Главная // Актуальные документы // ПравилаСПРАВКА
Источник публикации
В данном виде документ опубликован не был.
Первоначальный текст документа опубликован в издании
М., 2018.
Информацию о публикации документов, создающих данную редакцию, см. в справке к этим документам.
Примечание к документу
Документ включен в
Перечень документов в области стандартизации, в результате применения которых на добровольной основе обеспечивается соблюдение требований Федерального
закона от 30.12.2009 N 384-ФЗ "Технический регламент о безопасности зданий и сооружений" (
Приказ Росстандарта от 02.04.2020 N 687).
Название документа
"СП 387.1325800.2018. Свод правил. Железобетонные пространственные конструкции покрытий и перекрытий. Правила проектирования"
(утв. и введен в действие Приказом Минстроя России от 15.08.2018 N 525/пр)
(ред. от 11.12.2023)
"СП 387.1325800.2018. Свод правил. Железобетонные пространственные конструкции покрытий и перекрытий. Правила проектирования"
(утв. и введен в действие Приказом Минстроя России от 15.08.2018 N 525/пр)
(ред. от 11.12.2023)
Утвержден и введен в действие
и жилищно-коммунального хозяйства
Российской Федерации (Минстрой России)
от 15 августа 2018 г. N 525/пр
СВОД ПРАВИЛ
ЖЕЛЕЗОБЕТОННЫЕ ПРОСТРАНСТВЕННЫЕ КОНСТРУКЦИИ
ПОКРЫТИЙ И ПЕРЕКРЫТИЙ
ПРАВИЛА ПРОЕКТИРОВАНИЯ
Spatial reinforced concrete structures of roofs
and floors. Design requirements
СП 387.1325800.2018
| | Список изменяющих документов Минстроя России от 20.11.2019 N 701/пр, Минстроя России от 20.12.2021 N 966/пр, Минстроя России от 11.12.2023 N 901/пр) | |
Дата введения
16 февраля 2019 года
1 ИСПОЛНИТЕЛЬ - АО "НИЦ "Строительство" - НИИЖБ им. А.А. Гвоздева
2 ВНЕСЕН Техническим комитетом по стандартизации ТК 465 "Строительство"
3 ПОДГОТОВЛЕН к утверждению Департаментом градостроительной деятельности и архитектуры Министерства строительства и жилищно-коммунального хозяйства Российской Федерации (Минстрой России)
4 УТВЕРЖДЕН
приказом Министерства строительства и жилищно-коммунального хозяйства Российской Федерации от 15 августа 2018 г. N 525/пр и введен в действие с 16 февраля 2019 г.
5 ЗАРЕГИСТРИРОВАН Федеральным агентством по техническому регулированию и метрологии (Росстандарт)
6 ВВЕДЕН ВПЕРВЫЕ
В случае пересмотра (замены) или отмены настоящего свода правил соответствующее уведомление будет опубликовано в установленном порядке. Соответствующая информация, уведомление и тексты размещаются также в информационной системе общего пользования - на официальном сайте разработчика (Минстрой России) в сети Интернет
Настоящий свод правил разработан в целях обеспечения соблюдения требований Федерального
закона от 30 декабря 2009 г. N 384-ФЗ "Технический регламент о безопасности зданий и сооружений" с учетом требований Федерального
закона от 27 декабря 2002 г. N 184-ФЗ "О техническом регулировании" и содержит требования к расчету и проектированию железобетонных пространственных конструкций покрытий и перекрытий.
(в ред.
Изменения N 3, утв. Приказом Минстроя России от 11.12.2023 N 901/пр)
Свод правил разработан авторским коллективом АО "НИЦ "Строительство" - НИИЖБ им. А.А. Гвоздева (д-р техн. наук В.В. Шугаев, д-р техн. наук Т.А. Мухамедиев, канд. техн. наук Б.С. Соколов).
Изменение N 1 разработано авторским коллективом АО "НИЦ "Строительство" - НИИЖБ им. А.А. Гвоздева (канд. техн. наук Б.С. Соколов - руководитель разработки; канд. техн. наук В.А. Титаев, Д.В. Пасхин, А.В. Пшеничников).
(абзац введен
Изменением N 1, утв. Приказом Минстроя России от 20.11.2019 N 701/пр)
Изменение N 2 разработано авторским коллективом АО "НИЦ "Строительство" - НИИЖБ им. А.А. Гвоздева (канд. техн. наук Б.С. Соколов - руководитель разработки; канд. техн. наук В.А. Титаев, Д.В. Пасхин).
(абзац введен
Изменением N 2, утв. Приказом Минстроя России от 20.12.2021 N 966/пр)
Изменение N 3 разработано авторским коллективом АО "НИЦ "Строительство" - НИИЖБ им. А.А. Гвоздева (руководитель разработки - канд. техн. наук Б.С. Соколов; канд. техн. наук В.А. Титаев, Д.В. Пасхин).
(абзац введен
Изменением N 3, утв. Приказом Минстроя России от 11.12.2023 N 901/пр)
1.1 Настоящий свод правил распространяется на проектирование железобетонных оболочек, складок и других тонкостенных пространственных конструкций покрытий и перекрытий зданий и сооружений промышленного, гражданского и сельскохозяйственного строительства.
1.2 Свод правил устанавливает требования к проектированию пространственных конструкций, изготовляемых из тяжелого и мелкозернистого бетонов, и эксплуатируемых в климатических условиях Российской Федерации, в среде с неагрессивной степенью воздействия, при статическом действии нагрузки.
В настоящем своде правил применены нормативные ссылки на следующие документы:
ГОСТ 1050-2013 Металлопродукция из нелегированных конструкционных качественных и специальных сталей. Общие технические условия
ГОСТ 3062-80 Канат одинарной свивки типа ЛК-0 конструкции 1 x 7 (1 + 6). Сортамент
ГОСТ 3063-80 Канат одинарной свивки типа ТК конструкции 1 x 19 (1 + 6 + 12). Сортамент
ГОСТ 3064-80 Канат одинарной свивки типа ТК конструкции 1 x 37 (1 + 6 + 12 + 18). Сортамент
ГОСТ 3066-80 Канат двойной свивки типа ЛК-0 конструкции 6 x 7 (1 + 6) + 1 x 7 (1 + 6). Сортамент
ГОСТ 3067-88 Канат стальной двойной свивки типа ТК конструкции 6 x 19 (1 + 6 + 12) + 1 x 19 (1 + 6 + 12). Сортамент
ГОСТ 3068-88 Канат стальной двойной свивки типа ТК конструкции 6 x 37 (1 + 6 + 12 + 18) + 1 x 37 (1 + 6 + 12 + 18). Сортамент
ГОСТ 3081-80 Канат двойной свивки типа ЛК-0 конструкции 6 x 19 (1 + 9 + 9) + 7 x 7 (1 + 6). Сортамент
ГОСТ 3090-73 Канаты стальные. Канат закрытый несущий с одним слоем зетобразной проволоки и сердечником типа ТК. Сортамент
ГОСТ 7372-79 Проволока стальная канатная. Технические условия
ГОСТ 7669-80 Канат двойной свивки типа ЛК-РО конструкции 6 x 36 (1 + 7 + 7/7 + 14) + 7 x 7 (1 + 6). Сортамент
ГОСТ 7675-73 Канаты стальные. Канат закрытый несущий с одним слоем клиновидной и одним слоем зетобразной проволоки и сердечником типа ТК. Сортамент
ГОСТ 7676-73 Канаты стальные. Канат закрытый несущий с двумя слоями клиновидной и одним слоем зетобразной проволоки и сердечником типа ТК. Сортамент
ГОСТ 14098-2014 Соединения сварные арматуры и закладных изделий железобетонных конструкций. Типы, конструкции и размеры
ГОСТ 14954-80 Канат двойной свивки типа ЛК-Р конструкции 6 x 19 (1 + 6 + 6/6) + 7 x 7 (1 + 6). Сортамент
ГОСТ 18901-73 Канаты стальные. Канат закрытый несущий с двумя слоями зетобразной проволоки и сердечником типа ТК. Сортамент
ГОСТ 21437-95 Сплавы цинковые антифрикционные. Марки, технические требования и методы испытаний
(в ред.
Изменения N 3, утв. Приказом Минстроя России от 11.12.2023 N 901/пр)
ГОСТ 27751-2014 Надежность строительных конструкций и оснований. Основные положения
СП 14.13330.2018 "СНиП II-7-81* Строительство в сейсмических районах" (с изменениями N 2, N 3)
(в ред.
Изменения N 1, утв. Приказом Минстроя России от 20.11.2019 N 701/пр,
Изменения N 3, утв. Приказом Минстроя России от 11.12.2023 N 901/пр)
СП 16.13330.2017 "СНиП II-23-81* Стальные конструкции" (с изменениями N 1, N 2, N 3, N 4, N 5)
(в ред.
Изменения N 1, утв. Приказом Минстроя России от 20.11.2019 N 701/пр,
Изменения N 2, утв. Приказом Минстроя России от 20.12.2021 N 966/пр,
Изменения N 3, утв. Приказом Минстроя России от 11.12.2023 N 901/пр)
СП 20.13330.2016 "СНиП 2.01.07-85* Нагрузки и воздействия" (с изменениями N 1, N 2, N 3, N 4)
(в ред.
Изменения N 1, утв. Приказом Минстроя России от 20.11.2019 N 701/пр,
Изменения N 2, утв. Приказом Минстроя России от 20.12.2021 N 966/пр,
Изменения N 3, утв. Приказом Минстроя России от 11.12.2023 N 901/пр)
СП 22.13330.2016 "СНиП 2.02.01-83* Основания зданий и сооружений" (с изменениями N 1, N 2, N 3, N 4)
(в ред.
Изменения N 1, утв. Приказом Минстроя России от 20.11.2019 N 701/пр,
Изменения N 2, утв. Приказом Минстроя России от 20.12.2021 N 966/пр,
Изменения N 3, утв. Приказом Минстроя России от 11.12.2023 N 901/пр)
СП 28.13330.2017 "СНиП 2.03.11-85 Защита строительных конструкций от коррозии" (с изменениями N 1, N 2, N 3)
(в ред.
Изменения N 1, утв. Приказом Минстроя России от 20.11.2019 N 701/пр,
Изменения N 2, утв. Приказом Минстроя России от 20.12.2021 N 966/пр,
Изменения N 3, утв. Приказом Минстроя России от 11.12.2023 N 901/пр)
(в ред.
Изменения N 2, утв. Приказом Минстроя России от 20.12.2021 N 966/пр,
Изменения N 3, утв. Приказом Минстроя России от 11.12.2023 N 901/пр)
СП 63.13330.2018 "СНиП 52-01-2003 Бетонные и железобетонные конструкции. Основные положения" (с изменениями N 1, N 2)
(в ред.
Изменения N 1, утв. Приказом Минстроя России от 20.11.2019 N 701/пр,
Изменения N 2, утв. Приказом Минстроя России от 20.12.2021 N 966/пр,
Изменения N 3, утв. Приказом Минстроя России от 11.12.2023 N 901/пр)
СП 70.13330.2012 "СНиП 3.03.01-87 Несущие и ограждающие конструкции" (с изменениями N 1, N 3, N 4)
(в ред.
Изменения N 2, утв. Приказом Минстроя России от 20.12.2021 N 966/пр)
Ссылка исключена с 21.01.2022. -
Изменение N 2, утв. Приказом Минстроя России от 20.12.2021 N 966/пр.
СП 131.13330.2020 "СНиП 23-01-99* Строительная климатология" (с изменениями N 1, N 2)
(в ред.
Изменения N 1, утв. Приказом Минстроя России от 20.11.2019 N 701/пр,
Изменения N 2, утв. Приказом Минстроя России от 20.12.2021 N 966/пр,
Изменения N 3, утв. Приказом Минстроя России от 11.12.2023 N 901/пр)
Примечание - При пользовании настоящим сводом правил целесообразно проверить действие ссылочных документов в информационной системе общего пользования - на официальном сайте федерального органа исполнительной власти в сфере стандартизации в сети Интернет или по ежегодному информационному указателю "Национальные стандарты", который опубликован по состоянию на 1 января текущего года, и по выпускам ежемесячного информационного указателя "Национальные стандарты" за текущий год. Если заменен ссылочный документ, на который дана недатированная ссылка, то рекомендуется использовать действующую версию этого документа с учетом всех внесенных в данную версию изменений. Если заменен ссылочный документ, на который дана датированная ссылка, то рекомендуется использовать версию этого документа с указанным выше годом утверждения (принятия). Если после утверждения настоящего свода правил в ссылочный документ, на который дана датированная ссылка, внесено изменение, затрагивающее положение, на которое дана ссылка, то это положение рекомендуется применять без учета данного изменения. Если ссылочный документ отменен без замены, то положение, в котором дана ссылка на него, рекомендуется применять в части, не затрагивающей эту ссылку. Сведения о действии сводов правил целесообразно проверить в Федеральном информационном фонде стандартов.
В настоящем своде правил применены термины по
СП 63.13330, а также следующие термины с соответствующими определениями:
3.1 пространственные железобетонные конструкции: Выполненные из железобетона конструкции, работающие как пространственные системы, используемые в качестве покрытий, перекрытий, стен зданий и сооружений или представляющие собой сооружение в целом.
3.2 тонкостенные пространственные системы: Конструкции, у которых два измерения одного порядка существенно превышают третье (толщину).
3.3 оболочка (здесь): Пространственная конструкция, ограниченная двумя криволинейными поверхностями, расстояние между которыми (толщина) мало по сравнению с другими ее размерами.
3.4 складка: Оболочка, составленная из отдельных пластинок, соединенных между собой и образующих поверхность многогранника.
3.5 свод: Оболочка дугообразного очертания, опирающаяся враспор по двум противоположным сторонам.
(п. 3.5 введен
Изменением N 1, утв. Приказом Минстроя России от 20.11.2019 N 701/пр)
3.6 купол: Выпуклая оболочка, опирающаяся враспор на плоский криволинейный или полигональный контур.
(п. 3.6 введен
Изменением N 1, утв. Приказом Минстроя России от 20.11.2019 N 701/пр)
3.7 призматическая складка: Складка, состоящая из прямоугольных пластинок.
(п. 3.7 введен
Изменением N 1, утв. Приказом Минстроя России от 20.11.2019 N 701/пр)
3.8 балочная складка: Складка, состоящая из плоских элементов-граней, соединенных между собой под углом с образованием в месте их сопряжения прямолинейного ребра.
(п. 3.8 введен
Изменением N 1, утв. Приказом Минстроя России от 20.11.2019 N 701/пр)
3.9 шатровая складка: Выпуклая многогранная складка в форме полной или усеченной пирамиды, опирающаяся враспор на плоский полигональный контур.
(п. 3.9 введен
Изменением N 1, утв. Приказом Минстроя России от 20.11.2019 N 701/пр)
4.1.1 Железобетонные тонкостенные пространственные конструкции покрытий и перекрытий
(рисунок 4.1) различаются:
по очертанию срединной поверхности
а) складки с различной формой поперечного сечения, в том числе складчатые своды и оболочки (
рисунок 4.1,
а);
б) оболочки и своды нулевой гауссовой кривизны - цилиндрические и конические оболочки и цилиндрические своды (
рисунок 4.1,
б);
в) оболочки и волнистые своды положительной гауссовой кривизны - сферические оболочки и купола, очерченные по поверхностям вращения с вертикальной осью (
рисунок 4.1,
д); оболочки, очерченные по поверхности переноса в виде эллиптического параболоида, круговой поверхности (
рисунок 4.1,
в), и бочарные своды (
рисунок 4.1,
е,
10);
г) оболочки и волнистые своды отрицательной гауссовой кривизны - оболочки, очерченные по линейчатым поверхностям гиперболического параболоида (гипары) (
рисунок 4.1,
г) и по поверхностям вращения с горизонтальной осью (
рисунок 4.1,
е,
11);
д) оболочки разнозначной гауссовой кривизны - тороидальные оболочки (
рисунок 4.1,
ж); поверхности которых имеют на некоторых участках положительную, а на других - отрицательную кривизну, коноиды (поверхность которых имеет в большей части нулевую гауссову кривизну) и параболические оболочки на плоском контуре (в основном, положительной кривизны), угловые участки которых имеют отрицательную гауссову кривизну и др.;
з) вспарушенные плиты, в том числе ступенчато-вспарушенные и шатровые панели (
рисунок 4.1,
п,
16);
по форме перекрываемой площади (при опирании на стены, фундаменты или отдельные опоры) и конструктивным особенностям
б) на овальном (эллиптическом) плане;
в) на квадратном плане;
г) на прямоугольном плане;
д) на треугольном плане;
е) на полигональном плане;
ж) кольцевые тороидальные и составные оболочки;
з) неразрезные многоволновые оболочки, многогранники и складки;
и) неразрезные многопролетные оболочки, многогранники и складки;
к) висячие оболочки;
н) консольные оболочки, складки и многогранники;
по способу изготовления и возведения
а) монолитные;
б) сборно-монолитные (когда сборные элементы служат несущей опалубкой или, например, бортовые элементы сборные, а плита-оболочка - монолитная);
в) сборные из плоских, цилиндрических и других элементов;
г) панели-оболочки и панели-складки, изготовляемые и монтируемые в готовом виде, не требующие расчетного замоноличивания швов между ними, размерами, соответствующими пролету между опорами и габаритам, установленным с учетом условий изготовления, транспортирования и монтажа;
(в ред.
Изменения N 3, утв. Приказом Минстроя России от 11.12.2023 N 901/пр)
а - призматические складки; б - оболочки нулевой гауссовой
кривизны; в - оболочки положительной гауссовой кривизны;
г - то же, отрицательной; д - оболочки с вертикальной осью
вращения; е - оболочки с горизонтальной осью вращения;
ж - тороидальные оболочки разнозначной гауссовой кривизны;
и - многогранники; к - то же, шатрового типа; л - составные
оболочки; м - то же, из гиперболических треугольных сводов;
н - панели-оболочки размером на пролет покрытия
и вспарушенные оболочки размером на ячейку здания;
п - неразрезные оболочки; 1 - балочная складка с треугольным
поперечным сечением; 2 - то же, с трапециевидным; 3 - то же,
со сводчатым (призматические выпуклые складки);
4 - свод-оболочка; 5 - длинные цилиндрические оболочки,
6 - то же, короткие; 7 - коническая оболочка; 8 - купол;
9 - бочарные своды; 10 - гиперболические оболочки;
11 - тороидальная оболочка; 12 - покрытие с треугольным
планом из оболочек положительной и отрицательной гауссовой
кривизны; 13 - то же, с полигональным планом; 14 - покрытие
из составных гипаров; 15 - панели-оболочки КЖС;
16 - вспарушенные плиты-оболочки; 17 - многоволновые
оболочки; 18 - многопролетные оболочки
Рисунок 4.1 - Схемы тонкостенных пространственных
конструкций покрытий и перекрытий
по материалам, из которых возводятся:
а) железобетонные (в том числе с применением легких и других бетонов);
б) комбинированные, состоящие из железобетонной плиты и металлических диафрагм или бортовых элементов;
в) комплексные, состоящие из железобетонной пространственной конструкции и теплоизоляционных, гидроизоляционных и других материалов;
г) армоцементные и сталефибробетонные.
4.1.2 Железобетонные пространственные конструкции должны быть обеспечены с требуемой надежностью от возникновения предельных состояний всех видов расчетом, выбором показателей качества материалов, назначением размеров и конструированием согласно настоящему своду правил. При этом должны быть выполнены технологические требования при изготовлении конструкций и соблюдены требования по эксплуатации зданий и сооружений, требования по экологии, устанавливаемые соответствующими НД.
4.1.3 Применение железобетонных пространственных конструкций в средах с агрессивным воздействием допускается при выполнении требований, установленных
СП 28.13330 и настоящим сводом правил.
4.1.4 При проектировании пространственных конструкций в особых условиях (в районах с расчетной сейсмичностью 7 баллов и более, на вечномерзлых грунтах, на просадочных грунтах и подрабатываемых территориях) надлежит учитывать
СП 22.13330 и
СП 14.13330.
4.1.5 Выбор конструктивных решений пространственных конструкций покрытий и перекрытий зданий и сооружений следует производить исходя из технико-экономической целесообразности их применения в конкретных условиях строительства с учетом архитектурных, технологических и производственных требований, максимального снижения их материало-, трудо-, энергоемкости и стоимости.
В необходимых случаях покрытия и перекрытия с применением тонкостенных пространственных конструкций должны соответствовать акустическим и светотехническим требованиям, условиям отопления и вентиляции, а также допускать возможность подвески кранового оборудования, технологических коммуникаций, потолка или площадок и т.п.
4.1.6 Элементы сборных и сборно-монолитных пространственных конструкций рекомендуется проектировать с учетом условий механизации их изготовления на заводах или полигонах, а железобетонные монолитные пространственные конструкции - с учетом механизированного выполнения опалубочных, арматурных и бетонных работ в соответствии с
СП 48.13330.
4.1.7 Сборные и сборно-монолитные пространственные конструкции следует проектировать из унифицированных плоских, цилиндрических или иных, ребристых или гладких панелей, монтируемых с применением укрупнительной сборки или из крупноразмерных элементов, изготовленных вблизи места возведения конструкции.
(в ред.
Изменения N 3, утв. Приказом Минстроя России от 11.12.2023 N 901/пр)
Панели-оболочки и панели-складки следует проектировать с учетом особенностей их транспортирования и складирования.
Применение укрупненных тонкостенных элементов покрытий и перекрытий длиной более 24 м или шириной (высотой) более 3,2 м, а также массой более 15 т должно быть обосновано с учетом их транспортирования и монтажа.
4.1.8 Железобетонные покрытия пространственного типа следует проектировать с учетом комплекса требований по гидро- и теплоизоляции, водоотводу, устройству различных проходок через покрытие, фонарных и других проемов и отверстий.
Сборные пространственные конструкции рекомендуется проектировать повышенной готовности - утепленными, с гидроизоляцией и т.п.
4.2 Основные расчетные требования
4.2.1 Расчеты железобетонных пространственных конструкций следует производить по предельным состояниям, включающим:
- предельные состояния первой группы (по полной непригодности к эксплуатации вследствие потери несущей способности);
- предельные состояния второй группы (по непригодности к нормальной эксплуатации вследствие образования или чрезмерного раскрытия трещин, появления недопустимых деформаций и др.).
Расчеты по предельным состояниям первой группы включают расчет по прочности, с учетом в необходимых случаях деформированного состояния конструкции перед разрушением, и расчет по устойчивости (общей и локальной).
Расчеты по предельным состояниям второй группы включают расчеты по образованию и раскрытию трещин и по деформациям.
Расчеты выполняют в соответствии с
СП 63.13330 и настоящим сводом правил.
4.2.2 Расчет пространственных конструкций покрытий и перекрытий по предельным состояниям следует производить для всех воздействий на конструкции или их элементы на стадии изготовления, транспортирования, возведения и эксплуатации, в том числе:
- монолитные конструкции, в том числе с предварительно напряженным армированием, - должны быть рассчитаны по прочности и трещиностойкости при раскружаливании;
- элементы сборно-монолитных конструкций - должны быть рассчитаны по прочности и трещиностойкости на действие собственного веса и веса бетона замоноличивания и монтажных нагрузок;
- сборно-монолитные конструкции после достижения бетоном замоноличивания проектной прочности - должны быть рассчитаны в целом как монолитные с включением в работу сборных элементов, если для этого предусмотрены соответствующие конструктивные и технологические мероприятия;
- элементы сборных конструкций, в том числе укрупненных, при монтаже (до замоноличивания) - должны быть проверены по прочности и трещиностойкости на усилия от действия собственного веса, монтажных нагрузок и реактивных усилий от временных опор, затяжек и других приспособлений;
- сборные конструкции после достижения бетоном замоноличивания стыков проектной прочности и после раскружаливания - должны быть рассчитаны по прочности, жесткости, трещиностойкости на действие собственного веса, монтажных нагрузок и предварительного напряжения арматуры с учетом изменения на данной стадии напряженно-деформированного состояния конструкции от удаления всех или части временных связей.
Расчетные схемы и нагрузки должны соответствовать принятым конструктивным решениям пространственных конструкций и воздействиям для каждой рассматриваемой стадии.
4.2.3 Расчеты железобетонных пространственных конструкций следует производить с учетом наличия трещин и неупругих деформаций в бетоне и арматуре.
Определение усилий и деформаций от различных воздействий в конструкциях и в образуемых ими системах зданий и сооружений следует производить методами строительной механики, в линейной или нелинейной постановке с учетом физической и геометрической нелинейности работы конструкций.
(в ред.
Изменения N 3, утв. Приказом Минстроя России от 11.12.2023 N 901/пр)
Усилия и деформации допускается определять в предположении упругой работы железобетонных элементов с последующей корректировкой результатов расчета для учета влияния физической нелинейности их работы.
4.2.4 При проектировании железобетонных пространственных конструкций их надежность обеспечивают применением в расчетах расчетных значений нагрузок и воздействий, расчетных значений характеристик материалов, определяемых с помощью соответствующих частных коэффициентов надежности по нормативным значениям этих характеристик, и учетом степени ответственности зданий и сооружений
(ГОСТ 27751).
Нормативные значения нагрузок и воздействий, подразделение нагрузок на постоянные и временные (длительные и кратковременные), значения коэффициентов надежности по нагрузке и коэффициентов сочетаний следует принимать согласно
СП 20.13330.
4.2.5 Усилия и деформации в пространственных конструкциях следует определять, применяя:
- метод конечных элементов с учетом физической нелинейности (неупругих деформаций бетона и арматуры) и возможного образования трещин в соответствии с
СП 63.13330;
- методы теории упругости, технической теории оболочек и практических методов расчета тонких оболочек и складок, учитывающих неразрезность конструкции, податливость опор и диафрагм, наличие ребер, отверстий и проемов, неравномерные и динамические нагрузки и т.п.;
- методы упругопластической теории, прикладной теории деформаций железобетона с учетом практических гипотез и упрощений упругопластического расчета, вытекающих из особенностей работы железобетона с трещинами;
(в ред.
Изменения N 1, утв. Приказом Минстроя России от 20.11.2019 N 701/пр)
- метод предельного равновесия, в том числе по деформированной схеме, для определения несущей способности или проверки назначенных сечений бетона и арматуры в предварительных и рабочих расчетах, с использованием схемы излома и формы разрушения, установленных испытаниями моделей конструкций до разрушения;
- результаты экспериментальных исследований напряженно-деформированного состояния образцов пространственных конструкций.
При проектировании сложных пространственных конструкций помимо расчетной оценки несущей способности, трещиностойкости и деформативности следует проводить испытания их физических моделей.
4.2.6 При составлении расчетной схемы покрытия или перекрытия рекомендуется использовать срединную поверхность гладкой плиты, подкрепленной ребрами плиты оболочки, многогранника или складки. Для покрытий, которые по условиям возведения образуются как многогранники, вписанные в поверхность оболочки, с числом граней n > 7 (например, на участке между диафрагмами) за расчетную поверхность допускается принимать гладкую срединную поверхность оболочки с приближенным определением дополнительных моментов и нормальных сил, возникающих в местах переломов действительной поверхности.
Для пространственных ребристых конструкций, а также для складчатых и волнистых сводов-оболочек за срединную поверхность допускается принимать поверхность, в которой лежат центры тяжести поперечных сечений конструкций. В этом случае в расчетах ребристых, складчатых и волнистых оболочек допускается применять усредненную приведенную толщину оболочки

и усредненную приведенную жесткость
D =
EIb/
c, где
Ab и
Ib - площадь и момент инерции приведенного двутаврового сечения с шириной полки, равной
c.
За расчетный пролет оболочек, многогранников и складок следует принимать расстояние между осями опор покрытий и перекрытий.
За расчетный размер сторон оболочек, многогранников и складок в плане следует принимать расстояние между осями соответствующих бортовых элементов или диафрагм. При этом, если для расчета система делится на поле оболочки и краевые элементы, в расчете следует учитывать эксцентриситет примыкания поля оболочки к диафрагме или к бортовым элементам.
При определении усилий в железобетонных пространственных конструкциях в упругой стадии площадь и момент инерции допускается принимать как для бетонного сечения или приведенного к нему, если

(

- коэффициент армирования, определяемый как отношение площади сечения арматуры к площади поперечного сечения элемента, %). При расчете с учетом неупругих свойств железобетона и образования трещин, а также методом предельного равновесия, следует учитывать действительные характеристики железобетонных сечений для рассматриваемой стадии их работы.
4.2.7 При расчете железобетонных пологих оболочек кинематическим способом метода предельного равновесия следует рассматривать равновесие конструкции в момент исчерпания ее несущей способности и перехода в изменяемую систему. Вид и характер пластического механизма, конфигурацию и размеры дисков в схеме излома следует принимать с учетом вида нагрузки, свойств поверхности и условий закрепления контура. При необходимости расчет несущей способности следует выполнять с учетом деформированного состояния - как отдельных элементов конструкции, так и конструкции в целом.
Расчет несущей способности монолитных, сборно-монолитных и сборных пространственных конструкций методом предельного равновесия допускается производить без учета монтажных и других усилий, возникающих в них до замоноличивания, в процессе изготовления и раскружаливания. При необходимости следует учитывать деформированную схему конструкции - в том числе от перемещений, накопленных в процессе изготовления и возведения конструкции.
4.2.8 Участки плиты, оболочек и складок, в которых главные растягивающие напряжения

превышают значение расчетного сопротивления бетона осевому растяжению
Rbt, следует армировать исходя из условия полного восприятия арматурой растягивающих усилий. При этом допускать

не рекомендуется - в этом случае толщину соответствующих участков конструкции следует увеличивать.
4.2.9 Диафрагмы и бортовые элементы оболочек, складок, многогранников и сводов-оболочек из условия их совместной работы с полем конструкции следует включать в расчет с учетом их жесткости и схемы нагружения.
4.2.10 Отверстия в плитах ребристых оболочек, размеры которых больше расстояний между ребрами сборных элементов, а для гладких оболочек - размерами более

, должны учитываться при расчете конструкции.
4.2.11 Расчет предварительно напряженных конструкций следует производить с учетом начальных (предварительных) напряжений и деформаций в бетоне и арматуре, потерь предварительного напряжения и особенностей передачи предварительного напряжения на бетон.
При расчете пространственных конструкций по трещиностойкости и деформациям усилия от предварительного напряжения арматуры допускается принимать как внешние силы, приложенные в местах анкеровки арматуры, а при криволинейных стержнях - как нормальные силы, действующие по направлению радиуса кривизны.
Расчет предварительно напряженных элементов пространственных конструкций следует производить с учетом
СП 63.13330.
4.2.12 При расчете пространственных покрытий пролетом более 100 м или с поверхностью очертания, не предусмотренного
СП 20.13330, нагрузки от действия снега и ветра допускается определять по экспериментальным данным на основе результатов продувок моделей сооружений в аэродинамических трубах.
4.2.13 Передачу сосредоточенных нагрузок следует предусматривать на ребра жесткости, диафрагмы и бортовые балки оболочек и складок. Допускается при соответствующих конструктивных мероприятиях учитывать в расчете совместную работу пространственной конструкции и устройства для подвески грузов (крановых балок и т.п.).
(в ред.
Изменения N 3, утв. Приказом Минстроя России от 11.12.2023 N 901/пр)
4.2.14 Для тонкостенных элементов пространственных конструкций следует производить проверку местной устойчивости и прочности. Расчетную проверку местной прочности поля оболочки рекомендуется производить методом предельного равновесия с учетом изменения формы поверхности поля конструкции согласно
11.24,
11.26. При этом следует учитывать несовершенство формы поверхности тонкостенных пространственных конструкций.
Приближенную оценку критической нагрузки тонкостенных пространственных конструкций при потере устойчивости рекомендуется производить согласно
4.2.19 -
4.2.22.
4.2.15 При выборе расчетной схемы сборно-монолитных пространственных конструкций следует учитывать податливость стыков и особенности передачи усилий через них. При передаче усилий через закладные детали и приваренные к ним стержни или пластины податливость стыка допускается учитывать исходя из значения 0,5 - 1 мм на каждое такое соединение. При передаче сжимающих усилий через стыки, омоноличенные мелкозернистым бетоном, податливость стыка допускается учитывать снижением значения начального модуля упругости мелкозернистого бетона и введением в расчет пониженной местной или усредненной жесткости с учетом отношения ширины стыков к расстоянию между ними.
4.2.16 Прогибы элементов в железобетонных пространственных конструкциях не должны превышать предельно допустимых значений, приведенных в
СП 20.13330, при этом прогиб покрытий в виде оболочек двоякой кривизны или в виде многогранников пролетом 18 - 60 м должен быть не более 1/400 пролета, а пролетом более 60 м - 1/500 пролета.
4.2.17 При расчете элементов сборных пространственных конструкций на воздействие усилий, возникающих при их подъеме, транспортировании и монтаже, нагрузку от массы элементов следует принимать с коэффициентом динамичности, равным 1,60 - при транспортировании, 1,40 - при подъеме и монтаже. Допускается принимать более низкие, обоснованные в установленном порядке, значения коэффициента динамичности, но не ниже 1,25.
4.2.18 При расчете по прочности железобетонных элементов на действие сжимающей продольной силы следует учитывать случайный эксцентриситет
ea, принимаемый по
СП 63.13330.
4.2.19 Расчет по устойчивости формы тонкостенных пространственных конструкций следует производить с учетом начальных несовершенств и деформаций ползучести бетона при длительном действии нагрузки.
Максимальные значения начального несовершенства следует определять опытным путем или задавать по аналогии с конструкциями подобного типа, для которых установлены их возможные значения. При отсутствии опытных данных в запас величины критической нагрузки учет начальных несовершенств рекомендуется выполнять умножением модуля деформаций бетона на коэффициент 0,75.
4.2.20 В практических расчетах гладких длинных цилиндрических оболочек продольные нормальные сжимающие напряжения

от действия расчетной нагрузки, вычисленные в предположении упругой работы железобетонных элементов, должны быть не более значения, определяемого по формуле

(4.1)
а скалывающие напряжения

по нейтральной оси должны не быть более значения, определяемого по формуле

(4.2)
При сочетании нормальных и касательных напряжений следует соблюдать условие

(4.3)
Для гладких коротких цилиндрических оболочек интенсивность полной расчетной нагрузки должна быть не более значения, определяемого по формуле

(4.4)
Гладкие подъемистые и пологие оболочки вращения и переноса следует проектировать таким образом, чтобы при равномерном внешнем давлении интенсивность полной расчетной нагрузки не превышала значения критической нагрузки, определенной по формуле

(4.5)
где
R2 - больший из радиусов кривизны оболочки:
K =
f(
R2/
R1) - коэффициент, учитывающий увеличение критической нагрузки на оболочку с увеличением отношения
R2/
R1. Для оболочек, у которых
R2/
R1 < 1,5, принимается
K = 1, а для оболочек, у которых
R2/
R1 >= 1,5, - значение
K принимается по
таблице 1.
R2/R1 | 1,5 | 1,75 | 2 | 2,25 | 2,5 |
K | 1,15 | 1,4 | 1,6 | 1,8 | 2,0 |

,
R - толщина и радиус кривизны оболочек;
E - модуль деформаций бетона, принимаемый в зависимости от длительности действия нагрузки по
5.7.
4.2.21 В случае, если по результатам расчета устойчивость гладкой оболочки не обеспечена, в ней следует предусматривать устройство ребер жесткости. Для оболочек положительной или отрицательной гауссовой кривизны ребра следует располагать в двух взаимно перпендикулярных направлениях. Для цилиндрических оболочек допускается устройство только кольцевых ребер.
(в ред.
Изменения N 3, утв. Приказом Минстроя России от 11.12.2023 N 901/пр)
Для предотвращения потери местной устойчивости расстояние между ребрами следует назначать не более

, где
R1 - меньший радиус кривизны оболочки.
Ребристые оболочки при расчете устойчивости могут рассматриваться как ортотропные. В случае, когда размеры ребер обоих направлений и расстояния между ними различаются между собой не более чем на 20%, ребристую оболочку при расчете допускается рассматривать как гладкую с условной толщиной

, определяемой по формуле

(4.6)
и с условным модулем упругости Ef, определяемым по формуле

(4.7)
где b - расстояние между осями соседних ребер; A - площадь сечения, образованного одним ребром вместе с примыкающими частями тела оболочки шириной b;
I - момент инерции того же сечения.
Для ребристых цилиндрических оболочек при пользовании
формулами (4.1) -
(4.3) под

,

,

и

следует понимать напряжения, отнесенные к условной толщине оболочки

.
4.2.22 При проектировании железобетонных пространственных конструкций покрытий и перекрытий следует обеспечивать их устойчивость против прогрессирующего обрушения при локальных аварийных воздействиях. Устойчивость пространственных конструкций покрытий и перекрытий зданий и сооружений против прогрессирующего обрушения следует обеспечивать избыточной несущей способностью "ключевых" элементов, конструктивными мерами и применением материалов, обеспечивающих развитие в конструктивных элементах и их соединениях пластических деформаций.
Расчет на прогрессирующее обрушение следует производить на действие нормативных нагрузок, с применением нормативных значений прочностных характеристик арматуры и бетона, и с учетом физической, геометрической и конструктивной нелинейностей.
4.2.23 Большепролетные пространственные конструкции зданий и сооружений следует рассчитывать на усилия от изменения температуры, а в случае необходимости - и от усадки бетона, возникающих в конструкциях вследствие заделки их в основание и взаимодействия наружных и внутренних конструкций с разными температурными и усадочными деформациями.
Расчетные значения температур принимаются для различных климатических районов Российской Федерации по
СП 131.13330, а значения расчетных приведенных температур - в соответствии с
СП 20.13330.
Расчет производят на неблагоприятные сочетания летних (июльских) и зимних (январских) приведенных температур, которые могут быть как в период строительства, так и в период эксплуатации зданий.
Расчет усилий и деформаций пространственных конструкций на изменение температуры допускается выполнять в упругой стадии, при этом следует учитывать податливость стыковых соединений (для сборных конструкций) и основания.
Изгибную и продольную жесткости стыков для сборных конструкций следует определять по
СП 63.13330 - как для армированных бетонных сечений, с учетом трещин, пластических свойств и ползучести бетона.
4.2.24 Железобетонные пространственные покрытия и перекрытия должны соответствовать требованиям пожарной безопасности, приведенным в
[1].
(в ред.
Изменения N 2, утв. Приказом Минстроя России от 20.12.2021 N 966/пр)
Для расчета предела огнестойкости по потере несущей способности железобетонной конструкции следует применять те же уравнения равновесия и деформации, из которых выводят формулы для статического расчета.
Расчет предела огнестойкости по потере несущей способности следует производить в соответствии с расчетом железобетонных конструкций по предельным состояниям первой группы по
СП 63.13330,
СП 20.13330 и с учетом следующих условий:
- в случаях, когда нельзя установить значение усилий от нормативной нагрузки, допускается принимать их равными 0,7 расчетных;
- при проектировании пространственных конструкций зданий и сооружений, относящихся к первому уровню ответственности, отказы которых после пожара могут привести к тяжелым экономическим и экологическим последствиям, а также конструкций, восстановление которых потребует больших материальных затрат, следует обеспечить их огнесохранность.
4.2.25 Для повышения пределов огнестойкости или обеспечения огнесохранности пространственных конструкций следует применять огнезащитные покрытия.
5 Требования к материалам и изделиям
5.1 Для железобетонных тонкостенных пространственных конструкций следует применять бетоны и арматуру, предусмотренные
СП 63.13330.
5.2 Для несущих тонкостенных пространственных конструкций рекомендуется применять тяжелые, в том числе мелкозернистые, бетоны классов по прочности на сжатие от B20 до B60 или легкие бетоны по прочности на сжатие не ниже B12,5
(ГОСТ 25820).
Легкие бетоны классов по прочности на сжатие B7,5 и B10 допускается применять в совмещенных пространственных конструкциях покрытий
(ГОСТ 25820).
Поризованные и крупнопористые бетоны в несущих железобетонных пространственных конструкциях допускается применять при специальном технико-экономическом обосновании.
5.3 В качестве предварительно напряженной арматуры растянутых бортовых элементов большепролетных пространственных конструкций рекомендуется предусматривать канатную проволочную арматуру или пучки из таких канатов, защищенные от коррозии до замоноличивания оцинковкой или другим способом, допускаемым
СП 28.13330 (см. также
13.15).
5.4 Класс по прочности на сжатие тяжелого мелкозернистого бетона, применяемого для омоноличивания несущих стыков, должен быть не ниже проектного класса по прочности на сжатие бетона стыкуемых элементов.
При омоноличивании конструктивных стыков класс по прочности на сжатие тяжелого бетона или бетона на пористых заполнителях должен быть не ниже B10.
5.5 Для пространственных конструкций покрытий, эксплуатируемых без наружной гидроизоляции, рекомендуется применять тяжелые бетоны марки по водонепроницаемости не ниже W8. В остальных случаях для конструкций, подверженных атмосферным воздействиям при расчетной отрицательной температуре наружного воздуха выше минус 40 °C, марку бетона по водонепроницаемости не нормируют.
5.6 Марку бетона по морозостойкости следует назначать в зависимости от требований, предъявляемых к конструкциям, режима их эксплуатации и условий окружающей среды.
Для конструкций, подвергаемых атмосферным воздействиям окружающей среды при расчетной отрицательной температуре наружного воздуха в холодный период от минус 5 °C до минус 40 °C, марку бетона по морозостойкости следует принимать не ниже F75, а при расчетной температуре наружного воздуха выше минус 5 °C марку бетона по морозостойкости не нормируют.
В остальных случаях требуемые марки бетона по морозостойкости устанавливают в зависимости от назначения конструкций и условий окружающей среды
(СП 131.13330).
5.7 Значения начального модуля упругости бетона при сжатии и растяжении, а также значения модуля сдвига бетона следует принимать в соответствии с
СП 63.13330.
При продолжительном действии нагрузки значения модуля деформаций бетона определяют с учетом ползучести по
формуле (6.3) СП 63.13330.2018.
(в ред.
Изменения N 1, утв. Приказом Минстроя России от 20.11.2019 N 701/пр)
При непродолжительном действии нагрузки значение модуля деформаций бетона определяют умножением значения его начального модуля упругости Eb на коэффициент 0,85.
6 Основные требования к конструированию
6.1 Монолитные пространственные конструкции
6.1.1 Монолитные пространственные конструкции следует проектировать с гладкой плитой, толщиной

, определяемой расчетом.
(в ред.
Изменения N 3, утв. Приказом Минстроя России от 11.12.2023 N 901/пр)
Для повышения жесткости поля оболочки или складки допускается предусматривать ребра прямоугольного или трапециевидного сечения. Шаг ребер следует определять расчетом поля оболочки или плиты складки на прочность, устойчивость или локальную несущую способность. Для уменьшения изгибающих моментов в плите оболочки ось симметрии сечения ребер рекомендуется совмещать с направлением нормали к поверхности (для ребер, располагаемых в местах перелома складчатой поверхности, - с направлением биссектрисы угла сопряжения граней).
6.1.2 Монолитные тонкостенные конструкции покрытий допускается проектировать с любыми очертаниями поверхности и формами в плане, предусмотренными
4.1.1 настоящего свода правил. Для возможности применения многократно оборачиваемой (подвижной и переносной) опалубки тонкостенные конструкции рекомендуется применять:
- с линейчатыми поверхностями (цилиндрические, гиперболические оболочки, коноиды, призматические складки);
- с поверхностями переноса положительной гауссовой кривизны (параболические и круговые оболочки).
6.1.3 Стрелу подъема монолитных оболочек следует принимать от 1/10 до 1/5 пролета, угол наклона касательной к поверхности монолитных покрытий с горизонтом для их бетонирования на односторонней опалубке - не более 35°.
6.1.4 В качестве бортовых элементов оболочек, складок, многогранников рекомендуется использовать балки, рамы или арки преимущественно с прямоугольной или квадратной формой поперечного сечения высотой не менее 1/80 пролета, или фермы.
6.1.5 Переход от плиты к бортовым элементам и ребрам следует выполнять плавным, в виде вута шириной до

. Если устройство вута недостаточно для восприятия краевых изгибающих моментов, следует предусматривать утолщения плиты от

до

. При необходимости в плите следует предусматривать плавное утолщение от центра к бортовым элементам.
6.1.6 Армирование монолитных пространственных конструкций рекомендуется проектировать с применением готовых сварных сеток и каркасов.
У растянутой грани изгибаемых плит следует предусматривать не менее одной арматурной сетки. Сжатые плиты, толщина которых определяется условием обеспечения местной несущей способности или устойчивости, и растянутые плиты рекомендуется армировать по расчету двумя сетками, располагаемыми симметрично относительно срединной поверхности с обеспечением минимально допустимого значения защитного слоя бетона.
В случае, если в плите конструкции арматура по расчету не требуется, то следует предусматривать конструктивное армирование плиты не менее, чем одной сеткой из арматурных стержней диаметром 3 - 4 мм. Наибольшие расстояния между осями арматурных стержней должны быть не более

