Главная // Актуальные документы // ПособиеСПРАВКА
Источник публикации
М., 2013
Примечание к документу
Название документа
"Пособие по расчету бетонных и железобетонных конструкций на ЭВМ (к СП 63.13330.2012)"
"Пособие по расчету бетонных и железобетонных конструкций на ЭВМ (к СП 63.13330.2012)"
ЗАКРЫТОЕ АКЦИОНЕРНОЕ ОБЩЕСТВО НАУЧНО-ПРОИЗВОДСТВЕННОЕ
И КОНСТРУКТОРСКО-ТЕХНОЛОГИЧЕСКОЕ БЮРО
ПО ОПТИМИЗАЦИИ В ТЕХНИКЕ
(ЗАО НПКТБ ОПТИМИЗАЦИЯ)
НАУЧНО ИССЛЕДОВАТЕЛЬСКИЙ, ПРОЕКТНО-КОНСТРУКТОРСКИЙ
И ТЕХНОЛОГИЧЕСКИЙ ИНСТИТУТ БЕТОНА И ЖЕЛЕЗОБЕТОНА
ИМ. А.А. ГВОЗДЕВА
(НИИЖБ ИМ. А.А. ГВОЗДЕВА)
ПОСОБИЕ
ПО РАСЧЕТУ БЕТОННЫХ И ЖЕЛЕЗОБЕТОННЫХ КОНСТРУКЦИЙ НА ЭВМ
(К СП 63.13330.2012)
Настоящее Пособие составлено в помощь разработчикам и пользователям ЭВМ-программ для расчетов железобетонных конструкций, проводимых в соответствии с методиками Свода Правил
СП 63.13330.2012 "Бетонные и железобетонные конструкции. Основные положения" - Актуализированной редакции СНиП 52-01-2003.
Пособие содержит рекомендации по тестированию программ и примеры, позволяющие оценить достоверность получаемых по программам результатов. Примеры охватывают все виды расчетов, предусмотренные в
СП 63.13330.2012.
Пособие разработано доктором технических наук М.Б. Краковским (ЗАО НПКТБ Оптимизация) при участии доктора технических наук Т.А. Мухамедиева и кандидата технических Д.В. Кузеванова (НИИЖБ им. А.А. Гвоздева).
Примеры расчетов выполнены по ЭВМ-программе "ОМ СНиП Железобетон", разработанной в ЗАО НПКТБ Оптимизация и прошедшей тестирование в НИИЖБ им. А.А. Гвоздева.
Замечания по содержанию настоящего Пособия просьба направлять по электронной почте: krakov@netbynet.ru (ЗАО НПКТБ Оптимизация) и takhir50@rambler.ru (НИИЖБ им. А.А. Гвоздева).
При современном развитии вычислительной техники и программного обеспечения расчеты железобетонных конструкций в подавляющем большинстве случаев проводят на ЭВМ. Используются как программы массового применения, так и разработанные для отдельных организаций. Сравнение показывает, что при одних и тех же исходных данных результаты, получаемые по различным программам, могут существенно отличаться. Такое положение представляется недопустимым, поскольку нормы предполагают для каждого случая получение единственного решения. Отклонение от норм может привести как к недостаточно надежным проектным решениям, так и к удорожанию конструкций вследствие перерасхода материалов.
Настоящее Пособие разработано для исключения подобных ситуаций при расчетах бетонных и железобетонных конструкций на ЭВМ по
СП 63.13330.2012 "Бетонные и железобетонные конструкции. Основные положения" - Актуализированной редакции СНиП 52-01-2003
[1].
В Пособии представлены 430 примеров расчета бетонных и железобетонных конструкций, которые рекомендуется использовать как тестовые при разработке и проверке ЭВМ-программ. Примеры, выполненные по принятым в
[1] методикам, охватывают все рассмотренные в этом документе виды расчетов железобетонных конструкций на прочность, жесткость и трещиностойкость при различных силовых воздействиях.
Для многих расчетов
[1] не дает алгоритмов вычислений, а только формулирует требования, которым должны удовлетворять результаты. Настоящее Пособие также не дает рекомендаций по составлению алгоритмов, а позволяет проверить соответствие требованиям
[1] результатов, получаемых по различным алгоритмам.
Используя Пособие, разработчики программ смогут добиться соответствия алгоритмов положениям
[1], а пользователи оценить, насколько получаемые ими результаты соответствуют нормативным требованиям. Пособие может быть использовано и для контроля результатов "ручного" счета.
Пособие состоит из следующих основных разделов:
III. Предварительное напряжение арматуры;
IV. Прочность нормальных сечений железобетонных элементов;
V. Прочность наклонных сечений железобетонных элементов;
VI. Элементы конструкций - короткие консоли, бетонные шпонки, закладные детали;
VII. Конструкции при крутящих моментах;
VIII. Конструкции при местных нагрузках - местном сжатии (смятии), продавливании;
IX. Плоскостные элементы;
X. Трещиностойкость сечений железобетонных элементов;
XI. Деформативность железобетонных элементов;
Основные
разделы II -
XI делятся на подразделы, которые состоят из групп примеров. В каждой группе рассматривается сечение или элемент железобетонной конструкции при определенном силовом воздействии (например, подбор арматуры в нормальном сечении прямоугольного изгибаемого железобетонного элемента без предварительного напряжения арматуры при расчете по деформационной модели).
В группе выделяется основной пример, называемый базовым. В остальных примерах исследуется влияние на результаты расчетов отдельных факторов (например, вида и класса бетона, параметров диаграммы состояния бетона, вида армирования - симметричной или несимметричной арматуры и т.п.).
Условия и результаты расчетов группы сведены в таблицу. Для базового примера приведено подробное описание условий. В остальных примерах указаны только отличия от условий, принятых в базовом примере. После таблицы в тексте приведены необходимые пояснения и анализ. Тестируемые особенности расчетов в каждом из примеров также указаны в пояснениях.
Все вычисления выполнены по программе "ОМ СНиП Железобетон". Для наглядности в необходимых случаях приведены изображения окон программы.
Проверка достоверности результатов
Для проверки достоверности полученных в примерах результатов использовали в числе прочих следующие приемы:
1. Проводили "ручной" контроль, при котором все вычисления выполняли "вручную" и сравнивали с результатами расчетов на ЭВМ.
2. По данным, полученным из расчетов на ЭВМ, "вручную" проверяли выполнение условий равновесия.
3. Изменяли значения различных факторов и анализировали соответствие результатов физическим представлениям о работе конструкций. Например, не может привести к увеличению площади сечения подбираемой арматуры увеличение класса бетона, дополнительная заранее установленная арматура, уменьшение расчетной длины внецентренно сжатого элемента и т.п.
4. При подборе арматуры определяли диаметры стержней (проволок, канатов). Затем проводили проверку подобранной арматуры. При этом должны были удовлетворяться необходимые требования.
5. Подбирали арматуру при одинаковых и разных диаметрах стержней (проволок, канатов) в сечении. В последнем случае армирование не должно было увеличиваться.
6. Подбирали арматуру при двух группах стержней (проволок, канатов). Диаметр стержней каждой из групп в общем случае мог быть разным (более подробное объяснение см. ниже для
примера IV.Б.1.1). Затем считали стержни одной из групп (с подобранным диаметром) заранее установленными в сечении и подбирали диаметр стержней другой группы. Этот подбираемый диаметр должен был совпадать с первоначально подобранным.
7. Согласно
[1] арматура в конструкции должна обеспечить выполнение необходимых требований при минимальном расходе стали. Чтобы проверить это условие, подобранный диаметр стержней уменьшали до следующего меньшего значения. При этом не должны были выполняться необходимые требования.
Перечисленные приемы рекомендуется использовать при тестировании правильности расчетов железобетонных конструкций.
Воспроизводимость примеров
Все примеры Пособия представлены так, чтобы их можно было воспроизвести при расчете по различным программам и сравнить полученные результаты с данными Пособия. Условия расчетов и результаты приведены в тексте
Разделов II -
XI, характеристики материалов - в
Приложении.
Особенности расчета продольной арматуры
В примерах Пособия предусмотрены два вида расчетов - подбор или проверка продольного армирования. Учитываются условия прочности
(Раздел IV), трещиностойкости
(Раздел X), деформативности
(Раздел XI). Расчеты выполнены, в основном, по деформационной модели. Расчеты на прочность для простейших случаев выполнены также по предельным усилиям
(Раздел IV).
При расчетах по деформационной модели согласно требованиям
[1] (Рис. 8.5) рассматривается только дискретная арматура: задается положение арматурных элементов (стержней, проволок, канатов) в бетонном сечении. При подборе армирования результатом являются диаметры арматурных элементов, которые могут быть либо одинаковыми, либо образовывать две группы. В каждую группу должны входить арматурные элементы одного диаметра. В разных группах диаметры элементов могут отличаться друг от друга. Более подробное объяснение последнего случая приведено в
примере IV.Б.1.1 (см.
Рис. IV.1,
IV.2).
Использовать "размазанную" арматуру, определяемую общей площадью сечения арматурных элементов, допускается только при расчете на изгиб и внецентренное растяжение. В остальных случаях такая расчетная схема не рекомендуется, поскольку она не предусмотрена в
[1], и результаты расчетов могут не соответствовать нормативным требованиям. Поэтому в Пособии рассматривается только дискретная арматура.
При расчете прочности и трещиностойкости рассматривают сечения железобетонных элементов, при расчете деформативности - железобетонный элемент целиком. В последнем случае продольное армирование может быть переменным по длине элемента. Соответствующие примеры расчета приведены в Пособии.
При описании условий и результатов расчетов использованы следующие термины. Под длительными нагрузками (продолжительного действия) понимаются нагрузки постоянные и временные длительные. Под кратковременными нагрузками (непродолжительного действия) понимаются нагрузки постоянные, временные длительные и временные кратковременные.
II. Прочность нормальных сечений бетонных элементов
В настоящем разделе рассмотрены наиболее часто встречающиеся бетонные конструкции - прямоугольные изгибаемые и внецентренно сжатые элементы. В расчетах использована деформационная модель.
Для изгибаемых элементов уравнения равновесия
(8.39) -
(8.41) [1] состоят из двух уравнений
(8.40),
(8.41) при

;

; N = 0. Неизвестными в уравнениях являются кривизна

и относительная деформация центра тяжести сечения

.
Во внецентренно сжатых элементах всегда учитывается случайный эксцентриситет в двух направлениях (
пп. 5.2.6,
7.1.7 [1]). Поэтому фактически расчет ведется на косое внецентренное сжатие. Используются три уравнения равновесия
(8.39) -
(8.41) [1]. Неизвестными в уравнениях являются кривизны

,

и относительная деформация центра тяжести сечения

.
Требования
[1] считаются выполненными, если максимальная расчетная относительная деформация бетона

не превышает предельной относительной деформации бетона

(
п. 8.1.29 [1]).
При необходимости проверить расчеты "вручную" рекомендуется использовать методики, представленные в
разделе IV для нормальных сечений железобетонных элементов. Арматура при этом не учитывается.
II.А. Рекомендации по выбору примеров для тестирования
Ниже перечислены факторы, влияние которых рекомендуется учитывать, проверяя правильность расчетов прочности нормальных сечений бетонных элементов.
1. Вид напряженного состояния - изгиб, внецентренное сжатие;
2. Класс бетона;
3. Расчетная длина элемента (при внецентренном сжатии);
4. Способ определения усилий - расчетом по деформированной или недеформированной схеме (при внецентренном сжатии).
II.Б.1. Изгибаемый элемент прямоугольного сечения
Условия и результаты расчетов
Номер примера | Исследуемый фактор | Условия расчетов | |
| Пример базовый | Проверка прочности. Рассматривается бетонный элемент прямоугольного сечения со следующими параметрами: b = 400 мм; h = 400 мм; изгибающий момент M = 18 кНм. Бетон тяжелый класса В25;  . Используется трехлинейная диаграмма состояния бетона. Требуется проверить прочность сечения. | Выполнены |
| Бетон | Влияние класса бетона. Использован тяжелый бетон класса В12.5. | Не выполнены |
Пример II.Б.1.1 (базовый)
Результат. Полученные результаты представлены на Рис. II.1. Максимальная расчетная относительная деформация бетона, равная 0,0001, меньше предельной относительной деформации бетона, равной 0,0035. Требования
[1] выполнены.
Рис. II.1. Результаты решения. Пример II.Б.1.1
Результат. Не существует значений кривизны

и относительной деформации центра тяжести сечения

, удовлетворяющих уравнениям равновесия. Требования
[1] не выполнены.
II.Б.2. Внецентренно сжатый элемент прямоугольного сечения
Условия и результаты расчетов
Номер примера | Исследуемый фактор | Условия расчетов | |
| Пример базовый | Проверка прочности. Рассматривается бетонный элемент прямоугольного сечения со следующими параметрами: b = 1000 мм; h = 200 мм. Бетон тяжелый класса В15;  . Используется двухлинейная диаграмма состояния бетона. Расстояния между сечениями, закрепленными от смещения, и расчетная длина элемента в обеих плоскостях равны 2,7 м. Усилия от нагрузок кратковременных N = 900 кН, M = 25 кНм; длительных N = 540 кН, M = 15 кНм. Требуется проверить прочность сечения. | Выполнены |
| Бетон | Влияние класса бетона. Использован тяжелый бетон класса В20. | Выполнены |
| Продольный изгиб | Влияние расчетной длины. Расстояния между сечениями, закрепленными от смещения, и расчетная длина элемента в обеих плоскостях равны 2,8 м. | Выполнены |
| Влияние расчета по деформированной схеме. Считается, что усилия определены расчетом по деформированной схеме. | Выполнены |
Характеристики напряженно-деформированного состояния сечения
Условные обозначения см. раздел II
Предельная относительная деформация бетона

Номер примера | Значения неизвестных в уравнениях равновесия | | |
 ,  |  ,  | |
| 0,7167 | 13,8560 | -8,8294 | 0,0025 | Выполнены |
| 0,1816 | 4,3868 | -4,5024 | 0,0009 | Выполнены |
| 0,9194 | 17,8349 | -9,8430 | 0,0030 | Выполнены |
| 0,3288 | 6,2015 | -6,5795 | 0,0014 | Выполнены |
Пример II.Б.2.1 (базовый)
Результат. Максимальная расчетная относительная деформация бетона, равная

, меньше предельной относительной деформации бетона

. Требования
[1] выполнены.
Результат. В базовом и рассматриваемом примерах принят соответственно класс бетона В15 и В20. Увеличение класса бетона приводит к уменьшению

с 0,0025 до 0,0009. Требования
[1] выполнены.
Результат. В базовом и рассматриваемом примерах расстояния между сечениями, закрепленными от смещения, и расчетные длины элемента в обеих плоскостях приняты равными соответственно 2,7 и 2,8 м. Увеличение расстояний и расчетных длин приводит к увеличению

с 0,0025 до 0,0030. Требования
[1] выполнены.
Результат. В базовом и рассматриваемом примерах принято, что расчет выполнен соответственно по недеформированной и деформированной схеме. В последнем случае значение

уменьшается с 0,0025 до 0,0014. Требования
[1] выполнены.
II.В. Рекомендации по оценке результатов проверки
правильности расчетов
С учетом результатов, полученных в
разделе II.Б, ниже приведены некоторые общие положения, которые рекомендуется учитывать при оценке правильности расчетов прочности нормальных сечений бетонных элементов (см. также
раздел II.А).
2. При увеличении расчетной длины внецентренно сжатого элемента или расстояния между сечениями, закрепленными от смещения, максимальная расчетная относительная деформация бетона не может уменьшиться - см.
примеры II.Б.2.1 и
II.Б.2.3;
3. Если при одинаковых прочих условиях принять, что расчет был проведен по недеформированной и деформированной схеме, то в последнем случае максимальная расчетная относительная деформация бетона не может увеличиться.
III. Предварительное напряжение арматуры
Согласно
[1] при обоих способах натяжения арматуры - на упоры и на бетон - необходимо выполнить следующие расчеты:
- определить первые и вторые потери предварительного напряжения арматуры (
пп. 9.1.3 -
9.1.9 [1]);
- найти усилия предварительного обжатия бетона с учетом первых и полных потерь, а также эксцентриситеты их приложения (
п. 9.1.10 [1]);
- проверить напряжения в бетоне при передаче усилия предварительного обжатия, определяемого с учетом первых потерь (
п. 9.1.11 [1]);
- найти длину зоны передачи предварительного напряжения на бетон для арматуры без дополнительных анкерующих устройств (
п. 9.1.12 [1]);
- проверить прочность элемента в стадии предварительного обжатия (
п. 9.2.10 [1]).
Ниже приведен перечень потерь, их обозначения и характеристики.
Потери предварительного напряжения арматуры
Обозначение | Причина потерь (ссылки на пункты [1]) | |
| | 1у, 2б |
| | 1у |
| | 1у |
| | 1у, 1б |
| | 2у, 2б |
| | 2у, 2б |
| Трение арматуры о стенки каналов или поверхность конструкции (п. 9.1.7) | 1б |
--------------------------------
<*> Характеристики потерь состоят из цифры и буквы. Цифры 1 или 2 относятся соответственно к первым или вторым потерям, буквы "у" или "б" относятся соответственно к натяжению на упоры или бетон. Например, обозначение "2у" соответствует вторым потерям при натяжении на упоры.
В соответствии с
[1] используют также следующие обозначения:

- суммарные первые потери;

- суммарные вторые потери при натяжении на упоры;

- суммарные вторые потери при натяжении на бетон;

- полные потери.
III.А. Рекомендации по выбору примеров для тестирования
Ниже перечислены факторы, влияние которых рекомендуется учитывать в расчетах предварительного напряжения арматуры.
1. Способ натяжения арматуры - на упоры или на бетон;
2. Способ натяжения на упоры - механический или электротермический;
3. Класс бетона;
4. Тепловая обработка бетона;
5. Влажность окружающей среды.
III.Б. Натяжение арматуры на упоры
III.Б.1. Элемент двутаврового сечения, определение
потерь преднапряжения, напряжений в бетоне, усилий
и эксцентриситетов обжатия, длины зоны передачи напряжений
Номер примера | Исследуемый фактор | Условия расчетов |
| Пример базовый | Определение характеристик обжатия. Рассматривается элемент двутаврового сечения со следующими параметрами: h = 1500; b = 80;  ;  ;  ;  . Бетон тяжелый класса В40, передаточная прочность 26 МПа. Влажность окружающей среды 40 - 75%. Предварительно напряженная арматура класса К1400 диаметром 15 мм. Растянутая арматура состоит из 4 рядов канатов, по 3 каната в ряду, располагаемых на расстояниях 50, 100, 150, 200 мм от нижней грани сечения. Сжатая арматура состоит из 3 канатов, располагаемых на расстоянии 50 мм от верхней грани сечения (Рис. III.1). Длина натягиваемой арматуры составляет 20 м. Натяжение осуществляется механическим способом. Напряжения натяжения ( п. 9.1.1 [1]) составляют 980 МПа. Температурный перепад ( п. 9.1.4 [1]) составляет 65°. Данные о сближении упоров ( п. 9.1.5 [1]) и об обжатии анкеров ( п. 9.1.6 [1]) отсутствуют. Изгибающий момент от внешней нагрузки в стадии обжатия ( п. 9.1.11 [1]) M = 238 кНм. При действии внешних нагрузок напряжения в бетоне от натяжения арматуры уменьшаются ( п. 9.1.11 [1]). Требуется определить потери преднапряжения, напряжения в бетоне, усилия и эксцентриситет обжатия. |
| Бетон | Влияние класса бетона. Использован тяжелый бетон класса В50. Передаточная прочность бетона равна 32,5 МПа. |
| Влияние тепловой обработки бетона. Бетон подвергнут тепловой обработке при атмосферном давлении. |
| Влажность | Влияние влажности окружающей среды. Принята влажность окружающей среды ниже 40%. |
| Натяжение | Влияние способа натяжения арматуры. Принят электротермический способ натяжения. |
| Армирование | Влияние ненапрягаемой арматуры. Дополнительно установлена ненапрягаемая сжатая при эксплуатации арматура  А400, a' = 100 мм. |
| Определение длины зоны передачи преднапряжения. При условиях базового примера требуется определить длину зоны передачи предварительного напряжения на бетон для арматуры без дополнительных анкерующих устройств ( п. 9.1.12 [1]). |

Рис. III.1. Геометрические размеры сечения
Результаты расчетов
Потери предварительного натяжения определяют для каждого ряда арматуры. В Таблицах III.1,
III.2 для краткости представлены потери для наиболее растянутой при эксплуатации арматуры, расположенной на расстоянии 50 мм от нижней грани.
Таблица III.1
Первые потери, МПа, для наиболее
растянутой при эксплуатации арматуры
Номер примера | | | | | |
| 52,9 | 81,3 | 30,0 | 19,5 | 183,7 |
| 52,9 | 81,3 | 30,0 | 19,5 | 183,7 |
| 52,9 | 81,3 | 30,0 | 19,5 | 183,7 |
| 52,9 | 81,3 | 30,0 | 19,5 | 183,7 |
| 49,0 | 81,3 | 0,0 | 0,0 | 130,3 |
| 52,9 | 81,3 | 30,0 | 19,5 | 183,7 |
Таблица III.2
Вторые и полные потери, МПа, для наиболее
растянутой при эксплуатации арматуры
Номер примера | | | | |
| 48,8 | 89,1 | 137,9 | 321,5 |
| 58,5 | 73,8 | 132,3 | 315,9 |
| 41,4 | 75,7 | 117,1 | 300,8 |
| 48,8 | 123,4 | 172,2 | 355,9 |
| 48,8 | 93,5 | 142,2 | 292,0 |
| 48,8 | 96,0 | 144,8 | 275,0 |
Пример III.Б.1.1 (базовый)
Результат. Значения потерь предварительного натяжения арматуры, а также усилий обжатия, эксцентриситетов, напряжений в бетоне представлены в
Таблицах III.1,
III.2, III.3. Требования к напряжениям в бетоне считаются выполненными, если расчетные напряжения не превышают предельных (
п. 9.1.11 [1]).
Таблица III.3
Усилия обжатия, эксцентриситеты, напряжения в бетоне
Номер примера | Усилия обжатия, кН, с учетом потерь | Эксцентриситеты усилий обжатия, мм, с учетом потерь | Напряжения в бетоне, МПа | Требования [1] к напряжениям в бетоне |
первых | полных | первых | полных | расчетные | предельные |
| 2111 | 1784 | 384 | 363 | 13,9 | 23,4 | Выполнены |
| 2111 | 1784 | 384 | 363 | 13,9 | 23,4 | Выполнены |
| 2111 | 1833 | 384 | 386 | 13,9 | 23,4 | Выполнены |
| 2111 | 1708 | 384 | 363 | 13,9 | 23,4 | Выполнены |
| 2252 | 1971 | 384 | 362 | 15,0 | 23,4 | Выполнены |
| 2111 | 1741 | 392 | 371 | 13,9 | 23,4 | Выполнены |
"Ручной" контроль. Потери от релаксации напряжений арматуры определяют по
формуле (9.3) [1] (при классе арматуры К1400 и механическом способе натяжения):

.

.
Потери от деформации стальной формы согласно
п. 9.1.5 [1] составляют

(при отсутствии данных о конструкции формы и технологии изготовления).
Потери от деформации анкеров натяжных устройств определяют по
формуле (9.7) [1] (при отсутствии данных об обжатии анкеров):

.

.
Потери от усадки бетона определяют по
формуле (9.8) [1] (при классе бетона В40 и классе арматуры К1400):

.

.
Ниже определены входящие в формулу величины.
Отношение модулей упругости бетона и арматуры:

.
| | ИС МЕГАНОРМ: примечание. В официальном тексте документа, видимо, допущена опечатка: имеется в виду таблица 6.12, а не таблица 6.6. | |
По
таблице 6.6 [1] коэффициент ползучести бетона

(при классе бетона В40 и влажности окружающей среды 40 - 75%).
Площадь бетонного сечения (вычисления не приведены):
A = 0,07 м2.
Площадь и момент инерции приведенного сечения элемента относительно центра тяжести сечения (вычисления не приведены):

;

.
Расстояние от нижней грани до центра тяжести приведенного сечения (вычисления не приведены):

.
Расстояние от центра тяжести приведенного сечения до нижнего ряда растянутой при эксплуатации арматуры:

.
Напряжения натяжения арматуры с учетом первых потерь определяют по
п. 9.1.10 [1]:

.
Усилие предварительного обжатия бетона с учетом первых потерь определяют по
формуле (9.11) [1] (при площади сечения арматуры

для

К1400):

.
Расстояние от центра тяжести арматуры до нижней грани сечения составляет 0,39 м (вычисления не приведены).
Эксцентриситет усилия

относительно центра тяжести приведенного поперечного сечения элемента - расстояние между центрами тяжести арматуры и приведенного сечения:

.
Напряжения в бетоне

от усилия предварительного обжатия с учетом первых потерь определяют по
формуле (9.14) [1]:

.
Значения

меньше

(

- передаточная прочность бетона). Поскольку при действии внешних нагрузок напряжения в бетоне от натяжения арматуры уменьшаются, то требования
п. 9.1.11 [1] выполнены.
По
п. 9.1.9 [1] коэффициент армирования для каждого ряда растянутой при эксплуатации арматуры (

К1400):

.
Потери от ползучести бетона:

.
Полные значения вторых потерь:

.

.
Общие потери в арматурных канатах, расположенных на расстояниях 50, 100, 150, 200, 1450 мм от нижней грани сечения, составляют соответственно 321,5, 320,7, 319,8, 318,7, 253,6 МПа. Вычисления выполняют аналогично приведенным выше. Усилие в напрягаемой арматуре с учетом полных потерь определяют по
формуле (9.13) [1]:
Расстояние от нижней точки сечения до точки приложения усилия

равно 0,411 м (вычисления не приведены).
Эксцентриситет усилия

относительно центра тяжести приведенного поперечного сечения элемента - расстояние между точкой приложения усилия

и центром тяжести приведенного сечения:

.
Численные значения всех величин при "ручном" контроле совпадают с соответствующими значениями, вычисленными по программе и приведенными в
Таблицах III.1,
III.2,
III.3.
| | ИС МЕГАНОРМ: примечание. В официальном тексте документа, видимо, допущена опечатка: имеется в виду таблица 6.12, а не таблица 6.6. | |
Результат. Как видно из
Таблиц III.1,
III.2, в рассматриваемом и базовом примерах значения первых потерь одинаковы, а вторые потери различны. В рассматриваемом примере, по сравнению с базовым, потери от усадки бетона

увеличиваются с 48,8 до 58,5 МПа. Это связано с тем, что, как следует из
формулы (9.8) [1], потери от усадки пропорциональны модулю упругости бетона, который возрастает при увеличении класса бетона. В то же время потери от ползучести бетона

уменьшаются с 89,1 до 73,8 МПа, поскольку при увеличении класса бетона возрастает жесткость сечения, а коэффициент ползучести бетона уменьшается - см.
формулу (9.9) и
таблицу 6.6 [1]. Полные потери уменьшаются с 321,5 до 315,9 МПа.
Из
Таблицы III.3 видно, что класс бетона не влияет на усилия обжатия, их эксцентриситеты и напряжения в бетоне - значения этих величин одинаковы в рассматриваемом и базовом примерах.
Результат. Согласно
пп. 9.1.8,
9.1.9 [1] при тепловой обработке бетона потери от усадки и ползучести, определяемые соответственно по
формулам (9.8),
(9.9) [1], умножаются на коэффициент 0,85. Как видно из
Таблицы III.2, в рассматриваемом примере упомянутые потери на 15% меньше, чем в базовом примере. Вследствие этого в рассматриваемом примере полные потери уменьшаются, а усилие обжатия с учетом всех потерь и эксцентриситет приложения этого усилия увеличиваются по сравнению с соответствующими значениями в базовом примере.
| | ИС МЕГАНОРМ: примечание. В официальном тексте документа, видимо, допущена опечатка: имеется в виду таблица 6.12, а не таблица 6.6. | |
Результат. Согласно
п. 9.1.9 и
Таблице 6.6 [1] при уменьшении влажности окружающей среды возрастает коэффициент ползучести

и увеличиваются потери от ползучести бетона с 89,1 МПа в базовом примере до 123,4 МПа в рассматриваемом примере. Поэтому увеличиваются полные потери, и уменьшаются усилия обжатия с учетом полных потерь (см.
Таблицы III.2,
III.3).
Результат. В рассматриваемом и базовом примерах значения потерь от релаксации напряжений арматуры

равны соответственно 49,0 и 52,9 МПа. Разница объясняется тем, что при электротермическом и механическом способах натяжения потери

определяют соответственно по
формулам (9.4) и
(9.3) [1].
Кроме того, при электротермическом способе натяжения арматуры потери от деформации формы и от деформации анкеров не учитываются (
пп. 9.1.5,
9.1.6 [1]). Поэтому в рассматриваемом примере

. Отличаются также усилия обжатия с учетом первых и полных потерь
(Таблица III.3), а также потери от усадки бетона
(Таблица III.2), поскольку при определении указанных величин используют значения первых потерь.
Результат. В рассматриваемом и базовом примерах значения усилий обжатия с учетом полных потерь равны соответственно 1741 и 1784 кН. Уменьшение усилий в рассматриваемом примере связано с учетом сжимающих напряжений в ненапрягаемой арматуре, численно равных сумме потерь от усадки и ползучести бетона на уровне этой арматуры (
п. 9.1.10 [1]). По той же причине отличаются и эксцентриситеты усилий обжатия с учетом полных потерь. Кроме того, на величины эксцентриситетов с учетом первых и полных потерь влияет разница в положении центров тяжести приведенного сечения из-за учета в рассматриваемом примере ненапрягаемой арматуры.
Результат. Согласно
формуле (9.15) [1] длина зоны передачи предварительного напряжения на бетон для арматуры без дополнительных анкерующих устройств составляет 969 мм.
III.Б.2. Элемент двутаврового сечения,
проверка прочности при обжатии
Условия и результаты расчетов
Номер примера | Исследуемый фактор | Условия расчетов | |
| Пример базовый | Проверка прочности. Рассматривается двутавровое сечение с теми же параметрами, армированием, характеристиками материалов и натяжения, что и в примере III.Б.1.1. Требуется проверить прочность сечения при обжатии. | Выполнены |
| Армирование | Влияние дополнительной ненапрягаемой арматуры. Установлена дополнительная ненапрягаемая арматура такая же, как в примере III.Б.1.6. | Выполнены |
Пример III.Б.2.1 (базовый)
Решение. При решении задачи усилие в напрягаемой арматуре с учетом первых потерь вводят в расчет как внешнюю продольную силу (
п. 9.2.10 [1]). При этом прикладывают также возникающий изгибающий момент с учетом момента от внешней нагрузки, действующего при обжатии. На эти усилия (без учета случайного эксцентриситета) проверяют прочность внецентренно сжатого бетонного элемента по деформационной модели (см.
Раздел II настоящего Пособия).
Результат. Действующие усилия: N = 2361,5 кН, M = -722,5 кНм. В результате решений уравнений равновесия получены следующие значения неизвестных: кривизна

; относительная деформация в центре тяжести сечения

. Отрицательные значения момента M кривизны

указывают на то, что действующий момент растягивает верхнюю грань сечения. Максимальная расчетная относительная деформация бетона

меньше предельной относительной деформации бетона

(
п. 8.1.30 [1]). Требования
[1] выполнены.
Результат. Действующие усилия: N = 2361,5 кН, M = -742,4 кНм. Увеличение изгибающего момента, по сравнению с базовым примером, объясняется смещением центра тяжести приведенного сечения из-за постановки дополнительной ненапрягаемой арматуры. В результате решений уравнений равновесия получены следующие значения неизвестных: кривизна

; относительная деформация в центре тяжести сечения

. Из-за увеличения изгибающего момента максимальная расчетная относительная деформация бетона

возрастает, по сравнению со значением в базовом примере, но остается меньше предельной относительной деформации бетона

(
п. 8.1.30 [1]). Требования
[1] выполнены.
III.В. Натяжение арматуры на бетон
III.В.1. Элемент двутаврового сечения, определение потерь
преднапряжения, напряжений в бетоне, усилий
и эксцентриситетов обжатия, длины зоны передачи напряжений
Номер примера | Исследуемый фактор | Условия расчетов |
| Пример базовый | Определение характеристик обжатия. Рассматривается элемент двутаврового сечения с теми же параметрами, что и в примере III.Б.1.1. При определении потерь учитываются потери от трения о стенки каналов с металлической поверхностью ( п. 9.1.7 [1]). Длина участка от натяжного устройства до расчетного сечения составляет 10 м ( п. 9.1.7 [1]). Требуется определить потери преднапряжения, напряжения в бетоне, усилия и эксцентриситет обжатия. |
| Бетон | Влияние класса бетона. Как и в примере III.Б.1.2, использован тяжелый бетон класса В50. Передаточная прочность бетона равна 32,5 МПа. |
| Влияние тепловой обработки бетона. Как и в примере III.Б.1.3, бетон подвергнут тепловой обработке при атмосферном давлении. |
| Влажность | Влияние влажности окружающей среды. Как и в примере III.Б.1.4, принята влажность окружающей среды ниже 40%. |
| Армирование | Влияние ненапрягаемой арматуры. Как и в примере III.Б.1.6, дополнительно установлена ненапрягаемая сжатая при эксплуатации арматура  А410, a' = 100 мм. |
| Определение длины зоны передачи преднапряжения. Как и в примере III.Б.1.7, при условиях базового примера требуется определить длину зоны передачи предварительного напряжения на бетон для арматуры без дополнительных анкерующих устройств ( п. 9.1.12 [1]). |
Результаты расчетов
Потери предварительного натяжения определяют для каждого слоя арматуры. В
Таблице III.5 для краткости представлены потери для наиболее растянутой при эксплуатации арматуры, расположенной на расстоянии 50 мм от нижней грани.
Пример III.В.1.1 (базовый)
Результат. Значения потерь предварительного натяжения арматуры, а также усилий обжатия, эксцентриситетов, напряжений в бетоне представлены в Таблицах III.4,
III.5,
III.6. Требования к напряжениям в бетоне выполнены, поскольку расчетные напряжения не превышают предельных значений (
п. 9.1.11 [1]). Сравним полученные характеристики преднапряжения в рассматриваемом примере (при натяжении на бетон) и в
Примере III.Б.1.1 (при натяжении на упоры).
Таблица III.4
Номера примеров | | | |
| 19,5 | 29,0 | 48,5 |
Таблица III.5
Вторые и полные потери, МПа, для наиболее
растянутой при эксплуатации арматуры
Номер примера | | | | | |
| 52,9 | 36,6 | 106,7 | 196,2 | 244,7 |
| 52,9 | 43,9 | 88,4 | 185,2 | 233,6 |
| 52,9 | 36,6 | 90,7 | 180,2 | 228,6 |
| 52,9 | 36,6 | 147,9 | 237,4 | 285,9 |
| 52,9 | 36,6 | 106,6 | 196,1 | 244,6 |
Таблица III.6
Усилия обжатия, эксцентриситеты, напряжения в бетоне
Номер примера | Усилия обжатия, кН, с учетом потерь | Эксцентриситеты усилий обжатия, мм, с учетом потерь | Напряжения в бетоне, МПа | Требования [1] к напряжениям в бетоне |
первых | полных | первых | полных | расчетные | предельные |
| 2469 | 1997 | 384 | 360 | 16,6 | 23,4 | Выполнены |
| 2469 | 2019 | 385 | 366 | 16,7 | 23,4 | Выполнены |
| 2469 | 2033 | 384 | 364 | 16,6 | 23,4 | Выполнены |
| 2469 | 1905 | 384 | 349 | 16,6 | 23,4 | Выполнены |
| 2469 | 1981 | 392 | 371 | 16,7 | 23,4 | Выполнены |
Согласно
п. 9.1.2 [1] при натяжении арматуры на бетон первые потери определяют от деформации анкеров

и от трения арматуры о стенки каналов или поверхность конструкции

. Значения

одинаковы при натяжении на бетон и на упоры. Суммарные первые потери при натяжении на бетон

оказываются существенно меньше, чем при натяжении на упоры (183,7 МПа).
При натяжении арматуры на бетон потери от релаксации напряжений в арматуре

такие же, как при натяжении на упоры, но относятся ко вторым потерям. Согласно
п. 9.1.8 [1] при натяжении на упоры потери от усадки бетона

принимают на 25% меньшими, чем

при натяжении на упоры.
При натяжении на бетон усилия обжатия с учетом первых потерь 2469 кН оказываются больше, чем 2111 кН при натяжении на упоры, поскольку, как указано выше, первые потери при натяжении на бетон меньше, чем при натяжении на упоры. Вследствие этого при натяжении на бетон возрастают напряжения

, определяемые с учетом первых потерь и входящие в
формулу (9.9) [1], по которой определяют потери от ползучести бетона

. Поэтому эти потери, равные 106,7 МПа при натяжении на бетон, больше соответствующего значения 89,1 МПа при натяжении на упоры.
При натяжении на бетон усилия обжатия с учетом полных потерь 1997 кН оказываются больше, чем 1784 кН при натяжении на упоры. Поэтому возрастают и напряжения в бетоне, равные 23,4 и 13,9 МПа при натяжении соответственно на бетон и на упоры.
Результат. Как видно из
Таблиц III.4,
III.5, в рассматриваемом и базовом примерах одинаковы значения первых потерь, а также потерь от релаксации напряжений в арматуре

. Потери же от усадки и ползучести бетона различны.
В рассматриваемом примере, по сравнению с базовым, потери от усадки бетона

увеличиваются с 36,6 до 43,9 МПа, а потери от ползучести бетона уменьшаются со 106,7 до 88,4 МПа. Полные потери уменьшаются с 244,7 до 233,6 МПа. Результаты и их интерпретация аналогичны изложенным при сравнении
примеров III.Б.1.2 и
III.Б.1.1 в случае натяжения на упоры.
Из
Таблицы III.6 видно, что повышение класса бетона несколько увеличивает усилия обжатия с учетом полных потерь. Усилия обжатия с учетом первых потерь, эксцентриситеты и напряжения в бетоне одинаковы в рассматриваемом и базовом примерах.
Результат. Согласно
п. 9.1.9 [1] при тепловой обработке бетона потери от усадки и ползучести умножаются на коэффициент 0,85. Как видно из
Таблицы III.5, в рассматриваемом примере упомянутые потери на 15% меньше, чем в базовом примере. Вследствие этого в рассматриваемом примере полные потери уменьшаются, а усилие обжатия с учетом всех потерь увеличивается по сравнению с соответствующим значением в базовом примере.
Результат. При уменьшении влажности окружающей среды увеличиваются потери от ползучести бетона со 106,7 МПа в базовом примере до 147,9 МПа в рассматриваемом примере. Поэтому увеличиваются полные потери и уменьшаются усилия обжатия с учетом полных потерь (см.
Таблицы III.5,
III.6). Результаты и их интерпретация аналогичны изложенным для
примера III.Б.1.4 в случае натяжения на упоры.
Результат. В рассматриваемом и базовом примерах значения усилий обжатия с учетом полных потерь равны соответственно 1997 и 1981 кН. Отличаются также эксцентриситеты усилий обжатия с учетом первых и полных потерь. Полученные результаты и их интерпретация аналогичны изложенным для
примера III.Б.1.6 в случае натяжения на упоры.
Результат. Длина зоны передачи предварительного напряжения на бетон для арматуры без дополнительных анкерующих устройств составляет 1134 мм, что больше чем аналогичная величина, полученная в
примере III.Б.1.7 при натяжении арматуры на упоры. Разница объясняется тем, что величина усилия обжатия с учетом первых потерь при натяжении на бетон 2469 кН больше соответствующей величины 2111 кН при натяжении на упоры. В связи с этим при натяжении на бетон оказываются больше напряжения

, входящие в
формулу (9.15) [1], по которой определяют длину зоны передачи напряжений.
III.В.2. Элемент двутаврового сечения, проверка
прочности при обжатии
Условия и результаты расчетов
Номер примера | Исследуемый фактор | Условия расчетов | |
| Пример базовый | Проверка прочности. Рассматривается двутавровое сечение с теми же параметрами, армированием, характеристиками материалов и натяжения, что и в примере III.В.1.1. Требуется проверить прочность сечения при обжатии. | Выполнены |
| Армирование | Влияние дополнительной ненапрягаемой арматуры. Установлена дополнительная ненапрягаемая арматура такая же, как в примере III.В.1.5. | Выполнены |
Пример III.В.2.1 (базовый)
Решение. Ход решения остается таким же, как при натяжении арматуры на упоры - см.
пример III.Б.2.1.
Результат. Действующие усилия: N = 2795,1 кН, M = -898,9 кНм оказываются больше по абсолютной величине соответствующих значений N = 2361,5 кН, M = -722,5 кНм, полученных в
примере III.Б.2.1 при натяжении арматуры на упоры. Возрастание усилий объясняется тем, что суммарные первые потери оказываются меньше при натяжении на бетон, чем при натяжении на упоры. Это приводит к возрастанию напряжений

в
формуле (9.17) [1] и, следовательно, к возрастанию усилий.
В результате решений уравнений равновесия получены следующие значения неизвестных: кривизна

; относительная деформация в центре тяжести сечения

. Максимальная расчетная относительная деформация бетона

меньше предельной относительной деформации бетона

(
п. 8.1.30 [1]). Требования
[1] выполнены. Все результаты аналогичны полученным при решении
примера III.Б.2.1 в случае натяжения арматуры на упоры.
Результат. Действующие усилия: N = 2361,5 кН, M = -922,4 кНм. В результате решений уравнений равновесия получены следующие значения неизвестных: кривизна

; относительная деформация в центре тяжести сечения

. Максимальная расчетная относительная деформация бетона

меньше предельного значения

(
п. 8.1.30 [1]). Требования
[1] выполнены. Полученные результаты и их интерпретация аналогичны приведенным для
примера III.Б.2.2 при натяжении арматуры на упоры.
III.Г. Рекомендации по оценке результатов
проверки правильности расчетов
Ниже приведены некоторые общие положения, которыми следует руководствоваться при оценке правильности расчетов преднапряжения арматуры. При сравнении результатов в случае натяжения арматуры на упоры и на бетон предполагается, что все прочие условия одинаковы.
- суммарные первые потери оказываются существенно меньше при натяжении на бетон, чем при натяжении на упоры;
- усилия обжатия с учетом первых и полных потерь оказываются больше при натяжении на бетон, чем при натяжении на упоры.
2. В случае проверки прочности при обжатии действующие усилия от напрягаемой арматуры (продольная сила и момент) оказываются больше при натяжении на упоры, чем при натяжении на бетон. Вследствие этого при натяжении на бетон оказываются больше и максимальная расчетная относительная деформация бетона - см.
примеры III.Б.2.1 и
III.В.2.1.
3. Длина зоны передачи предварительного напряжения на бетон для арматуры без дополнительных анкерующих устройств оказывается больше при натяжении на бетон, чем при натяжении на упоры, - см.
примеры III.Б.1.7 и
III.В.1.6.
5. При тепловой обработке бетона уменьшаются потери от ползучести при натяжении на упоры и на бетон, а также потери от ползучести при натяжении на упоры. Полные потери уменьшаются, а усилие обжатия с учетом всех потерь увеличивается - см.
примеры III.Б.1.3 и
III.Б.1.1,
III.В.1.3 и
III.В.1.1.
7. При электротермическом способе натяжения арматуры потери от релаксации напряжений в арматуре оказываются меньше, чем при механическом способе натяжения, - см.
примеры III.Б.1.5 и
III.Б.1.1.
9. В случае проверки прочности при обжатии постановка дополнительной ненапрягаемой арматуры увеличивает изгибающий момент от предварительного натяжения арматуры, вследствие чего увеличивается и максимальная расчетная относительная деформация бетона - см.
примеры III.Б.2.2 и
III.Б.2.1,
III.В.2.2 и
III.В.2.1.
IV. Прочность нормальных сечений железобетонных элементов
При оценке правильности расчетов прочности нормальных сечений примеры классифицированы по виду напряженного состояния:
- А. Изгиб;
- Б. Косой изгиб;
- В. Внецентренное сжатие;
- Г. Косое внецентренное сжатие;
- Д. Внецентренное растяжение;
- Е. Косое внецентренное растяжение.
Центральное растяжение представляет собой частный случай внецентренного растяжения.
При каждом напряженном состоянии рассмотрены элементы без предварительного напряжения арматуры и предварительно напряженные с различными формами поперечного сечения при подборе арматуры и проверке существующего армирования. В основном расчеты выполнены по деформационной модели.
Для элементов без предварительного натяжения арматуры при изгибе, внецентренном сжатии и внецентренном растяжении
СП [1] допускает выполнение расчетов и по предельным усилиям. Соответствующие примеры также рассмотрены в настоящем Пособии. При этом учитывается, что в
[1] рассмотрено только ограниченное число случаев расчета: прямоугольные, тавровые и двутавровые сечения при изгибе, прямоугольные сечения при внецентренном сжатии и растяжении. Арматура расположена у противоположных в плоскости изгиба граней сечения.
Как указано в
Разделе I, в расчетах по деформационной модели рассматривается только дискретная арматура. Диаметры арматурных элементов (стрежней, проволок, канатов) подбирают так, чтобы обеспечить выполнение требований
[1] при минимальном расходе металла.
IV.А. Рекомендации по выбору примеров для тестирования
Ниже перечислены факторы, влияние которых рекомендуется учитывать, проверяя правильность расчетов прочности нормальных сечений железобетонных элементов.
1. Вид напряженного состояния - изгиб, косой изгиб, внецентренное сжатие, косое внецентренное сжатие, внецентренное растяжение, косое внецентренное растяжение;
2. Теория расчета - по деформационной модели, по предельным усилиям;
3. Подбор или проверка армирования;
4. Форма сечения - прямоугольное, тавровое, двутавровое, круглое, кольцевое, произвольное и др.;
5. Вид бетона - тяжелый, мелкозернистый, легкий и др.;
6. Класс бетона;
7. Вид диаграммы состояния бетона - двухлинейная, трехлинейная;
8. Наличие или отсутствие предварительно напрягаемой арматуры;
9. Вид напрягаемой арматуры - стержневая, проволочная, канатная;
10. Величина натяжения напрягаемой арматуры;
11. Наличие или отсутствие подбираемой сжатой арматуры;
12. Наличие заранее установленной арматуры;
13. Расположение арматуры в сечении - у граней, вдоль контура и внутри сечения, на различных окружностях (для круглых и кольцевых сечений);
14. Разбиение стержней внутри сечения на группы с одинаковыми диаметрами;
15. Симметричное армирование;
16. Получение минимального армирования при подборе;
17. Длительность действия нагрузок;
18. Эксцентриситет приложения продольной силы (для внецентренно сжатых и внецентренно растянутых элементов).
При расчете на внецентренное и косое внецентренное сжатие рекомендуется дополнительно проверять влияние следующих факторов:
1. Способа определения усилий - расчетом по деформированной или недеформированной схеме;
2. Наличия косвенного армирования и значений его параметров.
Исходные данные для приведенных в Пособии примеров назначали с учетом следующих положений:
1. При расчете по деформационной модели рассматривали два вида диаграммы состояния бетона - двухлинейную и трехлинейную. Значения относительных деформаций (параметров диаграмм состояния бетона)

,

,

назначали с учетом указаний
пп. 6.1.14,
6.1.20,
6.1.21 [1].
2. Коэффициент условий работы бетона

согласно
п. 6.1.12 [1] принимали равным 1,0 или 0,9 соответственно при непродолжительном (кратковременном) или продолжительном (длительном) действии нагрузки.
3. При внецентренном и косом внецентренном сжатии рассматривали два варианта определения усилий - по деформированной и недеформированной схеме (
п. 8.1.2 [1]).
Правильность получаемых результатов, помимо прочего, проверяли, используя приемы, перечисленные в
Разделе I. Более подробно проверка правильности получаемых результатов обсуждается в
разделе IV.И.
IV.Б.1. Элемент прямоугольного сечения без предварительного
напряжения арматуры, расчет по деформационной модели,
подбор армирования
Условия и результаты расчетов
Номер примера | Исследуемый фактор | Условия расчетов | Результаты расчетов |
Количество и диаметры стержней группы | Площадь сечения арматуры, см2 |
1-й | 2-й |
| Пример базовый | Подбор растянутой арматуры. Рассматривается прямоугольное сечение со следующими параметрами: b = 300 мм; h = 600 мм; a = 40 мм; изгибающий момент M = 200 кНм; бетон тяжелый класса В15;  ; арматура класса А400. Используется двухлинейная диаграмма состояния бетона. Растянутая арматура состоит из трех стержней (Рис. IV.1), принадлежащих двум группам. Диаметры двух крайних стержней N 1 и N 3, принадлежащих первой группе, должны быть одинаковыми; диаметр среднего стержня N 2, принадлежащего второй группе, может быть другим. Распределение диаметров стержней по группам показано на Рис. IV.2. Требуется определить диаметры стержней растянутой арматуры. | | | 12,36 |
| Бетон | Влияние класса бетона. Использован тяжелый бетон класса В100. | | | 10,95 |
| Влияние вида бетона. Использован керамзитоперлитобетон на вспученном перлитовом песке с маркой по средней плотности D1900 класса В15 с двухлинейной диаграммой состояния при следующих значениях относительных деформаций:  ,  ,  . | | | 12,44 |
| Влияние диаграммы состояния бетона. Использована трехлинейная диаграмма состояния бетона при следующих значениях относительных деформаций бетона:  ,  . | | | 12,36 |
| Влияние вида бетона и диаграммы состояния бетона. Использован керамзитоперлитобетон на вспученном перлитовом песке с маркой по средней плотности D1900 класса В15 с трехлинейной диаграммой состояния бетона при следующих значениях относительных деформаций бетона:  ,  . | | | 12,36 |
| Армирование | Подбор растянутой и сжатой арматуры. Подбирается арматура растянутая (3 стержня первой группы) и сжатая (3 стержня второй группы), a' = 40 мм. | | | 14,79 |
| Влияние заранее установленной сжатой арматуры. Установлена сжатая арматура  А400, a' = 40 мм. | | | 10,95 |
| Подбор растянутой арматуры при дополнительной арматуре, установленной вдоль сжатой и боковых граней сечения. Вдоль боковых и верхней граней сечения установлены 7 стержней  А400 с площадью сечения 7,92 см2 | | | 10,10 |
| Подбор симметричной арматуры. Сжатая (a' = 40 мм) и растянутая арматура состоят из двух групп так же, как растянутая арматура в базовом примере: два крайних стержня первой группы и один средний стержень второй группы. | | | 21,90 |

