Главная // Актуальные документы // ПриказСПРАВКА
Источник публикации
ИУС "Национальные стандарты", N 4, 2023
Примечание к документу
Документ
введен в действие на территории Российской Федерации с 01.01.2024 (
Приказ Росстандарта от 27.12.2022 N 1661-ст).
Название документа
"Изменение N 1 ГОСТ 20522-2012 "Грунты. Методы статистической обработки результатов испытаний"
(принято Протоколом Межгосударственного совета по стандартизации, метрологии и сертификации от 26.12.2022 N 157-П)
"Изменение N 1 ГОСТ 20522-2012 "Грунты. Методы статистической обработки результатов испытаний"
(принято Протоколом Межгосударственного совета по стандартизации, метрологии и сертификации от 26.12.2022 N 157-П)
Принято
Протоколом Межгосударственного
совета по стандартизации,
метрологии и сертификации
от 26 декабря 2022 г. N 157-П
ИЗМЕНЕНИЕ N 1 ГОСТ 20522-2012
"ГРУНТЫ. МЕТОДЫ СТАТИСТИЧЕСКОЙ ОБРАБОТКИ
РЕЗУЛЬТАТОВ ИСПЫТАНИЙ"
Принято Межгосударственным советом по стандартизации, метрологии и сертификации (протокол N 157-П от 26.12.2022)
Зарегистрировано Бюро по стандартам МГС N 16614
За принятие изменения проголосовали национальные органы по стандартизации следующих государств: AM, BY, KG, KZ, RU, UZ [коды альфа-2 по МК (ИСО 3166) 004]
Дату введения в действие настоящего изменения устанавливают указанные национальные органы по стандартизации <*>
--------------------------------
<*> Дата введения в действие на территории Российской Федерации - 2024-01-01.
Содержание. Приложение А исключить.
"2 Нормативные ссылки
В настоящем стандарте использованы нормативные ссылки на следующие межгосударственные стандарты:
ГОСТ 12248.1 Грунты. Определение характеристик прочности методом одноплоскостного среза
ГОСТ 12248.3 Грунты. Определение характеристик прочности и деформируемости методом трехосного сжатия
Примечание - При пользовании настоящим стандартом целесообразно проверить действие ссылочных стандартов и классификаторов на официальном интернет-сайте Межгосударственного совета по стандартизации, метрологии и сертификации (www.easc.by) или по указателям национальных стандартов, издаваемым в государствах, указанных в предисловии, или на официальных сайтах соответствующих национальных органов по стандартизации. Если на документ дана недатированная ссылка, то следует использовать документ, действующий на текущий момент, с учетом всех внесенных в него изменений. Если заменен ссылочный документ, на который дана датированная ссылка, то следует использовать указанную версию этого документа. Если после принятия настоящего стандарта в ссылочный документ, на который дана датированная ссылка, внесено изменение, затрагивающее положение, на которое дана ссылка, то это положение применяется без учета данного изменения. Если ссылочный документ отменен без замены, то положение, в котором дана ссылка на него, применяется в части, не затрагивающей эту ссылку".
Раздел 4. Пункт 4.3. Заменить слова: "При обосновании" на "При большом коэффициенте вариации (более 0,3), при получении отрицательного значения расчетной характеристики, при получении расчетной характеристики менее минимального значения в совокупности опытных данных".
Пункт 4.4. Исключить слова: "Для сравнения неоднородности по разным характеристикам может применяться сравнительный коэффициент вариации (см. приложение А)".
"либо" на ", значения характеристик грунта изменяются в пределах элемента закономерно, однако".
Пункт 4.9. Заменить слова: "техническом задании" на "задании на изыскания".
Пункт 4.10. Второй абзац дополнить словами: "Увеличение числа определений позволяет получить более достоверные нормативные и расчетные значения характеристик".
Раздел 6. Пункт 6.3 после слов "в соответствии с 5.1." дополнить словами: "Для этого значения опытных данных размещают в порядке возрастания от минимального до максимального";
"

(3)".
заменить слова: "конкретных видов" на "гидротехнических";
"Приложение Б
(рекомендуемое)
СТАТИСТИЧЕСКАЯ ОБРАБОТКА ОПЫТНЫХ ДАННЫХ С ИСПОЛЬЗОВАНИЕМ
ЛОГАРИФМИЧЕСКИ НОРМАЛЬНОГО ЗАКОНА РАСПРЕДЕЛЕНИЯ
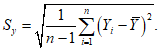
Б.1 Для всех значений опытных данных Xi(i = 1 ... n) находят значения натурального логарифма Yi = ln Xi.
Б.2 Вычисляют среднеарифметическое значение характеристики

и среднеквадратическое значение характеристики
Sy по формулам:

(Б.1)

(Б.2)
Б.3 Вычисляют логарифм нормативного значения Xn характеристики по формуле

(Б.3)
Б.4 Вычисляют логарифм левосторонней (-) или правосторонней (+) доверительной границы расчетного значения X характеристики по формуле

(Б.4)
где

- квантиль

нормального распределения, принимаемый по таблице Б.1 в зависимости от односторонней доверительной вероятности

.
Таблица Б.1
Значения

| 0,85 | 0,90 | 0,95 | 0,975 | 0,99 |
| 1,036 | 1,282 | 1,645 | 1,960 | 2,336 |
Б.5 Нормативное Xn и расчетное значение X характеристики вычисляют в результате операции антилогарифмирования по формулам:
Xn = exp(ln(Xn)), (Б.5)
X = exp(ln(X)). (Б.6)".
"Таблица Е.1
Значения критерия

при односторонней доверительной
вероятности

Число определений n | Значение критерия  | Число определений n | Значение критерия  | Число определений n | Значение критерия  |
3 | 1,16 | 19 | 2,68 | 35 | 2,98 |
4 | 1,48 | 20 | 2,71 | 36 | 2,99 |
5 | 1,72 | 21 | 2,73 | 37 | 3,00 |
6 | 1,89 | 22 | 2,76 | 38 | 3,01 |
7 | 2,02 | 23 | 2,78 | 39 | 3,02 |
8 | 2,13 | 24 | 2,80 | 40 | 3,04 |
9 | 2,22 | 25 | 2,82 | 41 | 3,05 |
10 | 2,29 | 26 | 2,84 | 42 | 3,06 |
11 | 2,36 | 27 | 2,86 | 43 | 3,07 |
12 | 2,41 | 28 | 2,88 | 44 | 3,08 |
13 | 2,46 | 29 | 2,89 | 45 | 3,09 |
14 | 2,51 | 30 | 2,91 | 46 | 3,10 |
15 | 2,55 | 31 | 2,92 | 47 | 3,11 |
16 | 2,59 | 32 | 2,94 | 48 | 3,12 |
17 | 2,62 | 33 | 2,95 | 49 | 3,13 |
18 | 2,65 | 34 | 2,97 | 50 | 3,14 |
".