и не более 200 мм.
6.1.7 Для восприятия растягивающих усилий в контурных элементах, диафрагмах и затяжках большепролетных покрытий рекомендуется предусматривать предварительно напрягаемую арматуру, принимаемую согласно
СП 63.13330 и
5.7.
Предварительно напрягаемую арматуру следует располагать в каналах или пазах с последующим замоноличиванием бетоном или в трубчатых каналообразователях без сцепления с бетоном с последующим их заполнением противокоррозионными составами. Схемы расположения напрягаемой арматуры в основных типах пространственных конструкций показаны на
рисунке 6.1.
а - в куполе; б - в пологой оболочке положительной гауссовой
кривизны, опертой по контуру; в - в шатровой складке;
г - то же, с фермами-диафрагмами, опертыми в углах оболочки;
д - в цилиндрической оболочке; е - в шедовой однопролетной
оболочке; ж - в шедовой неразрезной оболочке, армированной
перекрестными пучками; и - в зонтичной оболочке,
образованной из четырех гиперболических параболоидов
Рисунок 6.1 - Схемы расположения напрягаемой арматуры
6.1.8 В бортовых элементах балочных оболочек и складок до 80% рабочей растянутой арматуры допускается размещать у растянутой грани. В тонкостенных элементах пространственных конструкций растянутую арматуру рекомендуется располагать равномерно вдоль растянутой зоны сечения оболочки, складки или многогранника.
6.1.9 Минимальные значения толщины защитного слоя бетона для рабочей арматуры следует принимать по
СП 63.13330.
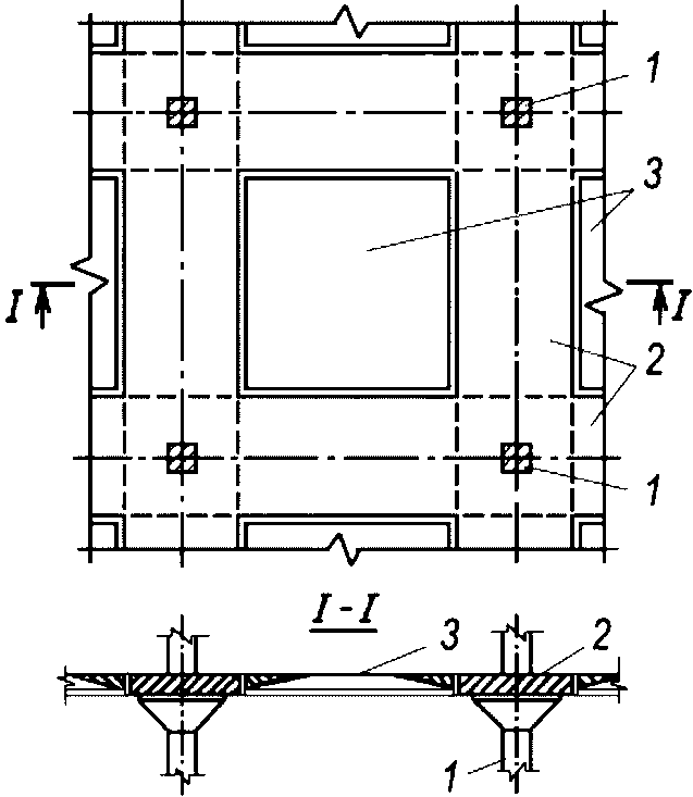
6.2 Сборно-монолитные пространственные конструкции
6.2.1 Сборно-монолитные конструкции покрытий и перекрытий следует проектировать с использованием в качестве несущей опалубки железобетонных или армоцементных тонкостенных элементов
(рисунок 6.2), обеспечивающих создание готовой поверхности потолка, удовлетворяющей архитектурно-конструктивным требованиям. Требования к проектированию армоцементных элементов несущей опалубки приведены в
СП 96.13330. Несущую опалубку пространственных конструкций следует рассчитывать на усилия от собственного веса, от веса уложенного монолитного бетона и монтажных нагрузок. Поверхность несущей опалубки, соприкасающаяся с монолитным бетоном, и выпуски арматуры должны обеспечивать совместную работу опалубки и монолитного бетона.
а - тонкостенный коробчатый железобетонный
или армоцементный элемент; б - деталь поперечного сечения
конструкции; 1 - монолитный бетон; 2 - выпуски арматуры
из несущей опалубки
Рисунок 6.2 - Сборно-монолитные оболочки с использованием
несущей железобетонной или армоцементной опалубки
6.2.2 При проектировании сборно-монолитных конструкций рекомендуется предусматривать сборные диафрагмы, бортовые элементы или ребра. Сборные диафрагмы и бортовые элементы следует изготовлять железобетонными - в том числе с несущей арматурой, и металлическими. Схема сборно-монолитной оболочки покрытия здания приведена на
рисунке 6.3.
1 - монолитная плита-оболочка; 2 - металлическая
или сборная железобетонная ферма-диафрагма
Рисунок 6.3 - Схема сборно-монолитной оболочки покрытия
Для обеспечения передачи контактных усилий между монолитным бетоном и сборными элементами в них рекомендуется предусматривать шпонки, упоры, выпуски арматуры и закладные детали (по
6.4).
6.2.3 Для снижения размеров поперечного сечения сборных элементов при проектировании рекомендуется предусматривать на время монтажа временные затяжки, опоры и другие подкрепляющие устройства. Выбирать бетон и арматуру рекомендуется с учетом условий изготовления, предусмотренных проектом производства работ (ППР) по
СП 70.13330.
6.2.4 При конструировании монолитных частей сборно-монолитных конструкций необходимо учитывать
6.1.1 -
6.1.6.
6.3 Сборные пространственные конструкции
6.3.1 Сборные пространственные конструкции рекомендуется проектировать из тонкостенных панельных, блочных (арочных) и других сборных элементов, которые после установки на место соединяются путем омоноличивания стыков и сварки закладных деталей и образуют своды, оболочки, складки и другие конструкции покрытий и перекрытий. Стыки сборных пространственных конструкций должны быть рассчитаны и сконструированы из условия надежной передачи от одного элемента к другому усилий, возникающих в соединении при монтаже (в стыках укрупненных элементов и при навесной сборке без лесов) и в процессе эксплуатации.
Форма и размеры элементов сборных конструкций должны удовлетворять требованиям расчета и назначаться с учетом технологии их изготовления, транспортирования и монтажа - в том числе монтажа блоками с применением укрупнительной сборки монтажных элементов на строительной площадке
(СП 70.13330).
Допускается применять крупноразмерные элементы, изготовляемые на строительной площадке, в большепролетных и других уникальных конструкциях, а также в случаях, когда это технически и экономически целесообразно.
При проектировании сборных пространственных конструкций и их элементов допускаемые отклонения от их номинальных размеров следует назначать согласно
ГОСТ 13015.
6.3.2 Очертание срединной поверхности сборных оболочек покрытий следует принимать с учетом удобства расчленения конструкции покрытия или перекрытия на минимальное число типов панелей и других элементов при максимальной их повторяемости. Например, для оболочек положительной гауссовой кривизны могут применяться поверхности вращения (сферическая, тороидальная) или круговая поверхность переноса.
В качестве сборных элементов пространственных конструкций покрытий и перекрытий рекомендуется использовать:
- плоские или цилиндрические панели, в том числе комплексные, повышенной готовности;
- диафрагмы и бортовые элементы в виде балок, арок, безраскосных и раскосных ферм, балок-стенок.
Балки и арки могут быть прямоугольного, таврового, двутаврового, пустотелого и других поперечных сечений. Растянутые и изгибаемые диафрагмы и бортовые элементы, а также панели длиной 12 м и более целесообразно проектировать с предварительно-напряженной арматурой, а в случае необходимости на период монтажа - с временными подкреплениями (по
6.2.3).
При конструировании сборных пространственных покрытий и перекрытий допускается и другое членение при соответствующем технико-экономическом обосновании, например, на панели, включающие части бортовых элементов или диафрагм.
Примеры членения основных сборных покрытий и перекрытий приведены на
рисунке 6.4.
6.3.3 Размеры поперечных сечений сборных элементов следует принимать не менее: по толщине плиты

; по высоте сечения основных ребер панелей
h - 1/20 их длины; по ширине сечения ребер панелей
b - 40 мм.
(в ред.
Изменения N 3, утв. Приказом Минстроя России от 11.12.2023 N 901/пр)
а - длинная цилиндрическая оболочка из панелей
размером 3 x 6 м, бортовых элементов и диафрагм,
монтируемая укрупненными элементами; б - то же, короткая
из плоских панелей размером 3 x 12 м и диафрагм;
в - оболочка вращения из трапециевидных криволинейных
или плоских панелей; г - шатровые складки из трапециевидных
и прямоугольных панелей; д - оболочки двоякой кривизны
из панелей размером 3 x 6 м, монтируемые укрупненными
элементами размером 3 x 18 м; е - волнистый свод
из плоских панелей; ж - шатровая висячая оболочка
(со средней опорой) из трапециевидных панелей; и - составная
оболочка из четырех гиперболических параболоидов, собранных
из неплоских панелей размером 3 x 9 м; к - стрельчатый
свод-оболочка из гиперболических панелей с торцевой
стенкой-диафрагмой; л - складчатое покрытие; 1 - панель;
2 - бортовой элемент; 3 - ферма-диафрагма;
4 - монтажный блок размером 3 x 18 м
Рисунок 6.4 - Примеры членения сборных
пространственных покрытий и перекрытий
Бортовые балочные элементы следует конструировать аналогичными типовым железобетонным балкам покрытий и перекрытий, а бортовые растянутые элементы оболочек положительной гауссовой кривизны - с предварительно-напряженной арматурой. Бортовые элементы с пролетами менее 20 м допускается конструировать без предварительного напряжения арматуры.
6.3.4 В местах действия краевых моментов и максимальных главных растягивающих напряжений допускается утолщение плиты, в том числе с помощью слоя монолитного бетона, укладываемого по сборным плитам. При этом должны быть предусмотрены необходимое дополнительное армирование монолитного слоя (например, в углах оболочек положительной гауссовой кривизны) и конструктивные и технологические мероприятия для обеспечения сцепления монолитного слоя со сборными панелями. Толщину плиты сборных элементов допускается принимать переменной - плавно изменяющейся между ребрами или ступенчатой, постоянной в пределах пролета.
6.3.5 В случае, когда арматуры, установленной в сборных элементах, недостаточно, следует предусматривать дополнительное армирование в виде предварительно напряженных поясов и отдельных элементов или стержней, укладываемых в процессе возведения конструкции. Предварительное напряжение такой арматуры следует осуществлять натяжением на бетон и последующим обетонированием. Стержни или сетки дополнительного армирования допускается укладывать в стыках между панелями и другими элементами (например, для обеспечения неразрезности в местах сопряжения соседних оболочек).
6.3.6 Сборные конструкции в виде панелей-оболочек, панелей-складок (размером, равным пролету между опорами покрытий или перекрытий зданий) следует проектировать исходя из условия, что их изготовляют, транспортируют и монтируют как готовые пространственные конструкции.
Соединения элементов при укрупнительной сборке следует проектировать простыми для выполнения без замоноличивания.
(в ред.
Изменения N 3, утв. Приказом Минстроя России от 11.12.2023 N 901/пр)
6.3.7 В комбинированных пространственных конструкциях покрытий плиты оболочки или складки выполняются из железобетона, а бортовые элементы, устройства для подвесных кранов и др. - из стальных ферм, балок и т.п. При проектировании комбинированных конструкций рекомендуется обеспечивать совместную работу железобетонных и металлических элементов покрытия или перекрытия.
6.4 Стыки сборных конструкций
6.4.1 Стыки конструкций должны быть надежны и просты при сборке и омоноличивании. Следует различать стыки расчетные, проектируемые для восприятия расчетных усилий, и конструктивные (например, омоноличенный стык между соседними панелями-оболочками КЖС). К конструктивным стыкам требование расчета по прочности не предъявляется.
6.4.2 Расчет стыков по прочности рекомендуется производить в зависимости от вида передаваемых через них усилий. Расчетные стыки оболочек, складок и многогранников следует конструировать со шпонками - для обеспечения передачи касательных, сжимающих или растягивающих усилий. При значении напряжения сцепления бетона замоноличивания с бетоном сборных элементов

, не превышающем значение 0,25
Rbt, в сжатых стыках допускается учитывать сопротивление трению.
(в ред.
Изменения N 3, утв. Приказом Минстроя России от 11.12.2023 N 901/пр)
6.4.3 В стыках железобетонных элементов со стальными диафрагмами и бортовыми элементами вместо шпонок в металлической конструкции следует предусматривать жесткие упоры
(рисунок 6.6) или стержневые анкеры. Жесткие упоры следует предусматривать также в стыках с железобетонными диафрагмами - в случае, если шпонок недостаточно для восприятия сдвигающих усилий.
а - сжатый стык панелей со сварными накладками; б - то же,
с перепуском арматуры; в - то же, с отгибами при наличии
сдвигающих усилий; г - растянутый стык; д - то же,
при наличии сдвигающих усилий; е - стык со сварной накладкой
и шпонками, работающий на сдвиг; ж - то же, испытывающий
сжатие с изгибом; и - стык панелей висячей оболочки
на ванте; к - стык панелей и диафрагмы смежных оболочек
и схема шпонки стыка; 1 - панель; 2 - закладная деталь;
3 - соединительная накладка; 4 - бетон замоноличивания;
5 - продольная арматура стыка; 6 - ванта в трубке с защитной
смазкой; 7 - диафрагма с выпусками арматуры;
8 - сварной шов; 9 - шпонки
Рисунок 6.5 - Схема стыков сборных конструкций
1 - стальной упор; 2 - шпонки; 3 - бетон замоноличивания
Рисунок 6.6 - Схема стыков железобетонных
и металлических элементов
6.4.4 Соединение арматуры в стыках следует осуществлять сваркой стержней с закладными деталями или между собой, а также путем перепуска концов стержней и сеток согласно
ГОСТ 14098 и
ГОСТ 10922. Для уменьшения длины перепуска арматурных стержней допускается их стыкование с помощью перепуска петель диаметром (или размером стороны) не менее 10
d с заделкой в шов каждой петли на длину не менее 15
d (
d - диаметр стыкуемых стержней). При расположении петель в вертикальной плоскости внутри петель по их периметру должны быть заложены продольные по стыку стержни (
рисунок 6.5,
г,
д). При расположении петель в горизонтальной плоскости к ним следует приваривать продольные стержни. Расчетные стыки на период монтажа допускается проектировать без омоноличивания, предусматривая передачу возникающих в них усилий через соединительные металлические детали (
рисунок 6.5,
ж).
Металлические детали стыков должны быть защищены от коррозии согласно
СП 28.13330.
6.4.5 Размер ширины стыков следует назначать с учетом допусков для размеров собираемых элементов и принимать равным не менее 40 мм и не более 150 мм.
(в ред.
Изменения N 3, утв. Приказом Минстроя России от 11.12.2023 N 901/пр)
Прочность бетона сборных элементов при местном сжатии в стыке должна быть обеспечена.
Ширина раскрытия трещин на уровне арматуры должна быть не более допустимой по
СП 63.13330.
6.4.6 Для сокращения размеров и числа закладных деталей и стержней, проектируемых в стыке, а также для упрощения работ по стыкованию арматуры, допускается основную арматуру в элементах и в стыках покрытий сосредоточивать на отдельных участках в зоне ребер, пересекаемых стыком, а при отсутствии ребер - на участках протяженностью в 5 - 10 толщин плиты при расстоянии между участками в 10 - 20 толщин плиты.
6.4.7 В стыках элементов, работающих на растяжение или изгиб, все растягивающие усилия должны быть восприняты арматурой, предусматриваемой специально или являющейся продолжением основной арматуры ребер стыкуемых элементов.
(в ред.
Изменения N 3, утв. Приказом Минстроя России от 11.12.2023 N 901/пр)
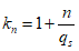
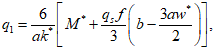
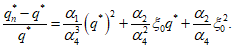
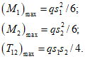
В стыках, воспринимающих касательные усилия сдвига с помощью шпонок, размеры выступов и углублений, образуемых в бетоне сборных элементов и в бетоне замоноличивания, должны удовлетворять расчету шпонок на смятие Q1 и срез Q2 по формулам:
Q1 <= Rblktknk; (6.1)
где Rb, Rbt - расчетные сопротивления бетона сборных элементов или бетона омоноличивания соответственно при осевом сжатии и растяжении;
lk,
hk,
tk - длина, высота и глубина шпонок (
рисунок 6.5,
и).
Если через стык передаются местные сдвигающие усилия, то шпонки учитывают только в зоне действия этих усилий, при этом две крайних шпонки не учитывают.
Гибкие выпуски арматуры и соединения закладных деталей, расположенные перпендикулярно к оси стыка, не следует учитывать в расчете на усилия сдвига. Их устанавливают для восприятия возможных растягивающих усилий, перпендикулярных к оси шва, и по конструктивным соображениям. Если такое армирование может полностью воспринимать данные растягивающие усилия, то в
формуле (6.2) вместо 2
Rbt допускается принимать 3
Rbt.
(в ред.
Изменения N 3, утв. Приказом Минстроя России от 11.12.2023 N 901/пр)
Если шпоночный шов обжат усилием N, перпендикулярным к плоскости шва, то высоту шпонки допускается определять по формуле

(6.3)
и принимать уменьшенной против высоты, определенной по
формуле (6.2), но не более чем в два раза.
6.5.1 Отверстия и проемы различной формы в тонкостенных пространственных конструкциях допускается устраивать в пределах расстояния между диафрагмами или ребрами жесткости. Световые проемы могут также устраиваться с перепадом поверхностей покрытия или путем раздвижки оболочек, складок или сводов.
При больших размерах проемов в плите

рекомендуется в пределах проема предусматривать распорки и раскосы, которые вместе с окаймляющими ребрами образуют раму или ферму, способную воспринимать нормальные и касательные или только нормальные усилия. Допускается применение специальных металлических конструктивных элементов, обеспечивающих прочность и жесткость железобетонных элементов оболочек с отверстиями и поддерживающих светопрозрачные панели.
(в ред.
Изменения N 1, утв. Приказом Минстроя России от 20.11.2019 N 701/пр)
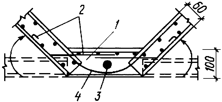
6.5.2 В сборных оболочках и сводах, изготовляемых с применением линейных железобетонных элементов, с большой площадью световых проемов, располагающихся между арками и продольными ребрами, рекомендуется устройство в проемах самоуравновешенных напрягаемых систем
(рисунок 6.7).
а - оболочка; б - свод с применением линейных элементов;
1 - самоуравновешенная напрягаемая система; 2 - арка;
3 - продольное ребро; 4 - сборные плиты; 5 - затяжка
Рисунок 6.7 - Сборные покрытия с большой площадью
световых проемов
Минстроя России от 20.11.2019 N 701/пр)
Самоуравновешенная напрягаемая система
(рисунок 6.8) располагается в имеющей форму ромба ячейке, образованной контурными элементами, и включает верхние и нижние наклонные стержни, соединяющие углы ячейки с концами центральной металлической стойки. Заданный уровень растяжения в наклонных стержнях создается изменением длины стойки с помощью натяжного устройства или съемного домкрата. Указанная система, обладая высокой жесткостью благодаря созданному в ней преднапряжению, совмещает функции опоры для светопрозрачного покрытия и элемента жесткости плиты по краю проема.
1 - контурный элемент; 2 - наклонный стержень;
3 - центральная стойка; 4 - домкрат
Рисунок 6.8 - Световой проем с напрягаемой системой
(п. 6.5.2 в ред.
Изменения N 1, утв. Приказом Минстроя России от 20.11.2019 N 701/пр)
6.5.3 Отверстия в плите оболочек и складок с размером сторон (или диаметром) не более

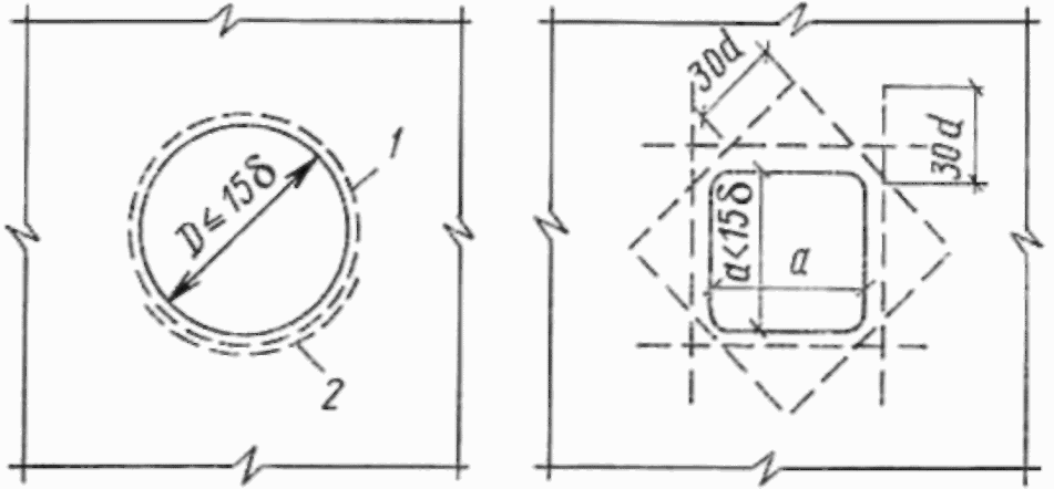
допускается устраивать без специального утолщения края плиты, но с установкой конструктивной арматуры, окаймляющей отверстие, диаметром не менее 8 мм при

.
Отверстия рекомендуется проектировать круглыми, овальными или многоугольными с округлением углов радиусом

.
6.5.4 В зоне отверстий плиты размером более

края ее полки должны выполняться с утолщением и армированием
(рисунок 6.9), устанавливаемыми расчетами. Утолщение следует принимать высотой

, шириной

и площадью сечений бетона и арматуры не менее чем площадь сечения бетона и арматуры в поперечном сечении вырезанной части плиты. Утолщения вокруг отверстий, устраиваемых в растянутых полках, должны содержать количество арматуры, достаточное для восприятия усилия, приходящегося на вырезанную часть полки.
1 - арматура; 2 - стык арматуры с перепуском
на 30d или равнопрочный сварной стык
Рисунок 6.9 - Окаймляющее армирование вокруг отверстий
6.6.1 В пространственных покрытиях и перекрытиях следует предусматривать их разрезку постоянными и временными температурно-усадочными швами, расстояние между которыми назначают в зависимости от климатических условий, конструктивных особенностей сооружения, последовательности производства работ и т.п. Кроме того:
- в многопролетных покрытиях следует устраивать деформационные швы между парными бортовыми элементами
(рисунок 6.10);
- в складчатых и волнистых сводчатых покрытиях деформационные швы, с целью повышения их водонепроницаемости, рекомендуется проектировать на гребне у складки или волны свода;
- температурно-усадочные деформации пространственных конструкций должны компенсироваться за счет гибких или качающихся колонн, а также шарнирно подвижных или упруго-деформируемых (полимерных прокладок) опорных устройств. При больших (100 м и более) пролетах применяют свободно податливые опоры при условии неподвижного закрепления покрытия не менее чем в двух точках по сторонам контура или в углах;
(в ред.
Изменения N 3, утв. Приказом Минстроя России от 11.12.2023 N 901/пр)
- деформационные швы покрытия должны совпадать со швами, перерезающими стены, если специально не предусмотрены мероприятия для независимого деформирования стен и покрытия.
а - в направлении l2; б - в направлении l1;
1 - бортовая балка; 2 - ферма-диафрагма;
3 - оболочка; 4 - колонна; 5 - шов
Рисунок 6.10 - Пример решения температурного шва
6.6.2 Покрытия с круглой или с полигональной формой в плане (оболочки вращения, складчатые купола и т.п.) диаметром более 40 м, в которых не могут быть предусмотрены деформационные швы, должны опираться по контуру на гибкие колонны или подвижные опоры в радиальном направлении, допускающие компенсацию температурных и усадочных деформаций.
6.6.3 В распорных покрытиях пролетом более 40 м, опирающихся жестко или шарнирно непосредственно на фундаменты, температурно-усадочные деформации следует учитывать как при расчете, так и при конструировании.
7.1 Своды представляют собой несущую железобетонную пространственную конструкцию покрытия в виде изогнутой вдоль оси гладкой или волнистой плиты, обладающей распором и работающей на сжатие с изгибом.
Сводчатые покрытия прямоугольных в плане однопролетных или многопролетных зданий следует проектировать из сборных железобетонных элементов или монолитного железобетона с опиранием по продольным краям (вдоль образующей) на колонны, стены или непосредственно на фундаменты.
(в ред.
Изменения N 3, утв. Приказом Минстроя России от 11.12.2023 N 901/пр)
Распор сводов воспринимается затяжками
(рисунок 7.1) из стали или железобетона, поперечными стенами, рамами, контрфорсами или фундаментами
(рисунок 7.2). При проектировании сводов следует учитывать податливость элементов или конструкций, воспринимающих распор. Для снижения податливости поперечных стен, контрфорсов и фундаментов следует предусматривать затяжки, расположенные ниже уровня пола.
Для большепролетных покрытий с требуемой большой площадью световых проемов целесообразно применять сборные своды с использованием линейных элементов из высокопрочного бетона по
7.42 -
7.44.
(абзац введен
Изменением N 1, утв. Приказом Минстроя России от 20.11.2019 N 701/пр)
7.2 Очертание свода следует принимать по дуге окружности, параболы, цепной линии или других, близких к ним кривым. Своды призматического (полигонального) очертания состоят из прямолинейных участков, вписанных в дугу указанных выше кривых.
Очертание сводов, секции которых состоят из трех и большего числа элементов, для сокращения числа типоразмеров элементов рекомендуется принимать по дуге окружности.
7.3 Стрелу подъема сводов (в ключе) в зависимости от назначения и размеров перекрываемого помещения, способов восприятия распора, архитектурных требований и других условий рекомендуется принимать в пределах от 1/2 до 1/10 длины перекрываемого пролета.
Рисунок 7.1 - Своды с затяжками
Рисунок 7.2 - Своды без затяжек
7.4 По форме поперечного сечения (вдоль образующей) сводчатые покрытия делятся на цилиндрические (с прямолинейной образующей верхней поверхности), складчатые и волнистые. Придание поперечному сечению сводов складчатого (треугольного, трапециевидного) или волнистого очертания
(рисунок 7.3) повышает несущую способность сводчатых покрытий и позволяет существенно увеличивать их пролет.
а - цилиндрические своды; б - складчатые своды
(типы 1 и 2); в - волнистые своды (типы 1, 2, 3)
Рисунок 7.3 - Поперечные сечения сводчатых покрытий
По условиям изготовления элементов сборных сводчатых покрытий, удобству укладки утеплителя и устройства кровли предпочтительны цилиндрические и складчатые очертания сводов.
Сборные элементы сводчатых покрытий рекомендуется изготовлять с пароизоляционным слоем, утеплителем и слоем кровельного ковра.
7.5 Складчатые и волнистые своды допускается проектировать без устройства температурно-усадочных швов, при этом продольный каркас здания, служащий опорой для сводов, должен быть рассчитан на температурные воздействия. В случае необходимости устройства деформационных швов в каркасе здания в сводах между складками или волнами также следует устраивать деформационные швы, перекрываемые компенсаторами.
Складки или волны сводов, примыкающие к деформационным швам, следует конструировать с затяжками-распорками, диафрагмами и т.п., исключающими возможность деформации контура их поперечного сечения.
7.6 При устройстве в сводчатых покрытиях проемов для зенитных светоаэрационных фонарей, вытяжных шахт и других проемов следует учитывать
6.5. Допускается подвешивать к сводам кран-балки или другое грузоподъемное оборудование, а также трубопроводы, площадки и т.п. При этом сосредоточенные нагрузки рекомендуется прикладывать в местах расположения подкрепляющих ребер и переломов поверхности свода.
7.7 Своды следует проектировать из тяжелого или легкого бетона. Проектные классы бетонов следует назначать по расчету с учетом
раздела 5. Швы между сборными элементами сводчатых покрытий следует проектировать с омоноличиванием мелкозернистым бетоном класса по прочности на сжатие не менее B15.
7.8 Монолитные своды следует проектировать преимущественно цилиндрическими, с очертанием, близким к кривой давления от постоянной нагрузки. В сводах пролетом более 12 м следует предусматривать подкрепляющие ребра, расположенные в направлении перекрываемого сводом пролета. При проектировании монолитных сводов следует учитывать
подраздел 6.1.
7.9 Расчет сводов рекомендуется производить как двухшарнирные или трехшарнирные (при наличии шарнирного стыка в ключе свода) тонкостенные арки. Расчет следует производить для секции цилиндрического свода, складки или волны складчатого или волнистого свода. При этом сечение складок или волн принимается недеформируемым. Особенности работы крайних волн сводов в поперечном направлении следует учитывать по
7.20.
Своды по предельным состояниям следует рассчитывать по
СП 63.13330 и с учетом
4.2. При расчете сводов значения нагрузок и воздействий принимают согласно
СП 20.13330. При расчете элементов, воспринимающих опорные реакции сводов (затяжки, опорные фермы, контрфорсы и т.п.), снеговую нагрузку следует принимать равномерно распределенной по всему пролету свода.
Сосредоточенные нагрузки от подвесного оборудования и полосовые нагрузки допускается учитывать при расчете только тех складок или волн свода, к которым они непосредственно приложены, - без учета их взаимодействия со смежными складками или волнами.
Расчет сборных сводов с использованием линейных элементов следует выполнять методом конечных элементов с моделированием всех элементов конструктивной системы по
7.42 -
7.44. В расчетной модели допускается предусматривать жесткое соединение сборных элементов каркаса свода в узлах. Опирание бортового элемента на колонны следует принимать шарнирным при условии обеспечения такого конструктивного решения в проекте.
(абзац введен
Изменением N 1, утв. Приказом Минстроя России от 20.11.2019 N 701/пр)
Расчет напряженно-деформированного состояния свода допускается выполнять в линейной постановке. Следует рассматривать действие на свод снеговых нагрузок по двум схемам распределения в соответствии с требованиями
СП 20.13330 для сводчатых покрытий. При этом для каждой из расчетных комбинаций нагрузок следует выполнить проверку общей устойчивости свода.
(абзац введен
Изменением N 1, утв. Приказом Минстроя России от 20.11.2019 N 701/пр)
Расчет сборных сводов с использованием линейных элементов следует выполнять методом конечных элементов с моделированием всех элементов конструктивной системы по
7.42 -
7.44. В расчетной модели допускается предусматривать жесткое соединение сборных элементов каркаса свода в узлах. Опирание бортового элемента на колонны следует принимать шарнирным при условии обеспечения такого конструктивного решения в проекте.
(абзац введен
Изменением N 2, утв. Приказом Минстроя России от 20.12.2021 N 966/пр)
Расчет напряженно-деформированного состояния свода допускается выполнять в линейной постановке. Следует рассматривать действие на свод снеговых нагрузок по двум схемам распределения в соответствии с требованиями
СП 20.13330 для сводчатых покрытий. При этом для каждой из расчетных комбинаций нагрузок следует выполнять проверку общей устойчивости свода.
(абзац введен
Изменением N 2, утв. Приказом Минстроя России от 20.12.2021 N 966/пр)
Расчет сборных сегментных сводов из панелей-оболочек следует выполнять методом конечных элементов с учетом геометрической и конструктивной нелинейности работы в соответствии с
14.2.3 -
14.2.5. В расчетной модели жесткость диафрагм панелей-оболочек следует принимать переменной по длине панели. Узловые соединения панели и опорные узлы свода по
14.2.9 следует моделировать шарнирными с проверкой прочности элементов узла при конструировании. В сегментных сводах из трех панелей-оболочек система связей выполняется соответствующей моделируемой стадии работы конструкции - монтажной или эксплуатационной.
(абзац введен
Изменением N 2, утв. Приказом Минстроя России от 20.12.2021 N 966/пр)
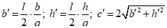
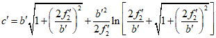
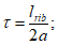
7.10 При расчете сводов постоянного сечения со стрелой подъема
f >
l/8 следует учитывать дополнительную нагрузку
gx, вызываемую уклоном покрытия в сечениях на расстоянии
x от опоры, которая увеличивается в направлении от ключа к пятам
(рисунок 7.4) по кривой и определяется по формуле

(7.1)
где
g - постоянная нагрузка в ключе свода; на опоре свода
gx =
g1 (рисунок 7.4);

- угол наклона касательной к оси свода в рассматриваемом сечении.
При очертании оси сводов по дуге окружности
(рисунок 7.4) значения
R0,

,
y,
s следует определять по формулам:

(7.2)

(7.3)

(7.4)

(7.5)
Рисунок 7.4 - Расчетная схема свода
При расчете складчатых сводов с треугольным очертанием поперечного сечения, распор которых воспринимается затяжками, расположенными в двух уровнях (по
7.24), следует принимать, что усилия между затяжками распределяются равномерно, а равнодействующая усилий в затяжках расположена в середине расстояния между ними по высоте.
7.11 Формулы для определения опорных реакций в двухшарнирной арке при равномерно распределенной нагрузке, при нагрузке, увеличивающейся к пятам (по
7.10) и при односторонней нагрузке, с учетом влияния смещения опор и упругого обжатия арки на значение распора приведены в
таблице 7.1.
Схема нагрузки | Вертикальные реакции | Распор |
| VA = VB = gl/2 | H = kgl2/(8f) |
| VA = VB = m1g1l | H = m2kg1l |
| VA = 3pl/8 VB = pl/8 | H = kpl2/(16f) |
f/l | m1 | m2 | f/l | m1 | m2 |
1/2 | 0,061 | 0,007 | 1/5 | 0,142 | 0,093 |
1/3 | 0,099 | 0,031 | 1/6 | 0,15 | 0,116 |
1/4 | 0,127 | 0,061 | 1/7 | 0,155 | 0,15 |
Нагрузку
g1 в опорном сечении следует определять по
формуле (7.1), принимая угол

равным углу наклона элементов свода, примыкающих к опорам.
Коэффициент k, учитывающий влияние смещения пят вследствие упругого удлинения затяжек и обжатия сводов на значение распора, следует определять по формуле

(7.6)
где I и A - момент инерции и площадь поперечного сечения складки или волны свода;
At и Et - площадь поперечного сечения и модуль упругости стальных затяжек в пределах одной складки или волны свода; для железобетонных затяжек при нагрузках, действующих после их замоноличивания, следует учитывать работу бетона с трещинами;
n - коэффициент, принимаемый в зависимости от подъема свода по
таблице 7.3;
f/l | | Коэффициент n | f/l | | Коэффициент n |
1/2 | 1,57l | - | 1/6 | 1,07l | 0,881 |
1/3 | 1,28l | 0,696 | 1/7 | 1,05l | 0,911 |
1/4 | 1,16l | 0,785 | 1/8 | 1,04l | 0,931 |
1/5 | 1,1l | 0,843 | 1/9 | 1,03l | 0,942 |
| | | 1/10 | 1,02l | 0,952 |
<*> Свод очерчен по дуге окружности. |
E' - модуль деформаций бетона с учетом ползучести и податливости швов между панелями или элементами свода, определяемый по формуле

(7.7)
здесь Eb - начальный модуль упругости бетона;
lp - ширина панели или длина элемента свода в направлении перекрываемого пролета, м;
hp - толщина приведенного сечения панели (по
7.14) или элемента свода;
hs - высота замоноличенного шва.
При восприятии распора сводов контрфорсами, фундаментами, поперечными стенами или другими конструкциями значение коэффициента k следует определять по формуле

(7.8)
где

- горизонтальное смещение пяты свода при единичном значении распора
H.
При расчете на температурные воздействия распор сводов H следует определять по формуле

(7.9)
где

- коэффициент линейного расширения бетона;
t1 > 0 и t2 > 0 - температура свода и затяжки соответственно, °C.
При определении распора от собственного веса панелей или элементов сборных сводчатых покрытий следует принимать с = 1. Для сводов со стрелой подъема f >= l/3 коэффициент k при всех нагрузках допускается не учитывать.
7.12 Изгибающие моменты M и нормальные силы N в поперечных сечениях складок или волн сводов следует определять по формулам:

(7.11)
где M0 и Q0 - изгибающий момент и поперечная сила в соответствующем сечении однопролетной балки пролетом l;
H - распор складки или волны свода;
y - ордината оси свода в рассматриваемом сечении.
7.13 Прочность сводов при внецентренном сжатии следует проверять в сечениях, расположенных в четвертях пролета, в которых при односторонней снеговой нагрузке возникают максимальные положительный и отрицательный изгибающие моменты.
При наличии сосредоточенных нагрузок следует проверять прочность сечений с наибольшими изгибающими моментами.
7.14 При расчете складки свода (
рисунок 7.3,
б, тип 1) принимается ее приведенное поперечное сечение
(рисунок 7.5), эквивалентное фактическому по площади и моменту инерции. Толщина приведенного сечения панелей свода в их средней части определяется путем деления площади поперечного сечения, расположенной между осями смежных поперечных ребер, на расстояние между ребрами в осях.
а - сечение панели свода; б - приведенное сечение панели;
в - приведенное сечение складки свода
Рисунок 7.5 - Пример построения
приведенного поперечного сечения складки свода
Приведенное поперечное сечение складки свода принимается путем суммирования толщины двух панелей по горизонтальному сечению.
7.15 Высоту поперечного сечения складок свода
h (
рисунок 7.3,
б, тип 1) следует определять из условия, чтобы установленное по деформированной схеме согласно
СП 63.13330 значение эксцентриситета приложения нормальной силы относительно центра тяжести сечения не превышало 0,7
y, где
y - расстояние от центра тяжести сечения до его края в сторону эксцентриситета. При соблюдении этого условия расчет сечений производят как для внецентренно сжатых бетонных элементов без учета сопротивления растянутой зоны. При этом в растянутой зоне сечения, согласно
СП 63.13330, должна быть установлена конструктивная арматура. С учетом знакопеременных изгибающих моментов конструктивную арматуру следует устанавливать в панелях у верхнего и нижнего краев поперечного сечения складки.
В случае, если при соблюдении условия

прочность складки окажется недостаточна, рекомендуется увеличивать высоту ее поперечного сечения или устанавливать рабочую арматуру. Рабочую арматуру в панелях следует устанавливать по краям поперечного сечения складки и сечение складки рассчитывать как железобетонное.
7.16 При расчете складчатых (
рисунок 7.3,
б) и полигональных
(7.22) сводов следует учитывать дополнительный положительный изгибающий момент
M1, возникающий вследствие прямолинейности участков складки или элементов полигональных сводов и определяемый по формуле
(рисунок 7.6)
M1 = Ne1, (7.12)
где e1 - эксцентриситет, определяемый по формуле

(7.13)
R0 - радиус оси свода;