Рис. IV.2. Распределение стержней арматуры по группам.
Пример IV.Б.1.1
Пример IV.Б.1.1 (базовый)
Армирование. Расположение стержней показано на
Рис. IV.1. Эти стержни образуют две группы. К первой группе относятся стержни 1 и 3, ко второй группе - стержень 2
(Рис. IV.2). Диаметры стержней одной группы должны быть одинаковыми. Диаметры стержней разных групп в общем случае могут быть разными.
Результат. Диаметры среднего и двух крайних стержней растянутой арматуры равны соответственно 18 и 25 мм. Общая площадь сечения растянутой арматуры составляет 12,36 см2.
Результат. Общая площадь сечения растянутой арматуры в базовом и рассматриваемом примерах составляет соответственно 12,36 см2

и 10,95 см2

. В рассматриваемом примере класс бетона увеличился. Это привело к снижению площади сечения арматуры, поскольку уменьшилась высота сжатой зоны бетона и, как следствие, увеличилось плечо внутренней пары сил.
Результат. Общая площадь сечения растянутой арматуры в рассматриваемом и базовом примерах составляет соответственно 12,44 см2

и 12,36 см2

. Таким образом, в рассматриваемом примере площадь несколько возросла, хотя исходные данные, в основном, сохранились. Изменились только значения

и

.
Результат. Получен тот же результат, что и в базовом примере. Изменение вида диаграммы состояния бетона не повлияло на результат.
Результат. Сравним результаты решения
примеров IV.Б.1.1 (базового),
IV.Б.1.3 и IV.Б.1.5 (рассматриваемого). В
примерах IV.Б.1.1 и IV.Б.1.5 площадь сечения растянутой арматуры одинакова 12,36 см2

, т.е. изменение вида и диаграммы состояния бетона не повлияло на результат. В
примере IV.Б.1.3 площадь сечения подбираемой арматуры, по сравнению с базовым примером, незначительно возрастает и составляет 12,44 см2

.
Из сравнения
примеров IV.Б.1.3 и IV.Б.1.5 видно, что при трехлинейной диаграмме состояния бетона площадь сечения подбираемой арматуры оказалась несколько меньше.
Результат. Полученные площади сечения растянутой и сжатой арматуры составляют соответственно 11,40 см2

и 3,39 см2

. Общая площадь сечения арматуры составляет 14,79 см2. Площадь сечения растянутой арматуры уменьшилась, по сравнению с базовым примером (12,36 см2), поскольку увеличилось плечо внутренней пары. Общая площадь арматуры увеличилась, поскольку в базовом примере все сжимающие усилия воспринимались бетоном, а в рассматриваемом примере часть из них воспринимается сжатой арматурой.
Результат. Полученная площадь сечения растянутой арматуры составляет 10,95 см2

, что меньше, чем в базовом примере (12,36 см2). Это объясняется тем, что часть момента воспринимается сжатой арматурой и равной ей по площади сечения частью растянутой арматуры. В этом случае указанная часть момента воспринимается при увеличенном плече внутренней пары, равном 52 см. Оставшаяся часть момента воспринимается растянутой арматурой и сжатым бетоном также при увеличенном плече внутренней пары.
Однако если учесть установленную сжатую арматуру (

,

), то общая площадь сечения арматуры, по сравнению с базовым примером, возрастает и составляет 10,95 + 3,39 = 14,34 см2.
При сравнении
примера IV.Б.1.6 с рассматриваемым видно, что сжатая арматура в обоих случаях одинакова

. Однако площадь сечения растянутой арматуры в рассматриваемом примере 10,95 см2

оказалась меньше, чем в
примере IV.Б.1.6 (11,40 см2,

). Это объясняется тем, что в рассматриваемом примере стержни образовывали две группы, а в
примере IV.Б.1.6 диаметры всех стержней были одинаковыми.
Армирование. Расположение арматуры показано на Рис. IV.3. Подбираются диаметры стержней 1, 2, 3. Стержни 1, 3 принадлежат первой группе, стержень 2 - второй. Кроме того, вдоль верхней и боковых граней заранее установлено 7 стержней

А400.
Рис. IV.3. Расположение арматуры в сечении. Пример IV.Б.1.8
Результат. Площадь сечения подбираемой арматуры составляет 10,10 см2

. С учетом установленной арматуры

общая площадь сечения арматуры составляет 10,10 + 7,92 = 18,02 см2.
Результат. Полученная площадь сечения растянутой и сжатой арматуры составляет по 10,95 см2

, общая площадь арматуры составляет 21,90 см2

, что намного больше, чем площадь сечения растянутой арматуры в базовом примере 12,36 см2

. Это объясняется тем, что при симметричном армировании бетон в работе сечения не участвует - момент воспринимается только растянутой и сжатой арматурой.
Легко проверить правильность полученного решения, умножив площадь поперечного сечения растянутой (или сжатой) арматуры (10,95 см2) на расчетное сопротивление арматуры (350 МПа) и на плечо внутренней пары (52 см). Полученный предельный момент 200 кНм равен действующему, т.е. условия равновесия выполнены.
IV.Б.2. Элемент прямоугольного сечения без предварительного
напряжения арматуры, расчет по деформационной модели,
проверка армирования
Условия и результаты расчетов
Номер примера | Исследуемый фактор | Условия расчетов | |
| Пример базовый | Проверка прочности и "ручной" контроль. Рассматривается прямоугольное сечение с теми же параметрами, характеристиками материалов и усилиями, что и в примере IV.Б.1.1. Растянутая арматура состоит из трех стержней, подобранных в примере IV.Б.1.1:  А400,  . Требуется проверить прочность сечения. | Выполнены |
| Армирование | Влияние расположения арматуры вдоль боковых граней и "ручной" контроль. Рассматривается прямоугольное сечение с теми же параметрами, характеристиками материалов, усилиями и армированием, что и в примере IV.Б.1.8 (Рис. IV.3). Арматура у нижней грани состоит из 3 стержней  А400,  . | Выполнены |
| Проверка подбора минимальной площади сечения растянутой арматуры. Растянутая арматура состоит из трех стержней  ,  , т.е. диаметр одного из стержней в базовом примере уменьшен с 18 до 16 мм. | Не выполнены |
Пример IV.Б.2.1 (базовый)
Результат. Результаты решения показаны на Рис. IV.4. Максимальные расчетные относительные деформации бетона и арматуры, равные соответственно 0,0028 и 0,0036, меньше предельно допустимых относительных деформаций бетона и арматуры, равных соответственно 0,0035 и 0,0250. Требования
[1] выполнены.
Рис. IV.4. Результаты решения. Пример IV.Б.2.1
"Ручной" контроль. Правильность полученного решения может быть проверена двумя способами.
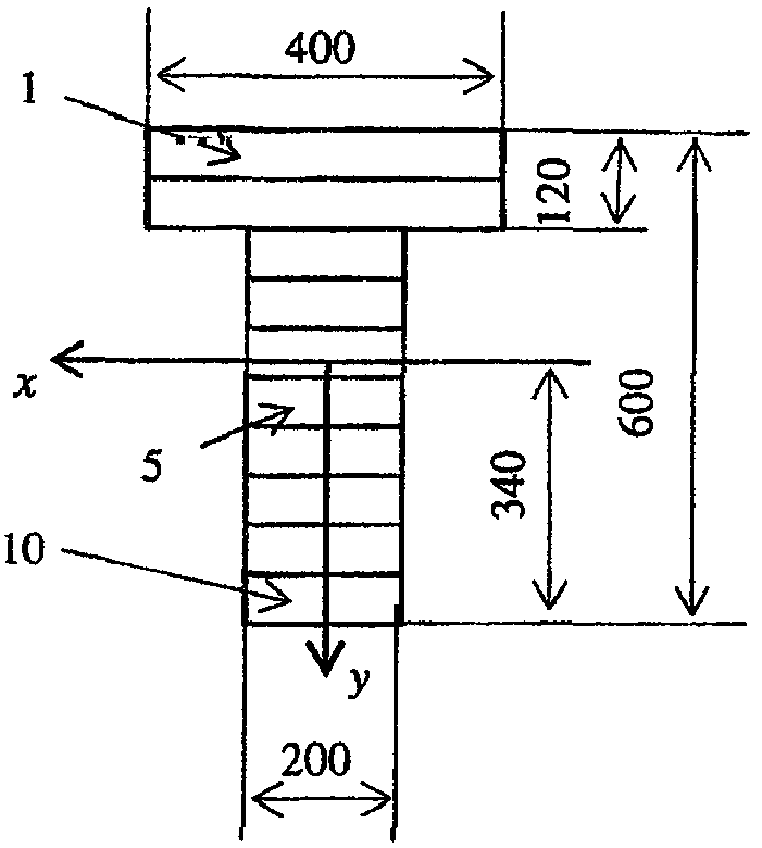
Способ 1
Для проверки разбиваем сечение на 10 участков. Нумерация участков (1, 5, 10), расположение координатных осей и размеры сечения показаны на Рис. IV.5.
Рис. IV.5. Расчетная схема нормального сечения.
Пример IV.Б.2.1 (размеры в мм)
Уравнения равновесия для рассматриваемого случая имеют вид:

(1)
Эти уравнения являются частным случаем для одноосного изгиба общих уравнений равновесия, представленных в
[1] формулами (8.39) -
(8.41). Неизвестными в уравнениях являются кривизна

и относительная деформация центра тяжести сечения

, а коэффициенты

,

,

представляют собой жесткости, определяемые по формулам:

(2)
Здесь

- площадь i-го участка бетонного сечения;

- расстояние от центра тяжести i-го участка бетонного сечения до оси x;

- площадь поперечного сечения арматуры;

- расстояние от центра тяжести арматуры до оси x;

,

- коэффициенты упругости, определяемые по формулам:

(3)
В
формулах (3) 
,

- соответственно напряжения и относительные деформации в центре тяжести i-го участка бетонного сечения;

,

соответственно напряжения и относительные деформации в центре тяжести арматуры. Модули упругости бетона

и арматуры

соответственно равны 24000 и 200000 МПа. Значения

,

определяют по формулам:

(4)
Значения

определяют по формулам:

(5)
при

и

соответственно. Здесь

.
Значения

определяют по формулам:

(6)
при

и

соответственно. Здесь

,

.
Уравнения (1) представляют собой систему с переменными коэффициентами: жесткости

,

,

зависят от коэффициентов упругости

,

, которые в свою очередь зависят от относительных деформаций

,

. Значения же относительных деформаций зависят от значений неизвестных

и

.
Проверка правильности решения уравнений заключается в следующем. Имея значения неизвестных

и

, по
формулам (4) находим значения относительных деформаций

,

. Затем по
формулам (5),
(6) определяем напряжения

,

, по
формулам (3) находим коэффициенты упругости

,

и по
формулам (2) - жесткости

,

,

.
Окончательно подставляем найденные значения жесткостей и неизвестных в
уравнения (1). Если уравнения удовлетворяются, то их решение правильно.
Результаты вычислений представлены в таблицах IV.1 и
IV.2 для бетона и арматуры соответственно. Из
Рис. IV.4 видно, что получены следующие значения неизвестных:

;

.
Определение параметров для проверки
правильности решения примера IV.Б.2.1
Бетон |
i |  , м |  , кНм2 |  , кНм |  , кН | |  , МПа | |  , кНм2 |  , кНм |  , кН |
| | | 4 | | | | | | 10 | |
1 | -0,27 | 31,493 | -116,64 | 432 | -0,002611 | -7,65 | 0,122 | 3,842 | -14,230 | 52,70 |
2 | -0,21 | 19,051 | -90,72 | 432 | -0,001912 | -7,65 | 0,167 | 3,182 | -15,150 | 72,14 |
3 | -0,15 | 9,720 | -64,80 | 432 | -0,001212 | -6,18 | 0,212 | 2,061 | -13,738 | 91,58 |
4 | -0,09 | 3,499 | -38,88 | 432 | -0,000512 | -2,61 | 0,212 | 0,742 | -8,242 | 91,58 |
5 | -0,03 | 0,389 | -12,96 | 432 | 0,000187 | 0 | 0 | 0 | 0 | 0 |
6 | 0,03 | 0,389 | 12,96 | 432 | 0,000887 | 0 | 0 | 0 | 0 | 0 |
7 | 0,09 | 3,499 | 38,88 | 432 | 0,001587 | 0 | 0 | 0 | 0 | 0 |
8 | 0,15 | 9,720 | 64,80 | 432 | 0,002286 | 0 | 0 | 0 | 0 | 0 |
9 | 0,21 | 19,051 | 90,72 | 432 | 0,002986 | 0 | 0 | 0 | 0 | 0 |
10 | 0,27 | 31,493 | 116,64 | 432 | 0,003686 | 0 | 0 | 0 | 0 | 0 |
Суммарные жесткости | 9,827 | -51,360 | 308,00 |
Арматура |
 , м |  , кНм2 |  , кНм |  , кН | |  , МПа | |  , кНм2 |  , кНм |  , кНм |
1 | 2 | 3 | 4 | | | 7 | 8 | 9 | 10 |
0,26 | 16,71 | 64,27 | 247,2 | 0,003569 | 350 | 0,490 | 8,188 | 31,493 | 121,128 |
Рассмотрим
Таблицу IV.1 для бетона. В
столбце 1 представлены номера участков i, в
столбце 2 - расстояния

, м, от центра тяжести каждого участка до оси x, проходящей через центр тяжести бетонного сечения. В
столбцах 3 -
5 приведены величины, входящие в первые слагаемые каждой из
формул (2) и необходимые для вычисления жесткостей по этим формулам. Столбец 6 содержит значения

- результаты вычислений по первой из
формул (4).
Значения напряжений

в
столбце (7) определены по
формулам (5). На участках с положительными значениями деформаций напряжения в бетоне равны нулю: считается, что бетон на растяжение не работает.
В
Таблице IV.2 для арматуры вычисления проводят совершенно аналогично.
Подставляя полученные значения жесткостей и неизвестных в правые части
уравнений (1), получим:

,

.
Таким образом, предельный момент равен действующему 200 кНм, а продольная сила в сечении равна нулю. Условия равновесия выполнены, и задача решена правильно.
Способ 2
Этот способ состоит в том, чтобы, используя значения напряжений, проверить два условия равновесия:
1) Сумма равнодействующих усилия в бетоне и арматуре должна быть равна нулю;
2) Должны быть равны между собой действующий и предельный моменты.
Найдем величину равнодействующей усилий в сжатой зоне бетона

. Для этого сложим напряжения в
столбце 7 Таблицы IV.1 для i = 7,..., 10 и умножим полученную сумму на площадь участка. Тогда

.
Найдем величину равнодействующей усилий в растянутой арматуре

. Для этого умножим напряжения (значение в
столбце 6 таблицы IV.2) на площадь сечения арматуры. Тогда

.
Поскольку

,
то первое условие равновесия выполнено.
Чтобы определить предельный момент

, воспринимаемый сечением, вычислим сумму моментов усилий на каждом из участков в сжатом бетоне относительно растянутой арматуры:

.
Действующий момент M = 200 кНм. Поскольку

, то второе условие равновесия выполнено. Задача решена правильно.
Результат. Максимальные расчетные относительные деформации бетона и арматуры, равные соответственно 0,0014 и 0,0017, меньше предельно допустимых относительных деформаций бетона и арматуры, равных соответственно 0,0035 и 0,0250. Требования
[1] выполнены.
Из расчета также получены следующие значения неизвестных:

,

. Для проверки правильности полученного решения воспользуемся Способом 2, изложенным при рассмотрении базового
примера IV.Б.2.1. Результаты вычислений представлены в таблицах IV.3 и
IV.4 для бетона и арматуры соответственно.
Определение параметров для проверки
правильности решения примера IV.Б.2.2
Бетон |
i |  , м | |  , МПа |
1 | 2 | 3 | 4 |
1 | -0,27 | -0,001411 | -7,20 |
2 | -0,21 | -0,001055 | -5,38 |
3 | -0,15 | -0,000698 | -3,56 |
4 | -0,09 | -0,000342 | -1,74 |
5 | -0,03 | 0,000014 | 0 |
6 | 0,03 | 0,000371 | 0 |
7 | 0,09 | 0,000727 | 0 |
8 | 0,15 | 0,001084 | 0 |
9 | 0,21 | 0,001440 | 0 |
10 | 0,27 | 0,001797 | 0 |
Арматура |
i |  , м | |  , МПа |
1 | 2 | 3 | 4 |
1 | -0,26 | -0,001351 | -270,4 |
2 | -0,10 | -0,000401 | -80,3 |
3 | 0,10 | 0,000787 | 152,3 |
4 | 0,26 | 0,001737 | 347,5 |
Проверим выполнение условий равновесия, указанных в
примере IV.В.2.1. Определим равнодействующие усилий в бетоне

и арматуре

:

;

.
Поскольку

,
то первое условие равновесия выполнено.
Для проверки второго условия определим предельный момент

, воспринимаемый сечением. С этой целью найдем моменты всех сил, воспринимаемых бетоном и арматурой относительно нижнего ряда арматуры:
Действующий момент M = 200 кНм. Поскольку

, то второе условие равновесия выполнено. Задача решена правильно.
Анализ напряженного состояния. Сравним напряженные состояния сечений в рассматриваемом и базовом примерах. Высоты сжатой зоны бетона (участки i = 1,..., 4) в обоих случаях примерно одинаковы. Однако напряжения и равнодействующие усилий в бетоне и арматуре в рассматриваемом примере существенно меньше. В частности, равнодействующие усилий в бетоне в рассматриваемом и базовом примере соответственно равны 321,8 кН и 433,6 кН. При этом плечо внутренней пары сил в рассматриваемом примере из-за наличия сжатой арматуры существенно увеличивается, что дает возможность воспринять действующий момент.
Результат. Не существует значений кривизны и относительной деформации, удовлетворяющих уравнениям равновесия. В
примере IV.Б.1.1 подобрана минимальная площадь сечения арматуры.
IV.Б.3. Элемент прямоугольного сечения без предварительного
напряжения арматуры, расчет по предельным усилиям,
подбор армирования
Условия и результаты расчетов
Номер примера | Исследуемый фактор | Условия расчетов | Результаты расчетов |
Количество и диаметры стержней группы | Площадь сечения арматуры, см2 |
1-й | 2-й |
| Пример базовый | Подбор растянутой арматуры, сравнение результатов расчетов по предельным усилиям и деформационной модели. Условия расчета те же, что и в примере IV.Б.1.1. | | | 12,36 |
| Бетон | Влияние класса бетона. Использован тяжелый бетон класса В100 (как в примере IV.Б.1.2). | | | 10,60 |
| Армирование | Подбор растянутой и сжатой арматуры. Подбирается арматура растянутая (3 стержня первой группы) и сжатая (3 стержня второй группы), a' = 40 мм - как в примере IV.Б.1.6. | | | 14,79 |
Пример IV.Б.3.1 (базовый)
Результат. При расчете по предельным усилиям получена та же самая арматура (

,

), что и в аналогичном
примере IV.Б.1.1 при расчете по деформационной модели.
Результат. Общая площадь сечения растянутой арматуры в базовом и рассматриваемом примерах составляет соответственно 12,36 см2

и 10,60 см2

. Как и при расчете по деформационной модели, увеличение класса бетона приводит к снижению площади сечения растянутой арматуры (см.
примеры IV.Б.1.1 и
IV.Б.1.2). В рассматриваемом примере полученная площадь сечения арматуры оказалась несколько меньшей, чем 10,95 см2

в аналогичном
примере IV.Б.1.2 при расчете по деформационной модели.
Результат. Полученные площади сечения растянутой и сжатой арматуры составляют соответственно 11,40 см2

и 3,39 см2

. Общая площадь сечения арматуры составляет 14,79 см2. Получены такие же результаты, как в аналогичном
примере IV.Б.1.6 при расчете по деформационной модели.
IV.Б.4. Элемент прямоугольного сечения без предварительного
напряжения арматуры, расчет по предельным усилиям,
проверка армирования
Условия и результаты расчетов
Номер примера | Исследуемый фактор | Условия расчетов | |
| Пример базовый | Проверка прочности нормального сечения изгибаемого элемента и "ручной" контроль. Условия такие же, как в примерах IV.Б.1.1, IV.Б.2.1. | Выполнены |
| Армирование | Проверка подбора минимальной площади сечения растянутой арматуры. Условия такие же, как в примере IV.Б.2.3. | Не выполнены |
Пример IV.Б.4.1 (базовый)
Результат. Согласно
формуле (8.3) [1] при расчете по предельным усилиям прочность сечения обеспечена, если действующий момент M не больше расчетного предельного

. В расчете по программе это условие выполнено:

.
"Ручной" контроль. Проверим значение

. Высота сжатой зоны, определенная по
формуле (8.5) [1], равна 0,189 м, и согласно
формуле (8.4) [1] 
. Таким образом, величины

полученные по программе и при "ручном" контроле, совпадают.
Результат. Согласно расчету высота сжатой зоны равна 191 мм, а действующий и предельный моменты равны соответственно 200 и 194,7 кНм. Требования
[1] не выполнены. В
примере IV.Б.4.1 подобрана минимальная площадь сечения арматуры.
IV.Б.5. Элемент таврового сечения без предварительного
напряжения арматуры, расчет по деформационной модели,
подбор армирования
Условия и результаты расчетов
Номер примера | Исследуемый фактор | Условия расчетов | Результаты расчетов |
Количество и диаметры стержней | Площадь сечения арматуры, см2 |
| Пример базовый | Подбор растянутой арматуры. Рассматривается тавровое сечение со сжатой полкой. Размеры сечения:  ;  ; b = 200; h = 600 мм. Бетон тяжелый класса В15,  , арматура класса А400, изгибающий момент M = 270 кНм. Используется двухлинейная диаграмма состояния бетона. Арматура состоит из четырех стержней одинакового диаметра, расположенных в два ряда на расстояниях 40 и 80 мм от нижней грани сечения, по два стержня в каждом ряду (Рис. IV.6). Требуется определить диаметр стержней растянутой арматуры. | | 24,63 |
| Армирование | Влияние заранее установленной сжатой арматуры. Установлена сжатая арматура класса А400, состоящая из 8 стержней диаметром 10 мм. Стержни расположены в полке в 2 ряда на расстояниях 40 и 80 мм от верхней грани, по 4 стержня в ряду (Рис. IV.6). | | 19,63 |
Рис. IV.6. Схема армирования сечения.
Арматура 1 - растянутая; 2 - сжатая
Пример IV.Б.5.1 (базовый)
Результат. Общая площадь сечения растянутой арматуры составляет

.
Результат. Как в
примере IV.Б.1.7, полученная площадь сечения растянутой арматуры (

,

) оказалась меньше, чем в базовом примере (

,

), однако общая площадь сечения арматуры (25,91 см2,

) возросла.
IV.Б.6. Элемент таврового сечения без предварительного
напряжения арматуры, расчет по деформационной модели,
проверка армирования
Условия и результаты расчетов
Номер примера | Исследуемый фактор | Условия расчетов | |
| Пример базовый | Проверка прочности нормального сечения изгибаемого элемента и "ручной" контроль. Рассматривается то же сечение, что и в примере IV.Б.5.1, с теми же характеристиками материалов. Растянутая арматура, подобранная в примере IV.Б.5.1, состоит из четырех стержней диаметром 28 мм,  . Требуется проверить прочность сечения. | Выполнены |
| Армирование | Проверка подбора минимальной площади сечения растянутой арматуры. Установлена растянутая арматура из четырех стержней диаметром 25 мм,  . | Не выполнены |
| Влияние сжатой арматуры. Так же, как в примере IV.Б.5.2, установлена сжатая арматура класса А400, состоящая из 8 стержней диаметром 10 мм (Рис. IV.6). | Выполнены |
Пример IV.Б.6.1 (базовый)
Результат. Максимальные расчетные относительные деформации бетона и арматуры, равные соответственно 0,0033 и 0,0015, меньше предельно допустимых относительных деформаций бетона и арматуры, равных соответственно 0,0035 и 0,0250. Требования
[1] выполнены.
"Ручной" контроль. Проверку правильности полученных результатов проведем Способом 2, изложенным в
примере IV.Б.2.1. Для расчета разбиваем сечение на 10 участков. Нумерация участков (1, 5, 10), расположение координатных осей и размеры сечения аналогичны представленным на
Рис. IV.5 и показаны на Рис. IV.7.
Рис. IV.7. Расчетная схема нормального сечения
Пример IV.Б.6.1 (размеры в мм)
Из расчета получены следующие значения неизвестных:

,

. Вычисления, аналогичные приведенным в
таблицах IV.3,
IV.4, представлены в таблицах IV.5,
IV.6 для бетона и арматуры соответственно. При рассмотрении таблиц необходимо учесть, что центр тяжести бетонного сечения расположен на расстоянии 340 мм от нижней грани, а значения

,

представляют собой расстояния от центра тяжести бетонного сечения до центров тяжести участков бетона и стержней арматуры.
Определение параметров для проверки
правильности решения примера IV.Б.6.1
Таблица IV.5
Бетон |
i |  , м | |  , МПа |
1 | 2 | 3 | 4 |
1 | -0,23 | -0,003253 | -7,65 |
2 | -0,17 | -0,002715 | -7,65 |
3 | -0,11 | -0,002176 | -7,65 |
4 | -0,05 | -0,001637 | -7,65 |
5 | 0,01 | -0,001097 | -5,60 |
6 | 0,07 | -0,000559 | -2,85 |
7 | 0,13 | -0,000020 | -0,10 |
8 | 0,19 | 0,000519 | 0 |
9 | 0,25 | 0,001058 | 0 |
10 | 0,31 | 0,001598 | 0 |
Арматура |
i |  , м | |  , МПа |
1 | 2 | 3 | 4 |
1 | 0,26 | 0,001148 | 229,7 |
2 | 0,30 | 0,000787 | 301,6 |
Равнодействующая усилий в сжатой зоне бетона:
Равнодействующая усилий в растянутой арматуре:

.
Поскольку

то первое условие равновесия выполнено.
Чтобы определить предельный момент

, воспринимаемый сечением, вычислим сумму моментов усилий на каждом из участков в сжатом бетоне и усилия в верхнем ряду растянутой арматуры относительно нижнего ряда растянутой арматуры:
Действующий момент M = 270 кНм. Поскольку

, то второе условие равновесия выполнено. Задача решена правильно.
Результат. В
примере IV.Б.5.1 была подобрана растянутая арматура с площадью поперечного сечения

. В рассматриваемом примере диаметр стержней растянутой арматуры уменьшен до 25 мм. В результате расчетов оказалось, что не существует значений кривизны и относительной деформации, удовлетворяющих уравнениям равновесия, т.е. требования
[1] не выполнены. Значит, в
примере IV.Б.5.1 действительно подобрана минимальная площадь сечения арматуры.
Результат. Максимальные расчетные относительные деформации бетона и арматуры, равные соответственно 0,0015 и 0,0013, меньше предельно допустимых относительных деформаций бетона и арматуры, равных соответственно 0,0035 и 0,0250. Требования
[1] выполнены. Значения неизвестных в уравнениях:

,

.
IV.Б.7. Элемент таврового сечения без предварительного
напряжения арматуры, расчет по предельным усилиям,
подбор армирования
Условия и результаты расчетов
Номер примера | Исследуемый фактор | Условия расчетов | Результаты расчетов |
Количество и диаметры стержней | Площадь сечения арматуры, см2 |
| Пример базовый | Подбор растянутой арматуры, сравнение результатов расчетов по предельным усилиям и деформационной модели. Условия расчета те же, что и в примере IV.Б.5.1. | | 19,63 |
| Армирование | Влияние заранее установленной сжатой арматуры, сравнение результатов расчетов по предельным усилиям и деформационной модели. Так же, как в примере IV.Б.5.2, установлена сжатая арматура класса А400, состоящая из 8 стержней диаметром 10 мм (Рис. IV.6). | | 19,63 |
Пример IV.Б.7.1 (базовый)
Результат. В результате расчета по предельным усилиям получена растянутая арматура с площадью поперечного сечения

. Это меньше, чем в аналогичном
примере IV.Б.5.1 при расчете по деформационной модели, где получено

.
Результат. В аналогичном
примере IV.Б.5.2 при расчете по деформационной модели получен тот же результат (

,

). Не изменилось армирование и по сравнению с базовым
примером IV.Б.7.1.
IV.Б.8. Элемент таврового сечения без предварительного
напряжения арматуры, расчет по предельным усилиям,
проверка армирования
Условия и результаты расчетов
Номер примера | Исследуемый фактор | Условия расчетов | |
| Пример базовый | Проверка прочности и "ручной" контроль. Рассматривается то же сечение, что и в примерах IV.Б.5.1, IV.Б.6.1, IV.Б.7.1 с теми же характеристиками материалов. Растянутая арматура, подобранная в примере IV.Б.7.1, состоит из четырех стержней диаметром 25 мм,  . Требуется проверить прочность сечения. | Выполнены |
| Армирование | | Выполнены |
Пример IV.Б.8.1 (базовый)
Результат. Согласно
формуле (8.3) [1] при расчете по предельным усилиям прочность сечения обеспечена, если действующий момент M не больше расчетного предельного

. В расчете по программе это условие выполнено:

.
"Ручной" контроль. Проверим значение

. Поскольку не соблюдается
условие (8.6) [1], граница сжатой зоны бетона проходит в ребре. Высота сжатой зоны, определенная по
формуле (8.7) [1], равна 0,329 м, и согласно
формуле (8.7) [1] 
. Таким образом, величины

, полученные по программе и при "ручном" контроле, совпадают. Напряженное состояние сечения представлено на Рис. IV.8.
Результат. Из расчета получено, что высота сжатой зоны бетона составляет 0,185 м. Напряжения в стержнях растянутой и сжатой арматуры равны соответственно 350 и -350 МПа. Действующий и полученный из расчета предельный моменты равны соответственно 270 и 320,3 кНм. Поскольку 270 < 320,3, требования
[1] выполнены. Проверку решения можно выполнить так же, как в
примерах IV.Б.4.1,
IV.Б.8.1.
Сравнивая напряженные состояния сечений в рассматриваемом и базовом примерах, можно отметить следующее. В рассматриваемом примере из-за наличия сжатой арматуры высота сжатой зоны бетона (0,185 м) оказалась существенно меньше, чем в базовом примере (0,329 м). Это привело к увеличению плеча внутренней пары сил и величины предельного момента, воспринимаемого сечением (320,3 кНм по сравнению с 277,1 кНм в базовом примере).
IV.Б.9. Элемент прямоугольного сечения с предварительным
напряжением арматуры, расчет по деформационной модели,
подбор армирования
Условия и результаты расчетов
Номер примера | Исследуемый фактор | Условия расчетов | Результаты расчетов |
Количество и диаметры стержней | Площадь сечения арматуры, см2 |
| Пример базовый | Подбор растянутой предварительно напряженной арматуры. Рассматривается прямоугольное сечение со следующими параметрами: b = 300 мм; h = 700 мм; a = 50 мм; изгибающий момент M = 600 кНм; бетон тяжелый класса В25;  . Используется двухлинейная диаграмма состояния бетона. Растянутая предварительно напрягаемая арматура класса А800 состоит из трех стержней одинакового диаметра. Предварительное напряжение с учетом всех потерь и коэффициента  составляет 550 МПа. Требуется определить диаметры стержней растянутой арматуры. | | 24,13 |
| Бетон | Влияние класса бетона. Использован тяжелый бетон класса В100. | | 14,73 |
| Армирование | Влияние заранее установленной ненапрягаемой растянутой арматуры. Установлена растянутая ненапрягаемая арматура  А400 на расстоянии 80 мм от нижней грани сечения. | | 24,13 |
| Влияние заранее установленной ненапрягаемой сжатой арматуры. Установлена сжатая ненапрягаемая арматура  А400 на расстоянии 40 мм от верхней грани сечения. | | 18,47 |
| Подбор ненапрягаемой сжатой арматуры при установленной растянутой напрягаемой арматуре. Изгибающий момент M = 700 кНм. Установлена растянутая напрягаемая арматура  А800 на расстоянии 40 мм от нижней грани сечения. Требуется подобрать одинаковые диаметры трех стержней ненапрягаемой сжатой арматуры класса А400, расположенных на расстоянии 40 мм от верхней грани сечения. | | 14,73 |
Пример IV.Б.9.1 (базовый)
Результат. Общая площадь сечения растянутой арматуры составляет 24,13 см2

.
Результат. Общая площадь сечения растянутой арматуры в базовом и рассматриваемом примерах составляет соответственно 24,13 см2

и 14,73 см2

. Увеличение класса бетона приводит к снижению площади сечения растянутой арматуры из-за уменьшения высоты сжатой зоны бетона и увеличения вследствие этого плеча внутренней пары.
Результат. Заранее установленная растянутая арматура

А400 не повлияла на результаты: в рассматриваемом и базовом примерах подобрана арматура

с площадью поперечного сечения 24,13 см2.
Результат. Заранее установленная сжатая арматура

А400 повлияла на результаты: в рассматриваемом примере площадь сечения растянутой арматуры 18,47 см2

оказалась ниже, чем в базовом 24,13 см2

.
Результат. При установленной растянутой предварительно напряженной арматуре с площадью поперечного сечения 24,13 см2

потребовалась сжатая арматура с площадью поперечного сечения 14,73 см2 (

А400).
IV.Б.10. Элемент двутаврового (произвольного) сечения
с предварительным напряжением арматуры, расчет
по деформационной модели, проверка армирования
Условия и результаты расчетов
Номер примера | Исследуемый фактор | Условия расчетов | |
| Пример базовый | Проверка прочности сложного сечения с напрягаемой и ненапрягаемой арматурой при наличии двух загружений. Рассматривается нормальное сечение двутавровой предварительно напряженной балки со следующими размерами: h = 890; b = 80;  ; (Рис. IV.9). У верхней и нижней полок располагаются вуты в виде прямоугольных треугольников с катетами 100 мм. Чтобы учесть вуты, сечение в расчете рассматривается как произвольное. Бетон тяжелый класса В45. Используется двухлинейная диаграмма состояния бетона. Рассматриваются два загружения моментами M = 649 и M = 703 кНм соответственно при продолжительном и непродолжительном действии нагрузки. Балка армирована 8 канатами К1400 диаметром 15 мм. Канаты расположены в 2 ряда по 4 стержня в каждом на расстояниях 50 и 95 мм от нижней грани сечения. Величина натяжения с учетом всех потерь и коэффициента  составляет 870 МПа. Сжатая арматура класса А400 состоит из 2 стержней диаметром 16 мм, расположенных на расстоянии 45 мм от верхней грани. Требуется проверить прочность сечения. | Выполнены |
| Бетон | Влияние класса бетона. Принят класс бетона В100. | Выполнены |

Рис. IV.9. Геометрические размеры и армирование сечения.
Пример IV.Б.10.1
Пример IV.Б.10.1 (базовый)
Результат. На Рис. IV.10 представлены результаты для загружения при непродолжительном действии нагрузки. Получены соответственно следующие максимальные относительные деформации бетона, напрягаемой и ненапрягаемой арматуры: 0,0016, 0,0036, -0,0014. Они не больше предельно допустимых относительных деформаций бетона напрягаемой и ненапрягаемой арматуры, равных соответственно 0,0035, 0,015, 0,0250.
Рис. IV.10. Результаты расчетов для загружения
при непродолжительном действии нагрузки. Пример IV.Б.10.1
При продолжительном действии нагрузок максимальные расчетные относительные деформации бетона, напрягаемой и ненапрягаемой арматуры по абсолютной величине меньше приведенных на
Рис. IV.10. Требования
[1] выполнены.
Результат. В рассматриваемом и базовом примерах принят соответственно класс бетона В45 и В100. В рассматриваемом примере при непродолжительном действии нагрузки относительные деформации бетона, напрягаемой и ненапрягаемой арматуры равны соответственно 0,0009, 0,0032, -0,0008, т.е. они уменьшились (по абсолютной величине) по сравнению с аналогичными значениями 0,0016, 0,0036, -0,0014 в базовом примере
(Рис. IV.10). Аналогичный результат получен и при продолжительном действии нагрузки. Требования
[1] выполнены.
IV.В.1. Элемент прямоугольного сечения без предварительного
напряжения арматуры, расчет по деформационной модели,
подбор армирования
Условия и результаты расчетов
Номер примера | Исследуемый фактор | Условия расчетов | Результаты расчетов |
Количество и диаметры стержней группы | Площадь сечения арматуры, см2 |
1-й | 2-й |
| Пример базовый | Подбор арматуры. Рассматривается прямоугольное сечение (Рис. IV.11) со следующими параметрами: b = 340 мм; h = 1195 мм; бетон легкий класса В3,5 марки по средней плотности D1100;  , арматура класса А400. Используется двухлинейная диаграмма состояния бетона при значениях относительных деформаций  ,  ,  . Изгибающие моменты  и  действуют в плоскостях, параллельных осям x и y соответственно. Арматура состоит из восьми стержней, принадлежащих двум группам (пояснения см. в примере IV.Б.1.1). В первую и вторую группы входят соответственно стержни с номерами 1, 2, 7, 8 и 3, 4, 5, 6 (Рис. IV.11). Стержни расположены в 4 ряда по высоте по 2 стержня в каждом ряду на расстояниях 80, 120, 640 и 1115 мм от нижней грани сечения. Расстояния до боковых граней составляют 40 мм. Требуется определить диаметры стержней. | | | 10,05 |
| Бетон | Влияние класса бетона. Использован легкий бетон класса В12,5 марки по средней плотности D1100 с двухлинейной диаграммой состояния бетона при значениях относительных деформаций, указанных в базовом примере. | | | 9,05 |
| Влияние диаграммы состояния бетона. Использована трехлинейная диаграмма состояния бетона при относительных деформациях  ,  . | | | 9,05 |
| Армирование | Влияние заранее установленной арматуры. Стержни 3, 4, 5, 6 (Рис. IV.11) считаются установленными и имеют диаметр 8 мм. Требуется подобрать диаметр стержней 1, 2, 7, 8. | | - | 8,04 |

Рис. IV.11. Геометрические размеры и армирование сечения.
Пример IV.В.1.1
Пример IV.В.1.1 (базовый)
Результат. Общая площадь сечения арматуры составляет 10,05 см2

.
Результат. Общая площадь сечения арматуры в базовом и рассматриваемом примерах составляет соответственно 10,05 см2

и 9,05 см2

. Увеличение класса бетона приводит к снижению площади сечения арматуры.
Результат. В рассматриваемом примере при трехлинейной диаграмме площадь сечения подобранной арматуры 9,05 см2

оказалась меньше, чем 10,05 см2

в базовом примере при двухлинейной диаграмме.
Результат. В базовом
примере IV.В.1.1 была определена следующая арматура: стержни 1, 2, 7, 8 и 3, 4, 5, 6
(Рис. IV.11) должны иметь диаметры соответственно 16 и 8 мм. В рассматриваемом примере стержни 3, 4, 5, 6 считались установленными заранее и имели диаметр 8 мм, а определялся диаметр стержней 1, 2, 7, 8. Этот диаметр оказался равным 16 мм, т.е. тем же, что и в базовом примере. Расчет выполнен правильно.
IV.В.2. Элемент прямоугольного сечения без предварительного
напряжения арматуры, расчет по деформационной модели,
проверка армирования
Условия и результаты расчетов
Номер примера | Исследуемый фактор | Условия расчетов | |
| Пример базовый | Проверка прочности и "ручной" контроль. Рассматривается прямоугольное сечение с теми же параметрами, характеристиками материалов и усилиями, что и в примере IV.В.1.1. Арматура состоит из восьми стержней (Рис. IV.11). Стержни с номерами 1, 2, 7, 8 и 3, 4, 5, 6 имеют диаметры соответственно 16 и 8 мм. Требуется проверить прочность сечения. | Выполнены |
| Армирование | Проверка подбора минимальной площади сечения арматуры. Стержни с номерами 3, 4, 5, 6 имеют диаметры 6 мм. Требуется проверить прочность сечения. | Не выполнены |
Пример IV.В.2.1 (базовый)
Результат. Полученные результаты показаны на Рис. IV.12. Максимальные расчетные относительные деформации бетона и арматуры, равные соответственно 0,0024 и 0,0038, меньше предельно допустимых относительных деформаций бетона и арматуры, равных соответственно 0,0030 и 0,0250. Требования
[1] выполнены.
Рис. IV.12. Результаты решения. Пример IV.В.2.1
Разбиваем сечение на 100 участков,. Площадь каждого участка

. Нумерация участков (1, 2, 10,..., 91, 100), расположение координатных осей и размеры сечения показаны на Рис. IV.13.
Рис. IV.13. Расчетная схема нормального сечения.
Пример IV.В.2.1 (размеры в мм)
Уравнения равновесия для рассматриваемого случая имеют вид:

(7)
В левой части третьего
уравнения (7) продольная сила N = 0 (для косого изгиба).
Эти уравнения являются частным случаем для косого изгиба общих уравнений равновесия, представленных в
[1] формулами (8.39) -
(8.41). Неизвестными в уравнениях являются кривизны

,

и относительная деформация центра тяжести бетонного сечения

. Коэффициенты

,

,

,

,

,

представляют собой жесткости, определяемые по формулам:

(8)
Здесь

- расстояние от центра тяжести i-го участка бетонного сечения до оси y;

,

- расстояния от j-го арматурного стержня до осей y и x соответственно. Остальные обозначения такие же, как в
формулах (2). Модули упругости бетона

и арматуры

соответственно равны 6100 и 200000 МПа. Значения

,

определяют по формулам:

(9)

.
Проверка правильности решения уравнений заключается в следующем. Имея значения неизвестных

,

и

, по
формулам (9) находим значения относительных деформаций

,

. Затем по
формулам (5),
(6) определяем напряжения

,

по
формулам (3) находим коэффициенты упругости

,

и по
формулам (8) - жесткости

,

,

,

,

,

.
Окончательно подставляем найденные значения жесткостей и неизвестных в
уравнения (7). Если уравнения удовлетворяются, то решение правильно.
Результаты вычислений представлены в таблицах IV.7 и
IV.8 для бетона и арматуры соответственно. Из
Рис. IV.12 видно, что получены следующие значения неизвестных:

;

;

.
Определение параметров для проверки
Бетон |
i |  , м |  , м |  , кНм2 |  , кНм2 |  , кНм2 |  , кНм |  , кНм |  , кН |
| | | | 5 | 6 | 7 | 8 | |
1 | 0,153 | -0,538 | 0,585 | 7,232 | -2,058 | 3,826 | -13,449 | 25,01 |
10 | -0,153 | -0,538 | 0,585 | 7,232 | 2,058 | -3,826 | -13,449 | 25,01 |
11 | 0,153 | -0,418 | 0,585 | 4,375 | -1,600 | 3,826 | -10,460 | 25,01 |
20 | -0,153 | -0,418 | 0,585 | 4,375 | 1,600 | -3,826 | -10,460 | 25,01 |
21 | 0,153 | -0,299 | 0,585 | 2,232 | -1,143 | 3,826 | -7,417 | 25,010 |
30 | -0,153 | -0,299 | 0,585 | 2,232 | 1,143 | -3,826 | -7,417 | 25,01 |
31 | 0,153 | -0,179 | 0,585 | 0,804 | -0,686 | 3,826 | -4,483 | 25,01 |
40 | -0,153 | -0,179 | 0,585 | 0,804 | 0,686 | -3,826 | -4,483 | 25,01 |
41 | 0,153 | -0,060 | 0,585 | 0,090 | -0,229 | 3,826 | -1,494 | 25,01 |
50 | -0,153 | -0,060 | 0,585 | 0,090 | 0,229 | -3,826 | -1,494 | 25,01 |
51 | 0,153 | 0,060 | 0,585 | 0,090 | 0,229 | 3,826 | 1,494 | 25,010 |
60 | -0,153 | 0,060 | 0,585 | 0,090 | -0,229 | -3,826 | 1,494 | 25,01 |
61 | 0,153 | 0,179 | 0,585 | 0,804 | 0,686 | 3,826 | 4,483 | 25,010 |
70 | -0,153 | 0,179 | 0,585 | 0,804 | -0,686 | -3,826 | 4,483 | 25,01 |
71 | 0,153 | 0,299 | 0,585 | 2,232 | 1,143 | 3,826 | 7,471 | 25,01 |
80 | -0,153 | 0,299 | 0,585 | 2,232 | -1,143 | -3,826 | 7,471 | 25,01 |
81 | 0,153 | 0,418 | 0,585 | 4,375 | 1,600 | 3,826 | 10,460 | 25,01 |
90 | -0,153 | 0,418 | 0,585 | 4,375 | -1,600 | -3,826 | 10,460 | 25,01 |
91 | 0,153 | 0,538 | 0,585 | 7,232 | 2,058 | 3,826 | 13,449 | 25,010 |
100 | -0,153 | 0,538 | 0,585 | 7,232 | -2,058 | -3,826 | 13,449 | 25,01 |
Таблица IV.7
(продолжение)
Бетон (продолжение) |
i | |  , МПа | |  , кНм2 |  , кНм2 |  , кНм2 |  , кНм |  , кНм |  , кНм |
10 | | | | | 15 | 16 | 17 | 18 | |
1 | 0,001569 | 0 | 0 | 0 | 0 | 0 | 0 | 0 | 0 |
10 | -0,002447 | -1,89 | 0,126 | 0,074 | 0,915 | 0,260 | -0,482 | -1,694 | 3,151 |
11 | 0,001860 | 0 | 0 | 0 | 0 | 0 | 0 | 0 | 0 |
20 | -0,002156 | -1,85 | 0,141 | 0,082 | 0,616 | 0,225 | -0,539 | -1,473 | 3,526 |
21 | 0,002151 | 0 | 0 | 0 | 0 | 0 | 0 | 0 | 0 |
30 | -0,001866 | -1,60 | 0,141 | 0,082 | 0,314 | 0,161 | -0,539 | -1,052 | |
31 | 0,002441 | 0 | 0 | 0 | 0 | 0 | 0 | 0 | 0 |
40 | -0,001575 | -1,35 | 0,141 | 0,082 | 0,113 | 0,097 | -0,539 | -0,631 | 3,526 |
41 | 0,002732 | 0 | 0 | 0 | 0 | 0 | 0 | 0 | 0 |
50 | -0,001284 | -1,10 | 0,141 | 0,082 | 0,013 | 0,032 | -0,539 | -0,210 | 3,526 |
51 | 0,003024 | 0 | 0 | 0 | 0 | 0 | 0 | 0 | 0 |
60 | -0,000993 | -0,85 | 0,141 | 0,082 | 0,013 | -0,032 | | 0,210 | 3,526 |
61 | 0,003315 | 0 | 0 | 0 | 0 | 0 | 0 | 0 | 0 |
70 | -0,000703 | -0,60 | 0,141 | 0,082 | 0,113 | -0,097 | -0,539 | 0,631 | 3,526 |
71 | 0,003606 | 0 | 0 | 0 | 0 | 0 | 0 | 0 | 0 |
80 | -0,000413 | -0,35 | 0,141 | 0,082 | 0,314 | -0,161 | -0,539 | 1,052 | 3,526 |
81 | 0,003896 | 0 | 0 | 0 | 0 | 0 | 0 | 0 | 0 |
90 | -0,000120 | -0,103 | 0,141 | 0,082 | 0,616 | -0,225 | -0,539 | 1,473 | 3,526 |
91 | 0,004187 | 0 | 0 | 0 | 0 | 0 | 0 | 0 | 0 |
100 | 0,0001705 | 0 | 0 | 0 | 0 | 0 | 0 | 0 | 0 |
Суммарные жесткости | 1,276 | 12,346 | 1,516 | -10,364 | -22,537 | 105,311 |
Арматура |
j |  , м |  , м |  , м2 |  , кНм2 |  , кНм2 |  , кНм2 |  , кНм |  , кНм |  , кН |
1 | 2 | 3 | | 5 | 6 | 7 | 8 | 9 | 10 |
1 | 0,13 | 0,518 | 201,1 | 0,680 | 10,771 | 2,706 | 5,229 | 20,814 | 40,220 |
2 | -0,13 | 0,518 | 201,1 | 0,680 | 10,771 | -2,706 | -5,229 | 20,814 | 40,220 |
3 | 0,13 | 0,478 | 50,3 | 0,170 | 2,294 | 0,624 | 1,308 | 4,804 | 10,060 |
4 | -0,13 | 0,478 | 50,3 | 0,170 | 2,294 | -0,624 | -1,308 | 4,804 | 10,060 |
5 | 0,13 | -0,043 | 50,3 | 0,170 | 2,294 | -0,056 | 1,308 | -0,428 | 10,060 |
6 | -0,13 | -0,043 | 50,3 | 0,170 | 2,294 | 0,056 | -1,308 | -0,428 | 10,060 |
7 | 0,13 | -0,518 | 201,1 | 0,680 | 10,771 | -2,706 | 5,229 | -20,814 | 40,220 |
8 | -0,13 | -0,518 | 201,1 | 0,680 | 10,771 | 2,706 | -5,229 | -20,814 | 40,220 |
11 | 12 | 13 | 14 | 15 | 16 | 17 | 18 | 19 | 20 |
1 | 0,003836 | 350 | 0,456 | 0,310 | 4,913 | 1,234 | 2,385 | 9,495 | 18,347 |
2 | 0,000423 | 84,62 | 1 | 0,680 | 10,771 | -2,706 | -5,229 | 20,814 | 40,220 |
3 | 0,003739 | 350 | 0,468 | 0,080 | 1,074 | 0,292 | 0,612 | 2,248 | 4,709 |
4 | 0,000326 | 65,15 | 1 | 0,170 | 2,294 | -0,624 | -1,308 | 4,804 | 10,060 |
5 | 0,002473 | 350 | 0,708 | 0,120 | 0,013 | -0,039 | 0,925 | -0,302 | 7,119 |
6 | -0,000940 | -188,04 | 1 | 0,170 | 0,018 | 0,056 | -1,308 | -0,428 | 10,060 |
7 | 0,001316 | 263,31 | 1 | 0,680 | 10,771 | -2,706 | 5,229 | -20,814 | 40,220 |
8 | -0,002096 | -350 | 0,835 | 0,567 | 8,991 | 2,258 | -4,364 | -17,373 | 33,584 |
Суммарные жесткости | 2,777 | 38,745 | -2,235 | -3,058 | -1,556 | 164,859 |
Рассмотрим
Таблицу IV.7 для бетона. В
столбце 1 представлены номера участков i в соответствии с
Рис. IV.13. Для сокращения
таблицы в нее внесены только участки, ближайшие к боковым граням сечения, хотя, конечно, вычисления выполнены для всех участков.
Значения

