В.19) и коэффициента заполнения ферм

.".
Приложение Д Прогибы и перемещения
Д.1 Определение прогибов и перемещений
"а)
".
Д.2 Предельные прогибы
Д.2.1 Вертикальные предельные прогибы элементов конструкций
"1 За расчетный пролет l элемента конструкции принимается расстояние между точками опирания элемента, назначаемое при расчетах конструкций.
Для консоли вместо l следует принимать удвоенный ее вылет.
Для безбалочного железобетонного перекрытия за пролет l следует принимать:
а) в монолитной конструкции - расстояние между осями колонн;
б) в сборной конструкции:
- для ригелей рам - расстояние между осями колонн;
- для квадратных в плане пролетных плит - размер диагонали плиты;
- для прямоугольных в плане пролетных плит с отношением сторон более 1,5:1 - размер большей стороны плиты.".
Пункт Д.2.4.6. Дополнить слова: "элементов витражей, стеклопакетов" словами: ", навесных фасадных систем".
Приложение Е
КАРТЫ РАЙОНИРОВАНИЯ ТЕРРИТОРИИ
РОССИЙСКОЙ ФЕДЕРАЦИИ ПО КЛИМАТИЧЕСКИМ ХАРАКТЕРИСТИКАМ
(Издано отдельной брошюрой)
"4 Высотный коэффициент kh для горных районов определяют по формуле