- центральный угол, ограничивающий края прямолинейного элемента складки.
Рисунок 7.6 - Эксцентриситет приложения нормальной силы
на прямолинейных участках складки
7.17 Расчетную длину свода l0 в направлении перекрываемого пролета принимают равной:
- 0,54S для двухшарнирных сводов l0;
- 0,58S для трехшарнирных сводов l0,
7.18 Ребристые панели складчатого свода
(7.24) следует рассчитывать на изгиб от местной постоянной и снеговой нагрузок по короткому пролету, принимая, что панели шарнирно оперты в местах стыков между ними - по линиям переломов очертания складок. Расчетом определяется сечение арматуры в поперечных ребрах панелей. Сечение арматуры в продольных ребрах рекомендуется определять из условия прочности панелей при транспортировании и монтаже.
Сплошные опорные панели (
7.23 и
7.24) рассчитывают на изгиб в своей плоскости как балки-стенки на двух опорах от равномерно распределенных по сечению складки нормальных сжимающих сил. При этом принимают, что опоры панелей - затяжки сводчатого покрытия
(рисунок 7.7).
Значение растягивающего усилия в рабочей арматуре Ns, устанавливаемой у примыкающего к фермам продольного края панелей, допускается определять по формуле
Ns = 0,2ql, (7.14)
где ql - нормальное усилие, воспринимаемое опорной панелью между затяжками.
Рисунок 7.7 - Расчетная схема опорной панели
Сечение арматуры в каркасах опорных панелей и расстояние между каркасами в обоих направлениях следует определять по расчету на поперечную силу и на раскрытие трещин.
7.19 Опорные фермы
(7.26) следует рассчитывать на нагрузку от вертикальной опорной реакции складки свода. В расчетах принимают, что половина опорной реакции приложена в виде сосредоточенной силы в коньковом узле фермы, в котором закреплена верхняя пара затяжек, а другая половина передается непосредственно на колонны, над которыми установлены нижние затяжки. При расчете верхнего пояса фермы следует учитывать также распределенную нагрузку его собственного веса и нагрузки, передаваемые опорными панелями и плитами продольного карниза.
Опорную ферму допускается рассчитывать как раму с затяжкой с учетом жесткости конькового узла.
7.20 Жесткость поперечных сечений крайних складок или волн сводов, примыкающих к торцевым стенам и к деформационным швам, должна обеспечиваться затяжками-распорками
(7.30), диафрагмами, ребрами или другими конструктивными мероприятиями.
7.21 Расчетные усилия в элементах сводов от нагрузок и воздействий в период изготовления, транспортирования и монтажа определяют с учетом
4.2.2.
Конструирование сборных сводов
Конструирование цилиндрических и призматических (полигональных) сводов
7.22 Сборные цилиндрические своды проектируют из цилиндрических ребристых плит, а полигональные своды - из плоских ребристых плит.
При членении цилиндрических сводов по поперечному сечению на два элемента их следует проектировать трехшарнирными. При большем числе сборных элементов своды проектируются двухшарнирными.
(в ред.
Изменения N 3, утв. Приказом Минстроя России от 11.12.2023 N 901/пр)
Разновидность цилиндрических сводов - сегментные своды, очертание которых геометрически описывается дугой окружности. Сборные сегментные своды выполняются из элементов постоянного или переменного поперечного сечения, включая элементы в форме панелей-оболочек на пролет. Сегментные своды, собираемые из панелей-оболочек КЖС, проектируются согласно
14.2.
(в ред.
Изменения N 2, утв. Приказом Минстроя России от 20.12.2021 N 966/пр)
7.23 Полигональные своды рекомендуется проектировать из ребристых плит, изготовляемых в формах для типовых плит с размерами сторон 1,5 x 6 м или 3 x 6 м (
рисунок 7.8,
а,
б). Ребра плит по краям каждой монтажной секции должны обеспечивать прочность и жесткость свода.
а - свод из секций шириной 6 м; б - то же, шириной
1,5 - 3 м; в - опорный узел; г - свод из складчатых
ребристых панелей; 1 - рядовые панели; 2 - опорные панели;
3, 4 - предварительно-напряженные железобетонные
или стальные затяжки; 5 - подвески; 6 - накладки;
7 - отверстие для затяжки
Рисунок 7.8 - Полигональные своды из ребристых плит
Допускается применение складчатых панелей с переломами поверхности полки и изломами ребер в продольном направлении для образования конструкции трехшарнирного свода (
рисунок 7.8,
г).
В полигональных сводах к стержням рабочей арматуры ребер в углах панелей следует приваривать закладные детали, которые в пределах каждой секции должны соединяться между собой накладками, обеспечивающими непрерывность армирования ребер в пределах всего перекрываемого пролета.
Торцы плит, примыкающих к опорам, должны быть запроектированы с учетом устройства отверстий для пропуска затяжек и образования плоскостей для опирания сводов на опорные конструкции (
рисунок 7.8,
в).
При проектировании цилиндрических и полигональных сводов рекомендуется предусматривать возможность их монтажа укрупненными элементами, длина которых равна длине перекрываемого пролета.
Конструирование складчатых сводов
Своды с треугольным поперечным сечением складок
7.24 Складчатые своды с треугольным очертанием сечения (
рисунок 7.3,
б, тип 1) рекомендуется проектировать из трапециевидных, а также прямоугольных железобетонных ребристых панелей с плоской верхней поверхностью
(рисунок 7.9).
а - общий вид; б - рядовая панель; в - опорная панель;
1 - рядовые панели; 2 - опорные панели; 3 - опорные фермы;
4 - затяжки; 5 - закладные швеллеры, усиленные пластиной;
6 - закладные уголки; 7 - закладные пластинки;
8 - отверстия для строповки панелей и установки
бандажей; 9 - плиты торцевого карниза
Рисунок 7.9 - Конструкция складчатого свода
Ширину b примыкающих друг к другу тонкостенных складчатых арок (складок), образующих свод, принимают в соответствии с шагом несущих колонн, равной 6 - 12 м. В общественных зданиях ширину складок допускается принимать равной 3 м, если это необходимо по архитектурным соображениям.
(в ред.
Изменения N 3, утв. Приказом Минстроя России от 11.12.2023 N 901/пр)
Высоту поперечного сечения складок h следует принимать от 1/4 до 1/10 их ширины. При увеличении высоты поперечного сечения складок возрастает несущая способность сводов и обеспечивается возможность перекрытия ими больших пролетов.
7.25 Сборные панели для складчатых сводов
(рисунок 7.9) следует проектировать с учетом изготовления их в стальных формах по поточно-агрегатной технологии. Толщину плит и шаг поперечных ребер следует определять расчетом. Ребра панелей следует армировать сварными арматурными каркасами с рабочей арматурой класса А500, полку толщиной 30 мм армируют сварной сеткой из арматурной проволоки периодического профиля класса В500, диаметром 3 - 4 мм, с размером ячейки 200 x 200 мм. Высоту ребер и толщину полки панелей рекомендуется принимать одинаковыми независимо от пролета сводов и стрелы их подъема в ключе. Длину панелей принимают в зависимости от высоты поперечного сечения складки
(7.24), ширину панелей, транспортируемых горизонтально, принимают не более 3000 мм, а для панелей, транспортируемых в положении "на ребро", - не более 3200 мм.
(в ред.
Изменения N 3, утв. Приказом Минстроя России от 11.12.2023 N 901/пр)
При конструировании панели с проемом для зенитного фонаря края проема следует усиливать ребрами, расположенными в направлении действия основных усилий в складках сводов. Опорные панели вследствие концентрации усилий в местах расположения затяжек или других элементов, воспринимающих распор сводов, следует проектировать сплошными.
При необходимости (в сводах значительных пролетов) распределения на большую площадь усилий, возникающих в местах закрепления затяжек, допускается устройство сплошных участков ребристых панелей, примыкающих к опорным панелям свода. Необходимость устройства сплошных участков панелей устанавливается расчетом
(7.18).
Все панели складчатого свода, за исключением опорных, рекомендуется принимать с одинаковыми опалубочными размерами.
7.26 При опирании сводов на колонны в качестве бортовых элементов рекомендуется использовать треугольные фермы (
рисунок 7.10,
а) с железобетонным верхним поясом и нижним поясом из стальных прокатных профилей или из железобетона с предварительно-напряженной арматурой.
а - опорная ферма; б - примыкание к ферме опорных панелей
и плит продольного карниза; 1 - консоль для опирания
торцевого карниза у ферм, установленных в крайних пролетах;
2 - швеллеры; 3 - пластина; 4 - закладные пластины;
5 - отверстия для затяжек; 6 - накладка; 7 - подвеска;
8 - опорная панель; 9 - плита продольного карниза;
10 - закладные уголки; 11 - анкер; 12 - фиксатор
(стержень, l = 80 - 100 мм)
Рисунок 7.10 - Конструкция опор складчатого свода,
распор которого воспринимается затяжками
7.27 В сводах, опираемых на колонны или продольные стены, распор каждой складки шириной 12 м рекомендуется воспринимать четырьмя затяжками из круглой стали классов С345 - С390 или из арматуры классов А400 и А500. Затяжки следует располагать попарно в двух уровнях на расстоянии 6 м друг от друга и пропускать сквозь отверстия в коньковых и опорных узлах ферм (
рисунок 7.10,
а).
При расположении опор свода в уровне земли бортовыми элементами могут служить ленточные фундаменты (сборные или монолитные) с верхней наклонной гранью, перпендикулярной к оси свода в опорном сечении.
В сводах, опирающихся непосредственно на фундаменты, допускается устройство проемов для ворот в пределах ширины одной складки свода. При этом для восприятия усилий, возникающих в ослабленных проемами складках, должны быть предусмотрены контрфорсы, перемычки или другие элементы, окаймляющие проем.
7.28 Стыки между элементами складчатого свода рекомендуется проектировать с применением монтажных вставок в виде коротких стержней из круглой стали диаметром 20 мм, привариваемых при монтаже к закладным уголкам и пластинам, расположенным вдоль продольных краев панелей. Монтажные вставки фиксируют ширину швов между панелями, что обеспечивает необходимую точность монтажа.
7.29 При проектировании складчатых сводов следует предусматривать монтаж из укрупненных блоков, состоящих из двух или четырех панелей - в зависимости от грузоподъемности монтажных кранов. Укрупненные блоки собираются на кондукторе из панелей, соединяемых на гребне складок накладками из листовой стали. Конструкцию укрупненных монтажных блоков рекомендуется проектировать с учетом обеспечения их неизменяемости при монтаже, например, временными затяжками.
(в ред.
Изменения N 3, утв. Приказом Минстроя России от 11.12.2023 N 901/пр)
Конструкцию свода и укрупненных монтажных блоков рекомендуется проектировать с учетом сборки складок с помощью инвентарного передвижного кондуктора
(рисунок 7.11). Распалубка складок может производиться после достижения бетоном швов кубиковой прочности, равной 0,2 МПа.
1 - укрупненные монтажные блоки
Рисунок 7.11 - Схема инвентарного передвижного кондуктора
для монтажа свода
7.30 В крайних складках сводов, примыкающих к торцам перекрываемых зданий, в плоскости швов между панелями через каждые две панели, но не более чем через 7 м, следует устанавливать поперечные жесткие затяжки-распорки из двух уголков, предельная гибкость которых должна быть не более 200. Конструкция примыкания складок к торцевым стенам не должна препятствовать их вертикальным перемещениям.
7.31 В многопролетных сводах рекомендуется применять опорные фермы, воспринимающие опорные реакции сводов двух смежных пролетов. Плоскости верхних поясов ферм, к которым примыкают опорные панели сводов, с обеих сторон должны быть наклонными. Затяжки в опорных фермах смежных пролетов рекомендуется закреплять в соответствии с
рисунком 7.12.
1 - опорные панели; 2 - муфта; 3 - труба или полый
цилиндр; 4 - стержень с резьбой на двух концах
Рисунок 7.12 - Закрепление затяжек смежных пролетов
в опорных фермах
7.32 В сводах пролетом не более 24 м при ширине складок 6 м и высоте их поперечного сечения не более 1 м складки следует проектировать с двумя затяжками, расположенными в одном уровне в опорном сечении.
7.33 Подвески, воспринимающие усилия от грузоподъемного оборудования (кран-балок, тельферов, транспортерных галерей и т.п.), рекомендуется крепить к накладкам из листовой стали, соединяющим панели на гребнях складок.
Своды с трапециевидным поперечным сечением складок
7.34 В сводах с трапециевидным очертанием поперечного сечения складок (
рисунок 7.3,
б, тип 2 и
рисунок 7.13) ширину складок
b, исходя из условия транспортирования элементов, рекомендуется принимать не более 3 м, высоту поперечного сечения
h - от 1/4 до 1/6
b и ширину горизонтальных полок
b1 - от 1/8 до 1/10
b в зависимости от длины перекрываемого пролета. Длину прямолинейных элементов сводов рекомендуется принимать в пределах от 2 до 6 м.
Рисунок 7.13 - Трапециевидное поперечное сечение
элемента свода
7.35 Толщину горизонтальных полок по верхнему и нижнему краям поперечного сечения элементов сводов, в которых устанавливается рабочая или конструктивная арматура, рекомендуется принимать не менее 60 мм, а толщину боковых наклонных граней, армируемых сетками из обыкновенной арматурной проволоки, - не менее 30 мм.
7.36 Соединение трапециевидных элементов складок рекомендуется выполнять с помощью сварки закладных деталей на торцевых частях элементов и последующего замоноличивания швов мелкозернистым бетоном. Для стыкования продольной арматуры, расположенной в полках складок, предусматривают закладные пластины, приваренные к концам арматурных стержней.
7.37 Сводчатые покрытия пролетом до 24 м с трапециевидным поперечным сечением складок рекомендуется проектировать с учетом монтажа складок укрупненными блоками длиной, равной длине перекрываемого пролета.
Конструирование волнистых сводов
7.38 Волнистые своды, состоящие из элементов, поперечное сечение которых представлено на
рисунке 7.3,
в, тип 1, называются бочарными сводами.
Для бочарных сводов пролетами от 48 до 100 м отношение стрелы подъема к пролету принимают в диапазоне 1/10 - 1/12, ширину свода - 6 - 12 м. Поверхность бочарного свода образуется перемещением образующей вдоль дуги окружности или параболы таким образом, чтобы плоскость образующей оставалась перпендикулярной к оси свода. Переменная высота сечения опорной зоны свода постепенно переходит от профиля средней зоны к прямой линии опор. Форму поверхности сборных плит принимают в зависимости от продольной или поперечной схемы разрезки. Размеры сборных ребристых плит в плане следует принимать равными 3 x 6 или 3 x 12 м. Боковые поверхности ребер плит выполняют со шпонками, обеспечивающими передачу сдвигающих усилий. Соединение плит между собой производят сваркой закладных деталей или выпусков арматуры. Затяжки бочарных сводов выполняют предварительно напряженными железобетонными или стальными. В качестве напрягаемых элементов используют стержневую арматуру и высокопрочную проволочную в виде прядей и стальных канатов. Затяжки, воспринимающие распор свода, крепятся непосредственно к опорным балкам, воспринимающим вертикальные и горизонтальные (в промежутках между затяжками) нагрузки
(рисунок 7.14).
(в ред.
Изменения N 3, утв. Приказом Минстроя России от 11.12.2023 N 901/пр)
а - продольный разрез по своду; б - план раскладки плит;
в - поперечный разрез по средней зоне; г - то же, по опорной
зоне; 1 - опорный блок; 2 - бортовые элементы; 3 - стальная
подвеска; 4 - средняя плита с отверстиями; 5 - блок затяжки;
6 - плита опорной зоны; 7 - балка диафрагмы
Рисунок 7.14 - Схема бочарного свода пролетом 96 м
Волнистые своды выполняют из тонкостенных криволинейных в продольном направлении элементов шириной 2 - 3 м.
7.39 Волнистые своды (
рисунок 7.3,
в, тип 2) выполняют из тонкостенных элементов, криволинейных в направлении пролета, с волной шириной до 3 м.
Для перекрытия пролетов до 24 м в тех случаях, когда это целесообразно по условиям изготовления и транспортирования элементов, каждую волну свода монтируют из двух криволинейных элементов, стыкуемых в ключе свода
(рисунок 7.15). При этом стык между элементами может быть шарнирным или жестким. Очертание сводов, волны которых состоят из двух элементов, рекомендуется принимать по кривой давления от постоянной нагрузки.
1 - стык элементов свода
Рисунок 7.15 - Свод, монтируемый из двух
криволинейных элементов
7.40 Элементы волнистых сводов двоякой кривизны (
рисунок 7.3,
в, тип 3) шириной до 3 м, криволинейные в продольном направлении, по поперечным краям изготавливают с ребрами, повышающими жесткость их в поперечном направлении
(рисунок 7.16). Элементы сводов соединяются сваркой закладных деталей с последующим омоноличиванием стыков.
1 - ребра по поперечным краям элементов
Рисунок 7.16 - Поперечное сечение волнистого свода
двоякой кривизны (тип 3)
7.41 Жесткость элементов сводов трапециевидного и волнистого поперечных сечений в период их транспортирования и монтажа до соединения со смежными складками и волнами рекомендуется обеспечивать установкой временных распорок, диафрагм и т.п.
Конструирование сводов с использованием линейных элементов
7.42 Большепролетные своды с использованием линейных элементов из высокопрочного бетона выполняют сегментного цилиндрического очертания пролетами 48 - 72 м. Значения отношения стрелы подъема свода к величине пролета принимают в пределах 0,12 - 0,15 или значения отношения радиуса кривизны свода к величине пролета в пределах 0,9 - 1,1.
Каркас покрытия
(рисунок 7.17) включает систему арок, образованных линейными железобетонными элементами, опирающихся над колоннами на бортовые элементы, продольные и косые балки в верхнем поясе, а также систему металлических затяжек и связей в нижнем поясе. Поверхность свода образована сборными плитами, опирающимися на арки, продольные и косые ребра. Совместную работу плит и железобетонных элементов каркаса как ребристой оболочки обеспечивают сваркой закладных деталей в узловых соединениях и замоноличиванием шпоночных швов. Затяжки свода располагают под арками и по концам закрепляют в бортовых элементах над колоннами. В пролете затяжки в нескольких точках подвешивают к аркам сводов стальными подвесками.
Линейные железобетонные элементы каркаса рекомендуется выполнять в виде тонкостенных элементов коробчатого сечения из высокопрочного бетона.
а - свод в сборе; б - схемы расположения элементов каркаса
свода; 1 - бортовой элемент; 2 - арка; 3 - продольное ребро;
4 - косое ребро; 5 - тяжи самоуравновешенных напрягаемых
систем; 6 - стойки напрягаемых систем; 7 - затяжка;
8 - подвеска; 9 - элементы связей; 10 - плиты настила
Рисунок 7.17 - Свод с использованием линейных элементов
(п. 7.42 введен
Изменением N 1, утв. Приказом Минстроя России от 20.11.2019 N 701/пр)
7.43 Конструкция большепролетных сводов с использованием линейных элементов позволяет выполнение больших световых проемов взамен части плит. Общая площадь световых проемов при их расположении с плитами в шахматном порядке может достигать половины общей площади свода
(рисунок 7.17).
Световые проемы размещают в ячейках между арками и продольными ребрами и снабжают самоуравновешенными напрягаемыми системами по
6.5.2. При этом контурными элементами самоуравновешенных напрягаемых систем являются линейные балочные элементы - косые ребра.
Высоту стойки самоуравновешенной системы принимают в пределах 0,2 - 0,25 диагонали контура светового проема.
(п. 7.43 введен
Изменением N 1, утв. Приказом Минстроя России от 20.11.2019 N 701/пр)
7.44 Плиты покрытия выполняют треугольной формы. При членении поверхности свода на квадратные в плане ячейки длиной диагонали 12 м на рядовую ячейку покрытия требуется 8 треугольных плит одного типоразмера с приемлемыми для транспортирования размером 6 м по длинной стороне и максимальным размером 3 м по ширине.
Для снижения нагрузок собственного веса арки выполняют коробчатого сечения из двух железобетонных элементов швеллерного сечения; продольные и косые ребра - в виде пустотелого элемента квадратного сечения с круглым центральным отверстием.
В целях унификации производственного оборудования, парка опалубочных форм и снижения количества типоразмеров сборных железобетонных элементов свода рекомендуется принимать полые элементы продольных и косых ребер одного сечения.
Сечения и армирование арок и ребер определяют расчетом их прочности и устойчивости. При предварительном назначении размеров сечения арок рекомендуется принимать высоту коробчатого сечения арки не менее 1/80 значения пролета свода.
(п. 7.44 введен
Изменением N 1, утв. Приказом Минстроя России от 20.11.2019 N 701/пр)
7.45 При конструировании во избежание передачи на колонны дополнительных усилий при деформировании свода следует предусматривать шарнирное опирание бортового элемента на колонны.
(п. 7.45 введен
Изменением N 1, утв. Приказом Минстроя России от 20.11.2019 N 701/пр)
7.46 При конструировании элементов самоуравновешенной напрягаемой системы сечение стойки следует принимать таким, чтобы требуемое усилие предварительного напряжения в стойке было не выше 0,35 несущей способности стойки.
(п. 7.46 введен
Изменением N 1, утв. Приказом Минстроя России от 20.11.2019 N 701/пр)
8 Треугольные и трапециевидные складки
8.1 Складчатые железобетонные пространственные конструкции состоят из плоских элементов - граней, соединенных между собой под углом так, чтобы в месте их сопряжения образовывалось прямолинейное ребро, через которое от одной грани к другой могут передаваться возникающие в них усилия (касательные усилия, нормальные усилия и изгибающие моменты). В стыке граней рекомендуется предусматривать утолщения (вуты), что позволяет улучшать работу сопряжений граней на изгиб, упрощать устройство опалубки и размещение арматуры.
8.2 Складчатые конструкции подразделяются на балочные складки и призматические складки (складчатые оболочки). К балочным складкам относятся треугольные и трапециевидные складки с жестким поперечным сечением, расчет которых можно выполнять по балочной схеме в предположении линейного распределения продольных деформаций по высоте сечения. Для повышения жесткости граней из их плоскости предусматриваются подкрепляющие ребра или диафрагмы жесткости.
Призматические складки изготавливают с продольными бортовыми балками, в которых размещается вся или большая часть продольной растянутой арматуры, и поперечными жесткими диафрагмами по торцам складок
(8.6).
(в ред.
Изменения N 3, утв. Приказом Минстроя России от 11.12.2023 N 901/пр)
8.3 Конструктивные схемы треугольных и трапециевидных складок и некоторых складчатых систем из них для покрытий и перекрытий приведены на
рисунке 8.1.
Трапециевидные складки (
рисунок 8.1,
б,
в) изготавливают с горизонтальными полками, усиливающими наиболее сжатую и растянутую зоны сечения. Для устройства плоской верхней поверхности покрытия по складкам могут укладываться плиты, образуя складки замкнутого сечения. В наклонно или горизонтально расположенных гранях складчатых покрытий допускается устраивать световые проемы (
рисунок 8.1,
г).
Складчатые конструкции на замкнутом полигональном контуре, образующие складчатый распорный купол (
рисунок 8.1,
д), рассчитывают и конструируют с учетом
раздела 6.
Призматические складчатые элементы консольно-вантовых покрытий (
рисунок 8.1,
е) рассчитывают и конструируют с учетом усилий, возникающих в месте крепления вант.
Треугольные складчатые конструкции выполняют с переменным углом наклона граней, которые имеют очертание пологой линейчатой поверхности второго порядка, например, гиперболического параболоида или коноида (
рисунок 8.1,
ж). Растянутый пояс таких складок выполняется предварительно напряженным.
(в ред.
Изменения N 3, утв. Приказом Минстроя России от 11.12.2023 N 901/пр)
а - треугольные складки, образуемые из плоских
элементов (плит); б - то же, из Г-образных элементов;
в - трапециевидные складки, образуемые из Z-образных
элементов; г - устройство световых проемов в треугольных
и трапециевидных складках; д - треугольные складки
переменного сечения на полигональном плане;
е - призматические трапециевидные складки в консольном
подвесном покрытии; ж - балочная складка с линейчатыми
гранями, очерченными по поверхности
гиперболического параболоида
Рисунок 8.1 - Схемы призматических складок
и складчатых систем
8.4 Складчатые конструкции изготовляют сборными, сборно-монолитными и из монолитного бетона с обычной и предварительно напряженной основной растянутой арматурой, располагаемой в ребрах и поясах. Толщину стенок складок, конструкцию ребер и диафрагм следует принимать в соответствии с
разделом 6.
Сборные призматические складки проектируют в зависимости от условий их изготовления и монтажа из плоских, Г- или Z-образных элементов, а также элементов треугольного и трапециевидного сечений, длиной 2 - 6 м, в зависимости от вида и размеров поперечного сечения складчатого покрытия, или целыми панельными складками, длина которых равна длине перекрываемого пролета.
Стыки между гранями складок следует проектировать согласно
8.15.
8.5 Призматические складки треугольного и трапециевидного сечений рекомендуется применять для покрытий однопролетных зданий с пролетами длиной не более 30 м. Для отвода атмосферной влаги грани складок располагают по направлению пролета.
Балочные складки шириной менее 3 м рекомендуется опирать на подстропильные балки, фермы и тому подобные элементы или на стены, а складки шириной 3 м и более допускается опирать непосредственно на колонны.
8.6 При расчете призматических складок треугольного и трапециевидного сечений следует различать два случая статической работы конструкции:
а) когда поперечное сечение складки после приложения нагрузки (в том числе и от действия собственного веса) или температурных и других воздействий не испытывает кручения (нет депланации поперечного сечения) и в нем не возникают поперечные симметричные или асимметричные деформации (

,
рисунок 8.1).
В этом случае в средних волнах многоволновой складки или отдельной складки с подкрепляющими ребрами и диафрагмами дополнительных касательных и нормальных усилий в поперечных сечениях не возникает. Тонкостенный элемент такой складчатой конструкции может быть рассчитан и законструирован по схеме простой балки в предположении линейного распределения продольных деформаций по высоте сечения. Стенки и полки, непосредственно нагруженные поперечной нагрузкой, рассчитываются и конструируются с учетом их изгиба. Стыки соседних граней между собой и соединения граней с диафрагмами проектируются так, чтобы обеспечивать конструктивно их совместную работу;
б) когда в складчатой конструкции, нагруженной полосовой или сосредоточенной нагрузкой, или работающей как тонкостенная пространственная складчатая система (в зоне опирания крайних складок на торцевую стену), поперечные сечения изменяют свою форму. В этом случае складчатую систему рекомендуется рассчитывать по технической теории ортотропных оболочек и призматических складок или методом конечных элементов с учетом геометрической нелинейности. Поперечное армирование граней и стыков между ними в этом случае определяется расчетом складок как пространственной системы.
8.7 Для предварительного расчета призматических складок
(перечисление б) 8.6), а также для подбора продольной арматуры и вычисления прогибов балочных складок
(перечисление а) 8.6) допускается приводить сечения складок к тавровому или двутавровому сечению
(рисунок 8.2) с последующим расчетом их по предельным состояниям согласно
СП 63.13330.
Приведенную толщину бетона стенки
b для схем, приведенных на
рисунке 8.2, следует определять по формуле

(8.1)

(8.2)
где

- толщина бортовых элементов;

- угол наклона боковых граней.
а - к прямоугольным сечениям; б - к тавровым сечениям;
в - к двутавровым сечениям
Рисунок 8.2 - Схемы поперечных сечений складок
и их приведение для расчета
При расчете прочности складки по наклонному сечению на действие поперечных сил следует учитывать фактическую толщину наклонных стенок с поправкой на угол наклона.
8.8 Для определения поперечных изгибающих моментов в гранях складок, рассматриваемых как балки с недеформируемым поперечным сечением, а также для предварительных расчетов складок в других случаях допускается рассчитывать их как полосу неразрезной плиты на шарнирных опорах. За опоры в данном случае принимаются места сопряжения граней, а за пролет плиты - ширина граней. Число пролетов принимается не менее двух и не более пяти. Соответственно конструктивному решению крайняя опора плиты рассматривается как шарнирная, упруго- или жесткозащемленная.
При этом нормальные усилия для расчета сечений граней допускается определять без учета неразрезности плиты.
8.9 Расчет складок открытого профиля следует производить с учетом моментов, вызывающих поперечный изгиб граней. Соответственно армирование плит, подкрепляющих ребер граней и их сопряжений рекомендуется проектировать с учетом возможных изгибающих моментов.
(в ред.
Изменения N 3, утв. Приказом Минстроя России от 11.12.2023 N 901/пр)
Предварительный расчет поперечных моментов в отдельных складках трапециевидного и прямоугольного сечений допускается производить как для консольных плит с защемлением по вертикальной плоскости симметрии.
8.10 Расчет предварительно напряженных стыков складчатых элементов, выполняемых с применением вставок из стержневой арматуры
(8.16), следует производить по прочности и раскрытию трещин из условия обеспечения сохранности арматуры согласно
СП 63.13330 и следующих рекомендаций:
а) площадь сечения стержней-вставок As,ins следует определять из условия прочности нормальных сечений изгибаемого железобетонного элемента. Если все стержни и канаты расположены в полке, то требуемую площадь сечения стержней-вставок допускается определять по формуле

(8.3)
где Rs - расчетное сопротивление стали стержней-вставок;

- коэффициент условий работы, учитывающий возможные эксцентриситеты и ослабления в зоне анкеровки стыковых стержней, принимаемый равным 0,8;
M - изгибающий момент в сечении стыка;
z0 - плечо внутренней пары;
n - число стержней;
б) сечение стальных анкерных упоров на вставках и колодок рекомендуется определять:
- из условия смятия по контактным поверхностям согласно
СП 16.13330 по формуле

(8.4)
где Nc - усилие в канате;

- коэффициент условий работы, равный 0,8;
Rp - расчетное сопротивление смятию стального упора согласно
СП 16.13330;
Ac - площадь сечения упора;
- из условия сжатия бетона под анкерами - согласно
СП 63.13330 по формуле

(8.5)
где Ac - площадь сечения анкерной колодки;
Rb - призменная прочность бетона.
Кроме того, расчетное усилие
N в предварительно напряженных канатах и стержнях-вставках в растянутой зоне
(рисунок 8.7) должно удовлетворять условию
N <= Rbs,locAb + RsAs, (8.6)
где Ab - сечение бетона, в котором расположены анкерные колодки;
Rbs,loc - приведенное расчетное сопротивление бетона сжатию с учетом влияния косвенной арматуры в зоне местного сжатия в соответствии
СП 63.13330;
As, Rs - соответственно площадь сечения и расчетное сопротивление продольной арматуры в зоне анкеровки канатов и стержней-вставок.
8.11 Основную растянутую арматуру балочных складок рекомендуется проектировать прямолинейной предварительно напряженной из высокопрочных арматурных стержней классов А600, А800 или арматурных канатов (допускается применять стержни диаметром 20 мм и более из стали класса А540). При этом диаметр стержней и канатов, располагаемых в утолщенных частях складок и в гранях, выбирается, по возможности, наибольшим, но с учетом
СП 63.13330.
В случае необходимости расположения предварительно напряженной арматуры на отдельных участках нижней или верхней зон складок (например, в консольно-балочных складках,
рисунок 8.3) рекомендуется проектировать прямолинейную арматуру только на тех участках, где она требуется по расчету. На других участках складки монтажные стержни или канаты располагаются без сцепления и могут быть удалены после отпуска их натяжения и освобождения складки от формы. Для этого в соответствующем месте обрыва арматуры предусматривают выемки в стенке складки, через которые стержни или канаты могут быть обрезаны или осуществлен разъем соединительных муфт между основной арматурой и монтажным удлинителем. Размеры выемки следует принимать равными:
а - армирование складки; б - деталь выемки
для перерезания канатов электродом
Рисунок 8.3 - Пример армирования консольно-балочной складки
покрытия прямолинейной предварительно напряженной арматурой
с обрывом канатов в соответствии с эпюрой моментов
- по направлению, перпендикулярному к оси арматуры,

;
- по направлению, параллельному оси арматуры, b <= 44 мм;
- по глубине

;
где d - диаметр стержня или каната.
При толщине стенки

допускается применение предварительно напряженной арматуры с отгибом из нижней зоны складки в верхнюю.
8.12 Грани балочных складок армируются одинарными сварными сетками, расположенными в срединной плоскости граней, если они не подвержены изгибу, или двойными, располагаемыми в соответствии с эпюрой поперечных изгибающих моментов.
В зонах анкеровки предварительно напряженной арматуры около торцов складок рекомендуется предусматривать поперечную арматуру, предотвращающую расслаивание полок или стенок
(рисунок 8.4).
1 - предварительно напряженная арматура; 2 - поперечные
стержни; 3 - верхние стержни и их заделка; 4 - сетка
Рисунок 8.4 - Деталь армирования полки и стенки в торцевой
зоне самозаанкерования предварительно напряженной арматуры
8.13 Жесткие узлы сопряжения граней сборных и монолитных складок рекомендуется конструировать как входящие углы железобетонных конструкций с применением пересекающихся стержней или сеток
(рисунок 8.5) для того, чтобы длина заделки растянутых стержней соответствовала
СП 63.13330.
а - отдельными стержнями; б - сварными сетками;
в - положение сеток при сварке; 1 - верхние стержни;
2 - то же, нижние; 3 - армирование в вутах;
4 - поперечные стержни пересекающихся сеток;
5 - то же, продольные; 6 - места точечной сварки
Рисунок 8.5 - Армирование пересекающимися стержнями
жесткого сопряжения граней треугольной складки
8.14 С целью упрощения конструкции форм и процесса бетонирования элементов сборных складчатых покрытий изготовление складок рекомендуется выполнять формование на плоских шарнирных поддонах с последующим изгибанием. В этом случае паз с пересекающей его неразрезной арматурой оставляют незабетонированным
(рисунок 8.6). После погиба граней до заданного угла наклона может быть произведена сварка арматуры и установка дополнительных стержней и сеток, а затем замоноличивание узла бетоном прочностью не ниже прочности бетона граней. Предварительно напряженная арматура может натягиваться на упоры или на бетон и располагаться в бетоне замоноличивания.
8.15 Сборные балочные складки трапециевидной или треугольной формы сечения рекомендуется проектировать из отдельных по длине элементов, соединяемых на месте строительства.
Стыки таких элементов следует предусматривать в наименее напряженных участках складки, в плоскостях, перпендикулярных к продольной оси складки. Минимальная ширина замоноличиваемого шва принимается с учетом диаметра стыкуемых стержней и конструкции их соединения, но не более 250 мм.
1 - бетон замоноличивания; 2 - отгибаемые и свариваемые
выпуски; 3 - предварительно напряженная арматура,
натягиваемая на упоры формы; 4 - дополнительные сетки
Рисунок 8.6 - Армирование узла складок, изготовляемых
погибом до его замоноличивания
Стыки сборных складок с ненапряженной арматурой, расположенные в зонах действия изгибающих моментов, проектируются с применением сварки выпусков арматуры и последующего замоноличивания шва.
Стыки складок с предварительно напряженной арматурой шириной не менее 40 мм и не более шага поперечной арматуры в стенках складки допускается проектировать без выпусков ненапряженной арматуры. При этом продольная предварительно напряженная арматура складки с натяжением на бетон располагается в пазах или каналах с последующим их замоноличиванием или инъецированием.
8.16 Стыки в складках трапециевидного сечения, собираемых из предварительно напряженных элементов
(рисунок 8.7), рекомендуется проектировать приторцованными (допускаемые отклонения зазора касания от проектного не более

) с промазкой стыкуемых поверхностей эпоксидным клеем с мелким наполнителем и последующим обжатием с помощью предварительно напряженных арматурных вставок, размещаемых в растянутой зоне складки. Вставки следует принимать из стержневой горячекатаной стали класса А600, А800 с механическим или электротермическим натяжением, выполняемым согласно
СП 63.13330.
1 - линия стыка; 2 - предварительно напряженная арматура
элемента; 3 - предварительно напряженные вставки;
4 - анкерные колодки
Рисунок 8.7 - Конструкция предварительно напряженного
стыка элементов балочных складок
8.17 Формы поперечного сечения призматических складок выбираются из условий производства работ, требований архитектурной выразительности, а также с учетом следующих особенностей:
- трапециевидные складки с горизонтально направленными полками в сжатой зоне меньше склонны к потере устойчивости наклонных стенок и имеют существенно больший момент инерции, чем треугольные той же высоты;
- трапециевидные складки с полками только в растянутой зоне удобнее для их опирания и требуют меньше поперечной арматуры на монтажные усилия; их недостаток - необходимость замоноличивания стыка между складками по низу лотка, отводящего с покрытия воду;
- замоноличенный стык треугольных складок рекомендуется делать только по верхней кромке;
- целесообразно выполнять трапециевидные складки с полками в сжатой и растянутой зонах с замоноличиванием стыка в сжатой зоне.
При выборе наклона и ширины полок рекомендуется учитывать, что оптимальными являются сечения, обеспечивающие наибольшую жесткость складки для заданной площади сечения.
При совместном действии полезной равномерно распределенной нагрузки и собственного веса оптимальное поперечное сечение должно иметь форму, занимающую промежуточное положение между очертаниями складок, приведенными на
рисунке 8.8, соответствующими оптимальным поперечным сечениям только для нагрузки, равномерной по площади покрытия (очертание 1), и для нагрузки собственного веса складки (очертание 2).
а - треугольные сечения; б - трапециевидные сечения;
1 - для нагрузки постоянной интенсивности по ширине
складки; 2 - для нагрузки собственного веса складки
Рисунок 8.8 - Оптимальные соотношения размеров
сечений складок по жесткости
9 Цилиндрические и складчатые оболочки
9.1 Цилиндрическими оболочками
(рисунок 9.1) называют тонкостенные конструкции, состоящие из следующих основных элементов:
- тонкой плиты, очерченной по цилиндрической поверхности (собственно оболочки);
- бортовых элементов, окаймляющих оболочку вдоль крайних образующих;
- поперечных диафрагм по криволинейным краям, опирающихся на колонны или стены.
1 - плита оболочки; 2 - диафрагма; 3 - бортовой элемент
Рисунок 9.1 - Цилиндрические оболочки
Покрытие с тонкой плитой, очерченной по призматической поверхности, вписанной в цилиндрическую, называется складчатым
(рисунок 9.2). Оболочки и складки изготавливают гладкими и ребристыми.
Рисунок 9.2 - Складчатые оболочки с различными типами
бортовых элементов
9.2 Многоволновые оболочки следует проектировать монолитно связанными между собой и с общими бортовыми элементами - крайними и промежуточными (
рисунки 9.1,
9.2).
9.3 Цилиндрические и складчатые оболочки в зависимости от отношения расстояния между осями опорных диафрагм (пролет оболочки) l1 к расстоянию между бортовыми элементами l2 (длина волны) условно подразделяют на длинные - при l1/l2 >= 1 и короткие - при l1/l2 <= 1.
При определении усилий и расчете оболочек по предельным состояниям следует учитывать рекомендации
СП 63.13330 и
4.2.
Рисунок 9.3 - Схема оболочки с пролетами диафрагм,
не совпадающими с длиной волны
Расчет длинных цилиндрических и складчатых оболочек
9.4 В общем случае определение усилий в длинных цилиндрических и складчатых оболочках рекомендуется производить с учетом деформации поперечного контура в соответствии с полумоментной теорией. При этом изгибающие моменты
M1, действующие на площадках поперечного сечения оболочки, соответствующие им поперечные силы
Q1, а также крутящие моменты
T и
T1 ввиду их незначительности принимают равными нулю
(рисунок 9.4). Силы
N, действующие нормально к площадкам продольного сечения, а также возникающие на тех же площадках поперечные силы
Q учитывают в расчете, но не учитывают при подборе сечений. Размеры сечений определяют по нормальным усилиям
N1, действующим на площадках поперечного сечения, скалывающим усилиям
S и изгибающим моментам
M, действующим на площадках продольного сечения оболочки или складки.
а - полная схема усилий;
б - усилия, учитываемые при расчете
Рисунок 9.4 - Усилия, действующие в длинных
цилиндрических и складчатых оболочках
9.5 В частных случаях (например, для оболочек, опертых по углам, при действии равномерно распределенной нагрузки и величине отношения l1/l2 >= 1, при повышенной жесткости поперечных ребер и др.), когда взаимное влияние поперечных изгибающих моментов и продольных нормальных усилий отсутствует или незначительно, расчет оболочки производят как балки криволинейного поперечного сечения.
9.6 В многоволновых покрытиях, опертых по углам, крайние полуволны допускается рассчитывать по упрощенной схеме - как полуволны одноволновой оболочки или складки с симметричным сечением (
рисунок 9.5,
а). Средние волны многоволновых оболочек и складок допускается рассчитывать как оболочки (складки), у которых продольные края закреплены от смещений в горизонтальной плоскости и поворота в плоскости поперечного сечения (
рисунок 9.5,
б).
9.7 Расчет по прочности, жесткости и трещиностойкости длинных цилиндрических и складчатых оболочек следует производить с учетом образования трещин в бортовых элементах и в плите, и трещин вдоль образующих в плите или трещин в поперечных ребрах (в том числе образовавшихся на стадии монтажа конструкции) в соответствии с методиками, изложенными в
СП 63.13330. Допускается не учитывать при расчете косые трещины в углах
(рисунок 9.6).
а - схема нагрузки и расчетная схема крайней волны;
б - расчетная схема средней волны
Рисунок 9.5 - Схемы для упрощенного расчета
многоволновых оболочек и складок
Расчет по образованию трещин в нормальных сечениях и вдоль образующих следует производить с учетом неупругих деформаций бетона в растянутой зоне.
Усилия для расчета длинных цилиндрических и складчатых оболочек по образованию и раскрытию трещин, по жесткости и прочности следует определять по
9.4 с учетом деформаций поперечного контура как для упругой системы.
Рисунок 9.6 - Схема трещин в длинной
цилиндрической оболочке
9.8 Допускается расчет по прочности, жесткости и раскрытию трещин оболочки с трещинами в продольных сечениях производить на действие только изгибающих моментов по
СП 63.13330.
Расчет оболочки по прочности следует производить с учетом перераспределения усилий между их продольными сечениями. Образование трех продольных пластических шарниров приводит к значительному увеличению деформаций и раскрытию трещин.
9.9 Расчет оболочки после назначения ее геометрических размеров выполняют в следующей последовательности:
- определяют требуемое сечение продольной арматуры бортовых элементов по формуле

(9.1)
где M - изгибающий момент от внешних нагрузок в расчетном поперечном сечении оболочки;
h0 - рабочая высота сечения оболочки, равная полной высоте за вычетом расстояния от нижней грани бортового элемента до равнодействующей усилий в растянутой арматуре;
- производят расчет оболочки в упругой постановке с учетом арматуры бортовых элементов;
- по полученным из расчета моментам с учетом
9.10 подбирают поперечную арматуру плиты;
- на основе расчета на предыдущем этапе по
СП 63.13330 находят положение равнодействующей усилий в сжатой зоне сечения, расстояния от нее до центра тяжести растянутого бетона
zb и арматуры z
s и значение момента внешних сил
Mcrc, соответствующего появлению трещин;
- производят расчет оболочки с учетом трещин и по
СП 63.13330 определяют перемещения оболочки и ширину раскрытия трещин в бортовых элементах;
- с учетом
9.14 и
9.15 производят расчет угловых зон и диафрагм оболочек.
9.10 Поперечную арматуру плиты и арматуру поперечных ребер на участках, примыкающих к бортовым элементам, определяют по
СП 63.13330 по усилиям, определенным из расчета оболочек как упругих систем. Для расчета в поперечном направлении рассматривают полоску единичной ширины, вырезанной в любом сечении по длине оболочки, которую рассчитывают как круговую бесшарнирную арку пролетом, равным ширине оболочки.
9.11 Расчет жесткости конструкций оболочек следует производить с учетом деформаций контура и наличия поперечных трещин в бортовых элементах и в оболочке, продольных трещин в оболочке.
Ширину раскрытия нормальных трещин находят по
СП 63.13330.
9.12 В поперечном сечении оболочки значение предельного изгибающего момента
Mult определяют как произведение предельных усилий в основной растянутой арматуре бортовых элементов на расстояние
z до равнодействующей усилий в сжатой зоне сечения (
рисунок 9.7 стадия IIа) по формуле
(в ред.
Изменения N 3, утв. Приказом Минстроя России от 11.12.2023 N 901/пр)
Для сводов со стрелой подъема f = (1/6 - 1/8)l2 приближенное значение z допускается определять по формуле
z = h0 - 0,25f (9.3)
и принимать не более 0,8h0.
(абзац введен
Изменением N 3, утв. Приказом Минстроя России от 11.12.2023 N 901/пр)
Mult = RsAsz. (9.2)
Расчет оболочки по прочности следует производить с учетом перераспределения усилий между их поперечными сечениями.
9.13 Количество поперечной арматуры, принятой по результатам предварительного расчета, следует уточнять с учетом расчетных усилий, определенных при наличии трещин в поперечных и продольных сечениях оболочки.
9.14 Усилия в угловых зонах оболочек определяют из их расчета как упругих систем.
Во избежание хрупкого разрушения оболочек в углах от скалывания значение скалывающих напряжений должно быть не более 2,5Rbt. На участках, где напряжения скалывания больше указанного значения, необходимо выполнять местное утолщение плиты. При этом производить перерасчет конструкции в целом не требуется.
9.15 Диафрагмы рассчитывают как плоские стержневые или балочные конструкции на действие нагрузки от собственного веса и опорного давления, передаваемого в виде сдвигающих сил
S (рисунок 9.8), касательных к срединной поверхности оболочки или складки, обратных по направлению и равных по значению сдвигающим усилиям в оболочке на контуре.
Значение сдвигающих сил определяют из расчета оболочек и складок как упругих систем.
При расчете диафрагм следует учитывать эксцентричное приложение сдвигающих сил по отношению к оси элементов конструкции.
Конструирование длинных цилиндрических и складчатых оболочек
9.16 Высоту оболочки h, включая высоту сечения бортовой балки, рекомендуется назначать равной (1/6 - 1/8) l1, а стрелу подъема f - равной (1/6 - 1/8) l2.
Продольные края оболочки в пролете могут быть свободными или опираться на колонны или стены.
Рисунок 9.7 - Стадии напряженного состояния
поперечных сечений оболочки (складки)
Рисунок 9.8 - Схема передачи усилий с оболочки на диафрагму
Поперечное сечение оболочек может быть очерчено по дуге круга, эллипса или по другой кривой. Рекомендуется принимать круговое очертание - как наиболее простое в производстве работ.
9.17 Сборные и сборно-монолитные цилиндрические оболочки выполняют ребристыми, монолитные - гладкими.
(в ред.
Изменения N 3, утв. Приказом Минстроя России от 11.12.2023 N 901/пр)
Ребристые монолитные оболочки
(рисунок 9.9) рекомендуется применять в тех случаях, когда вследствие наличия сосредоточенных нагрузок, особенностей очертания оболочки, условий ее опирания, больших пролетов или других причин для гладкой оболочки требуется большая толщина и устройство массивных бортовых элементов.
Рисунок 9.9 - Ребристая оболочка
Диафрагмы проектируют вертикальными, а при необходимости - наклонными и криволинейными.
(в ред.
Изменения N 3, утв. Приказом Минстроя России от 11.12.2023 N 901/пр)
9.18 При выборе типа бортовых элементов цилиндрических оболочек следует учитывать условия опирания краев оболочки.
Бортовые элементы для оболочек со свободно висящими краями рекомендуется принимать в виде балок, расположенных ниже края оболочки (
рисунок 9.10,
а). Для сборных конструкций балки в целях снижения их веса могут быть двутаврового сечения.
Рисунок 9.10 - Бортовые элементы
При необходимости бортовые элементы могут располагаться выше края оболочки (
рисунок 9.10,
б). Они выполняются прямоугольного сечения (могут быть с приливами) или
L-образного сечения (
рисунок 9.10,
в). Если края оболочки подперты, то бортовой элемент целесообразно проектировать в виде горизонтальной плиты (
рисунок 9.10,
г).
Размеры сечений бортовых элементов определяют по расчету и с учетом конструктивных требований. Рекомендуемые размеры сечений этих элементов в долях от полной высоты сечения оболочки приведены на
рисунке 9.10. Высоту сечения бортовых элементов в долях пролета
l1 рекомендуется принимать равной 1/20 - 1/30.
Промежуточные бортовые элементы, соединяющие отдельные волны многоволновых оболочек, проектируют аналогично крайним бортовым элементам по одному из типов, изображенных на
рисунке 9.10.
9.19 Средние и торцевые диафрагмы цилиндрических оболочек устраивают обычно в виде арок с затяжкой
(рисунок 9.11) - как наиболее экономичных по расходу материалов.
При небольшом пролете волны оболочки и небольшой стреле подъема f диафрагмы проектируют в виде балок переменной высоты. Для облегчения диафрагмы и пропуска коммуникаций в стенке балок устраивают отверстия.
Рисунок 9.11 - Диафрагмы цилиндрических оболочек
Допускается проектировать диафрагмы других видов, в том числе в виде:
- криволинейного бруса (при опирании на стену);
- рам с криволинейным ригелем, если распор воспринимается каркасом пристроек;
- ферм (при значительных пролетах волны оболочки).
Диафрагмы проектируют вертикальными, а при необходимости - наклонными и криволинейными.
(в ред.
Изменения N 3, утв. Приказом Минстроя России от 11.12.2023 N 901/пр)
9.20 Фонарные проемы и другие отверстия рекомендуется располагать в верхней части оболочки в продольном направлении. Размер отверстий в поперечном направлении рекомендуется назначать не более (1/4 - 1/3)
l2, в продольном направлении размеры отверстий не ограничиваются. Отверстия в оболочках окаймляют рамками и усиливают через 2 - 3 м распорками
(рисунок 9.12).
1 - рамка окаймления фонарного отверстия; 2 - распорка
Рисунок 9.12 - Схема оболочки с фонарным проемом
9.21 Поперечное сечение монолитных складчатых оболочек принимают по одному из типов, показанных на
рисунке 9.2. Ширину граней монолитной складки рекомендуется принимать не более 3 - 3,5 м при условии, что толщина плиты не более 100 мм. Ширина верхней грани в складках назначается равной (0,25 - 0,4)
l2.
(в ред.
Изменения N 3, утв. Приказом Минстроя России от 11.12.2023 N 901/пр)
9.22 Сборные складки рекомендуется изготовлять ребристыми. При
l2 > 10 - 12 м рекомендуется применять складки с числом граней большим, чем по
рисунку 9.2, или усиливать грани складки поперечными ребрами. Высоту сборных складчатых оболочек без предварительного напряжения рекомендуется назначать не менее 1/10
l1. Бортовые элементы в них проектируются такими же, как и в цилиндрических оболочках (см.
9.18 и
рисунок 9.10).
Во избежание местной потери устойчивости оболочки между поперечными ребрами расстояние между ними рекомендуется назначать не больше, чем

, где
R - радиус кривизны оболочки.
При наличии скалывающих напряжений на опорах более 0,8Rbt рекомендуется, не утолщая всей оболочки или складки, предусматривать местные утолщения у опор, которые при определении усилий не учитываются.
9.23 Продольную рабочую арматуру рекомендуется располагать в основном в нижней части бортовых элементов, оставшуюся часть - по высоте сечения бортовых элементов или в их верхней зоне. При бортовых элементах, располагаемых выше края оболочки (
рисунок 9.10,
б,
в), часть арматуры может размещаться в поле оболочки или в плите складки. Кроме основной арматуры в бортовых элементах устанавливается поперечная и монтажная арматура.
9.24 В неразрезных многопролетных оболочках кроме основной растянутой арматуры в пролете следует устанавливать арматуру в верхней части оболочки для восприятия растягивающих напряжений над опорами (диафрагмами), располагая ее в средней зоне растянутой части дуги.
Не менее 50% растянутой арматуры над опорой следует продлевать на длину 1,2b0 в каждую сторону от диафрагмы (b0 - расстояние от опоры до сечения с нулевыми моментами).
9.25 В сжатой зоне оболочки, а также на участках, где главные растягивающие напряжения меньше Rbt, следует устанавливать конструктивную продольную арматуру с шагом 150 - 250 мм, площадью сечения не менее 0,2% сечения бетона.
Сечение арматуры, необходимое для обеспечения прочности оболочки при действии поперечных изгибающих моментов, следует определять как для плит. По длине волны арматура, воспринимающая поперечные моменты, устанавливается соответственно эпюре моментов в растянутой зоне. В местах примыкания плиты к бортовым элементам (а также к диафрагмам) следует устанавливать двойные сетки из арматуры диаметром 5 - 8 мм с шагом стержней не более 20 см.
В ребристых оболочках ребра, воспринимающие поперечные моменты, армируют двойной арматурой с поперечными стержнями, а плита армируется конструктивно - одиночной сеткой.
(в ред.
Изменения N 3, утв. Приказом Минстроя России от 11.12.2023 N 901/пр)
9.26 На участках, где

, требуемое сечение арматуры следует определять по растягивающим напряжениям, действующим под углом 45° к образующей. Значение этих напряжений определяется по формуле
| | ИС МЕГАНОРМ: примечание. Нумерация формул дана в соответствии с официальным текстом документа. | |

(9.4)
где

и

- соответственно нормальные и сдвигающие напряжения, действующие в рассматриваемой точке.
В местах, где арматурной сетки недостаточно для восприятия главных растягивающих усилий, следует устанавливать дополнительные арматурные стержни под углом 45° к образующей или усиливать арматурную сетку дополнительными стержнями.
Сечение арматуры на единицу длины должно удовлетворять условию

(9.5)
где fy, fx, finc - сечения продольной, поперечной и косой арматуры соответственно на единицу длины плиты;
Rs,inc - расчетное сопротивление косой арматуры плиты.
Принятые сечения продольной и поперечной арматуры не должны различаться более чем на 20%.
Стержни наклонной (установленной под углом 45° к образующей) и поперечной арматуры, воспринимающие главные растягивающие усилия, должны быть заанкерены в бортовом элементе. Выше нейтральной оси стержни наклонной и поперечной арматуры должны быть заведены не менее чем на 20 диаметров за сечение, где главные растягивающие напряжения могут быть восприняты основной сеткой.
9.27 Арматуру бортовых элементов оболочек и арматуру затяжек диафрагм рекомендуется выполнять предварительно напряженной.
9.28 Сборные цилиндрические оболочки собирают или из бортовых балок длиной на пролет, криволинейных ребристых панелей длиной на пролет волны и затяжек диафрагм (
рисунок 9.13,
а), или из криволинейных ребристых панелей с примыкающими к ним частями бортовых балок длиной на половину пролета волны и затяжек диафрагм (
рисунок 9.13,
б).
а - из бортовых балок, криволинейных ребристых панелей
и затяжек диафрагм; б - из криволинейных ребристых панелей
с бортовым элементом и затяжек диафрагм
Рисунок 9.13 - Схемы членения сборных длинных
цилиндрических и складчатых оболочек
Складчатые оболочки собирают из бортовых балок длиной на пролет, арок-диафрагм длиной на пролет волны и плоских гладких или ребристых плит
(рисунок 9.14). Верхним поясом диафрагм в оболочках служит усиленное ребро крайних панелей. Панели принимают размерами 3 x 6 или 3 x 12 м.
Рисунок 9.14 - Складчатые оболочки из бортовых балок,
арок-диафрагм и плоских ребристых или гладких плит
При членении оболочки по схеме
рисунка 9.13,
б перед установкой на леса сборные элементы объединяют попарно в направлении волны оболочки, сваривая закладные детали криволинейных ребер и устанавливая временные затяжки между бортовыми элементами.
9.29 Элементы конструкций при членении по схемам
рисунков 9.13,
а и
9.14 допускается проектировать из разных материалов: бортовые балки и диафрагмы - из бетонов высоких марок с применением предварительного напряжения; элементы оболочек - из легких или ячеистых бетонов, выполняя кроме несущих и ограждающих функций функцию теплоизоляции.
9.30 Конструкцию стыка между элементами в сборных оболочках и складках следует принимать согласно
6.4 в зависимости от характера и значений передающихся через стык усилий.
9.31 В средней части оболочек и складок, в нормальных сечениях которой действуют в основном сжимающие усилия, стыки допускается выполнять путем омоноличивания шпоночных швов бетоном.
9.32 Стыки бортовых элементов (
рисунок 9.13,
б), в нормальных сечениях которых действуют значительные растягивающие усилия, рекомендуется выполнять предварительно напряженными, с использованием напрягаемой арматуры в качестве расчетного армирования. Арматуру размещают в специально оставленных в бортовых элементах каналах и закрепляют по торцам оболочки. Для обеспечения совместной работы предварительно напряженной арматуры с бетоном каналы заполняются цементным тестом под давлением.
9.33 Стыки в продольных сечениях оболочек, в которых помимо сдвигающих и незначительных нормальных сил действуют изгибающие моменты и перерезывающие силы, выполняют сваркой выпусков арматуры ребер соединяемых элементов или сваркой с помощью накладок закладных деталей элементов и последующим омоноличиванием бетоном.
9.34 Стыки собственно оболочки или складки с бортовыми балками и диафрагмами по схеме членения на
рисунках 9.13, а и
9.14, в которых действуют сдвигающие силы и изгибающие моменты (в отдельно стоящих конструкциях значения моментов незначительны), выполняют путем устройства армированной шпонки, образованной после омоноличивания специальных углублений с выпусками арматуры, предусмотренными в стыкуемых элементах (
рисунок 9.15,
а).
а - стык ребристых плит с бортовыми балками в отдельно
стоящей складке между ребрами и в местах ребер; б - стык
панелей в угловых зонах (со сваркой выпусков и со сварными
каркасами, устанавливаемыми в углублениях сверху)
Рисунок 9.15 - Стыки элементов сборных длинных
цилиндрических оболочек и складок
9.35 Стыки смежных элементов, расположенных в угловых зонах оболочек, где действуют значительные по значению главные растягивающие усилия, выполняют сваркой выпусков арматуры элементов или сваркой с помощью накладок закладных деталей элементов, или путем установки в заранее предусмотренные в элементах углубления сварных каркасов (
рисунок 9.15,
б).
В оболочках типа, приведенного на
рисунке 9.13,
б, стыки между панелями обжимаются при натяжении арматуры бортовых балок, поэтому арматуру смежных элементов допускается не стыковать.
Расчет коротких монолитных оболочек
9.36 Расчет коротких оболочек с пролетом
l1 <= 12 м при соотношении
l1/
l2 < 0,5 допускается производить приближенным способом согласно
9.37. При значительных пролетах
l2, малой толщине, тяжелых или сосредоточенных нагрузках, а также при 0,5 <
l1/
l2 <= 1 расчет коротких оболочек следует производить в соответствии с
9.38 -
9.40.
9.37 При приближенном способе расчета оболочек на действие равномерно распределенной нагрузки сечение и армирование плиты назначаются конструктивно с учетом
9.41.
Для коротких оболочек с пролетами
l1 <= 12 м и
l2 <= 30 м
(рисунок 9.16) растягивающее усилие
Nb в одном бортовом элементе отдельно стоящей оболочки допускается определять по формуле