,

в
столбцах 2,
3 представляют собой расстояния, м, от центра тяжести каждого участка до осей соответственно y, x, проходящих через центр тяжести бетонного сечения. В
столбцах 4 -
9 приведены величины, входящие в первые слагаемые каждой из
формул (8) и необходимые для вычисления жесткостей по этим формулам.
Столбец 11 содержит значения

- результаты вычислений по первой из
формул (9).
Значения напряжений

в
столбце (12) определены по
формулам (5). На участках с положительными значениями деформаций напряжения в бетоне равны нулю, поскольку бетон на растяжение не работает.
В
Таблице IV.8 для арматуры вычисления проводят совершенно аналогично. В
столбце (4) этой
таблицы представлены площади поперечного сечения арматурных стержней. Номера стержней j соответствуют номерам на
Рис. IV.11.
Подставляя полученные значения жесткостей и неизвестных в правые части
уравнений (7), получим:
Таким образом, предельные моменты, воспринимаемые сечением, примерно равны действующим моментам

,

, а продольная сила равна нулю. Условия равновесия выполнены. Задача решена правильно.
Результат. Не существует значений кривизны и относительной деформации, удовлетворяющих уравнениям равновесия, т.е. требования
[1] не выполнены. В
примере IV.В.1.1 подобрана минимальная площадь сечения арматуры.
IV.В.3. Элемент таврового сечения с предварительным
напряжением арматуры, расчет по деформационной модели,
подбор армирования
Условия и результаты расчетов
Номер примера | Исследуемый фактор | Условия расчетов | Результаты расчетов |
Количество и диаметры стержней | Площадь сечения арматуры, см2 |
| Пример базовый | Подбор предварительно напряженной арматуры. Рассматривается тавровое сечение (Рис. IV.14) с размерами:  ;  ; b = 110; h = 300 мм. Бетон тяжелый класса В25,  , напрягаемая арматура класса А600, предварительное напряжение арматуры с учетом всех потерь и коэффициента  равно 456 МПа. Изгибающие моменты в плоскостях, параллельных осям x и y:  ,  . Используется трехлинейная диаграмма состояния бетона. Напрягаемая арматура состоит из одного стержня, расположенного в середине ребра на расстоянии 30 мм от нижней грани сечения. Ненапрягаемая установленная арматура состоит из двух стержней диаметром 12 мм А400, расположенных на расстоянии 30 мм от верхней и боковых граней сечения (Рис. IV.14). Требуется определить диаметр стержня напрягаемой арматуры. | | 2,54 |
| Бетон | Влияние класса бетона. Использован тяжелый бетон класса В90. | | 2,01 |
| Армирование | Подбор ненапрягаемой арматуры при установленной напрягаемой арматуре. В сечении установлена преднапрягаемая арматура из одного стержня диаметром 18 мм. Требуется подобрать диаметр двух стержней ненапрягаемой арматуры, установленных у верхней грани сечения. | | 2,26 |
| Влияние величины диаметра установленной ненапрягаемой арматуры. У верхней грани сечения установлены 2 стержня диаметром 16 мм. | | 2,01 |

Рис. IV.14. Геометрические размеры и армирование сечения.
Пример IV.В.3.1
Пример IV.В.3.1 (базовый)
Результат. Подобран диаметр стержня напрягаемой арматуры 18 мм (площадь сечения 2,54 см2).
Результат. Диаметр стержня напрягаемой арматуры в базовом и рассматриваемом примерах равен соответственно 18 и 16 мм. Увеличение класса бетона приводит к уменьшению диаметра арматурного стержня.
Результат. При правильном решении задачи диаметр ненапрягаемой арматуры должен быть не больше принятого в базовом примере, т.е. 12 мм. Диаметр, определенный в результате расчета, равен 12 мм.
Результат. Диаметр стержня напрягаемой арматуры уменьшился и стал равным 16 мм, вместо 18 мм в базовом примере.
IV.В.4. Элемент таврового сечения с предварительным
напряжением арматуры, расчет по деформационной модели,
проверка армирования
Условия и результаты расчетов
Номер примера | Исследуемый фактор | Условия расчетов | |
| Пример базовый | Проверка прочности сечения с напрягаемой и ненапрягаемой арматурой. Рассматривается нормальное сечение с теми же геометрическими размерами, характеристиками материалов и расположением арматурных стержней, что и в примере IV.В.3.1. В сечении установлен 1 стержень напрягаемой арматуры диаметром 18 мм и 2 стержня ненапрягаемой арматуры диаметром 12 мм. Требуется проверить прочность сечения. | Выполнены |
| Армирование | Проверка подбора минимальной площади сечения напрягаемой арматуры. Диаметр стержня напрягаемой арматуры равен 16 мм. | Не выполнены |
| | Проверка подбора минимальной площади сечения ненапрягаемой арматуры. Диаметр двух стержней ненапрягаемой арматуры равен 10 мм. | Не выполнены |
Пример IV.В.4.1 (базовый)
Результат. Как видно из Рис. IV.15, максимальные относительные деформации бетона, напрягаемой и ненапрягаемой арматуры равны соответственно 0,0028, 0,0021 и 0,0011, что меньше предельно допустимых деформаций, равных соответственно 0,0035, 0,015 и 0,025. Требования
[1] выполнены.
Примеры IV.В.4.2, IV.В.4.3
Результат. Не существует значений кривизны и относительной деформации, удовлетворяющих уравнениям равновесия, т.е. требования
[1] не выполнены. В
примерах IV.В.3.1,
IV.В.3.3 подобраны минимальные диаметры стержней соответственно напрягаемой и ненапрягаемой арматуры.
IV.Г. Внецентренное сжатие
В
п. 8.1.14 [1] расчет по предельным усилиям при внецентренном сжатии, выполняемый в основном "вручную", предусмотрен только для элементов прямоугольного сечения. При этом согласно
п. 8.1.7 [1] необходимо учитывать случайный эксцентриситет как в плоскости, так и из плоскости изгиба. Таким образом, необходимо выполнять два расчета.
Деформационная модель позволяет рассчитать элемент любой формы сечения, учитывая оба эксцентриситета. В этом случае на практике рекомендуется выполнять один расчет на косое внецентренное сжатие. Расчет на одноосное внецентренное сжатие как частный случай расчета на косое внецентренное сжатие рекомендуется выполнять только для круглых и кольцевых сечений при одинаковых расчетных длинах и условиях закрепления во всех направлениях. Тогда вследствие круговой симметрии вместо двух моментов

и

рассматривают один момент

.
Расчет по предельным усилиям можно также выполнять на косое внецентренное сжатие с учетом двух эксцентриситетов. Однако провести необходимые вычисления "вручную" в этом случае затруднительно.
Поэтому в настоящем разделе примеры расчета по деформационной модели приведены для круглых и кольцевых сечений. По предельным усилиям рассчитаны прямоугольные сечения.
IV.Г.1. Элемент круглого сечения без предварительного
напряжения арматуры, расчет по деформационной модели,
подбор армирования
Условия и результаты расчетов
Номер примера | Исследуемый фактор | Условия расчетов | Результаты расчетов |
Количество и диаметры стержней | Площадь сечения арматуры, см2 |
| Пример базовый | Подбор диаметров стержней арматуры, расположенных на окружности заданного диаметра. Рассматривается круглое сечение диаметром 400 мм. Бетон тяжелый класса В25,  , арматура класса А400. Продольные силы и изгибающие моменты: от длительных нагрузок  ,  ; от кратковременных нагрузок N = 600 кН, M = 140 кНм. Усилия определены расчетом по недеформированной схеме. Расчетная длина элемента и расстояние между его сечениями, закрепленными от смещения, составляет 4 м. Конструкция статически неопределима. Используется двухлинейная диаграмма состояния бетона. Арматура состоит из шести стержней одинакового диаметра, расположенных на окружности диаметром 330 мм (Рис. IV.16). Требуется определить диаметр стержней арматуры. | | 29,45 |
| Бетон | Влияние класса бетона. Использован тяжелый бетон класса В100. | | 15,27 |
| Влияние диаграммы состояния бетона. Использована трехлинейная диаграмма состояния бетона. | | 29,45 |
| Продольный изгиб | Влияние расчетной длины. Расчетная длина элемента принята равной 6 м. | | 36,85 |
| Влияние расчета по деформированной схеме. Считается, что усилия определены расчетом по деформированной схеме. | | 22,81 |
| Армирование | Подбор диаметров стержней, располагающихся на двух окружностях. Арматура располагается на двух окружностях с диаметрами 330 и 200 мм, по 6 стержней на каждой окружности. | | 37,70 |
| Влияние заранее установленной арматуры. На окружности диаметром 200 мм заранее установлены 6 стержней диаметром 20 мм. | | 15,27 |
| Усилия | Подбор арматуры в условиях, близких к центральному сжатию. Продольные силы и изгибающие моменты: от постоянных и длительных нагрузок  ,  : от кратковременных нагрузок N = 600 кН, M = 0 кНм. | | 6,79 |

Рис. IV.16. Расположение арматуры в сечении.
(1, 2 - окружности расположения арматурных стержней,
Пример IV.Г.1.1 (базовый)
Результат. Общая площадь сечения арматуры составляет 29,45 см2

.
Результат. Общая площадь сечения арматуры в базовом и рассматриваемом примерах составляет соответственно 29,45

и 15,27

см2. Увеличение класса бетона приводит к снижению площади сечения арматуры.
Результат. Как и в базовом примере, площадь сечения арматуры составляет 29,45 см2

. Изменение вида диаграммы состояния бетона не повлияло на результат.
Результат. При увеличении расчетной длины возрастает влияние продольного изгиба, что ведет к увеличению армирования - 36,85 см2

в рассматриваемом примере, по сравнению с 29,45 см2

в базовом примере. В общем случае при увеличении расчетной длины армирование не может уменьшиться.
Результат. Если усилия определены расчетом по деформированной схеме, то продольный изгиб не влияет на армирование. Поэтому в рассматриваемом примере получена меньшая площадь сечения арматуры 22,81 см2

, по сравнению с базовым примером 29,45 см2

.
Результат. В базовом примере получено армирование

(29,45 см2). В рассматриваемом примере диаметр стержней уменьшился, но площадь сечения арматуры возросла

(37,70 см2).
Результат. Подобрано армирование

(15,27 см2).
Результат. Площадь сечения арматуры 6,79 см2

существенно уменьшается, по сравнению с полученной в базовом примере 29,45 см2

.
IV.Г.2. Элемент круглого сечения без предварительного
напряжения арматуры, расчет по деформационной модели,
проверка армирования
Условия и результаты расчетов
Номер примера | Исследуемый фактор | Условия расчетов | |
| Пример базовый | Проверка прочности внецентренно сжатого элемента круглого сечения. Рассматривается элемент круглого сечения с теми же параметрами, характеристиками материалов и усилиями, что и в примере IV.Г.1.1. Арматура, подобранная в этом примере, располагается на окружности диаметром 330 мм и состоит из 6 стержней диаметром 25 мм. Требуется проверить прочность сечения. | Выполнены |
| Армирование | Проверка подбора минимальной площади сечения арматуры. Арматура на окружности диаметром 330 мм состоит из 6 стержней диаметром 22 мм. | Не выполнены |
Пример IV.Г.2.1 (базовый)
Результат. Максимальные расчетные относительные деформации бетона и арматуры, равные соответственно 0,0024 и 0,0023, меньше предельно допустимых относительных деформаций бетона и арматуры, равных соответственно 0,0035 и 0,0250. Требования
[1] выполнены. Значения неизвестных в уравнениях равновесия:

;

.
Результат. Не существует значений кривизны и относительной деформации, удовлетворяющих уравнениям равновесия. Требования
[1] не выполнены. В
примере IV.Г.1.1 подобрана минимальная площадь сечения арматуры.
IV.Г.3. Элемент кольцевого сечения с предварительным
напряжением арматуры, расчет по деформационной модели,
подбор армирования
Условия и результаты расчетов
Номер примера | Исследуемый фактор | Условия расчетов | Результаты расчетов |
Количество и диаметры стержней | Площадь сечения арматуры, см2 |
| Пример базовый | Подбор напрягаемой арматуры. Рассматривается кольцевое сечение; внешний и внутренний диаметры равны соответственно 500 и 300 мм. Бетон тяжелый класса В40,  . Продольные силы и изгибающие моменты: от длительных нагрузок  ,  ; от кратковременных нагрузок N = 600 кН, M = 250 кНм. Усилия определены расчетом по недеформированной схеме. Расчетная длина элемента и расстояние между его сечениями, закрепленными от смещения, составляет 12 м. Конструкция статически неопределима. Используется трехлинейная диаграмма состояния бетона. Напрягаемая арматура класса А1000 состоит из восьми стержней одинакового диаметра, располагаемых на окружности диаметром 450 мм (Рис. IV.17). Величина предварительного напряжения с учетом всех потерь и коэффициента  равна 750 МПа. Требуется определить диаметр стержней арматуры. | | 20,36 |
| Армирование | Влияние заранее установленной арматуры. На окружностях диаметром 360 и 540 мм заранее установлено по 8 стержней ненапрягаемой арматуры  В500. | | 12,31 |
| Подбор ненапрягаемой арматуры при заранее установленной напрягаемой арматуре. На окружности диаметром 450 мм заранее установлены 8 стержней напрягаемой арматуры А1000 диаметром 14 мм, подобранные в примере IV.Г.3.2. На окружностях диаметром 360 и 540 мм установлено по 8 стержней ненапрягаемой арматуры класса В500. Требуется определить диаметр стержней ненапрягаемой арматуры. | | 8,05 |

Рис. IV.17. Расположение арматуры в сечении.
(окружности расположения стержней: 1 - напрягаемой
арматуры; 2 - ненапрягаемой арматуры, только
Пример IV.Г.3.1 (базовый)
Результат. Общая площадь сечения напрягаемой арматуры составляет 20,36 см2

.
Результат. Полученная площадь сечения напрягаемой арматуры составляет 12,31 см2

, что меньше, чем в базовом примере 20,36 см2

). Общая площадь сечения напрягаемой и ненапрягаемой арматуры оказывается такой же, как в базовом примере 20,36 см2.
Результат. Ясно, что площадь сечения подбираемой ненапрягаемой арматуры не может быть больше, чем площадь сечения установленной арматуры в
примере IV.Г.3.2. Получено то же армирование ненапрягаемой арматурой

В500 (площадь сечения 8,05 см2), что и в
примере IV.Г.3.2.
IV.Г.4. Элемент кольцевого сечения с предварительным
напряжением арматуры, расчет по деформационной модели,
проверка армирования
Условия и результаты расчетов
Номер примера | Исследуемый фактор | Условия расчетов | |
| Пример базовый | Проверка прочности элемента. Рассматривается элемент кольцевого сечения с теми же параметрами, характеристиками материалов и усилиями, что и в примере IV.Г.3.1. Напрягаемая арматура состоит из 8 стержней  А1000. Требуется проверить прочность сечения. | Выполнены |
| Армирование | Проверка подбора минимальной площади сечения напрягаемой арматуры. Напрягаемая арматура состоит из 8 стержней  А1000. | Не выполнены |
Пример IV.Г.4.1 (базовый)
Результат. Максимальные расчетные относительные деформации бетона и напрягаемой арматуры, равные соответственно 0,0023 и 0,0042, меньше предельно допустимых относительных деформаций бетона и арматуры, равных соответственно 0,0035 и 0,0150. Требования
[1] выполнены. Значения неизвестных в уравнениях равновесия:

;

.
Результат. Не существует значений кривизны и относительной деформации, удовлетворяющих уравнениям равновесия, т.е. требования
[1] не выполнены. В
примере IV.Г.3.1 подобрана минимальная площадь сечения арматуры.
IV.Г.5. Элемент прямоугольного сечения без предварительного
напряжения арматуры, расчет по предельным усилиям,
подбор армирования
Условия и результаты расчетов
Номер примера | Исследуемый фактор | Условия расчетов | Результаты расчетов |
Количество и диаметры стержней группы | Площадь сечения арматуры, см2 |
1-й | 2-й |
| Пример базовый | Подбор симметричной арматуры. Рассматривается элемент прямоугольного сечения со следующими параметрами: b = 400 мм; h = 500 мм; a = a' = 40 мм; продольные силы и изгибающие моменты: от длительных нагрузок  ,  ; от кратковременных нагрузок N = 1700 кН, M = 382 кНм; бетон тяжелый класса В30,  . Симметричная арматура класса А500 состоит из четырех стержней одинакового диаметра, расположенных в углах сечения на расстоянии 40 мм от ближайших граней (Рис. IV.18). Усилия определены расчетом по деформированной схеме. Расстояние между сечениями элемента, закрепленными от смещения, составляет 3 м. Конструкция статически неопределима в плоскости и из плоскости изгиба. Требуется определить диаметры стержней арматуры. | | - | 24,63 |
| Бетон | Влияние класса бетона. Использован тяжелый бетон класса В60. | | - | 8,04 |
| Армирование | Подбор несимметричной арматуры. Стержни 1, 2 и 3, 4 (Рис. IV.18), относящиеся к 1-й и 2-й группе соответственно и расположенные у наименее и наиболее сжатой грани сечения, могут иметь разные диаметры. | | | 22,14 |
| Влияние установленной арматуры. У наименее сжатой грани установлены стержни 1, 2 (Рис. IV.18) из арматуры класса А500 диаметром 28 мм, полученные в примере IV.Г.5.3. Требуется подобрать диаметр стержней 3, 4. | | - | 9,82 |
| Влияние установленной арматуры. У наиболее сжатой грани установлены стержни 3, 4 (Рис. IV.18) из арматуры класса А500 диаметром 25 мм, полученные в примере IV.Г.5.3. Требуется подобрать диаметр стержней 1, 2. | | - | 12,32 |
| | ИС МЕГАНОРМ: примечание. Текст дан в соответствии с официальным текстом документа. | |
|
| Усилия | Подбор арматуры в условиях, близких к центральному сжатию. Продольные силы и изгибающие моменты: от длительных нагрузок  ,  ; от кратковременных нагрузок N = 1700 0кН, M = 0 кНм. | | - | 4,52 |

| | ИС МЕГАНОРМ: примечание. В официальном тексте документа, видимо, допущена опечатка: пример IV.Г.4.6 отсутствует. | |
Рис. IV.18. Расположение арматуры в сечении.
1, 2 - наиболее и наименее сжатая грань сечения
Пример IV.Г.5.1 (базовый)
Результат. Общая площадь сечения арматуры составляет 24,63 см2

.
Результат. Общая площадь сечения арматуры в базовом и рассматриваемом примерах составляет соответственно 24,63 и 8,04 см2. Увеличение класса бетона приводит к снижению площади сечения арматуры.
Результат. У наименее и наиболее сжатой грани расположены по 2 стержня диаметром 28 и 25 мм соответственно. Общая площадь сечения арматуры 22,14 см2 уменьшилась, по сравнению с площадью 24,63 см2 в базовом примере.
Результат. По конструктивным соображениям (см.
п. 10.3.6 [1]), необходима арматура не менее

: Минимально возможная арматура получена в расчете.
IV.Г.6. Элемент прямоугольного сечения без предварительного
напряжения арматуры, расчет по предельным усилиям,
проверка армирования
Условия и результаты расчетов
Номер примера | Исследуемый фактор | Условия расчетов | |
| Пример базовый | Проверка прочности и "ручной" контроль. Рассматривается прямоугольное сечение с теми же параметрами, характеристиками материалов и усилиями, что и в примере IV.Г.5.1. Симметричная арматура состоит из четырех стержней  А500 (Рис. IV.18). Требуется проверить прочность сечения. | Выполнены |
| Армирование | Проверка подбора минимальной площади сечения симметричной арматуры. Арматура состоит из четырех стержней  А500 (Рис. IV.18). | Не выполнены |
Пример IV.Г.6.1 (базовый)
Результат. Согласно
[1] при расчете по предельным усилиям прочность сечения обеспечена, если действующий момент M не больше расчетного предельного

. Действующий и предельный моменты определяются соответственно левой и правой частью
формулы (8.10) [1].
Как отмечалось выше, в рассматриваемом случае необходимо выполнять два расчета - при эксцентриситетах в плоскости и из плоскости изгиба. В последнем случае учитывается только случайный эксцентриситет. В расчете по программе прочность обеспечена в обоих случаях. В плоскости изгиба

, из плоскости изгиба

.
"Ручной" контроль. Проверим значения M и

в плоскости изгиба.
Эксцентриситет продольной силы относительно центра тяжести сечения равен

. Согласно
формуле (8.11) [1] расстояние от точки приложения продольной силы до центра тяжести сечения арматуры у наименее сжатой грани при

составляет e = 0,435 м. Действующий момент M = Ne = 739,5 кНм практически совпадает с полученным по программе.
По
формуле (8.1) [1] граничная относительная высота сжатой зоны

. Высота сжатой зоны, определенная по
формуле (8.12), оказывается равной x = 0,256 м. Как видно, относительная высота сжатой зоны

. Тогда высоту сжатой зоны определяют по
формуле (8.13): x = 0,242 м. Предельный момент, определяемый по правой части
формулы (8.10),

близок к полученному по программе.
Согласно
п. 8.1.7 [1] в расчете из плоскости изгиба учитывается случайный эксцентриситет, равный 1/30 высоты сечения, что составляет 0,4/30 = 0,013 м. Далее "ручной" контроль проводят совершенно аналогично выполненному для расчета в плоскости изгиба.
Напряженные состояния сечения для обоих расчетов приведены на Рис. IV.19.
а)
б)
Рис. IV.19. Напряженное состояние сечения. Пример IV.Г.6.1
а, б - расчет соответственно в плоскости
и из плоскости изгиба
Результат. Расчет в плоскости изгиба показывает, что по сравнению с базовым примером не меняются высота сжатой зоны и действующий момент. Предельный момент существенно уменьшается и равен 729,34 кНм. Требования
[1] не выполнены. В
примере IV.Г.5.1 подобрана минимальная площадь сечения арматуры.
IV.Д. Косое внецентренное сжатие
Как отмечалось выше, при наличии сжимающей продольной силы расчет по деформационной модели всех сечений, кроме круглых и кольцевых, рекомендуется проводить на косое внецентренное сжатие. Это вызвано тем, что даже при действии момента от внешних воздействий только в одном направлении, в другом направлении также действует момент, вызванный случайным эксцентриситетом.
| | ИС МЕГАНОРМ: примечание. В официальном тексте документа, видимо, допущена опечатка: пример IV.Д.1.7 отсутствует. | |
В
примерах IV.Д.1.1 - IV.Д.1.7 момент от внешних воздействий действует только в одном направлении. В остальных примерах
раздела IV.Д моменты действуют в двух направлениях.
1. Размеры ячеек сетки должны быть не менее 45 мм, но не более 1/4 меньшей стороны сечения элемента и не более 100 мм;
2. Шаг сеток должен быть не менее 60 мм, но не более 1/3 меньшей стороны сечения элемента и не более 150 мм;
3. Сетки должны охватывать всю рабочую продольную арматуру.
IV.Д.1. Элемент прямоугольного сечения без предварительного
напряжения арматуры, момент в одном направлении, расчет
по деформационной модели, подбор армирования
Примеры IV.Д.1.1 (базовый) - IV.Д.1.6
Исходные данные примеров IV.Д.1.1 - IV.Д.1.6 приняты такими же, как
примеров IV.Г.5.1 -
IV.Г.5.6, т.е. одинаковы условия примеров IV.Д.1.1 и
IV.Г.5.1, IV.Д.1.2 и
IV.Г.5.2,..., IV.Д.1.6 и
IV.Г.5.6. Расчеты по деформационной модели проводили при трехлинейной диаграмме состояния бетона.
Результат. В каждом из примеров получено то же армирование, что и в соответствующих примерах
раздела IV.Г.5.
IV.Д.2. Элемент прямоугольного сечения без предварительного
напряжения арматуры, расчет по деформационной модели,
подбор армирования
Условия и результаты расчетов
Номер примера | Исследуемый фактор | Условия расчетов | Результаты расчетов |
Количество и диаметры стержней группы | Площадь сечения арматуры, см2 |
1-й | 2-й |
| Пример базовый | Подбор арматуры из стержней разного диаметра. Рассматривается элемент прямоугольного сечения со следующими параметрами: b = 400 мм; h = 500 мм. Бетон тяжелый класса В30,  . Используется трехлинейная диаграмма состояния бетона. Продольные силы и изгибающие моменты: от длительных нагрузок N = 1150 кН,  ,  ; от кратковременных нагрузок N = 1500 кН,  ,  . Изгибающие моменты  и  действуют в плоскостях, параллельных осям x и y соответственно. Усилия определены расчетом по недеформированной схеме. Расстояние между сечениями элемента, закрепленными от смещения, а также расчетная длина элемента в обеих плоскостях составляет 3 м. Конструкция статически неопределима в обеих плоскостях. Арматура класса А500 состоит из восьми стержней, расположенных на расстояниях 40 мм от ближайших граней сечения (Рис. IV.20). Стержни 1, 3, 6, 8 в углах сечения и стержни 2, 4, 5, 7 в середине сторон относятся соответственно к 1-й и 2-й группам (объяснение групп см. пример IV.Б.1.1). Требуется определить диаметры стержней арматуры каждой группы. | | | 30,79 |
| Бетон | Влияние класса бетона. Использован тяжелый бетон класса В80. | | | 12,31 |
| Влияние диаграммы состояния бетона. Использована двухлинейная диаграмма состояния бетона. | | | 30,79 |
| Продольный изгиб | Влияние расчетной длины  . Расчетная длина элемента в плоскости действия момента  принята равной 6 м. | | | 34,81 |
| Влияние расчетной длины  . Расчетная длина элемента в плоскости действия момента  принята равной 6 м. | | | 38,33 |
| Влияние расчетных длин  и  . Расчетные длины элемента в плоскостях действия моментов  и  приняты равными 6 м. | | | 40,21 |
| Влияние расчета по деформированной схеме. Считается, что продольный изгиб учтен при определении усилий, а при подборе арматуры не учитывается. | | | 27,77 |
| Армирование | Влияние заранее установленной угловой арматуры. По углам сечения заранее установлены стержни 1, 3, 6, 8 (Рис. IV.20) диаметром 28 мм. Требуется подобрать диаметр стержней 2, 4, 5, 7. | | - | 6,16 |
| Влияние арматуры, заранее установленной в середине сторон. Заранее установлены стержни 2, 4, 5, 7 (Рис. IV.20) диаметром 14 мм. Требуется подобрать диаметр стержней 1, 3, 6, 8. | | - | 24,63 |
| Влияние разбиения стержней на группы. Стержни 1, 2, 3, 6, 7, 8 и 4, 5 (Рис. IV.20) относятся к 1-й и 2-й группам соответственно. Требуется подобрать диаметр стержней каждой группы. | | | 31,02 |
| Влияние разбиения стержней на группы. Стержни 1, 3, 4, 5, 6, 8 и 2, 7 (Рис. IV.20) относятся к 1-й и 2-й группам соответственно. Требуется подобрать диаметр стержней каждой группы. | | | 34,54 |
| Подбор арматуры из стержней одного диаметра. Все стержни 1 - 8 (Рис. IV.20) имеют одинаковый диаметр, который и требуется определить. | | - | 39,27 |
| Подбор арматуры из стержней, расположенных у граней и внутри сечения. Стержни одинакового диаметра расположены равномерно с шагами 80 и 105 мм вдоль осей x и y соответственно (Рис. IV.21). Требуется определить диаметр стержней. | | | 50,25 |
| Влияние косвенного армирования. Сетки косвенного армирования состоят из 5 стержней диаметром 6 мм из арматуры класса А240 в каждом направлении. Расстояние между сетками 250 мм. | | | 29,15 |
| Армирование | Влияние диаметра стержней сеток косвенного армирования. Принято то же косвенное армирование, что и в примере IV.Д.2.14, но диаметр стержней сеток равен 10 мм. | | | 27,77 |

Рис. IV.20. Расположение арматуры в сечении. Пример IV.Д.2.1
Пример IV.Д.2.1 (базовый)
Результат. Диаметры стержней 1, 3, 6, 8 и 2, 4, 5, 7 равны соответственно 28 и 14 мм. Общая площадь сечения арматуры составляет 30,79 см2.
Результат. Общая площадь сечения арматуры в базовом и рассматриваемом примерах составляет соответственно 30,79 и 12,31 см2. Увеличение класса бетона приводит к снижению площади сечения арматуры.
Результат. Получен тот же результат, что и в базовом примере: подобрана арматура

. Изменение вида диаграммы состояния бетона не повлияло на результат.
Результат. При увеличении расчетной длины

возрастает влияние продольного изгиба, что ведет к увеличению армирования - 34,81 см2

в рассматриваемом примере, по сравнению со значением 30,79 см2

в базовом примере.
Результат. При увеличении расчетной длины

площадь сечения арматуры 38,33 см2

возрастает больше, по сравнению с базовым примером, чем при увеличении расчетной длины

- см.
Пример IV.Д.2.4.
Результат. При увеличении обеих расчетных длин

и

площадь сечения арматуры 40,21 см2

возрастает больше, по сравнению с базовым примером, чем при увеличении каждой из расчетных длин - см.
Примеры IV.Д.2.4,
IV.Д.2.5.
Результат. Если не учитывается продольный изгиб, то площадь поперечного сечения арматуры 27,77 см2

уменьшается, по сравнению с полученной в базовом примере 30,79 см2

.
Примеры IV.Д.2.8, IV.Д.2.9
Результат. Диаметр стержней в середине сторон (Пример IV.Д.2.8) и в углах сечения (Пример IV.Д.2.9) оказался равным соответственно 14 и 28 мм. Решение базового примера подтверждает правильность результата.
Результат. При принятом разбиении стержней на группы площадь поперечного сечения арматуры 31,02 см2

возрастает, по сравнению со значением 30,79 см2

в базовом примере.
Результат. При принятом разбиении стержней на группы площадь поперечного сечения арматуры 34,54 см2

возрастает, по сравнению с базовым примером, больше, чем в
примере IV.Д.2.10.
Результат. Площадь поперечного сечения арматуры 39,27 см2

возросла, по сравнению со значениями в
примерах IV.Д.2.1,
IV.Д.2.10,
IV.Д.2.11. Требуемая площадь сечения существенно зависит от разбиения стержней на группы.
Результат. Площадь поперечного сечения арматуры 50,25 см2

возросла, по сравнению со значением 30,79 см2

в базовом примере. Это объясняется тем, что арматура у граней используется эффективнее, чем арматура внутри сечения. Однако постановка стержней внутри сечения иногда необходима в тяжело нагруженных колоннах.
Результат. Площадь поперечного сечения арматуры 29,15 см2

из-за наличия косвенного армирования уменьшается, по сравнению с полученной в базовом примере 30,79 см2

.
Рис. IV.21. Расположение арматуры в сечении.
Результат. Площадь поперечного сечения арматуры 27,77 см2

из-за увеличения диаметра стержней сеток косвенного армирования уменьшается, по сравнению с полученной в
примере IV.Д.2.14 и равной 29,15 см2

.
IV.Д.3. Элемент прямоугольного сечения без предварительного
напряжения арматуры, расчет по деформационной модели,
проверка армирования
Условия и результаты расчетов
Номер примера | Исследуемый фактор | Условия расчетов | |
| Пример базовый | Проверка прочности. Рассматривается прямоугольное сечение с теми же параметрами, характеристиками материалов и усилиями, что и в примере IV.Д.2.1. Арматура состоит из восьми стержней  А500. Требуется проверить прочность сечения. | Выполнены |
| Армирование | Влияние косвенного армирования. Принято то же косвенное армирование, что и в примере IV.Д.2.14. | Выполнены |
| Проверка подбора минимальной площади сечения арматуры. В базовом примере стержни  заменены стержнями  . | Не выполнены |
| | ИС МЕГАНОРМ: примечание. В официальном тексте документа, видимо, допущена опечатка: имеется в виду Пример IV.Д.3.1, а не Пример IV.Д.2.3.1. | |
Пример IV.Д.2.3.1 (базовый)
Результат. Максимальные расчетные относительные деформации бетона и арматуры, равные соответственно 0,0035 и 0,0028, не превышают предельно допустимых относительных деформаций бетона и арматуры, равных соответственно 0,0035 и 0,0250. Требования
[1] выполнены. Получены следующие значения неизвестных в уравнениях равновесия:

;

;

.
| | ИС МЕГАНОРМ: примечание. В официальном тексте документа, видимо, допущена опечатка: имеется в виду Пример IV.Д.3.2, а не Пример IV.Д.2.3.2. | |
Результат. Максимальные расчетные относительные деформации бетона и арматуры, равные соответственно 0,0034 и 0,0029, не превышают предельно допустимых относительных деформаций бетона и арматуры, равных соответственно 0,0035 и 0,0250. Требования
[1] выполнены. Получены следующие значения неизвестных в уравнениях равновесия:

;

;

.
| | ИС МЕГАНОРМ: примечание. В официальном тексте документа, видимо, допущена опечатка: имеется в виду Пример IV.Д.3.3, а не Пример IV.Д.2.3.3. | |
Результат. Не существует значений кривизны и относительной деформации, удовлетворяющих уравнениям равновесия. Требования
[1] не выполнены. В
примере IV.Д.2.1 подобрана минимальная площадь сечения арматуры.
IV.Д.4. Элемент двутаврового сечения без предварительного
напряжения арматуры, расчет по деформационной модели,
подбор армирования
Условия и результаты расчетов
Номер примера | Исследуемый фактор | Условия расчетов | Результаты расчетов |
Количество и диаметры стержней группы | Площадь сечения арматуры, см2 |
1-й | 2-й |
| Пример базовый | Подбор арматуры из стержней одинакового диаметра. Рассматривается элемент двутаврового сечения со следующими параметрами: b = 300; h = 1500,  ,  . Бетон тяжелый класса В55,  . Используется трехлинейная диаграмма состояния бетона. Продольные силы и изгибающие моменты: от длительных нагрузок  ,  ,  ; от кратковременных нагрузок N = 2500 кН,  ,  . Изгибающие моменты  и  действуют в плоскостях, параллельных осям x и y соответственно. Усилия определены расчетом по недеформированной схеме. Расстояние между сечениями элемента, закрепленными от смещения равно 16,2 м; расчетная длина элемента в плоскостях действия моментов  и  составляет соответственно 10,8 и 16,2 м. Конструкция статически определима в обеих плоскостях. Арматура класса А500 состоит из 14 стержней одинакового диаметра, расположенных в полках (Рис. IV.22). Требуется определить диаметр стержней. | | - | 142,51 |
| Армирование | Подбор арматуры из стержней разных диаметров. Стержни 1, 5, 6, 7, 8, 9, 10, 14 и 2, 3, 4, 11, 12, 13 (Рис. IV.22) относятся соответственно к 1-й и 2-й группам. Требуется определить диаметры стержней каждой группы. | | | 129,98 |
| Подбор арматуры из стержней разных диаметров. Стержни 6, 7, 8, 9, и 1, 2, 3, 4, 5, 10, И, 12, 13, 14 (Рис. IV.22) относятся соответственно к 1-й и 2-й группам. Требуется определить диаметры стержней каждой группы. | | | 140,86 |

Рис. IV.22. Расположение арматуры в сечении. Пример IV.Д.4.1
Пример IV.Д.4.1 (базовый)
Результат. Общая площадь сечения арматуры составляет 142,51 см2

.
Результат. Общая площадь сечения арматуры 129,98 см2

оказалась существенно меньше, чем в базовом примере 142,51 см2

.
Результат. Общая площадь сечения арматуры 140,86 см2

оказалась меньше, чем в базовом примере 142,51 см2

, но больше, чем 129,98 см2

в
примере IV.Д.4.2.
IV.Д.5. Элемент двутаврового сечения без предварительного
напряжения арматуры, расчет по деформационной модели,
проверка армирования
Условия и результаты расчетов
Номер примера | Исследуемый фактор | Условия расчетов | |
| Пример базовый | Проверка прочности при одинаковых диаметрах стержней. Рассматривается двутавровое сечение с теми же параметрами, характеристиками материалов и усилиями, что и в примере IV.Д.4.1. Арматура класса А500 состоит из 14 стержней диаметром 36 мм (Рис. IV.22). Требуется проверить прочность сечения. | Выполнены |
| Армирование | Проверка прочности при разных диаметрах стержней. В сечении установлена арматура  , подобранная в примере IV.Д.4.2. | Выполнены |
| Проверка прочности при разных диаметрах стержней. В сечении установлена арматура  , подобранная в примере IV.Д.4.3. | Выполнены |
| | Не выполнены |
Примеры IV.Д.5.1 (базовый), IV.Д.5.2, IV.Д.5.3
Результат. В примерах IV.Д.5.1, IV.Д.5.2, IV.Д.5.3 получены соответственно следующие относительные деформации бетона и арматуры: 0,0030 и 0,0037, 0,0034 и 0,0045, 0,0035 и 0,0042. Они не больше предельно допустимых относительных деформаций бетона и арматуры, равных соответственно 0,0035 и 0,0250. Требования
[1] выполнены.
Значения неизвестных в уравнениях равновесия:
Примеры IV.Д.5.4, IV.Д.5.5, IV.Д.5.6
Результат. Не существует значений кривизны и относительной деформации, удовлетворяющих уравнениям равновесия. Требования
[1] не выполнены. В
примерах IV.Д.4.1,
IV.Д.4.2,
IV.Д.4.3 подобрана минимальная площадь сечения арматуры.
IV.Д.6. Элемент прямоугольного сечения с предварительным
напряжением арматуры, расчет по деформационной модели,
подбор армирования
Условия и результаты расчетов
Номер примера | Исследуемый фактор | Условия расчетов | Результаты расчетов |
Количество и диаметры стержней группы | Площадь сечения арматуры, см2 |
1-й | 2-й |
| Пример базовый | Подбор напрягаемой арматуры из стержней одинакового диаметра. Рассматривается элемент прямоугольного сечения со следующими параметрами: b = 400; h = 700 мм. Бетон тяжелый класса В30,  . Используется трехлинейная диаграмма состояния бетона. Продольные силы и изгибающие моменты: от длительных нагрузок  ,  ,  ; от кратковременных нагрузок N = 2450 кН,  ,  . Изгибающие моменты  и  действуют в плоскостях, параллельных осям x и y соответственно. Усилия определены расчетом по недеформированной схеме. Расстояние между сечениями элемента, закрепленными от смещения, и расчетная длина элемента в плоскостях действия моментов  и  составляет 9,8 м. Конструкция статически неопределима в обеих плоскостях. Напрягаемая арматура класса А800 состоит из 6 стержней одинакового диаметра, ненапрягаемая арматура класса А500 состоит из 2 стержней диаметром 16 мм (Рис. IV.23). Напряжения натяжения с учетом всех потерь и коэффициента  составляют 550 МПа. Требуется определить диаметр стержней напрягаемой арматуры. | | - | 48,26 |
| Бетон | Влияние класса бетона. Использован тяжелый бетон класса В60. | | - | 12,06 |
| Армирование | Подбор напрягаемой арматуры из стержней разного диаметра. Стержни напрягаемой арматуры 1, 2, 3, 4 и 5, 6 (Рис. IV.23) относятся к 1-й и 2-й группам соответственно. | | | 41,99 |
| Армирование | Подбор ненапрягаемой арматуры при установленной напрягаемой арматуре. Заранее установлены все стержни напрягаемой арматуры диаметром 32 мм. Требуется определить диаметр стержней ненапрягаемой арматуры. | | - | 4,02 |

1 - ненапрягаемая арматура
Пример IV.Д.6.1 (базовый)
Результат. Общая площадь сечения арматуры составляет 48,26 см2

.
Результат. Общая площадь сечения арматуры в базовом и рассматриваемом примерах составляет соответственно 48,26 см2

и 12,06 см2

. Увеличение класса бетона приводит к снижению площади сечения арматуры.
Результат. При двух группах стержней площадь поперечного сечения напрягаемой арматуры 41,99 см2

уменьшилась, по сравнению с полученной в базовом примере 48,26 см2

.
Результат. Из решения базового примера ясно, что диаметр ненапрягаемой арматуры не может быть больше 16 мм. Указанное значение и получено в расчете.
IV.Д.7. Элемент прямоугольного сечения с предварительным
напряжением арматуры, расчет по деформационной модели,
проверка армирования
Условия и результаты расчетов
Номер примера | Исследуемый фактор | Условия расчетов | |
| Пример базовый | Проверка прочности. Рассматривается элемент прямоугольного сечения с теми же параметрами, характеристиками материалов и усилиями, что и в примере IV.Д.6.1. Напрягаемая и ненапрягаемая арматуры состоит соответственно из 6 стержней  и двух стержней  . Требуется проверить прочность сечения. | Выполнены |
| Армирование | Проверка подбора минимальной площади сечения напрягаемой арматуры. Диаметр стержней напрягаемой арматуры принят равным 28 мм. | Не выполнены |
Пример IV.Д.7.1 (базовый)
Результат. Получены соответственно следующие максимальные относительные деформации бетона, напрягаемой и ненапрягаемой арматуры: 0,0032, 0,0026, 0,0016. Они не больше предельно допустимых относительных деформаций бетона напрягаемой и ненапрягаемой арматуры, равных соответственно 0,0035, 0,015, 0,0250. Требования
[1] выполнены.
Значения неизвестных в уравнениях равновесия:

;

;

.
Результат. Не существует значений кривизны и относительной деформации, удовлетворяющих уравнениям равновесия. Требования
[1] не выполнены. В
примере IV.Д.6.1 подобрано минимальное армирование.
IV.Е. Внецентренное растяжение
IV.Е.1. Элемент прямоугольного сечения без предварительного
напряжения арматуры, расчет по деформационной модели,
подбор армирования
Условия и результаты расчетов
Номер примера | Исследуемый фактор | Условия расчетов | Результаты расчетов |
Количество и диаметры стержней группы | Площадь сечения арматуры, см2 |
1-й | 2-й |
| Пример базовый | Подбор симметричной арматуры. Рассматривается прямоугольное сечение со следующими параметрами: b = 500 мм; h = 300 мм; продольная растягивающая сила N = 97 кН, изгибающий момент M = 80 кНм; бетон тяжелый класса В25;  ; арматура класса А500. Используется двухлинейная диаграмма состояния бетона. Арматура состоит из четырех стержней (Рис. IV.24) одинакового диаметра, расположенных на расстояниях 40 мм от ближайших граней. Требуется определить диаметр арматурных стержней. | | - | 19,63 |
| Бетон | Влияние класса бетона. Использован тяжелый бетон класса В55. | | - | 19,63 |
| Влияние диаграммы состояния бетона. Использована трехлинейная диаграмма состояния бетона. | | - | 19,63 |
| Армирование | Подбор несимметричной арматуры. Стержни 1, 2 и 3, 4 (Рис. IV.24) принадлежат соответственно 1-й и 2-й группам. | | | 11,39 |
| Влияние заранее установленной арматуры. Установлены стержни 1, 2 диаметром 25 мм. Требуется подобрать диаметры стержней 3, 4 (Рис. IV.24). | | - | 1,57 |
| Влияние заранее установленной арматуры. Установлены стержни 3, 4 диаметром 10 мм. Требуется подобрать диаметры стержней 1, 2 (Рис. IV.24). | | - | 9,82 |
| Усилия | Влияние эксцентриситета приложения продольной силы. В сечении действуют усилия: продольная растягивающая сила N = 97 кН, изгибающий момент M = 8,0 кНм. | | - | 4,52 |
| Центральное растяжение и "ручной" контроль. В сечении действуют усилия: продольная растягивающая сила N = 310 кН, изгибающий момент M = 0 кНм. | | - | 8,04 |
| Влияние класса бетона при центральном растяжении. В сечении действуют те же усилия, что в примере IV.Е.1.8 при классе бетона В55. | | - | 8,04 |

Рис. IV.24. Расположение арматуры в сечении. Пример IV.Е.1.1
Пример IV.Е.1.1 (базовый)
Результат. Общая площадь сечения арматуры составляет 19,63 см2

.
Результат. Общая площадь сечения арматуры в базовом и рассматриваемом примерах одинакова и составляет 19,63 см2. Класс бетона не оказал влияния на площадь сечения подбираемой арматуры. Это объясняется тем, что бетон принимает малое участие в работе сечения.
Результат. Получен тот же результат, что и в базовом примере. Изменение вида диаграммы состояния бетона не повлияло на результат.
Результат. Площадь сечения арматуры 11,39 см2

уменьшилась, по сравнению со значением 19,63 см2

в базовом примере.
Примеры IV.Е.1.5, IV.Е.1.6
Результат. В примерах IV.Е.1.5, IV.Е.1.6 подобраны диаметры стержней соответственно 10 и 25 мм. Это согласуется с результатами решения
примера IV.Е.1.4.
Исходные данные. В предыдущих примерах эксцентриситет приложения продольной силы относительно центра тяжести сечения был равен

, т.е. продольная сила приложена за пределами расстояния между равнодействующими усилий в арматуре у обеих граней. В рассматриваемом примере

, т.е. продольная сила приложена между указанными равнодействующими.
Результат. Из-за уменьшении эксцентриситета площадь сечения арматуры 4,52 см2

уменьшилась, по сравнению со значением 19,63 см2

в базовом примере.
Примеры IV.Е.1.8, IV.Е.1.9
Результат. Площадь сечения подобранной арматуры равна 8,04 см2

.
"Ручной" контроль. При центральном растяжении все усилие воспринимается арматурой, площадь сечения которой можно определить по формуле:

.
Площадь сечения подобранной арматуры 8,04 см2 больше требуемой 7,16 см2. Класс бетона не влияет на полученный результат.
IV.Е.2. Элемент прямоугольного сечения без предварительного
напряжения арматуры, расчет по деформационной модели,
проверка армирования
Условия и результаты расчетов
Номер примера | Исследуемый фактор | Условия расчетов | |
| Пример базовый | Проверка прочности при симметричной арматуре. Рассматривается прямоугольное сечение с теми же параметрами, характеристиками материалов и усилиями, что и в примере IV.Е.1.1. Арматура состоит из четырех стержней диаметром 25 мм, подобранных в примере IV.Е.1.1. Требуется проверить прочность сечения. | Выполнены |
| Армирование | Проверка прочности при несимметричной арматуре. Стержни 1, 2 и 3, 4 (Рис. IV.24) имеют соответственно диаметры 25 и 10 мм, подобранные в примере IV.Е.1.4. | Выполнены |
| Проверка прочности при малом эксцентриситете продольной силы. Значения действующих усилий приняты такими же, как в примере IV.Е.1.7. Арматура состоит из четырех стержней диаметром 12 мм, подобранных в примере IV.Е.1.7. | Выполнены |
| Проверка подбора минимальной площади сечения арматуры. Стержни диаметром 25 мм в примерах IV.Е.2.1 и IV.Е.2.2 заменены стержнями ближайшего меньшего диаметра 22 мм. | Не выполнены |
| Проверка подбора минимальной площади сечения арматуры. Стержни диаметром 12 мм в примере IV.Е.2.3 заменены стержнями ближайшего меньшего диаметра 10 мм. | Не выполнены |
Примеры IV.Е.2.1 (базовый), IV.Е.2.2, IV.Е.2.3
Результат. Максимальные расчетные относительные деформации бетона и арматуры, равные соответственно 0,0009 и 0,0021 (пример IV.Е.2.1), 0,0011 и 0,0021 (пример IV.Е.2.2), меньше предельно допустимых относительных деформаций бетона и арматуры, равных соответственно 0,0035 и 0,0250. В примере IV.Е.2.3 бетон растянут, его деформации не ограничены, а максимальные относительные деформации арматуры равны 0,0019. Требования
[1] в рассматриваемых примерах выполнены.
Значения неизвестных в уравнениях равновесия примеров IV.Е.2.1, IV.Е.2.2, IV.Е.2.3 равны соответственно:

;

.
Примеры IV.Е.2.4, IV.Е.2.5, IV.Е.2.6
Результат. Не существует значений кривизны и относительной деформации, удовлетворяющих уравнениям равновесия. Требования
[1] не выполнены. В
примерах IV.Е.1.1,
IV.Е.1.2,
IV.Е.1.3 подобрана минимальная площадь сечения арматуры.
IV.Е.3. Элемент прямоугольного сечения без предварительного
напряжения арматуры, расчет по предельным усилиям,
подбор армирования
Условия и результаты расчетов
Номер примера | Исследуемый фактор | Условия расчетов | Результаты расчетов |
Количество и диаметры стержней группы | Площадь сечения арматуры, см2 |
1-й | 2-й |
| Пример базовый | | | - | 19,63 |
| Бетон | Влияние класса бетона. Использован тяжелый бетон класса В55 (как в примере IV.Е.1.2). | | - | 19,63 |
| Армирование | | | | 11,39 |
| Усилия | Влияние эксцентриситета приложения продольной силы. Как в примере IV.Е.1.7, в сечении действуют усилия: N = 97 кН, M = 8,0 кНм. | | - | 4,52 |
Примеры IV.Е.3.1 (базовый), IV.Е.3.2, IV.Е.3.3, IV.Е.3.4
IV.Е.4. Элемент прямоугольного сечения без предварительного
напряжения арматуры, расчет по предельным усилиям,
проверка армирования
Условия и результаты расчетов
Номер примера | Исследуемый фактор | Условия расчетов | |
| Пример базовый | Проверка прочности при симметричной арматуре и "ручной" контроль. Условия расчета те же, что и в примере IV.Е.2.1 | Выполнены |
| Армирование | Проверка прочности при несимметричной арматуре и "ручной" контроль. Условия расчета те же, что и в примере IV.Е.2.2 | Выполнены |
| Усилия | Проверка прочности при малом эксцентриситете продольной силы и "ручной" контроль. Условия расчета те же, что и в примере IV.Е.2.3 | Выполнены |
Пример IV.Е.4.1 (базовый)
Результат и "ручной" контроль. В рассматриваемом примере продольная сила приложена за пределами расстояния между равнодействующими усилий в сжатой и растянутой арматуре. При симметричном армировании и

нельзя найти высоту сжатой зоны x по
формуле (8.25) [1]

,
поскольку значение x оказывается отрицательным. В этом случае расчет необходимо вести, используя условие равновесия и зависимость между напряжениями и деформациями. В рассматриваемом примере использована зависимость
СНиП 2.03.01-84*. Напряженное состояние сечения приведено на Рис. IV.25. Высота сжатой зоны x = 0,034 м, напряжения в растянутой

и сжатой

арматуре равны соответственно 435 и 110,0 МПа.
Рис. IV.25. Напряженное состояние сечения. Пример IV.Е.4.1
Проверим выполнение условий равновесия. Усилия, воспринимаемые бетоном

, растянутой

и сжатой

арматурой соответственно равны:

;

;

.
Сумма проекций всех сил на горизонтальную ось должна быть равна нулю. Вычислим:

.
Действующий

и предельный

моменты относительно сжатой грани сечения:

;

.
Поскольку

требования
[1] выполнены.