но не менее
kh = 0.
Здесь: Sg(h) = Sg,50(h)/1,4, где Sg,50 - превышаемый в среднем один раз в 50 лет ежегодный максимум веса снегового покрова на высоте h проведения маршрутной снегосъемки в горном районе местности (см. 10.2);
Sg(0) - нормативное значение веса снегового покрова (ВСП) на начальной высоте, относительно которой вычисляется высотный коэффициент;
h - высота, м, на которой проводятся измерения ВСП в горном районе, принимаемая не менее 500 м;
h0 - начальная высота, м, для которой установлено нормативное значение ВСП.
Для других высот в данном районе местности используют полученное значение высотного коэффициента.".
"
Забайкальский край: | | | |
Каларский район, хр. Удокан | II | 500 | 0 |
| II | 1000 | 1,8 |
"
на
"
Забайкальский край: | | | |
Каларский район, хр. Удокан | II | 1000 | 1,8 |
".
Дополнить картами районирования по климатическим характеристикам в следующей редакции:
"
КАРТА 1, в
Районирование территории Донецкой Народной Республики,
Луганской Народной Республики, Запорожской области,
Херсонской области по весу снегового покрова (дополнение
к карте 1. Районирование территории Российской Федерации
по весу снегового покрова)
КАРТА 2, ж
Районирование территории Донецкой Народной Республики,
Луганской Народной Республики, Запорожской области
и Херсонской области по давлению ветра (дополнение к карте
2. Районирование территории Российской Федерации
по давлению ветра)
КАРТА 3, ж
Районирование территории Донецкой Народной Республики,
Луганской Народной Республики, Запорожской области
и Херсонской области по толщине стенки гололеда (дополнение
к карте 3. Районирование территории Российской Федерации
по толщине стенки гололеда)
КАРТА 4, б
Районирование территории Донецкой Народной Республики,
Луганской Народной Республики, Запорожской области
и Херсонской области по нормативным значениям минимальной
температуры воздуха, °C (дополнение к карте 3. Районирование
территории Российской Федерации по нормативным значениям
минимальной температуры воздуха, °C)
КАРТА 5, б
Районирование территории Донецкой Народной Республики,
Луганской Народной Республики, Запорожской области
и Херсонской области по нормативным значениям максимальной
температуры воздуха, °C (дополнение к карте 3. Районирование
территории Российской Федерации по нормативным значениям
максимальной температуры воздуха, °C)
".
Приложение И Общая методика проведения модельных испытаний зданий и сооружений в аэродинамических трубах
И.2 Подобие по параметру шероховатости
Приложение К Нормативные значения веса снегового покрова для городов Российской Федерации
"
Луганская Народная Республика |
1 | Лисичанск | 0,9 |
2 | Луганск | 1,0 |
Донецкая Народная Республика |
1 | Артемовск (Бахмут) | 1,05 |
2 | Донецк | 1,1 |
3 | Дружковка | 1,15 |
4 | Мариуполь | 0,75 |
5 | Покровск | 0,5 |
Запорожская область |
1 | Бердянск | 0,45 |
2 | Запорожье | 0,5 |
3 | Мелитополь | 0,95 |
Херсонская область |
1 | Новая Каховка | 0,5 |
2 | Херсон | 0,5 |
".
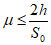
Приложение Л Значения предельных прогибов и перемещений зданий и их отдельных элементов, ограничиваемые исходя из технологических и конструктивных требований
Л.1 Вертикальные предельные прогибы элементов конструкций, ограничиваемые исходя из технологических и конструктивных требований
"1 За расчетный пролет l элемента конструкции принимается расстояние между точками опирания элемента.
Для консоли за расчетный пролет l следует принимать удвоенный ее вылет.
Для безбалочного железобетонного перекрытия за расчетный пролет l следует принимать:
а) для монолитной конструкции - расстояние между осями колонн;
б) для сборной конструкции:
- для ригелей рам - расстояние между осями колонн;
- для квадратных в плане пролетных плит - размер диагонали плиты;
- для прямоугольных в плане пролетных плит с отношением сторон более 1,5:1 - размер большей стороны плиты.".
Л.3 Горизонтальные предельные перемещения и прогибы зданий, отдельных элементов конструкций и опор конвейерных галерей от ветровой нагрузки и крена фундаментов
Таблица Л.2. Пункт 1. Графа "Здания, стены и перегородки". Дополнить слова: "Многоэтажные здания" словами: ", многоэтажные этажерки промышленных зданий".
Пункт 3. Графа "Предельные перемещения
fu". Изложить в новой редакции:
"hs/150
h/200
h/300".
Дополнить
свод правил приложением М в следующей редакции:
"Приложение М
МЕТОДИКА ОПРЕДЕЛЕНИЯ ПУЛЬСАЦИОННОЙ СОСТАВЛЯЮЩЕЙ
ОСНОВНОЙ ВЕТРОВОЙ НАГРУЗКИ
М.1 При проектировании и расчетах несущих конструкций сооружения, имеющего сложную пространственную расчетную схему, требуется учет совместных колебаний сооружения по различным собственным формам и их взаимной корреляции при действии пульсационной составляющей ветровой нагрузки.
М.2 Пульсационные ветровые нагрузки являются динамическими и имеют случайную природу, поэтому в расчетах сооружений они должны учитываться исходя из статистических характеристик скорости ветра и наиболее неблагоприятных возможных мест приложения ветровой нагрузки.
Расчетные значения усилий Qp и перемещений up в элементах конструкции от действия пульсационной ветровой нагрузки определяют по формулам:

(М.1)

(М.2)
где

и

- стандарт усилий и перемещений, соответственно;

- коэффициент обеспеченности пульсационной составляющей ветровой нагрузки.
М.3 Статистические характеристики для определения пульсационной составляющей основной ветровой нагрузки
Стандарт перемещений

и стандарт усилий

необходимо определять на основе численного расчета сооружения на действие пульсационной составляющей ветровой нагрузки, с применением методики решения линейной динамической задачи о вынужденных колебаниях сооружений при действии пульсационной составляющей ветровой нагрузки, приведенной в М.3 - М.7.
При этом используют метод разложения усилий и перемещений в ряды по ортонормированным собственным формам колебаний сооружения.
М.3.1 Стандарт перемещений
Стандарт перемещений определяют по формуле

(М.3)
где Du - дисперсия перемещений.
Дисперсию перемещений определяют как

(М.4)
где x = (x1, x2, x3) - координаты, описывающие геометрию сооружения;