(9.6)
где q - приведенная расчетная нагрузка на 1 м2 горизонтальной проекции с учетом веса бортовых элементов;
d1 - высота бортового элемента.
Рисунок 9.16 - К расчету бортового элемента
короткой цилиндрической оболочки
В средних пролетах короткой многопролетной монолитной одноволновой оболочки значение растягивающего усилия
Nb в пролете бортового элемента принимают равным половине значения, вычисленного по
формуле (9.6).
В многоволновых оболочках значение усилия Nb в бортовом элементе увеличивают пропорционально увеличению нагрузки, приходящейся на этот элемент от обеих примыкающих к нему волн.
9.38 Нормальное усилие
N по сечению оболочки в середине пролета
l2 допускается определять по безмоментной теории. Полученное таким образом значение продольной силы применяют при расчете промежуточных диафрагм. Крайние диафрагмы или диафрагмы отдельно стоящей оболочки рассчитывают на воздействие половины этого усилия.
9.39 При расчете диафрагм их сечение принимают тавровым
(рисунок 9.17). При этом оболочки параллельно диафрагмам условно рассекаются посредине пролетов сечениями (
рисунок 9.17,
а). В многоволновой несущей конструкции диафрагму с прилегающими к ней частями смежных оболочек условно делят на не связанные между собой отдельные волны. Если диафрагмы арочные, то в расчетной схеме разрезают их затяжки и рассматривают отдельные пролеты балочных диафрагм, связанные с прилегающими к ним частями оболочек (
рисунок 9.17,
б). Усилия в сечениях такой конструкции определяют как в балке с прямолинейной или криволинейной осью.
Расчет собственно диафрагм допускается производить на действие только сжимающих усилий, приходящихся на оболочку - без учета изгибающих моментов и поперечных сил в сечении оболочки.
Значение полного нормального сжимающего усилия

в сечениях оболочки определяют:
- для крайней диафрагмы, к которой примыкает лишь один полупролет оболочки - по формуле

(9.7)
- для средней диафрагмы, к которой примыкают два полупролета оболочки - по формуле

(9.8)
где R - радиус кривизны оболочки в середине пролета l2;
x - горизонтальное расстояние продольного сечения оболочки от одной из опор
(рисунок 9.17).
а - расчетный фрагмент плана оболочки;
б - арочная диафрагма; в - балочная диафрагма
Рисунок 9.17 - К расчету диафрагмы короткой оболочки
Усилия в диафрагмах определяют:
- в арочных диафрагмах - по формулам:

(9.9)
- в балочных диафрагмах - по формулам:

(9.10)
где

,

,

- соответственно изгибающий момент, поперечная и продольная силы по оси диафрагмы, определяемые от полной вертикальной нагрузки (
Nx вводится в эти формулы со знаком плюс);
ex - расстояние от оси диафрагмы до срединной поверхности оболочки, измеряемое вдоль сечения
(рисунок 9.17). Если оболочка расположена выше оси диафрагмы, значение
ex считается положительным, если ниже - отрицательным;

- угол между нормалью к поперечному сечению диафрагмы и касательной к срединной поверхности оболочки в этом сечении (
рисунок 9.17,
в).
Учет неразрезности, влияния затяжек арочных диафрагм или других факторов производят методами, применяемыми для расчета статически неопределимых плоских систем. При определении перемещений и усилий в диафрагмах совместность работы диафрагмы с оболочкой допускается не учитывать. Расчет производят на восприятие усилий сечениями только самих диафрагм - без учета участков оболочек, примыкающих к диафрагмам.
9.40 Диафрагмы коротких оболочек с проемами рассчитывают на вертикальную нагрузку по всей оболочке. При расчете боковых частей пролета разгружающее влияние продольных сил оболочки
Nx допускается не учитывать.
Усилие Nb, передаваемое на арматуру бортового элемента оболочки с проемами, определяют по формуле

(9.11)
где b - ширина проема.
Если ширина остающихся боковых частей оболочки менее 1/3l2 или менее l1, оболочку следует рассчитывать как длинную оболочку с учетом деформаций контура.
Конструирование коротких монолитных оболочек
9.41 Размеры сечений элементов монолитных оболочек рекомендуется назначать с учетом
6.1.1 -
6.1.5. При стреле подъема не менее 1/8
l2 (
l2 <= 30 м) для оболочек из бетона классов по прочности на сжатие B20 - B30 при действии нагрузок собственного веса, веса кровли и снега толщину плиты допускается предварительно принимать при пролетах
l1 = 6 м - 50 мм,
l1 = 12 м - 70 - 80 мм.
В случаях, когда расчет оболочки произведен по
9.37, плиту следует армировать конструктивно прямоугольной сеткой из стержней диаметром 4 - 6 мм с шагом 100 - 160 мм.
9.42 В многопролетных монолитных оболочках для восприятия действующих усилий толщину плиты над опорами допускается увеличивать. Для обеспечения заделки плиты и восприятия возможных растягивающих напряжений над диафрагмами и у примыкания к бортовым элементам устанавливают верхнюю арматуру, заведенную в обе стороны от диафрагмы на расстояние 0,1l1, а от бортового элемента - на расстояние 1,25 - 1,5 м.
Для обеспечения жесткости бортовых элементов без предварительного напряжения высоту их сечения следует принимать не менее 1/15l1, ширину - от 1/5 до 1/2 высоты.
В пролетах большая часть арматуры бортовых элементов устанавливается внизу, а на опорах - вверху бортового элемента.
9.43 Для обеспечения прочности монолитных оболочек с фонарными проемами следует выполнить ряд дополнительных условий:
- высота подфонарных балок должна быть не менее 1/12l1;
- толщина плиты должна быть увеличена по отношению к толщине сплошной оболочки;
- подъем плиты каждой боковой части должен быть не менее 1/20 ее пролета (наклонной хорды);
- длина дуг ее боковых частей должна быть не менее l2/3 и не менее l1.
Расчет коротких призматических складок
9.44 Короткие призматические складки состоят из плоских ребристых плит, бортовых элементов и диафрагм (
рисунок 9.18,
а,
б;
9.23,
в).
Складки допускается проектировать без бортовых элементов. В этом случае функции бортовых элементов выполняют продольные ребра плит, устанавливаемые вдоль краев покрытия (
рисунок 9.18,
в).
а - конструкция складчатого покрытия; б - складка
с бортовыми элементами; в - то же, без бортовых элементов;
1 - диафрагма; 2 - ребристая плита; 3 - бортовой элемент;
4 - стальной фонарь; 5 - подвеска; 6 - продольное ребро
плиты, выполняющее функции бортового элемента;
7 - крайние грани складки
Рисунок 9.18 - Короткая призматическая складка
9.45 Расчет складчатых покрытий производят для двух стадий работы конструкции - до и после омоноличивания швов между сборными элементами покрытия.
До замоноличивания швов сборные элементы складок рассчитывают как разрезные конструкции на воздействие нагрузок, возникающих в стадиях изготовления, транспортирования и возведения.
После замоноличивания швов (в стадии эксплуатации) складку рассчитывают на воздействие постоянных и временных нагрузок - как пространственную конструкцию по схемам разрушения, охватывающим одну или две крайние грани складки. Средняя часть складки, расположенная между четырьмя крайними гранями (по две с каждой стороны), в эксплуатационной стадии рассчитывают только на "местное" разрушение полки, поперечных ребер, а также продольных ребер плит, не закрепленных швами замоноличивания от кручения.
9.46 Для стадии работы до омоноличивания швов расчет выполняют для подбора арматуры сборных элементов складчатого покрытия, требуемой для работы в стадиях изготовления, транспортирования и возведения. Назначение геометрических размеров поперечных сечений сборных элементов производят на основании опыта проектирования близких по очертанию складчатых покрытий и корректируют в дальнейшем расчетом для стадии эксплуатации.
При изготовлении сборные элементы складок рассчитывают на воздействие усилий предварительного напряжения, вводимых в расчет в качестве внешней внецентренно приложенной силы.
При подъеме, транспортировании и монтаже сборные элементы складок рассчитывают как разрезные конструкции на воздействие собственного веса с учетом коэффициента динамичности в соответствии с
4.2.18.
В стадии возведения сборные элементы складок рассчитывают как разрезные конструкции на воздействие собственного веса и снеговой нагрузки, учитываемой в соответствии с
СП 20.13330.
В стадиях изготовления, транспортирования и возведения производят подбор предварительно напряженной арматуры бортового элемента и плиты, а также обычной арматуры - верхнего стержня каркаса продольных ребер; кроме того, проверяют прочность и трещиностойкость концевых участков ребер при отпуске напряжения.
При проектировании верхнего пояса ферм-диафрагм в неразрезных покрытиях
(9.58) арматуру пояса подбирают по усилиям, действующим в стадии возведения.
При расчете сборных элементов в стадии возведения коэффициент перехода от веса снегового покрова земли к снеговой нагрузке на покрытие принимают равным

, предельный прогиб при этом должен быть не более значений, указанных в
СП 20.13330.
9.47 Расчет коротких ребристых призматических складок покрытий для стадии эксплуатации производят по прочности, жесткости и ширине раскрытия трещин.
Расчет прочности складок покрытий рекомендуется производить кинематическим способом метода предельного равновесия - по схемам разрушения, приведенным на
рисунках 9.19 и
9.20.
а, б, в - схемы разрушения для всех плит; г, д - то же,
для крайних плит; 1 - 5 - диски в схемах разрушения
Рисунок 9.19 - Схемы разрушения полки и поперечных ребер
плит от изгиба и продольных ребер от кручения
Жесткость и ширину раскрытия трещин в полке плиты и в поперечных ребрах определяют согласно
СП 63.13330. Требуемая жесткость продольных ребер плит складчатого покрытия обеспечивается при условии
h/
l1 > 1/32, где
h - высота ребра;
l1 - длина пролета.
(в ред.
Изменения N 3, утв. Приказом Минстроя России от 11.12.2023 N 901/пр)
Расчет призматических складок покрытий по прочности следует производить в следующей последовательности: сначала по местным схемам разрушения рассчитывают полку, поперечные и продольные ребра плит (от кручения), затем - складки покрытия и диафрагмы.
а - схемы разрушения первой грани складки и бортового
элемента; б - диаграмма скоростей виртуальных перемещений;
в - схема разрушений двух граней складки с изломом бортового
элемента; г - то же, без излома бортового элемента;
д - поперечное сечение складки у края; 1 - 4 - диски
в схемах разрушения; 5 - первые грани складки; 6 - первая
и вторая крайние грани складки; 7 - средняя часть складки
Рисунок 9.20 - Схемы разрушения складчатого покрытия
Расчет полки и поперечных ребер плиты
9.48 Расчет по прочности полки и поперечных ребер плит покрытия следует производить по схемам разрушения, приведенным на
рисунке 9.19,
а,
б,
в, а крайних плит складок - по схеме разрушения, приведенной на
рисунке 9.19,
г.
Изгибающие моменты в полке на единицу длины линии излома и в поперечных ребрах определяют по "конвертным" схемам разрушения в зависимости от значения параметра

(9.12)
При

разрушение полки происходит по схеме, приведенной на
рисунке 9.19,
а, и предельное значение изгибающих моментов, воспринимаемых сечением, определяют по формулам:

(9.13)

(9.14)

(9.15)

(9.16)
При

разрушение полки происходит по схеме, приведенной на
рисунке 9.19,
б. В этом случае принимают
k1 = 1/
k и предельное значение изгибающих моментов определяют по формулам:

(9.17)

(9.18)

(9.19)

(9.20)
q - равномерно распределенная нагрузка на единицу площади полки с учетом ее веса;

- отношение сторон полки;
Ma, Mb - изгибающие моменты на единицу длины линии излома, действующие в сечениях полки соответственно в поперечном и продольном направлениях;
qR - нагрузка на единицу длины поперечного ребра, расположенная на ребре и рассчитываемая с учетом его веса;
MR - изгибающий момент, приходящийся на сечение поперечного ребра без полок (
рисунок 9.19, сечение I-I);
Rsf, RsR - расчетные сопротивления на растяжение арматуры соответственно полки и поперечных ребер;
hf, h0 - соответственно толщина полки и рабочая высота ребра;

- коэффициент, учитывающий благоприятное влияние распора для плит, окаймленных со всех сторон ребрами, принимаемый равным:
- 0,8 - для средних полей средних плит;
- 0,8 при b/a1 < 1,5; 0,9 при 1,5 < b/a1 < 2; 1 при b/a1 > 2 - для крайних полей средних плит и полей крайних плит.
9.49 Несущую способность плиты, армированной по результатам расчета по схеме разрушения, приведенной на
рисунке 9.19,
а и
б, следует проверить расчетом при схеме разрушения полки и поперечных ребер по
рисунку 9.19,
в.
Изгибающий момент M24, действующий на все поперечные ребра плиты в пролете, определяют по формуле
M24 =
qb2(3
c - 2
a1)/24 -
M02, (9.21)
где q - нагрузка на единицу площади полки с учетом веса поперечных ребер;
b - расстояние в свету между продольными ребрами;
a1 - расстояние в свету между торцевым и поперечным ребрами (
рисунок 9.19,
в,
г);
M02 - изгибающий момент, воспринимаемый всеми поперечными ребрами плиты в местах их примыкания к продольным, рассчитывается исходя из установленной в полке арматуры, подобранной по схемам разрушения, приведенным на
рисунке 9.19,
а,
б,
в или
г;
c - расстояние между внутренними гранями торцевых ребер.
Подбор арматуры производят по большему значению изгибающего момента в пролете, приходящего на одно поперечное ребро и вычисленного по
формулам (9.15) или
(9.19) и
(9.21).
9.50 Расчет поперечных ребер плиты на действие поперечной силы производят по
СП 63.13330. Максимальное значение поперечной силы в поперечном ребре определяют в зависимости от схемы разрушения, определившей его продольное армирование. При схеме разрушения, приведенной:
Q = qa(2b - ak)/8 + qRb/2; (9.22)
Q = qb2k1/8 + qRb/2; (9.23)
При расчете жесткости и ширины раскрытия трещин принимают:
- полное защемление полки в поперечных и продольных ребрах и шарнирное опирание поперечных ребер - если расчет ведется по схемам разрушения, приведенным на
рисунке 9.19,
а,
б;
- полное защемление поперечных ребер в продольных - при расчете по схеме разрушения, приведенной на
рисунке 9.19,
в;
- защемление с одной стороны поперечного ребра и шарнирное опирание с другой - при расчете по схеме разрушения, приведенной на
рисунке 9.19,
г.
При определении прогибов поперечных ребер следует принимать тавровое сечение ребра (
рисунок 9.10, сечение II-II).
Расчет продольных ребер на кручение
9.51 В крайних плитах складчатых покрытий, выполняемых без бортовых элементов, и в плитах, примыкающих к фонарным проемам, кроме схем разрушения, приведенных на
рисунках 9.19,
а,
б,
в, следует рассматривать и схему разрушения, приведенную на
рисунке 9.19,
г.
Крутящие моменты M45, действующие в наклонных сечениях концевых участков продольных ребер под углом 45° к их нижней плоскости, воспринимаются сетками, устанавливаемыми на концевых участках продольных ребер, и их значения определяют по формуле

(9.25)
Во всех случаях учитывают, что угловая арматура не воспринимает усилий растяжения, а изгибающий момент M05 принимают равным нулю.
Если в результате расчетов по
формуле (9.24) значение
M45 <= 0, то концевые участки продольных ребер на кручение не армируют.
9.52 Короткие призматические складки покрытий на действие равномерно распределенной нагрузки рассчитывают по трем схемам разрушения (
рисунок 9.20,
а,
в,
г), охватывающим одну или две грани у свободного края.
Предельные значения изгибающих моментов в сечениях определяют на основе кинематического способа теории предельного равновесия.
При изломе двух граней складки работа внутренних сил определяется из пространственной схемы перемещений жестких звеньев - в том числе и перемещения в плоскости одной из граней, излом которой происходит как балки на двух опорах от достижения в наклонных сечениях предельных изгибающих моментов
Mult (
рисунок 9.20,
в,
г).
9.53 При расчете неразрезных складок покрытий армирование продольных ребер плит и бортовых элементов подбирают в соответствии с усилиями от нагрузок, действующих до замоноличивания швов между сборными элементами, а армирование полки и поперечных ребер плит - в соответствии с усилиями от нагрузок, действующих после замоноличивания швов. Опорные моменты M01 и M03 на промежуточных диафрагмах следует определять для стадии эксплуатации (на крайних диафрагмах M01 = 0 и M03 = 0).
В неразрезной складке покрытий бесфонарных зданий опорные арматурные каркасы, устанавливаемые в швы между бортовыми элементами и плитами, а также между плитами первой и второй граней над диафрагмами, устанавливают по расчету. В остальных швах между плитами над диафрагмами каркасы устанавливают конструктивно. В покрытиях зданий с фонарями, а также в покрытиях по фонарям все арматурные каркасы устанавливают по расчету.
Если суммарное значение опорных моментов над диафрагмой, определенных из расчета по схемам разрушения, приведенным на
рисунках 9.20,
а,
г, больше изгибающего момента, определенного из расчета по схеме разрушения, приведенной на
рисунке 9.20,
в, то подбор сечения рабочих стержней арматурных каркасов, устанавливаемых в швах между бортовым элементом и плитой, а также между плитами первой и второй граней складки над диафрагмами, производят по опорным моментам, определенным из расчета по схемам разрушения, приведенным на
рисунках 9.20,
а,
г.
Если суммарное значение этих же опорных моментов над диафрагмой меньше изгибающего момента, определенного из расчета по схеме разрушения, приведенной на
рисунке 9.20,
в, то этот опорный момент следует распределить между швами таким образом, чтобы на каждый шов приходилось значение момента не меньше, чем вычисленное по схемам разрушения, приведенным на
рисунках 9.20,
а,
г.
9.54 Армирование полки, поперечных ребер плит разрезных складок покрытий и продольных ребер первой и второй граней складки подбирают из расчета для стадии эксплуатации. Армирование продольных ребер плит остальных граней складки (в средней части покрытия) определяют из расчета по стадиям изготовления, транспортирования и возведения. В покрытиях зданий с фонарями, а также в покрытиях по фонарям следует подбирать армирование продольных ребер всех плит расчетом для всех стадий их работы.
Расчет на сдвигающие усилия
9.55 Максимальные сдвигающие усилия S1 и S2, действующие справа и слева на диафрагмы в плоскости первой грани складки, воспринимаются:
- бетонными шпонками верхнего пояса диафрагм - в неразрезных складчатых покрытиях;
- стальными упорами, приваренными к закладным деталям опорных узлов диафрагм - в разрезных складчатых покрытиях;
- бетоном омоноличивания в узле опирания плит и стойки рамы фонаря на диафрагму - в покрытиях с фонарями.
Проверку наклонных сечений первой грани складки на действие сдвигающих усилий производят как для балок на действие поперечной силы.
Сварные швы в местах приварки продольных ребер плиты следует рассчитать, на действие сдвигающих усилий S1 или S2 - с учетом того, что у краев покрытия и у температурных швов, где ось первой диафрагмы смещена, сдвигающее усилие S1 или S2 передается на одно продольное ребро.
Для снижения сдвигающих усилий рекомендуется предусматривать связи между плитами первой и второй граней складки по верху торцевых ребер, что обеспечивает передачу части S1 на плиту второй грани покрытия.
9.56 В стадии эксплуатации расчет диафрагм допускается производить на вертикальные нагрузки, собираемые с грузовых площадей, приходящихся на соответствующие узлы.
Статический расчет диафрагм производят с учетом жесткости узлов как многократно статически неопределимой системы. Расчет диафрагм допускается производить как шарнирно-стержневой системы с учетом изгибающих моментов, возникающих от нарушения центрации узлов.
Конструирование коротких призматических складок
9.57 Складки могут быть одно- и многоволновыми в поперечном направлении, разрезными и неразрезными - в продольном. Короткие призматические складки рекомендуется выполнять сборно-монолитными. Сборные элементы складки сваривают между собой на монтаже, а швы между ними замоноличивают. Плиты к диафрагмам следует приваривать на всех четырех опорах по доступному контуру.
Совместную работу элементов складок рекомендуется обеспечивать:
- устройством бетонных шипов на верхнем поясе диафрагм, пазов на наружных гранях продольных и торцевых ребер плит и бортовых элементов, установкой арматурных каркасов в швах замоноличивания - для неразрезных складок;
- устройствам пазов на наружных гранях - для разрезных складок.
9.58 Призматические складки рекомендуется применять в покрытиях одноэтажных производственных зданий массового строительства пролетами 18 - 36 м с фонарями и без фонарей, с мостовыми кранами грузоподъемностью до 50 т.
К элементам складки допускается подвеска двух- или трехопорных кран-балок грузоподъемностью до 6 т или подвесного тельфера грузоподъемностью до 5 т.
9.59 Для образования призматической поверхности складки рекомендуется применять плоские ребристые плиты размерами 3 x 6 м или 3 x 12 м.
Очертание верхнего пояса диафрагм должно соответствовать поверхности складки. В неразрезных складках после замоноличивания образуется комплексное сечение верхнего пояса, что позволяет облегчать диафрагму
(рисунок 9.21).
1 - бетонные шипы на верхнем поясе диафрагмы; 2 - торцевые
ребра плит; 3 - пазы на торцевых ребрах плит; 4 - стержень,
армирующий комплексное сечение; 5 - пазы на продольных
ребрах плит; 6 - каркас в продольном шве между плитами
над диафрагмами; 7 - продольные ребра плит;
8 - верхний пояс диафрагмы
Рисунок 9.21 - Узел сопряжения плит с диафрагмой
при комплексном сечении верхнего пояса
Допускается применение типовых ферм, очертание которых не соответствует поверхности складки. В этом случае комплексное сечение не образуется, а ребра плит складки опираются на бетонные столбики, устраиваемые в узлах ферм.
9.60 Сборные железобетонные элементы складчатых покрытий рекомендуется проектировать из тяжелого (классов B20 - B30 по прочности на сжатие) или легкого (классов B15 - B20) бетона.
Диафрагмы рекомендуется проектировать из тяжелого бетона (классов B30 - B50 и выше).
9.61 В качестве предварительно напряженной арматуры продольных ребер плит, бортовых элементов и нижних поясов ферм-диафрагм рекомендуется использовать стержни из арматуры классов А500, А600, А800 и арматурные канаты класса К1400. Полку плит толщиной 30 мм рекомендуется армировать сварными сетками из арматуры класса В500. Ненапрягаемую арматуру ребер плит, элементов диафрагм, а также швов замоноличивания рекомендуется выполнять в виде сварных каркасов из арматуры классов А400, А500.
9.62 Ширину швов между плитами рекомендуется назначать не менее:
- 50 мм - для продольных швов;
- 200 мм - для поперечных швов над диафрагмами.
Омоноличивать швы рекомендуется бетоном класса по прочности на сжатие не менее B15, а в зимнее время - не менее B25.
Конструирование элементов складки
9.63 Плиты складок рекомендуется проектировать номинальными размерами 3 x 6 м и 3 x 12 м.
Продольные ребра плит рекомендуется выполнять предварительно напряженными. Высоту продольных ребер рекомендуется принимать в пределах (1/30 - 1/35)l1.
Шаг поперечных ребер рекомендуется принимать равным 1 - 2 м. Высоту поперечных ребер рекомендуется назначать в пределах 1/15 - 1/20 расчетного пролета, равного расстоянию между внутренними гранями продольных ребер.
На наружных гранях продольных ребер предусматривают пазы, обеспечивающие восприятие сдвигающих усилий между плитами. Пазы располагают на длине (1/3 - 1/4)
l1 (рисунок 9.22).
1 - торцевое ребро; 2 - то же, поперечное; 3 - то же,
продольное; 4 - полка плиты; 5 - арматурная сетка полки;
6 - пазы на продольных ребрах плиты и бортового элемента;
7 - крайний бортовой элемент
Рисунок 9.22 - Плиты и бортовые элементы
При комплексном сечении верхнего пояса диафрагм пазы рекомендуется устраивать также на торцевых ребрах. В этом случае для омоноличивания без устройства опалубки торцевые ребра устраиваются увеличенной высоты
(рисунок 9.21).
9.64 Размеры бортовых элементов, как и плит, определяют по расчету с учетом конструктивных требований. Бортовые элементы проектируют лоткового сечения с торцевыми ребрами и без промежуточных ребер
(рисунок 9.22).
(в ред.
Изменения N 3, утв. Приказом Минстроя России от 11.12.2023 N 901/пр)
Бортовые элементы рекомендуется принимать двух типоразмеров: крайние, устанавливаемые вдоль краев оболочек, и средние, устанавливаемые по всем промежуточным рядам колонн многоволновых складок и соединяющие между собой отдельные волны.
9.65 Диафрагмы складчатых покрытий рекомендуется проектировать в виде ферм сегментного очертания, безраскосных ферм или арок с железобетонной или стальной затяжкой.
В фермах-диафрагмах неразрезных складчатых покрытий предусматривают бетонные шипы на верхнем поясе, обеспечивающие совместную работу диафрагмы с плитами после омоноличивания стыка бетоном.
Диафрагмы разрезных складчатых покрытий проектируют без шипов по верхнему поясу. Совместность работы складки с диафрагмой достигается за счет сварных соединений плит и ферм, рассчитываемых на восприятие сдвигающих усилий.
Диафрагмы пролетом не более 24 м проектируют цельными. Для пролетов более 24 м выполняется устройство составных сталежелезобетонных диафрагм, монтируемых из отдельных блоков с помощью переставных подмостей. Блоки стыкуют сваркой закладных деталей, а затяжки выполняют из прокатного металла.
(в ред.
Изменения N 3, утв. Приказом Минстроя России от 11.12.2023 N 901/пр)
При стальной затяжке рекомендуется устраивать строительный выгиб узлов нижнего пояса, равный (1/200 - 1/250)l2.
Конструирование узлов складчатых покрытий
9.66 Типовые узлы рекомендуется конструировать в соответствии с
рисунком 9.23. Подвесное крановое оборудование рекомендуется крепить к диафрагмам, как в типовых конструкциях. В складчатых покрытиях допускается устройство аэрационных, светоаэрационных и зенитных фонарей с проемом шириной (1/2 - 1/3)
l2. Опирание рам фонарей следует предусматривать на верхний пояс диафрагм.
Проемы для продольных или поперечных зенитных фонарей рекомендуется устраивать с помощью плит-рамок или плит с отверстиями.
Продольные ребра плит, примыкающие к фонарному проему, рекомендуется крепить посредине пролета к стальной фонарной панели (
рисунок 9.23,
в). Фонарная панель при этом должна быть рассчитана на дополнительную нагрузку от покрытия.
а - сопряжение диафрагмы с бортовым элементом и плитой
неразрезного складчатого покрытия; б - то же, с плитой
разрезного складчатого покрытия; в - крепление плиты
к фонарной панели; 1 - диафрагма; 2 - плита складки;
3 - бортовой элемент; 4 - арматурный каркас в шве
замоноличивания; 5 - стальной упор; 6 - фонарная
панель; 7 - соединительная планка-подвеска
Рисунок 9.23 - Узлы складчатого покрытия
10.1 Купол представляет собой пространственную железобетонную конструкцию в виде выпуклой оболочки круглого, эллиптического или многоугольного очертания в плане.
Элементами куполов служат осесимметричная оболочка вращения и растянутое опорное кольцо. При наличии фонарного проема в вершине купола устраивается сжатое фонарное кольцо. Возможно устройство проемов и отверстий на боковых участках купола.
(в ред.
Изменения N 3, утв. Приказом Минстроя России от 11.12.2023 N 901/пр)
Срединную поверхность оболочки рекомендуется принимать в виде поверхности вращения: конуса, сферы, параболоида, эллипсоида и др.
(рисунок 10.1). Кроме того, оболочка может быть образована волнистыми и складчатыми элементами или выполняться сетчатой и многогранной.
а - геометрия; б - схема усилий; 1 - ось вращения;
2 - параллель; 3 - меридиан; 4 - краевой параллельный круг
Рисунок 10.1 - Оболочка вращения
10.2 Купола проектируют в виде пологих или подъемистых тонкостенных оболочек. Подъем куполов рекомендуется принимать не менее 1/10 диаметра опорного контура оболочки.
Опорное кольцо может лежать на сплошном образованном стенами основании или на отдельных колоннах.
10.3 Купольные покрытия проектируют монолитными, сборно-монолитными или сборными. Монолитные купола рекомендуется предусматривать гладкими, а сборные - из ребристых цилиндрических или плоских панелей.
При проектировании куполов следует учитывать требования
разделов 4,
5 и
6 настоящего СП по расчету и конструированию.
10.4 Расчет куполов следует производить по предельным состояниям двух групп по
разделу 4.2, при этом усилия в элементах куполов допускается определять методами теории упругости, изложенными в
10.6 -
10.9. Расчет по прочности сечений, жесткости и трещиностойкости железобетонных элементов купола производят по
СП 63.13330. Для случаев, предусмотренных
10.11 -
10.15, расчет куполов по несущей способности производят методом предельного равновесия.
10.5 Расчет купола с оболочкой с вертикальной осью вращения допускается производить по безмоментной теории с наложением усилий краевого эффекта при:
- плавных изменениях толщины стенок купола и радиуса кривизны меридиана и равномерных симметричных нагрузках, действующих на оболочку;
- свободных радиальных и угловых перемещениях краев оболочки в направлении меридиональных усилий по касательной к меридиану.
В остальных случаях напряженно-деформированное состояние купола следует определять с учетом действия изгибающих моментов.
Определение усилий по безмоментной теории
10.6 При симметричной нагрузке в стенке купола действуют нормальные меридиональные
N1 и кольцевые
N2 усилия
(рисунок 10.1).
Усилие на единицу длины меридиана
N1 определяют из условия равновесия сегмента, отсеченного от купола конической поверхностью с углом раствора

по формуле

(10.1)
где

- вертикальная равнодействующая внешней нагрузки на часть оболочки выше рассматриваемого сечения;
R2 - радиус кривизны нормального сечения, перпендикулярного к меридиану в данной точке (длина нормали поверхности до оси вращения).
Распор купола H определяют как горизонтальную проекцию N1 по формуле

(10.2)
где

-
1/
2 центрального угла дуги оболочки в меридиональном направлении.
Растягивающее усилие N0 в кольце определяют по формуле

(10.3)
Усилие N0 должно быть воспринято кольцевой арматурой.
Кольцевое усилие Nsk в фонарном кольце определяют по формуле

(10.4)
где p - нагрузка на 1 м фонарного кольца.
Индексы "0" и "
sk" в
формулах 10.2 -
10.4 указывают на то, что все переменные величины, входящие в эти формулы, относятся соответственно к широте опорного и фонарного колец оболочки.
Значение кольцевого усилия N2 определяют по формуле

(10.5)
где z - нормальная к поверхности купола в рассматриваемом сечении составляющая внешней нагрузки на единицу площади поверхности.
Для сферической оболочки при R1 = R2 = R

(10.7)
здесь pz - вертикальная составляющая внешней нагрузки.
Формулы для определения усилий в элементах сферического купола по безмоментной теории приведены в
таблице 10.1.
где

- угол наклона образующей к плоскости основания конуса.
10.7 При одностороннем нагружении сферического купола нагрузкой q ее распределение по поверхности z допускается определять по формуле

(10.8)
где q - нагрузка на единицу площади горизонтальной проекции;

- половина центрального угла в меридиональном направлении;

- центральный угол в кольцевом направлении.
Нормальные усилия N1, N2 и сдвигающие усилия S определяют по формулам:

(10.9)

(10.10)

(10.11)
Усилия, кН | Схема нагружения |
Нагрузка собственного веса купола и веса кровли g, кПа (толщина оболочки постоянная) | Равномерно распределенная нагрузка на горизонтальной проекции p, кПа | Вертикальная распределенная линейная нагрузка на фонарном кольце Pk, кН/м |
N1 | | | |
N2 | | | |
Nk | | | |
Nsk | 0 | 0 | |
10.8 Краевые изгибающие моменты M0 и распор купола H0 вблизи кольца рекомендуется определять методом сил. Система канонических уравнений, выражающих совместность угловых и линейных перемещений купола и опорного кольца по линии их контакта, имеет вид

(10.12)
где a11 - взаимный угол поворота от действия M0 = 1 в направлении этого момента в сечении вблизи кольца;
a12 - то же, от действия H0 = 1 в направлении момента;
a21 - взаимное перемещение от действия M0 = 1 в направлении H0;
a12 = a21 в силу взаимности перемещений;
a22 - взаимное перемещение от H0 = 1 в направлении H0;
a10 - взаимный угол поворота в том же сечении, вызванный внешней нагрузкой;
a20 - взаимное перемещение, вызванное внешней нагрузкой, при совпадении с направлением H0 считается положительным.
Если углы a12 и a10 совпадают по направлению с углом поворота a11, вызванным действием M0 = 1, то их принимают со знаком "плюс", если не совпадают - со знаком "минус". Такое же правило знаков принимается и для линейных перемещений. Перемещения a11 и a22 всегда положительны.
10.9 Перемещения сферической оболочки
a10 и
a20 определяют по формулам:
- при нагрузке от собственного веса

(10.13)

(10.14)
- при равномерно распределенной нагрузке
p0 на горизонтальную проекцию (по поверхности оболочки распределяется по закону косинуса

):

(10.15)

(10.16)
Значения коэффициента A определяются по формулам:
для гладких куполов
для ребристых куполов
где In - момент инерции, приходящийся на единицу длины, с учетом меридиональных ребер;

- приведенная толщина оболочки с учетом сечения кольцевых ребер.
Определение краевого эффекта по приближенной моментной теории
10.10 При воздействии распора
H0 в опорном кольце возникают моменты
H0·
e (рисунок 10.2), вызывающие поворот кольца на угол

, который определяют по формуле

(10.17)
Рисунок 10.2 - Расчетная схема узла сопряжения
опорного кольца и оболочки купола
Перемещения края оболочки, вызванные радиальным распором
H0, приведены на
рисунке 10.3.
Коэффициенты уравнения метода сил
a11,
a12,
a22, т.е. перемещения краев любых непологих оболочек от действия
M0 = 1 и
H0 = 1
(рисунок 10.4) определяют на основе моментной теории по следующим формулам:

(10.18)

(10.19)

(10.20)
где D - изгибная жесткость меридиональной полосы единичной ширины купола.
Рисунок 10.3 - Перемещения края оболочки,
вызванные радиальным распором H0
а - момент; б - распор
Рисунок 10.4 - Момент и распор при взаимодействии
оболочки и опорного кольца купола
Интенсивности моментов

и кольцевых усилий

в произвольной точке по длине меридиана оболочки в зависимости от краевых значений моментов
M0 и
H0 определяют по формулам, полученным на основе теории балки на упругом основании:

(10.21)

(10.22)
здесь N2 - кольцевое усилие в безмоментной оболочке;
Значение

определяют по формуле
Отсчет длины дуги
S или значения

следует производить от края, к которому приложены
M0 и
H0.
| | | | | |
0 | 1 | 0 | 1,6 | -0,0059 | 0,2018 |
0,1 | 0,9004 | 0,0903 | 1,7 | -0,0236 | 0,1812 |
0,2 | 0,8024 | 0,1627 | 1,8 | -0,0376 | 0,161 |
0,3 | 0,7078 | 0,2189 | 1,9 | -0,0484 | 0,1415 |
0,4 | 0,6174 | 0,261 | 2 | -0,0564 | 0,1231 |
0,5 | 0,5323 | 0,2908 | 2,1 | -0,0618 | 0,1057 |
0,6 | 0,453 | 0,3099 | 2,2 | -0,0652 | 0,0896 |
0,7 | 0,3798 | 0,3199 | 2,3 | -0,0668 | 0,0748 |
0,8 | 0,313 | 0,3223 | 2,4 | -0,0669 | 0,0613 |
0,9 | 0,2528 | 0,3185 | 2,5 | -0,0658 | 0,0491 |
1 | 0,1988 | 0,3096 | 2,6 | -0,0636 | 0,0383 |
1,1 | 0,151 | 0,267 | 2,7 | -0,0608 | 0,0287 |
1,2 | 0,1092 | 0,2807 | 2,8 | -0,0573 | 0,0204 |
1,3 | 0,0729 | 0,2626 | 2,9 | -0,0535 | 0,0133 |
1,4 | 0,0419 | 0,2430 | 3 | -0,0493 | 0,00703 |
1,5 | 0,0158 | 0,2226 | | | |
Расчет несущей способности куполов методом предельного равновесия
10.11 Расчет несущей способности железобетонных куполов кинематическим способом метода предельного равновесия рекомендуется производить согласно
10.12 -
10.15 при условии, что:
- осесимметричная нагрузка интенсивностью q равномерно распределена по горизонтальной проекции купола;
- форма купола - сферическая;
- отношение диаметра контура к стреле подъема не превышает 10;
- арматура состоит из меридиональных и кольцевых стержней, образующих верхнюю и нижнюю сетки;
- оболочка вращения опирается по всему периметру (если опорное кольцо опирается в отдельных точках, в нем должна быть уложена дополнительная арматура, необходимая для восприятия вертикальных составляющих усилий на контуре);
- исчерпание несущей способности купола происходит вследствие текучести арматуры.
10.12 Схему разрушения купола принимают в виде системы сквозных меридиональных трещин, начинающихся у растянутого контура и соединенных по концам раскрывающимися вниз кольцевыми пластическими шарнирами
(рисунок 10.5). При равномерно распределенной по горизонтальной проекции нагрузке принимается, что поверхность купола сферическая, с центральным углом, не превышающим 90°, или близкая к сферической, образованная вращением квадратной или кубической параболы, а также гиперболы или цепной линии (на основе функции гиперболического косинуса). Для сферических куполов в рассматриваемых условиях при

область реализации данной схемы излома может быть принята для значений 2
r0/
f >= 3,5 (
r0 - радиус опорного кольца).
10.13 Для сферических куполов-оболочек при постоянных предельных моменте и усилии в кольцевых стержнях стенки, приходящихся на единицу длины меридиана для значений 3,5 <= 2r0/f <= 10 и nr0/m <= 800, интенсивность равномерно распределенной по горизонтальной проекции купола нагрузки определяют по формуле

(10.23)
где

- безразмерный коэффициент, зависящий от пологости 2
r0/
f отношения
nr0/
m;
k - безразмерный коэффициент, зависящий от пологости 2r0/f;
nc - предельное усилие в опорном кольце;
m - момент (на единицу длины) предельных усилий в меридиональной арматуре относительно оси 0-0
(рисунок 10.6), проходящей через центр тяжести сжатой зоны бетона, определяемый по формуле

(10.24)
здесь As,mb - площадь сечения меридиональной арматуры нижней сетки на единицу длины кольцевого направления;
h0 - рабочая высота сечения;
x - высота сжатой зоны бетона, определяемая последовательным приближением с соблюдением
условия (10.27).
а - поперечное сечение; б - схема разрушения
Рисунок 10.5 - К расчету купола методом
предельного равновесия
Рисунок 10.6 - Схема взаимодействия усилий
в куполе в предельном состоянии
Предельное усилие на единицу длины в кольцевых стержнях поля оболочки n определяется по формуле
n = Rs(As,c + A's,c) = qs + q's, (10.25)
где As,c и A's,c - площадь сечения кольцевой арматуры соответственно нижней и верхней сеток на единицу длины радиального направления;
qs, q's - погонные усилия, воспринимаемые кольцевой арматурой купола соответственно в растянутой и сжатой зонах рассматриваемого сечения купола.
Предельное усилие в опорном кольце nc определяется по формуле
nc = RsAs,co, (10.26)
где As,co - площадь сечения кольцевых стержней опорного кольца.
Значения коэффициентов

и
k принимают по графикам
рисунка 10.7, при этом для значений 3,5 <= 2
r0/
f < 5 следует соблюдать условие

.
Рисунок 10.7 - Графики для определения
коэффициентов
, k, 
Формулу (10.23) применяют и при проверке прочности нормальных сечений опорного кольца купола.
10.14 Для предотвращения преждевременного разрушения бетона в сжатой зоне кольцевого пластического шарнира до достижения в растянутой арматуре ее расчетного сопротивления Rs следует выполнять условие

(10.27)
где

- относительная высота сжатой зоны бетона;

- граничное значение относительной высоты сжатой зоны бетона, определяемое по указаниям
СП 63.13330.
Требуемое для определения высоты сжатой зоны бетона
x значение нормальной силы
N (рисунок 10.6) находят по формуле

(10.28)
где
r - радиус пластического шарнира, определяемый по формуле

;
rs - радиус сферы;

- угол наклона силы
N;

- угол наклона касательной к меридиану на опоре.
Значения

принимают по графикам на
рисунке 10.7, при этом для 2
r0/
f = 3,5 значения

следует определять с учетом отношения
nc/
n.
Приближенный расчет несущей способности купола
10.15 Для свободно опертых по контуру сферических оболочек вращения с меридионально-кольцевой схемой разрушения расчет производят из условия равновесия рассматриваемой части оболочки
(рисунок 10.8). При этом работой внутренних сил в кольцевом пластическом шарнире допускается пренебречь.
Рисунок 10.8 - К расчету купола по "балочной" схеме
Значение угловой координаты

, ограничивающей сжатую зону бетона, определяют по формуле

(10.29)
где B = Rbh0 + qs + q's;
As,c0 - площадь сечения всех кольцевых стержней опорного кольца;
R - радиус кривизны срединной поверхности купола;

- угловая координата края купола;
Rb - призменная прочность бетона;
qs, q's - погонные усилия, воспринимаемые кольцевой арматурой купола соответственно в растянутой и сжатой зонах рассматриваемого сечения купола;
h0 - рабочая высота сечения стенки купола.
Из равенства моментов внешних и внутренних сил после интегрирования следует

(10.30)
где ke = ec0/R;
ec0 - расстояние от центра тяжести рабочей арматуры кольца до центра окружности 0;
M - момент внешних сил относительно оси, проходящей через центр окружности 0.
Значение суммарной внешней нагрузки
P (рисунок 10.8) определяют по формуле

(10.31)
где k - коэффициент, зависящий от вида опирания и характера внешней нагрузки (0 <= k <= 1);
r0 - радиус основания купола.
Формулы для определения
k для характерных случаев опирания и различных видов нагружения приведены в
таблице 10.3.
Вид нагрузки | Вид опирания |
на 3 точки | на 4 точки | на 5 точек | на 6 точек | по всему контуру |
Равномерно распределенная по всей поверхности | | | | | |
Кольцевая распределенная по радиусу x | | | | | |
Сосредоточенная в вершине оболочки | | | | | 1 |
Собственный вес оболочки | | | | | |
Расчет несущей способности купола с учетом деформированного состояния
10.16 В основе расчета купола лежит меридионально-кольцевая схема разрушения, представленная на
рисунке 10.5.
Для удобства расчета срединную поверхность оболочки принимают в виде параболоида вращения, описываемого уравнением
где

;
здесь f - стрела подъема оболочки;
r0 - радиус окружности ее основания.
Расстояние от оси оболочки до кольцевого пластического шарнира находят из условия равновесия по формуле
где

;
n =
As,c0Rs;
k = (
Rbh0 +
q's)/
qs,
здесь As,c0 - площадь сечения кольцевых стержней опорного кольца;
Rb - призменная прочность бетона;
qs и
q's - погонные усилия, воспринимаемые кольцевой арматурой купола, соответственно в растянутой и сжатой зонах рассматриваемого сечения купола
(рисунок 10.8).
В начальной стадии деформирования несущую способность оболочки определяют по формуле

(10.32)
где
a = k + 1 - kn;
w* - относительный прогиб оболочки;
m - погонное значение предельного изгибающего момента в верхнем кольцевом пластическом шарнире
здесь As,mb - площадь сечения меридиональной арматуры нижней сетки на единицу длины кольцевого направления;
x - высота сжатой зоны сечения, определяемая с соблюдением
условия (10.27).
10.17 При расчете оболочки с опорным кольцом на равномерно распределенную нагрузку с разрушением по представленной на
рисунке 10.5 схеме расчетное значение равномерно распределенной нагрузки