.
Действующий

и предельный

моменты относительно точки приложения усилия в растянутой арматуре:

;
Результат и "ручной" контроль. Эксцентриситет приложения продольной силы

. Продольная сила приложена между равнодействующими усилий в арматуре у обеих граней. Действующие моменты:

;

.

;

.
IV.Е.5. Элемент таврового сечения с предварительным
напряжением арматуры, расчет по деформационной модели,
подбор армирования
Условия и результаты расчетов
Номер примера | Исследуемые фактор | Условия расчетов | Результаты расчетов |
Количество и диаметры стержней | Площадь сечения арматуры, см2 |
| Пример базовый | Подбор напрягаемой арматуры. Рассматривается тавровое сечение со сжатой полкой. Размеры сечения:  ;  ; b = 85; h = 400 мм. Бетон тяжелый класса В30,  , напрягаемая и ненапрягаемая арматура соответственно классов А500 и А800, напряжение натяжения с учетом всех потерь и коэффициента  равно 610 МПа. Продольная растягивающая сила N = 66 кН, изгибающий момент M = 69 кНм. Используется трехлинейная диаграмма состояния бетона. По одному стержню напрягаемой и ненапрягаемой арматуры расположены в середине ребра на расстояниях соответственно 40 и 60 мм от нижней грани (Рис. IV.26). Диаметр стержня ненапрягаемой арматуры равен 10 мм. Требуется определить диаметр стержня напрягаемой арматуры. | | 3,14 |
| Бетон | Влияние класса бетона. Использован тяжелый бетон класса В100. | | 3,14 |
| Армирование | Влияние диаметра стержня ненапрягаемой арматуры. Диаметр стержня ненапрягаемой арматуры увеличен с 10 до 16 мм. | | 2,55 |
| Подбор ненапрягаемой арматуры. Стержень напрягаемой арматуры с подобранным в примере IV.Е.5.1 диаметром 20 мм считается заранее установленным. Требуется определить диаметр стержня ненапрягаемой арматуры. | | 0,50 |

Рис. IV.26. Расположение арматуры в сечении. Пример IV.Е.5.1
Пример IV.Е.5.1 (базовый)
Результат. Диаметр стержня напрягаемой арматуры равен 20 мм.
Результат. Повышение класса бетона не оказало влияния на результат: подобран тот же диаметр стержня напрягаемой арматуры 20 мм, что и в базовом примере.
Результат. Подбираемый диаметр, оказавшийся равным 18 мм, не может быть больше 20 мм (см.
пример IV.Е.5.1).
Результат. Подбираемый диаметр, оказавшийся равным 8 мм, не может быть больше 10 мм (см.
пример IV.Е.5.1).
IV.Е.6. Элемент таврового сечения с предварительным
напряжением арматуры, расчет по деформационной модели,
проверка армирования
Условия и результаты расчетов
Номер примера | Исследуемый фактор | Условия расчетов | |
| Пример базовый | Проверка прочности. Рассматривается тавровое сечение с теми же параметрами, характеристиками материалов и усилиями, что и в примере IV.Е.5.1. Диаметр стержня напрягаемой арматуры равен подобранному в примере IV.Е.6.1, т.е. 20 мм. Требуется проверить прочность сечения. | Выполнены |
| Армирование | Проверка подбора минимальной площади сечения арматуры. Стержни напрягаемый диаметром 20 мм в примере IV.Е.5.1 и ненапрягаемый диаметром 8 мм в примере IV.Е.5.4 заменены стержнями ближайшего меньшего диаметра соответственно 18 и 6 мм. Требуется проверить прочность сечения при указанных диаметрах | Не выполнены |
Пример IV.Е.6.1 (базовый)
Результат. Получены соответственно следующие максимальные относительные деформации бетона, напрягаемой и ненапрягаемой арматуры: 0,0005, 0,0032, 0,0030. Они не больше предельно допустимых относительных деформаций бетона напрягаемой и ненапрягаемой арматуры, равных соответственно 0,0035, 0,015, 0,0250. Требования
[1] выполнены.
Значения неизвестных в уравнениях равновесия:

;

.
Примеры IV.Е.6.2, IV.Е.6.3
Результат. Не существует значений кривизны и относительной деформации, удовлетворяющих уравнениям равновесия. Требования
[1] не выполнены. В
примерах IV.Е.5.1 и
IV.Е.5.4 подобрана минимальная площадь сечения арматуры.
IV.Ж. Косое внецентренное растяжение
IV.Ж.1. Элемент прямоугольного сечения без предварительного
напряжения арматуры, расчет по деформационной модели,
подбор армирования
Условия и результаты расчетов
Номер примера | Исследуемый фактор | Условия расчетов | Результаты расчетов |
Количество и диаметры стержней группы | Площадь сечения арматуры, см2 |
1-й | 2-й |
| Пример базовый | Подбор симметричной арматуры. Рассматривается прямоугольное сечение со следующими параметрами: b = 1000 мм; h = 200 мм; a = a' = 35 мм; продольная растягивающая сила N = 160 кН, изгибающие моменты  ,  ; бетон тяжелый класса В20;  ; арматура класса А500. Используется трехлинейная диаграмма состояния бетона. Арматура состоит из 10 стержней одинакового диаметра, по 5 у каждой грани (Рис. IV.27). Требуется определить диаметр стержней. | | - | 38,01 |
| Бетон | Влияние класса бетона. Использован тяжелый бетон класса В70. | | - | 38,01 |
| Влияние класса бетона. Использован тяжелый бетон класса В80. | | - | 31,42 |
| Влияние диаграммы состояния бетона. Использована двухлинейная диаграмма состояния бетона. | | - | 38,01 |
| Армирование | Подбор несимметричной арматуры. Стержни 1 - 5 и 6 - 10 (Рис. IV.27), относящиеся к 1-й и 2-й группе соответственно и расположенные у наиболее и наименее растянутой грани сечения, могут иметь разные диаметры. | | | 22,93 |
| Влияние установленной арматуры. У наиболее растянутой грани установлены стержни 1 - 5 (Рис. IV.27) диаметром 22 мм, арматура класса А500. Требуется подобрать диаметр стержней 6 -10. | | - | 3,93 |
| Влияние установленной арматуры. У наименее растянутой грани установлены стержни 6 - 10 (Рис. IV.27) диаметром 10 мм, арматура класса А500. Требуется подобрать диаметр стержней 1 - 5. | | - | 19,00 |

Рис. IV.27. Расположение арматуры в сечении. Пример IV.Ж.1.1
Пример IV.Ж.1.1. (базовый)
Результат. Диаметр арматурных стержней равен 22 мм.
Пример IV.Ж.1.2, IV.Ж.1.3
Результат. Увеличение класса бетона до В70 и В80 соответственно не повлияло и повлияло на требуемый диаметр, оказавшийся равным 22 и 20 мм в примерах IV.Ж.1.2, IV.Ж.1.3.
Результат. Получен тот же результат, что и в базовом примере. Изменение вида диаграммы состояния бетона не повлияло на результат.
Результат. У наиболее и наименее растянутой грани расположены по 5 стержней диаметром 22 и 10 мм соответственно. Общая площадь сечения арматуры 22,93 см2 уменьшилась, по сравнению с площадью 38,01 см2, полученной в базовом примере.
Результат. Подобрана арматура

.
Результат. Подобрана арматура

.
IV.Ж.2. Элемент прямоугольного сечения без предварительного
напряжения арматуры, расчет по деформационной модели,
проверка армирования
Условия и результаты расчетов
Номер примера | Исследуемый фактор | Условия расчетов | |
| Пример базовый | Проверка прочности при симметричной арматуре. Рассматривается прямоугольное сечение с теми же параметрами, характеристиками материалов и усилиями, что и в примере IV.Ж.1.1. Арматура состоит из 10 стержней диаметром 22 мм - по 5 у каждой грани (Рис. IV.27). Требуется проверить прочность сечения. | Выполнены |
| Армирование | Проверка прочности при несимметричной арматуре. Стержни 1 - 5 и 6 - 10 (Рис. IV.27) имеют соответственно диаметры 22 и 10 мм. | Выполнены |
Примеры IV.Ж.2.1 (базовый), IV.Ж.2.2
Результат. Максимальные расчетные относительные деформации бетона и арматуры, равные соответственно 0,0014 и 0,0025 (пример IV.Ж.2.1), 0,0024 и 0,0032 (пример IV.Ж.2.2), меньше предельно допустимых относительных деформаций бетона и арматуры, равных соответственно 0,0035 и 0,0250. Требования
[1] выполнены.
Значения неизвестных уравнений равновесия в примерах IV.Ж.2.1, IV.Ж.2.2 равны соответственно:

;

;

.
IV.Ж.3. Элемент прямоугольного сечения с предварительным
напряжением арматуры, расчет по деформационной модели,
подбор армирования
Условия и результаты расчетов
Номер примера | Исследуемый фактор | Условия расчетов | Результаты расчетов |
Количество и диаметры стержней | Площадь сечения арматуры, см2 |
| Пример базовый | Подбор напрягаемой арматуры. Рассматривается прямоугольное сечение со следующими параметрами: b = 240 мм; h = 360 мм. Бетон тяжелый класса В25;  , напрягаемая арматура класса А800, напряжение натяжения с учетом всех потерь и коэффициента  равно 630 МПа. Продольная растягивающая сила N = 1000 кН, изгибающие моменты  ,  . Используется двухлинейная диаграмма состояния бетона. Армирование состоит из 8 стержней одинакового диаметра (Рис. IV.28). Требуется определить диаметр стержней напрягаемой арматуры. | | 49,26 |
| Бетон | Влияние класса бетона. Использован тяжелый бетон класса В100. | | 49,26 |
Пример IV.Ж.3.1 (базовый)
Результат. Диаметр арматурных стержней равен 28 мм.
Результат. Общая площадь сечения арматуры в базовом и рассматриваемом примерах одинакова и составляет 49,26 см2. Это объясняется тем, что бетон принимает малое участие в работе сечения.
IV.Ж.4. Элемент прямоугольного сечения с предварительным
напряжением арматуры, расчет по деформационной модели,
проверка армирования
Условия и результаты расчетов
Номер примера | Исследуемый фактор | Условия расчетов | |
| Пример базовый | Проверка прочности. Рассматривается прямоугольное сечение с теми же параметрами, характеристиками материалов и усилиями, что и в примере IV.Ж.3.1. Арматура состоит из 8 стержней, их диаметр 28 мм подобран в примере IV.Ж.3.1 (Рис. IV.28). Требуется проверить прочность сечения. | Выполнены |
| Армирование | Проверка подбора минимальной площади сечения арматуры. Арматура состоит из 8 стержней диаметром 25 мм (Рис. IV.28). | Не выполнены |
Пример IV.Ж.4.1 (базовый)
Результат. Максимальные расчетные относительные деформации бетона и арматуры, равные соответственно 0,0018 и 0,0022, меньше предельно допустимых относительных деформаций бетона и арматуры, равных соответственно 0,0035 и 0,0150. Требования
[1] выполнены.
Значения неизвестных в уравнениях равновесия:

;

;

.
Результат. Максимальная расчетная относительная деформация бетона равна 0,0048, что больше предельно допустимой деформации 0,0035. Максимальная расчетная относительная деформация арматуры 0,0085 меньше предельно допустимой деформации 0,0150. Требования
[1] не выполнены. В
примере IV.Ж.1.1 подобрана минимальная площадь сечения арматуры.
Значения неизвестных в уравнениях равновесия:

;

;

.
IV.И. Рекомендации по оценке правильности расчетов
В соответствии с рекомендациями
раздела IV.А настоящего Пособия в примерах
разделов IV.В -
IV.Ж рассмотрены различные факторы, влияющие на результаты расчетов. Ниже приведены некоторые общие положения, которыми следует руководствоваться при оценке правильности расчетов (см. также
раздел IV.А).
1. Тестирование программ рекомендуется проводить, сравнивая результаты, полученные по программам и в приведенных выше примерах. При расхождении рекомендуется проверять правильность результатов "вручную", используя методики, изложенные в примерах:
При расчетах по деформационной модели для проверки необходимо знать значения неизвестных в уравнениях равновесия - кривизны и относительную деформацию центра тяжести сечения, модули упругости материалов, параметры диаграммы состояния бетона и арматуры. При расчетах по предельным усилиям необходимо знать высоту сжатой зоны бетона и значения действующих усилий. Сравнение можно проводить при любых условиях - форме сечений, характеристиках материалов, армировании и пр.
2. При сравнении результатов подбора арматуры с использованием различных подходов рекомендуется обращать внимание на то, что площадь поперечного сечения арматуры, подобранной по деформационной модели, как правило, оказывается не меньше, чем по предельным усилиям. Это подтверждает сравнение результатов решения примеров:
3. При подборе арматуры увеличение класса бетона не может вызвать увеличения площади сечения подбираемой арматуры. Это очевидное утверждение подтверждает сравнение результатов решения примеров:
4. При трехлинейной диаграмме состояния бетона площадь сечения подбираемой арматуры оказывается, как правило, не больше, чем при двухлинейной диаграмме. Это подтверждает сравнение результатов решения примеров:
5. Увеличение площади сечения заранее установленной арматуры не может увеличить площадь сечения подбираемой арматуры, но может увеличить общую площадь сечения арматуры. Это очевидное утверждение подтверждается примерами:
6. В некоторых из рассматриваемых примеров подбор арматуры проводился при двух условиях:
- диаметры всех стержней в сечении одинаковы;
- стержни разделены на две группы, диаметры стержней каждой группы могут быть разными.
Ясно, что общая площадь сечения арматуры во втором случае не может быть больше, чем в первом. Это подтверждается сравнением примеров:
7. Способ разделения стержней на группы с одинаковым диаметром при подборе арматуры (см. предыдущий
п. 6) оказывает существенное влияние на общую площадь сечения арматуры. Это демонстрируют примеры:
9. Для проверки правильности подбора арматуры при двух группах стержней разного диаметра в сечении рекомендуется следующий прием. Вначале рассчитывают элемент, определяя каждый из диаметров. Затем поочередно стержни каждой группы с подобранным диаметром считают заранее установленными, а диаметр стержней другой группы подбирается. В каждом из трех расчетов диаметры стержней соответствующих групп должны быть одинаковыми. Это подтверждают примеры:
10. Чтобы удостовериться в подборе минимального армирования, рекомендуется провести проверку, устанавливая в сечении следующий меньший диаметр арматуры, по сравнению с подобранным. Требования
[1] должны быть не выполнены. Это подтверждают примеры:
-
IV.Ж.4.2 при косом внецентренном растяжении.
11. В изгибаемых элементах сжатая арматура (подбираемая или заранее установленная) не может увеличить площадь сечения подбираемой растянутой арматуры, однако общая площадь сечения арматуры в сечении может увеличиться. Это подтверждают примеры:
12. Правильность подбора симметричной арматуры в изгибаемом элементе легко проверить "вручную", как указано в
примере IV.Б.1.9.
13. При увеличении класса бетона в предварительно напряженном изгибаемом элементе не должны увеличиться относительные деформации бетона, напрягаемой и ненапрягаемой арматуры - см.
пример IV.Б.10.2.
14. В элементах, работающих на внецентренное сжатие и косое внецентренное сжатие, не может вызвать увеличения площади сечения подбираемой арматуры:
15. Во внецентренно сжатых и внецентренно растянутых элементах не может вызвать увеличения площади сечения подбираемой арматуры уменьшение эксцентриситета приложения продольной силы - см.
примеры IV.Г.1.8,
IV.Е.1.7,
IV.Е.1.8.
16. Правильность подбора симметричной арматуры при центральном растяжении легко проверить "вручную", как указано в
примере IV.Е.1.8.
V. Прочность наклонных сечений железобетонных элементов
Для обеспечения прочности наклонных сечений в
[1] предусмотрено выполнение трех расчетов:
- по бетонной полосе между наклонными трещинами;
- по наклонному сечению;
- на действие моментов.
В расчетах по наклонному сечению возможна как проверка прочности при заданном армировании, так и подбор поперечного армирования для обеспечения прочности. В остальных расчетах проводится проверка прочности. Соответствующие примеры приведены в
разделах V.Б,
V.В,
V.Г.
V.А. Рекомендации по выбору примеров для тестирования
Ниже перечислены факторы, влияние которых рекомендуется учитывать, проверяя правильность расчетов прочности нормальных сечений железобетонных элементов.
1. Форма сечения;
2. Наличие или отсутствие предварительно напрягаемой арматуры;
3. Класс бетона;
4. Величины сжимающих и растягивающих продольных сил;
5. Продольное армирование.
При расчете по наклонному сечению дополнительно рекомендуется проверять влияние следующих факторов:
1. Подбор поперечной арматуры или проверка существующего поперечного армирования;
2. Переменное по длине элемента поперечное армирование;
3. Получение минимального поперечного армирования при подборе;
4. Наличие нескольких загружений;
5. Отсутствие поперечной арматуры;
6. Вид элемента - опертый по двум сторонам, консольный.
В расчетах на действие моментов рекомендуется также проверять влияние анкеровки продольной ненапрягаемой и напрягаемой арматуры.
Особенности рассмотренных в
Разделе V.В примеров расчета по наклонному сечению состоят в следующем.
Количественной характеристикой поперечного армирования принята интенсивность поперечного армирования, определяемая по
формуле (8.59) [1]:

.
Эта величина (усилие в поперечной арматуре на единицу длины элемента) представляется наиболее универсальной, поскольку каждое ее значение может быть использовано при различных классах арматуры, диаметрах и шагах стержней. Указанную величину определяют при подборе и используют при проверке поперечного армирования.
В
п. 8.1.33 [1] приведены два подхода к расчету прочности наклонных сечений - с поиском и без поиска наиболее опасной длины проекции наклонного сечения C. Первый подход является более точным, второй - более простым. В примерах
Раздела V.В использован только более точный подход.
V.Б. Расчет по бетонной полосе между наклонными трещинами
V.Б.1. Элемент прямоугольного сечения без предварительного
напряжения арматуры, проверка прочности
Условия и результаты расчетов
Номер примера | Исследуемый фактор | Условия расчетов | Результаты расчетов |
Поперечная сила, кН | |
Действующая | Предельная |
| Пример базовый | Проверка прочности и "ручной" контроль. Рассматривается свободно опертый элемент прямоугольного сечения со следующими параметрами: b = 200 мм; h = 350 мм; a = 40 мм;  ; пролет элемента 3,0 м. Бетон тяжелый класса В15. Продольная арматура  А500. На элемент действует равномерно распределенная нагрузка 71,1 кН/м. Требуется проверить прочность сечения вблизи опоры. | 106,7 | 165,2 | Выполнены |
| Бетон | Влияние класса бетона. Использован тяжелый бетон класса В45. | 486,0 | Выполнены |
| Усилия | | 189,4 | Выполнены |
| 208,5 | Выполнены |
| 102,2 | Не выполнены |
| - | Не выполнены |
| Усилия | | 117,7 | Выполнены |
| 29,5 | Не выполнены |
| - | Не выполнены |
| Армирование | Влияние продольного армирования. Продольная арматура  А500. Величина сжимающей продольной силы 600 кН, как в примере V.Б.1.5. | 124,0 | Выполнены |
Исходные данные. Опорная реакция (действующая поперечная сила) составляет 71,1 x 3/2 = 106,7 кН.
Результат. Действующая поперечная сила 106,7 кН меньше предельной 165,2 кН. Требования
[1] выполнены.

.
Результат. Увеличение класса бетона ведет к существенному возрастанию предельной поперечной силы (486,0 кН), по сравнению со значением в базовом примере (165,2 кН).
Примеры V.Б.1.3, V.Б.1.4, V.Б.1.5, V.Б.1.6
Результат. При увеличении сжимающей продольной силы

от 0 в базовом примере до 100 и 180 кН соответственно в примерах V.Б.1.3, V.Б.1.4 предельная поперечная сила

возрастает от 165,2 кН до 189,4 и 208,5 кН. В этом случае используются первые две формулы
п. 8.1.34 [1].
При дальнейшем увеличении

до 600 кН в примере V.Б.1.5 значение

уменьшается до 102,2 кН в соответствии с третьей формулой
п. 8.1.34 [1]. В примере V.Б.1.6 значение

падает до нуля, поскольку при

сжимающие напряжения в бетоне

превышают

- расчетное сопротивление бетона сжатию.
Примеры V.Б.1.7, V.Б.1.8, V.Б.1.9
Результат. При увеличении растягивающей продольной силы

от 0 в базовом примере до 35 и 100 кН соответственно в примерах V.Б.1.7, V.Б.1.8 предельная поперечная сила

уменьшается от 165,2 кН до 117,7 и 29,5 кН. В этом случае используется последняя формула
п. 8.1.34 [1].
При дальнейшем увеличении

до 150 кН в примере V.Б.1.9 значение

падает до нуля, поскольку растягивающие напряжения в бетоне

превышают

- удвоенное расчетное сопротивление бетона растяжению.
Исходные данные. По сравнению с
примером V.Б.1.5, увеличено продольное армирование с

до

А500.
Результат. Увеличение площади сечения продольной арматуры приводит к уменьшению напряжений сжатия

в формулах
п. 8.1.34 [1]. Как следствие, в рассматриваемом примере предельная поперечная сила увеличивается до 124,0 кН, по сравнению со значением 102,2 в
примере V.Б.1.5.
V.Б.2. Элемент двутаврового сечения с предварительным
напряжением арматуры, проверка прочности
Условия и результаты расчетов
Номер примера | Исследуемый фактор | Условия расчетов | Результаты расчетов |
Поперечная сила, кН | |
Действующая | Предельная |
| Пример базовый | Проверка прочности. Рассматривается свободно опертый элемент двутаврового сечения (часть многопустотной плиты перекрытия) со следующими параметрами: h = 220; b = 40;  ;  ; a = 40 мм; пролет элемента 6,0 м. Бетон тяжелый класса В25,  . Продольная растянутая напряженная арматура  А800. Усилие натяжения с учетом всех потерь и коэффициента  равно 70 кН. На элемент действует равномерно распределенная нагрузка 3,6 кН/м. Требуется проверить прочность сечения вблизи опоры. | 10,8 | 36,2 | Выполнены |
| Усилия | | 37,2 | Выполнены |
| 1,67 | Не выполнены |
| | 29,8 | Выполнены |
| 4,50 | Не выполнены |
Исходные данные. Опорная реакция (действующая поперечная сила) составляет 3,6 x 6/2 = 10,8 кН.
Результат. Действующая поперечная сила 10,8 кН меньше предельной 36,2 кН. Требования
[1] выполнены.
| | ИС МЕГАНОРМ: примечание. В официальном тексте документа, видимо, допущена опечатка: имеется в виду пример V.Б.2.2, а не пример IV.Б.2.2. | |
Результат. Как и в
Разделе V.Б.1 для ненапряженных элементов, при возрастании сжимающей продольной силы предельная поперечная сила, по сравнению с базовым примером, вначале возрастает (37,2 кН, пример IV.Б.2.2), а затем уменьшается (1,67 кН, пример V.Б.2.3). В рассматриваемых примерах к действующей продольной сжимающей силе прибавляется сжимающая продольная сила от предварительного натяжения арматуры.
Результат. Как и в
Разделе V.Б.1 для ненапряженных элементов, при возрастании растягивающей продольной силы предельная поперечная сила, по сравнению с базовым примером, уменьшается и становится равной 29,8 и 4,50 кН соответственно в примерах V.Б.2.4 и V.Б.2.5. В указанных примерах из действующей продольной растягивающей силы вычитается сжимающая продольная сила от предварительного натяжения арматуры.
V.В. Расчет по наклонному сечению
V.В.1. Свободно опертый элемент прямоугольного сечения
без предварительного напряжения арматуры, подбор
поперечной арматуры
Условия и результаты расчетов
Номер примера | Исследуемый фактор | Условия расчетов | Интенсивность поперечного армирования, Н/мм |
| Пример базовый | Подбор поперечной арматуры, постоянной по длине элемента, и "ручной" контроль. Рассматривается свободно опертый элемент прямоугольного сечения со следующими параметрами: b = 200 мм; h = 400 мм;  ; пролет элемента 5,5 м. Бетон тяжелый класса В20. Продольная арматура класса А500, растянутая  , сжатая  , a = a' = 40 мм. На элемент действует равномерно распределенная нагрузка 50 кН/м. Требуется подобрать поперечное армирование, постоянное по длине элемента. | 133,6 |
| Бетон | | 89,2 |
| 63,0 |
| Усилия | | 104,4 |
| 74,6 |
| 157,1 |
| - |
| | 187,7 |
| 273,7 |
| - |
| Армирование | Подбор поперечной арматуры, переменной по длине элемента. Рассматриваются два участка армирования по длине элемента. Второй участок начинается на расстоянии 0,6 и 0,8 м от опоры в примерах соответственно V.В.1.11, V.В.1.12. Требуется определить интенсивность поперечного армирования на каждом из участков. | 55,1 |
| 40,5 |
| | Влияние продольного армирования. Продольная растянутая и сжатая арматура соответственно  и  А500. Величина сжимающей продольной силы 800 кН, как в примере V.В.1.6. | 105,8 |
Результат и "ручной" контроль. Расчет показал, что требуемая интенсивность поперечного армирования

. Наиболее опасное наклонное сечение начинается от опоры, длина его проекции C = 465 мм (Рис. V.1). Проверим эти результаты "вручную".
Рис. V.1. Положение наиболее опасного наклонного сечения.
1 - наиболее опасное наклонное сечение
Согласно
формуле (8.57) [1] поперечная сила, воспринимаемая бетоном в наклонном сечении:

.

.
Согласно
формуле (8.58) [1] поперечная сила, воспринимаемая поперечной арматурой в наклонном сечении:

.
Согласно
формуле (8.56) [1] суммарная поперечная сила, воспринимаемая бетоном и арматурой в наклонном сечении:

.
Действующая поперечная сила:
Q = 50 x 5,5/2 - 50 x 0,465 = 114,25 кН.
Поскольку
Проверим, что сечение с длиной проекции C = 465 мм является наиболее опасным. Наклонное сечение тем более опасно, чем меньше разность

,
где

- сила, воспринимаемая сечением; Q - сила, действующая в сечении.
Рассмотрим два сечения с длинами проекций

и

. Эти длины несколько больше и меньше, чем полученная в расчете длина проекции C = 465 мм.
При


.
При


.
При полученном в расчете значении C = 465 мм

.
Поскольку

и

, полученное в расчете наклонное сечение является наиболее опасным.
Результат. При увеличении класса бетона от В20 (в базовом примере) до В30 и В40 (в примерах соответственно V.В.1.2, V.В.1.3) увеличивается часть поперечной силы, воспринимаемой бетоном. Вследствие этого интенсивность поперечного армирования уменьшается от значения 133,6 до значений 89,2 и 63,0 Н/мм.
Параметры решений
Номер примера | Характеристики, мм, наиболее опасного наклонного сечения | Поперечные силы, кН |
Расстояние от левого торца элемента до ближайшей точки сечения | Длина проекции сечения | Действующая | Предельная |
V.В.1.2 | 0 | 583 | 108,40 | 108,38 |
V.В.1.3 | 0 | 703 | 102,40 | 102,92 |
Примеры V.В.1.4, V.В.1.5, V.В.1.6, V.В.1.7
Результат. При увеличении сжимающей продольной силы

от 0 в базовом примере до 100 и 250 кН соответственно в примерах V.В.1.4, V.В.1.5 интенсивность поперечного армирования

уменьшается от 133,6 Н/мм до 104,4 и 74,6 Н/мм. В этом случае используются первые две
формулы п. 8.1.34 [1].
При дальнейшем увеличении

до 800 кН в примере V.В.1.6 значение

увеличивается до 157,1 кН, поскольку в соответствии с третьей
формулой п. 8.1.34 [1] уменьшается поперечная сила, воспринимаемая бетоном. В примере V.В.1.7 при

сжимающие напряжения в бетоне

превышают

- расчетное сопротивление бетона сжатию; необходимая несущая способность не может быть обеспечена ни при какой интенсивности поперечного армирования.
Параметры решений
Номер примера | Характеристики, мм, наиболее опасного наклонного сечения | Поперечные силы, кН |
Расстояние от левого торца элемента до ближайшей точки сечения | Длина проекции сечения | Действующая | Предельная |
V.В.1.4 | 0 | 513 | 111,90 | 111,90 |
V.В.1.5 | 0 | 595 | 107,70 | 107,72 |
V.В.1.6 | 0 | 425 | 116,20 | 116,23 |
Примеры V.В.1.8, V.В.1.9, V.В.1.10
Результат. При увеличении растягивающей продольной силы

от 0 в базовом примере до 20 и 40 кН соответственно в примерах V.В.1.8, V.В.1.9 интенсивность поперечного армирования

увеличивается от 133,6 Н/мм до 187,7 и 273,7 Н/мм. В этом случае используется последняя
формула п. 8.1.34 [1].
При дальнейшем увеличении

до 180 кН в примере V.В.1.10 растягивающие напряжения в бетоне

превышают

- удвоенное расчетное сопротивление бетона растяжению. Необходимая несущая способность не может быть обеспечена ни при какой интенсивности поперечного армирования.
Параметры решений
Номер примера | Характеристики, мм, наиболее опасного наклонного сечения | Поперечные силы, кН |
Расстояние от левого торца элемента до ближайшей точки сечения | Длина проекции сечения | Действующая | Предельная |
V.В.1.8 | 0 | 393 | 117,90 | 117,90 |
V.В.1.9 | 0 | 363 | 119,40 | 119,40 |
Примеры V.В.1.11, V.В.1.12
Результат. В
таблице "Условия и результаты расчетов" интенсивности поперечного армирования 55,1 и 40,5 Н/мм, полученные соответственно в примерах V.В.1.11 и V.В.1.12, относятся ко второму участку. Для первого участка интенсивность поперечного армирования такая же, как в базовом примере, т.е. 133,6 Н/мм. При увеличении расстояния от левой опоры интенсивность поперечного армирования на втором участке уменьшается.
Исходные данные. По сравнению с
примером V.В.1.5 увеличено продольное армирование: с

до

А500 - растянутая арматура, с

до

А500 - сжатая арматура.
Результат. Увеличение площади сечения продольной арматуры приводит к уменьшению напряжений сжатия

(см. формулы
п. 8.1.34 [1]). Как следствие, в рассматриваемом примере интенсивность поперечного армирования уменьшается до 105,8 Н/мм, по сравнению со значением 157,1 Н/мм в
примере V.В.1.6. Наиболее опасное наклонное сечение начинается от опоры, длина его проекции 513 мм, действующая и предельная поперечные силы равны 111,9 кН.
V.В.2. Свободно опертый элемент прямоугольного сечения
без предварительного напряжения арматуры, проверка
поперечной арматуры
Условия и результаты расчетов
Номер примера | Исследуемый фактор | Условия расчетов | |
| Пример базовый | Проверка поперечной арматуры, постоянной по длине элемента. Рассматривается свободно опертый элемент прямоугольного сечения с теми же параметрами, что и в примере V.В.1.1. Поперечная арматура состоит из трехветвевых хомутов  А240 с шагом 150 мм. Требуется проверить поперечное армирование. | Выполнены |
| Армирование | Проверка поперечной арматуры, переменной по длине элемента. Как и в примере V.В.1.11, рассматриваются два участка армирования по длине элемента. На первом участке поперечная арматура задана так же, как в базовом примере. Второй участок начинается на расстоянии 0,6 м от опоры. Здесь поперечная арматура состоит из трехветвевых хомутов  А240 с шагом 200 мм. Требуется проверить поперечное армирование. | Выполнены |
| Проверка подбора минимальной интенсивности поперечного армирования, постоянной по длине элемента. Шаг хомутов составляет 200 мм. | Не выполнены |
| Проверка подбора минимальной интенсивности поперечного армирования, переменной по длине элемента. Как и в примере V.В.2.2, рассмотрен элемент с двумя участками поперечного армирования по длине. Шаг хомутов на первом участке составляет 200 мм (как в примере V.В.2.3). | Не выполнены |
| Проверка подбора минимальной интенсивности поперечного армирования, переменной по длине элемента. Как и в примере V.В.2.2, рассмотрен элемент с двумя участками поперечного армирования по длине. На втором участке приняты двухветвевые хомуты. | Не выполнены |
| Проверка элемента без поперечной арматуры. На элемент действует равномерно распределенная нагрузка 15 кН/м. В примерах V.В.2.6, V.В.2.7 сжимающая продольная сила равна соответственно 0 и 220 кН. Поперечная арматура отсутствует. | Не выполнены |
| Выполнены |
Исходные данные. Интенсивность поперечного армирования задаем больше величины 133,6 Н/мм, подобранной в
примере V.В.1.1, и как можно ближе к ней. Полного совпадения добиться невозможно из-за дискретности поперечной арматуры. В рассматриваемом примере принята интенсивность

.
Результат. Наиболее опасное наклонное сечение начинается от опоры, длина его проекции 425 мм, действующая и предельная поперечные силы равны соответственно 116,2 и 128,6 кН. Требования
[1] выполнены.
Исходные данные. Интенсивность поперечного армирования на втором участке

.
Результат. Наиболее опасное наклонное сечение начинается на расстоянии 605 мм от опоры, длина его проекции 550 мм (Рис. V.2), действующая и предельная поперечные силы равны соответственно 79,8 и 87,0 кН. Требования
[1] выполнены.
Рис. V.2. Положение наиболее опасного наклонного сечения.
Пример V.В.2.2
1 - наиболее опасное наклонное сечение
Исходные данные. Минимально уменьшаем интенсивность поперечного армирования 133,6 Н/мм, полученную в
примере V.В.1.1. В рассматриваемом примере интенсивность поперечного армирования составляет

.
Результат. Наиболее опасное наклонное сечение начинается от опоры, длина его проекции 465 мм, действующая и предельная поперечные силы равны соответственно 114,3 и 112,4 кН. Требования
[1] не выполнены. В
примере V.В.1.1 подобрана минимальная интенсивность поперечного армирования.
Исходные данные. На первом участке интенсивность поперечного армирования задана так же, как в
примере V.В.2.3.
Результат. Получен тот же результат, что и в
примере V.В.2.3. В
примере V.В.1.11 подобрана минимальная интенсивность поперечного армирования на первом участке.
Исходные данные. Минимально уменьшаем интенсивность поперечного армирования 55,1 Н/мм, полученную в
примере V.В.1.11. В рассматриваемом примере интенсивность поперечного армирования составляет

.
Результат. Наиболее опасное наклонное сечение начинается на расстоянии 605 мм от опоры, длина его проекции 618 мм, действующая и предельная поперечные силы равны соответственно 76,3 и 73,2 кН. Требования
[1] не выполнены. В
примере V.В.1.11 подобрана минимальная интенсивность поперечного армирования на втором участке.
Результат. В примере V.В.2.6 действующая и предельная поперечные силы составляют соответственно 35,8 и 29,2 кН (требования
[1] не выполнены), а в примере V.В.2.7 эти же силы равны соответственно 35,8 и 36,2 кН (требования
[1] выполнены). Влияние сжимающей продольной силы такое же, как в элементе с поперечным армированием.
V.В.3. Консольный элемент прямоугольного сечения
без предварительного напряжения арматуры, подбор
поперечной арматуры
Условия и результаты расчетов
Номер примера | Исследуемый фактор | Условия расчетов | Интенсивность поперечного армирования, Н/мм, на участке |
первом | втором |
| Пример базовый | Подбор поперечной арматуры, переменной по длине элемента, при двух загружениях. Рассматривается консольный элемент прямоугольного сечения, защемленный на левом конце, со следующими параметрами: b = 200 мм; h = 500 мм;  ; a = 40 мм; вылет консоли 1,5 м. Бетон тяжелый класса В25. На элемент действуют два независимых сочетания нагрузок по одной сосредоточенной силе в каждом. В первом и втором сочетании действуют сосредоточенные силы 180 и 120 кН на расстояниях 0,5 и 1,5 м от опорного сечения соответственно ( Рис. V.3, V.4). Поперечное армирование различно на двух участках. Начало первого и второго участка располагается на расстоянии от опорного сечения 0,0 и 0,5 м соответственно. Требуется подобрать поперечное армирование на каждом из участков. | 158,2 | 78,9 |
| Нагрузки | Влияние сочетаний нагрузок. На элемент действует только одно сочетание нагрузок - первое и второе в примерах V.В.3.2, V.В.3.3 соответственно. | 158,2 | 47,5 |
| 78,9 | 78,9 |

Рис. V.4. Схема нагрузок второго сочетания. Пример V.В.3.1
Примеры V.В.3.1 (базовый)
Результат. На первом и втором участках длиной соответственно 0,5 и 1,0 м необходимая интенсивность поперечного армирования равна соответственно 158,2 и 78,9 кН/м.
Результат. В базовом примере интенсивность поперечного армирования на первом и втором участках определяется соответственно первым и вторым сочетанием нагрузок. В примере V.В.3.2 действует только первое сочетание нагрузок. Поэтому на первом участке получена такая же интенсивность 158,2 Н/мм, как на том же участке в базовом примере. Интенсивность поперечного армирования на втором участке минимальна из конструктивных соображений. Аналогично в примере V.В.3.3 интенсивность поперечного армирования на втором участке 78,9 Н/мм получена такой же, как на том же участке в базовом примере. Результаты расчетов в трех рассмотренных примерах согласуются друг с другом.
В примере V.В.3.2 интенсивность поперечного армирования на втором участке минимальна по конструктивным соображениям. В примере V.В.3.3 интенсивность поперечного армирования на обоих участках одинакова, поскольку одинаковы действующие поперечные силы.
V.В.4. Свободно опертый элемент таврового сечения
с предварительным напряжением арматуры, подбор
поперечной арматуры
Условия и результаты расчетов
Номер примера | Исследуемый фактор | Условия расчетов | Интенсивность поперечного армирования, Н/мм |
| Пример базовый | Подбор поперечной арматуры. Рассматривается свободно опертый элемент таврового сечения со сжатой полкой. Размеры сечения:  ;  ; b = 50; h = 400 мм. Бетон тяжелый класса В25,  , a = 40 мм. Пролет элемента 5,5 м. На элемент действует равномерно распределенная нагрузка 23 кН/м, сжимающая продольная сила от предварительного натяжения арматуры 130 кН. Требуется подобрать поперечное армирование, постоянное по длине элемента. | 133,6 |
| Усилия | Влияние продольной силы. В примерах V.В.4.2, V.В.4.3 действуют продольные силы соответственно сжимающая и растягивающая по 130 кН. | 67,9 |
| 108,5 |
Результат. Интенсивность поперечного армирования составляет 133,6 Н/мм.
Результат. По сравнению с интенсивностью поперечного армирования 133,6 Н/мм в базовом примере, в примерах V.В.4.2, V.В.4.3 интенсивность соответственно уменьшилась до 67,9 и увеличилась до 108,5 Н/мм. Это связано с величинами продольных сил. С учетом величины продольной силы от предварительного натяжения арматуры в примере V.В.4.2 действует сжимающая сила 260 кН, а в примере V.В.4.3 продольная сила равна нулю. При увеличении или уменьшении сжимающей продольной силы, если напряжения в бетоне от ее действия находятся в пределах от 0 до

(см.
п. 8.1.34 [1]), несущая способность бетона в наклонном сечении также возрастает или уменьшается и, как следствие, уменьшается или возрастает требуемая интенсивность поперечного армирования. Если сжимающая продольная сила изменяется так, что напряжения в бетоне от ее действия находятся в пределах от

до

(
п. 8.1.34 [1]), несущая способность бетона в наклонном сечении не меняется.
V.Г. Расчет на действие моментов
V.Г.1. Свободно опертый элемент прямоугольного сечения
без предварительного напряжения арматуры, проверка прочности
Условия и результаты расчетов
Номер примера | Исследуемый фактор | Условия расчетов | Результаты расчетов |
Моменты, кНм | |
действующий | предельный |
| Пример базовый | Проверка прочности и "ручной" контроль. Рассматривается свободно опертый элемент прямоугольного сечения со следующими параметрами: b = 200; h = 400 мм, пролет элемента 6,0 м. Бетон тяжелый класса В30,  . Продольная растянутая арматура  А500, a = 40 мм. Расстояние от торца элемента и от конца стержней до расчетного поперечного сечения соответственно 760 и 740 мм ( п. 10.3.24 [1]). Продольная арматура в расчетном поперечном сечении находится в зоне анкеровки. Поперечная арматура состоит из двухветвевых хомутов  А240, шаг 200 мм. На элемент действует равномерно распределенная нагрузка 29 кН/м. Требуется проверить прочность наклонного сечения на действие изгибающего момента. | 57,7 | 60,4 | Выполнены |
| Бетон | Влияние класса бетона. Принят класс бетона В50. | 57,7 | 81,5 | Выполнены |
| Армирование | Влияние продольного армирования. Принята продольная растянутая арматура  А500. | 57,7 | 54,5 | Не выполнены |
| Влияние анкеровки продольной арматуры. В примере V.Г.1.4 расстояние от конца стержней до расчетного поперечного сечения составляет 500 мм. В примере V.Г.1.5 арматура в расчетном поперечном сечении находится вне зоны анкеровки, а расстояние от торца элемента до расчетного поперечного сечения составляет 1000 мм. | 57,7 | 42,6 | Не выполнены |
| 72,8 | 180,9 | Выполнены |
| Влияние поперечного армирования. Шаг хомутов принят равным 150 мм. | 57,7 | 62,2 | Выполнены |
Результат. Действующий и предельный изгибающие моменты равны соответственно 57,7 и 60,4 кНм. Требования
[1] выполнены.
"Ручной" контроль. Опорная реакция равна 29 x 6/2 = 87 кН. Действующий момент равен

, т.е. совпадает с величиной, определенной по программе.

.

.

.

.

.