- расчетное значение коэффициента пульсации давления ветра на высоте 10 м, определяемое по таблице 11.3;
s - количество учитываемых собственных форм, определяемое согласно 11.1.8;
fk - k-я собственная частота, Гц;

- вектор
k-й собственной формы в точке
x;

- обобщенное воздействие, учитывающее совместные колебания сооружения по
k-й и
k1-й формам.
М.3.2 Стандарт усилий
Принимая, что усилие Q или другой внутренний силовой фактор связаны с перемещением линейной зависимостью
Q = L(u), (М.5)
где L(u) - линейная функция, матрица или оператор (интегральный, дифференциальный, смешанный), стандарт усилий определяют по формуле

(М.6)
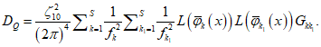
где DQ - дисперсия усилий, определяемая как

(М.7)
М.4 Обобщенное динамическое воздействие 
Обобщенное динамическое воздействие
, Н
2/м
2, определяют как

(М.8)
где

(М.9)

(М.10)

(М.11)

(М.12)
где

- вектор средней составляющей ветровой нагрузки в точке
x, Н/м
2;
A - поверхность сооружения, на которую действует пульсационная ветровая нагрузка;

- коэффициент пульсаций давления ветра;
z - высота над поверхностью земли в точке с координатами x, м;

- локальный коэффициент динамичности, учитывающий совместную реакцию сооружения по
k-й и
k1-й формам;
f - частота, Гц;
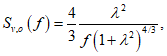
Sv,o(f) - нормированный энергетический спектр продольной компоненты скорости вектора;
rv(f; x(1), x(2)) - коэффициент корреляции пульсаций скорости ветра в точках
- стандарт спектра скорости ветра.
Коэффициент пульсаций

давления ветра на высоте
z определяется по формуле (11.6) в соответствии с 11.1.8.
М.5 Нормированный энергетический спектр пульсационной составляющей скорости ветра Sv,o(f) описывают соотношением

(М.13)

(М.14)
где

- безразмерная частота;
f - частота для каждой из учитываемых форм колебаний, Гц;
Lx = 1200 м - интегральный продольный масштаб турбулентности;
V0 = 0,84v50 - скорость ветра на высоте 10 м для места строительства.
М.6 Коэффициент корреляции
rv(
f;
x(1),
x(2)) пульсаций скорости ветра в точках

и

определяют по формуле

(М.15)

(М.16)

(М.17)
где Tv(x(1), x(2)) - период корреляции порывов в точках x(1) и x(2);
V0 - скорость ветра на высоте 10 м;

- проекции расстояния между точками
x(1) и
x(2) на оси правой системы координат, в которой ось
Ox1 ориентирована по направлению средней скорости ветра, а ось
Ox3 направлена вертикально вверх;
bi(i = 1, 2, 3) - эмпирические константы, принимаемые b1 = 20; b2 = b3 = 8.
М.7 Предельную частоту колебаний flim и соответствующее число s учитываемых форм колебаний определяют из условия

(М.18)
где

- коэффициент динамичности для формы колебаний
s, который может быть получен на основе приближенного подхода при
k =
k1 =
s из уравнения

(М.19)
где

- общий для всего сооружения коэффициент динамичности;
v0 - квазистатическая составляющая скорости ветра, определяемая из уравнения

(М.20)
Здесь
rm(f) = r(f, Tv,m); (М.21)
Tv,m - единый (осредненный для всего сооружения) период корреляции;

- точность динамического расчета.
Коэффициент динамичности для формы
s с точностью до величины

равен единице.
М.8 Для каждого варианта нагружения расчетные значения перемещений и внутренних усилий в элементах конструкции от действия пульсационной составляющей ветровой нагрузки при проведении расчетов необходимо учесть совместно с перемещениями и внутренними усилиями от средней составляющей ветровой нагрузки соответствующего направления.".