рекомендуется определять по
формуле (10.32) при значении критического прогиба


(10.33)
где

.
10.18 На стадии предварительного проектирования толщину стенок гладких куполов рекомендуется принимать равной от 1/800 до 1/600 радиуса кривизны оболочки в вершине. Высоту ребер сборных куполов-оболочек определяют из условий изготовления, транспортирования и монтажа элементов. Толщина оболочки и размеры сечения ребер должны быть не менее, чем это предусмотрено в
разделе 6.
10.19 Армирование гладких оболочек при толщине до 70 мм рекомендуется выполнять конструктивно, одиночной сеткой из стержней диаметром 4 - 6 мм, с шагом 150 - 200 мм. При большей толщине рекомендуется устанавливать две сетки.
В зоне примыкания оболочки к кольцу толщину оболочки увеличивают и устанавливают дополнительную сетку со стержнями диаметром 6 - 8 мм меридионального направления (
рисунок 10.9,
а,
б). Число стержней рассчитывают по максимальному меридиональному изгибающему моменту.
В местах действия на купол сосредоточенных нагрузок, а также около отверстий и проемов предусматривают дополнительную конструктивную или расчетную арматуру с учетом
6.5.
10.20 Распор купола воспринимается растянутым опорным кольцом, которое рекомендуется выполнять предварительно напряженным. Выбор значения усилия обжатия и конструирование опорного кольца следует производить из условия обеспечения трещиностойкости кольца и допустимой ширины раскрытия трещин согласно
СП 63.13330.
а - обычного опорного кольца купола; б - предварительно
напряженного кольца купола; в - сборного элемента (плиты);
г - продольных ребер плиты; д - узла сопряжения продольного
ребра плиты с предварительно напряженным опорным кольцом;
е - узла сопряжения продольного ребра с верхним кольцом;
1 - продольное ребро; 2 - поперечное ребро; 3 - арматурная
сетка плиты; 4 - сварные каркасы поперечных ребер;
5 - сварной каркас продольного ребра; 6 - стальные закладные
детали в продольном ребре; 7 - стальные закладные детали
в элементах кольца; 8 - бетон омоноличивания напрягаемой
арматуры; 9 - предварительно напряженная арматура кольца;
10 - шов замоноличивания; 11 - верхнее опорное кольцо;
12 - стальные соединительные накладки
Рисунок 10.9 - Армирование монолитных и сборных
железобетонных куполов и их элементов
При проектировании следует учитывать способ предварительного напряжения опорного кольца. Рекомендуется предусматривать механическое натяжение пучков, канатов или стержней
(рисунок 10.10), располагаемых в прямолинейных или криволинейных пазах кольца и закрепляемых в одном или нескольких его выступах в зависимости от диаметра кольца. Для стержневой арматуры допускается натяжение арматуры с применением электрического нагрева. Полигонально-кольцевую арматуру допускается натягивать оттяжкой с помощью радиально установленных домкратов.
10.21 Для купольных покрытий диаметром не более 30 м при устройстве на уровне кольца купола горизонтального покрытия или перекрытия, опоясывающего купол по всему периметру, распор рекомендуется передавать на это перекрытие. Перекрытие в этом случае проектируют с учетом передающихся на него распора и изгибающих моментов.
10.22 Меридиональные и кольцевые ребра сборных купольных покрытий рекомендуется армировать ортогональными
(рисунок 10.11) или ромбическими сетками.
10.23 Схема армирования ребер приведена на
рисунке 10.9,
в. Если распределенная нагрузка - основная и в средней зоне покрытия изгибающие моменты в ребрах плит незначительны, ребра армируют по расчету на монтажные нагрузки. В приконтурной зоне купола арматуру ребер принимают из условия восприятия краевых изгибающих моментов при расчетной нагрузке. Арматуру меридиональных ребер следует заводить в опорное и фонарное кольца или соединять с закладными деталями (
рисунок 10.9,
е).
а - схема армирования; б - деталь анкерного узла;
1 - арматурные пучки или стержни; 2 - выступ; 3 - анкер;
4 - спирали
Рисунок 10.10 - Предварительно напряженное
опорное кольцо купола
а - общий вид; б - план; в - трапециевидная плоская плита;
1 - монолитное нижнее опорное кольцо; 2 - монолитное
верхнее опорное кольцо
Рисунок 10.11 - Сборный купол из плоских ребристых плит
10.24 Покрытия и перекрытия зданий и сооружений можно проектировать в виде складчатого купола (
рисунок 10.12,
а) из сопряженных купольных оболочек (
рисунок 10.12,
б,
в), а также в виде неполного купола.
а - складчатый купол; б, в - сопряженные купольные оболочки
Рисунок 10.12 - Формы купольных оболочек
11 Пологие оболочки положительной гауссовой кривизны на прямоугольном плане
11.1 Пологими считаются оболочки с подъемом над опорным планом, не превышающим
f1 <= a/5 и f2 <= b/5,
где 2a и 2b - размеры стороны оболочки в плане;
Рисунок 11.1 - Схема оболочки положительной
гауссовой кривизны
11.2 В качестве срединной поверхности пологих оболочек рекомендуется использовать поверхность переноса или вращения. Образующими для всех поверхностей рекомендуется принимать круговые кривые. Допускается применение таких поверхностей, как эллиптический параболоид, эллипсоид вращения, тор и др.
Выбор типа поверхности сборных оболочек следует производить с учетом схемы разрезки, возможностей унификации и технологичности изготовления сборных элементов, а также условий возведения оболочек.
Для сокращения типоразмеров сборных плит сборных оболочек в качестве срединной рекомендуется использовать часть тороидальной поверхности с положительной кривизной, а членение оболочек на плиты осуществлять системой радиальных секущих плоскостей, проходящих через ось вращения, и системой вертикальных плоскостей, перпендикулярных к этой оси
(рисунок 11.2).
1 - элемент членения; 2 - вертикальные секущие плоскости;
3 - ось вращения радиальных секущих плоскостей;
4 - радиальные секущие плоскости
Рисунок 11.2 - Схема членения исходной поверхности
оболочки на сборные элементы
11.3 Оболочки по контуру следует опирать на диафрагмы, выполняемые в виде арок, ферм или балок, а также криволинейных брусьев, уложенных на стены.
Контурные балки рекомендуется применять в отдельно стоящих оболочках при часто расположенных по периметру здания колоннах, а в многоволновых оболочках - по наружным рядам колонн.
В остальных случаях (по средним рядам и деформационным швам) рекомендуется устанавливать фермы или арки. Фермы - как более жесткие в вертикальной плоскости, обеспечивают более благоприятную в статическом отношении работу оболочек на смежных диафрагмах.
11.4 В зависимости от числа и расположения ячеек здания оболочки проектируют отдельно стоящими (одноволновыми) и многоволновыми в одном и двух направлениях. Многоволновые оболочки проектируют разрезными и неразрезными. К разрезным многоволновым относятся такие оболочки, в которых с помощью специальных конструктивных мер обеспечивается возможность горизонтальной податливости контура не только крайних, но и средних волн оболочек. К разрезным следует относить также оболочки, осуществляемые по типу тангенциально-подвижных, расчетная схема которых близка к отдельно стоящим. Конструкция типовых сборных железобетонных оболочек положительной гауссовой кривизны с тангенциально подвижными диафрагмами приведена на
рисунке 11.3.
а - общий вид оболочки; б - план оболочки размером
18 x 24 м; в - цилиндрические ребристые панели размером
3 x 6 м; г - деталь сопряжения смежных оболочек;
1 - железобетонный упор верхнего пояса диафрагмы;
2 - контурные плиты; 3 - стальные упоры;
4 - бетон замоноличивания угловой зоны;
5 - соединительные накладки
Рисунок 11.3 - Конструкция типовых сборных железобетонных
оболочек с тангенциально подвижными диафрагмами
В неразрезных оболочках приконтурные зоны соседних конструкций жестко соединяются между собой и с диафрагмами.
11.5 Сборные многоволновые оболочки
(рисунок 11.4) проектируют разрезными.
(в ред.
Изменения N 3, утв. Приказом Минстроя России от 11.12.2023 N 901/пр)
Рисунок 11.4 - Общий вид многоволновых сборных
железобетонных оболочек положительной гауссовой кривизны
Неразрезные оболочки обладают большей жесткостью, но требуют дополнительного расхода стали для обеспечения неразрезности. Неразрезные оболочки рекомендуется применять при нагрузках на покрытие, превышающих 6 кН/м2, а также в районах с сейсмичностью 7 баллов и более. Монолитные многоволновые оболочки рекомендуется проектировать неразрезными.
11.6 В оболочках допускается устройство зенитных или светоаэрационных фонарей, располагаемых в средней зоне по
6.5.
На оболочки допускается передавать нагрузки от подвесных кранов или тельферов, пути которых крепятся к оболочкам на специальных подвесках.
Расчет отдельно стоящих (одноволновых) оболочек
11.7 Усилия и деформации в отдельно стоящих оболочках рекомендуется определять расчетом методом конечных элементов с учетом конструктивных особенностей оболочек (наличие ребер, отверстий, переломов поверхности) и фактической жесткости бортовых диафрагм.
11.8 Предварительные расчеты пологих оболочек допускается выполнять по безмоментной теории с учетом краевого эффекта или по моментной теории с определением всех усилий, показанных на
рисунке 11.5.
Рисунок 11.5 - Схема усилий в пологих оболочках
Безмоментную линейную теорию с учетом изгибающих моментов, возникающих в приопорных зонах, допускается применять для предварительных расчетов шарнирно-опертых гладких оболочек с подъемом

при равномерно распределенной нагрузке. При этом шарнирным принимают опирание оболочки на стены или на часто расположенные по контуру колонны, а также на достаточно жесткие в своей плоскости и гибкие из плоскости диафрагмы, например, в виде железобетонных ферм с предварительно напряженным нижним поясом.
11.9 Целесообразность расчета оболочки по нелинейной теории рекомендуется устанавливать следующим образом:
- по формулам линейной теории определяется максимальный прогиб w1 при действии полной нагрузки;
- значение прогиба w1 подставляется в формулы нелинейной теории, по которым определяется значение нагрузки qn, соответствующее прогибу wl. Если qn меньше q (на 5% и более), то оболочку следует рассчитывать по нелинейной теории.
Для оболочки, края которой в плане свободно смещаются или шарнирно оперты, или защемлены, нелинейная зависимость между нагрузками q и прогибом w в центре опорного плана оболочки выражается формулой

(11.1)
где

,

;

- безразмерные величины;
f0 - начальный подъем оболочки;

,

,

,

- коэффициенты для квадратной в плане оболочки со стороной 2
a для шести схем граничных условий, принимаемые по
таблице 11.1.
Схема граничного условия (штриховкой обозначены защемленные края) | | | | |
I | | +8,63 | -19,62 | +9,92 | +22,12 |
II | | +9,9 | -19,05 | +8,15 | +32,51 |
III | | +7,57 | -13,65 | +5,48 | +46,07 |
IV | | +12,45 | -20,18 | +7,27 | +43,59 |
V | | +10,31 | -15,64 | +5,27 | +56,99 |
VI | | +9,24 | -13,1 | +4,13 | +68,89 |
Примечание - Значения коэффициента  приведены для коэффициента Пуассона  ; при других значениях коэффициента Пуассона значение  следует умножать на коэффициент  . |
Для оценки влияния геометрической нелинейности на значение нагрузки первоначально подсчитывают наибольшее значение всех нагрузок
q*, далее по формуле

определяют безразмерное значение прогиба

, с применением которого по
формуле (11.1) вычисляют соответствующее значение нагрузки
qn* и относительную разницу между
qn* и
q* по формуле

(11.2)
11.10 Для безмоментной оболочки с шарнирным опиранием по контуру нормальные и сдвигающие силы N1, N2 и S допускается определять по формулам:

(11.3)
где

(11.4)
11.11 При расчете диафрагм значение сдвигающих усилий на приопорных участках (0,04 - 0,05 длины пролета) рекомендуется определять по разности между внешней нагрузкой и вертикальной проекцией сдвигающих сил на остальной части пролета.
11.12 Значения изгибающих моментов M1 и M2, действующих в моментной зоне оболочки в двух взаимно перпендикулярных направлениях, и крутящие моменты T12 следует определять по формулам:

(11.5)
где f1(x) и f1(y) - функции, характеризующие изгибное состояние оболочки на контуре;
Функция f1(x) и ее производные имеют вид:

(11.6)
Функция
f1(
y) и ее производные имеют вид
(11.6) с заменой индекса
x на
y и
s1 на
s2. Для удобства вычисления начало координат располагают в углу оболочки.

(11.7)
Максимальные значения изгибающих (M1)max и (M2)max и крутящих (T12)max моментов при x = y = 0 следует определять по формулам:

(11.8)
11.13 Усилия при равномерно распределенной нагрузке при расчете отдельно стоящих квадратных в плане оболочек со сторонами l по моментной теории рекомендуется определять по формулам:
- нормальные силы
N1 в направлении оси
x и
N2 в направлении оси
y по линии
y = 0
(рисунок 11.6):

(11.9)
- изгибающие моменты
M направлении оси
x по линии
y = 0
(рисунок 11.7):
M = ql2kM, (11.10)

(11.11)
- главные усилия
Npr, действующие в оболочке (в направлении диагонали
рисунок 11.9 - кривая 1) и нормально к ней (
рисунок 11.9 - кривая 2):

(11.13)
Рисунок 11.6 - Графики коэффициентов kN1, kN2
Рисунок 11.7 - Графики коэффициентов kM
Рисунок 11.8 - Графики коэффициентов kS, kQ
Рисунок 11.9 - Графики коэффициентов kpr
11.14 При расчете отдельно стоящих шарнирно опертых оболочек по безмоментной теории с учетом краевого эффекта или по моментной теории следует учитывать податливость контурных диафрагм.
11.15 Расчет требуемого сечения арматуры в угловой зоне оболочки следует производить на действие главных растягивающих усилий на грани оболочки, направленных под углом 45° к контуру и численно равных сдвигающим усилиям. Для квадратных в плане оболочек главные усилия, действующие в направлении диагонали и нормально к ней, следует определять по
формуле (11.13), а сдвигающие по граням оболочки - по
формуле (11.11).
11.16 Расчет диафрагмы оболочек следует производить на действие сдвигающих сил
S, касательных к срединной поверхности оболочки, обратных по направлению и равных по значению сдвигающим усилиям в оболочке, а также поперечных сил. Для квадратных в плане оболочек сдвигающие усилия и поперечные силы, действующие по граням, следует определять по
формулам (11.11) и
(11.12).
При расчете диафрагмы в виде ферм усилия следует прикладывать в узлы. При переносе усилий с оси оболочки на ось диафрагмы следует учитывать возникающие при этом дополнительные моменты.
Учет жесткости контурных диафрагм и их влияние на напряженно-деформированное состояние оболочек
11.17 Расчет оболочек следует производить с учетом жесткости контурных диафрагм, существенно влияющей на напряженно-деформированное состояние оболочки, особенно в приконтурной зоне оболочки (пример графиков, построенных по результатам расчета, приведен на
рисунке 11.10).
При шарнирном опирании на жесткие диафрагмы усилия N2 на контуре равны нулю. При диафрагмах в виде ферм оболочка в краевой зоне испытывает незначительное растяжение от усилий N2. При диафрагмах в виде арок, обладающих значительной податливостью, в результате сжимающих напряжений от изгиба контура оболочка в приконтурной зоне оказывается сжатой. При податливых диафрагмах в виде арок от изгиба растянута верхняя грань оболочки, при более жестких диафрагмах в виде ферм - растянута нижняя грань. Таким образам, лишь при достаточной жесткости диафрагм, например, в виде железобетонных ферм с предварительно напряженным нижним поясом, допустимо в первом приближении вести расчет без учета податливости диафрагм. Расчет может производиться по безмоментной теории с учетом краевого эффекта или по моментной теории.
В оболочках с контурными элементами в виде криволинейного бруса, опертого на колонны, распределение усилий в приконтурной зоне отлично от оболочек с контурными элементами других видов (арки, фермы и др.), что должно учитываться при расчете и конструировании.
1 - без учета податливости диафрагм;
2 - с учетом податливости диафрагм в виде ферм;
3 - то же, в виде арок
Рисунок 11.10 - Графики усилий N1, N2, S и M
в отдельно стоящей оболочке по результатам расчетов
Усилия в колоннах, изгибающие моменты в контурных элементах и их прогибы допускается определять приближенно - из расчета контурных брусьев как неразрезных балок на равномерно распределенную по их длине нагрузку интенсивностью, равной частному от деления общей нагрузки на оболочку на длину контура в осях. Из расчета контурных брусьев как неразрезных балок могут быть найдены усилия в них и от осадки колонн (опор).
11.18 При расчете и конструировании оболочек следует учитывать, что в отдельно стоящих оболочках упругая податливость диафрагм влияет существенно лишь на усилия, действующие в сечениях у диафрагм, а в средних оболочках многоволнового покрытия - на усилия по всей конструкции (пример графиков, построенных по результатам расчета, приведен на
рисунке 11.11).
При расчете с учетом действительной жесткости диафрагм в виде арок и ферм по линии сопряжения оболочек возникают усилия растяжения, причем при более гибких диафрагмах в виде арок действуют большие растягивающие усилия N1. При абсолютно жестких диафрагмах усилия N2 на контуре равны нулю, а по всему сечению - сжимающие. При учете податливости диафрагм в сечениях оболочек у контура возникают усилия растяжения и существенно увеличиваются сдвигающие усилия.
1 - с учетом податливости диафрагм в виде ферм; 2 - то же,
в виде арок; 3 - то же, в виде криволинейных ригелей;
4 - без учета податливости диафрагм
Рисунок 11.11 - Графики усилий N1, N2, S и M
в многоволновых неразрезных оболочках
по результатам расчетов
Расчет с учетом действительной жесткости контурных элементов рекомендуется выполнять путем наложения на основное напряженно-деформированное состояние от действия нагрузки на шарнирно-опертую по контуру оболочку дополнительных значений усилий и перемещений, вызванных воздействием на основную систему "лишних" неизвестных, учитывающих совместную работу оболочки с примыкающими конструкциями. При этом в качестве неизвестных используют краевой изгибающий момент, краевое нормальное усилие, продольные и нормальные к поверхности перемещения точек края оболочки и определяют их из решения системы четырех канонических уравнений, составленных из условия, что деформации, вызванные на одном краю оболочки, затухают, не дойдя до трех других краев.
Расчет несущей способности оболочек методом предельного равновесия
11.19 При расчете несущей способности оболочки методом предельного равновесия на действие равномерно распределенной нагрузки в числе наиболее опасных следует рассматривать общую
(рисунок 11.12) и местную
(рисунок 11.13) схемы разрушения оболочки.
а - механизм разрушения; б - схема излома оболочки в плане;
в - эпюры пластических деформаций по линиям излома;
1 - первоначальная форма оболочки; 2 - форма оболочки
в стадии предельного равновесия; 3 - линии излома
(пластические шарниры); 4 - растянутые (разрывные)
участки линий излома; 5 - то же, сжатые
Рисунок 11.12 - Схема разрушения гладкой оболочки
при действии равномерно распределенной нагрузки
1 - вероятные места образования вмятин;
2 - кривая прогибов
Рисунок 11.13 - Схема разрушения оболочки
с образованием локальной вмятины
Для общей схемы разрушения оболочки уравнения равновесия внешних и внутренних сил составляют без учета изменения геометрии поверхности.
Для местной схемы разрушения оболочки следует учитывать изменение формы поверхности оболочки в ограниченной области. В ребристых железобетонных оболочках при действии распределенных нагрузок следует рассматривать местное разрушение полки между ребрами, а в случае приложения сосредоточенных нагрузок - разрушение в виде конуса с вершиной под сосредоточенной силой.
11.20 При выполнении предварительного расчета оболочки на прямоугольном плане со сторонами 2
a и 2
b и радиусами кривизны срединной поверхности
Rx и
Ry, с шарнирным опиранием по контуру, нагруженной равномерно распределенной нагрузкой интенсивностью
q, необходимую площадь дополнительной косой арматуры

в угловых зонах рекомендуется определять по формуле

(11.14)
где K = 1 при шарнирном опирании оболочки по контуру и K = 4 при ее опирании по углам;
qsd - усилие, воспринимаемое арматурой сетки плиты на длине 1 м в диагональном сечении;
Rd - приведенный радиус кривизны диагонального сечения, определяемый по формуле

- угловая координата края оболочки в диагональном сечении, определяемая по формуле
Acon - площадь сечения контурной арматуры, расположенной в контурных элементах на расстоянии t от плоскости, проходящей через вершины углов срединной поверхности;
Rsy, Rs,con - расчетное сопротивление соответственно косой арматуры в угловой зоне и арматуры контура;

- угол наклона косой арматуры к диагонали плана;
t1 - расстояние от равнодействующей усилий в косой угловой арматуре до плоскости, проходящей через вершины углов срединной поверхности.
Если в
формуле (11.14) 
, то дополнительной косой арматуры в угловой зоне по расчету не требуется.
При расчете требуемого сечения контурной арматуры оболочки, опертой по углам, следует обеспечивать прочность оболочки по среднему сечению.
11.21 Расчет несущей способности оболочки с шарнирным опиранием по контуру при общей схеме разрушения от действия равномерно распределенной нагрузки рекомендуется производить по пятидисковой схеме излома
(рисунок 11.12).
11.22 Для оболочек в форме эллиптического параболоида и для других форм пологих оболочек расчетное значение предельной нагрузки q рекомендуется определять по формулам:

(11.15)
где
f1, f2 - стрелы подъема оболочки на контуре;
Ai, Ay - площадь сечения стержня соответственно арматурной сетки и дополнительной косой (угловой) арматуры;
u,
u1 - расстояния соответственно между стержнями арматурной сетки плиты и между угловыми стержнями дополнительной косой арматуры (общее количество дополнительной косой арматуры в угловых зонах задается на основе расчета по
11.20);

и

- параметры схемы излома, определяющие размеры среднего диска
(рисунок 11.12) и соответствующие минимуму функции

.
Минимум функции

рекомендуется определять численно.
11.23 При расчете несущей способности прямоугольных в плане ребристых оболочек с шарнирным опиранием по контуру сечение арматуры ребер в поле оболочки рекомендуется принимать как равномерно распределенное по поверхности, проведенной через центры тяжести арматуры подкрепляющих ребер параллельно срединной поверхности оболочки.
Для ребристой оболочки с квадратным планом с одинаковым шагом ребер lrib в обоих направлениях, а также для квадратных в плане гладких оболочек расчетное значение предельной нагрузки q рекомендуется определять по формуле

(11.17)
где Arib - площадь сечения нижней арматуры ребер;
h0 - расстояние от нижней арматуры ребер до срединной поверхности поля оболочки;

- параметр схемы излома оболочки, отвечающей минимуму функции

и определяемый методом перебора неизвестной

в пределах

.
Для квадратных в плане гладких оболочек в
формуле (11.17) следует принимать

.
11.24 Одной из возможных схем местного разрушения железобетонных оболочек при значении параметра кривизны
k' > 60 следует рассматривать образование одиночной вмятины - преимущественно в угловой зоне оболочки. Значение кривизны
k' определяется по формуле

(11.19)
где a и b - половина длины сторон оболочки, а R1 и R2 - главные радиусы кривизны срединной поверхности.
Для оболочек с параметром k' > 60 наряду с расчетом по общей схеме следует оценивать несущую способность оболочки при локальном разрушении.
11.25 Для защемленных по контуру оболочек расчетное значение предельной нагрузки
q при местном разрушении с образованием отдельной вмятины определяют для части оболочки во вмятине, условно представляющей собой круглую в плане сферическую оболочку с упругим защемлением по контуру, по формуле

(11.20)
где

- угловая координата вмятины;
R - начальный радиус кривизны срединной поверхности оболочки во вмятине;
h0 - полезная высота сечения оболочки;
n, m - предельные значения соответственно нормального усилия и момента, воспринимаемых в железобетонном сечении кольцевого пластического шарнира;
w - прогиб оболочки к моменту разрушения.
Значения момента и нормальной силы в
формуле (11.20) рекомендуется находить последовательным приближением искомых значений к предельным, лежащим на кривой, изображающей зависимость
m-
n для рассматриваемого внецентренно сжатого сечения на контуре вмятины. Найденные предельные значения нормальной силы и момента в железобетонном сечении кольцевого пластического шарнира, а также соответствующего им прогиба центра вмятины, подставляют в
уравнение (11.20) для нахождения локально-экстремального значения предельной нагрузки для заданного размера вмятины. Для нахождения действительного размера вмятины и соответствующего ему значения разрушающей нагрузки
уравнение (11.20) рекомендуется решать численно с применением шаговой процедуры поиска размеров вмятины, в процессе которой определяется минимум предельной нагрузки.
Для оболочек с податливыми диафрагмами необходимое утолщение оболочки в угловых зонах и вдоль контура, где действуют изгибающие моменты и растягивающие усилия, следует определять в соответствии с
4.2.9,
6.3.4 и
11.34. Ширину утолщения угловых и приконтурных зон оболочек допускается назначать в соответствии с
рисунком 11.14.
11.26 Для прямоугольной в плане оболочки с различными радиусами кривизны расчетное значение предельной нагрузки
q при местном разрушении с образованием отдельной вмятины допускается определять по
11.25. При этом прямоугольную в плане оболочку со сторонами 2
a и 2
b, с радиусами кривизны
Rx и
Ry условно рассматривают как квадратную со сторонами 2
aк и радиусом кривизны
R:

(11.21)

(11.22)

(11.23)
где fк - стрела подъема центра приведенной квадратной оболочки;
f = fx + fy, а fx и fy - стрелы подъема исходной оболочки в направлениях x и y.
Зоны напряженного состояния при сплошной равномерно
распределенной нагрузке (квадратной и прямоугольных
в плане оболочек): 1 - зона сжимающих напряжений;
2 - зона, в пределах которой на нижней грани
возникают растягивающие напряжения
Рисунок 11.14 - Угловые и приконтурные зоны
утолщения поля оболочек
Начальный радиус кривизны Rв в зоне вмятины, отличающийся от R, определяют по формуле

(11.24)
где

.
11.27 Ребристые оболочки рекомендуется первоначально рассчитать как конструктивно ортотропные (приведенные к гладким), а затем отдельно проверить несущую способность поля оболочки между ребрами, которая должна быть не ниже общей несущей способности оболочки.
11.28 Несущую способность поля ребристых оболочек, собираемых из цилиндрических панелей, рекомендуется определять в зависимости от места расположения панели в конструкции.
Для цилиндрических панелей у контура схему разрушения принимают согласно
рисунку 11.15.
а - схема излома; б - перемещения панели в предельной
стадии; в - сечение по криволинейному контуру панели
Рисунок 11.15 - Расчетная схема плиты ребристой
цилиндрической панели сборной оболочки,
расположенной в приконтурной зоне
В криволинейных сечениях длину участков сжатия x рекомендуется находить из условия равновесия

(11.25)
где fs - площадь арматуры на единицу длины сечения полки;
r - радиус кривизны панели;

- половина центрального угла, рад.
Значение предельного момента в криволинейном сечении определяют по формуле

(11.26)
где

.
Значение предельной нагрузки q на единицу площади проекции полки при принятом армировании определяют по формуле

(11.27)
где

,

,

,

- предельные моменты в сечениях; индексы I, II относятся к опорным сечениям, 1, 2 - к пролетным;
l1, l2 - пролеты полки (расстояние между внутренними гранями ребер).
Для цилиндрических панелей вне приконтурной зоны схему разрушения участка поля оболочки в виде прямоугольника размерами
l1 x
l2, заключенного между продольными и поперечными ребрами панелей, принимают согласно
рисунку 11.16.
а - схема разрушения плиты между ребрами;
б - взаимодействие усилий на контуре зоны разрушения
Рисунок 11.16 - Расчетная схема плиты ребристой
цилиндрической панели оболочки, расположенной
вне приконтурной зоны
Значение предельной нагрузки q на единицу площади поля цилиндрической панели определяют с учетом прогиба к моменту разрушения по формуле
q = qN + qM, (11.28)

(11.29)
здесь
N1 - нормальная сила, действующая перпендикулярно к стороне
l1 (рисунок 11.16), определяемая по формуле
N1 = 2n1l1/3;
f' - стрела подъема деформированной поверхности оболочки с учетом смещения точки приложения нормальных усилий в опорном сечении

(11.30)
- при армировании приконтурной зоны одной сеткой
где fs - площадь растянутой арматуры, перпендикулярной к стороне l1, на единицу длины;
- при армировании приконтурной зоны двумя сетками

(11.31)
При определении
qм по
формуле (11.27) предельные моменты

и

принимают равными:
где

- значения предельного изгибающего момента на длине 1 м, воспринимаемого железобетонным внецентренно сжатым сечением плиты при высоте сжатой зоны, соответствующей нормальному усилию


(11.32)
Площадь арматуры
fs, вводимая в расчет при вычислении

и

по
формулам (11.30) и
(11.32), должна быть ограничена условием

(11.33)
11.29 Для гладких оболочек при действии сосредоточенной нагрузки следует рассматривать схему разрушения с образованием местной вмятины в виде конуса с вершиной в месте приложения силы с появлением радиального и кольцевого пластических шарниров с радиусом зоны разрушения, равным:

(11.34)
где
R и

- радиус и толщина оболочки;
Dp - диаметр штампа под сосредоточенной нагрузкой.
При расчете следует рассматривать два вида деформированных состояний:
а) центр оболочки касается плоскости осей взаимного вращения (ПОВ), положение которой определяется аппликатой
C, равной прогибу оболочки
w
C = w = f1k1/(k + 1), (11.35)
где f1 - стрела подъема оболочки в зоне вмятины;
As и

- площади сечения арматуры сетки (верхней и нижней) на единицу длины;
k1 = 1 + n/qs;
n и
m - предельные значения нормальной силы и изгибающего момента на контуре вмятины здесь и далее в
формулах (11.36) и
(11.37).
Предельная нагрузка
P1, отвечающая деформированному состоянию по
перечислению а), равна:

(11.36)
где M = m + nf1[1 - k1/(k + 1)];
б) при прогибах оболочки
w >
C (
рисунок 11.17,
б) ПОВ пересекает поверхность оболочки в двух сечениях, и значение предельной нагрузки определяют по формуле

(11.37)
где

,

(11.38)
l1 =
rk1/(
k + 1);
tc =
f -
C1.
Зная прогиб оболочки w, найдем l2 и C1 по формулам:
Для оболочки положительной гауссовой кривизны с различными главными радиусами кривизны
R1 и
R2 (рисунок 11.17) значения предельной нагрузки находят для каждого направления и за расчетную принимают нагрузку, равную их полусумме. Основные неизвестные здесь - предельные значения изгибающего момента
m и нормального усилия
n на границе зоны разрушения. Значения
n определяют по формулам
СП 63.13330 как для внецентренно сжатого сечения, принимая

. Момент
m находят относительно срединной оси сечения.
11.30 Для ребристых оболочек при действии сосредоточенной нагрузки следует рассматривать схему разрушения с образованием местной вмятины в виде конуса с вершиной в месте приложения силы с появлением радиального и кольцевого пластических шарниров и с расстоянием от места приложения сосредоточенной нагрузки до кольцевого пластического шарнира в ребрах rк1 и rк2, определяемым по формуле

(11.39)
где R - радиус кривизны оболочки в рассматриваемом направлении;
Ired - погонный момент инерции оболочки с учетом ребер рассматриваемого направления;

- приведенная толщина оболочки с учетом площади ребер, перпендикулярных рассматриваемому направлению.
а - схема излома; б, в - схемы деформирования;
г - схема армирования поперечного сечения
Рисунок 11.17 - Локальное разрушение гладкой оболочки
положительной гауссовой кривизны при действии
сосредоточенной нагрузки
Пластические шарниры, образующиеся в ребрах под силой и в месте пересечения с кольцевой трещиной, испытывают внецентренное сжатие. Однако в шарнире под силой напряжения в арматуре ребер достигают значения расчетного сопротивления, а в кольцевом пластическом шарнире прежде наступает разрушение бетона со стороны наиболее напряженной нижней грани сечения.
Для оболочек с различными радиусами кривизны или с ребрами различного сечения разрушающую нагрузку
P определяют (
рисунки 11.18,
11.19) по формуле

(11.40)
где

;

;

- предельные моменты соответственно в ребре в месте кольцевого шарнира, в ребре под силой и в радиальном сечении, определяемый как полусумма моментов по сечениям вдоль ребер.
Рисунок 11.18 - Схема разрушения ребристой оболочки
в зоне приложения сосредоточенной нагрузки
Рисунок 11.19 - Схема взаимодействия усилий
в радиальном сечении оболочек
Для наиболее распространенного случая ребер трапециевидного сечения предельный момент в кольцевых сечениях

определяют по формуле

(11.41)
где bc - ширина нижней грани ребра;

- ширина ребра на уровне верхней арматуры;
h0, a - расстояния соответственно от нижней или верхней грани ребра до центра тяжести верхней арматуры;
As - площадь нижней арматуры ребра.
Предельный момент

в ребре под силой определяют по формуле

(11.42)
где
zp - расстояние от центра тяжести нижней арматуры ребра до центра тяжести сжатой зоны в радиальном сечении оболочек
(рисунок 11.19).
В радиальных сечениях сжатая зона обычно находится в пределах защитного слоя бетона, при этом
где fs - площадь арматуры на единицу длины сечения полки;
z0 - расстояние от центра тяжести арматуры полки до центра тяжести сжатой зоны в радиальном сечении оболочек.
Площадь сжатой зоны бетона Abc в радиальных пластических шарнирах определяют из условия равновесия усилий в сжатой и растянутой зонах по формуле
RbAbc = 0,5RsAs + fsAsrk. (11.43)
11.31 При расчете несущей способности ребристой оболочки при действии сосредоточенных нагрузок с учетом изменения формы поверхности оболочки к моменту разрушения значение предельной нагрузки P принимают равным
P = Py + Px, (11.44)
где
Py - часть общей нагрузки, воспринимаемой ребром, расположенным в направлении оси
y (рисунок 11.20), определяемая по формуле

(11.45)
Px - часть общей нагрузки, воспринимаемой ребром, расположенным в направлении оси
x, определяемая по
формуле (11.45) с заменой индексов, указывающих направление сил;
Ny (Nx) - предельное нормальное усилие, воспринимаемое сечением ребра в направлении оси y (x);

,

- угловые координаты кольцевых пластических шарниров в ребрах;
qsy - усилие, воспринимаемое арматурой, расположенной в растянутой зоне поля оболочки на длине 1 м;
Asy - площадь нижней арматуры ребра в сечении под силой;
zsy - расстояние от арматуры ребра до середины полки плиты;
My,u - предельный момент, воспринимаемый ребром в сечении кольцевого пластического шарнира при внецентренном сжатии;
mк - изгибающий момент в кольцевом пластическом шарнире плиты на длине 1 м;
lx, ly - параметры, учитывающие форму и размер кольцевого шарнира и определяемые по формуле

(11.46)
a и
b - полуоси эллипса излома
(рисунок 11.20). В случае образования кругового излома радиуса
r0 принимают
lx =
ly = 2
r0.
Значения
Nx и
Ny вычисляют одновременно с деформациями системы, для чего последовательно рассматривают условные арки в направлении осей
x и
y со стрелами подъема соответственно
fx и
fy. Принимается, что совместно с ребром работают примыкающие части поля оболочки шириной по

с обеих сторон ребра, где

- толщина поля панели.
Рисунок 11.20 - Схема взаимодействия усилий
в зоне приложения сосредоточенной нагрузки
11.32 При расчете несущей способности ребристых оболочек следует учитывать конструктивные особенности стыков сборных элементов, места приложения нагрузки и способы опирания загруженных плит на контур:
а) если в месте приложения нагрузки арматура смежных ребер в направлении
x или
y не соединяется, то в
формуле (11.40) Mrp1 или
Mrp2 принимают равным нулю. Аналогично для
Px или
Py принимают равным нулю выражение
RsAsxzsx или
RsAsyzsy в
формуле (11.45);
б) если расстояние от места приложения сосредоточенной нагрузки до контурного элемента меньше 1,5
rк, то необходимо учитывать возможность образования только трех кольцевых пластических шарниров в ребрах и при вычислении
Py по
формуле (11.45), а также вводить коэффициент 0,5 к значениям
Ny и
My,u. При вычислении
Px понижающий коэффициент не вводится.
11.33 Гладкие и ребристые пологие оболочки следует конструировать в соответствии с
разделом 6. Толщина и армирование средней зоны гладких оболочек, где действуют только сжимающие усилия, предварительно назначают конструктивно и проверяют расчетом на устойчивость по формулам, приведенным в
4.2.19 -
4.2.21.
11.34 В ребристых сборных оболочках толщину поля панелей средней зоны назначают с учетом технологических возможностей производства и проверяют расчетом на заданное значение расчетной нагрузки.
11.35 Толщину поля в приконтурных и угловых зонах оболочки рекомендуется увеличивать для размещения дополнительной арматуры и восприятия усилий, более высоких по сравнению с действующими в центральной зоне.
Утолщение оболочки вдоль контура целесообразно выполнять на всей ширине действия приконтурных изгибающих моментов
(рисунок 11.14) с плавным переходом к постоянной толщине за зоной действия изгибающих моментов
(6.1.5).
Толщину оболочки в угловой зоне назначают по расчету при соблюдении условия для главных растягивающих и главных сжимающих напряжений

,

и с учетом обеспечения возможности размещения необходимого числа арматуры.
11.36 В приконтурных участках оболочки в зоне действия изгибающих моментов следует укладывать дополнительную арматуру. Если эта арматура воспринимает положительные моменты, то она располагается в нижней зоне плиты
(рисунок 11.21). Основную сетку при этом располагают в верхней зоне и для неразрезных конструкций проверяют на восприятие отрицательных моментов, возникающих при защемлении плиты на промежуточных диафрагмах. Для восприятия растягивающих усилий, действующих параллельно контуру, у нижней грани оболочки на приопорных участках укладывают рабочую или конструктивную арматуру.
11.37 Для восприятия главных растягивающих напряжений, действующих в угловых зонах, к основной арматуре рекомендуется добавлять косую, перпендикулярную к диагонали плана
(рисунок 11.21). В оболочках пролетом более 40 м эту арматуру рекомендуется выполнять предварительно напряженной. Вблизи углов оболочки эту арматуру рекомендуется заменять обычной.
Арматуру для восприятия главных растягивающих напряжений принимают в виде отдельных стержней или сеток и располагают у верхней и нижней поверхностей плит оболочки.
11.38 Габариты плит сборных оболочек определяют исходя из требований обеспечения их экономичности по расходу материалов, унификации, технологичности изготовления, выбранного способа монтажа. Цилиндрические плиты в сравнении с плитами двойной кривизны более просты в изготовлении, а в сравнении с плоскими плитами - требуют меньшего расхода материалов.
11.39 Плиты рекомендуется проектировать с контурными и промежуточными ребрами одинаковой высоты. В плитах размерами 3 x 6 м рекомендуется принимать одно, а в плитах размерами 3 x 12 м - два или три поперечных ребра.
1 - конструктивная арматура в зоне сжимающих напряжений;
2 - то же, в зоне действия моментов; 3 - рабочая арматура
в зоне действия моментов; 4 - то же, для восприятия главных
растягивающих напряжений в виде косых стержней или сеток;
5 - зона утолщения оболочки; 6 - эпюра
главных растягивающих напряжений
Рисунок 11.21 - Схема армирования пологих оболочек
По внешним боковым граням ребер плит предусматривают пазы для образования шпонок, воспринимающих после замоноличивания швов сдвигающие и перерезывающие усилия.
Плиты рекомендуется армировать сварными сетками и каркасами. В местах сопряжения полки с ребром рекомендуется устраивать вуты.
11.40 Увеличение толщины оболочки в угловых зонах рекомендуется выполнять с помощью набетонки монолитного железобетона, укладываемого поверх сборных плит. В пределах набетонки располагают дополнительную косую рабочую арматуру, устанавливаемую по расчету. Общая толщина оболочки в угловой зоне и размеры набетонки должны удовлетворять
11.35.
11.41 Ребра панелей в местах стыков с переломами, в которых есть усилия растяжения, рекомендуется соединять сваркой закладных деталей.
11.42 Для обеспечения передачи с оболочки на контурные элементы сдвигающих усилий и поперечных сил и совместного деформирования плит и контурных элементов пространство до уровня верха плит над контурными элементами по периметру неразрезных оболочек следует замоноличивать.
11.43 В конструкциях, осуществляемых по типу тангенциально-подвижных, соседние оболочки, опирающиеся на общий контурный элемент, соединяют между собой жестко только в угловых зонах (
рисунок 11.3,
г).
Приопорные участки между оболочками над контурными элементами замоноличивают на всю высоту панелей. На этих участках рекомендуется располагать металлические упоры, приваренные к контурным элементам и воспринимающие сдвигающие усилия (
рисунок 11.3,
г).
11.44 Для пролетов 18 и 24 м контурные элементы принимают железобетонными, при больших пролетах рекомендуется применять раскосные стальные фермы.
Торцы взаимно перпендикулярных контурных ферм следует соединять между собой, в том числе сварными накладками.
11.45 Рабочую арматуру контурных элементов в виде криволинейного бруса, опертого на колонны, допускается полностью размещать в контурных брусьях. Арматуру контурных брусьев целесообразно выполнять предварительно напряженной.
11.46 В оболочках со светоаэрационными или зенитными фонарями фонарный проем рекомендуется выполнять с помощью плит-рамок, представляющих собой систему продольных и поперечных ребер. При проектировании плит-рамок по контуру ребер за вутом рекомендуется по контуру отверстия уложить дополнительную арматуру. Углы отверстия в полке должны быть закругленными
(6.5).
11.47 Подвески путей подвесных кранов или тельферов
(11.6) рекомендуется располагать с шагом 6 м и выполнять жесткими в плоскости, перпендикулярной к рельсам. Подвески рекомендуется крепить к оболочке анкерными болтами через специальные отверстия, располагаемые в углах пересечения плит или в швах между плитами. В зоне расположения подвесок крановых путей швы между плитами рекомендуется замоноличивать на всю высоту.
12 Оболочки отрицательной гауссовой кривизны на прямоугольном плане
12.1 К оболочкам отрицательной гауссовой кривизны относят оболочки, очерченные по поверхности гиперболического параболоида над прямоугольным планом со сторонами 2
a и 2
b, заданного параболой, выпуклой кверху, со стрелой подъема
f1, над стороной 2
a и параболой, выпуклой книзу, со стрелой провеса
f2 над стороной 2
b (рисунок 12.1). Уравнение поверхности такого гиперболического параболоида имеет вид

(12.1)
Рисунок 12.1 - Гиперболический параболоид
12.2 Оболочки в форме гиперболического параболоида на квадратном и прямоугольном планах применяют для покрытий производственных, общественных и складских зданий. Размеры перекрываемого плана могут изменяться в пределах от 10 до 70 м и более.
12.3 В покрытиях могут применяться однолепестковые и многолепестковые гипары (
рисунок 12.2,
12.3).
Срединную поверхность однолепесткового гипара рассчитывают по формуле
z = C0xy + C1x + C2y + C3, (12.2)
где C0 ... C3 - константы, которые находят по известным аппликатам четырех углов оболочки.
Поверхности, приведенные на
рисунке 12.2, можно получить движением прямой (образующей), пересекающей две скрещивающиеся прямые (направляющие). В процессе движения образующая остается параллельной одной из вертикальных координатных плоскостей. Направляющими могут быть выбраны прямые, проходящие по двум любым противоположным сторонам плана. Тогда начальное положение образующей может быть принято проходящим по одной из двух других сторон. В сечении поверхности вертикальными плоскостями, не параллельными координатным, лежат параболы. Параболы одного семейства обращены выпуклостью вниз, параболы другого - выпуклостью вверх.
Рисунок 12.2 - Однолепестковые гипары
Многолепестковые гипары образуются комбинацией однолепестковых гипаров. На
рисунке 12.3 приведены возможные схемы покрытий, образованные сочленением четырех лепестков.
а - е - варианты формы покрытий
Рисунок 12.3 - Четырехлепестковые гипары
12.4 При возникновении в гипарах усилий распора, рекомендуется предусматривать устройство затяжек. На
рисунках 12.3,
а -
г двойными пунктирными линиями показаны схемы расположения затяжек в различных покрытиях из четырехлепестковых гипаров. В покрытиях, приведенных на
рисунках 12.3,
д,
е, затяжки не требуются. В однолепестковых гипарах, опертых на два противоположных угла, затяжку устанавливают между опорами.
12.5 Расчет гипаров производят по
4.2.1 -
4.2.19. Усилия и перемещения допускается определять исходя из предположения упругой работы материала по моментной теории с учетом влияния жесткостей контурных элементов и коньковых балок.
12.6 Несущую способность гладких гипаров на квадратном плане при действии равномерно распределенной нагрузки допускается определять по методу предельного равновесия согласно
12.7 -
12.11.
Предельная нагрузка
q на оболочку, определяемая по
12.7 -
12.11, включает массу оболочки, контурных ребер и коньковых балок
q = p + g + ge, (12.3)
где p - интенсивность предельной внешней нагрузки;
g - равномерно распределенная нагрузка от веса оболочки;
ge - приведенная равномерно распределенная нагрузка от веса контурных ребер, формулы для ее определения приводятся ниже для каждого рассматриваемого случая.