.
Эта величина совпадает с полученной по программе.
Результат. По сравнению с базовым примером, предельный момент увеличился с 60,4 до 81,5 кНм, поскольку при увеличении класса бетона возрастает величина

, определяемая по
формуле (10.2) [1].
Результат. По сравнению с базовым примером, предельный момент уменьшился с 60,4 до 54,5 кНм, поскольку при уменьшении диаметра стержней продольной арматуры уменьшается величина

, определяемая по
п. 8.1.35 и
формуле (10.1) [1].
Исходные данные. В базовом примере продольная арматура в расчетном поперечном сечении находится в зоне анкеровки. Длина зоны анкеровки определяется расстоянием от конца стержней продольной арматуры до расчетного поперечного сечения и равна 740 мм. В примере V.Г.1.4 длина зоны анкеровки уменьшена до 500 мм. В примере V.Г.1.5 считается, что продольная арматура в расчетном поперечном сечении находится вне зоны анкеровки.
Результат. В базовом примере предельный момент составляет 60,4 кНм. В примерах V.Г.1.4, V.Г.1.5 предельный момент соответственно уменьшается до 42,6 кНм и увеличивается до 180,9 кНм. Длина анкеровки существенно влияет на величину предельного момента.
Результат. Уменьшение шага хомутов приводит к возрастанию предельного момента до 62,2 кНм, по сравнению с величиной 60,4 кНм в базовом примере.
V.Г.2. Свободно опертый элемент таврового сечения
с предварительным напряжением арматуры, проверка прочности
Условия и результаты расчетов
Номер примера | Исследуемый фактор | Условия расчетов | Результаты расчетов |
Предельный момент, кНм | |
| Пример базовый | Проверка прочности. Рассматривается свободно опертый элемент таврового сечения со сжатой полкой. Размеры сечения:  ;  ; b = 50; h = 400 мм, пролет элемента 6,0 м. Бетон тяжелый класса В25,  . Продольная растянутая арматура: напрягаемая  А800, ненапрягаемая  А400, a = 40 мм. Расстояние от торца элемента до расчетного поперечного сечения 760 мм. Продольная арматура в расчетном поперечном сечении находится вне зоны анкеровки. Поперечная арматура состоит из одноветвевых хомутов  В500, шаг 150 мм. На элемент действует равномерно распределенная нагрузка 23 кН/м. Действующий изгибающий момент в расчетном сечении 42,8 кНм. Требуется проверить прочность наклонного сечения на действие изгибающего момента. | 94,5 | Выполнены |
| Армирование | Влияние анкеровки продольной арматуры. В примерах V.Г.1.2, V.Г.2.3, V.Г.2.4 в зоне анкеровки находятся соответственно напрягаемая арматура, ненапрягаемая арматура, напрягаемая и ненапрягаемая арматура. Расстояние от конца стержней до расчетного поперечного сечения для напрягаемой и ненапрягаемой арматуры составляет соответственно 650 и 200 мм. | 43,5 | Выполнены |
| 90,4 | Выполнены |
| 39,4 | Не выполнены |
Результат. Действующий и предельный изгибающие моменты равны соответственно 42,8 и 94,5 кНм. Требования
[1] выполнены.
Примеры V.Г.2.2, V.Г.2.3, V.Г.2.4
Результат. При учете анкеровки продольной арматуры предельный изгибающий момент уменьшается, по сравнению со значением 94,5 кНм в базовом примере, до значений:
- 43,5 кНм в примере V.Г.2.2 при учете анкеровки напрягаемой арматуры;
- 90,4 кНм в примере V.Г.2.3 при учете анкеровки ненапрягаемой арматуры;
- 39,4 кНм в примере V.Г.2.4 при учете анкеровки напрягаемой и ненапрягаемой арматуры.
V.Д. Рекомендации по оценке правильности расчетов
В соответствии с рекомендациями
раздела V.А в примерах
разделов V.Б -
V.Г рассмотрены различные факторы, влияющие на результаты расчетов. Ниже приведены некоторые общие положения, которыми следует руководствоваться при оценке правильности расчетов.
1. При проверке прочности увеличение класса бетона не может вызвать уменьшения несущей способности (величины предельной поперечной силы). Это очевидное утверждение подтверждает сравнение результатов решения примеров:
2. При подборе поперечной арматуры в расчете по наклонному сечению увеличение класса бетона не может вызвать увеличения интенсивности поперечного армирования - см. сравнение
примеров V.В.1.1 и
V.В.1.2,
V.В.1.3.
3. В расчетах по бетонной полосе и наклонному сечению увеличение сжимающей продольной силы при средних напряжениях в бетоне от 0 до

(
п. 8.1.34 [1]) приводит к увеличению несущей способности (при проверке прочности) или к уменьшению интенсивности поперечного армирования (при подборе поперечной арматуры). Увеличение продольной сжимающей силы при напряжениях в бетоне выше

приводит к уменьшению несущей способности (при проверке прочности) или к увеличению интенсивности поперечного армирования (при подборе поперечной арматуры). При средних напряжениях в бетоне выше

требования
[1] выполнены быть не могут. Это подтверждает сравнение результатов решения примеров:
4. В расчетах по бетонной полосе и наклонному сечению увеличение растягивающей продольной силы при средних напряжениях в бетоне от 0 до

(
п. 8.1.34 [1]) приводит к уменьшению несущей способности (при проверке прочности) или к увеличению интенсивности поперечного армирования (при подборе поперечной арматуры). При средних напряжениях в бетоне выше

требования
[1] выполнены быть не могут. Это подтверждает сравнение результатов решения примеров:
| | ИС МЕГАНОРМ: примечание. В официальном тексте документа, видимо, допущена опечатка: имеется в виду V.Б.1.9, а не V.В.1.9. | |
5. В расчетах по бетонной полосе и наклонному сечению при действии сжимающей или растягивающей продольной силы увеличение площади сечения продольной арматуры приводит к уменьшению средних напряжений в бетоне (
п. 8.1.34 [1]) и, как результат, к увеличению несущей способности (при проверке прочности) или к уменьшению интенсивности поперечного армирования (при подборе поперечной арматуры). Это подтверждает сравнение результатов решения примеров:
6. При расчете на действие моментов уменьшение продольного армирования не может увеличить предельный момент - см. сравнение
примеров V.Г.1.1 и
V.Г.1.3.
7. При подборе поперечной арматуры на нескольких участках по длине элемента интенсивность поперечного армирования не увеличивается по мере удаления участков от опоры - см.
примеры V.В.1.1,
V.В.1.11,
V.В.1.12.
8. Чтобы удостовериться в подборе минимальной интенсивности поперечного армирования, рекомендуется провести проверку, устанавливая в элементе поперечную арматуру так, чтобы интенсивность поперечного армирования была меньше подобранной, но минимально отличалась от нее. Требования
[1] должны быть не выполнены - см.
примеры V.В.2.3,
V.В.2.4,
V.В.2.5 (с постоянной и переменной интенсивностью поперечного армирования по длине элемента).
9. При расчете по наклонному сечению рекомендуется проводить проверку элемента без поперечного армирования - см.
примеры V.В.2.6,
V.В.2.7.
10. При расчете по наклонному сечению рекомендуется проверять правильность получаемых результатов при нескольких сочетаниях нагрузок, проводя расчет отдельно на действие каждого сочетания, а также при автоматическом выборе наиболее невыгодных сочетаний. Результаты расчетов должны быть согласованы, как в
примерах V.В.3.1,
V.В.3.2,
V.В.3.3.
11. При расчете на действие моментов увеличение длины зоны анкеровки ненапрягаемой или напрягаемой продольной арматуры, а также расположение расчетного сечения вне зоны анкеровки не может уменьшить предельный момент - см. сравнение
примеров V.Г.1.1 и
V.Г.1.4,
V.Г.1.5;
V.Г.2.1 и
V.Г.2.2 -
V.Г.2.4.
В разделе VI рассмотрены следующие элементы конструкций:
- Короткие консоли;
- Бетонные шпонки;
- Закладные детали.
VI.А. Рекомендации по выбору примеров для тестирования
Ниже перечислены факторы, влияние которых рекомендуется учитывать, проверяя правильность расчетов прочности коротких консолей, бетонных шпонок, закладных деталей.
Короткие консоли:
1. Класс бетона;
2. Геометрические размеры;
3. Поперечное армирование;
4. Условия опирания (шарнирное или жесткий рамный узел);
5. Величина действующих усилий;
6. Армирование консоли и ригеля (при проверке прочности продольной арматуры).
Бетонные шпонки:
1. Длина шпонки;
2. Число шпонок, вводимых в расчет;
3. Класс бетона;
4. Величина действующей нормальной силы.
Закладные детали:
1. Класс бетона;
2. Величина нормальной силы;
3. Наклонные анкера;
4. Расположение анкеров;
5. Расположение закладной детали;
6. Расстояние между крайними рядами анкеров;
7. Число анкеров в ряду.
VI.Б.1. Проверка прочности коротких консолей
по наклонной полосе
Условия и результаты расчетов
Номер примера | Исследуемый фактор | Условия расчетов | Предельная сила, кН | |
| Пример базовый | Проверка прочности и "ручной" контроль. На короткую консоль колонны опирается свободно лежащая сборная балка, идущая вдоль вылета консоли (Рис. VI.1). Длина площадки опирания  , ширина консоли (колонны) 400 мм, расчетная высота и вылет консоли соответственно  ,  . В консоли установлены двухветвевые хомуты  А400 с шагом 150 мм. Продольная арматура класса А400. Бетон тяжелый класса В25,  . Нагрузка на консоль Q = 700 кН. Требуется проверить прочность консоли. | 756,4 | Выполнены |
| Бетон | Влияние класса бетона. Использован тяжелый бетон класса В30. | 881,4 | Выполнены |
| Размеры | Влияние геометрических размеров. В примерах VI.Б.1.3, VI.Б.1.4, VI.Б.1.5, VI.Б.1.6, по сравнению с базовым примером, приняты другими соответственно следующие геометрические размеры: ширина консоли 500 мм; длина площадки опирания 250 мм; вылет консоли 400 мм; рабочая высота сечения 620 мм | 930,4 | Выполнены |
| 891,1 |
| 669,5 | Не выполнены |
| 735,8 | Выполнены |
| Армирование | Влияние поперечного армирования. В примерах VI.Б.1.7, VI.Б.1.8, VI.Б.1.9, по сравнению с базовым примером, приняты другими соответственно следующие параметры поперечного армирования: диаметр хомутов 12 мм, число ветвей в одной плоскости 3, шаг хомутов 200 мм. | 783,1 | Выполнены |
| 786,8 | Выполнены |
| 741,2 | Выполнены |
| Опирание | Влияние условий опирания. При шарнирном опирании балки на консоль отсутствуют специальные закладные детали, фиксирующие площадку опирания ( п. Ж.1 приложения Ж [1]). | 636,5 | Не выполнены |
| Влияние условий опирания и величины действующего момента. Консоль входит в жесткий рамный узел ( п. Ж.1 приложения Ж [1]). В примерах VI.Б.1.11 и VI.Б.1.12 действующий момент соответственно равен 100 и 300 кНм. | 756,4 | Выполнены |
| 1134,6 | Выполнены |

Рис. VI.1. Схема расчета короткой консоли. Пример VI.Б.1.1
Пример VI.Б.1.1 (базовый)
Результат. Действующая и предельная силы равны соответственно 700 и 756,4 кН. Требования
[1] выполнены.
"Ручной" контроль. По
п. Ж.1 приложения Ж
[1] (размеры в м):

;

;

.
Полученное значение удовлетворяет условиям:

.
Результат. Увеличение класса бетона до В30 вызвало увеличение предельной силы до 881,4 кН, по сравнению со значением 756,4 кН в базовом примере.
Пример VI.Б.1.3 - VI.Б.1.6
Результат. В примерах VI.Б.1.3, VI.Б.1.4 предельная сила, по сравнению со значением 756,4 кН в базовом примере, возросла до значений соответственно 930,4 и 891,1 кН, а в примерах VI.Б.1.5, VI.Б.1.6 уменьшилась соответственно до значений 669,5 и 735,8 кН. В примере VI.Б.1.5 требования
[1] не выполнены, в остальных рассматриваемых примерах выполнены.
Пример VI.Б.1.7 - VI.Б.1.9
Результат. В примерах VI.Б.1.7, VI.Б.1.8 предельная сила, по сравнению со значением 756,4 кН в базовом примере, возросла до значений соответственно 783,1 и 786,8 кН, а в примере VI.Б.1.9 уменьшилась до значения 741,2 кН. Требования
[1] выполнены.
Результат. Принятые условия сокращают длину площадки опирания и уменьшают предельную силу до 636,5 кН, по сравнению со значением 756,4 кН в базовом примере. Требования
[1] не выполнены.
Примеры VI.Б.1.11, VI.Б.1.12
Результат. В примере VI.Б.1.11 при малом значении действующего момента величина предельной силы 756,4 кН оказывается такой же, как в базовом примере. В примере VI.Б.1.12 выполняются условия M/Q = 300/700 = 0,43 > 0,3 м и

(
п. Ж.1 приложения Ж
[1]), длина площадки опирания увеличивается и принимается равной вылету консоли, вследствие чего предельная сила увеличивается до 1134,6 кН. Требования
[1] выполнены.
VI.Б.2. Проверка продольной арматуры коротких консолей
при шарнирном опирании балки на консоль
Условия и результаты расчетов
Номер примера | Исследуемый фактор | Условия расчетов | Сила, кН | Требования |
Действующая | Предельная |
| Пример базовый | Проверка прочности. Условия расчета такие же, как в примере VI.Б.1.1. Продольная арматура консоли  А400. Требуется проверить прочность продольной арматуры. | 313,4 | 343,6 | Выполнены |
| Армирование | Влияние площади сечения продольной арматуры. Продольная арматура консоли  А400. | 313,4 | 431,0 | Выполнены |
Пример VI.Б.2.1 (базовый)
Результат. Действующая и предельная сила в продольной арматуре консоли составляют соответственно 313,4 и 343,6 кН. Требования
[1] выполнены.
Результат. Увеличение площади сечения продольной арматуры консоли приводит к увеличению предельной силы до 431,0 кН, по сравнению со значением 343,6 кН в базовом примере.
VI.Б.3. Проверка продольной арматуры коротких консолей,
входящих в жесткий рамный узел
Условия и результаты расчетов
Номер примера | Исследуемый фактор | Условия расчетов | Сила, кН | |
Действующая | Предельная |
| Пример базовый | Проверка прочности. Условия расчета такие же, как в примере VI.Б.1.1. Действующий момент 300 кНм. Продольная арматура консоли  А400, верхняя арматура ригеля  А400. Рабочая высота ригеля 460 мм. Характеристики углового шва приваривания закладных деталей ригеля и консоли; длина 300, высота 8 мм. Расчетное сопротивление угловых швов срезу по металлу шва 180 МПа. Требуется проверить прочность продольной арматуры консоли. | 135,3 | 140,7 | Выполнены |
| Армирование | Влияние армирования консоли. Принята продольная арматура консоли  А400. | 135,3 | 178,1 | Выполнены |
| Влияние армирования ригеля. Принята верхняя продольная арматура ригеля  А400. | 93,5 | 140,7 | Выполнены |
Пример VI.Б.3.1 (базовый)
Результат. Действующая и предельная сила в продольной арматуре консоли составляют соответственно 135,3 и 140,7 кН. Требования
[1] выполнены.
Примеры VI.Б.3.2, VI.Б.3.3
Результат. При жестком соединении ригеля и колонны продольную арматуру консоли проверяют по
формуле (Ж.3) приложения Ж
[1]:

.
В примере VI.Б.3.2 предельная сила 178,1 кН больше, чем 140,7 кН в базовом примере, поскольку увеличивается площадь сечения арматуры консоли

. В примере VI.Б.3.3 действующая сила 93,5 кН меньше, чем 135,3 кН в базовом примере, поскольку при увеличении площади сечения продольной арматуры ригеля увеличивается сила

. Требования
[1] в обоих примерах выполнены.
VI.Б.4. Расчет бетонных шпонок
Условия и результаты расчетов
Номер примера | Исследуемый фактор | Условия расчетов | Требуемые размеры шпонки, мм | |
Глубина | Высота |
| Пример базовый | Проверка размеров шпонки и "ручной" контроль. Рассматриваются шпонки (Рис. VI.2) со следующими геометрическими размерами: глубина  , высота  , длина  . Число вводимых в расчет шпонок  . Бетон тяжелый класса В25,  . На шпонки действуют сдвигающая сила Q = 100 кН и сжимающая сила N = 35 кН. Требуется проверить глубину и высоту шпонки. | 19 | 98 | Выполнены |
1 - сборный элемент; 2 - монолитный бетон
Пример VI.Б.4.1 (базовый)
Результат. Требуемые значения глубины и высоты шпонки составляют соответственно 19 и 98 мм, т.е. меньше принятых значений, равных соответственно 50 и 100 мм. Требования
[1] выполнены.
"Ручной" контроль. Требуемые значения глубины

и высоты

шпонки определяют по формулам соответственно
(Е.1) и
(Е.3) приложения Е
[1]:

;

.
Из приведенных выше формул ясно, что увеличение класса бетона и значений

,

, N приводит к уменьшению значений

и

.
VI.Б.5. Расчет закладных деталей
Условия и результаты расчетов
Обозначения:

- требуемая суммарная площадь поперечного сечения анкеров каждого ряда, мм2;

- требуемая суммарная площадь поперечного сечения наклонных анкеров, мм2;
t - требуемая толщина пластины закладной детали, мм.
Номер примера | Исследуемый фактор | Условия расчетов | Результаты | |
| | t |
| Пример базовый | Проверка прочности и "ручной" контроль. Рассматривается закладная деталь, изображенная на Рис. VI.3. Анкера из стержней  А400, число рядов  , число анкеров в ряду 2, расстояние между крайними рядами анкеров z = 300 мм. Площадь поперечного сечения анкеров в ряду 509 мм2. Расчетное сопротивление стали анкеров  . Толщина пластины 14 мм, расчетное сопротивление на срез стали пластины  . Бетон тяжелый класса В20,  . На закладную деталь действуют силы: сдвигающая Q = 150 кН, нормальная N = 0 кН, изгибающий момент M = 22,5 кНм. Требуется проверить площадь сечения анкеров и толщину пластины закладной детали. | 475 | - | 12,2 | Выполнены |
| Бетон | Влияние класса бетона. Используют бетон тяжелый класса В35. | 419 | - | 11,4 | Выполнены |
| Усилия | Влияние нормальной силы. В примерах VI.Б.5.3, VI.Б.5.4 действуют соответственно нормальные силы от закладной детали 50 кН и к закладной детали 100 кН. | 527 | | 12,8 | Не выполнены |
| 377 | | 10,8 | Выполнены |
| Конструктивные особенности | Влияние наклонных анкеров. К закладной детали приварены внахлестку наклонные анкера ( п. Б.2 приложения Б [1]). | 238 | 364 | 8,6 | Выполнены |
| Влияние расположения анкеров. Принято 5 рядов анкеров. В примерах VI.Б.5.6, VI.Б.5.7 соответственно обеспечивается и не обеспечивается равномерная передача сдвигающей силы на все ряды анкеров ( п. Б.2 [1]). | 362 | - | 10,6 | Выполнены |
| 403 | - | 11,2 | Выполнены |
| Влияние расположения закладной детали. Закладная деталь расположена на верхней (при бетонировании) поверхности изделий ( п. Б.1 [1]). | 544 | - | 13,0 | Не выполнены |
| Влияние расстояния между крайними радами анкеров z. Принято z = 500 мм. | 431 | - | 11,6 | Выполнены |
| Влияние числа анкеров в ряду. Принято число анкеров в ряду 3. | 475 | - | 9,9 | Выполнены |

Рис. VI.3. Расчетная схема закладной детали. Пример VI.Б.5.1
Пример VI.Б.5.1 (базовый)
Результат. Требуемая суммарная площадь поперечного сечения анкеров каждого ряда 475 мм2, требуемая толщина пластины 12,2 мм. Площадь поперечного сечения анкеров одного ряда 509 мм2 и толщина пластины 14 мм, принятые в закладной детали, превышают приведенные значения. Требования
[1] выполнены.
"Ручной" контроль. Наибольшее растягивающее

и сжимающее

усилие в одном ряду анкеров определяют соответственно по
формулам (Б.2) и
(Б.4) приложения Б
[1]:

;

.

.
Поскольку

, то

;

.
Для тяжелого бетона

.

.
По
формуле (Б.1) [1], требуемая суммарная площадь поперечного сечения анкеров каждого ряда:

.
Диаметр анкерного стержня, требуемый по расчету:

.

.
Значения

и t совпадают с полученными по программе.
Результат. Увеличение класса бетона ведет к уменьшению требуемых значений суммарной площади поперечного сечения анкеров каждого ряда и толщины пластины до величин 419 мм2 и 11,4 мм, по сравнению со значениями соответственно 475 мм2 и 12,2 мм в базовом примере.
Примеры VI.Б.5.3, VI.Б.5.4
Результат. Нормальные силы, действующие соответственно в направлениях от закладной детали и к ней, соответственно увеличивают и уменьшают значения

, t до 527 мм2, 12,8 мм и 377 мм2, 10,8 мм, по сравнению со значениями 475 мм2, 12,2 мм в базовом примере. Требования
[1] не выполнены и выполнены соответственно в примерах VI.Б.5.3, VI.Б.5.4.
Результат. Требуемая суммарная площадь поперечного сечения наклонных анкеров, определенная по
формуле (Б.7) [1],

. При этом

, t уменьшаются соответственно до 238 мм2, 8,6 мм, по сравнению со значениями 475 мм2, 12,2 мм в базовом примере. Требования
[1] выполнены.
Примеры VI.Б.5.6, VI.Б.5.7
Результат. Увеличение рядов анкеров приводит к уменьшению

, t до 362 мм2, 10,6 мм и 403 мм2, 11,2 мм в примерах VI.Б.5.6, VI.Б.5.7 соответственно, по сравнению со значениями 475 мм2, 12,2 мм в базовом примере. Поскольку в примере VI.Б.5.7 не обеспечивается равномерная передача сдвигающей силы на все ряды анкеров, значения

, t оказываются больше, чем в примере VI.Б.5.6. В обоих примерах требования
[1] выполнены.
Результат. При расположении закладной детали на верхней (при бетонировании) поверхности изделий

и t увеличиваются соответственно до 544 мм2 и 13,0 мм, по сравнению со значениями 475 мм2, 12,2 мм в базовом примере. Требования
[1] не выполнены.
Результат. При увеличении значения z с 300 до 500 мм значения

и t уменьшаются до соответственно 431 мм2 и 11,6 мм, по сравнению со значениями 475 мм2 и 12,2 мм в базовом примере. Требования
[1] выполнены.
Результат. Увеличение числа анкеров в ряду с 2 до 3 не изменяет значения

и уменьшает t до 9,9 мм, по сравнению со значением 12,2 мм в базовом примере. Число анкеров в ряду учитывается только при определении диаметра анкерного стержня, требуемого по расчету, для вычисления требуемой толщины пластины. Требования
[1] выполнены.
VI.В. Рекомендации по оценке правильности расчетов
В соответствии с рекомендациями
раздела VI.А в примерах
раздела VI.Б рассмотрены различные факторы, влияющие на результаты расчетов. Ниже приведены некоторые общие положения, которыми следует руководствоваться при оценке правильности расчетов.
Короткие консоли:
6. Отсутствие специальных закладных деталей, фиксирующих площадку, на которую происходит шарнирное опирание, уменьшает предельную поперечную силу - см. соответственно
примеры VI.Б.1.1 и
VI.Б.1.10.
7. Опирание при жестком соединении ригеля с колонной не уменьшает предельную поперечную силу, по сравнению с шарнирным опиранием, - см.
примеры VI.Б.1.1 и
VI.Б.1.11.
8. Увеличение действующего изгибающего момента при жестком соединении ригеля с колонной не уменьшает предельную поперечную силу - см.
примеры VI.Б.1.11 и
VI.Б.1.12.
9. Увеличение площади сечения продольной арматуры консоли при шарнирном опирании увеличивает предельную силу, воспринимаемую продольной арматурой, - см.
примеры VI.Б.2.1 и
VI.Б.2.2.
10. Увеличение площади сечения продольной арматуры консоли при жестком соединении ригеля с колонной не влияет на силу, действующую в продольной арматуре консоли, и увеличивает предельную силу - см.
примеры VI.Б.3.1 и
VI.Б.3.2.
11. Увеличение площади сечения продольной арматуры ригеля при жестком соединении его с колонной не влияет на предельную силу, воспринимаемую продольной арматурой консоли, и уменьшает действующую силу - см.
примеры VI.Б.3.1 и
VI.Б.3.3.
Бетонные шпонки:
1. Увеличение класса бетона уменьшает требуемые по расчету значения глубины и высоты шпонки - см.
пример VI.Б.4.1.
2. Увеличение длины шпонки, числа вводимых в расчет шпонок и сжимающей силы уменьшает требуемые по расчету значения глубины и высоты шпонки - см.
пример VI.Б.4.1.
Закладные детали:
1. Увеличение класса бетона уменьшает требуемые значения суммарной площади поперечного сечения анкеров каждого ряда

и толщины пластины t - см.
примеры VI.Б.5.1 и
VI.Б.5.2.
2. Нормальные силы, действующие соответственно в направлениях от закладной детали и к ней, соответственно увеличивают и уменьшают значения

и t - см. соответственно
примеры VI.Б.5.1 и
VI.Б.5.3,
VI.Б.5.1 и
VI.Б.5.4.
5. Условие, при котором не обеспечивается равномерная передача сдвигающей силы на все ряды анкеров, увеличивает значения

и t - см.
примеры VI.Б.5.6 и
VI.Б.5.7.
6. Расположение закладной детали на верхней (при бетонировании) поверхности изделий увеличивает значения

и t - см.
примеры VI.Б.5.1 и
VI.Б.5.8.
VII. Конструкции при крутящих моментах
При действии крутящих моментов проводят следующие расчеты:
1. Прочности элемента между пространственными сечениями на действие крутящего момента (
п. 8.1.37 [1]);
2. Прочности пространственных сечений на действие крутящего момента (
п. 8.1.38 [1]);
3. Прочности пространственных сечений на совместное действие изгибающего и крутящего моментов (
п. 8.1.40 [1]);
4. Прочности элемента между пространственными сечениями на совместное действие крутящего момента и поперечной силы (
п. 8.1.41 [1]);
5. Прочности пространственных сечений на совместное действие крутящего момента и поперечной силы (
п. 8.1.42 [1]).
VII.А. Рекомендации по выбору примеров для тестирования
При проверке правильности расчетов элементов железобетонных конструкций на действие крутящих моментов примеры для тестирования рекомендуется выбирать так, чтобы учитывать влияние следующих факторов.
1. Класса бетона при расчете прочности элемента между пространственными сечениями на действие крутящего момента и на совместное действие крутящего момента и поперечной силы;
2. Продольного и поперечного армирования при расчете прочности пространственных сечений на действие крутящего момента и на совместное действие изгибающего и крутящего моментов;
3. Класса бетона, продольного и поперечного армирования при расчете прочности пространственных сечений на совместное действие крутящего момента и поперечной силы.
VII.Б.1. Проверка прочности элемента между пространственными
сечениями на действие крутящего момента
Условия и результаты расчетов
Номер примера | Исследуемый фактор | Условия расчетов | Предельный крутящий момент, кНм | |
| Пример базовый | Проверка прочности и "ручной" контроль. На элемент прямоугольного сечения b = 300, h = 800 мм действует крутящий момент T = 84 кНм. Бетон класса В35,  . Требуется проверить прочность элемента. | 126,4 | Выполнены |
| Бетон | Влияние класса бетона. Использован тяжелый бетон класса В40. | 142,6 | |
Пример VII.Б.1.1 (базовый)
Результат. Действующий крутящий момент 84 кНм меньше предельного 126,4 кНм. Требования
[1] выполнены.
"Ручной" контроль. Согласно
формуле (8.66) [1] предельный крутящий момент определяют по формуле:

.
Значение

совпадает с полученным по программе.
Результат. Увеличение класса бетона увеличивает предельный крутящий момент до величины 142,6 кНм, по сравнению со значением 125,1 кНм в базовом примере. Требования
[1] выполнены.
VII.Б.2. Проверка прочности пространственных
сечений на действие крутящего момента
Особенности расчетов. Согласно
п. 8.1.38 [1] отношение

должно находиться в пределах от 0,5 до 1,5. Если это требование не выполняется, в расчете учитывают такое количество арматуры (продольной или поперечной), при котором значение V оказывается в указанных пределах.
В рассматриваемых ниже примерах в запас прочности принято, что при V < 0,5 в расчете уменьшается площадь сечения продольной арматуры так, чтобы выполнялось условие V = 0,5, а при V > 1,5 уменьшается расчетная интенсивность поперечного армирования

так, чтобы выполнялось условие V = 1,5.
Условия и результаты расчетов
Номер примера | Исследуемый фактор | Условия расчетов | Предельный крутящий момент, кНм | |
| Пример базовый | Проверка прочности и "ручной" контроль. Продольная арматура  А400. Растянутой гранью является ширина сечения b = 300 мм. Поперечная арматура из стержней  А240, число ветвей в одной плоскости 3, шаг 100 мм. Остальные условия такие же, как в примере VII.Б.1.1. Требуется проверить прочность элемента. | 128,7 | Выполнены |
| Армирование | | 160,3 | Выполнены |
| 160,3 |
| Влияние поперечного армирования. В примерах VII.Б.2.4, VII.Б.2.5, VII.Б.2.6 принята поперечная арматура соответственно  ,  ,  А400, число ветвей в одной плоскости 3, шаг 80 мм. Продольная арматура во всех указанных примерах  А400. | 84,7 | Выполнены |
| 95,3 |
| 95,3 |
Пример VII.Б.2.1 (базовый)
Результат. Действующий крутящий момент 84 кНм меньше предельного 128,7 кНм. Требования
[1] выполнены.

.

.

.

;

.

.
Значение

при "ручном" контроле совпадает с полученным по программе.
Примеры VII.Б.2.2, VII.Б.2.3
Результат. В примере VII.Б.2.2 площадь поперечного сечения продольной арматуры у растянутой грани

больше, чем

в базовом примере. Поэтому и предельный крутящий момент

в примере VII.Б.2.2 больше, чем

в базовом примере.
Дальнейшее увеличение

до значения 11,40 см2

в примере VII.Б.2.3 не вызывает увеличения предельного крутящего момента: в примерах VII.Б.2.2 и VII.Б.2.3 предельные крутящие моменты одинаковы

. Это объясняется описанными выше особенностями расчетов.
В базовом примере выполняется неравенство

. В примерах VII.Б.2.2, VII.Б.2.3 выполняется неравенство V < 0,5. В последнем случае, как указано выше, расчетное значение

уменьшается так, чтобы выполнялось условие V = 0,5. Поэтому расчетное значение

в обоих примерах оказывается одинаковым, и величина

не меняется.
Примеры VII.Б.2.4 - VII.Б.2.6
Результат. В примере VII.Б.2.4 интенсивность поперечного армирования

меньше, чем

в базовом примере. Меньше также и площадь поперечного сечения продольной арматуры

, по сравнению со значением

. Поэтому и предельный крутящий момент

в примере VII.Б.2.4 меньше, чем

в базовом примере.
В примере VII.Б.2.5 значение

больше, чем

в примере VII.Б.2.4. Поэтому и предельный крутящий момент

больше, чем

в базовом примере.
Дальнейшее увеличение

до значения 1187,5 кН/м в примере VII.Б.2.6 не вызывает увеличения предельного крутящего момента: в примерах VII.Б.2.5 и VII.Б.2.6 предельные крутящие моменты одинаковы

. Это, как и в
примерах VII.Б.2.2,
VII.Б.2.3, объясняется описанными выше особенностями расчетов.
В примере VII.Б.2.4 выполняется неравенство V < 1,5. В примерах VII.Б.2.5, VII.Б.2.6 выполняется неравенство V > 1,5. В последнем случае, как указано выше, расчетное значение

уменьшается так, чтобы выполнялось условие V = 1,5. Поэтому расчетное значение

в обоих примерах оказывается одинаковым, и величина

не меняется.
VII.Б.3. Проверка прочности пространственных сечений
на совместное действие изгибающего и крутящего моментов
Особенности расчетов. В рассматриваемых расчетах в число исходных данных входит предельный изгибающий момент, воспринимаемый сечением. Значение момента определяют расчетом нормальных сечений.
Условия и результаты расчетов
Номер примера | Исследуемый фактор | Условия расчетов | Предельный крутящий момент, кНм | |
| Пример базовый | Проверка прочности. Продольная арматура  А400. В сечении действует изгибающий момент 120,5 кНм. Предельный воспринимаемый изгибающий момент в сечении 190 кНм. Остальные условия такие же, как в примере VII.Б.2.1. Требуется проверить точность элемента. | 99,5 | Выполнены |
| Армирование | Влияние продольного армирования. Продольная арматура  А400. Предельный воспринимаемый изгибающий момент в сечении 234 кНм. | 144,2 | Выполнены |
| Влияние поперечного армирования. Поперечная арматура из стержней  А240. | 86,1 | Выполнены |
Пример VII.Б.3.1 (базовый)
Результат. Предельный воспринимаемый крутящий момент 99,5 кНм превышает действующий крутящий момент 84 кНм. Требования
[1] выполнены.
Результат. При увеличении диаметра продольной арматуры с 18 до 20 мм предельные изгибающие и крутящие моменты возросли соответственно от значений 190 и 99,5 кНм в базовом примере до 234 и 144,2 кНм в рассматриваемом примере. Требования
[1] выполнены.
Результат. При уменьшении диаметра поперечной арматуры с 12 до 10 мм предельный крутящий момент уменьшился от значения 99,5 кНм в базовом примере до 86,1 кНм. Требования
[1] выполнены.
VII.Б.4. Проверка прочности элемента
между пространственными сечениями на совместное
действие крутящего момента и поперечной силы
Особенности расчетов. В рассматриваемых расчетах в число исходных данных входит предельная поперечная сила, воспринимаемая бетоном между наклонными сечениями. Значение силы определяют расчетом наклонных сечений.
Условия и результаты расчетов
Номер примера | Исследуемый фактор | Условия расчетов | Предельный крутящий момент, кНм | |
| Пример базовый | Проверка прочности. Действующая и предельная поперечные силы между пространственными сечениями равны соответственно 300 и 1200 кН. Остальные условия такие же, как в примере VII.Б.1.1. Требуется проверить прочность элемента. | 94,7 | Выполнены |
| Бетон | Влияние класса бетона. Принят класс бетона В40. Действующая и предельная поперечные силы равны соответственно 300 и 1354 кН. | 111,0 | Выполнены |
Пример VII.Б.4.1 (базовый)
Результат. Предельный крутящий момент 94,7 кНм превышает действующий момент 84 кНм. Требования
[1] выполнены.
Результат. Увеличение класса бетона до В40 приводит к увеличению предельного крутящего момента от значения 94,7 кН в базовом примере до 111,0 кН. Требования
[1] выполнены.
VII.Б.5. Проверка прочности пространственных сечений
на совместное действие крутящего момента и поперечной силы
Особенности расчетов. В рассматриваемых расчетах в число исходных данных входит предельная поперечная сила, воспринимаемая бетоном в нормальном сечении. Значение силы определяют по
формуле (8.60) [1].
Условия и результаты расчетов
Номер примера | Исследуемый фактор | Условия расчетов | Предельный крутящий момент, кНм | |
| Пример базовый | Проверка прочности. Действующая и предельная поперечные силы в нормальном сечении равны соответственно 219 и 762 кН. Остальные условия такие же, как в примере VII.Б.2.1. Требуется проверить прочность элемента. | 91,7 | Выполнены |
| Бетон | Влияние класса бетона. Принят класс бетона В40. Действующая и предельная поперечные силы равны соответственно 218 и 793 кН. | 93,3 | Выполнены |
| Армирование | Влияние продольного армирования. Продольная арматура  А400. | 111,5 | Выполнены |
| Влияние поперечного армирования. Поперечная арматура из стержней  А240. Действующая и предельная поперечные силы равны соответственно 212 и 610 кН. | 72,6 | Не выполнены |
Пример VII.Б.5.1 (базовый)
Результат. Предельный крутящий момент 91,7 кНм превышает действующий момент 84 кНм. Требования
[1] выполнены.
Результат. В рассматриваемом расчете класс бетона влияет только на действующую и предельную поперечные силы в нормальном сечении. Увеличение класса бетона до В40 приводит к увеличению предельного крутящего момента от значения 91,7 кН в базовом примере до 93,3 кН. Требования
[1] выполнены.
Результат. Увеличение диаметра продольных стержней с 18 мм в базовом примере до 20 мм приводит к увеличению предельного крутящего момента от значения 91,7 кН до 111,5 кН. Требования
[1] выполнены.
Результат. Уменьшение диаметра поперечных стержней с 12 мм в базовом примере до 10 мм приводит к уменьшению предельного крутящего момента от значения 91,7 кН до 72,6 кН. Требования
[1] не выполнены.
VII.В. Рекомендации по оценке правильности расчетов
Ниже приведены некоторые общие положения, которыми следует руководствоваться при оценке правильности расчетов на действие крутящих моментов. В рекомендациях по оценке правильности проверки прочности пространственных сечений на действие крутящего момента учтены особенности расчетов, указанные в
п. VII.Б.2 настоящего Пособия.
1. При повышении класса бетона повышается предельный крутящий момент в расчетах:
- прочности элемента между пространственными сечениями на совместное действие крутящего момента и поперечной силы - см.
примеры VII.Б.4.1 и
VII.Б.4.2;
- в расчетах прочности пространственных сечений на совместное действие крутящего момента и поперечной силы - см.
примеры VII.Б.5.1 и
VII.Б.5.2.
2. В расчетах прочности пространственных сечений на действие крутящего момента при увеличении площади сечения продольной арматуры предельный крутящий момент изменяется следующим образом:
- если в обоих сравниваемых случаях отношение

или при меньшем армировании V >= 0,5, а при большем армировании V < 0,5, то предельный крутящий момент увеличивается - см.
примеры VII.Б.2.1 и
VII.Б.2.2,
VII.Б.2.1 и
VII.Б.2.3;
3. В расчетах прочности пространственных сечений на действие крутящего момента при увеличении интенсивности поперечного армирования

предельный крутящий момент изменяется следующим образом:
- если в обоих сравниваемых случаях значение V <= 1,5 или при меньшем армировании V <= 1,5, а при большем армировании V > 1,5, предельный крутящий момент увеличивается - см.
примеры VII.Б.2.4 и
VII.Б.2.5,
VII.Б.2.4 и
VII.Б.2.6;
4. При увеличении площади поперечного сечения продольной арматуры или интенсивности поперечного армирования повышается предельный крутящий момент в расчетах:
VIII. Конструкции при местных нагрузках
В настоящем разделе рассмотрены следующие расчеты:
- на местное сжатие (смятие);
- на продавливание.
VIII.А. Рекомендации по выбору примеров для тестирования
Ниже перечислены факторы, влияние которых рекомендуется учитывать, проверяя правильность расчетов прочности железобетонных элементов при действии местных нагрузок.
Расчеты на местное сжатие (смятие)
1. Класс бетона;
2. Размеры площадки смятия;
3. Распределение нагрузки по площади смятия - равномерно или неравномерно;
- вдали от краев элемента;
- по всей ширине элемента;
- у края (торца) элемента по всей его ширине;
- на углу элемента;
- у одного края элемента;
- вблизи одного края элемента;
5. Косвенное армирование;
6. Параметры косвенного армирования.
Рис. VIII.1. Схемы для расчета элементов на местное
сжатие при расположении площадки смятия:
а) - вдали от краев элемента; б) - по всей ширине элемента;
в) - у края (торца) элемента по всей его ширине;
г) - на углу элемента; д) - у одного края элемента;
е) - вблизи одного края элемента
1 - элемент, на который действует местная нагрузка;
2 - площадь смятия

; 3 - максимальная расчетная
площадь

; 4 - центр тяжести площадей

и

;
5 - минимальная зона армирования сетками, при которой
косвенное армирование учитывается в расчете
Расчеты на продавливание
1. Класс бетона;
2. Размеры площадки продавливания;
3. Поперечное армирование;
4. Параметры поперечного армирования;
- внутри плоского элемента;
- в углу плоского элемента;
- у края плоского элемента;
- при крестообразном расположении поперечной арматуры;
- за границами расположения поперечной арматуры;
6. Расстояния до краев элемента при расположении контуров поперечного сечения внутри и в углу плоского элемента;
7. Расстояния между крайними стержнями поперечной арматуры при крестообразном расположении поперечной арматуры.
Рис. VIII.2. Схема расчетных контуров
поперечного сечения при продавливании:
а) - площадка приложения нагрузки внутри плоского элемента;
б), в) - то же, у края плоского элемента;
г) - при крестообразном расположении поперечной арматуры
1 - площадь приложения нагрузки; 2 - расчетный контур
поперечного сечения; 2' - второй вариант расположения
расчетного контура; 3 - центр тяжести расчетного контура
(место пересечения осей

и

); 4 - центр тяжести
площадки приложения нагрузки (место пересечения осей X и Y);
5 - поперечная арматура; 6 - контур расчетного поперечного
сечения без учета в расчете поперечной арматуры;
7 - граница (край) плоского элемента
VIII.Б.1. Расчет железобетонных элементов
на местное сжатие (смятие)
Условия и результаты расчетов
Номер примера | Исследуемый фактор | Условия расчетов | Предельная сила смятия, кН | |
| Пример базовый | Проверка прочности и "ручной" контроль. На элемент вдали от его краев ( Рис. VIII.1, а) действует местная нагрузка 1000 кН. Площадка передачи нагрузки (площадка смятия) имеет размеры  ,  . Бетон тяжелый класса В15,  . Нагрузка распределяется равномерно по площади смятия. Требуется проверить прочность элемента. | 2834 | Выполнены |
| Бетон | Влияние класса бетона. Принят бетон класса В20. | 3835 | Выполнены |
| Размеры | Влияние размеров площади смятия. Принят размер  . | 3259 | Выполнены |
| Передача нагрузки | Влияние равномерности передачи нагрузки. Нагрузка распределяется неравномерно по площади смятия. | 2126 | Выполнены |
| Расположение | Влияние расположения площадки смятия. В примерах VIII.Б.1.5, VIII.Б.1.6, VIII.Б.1.7, VIII.Б.1.8, VIII.Б.1.9, площадка смятия расположена в соответствии с Рис. VIII.1 б, в, г, д, е. Размеры  ,  как в базовом примере. В примерах VIII.Б.1.9, VIII.Б.1.10 площадка смятия расположена в соответствии с Рис. VIII.1 е. Размеры  ,  как в базовом примере. Размер c = 250 и c = 200 мм в примерах VIII.Б.1.9, VIII.Б.1.10 соответственно. | 1911 | Выполнены |
| 1148 |
| 1148 |
| 1911 |
| 2702 |
| 2564 |
| | ИС МЕГАНОРМ: примечание. В официальном тексте документа, видимо, допущена опечатка: пример VIII.Б.1.13 отсутствует. | |
|
| Армирование | Влияние косвенного армирования. В примере VIII.Б.1.11 приняты следующие параметры косвенного армирования: сетки из стержней  А240, по 4 стержня в каждом направлении, шаг 100 и 150 мм вдоль размеров соответственно 300 и 500 мм, расстояние между сетками 150 мм. В примере VIII.Б.1.12 диаметр стержней сеток 10 мм, а в примере VIII.Б.1.13 расстояние между сетками 100 мм; остальные параметры как в примере VIII.Б.1.10. | 3017 | Выполнены |
| 3119 |
VIII.Б.1.13 | 3102 |
Пример VIII.Б.1.1 (базовый)
Результат. Действующая местная нагрузка 1000 кН меньше предельной силы смятия 2834 кН. Требования
[1] выполнены.

;

.

.
Полученное значение удовлетворяет условиям

.

.
При равномерном распределении нагрузки по площади смятия коэффициент

.

.
Значения

, полученные по программе и при "ручном" контроле, совпадают.
Результат. Предельная сила смятия 3835 кН возросла, по сравнению со значением 2834 кН в базовом примере. Требования
[1] выполнены.
Результат. Предельная сила смятия 3259 кН возросла, по сравнению со значением 2834 кН в базовом примере. Требования
[1] выполнены.
Результат. При неравномерной передаче нагрузки по площади смятия предельная сила смятия 2126 кН уменьшилась, по сравнению со значением 2834 кН в базовом примере, и составляет 0,75 от этой величины - см.
формулу (8.80) [1]. Требования
[1] выполнены.
Примеры VIII.Б.1.5 - VIII.Б.1.10
Результат. В базовом примере при расположении площадки смятия вдали от краев элемента предельная сила смятия

.
Значение

уменьшается до 1911 кН при расположении площадки смятия:
- по всей ширине элемента - пример VIII.Б.1.5,
Рис. VIII.1 б;
- у одного края элемента - пример VIII.Б.1.8,
Рис. VIII.1 д.
Значение

уменьшается до 1148 кН при расположении площадки смятия:
- у края (торца) элемента по всей его ширине - пример VIII.Б.1.6,
Рис. VIII.1 в;
При расположении площадки смятия вблизи одного края элемента (
Рис. VIII.1 е) значение

уменьшается до 2702 кН при c = 250 мм (пример VIII.Б.1.9) и до 2564 кН при c = 200 мм, т.е.

тем меньше, чем ближе площадка смятия к краю элемента.
Значения

оказываются одинаковыми в обоих примерах каждой из пар:
Это объясняется тем, что в указанных примерах одинаковы значения площади смятия

и максимальной расчетной площади

.
| | ИС МЕГАНОРМ: примечание. Нумерация примеров дана в соответствии с официальным текстом документа. | |
Примеры VIII.Б.1.10 - VIII.Б.1.12
Результат. В базовом примере при отсутствии косвенного армирования предельная сила смятия

.
В примере VIII.Б.1.10 косвенное армирование увеличило значение

до 3017 кН.
В примере VIII.Б.1.11 увеличение диаметра стержней сеток до 10 мм, по сравнению с диаметром 8 мм в примере VIII.Б.1.10, увеличило

до 3119 кН, по сравнению со значением 3017 кН.
В примере VIII.Б.1.12 уменьшение расстояния между сетками до 100 мм, по сравнению с расстоянием 150 мм в примере VIII.Б.1.10, увеличило

до 3102 кН, по сравнению со значением 3017 кН.
Во всех примерах с косвенным армированием значение

не превышает удвоенного значения

в базовом примере без косвенного армирования (
п. 8.1.45 [1]).
VIII.Б.2. Расчет железобетонных элементов на продавливание
при расположении площадки приложения нагрузки
внутри плоского элемента
Условия и результаты расчетов
Номер примера | Исследуемый фактор | Условия расчетов | Z | |
| Пример базовый | Проверка прочности и "ручной" контроль. Площадка приложения нагрузки (площадка продавливания) находится внутри плоского элемента ( Рис. VIII.2, а). Действующие силы F = 200 кН,  ,  . Размеры площадки продавливания  ,  . Рабочие высоты сечений  ,  . Бетон тяжелый класса В30,  . Требуется проверить прочность элемента. | 0,60 | Выполнены |
| Бетон | Влияние класса бетона. Принят бетон класса В35. | 0,54 | Выполнены |
| Размеры | Влияние размеров площадки продавливания. Размеры площадки продавливания  ,  . | 0,54 | Выполнены |
| Армирование | Влияние поперечного армирования. В примере VIII.Б.2.4 принято поперечное армирование из стержней  А240, шаг, параллельный контуру, 60 мм, по 2 стержня в пределах  по обе стороны контура. В остальных примерах меняются отдельные параметры: | 0,37 | Выполнены |
| 0,30 |
| 0,30 |
| 0,41 |
| 0,31 |
| Расчет за границей расположения поперечной арматуры. Расстояния от границ площадки продавливания до границ поперечного армирования 200 мм. | 0,43 | Выполнены |
Пример VIII.Б.2.1 (базовый)
Результат. Предельные усилия:

,

,

. Левая часть
формулы (8.96) [1] Z = 0,60 < 1. Требования
[1] выполнены.

.

;

.
Периметр расчетного контура поперечного сечения:

.

.

.

;

.

;

.

;

;

.

.
Значения предельных усилий и Z совпадают с полученными по программе.
Результат. Предельные усилия

,

,

возросли, а левая часть
формулы (8.96) [1] Z = 0,54 уменьшилась, по сравнению с соответствующими значениями

,

,

, Z = 0,60 в базовом примере. Требования
[1] выполнены.
Результат. Предельные усилия

,

,

возросли, а левая часть
формулы (8.96) [1] Z = 0,54 уменьшилась, по сравнению с соответствующими значениями в базовом примере. Требования
[1] выполнены.
Примеры VIII.Б.2.4 - VIII.Б.2.8
Результат. В рассматриваемых примерах предельные усилия

,

,

, воспринимаемые бетоном, не изменились, по сравнению с базовым примером. Предельные усилия, воспринимаемые поперечной арматурой, а также значения Z представлены в таблице.
Номер примера |  , кН |  , кНм |  , кНм | Z |
VIII.Б.2.4 | 431,1 | 129,5 | 108,0 | 0,37 |
VIII.Б.2.5 | 663,9 | 199,5 | 166,3 | 0,30 |
VIII.Б.2.6 | 663,9 | 199,5 | 166,3 | 0,30 |
VIII.Б.2.7 | 517,3 | 155,5 | 129,6 | 0,34 |
VIII.Б.2.8 | 646,6 | 194,3 | 162,0 | 0,31 |
В примере VIII.Б.2.4 учитывается поперечная арматура. Сумма предельных усилий, воспринимаемых бетоном и арматурой, больше, чем значения предельных усилий, воспринимаемых бетоном, в базовом примере. Поэтому Z = 0,37 меньше, чем Z = 0,60 в базовом примере.
Изменение параметров поперечного армирования в примерах VIII.Б.2.5 - VIII.Б.2.8, по сравнению с примером VIII.Б.2.4, приводит к увеличению интенсивности поперечного армирования

и, как следствие, возрастанию предельных усилий и уменьшению Z. Однако в примерах VIII.Б.2.5 и VIII.Б.2.6 значения предельных усилий и Z одинаковы. Это вызвано тем, что значения

,

,

в
формуле (8.96) [1] принимают соответственно не более

,

,

(
п. 8.1.50 [1]).
Требования
[1] во всех рассмотренных примерах выполнены.
Результат. По сравнению с соответствующими значениями в базовом примере, из-за увеличения периметра контура расчетного поперечного сечения предельные усилия

,

,

увеличились. Как следствие, значение Z = 0,43 уменьшилось, по сравнению с Z = 0,60 в базовом примере. Требования
[1] выполнены.
VIII.Б.3. Расчет железобетонных элементов на продавливание
при расположении площадки приложения нагрузки
в углу плоского элемента
Условия и результаты расчетов
Номер примера | Исследуемый фактор | Условия расчетов | Z | |
| Пример базовый | Проверка прочности. Площадка продавливания находится в углу плоского элемента ( Рис. VIII.2, б). Расстояния до краев элемента 400 мм. Все остальные условия такие же, как в примере VIII.Б.2.1. | 0,70 | Выполнены |
| Геометрия | | 0,66 | Выполнены |
| 0,60 | Выполнены |
| Армирование | Влияние поперечного армирования. Поперечное армирование принято таким же, как в примере VIII.Б.2.4. | 0,42 | Выполнены |
| Расчет за границей расположения поперечной арматуры. Расстояния от границ площадки продавливания до границ поперечного армирования 200 мм. | 0,83 | Выполнены |
Пример VIII.Б.3.1 (базовый)
Результат. Согласно
п. 8.1.46 [1], при расположении площадки продавливания в углу плоского элемента рассматривают два варианта расчетного контура поперечного сечения - замкнутого вокруг площадки продавливания и незамкнутого, следующего от краев плоского элемента. Окончательно принимают более опасный вариант (с меньшей несущей способностью). Во всех примерах раздела VIII.Б.3, кроме
примера VIII.Б.3.3, более опасным оказывается вариант с незамкнутым контуром.
Предельные усилия:

,

,

. Значения изгибающих сосредоточенных моментов от внешней нагрузки с учетом дополнительного момента от внецентренного приложения сосредоточенной силы относительно центра тяжести контура расчетного поперечного сечения (
п. 8.1.46 [1])

,

. Как видно, дополнительный момент уменьшает первоначально действующие моменты

,

. Левая часть
формулы (8.96) [1] Z = 0,70 < 1. Требования
[1] выполнены.
По сравнению с
примером VIII.Б.2.1, в котором площадка продавливания находится внутри плоского элемента, в рассматриваемом примере значения предельных усилий уменьшились, а значение Z увеличилось.
Примеры VIII.Б.3.2, VIII.Б.3.3
Результат. В примере VIII.Б.3.2 увеличены расстояния до краев элемента до 800 мм, по сравнению с расстояниями 400 мм в базовом примере. В результате предельные усилия

,

,

возросли, а левая часть
формулы (8.96) [1] Z = 0,66 уменьшилась, по сравнению с соответствующими значениями в базовом примере.
Значения изгибающих сосредоточенных моментов от внешней нагрузки с учетом дополнительного момента от внецентренного приложения сосредоточенной силы

,

оказались больше, чем в базовом примере. Это объясняется тем, что при увеличении расстояния до краев плоского элемента эксцентриситет сосредоточенной силы уменьшается. Требования
[1] выполнены.
В примере VIII.Б.3.3 при дальнейшем увеличении расстояний до краев элемента до 1000 мм наиболее опасным оказывается вариант расчетного контура, замкнутого вокруг площадки продавливания. Значение Z = 0,60 и предельные усилия

,

,

становятся такими же, как в
примере VIII.Б.2.1 при расположении площадки продавливания внутри плоского элемента. Эксцентриситет приложения сосредоточенной силы равен нулю. Изгибающие сосредоточенные моменты от внешней нагрузки

,

остаются без изменений. Требования
[1] выполнены.
Результат. Значения предельных усилий, определяемых бетоном

,

,

, такие же, как в базовом примере. Значения предельных усилий, определяемых поперечной арматурой:

,

,

. В результате слагаемые в левой части
формулы (8.96) [1] уменьшаются, и уменьшается значение Z = 0,42, по сравнению с соответствующими значениями в базовом примере. Требования
[1] выполнены.
В рассматриваемом примере значения предельных усилий, определяемых поперечной арматурой, уменьшаются, по сравнению с соответствующими усилиями

,

,

в
примере VIII.Б.2.4, хотя поперечное армирование в обоих случаях одинаково. Это объясняется тем, что в рассматриваемом примере уменьшается периметр расчетного контура поперечного сечения u и момент сопротивления

- см.
формулы (8.91) и
(8.97) [1].
Значения изгибающих сосредоточенных моментов от внешней нагрузки с учетом дополнительного момента

,

остались такими же, как в базовом примере, поскольку не изменился расчетный контур поперечного сечения.
Результат. Значения предельных усилий:

,

,

. Значения изгибающих сосредоточенных моментов от внешней нагрузки с учетом дополнительного момента

,

. Левая часть
формулы (8.96) [1] Z = 0,83. Требования
[1] выполнены.
VIII.Б.4. Расчет железобетонных элементов на продавливание
при расположении площадки приложения нагрузки
у края плоского элемента
Условия и результаты расчетов
Номер примера | Исследуемый фактор | Условия расчетов | Z | |
| Пример базовый | Проверка прочности. Площадка продавливания находится у края плоского элемента ( Рис. VIII.2, в). Расстояние до края элемента 400 мм. Все остальные условия такие же, как в примере VIII.Б.2.1. | 0,63 | Выполнены |
| Геометрия | Влияние расстояний до краев элемента. Расстояния до краев элемента 800 мм. | 0,60 | Выполнены |
| Армирование | Влияние поперечного армирования. Поперечное армирование принято таким же, как в примере VIII.Б.2.4. | 0,38 | Выполнены |
| Расчет за границей расположения поперечной арматуры. Расстояния от границ площадки продавливания до границ поперечного армирования 200 мм. | 0,61 | Выполнены |
Пример VIII.Б.4.1 (базовый)
Результат. Как и в
разделе VIII.Б.3, рассматривают два варианта расчетного контура поперечного сечения. Во всех примерах раздела VIII.Б.4, кроме
примера VIII.Б.4.2, более опасным оказывается вариант с незамкнутым контуром.
Предельные усилия:

,

,

. Значения изгибающих сосредоточенных моментов от внешней нагрузки с учетом дополнительного момента от внецентренного приложения сосредоточенной силы относительно центра тяжести контура расчетного поперечного сечения (
п. 8.1.46 [1])

,

. Левая часть
формулы (8.96) [1] Z = 0,63 < 1. Требования
[1] выполнены.
По сравнению с
примером VIII.Б.2.1, в котором площадка продавливания находится внутри плоского элемента, в рассматриваемом примере значения предельных усилий

,

уменьшились, а значения

, Z увеличились. По сравнению с
примером VIII.Б.3.1, в котором площадка продавливания находится в углу плоского элемента, в рассматриваемом примере значения предельных усилий увеличились, а значение Z уменьшилось.
Результат. В рассматриваемом примере увеличено расстояние до края элемента до 800 мм, по сравнению с расстоянием 400 мм в базовом примере. В результате наиболее опасным оказался вариант расчетного контура, замкнутого вокруг площадки продавливания. Значение Z = 0,60 и предельные усилия

,

,

становятся такими же, как в
примерах VIII.Б.2.1,
VIII.Б.3.3 при расположении площадки продавливания внутри плоского элемента. Эксцентриситет приложения сосредоточенной силы равен нулю. Изгибающие сосредоточенные моменты от внешней нагрузки

,

остаются без изменений. Требования
[1] выполнены.
Результат. Значения предельных усилий, определяемых бетоном

,

,

, такие же, как в базовом примере. Значения предельных усилий, определяемых поперечной арматурой:

,

,

. В результате слагаемые в левой части
формулы (8.96) [1] уменьшаются, и уменьшается значение Z = 0,38, по сравнению с соответствующими значениями в базовом примере. Требования
[1] выполнены.
В рассматриваемом примере значения предельных усилий, определяемых поперечной арматурой, изменились, по сравнению с соответствующими усилиями

,

,

в
примере VIII.Б.2.4 и соответствующими усилиями

,

,

в
примере VIII.Б.3.4. Это объясняется следующим. Хотя поперечное армирование во всех случаях одинаково, в рассматриваемом примере, по сравнению с
примерами VIII.Б.2.3 и
VIII.Б.3.4, изменяется периметр расчетного контура поперечного сечения u и момент сопротивления

- см.
формулы (8.91) и
(8.97) [1].
Значения изгибающих сосредоточенных моментов от внешней нагрузки с учетом дополнительного момента

,

остались такими же, как в базовом примере, поскольку не изменился расчетный контур поперечного сечения.
VIII.Б.5. Расчет железобетонных элементов на продавливание
при крестообразном расположении поперечной арматуры
Условия и результаты расчетов
Номер примера | Исследуемый фактор | Условия расчетов | Z | |
| Пример базовый | Проверка прочности. Рассматривается крестообразное расположение поперечной арматуры ( Рис. VIII.2, г). Характеристики поперечного армирования как в примере VIII.Б.2.4. Расстояние между крайними стержнями  ,  . Все остальные условия как в примере VIII.Б.2.1. | 0,42 | Выполнены |
| Армирование | Влияние поперечного армирования. Расстояние между крайними стержнями  ,  . | 0,39 | Выполнены |
Пример VIII.Б.5.1 (базовый)
Результат. Предельные усилия:

,

,

,

,

,

. Левая часть
формулы (8.96) [1] Z = 0,42 < 1. Требования
[1] выполнены.
Результат. По сравнению с базовым примером, предельные усилия

,

,

остаются без изменений, а усилия

,

,

увеличиваются. Левая часть
формулы (8.96) [1] Z = 0,39 < 1 уменьшается. Требования
[1] выполнены.
VIII.В. Рекомендации по оценке правильности расчетов
Ниже приведены некоторые общие положения, которыми следует руководствоваться при оценке правильности расчетов на действие местных нагрузок.
Расчеты на местное сжатие (смятие)
3. При неравномерной передаче нагрузки по площади смятия сила

уменьшается, по сравнению со случаем равномерной передачи нагрузки - см.
примеры VIII.Б.1.1 и
VIII.Б.1.4.
4. Влияние расположения площадки смятия на величину силы

оценивается следующим образом. При прочих равных условиях максимальному значению

соответствует расположение площадки вдали от краев элемента -
пример VIII.Б.1.1. Ниже представлены другие варианты расположения площадки смятия, соответствующие убыванию

:
5. В случае расположения площадки смятия вблизи одного края элемента при уменьшении расстояния от границы площадки смятия до края элемента значение

уменьшается - см.
примеры VIII.Б.1.9 и
VIII.Б.1.10.
| | ИС МЕГАНОРМ: примечание. В официальном тексте документа, видимо, допущена опечатка: пример VIII.Б.1.13 отсутствует. | |
7. Увеличение диаметра стержней сеток косвенного армирования и уменьшение расстояния между сетками не уменьшает значение

- см.
примеры VIII.Б.1.11 и
VIII.Б.1.12, VIII.Б.1.13.
Расчеты на продавливание
4. Увеличение интенсивности поперечного армирования не уменьшает несущую способность (в некоторых случаях может не изменить ее) - см.
примеры VIII.Б.2.4 -
VIII.Б.2.8.
5. При прочих одинаковых условиях расположение площадки продавливания у края плоского элемента уменьшает несущую способность, по сравнению со случаем размещения площадки продавливания внутри плоского элемента - см. примеры:
6. При прочих одинаковых условиях расположение площадки продавливания в углу плоского элемента уменьшает несущую способность, по сравнению со случаем размещения площадки продавливания у края плоского элемента - см. примеры:
7. Увеличение расстояний до краев элемента от границы площадки продавливания, расположенной у края и в углу плоского элемента, увеличивает несущую способность. Наиболее опасный расчетный контур поперечного сечения может измениться с незамкнутого (при малых расстояниях) на замкнутый (при увеличенных расстояниях) - см. примеры:
8. При крестообразном расположении арматуры увеличение расстояния между крайними стержнями увеличивает несущую способность - см.
примеры VIII.Б.5.1 и
VIII.Б.5.2.
IX.А. Рекомендации по выбору примеров для тестирования
Примеры для тестирования расчетов плоскостных элементов рекомендуется выбирать так, чтобы они учитывали действие:
- моментов;
- моментов, продольных и сдвигающих сил;
- поперечных сил.
IX.Б. Расчет на действие моментов
IX.Б.1. Подбор сечений арматуры
Условия и результаты расчетов

- площадь сечения растянутой арматуры в сечении элемента, перпендикулярном оси x

- площадь сечения сжатой арматуры в сечении элемента, перпендикулярном оси x

- площадь сечения растянутой арматуры в сечении элемента, перпендикулярном оси y

- площадь сечения сжатой арматуры в сечении элемента, перпендикулярном оси y

- площадь сечения всей продольной арматуры (растянутой и сжатой) в сечениях элемента, перпендикулярных осям x и y
Номер примера | Исследуемый фактор | Условия расчетов | Площадь сечения арматуры, см2/п.м |
| Пример базовый | Подбор сечений симметричной арматуры. Рассматривается плоский элемент толщиной 300 мм из бетона класса В30,  . Арматура класса А400 в сечениях, перпендикулярных осям x и y, расположена на расстояниях до ближайших граней:  ,  . В сечениях элемента, перпендикулярных осям x и y, действуют изгибающие моменты соответственно  и  , крутящий момент  . Требуется определить площадь сечения растянутой и сжатой арматуры. | |
| Армирование | Подбор сечений несимметричной арматуры. При условиях базового примера требуется подобрать площадь сечения несимметричной арматуры. | |
| Бетон | Влияние класса бетона при симметричной арматуре. По сравнению с базовым примером, класс бетона увеличен до В40. | |
| Влияние класса бетона при несимметричной арматуре. По сравнению с примером IX.Б.1.2, класс бетона увеличен до В40. | |
Пример IX.Б.1.1 (базовый)
Результат. Получены следующие площади сечений арматуры

,

,

. Поскольку подбирается симметричная арматура, то площади сечения растянутой и сжатой арматуры равны.
Результат. В базовом примере площадь сечения растянутой и сжатой арматуры

,

. В рассматриваемом примере площадь сечения растянутой арматуры

,

изменилась мало, а площадь сечения сжатой арматуры

,

существенно уменьшилась. Общая площадь сечения арматуры

уменьшилась, по сравнению с

в базовом примере.
Результат. В базовом примере площадь сечения растянутой и сжатой арматуры

,

. В рассматриваемом примере подобранная площадь сечения арматуры

,

незначительно уменьшилась. Это связано со следующими обстоятельствами.
Согласно
п. 8.1.13 [1] при симметричном армировании необходимо проверять высоту сжатой зоны без учета сжатой арматуры. Если эта высота оказывается не меньше 2a', то класс бетона не оказывает влияния на несущую способность: момент воспринимается только растянутой и сжатой арматурой без участия бетона. В рассматриваемом случае указанное условие не выполняется, плечо внутренней пары сил увеличивается, и площадь сечения арматуры незначительно уменьшается.
Общая площадь сечения арматуры

незначительно уменьшилась, по сравнению с

в базовом примере.
Результат. В
примере IX.Б.1.2 подобранная площадь сечения арматуры оказалась равной

,

,

,

. В рассматриваемом примере незначительно уменьшились значения

,

,

. Это объясняется тем, что в изгибаемых элементах класс бетона мало влияет на армирование. В особенности это касается элементов рассматриваемого типа с относительно большой шириной (100 см) и малой высотой (30 см).
Общая площадь сечения арматуры

незначительно уменьшилась, по сравнению с

в
примере IX.Б.1.2.
IX.Б.2. Проверка армирования
Условия и результаты расчетов
Номер примера | Исследуемый фактор | Условия расчетов | |
| Пример базовый | Проверка прочности и "ручной" контроль. Рассматривается элемент с теми же параметрами, характеристиками материалов и усилиями, что и в примере IX.Б.1.1. Площадь сечения стержней арматуры подобрана по результатам решения того же примера:  ,  . Требуется проверить прочность сечения. | Выполнены |
| Армирование | Проверка подбора минимальной площади сечения арматуры. В сечении, перпендикулярном оси x, приняты арматурные стержни ближайшего меньшего диаметра, по сравнению с установленными в базовом примере:  . | Не выполнены |
Пример IX.Б.2.1 (базовый)
Результат. На Рис. IX.1 представлены полученные по программе результаты проверки требований
формул (8.100) -
(8.105) [1]: Как видно из рисунка, все необходимые требования выполнены.
Рис. IX.1. Результаты проверки требований
[1].
Пример IX.Б.2.1
"Ручной" контроль. По
п. 8.1.13 [1] определим высоту сжатой зоны бетона x. В сечении, перпендикулярном оси x:

.
В сечении, перпендикулярном оси y:

.

;

.
| | ИС МЕГАНОРМ: примечание. В официальном тексте документа, видимо, допущена опечатка: имеются в виду формулы (8.101) и (8.102), а не (101), (102). | |

.
| | ИС МЕГАНОРМ: примечание. В официальном тексте документа, видимо, допущена опечатка: имеется в виду формула (8.103), а не (103). | |

.
Результаты расчетов по программе и "вручную" практически совпадают.
Результат. Получены следующие значения предельных моментов:

;

;

;

.

.
IX.В. Расчет на действие моментов, продольных
и сдвигающих сил
IX.В.1. Подбор сечений арматуры
Условия и результаты расчетов
Условные обозначения такие же, как в таблице
п. IX.Б.1
Номер примера | Исследуемый фактор | Условия расчетов | Площадь сечения арматуры, см2/п.м |
| Пример базовый | Подбор сечений симметричной арматуры. Рассматривается такой же плоский элемент, как в примере IX.Б.1.1. В дополнение к моментам действуют силы: сжимающая  , растягивающая  , сдвигающая  . Требуется определить площадь сечения растянутой и сжатой арматуры. | |
| Армирование | Подбор сечений несимметричной арматуры. При условиях базового примера требуется подобрать площадь сечения несимметричной арматуры. | |
| Бетон | Влияние класса бетона при симметричной арматуре. По сравнению с базовым примером, класс бетона увеличен до В40. | |
| Влияние класса бетона при несимметричной арматуре. По сравнению с примером IX.Б.1.2, класс бетона увеличен до В40. | |
Пример IX.В.1.1 (базовый)
Результат. Получены следующие площади сечений арматуры:

,

,

. Поскольку подбирается симметричная арматура, то площади сечения растянутой и сжатой арматуры равны.
Результат. В базовом примере площадь сечения растянутой и сжатой арматуры

,

. В рассматриваемом примере площадь сечения растянутой и сжатой арматуры

,

,

,

изменилась. Общая площадь сечения арматуры

уменьшилась, по сравнению с

в базовом примере.
Результат. В базовом примере общая площадь сечения арматуры

. В рассматриваемом примере площадь

существенно уменьшилась, так как значительная часть сжимающей силы

воспринимается бетоном с возросшей прочностью.
Результат. В
примере IX.В.1.2 общая площадь сечения арматуры

. В рассматриваемом примере площадь

существенно уменьшилась, так как: значительная часть сжимающей силы

воспринимается бетоном с возросшей прочностью. По сравнению с
примером IX.В.1.3, значение

в рассматриваемом примере не изменилось.
IX.В.2. Проверка армирования
Условия и результаты расчетов
Номер примера | Исследуемый фактор | Условия расчетов | |
| Пример базовый | Проверка прочности. Рассматривается элемент с теми же параметрами, характеристиками материалов и усилиями, что и в примере IX.В.1.1. Площадь сечения стержней арматуры подобрана по результатам решения того же примера:  . Требуется проверить прочность сечения. | Выполнены |
| Армирование | Проверка подбора минимальной площади сечения арматуры. В примере IX.В.2.2 в сечении, перпендикулярном оси x, приняты арматурные стержни ближайшего меньшего диаметра, по сравнению с установленными в базовом примере:  . Аналогично в примере IX.В.2.3 принято  . | Не выполнены |
| Не выполнены |
Пример IX.В.2.1 (базовый)
Рис. IX.2. Результаты проверки требований
| | ИС МЕГАНОРМ: примечание. В официальном тексте документа, видимо, допущена опечатка: имеется в виду Рис. IX.3, а не Рис. IX.2. | |
Рис. IX.2. Результаты проверки требований
Примеры IX.В.2.2, IX.В.2.3
Результат. Получены следующие значения предельных усилий: моментов, продольных и сдвигающих сил:
Моменты, кНм |
Номер примера | Действующие | Предельные |
| | | | | | |
IX.В.2.2 | 577,5 | 22,3 | 20,0 | 574,8 | 52,2 | 137,7 | 52,8 |
IX.В.2.3 | 591,8 | 36,3 | 52,8 |
Продольные и сдвигающие силы, кН |
Номер примера | Действующие | Предельные |
| | | | | | |
IX.В.2.2 | 4500,0 | 70,0 | 400,0 | 4919,8 | 475,0 | 1377,0 | 402,4 |
IX.В.2.3 | 5065,0 | 329,8 | 402,4 |

.

;

.
В примерах IX.В.2.2, IX.В.2.3 подобрана минимальная площадь сечения арматуры.
IX.Г. Расчет на действие поперечных сил
IX.Г.1. Подбор поперечного армирования
Условия и результаты расчетов

,

- интенсивности поперечного армирования
Номер примера | Исследуемый фактор | Условия расчетов |  ,  Н/мм |
| Пример базовый | Подбор интенсивности поперечного армирования. Рассматривается такой же плоский элемент, как в примере IX.Б.1.1. На элемент действуют поперечные силы  ,  . Требуется определить интенсивности поперечного армирования. | |
| Бетон | Влияние класса бетона. По сравнению с базовым примером, класс бетона увеличен с В30 до В40. | |
Пример IX.Г.1.1 (базовый)
Результат. Получены интенсивности поперечного армирования:

,

. Поскольку

, то и

.
Результат. Увеличение класса бетона ведет к уменьшению поперечного армирования: 266,4 < 413,3, 99,9 < 155,0.
IX.Г.2. Проверка поперечного армирования
Условия и результаты расчетов
Номер примера | Исследуемый фактор | Условия расчетов | Z | |
| Пример базовый | Проверка прочности и "ручной" контроль. Рассматривается элемент с теми же параметрами, характеристиками материалов и усилиями, что и в примере IX.Г.1.1. Поперечная арматура класса А240 подобрана по результатам решения того же примера:  (  с шагом 15 см),  (  с шагом 15 см). Требуется проверить прочность элемента на действие поперечных сил. | 0,95 | Выполнены |
| Армирование | Проверка подбора минимальной интенсивности поперечного армирования. В сечении, перпендикулярном оси x, приняты поперечные стержни ближайшего меньшего диаметра, по сравнению с установленными в базовом примере:  (  с шагом 15 см). | 1,01 | Не выполнены |
Пример IX.Г.2.1 (базовый)

;

.

;

.

;

.

.
Значение Z совпадает с полученным по программе.
Результат. Получены следующие значения предельных поперечных сил:

;

.
Значение Z = 1,01 > 1. Требования
[1] не выполнены. В
примере IX.Г.1.1 подобрано минимальное поперечное армирование.
IX.В. Рекомендации по оценке правильности расчетов
Ниже приведены некоторые общие положения, которыми следует руководствоваться при оценке правильности расчетов плоскостных элементов.
1. При прочих равных условиях изменение симметричного армирования на несимметричное не увеличивает площадь сечения продольной арматуры - см. примеры:
-
IX.В.1.1 и
IX.В.1.2 (расчет на действие моментов, продольных и сдвигающих сил).
2. При прочих одинаковых условиях повышение класса бетона уменьшает площадь сечения продольной арматуры и интенсивность поперечного армирования - см. примеры:
X. Трещиностойкость нормальных сечений
железобетонных элементов
В настоящем Пособии трещиностойкость нормальных сечений проверяют по деформационной модели. Расчет в общем случае состоит из двух этапов. На первом определяют моменты трещинообразования от кратковременных и длительных нагрузок. Если эти моменты оказываются не меньше действующих моментов, трещины не образуются. Расчет заканчивают. Требования
[1] выполнены.
Если же хотя бы один из моментов трещинообразования оказывается меньше соответствующего действующего момента, выполняют второй этап расчета. Определяют непродолжительное и продолжительное раскрытие трещин. Если эти величины не превышают предельных значений, требования
[1] считают выполненными, в противном случае невыполненными.
При проверке значений моментов трещинообразования рекомендуется учитывать необходимость выполнения следующих условий:
- уравнений равновесия
(8.26) -
(8.28) [1], в которых действующие моменты

,

в уравнениях
(8.26),
(8.27) [1] заменяются соответствующими моментами трещинообразования;
- уравнений
(8.29) [1], определяющих распределение деформаций бетона по сечению, причем деформации в наиболее растянутых волокнах бетона должны быть равны предельным значениям относительных деформаций бетона при растяжении

.
Согласно уравнению
(8.28) [1] сумма всех продольных усилий в бетоне и арматуре должна быть равна внешнему продольному усилию. При изгибе и косом изгибе внешнее продольное усилие равно нулю. Вследствие этого в уравнениях
(8.26) -
(8.29) [1] действующие усилия отсутствуют, и моменты трещинообразования оказываются одинаковыми для кратковременных и длительных нагрузок. Во всех остальных случаях (внецентренное сжатие, косое внецентренное сжатие, внецентренное растяжение, косое внецентренное растяжение) в уравнение
(8.28) [1] входит ненулевая продольная сила. Моменты трещинообразования для кратковременных и длительных нагрузок будут разными.
Ниже при описании условий и результатов расчетов использованы следующие обозначения:
- M,

- соответственно момент действующий и трещинообразования;
-

,

- ширина раскрытия трещин соответственно расчетная и предельная.
X.А. Рекомендации по выбору примеров для тестирования
Ниже перечислены факторы, влияние которых рекомендуется учитывать, проверяя правильность расчетов трещиностойкости нормальных сечений железобетонных элементов.
1. Вид напряженного состояния - изгиб, косой изгиб, внецентренное сжатие, косое внецентренное сжатие, внецентренное растяжение, косое внецентренное растяжение;
2. Подбор или проверка армирования;
3. Форма сечения - прямоугольное, тавровое, двутавровое, круглое, кольцевое, произвольное и др.;
4. Вид бетона - тяжелый, мелкозернистый, легкий и др.;
5. Вид диаграммы состояния бетона - двухлинейная, трехлинейная;
6. Наличие или отсутствие предварительно напрягаемой арматуры;
7. Вид напрягаемой арматуры - стержневая, проволочная, канатная;
8. Величина натяжения напрягаемой арматуры;
9. Наличие или отсутствие подбираемой сжатой арматуры;
10. Наличие заранее установленной арматуры;
11. Расположение арматуры в сечении - у граней, вдоль контура и внутри сечения, на различных окружностях (для круглых и кольцевых сечений);
12. Разбиение стержней внутри сечения на группы с одинаковыми диаметрами;
13. Симметричное армирование;
14. Получение минимального армирования при подборе;
15. Диаметр стержней;
16. Длительность действия нагрузок;
17. Эксцентриситет приложения продольной силы (для внецентренно сжатых и внецентренно растянутых элементов);
18. Условие ограничения раскрытия трещин - обеспечение сохранности арматуры или ограничение проницаемости конструкций;
19. Действие сжимающих и растягивающих сил.
Примеры разделов X.Б -
X.Ж иллюстрируют приведенные выше положения.
X.Б.1. Элемент прямоугольного сечения без предварительного
напряжения арматуры, подбор армирования
Условия и результаты расчетов
Номер примера | Исследуемый фактор | Условия расчетов | Результаты расчетов |
Количество и диаметры стержней группы | Площадь сечения арматуры, см2 |
1-й | 2-й |
| Пример базовый | Подбор растянутой арматуры. Рассматривается сечение с параметрами, характеристиками материалов и армированием, как в примере IV.Б.1.1  . Моменты от кратковременных и длительных нагрузок соответственно 170 и 120 кНм. Требуется определить диаметры растянутых стержней из условия сохранности арматуры. | | | 10,60 |
| Бетон | Влияние класса бетона. Использован тяжелый бетон класса В100. | | | 9,42 |
| Влияние вида бетона. Использован керамзитоперлитобетон на вспученном перлитовом песке с маркой по средней плотности D1900 класса В15 с двухлинейной диаграммой состояния при значениях относительных деформаций, принятых в примере IV.Б.1.3. | | | 10,95 |
| Влияние диаграммы состояния бетона. Использована трехлинейная диаграмма состояния бетона. | | | 10,60 |
| Влияние вида бетона и диаграммы состояния бетона. Использован керамзитоперлитобетон на вспученном перлитовом песке с маркой по средней плотности D1900 класса В15 с трехлинейной диаграммой состояния бетона при значениях относительных деформаций, принятых в примере IV.Б.1.5. | | | 10,60 |
| Армирование | Подбор растянутой и сжатой арматуры. Подбирается арматура растянутая (3 стержня первой группы) и сжатая (3 стержня второй группы), a' = 40 мм. | | | 12,25 |
| Подбор симметричной арматуры. Сжатая (a' = 40 мм) и растянутая арматура состоят из двух групп так же, как растянутая арматура в базовом примере: два крайних стержня первой группы и один средний стержень второй группы. | | | 17,46 |
| Нагрузки | Влияние длительности нагрузки. Все нагрузки считаются длительными. Момент равен 170 кНм. | | | 15,46 |
| Раскрытие трещин | Влияние условий ограничения раскрытия трещин. Допустимое раскрытие трещин определяется условием ограничения проницаемости конструкции, а не обеспечением сохранности арматуры, как в базовом примере ( п. 8.2.6 [1]). | | | 15,27 |
| Усилия | Влияние растягивающей продольной силы. На элемент действуют растягивающие продольные силы 60 и 90 кН соответственно от длительных и кратковременных нагрузок. | | | 12,51 |
| Влияние сжимающей продольной силы. На элемент действуют сжимающие продольные силы 85 и 136 кН соответственно от длительных и кратковременных нагрузок. | | | 9,14 |
Результат. Диаметры среднего и двух крайних стержней растянутой арматуры равны соответственно 25 и 10 мм. Общая площадь сечения растянутой арматуры составляет 10,60 см2.
Результат. Общая площадь сечения растянутой арматуры в базовом и рассматриваемом примерах составляет соответственно 10,60 и 9,42 см2. Как и при расчете прочности нормальных сечений, увеличение класса бетона приводит к снижению площади сечения растянутой арматуры из-за уменьшения высоты сжатой зоны бетона и увеличения вследствие этого плеча внутренней пары.
Результат. Общая площадь сечения растянутой арматуры в рассматриваемом и базовом примерах составляет соответственно 10,95 см2

и 10,60 см2

. Таким образом, в рассматриваемом примере площадь несколько возросла, хотя исходные данные, в основном, сохранились. Изменились только значения

и

.
Результат. Получена площадь сечения арматуры 10,60 см2

такая же, как в базовом примере.
Результат. Получена площадь сечения арматуры 10,60 см2

такая же, как в примерах базовом и
X.Б.1.4, но несколько ниже, чем 10,95 см2

в
примере X.Б.1.3.
Результат. Полученные площади сечения растянутой и сжатой арматуры составляют соответственно 11,40 см2

и 0,85 см2

. Общая площадь сечения арматуры составляет 12,25 см2. При сравнении результатов с полученными в базовом примере необходимо иметь в виду следующее.
На площадь сечения растянутой арматуры влияют два фактора. С одной стороны, все три стержня растянутой арматуры имеют одинаковый диаметр, и это увеличивает площадь сечения. С другой стороны, наличие сжатой арматуры увеличивает плечо внутренней пары сил, и это уменьшает площадь сечения. Поскольку площадь сечения сжатой арматуры мала, плечо увеличилось незначительно, и решающим оказался первый фактор. Площадь сечения растянутой арматуры увеличилась, по сравнению с площадью 10,60 см2, полученной в базовом примере.
Результат. Полученная площадь сечения растянутой арматуры 8,73 см2

оказалась меньше, чем 10,60 см2

в базовом примере. Это объясняется тем, что в рассматриваемом примере, по сравнению с базовым, из-за наличия сжатой арматуры увеличивается плечо внутренней пары сил, и уменьшаются напряжения в арматуре. Общая площадь сечения арматуры 17,46 см2

, по сравнению с базовым примером, существенно увеличилась из-за симметричности армирования.
Результат. Увеличение момента от длительных нагрузок привело к существенному увеличению площади сечения растянутой арматуры до 15,46 см2

, по сравнению с 10,60 см2

в базовом примере.
Результат. Ограничение проницаемости конструкций предъявляет более жесткие требования к раскрытию трещин, чем требование сохранности арматуры (
п. 8.2.6 [1]). Это вызывает увеличение площади сечения растянутой арматуры 15,27 см2

в рассматриваемом примере, по сравнению с площадью 10,60 см2

в базовом примере.
Примеры X.Б.1.10, X.Б.1.11
Замечание. В примерах X.Б.1.10, X.Б.1.11 напряженными состояниями являются соответственно внецентренное растяжение и внецентренное сжатие. Эти примеры включены в настоящий раздел "X.Б. Изгиб", чтобы четко выявить влияние растягивающих и сжимающих сил.
Результат. Растягивающие (пример X.Б.1.10) и сжимающие (пример X.Б.1.11) продольные силы соответственно уменьшают и увеличивают момент трещинообразования, увеличивают и уменьшают раскрытие трещин. Это, в свою очередь, соответственно увеличивает и уменьшает площадь сечения подбираемой арматуры: в примерах базовом, X.Б.1.10 и X.Б.1.11 площади сечения арматуры соответственно равны 10,60 см2

, 12,51 см2

и 9,14 см2

.
X.Б.2. Элемент прямоугольного сечения без предварительного
напряжения арматуры, проверка армирования
Условия и результаты расчетов
Номер примера | Исследуемый фактор | Условия расчетов | |
| Пример базовый | Проверка трещиностойкости и "ручной" контроль. Рассматривается то же сечение, что и в примере X.Б.1.1, с теми же характеристиками материалов. Растянутая арматура, подобранная в примере X.Б.1.1, состоит из трех стержней  ,  . Требуется проверить трещиностойкость сечения. | Выполнены |
| Усилия | Влияние величины усилий. Момент от длительных нагрузок равен 35 кНм, а не 120 кНм, как в базовом примере. | Выполнены |
| Армирование | Влияние сжатой арматуры. В дополнение к растянутой установлена сжатая арматура  А400, a' = 40 мм (как в примере IV.Б.1.7). | Выполнены |
| Влияние дополнительной арматуры, установленной вдоль сжатой и боковых граней сечения. Вдоль боковых и верхней граней сечения дополнительно установлены 7 стержней  А400 с площадью сечения 7,92 см2 (как в примере IV.Б.1.8). | Выполнены |
| Проверка подбора минимальной площади сечения растянутой арматуры. Растянутая арматура состоит из трех стержней  ,  , т.е. диаметр одного из стержней, по сравнению с базовым примером, уменьшен с 10 до 8 мм. | Не выполнены |
Характеристики трещиностойкости
Условные обозначения для нагрузок
Номер примера | Нагрузки | Величины моментов, кНм | Трещины |
M | |
| кратковременные | 170,0 | 37,4 | образуются |
длительные | 120,0 | образуются |
| кратковременные | 170,0 | 37,4 | образуются |
длительные | 35,0 | не образуются |
| кратковременные | 170,0 | 39,6 | образуются |
длительные | 120,0 | образуются |
| кратковременные | 170,0 | 39,9 | образуются |
длительные | 120,0 | образуются |
| кратковременные | 170,0 | 37,1 | образуются |
длительные | 120,0 | образуются |
Номер примера | Вид раскрытия трещин | Ширина раскрытия трещин, мм | |
| |
| непродолжительное | 0,392 | 0,400 | выполнены |
продолжительное | 0,294 | 0,300 | выполнены |
| непродолжительное | 0,308 | 0,400 | выполнены |
продолжительное | - | - | выполнены |
| непродолжительное | 0,386 | 0,400 | выполнены |
продолжительное | 0,283 | 0,300 | выполнены |
| непродолжительное | 0,357 | 0,400 | выполнены |
продолжительное | 0,265 | 0,300 | выполнены |
| непродолжительное | 0,403 | 0,400 | не выполнены |
продолжительное | 0,301 | 0,300 | не выполнены |
Результат. Моменты 170 и 120 кНм соответственно от нагрузок кратковременных и длительных больше момента трещинообразования 37,4 кНм. Трещины образуются. Непродолжительное 0,392 мм и продолжительное 0,294 мм раскрытие трещин меньше предельных значений (соответственно 0,4 и 0,3 мм). Требования
[1] выполнены.
"Ручной" контроль. Как указывалось выше (см.
Раздел X), проверку трещиностойкости проводят в два этапа. На первом этапе определяют моменты трещинообразования от кратковременных и длительных нагрузок. На втором этапе при необходимости определяют непродолжительное и продолжительное раскрытие трещин.
Уравнения равновесия для рассматриваемого случая имеют вид:

(10)
Эти формулы аналогичны
формулам (1) в примере IV.Б.2.1. Здесь

- момент трещинообразования. Остальные обозначения такие же, как в
примере IV.Б.2.1. Кроме того, должно выполняться еще одно условие:

. (11)
Эта формула аналогична первой из
формул (4) в примере IV.Б.2.1. Здесь:
-

- предельные значения относительных деформаций бетона при растяжении;
-

- расстояние между центром тяжести всего бетонного сечения сечений и центром тяжести наиболее растянутого участка.
В результате расчетов получены следующие значения неизвестных:

;

. Используя эти значения, вычислим "вручную" значения жесткостей

,

,

и проверим выполнение
условий (10),
(11).
Вычисления сведены в Таблицу X.1 и аналогичны выполненным в
Таблице IV.1 примера IV.Б.2.1 (Способ 1). Некоторая разница состоит в следующем. В
Таблице IV.1 при расчете прочности нормальных сечений работа бетона на растяжение не учитывается. В
столбце 7 все растягивающие напряжения равны нулю. В
столбце (7) Таблицы X.1 при расчете трещиностойкости нормальных сечений приведены ненулевые значения растягивающих напряжений, т.е. учитывается работа бетона на растяжение.
Определение параметров для проверки
правильности решения примера X.Б.2.1
Бетон |
i |  , м |  , кНм2 |  , кНм |  , кН | |  , МПа | |  , кНм2 |  , кНм |  , кН |
1 | 2 | 3 | 4 | 5 | 6 | | 8 | 9 | 10 | 11 |
1 | -0,27 | 31,493 | -116,64 | 432 | -0,0002206 | -1,618 | 0,306 | 9,62 | -35,64 | 132,00 |
2 | -0,21 | 19,051 | -90,72 | 432 | -0,0001794 | -1,316 | 0,306 | 5,82 | -27,72 | 132,00 |
3 | -0,15 | 9,720 | -64,80 | 432 | -0,0001382 | -1,01 | 0,306 | 2,97 | -19,80 | 132,00 |
4 | -0,09 | 3,499 | -38,88 | 432 | -0,0000971 | -0,712 | 0,306 | 1,07 | -11,88 | 132,00 |
5 | -0,03 | 0,389 | -12,96 | 432 | -0,0000559 | -0,410 | 0,306 | 0,12 | -3,96 | 132,00 |
6 | 0,03 | 0,389 | 12,96 | 432 | -0,0000147 | -0,108 | 0,306 | 0,12 | 3,96 | 132,00 |
7 | 0,09 | 3,499 | 38,88 | 432 | 0,0000265 | 0,364 | 0,573 | 2,00 | 22,28 | 247,50 |
8 | 0,15 | 9,720 | 64,80 | 432 | 0,0000676 | 0,930 | 0,573 | 5,57 | 37,13 | 247,50 |
9 | 0,21 | 19,051 | 90,72 | 432 | 0,0001088 | 1,10 | 0,421 | 8,02 | 38,21 | 181,95 |
10 | 0,27 | 31,493 | 116,64 | 432 | 0,0001500 | 1,10 | 0,306 | 9,62 | 35,64 | 132,00 |
Суммарные жесткости | 44,93 | 38,22 | 1599,95 |
Характеристики диаграммы состояния бетона при растяжении определяют по формулам, аналогичным
(5), с учетом указаний
п. 6.1.22 [1]:

;
при

и

соответственно. Здесь

.

.
Из первого условия видно, что момент трещинообразования

совпадает с приведенным в
таблице "Образование трещин". Второе условие показывает, что продольная сила равна нулю, как и должно быть при изгибе. Согласно третьему условию относительные деформации центра тяжести наиболее растянутого участка равны 0,00015 - предельным значениям относительных деформаций бетона при растяжении.
Все необходимые условия выполнены. Момент трещинообразования определен правильно.
2-й этап.
Поскольку момент трещинообразования

меньше действующих моментов 170 и 120 кНм, возникающих соответственно от кратковременной и длительной нагрузки, трещины образуются. Проверим ширину продолжительного раскрытия трещин.
Вначале решаем
уравнения (10), в первом из которых момент трещинообразования

заменяем действующим моментом 120 кНм от длительных нагрузок. В результате получаем следующие значения неизвестных:

,

. Проверка этих значений совершенно аналогична выполненной на
Этапе 1.
Далее по второй из
формул (4) находим относительные деформации арматуры:

.

.

.
Площадь сечения растянутого бетона

определяем по не приведенной здесь таблице, аналогичной
Таблице X.1 и используемой для проверки значений

,

. В столбце (7) этой таблицы необходимо подсчитать число строк (число участков) с растягивающими напряжениями в бетоне. Таких участков оказалось 6. Тогда

.
Площадь сечения растянутой арматуры

.
В запас принимаем диаметр арматуры равным максимальному из диаметров, т.е. 25 мм.
Тогда

.
По
п. 8.2.17 [1] величину

необходимо принимать не более 40 см. Поэтому

.
Значение коэффициента

, учитывающего неравномерное распределение относительных деформаций растянутой арматуры между трещинами, определяем по
формуле (8.137) [1]:

.
Здесь:
-

- значение напряжений в арматуре, полученное выше при определении момента трещинообразования - см.
столбец (6) Таблицы X.2;
-

- значение напряжений в арматуре при рассматриваемом моменте, полученное выше по
формуле (6).
Таблица X.2
Арматура |
 , м |  , кНм2 |  , кНм |  , кН | |  , МПа | |  , кНм2 |  , кНм |  , кН |
1 | 2 | 3 | 4 | 5 | | 7 | 8 | 9 | 10 |
0,26 | 14,33 | 55,12 | 212,0 | 0,0001432 | 28,63 | 1,000 | 14,33 | 55,12 | 212,0 |

.
-

- коэффициент, учитывающий продолжительность действия нагрузки;
-

- коэффициент, учитывающий профиль продольной арматуры;
-

- коэффициент, учитывающий характер нагружения.
Значение

совпадает с продолжительной шириной раскрытия трещин, приведенной в
таблице "Раскрытие трещин" для примера X.Б.2.1.
Результат. Момент 35 кНм от длительных нагрузок меньше момента трещинообразования 37,4 кНм. Трещины не образуются. Момент 170 кНм от кратковременных нагрузок больше момента трещинообразования. Трещины образуются. Продолжительное раскрытие трещин 0,308 мм меньше допустимого 0,4 мм и меньше, чем в базовом примере 0,392 мм, поскольку, по сравнению с базовым примером, уменьшился момент от длительной нагрузки.
Результат, Увеличение площади сечения установленной арматуры увеличивает момент трещинообразования до 39,6 и 39,9 кНм в примерах соответственно X.Б.2.3, X.Б.2.4, по сравнению со значением 37,4 кНм в базовом примере. При этом в тех же примерах раскрытие трещин непродолжительное 0,386 мм, 0,357 мм и продолжительное 0,283 мм, 0,265 мм уменьшается, по сравнению с аналогичными значениями 0,392 мм и 0,294 мм в базовом примере.
Результат. В базовом примере момент трещинообразования равен 37,4 кНм, а непродолжительное и продолжительное раскрытие трещин равно соответственно 0,392 и 0,294 мм. В рассматриваемом примере уменьшение диаметра одного из стержней привело к уменьшению момента трещинообразования до 37,1 кНм, а непродолжительное и продолжительное раскрытие трещин увеличилось соответственно до значений 0,403 и 0,301 мм. Требования
[1] не выполнены. В
примере X.Б.1.1 подобрана минимальная площадь сечения арматуры.
X.Б.3. Элемент таврового сечения без предварительного
напряжения арматуры, подбор армирования
Условия и результаты расчетов
Номер примера | Исследуемый фактор | Условия расчетов | Результаты расчетов |
Количество и диаметры стержней | Площадь сечения арматуры, см2 |
| Пример базовый | Подбор растянутой арматуры. Рассматривается тавровое сечение с теми же геометрическими размерами, характеристиками материалов и армированием, что и в примере IV.Б.5.1 (Рис. IV.6). На сечение действуют изгибающие моменты 180 и 270 кНм от соответственно нагрузок длительных и кратковременных. Требуется определить диаметр стержней растянутой арматуры. | | 19,63 |
| Армирование | Влияние заранее установленной арматуры. На практике часто требуется, чтобы диаметры подбираемых стержней были не менее заранее заданных значений, полученных, например, из расчета прочности нормальных сечений. В примерах X.Б.3.2 и X.Б.3.3 заранее заданные диаметры стержней равны соответственно 22 и 28 мм. | | 19,63 |
| | 24,63 |
Результат. Общая площадь сечения растянутой арматуры составляет

.
Результат. В примере X.Б.3.2 диаметр арматуры 22 мм задан меньше диаметра 25 мм, полученного в базовом примере. В результате расчетов диаметр увеличен до значения 25 мм, требуемого из условий трещиностойкости. В примере X.Б.3.3 диаметр установленной арматуры 28 мм задан больше диаметра 25 мм, полученного в базовом примере. В результате расчетов диаметр не изменился. Расчеты выполнены правильно.
X.Б.4. Элемент таврового сечения без предварительного
напряжения арматуры, проверка армирования
Условия и результаты расчетов
Номер примера | Исследуемый фактор | Условия расчетов | |
| Пример базовый | Проверка трещиностойкости. Рассматривается то же сечение, что и в примере X.Б.3.1, с теми же характеристиками материалов и теми же действующими моментами. Растянутая арматура, подобранная в примере X.Б.3.1, состоит из четырех стержней  ,  . Требуется проверить трещиностойкость сечения. | Выполнены |
| Армирование | Проверка подбора минимальной площади сечения растянутой арматуры. Растянутая арматура состоит из четырех стержней  ,  , т.е. диаметр каждого стержня уменьшен с 25 до 22 мм (ближайшего меньшего значения). | Не выполнены |
Характеристики трещиностойкости
Условные обозначения для нагрузок
Образование трещин
Номер примера | Нагрузки | Величины моментов, кНм | Трещины |
M | |
| кратковременные | 270,0 | 40,0 | образуются |
длительные | 180,0 | образуются |
| кратковременные | 270,0 | 35,7 | образуются |
длительные | 180,0 | не образуются |
Раскрытие трещин
Номер примера | Вид раскрытия трещин | Ширина раскрытия трещин, мм | |
| |
| непродолжительное | 0,359 | 0,400 | выполнены |
продолжительное | 0,256 | 0,300 | выполнены |
| непродолжительное | 0,476 | 0,400 | не выполнены |
продолжительное | 0,346 | 0,300 | не выполнены |
Результат. Моменты 270 и 180 кНм от соответственно нагрузок кратковременных и длительных больше момента трещинообразования 40,0 кНм. Трещины образуются. Раскрытие трещин непродолжительное 0,359 мм и продолжительное 0,256 мм меньше предельных значений (соответственно 0,4 и 0,3 мм). Требования
[1] выполнены.
Результат. В базовом примере момент трещинообразования равен 40,0 кНм, а непродолжительное и продолжительное раскрытие трещин равно соответственно 0,339 и 0,256 мм. В рассматриваемом примере уменьшение диаметра каждого стержня с 25 до 22 мм привело к уменьшению момента трещинообразования до 35,7 кНм, а непродолжительное и продолжительное раскрытие трещин увеличилось соответственно до значений 0,476 и 0,346 мм. Требования
[1] не выполнены. В
примере X.Б.2.1 подобрана минимальная площадь сечения арматуры.
X.Б.5. Элемент прямоугольного сечения с предварительным
напряжением арматуры, проверка армирования
Условия и результаты расчетов
Номер примера | Исследуемый фактор | Условия расчетов | |
| Пример базовый | Проверка трещиностойкости. Рассматривается прямоугольное сечение со следующими параметрами: b = 300 мм; h = 700 мм; a = 50 мм; бетон тяжелый класса В25. Используется двухлинейная диаграмма состояния бетона. Растянутая предварительно напрягаемая арматура класса А800 состоит из трех стержней  . На сечение действуют изгибающие моменты 400 и 300 кНм от соответственно нагрузок кратковременных и длительных. Напряжения натяжения с учетом всех потерь 550 МПа. Требуется проверить трещиностойкость сечения. | Выполнены |
| Армирование | Влияние сжатой ненапрягаемой арматуры. Сжатая арматура состоит из 3 стержней  А400, a' = 40 мм. | Выполнены |
| Влияние величины натяжения арматуры. Напряжения натяжения с учетом всех потерь 500 МПа. | Выполнены |
Характеристики трещиностойкости
Условные обозначения для нагрузок
Образование трещин
Номер примера | Нагрузки | Величины моментов, кНм | Трещины |
M | |
| кратковременные | 400,0 | 127,8 | образуются |
длительные | 300,0 | образуются |
| кратковременные | 400,0 | 135,0 | образуются |
длительные | 300,0 | образуются |
| кратковременные | 400,0 | 122,4 | образуются |
длительные | 300,0 | образуются |
Раскрытие трещин
Номер примера | Вид раскрытия трещин | Ширина раскрытия трещин, мм | |
| |
| непродолжительное | 0,194 | 0,300 | выполнены |
продолжительное | 0,105 | 0,200 | выполнены |
| непродолжительное | 0,183 | 0,300 | выполнены |
продолжительное | 0,092 | 0,200 | выполнены |
| непродолжительное | 0,213 | 0,300 | выполнены |
продолжительное | 0,123 | 0,200 | выполнены |
Результат. Моменты 400 и 300 кНм от кратковременных и длительных нагрузок больше момента трещинообразования 127,8 кНм. Трещины образуются. Раскрытие трещин непродолжительное 0,194 мм и продолжительное 0,105 мм меньше предельных значений (соответственно 0,3 и 0,2 мм). Требования
[1] выполнены.
Результат. В рассматриваемом примере из-за дополнительной сжатой арматуры момент трещинообразования 135,0 кНм оказывается больше, чем 127,8 кНм в базовом примере, а раскрытие трещин непродолжительное 0,183 мм и продолжительное 0,092 мм меньше соответствующих значений 0,194 мм и 0,105 мм в базовом примере.
Результат. В рассматриваемом примере, по сравнению с базовым, снижена величина предварительного натяжения арматуры с 550 до 500 МПа. В результате в рассматриваемом примере момент трещинообразования 122,4 кНм оказывается меньше, чем 127,8 кНм в базовом примере, а раскрытие трещин непродолжительное 0,213 мм и продолжительное 0,123 мм больше соответствующих значений 0,194 мм и 0,105 мм в базовом примере.
X.Б.6. Элемент двутаврового (произвольного) сечения
с предварительным напряжением арматуры, проверка армирования
Условия и результаты расчетов
Номер примера | Исследуемый фактор | Условия расчетов | |
| Пример базовый | Проверка трещиностойкости. Рассматривается то же сечение, что и в примере IV.Б.10.1, с теми же характеристиками материалов и тем же армированием. На сечение действуют изгибающие моменты 1100 и 990 кНм соответственно от нагрузок длительных и кратковременных. Требуется проверить трещиностойкость сечения. | Выполнены |
| Армирование | Влияние величины натяжения напрягаемой арматуры. Величина натяжения арматуры с учетом всех потерь принята 650 МПа, а не 870 МПа, как в базовом примере. | Выполнены |
Характеристики трещиностойкости
Условные обозначения для нагрузок
Образование трещин
Номер примера | Нагрузки | Величины моментов, кНм | Трещины |
M | |
| кратковременные | 1100,0 | 434,4 | образуются |
длительные | 990,0 | образуются |
| кратковременные | 1100,0 | 358,5 | образуются |
длительные | 990,0 | образуются |
Раскрытие трещин
Номер примера | Вид раскрытия трещин | Ширина раскрытия трещин, мм | |
| |
| непродолжительное | 0,193 | 0,300 | выполнены |
продолжительное | 0,152 | 0,200 | выполнены |
| непродолжительное | 0,279 | 0,300 | не выполнены |
продолжительное | 0,238 | 0,200 | выполнены |
Результат. Моменты 1100 кНм и 990 кНм соответственно от кратковременных и длительных нагрузок больше момента трещинообразования 434,4 кНм. Трещины образуются. Раскрытие трещин непродолжительное 0,193 мм и продолжительное 0,152 мм меньше предельных значений (соответственно 0,3 и 0,2 мм). Требования
[1] выполнены.
Результат. Из-за снижения величины натяжения арматуры в рассматриваемом примере момент трещинообразования 358,5 кНм оказывается меньше, чем 434,4 кНм в базовом примере, а раскрытие трещин непродолжительное 0,279 мм и продолжительное 0,238 мм больше соответствующих значений 0,193 мм и 0,152 мм в базовом примере. Для непродолжительного раскрытия трещин требования
[1] выполнены (0,279 мм < 0,3 мм), а для продолжительного раскрытия не выполнены (0,238 мм > 0,2 мм).
X.В.1. Элемент прямоугольного сечения без предварительного
напряжения арматуры, подбор армирования
Условия и результаты расчетов
Номер примера | Исследуемый фактор | Условия расчетов | Результаты расчетов |
Количество и диаметры стержней группы | Площадь сечения арматуры, см2 |
1-й | 2-й |
| Пример базовый | Подбор арматуры. Рассматривается сечение с параметрами, характеристиками материалов и армированием, как в примере IV.В.1.1 (Рис. IV.11). Используется трехлинейная диаграмма состояния бетона. Изгибающие моменты от кратковременных нагрузок  и  , от длительных нагрузок  и  . Требуется определить диаметры стержней двух групп так, чтобы обеспечить сохранность арматуры. | | | 13,32 |
| Бетон | Влияние класса бетона. Использован легкий бетон класса В12,5 марки по средней плотности D1100 (как в примере IV.В.1.2). | | | 12,19 |
| Влияние диаграммы состояния бетона. Использована двухлинейная диаграмма состояния бетона при относительной деформации  . | | | 13,32 |
Результат. Общая площадь сечения арматуры составляет 13,32 см2

.
Результат. Общая площадь сечения растянутой арматуры в базовом и рассматриваемом примерах составляет соответственно 13,32 см2

и 12,19 см2

. Увеличение класса бетона приводит к снижению площади сечения арматуры.
Результат. В рассматриваемом примере при двухлинейной диаграмме площадь сечения подобранной арматуры 13,32 см2

оказалась такой же, как в базовом примере при трехлинейной диаграмме.
X.В.2. Элемент прямоугольного сечения без предварительного
напряжения арматуры, проверка армирования
Условия и результаты расчетов
Номер примера | Исследуемый фактор | Условия расчетов | |
| Пример базовый | Проверка трещиностойкости. Рассматривается то же сечение, что и в примере X.В.1.1, с теми же характеристиками материалов и теми же действующими моментами. Арматура, подобранная в примере X.В.1.1, имеет площадь поперечного сечения 13,32 см2  . Требуется проверить трещиностойкость сечения. | Выполнены |
| Армирование | Проверка подбора минимальной площади сечения растянутой арматуры. Арматура имеет площадь поперечного сечения 12,19 см2  , т.е. в 4 стержнях диаметр уменьшен с 10 до 8 мм (ближайшего меньшего значения). | Не выполнены |
Характеристики трещиностойкости
Условные обозначения для нагрузок
Образование трещин
Номер примера | Моменты | Нагрузки | Величины моментов, кНм | Трещины |
M | |
| | кратковременные | 50,0 | 14,6 | образуются |
длительные | 40,0 | образуются |
| кратковременные | 95,0 | 54,1 | образуются |
длительные | 45,0 | не образуются |
| | кратковременные | 50,0 | 14,2 | образуются |
длительные | 40,0 | образуются |
| кратковременные | 95,0 | 52,8 | образуются |
длительные | 45,0 | не образуются |
Раскрытие трещин
Номер примера | Моменты | Вид раскрытия трещин | Ширина раскрытия трещин, мм | |
| |
| | непродолжительное | 0,346 | 0,400 | выполнены |
продолжительное | 0,286 | 0,300 | выполнены |
| непродолжительное | 0,109 | 0,400 | выполнены |
продолжительное | - | 0,300 | выполнены |
| | непродолжительное | 0,380 | 0,400 | выполнены |
продолжительное | 0,315 | 0,300 | не выполнены |
| непродолжительное | 0,121 | 0,400 | выполнены |
продолжительное | - | 0,300 | выполнены |
Результат. Действующие моменты