(12.4)
где
l - сторона квадратного плана однолепестковой оболочки (по
рисункам 12.2,
12.3 l =
a =
b);
f - стрела подъема оболочки (по
рисунку 12.2,
а,
f =
f1 =
f2);
hr,
br - соответственно высота и ширина контурного ребра (
рисунок 12.4,
б);
Rb - расчетное значение сопротивления бетона осевому сжатию;
Rs,i, Rs,1 - расчетные значения сопротивления растяжению арматуры соответственно поля и углов;
Rs,r - то же, для арматуры ребра;
Ai, A1 - площадь сечения арматурного стержня соответственно сетки и угловой арматуры;
Ar - площадь всей арматуры в ребре;
At - площадь сечения затяжки;
Rs,t - нормативное сопротивление металла затяжки;
h0r - расстояние от центра тяжести арматуры ребра до срединной поверхности оболочки (
рисунок 12.4,
б);
d - расстояние от угла оболочки до последнего стержня угловой арматуры (
рисунок 12.4,
а).
а - армирование нижнего угла; б - примыкание оболочки
к контурному ребру; в - то же, к коньковому ребру
в четырехлепестковом покрытии с горизонтальными
коньками; 1 - арматура ребра; 2 - арматура
поля оболочки; 3 - угловая арматура
Рисунок 12.4 - Узлы гипаров
12.7 При расчете опертых на нижние углы однолепестковых гипаров, когда углы закреплены от горизонтальных смещений (
рисунок 12.2,
а), предельную нагрузку
q на оболочку следует определять по формуле

(12.5)
где коэффициент
Ki принимается в зависимости от значения коэффициента

, определяемого по формуле

(12.6)
При

(
рисунок 12.5,
б, когда нейтральная ось линии излома не пересекает ребер) значение коэффициента
Ki определяют по формуле

(12.7)
а при

(
рисунок 12.5,
в, когда нейтральная ось проходит в пределах ребер) - по формуле

(12.8)
где

.
Приведенную нагрузку ge от массы контурных ребер определяют по формуле

(12.9)
где

- объемный вес бетона ребер.
Полное закрепление углов от горизонтальных смещений достигается установкой жесткой затяжки или контрфорсов. Жесткость затяжки, при которой углы могут считаться несмещаемыми, рекомендуется определять по
формуле (12.17).
а - схема излома; б, в - схемы расположения нейтральной оси
Рисунок 12.5 - К расчету оболочек, опертых по нижним углам
12.8 При расчете опертых на нижние углы однолепестковых гипаров, когда углы не закреплены или частично закреплены от горизонтальных смещений, например, затяжками (
рисунок 12.3,
а), предельную нагрузку
q находят по формуле

(12.10)
где

(12.11)

(12.12)
- при

(нейтральная ось проходит вне контурных ребер)

(12.13)
- при

(нейтральная ось пересекает ребра)

(12.14)
здесь

;

(12.15)
При расчете оболочки без окаймляющих ребер коэффициент
Kj следует определять по
формуле (12.13) при

, а предельную нагрузку на оболочку без затяжки определять, принимая в
формулах (12.11) -
(12.15) 
.
Приведенную равномерно распределенную нагрузку ge от веса ребер определяют по формуле

(12.16)
Площадь сечения затяжки At, при которой обеспечивается несмещаемость нижних углов оболочки, находят из условия

(12.17)
где

, если

; (12.18)

, если

. (12.19)
12.9 При расчете четырехлепесткового покрытия с горизонтальными коньками (
рисунок 12.3,
а, покрытие опирается на треугольные фермы или на стены; коньковые балки расположены выше оболочки) предельную нагрузку
q на оболочку определяют по
формуле (12.5). Значение коэффициента
Ki в
формуле (12.5) принимают в зависимости от значения

, определяемого по формуле

(12.20)
При

(нейтральная ось линии излома не пересекает коньковой балки) значение коэффициента
Ki вычисляют по формуле

(12.21)
где

(12.22)

- коэффициент, определяемый из уравнения

(12.23)
При

(нейтральная ось линии излома пересекает коньковую балку) значение коэффициента
Ki вычисляют по формуле
Ki = 0,5(C - 1), (12.24)
где

;

- ширина конькового ребра;

- расстояние от центра тяжести арматуры конькового ребра до его грани (
рисунок 12.4, в).
Приведенную равномерно распределенную нагрузку
ge от веса коньковых балок определяют по
формуле (12.16).
12.10 При расчете четырехлепестковых покрытий с наклонными коньками и поднятыми углами (
рисунок 12.3,
б, покрытие опирается на четыре нижних угла, закрепленных от горизонтальных смещений) предельную нагрузку
q на оболочку находят по
формулам (12.5) -
(12.8). Площадь сечения затяжки, при которой обеспечивается несмещаемость углов, находят по
формуле (12.17).
12.11 При расчете четырехлепесткового покрытия с наклонными коньками и плоским контуром (
рисунок 12.3,
в, покрытие опирается на четыре опоры, расположенные в серединах сторон квадратного плана; опоры покрытия закреплены от горизонтальных смещений затяжкой) предельную нагрузку
q на оболочку находят по
формуле (12.5). Площадь сечения затяжки определяют по
формуле (12.17). В зависимости от значения коэффициента

, вычисляемого по
формуле (12.6), определяют значение коэффициента
Ki:
при


(12.26)
при


(12.27)
Приведенную равномерно распределенную нагрузку
ge от массы контурных ребер и коньковых балок определяют по
формуле (12.9).
12.12 Гипары выполняют сборными и монолитными.
Монолитные оболочки проектируют гладкими, без ребер. В сборных оболочках разрезку на плиты осуществляют по направлению прямолинейных образующих и направляющих, а плиты по краям окаймляют ребрами. Геометрические размеры и армирование ребер назначают с учетом требований монтажа. Совпадение геометрии двух поверхностей - исходной и получаемой в результате сборки плит - достигается за счет переменной толщины монолитных швов.
(в ред.
Изменения N 3, утв. Приказом Минстроя России от 11.12.2023 N 901/пр)
12.13 Гипары проектируют с контурными элементами, в качестве которых обычно используют бортовые балки и фермы. Сильно искривленные однолепестковые гипары пролетом до 30 м допускается проектировать без контурных элементов. Оболочки по контуру допускается опирать на ряд стоек. По линиям сопряжения отдельных лепестков в оболочках располагают коньковые балки
(рисунок 12.3).
(в ред.
Изменения N 3, утв. Приказом Минстроя России от 11.12.2023 N 901/пр)
При больших пролетах растянутые контурные элементы и коньковые балки рекомендуется выполнять с предварительным напряжением арматуры.
Сечения бортовых элементов рекомендуется назначать минимально возможными.
12.14 Армирование гипаров рекомендуется принимать, располагая стержни по прямолинейным образующим и направляющим поверхности. Для армирования плит рекомендуется применять сварные сетки из холоднодеформированной проволоки класса В500. Нижние углы однолепестковых и многолепестковых гипаров допускается армировать косыми стержнями, служащими для восприятия главных растягивающих усилий. Стержни принимают криволинейного очертания и располагают по направлению не проходящей через эти углы диагонали прямоугольного или квадратного плана оболочки.
12.17 Стыки плит сборных гипаров должны обеспечивать восприятие сдвигающих и нормальных усилий. Стыки следует проектировать с учетом
6.4.
13.1 Висячая железобетонная оболочка - оболочка, в которой роль основной рабочей арматуры выполняют ванты.
13.2 Висячие оболочки применяются в покрытиях зданий промышленного, сельскохозяйственного и культурно-бытового назначения, в том числе зданий и помещений с подвесным транспортом.
13.3 Висячие оболочки различного очертания в плане могут быть образованы на основе вантовых систем:
- перекрестных (перекрестные вантовые сети, в том числе ортогональные), расположенных на поверхности положительной или отрицательной гауссовой кривизны, с несущими (провисающими) и напрягающими (вспарушенными) вантами
(рисунок 13.4);
1 - плиты; 2 - опорный контур; 3 - ванты
Рисунок 13.1 - Висячая оболочка
с параллельной системой вант
1 - плиты; 2 - опорный контур; 3 - ванты;
4 - центральное кольцо; 5 - опорное кольцо фонаря
Рисунок 13.2 - Висячая оболочка положительной гауссовой
кривизны (вогнутая) с радиальной системой вант
1 - опорный контур; 2 - растянутое кольцо;
3 - центральная опора; 4 - ванты; 5 - плиты
Рисунок 13.3 - Шатровая висячая оболочка
Рисунок 13.4 - Висячие оболочки
с перекрестной системой вант
13.4 Стрелу провисания вант при расчетной нагрузке рекомендуется назначать в пределах 1/15 - 1/30 их пролета с учетом архитектурных, конструктивных и технико-экономических соображений.
13.5 Висячие оболочки выполняют сборно-монолитными или реже монолитными - в частности, с применением метода торкретирования.
(в ред.
Изменения N 3, утв. Приказом Минстроя России от 11.12.2023 N 901/пр)
В сборно-монолитных оболочках, в зависимости от очертания опорного контура и принятой системы вант, плиты покрытия проектируют прямоугольной, трапециевидной или треугольной формы.
При проектировании рекомендуется предусматривать монтаж висячих оболочек без устройства лесов и подмостей. Ограждающие элементы в процессе монтажа укладывают на ванты, закрепленные в опорном контуре. Положение вант перед укладкой плит и в процессе монтажа определяет форму оболочки и должно соответствовать проектному, что достигается регулированием их длины.
1 - опорный контур; 2 - контурные ванты; 3 - угловые ванты
Рисунок 13.5 - Конструктивные схемы
полигонально-вантовых систем
13.6 Висячие оболочки проектируют с замкнутым, в основном работающим на сжатие опорным контуром, воспринимающим распор вант и передающим на поддерживающие конструкции только вертикальные нагрузки.
(в ред.
Изменения N 3, утв. Приказом Минстроя России от 11.12.2023 N 901/пр)
13.7 Опорный контур выполняют в виде кольца (круглого, эллиптического или овального) или многоугольника. Ось опорного контура очерчивают по гладкой плоской или пространственной кривой или принимают из нескольких отрезков прямых, плоских и пространственных кривых. Криволинейный опорный контур допускается заменять полигональным, вписанным или описанным.
13.8 На стадии монтажа до замоноличивания швов между плитами, когда конструкция представляет собой вантовую систему, необходимо предусматривать меры для уменьшения значений изгибающих моментов в контуре, стремясь к тому, чтобы он был условно безмоментным при основном виде монтажной нагрузки и испытывал незначительные изгибающие моменты при остальных комбинациях монтажных нагрузок. Для этого очертание оси контура следует принимать близким к кривой давления от распора вантовой сети, а последовательность натяжения вант определять расчетом.
13.9 Депланированный (неплоский) опорный контур с отклонением от плоскости не более 1/20 наименьшего размера перекрываемого пролета допускается рассчитывать как плоский опорный контур.
13.10 Для устранения или уменьшения изгибающих моментов в элементах опорного контура оболочек с прямоугольным планом допускается применять тросы-подборы
(рисунок 13.6), передающие усилия от вант в углы контура.
а - система параллельных вант; б - ортогональная
вантовая сеть; 1 - тросы-подборы; 2 - сжатые
элементы опорного контура; 3 - ванты
Рисунок 13.6 - Использование тросов-подборов
в висячих оболочках на прямоугольном плане
При проектировании оболочек без тросов-подборов рекомендуется предусматривать на начальной стадии монтажа покрытия усиление опорного контура приконтурным рядом плит. Для этого плиты соединяют с контуром, с вантами и между собой, образуя жесткую замкнутую раму
(рисунок 13.7), которая воспринимает изгибающие моменты от нагрузок последующих стадий монтажа. Поперечное сечение опорного контура назначают из условия его работы в составе оболочки и восприятия изгибающих моментов, возникающих при монтаже первого ряда плит.
1 - опорный контур; 2 - плита; 3 - ванты
Рисунок 13.7 - Опорный контур,
усиленный приконтурным рядом плит
13.11 Опорный контур висячих оболочек рекомендуется проектировать из сборного или сборно-монолитного железобетона. Допускается применение только монолитного железобетона.
Для облегчения сборные элементы опорного контура могут предусматриваться корытообразного сечения. После монтажа полость корытообразных элементов заполняют бетоном.
13.12 Шаг вант и размеры плит следует назначать с учетом шага опор по контуру, членения сборных элементов опорного контура и расположения сосредоточенных нагрузок.
13.13 В перпендикулярных к вантам швах оболочек с параллельно расположенными вантами и в кольцевых швах оболочек с радиальными вантами следует устанавливать конструктивную арматуру, общая площадь поперечного сечения которой принимается не менее 15% площади поперечного сечения вант. В качестве такой конструктивной арматуры рекомендуется использовать и арматуру, с помощью которой плиты крепятся к вантам.
13.14 Для несущих элементов висячих покрытий в качестве рабочей арматуры следует применять:
- стержневую горячекатаную арматурную сталь классов А500 и выше;
- канаты одинарной свивки по
ГОСТ 3064 из круглой оцинкованной по группе ЖС проволоки диаметром 2,6 мм и более;
- пучки и пряди параллельных проволок, формируемых из канатной проволоки, удовлетворяющей требованиям
ГОСТ 7372, и параллельно уложенных оцинкованных проволок.
13.15 Стальные канаты должны быть подвергнуты предварительной вытяжке усилием, равным половине установленного НД разрывного усилия каната в целом (а если оно не нормировано - половине агрегатной прочности витого каната).
Рекомендуется применять оцинкованные канаты с максимальным шагом свивки и линейным касанием проволок.
Применение канатов, пучков и прядей из проволоки диаметром менее 2,5 мм не рекомендуется.
13.16 При назначении расчетного сопротивления стального витого каната с металлическим сердечником учитывают значение разрывного усилия каната в целом, установленное НД на канаты, (а если оно не нормировано - агрегатной прочности витого каната) и коэффициент надежности

.
Модуль упругости пучков и канатов из параллельно уложенных проволок следует принимать по
таблице Б.1 (приложение Б) СП 16.13330.2017.
(в ред.
Изменения N 1, утв. Приказом Минстроя России от 20.11.2019 N 701/пр)
Расчетные сопротивления и модули упругости стержневой арматурной стали всех классов и арматурной проволоки классов А и В, арматурных канатов класса К принимают в соответствии с
СП 63.13330.
Коэффициент условий работы вант принимается

для всех видов арматурных изделий диаметром до 40 мм и

для стальных канатов диаметром свыше 40 мм.
13.17 В опорных конструкциях ванты закрепляют с помощью анкерных устройств, обеспечивающих возможность регулирования длины вант во время монтажа и предварительного напряжения. Конструкция анкера не должна снижать несущей способности вант.
Для вант из стержневой стали в качестве регулируемых анкерных устройств рекомендуется использовать хвостовики и втулки с резьбой, соединяемые с вантами сваркой
(рисунок 13.8).
Для вант из горячекатаных арматурных сталей при соединении стержней и присоединении к ним хвостовиков из равнопрочного металла рекомендуется применять контактную стыковую сварку
(рисунок 13.9).
Ванты из стержневой стали с перегибами проектировать не рекомендуется.
Для вант из стальных канатов рекомендуется применять гильзоклиновые анкеры
(рисунок 13.10) или анкеры, заливаемые сплавами.
Для заливки концов стальных канатов в анкерах рекомендуется применять сплав марки ЦАМ 9-1,5Л по
ГОСТ 21437.
Для деталей анкеров стальных канатов рекомендуется применять сталь марки 295-III 09Г2С-4 по
ГОСТ 19281, а также сталь марок 20-б-Т и 45-б-Т по
ГОСТ 1050 в нормализованном состоянии.
а - хвостовик из стали с расчетным сопротивлением,
равным расчетному сопротивлению материала вант;
б - хвостовик из стали с расчетным сопротивлением,
меньшим расчетного сопротивления материала вант;
1 - ванта; 2 - хвостовик; 3 - контактная сварка;
4 - дуговая сварка
Рисунок 13.8 - Регулируемые анкеры вант из стержневой стали
а - анкер с коротышами; б - анкер с шайбой;
1 - ванта; 2 - коротыши; 3 - сварка; 4 - шайба
Рисунок 13.9 - Нерегулируемые анкеры вант из стержневой
стали, выполняемые с помощью приваренных элементов
1 - ванта; 2 - гильза; 3 - клин; 4 - опорная гайка
Рисунок 13.10 - Гильзоклиновой анкер для вант
из высокопрочной проволоки и стальных канатов
13.18 Ванты из стержневой арматурной стали должны располагаться внутри бетона с защитным слоем толщиной не менее 25 мм. Для этого оболочка в большинстве случаев должна быть ребристой. При этом ребра могут входить в состав плит покрытий или конструироваться в виде отдельных элементов, подвешенных к вантам. Как ребристые, так и гладкие плиты рекомендуется предусматривать из легкого бетона с укладкой по ним эффективного утеплителя.
(в ред.
Изменения N 3, утв. Приказом Минстроя России от 11.12.2023 N 901/пр)
13.19 Для защиты вант из высокопрочной стали от коррозии рекомендуется применять преимущественно оцинкованные канаты.
Ванты также могут быть пропущены внутри трубок, заполняемых после натяжения вант цементным раствором под давлением или специальными антикоррозионными составами.
13.20 Предварительное напряжение висячих оболочек рекомендуется осуществлять домкратами, с помощью пригрузки (временной нагрузкой или вертикальными оттяжками), с помощью укладки в швы между плитами бетона на напрягающем цементе. Значение усилия предварительного напряжения назначают с учетом потерь напряжения.
При применении напрягающего цемента ширину швов между плитами и их армирование назначают из условия достижения необходимого значения самонапряжения.
При предварительном напряжении с помощью домкратов замоноличивание кольцевых стыков между плитами предусматривают до натяжения вант - с пропусками в местах, препятствующих натяжению вант.
При предварительном напряжении с помощью пригрузки, укладываемой на плиты, подвешиваемой к вантам или создаваемой оттяжками, закрепленными в нижележащих конструкциях, стыки между плитами замоноличивают.
13.21 При проектировании висячих оболочек отрицательной гауссовой кривизны, предварительное напряжение которых осуществляется с помощью пригрузки, вызывающей уменьшение усилий в напрягаемых вантах, рекомендуется следующий порядок проведения работ:
- укладка и закрепление плит покрытия на смонтированной и выверенной вантовой сети;
- пригрузка покрытия;
- замоноличивание швов, располагаемых нормально к несущим вантам, т.е. кольцевых швов в шатровых покрытиях и швов, расположенных вдоль стабилизирующих вант, в седловидных покрытиях;
- освобождение покрытия от временной нагрузки после набора бетоном в швах необходимой прочности;
- замоноличивание всех остальных швов.
13.22 Для уменьшения краевых изгибающих моментов замоноличивание швов, расположенных между опорным контуром и крайними плитами, рекомендуется производить в последнюю очередь. Для замоноличивания этих швов рекомендуется применять бетон на расширяющемся или напрягающем цементе.
13.23 В пределах площади плит допускается предусматривать проемы, но при условии обеспечения их несущей способности в процессе монтажа. В плитах, примыкающих к контуру, не рекомендуется устраивать проемы, уменьшающие сечение плиты более чем на 50%.
13.24 Усилия и деформации в висячих оболочках рекомендуется определять расчетом методом конечных элементов с учетом геометрической и физической нелинейностей.
Усилия в элементах висячего покрытия в монтажной стадии допускается определять в линейной постановке в соответствии с
13.23 -
13.38.
Расчет стальных деталей и элементов, входящих в состав висячего покрытия и работающих в процессе монтажа или эксплуатации без учета окружающего бетона, следует производить по
СП 16.13330.
При определении расчетных усилий в опорном контуре и вантах предварительно напрягаемых конструкций необходимо учитывать усилия, возникающие в процессе монтажа конструкции и зависящие от принятого в проекте способа ее предварительного напряжения.
Расчет оболочек с радиальной и перекрестной системами вант
13.25 Распор
H (горизонтальная проекция усилия) ванты оболочек с радиальной сеткой, в которой ванты расположены с одинаковым угловым шагом, а образованная ими под равномерной нагрузкой поверхность имеет в центре горизонтальную касательную плоскость
(рисунок 13.11), определяют по формуле

(13.1)
где

- угловой шаг вант, рад;
r - расстояние между проекциями на горизонтальную плоскость узла сети и точки крепления ванты к опорному контуру (радиус-вектор);
f - стрела провисания вант.
1 - опорный контур; 2 - центральное кольцо; 3 - ванты
Рисунок 13.11 - Радиальная вантовая сеть
с горизонтальной касательной в узле
Длину вант L определяют по формуле

(13.2)
где

.
Значение продольной силы N, действующей в любом сечении опорного контура и центрального кольца при условии отсутствия в них изгибающих моментов, находят по формуле

(13.3)
Максимальное и минимальное значения силы N действуют в точках с координатами, соответственно, (x = 0; y = +/- b); (x = +/- a; y = 0):

(13.4)
13.26 Для обеспечения условно безмоментного состояния сжатого контура радиальной сети с постоянным угловым шагом вант при равенстве усилий в вантах необходимы следующие условия:
- нагрузка на оболочку должна быть равномерно распределенной;
- проекция узла сети в плане должна совпадать с одним из фокусов эллипса, который и в этом случае - единственно возможная форма безмоментного контура
(рисунок 13.12);
- угол подхода

вант к узлу в вертикальной плоскости должен изменяться по закону

(13.5)
Распор вант H такой сети определяют по формуле

(13.6)
13.27 При круговом очертании опорного контура и расположении узла радиальной сети в центре круга
a =
b =
R,

;
H и
L определяют по
формулам (13.1) и
(13.2) при
r =
R = const, значение продольной силы
N определяют по формуле

(13.7)
Рисунок 13.12 - Радиально-вантовая система
с узлом в фокусе эллипса
13.28 Критическую продольную силу Ncr в плоскости кривизны кругового опорного контура рекомендуется определять по формуле

(13.8)
где

;
A - изгибная жесткость контура.
13.29 Форма висячей шатровой оболочки кругового очертания в плане
(рисунок 13.3) и значения расчетных усилий в ее элементах при заданной нагрузке определяются следующими геометрическими параметрами:
- радиусом контура R;
- стрелой подъема центрального кольца над уровнем контурного кольца f1;
- углом наклона вант у контурного кольца

или у центрального кольца

.
При равномерной нагрузке на покрытие значения

,

и

связаны между собой отношениями

(13.9)
Для обеспечения наружного водоотвода с покрытия следует выполнять условие

(13.10)
а уклон кровли

в центре не должен превышать предельно допустимого НД значения.
13.30 Проектная геометрия покрытия обеспечивается точным назначением длины вант

(13.11)
Значение распора вант определяют по формуле

(13.12)
Расчетную продольную силу N в контурном и центральном кольцах определяют по формуле

(13.13)
13.31 Подбор сечений элементов следует производить по усилиям, соответствующим очертанию покрытия до проявления осадок основания центральной опоры и опор контура. Геометрические параметры начального очертания определяют по формулам:

(13.14)
при этом должно выполняться условие

(13.15)

(13.16)
где Q1 - вес участка опорного контура с длиной, равной шагу вант;
es - взаимная осадка центральной и периферийной опор;
13.32 При действии равномерно распределенной нагрузки критическую продольную силу Ncr в опорном контуре шатровой оболочки из плоскости его кривизны определяют по формуле

(13.17)
где n1 - число волн при потере устойчивости, зависящее от наличия и числа вертикальных связей с опорным контуром;
B - жесткость кольца на изгиб из плоскости его кривизны;
C - жесткость на кручение;

(13.18)
Критическую продольную силу
Ncr в опорном контуре в плоскости его кривизны определяют по
формуле (13.8), в которой
k1 определяют по формуле

(13.19)
13.33 При расчете центральной опоры следует учитывать случайный эксцентриситет продольного усилия, значение которого принимают равным 0,1 радиуса круглой опоры или 0,1 радиуса вписанной окружности, если форма поперечного сечения опоры - многоугольник.
13.34 Для радиальной вантовой сети система погонных распоров Hs, обеспечивающая условную безмоментность контура плавного очертания, определяется формулой

(13.20)
где

- угол между проекцией ванты (радиусом-вектором
r точки) и положительным направлением касательной;
C1 - произвольная постоянная, равная моменту продольной силы в контуре относительно центрального узла сети;

- радиус кривизны кольца.
Соответствующую систему распоров

на единицу угла определяют по формуле

(13.21)
или

(13.22)
где
r' и
r" - первая и вторая производные по углу

между начальным фиксированным направлением и радиусом-вектором.
Нагружение радиальными силами в соответствии с
формулами (13.21) и
(13.22) - необходимое и достаточное условие условной безмоментности контура произвольной формы.
При заданном графически очертании опорного контура в плане или громоздкости его аналитического выражения контур разбивают на отрезки и необходимые значения r' и r" вычисляют разностным методом.
Связь между погонным и угловым распорами определяется формулой

(13.23)
Для систем распоров H, обеспечивающих условную безмоментность участков контура с очертаниями:
- прямолинейными: H = 0;
- дуги окружности, центр которой совпадает с полюсом сил:

.
Случаю скачкообразного изменения радиуса кривизны в какой-либо точке при сохранении плавности поворота касательной соответствует разрыв функции H.
При переломе оси контура для сохранения его моментов в точке перелома следует прикладывать сосредоточенную силу H, определяемую по формуле

(13.24)
где

и

- углы между радиусом-вектором
r и касательными в точке перелома.
Для контура полигональной формы значение продольной силы N, действующей в любом сечении контура, определяют по формуле

(13.25)
13.35 Висячие оболочки с ортогональной системой вант рекомендуется проектировать в виде поверхностей эллиптического параболоида, гиперболического параболоида или параболоида вращения, уравнения которых при полном нагружении вант имеют соответственно вид:

(13.26)
где f - стрела провиса в центре эллиптического параболоида или параболоида вращения;
fx, fy - стрелы провиса вант, параллельных осям x и y гиперболического параболоида;
x, y, z - декартовы координаты;
a и b - полуоси контурного эллипса;
R - радиус контурной окружности.
Погонные распоры Hx, Hy в вантах определяют по формулам:
- для эллиптического параболоида

(13.27)
- для гиперболического параболоида

(13.28)
- для параболоида вращения

(13.29)
где p - дополнительная нагрузка от напрягающих вант на 1 м2.
Распор в вантах определяют как произведение соответствующего погонного распора на расстояние между вантами.
Расчет оболочек с полигональной системой вант
Расчет полигонально-вантовой сети
13.36 Полигонально-вантовую сеть висячей оболочки следует рассчитывать по несущей способности на полную расчетную нагрузку от собственного веса покрытия и снега, расположенного на всей его поверхности, при этом следует учитывать неравномерность снеговых отложений согласно
СП 20.13330. Контурные и угловые ванты рассчитывают как систему гибких нитей, прикрепленных к узлам общей вантовой сети, из условия равновесия ее узлов. В качестве примера на
рисунке 13.13 приведена схема несущей системы висячего покрытия для квадратного здания размерами 48 x 48 м в плане. Контурные ванты расположены с шагом 3 м по периметрам квадратов, угловые - по направлениям диагоналей плана (
рисунок 13.13,
а). По вантам уложены железобетонные плиты (
рисунок 13.13,
б).
а - схема вантовой сети; б - схема железобетонной оболочки
Рисунок 13.13 - Конструктивная схема полигонально-вантового
висячего покрытия для здания размером 48 x 48 м в плане
13.37 Расчет конструкции рекомендуется начинать исходя из заданной формы равновесия висячего покрытия при полной равномерно распределенной расчетной нагрузке. Затем, предполагая, что исходная геометрия конструкции соответствует форме равновесия вантовой сети из нерастяжимых нитей, длина которых равна длине заготовки, расчетом в упругой стадии последовательно определяют:
- расчетные усилия во всех элементах системы и площади их поперечных сечений;
- исходную (начальную) геометрию системы;
- длины заготовок контурных и угловых вант до приложения нагрузки.
13.38 Расчет контурных вант производят в следующей последовательности:
- задают значение стрелки провеса f1 первой (от опорного контура) контурной ванты и определяют распор H1 первой контурной ванты по формуле

(13.30)
где qpr - равномерно распределенная расчетная нагрузка на 1 м длины горизонтальной проекции ванты;
l1 - длина пролета первой контурной ванты;
- задаются условием равенства распоров H всех контурных вант:

(13.31)
- определяют стрелки провеса fi контурных вант по формуле

(13.32)
где
i - номер контурной ванты (от 1 до
k0), считая от контура
(рисунок 13.13);
k0 - число контурных вант на каждом участке между угловыми вантами (т.е. число гибких контуров в системе);
li - длина пролета контурной ванты i.
Расчетное продольное усилие Ti в произвольном сечении i-й контурной ванты определяют по формуле

(13.33)
где Qi - поперечная сила в однопролетной шарнирно-опертой балке при нагрузке qpr.
Ординаты линий равновесия yi контурных вант, измеренные от горизонтали, проходящей через центры узлов сопряжения контурных вант с угловыми при расчетной нагрузке, определяют по формуле

(13.34)
где Mi - изгибающий момент в сечении x однопролетной шарнирно-опертой балки пролетом li от нагрузки qpr.
Соответствующие значения тангенсов углов наклона контурной i-й ванты находят по формуле

(13.35)
13.39 Для определения формы равновесия системы угловых вант при расчетной нагрузке:
- определяют значения сосредоточенных нагрузок, передающихся в узлах сопряжения от примыкающих контурных вант
(рисунок 13.14); при этом величины горизонтальной и вертикальной составляющих узловой нагрузки определяют отдельно, а горизонтальную составляющую узловой нагрузки
HD для квадратного плана определяют как геометрическую сумму распоров, примыкающих к узлу контурных вант, по формуле
HD = 1,41H. (13.36)
Рисунок 13.14 - Расчетная схема системы угловых вант
в полигонально-вантовой системе
Вертикальная составляющая узловой нагрузки Vi равна сумме вертикальных составляющих опорных реакций двух примыкающих к узлу контурных вант и нагрузки от веса узловой конструкции и других элементов покрытия, опирающихся непосредственно на узел;
- по найденным значениям узловых нагрузок определяют опорные реакции

,

системы угловых вант по формулам:

(13.37)

(13.38)
- находят тангенсы углов наклона системы угловых вант
(рисунок 13.14) на всех участках между узлами по формулам:

(13.39)
где i - номер узла;
- по углам наклона

и расстояниям между узлами по горизонтали определяют ординаты линии равновесия системы угловых вант. Полученная ломаная линия соответствует форме равновесия нижней угловой ванты. Все остальные угловые ванты располагаются выше на расстояниях, равных принятому шагу угловых вант по вертикали.
13.40 Для контурных вант максимальные продольные усилия в вантах определяют по
формуле (13.33), подставляя вместо
Qi вертикальную составляющую опорной реакции ванты. Усилия в угловых вантах достигают максимального значения на участке 0-1
(рисунок 13.14), примыкающем к опорному узлу системы, где продольное усилие
TD(0-1) в каждой угловой ванте равно

(13.40)
Сечения контурных и угловых вант подбирают по усилиям, полученным при расчете системы на полную расчетную нагрузку по всей площади покрытия.
После определения геометрических параметров висячей системы в расчетном предельном состоянии и подбора сечений ее основных элементов определяют длины заготовок вант (длины вант в исходном ненагруженном состоянии).
Расчет жесткости, трещиностойкости и несущей способности оболочки
13.41 Усилия для расчета жесткости и трещиностойкости оболочки допускается определять расчетом оболочки в упругой стадии на нагрузки, приложенные после замоноличивания оболочки.
При этом:
- каждый квадрант оболочки (участок между угловыми вантами) рассматривают отдельно;
- учитывают, что в поперечном направлении (вдоль контурных вант) оболочка работает в основном на растяжение, в продольном - на изгиб, а деформации сдвига в оболочке ввиду их малости не учитывают;
- влиянием вертикальных перемещений угловых вант на напряженное состояние оболочки пренебрегают.
13.42 Предварительным конструктивным критерием допустимости расчета оболочки как линейно деформируемой системы может служить высота ребер, которую рекомендуется назначать не менее 1/250 общего пролета конструкции L.
Для покрытий на квадратном плане при опирании оболочки по контуру рекомендуется для оценки деформативности оболочки при различных размерах ее элементов применять эмпирический критерий жесткости KS:

(13.41)
где Ired - приведенный момент инерции поперечного сечения продольного ребра оболочки с учетом полки плит;
nr - число продольных ребер оболочки в одном направлении;
При KS > 1,2 кН геометрическую схему оболочки допускается считать недеформируемой. При нарушении этого условия высоту ребер плит оболочки рекомендуется увеличивать.
Критерий KS допускается применять при условии, что значение равномерно распределенной нагрузки от снега не превышает нагрузки от собственного веса покрытия.
13.43 При расчете предварительно напряженной оболочки, опертой на систему угловых вант и по контуру, опоры на контуре принимают подвижными в продольном и поперечном направлениях. Расчетную схему висячей оболочки принимают в виде перекрестной ванто-балочной системы. Расчет производят методом сил, принимая в качестве лишних неизвестных величины распоров контурных вант.
Реакции взаимодействия между вантами и балками определяют по формуле

(13.42)
где Rik - реакция взаимодействия i-й ванты с балкой k;
Hi - распор i-й ванты;
b0 - шаг балок (продольных ребер оболочки).
Полагая Hi = 1, определяют узловые нагрузки от единичных неизвестных в основной системе и соответствующие эпюры моментов в балках и нормальных сил в вантах.
Расчет оболочки по несущей способности методом предельного равновесия
13.44 Расчет несущей способности висячей оболочки полигонально-вантового типа методом предельного равновесия производят в сочетании с общим решением задачи о расчете гибкой упругой нити. Несущую способность оболочки определяют как предельную узловую нагрузку из расчета полос-балок на упруго-податливых опорах, роль которых выполняют ванты. Расчет основан на следующих положениях:
- каждый квадрант оболочки рассматривается как висячая конструкция с несмещаемыми опорами, расположенными по линиям угловых вант;
- в предельном состоянии оболочка разделяется трещинами на продольные полосы, опертые на контурные ванты, и работает как ванто-балочная система;
- исчерпание несущей способности оболочки наступает вследствие одновременного появления текучести в контурных вантах и образования пластических шарниров в продольных ребрах (балках);
- пластические шарниры в продольных ребрах располагаются на линии пересечения этих ребер с одной из ближайших к опорному контуру вант;
- в предельном состоянии участки поверхности оболочки между линией расположения пластических шарниров и опорами остаются по форме близкими к цилиндрическим.
13.45 Расчетные сжимающие усилия в опорном контуре полигонально-вантовой системы определяют путем геометрического разложения опорных усилий угловых вант по направлениям элементов узла сопряжения угловых колонн с опорным контуром с учетом усилий в контуре от температурных и других воздействий. При необходимости производят проверку контура по деформированной схеме с учетом его совместной работы с колоннами.
13.46 Опорный контур полигонально-вантовой системы рассчитывают на внецентренное сжатие по
СП 63.13330. При этом расчетную длину
l0 опорного контура в горизонтальной плоскости рекомендуется принимать равной 1/4 периметра здания, а в вертикальной плоскости - расстоянию между колоннами. Размеры поперечного сечения элементов опорного контура рекомендуется назначать равными не менее
l0/20.
Конструирование оболочек с радиальной и перекрестной системами вант
13.47 При выборе системы вант следует учитывать, что по расходу арматуры на оболочку в целом, а также по расходу бетона на опорный контур оболочки с радиальной системой вант экономичнее оболочек с перекрестной системой вант.
13.48 Для радиальной вантовой системы оптимально круговое очертание опорного контура (частный случай эллипса), позволяющее унифицировать элементы оболочки и обеспечивать работу контура на любой стадии монтажа. Для этого плиты оболочки необходимо монтировать кольцами, т.е. перед укладкой очередного ряда плит (кольца) все предыдущие должны быть закончены (замкнуты).
13.49 Оболочки с радиальной системой вант эллиптического очертания в плане рекомендуется проектировать с внутренним кольцом в форме эллипса, подобного наружному.
13.50 Минимальный периметр внутреннего кольца определяют из условия размещения в нем анкеров вант.
Конструкцией кольца должна быть обеспечена его жесткость в горизонтальной плоскости при монтаже вант и плит.
13.51 Центральную опору шатровых оболочек рекомендуется проектировать железобетонной с круглым поперечным сечением из высокопрочных бетонов или трубобетонной.
13.52 Закрепление вант в контуре допускается проектировать как с упором в опорную плиту на наружной грани контура, так и соединением с выпусками на его внутренней стороне.
Для закрепления вант с упором на контуре в контурном кольце предусматривают закладные трубки диаметром, достаточным для пропуска анкерных устройств вант. Угол наклона трубок к горизонту следует принимать равным наклону касательной к поверхности покрытия у контура при расчетной равномерной нагрузке.
Закрепление вант в опорном контуре и внутреннем кольце следует проектировать таким образом, чтобы линия действия усилия в ванте проходила через центр тяжести поперечного сечения
(рисунок 13.15). В противном случае необходимо учитывать возникающие вследствие отсутствия центровки крутящие и изгибающие моменты.
1 - центральная колонна; 2 - ванта; 3 - верхний пояс
центрального кольца; 4 - нижний пояс центрального кольца;
5 - соединительные упорные планки; 6 - шайба; 7 - гайка;
8 - хвостовик; 9 - опорный контур; 10 - закладная трубка
для пропуска ванты; 11 - закладная деталь, распределяющая
нагрузку от ванты; 12 - патрубок для инъекции раствора
Рисунок 13.15 - Крепление вант к опорному
контуру и центральному кольцу
13.53 Опорную плиту под анкер проектируют перпендикулярно к оси закладной трубки или под углом с установкой под анкер клиновидных шайб.
Размеры опорных плит принимают на основании расчета на местное сжатие. В необходимых случаях предусматривают местное упрочнение контура под плитой путем установки косвенной арматуры.
Для защиты вант от коррозии после окончания их регулирования и замоноличивания швов между плитами следует предусматривать возможность заполнения полости анкерных закладных трубок цементным раствором через патрубок, выведенный на верхнюю или боковую поверхность контура
(рисунок 13.15).
Анкеры вант должны быть защищены от коррозии.
13.54 Конструкция узлов пересечения вант должна обеспечить совместную работу вант в нормальном, а в необходимых случаях и в тангенциальном направлениях к поверхности покрытия.
В местах пересечения вант следует предусматривать специальные хомуты или штампованные косынки
(рисунок 13.16), применяемые также для опирания плит.
В конструкциях деталей, изменяющих направление стального каната или проволоки в канате (анкерных устройств), а также обжимающих канат (сжимов, хомутов подвесок и т.п.) следует применять желоба криволинейного поперечного сечения со скруглениями у торцов (в месте выхода каната) и укороченными (по сравнению с основанием) прижимными накладками, прокладками из алюминия или другого мягкого материала. Для исключения электрохимической коррозии контактирующие с алюминием стальные канаты и стальные детали должны быть защищены покрытиями из кадмия или цинка толщиной не менее 20 мкм.
а - с применением хомутов; б - с применением
штампованных стальных косынок; 1 - несущая ванта;
2 - напрягающая ванта; 3 - хомут; 4 - косынка
Рисунок 13.16 - Узлы пересечения вант
13.55 Сборные плиты подвешивают к вантам с применением выпусков рабочей арматуры, стальных крюков, привариваемых к арматуре плит и изготовленных из арматуры класса А240, или других специальных приспособлений. При подвеске в четырех точках каждый крюк рассчитывают на действие 1/3 нагрузки, приходящейся на плиту
(рисунок 13.17).
а - плоская плита; б - ребристая плита; 1 - железобетонная
плита; 2 - ванта; 3 - крюки; 4 - бетон шва; 5 - армирование
шва; 6 - ребро плиты; 7 - детали крепления плит к вантам
Рисунок 13.17 - Крепление плит к вантам
Конструирование оболочек с полигональной системой вант
13.56 Висячие оболочки полигонально-вантового типа применяют для покрытий с многоугольным планом
(рисунок 13.5), чаще - в зданиях с квадратным и прямоугольным планами. При применении такой вантовой системы для зданий с произвольным полигональным планом предусматривают такое расположение несущих вант, при котором все усилия передаются только на углы опорного контура.
(в ред.
Изменения N 3, утв. Приказом Минстроя России от 11.12.2023 N 901/пр)
13.57 Несущая система покрытия
(рисунок 13.5) состоит из контурных и угловых вант. В горизонтальной проекции контурные ванты расположены параллельно сторонам опорного контура и образуют полигональные гибкие контуры. Угол каждого гибкого контура соединен угловой вантой с соответствующим углом опорного контура. Угловые ванты располагаются по биссектрисам углов опорного контура (при прямоугольном плане - по диагоналям). Помимо основных, допускается применение дополнительных угловых вант, проходящих непрерывно от угла к углу сооружения под основными угловыми вантами. Дополнительные угловые ванты рекомендуется применять в тех случаях, когда требуется уменьшить стрелу провиса центра покрытия по отношению к углам сооружения - для увеличения уклона кровли по направлению к опорному контуру. По концам контурных и угловых вант устанавливают стальные анкерные детали, предназначенные для соединения вант между собой и для их крепления в углах сооружения.
Ванты могут быть одиночными или двойными, состоящими из одного или двух расположенных близко канатов, стальных арматурных стержней или других гибких элементов. Размеры стрелок провиса контурных вант рекомендуется принимать из условия, чтобы уклоны покрытия для организации водоотвода с покрытия имели направления к сторонам опорного контура. При этом размеры стрелок провиса контурных вант назначают таким образом, чтобы значения их распоров были одинаковыми.
13.58 При проектировании вант
(рисунок 13.18) рекомендуется принимать следующее их расположение в вертикальной плоскости: диагональные - в нижнем ярусе, угловые центрального гибкого контура - во втором ярусе, угловые следующего (от центра) контура - в третьем и т.д. Контурные ванты опирают сверху на систему проходящих ниже двойных угловых вант. Допускается обратный порядок расположения угловых вант, при котором узлы сопряжения подвешиваются снизу к проходящей над ними системе угловых вант.
1 - угловые ванты; 2 - узлы сопряжения контурных вант
с угловыми; 3 - диагональные ванты
Рисунок 13.18 - Расположение угловых вант
полигонально-вантовой системы в вертикальной плоскости
Конструкцией узлов сопряжения контурных вант с угловыми должна быть обеспечена свобода поворота концевых сечений контурных вант в вертикальной плоскости. Узлы проектируют с применением болтов, сварки или стальных отливок (на основе принципа работы цилиндрических или листовых шарниров) с устройством для регулирования длины вант.
(в ред.
Изменения N 3, утв. Приказом Минстроя России от 11.12.2023 N 901/пр)
13.59 Опорный контур и каркас здания выполняют из сборного, сборно-монолитного или монолитного железобетона. Опорный контур поддерживается колоннами, расположенными по периметру здания. Для обеспечения возможности монтажа вантовой системы на полу и ее подъема путем перемещения анкерных устройств сети по направляющим элементам колонн угловые колонны рекомендуется выполнять двойными. Опорный контур проектируют в виде горизонтального или полигонального ригеля, связанного с колоннами
(рисунок 13.19) и образующего вместе с ними многопролетную раму, в среднем пролете которой предусматривают вертикальные связи, обеспечивающие устойчивость каркаса здания. Размеры сечения опорного контура назначают с учетом
13.46.
(в ред.
Изменения N 3, утв. Приказом Минстроя России от 11.12.2023 N 901/пр)
а - с горизонтальным контуром; б - с полигональным
контуром; 1 - опорный контур; 2 - угловые (двойные)
колонны; 3 - промежуточные колонны; 4 - вертикальные связи
Рисунок 13.19 - Конструктивные схемы опорного контура
полигонально-вантового покрытия в вертикальной плоскости
Плиты для оболочки рекомендуется выполнять без предварительного напряжения арматуры, из легкого бетона класса B25 и выше. Узел опирания плит на двойные ванты приведен на
рисунке 13.20. В швах между плитами устанавливают конструктивную, а в продольных швах оболочки - расчетную арматуру. Для обеспечения трещиностойкости оболочки в стадии эксплуатации или для уменьшения ширины раскрытия трещин до замоноличивания швов предусматривается предварительное напряжение вантовой сети пригрузкой или другим способом. Допускается применение оболочек без предварительного напряжения при надлежащем обосновании расчетом и защите вант от коррозии. Швы между плитами рекомендуется заполнять бетоном того же класса на сжатие, что и бетон плит. Для обеспечения устойчивости опорного контура оболочек с полигональной системой вант его поперечное сечение должно быть развито в горизонтальной плоскости.
а - узел опирания железобетонных плит на контурные ванты;
б - поперечное сечение продольного ребра оболочки (балки);
1 - железобетонные ребристые плиты; 2 - контурные ванты;
3 - крюк жесткой конструкции; 4 - отверстие для строповки
плит; 5 - дополнительная арматура в поперечных швах
оболочки; 6 - рабочая арматура продольных ребер (балок)
Рисунок 13.20 - Конструктивное решение основных узлов
висячей оболочки полигонально-вантового типа
13.60 Конструкция опорного узла висячей системы должна обеспечивать возможность монтажа вантовой сети до замоноличивания стыков опорного контура. В углах контура рекомендуется предусматривать зазоры для прохода системы угловых вант, заанкеренных в специальном анкерном устройстве. Для восприятия усилия сжатия в углах опорного контура от собственного веса вантовой сети в зазорах следует предусматривать монтажные стальные распорки. После монтажа вантовой сети зазоры в углах опорного контура следует замоноличивать бетоном того же класса, что и бетон ригелей опорного контура.
14 Панели-оболочки "на пролет здания" и сводчатые конструкции из них
14.1.1 Панель-оболочка КЖС (крупноразмерная, железобетонная, сводчатая) представляет собой короткий цилиндрический пологий предварительно напряженный свод-оболочку с двумя ребрами-диафрагмами сегментного очертания (
рисунки 14.1,
14.2), в нижней утолщенной части которых располагается предварительно напряженная арматура. Номинальные размеры панелей
b0 и
l0 в плане рекомендуется принимать равным 3 x 12 м; 3 x 18 м и 3 x 24 м.
hc - строительная высота панели оболочки
Рисунок 14.1 - Панель-оболочка КЖС
lb - ширина поля плиты; ab - ширина вута; bs - расстояние
между осями рабочей арматуры диафрагм;
1 - вертикальное ребро жесткости; 2 - разбивочная
ось; 3 - напрягаемая рабочая арматура
Рисунок 14.2 - Поперечное сечение панели-оболочки КЖС
Высоту поперечного сечения панели в середине пролета принимают равной 1/20 - 1/15 l0 в зависимости от значения нагрузки и размера пролета. Очертание верхней поверхности оболочки рекомендуется принимать по квадратной параболе.
14.1.2 Панели-оболочки КЖС предназначаются для покрытий зданий с пролетами 12, 18, 24 м и с другими пролетами. Панели-оболочки КЖС применяют в покрытиях однопролетных и многопролетных зданий с фонарями и без фонарей, бескрановых, а также в зданиях, оборудованных мостовыми кранами грузоподъемностью до 30 т или подвесным транспортом грузоподъемностью до 5 т.
Панели КЖС опирают на продольные несущие стены, продольные железобетонные балки прямоугольного сечения высотой 500 - 600 мм - при шаге колонн 6 м, предварительно напряженные железобетонные двутавровые балки с высотой сечения 1000 - 1200 мм или фермы раскосно-шпренгельного типа с предварительно напряженной арматурой
(рисунок 14.3) - при шаге колонн 12 м.
Рисунок 14.3 - Продольная предварительно
напряженная балка и ферма для покрытий
из панелей-оболочек КЖС при шаге колонн 12 м
Расчет панели-оболочки КЖС
14.1.3 Усилия и деформации в панели-оболочки КЖС рекомендуется определять расчетом методом конечных элементов с учетом геометрической и физической нелинейностей.
Допускается расчет пологой цилиндрической панели-оболочки КЖС, у которой отношение
l0/
b0 >= 4, производить по методике расчетных предельных состояний как цилиндрического свода, работающего совместно с деформирующимися диафрагмами, в соответствии с
14.1.4 -
14.1.7.
Расчет панели-оболочки КЖС по несущей способности и устойчивости
14.1.4 Требуемые для обеспечения общей несущей способности панели-оболочки КЖС площади сечения
As рабочей арматуры диафрагм и толщину оболочки
(рисунок 14.4) определяют из условий:

(14.1)

(14.2)
где M - изгибающий момент в рассматриваемом сечении панели;
z - расстояние по вертикали от оси оболочки до оси рабочей арматуры диафрагмы;
Rs - расчетное сопротивление рабочей арматуры диафрагм;
bf - ширина панели поверху;

- коэффициент условий работы тонкой оболочки, принимаемый равным
0,75 - для панелей шириной 3 м;
0,9 - для доборных панелей шириной 2 м;
1,0 - для доборных панелей шириной 1,5 м;

- коэффициент условий работы бетона, принимаемый согласно
СП 63.13330.
x - расстояние от рабочей поверхности анкера рабочей
арматуры диафрагмы до рассматриваемого сечения;

- угол
наклона нижней поверхности оболочки у торца панели;

;
ar - расстояние по горизонтали от оси рабочей
арматуры диафрагмы до продольной грани панели на опоре;
bs - расстояние между осями рабочей арматуры диафрагм;
hc - высота панели-оболочки; z0 - стрела подъема оболочки
(т.е. расстояние от оси оболочки до оси рабочей арматуры
диафрагмы в середине пролета);
а - продольный разрез; б - план опорной части;
1 - 5 - номера характерных точек продольного
сечения по оси панели; 6 - ось напрягаемой
арматуры диафрагмы; 7 - ось оболочки
Рисунок 14.4 - Геометрическая схема панели-оболочки КЖС
Толщину оболочки

на участке, примыкающем к опоре, определяют с учетом усилий, действующих в опорной зоне
(рисунок 14.4).
14.1.5 Принятую из условия обеспечения несущей способности по
формуле (14.2) толщину оболочки следует проверять из условия обеспечения устойчивости оболочки на условные критические напряжения сжатия по формуле

(14.3)
где
lb - расчетный пролет оболочки, равный расстоянию в свету между вутами
(рисунок 14.2);

- изгибающий момент от расчетных нагрузок в середине пролета панели при коэффициенте надежности по нагрузке

;
y0 - расстояние от центра тяжести приведенного сечения панели в середине пролета до оси оболочки;
Ired0 - момент инерции приведенного поперечного сечения панели в середине ее пролета.
14.1.6 Площадь сечения стержней торцевой рабочей арматуры (позиция 8 на
рисунке 14.5) при опирании на продольные несущие конструкции согласно
14.1.2 следует определять по большему из значений усилий
Ne, вычисленных по формулам:

(14.4)

(14.5)
где g - расчетная нагрузка от веса панели, кН/м2;
2 - сопротивление отрыву при съеме панели с формы, кН/м2;
l - расчетный пролет панели;
bs - расстояние между осями рабочей арматуры диафрагм;
bsup - ширина панели на опоре.
Для торцевой арматуры рекомендуется применять сталь класса не ниже А400.
1 - напрягаемая арматура диафрагмы; 2 - анкер;
3 - арматурная сетка оболочки; 4 - поперечная арматура
диафрагмы (на участке T устанавливается только
при наличии подвесного транспорта); 5 - подвеска
наружная; 6 - подвеска внутренняя; 7 - сетка в вуте;
8 - торцевая арматура (сечение IV'-IV' при наличии
подвесных кранов и для сегментных сводов)
Рисунок 14.5 - Армирование панели-оболочки
КЖС размерами 3 x 18 м
Расчет диафрагм на поперечную силу
14.1.7 Расчет диафрагм панели-оболочки КЖС на поперечную силу производят с учетом разгружающего действия вертикальных составляющих сил сжатия в оболочке. Часть поперечной силы
Qd, воспринимаемой диафрагмами, определяют по формуле

(14.6)
при этом должно выполняться условие

(14.7)
где Q0 - полное значение поперечной силы в рассматриваемом сечении панели;

- угол наклона оси оболочки;

- ширина диафрагмы в самом узком месте рассматриваемого сечения
(рисунок 14.2);
h0 - рабочая высота сечения.
При соблюдении
условия (14.7) на участках диафрагм длиной 0,1
l, примыкающих к опорам, во всех случаях следует устанавливать конструктивную поперечную арматуру из проволоки класса B500 диаметром не менее 5 мм с шагом 100 мм, а при наличии на участках диафрагм сосредоточенных нагрузок от подвесного транспорта - диаметром не менее 6 мм класса A400 с шагом 100 мм. Кроме того, назначать шаг поперечных стержней следует согласно
СП 63.13330. Также следует устанавливать стержни-подвески в вертикальных ребрах жесткости диафрагм
(рисунок 14.5), располагаемые с шагом 1,5 - 1,6 м. При наличии подвесного транспорта стержни-подвески выполняют двойными.
Если
условие (14.7) не соблюдается, поперечную арматуру следует устанавливать по расчету, при этом требуемую площадь сечения поперечной арматуры в диафрагмах вычисляют по формуле

(14.8)
где fx - площадь сечения одного поперечного (вертикального) стержня каркаса диафрагмы;
|
Qd| - абсолютное значение части поперечной силы, воспринимаемой обеими диафрагмами панели, определяемое по
формуле (14.6);
z - плечо внутренней пары сил (расстояние по вертикали от оси напрягаемой арматуры до срединной поверхности поля оболочки) в рассматриваемом сечении;
u - шаг поперечных стержней каркаса диафрагмы.
В знаменателе
формулы (14.8) знак плюс для левой половины панели принимается в тех случаях, когда значение
Qd положительно, и минус - когда значение
Qd отрицательно.
14.1.8 Площадь рабочей поверхности анкера рабочей арматуры каждой диафрагмы следует проверять исходя из условия

(14.9)
где M1 - изгибающий момент на всю ширину панели в сечении, расположенном на расстоянии 1,5 м от рабочей поверхности анкера;
z1 - расстояние по вертикали от оси рабочей арматуры диафрагмы до оси оболочки в этом же сечении.
При нагрузках от подвесных кранов изгибающий момент M1 и значение z1 следует вычислять в сечении под грузом, ближайшим к опоре.
Расчет панели-оболочки КЖС по деформациям
14.1.9 Прогиб w0sh в середине пролета предварительно напряженной панели-оболочки КЖС при кратковременном действии равномерно распределенной нагрузки рекомендуется определять по формуле

(14.10)
где
qn - равномерно распределенная на полосе оболочки единичной ширины расчетная нагрузка при коэффициенте надежности по нагрузке

;
Eb1 = 0,85
Eb;
Ired0 - момент инерции приведенного поперечного сечения панели КЖС в середине пролета.
Значение прогиба w0l панели в середине пролета с учетом длительного действия нагрузки и предварительного напряжения определяют по формуле

(14.11)
где qsh - кратковременно действующая часть нагрузки;

- коэффициент ползучести бетона (по
таблице 6.12 СП 63.13330.2018);
(в ред.
Изменения N 1, утв. Приказом Минстроя России от 20.11.2019 N 701/пр)
ql - длительно действующая часть нагрузки;
qe - эквивалентная по моменту в середине пролета равномерно распределенная нагрузка от сил предварительного напряжения, определяемая по формуле

(14.12)

- сумма потерь предварительного напряжения рабочей арматуры от усадки и ползучести бетона согласно
СП 63.13330;

- то же, для напрягаемой арматуры, если бы она имелась на уровне крайнего сжатого волокна бетона;
Es - модуль упругости рабочей арматуры диафрагм;
h0c - рабочая высота поперечного сечения панели в середине пролета;
P(1) - равнодействующая усилий в напрягаемой арматуре до обжатия бетона, определяемая при коэффициенте точности натяжения

;
e0p - расстояние от оси напрягаемой арматуры до центра тяжести приведенного сечения панели в середине пролета.
Расчет панели-оболочки КЖС по образованию трещин
14.1.10 Расчет по образованию трещин в диафрагмах панелей КЖС рекомендуется производить согласно
СП 63.13330 с учетом:
- разгружающего действия веса панели при

во всех случаях при определении потерь предварительного напряжения в арматуре;
- неупругих деформаций бетона - значение момента сопротивления Wpl приведенного сечения панели для растянутой грани допускается определять по формуле
Wpl = 1,3W, (14.13)
где W - момент сопротивления для растянутой грани сечения, определяемый в соответствии с правилами сопротивления упругих материалов по формуле

(14.14)
где
a - расстояние от нижней грани ребра до оси напрягаемой арматуры
(рисунок 14.2).
Расчет поля оболочки на изгиб вдоль образующей
14.1.11 Оболочку панели-оболочки КЖС рекомендуется рассчитывать на изгиб в направлении ее образующей как короткую цилиндрическую оболочку между диафрагмами. При этом необходимо учитывать изменения геометрической схемы конструкции вследствие роста прогибов, появления и развития трещин в диафрагмах и уменьшения кривизны оболочки в процессе ее нагружения.
Расчет производят из условия, чтобы значение нагрузки qb, передающейся на диафрагмы за счет изгиба оболочки, не превышало значения предельной нагрузки по несущей способности оболочки на изгиб, определенной методом предельного равновесия. Расчет несущей способности оболочки на изгиб следует производить при:
- нагрузке, равномерно распределенной по всей поверхности оболочки;
- снеговой нагрузке, расположенной на половине пролета с учетом коэффициента снегоотложения

, а на участках нижних покрытий при перепаде высот - с учетом коэффициента

, определяемого согласно
СП 20.13330;
- нагружении диафрагм сосредоточенными нагрузками от симметрично расположенных подвесных кранов;
- нагружении сосредоточенными нагрузками от стоек каркаса фонаря и т.п.
Для каждого случая следует производить расчет на возможные неблагоприятные сочетания нагрузок с коэффициентами сочетаний, принимаемыми по
СП 20.13330.
При этом учитывают, что при нагрузке, приложенной к полю оболочки, изгибающая нагрузка положительна (направлена вниз), при нагрузке, приложенной к диафрагмам, - отрицательна (направлена вверх), а снеговая нагрузка, приложенная на одной половине пролета, создает на ней положительную изгибающую нагрузку, на другой - отрицательную. Силы предварительного напряжения рабочей арматуры диафрагм создают положительную изгибающую нагрузку на оболочку.
14.1.12 При равномерном нагружении
(рисунок 14.6) максимальное значение расчетной изгибающей нагрузки
qb,max рассчитывают по формуле

(14.15)
где qM - расчетная равномерно распределенная нагрузка, приложенная непосредственно к оболочке с учетом ее веса (без учета веса диафрагм);
w0,max - расчетный прогиб панели в середине пролета, определяемый по
формуле (14.16);
q - эквивалентная по моменту в середине пролета расчетная равномерно распределенная нагрузка с учетом веса панели;
qN - вертикальная нагрузка, эквивалентная по нормальной силе, возникающей в оболочке от предварительного напряжения панели, определяемая по
формуле (14.20);

- коэффициент, учитывающий неравномерность распределения сил сжатия в оболочке, определяемый по
формуле (14.21).
1 - ось оболочки; 2 - ось рабочей арматуры диафрагмы
Рисунок 14.6 - Расчетная схема панели-оболочки КЖС

(14.16)

(14.17)

(14.18)

(14.19)
где

- предел текучести арматуры диафрагм;
wy - прогиб панели, соответствующий началу текучести арматуры диафрагм;
wp - выгиб панели от сил предварительного напряжения;
Es - модуль упругости рабочей арматуры диафрагм;

- значение предварительного напряжения в арматуре с учетом всех потерь, определяемое по
СП 63.13330;

(14.20)

(14.21)

- толщина оболочки в середине пролета;
Ared0 - площадь приведенного сечения панели в середине ее пролета;
P - равнодействующая усилий в напрягаемой арматуре с учетом всех потерь предварительного напряжения.
14.1.13 Минимальное значение изгибающей нагрузки qb,min при равномерном нагружении панели определяют по формуле

(14.22)
где w0,min - расчетный прогиб панели в середине пролета при нагрузке, равной q, определяемый по формуле

(14.23)

,
P определяют при

.