от кратковременных и длительных нагрузок, равные соответственно 50 и 40 кНм, а также момент

от кратковременных нагрузок, равный 95 кНм, больше момента трещинообразования 14,6 кНм (для

) и 54,1 кНм (для

). Трещины образуются. Момент

от длительных нагрузок, равный 45 кНм, меньше момента трещинообразования 54,1 кНм. Трещины не образуются.
В случае образования трещин ширина их раскрытия меньше предельной. Требования
[1] выполнены.
Результат. В базовом примере моменты трещинообразования

и

равны соответственно 14,6 и 54,1 кНм, а раскрытие трещин оказалось следующим:
- для момента

непродолжительное 0,346 мм, продолжительное 0,286 мм;
- для момента

непродолжительное 0,109 мм, от длительно действующей нагрузки трещины не образуются.
В рассматриваемом примере из-за уменьшения площади сечения арматуры моменты трещинообразования уменьшились до значений соответственно 14,2 и 52,8 кНм, а раскрытие трещин увеличилось до следующих значений:
- для момента

непродолжительное 0,380 мм, продолжительное 0,315 мм;
- для момента

непродолжительное 0,121 мм, от длительно действующей нагрузки трещины не образуются.
Для момента

продолжительное раскрытие трещин 0,315 мм больше предельного значения 0,300 мм. Требования
[1] не выполнены. В
примере X.В.1.1 подобрана минимальная площадь сечения арматуры.
X.В.3. Элемент таврового сечения с предварительным
напряжением арматуры, проверка армирования
Условия и результаты расчетов
Номер примера | Исследуемый фактор | Условия расчетов | |
| Пример базовый | Проверка трещиностойкости. Рассматривается сечение с теми же геометрическими размерами и с тем же расположением арматурных стержней, что и в примере IV.В.3.1 (Рис. IV.14). Бетон тяжелый класса В45. Используется трехлинейная диаграмма состояния бетона. Напрягаемая арматура состоит из одного стержня  А600. Напряжения натяжения с учетом всех потерь 500 МПа. Ненапрягаемая арматура состоит из двух стержней  А400. Изгибающие моменты от кратковременных нагрузок  и  , от длительных нагрузок  и  . Требуется проверить трещиностойкость сечения. | Выполнены |
| Бетон | Влияние класса бетона. Использован тяжелый бетон класса В100. | Выполнены |
Характеристики трещиностойкости
Условные обозначения для нагрузок
Образование трещин
Номер примера | Моменты | Нагрузки | Величины моментов, кНм | Трещины |
M | |
| | кратковременные | 15,0 | 5,9 | образуются |
длительные | 8,0 | образуются |
| кратковременные | 35,0 | 12,8 | образуются |
длительные | 29,0 | образуются |
| | кратковременные | 15,0 | 6,1 | образуются |
длительные | 8,0 | образуются |
| кратковременные | 35,0 | 13,3 | образуются |
длительные | 29,0 | образуются |
Раскрытие трещин
Номер примера | Моменты | Вид раскрытия трещин | Ширина раскрытия трещин, мм | |
| |
| | непродолжительное | 0,094 | 0,400 | выполнены |
продолжительное | 0,057 | 0,300 | выполнены |
| непродолжительное | 0,138 | 0,400 | выполнены |
продолжительное | 0,088 | 0,300 | выполнены |
| | непродолжительное | 0,092 | 0,400 | выполнены |
продолжительное | 0,056 | 0,300 | выполнены |
| непродолжительное | 0,129 | 0,400 | выполнены |
| | ИС МЕГАНОРМ: примечание. Текст дан в соответствии с официальным текстом документа. | |
|
| | продолжительное | 0059 | 0,300 | выполнены |
Результат. Действующие моменты от кратковременных и длительных нагрузок

, равные соответственно 15 и 8 кНм, и

, равные соответственно 35 и 29 кНм, больше момента трещинообразования 5,9 кНм (для

) и 12,8 кНм (для

). Трещины образуются. Непродолжительная и продолжительная ширина раскрытия трещин, равная соответственно 0,094 и 0,057 мм (для момента

), 0,138 и 0,088 мм (для момента

) меньше предельной, равной 0,4 мм (непродолжительное раскрытие) и 0,3 мм (продолжительное раскрытие). Требования
[1] выполнены.
| | ИС МЕГАНОРМ: примечание. Текст дан в соответствии с официальным текстом документа. | |
Результат. Увеличение класса бетона в рассматриваемом примере, по сравнению с базовым, приводит к увеличению момента трещинообразования с 5,9 до 6,1 кНм (момент

) и с 12,8 до 13,3 кНм (момент

). Непродолжительная и продолжительная ширина раскрытия трещин уменьшается соответственно с 0,094 до 0,092 и с 0,057 до 0,056 мм (момент

), с 0,138 до 0,129 и с 0,088 до 0059 мм (момент

). Требования
[1] выполнены.
X.Г. Внецентренное сжатие
X.Г.1. Элемент прямоугольного сечения без предварительного
напряжения арматуры, подбор армирования
Условия и результаты расчетов
Номер примера | Исследуемый фактор | Условия расчетов | Результаты расчетов |
Количество и диаметры стержней группы | Площадь сечения арматуры, см2 |
1-й | 2-й |
| Пример базовый | Подбор симметричной арматуры. Рассматривается элемент прямоугольного сечения со следующими параметрами: b = 400 мм; h = 500 мм; a = a' = 40 мм; продольные силы и изгибающие моменты: от длительных нагрузок N = 1100 кН, M = 270 кНм; от кратковременных нагрузок N = 1500 кН, M = 380 кНм; бетон тяжелый класса В30. Используется трехлинейная диаграмма состояния бетона. Симметричная арматура класса А500 состоит из четырех стержней одинакового диаметра, расположенных в углах сечения на расстоянии 40 мм от ближайших граней (Рис. IV.18). Требуется определить диаметры стержней из условия сохранности арматуры. | | - | 24,63 |
| Бетон | Влияние класса бетона. Использован тяжелый бетон класса В60. | | - | 19,63 |
| Армирование | Подбор несимметричной арматуры. Стержни 1, 2 и 3, 4 (Рис. IV.18), относящиеся к 1-й и 2-й группе соответственно и расположенные у наименее и наиболее сжатой грани сечения, могут иметь разные диаметры. | | | 18,60 |
| | ИС МЕГАНОРМ: примечание. Текст дан в соответствии с официальным текстом документа. | |
|
| Усилия | Подбор арматуры при центральном сжатии. Продольные силы и изгибающие моменты: от длительных нагрузок N = 1100 кН, M = 0 кНм: от кратковременных нагрузок N = 1700 0кН, M = 0 кНм. | | | 4,52 |
Результат. Общая площадь сечения арматуры составляет 24,63 см2

.
Результат. В рассматриваемом примере, по сравнению с базовым, класс бетона увеличен с В30 до В60, что привело к снижению площади сечения арматуры с 24,63 см2

до 19,63 см2

.
Результат. У наименее и наиболее сжатой грани расположены по 2 стержня диаметром 28 и 20 мм соответственно. Общая площадь сечения арматуры 18,60 см2 уменьшилась по сравнению с площадью 24,63 см2 в базовом примере.
При центральном сжатии трещины не возникают. Поэтому полученная площадь сечения арматуры 4,52 см2

определяется конструктивными требованиями.
X.Г.2. Элемент прямоугольного сечения без предварительного
напряжения арматуры, проверка армирования
Условия и результаты расчетов
Номер примера | Исследуемый фактор | Условия расчетов | |
| Пример базовый | Проверка трещиностойкости при симметричном армировании. Рассматривается сечение с теми же геометрическими размерами, усилиями, расположением арматурных стержней и характеристиками материалов, что и в примере X.Г.1.1 (Рис. IV.18). Армирование, подобранное в примере X.Г.1.1, состоит из четырех стержней  . Требуется проверить трещиностойкость сечения. | Выполнены |
| Бетон | Влияние класса бетона. Принят бетон класса В60. | Выполнены |
| Армирование | Проверка трещиностойкости при несимметричном армировании. Принято армирование  , подобранное в примере X.Г.1.3. | Выполнены |
| Проверка подбора минимального симметричного армирования. Принято армирование  , т.е. диаметр стержней в базовом примере уменьшен до ближайшего значения. | Не выполнены |
| Проверка подбора минимального несимметричного армирования. Принято армирование  , т.е. диаметр двух стержней в примере X.Г.2.3 уменьшен до ближайшего значения. | Не выполнены |
Характеристики трещиностойкости
Условные обозначения для нагрузок
Образование трещин
Номер примера | Нагрузки | Величины моментов, кНм | Трещины |
M | |
| кратковременные | 380,0 | 198,7 | образуются |
длительные | 270,0 | 172,5 | образуются |
| кратковременные | 380,0 | 225,6 | образуются |
длительные | 270,0 | 185,5 | не образуются |
| кратковременные | 380,0 | 186,9 | образуются |
длительные | 270,0 | 165,8 | образуются |
| кратковременные | 380,0 | 192,4 | образуются |
длительные | 270,0 | 167,9 | образуются |
| кратковременные | 380,0 | - | - |
длительные | 270,0 | - | - |
Раскрытие трещин
Номер примера | Вид раскрытия трещин | Ширина раскрытия трещин, мм | |
| |
| непродолжительное | 0,355 | 0,400 | выполнены |
продолжительное | 0,230 | 0,300 | выполнены |
| непродолжительное | 0,254 | 0,400 | выполнены |
продолжительное | 0,158 | 0,300 | выполнены |
| непродолжительное | 0,393 | 0,400 | выполнены |
продолжительное | 0,262 | 0,300 | выполнены |
| непродолжительное | 0,447 | 0,400 | не выполнены |
продолжительное | 0,302 | 0,300 | не выполнены |
| непродолжительное | - | 0,400 | не выполнены |
продолжительное | - | 0,300 | не выполнены |
Результат. Моменты 380 и 270 кНм соответственно от нагрузок кратковременных и длительных больше моментов трещинообразования 198,7 и 172,5 кНм. Трещины образуются. Раскрытие трещин непродолжительное 0,355 мм и продолжительное 0,230 мм меньше предельных значений (соответственно 0,400 и 0,300 мм). Требования
[1] выполнены.
Результат. В базовом и рассматриваемом примерах принят соответственно класс бетона В30 и В60. Больший класс бетона приводит к увеличению моментов трещинообразования для нагрузок кратковременных и длительных соответственно от 198,7 до 225,6 кНм и от 172,5 до 185,5 кНм. Непродолжительное и продолжительное раскрытие трещин уменьшается соответственно с 0,355 до 0,254 мм и с 0,230 до 0,158 мм. Требования
[1] выполнены.
Результат. В базовом и рассматриваемом примерах принято соответственно симметричное и несимметричное армирование. В рассматриваемом примере уменьшаются моменты трещинообразования для нагрузок кратковременных и длительных соответственно от 198,7 до 186,9 кНм и от 172,5 до 165,8 кНм. Непродолжительное и продолжительное раскрытие трещин увеличивается соответственно с 0,355 до 0,393 мм и с 0,230 до 0,262 мм. Требования
[1] выполнены.
Результат. В рассматриваемом примере, по сравнению с базовым, уменьшен диаметр всех стержней. Вследствие этого уменьшаются моменты трещинообразования для нагрузок кратковременных и длительных соответственно от 198,7 до 192,4 кНм и от 172,5 до 167,9 кНм. Непродолжительное и продолжительное раскрытие трещин увеличивается соответственно с 0,355 до 0,447 мм и с 0,230 до 0,302 мм. Поскольку 0,447 > 0,400 и 0,302 > 0,300, требования
[1] не выполнены. В базовом примере подобрано минимальное армирование.
Результат. В рассматриваемом случае не существует значений кривизн продольной оси и значения относительной деформации волокна в центре тяжести сечения, при которых удовлетворяются условия равновесия. Требования
[1] не выполнены. В
примере X.Г.2.3 подобрано минимальное армирование.
X.Г.3. Элемент круглого сечения без предварительного
напряжения арматуры, подбор армирования
Условия и результаты расчетов
Номер примера | Исследуемый фактор | Условия расчетов | Результаты расчетов |
Количество и диаметры стержней | Площадь сечения арматуры, см2 |
| Пример базовый | Подбор диаметров стержней арматуры, расположенных на окружности заданного диаметра. Рассматривается то же круглое сечение, что и в примере IV.Г.1.1 (Рис. IV.16). Остаются без изменений характеристики материалов, расположение арматуры и усилия. Требуется определить диаметр стержней из условия сохранности арматуры. | | 29,45 |
| Бетон | Влияние класса бетона. Использован тяжелый бетон класса В100. | | 18,85 |
| Влияние диаграммы состояния бетона. Использована трехлинейная диаграмма состояния бетона. | | 22,81 |
| Армирование | Подбор диаметров стержней, располагающихся на двух окружностях. Как и в примере IV.Г.1.6, арматура располагается на двух окружностях с диаметрами 330 и 200 мм, по 6 стержней на каждой окружности (Рис. IV.16). | | 37,68 |
| Усилия | Подбор арматуры при центральном сжатии. Продольные силы и изгибающие моменты: от длительных нагрузок  ,  : от кратковременных нагрузок N = 600 кН, M = 0 кНм | | 1,70 |
| Раскрытие трещин | Влияние условий ограничения раскрытия трещин. Допустимое раскрытие трещин определяется условием ограничения проницаемости конструкции, а не обеспечением сохранности арматуры, как в базовом примере ( п. 8.2.6 [1]). | | 36,85 |
Результат. Общая площадь сечения арматуры составляет 29,45 см2

.
Результат. Общая площадь сечения арматуры в базовом и рассматриваемом примерах составляет соответственно 29,45

и 18,85 см2

. Увеличение класса бетона приводит к снижению площади сечения арматуры.
Результат. Общая площадь сечения арматуры в базовом и рассматриваемом примерах составляет соответственно 29,45

и 22,81 см2

. Использование трехлинейной диаграммы состояния бетона приводит к снижению площади сечения арматуры.
Результат. В базовом примере получена площадь поперечного сечения арматуры 29,45 см2

. В рассматриваемом примере площадь сечения арматуры возросла, а диаметр стержней уменьшился 37,68 см2

.
При центральном сжатии трещины не возникают. Поэтому подобран минимально возможный диаметр стержней с общей площадью поперечного сечения 1,70 см2

.
Результат. Ограничение проницаемости конструкций предъявляет более жесткие требования к раскрытию трещин, чем требование сохранности арматуры (
п. 8.2.6 [1]). Это вызывает увеличение площади сечения арматуры 36,85 см2

в рассматриваемом примере, по сравнению с базовым 29,45 см2

.
X.Г.4. Элемент круглого сечения без предварительного
напряжения арматуры, проверка армирования
Условия и результаты расчетов
Номер примера | Исследуемый фактор | Условия расчетов | |
| Пример базовый | Проверка трещиностойкости. Рассматривается элемент круглого сечения с теми же параметрами, характеристиками материалов и усилиями, что и в примере X.Г.3.1. Арматура, подобранная в этом примере, располагается на окружности диаметром 330 мм и состоит из 6 стержней диаметром 25 мм. Требуется проверить трещиностойкость сечения. | Выполнены |
| Бетон | Влияние класса бетона. Принят бетон класса В100. | Выполнены |
| Влияние диаграммы состояния бетона. Использована трехлинейная диаграмма состояния бетона. | Выполнены |
| Армирование | Проверка подбора минимальной площади сечения арматуры. Арматура на окружности диаметром 330 мм состоит из 6 стержней диаметром 22 мм, т.е. диаметр стержней, подобранный в базовом примере, уменьшен до ближайшего значения. | Не выполнены |
Характеристики трещиностойкости
Условные обозначения для нагрузок
Образование трещин
Номер примера | Нагрузки | Величины моментов, кНм | Трещины |
M | |
| кратковременные | 140,0 | 61,4 | образуются |
длительные | 100,0 | 49,8 | образуются |
| кратковременные | 140,0 | 91,9 | образуются |
длительные | 100,0 | 79,9 | образуются |
| кратковременные | 140,0 | 71,6 | образуются |
длительные | 100,0 | 58,5 | образуются |
| кратковременные | 140,0 | 59,3 | образуются |
длительные | 100,0 | 47,9 | образуются |
Раскрытие трещин
Номер примера | Вид раскрытия трещин | Ширина раскрытия трещин, мм | |
| |
| непродолжительное | 0,320 | 0,400 | выполнены |
продолжительное | 0,249 | 0,300 | выполнены |
| непродолжительное | 0,225 | 0,400 | выполнены |
продолжительное | 0,172 | 0,300 | выполнены |
| непродолжительное | 0,309 | 0,400 | выполнены |
продолжительное | 0,218 | 0,300 | выполнены |
| непродолжительное | 0,403 | 0,400 | не выполнены |
продолжительное | 0,317 | 0,300 | не выполнены |
Результат. Моменты 140 и 100 кНм соответственно от нагрузок кратковременных и длительных больше моментов трещинообразования 61,4 и 49,8 кНм. Трещины образуются. Раскрытие трещин непродолжительное 0,320 мм и продолжительное 0,249 мм меньше предельных значений (соответственно 0,400 и 0,300 мм). Требования
[1] выполнены.
Результат. В базовом и рассматриваемом примерах принят соответственно класс бетона В30 и В100. Больший класс бетона приводит к увеличению моментов трещинообразования для нагрузок кратковременных и длительных соответственно с 61,4 до 91,9 кНм и с 49,8 до 79,9 кНм. Раскрытие трещин непродолжительное и продолжительное уменьшается соответственно с 0,320 до 0,225 мм и с 0,249 до 0,172 мм. Требования
[1] выполнены.
Результат. В базовом и рассматриваемом примерах приняты соответственно двухлинейная и трехлинейная диаграммы состояния бетона. Трехлинейная диаграмма приводит к увеличению моментов трещинообразования для нагрузок кратковременных и длительных соответственно от 61,4 до 71,6 кНм и от 49,8 до 58,5 кНм. Раскрытие трещин непродолжительное и продолжительное уменьшается соответственно от 0,320 до 0,309 мм и от 0,249 до 0,218 мм. Требования
[1] выполнены.
Результат. В рассматриваемом примере, по сравнению с базовым, уменьшен диаметр всех стержней. Вследствие этого уменьшаются моменты трещинообразования для нагрузок кратковременных и длительных соответственно с 61,4 до 59,3 кНм и с 49,8 до 47,9 кНм. Раскрытие трещин непродолжительное и продолжительное увеличивается соответственно с 0,320 до 0,403 мм и с 0,249 до 0,317 мм. Поскольку 0,403 > 0,400 и 0,317 > 0,300, требования
[1] не выполнены. В базовом примере подобрано минимальное армирование.
X.Г.5. Элемент прямоугольного сечения с предварительным
напряжением арматуры, проверка армирования
Условия и результаты расчетов
Номер примера | Исследуемый фактор | Условия расчетов | |
| Пример базовый | Проверка трещиностойкости. Рассматривается элемент прямоугольного сечения с теми же параметрами, расположением арматуры и характеристиками материалов, что и в примере IV.Д.6.1 (Рис. IV.23). Сечение армировано напрягаемой арматурой  А800. Напряжения натяжения с учетом всех потерь 550 МПа. Усилия от нагрузок кратковременных N = 2450 кН, M = 490 кНм, длительных N = 1890 кН, M = 340 кНм. Требуется проверить трещиностойкость сечения. | Выполнены |
| Бетон | Влияние класса бетона. Принят бетон класса В40. | Выполнены |
| Армирование | Влияние ненапрягаемой арматуры. Установлена дополнительная ненапрягаемая арматура  А500 по одному стержню на расстоянии 40 мм от верхней и нижней грани и на расстоянии 200 мм от боковых граней. | Выполнены |
Характеристики трещиностойкости
Условные обозначения для нагрузок
Образование трещин
Номер примера | Нагрузки | Величины моментов, кНм | Трещины |
M | |
| кратковременные | 490,0 | 401,6 | образуются |
длительные | 340,0 | 372,2 | не образуются |
| кратковременные | 490,0 | 470,8 | образуются |
длительные | 340,0 | 433,7 | не образуются |
| кратковременные | 490,0 | 411,4 | образуются |
длительные | 340,0 | 379,3 | не образуются |
Раскрытие трещин
Номер примера | Вид раскрытия трещин | Ширина раскрытия трещин, мм | |
| |
| непродолжительное | 0,081 | 0,300 | выполнены |
продолжительное | - | 0,200 | выполнены |
| непродолжительное | 0,058 | 0,300 | выполнены |
продолжительное | - | 0,200 | выполнены |
| непродолжительное | 0,076 | 0,300 | выполнены |
продолжительное | - | 0,200 | выполнены |
Результат. Момент от кратковременных нагрузок 490 кНм больше момента трещинообразования 401,6 кНм. Трещины образуются. Момент от длительных нагрузок 340 кНм меньше момента трещинообразования 372,2 кНм. Трещины не образуются. Продолжительное раскрытие трещин 0,081 мм меньше предельного значения 0,300 мм. Требования
[1] выполнены.
Результат. В базовом и рассматриваемом примерах принят соответственно класс бетона В30 и В40. Больший класс бетона приводит к увеличению моментов трещинообразования для нагрузок кратковременных и длительных соответственно от 401,6 до 470,8 кНм и от 372,2 до 433,7 кНм. Трещины от кратковременных нагрузок образуются, а от длительных нагрузок не образуются. Непродолжительное раскрытие трещин уменьшается, по сравнению с базовым примером, от 0,081 до 0,058 мм. Требования
[1] выполнены.
Результат. Установка в рассматриваемом примере дополнительной ненапрягаемой арматуры приводит, по сравнению с базовым примером, к увеличению моментов трещинообразования для нагрузок кратковременных и длительных соответственно от 401,6 до 411,4 кНм и от 372,2 до 379,3 кНм. Трещины от кратковременных нагрузок образуются, а от длительных нагрузок не образуются. Непродолжительное раскрытие трещин уменьшается, по сравнению с базовым примером, с 0,081 до 0,076 мм. Требования
[1] выполнены.
X.Г.6. Элемент кольцевого сечения с предварительным
напряжением арматуры, проверка армирования
Условия и результаты расчетов
Номер примера | Исследуемый фактор | Условия расчетов | |
| Пример базовый | Проверка трещиностойкости. Рассматривается элемент кольцевого сечения с теми же геометрическими размерами и характеристиками бетона, что и в примере IV.Г.3.1 (Рис. IV.17). Напрягаемая арматура класса А800 состоит из восьми стержней  , располагаемых на окружности диаметром 450 мм. Напряжения натяжения с учетом всех потерь 750 МПа. Усилия от нагрузок кратковременных N = 300 кН, M = 380 кНм, длительных N = 350 кН, M = 450 кНм. Требуется проверить трещиностойкость сечения. | Выполнены |
| Армирование | Влияние диаметра стержней. Принят диаметр стержней 22 мм. | Выполнены |
Характеристики трещиностойкости
Условные обозначения для нагрузок
Образование трещин
Номер примера | Нагрузки | Величины моментов, кНм | Трещины |
M | |
| кратковременные | 450,0 | 335,4 | образуются |
длительные | 380,0 | 333,5 | образуются |
| кратковременные | 450,0 | 284,1 | образуются |
длительные | 380,0 | 281,1 | не образуются |
Раскрытие трещин
Номер примера | Вид раскрытия трещин | Ширина раскрытия трещин, мм | |
| |
| непродолжительное | 0,204 | 0,300 | выполнены |
продолжительное | 0,183 | 0,200 | выполнены |
| непродолжительное | 0,301 | 0,300 | не выполнены |
продолжительное | 0,211 | 0,200 | не выполнены |
Результат. Моменты 450 и 380 кНм соответственно от нагрузок кратковременных и длительных больше моментов трещинообразования 335,4 и 333,5 кНм. Трещины образуются. Раскрытие трещин непродолжительное 0,204 мм и продолжительное 0,183 мм меньше предельных значений (соответственно 0,300 и 0,200 мм). Требования
[1] выполнены.
Результат. В базовом и рассматриваемом примерах приняты диаметры стержней напрягаемой арматуры соответственно 25 и 22 мм. Уменьшение диаметра стержней приводит к уменьшению моментов трещинообразования для нагрузок кратковременных и длительных соответственно от 335,4 до 284,1 кНм и от 333,5 до 281,1 кНм. Непродолжительное и продолжительное раскрытие трещин увеличивается соответственно от 0,204 до 0,301 мм и от 0,183 до 0,211 мм. Поскольку 0,301 > 0,300 и 0,211 > 0,200, требования
[1] не выполнены.
В общем случае уменьшение диаметра стержней может и уменьшить ширину раскрытия трещин, поскольку уменьшается базовое расстояние между трещинами, определяемое по
формуле (8.136) [1].
X.Д. Косое внецентренное сжатие
X.Д.1. Элемент прямоугольного сечения без предварительного
напряжения арматуры, подбор армирования
Условия и результаты расчетов
Номер примера | Исследуемый фактор | Условия расчетов | Результаты расчетов |
Количество и диаметры стержней группы | Площадь сечения арматуры, см2 |
1-й | 2-й |
| Пример базовый | Подбор арматуры из стержней разного диаметра. Рассматривается элемент прямоугольного сечения с теми же геометрическими размерами, расположением арматуры, характеристиками материалов и усилиями, что и в примере IV.Д.2.1 (Рис. IV.20). Требуется определить диаметры стержней каждой группы из условия сохранности арматуры. | | | 17,08 |
| Бетон | Влияние класса бетона. Использован тяжелый бетон класса В80. | | | 7,63 |
| Влияние диаграммы состояния бетона. Использована двухлинейная диаграмма состояния бетона. | | | 14,70 |
| Армирование | Влияние разбиения стержней на группы. Стержни 1, 3, 4, 5, 6, 8 и 2, 7 (Рис. IV.20) относятся к 1-й и 2-й группам соответственно. Требуется подобрать диаметр стержней каждой группы. | | | 19,66 |
| Подбор арматуры из стержней одного диаметра. Все стержни 1 - 8 (Рис. IV.20) имеют одинаковый диаметр, который и требуется определить. | | - | 20,36 |
| Подбор арматуры из стержней, расположенных у граней и внутри сечения. Стержни одинакового диаметра расположены равномерно с шагами 80 и 105 мм вдоль осей x и y соответственно (Рис. IV.21). Требуется определить диаметр стержней. | | - | 28,27 |
| Раскрытие трещин | Влияние условий ограничения раскрытия трещин. Допустимое раскрытие трещин определяется условием ограничения проницаемости конструкции, а не обеспечением сохранности арматуры, как в базовом примере ( п. 8.2.6 [1]). | | | 22,77 |
Результат. Диаметры стержней 1, 3, 6, 8 и 2, 4, 5, 7
(Рис. IV.20) равны соответственно 20 и 12 мм. Общая площадь сечения арматуры составляет 17,08 см2.
Результат. Общая площадь сечения арматуры в базовом и рассматриваемом примерах составляет соответственно 17,08 и 7,63 см2. Увеличение класса бетона приводит к снижению площади сечения арматуры.
Результат. В базовом и рассматриваемом примерах площадь сечения арматуры составила соответственно 17,08 см2

и 14,70 см2

. При двухлинейной диаграмме состояния бетона площадь сечения арматуры оказалась меньше, чем при трехлинейной диаграмме.
Результат. При принятом разбиении стержней на группы площадь поперечного сечения арматуры 19,66 см2

возрастает, по сравнению с площадью 17,08 см2

в базовом примере.
Результат. Площадь поперечного сечения арматуры 20,36 см2

возросла по сравнению со значениями в
примерах X.Д.1.1,
X.Д.1.4. Требуемая площадь сечения существенно зависит от разбиения стержней на группы.
Результат. Площадь поперечного сечения арматуры 28,27 см2

возросла по сравнению со значением 17,08 см2

в базовом примере. Это объясняется тем, что арматура у граней используется эффективнее, чем арматура внутри сечения. Однако постановка стержней внутри сечения иногда необходима в тяжело нагруженных колоннах.
Результат. Ограничение проницаемости конструкций предъявляет более жесткие требования к раскрытию трещин, чем требование сохранности арматуры (
п. 8.2.6 [1]). Это вызывает увеличение площади сечения арматуры 22,77 см2

в рассматриваемом примере, по сравнению с базовым 17,08 см2

.
X.Д.2. Элемент прямоугольного сечения без предварительного
напряжения арматуры, проверка армирования
Условия и результаты расчетов
Номер примера | Исследуемый фактор | Условия расчетов | |
| Пример базовый | Проверка трещиностойкости. Рассматривается элемент прямоугольного сечения с теми же параметрами, что и в примере X.Д.1.1 (Рис. IV.20). Поставлена подобранная в примере X.Д.1.1 арматура с площадью поперечного сечения 17,08 см2  . Требуется проверить трещиностойкость сечения. | Выполнены |
| Армирование | Проверка подбора минимальной площади сечения арматуры. Принято армирование  , т.е. диаметр четырех стержней в базовом примере уменьшен до ближайшего значения. | Не выполнены |
Характеристики трещиностойкости
Условные обозначения для нагрузок
Образование трещин
Номер примера | Моменты | Нагрузки | Величины моментов, кНм | Трещины |
M | |
| | кратковременные | 140,0 | 146,5 | не образуются |
длительные | 110,0 | 131,4 | не образуются |
| кратковременные | 320,0 | 185,9 | образуются |
длительные | 250,0 | 166,6 | образуются |
| | кратковременные | 140,0 | 145,9 | не образуются |
длительные | 110,0 | 131,8 | не образуются |
| кратковременные | 320,0 | 185,1 | образуются |
длительные | 250,0 | 166,1 | образуются |
Раскрытие трещин
Номер примера | Моменты | Вид раскрытия трещин | Ширина раскрытия трещин, мм | |
| |
| | непродолжительное | - | 0,400 | выполнены |
продолжительное | - | 0,300 | выполнены |
| непродолжительное | 0,384 | 0,400 | выполнены |
продолжительное | 0,293 | 0,300 | выполнены |
| | непродолжительное | - | 0,400 | выполнены |
продолжительное | - | 0,300 | выполнены |
| непродолжительное | 0,400 | 0,400 | выполнены |
продолжительное | 0,306 | 0,300 | не выполнены |
Результат. Действующие моменты

от кратковременных и длительных нагрузок, равные соответственно 140 и 110 кНм, меньше моментов трещинообразования 146,5 и 131,4 кНм. Трещины не образуются. Действующие моменты

от кратковременных и длительных нагрузок, равные соответственно 320 и 250 кНм, больше моментов трещинообразования 185,9 и 166,6 кНм. Трещины образуются.
В случае образования трещин ширина их раскрытия меньше предельного значения. Требования
[1] выполнены.
Результат. В базовом примере непродолжительная и продолжительная ширина раскрытия трещин от момента

равна соответственно 0,384 и 0,293 мм. В рассматриваемом примере из-за уменьшения площади сечения арматуры аналогичные величины раскрытия увеличились до 0,400 и 0,306 мм. Для продолжительного раскрытия (0,306 > 0,300) требования
[1] не выполнены.
X.Д.3. Элемент двутаврового сечения без предварительного
напряжения арматуры, подбор армирования
Условия и результаты расчетов
Номер примера | Исследуемый фактор | Условия расчетов | Результаты расчетов |
Количество и диаметры стержней группы | Площадь сечения арматуры, см2 |
1-й | 2-й |
| Пример базовый | Подбор арматуры из стержней одинакового диаметра. Рассматривается элемент двутаврового сечения с теми же геометрическими размерами, характеристиками материалов, расположением арматуры и усилиями, что и в примере IV.Д.4.1 (Рис. IV.22). Требуется определить диаметр стержней из условия обеспечения сохранности арматуры. | | - | 112,60 |
| Армирование | Подбор арматуры из стержней разных диаметров. Стержни 1, 5, 6, 7, 8, 9, 10, 14 и 2, 3, 4, 11, 12, 13 (Рис. IV.22) относятся соответственно к 1-й и 2-й группам. Требуется определить диаметры стержней каждой группы. | | | 87,53 |
Результат. Общая площадь сечения арматуры составляет 112,60 см2

.
Результат. Общая площадь сечения арматуры 87,53 см2

оказалась существенно меньше, чем в базовом примере 112,60 см2

.
X.Д.4. Элемент двутаврового сечения без предварительного
напряжения арматуры, проверка армирования
Условия и результаты расчетов
Номер примера | Исследуемый фактор | Условия расчетов | |
| Пример базовый | Проверка трещиностойкости при одинаковых диаметрах стержней. Рассматривается двутавровое сечение с теми же геометрическими размерами, расположением арматуры, характеристиками материалов и усилиями, что и в примере IV.Д.4.1 (Рис. IV.22). Арматура класса А500, подобранная в примере X.Д.3.1, состоит из 14 стержней диаметром 32 мм (Рис. IV.22). Требуется проверить трещиностойкость сечения из условия обеспечения сохранности арматуры. | Выполнены |
| Армирование | Проверка трещиностойкости при разных диаметрах стержней. В сечении установлена арматура  , подобранная в примере X.Д.3.2. | Выполнены |
| Проверка подбора минимальной площади сечения арматуры при одинаковом диаметре стержней. Установлена арматура  , т.е. диаметр стержней в базовом примере уменьшен до ближайшего значения. | Не выполнены |
| Проверка подбора минимальной площади сечения арматуры при разных диаметрах стержней. Установлена арматура  , т.е. диаметр 6 стержней в примере X.Д.3.2 уменьшен до ближайшего значения. | Не выполнены |
Характеристики трещиностойкости
Условные обозначения для нагрузок
Образование трещин
Номер примера | Моменты | Нагрузки | Величины моментов, кНм | Трещины |
M | |
| | кратковременные | 825,0 | 375,6 | образуются |
длительные | 650,0 | 339,2 | образуются |
| кратковременные | 3700,0 | 1691,1 | образуются |
длительные | 2000,0 | 1494,9 | образуются |
| | кратковременные | 825,0 | 351,7 | образуются |
длительные | 650,0 | 317,1 | образуются |
| кратковременные | 3700,0 | 1635,0 | образуются |
длительные | 2000,0 | 1441,0 | образуются |
| | кратковременные | 825,0 | 360,0 | образуются |
длительные | 650,0 | 324,7 | образуются |
| кратковременные | 3700,0 | 1625,8 | образуются |
длительные | 2000,0 | 1432,5 | образуются |
| | кратковременные | 825,0 | 343,2 | образуются |
длительные | 650,0 | 309,2 | образуются |
| кратковременные | 3700,0 | 1615,2 | образуются |
длительные | 2000,0 | 1422,0 | образуются |
Раскрытие трещин
Номер примера | Моменты | Вид раскрытия трещин | Ширина раскрытия трещин, мм | |
| |
| | непродолжительное | 0,244 | 0,400 | выполнены |
продолжительное | 0,182 | 0,300 | выполнены |
| непродолжительное | 0,312 | 0,400 | выполнены |
продолжительное | 0,117 | 0,300 | выполнены |
| | непродолжительное | 0,365 | 0,400 | выполнены |
продолжительное | 0,272 | 0,300 | выполнены |
| непродолжительное | 0,396 | 0,400 | выполнены |
продолжительное | 0,147 | 0,300 | выполнены |
| | непродолжительное | 0,316 | 0,400 | выполнены |
продолжительное | 0,243 | 0,300 | выполнены |
| непродолжительное | 0,407 | 0,400 | не выполнены |
продолжительное | 0,152 | 0,300 | выполнены |
| | непродолжительное | 0,435 | 0,400 | не выполнены |
продолжительное | 0,335 | 0,300 | не выполнены |
| непродолжительное | 0,441 | 0,400 | не выполнены |
продолжительное | 0,175 | 0,300 | выполнены |
Результат. Действующие моменты

от кратковременных и длительных нагрузок, равные соответственно 825 и 650 кНм, больше моментов трещинообразования, равных соответственно 375,6 и 339,2 кНм. Действующие моменты

от кратковременных и длительных нагрузок, равные соответственно 3700 и 2000 кНм, больше моментов трещинообразования, равных соответственно 1691,1 и 1494,9 кНм. Трещины образуются. Ширина их раскрытия во всех случаях меньше предельных значений. Требования
[1] выполнены.
Результат. Действующие моменты

от кратковременных и длительных нагрузок, равные соответственно 825 и 650 кНм, больше моментов трещинообразования, равных соответственно 351,7 и 317,1 кНм. Действующие моменты

от кратковременных и длительных нагрузок, равные соответственно 3700 и 2000 кНм, больше моментов трещинообразования, равных соответственно 1635,0 и 1441,0 кНм. Трещины образуются.
В рассматриваемом примере, по сравнению с базовым, площадь сечения арматуры уменьшилась. Вследствие этого уменьшились моменты трещинообразования

(351,7 < 375,6, 317,1 < 339,2) и

(1635,0 < 1691,1, 1441,0 < 1494,9), а раскрытие трещин увеличилось (0,365 > 0,244, 0,272 > 0,182 - от момента

, 0,396 > 0,312, 0,147 > 0,117 - от момента

). Поскольку раскрытие трещин во всех случаях меньше предельных значений, требования
[1] выполнены.
Результат. В рассматриваемом примере, по сравнению с базовым, площадь сечения арматуры уменьшилась. Вследствие этого уменьшились моменты трещинообразования

(360,0 < 375,6, 324,7 < 339,2) и

(1625,8 < 1691,1, 1432,5 < 1494,9), а раскрытие трещин увеличилось (0,316 > 0,244, 0,243 > 0,182 - непродолжительное и продолжительное от момента

; 0,407 > 0,312, 0,152 > 0,117 - непродолжительное и продолжительное от момента

).
Непродолжительное раскрытие трещин 0,407 мм от момента

больше предельного значения 0,400 мм. Требования
[1] не выполнены.
Результат. В рассматриваемом примере, по сравнению с
примером X.Д.4.2, площадь сечения арматуры уменьшилась. Вследствие этого уменьшились моменты трещинообразования от нагрузок кратковременных и длительных

(343,2 < 351,7, 309,2 < 317,1) и

(1615,2 < 1635,0, 1422,0 < 1441,0), а раскрытие трещин увеличилось (0,435 > 0,365, 0,335 > 0,272 - непродолжительное и продолжительное от момента

; 0,441 > 0,396, 0,175 > 0,147 - непродолжительное и продолжительное от момента

).
Превышают предельные значения:
- ширина непродолжительного раскрытия трещин от моментов

(0,435 > 0,400) и

(0,441 > 0,400);
- ширина продолжительного раскрытия трещин от момента

(0,335 > 0,300).
Требования
[1] не выполнены.
X.Д.5. Элемент прямоугольного сечения с предварительным
напряжением арматуры, проверка армирования
Условия и результаты расчетов
Номер примера | Исследуемый фактор | Условия расчетов | |
| Пример базовый | Проверка трещиностойкости. Рассматривается элемент прямоугольного сечения с теми же параметрами, расположением арматуры и характеристиками материалов, что и в примере IV.Д.6.1 (Рис. IV.23). Сечение армировано напрягаемой арматурой  А800. Напряжения натяжения с учетом всех потерь 550 МПа. Усилия от нагрузок кратковременных N = 2450 кН,  ,  , длительных N = 1890 кН,  ,  . Требуется проверить трещиностойкость сечения. | Выполнены |
| Бетон | Влияние класса бетона. Принят бетон класса В50. | Выполнены |
Характеристики трещиностойкости
Условные обозначения для нагрузок
Образование трещин
Номер примера | Моменты | Нагрузки | Величины моментов, кНм | Трещины |
M | |
| | кратковременные | 240,0 | 236,5 | образуются |
длительные | 300,0 | 217,0 | образуются |
| кратковременные | 490,0 | 401,6 | образуются |
длительные | 400,0 | 371,7 | образуются |
| | кратковременные | 240,0 | 301,4 | не образуются |
длительные | 300,0 | 270,4 | образуются |
| кратковременные | 490,0 | 521,1 | не образуются |
длительные | 400,0 | 485,5 | не образуются |
Раскрытие трещин
Номер примера | Моменты | Вид раскрытия трещин | Ширина раскрытия трещин, мм | |
| |
| | непродолжительное | 0,096 | 0,300 | выполнены |
продолжительное | 0,125 | 0,200 | выполнены |
| непродолжительное | 0,106 | 0,300 | выполнены |
продолжительное | 0,089 | 0,200 | выполнены |
| | непродолжительное | - | 0,300 | выполнены |
продолжительное | 0,089 | 0,200 | выполнены |
| непродолжительное | - | 0,300 | выполнены |
продолжительное | - | 0,200 | выполнены |
Результат. Действующие моменты

от кратковременных и длительных нагрузок, равные соответственно 240,0 и 300,0 кНм, больше моментов трещинообразования, равных соответственно 236,5 и 217,0 кНм. Действующие моменты

от кратковременных и длительных нагрузок, равные соответственно 490,0 и 400,0 кНм, больше моментов трещинообразования, равных соответственно 401,6 и 371,7 кНм. Трещины образуются. Ширина их раскрытия меньше предельных значений. Требования
[1] выполнены.
В рассматриваемом примере, по сравнению с базовым, увеличился класс бетона. Вследствие этого увеличились моменты трещинообразования

(301,4 > 236,5, 270,4 > 217,0) и

(521,1 > 401,6, 485,5 > 371,7). Трещины образуются только от момента

при длительных нагрузках. Ширина их раскрытия уменьшилась по сравнению с аналогичным значением в базовом примере (0,089 < 0,106). Требования
[1] выполнены.
X.Е. Внецентренное растяжение
X.Е.1. Элемент прямоугольного сечения без предварительного
напряжения арматуры, подбор армирования
Условия и результаты расчетов
Номер примера | Исследуемый фактор | Условия расчетов | Результаты расчетов |
Количество и диаметры стержней группы | Площадь сечения арматуры, см2 |
1-й | 2-й |
| Пример базовый | Подбор симметричной арматуры. Рассматривается прямоугольное сечение с теми же геометрическими размерами, расположением арматуры и характеристиками материалов, что и в примере IV.Е.1.1 (Рис. IV.24). Усилия от нагрузок кратковременных N = 120 кН, M = 90 кНм; длительных N = 97 кН, M = 80 кНм. Требуется определить диаметр стержней из условия сохранности арматуры. | | - | 40,72 |
| Бетон | Влияние класса бетона. Использован тяжелый бетон класса В20. | | - | 50,27 |
| Влияние диаграммы состояния бетона. Использована трехлинейная диаграмма состояния бетона. | | - | 40,72 |
| Армирование | Подбор несимметричной арматуры. Стержни 1, 2 и 3, 4 (Рис. IV.24) принадлежат соответственно 1-й и 2-й группам. | | | 21,93 |
| Усилия | Влияние эксцентриситета приложения продольной силы. В сечении действуют усилия от нагрузок кратковременных N = 120 кН, M = 20 кНм; длительных N = 97 кН, M = 16 кНм. | | - | 12,56 |
| Центральное растяжение. В сечении действуют усилия: от нагрузок кратковременных N = 120 кН, M = 0 кНм; длительных N = 97 кН, M = 0 кНм. | | | 3,14 |
Результат. Общая площадь сечения арматуры составляет 40,72 см2

.
Результат. В базовом и рассматриваемом примерах принят класс бетона соответственно В25 и В20. Понижение класса бетона в рассматриваемом примере привело к увеличению площади сечения арматуры от 40,72 см2

до 50,27 см2

.
Результат. В базовом и рассматриваемом примерах приняты соответственно двухлинейная и трехлинейная диаграммы состояния бетона. В обоих примерах площадь сечения арматуры оказалась одинаковой 40,72 см2

.
Результат. При несимметричной арматуре общая площадь сечения 21,93 см2

в рассматриваемом примере оказалась существенно ниже, чем при симметричном армировании в базовом примере 40,72 см2

.
Результат. В рассматриваемом примере, по сравнению с базовым, понижены изгибающие моменты от нагрузок кратковременных (20 кНм < 90 кНм) и длительных (16 кНм < 80 кНм). Это привело к снижению площади сечения арматуры от 40,72 см2

до 12,56 см2

.
Результат. В рассматриваемом примере изгибающие моменты от кратковременных и длительных нагрузок приняты равными нулю. По сравнению с базовым примером, это привело к снижению площади сечения арматуры от 40,72 см2

до 3,14 см2

.
X.Е.2. Элемент прямоугольного сечения без предварительного
напряжения арматуры, проверка армирования
Условия и результаты расчетов
Номер примера | Исследуемый фактор | Условия расчетов | |
| Пример базовый | Проверка трещиностойкости. Рассматривается прямоугольное сечение с теми же геометрическими размерами, расположением арматуры, характеристиками материалов и усилиями, что и в примере X.Е.1.1 (Рис. IV.24). Арматура класса А500, подобранная в примере X.Е.1.1, состоит из 4 стержней диаметром 36 мм. Требуется проверить трещиностойкость сечения из условия сохранности арматуры. | Выполнены |
| Армирование | Проверка подбора минимального армирования. Принято армирование  , т.е. диаметр стержней в базовом примере уменьшен до ближайшего значения. | Выполнены |
Характеристики трещиностойкости
Условные обозначения для нагрузок
Образование трещин
Номер примера | Нагрузки | Величины моментов, кНм | Трещины |
M | |
| кратковременные | 90,0 | 19,5 | образуются |
длительные | 80,0 | 21,1 | образуются |
| кратковременные | 90,0 | 17,4 | образуются |
длительные | 80,0 | 18,9 | образуются |
Раскрытие трещин
Номер примера | Вид раскрытия трещин | Ширина раскрытия трещин, мм | |
| |
| непродолжительное | 0,330 | 0,400 | выполнены |
продолжительное | 0,298 | 0,300 | выполнены |
| непродолжительное | 0,423 | 0,400 | не выполнены |
продолжительное | 0,382 | 0,300 | не выполнены |
Результат. Моменты 90,0 и 80,0 кНм соответственно от нагрузок кратковременных и длительных больше моментов трещинообразования 19,5 и 21,1 кНм. Трещины образуются. Раскрытие трещин непродолжительное 0,330 мм и продолжительное 0,298 мм меньше предельных значений (соответственно 0,400 и 0,300 мм). Требования
[1].
Результат. В рассматриваемом примере, по сравнению с базовым, уменьшен диаметр всех стержней. Вследствие этого уменьшаются моменты трещинообразования при нагрузках кратковременных и длительных соответственно от 19,5 до 17,4 кНм и от 21,1 до 18,9 кНм. Раскрытие трещин непродолжительное и продолжительное увеличивается соответственно с 0,330 до 0,423 мм и с 0,298 до 0,382 мм. Поскольку 0,423 > 0,400 и 0,382 > 0,300, требования
[1] не выполнены. В базовом примере подобрано минимальное армирование.
X.Е.3. Элемент таврового сечения с предварительным
напряжением арматуры, проверка армирования
Условия и результаты расчетов
Номер примера | Исследуемый фактор | Условия расчетов | |
| Пример базовый | Проверка трещиностойкости. Рассматривается тавровое сечение с теми же геометрическими размерами, расположением арматуры и характеристиками материалов, что и в примере IV.Е.5.1 (Рис. IV.26). Напрягаемая арматура класса А800 состоит из 1 стержня диаметром 20 мм. Напряжения натяжения с учетом всех потерь 670 МПа. Усилия от нагрузок кратковременных N = 82 кН, M = 78 кНм; длительных N = 66 кН, M = 69 кНм. Требуется проверить трещиностойкость сечения из условия сохранности арматуры. | Выполнены |
| Бетон | Влияние класса бетона. Использован тяжелый бетон класса В45. | Выполнены |
| Армирование | Влияние диаметра стержня ненапрягаемой арматуры. Диаметр стержня ненапрягаемой арматуры увеличен с 10 до 16 мм. | Выполнены |
Характеристики трещиностойкости
Условные обозначения для нагрузок
Образование трещин
Номер примера | Нагрузки | Величины моментов, кНм | Трещины |
M | |
| кратковременные | 78,0 | 18,7 | образуются |
длительные | 69,0 | 20,0 | образуются |
| кратковременные | 78,0 | 20,1 | образуются |
длительные | 69,0 | 21,5 | образуются |
| кратковременные | 78,0 | 19,5 | образуются |
длительные | 69,0 | 20,8 | образуются |
Раскрытие трещин
Номер примера | Вид раскрытия трещин | Ширина раскрытия трещин, мм | |
| |
| непродолжительное | 0,186 | 0,300 | выполнены |
продолжительное | 0,144 | 0,200 | выполнены |
| непродолжительное | 0,184 | 0,300 | выполнены |
продолжительное | 0,142 | 0,200 | выполнены |
| непродолжительное | 0,182 | 0,300 | выполнены |
продолжительное | 0,128 | 0,200 | выполнены |
Результат. Моменты 78,0 и 69,0 кНм соответственно от нагрузок кратковременных и длительных больше моментов трещинообразования 18,7 и 20,0 кНм. Трещины образуются. Раскрытие трещин непродолжительное 0,186 мм и продолжительное 0,144 мм меньше предельных значений (соответственно 0,300 и 0,200 мм). Требования
[1] выполнены.
Результат. В базовом и рассматриваемом примерах приняты классы бетона соответственно В30 и В45. Повышение класса бетона в рассматриваемом примере привело к увеличению моментов трещинообразования при нагрузках кратковременных (20,1 > 18,7) и длительных (21,5 > 20,0), а также к уменьшению раскрытия трещин непродолжительного (0,184 < 0,186) и продолжительного (0,142 < 0,144). Требования
[1] выполнены.
Результат. В базовом и рассматриваемом примерах приняты диаметры стержней арматуры соответственно 10 и 16 мм. Увеличение диаметра стержня арматуры в рассматриваемом примере увеличило моменты трещинообразования при нагрузках кратковременных (19,5 > 18,7) и длительных (20,8 > 20,0) и уменьшило раскрытие трещин непродолжительное (0,182 < 0,186) и продолжительное (0,128 < 0,144). Требования
[1] выполнены.
X.Ж. Косое внецентренное растяжение
X.Ж.1. Элемент прямоугольного сечения без предварительного
напряжения арматуры, подбор армирования
Условия и результаты расчетов
Номер примера | Исследуемый фактор | Условия расчетов | Результаты расчетов |
Количество и диаметры стержней группы | Площадь сечения арматуры, см2 |
1-й | 2-й |
| Пример базовый | Подбор симметричной арматуры. Рассматривается прямоугольное сечение с теми же геометрическими размерами, характеристиками материалов и расположением арматуры, что и в примере IV.Ж.1.1 (Рис. IV.26). Усилия от нагрузок кратковременных N = 121 кН,  ,  , длительных N = 98 кН,  ,  . Требуется определить диаметр стержней из условия сохранности арматуры. | | - | 49,09 |
| Бетон | Влияние класса бетона. Использован тяжелый бетон класса В25. | | - | 49,09 |
| Влияние диаграммы состояния бетона. Использована двухлинейная диаграмма состояния бетона. | | - | 49,09 |
| Армирование | Подбор несимметричной арматуры. Стержни 1 - 5 и 6 - 10 (Рис. IV.26), расположенные соответственно у наиболее и наименее растянутой грани сечения, относятся соответственно к 1-й и 2-й группе и могут иметь разные диаметры. | | | 28,47 |
Результат. Общая площадь сечения арматуры составляет 49,09 см2

.
Результат. В базовом и рассматриваемом примерах принят класс бетона соответственно В20 и В25. В обоих примерах площадь сечения арматуры оказалась одинаковой 49,09 см2

.
Результат. В базовом и рассматриваемом примерах приняты соответственно трехлинейная и двухлинейная диаграммы состояния бетона. В обоих примерах площадь сечения арматуры оказалась одинаковой 49,09 см2

.
Результат. У наиболее и наименее растянутой грани расположены по 5 стержней диаметром 25 и 10 мм соответственно. Общая площадь сечения арматуры 28,47 см2 уменьшилась, по сравнению с площадью 49,09 см2, полученной в базовом примере.
X.Ж.2. Элемент прямоугольного сечения без предварительного
напряжения арматуры, проверка армирования
Условия и результаты расчетов
Номер примера | Исследуемый фактор | Условия расчетов | |
| Пример базовый | Проверка трещиностойкости при симметричном армировании. Рассматривается элемент прямоугольного сечения такой же, как в примере X.Ж.1.1 (Рис. IV.26). Поставлена подобранная в этом примере арматура с площадью поперечного сечения 49,09 см2  . Требуется проверить трещиностойкость сечения из условия сохранности арматуры. | Выполнены |
| Армирование | Проверка трещиностойкости при несимметричном армировании. Рассматривается элемент прямоугольного сечения такой же, как в примере X.Ж.1.2. Поставлена подобранная в этом примере арматура с площадью поперечного сечения 28,47 см2  . | Выполнены |
| Проверка подбора минимальной площади сечения симметричной арматуры. Принято армирование  , т.е. диаметр стержней в базовом примере уменьшен до ближайшего значения. | Не выполнены |
| Проверка подбора минимальной площади сечения несимметричной арматуры. Принято армирование  , т.е. диаметр 25 мм пяти стержней в примере X.Ж.2.2 уменьшен до ближайшего значения. | Не выполнены |
Характеристики трещиностойкости
Условные обозначения для нагрузок
Образование трещин
Номер примера | Моменты | Нагрузки | Величины моментов, кНм | Трещины |
M | |
| | кратковременные | 31,0 | 53,7 | не образуются |
длительные | 23,0 | 59,9 | не образуются |
| кратковременные | 71,0 | 12,0 | образуются |
длительные | 57,0 | 13,2 | образуются |
| | кратковременные | 31,0 | 41,0 | не образуются |
длительные | 23,0 | 47,0 | не образуются |
| кратковременные | 71,0 | 11,8 | образуются |
длительные | 57,0 | 13,0 | образуются |
| | кратковременные | 31,0 | 47,0 | не образуются |
длительные | 23,0 | 53,1 | не образуются |
| кратковременные | 71,0 | 10,3 | образуются |
длительные | 57,0 | 11,5 | образуются |
| | кратковременные | 31,0 | 37,7 | не образуются |
длительные | 23,0 | 44,1 | не образуются |
| кратковременные | 71,0 | 10,2 | образуются |
длительные | 57,0 | 11,5 | образуются |
Раскрытие трещин
Номер примера | Моменты | Вид раскрытия трещин | Ширина раскрытия трещин, мм | |
| |
| | непродолжительное | - | 0,400 | выполнены |
продолжительное | - | 0,300 | выполнены |
| непродолжительное | 0,332 | 0,400 | выполнены |
продолжительное | 0,271 | 0,300 | выполнены |
| | непродолжительное | - | 0,400 | выполнены |
продолжительное | - | 0,300 | выполнены |
| непродолжительное | 0,333 | 0,400 | выполнены |
продолжительное | 0,272 | 0,300 | выполнены |
| | непродолжительное | - | 0,400 | выполнены |
продолжительное | - | 0,300 | выполнены |
| непродолжительное | 0,437 | 0,400 | не выполнены |
продолжительное | 0,363 | 0,300 | не выполнены |
| | непродолжительное | - | 0,400 | выполнены |
| | ИС МЕГАНОРМ: примечание. Текст дан в соответствии с официальным текстом документа. | |
|
| | продолжительное | -0 | 0,300 | выполнены |
| непродолжительное | 0,437 | 0,400 | не выполнены |
продолжительное | 0,363 | 0,300 | не выполнены |
Результат. Моменты

, равные 31,0 и 23,0 кНм соответственно от нагрузок кратковременных и длительных, меньше моментов трещинообразования 53,7 и 59,9 кНм. Трещины не образуются. Моменты

, равные 71,0 и 57,0 кНм соответственно от нагрузок кратковременных и длительных, больше моментов трещинообразования 13,0 и 13,2 кНм. Трещины образуются. Раскрытие трещин непродолжительное 0,332 мм и продолжительное 0,271 мм меньше предельных значений (соответственно 0,400 и 0,300 мм). Требования
[1] выполнены.
Результат. Моменты

, равные 31,0 и 23,0 кНм соответственно от нагрузок кратковременных и длительных, меньше моментов трещинообразования 41,0 и 47,0 кНм. Трещины не образуются. Моменты

, равные 71,0 и 57,0 кНм соответственно от нагрузок кратковременных и длительных, больше моментов трещинообразования 11,8 и 13,0 кНм. Трещины образуются. Раскрытие трещин непродолжительное 0,333 мм и продолжительное 0,272 мм меньше предельных значений (соответственно 0,400 и 0,300 мм). Требования
[1] выполнены.
Результат. Моменты

, равные 31,0 и 23,0 кНм соответственно от нагрузок кратковременных и длительных, меньше моментов трещинообразования 47,0 и 53,1 кНм. Трещины не образуются. Моменты

, равные 71,0 и 57,0 кНм соответственно от нагрузок кратковременных и длительных, больше моментов трещинообразования 10,3 и 11,5 кНм. Трещины образуются. Раскрытие трещин непродолжительное 0,437 мм и продолжительное 0,363 мм больше предельных значений (соответственно 0,400 и 0,300 мм). Требования
[1] не выполнены. В базовом примере подобрано минимальное армирование.
Результат. Моменты

, равные 31,0 и 23,0 кНм соответственно от нагрузок кратковременных и длительных, меньше моментов трещинообразования 37,7 и 44,1 кНм. Трещины не образуются. Моменты

, равные 71,0 и 57,0 кНм соответственно от нагрузок кратковременных и длительных, больше моментов трещинообразования 10,2 и 11,5 кНм. Трещины образуются. Раскрытие трещин непродолжительное 0,437 мм и продолжительное 0,363 мм больше предельных значений (соответственно 0,400 и 0,300 мм). Требования
[1] не выполнены. В
примере X.Ж.1.1 подобрано минимальное армирование.
X.Ж.3. Элемент прямоугольного сечения с предварительным
напряжением арматуры, проверка армирования
Условия и результаты расчетов
Номер примера | Исследуемый фактор | Условия расчетов | |
| Пример базовый | Проверка трещиностойкости. Рассматривается прямоугольное сечение с теми же геометрическими размерами, характеристиками материалов и расположением арматуры, что и в примере IV.Ж.3.1 (Рис. IV.28). Используется трехлинейная диаграмма состояния бетона. Сечение армировано напрягаемой арматурой  А800. Напряжения натяжения 650 МПа. Усилия от нагрузок кратковременных N = 1000 кН,  ;  , длительных N = 920 кН,  ;  . Требуется проверить трещиностойкость сечения из условия сохранности арматуры. | Выполнены |
| Бетон | Влияние класса бетона. Использован тяжелый бетон класса В40. | Выполнены |
| Армирование | Влияние диаметра стержней арматуры. Сечение армировано напрягаемой арматурой  А800. | Не выполнены |
Характеристики трещиностойкости
Условные обозначения для нагрузок
Образование трещин
Номер примера | Моменты | Нагрузки | Величины моментов, кНм | Трещины |
M | |
| | кратковременные | 67,0 | 36,6 | образуются |
длительные | 58,0 | 39,0 | образуются |
| кратковременные | 97,0 | 52,5 | образуются |
длительные | 83,0 | 55,4 | образуются |
| | кратковременные | 67,0 | 40,6 | образуются |
длительные | 58,0 | 44,7 | образуются |
| кратковременные | 97,0 | 59,2 | образуются |
длительные | 83,0 | 64,9 | образуются |
| | кратковременные | 67,0 | 22,1 | образуются |
длительные | 58,0 | 26,0 | образуются |
| кратковременные | 97,0 | 32,5 | образуются |
длительные | 83,0 | 38,1 | образуются |
Раскрытие трещин
Номер примера | Моменты | Вид раскрытия трещин | Ширина раскрытия трещин, мм | |
| |
| | непродолжительное | 0,171 | 0,300 | выполнены |
продолжительное | 0,147 | 0,200 | выполнены |
| непродолжительное | 0,171 | 0,300 | выполнены |
продолжительное | 0,148 | 0,200 | выполнены |
| | непродолжительное | 0,158 | 0,300 | выполнены |
продолжительное | 0,125 | 0,200 | выполнены |
| непродолжительное | 0,149 | 0,300 | выполнены |
продолжительное | 0,119 | 0,200 | выполнены |
| | непродолжительное | 0,270 | 0,300 | выполнены |
продолжительное | 0,221 | 0,200 | не выполнены |
| непродолжительное | 0,293 | 0,300 | выполнены |
продолжительное | 0,231 | 0,200 | не выполнены |
Результат. Действующие моменты

от кратковременных и длительных нагрузок, равные соответственно 67 и 58 кНм, больше моментов трещинообразования, равных соответственно 36,6 и 39,0 кНм. Действующие моменты

от кратковременных и длительных нагрузок, равные соответственно 97,0 и 83,0 кНм, больше моментов трещинообразования, равных соответственно 52,5 и 55,4 кНм. Трещины образуются. Ширина их раскрытия меньше предельных значений. Требования
[1] выполнены.
Результат. Действующие моменты

от кратковременных и длительных нагрузок, равные соответственно 67 и 58 кНм, больше моментов трещинообразования, равных соответственно 40,6 и 44,7 кНм. Действующие моменты

от кратковременных и длительных нагрузок, равные соответственно 97,0 и 83,0 кНм, больше моментов трещинообразования, равных соответственно 59,2 и 64,9 кНм. Трещины образуются.
В рассматриваемом примере, по сравнению с базовым, увеличился класс бетона от В25 до В40. Вследствие этого увеличились моменты трещинообразования

(40,6 > 36,6, 44,7 > 39,0) и

(59,2 > 52,5, 64,9 > 55,4), а раскрытие трещин уменьшилось (0,158 < 0,171, 0,125 < 0,147 - от момента

, 0,149 < 0,171, 0,119 < 0,148 - от момента

). Поскольку раскрытие трещин во всех случаях меньше предельных значений, требования
[1] выполнены.
Результат. В рассматриваемом примере, по сравнению с базовым, площадь сечения арматуры уменьшилась. Вследствие этого уменьшились моменты трещинообразования

(22,10 < 36,6, 26,0 < 39,0) и

(32,5 < 52,5, 38,1 < 55,4), а раскрытие трещин увеличилось (0,270 > 0,171, 0,221 > 0,147 - непродолжительное и продолжительное от момента

; 0,293 > 0,171, 0,231 > 0,148 - непродолжительное и продолжительное от момента

).
Продолжительное раскрытие трещин 0,221 мм от момента

и 0,231 мм от момента

больше предельного значения 0,200 мм. Требования
[1] не выполнены.
X.И. Рекомендации по оценке правильности расчетов
В соответствии с рекомендациями
раздела X.А настоящего Пособия в примерах
разделов X.Б -
X.Ж рассмотрены различные факторы, влияющие на результаты расчетов. Ниже приведены некоторые общие положения, которыми следует руководствоваться при оценке правильности расчетов (см. также
раздел X.А).
1. Тестирование программ рекомендуется проводить, сравнивая результаты, полученные по программам и в приведенных выше примерах. При расхождении рекомендуется проверять правильность результатов "вручную", используя методику, изложенную в
примере X.Б.2.1
2. При подборе арматуры увеличение класса бетона не может вызвать увеличения площади сечения подбираемой арматуры. Это очевидное утверждение подтверждает сравнение результатов решения примеров:
3. При трехлинейной диаграмме состояния бетона площадь сечения подбираемой арматуры может уменьшиться, увеличиться или остаться без изменений по сравнению с площадью при двухлинейной диаграмме. Это подтверждает сравнение результатов решения примеров:
4. При несимметричном армировании подбираемая площадь сечения стержней оказывается, как правило, существенно меньше, чем при симметричном армировании - см. примеры:
5. При проверке минимально подобранного симметричного и несимметричного армирования в случае симметричного армирования момент трещинообразования оказывается не меньше, а ширина раскрытия трещин не больше, чем при несимметричном армировании. Это подтверждает сравнение результатов решения примеров:
6. Установленная дополнительная арматура (сжатая, вдоль боковых граней, на окружностях) увеличивает моменты трещинообразования и уменьшает ширину раскрытия трещин, однако общая площадь сечения арматуры при этом возрастает - см.
примеры X.Б.2.3,
X.Б.2.4,
X.Г.3.4,
X.Г.5.3,
X.Д.1.6.
- стержни разделены на две группы, диаметры стержней каждой группы могут быть разными;
- диаметры всех стержней в сечении одинаковы.
Ясно, что общая площадь сечения арматуры в первом случае не может быть больше, чем во втором.
8. Способ разделения стержней на группы с одинаковым диаметром при подборе арматуры (см. предыдущий
п. 7) оказывает существенное влияние на общую площадь сечения арматуры. Это подтверждает сравнение результатов решения
примеров X.Д.1.1 и
X.Д.1.4.
В общем случае уменьшение диаметра стержней может и уменьшить ширину раскрытия трещин, поскольку уменьшается базовое расстояние между трещинами, определяемое по
формуле (8.136) [1].
10. Сравнение результатов решения
примеров X.Б.5.1 и
X.Б.5.3,
X.Б.6.1 и
X.Б.6.2 показывает, что при уменьшении величины натяжения напрягаемой арматуры моменты трещинообразования уменьшаются, а ширина раскрытия трещин увеличивается.
11. Чтобы удостовериться в подборе минимального армирования, рекомендуется провести проверку, устанавливая в сечении следующий меньший диаметр арматуры по сравнению с подобранным. Требования
[1] должны быть не выполнены. Это подтверждают примеры:
-
X.Е.2.2 при внецентренном растяжении;
12. В сжатых элементах уменьшение эксцентриситета продольной силы увеличивает момент трещинообразования и уменьшает ширину раскрытия трещин - см.
примеры X.Г.1.4,
X.Г.3.5.
13. В растянутых элементах уменьшение эксцентриситета продольной силы не приводит к увеличению площади сечения подбираемой арматуры - см.
примеры X.Е.1.5,
X.Е.1.6.
14. Увеличение момента от длительно действующей нагрузки в изгибаемых элементах приводит к увеличению площади сечения подбираемой арматуры - см.
пример X.Б.1.8.
15. Уменьшение момента от длительной действующей нагрузки в изгибаемых элементах уменьшает ширину раскрытия трещин - см.
пример X.Б.2.2.
16. Ограничение проницаемости конструкций предъявляет более жесткие требования к раскрытию трещин, чем требование сохранности арматуры (
п. 8.2.6 [1]). Это вызывает увеличение площади сечения арматуры при подборе - см.
примеры X.Б.1.9,
X.Г.3.6,
X.Д.1.7.
17. Растягивающие и сжимающие продольные силы соответственно уменьшают и увеличивают момент трещинообразования, увеличивают и уменьшают раскрытие трещин. Это в свою очередь соответственно увеличивает и уменьшает площадь сечения подбираемой арматуры - см.
примеры X.Б.1.1,
X.Б.1.10,
X.Б.1.11.
XI. Деформативность железобетонных элементов
Особенность определения прогибов железобетонных конструкций с использованием деформационной модели состоит в том, что деформационные характеристики бетона используют с учетом как непродолжительного, так и продолжительного действия нагрузки (
п. 6.1.25 [1]). В расчетах прочности и трещиностойкости деформационные характеристики принимают для непродолжительного действия нагрузки (
пп. 6.1.23,
6.1.24 [1]).
Поэтому в расчетах деформативности рекомендуется дополнительно исследовать влияние на результаты расчетов влажности окружающей среды (
п. 8.2.26 [1]), существенно влияющей на деформационные характеристики бетона при продолжительном действии нагрузки.
XI.А. Рекомендации по выбору примеров для тестирования
Ниже перечислены факторы, влияние которых рекомендуется учитывать, проверяя правильность расчетов деформативности железобетонных элементов.
1. Подбор или проверка армирования;
2. Форма сечения - прямоугольное, тавровое, двутавровое, произвольное;
3. Вид бетона - тяжелый, мелкозернистый, легкий и др.;
4. Класс бетона;
5. Вид диаграммы состояния бетона - двухлинейная, трехлинейная;
6. Наличие или отсутствие предварительно напрягаемой арматуры;
7. Величина натяжения напрягаемой арматуры;
8. Наличие или отсутствие подбираемой сжатой арматуры;
9. Расположение арматуры в сечении;
10. Разбиение стержней внутри сечения на группы с одинаковыми диаметрами;
11. Симметричное армирование;
12. Получение минимального армирования при подборе;
13. Величина натяжения арматуры;
14. Тип конструкций и условия их работы;
15. Влажность окружающей среды;
16. Армирование, переменное по длине элемента;
17. Растягивающие и сжимающие продольные силы.
XI.Б. Подбор продольного армирования
XI.Б.1. Элемент прямоугольного сечения
без предварительного напряжения арматуры
Условия и результаты расчетов
Номер примера | Исследуемый фактор | Условия расчетов | Результаты расчетов |
Количество и диаметры стержней группы | Площадь сечения арматуры, см2 |
1-й | 2-й |
| | ИС МЕГАНОРМ: примечание. В официальном тексте документа, видимо, допущена опечатка: имеется в виду таблица Е.1 приложения Е, а не таблица Е.1 приложения Е.2. | |
|
| Пример базовый | Подбор растянутой арматуры. Рассматривается прямоугольный свободно опертый элемент пролетом 4800 мм. Геометрические размеры сечения: b = 200 мм; h = 600 мм; a = 80 мм. Бетон тяжелый класса В15. Используется двухлинейная диаграмма состояния бетона. Растянутая арматура класса А500 постоянна по длине элемента и состоит из 4 стержней, принадлежащих двум группам, - по 2 стержня в каждой. На элемент действует равномерно распределенная нагрузка - длительная 64 кН/м и кратковременная 21,5 кН/м. Влажность окружающей среды 40 - 75%. Согласно классификации [2] ( таблица Е.1 приложения Е.2) элемент относится к группе конструкций "Балки, фермы, ригели, прогоны, плиты, настилы", открытых для обзора. Предельный прогиб составляет 26,7 мм. Требуется определить диаметры стержней растянутой арматуры так, чтобы расчетный прогиб был не больше предельного. | | | 11,37 |
| Бетон | Влияние класса бетона. Использован тяжелый бетон класса В20. | | | 9,11 |
| Влияние вида бетона. Использован легкий бетон на мелком пористом заполнителе класса В15. | | | 17,42 |
| Влияние диаграммы состояния бетона. Использована трехлинейная диаграмма состояния бетона. | | | 11,37 |
| Армирование | Подбор растянутой и сжатой арматуры. Подбирается арматура растянутая (4 стержня первой группы) и сжатая (4 стержня второй группы), a' = 80 мм. | | | 18,22 |
| Подбор симметричной арматуры. Сжатая (a' = 80 мм) и растянутая арматура содержат по 4 стержня одинакового диаметра. | | - | 20,36 |
| Подбор растянутой арматуры из стержней одинакового диаметра. Диаметры всех четырех стержней в сечении одинаковы. | | - | 12,56 |
| Подбор растянутой арматуры, переменной по длине элемента. Элемент длиной 4800 мм разделен на 3 участка. Расстояние от левой опоры до начала 1-го, 2-го и 3-го участка составляет соответственно 0, 1000 и 3800 мм, т.е. длина двух крайних участков равна по 1000 мм, длина среднего участка 2800 мм. Средний участок армирован 4 стержнями, принадлежащими двум группам, - по 2 стержня в каждой (как в базовом примере). Крайние участки армированы 2 стержнями одинакового диаметра. Требуется определить диаметры стержней на каждом из участков. | Участок 2 (средний) |
| | 11,37 |
Участки 1, 3 (крайние) |
| - | 7,60 |
| Конструкции | Влияние типа конструкций и условий их работы. Элемент относится к конструкциям, не входящим в классификацию таблицы Е.1 [2], и согласно п. 15.2.3 [2] предельный прогиб составляет 4800/150 = 32,0 мм. | | | 36,45 |
| Влажность | Влияние влажности окружающей среды. Влажность окружающей среды принята ниже 40%. | | | 13,88 |
Пример XI.Б.1.1 (базовый)
Результат. Общая площадь сечения арматуры составляет 11,37 см2

.
Результат. Общая площадь сечения растянутой арматуры в базовом и рассматриваемом примерах составляет соответственно 11,37 см2

и 9,11 см2

. В рассматриваемом примере класс бетона увеличился. Это привело к снижению площади сечения арматуры, поскольку увеличились модуль упругости бетона и, как следствие, общая жесткость сечения.
Результат. Общая площадь сечения растянутой арматуры в базовом и рассматриваемом примерах составляет соответственно 11,37 см2

и 17,42 см2

. Использование в рассматриваемом примере легкого бетона вместо тяжелого привело к увеличению площади сечения арматуры, поскольку снизились модуль упругости бетона и, как следствие, общая жесткость сечения.
Результат. Получен тот же результат, что и в базовом примере. Изменение вида диаграммы состояния бетона не повлияло на результат.
Результат. Полученные площади сечения растянутой и сжатой арматуры составляют соответственно 10,18 см2

и 8,04 см2

. Общая площадь сечения арматуры составляет 18,22 см2. Площадь сечения растянутой арматуры уменьшилась по сравнению с базовым примером (11,37 см2), поскольку увеличилось плечо внутренней пары. Общая площадь арматуры увеличилась, поскольку в базовом примере все сжимающие усилия воспринимались бетоном, а в рассматриваемом примере часть из них воспринимается сжатой арматурой.
Результат. Полученная площадь сечения растянутой и сжатой арматуры составляет по 10,18 см2

, общая площадь арматуры составляет 20,36 см2

, что намного больше, чем площадь сечения растянутой арматуры в базовом примере 11,37 см2

. Это объясняется тем, что при симметричном армировании бетон в работе сечения не участвует - момент воспринимается только растянутой и сжатой арматурой.
Результат. Как и следовало ожидать, диаметр арматурного стержня 20 мм в рассматриваемом примере равен максимальному из диаметров арматурных стержней в базовом примере.
Результат. На среднем участке получена площадь сечения растянутой арматуры 11,37 см2

такая же, как в базовом примере. На крайних участках получена площадь сечения растянутой арматуры 7,60 см2

.
Результат. Полученная площадь сечения растянутой арматуры 36,45 см2

оказалась намного больше, чем соответствующая площадь 11,37 см2

в базовом примере. Этот результат на первый взгляд представляется парадоксальным, поскольку предельный прогиб 32,0 мм в рассматриваемом примере больше, чем 26,7 мм в примере базовом, и, казалось бы, площадь поперечного сечения арматуры должна уменьшиться.
Объяснение состоит в том, что в базовом примере для конструкций указанного вида согласно
п. 2а Таблицы Е.1 [2] учитываются только постоянные и длительные нагрузки. Для элементов конструкций в рассматриваемом примере такие ограничения не накладываются: учитываются не только постоянные и длительные, но и кратковременные нагрузки.
Общая площадь сечения растянутой арматуры в базовом и рассматриваемом примерах составляет соответственно 11,37 см2

и 13,88 см2

. В рассматриваемом примере влажность окружающей среды уменьшилась. Согласно
Таблице 6.6 [1] это привело к увеличению коэффициента ползучести бетона и согласно
формуле (6.3) [1] к уменьшению модуля упругости бетона. Как следствие, уменьшилась общая жесткость сечения и увеличилось армирование.
XI.Б.2. Элемент таврового сечения
без предварительного напряжения арматуры
Условия и результаты расчетов
Номер примера | Исследуемый фактор | Условия расчетов | Результаты расчетов |
Диаметр арматурного стержня | Площадь сечения стержня, см2 |
| | ИС МЕГАНОРМ: примечание. В официальном тексте документа, видимо, допущена опечатка: имеется в виду таблица Е.1 приложения Е, а не таблица Е.1 приложения Е.2. | |
|
| Пример базовый | Подбор растянутой арматуры. Рассматривается тавровый свободно опертый элемент пролетом 5000 мм. Геометрические размеры сечения:  ;  ; b = 200; h = 600; a = 40 мм (Рис. XI.1). Бетон тяжелый класса В25. Используется трехлинейная диаграмма состояния бетона. Растянутая арматура класса А500 постоянна по длине элемента и состоит из 1 стержня. На элемент действует длительная равномерно распределенная нагрузка интенсивностью 4,5 кН/м. Влажность окружающей среды 40 - 75%. Согласно классификации [2] ( таблица Е.1 приложения Е.2) элемент относится к группе конструкций "Перемычки и навесные стеновые панели над оконными и дверными проемами". Учитываются конструктивные требования. Предельный прогиб составляет 29,0 мм. Требуется определить диаметр арматурного стержня так, чтобы расчетный прогиб был не больше предельного. | | 2,54 |
| Усилия | Влияние растягивающей продольной силы. На элемент действует растягивающая продольная сила 40 кН. | | 3,14 |
| Влияние сжимающей продольной силы. На элемент действует сжимающая продольная сила 100 кН. | | 2,01 |

Рис. XI.1. Сечение элемента. Пример XI.Б.2.1
Пример XI.Б.2.1 (базовый)
Результат. Необходимый диаметр арматурного стержня 18 мм, площадь сечения 2,54 см2.
Результат. Необходимый диаметр арматурного стержня 20 мм, площадь сечения 3,14 см2. В рассматриваемом примере, по сравнению с базовым, армирование увеличилось, поскольку дополнительная растягивающая продольная сила увеличивает раскрытие нормальных трещин (см.
пример X.Б.1.10) и, следовательно, уменьшает жесткость сечения.
Результат. Необходимый диаметр арматурного стержня 16 мм, площадь сечения 2,01 см2. В рассматриваемом примере, по сравнению с базовым, армирование уменьшилось, поскольку дополнительная сжимающая продольная сила уменьшает раскрытие нормальных трещин (см.
пример X.Б.1.11) и, следовательно, увеличивает жесткость сечения.
XI.В. Проверка продольного армирования
XI.В.1. Элемент прямоугольного сечения
без предварительного напряжения арматуры
Расчетом определяется прогиб в центре пролета. Предельный прогиб 26,7 мм.
Условия и результаты расчетов
Номер примера | Исследуемый фактор | Условия расчетов | Результаты |
Расчетный прогиб, мм | |
| Пример базовый | Проверка деформативности. Рассматривается элемент прямоугольного сечения с теми же параметрами, характеристиками материалов и усилиями, что и в примере XI.Б.1.1. Растянутая арматура состоит из четырех стержней  А500, подобранных в примере XI.Б.1.1. Требуется проверить деформативность элемента. | 25,7 | Выполнены |
| Бетон | Влияние класса бетона. Использован тяжелый бетон класса В20. | 21,5 | Выполнены |
| Влажность | Влияние влажности окружающей среды. Влажность окружающей среды принята ниже 40%. | 28,4 | Не выполнены |
| Влияние влажности окружающей среды. Влажность окружающей среды принята выше 75%. | 23,8 | Выполнены |
| Армирование | Влияние сжатой арматуры. Дополнительно установлена сжатая арматура  А500, a' = 80 мм. | 19,3 | Выполнены |
| Проверка подбора минимальной площади сечения растянутой арматуры. Растянутая арматура состоит из четырех стержней  А500, т.е. диаметр двух стержней в базовом примере уменьшен с 18 до 16 мм. | 27,0 | Не выполнены |
Пример XI.В.1.1 (базовый)
Результат. Расчетный прогиб 25,7 мм меньше предельного прогиба 26,7 мм. Требования
[1] выполнены.
Результат. В базовом и рассматриваемом примерах принят класс бетона соответственно В15 и В20. Повышение класса бетона приводит к уменьшению прогиба с 25,7 до 21,5 мм.
Примеры XI.В.1.3, XI.В.1.4
Результат. В примерах базовом, XI.В.1.3, XI.В.1.4 принята влажность окружающей среды соответственно от 40 до 75%, ниже 40%, выше 75%. Полученные значения прогибов равны соответственно 25,7, 28,4, 23,8 мм. Уменьшение влажности приводит к увеличению коэффициента ползучести бетона и прогиба - см.
пример XI.Б.1.10.
Результат. Дополнительная сжатая арматура уменьшает прогиб с 25,7 мм в базовом примере до 19,3 мм в рассматриваемом примере.
Результат. Прогиб элемента в рассматриваемом примере равен 27,0 мм, что больше предельного прогиба 26,7 мм. Требования
[1] не выполнены. В базовом примере подобрана минимальная площадь сечения арматуры.
XI.В.2. Элемент таврового сечения
без предварительного напряжения арматуры
Расчетом определяется прогиб в центре пролета. Предельный прогиб 29,0 мм.
Условия и результаты расчетов
Номер примера | Исследуемый фактор | Условия расчетов | Результаты |
Расчетный прогиб, мм | |
| Пример базовый | Проверка деформативности. Рассматривается элемент таврового сечения с теми же параметрами, характеристиками материалов и усилиями, что и в примере XI.Б.2.1. Растянутая арматура состоит из одного стержня  А500, подобранного в примере XI.Б.2.1. Требуется проверить деформативность элемента. | 26,9 | Выполнены |
| Армирование | Проверка подбора минимальной площади сечения растянутой арматуры. Растянутая арматура состоит из одного стержня  А500, т.е. диаметр стержня в базовом примере уменьшен с 18 до 16 мм. | 32,8 | Не выполнены |
Пример XI.В.2.1 (базовый)
Результат. Расчетный прогиб 26,9 мм меньше предельного прогиба 29,0 мм. Требования
[1] выполнены.
Результат. Прогиб элемента в рассматриваемом примере равен 32,8 мм, что больше предельного прогиба 29.0 мм. Требования
[1] не выполнены. В базовом примере подобрана минимальная площадь сечения арматуры.
XI.В.3. Элемент двутаврового (произвольного) сечения
с предварительным напряжением арматуры
Расчетом определяется прогиб в центре пролета. Предельный прогиб 47,2 мм.
Условия и результаты расчетов
Номер примера | Исследуемый фактор | Условия расчетов | Результаты |
Расчетный прогиб, мм | |
| | ИС МЕГАНОРМ: примечание. В официальном тексте документа, видимо, допущена опечатка: имеется в виду таблица Е.1 приложения Е, а не таблица Е.1 приложения Е.2. | |
|
| Пример базовый | Проверка деформативности. Рассчитывается свободно опертый элемент двутаврового сечения с теми же параметрами, характеристиками материалов и армированием, что и в примере IV.Б.10.1 (Рис. IV.9). Чтобы учесть вуты, сечение в расчете рассматривается как произвольное. На элемент действует длительная нагрузка, состоящая из равномерно распределенной нагрузки 8,5 кН/м и 5 сосредоточенных сил по 120 кН, расположенных на расстояниях 1,35, 2,85, 5,85, 8,85 и 10,35 м от левой опоры (Рис. XI.2). Согласно классификации [2] ( таблица Е.1 приложения Е.2) элемент относится к группе конструкций "Балки, фермы, ригели, прогоны, плиты, настилы", открытых для обзора. Предельный прогиб составляет 47,2 мм. Требуется проверить деформативность элемента. | 36,0 | Выполнены |
| Бетон | Влияние класса бетона. Использован тяжелый бетон класса В35. | 43,3 | Выполнены |
| Влияние диаграммы состояния бетона. Использована трехлинейная диаграмма состояния бетона. | 32,8 | Выполнены |
| Натяжение арматуры | Влияние величины натяжения арматуры. Напряжения натяжения с учетом всех потерь 750 МПа. | 50,0 | Не выполнены |
| Влажность | Влияние влажности окружающей среды. Влажность окружающей среды принята ниже 40%. | 41,7 | Выполнены |

| | ИС МЕГАНОРМ: примечание. В официальном тексте документа, видимо, допущена опечатка: имеется в виду Рис. XI.2, а не Рис. XI.1. | |
Рис. XI.1. Схема нагрузок, эпюры изгибающих моментов
и поперечных сил. Пример XI.В.3.1
Пример XI.В.3.1 (базовый)
Результат. Расчетный прогиб 36,0 мм меньше предельного прогиба 47,2 мм. Требования
[1] выполнены.
Результат. В базовом и рассматриваемом примерах принят класс бетона соответственно В45 и В35. Понижение класса бетона приводит к увеличению прогиба с 36,0 до 43,3 мм.
Результат. В базовом и рассматриваемом примерах приняты соответственно двухлинейная и трехлинейная диаграммы состояния бетона. Использование трехлинейной диаграммы привело к понижению прогиба с 36,0 в базовом примере до 32,8 мм в рассматриваемом примере.
Результат. В базовом и рассматриваемом примерах приняты величины напряжений натяжения арматуры соответственно 850 и 750 МПа. Понижение напряжений натяжения арматуры приводит к увеличению прогиба с 36,0 до 50,0 мм. Требования
[1] не выполнены.
Результат. В базовом и рассматриваемом примерах приняты соответственно значения влажности окружающей среды соответственно от 40% до 75% и ниже 40%. Понижение влажности приводит к увеличению прогиба с 36,0 до 41,7 мм. Пояснения - см.
пример XI.Б.1.10.
XI.Г. Рекомендации по оценке правильности расчетов
В соответствии с рекомендациями
раздела XI.А настоящего Пособия в примерах
разделов XI.Б,
XI.В рассмотрены различные факторы, влияющие на результаты расчетов. Ниже приведены некоторые общие положения, которыми следует руководствоваться при оценке правильности расчетов.
1. Тестирование программ рекомендуется проводить, сравнивая результаты, полученные по программам и в приведенных выше примерах.
2. При подборе арматуры увеличение класса бетона не может вызвать увеличения площади сечения подбираемой арматуры - см.
примеры XI.Б.1.1 и
XI.Б.1.2.
4. Из-за разницы в модуле упругости вид бетона при одинаковом классе оказывает существенное влияние на результаты расчета - см.
примеры XI.Б.1.1 и
XI.Б.1.3.
5. При трехлинейной диаграмме состояния бетона площадь сечения подбираемой арматуры, как правило, не увеличивается по сравнению с площадью при двухлинейной диаграмме - см.
примеры XI.Б.1.1 и
XI.Б.1.4.
6. При проверке армирования использование трехлинейной диаграммы состояния бетона вместо двухлинейной, как правило, не увеличивает прогиб - см.
примеры XI.В.3.1 и
XI.В.3.3.
7. При несимметричном армировании подбираемая площадь сечения стержней оказывается, как правило, меньше, чем при симметричном армировании - см.
примеры XI.Б.1.1 и
XI.Б.1.6.
- стержни разделены на две группы, диаметры стержней каждой группы могут быть разными;
- диаметры всех стержней в сечении одинаковы.
Ясно, что общая площадь сечения арматуры в первом случае не может быть больше, чем во втором.
10. Подбор арматуры, переменной по длине элемента, оказывает существенное влияние на требуемую площадь сечения стержней - см.
примеры XI.Б.1.1 и
XI.Б.1.8.
11. Сравнение результатов решения
примеров XI.В.3.1 и
XI.В.3.4 показывает, что при уменьшении величины натяжения напрягаемой арматуры прогиб возрастает.
12. Чтобы удостовериться в подборе минимального армирования, рекомендуется провести проверку, устанавливая в сечении следующий меньший диаметр арматуры, по сравнению с подобранным. Требования
[1] должны быть не выполнены. Это подтверждает сравнение результатов решения
примеров XI.В.1.1 и
XI.В.1.6,
XI.В.2.1 и
XI.В.2.2.
13. При действии дополнительной растягивающей или сжимающей продольной силы требуемая площадь сечения арматуры соответственно увеличивается или уменьшается - см.
примеры XI.Б.2.1,
XI.Б.2.2,
XI.Б.2.3.
15. Тип конструкций и условия их работы оказывают существенное влияние на площадь сечения подбираемой арматуры - см.
примеры XI.Б.1.1 и
XI.Б.1.9.
В заключение приведем сводку рассмотренных в Пособии примеров с указанием номеров разделов, исследуемых факторов и числа примеров в разделах.
Сводка примеров
NN разделов | Исследуемые факторы | Число примеров |
II. Изгибаемые и внецентренно сжатые бетонные элементы |
| Бетон | 2 |
| Бетон, Продольный изгиб | 4 |
| 6 |
III. Предварительное напряжение арматуры |
III.Б. Предварительное напряжение арматуры на упоры |
| Бетон, Влажность окружающей среды, Способ натяжения, Армирование | 7 |
| Армирование | 2 |
III.В. Предварительное напряжение арматуры на бетон |
| Бетон, Влажность окружающей среды, Армирование | 6 |
| Армирование | 2 |
| 17 |
IV. Расчет прочности нормальных сечений |
IV.Б. Изгиб |
| Бетон, Армирование | 9 |
| Армирование | 15 |
| Бетон, Армирование | 5 |
| Бетон | 2 |
| 31 |
IV.В. Косой изгиб |
| Бетон, Армирование | 4 |
| Армирование | 2 |
| Бетон, Армирование | 4 |
| Армирование | 3 |
| 13 |
IV.Г. Внецентренное сжатие |
| Бетон, Продольный изгиб, Армирование, Усилия | 8 |
| Армирование | 7 |
| Бетон, Армирование, Усилия | 6 |
| Армирование | 2 |
| 23 |
IV.Г. Косое внецентренное сжатие |
| Бетон, Продольный изгиб, Армирование, Усилия | 6 |
| Бетон, Продольный изгиб, Армирование | 15 |
| Армирование | 11 |
| Бетон, Армирование | 4 |
| Армирование | 2 |
| 38 |
IV.Е. Внецентренное растяжение |
| Бетон, Армирование, Усилия | 9 |
| Армирование | 6 |
| Бетон, Армирование, Усилия | 7 |
| Бетон, Армирование | 7 |
| 29 |
IV.Ж. Косое внецентренное растяжение |
| Бетон, Армирование | 7 |
| Армирование | 2 |
| Бетон | 2 |
| Армирование | 2 |
| 13 |
| 147 |
V. Расчет наклонных сечений |
V.Б. Расчет наклонных сечений по бетонной полосе между наклонными трещинами |
| Бетон, Армирование, Усилия | 10 |
| Усилия | 5 |
V.В. Расчет по наклонному сечению |
| Бетон, Армирование, Усилия | 13 |
| Армирование | 7 |
| Нагрузки | 3 |
| Усилия | 3 |
V.Г. Расчет наклонных сечений на действие моментов |
| Бетон, Армирование | 10 |
| 51 |
VI. Расчет элементов конструкций |
VI.Б.1 - VI.Б.3. Расчет коротких консолей |
| Бетон, Армирование, Геометрические размеры, Условия опирания | 12 |
| Армирование | 5 |
VI.Б.4. Расчет бетонных шпонок |
| Геометрические размеры | 1 |
VI.Б.5. Расчет закладных деталей |
| Бетон, Усилия, Конструктивные особенности | 10 |
| 27 |
VII. Расчет на действие крутящих моментов |
| Бетон | 2 |
| Армирование | 9 |
| Бетон | 2 |
| Бетон, Армирование | 4 |
| 17 |
VIII. Расчет на действие местных нагрузок |
VIII.Б.1. Расчет на местное сжатие (смятие) |
| Бетон, Армирование, Размеры площадки смятия, Равномерность передачи нагрузки, Расположение площадки смятия | 13 |
VIII.Б.2 - VIII.Б.5. Расчет на продавливание |
| Бетон, Армирование, Размеры площадки продавливания | 9 |
| Армирование, Геометрические размеры | 9 |
| Армирование | 2 |
| 33 |
IX. Расчет плоскостных элементов |
IX.Б. Расчет на действие моментов |
| Бетон, Армирование | 4 |
| Армирование | 2 |
IX.В. Расчет на действие моментов, продольных и сдвигающих сил |
| Бетон, Армирование | 4 |
| Армирование | 3 |
IX.Г. Расчет на действие поперечных сил |
| Бетон | 2 |
| Армирование | 2 |
| 17 |
X. Расчет трещиностойкости нормальных сечений |
X.Б. Изгиб |
| Бетон, Армирование, Длительность нагрузок, Условия ограничения раскрытия трещин, Усилия | 11 |
| Армирование, Усилия | 5 |
| Армирование | 10 |
| 26 |
X.В. Косой изгиб |
| Бетон | 3 |
| Армирование | 2 |
| Бетон | 2 |
| 7 |
X.Г. Внецентренное сжатие |
| Бетон, Армирование, Усилия | 4 |
| Бетон, Армирование | 5 |
| Бетон, Армирование, Условия ограничения раскрытия трещин, Усилия | 6 |
| Бетон, Армирование | 9 |
| 24 |
X.Д. Косое внецентренное сжатие |
| | ИС МЕГАНОРМ: примечание. В официальном тексте документа, видимо, допущена опечатка: имеется в виду X.Д.1, а не X.Д.1.1. | |
|
| Бетон, Армирование, Условия ограничения раскрытия трещин | 7 |
| Армирование | 8 |
| Бетон | 2 |
| 17 |
X.Е. Внецентренное растяжение |
| Бетон, Армирование, Усилия | 4 |
| Армирование | 2 |
| Бетон, Армирование | 3 |
| 9 |
X.Ж. Косое внецентренное растяжение |
| Бетон, Армирование | 4 |
| Армирование | 7 |
| 11 |
| 94 |
XI. Расчет деформативности железобетонных элементов |
| Бетон, Армирование, Влажность окружающей среды, Тип конструкций и условия их работы | 10 |
| Усилия | 3 |
| Бетон, Армирование, Влажность окружающей среды | 6 |
| Армирование | 2 |
| 21 |
Общее число примеров в Пособии | 430 |
ХАРАКТЕРИСТИКИ МАТЕРИАЛОВ
Для каждого рассмотренного в примерах железобетонного элемента в описании условий расчета указаны классы бетона и арматуры. В настоящем Приложении для облегчения воспроизводимости примеров (см.
Раздел I) приведены характеристики этих материалов.
| | ИС МЕГАНОРМ: примечание. В официальном тексте документа, видимо, допущена опечатка: имеется в виду Раздел I, а не Раздел 1. | |
В Таблицах П1,
П2 перечислены использованные классы бетона и арматуры, а также указано, в каких примерах принят каждый из классов. Для каждой группы примеров (см.
Раздел 1, Структура Пособия) в таблицах указан номер базового примера, а также номера тех примеров рассматриваемой группы, в которых классы бетона и арматуры отличаются от принятых в базовом примере. В
Таблицах П3,
П4 приведены расчетные сопротивления и модули упругости материалов.
Таблица П1
Классы бетонов и примеры, в которых они использованы
Класс бетона | Раздел | Номера примеров |
| | |
| |
В12.5 | | |
| | |
| |
15 | | |
| |
| |
| |
| |
| |
| | |
| |
В20 | | |
| |
| |
| |
| |
| |
В25 | | |
| |
| |
| |
| |
| |
В30 | | |
| |
| |
| |
| |
| |
В35 | | |
| |
| |
| |
В40 | | |
| |
| |
| |
| |
| |
В45 | | |
| |
| |
| |
| |
В50 | | |
| |
В55 | | |
| |
В60 | | |
| |
В70 | | |
В80 | | |
| |
В90 | | |
В100 | | |
| |
--------------------------------
<*> Бетон легкий марки по средней плотности D1100.
<**> Керамзитоперлитобетон на вспученном перлитовом песке марки по средней плотности D1900.
Таблица П2
Классы арматуры и примеры, в которых они использованы
Класс арматуры | Раздел | Номера примеров |
А240 | | |
| |
| |
| | ИС МЕГАНОРМ: примечание. В официальном тексте документа, видимо, допущена опечатка: пример VIII.Б.1.13 отсутствует. | |
|
| | |
| |
А400 | | |
| IV.Б.1.1, IV.Б.2.1, IV.Б.3.1, IV.Б.4.1, IV.Б.5.1, IV.Б.6.1, IV.Б.7.1, IV.Б.8.1, IV.Б.9.3 - IV.Б.9.5, IV.В.1.1. IV.В.2.1, IV.В.3.1, IV.В.4.1, IV.Г.1.1, IV.Г.2.1 |
| |
| |
| |
| |
| |
А500 | | IV.Г.5.1, IV.Г.6.1, IV.Д.1.1, IV.Д.2.1, IV.Д.3.1, IV.Д.3.1, IV.Д.4.1, IV.Д.5.1, IV.Д.6.1, IV.Д.7.1, IV.Е.1.1, IV.Е.2.1, IV.Е.3.1, IV.Е.4.1, IV.Е.5.1, IV.Е.6.1, IV.Ж.1.1, IV.Ж.2.1, IV.Ж.4.1 |
| |
| X.Г.1.1, X.Г.2.1, X.Г.5.1, X.Д.1.1, X.Д.2.1, X.Д.3.1, X.Д.4.1, X.Д.5.1, X.Е.1.1, X.Е.2.1, X.Е.2.1, X.Ж.1.1, X.Ж.2.1 |
| |
А600 | | |
А800 | | |
| |
| |
А1000 | | |
В500 | | |
| |
К1400 | | |
| |
| |
| |
Таблица П3
Класс бетона | Расчетные сопротивления и модули упругости, МПа |
| | | | |
| 2,70 | 0,39 | 2,1 | 0,26 | 6,1 |
В12,5 | 9,50 | 1,00 | 7,5 | 0,66 | 21,5 |
| 9,50 | 1,00 | 7,5 | 0,66 | 9,2 |
В15 | 11,0 | 1,10 | 8,5 | 0,75 | 24,0 |
| 7,70 | 0,77 | 5,95 | 0,52 | 16,75 |
В20 | 15,0 | 1,35 | 11,5 | 0,90 | 27,5 |
В25 | 18,5 | 1,55 | 14,5 | 1,05 | 30,0 |
В30 | 22,0 | 1,75 | 17,0 | 1,15 | 32,5 |
В35 | 25,5 | 1,95 | 19,5 | 1,30 | 34,5 |
В40 | 29,0 | 2,10 | 22,0 | 1,40 | 36,0 |
В45 | 32,0 | 2,25 | 25,0 | 1,50 | 37,0 |
В50 | 36,0 | 2,45 | 27,5 | 1,60 | 38,0 |
В55 | 39,5 | 2,60 | 30,0 | 1,70 | 39,0 |
В60 | 43,0 | 2,75 | 33,0 | 1,80 | 39,5 |
В70 | 50,0 | 3,00 | 37,0 | 1,90 | 41,0 |
В80 | 57,0 | 3,30 | 41,0 | 2,10 | 42,0 |
В90 | 64,0 | 3,60 | 44,0 | 2,15 | 42,5 |
В100 | 71,0 | 3,80 | 47,5 | 2,20 | 43,0 |
Таблица П4
Класс арматуры | Расчетные сопротивления и модули упругости арматуры, МПа |
| | | |
А240 | 240 | 210 | 210 | 2,0 |
А400 | 400 | 350 | 350 |
А500 | 500 | 435 | 435 (400) |
А600 | 600 | 520 | 470 (400) |
А800 | 800 | 695 | 500 (400) |
А1000 | 1000 | 870 | 500 (400) |
В500 | 500 | 435 | 415 (380) |
К1400 | 1400 | 1215 | 500 (400) | 1,95 |
Дополнительно приведено расчетное сопротивление растяжению поперечной арматуры класса А240.
В расчетах с использованием деформационной модели относительные деформации для двух- и трехлинейной диаграмм состояния тяжелых бетонов принимают по
пп. 6.1.20,
6.1.21 [1]. Для других бетонов значения деформаций приведены в описании условий примеров.
Значения

в скобках используют при расчете на кратковременное действие нагрузки.
Расчетное значение сопротивления поперечной арматуры класса А240 (хомутов и отогнутых стержней) растяжению для предельных состояний первой группы составляет

.
| СП 63.13330.2012. Бетонные и железобетонные конструкции. Основные положения. Актуализированная редакция СНиП 52-01-2003. М., 2012, с. 155. |
| СП 20.13330.2011. Нагрузки и воздействия. Актуализированная редакция СНиП 2-01.07-85*. М., 2011, с. 80. |