(14.24)
14.1.14 При нагружении панели-оболочки постоянной равномерно распределенной нагрузкой
g в сочетании с нагрузкой от снега
p, расположенной на левой половине пролета
(рисунок 14.6), изгибающие нагрузки соответственно для левой
qb,l и правой
qb,r половин пролета определяют по формулам:

(14.25)

(14.26)
где qM,l и qM,r - равномерно распределенные нагрузки, приложенные непосредственно к оболочке соответственно на левой и правой половинах пролета с учетом собственного веса оболочки;

- отношение временной (снеговой) к постоянной равномерно распределенной нагрузке, определяемое по формуле

(14.27)
qc = g + 0,5p. (14.28)
При расчете несущей способности оболочки на изгиб методом предельного равновесия схему разрушения оболочек принимают в виде, приведенном на
рисунке 14.7.
а - вид на диафрагму; б - план; 1 - оболочка; 2 - рабочая
арматура диафрагм; 3 - трещины в диафрагме;
4 - пластические шарниры в оболочке
Рисунок 14.7 - Схема разрушения панели-оболочки КЖС
При армировании одной сварной сеткой с рабочими стержнями, расположенными вдоль образующей оболочки (поперек панели), и при схеме излома с образованием трех пластических шарниров (по оси панели и по линиям сопряжения оболочки с вутами диафрагм) значение предельной нагрузки qu, кН/м2, определяют по формуле

(14.29)
где Rs - расчетное сопротивление рабочей арматуры оболочки, МПа;
As - площадь сечения рабочей арматуры, м2, на 1 м оболочки;
lb - расстояние в свету между вутами диафрагм, м;

- толщина оболочки в рассматриваемом сечении, м.
Проверка прочности сопряжения оболочки с диафрагмой
| | ИС МЕГАНОРМ: примечание. Нумерация пунктов дана в соответствии с официальным текстом документа. | |
14.1.16 Прочность сопряжения оболочки с диафрагмами следует проверять расчетом на изгиб сечений II-II и III-III
(рисунок 14.5) при действии на оболочку расчетных изгибающих нагрузок. При этом принимается, что изгибающие моменты в вертикальном сечении II-II (у начала вута) и горизонтальном сечении III-III (по диафрагме) одинаковы. Значения расчетных изгибающих моментов
M2 и
M3 для этих сечений определяют по формуле

(14.30)
где q - расчетная изгибающая нагрузка для рассматриваемой схемы нагружения;
Расчет покрытий на нагрузки от подвесных кранов
14.1.17 При расчете покрытия из панелей-оболочек КЖС на нагрузки от подвесных электрических кранов
(рисунок 14.8) следует принимать, что на каждой колее находятся по два максимально сближенных крана, и учитывать максимально возможное приближение кранов к торцевой стене здания (расположение торцевых упоров на балках крановых путей).
ak - расстояние от оси опоры панели-оболочки до оси
крайней балки кранового пути; l2 - принимаемое
в расчетах расстояние от оси опоры панели-оболочки
до оси средней балки кранового пути
Рисунок 14.8 - Типовые схемы нагружения (а, б, в) покрытия
из панелей-оболочек КЖС подвесными кранами
Расчет неразрезной балки кранового пути производят как балки на оседающих опорах, которыми служат диафрагмы панелей-оболочек. При этом связь между опорными давлениями балки и вертикальными перемещениями диафрагм принимается нелинейной. Расчет рекомендуется выполнять численными методами.
14.1.18 Минимальную толщину поля оболочки следует принимать не менее 30 мм; диафрагмы рекомендуется проектировать облегченной кессонированной конструкции с вертикальными ребрами жесткости и с минимальной толщиной стенки, равной 40 мм. Толщину стенки в первом от опоры кессоне диафрагмы принимают не менее 50 мм. Сопряжение оболочки с диафрагмами выполняют с применением пологих вутов (
i = 1:5), как показано на
рисунке 14.2.
14.1.19 Основную напрягаемую рабочую арматуру панели
(рисунок 14.5) рекомендуется проектировать из двух предварительно напряженных элементов, расположенных в нижней утолщенной зоне диафрагм и принимать из одного или двух вплотную расположенных стержней в каждом ребре (диафрагме).
По концам напрягаемых элементов рабочей арматуры предусматривают прикрепленные к ним стальные анкерные детали
(рисунок 14.15). Эти детали должны обеспечивать надежное заанкеривание рабочей арматуры в бетоне опорного узла панели, так как эта арматура играет роль затяжек рассматриваемой сводчатой системы.
14.1.20 Армирование оболочки выполняют из сварной арматурной сетки. Площадь сечения арматуры (в процентах полной площади сечения бетона оболочки), расположенной в средней части пролета между точками 4 - 5
(рисунок 14.4), должна быть не менее: 0,3% - поперечной; 0,2% - продольной.
Диафрагмы армируют сварными каркасами только в опорных зонах (на участках длиной 0,1 l0 или более - в зависимости от результатов расчета), а также стержнями-подвесками, расположенными в вертикальных ребрах диафрагм.
(в ред.
Изменения N 3, утв. Приказом Минстроя России от 11.12.2023 N 901/пр)
14.1.21 Панели КЖС рекомендуется проектировать из бетонов класса B25 - B40 по прочности на сжатие в зависимости от размеров пролета и нагрузок. В тех случаях, когда это технически и экономически целесообразно, рекомендуется проектировать панели-оболочки КЖС из бетонов тех же классов на пористых заполнителях. Рекомендуется проектировать комплексные панели-оболочки повышенной заводской готовности с плитным утеплителем (без стяжки) и кровлей, приклеенными на заводе-изготовителе.
Отверстия для пропуска вентиляционных шахт и установки крышных вентиляторов следует располагать по оси панели на различных расстояниях от торца. Армирование вокруг отверстий следует принимать по расчету.
Для устройства светоаэрационных или зенитных фонарей панели следует проектировать с проемами
(рисунок 14.9) размерами 2,5 x 6 м - для панелей размерами 3 x 18 м и 2,5 x 9 м - для панелей 3 x 24 м.
а - план; б - продольный разрез по оси панели
Рисунок 14.9 - Панель-оболочка КЖС с проемом
для светоаэрационного или зенитного фонаря
По периметру фонарного проема в оболочке предусматривают плавное утолщение до 70 - 80 мм; сжатую зону диафрагм в пределах проема рекомендуется соответственно усиливать. Армирование вокруг проема оболочки и сжатой зоны диафрагм принимают по расчету.
14.1.22 Для обеспечения совместной работы панелей КЖС с каркасом здания должно быть предусмотрено их крепление сваркой во всех четырех углах панели к продольным несущим конструкциям покрытия. Крепление рекомендуется осуществлять с применением листовых шарниров, обеспечивающих возможность поворота сечения панели в вертикальной плоскости. Жесткое крепление панелей, создающее их защемление на опорах, не допускается.
Строповку панели при ее подъеме следует осуществлять только за отверстия в угловых анкерных деталях (позиция 2 на
рисунке 14.5).
На всех стадиях производства, складирования, транспортирования и монтажа панель-оболочка должна опираться только на угловые анкерные детали.
14.2 Сегментные своды из панелей-оболочек КЖС
14.2.1 Сегментный свод из двух панелей-оболочек КЖС проектируют в виде трехшарнирной системы. Своды устанавливают на продольные конструкции и колонны здания
(рисунок 14.10) с устройством стальных или предварительно напряженных затяжек, или непосредственно на фундаменты
(рисунок 14.11).
1 - панель-оболочка КЖС; 2 - ключевой шарнир свода;
3 - затяжки; 4 - подвески
Рисунок 14.10 - Конструктивная схема
сегментного свода для покрытий, опирающегося
на продольные балки каркаса здания
1 - панель-оболочка КЖС; 2 - ключевой шарнир;
3 - фундамент
Рисунок 14.11 - Конструктивная схема сегментного свода,
опирающегося на фундаменты
Стрелу подъема свода
fc рекомендуется принимать в пределах от 1/9 до 1/8 его пролета
lc (рисунок 14.11).
Пролеты сводов, опирающихся на колонны и продольные конструкции, принимают равными 24, 36 или 48 м. При опирании на фундаменты пролеты сводов назначают в зависимости от технологических требований и размеров применяемых панелей-оболочек КЖС, а также от стрелы подъема сооружения.
14.2.2 Сегментный свод из трех шарнирно соединенных между собой панелей-оболочек КЖС
(рисунок 14.12) включает в себя затяжки, соединяющие наружные края свода, и систему гибких связей, образующих пространственную связевую систему, которая в плане имеет форму ромбов (
рисунок 14.12,
б).
а - вид сбоку; б - план свода, состоящего по длине
из 6 панелей-оболочек КЖС; 1 - опорная конструкция;
2 - панели-оболочки КЖС; 3 - затяжки; 4 - наклонные связи,
образующие в плане ромбическую систему связей; 5 - стойки,
снабженные напрягающим устройством; 6 - дополнительные
стержни, соединяющие нижние углы треугольной решетки;
6' - опорная связь треугольной решетки
Рисунок 14.12 - Конструктивная система
сегментного свода из трех панелей-оболочек КЖС
Абзац исключен с 21.01.2022. -
Изменение N 2, утв. Приказом Минстроя России от 20.12.2021 N 966/пр.
14.2.3 Расчеты сводов следует выполнять методом конечных элементов с учетом изменений геометрической схемы конструкции в процессе их нагружения и к моменту исчерпания несущей способности. Свод следует проектировать таким образом, чтобы исчерпание его несущей способности начиналось с появления текучести в материале затяжек.
Расчеты сводов выполняют на различные сочетания нагрузок, включающие симметричную и несимметричную снеговые нагрузки, интенсивность которых принимают в соответствии с
СП 20.13330 для покрытий сегментного очертания. Значение модуля деформаций бетона принимают в соответствии с
5.7.
14.2.4. Вертикальное перемещение wy (осадку) ключевого узла свода из двух панелей-оболочек КЖС в момент начала текучести затяжек определяют по формуле

(14.31)
где At - площадь поперечного сечения стальных затяжек или рабочей арматуры железобетонных затяжек одной секции свода;

- предел текучести материала стальных затяжек или рабочей арматуры железобетонных затяжек;
Es - модуль упругости стальных затяжек или рабочей арматуры железобетонных затяжек;

(14.32)

(14.33)
здесь

- предварительное напряжение в арматуре железобетонных затяжек до обжатия бетона при

;

- потери предварительного напряжения в арматуре затяжек при

; для открытых стальных затяжек
Kt = 1.
Для определения осадки ключевого узла свода
w при расчетных нагрузках в
формулу (14.31) вместо

подставляют расчетное сопротивление стальных затяжек
Ry или рабочей арматуры
Rs железобетонных затяжек.

- угол наклона срединной поверхности полки панели
к горизонту; C1 - пята свода; C2 и C3 - оси опорного
и пролетного шарниров; 1 - панель оболочка КЖС;
2 - упор затяжки; 3 - закладная деталь с отверстием
для шарнира; 4 - ось рабочей арматуры диафрагм;
5 - ось затяжки; 6 - ось опорной конструкции
Рисунок 14.13 - Геометрическая схема
трехшарнирного сегментного свода
14.2.5 Для исключения сжимающих усилий в наклонных стержнях треугольной решетки
4 и в дополнительных стержнях
6 (рисунок 14.12) рекомендуется в процессе сборки сегментного свода из трех панелей-оболочек с помощью соответствующих устройств
(14.2.13) создавать предварительные растягивающие усилия, обеспечивающие компенсацию в связях усилий сжатия при всех расчетных комбинациях нагружений.
(п. 14.2.5 в ред.
Изменения N 2, утв. Приказом Минстроя России от 20.12.2021 N 966/пр)
Конструирование сегментных сводов
14.2.6 Сегментные своды во всех случаях проектируют из панелей-оболочек КЖС шириной до 3 м. Длину панелей для сводов из двух панелей-оболочек принимают 12, 18 и 24 м, а для сегментных сводов из трех панелей-оболочек - 18 и 24 м.
(п. 14.2.6 в ред.
Изменения N 2, утв. Приказом Минстроя России от 20.12.2021 N 966/пр)
14.2.7 Значения отношения радиуса кривизны сегментного свода к длине пролета рекомендуется принимать в пределах 0,8 - 1,0.
Для сводов из двух панелей-оболочек стрелу подъема сводов, очерченных по дуге окружности, рекомендуется принимать 1/7 пролета.
Для сводов из трех панелей-оболочек рекомендуемые значения отношения стрелы подъема к длине пролета свода в пределах 0,17 - 0,21.
(п. 14.2.7 в ред.
Изменения N 2, утв. Приказом Минстроя России от 20.12.2021 N 966/пр)
14.2.8 В каждой секции свода из двух панелей-оболочек КЖС (монтажной секции) должны быть предусмотрены две затяжки.
В своде из трех панелей-оболочек КЖС, у которых внутренняя пространственная система, образованная ромбической системой связей, обеспечивает повышенную жесткость сводчатого покрытия, затяжки допускается располагать в швах каждой второй панели.
Рекомендуется устройство строительного подъема средней части затяжки размером 0,4% - 0,6% длины пролета свода.
(п. 14.2.8 в ред.
Изменения N 2, утв. Приказом Минстроя России от 20.12.2021 N 966/пр)
14.2.9 Опорный и ключевой узлы свода
(рисунок 14.14) проектируют по принципу цилиндрического шарнира, расположенного в закладной детали с отверстием, приваренной к рабочей арматуре диафрагмы. В узле соединяются закладные детали двух швов: с одной и двумя пластинами, причем суммарная толщина двух крайних пластин одной из деталей равна толщине средней пластины другой детали (сечение 1-1 на
рисунке 14.14,
а). Образование шарнирного соединения двух панелей-оболочек обеспечивается пропуском металлического стержня (шарнира) в совмещенные отверстия пластин двух закладных деталей (
рисунок 14.14,
а).
Опорный шарнир устраивают по типу ключевого, причем у крайних панелей опорная закладная деталь включает две пластины, между которыми располагается металлическая пластина упора затяжки (
рисунок 14.14,
б,
в). Оси затяжки, опорного шарнира и опорной конструкции должны быть сцентрированы в опорном узле свода (углы

и

на
рисунке 14.13). Схема опорного узла определяется взаимным расположением центра узла (точка C
1 на
рисунке 14.13) и центра пяты свода (точка C
2 на
рисунке 14.13).
а - ключевой узел; б - опорный узел с железобетонными
предварительно напряженными затяжками; в - опорный узел
с затяжками из стального проката; 1 - панель-оболочка КЖС;
2 - опорная конструкция; 3 - закладные детали с отверстием
для шарнира; 4 - металлический шарнир; 5 - арматура диафрагм
плиты; 6 - затяжки из стального проката; 7 - преднапряженные
железобетонные затяжки; 8 - отверстие для строповки свода;
9 - закладная деталь опорной конструкции;
10 - металлический упор затяжки
Рисунок 14.14 - Узлы сегментного свода
(п. 14.2.9 в ред.
Изменения N 2, утв. Приказом Минстроя России от 20.12.2021 N 966/пр)
14.2.10 В панелях-оболочках КЖС, предназначенных для угловых зон покрытий сводами из трех панелей-оболочек, рекомендуется выполнять утолщение поля на 25% на длине 1/3 панели от опоры свода. Утолщение может быть выполнено также в сборно-монолитном варианте в виде армированной набетонки.
(п. 14.2.10 введен
Изменением N 2, утв. Приказом Минстроя России от 20.12.2021 N 966/пр)
14.2.11 Армирование диафрагм и оболочки следует назначать по расчету, но не менее установленного в
14.1.20. Стержни-подвески в вертикальных ребрах жесткости диафрагм следует выполнять двойными, в вутах сопряжения оболочки с диафрагмами следует устанавливать конструктивные сетки.
(п. 14.2.11 введен
Изменением N 2, утв. Приказом Минстроя России от 20.12.2021 N 966/пр)
14.2.12 Монтаж сводчатого покрытия рекомендуется вести укрупненными монтажными блоками, состоящими из двух панелей-оболочек КЖС, соединенных по длинной стороне сваркой закладных деталей с установкой наклонных связей
4 - для средних блоков или наклонных связей
4 и
6' - для крайних блоков, напрягаемых на сборочном стенде удлинением стойки
5 (рисунок 14.12).
Монтаж свода выполняется с использованием монтажных стоек, способных нести вес монтажных блоков и других элементов свода до их объединения в единую конструкцию. Монтаж блоков следует выполнять с применением соответствующих траверс с захватом за строповочные приспособления.
Раскружаливание свода выполняется после устройства шарнирных соединений в опорных и пролетных узлах, монтажа затяжек и натяжения элементов системы связей.
(п. 14.2.12 введен
Изменением N 2, утв. Приказом Минстроя России от 20.12.2021 N 966/пр)
14.2.13 В сегментных сводах из трех панелей-оболочек КЖС, предварительные растягивающие усилия
(14.2.5) в стержневых наклонных связях
4 создают с помощью стоек
5 системы связей монтажного блока
(рисунок 14.12), оборудованных устройством, позволяющим придавать им удлинение.
Значения отношения высоты стойки 5 к длине панели рекомендуется принимать в пределах 0,14 - 0,20.
Сечение стойки
5 рекомендуется принимать таким, чтобы требуемое для обеспечения работы системы связей по
14.2.5 усилие предварительного напряжения в стойке
5 не превышало 50% несущей способности стойки.
Растягивающее напряжение в стержневых элементах
6 (рисунок 14.12) создают с помощью различных устройств (простейшее - талреп).
Преднапряжение указанных элементов необходимо выполнять в последовательности, определенной проектом производства работ, с контролем натяжения, например, по удлинению или иными способами контроля, принятыми для преднапряженных конструкций.
(п. 14.2.13 введен
Изменением N 2, утв. Приказом Минстроя России от 20.12.2021 N 966/пр)
14.2.14 При конструировании вертикальных конструкций здания с покрытием в виде сегментных сводов следует учитывать, что вследствие продольных деформаций затяжки на опорные конструкции передается, помимо вертикальных нагрузок, часть усилия распора свода. Значения этих усилий определяются расчетом несущего каркаса здания совместно с покрытием.
(п. 14.2.14 введен
Изменением N 2, утв. Приказом Минстроя России от 20.12.2021 N 966/пр)
14.3 Гиперболические панели-оболочки
14.3.1 Гиперболическая панель-оболочка представляет собой длинную оболочку отрицательной гауссовой кривизны, обрамленную продольными бортами и торцевыми диафрагмами (вертикальными или наклонными) с нижними горизонтальными гранями (
рисунки 14.15 и
14.16), служащими для опирания панели-оболочки на поддерживающие конструкции. Линейчатая поверхность оболочки позволяет армировать панель прямолинейной предварительно напряженной арматурой.
а - с вертикальными торцевыми диафрагмами; б - то же,
с наклонными; в - поперечное сечение панели; г - план
армирования панели с вертикальными торцевыми диафрагмами;
д - то же, с наклонными; 1 - продольный борт; 2 - диафрагма
вертикальная; 3 - то же, наклонная; 4 - каркас продольного
борта; 5 - предварительно напряженная
холоднодеформированная арматура периодического профиля
(арматурные канаты); 6 - сварная сетка оболочки;
7 - арматура торцевой диафрагмы
Рисунок 14.15 - Гиперболическая панель-оболочка,
армированная пакетами из высокопрочной проволоки
а - общий вид; б - поперечное сечение; в - план
армирования; 1 - торцевое ребро; 2 - наклонная торцевая
диафрагма; 3 - продольный борт; 4 - киль; 5 - каркас
продольного борта; 6 - сварная сетка оболочки;
7 - предварительно напряженная арматура; 8 - арматура
торцевого ребра; 9 - верхняя сварная сетка у торца панели;
10 - то же, нижняя; 11 - верхняя сварная сетка над килем
Рисунок 14.16 - Гиперболическая килевая панель-оболочка
14.3.2 Панели-оболочки с наклонными торцевыми диафрагмами применяют для покрытий однопролетных и многопролетных зданий, а с вертикальными торцевыми диафрагмами - только для однопролетных. Панели-оболочки с вертикальными торцевыми диафрагмами рекомендуется применять в покрытиях многопролетных зданий при опирании на широкие балки, что позволяет организовать водоотвод между торцами панелей.
(в ред.
Изменения N 3, утв. Приказом Минстроя России от 11.12.2023 N 901/пр)
14.3.3 Высоту сечения панели-оболочки в середине пролета рекомендуется принимать в пределах от 1/25 до 1/15 пролета, стрелу подъема оболочки в продольном направлении - в пределах от 1/60 до 1/40 пролета.
Глубину волн f принимают в пределах 1/8 - 1/4 ширины b0, ширину прямолинейных участков сечения (продольных бортов) - в пределах 1/4 - 1/2 глубины волны f.
14.3.4 Если ширина и глубина волны ограничены, строительную высоту конструкции увеличивают введением продольного ребра-киля (
рисунки 14.16 и
14.17). Для облегчения съема панели с формы боковые грани киля следует принимать с уклоном 1:50 - 1:20.
Для уменьшения веса большепролетных панелей-оболочек киль рекомендуется выполнять облегченным: с тонкой стенкой и вертикальными ребрами жесткости (
рисунки 14.17,
г,
д) или с отверстиями (
рисунки 14.17,
в,
д). Панели-оболочки с отверстиями в киле или с затяжками рекомендуется применять при прокладке коммуникаций в пределах покрытия.
14.3.5 Бескилевые панели-оболочки рекомендуется армировать предварительно напряженной холоднодеформированной проволочной арматурой периодического профиля классов 1400, 1500 или арматурными канатами К-7, К-19 классов К1400, К1500 в виде двух пакетов, расположенных по двум системам прямолинейных образующих
(рисунок 14.15).
В килевых панелях-оболочках предварительно напряженную арматуру располагают в киле, ширину которого рекомендуется принимать достаточной для возможности размещения арматуры
(рисунок 14.16).
а - пролетом 12 м; б, в - то же, 18 м (со сплошным килем
и с отверстиями в нем); г - то же, 21 м (со сплошным
и облегченным килем и с затяжкой); д - то же, 24 м
(с облегченным килем, с отверстиями в нем и с затяжкой)
Рисунок 14.17 - Поперечные сечения
гиперболических панелей-оболочек
Расчет гиперболических панелей-оболочек
14.3.6 Расчет гиперболических панелей-оболочек на действие вертикальных нагрузок рекомендуется производить исходя из предположения о недеформируемости контура поперечного сечения оболочки как балки на двух опорах с криволинейным поперечным сечением. При расчете поперечное сечение оболочки (
рисунок 14.18,
б) заменяют приведенным (
рисунок 14.18,
в) путем проектирования горизонтальных участков оболочки на ось симметрии поперечного сечения. При этом для упрощения фактическое приведенное сечение можно заменить двутавровым (для бескилевых панелей) или крестообразным (для килевых) (
рисунок 14.18,
в,
г).
14.3.7 При проверке принятых размеров поперечного сечения панели-оболочки и ее армирования высоту сжатой зоны сечения
x определяют с разбивкой поперечного сечения на участки (
рисунок 14.18,
б).
14.3.8 Расчеты по прочности сечений, наклонных к продольной оси, по образованию и раскрытию трещин и по деформациям рекомендуется производить по расчетному (двутавровому или крестообразному) приведенному сечению.
14.3.9 В зоне действия максимальных изгибающих моментов и в местах приложения сосредоточенных нагрузок оболочку следует проверять на действие усилий поперечного направления, определяемых по
формулам (14.35) -
(14.37).
а - схема усилий в поперечном сечении изгибаемой волны;
б - разбивка на элементарные площадки половины поперечного
сечения; в - приведенное поперечное сечение при расчете
на изгиб панели-оболочки; г - то же, килевой
панели-оболочки; 1 - контур фактического приведенного
сечения; 2 - контур расчетного приведенного сечения;
Asp - площадь сечения напрягаемой арматуры;

- площадь
сечения арматуры элементарной площадки
Рисунок 14.18 - Расчетные схемы
и поперечное сечение волны покрытия
14.3.10 Усилия
M,
N,
Q в продольном сечении
i-й панели-оболочки
(рисунок 14.19) определяют соответственно по формулам:

(14.35)

(14.36)

(14.37)
где n - номер элементарной площадки поперечного сечения волны;

- внешняя нагрузка, приходящаяся на элементарную площадку поперечного сечения;
zn - абсцисса n-й элементарной площадки;
zi - абсцисса продольного сечения i оболочки;

- угол наклона к оси OZ, касательной к контуру поперечного сечения в точке
i;

- сдвигающее усилие, действующее на элементарную площадку поперечного сечения, где

- касательное напряжение в элементарной площадке поперечного сечения, определяемое по
формуле (14.38)

(14.38)
здесь

и

- нормальные силы от балочного изгибающего момента, действующие на элементарные площадки левого и правого поперечных сечений;

- длина рассматриваемого продольного сечения, принимаемая не более ширины волны;
bia и bib - ширина горизонтальных сечений оболочки в точках i-х поперечных сечений a-a и b-b.
а - элемент длиной

;
б - половина поперечного
сечения а-а; в - то же, поперечного сечения б-б
Рисунок 14.19 - К расчету на усилия поперечного направления
В
формулах (14.35) -
(14.37) суммирование распространяется на участок поперечного сечения от точки
i до крайней площадки
n =
ma поперечного сечения
а-
а или до
n =
mb поперечного сечения
б-
б.
В
формулах (14.35) и
(14.36) знаки принимаются положительными: для
Mi - если растянутое волокно расположено снизу условной консоли; для
Ni - если в сечении
i действует растягивающее усилие.
Значения нормальных сил

и

определяют по формулам:

(14.39)

(14.40)
где

и

- нормальные напряжения, действующие на элементарные площадки левого и правого поперечных сечений;
Ia, Ib, ya, yb - приведенные моменты инерции и ординаты центров тяжести левого и правого поперечных сечений волны;

,

,
yna,
ynb - площади и ординаты центров тяжести элементарных площадок левого и правого поперечных сечений;
Mxa,
Mxb - продольные балочные изгибающие моменты в левом и правом поперечных сечениях волны; при отсутствии внешней нагрузки на участке


(14.41)
здесь Qx - поперечная сила в сечении x.
14.3.11 В многоволновом покрытии горизонтальные усилия Nt, действующие в стыке между волнами, определяют по формуле

(14.42)
где Mti - изгибающий момент поперечного направления в среднем продольном сечении волны zi = 0;
f - глубина волны.
По усилиям Nt проверяют соединения между смежными волнами и сечения распорок, если их устанавливают для снижения деформативности крайних волн.
14.3.12 При действии полосовых и сосредоточенных вертикальных нагрузок, приложенных к гребням волн, следует учитывать их распределение между волнами.
Нагрузку, приходящуюся на полуволну k, определяют по формуле
Pk = 0,5akPloc, (14.43)
где
ak - коэффициент, учитывающий отдаленность
k-й полуволны от точки приложения нагрузки, определяемый по
таблице 14.1;
Ploc - величина местной нагрузки.
Вид панели-оболочки | Значения ak для полуволн |
первой | второй | третьей | четвертой |
Гладкая | 0,457 | 0,303 | 0,162 | 0,078 |
Килевая | 0,498 | 0,304 | 0,142 | 0,054 |
Примечания 1 При большем отдалении ak = 0. 2 Значения для килевой оболочки принимаются при условии, что площадь поперечного сечения киля составляет не более 80% площади поперечного сечения собственно оболочки. |
14.3.13 Поперечное сечение волны и ее армирование проверяют по усилиям, полученным от суммирования полосовых и сосредоточенных нагрузок, приложенных к смежным волнам. С учетом симметрии для расчета панели-оболочки следует принимать усилия в наиболее нагруженной полуволне, увеличенные в два раза.
14.3.14 Опорные конструкции волнистых покрытий из гиперболических панелей-оболочек рекомендуется рассчитывать с учетом их совместной работы с элементами покрытия. Интенсивность давления волнистого покрытия на опорную конструкцию, работающую по балочной схеме, рекомендуется определять по
таблице 14.2 в зависимости от вида нагрузки, действующей на волнистое покрытие, при этом отношение 2
b/
L должно быть для пунктов 1, 2 и 4 в пределах 0,5 - 0,25, для пунктов 3 и 5 - 0,33 - 0,25.
Схема нагрузки на ячейку покрытия | Расчетная схема эквивалентной нагрузки на опорную конструкцию <1> |
| |
| |
| |
| |
| |
<1> Равномерно распределенную нагрузку на покрытие от собственного веса панелей-оболочек до замоноличивания швов между оболочками рекомендуется принимать в расчете равномерно распределенной по всей длине опорной конструкции. |
14.3.15 Более точный расчет панелей-оболочек при неравномерных нагрузках с учетом деформаций и расчет крайних волн покрытия следует выполнять методом конечных элементов с учетом геометрической и физической нелинейностей.
Конструирование гиперболических панелей-оболочек
14.3.16 Минимальную толщину оболочки принимают с учетом принятого диаметра арматуры и минимально допустимой толщины защитного слоя бетона, но не менее 30 мм. В случае размещения рабочих стержней по низу волны толщину оболочки в этом месте рекомендуется увеличивать спрямлением верхней кривой поперечного сечения оболочки или путем утолщения всего сечения.
Минимальную толщину продольных бортов следует принимать в зависимости от диаметра рабочих стержней, расположенных в этих бортах, равной

, где

- толщина оболочки.
14.3.17 Затяжки в панелях-оболочках выполняют стальными (из прокатных профилей) или железобетонными, армированными стержневой арматурой или арматурными канатами. Стальные затяжки могут быть открытыми или обетонированными.
14.3.18 Оболочки рекомендуется армировать двумя слоями сварных сеток из обыкновенной холоднодеформированной проволоки, продольные борта и киль - сварными каркасами и отдельными стержнями, а торцевые диафрагмы - сварными сетками, каркасами и отдельными стержнями.
В наклонных диафрагмах для восприятия главных растягивающих напряжений следует предусматривать дополнительное армирование сварными сетками (
рисунки 14.15,
д и
14.16,
в).
14.3.19 В бескилевых панелях-оболочках и в оболочках с затяжками следует предусматривать четыре подъемных петли в торцевых диафрагмах, а в килевых, кроме того, - две петли в киле на расстоянии 2,5 - 3 м от опор.
14.3.20 В продольных бортах следует предусматривать расположенные с шагом 1,2 - 3 м закладные детали для соединения панелей. При необходимости, устанавливаемой расчетом на действие усилий поперечного направления, в крайних панелях (у торцов здания и у температурных швов) к этим деталям приваривают стальные поперечные распорки из уголка или трубы.
14.3.21 Утепленную кровлю следует проектировать с утеплителем и гидроизоляционным ковром, укладываемыми непосредственно по криволинейной поверхности железобетонного волнистого покрытия.
Панели-оболочки полной заводской готовности рекомендуется проектировать с утеплителем и гидроизоляционным слоем, нанесенными механизированным способом.
14.3.22 В волнистых покрытиях допускается предусматривать проемы для освещения, аэрации, коммуникаций и т.п. при соблюдении
6.5. Ширину проема рекомендуется принимать не более 0,4 ширины панели. При этом необходимо сохранять участки поперечного сечения по низу и на гребнях волн панели, в которых размещается рабочая арматура. При необходимости увеличения ширины отверстия, превышающего указанный размер, проем рекомендуется устраивать на всю ширину волны, предусматривая рамное обрамление, равнопрочное сечению волны.
14.3.23 В местах примыкания волнистых покрытий к торцевым стенам следует предусматривать соединения, не препятствующие вертикальным перемещениям конструкций покрытия.
15 Вспарушенные панели с плоской верхней поверхностью
15.1 Вспарушенные панели с плоской верхней поверхностью - пространственные элементы покрытий и перекрытий с переменной толщиной, увеличивающейся к контуру, и выпуклой срединной поверхностью, описанной на плоском контуре
(рисунок 15.1). Панели со ступенчатым изменением толщины называются ступенчато-вспарушенными
(рисунок 15.2).
Прямоугольные вспарушенные панели заводского изготовления проектируют длиной l1 <= 7 м, шириной l2 <= 3,6 м и с отношением сторон l1/l2 <= 2. При больших пролетах или полигональном плане перекрываемого помещения применяют сборные вспарушенные конструкции. При этом размеры таких конструкций рекомендуется принимать не более 12 м по длине и 9 м по ширине.
1 - арматурная сетка; 2 - дополнительные сетки в углах
панели; 3 - предварительно напряженный арматурный пояс
Рисунок 15.1 - Схема вспарушенной панели
Рисунок 15.2 - Поперечное сечение и построение нижней
поверхности ступенчато-вспарушенной панели
15.2 Вспарушенные панели проектируют как для однопролетных (разрезных), так и многопролетных (неразрезных) покрытий и перекрытий, а также в качестве средних распорных элементов сборных безбалочных перекрытий
(рисунок 15.3).
1 - колонна; 2 - надколонные плиты; 3 - вспарушенные панели
Рисунок 15.3 - Применение вспарушенных панелей
в сборных безбалочных перекрытиях
Вспарушенные панели и конструкции могут опираться по углам, по контуру, по трем или по двум противоположным сторонам.
15.3 Панели и конструкции с плоской верхней поверхностью применяют в сборных покрытиях и перекрытиях зданий и сооружений, для которых расчетная нагрузка - равномерно распределенная (или близкая к ней).
15.4 Шатровые панели с плоской плитой постоянной толщины и с ребрами по контуру применяют в перекрытиях жилых и общественных зданий.
15.5 Вспарушенные панели и конструкции проектируют с предварительно напряженным армированием по контуру.
(в ред.
Изменения N 3, утв. Приказом Минстроя России от 11.12.2023 N 901/пр)
15.6 Нижнюю поверхность прямоугольных вспарушенных панелей рекомендуется очерчивать по поверхности положительной гауссовой кривизны, заданной уравнением

(15.1)
где f - стрела подъема поверхности в центре панели по отношению к плоскому контуру;
l1 и l2 - размеры сторон контура (по осям бортовых ребер);
C - параметр, изменяющийся от 0,3 до 0,5 (рекомендуется принимать C = 0,45).
Расчет вспарушенных панелей
15.7 Расчет вспарушенных панелей следует производить по предельным состояниям согласно
СП 63.13330 и
подразделу 4.2. При этом несущую способность и сечения рабочей арматуры пояса определяют методом предельного равновесия.
15.8 Для прямоугольных вспарушенных и ступенчато-вспарушенных панелей (
рисунки 15.1,
15.2), опертых по контуру, распор
H допускается определять, применяя шатровую схему излома (
рисунок 15.4,
б), по формуле

(15.2)
а площадь сечения арматуры предварительно напряженного пояса As - по формуле

(15.3)
l1, l2 - расчетные размеры панели (расстояние между осями опорных площадок);
Rs - расчетное сопротивление предварительно напряженной арматуры пояса;

- коэффициент, принимаемый равным 1; для плит с отношением длины сторон от 1,7 до 2 или при
h0/
l2 <= 1/25

, а для крайних панелей покрытий или перекрытий, для которых не выполняются рекомендации
15.20,

.
а - с изломом посредине пролета (балочная схема);
б - с разделением на 5 дисков (шатровая схема излома);
1 - боковые грани; 2 - основная арматура пояса;
H1 и H2 - усилия в поясе
Рисунок 15.4 - Схемы разрушения
вспарушенных панелей и шатровых складок
Для полигональных в плане вспарушенных панелей, у которых центральная панель отсутствует или ее размер r1 < r/4, площадь сечения арматуры предварительно напряженного пояса As определяют по формуле

(15.4)
где r1 - радиус круга, вписанного в контур центральной панели;
r - радиус круга, вписанного в полигональный контур;

, где
n > 4 - число сторон полигонального контура.
Несущую способность панели по сжимающим усилиям в плите допускается проверять как для вспарушенной панели с несмещаемым контуром
(15.9).
15.9 Для вспарушенных и ступенчато-вспарушенных панелей с несмещаемым контуром предельную нагрузку
q или толщину плиты

определяют по формуле

(15.5)
где fd - расчетный подъем панели, определяемый с учетом неупругих деформаций сжатого бетона по формуле

(15.6)
здесь

- средняя толщина вспарушенной или ступенчато-вспарушенной панели;
Eb1 - модуль деформаций бетона, определяемый с учетом длительности действия нагрузки по
5.7.
15.10 Для панелей, опертых по двум сторонам или по углам, кроме расчета по шатровой схеме, приведенного в
15.8, следует производить расчет несущей способности панели в одном или при

в двух направлениях по балочной схеме излома как балки П-образного сечения (
рисунок 15.4,
а).
Расчет начинают с вычисления геометрических характеристик приведенного сечения и вычисления предельных изгибающих моментов в опорном сечении (M0) и в середине пролета (Mc).
Значение предельной нагрузки определяют по формуле

(15.7)
где lx - ширина балки П-образного сечения;
ly - расстояние в свету между колоннами в направлении пролета балки.
В качестве предельной по несущей способности панели перекрытия нагрузки используют меньшую из нагрузок q и qb.
15.11 Расчет прогиба поля ступенчато-вспарушенной панели w1 допускается производить приближенно - как для железобетонной опертой по контуру плиты, без трещин в растянутой зоне, по формуле

(15.8)
где ps и pl - соответственно кратковременно и длительно действующие на перекрытие нагрузки.
Для панели, опертой по углам, к вычисленному по
формуле (15.8) значению прогиба плит
w1 следует добавлять прогиб ребер
w2, вычисленный как для балок Г-образного сечения, и вычесть значение выгиба ребра от обжатия напрягаемой арматурой пояса.
15.12 Расчет по несущей способности шатровых панелей с ребрами по контуру и плоскими плитами постоянной толщины производится по методу предельного равновесия с применением конвертной и балочной схем излома.
15.13 Расчет сборных предварительно напряженных вспарушенных конструкций по предельным состояниям следует выполнять на усилия, возникающие до и после замоноличивания стыков, согласно
4.2.
15.14 Для предварительно напряженных опертых по контуру панелей, удовлетворяющих
15.1,
15.17 и
15.20, проверку трещиностойкости допускается не производить. Проверку трещиностойкости панелей, опертых по двум сторонам или по углам, следует производить как для балочных элементов П-образного сечения в одном или в двух направлениях.
15.15 Нижнюю поверхность ступенчато-вспарушенных панелей проектируют таким образом, чтобы в направлении осей
x и
y она была очерчена дугами поверхности
(рисунок 15.1), пересечения которых с внутренними гранями контурных ребер лежали бы в плоскости осей арматурного пояса опорного контура
(рисунок 15.2). В качестве описывающих дуг в зависимости от технологических и архитектурных требований допускается принимать квадратную параболу или дугу круга со стрелой подъема
f. Число ступеней рекомендуется принимать от 2 до 5.
15.16 Вспарушенные и ступенчато-вспарушенные панели допускается проектировать с одним или несколькими кессонами. При
l1/
l2 > 1,7 панели конструируют с двумя или тремя кессонами, окаймленными ребрами, при этом вспарушенные плиты смежных кессонов проектируют как неразрезные
(рисунок 15.5).
а - ступенчато-вспарушенная панель с одним кессоном;
б - ступенчато-вспарушенная панель с двумя кессонами;
в - вспарушенная панель; 1 - основная растянутая
арматура пояса; 2 - каркас поперечного армирования
контурного ребра; 3 - сетка плиты
Рисунок 15.5 - Конструктивные схемы вспарушенных панелей
15.17 Плиту панелей
(рисунок 15.1) проектируют из бетона класса 25 и выше и армируют сварной сеткой из проволоки диаметром 3 - 4 мм с ячейкой размером 200 x 200 мм, а по углам на участках размерами
l1/6 и
l2/6 - дополнительной сеткой из стержней того же диаметра, располагаемой под основной сеткой.
В плите допускается предусматривать отверстия и проемы. Конструирование и армирование плиты в зоне отверстий должно соответствовать
6.5.
15.18 Контурные ребра панелей армируют предварительно напряженными стержнями или канатами таким образом, чтобы создавался замкнутый арматурный пояс. Заанкеривание стержней в опорной зоне предусматривают путем приварки их к стальным опорным колодкам анкерных устройств и за счет сцепления с бетоном согласно требованиям
СП 63.13330. В случае, если стержни или канаты проектируют без анкеров, арматурные элементы следует доводить до наружной грани противоположной стороны панели.
Предварительное напряжение осуществляют натяжением арматуры на бетон в процессе монтажа элементов с последующим обетонированием или натяжением на упоры на заводе-изготовителе (в пределах контурных ребер сборных элементов) с последующим устройством стыков пояса, перекрывающих швы между элементами.
Для компенсации деформаций для сборных вспарушенных конструкций следует предусматривать строительный подъем fc >= fp/5, но не менее 20 мм.
15.19 В контурных ребрах кроме основной растянутой арматуры (арматурного пояса) следует предусматривать поперечную арматуру
(рисунок 15.5). В ребрах, опертых по всей длине, устанавливают одиночные арматурные каркасы, располагаемые ближе к наружной грани ребра. При этом вблизи углов каркасы должны включать поперечные стержни диаметром 4 - 6 мм с шагом не более 50 мм и нижние стержни диаметром не менее 6 - 8 мм. В контурных ребрах, испытывающих изгиб в вертикальной и горизонтальной плоскостях, вблизи углов на участках размерами
l1/6 и
l2/6 предусматривают дополнительные арматурные каркасы у внутренней грани ребра.
15.20 В средней части вспарушенных и ступенчато-вспарушенных панелей рекомендуется принимать: толщину плиты

- не менее 30 мм, ширину контурных ребер - не менее 100 мм, ширину промежуточных ребер между кессонами панелей - не менее 50 мм. Высоту контурных ребер панелей перекрытий следует принимать не более удвоенной высоты сечения примыкающей к ребру плиты и не менее высоты, требуемой по расчету панели по балочной схеме излома.
Для уменьшения податливости в горизонтальной плоскости в контурных ребрах на длинных сторонах l1 панелей, расположенных по краю здания или сооружения, рекомендуется предусматривать горизонтальные полки у нижней грани ребра, увеличение ширины или соответствующего армирования ребра. Допускается также увеличение толщины или армирования плиты в крайних панелях или установка связей между панелью и другими несущими конструкциями здания или сооружения.
15.21 Вспарушенные панели размерами не более 4 x 6 м для безбалочных перекрытий
(рисунок 15.3) допускается проектировать без предварительно напряженного арматурного пояса с омоноличиванием стыка по контуру, обеспечивая передачу распорных усилий на надколонные полосы. При этом ребра панели армируют с учетом усилий, действующих в стадиях изготовления, транспортирования и монтажа. Толщину вспарушенной плиты в середине таких панелей перекрытий принимают по расчету на продавливание согласно
СП 63.13330, но не менее

.
Очертание нижней поверхности панели должно удовлетворять
15.6,
15.15.
15.22 Сборные вспарушенные конструкции на прямоугольном плане рекомендуется конструировать таким образом, чтобы стыки между монтажными элементами располагались вдоль линий излома расчетной шатровой схемы разрушения. При этом конструкции допускается проектировать:
- из четырех треугольных элементов (
рисунок 15.6,
а) - при
l2 < 7,2 м;
- из четырех трапециевидных и одного прямоугольного элемента (
рисунок 15.6,
б) - при
l2 >= 7,2 м;
- из треугольных или трапециевидных панелей (
рисунок 15.6,
в) - на полигональном плане.
Монтажные элементы конструкций проектируют с окаймляющими, а в случае необходимости - и с промежуточными ребрами, с плитой переменной толщины согласно
15.15 и
15.18. Стыки между сборными элементами, совпадающие с расчетными линиями излома, допускается конструировать как цилиндрические шарниры.
15.23 Ширину опорных площадок при опирании по контуру, по трем или двум сторонам рекомендуется принимать не менее 50 мм, а опорные поверхности панелей, опирающихся по углам, размерами не менее 70 x 70 мм - при опирании на металлические закладные детали, и размерами не менее 100 x 100 мм - при опирании на бетонные поверхности.
а - на прямоугольном плане из треугольных элементов;
б - на прямоугольном плане из прямоугольного
и трапециевидных элементов; в - на полигональном
контуре; 1 - сборные панели; 2 - арматурный пояс
Рисунок 15.6 - Схемы сборных вспарушенных конструкций
15.24 В многопролетных покрытиях и перекрытиях из вспарушенных панелей замоноличивание стыков и сварные соединения между ними предусматривают из расчета покрытия или перекрытия как элемента здания в целом на горизонтальные нагрузки и с учетом конструктивных требований. В случае необходимости по контуру панелей предусматривают шпонки, образуемые бетоном замоноличивания стыка.
Допускается устройство предварительно напряженного пояса на всю длину или ширину перекрытия по осям опор в швах между смежными пролетами (
рисунки 15.7,
15.8).
1 - вспарушенные панели;
2 - оси опор панелей и арматурных поясов
Рисунок 15.7 - Схема неразрезного сборного
перекрытия с предварительно напряженной арматурой,
уложенной в швы между панелями
1 - контурный элемент; 2 - центральная плита; 3 - колонна
с отверстиями для пропуска напрягаемой арматуры;
4 - замоноличиваемые пазы; 5 - напрягаемая арматура;
6 - стальная пластина для сварного соединения сборных
элементов; в сечении А-А: 5a и 5b - положение
верхней арматуры соответственно в опорном
сечении и в средней части пролета
Рисунок 15.8 - Вспарушенное перекрытие
с натяжением арматуры на бетон
Стыки между конструкциями смежных пролетов должны соответствовать конструктивным и расчетным требованиям
6.4.
16.1 Шатровые конструкции для покрытий или междуэтажных перекрытий зданий различного назначения представляют собой тонкостенные складки и пространственные плитно-стержневые системы (рамно-шатровые конструкции) с формой несущей конструкции в виде многогранника на плоском полигональном (чаще прямоугольном) контуре. Форма многогранника - полная или усеченная пирамида со средним диском в центральной части плана конструкции (
рисунок 16.1,
а). Шатровые тонкостенные складчатые конструкции (шатровые оболочки) образованы тонкостенными плоскими или ребристыми плитами в форме горизонтальной и наклонных (боковых) граней шатра.
(в ред.
Изменения N 3, утв. Приказом Минстроя России от 11.12.2023 N 901/пр)
Основная несущая конструкция рамно-шатровых конструкций - пространственная шатровая рама. Продольные оси основных элементов шатровой рамы расположены на пересечениях граней шатра - вдоль ребер шатровой складки.
(в ред.
Изменения N 1, утв. Приказом Минстроя России от 20.11.2019 N 701/пр)
Диагональные рамы сборных рамно-шатровых конструкций в зависимости от длины перекрываемого пролета, строительной высоты перекрытия и уровня действующих нагрузок принимают в виде отдельных сборных элементов - рам с подкосами (
рисунок 16.2,
а)
, или в составе плит П1 и П2 в виде ребер переменной высоты, увеличивающейся от высоты контура среднего диска до высоты бортового элемента в угловых зонах (
рисунок 16.2,
б)
. В последнем конструктивном решении контур среднего диска образован внутренними поперечными ребрами плиты П2 и средними частями сопряженных внешних продольных ребер плит П2 и П3. Внешний контур шатровой рамы, в котором размещается основная арматура шатра (затяжка), образован длинными контурными ребрами трапециевидных в плане плит П1. Внутренний контур образован сопряженными ребрами плит П1 и П2.
(в ред.
Изменения N 1, утв. Приказом Минстроя России от 20.11.2019 N 701/пр)
а - с вертикальными бортовыми элементами; б - гладкие
с капителью и надколонной полосой; в - из ребристых плит
Рисунок 16.1 - Схемы шатровых складок покрытий и перекрытий
а - под нагрузки до 30 кН/м2; б - под нагрузки до 10 кН/м2;
1, 2 - колонны с капителями; 3 - бортовые элементы;
4 - диагональные рамы; 5, 6 - плиты настила;
7 - диагональные ребра плит (подкос рамы);
8 - контур среднего (центрального) диска; 9 - внешний
(основной) контур; 10 - внутренний (промежуточный) контур
Рисунок 16.2 - Сборные рамно-шатровые перекрытия
Минстроя России от 20.11.2019 N 701/пр)
Пространственная работа конструкций шатрового типа определяется наличием усилий распора. Восприятие усилий распора конструктивно решается устройством замкнутого контура из бортовых элементов по периметру шатра, в которых размещается основная арматура (затяжка) шатра. Значение распора определяется уровнем действующих нагрузок и соотношением основных геометрических размеров конструкции, к которым относятся размеры плана шатра в осях контурных элементов, габариты среднего диска и высота стрелы подъема шатра.
Стрела подъема шатра - расстояние от уровня срединной поверхности среднего диска до уровня пояса затяжки шатра. Строительную высоту шатровых конструкций рекомендуется назначать в пределах 1/8 - 1/12 перекрываемого пролета.
Шатровые конструкции проектируют многопролетными (или многоволновыми) и однопролетными (отдельно стоящими), с опиранием по углам на колонны, по нескольким сторонам или по контуру
(рисунок 16.1).
Железобетонные шатры выполняют сборными, сборно-монолитными, монолитными и комбинированными - например, из тонких железобетонных пластин на стальном решетчатом каркасе.
16.2 Шатровые конструкции предназначаются для покрытий и перекрытий квадратных или прямоугольных (с отношением сторон l1/l2 < 2) ячеек зданий с укрупненным шагом колонн или стен. Размеры шатровых складок в плане рекомендуется принимать:
(в ред.
Изменения N 3, утв. Приказом Минстроя России от 11.12.2023 N 901/пр)
- для покрытий: от 12 x 12 м до 18 x 18 м - железобетонные, до 24 x 24 м - комбинированные;
- перекрытий - от 6 x 6 м до 12 x 12 м.
Рамно-шатровые конструкции покрытий и перекрытий в зависимости от уровня действующих нагрузок рекомендуется принимать размерами в плане от 6 x 6 м до 18 x 18 м.
В шатровых конструкциях могут быть предусмотрены проемы для пропуска коммуникаций, для световых и аэрационных фонарей, а также крепежные приспособления для восприятия сосредоточенных нагрузок от подвесного транспорта, коммуникаций и т.п., которые следует располагать в узлах сопряжения ребер.
(в ред.
Изменения N 3, утв. Приказом Минстроя России от 11.12.2023 N 901/пр)
Расчет шатровых конструкций
16.3 Расчет шатровых конструкций выполняют по предельным состояниям как тонкостенной пространственной конструкции в соответствии с
4.2.
Предварительные расчеты и расчет по несущей способности шатровых конструкций производят методом предельного равновесия согласно
16.5 -
16.10.
Для шатровых складок с отношением стрелы подъема к пролету
f/
l >= 1/10
(рисунок 15.4) расчет по деформациям шатра в целом допускается не производить.
Расчеты напряженно-деформированного состояния шатровых конструкций следует выполнять методом конечных элементов с учетом возможного образования трещин и развития неупругих (нелинейных) деформаций в бетоне и арматуре, соответствующих кратковременному и длительному действиям нагрузки. Допускается расчеты производить в линейной постановке. При этом в гранях шатровой складки, в элементах шатровой рамы рамно-шатровой конструкции, а также в контурных элементах в первом приближении следует принимать модуль деформаций бетона с понижающим коэффициентом 0,3.
(абзац введен
Изменением N 1, утв. Приказом Минстроя России от 20.11.2019 N 701/пр)
Временную равномерно распределенную нагрузку на большепролетных шатровых перекрытиях допускается учитывать с понижающим коэффициентом

в зависимости от площади конструктивной ячейки перекрытия в соответствии с рекомендациями
СП 20.13330.
(абзац введен
Изменением N 1, утв. Приказом Минстроя России от 20.11.2019 N 701/пр)
16.4 Расчет по несущей способности конструкций шатрового типа производится приближенно на основе:
- расчета шатра в целом для определения основной растянутой арматуры поясов и нормальных усилий в шарнирно соединяемых гранях складок или элементах диагональных рам;
- определения изгибающих моментов:
в гранях шатровой складки как в плитах, в предположении, что ребра шатра - их опоры;
в диагональных рамах рамно-шатровых конструкций с учетом горизонтального усилия распора шатра в опорных узлах;
в плитах настила при опирании их на несущие элементы конструкции.
16.5 При расчете отдельно стоящей шатровой конструкции методом предельного равновесия следует рассматривать следующие наиболее опасные схемы излома конструкции при действии равномерно распределенной нагрузки:
- балочные схемы, с изломом шатра по плоскостям
z0x и
z0y (
рисунок 15.4,
а) и шатровую схему с образованием пяти дисков (
рисунок 15.4,
б) - при опирании шатра на подвижные опоры по углам;
- балочные схемы с изломом в середине пролета (
рисунок 15.4,
а) и шатровую схему (
рисунок 15.4,
б) - при опирании шатра по двум противоположным сторонам;
- шатровую схему (
рисунок 15.4,
б) - при опирании по всему контуру.
Расчет по шатровой схеме допускается производить и при несимметричных нагружениях.
Для многопролетных шатровых перекрытий, опирающихся на колонны, основную арматуру допускается подбирать как для отдельных разрезных шатровых конструкций из расчета шатра в целом по балочным схемам (
рисунок 15.4,
а), а при опирании на стены - по шатровой схеме (
рисунок 15.4,
б), исходя из предположения шарнирного сопряжения шатров между собой.
16.6 Расчет граней шатровой складки как плит производят в соответствии с условиями их опирания и допущением, что плиты наклонных граней работают только в направлении, перпендикулярном к горизонтальным ребрам, а верхняя горизонтальная плита - в двух направлениях, как плита, опертая по контуру.
Расчет плит производят на изгиб с учетом их сжатия усилием, центрально передающимся от грани к грани через цилиндрические шарниры в горизонтальных ребрах и определяемым по шатровой схеме (
рисунок 15.4,
б). При этом в наклонных гранях, опирающихся по углам отдельно стоящих шатров, распределение нормальных усилий
Nx и
Ny по высоте принимают по треугольнику с вершиной у верхнего ребра, а в опертых по всей длине и в смежных гранях многопролетных шатровых складок - равномерным.
В случае укладки в сборных шатрах перпендикулярно к ребрам арматуры, соединяющей отдельные грани и воспринимающей опорный изгибающий момент, плиты допускается рассматривать как неразрезные.
Расчет изгибающих моментов в плитах, рассматриваемых как неразрезные, допускается производить для средней полосы. При этом для расчета плиты средней грани учитывается только часть полной расчетной нагрузки
q:

, приходящейся на полосу направления
l1, и

, приходящейся на полосу направления
l2 (здесь

- коэффициент распределения нагрузки в направлении
l1 и
l2,

при
l1 =
l2,

при
l1 = 2
l2; при промежуточных соотношениях
l1 и
l2 - определяется по интерполяции).
16.7 Расчет шатровых конструкций в целом по балочным схемам излома (
рисунок 15.4,
а) производят в направлениях
x и
y на действие полной равномерно распределенной расчетной нагрузки интенсивностью
q.
Основную растянутую арматуру шатра Asx и Asy в серединах пролетов x и y определяют по формуле

(16.1)
где
c1,
c2 - ширина надколонной капители или стороны сечения колонны соответственно в направлении
l1 и
l2 (рисунок 16.1);
fp1 и fp2 - расчетные подъемы шатра, определяемые как расстояния между равнодействующими в арматуре бортовых элементов по направлениям x и y и срединной плоскостью горизонтальной грани.
При этом должно выполняться условие
RsAs1(2) <=
RbAb1(2)/2, (16.2)
где Ab1, Ab2 - площади бетона в поперечных сечениях горизонтальной грани шатровой складки или в поле плит на половине пролета рамно-шатровой конструкции соответственно по плоскостям z0x и z0y.
Размещение основной арматуры в элементах шатровой конструкции следует принимать в соответствии с
16.16.
16.8 Расчет по шатровой схеме при опирании шатровой конструкции по всему контуру производят для определения усилия
Hc (углового распора), воспринимаемого арматурой пояса (для шатровой складки и наклонных граней) в диагональном сечении
а-
а одного из углов (
рисунок 15.4,
б) и определяемого по формуле

(16.3)
где q1 - интенсивность равномерно распределенной нагрузки на горизонтальной грани;
q2 - интенсивность равномерно распределенной нагрузки, отнесенной к горизонтальной проекции наклонных граней;

,

,

,

- размеры шатровой складки, приведенные на
рисунке 16.1;
fpc - расчетный подъем складки, определяемый как расстояние между срединной плоскостью плиты горизонтальной грани и горизонтально направленной равнодействующей растягивающих усилий в арматуре пояса и граней, пересекающей диагональное сечение
а-
а (
рисунок 15.4,
б).
Подбор требуемой арматуры в диагональном сечении складки производят из условия

(16.4)
где Rsi, Asi - соответственно расчетное сопротивление и проекция площади сечения i-го стержня арматуры, пересекающего диагональное сечение, на вертикальную плоскость.
Положение равнодействующей усилий в арматуре (расчетный подъем складки fpc) определяют по формуле

(16.5)
где

- расстояние от срединной плоскости горизонтальной грани до оси
i-го стержня, пересекающего диагональное сечение
а-
а (
рисунок 15.4,
б).
Для квадратной шатровой складки при
q1 =
q2 =
q и
формула (16.3) принимает вид

(16.6)
Сечение растянутой арматуры во всех вертикальных промежуточных сечениях бортовых элементов и наклонных гранях шатровых складок, опертых по контуру, должно быть не менее сечения угловой арматуры.
При опирании шатровой конструкции по двум противоположным сторонам сечение основной растянутой арматуры рекомендуется определять по балочной схеме излома по
формулам (16.1),
(16.2), а сечение арматуры в направлении, перпендикулярном к пролету - по значению углового распора, определяемого по
формулам (16.3) -
(16.6) с учетом
16.7 и
16.8.
В общем случае расчет несущей способности шатровых конструкций может быть выполнен методом предельного равновесия с применением девятидисковой схемы излома, включающей восьмиугольный центральный диск, четыре угловых и четыре пролетных диска, образованных исходящими из углов центрального диска линейными пластическими шарнирами
(рисунок 16.3).
Несущую способность конструкции в зависимости от схемы нагружения и прочностных характеристик элементов конструкции находят из условия равенства работ внешних и внутренних сил и устанавливают минимумом предельной нагрузки при варьировании трех независимых геометрических параметров
Y1,
Y2 и
Y3 (рисунок 16.3), определяющих форму схемы излома (размеры сторон центрального диска, расстояние от угла шатра до ближайшего пластического шарнира на бортовом элементе).
(в ред.
Изменения N 1, утв. Приказом Минстроя России от 20.11.2019 N 701/пр)
Рисунок 16.3 - Девятидисковая схема излома
При проектировании рамно-шатровых конструкций до выполнения детального расчета методом конечных элементов следует выполнить расчетную оценку несущей способности рамно-шатрового перекрытия методом предельного равновесия с использованием балочной и конвертной схем излома для установления требуемого по условию прочности усилий распора шатра в середине пролета внешнего контура и в его угловой зоне и предварительного подбора сечений арматурного пояса-затяжки и угловой связи внешнего контура.
(абзац введен
Изменением N 1, утв. Приказом Минстроя России от 20.11.2019 N 701/пр)
Расчет по балочной и конвертной схемам производится из условий:
- для балочной схемы
- для конвертной схемы
где M0 и M1 - величины предельных моментов соответственно во внешнем и внутреннем контурных элементах в точках пересечения их линиями излома;
M2 - величина предельного момента в ребре по контуру среднего кессона ячейки в точках пересечения линиями излома;
M3 - величина предельного момента в пролетном ребре ячейки на участке между внешним контуром и контуром среднего кессона ячейки в точке пересечения линией излома между угловым и пролетным дисками.
(абзац введен
Изменением N 1, утв. Приказом Минстроя России от 20.11.2019 N 701/пр)
В угловой зоне ребра смежных плит П1 (
рисунок 16.2,
б), образующие угол внешнего контура, должны быть соединены сваркой закладных деталей. Усилие в связях и сварных швах в направлении перпендикулярно диагонали ячейки
где M0 - величина предельного момента в угловой зоне внешнего контура из условия разрушения по конвертной схеме;
zs - расстояние по высоте сечения между уровнем усилия в угловой связи и срединной поверхностью полки плиты.
(абзац введен
Изменением N 1, утв. Приказом Минстроя России от 20.11.2019 N 701/пр)
При расчете сборных шатровых конструкций методом предельного равновесия следует учитывать возможность реализации схем излома, включающих, наряду с линейными пластическими шарнирами, конструктивные шарниры по швам сопряжения сборных элементов. Если при таких схемах излома несущая способность конструкции оказывается ниже требуемой, допускается устанавливать учитываемые в расчете связи, препятствующие раскрытию конструктивных шарниров (стальные пластины, соединяющие закладные детали смежных сборных элементов и др.).
16.9 Крайний бортовой элемент шатровой складки следует проверять на изгиб в плоскости, проходящей через его ось и перпендикулярной к примыкающей к нему грани. При этом ребро (пролетом
l1 или
l2) следует рассматривать совместно с примыкающими полкой и гранью как конструкцию таврового сечения. Нагрузка на бортовой элемент, в этом случае, - проекция опорной реакции
R неразрезной плиты на нормаль к грани
(рисунок 16.4).
Рисунок 16.4 - Расчетная плоскость изгиба
крайних элементов шатровых складок
16.10 Угловые зоны шатровых конструкций в месте опирания на капители или колонны следует проверять на прочность при действии в них усилия

(16.7)
где V - вертикальная опорная реакция от нагрузки на шатре;
H - распор шатра или шатровой рамы в диагональном направлении от нагрузки на шатре;

- угол наклона диагонального ребра шатровой складки или подкоса шатровой рамы к горизонту.
Для квадратной в плане шатровой конструкции

(16.8)

(16.9)

(16.10)
q - полная расчетная нагрузка;
l0 - длина пролета внешнего контура шатра;
l1 - длина пролета внутреннего контура (при его наличии в рамно-шатровой конструкции);
l2 - длина пролета среднего диска;
f - стрела подъема шатровой складки или рамы.
При отсутствии внутреннего контура в рамно-шатровой конструкции и для шатровой складки
формула (16.10) приобретает вид

(16.11)
На прочность проверяется: в шатровой складке - опорное сечение бетона в плоскости, перпендикулярной к ребру, размером, равным стороне капители или колонны; в рамно-шатровой конструкции - сечение опорного подкоса или нижняя по высоте половина опорного сечения диагонального ребра. При этом в расчетном поперечном сечении учитывается продольная арматура.
Для повышения прочности опорного сечения шатра допускается применять косвенное армирование.
16.11 При проектировании колонн, поддерживающих неразрезные шатровые складки, следует учитывать изгибающий момент, возникающий из-за эксцентриситета приложения реакции от шатрового покрытия к верху колонн в процессе монтажа и при эксплуатации.
16.12 Монолитные шатровые складки проектируют преимущественно с гладкими гранями без подкрепляющих ребер (
рисунок 16.1,
б). Очертание нижней поверхности шатрового покрытия ячейки зданий выбирают с учетом применения многооборачиваемой переставной укрупненной опалубки. Наклон боковых граней рекомендуется принимать не более 60°, а при бетонировании в односторонней опалубке - не более 35°. Толщину плиты граней назначают с учетом
6.1, но не менее 1/50 поперечного размера граней. В местах сопряжения граней рекомендуется предусматривать вуты.
16.13 Сборные шатровые конструкции проектируют из ребристых плит (
рисунки 16.1, в,
16.5). Размеры плит в плане рекомендуется принимать не более 3,6 м по ширине и 12 м по длине. Стыки между сборными элементами шатровых конструкций следует выполнять в соответствии с
6.4.
(в ред.
Изменения N 3, утв. Приказом Минстроя России от 11.12.2023 N 901/пр)
При проектировании сборных железобетонных элементов рамно-шатровых перекрытий следует использовать бетон классов не ниже B30. Замоноличивание швов между сборными элементами следует выполнять мелкозернистым бетоном класса не ниже класса бетона сборных элементов.
(абзац введен
Изменением N 1, утв. Приказом Минстроя России от 20.11.2019 N 701/пр)
16.14 Бортовые элементы монолитных шатровых складок рекомендуется проектировать плитными шириной не менее 0,5 м (
рисунок 16.1,
б) или П-образного сечения с ребрами, направленными вниз. Бортовые элементы сборных шатровых складок рекомендуется предусматривать с ребрами, выступающими вниз (
рисунки 16.1,
а,
16.6,
а,
16.7,
б), или в виде двутавровых элементов - с опиранием плит на верхнюю и нижнюю полки (
рисунки 16.5,
16.6,
б). Бортовые элементы сборных рамно-шатровых конструкций в зависимости от уровня расчетных нагрузок рекомендуется выполнять в виде отдельных балочных элементов или ферм с параллельными поясами (
рисунки 16.5,
16.2,
а), или путем увеличения по высоте ребер контурных плит (
рисунок 16.2,
б).
Рисунок 16.5 - Ячейка сборного шатрового
перекрытия под тяжелые нагрузки
а - П-образных; б - двутавровых с плитами поверху;
в - крайних; г - при опирании на колонны
Рисунок 16.6 - Схемы бортовых элементов
Наклонные грани сборных и монолитных складок, опирающихся по краю здания на стены, следует конструировать как горизонтально развитые плиты (
рисунок 16.6,
в), а при опирании в пролете на колонны, кроме того, рекомендуется предусматривать вертикальное ребро (
рисунок 16.6,
г).
Угловые зоны шатровых складок и рамно-шатровых конструкций, в которых сопрягаются несущие элементы разных направлений, при пролетах 12 м и более рекомендуется выполнять единым сборным элементом - угловым блоком
(рисунок 16.5).
Ребра жесткости, подкрепляющие поле сборных плит и рамно-шатровых элементов, допускается выполнять постоянной (
рисунки 16.6,
а,
б,
16.7,
б) или переменной высоты (
рисунок 16.2,
б).
Для шатровых складок рекомендуется предусматривать строительный подъем центра среднего диска относительно середин пролетов его контура размерами 1/250 - 1/120 пролета.
(в ред.
Изменения N 1, утв. Приказом Минстроя России от 20.11.2019 N 701/пр)
16.15 При конструировании элементов сборных шатровых перекрытий и покрытий следует учитывать способ их монтажа.
При монтаже целиком размеры шатровой конструкции в плане после укрупнительной сборки должны соответствовать размерам перекрываемой ячейки здания (
рисунок 16.7,
а).
а - из шатровых элементов размером на ячейку
здания; б - из унифицированных элементов
с применением сборочного кондуктора
Рисунок 16.7 - Схемы сборных шатровых конструкций
Сборка из унифицированных плит прямоугольной, трапециевидной и треугольной форм, диагональных рам, угловых блоков и бортовых балок (при наличии таких элементов в принятом конструктивном решении шатровой конструкции) с применением сборочных кондукторов (
рисунок 16.7,
б) или с последовательным опиранием элементов на ранее смонтированные (бескондукторный монтаж). Бескондукторный монтаж рекомендуется обеспечивать специальной конфигурацией поперечного сечения контурных ребер сборных элементов (
рисунок 16.6,
а,
б) или устройством монтажных столиков на закладных деталях ребер.
Для сборки шатрового покрытия при шаге колонн или пролете 18 м и более вдоль стыков плоских плит допускается предусматривать дополнительные железобетонные или металлические ребра, соединяемые с плитами с помощью выпусков, упоров, шпонок и замоноличивания, согласно
6.4.
В сборных элементах рекомендуется предусматривать закладные металлические детали для монтажа с применением сварных монтажных стыков. Монтажные стыки конструируют как расчетные, если шатровые конструкции монтируются целиком или укрупненными элементами с незамоноличенными стыками. При замоноличиваемых стыках сборные элементы допускается проектировать с выпусками арматуры.
16.16 Шатровые конструкции рекомендуется армировать:
- сварными сетками - в плитах;
- сварными каркасами - в ребрах сборных и монолитных элементов;
- сварными сетками, каркасами и предварительно напряженной арматурой - в надколонных ребрах и плитах.
Основная растянутая арматура, располагаемая в бортовых элементах, должна быть доведена до опор и заанкерена или заведена в смежный бортовой элемент для образования замкнутого пояса шатра. При этом предварительно напряженную арматуру пояса проектируют с возможностью осуществления ее натяжения и обетонирования в открытых сверху каналах.
(в ред.
Изменения N 3, утв. Приказом Минстроя России от 11.12.2023 N 901/пр)
До 80% площади сечения основной растянутой арматуры шатровых складок
As, необходимого для восприятия растягивающего усилия
H в вертикальном сечении посредине пролета складки (
рисунок 16.3,
а), располагают в бортовых элементах при предварительно напряженном, и до 60% - при обычном армировании. Остальную часть арматуры
As располагают в прилегающих к бортовым элементам частях граней.
В рамно-шатровых конструкциях всю основную арматуру размещают в бортовом элементе, который при больших усилиях может быть выполнен, например, в виде фермы со сталежелезобетонным нижним поясом (
рисунок 16.2,
а). При устройстве дополнительного внутреннего контура (
рисунок 16.2,
б) площадь сечения основной арматуры шатра в его внешнем контуре допускается снижать в соответствии с расчетным распределением усилия распора между контурами.
(в ред.
Изменения N 1, утв. Приказом Минстроя России от 20.11.2019 N 701/пр)
В многопролетных шатровых конструкциях в качестве основной арматуры шатра допускается использовать арматуру, устанавливаемую в швах между бортовыми элементами смежных ячеек на всю длину здания и напрягаемую на месте возведения натяжением на бетон. Арматуру следует предусматривать неразрезной, прямолинейной или с отгибом в верхнюю зону опорных сечений ригелей, образованных смежными бортовыми элементами и бетоном замоноличивания. Включение сборного бетона в совместную работу с монолитным рекомендуется обеспечивать устройством гребенчатых шпонок на поверхностях сборных элементов. Проектную прочность бетона замоноличивания рекомендуется устанавливать не ниже прочности бетона сборных элементов.
(в ред.
Изменения N 3, утв. Приказом Минстроя России от 11.12.2023 N 901/пр)
16.17 При конструировании для предварительного назначения геометрических размеров большепролетных сборных железобетонных рамно-шатровых конструкций перекрытий с элементами шатровой рамы в виде ребер сборных плит (
рисунок 16.2,
б) следует принимать:
а) для рамно-шатровых конструкций при размерах менее 15 x 15 м стрелу подъема шатровой рамы в диапазоне 0,09 - 0,12 пролета внешнего контурного элемента; при размерах 15 x 15 м и более в диапазоне 0,08 - 0,11 пролета внешнего контурного элемента;
б) высоту внешнего контура в пределах 1/8 - 1/10 размера конструктивной ячейки здания;
в) высоту ребер контура центрального диска в пределах 1/6 - 1/8 размера стороны центрального диска;
г) высоту ребер внутреннего контура не менее высоты ребер контура центрального диска;
д) изменение высоты сечения диагональной рамы - линейным от высоты центрального диска до высоты внешнего контура.
При нарушении рекомендуемых соотношений по
а) и
б) рационально повышать несущую способность и жесткость конструкции выполнением в центральной части плана конструкции строительного подъема на величину расчетного прогиба конструкции от собственного веса при пониженном значении модуля деформаций бетона или применять предварительное напряжение нижней арматуры внешнего контура. В последнем случае целесообразно использовать натяжение канатной арматуры, расположенной в створе колонн, на всю длину и ширину блока здания.
(п. 16.17 введен
Изменением N 1, утв. Приказом Минстроя России от 20.11.2019 N 701/пр)
16.18 При разработке рамно-шатровых перекрытий для прямоугольных ячеек с соотношением сторон до 1:1,5 (например, 12 x 18 м) следует принимать рекомендуемые соотношения по
16.17, а) -
г) по максимальному из размеров.
(п. 16.18 введен
Изменением N 1, утв. Приказом Минстроя России от 20.11.2019 N 701/пр)
16.19 Рамно-шатровые конструкции для пролетов свыше 18 м следует выполнять монолитными или сборно-монолитными. При разработке конструктивных решений для пролетов свыше 18 м рекомендуется применение высокопрочной арматуры и предварительного напряжения в ребрах контуров.
(п. 16.19 введен
Изменением N 1, утв. Приказом Минстроя России от 20.11.2019 N 701/пр)
17 Гнутоформованные элементы и пространственные конструкции из них
(раздел 17 введен
Изменением N 3, утв. Приказом Минстроя России от 11.12.2023 N 901/пр)
17.1 Гнутоформованный сборный элемент, имеющий в плане форму ромба, представляет собой окаймленную по контуру ребром тонкую плиту, изогнутую по поверхности, близкой к поверхности гиперболического параболоида, что обеспечивает большую пространственную жесткость элементов и их высокую несущую способность в работе в составе сооружения.
Основные геометрические параметры унифицированного пространственного ромбического элемента приведены на
рисунке 17.1.
Размеры элемента (b, l, h) и стрела его подъема f1 определяются геометрическими параметрами и формой поверхности сборной конструкции, а также грузоподъемностью кранового оборудования и транспортными габаритными ограничениями.
Рисунок 17.1 - Общий вид гнутоформованного
ромбического элемента
17.2 Гнутоформованные элементы изготавливают по технологии формования на плоскости с последующим погибом. Плоскую плиту габаритами
c x
l, контур которой показан пунктиром на
рисунке 17.1, готовят в форме, представляющей соединенные линейным шарниром на оси
X две половины жесткой рамы
(рисунок 17.2), к которой прикреплен гибкий стальной лист.
а - план; б, в - поперечный разрез соответственно
в исходном и согнутом состоянии; 1 - гибкий поддон;
2 - жесткий поддон; 3 - элемент жесткой рамы;
4 - откидной борт; 5 - соосные шарниры; 6 - ось шарниров
Рисунок 17.2 - Схема формы для изготовления
гнутоформованных элементов
После формования плоской плиты борта формы поднимают на требуемую высоту h, при этом свежеотформованная плита, провисая на стальном листе, изгибается, приобретая проектное криволинейное очертание и проектные размеры в плане 2b x l. После достижения бетоном необходимой прочности борта формы откидываются, и изделие извлекается из формы.
17.3 Ромбические элементы могут иметь в плане форму ромба или вытянутого четырехугольника
(рисунок 17.3).
Рисунок 17.3 - Геометрические параметры ромбического
элемента в форме вытянутого четырехугольника
В общем случае элемента в форме вытянутого четырехугольника поверхность готового элемента в системе координат с точкой [0;0;0] в начале длинной диагонали
(рисунок 17.3) может быть описана уравнением

, (17.1)
где

; (17.2)
- при
x <=
a 
;

;
- при
x >
a 
;

.
Величина f1 для ромба (a = l/2) может быть приближенно определена по формуле

. (17.4)
Значение
f1 может быть уточнено определением значения стрелы провиса
f2 из равенства ширины плоской плиты
c (рисунок 17.1) длине параболы сечения плиты после ее изгиба

. (17.5)
Для элементов в форме вытянутого четырехугольника (
a >
l/2) определение величины
f1 выполняется по
формулам (17.4),
(17.5) с заменой
b,
h и
c величинами соответственно

.

, (17.6)

. (17.7)
17.4 В проектном положении ромбический элемент располагается под некоторым углом

к горизонту. Преобразование координат точек поверхности поворотом на угол

вокруг оси
Y (рисунок 17.4) осуществляется с использованием зависимостей:

(17.8)
Рисунок 17.4 - Преобразование координат
17.5 Сочетание ромбических элементов позволяет осуществить оптимальное членение поверхностей вращения (купольных и цилиндрических) на минимальное число типоразмеров сборных элементов. На основе различных комбинаций однотипных ромбических элементов выполняются пространственные несущие системы зданий купольной
(рисунок 17.5) и сводчатой
(рисунок 17.6) форм, а также сочетаний этих форм, в том числе с использованием плоских сборных элементов.
1, 2, 3 - ромбические элементы соответственно
1, 2 и 3-го ярусов; 4 - затяжка
Рисунок 17.5 - Купольная оболочка пролетом 24 м в виде
многогранника, вписанного в часть сферы радиусом 14,3 м
1 - пространственные элементы покрытия; 2 - стеновые
пространственные элементы; 3, 4 - плоские ребристые
треугольные элементы
Рисунок 17.6 - Сводчатое здание многоцелевого назначения
из гнутоформованных элементов и плоских треугольных плит
17.6 При конструировании сопряжений сборных элементов двугранные углы между сопрягаемыми поверхностями ввиду жесткости бортовых ребер ромбических элементов принимаются равными углам сопряжения условных ромбических складок с ребром по длинной оси и внутренним углом между треугольными гранями


. (17.9)
Положение сопрягаемых плоскостей граней условных складок в пространстве описывается координатами трех основных точек, что позволяет определить значения двугранных углов сопряжения методами аналитической геометрии.
Расчет конструкций из гнутоформованных элементов
17.7 Расчет конструкций из гнутоформованных ромбических элементов следует выполнять методом конечных элементов с учетом физической нелинейности (неупругих деформаций бетона и арматуры, возможного образования трещин).
Железобетонные, армоцементные и сталефибробетонные гнутоформованные элементы выполняются с применением мелкозернистого бетона. Прочностные и деформационные характеристики мелкозернистого бетона следует принимать в соответствии с
СП 63.13330.
Для интегрального учета влияния ползучести при длительном действии нагрузки расчетные значения модулей деформаций и сдвига следует принимать пониженными в соответствии с СП 63.13330.2018
(пункт 6.1.15).
В соответствии с
4.2.19 расчет по устойчивости формы тонкостенных оболочек ромбических элементов следует производить с учетом начальных несовершенств и деформаций ползучести бетона при длительном действии нагрузки. Учет начальных несовершенств в оболочках ромбических элементов выполняется умножением модуля деформаций бетона на коэффициент 0,75.
17.8 Оценка несущей способности зданий из гнутоформованных элементов может быть выполнена на основе метода предельного равновесия с использованием схемы излома и формы разрушения, установленных испытаниями моделей конструкций до разрушения.
17.9 Учет действия снеговых нагрузок на покрытия сводчатой и купольной форм выполняется по равномерной и неравномерной схемам распределения соответственно по СП 20.13330.2016 (
пункт Б.1, рисунок Б.1, вариант 2;
пункт Б.8, рисунок Б.11,в, вариант 2), принимая для расчета внешние габаритные размеры здания
17.10 Учет действия ветровых нагрузок на покрытия сводчатой и купольной форм выполняется по внешним габаритным размерам здания соответственно по СП 20.13330.2016 (
пункты В.1.3,
В.1.4).
17.11 Расчет конструкций выполняется по двум группам предельных состояний в соответствии с требованиями
СП 63.13330 и
раздела 4.2.
17.12 Расчет устойчивости зданий из гнутоформованных элементов от прогрессирующего обрушения выполняется для сводчатых зданий в предположении исключения из работы поля опорного ромбического элемента, для купольных зданий - в предположении отказа одной из вертикальных опор вследствие разрушения опорного ромбического элемента или опорного узла.
17.13 Расчет несущей способности конструкций на стадии монтажа выполняется по отдельным расчетным моделям по
17.26.
17.14 Поле оболочки ромбических элементов армируется ткаными сетками из стальной проволоки или стальной фиброй.
Контурные ребра сборных гнутоформованных элементов армируются плоскими каркасами из стальной стержневой арматуры
(рисунок 17.7).
Закладные детали и монтажные петли ромбических и плитных элементов располагаются в контурных ребрах и крепятся вязальной проволокой или сваркой к плоским каркасам ребер.
Рисунок 17.7 - Принципиальное решение армирования
ромбического элемента
17.15 Технология погиба плоских свежеотформованных плит базируется на свойстве свежеуложенного на гибком поддоне слое бетона претерпевать под действием собственного веса деформации изгиба без нарушения его целостности.
Во избежание выпучивания сеток и расслоения бетона в процессе изготовления гнутоформованных элементов при свободном провисании гибкого поддона со свежеотформованной плитой тканые сетки следует располагать под углом 30° - 45° к оси погиба. В этом случае тканая сетка в процессе погиба деформируется за счет изменения формы ячейки сетки.
17.16 Непосредственно перед съемом ромбических элементов с формы на них устанавливается монтажная затяжка, обеспечивающая их целостность при складировании, транспортировании и монтаже. Затяжка устанавливается на верхней поверхности в наиболее широком сечении элемента и крепится к бортовым закладным деталям болтовым соединением. Демонтаж затяжек выполняется после сварки закладных деталей сборных элементов, установленных в проектное положение.
17.17 Высоту сводчатых покрытий в коньке следует принимать равной 0,4 - 0,6 длины пролета.
Уклон покрытия сводчатого здания следует принимать не менее 15%.
17.18 Рекомендуемая высота купольных покрытий в вершине составляет не менее 0,25 диаметра опорного контура здания.
17.19 Ширину ромбических элементов следует принимать максимально возможной для данного архитектурно-конструктивного решения в пределах транспортных габаритных ограничений.
17.20 Внутренние двугранные углы между поверхностями сопрягаемых сборных элементов сводчатого здания следует принимать не менее 90°.
17.21 Геометрические размеры ромбических элементов купольного здания следует принимать такими, чтобы внутренние двугранные углы между поверхностями сопрягаемых ромбических элементов оставались в пределах 120° - 150°.
17.22 Толщину оболочек ромбических элементов сводчатых покрытий пролетом до 12 м следует принимать не менее 25 мм, пролетом более 12 м - не менее 30 мм.
17.23 Толщину оболочек ромбических элементов купольных покрытий диаметром до 24 м следует принимать не менее 25 мм, диаметром более 24 м - не менее 30 мм. В ромбических элементах первого яруса следует предусматривать двухкратное утолщение поля оболочки на длине опорных участков не менее 0,2l.
17.24 Восприятие усилий распора обеспечивается стальными затяжками между опорными узлами покрытий.
При конструировании опорных узлов купольных покрытий следует минимизировать эксцентриситет приложения усилий в затяжке и обеспечить шарнирность опорного узла в радиальном направлении. С этой целью опорная закладная деталь ромбического элемента первого яруса должна быть выполнена с соответствующим стальным элементом, позволяющим обеспечить отсутствие горизонтальных смещений в кольцевом направлении при возможности горизонтального смещения в радиальном направлении и поворота на опоре. Элементы затяжки следует крепить к закладной детали фундаментной опоры.
17.25 Монтажные узловые соединения сборных элементов следует выполнять сваркой закладных деталей с последующим замоноличиванием швов между сборными элементами.
Прочность бетона замоноличивания швов между сборными элементами следует принимать не менее прочности бетона сборных элементов.
17.26 Монтируемые конструкции и монтажные стойки должны проектироваться на восприятие следующих нагрузок.
Для сводчатых зданий при расположении монтажных стоек по линии конька здания под узлами опирания ромбических элементов на нагрузку:
- от собственного веса;
- от собственного веса установленных в проектное положение с одной стороны от стойки ромбического и плоского треугольного элементов покрытия (учитывается вертикальная и горизонтальная составляющая опорной реакции, коэффициент динамичности 1,6);
- от собственного веса установленных в проектное положение с обеих сторон от стойки ромбических и треугольных элементов покрытия, а также снеговую нагрузку (учитывается вертикальная опорная реакция, ситуация до выполнения сварки узлов).
Для купольных зданий, монтируемых блоками из четырех предварительно собранных элементов трех ярусов на монтажную стойку под вершиной купола на нагрузку:
- от веса одного монтажного блока, установленного в проектное положение (учитывается вертикальная и горизонтальная составляющая опорной реакции, коэффициент динамичности 1,6);
- от веса двух монтажных блоков, установленных в проектное положение с противоположных относительно стойки сторон, и снеговую нагрузку на них (учитывается вертикальная опорная реакция);
- от веса всех монтажных блоков в проектном положении до сварки узлов и снеговую нагрузку (учитывается вертикальная опорная реакция).
ОСНОВНЫЕ БУКВЕННЫЕ ОБОЗНАЧЕНИЯ
Усилия от внешних нагрузок и воздействий в поперечном сечении элемента
N - продольная сила;
Q - поперечная сила;
M - изгибающий момент;
T - крутящий момент.
Характеристики материалов

- коэффициент ползучести бетона;

,

- предельные относительные деформации бетона соответственно при равномерном осевом сжатии и осевом растяжении;

- относительные деформации арматуры при напряжении, равном
Rs;
Es - модуль упругости арматуры;
Eb - начальный модуль упругости бетона при сжатии и растяжении;
Rb, Rb,ser - расчетные сопротивления бетона осевому сжатию для предельных состояний соответственно первой и второй групп;
Rb,loc - расчетное сопротивление бетона смятию;
Rb,n - нормативное сопротивление бетона осевому сжатию;
Rb,t, Rbt,ser - расчетные сопротивления бетона осевому растяжению для предельных состояний соответственно первой и второй групп;
Rbond - расчетное сопротивление сцепления арматуры с бетоном;
Rbt,n - нормативное сопротивление бетона осевому растяжению;
Rs, Rs,ser - расчетные сопротивления арматуры растяжению для предельных состояний соответственно первой и второй групп;
Rsc - расчетное сопротивление арматуры сжатию для предельных состояний первой группы;
Rsw - расчетное сопротивление поперечной арматуры растяжению.
Характеристики положения продольной арматуры в поперечном сечении элемента
S - обозначение продольной арматуры: при наличии сжатой и растянутой от действия внешней нагрузки зон сечения - расположенной в растянутой зоне; при полностью сжатом от действия внешней нагрузки сечении - расположенной у менее сжатой грани сечения; при полностью растянутом от действия внешней нагрузки сечении:
для внецентренно растянутых элементов - расположенной у более растянутой грани сечения; для центрально-растянутых элементов - всей в поперечном сечении элемента;
S' - обозначение продольной арматуры: при наличии сжатой и растянутой от действия внешней нагрузки зон сечения - расположенной в сжатой зоне; при полностью сжатом от действия внешней нагрузки сечении - расположенной у более сжатой грани сечения; при полностью растянутом от действия внешней нагрузки сечении внецентренно растянутых элементов - расположенной у менее растянутой грани сечения.
Геометрические характеристики

- относительная высота сжатой зоны бетона, равная
x/
h0;

- толщина полки пространственного элемента;

- коэффициент армирования, определяемый как отношение площади сечения арматуры
S к площади поперечного сечения элемента
bh0 без учета свесов сжатых и растянутых полок;
A - площадь всего бетона в поперечном сечении;
a, a' - расстояние от равнодействующей усилий в арматуре соответственно S и S' до ближайшей грани сечения;
(в ред.
Изменения N 3, утв. Приказом Минстроя России от 11.12.2023 N 901/пр)
Ab - площадь сечения бетона сжатой зоны;
Abt - площадь сечения бетона растянутой зоны;
Aloc - площадь смятия бетона;
Ared - площадь приведенного сечения элемента;
As, A's - площади сечения арматуры соответственно S и S';
Asw - площадь сечения хомутов, расположенных в одной нормальной к продольной оси элемента плоскости, пересекающей наклонное сечение;
b - ширина прямоугольного сечения; ширина ребра таврового и двутаврового сечений;
bf, b'f - ширина полки таврового и двутаврового сечений соответственно в растянутой и сжатой зонах;
dl - высота бортового элемента;
ds, dsw - номинальный диаметр стержней соответственно продольной и поперечной арматуры;
e, e' - расстояния от точки приложения продольной силы N до равнодействующей усилий в арматуре соответственно S и S';
e0 - эксцентриситет продольной оси N относительно нейтральной оси, проходящей через центр тяжести приведенного сечения;
f - стрела подъема элемента конструкции;
h - высота прямоугольного, таврового и двутаврового сечений;
h0, h'0 - рабочая высота сечения, равная соответственно h - a и h - a';
hf, h'f - высота полки таврового и двутаврового сечений соответственно в растянутой и сжатой зонах;
I - момент инерции сечения всего бетона относительно нейтральной оси, проходящей через его центр тяжести;
i - радиус инерции поперечного сечения элемента относительно центра тяжести сечения;
Ired - момент инерции приведенного сечения элемента относительно нейтральной оси, проходящей через его центр тяжести;
l0 - расчетная длина элемента, подвергающегося действию сжимающей продольной силы;
l1 - пролет конструкции или ее продольный размер;
l2 - длина волны или поперечный размер конструкции;
qs, q's - погонные усилия, воспринимаемые арматурой полки сборного элемента соответственно в растянутой и сжатой зонах;
R - радиус кривизны элемента конструкции;
sw - расстояние между хомутами, измеренное по длине элемента;
W - момент сопротивления сечения элемента для крайнего растянутого волокна;
x - высота сжатой зоны бетона.
Минстроя России от 20.12.2021 N 966/пр)
[1] Федеральный
закон от 22 июля 2008 г. N 123-ФЗ "Технический регламент о требованиях пожарной безопасности"