Главная // Актуальные документы // ПНСТ (Предварительный национальный стандарт)СПРАВКА
Источник публикации
М.: Стандартинформ, 2021
Примечание к документу
Документ утратил силу с 01.06.2022 в связи с истечением срока действия, установленного
Приказом Росстандарта от 09.03.2021 N 25-пнст.
Документ
введен в действие с 01.06.2021 на период до 01.06.2022 (
Приказ Росстандарта от 09.03.2021 N 25-пнст).
Название документа
"ПНСТ 538-2021. Предварительный национальный стандарт Российской Федерации. Оборудование и трубопроводы блоков атомных станций. Расчет на прочность на стадии эксплуатации"
(утв. и введен в действие Приказом Росстандарта от 09.03.2021 N 25-пнст)
"ПНСТ 538-2021. Предварительный национальный стандарт Российской Федерации. Оборудование и трубопроводы блоков атомных станций. Расчет на прочность на стадии эксплуатации"
(утв. и введен в действие Приказом Росстандарта от 09.03.2021 N 25-пнст)
Утвержден и введен в действие
агентства по техническому
регулированию и метрологии
от 9 марта 2021 г. N 25-пнст
ПРЕДВАРИТЕЛЬНЫЙ НАЦИОНАЛЬНЫЙ СТАНДАРТ РОССИЙСКОЙ ФЕДЕРАЦИИ
ОБОРУДОВАНИЕ И ТРУБОПРОВОДЫ БЛОКОВ АТОМНЫХ СТАНЦИЙ
РАСЧЕТ НА ПРОЧНОСТЬ НА СТАДИИ ЭКСПЛУАТАЦИИ
Equipment and piping of nuclear power plant.
Calculation of strength at the operation stage
ПНСТ 538-2021
Срок действия
с 1 июня 2021 года
до 1 июня 2022 года
1 РАЗРАБОТАН Акционерным обществом "Ордена Ленина Научно-исследовательский и конструкторский институт энерготехники имени Н.А. Доллежаля" (АО "НИКИЭТ")
2 ВНЕСЕН Техническим комитетом по стандартизации ТК 322 "Атомная техника"
3 УТВЕРЖДЕН И ВВЕДЕН В ДЕЙСТВИЕ
Приказом Федерального агентства по техническому регулированию и метрологии от 9 марта 2021 г. N 25-пнст
4 Федеральное агентство по техническому регулированию и метрологии не несет ответственности за патентную чистоту настоящего стандарта. Патентообладатель может заявить о своих правах и направить в Федеральное агентство по техническому регулированию и метрологии аргументированное предложение о внесении в настоящий стандарт поправки для указания информации о наличии в стандарте объектов патентного права и патентообладателе
Правила применения настоящего стандарта и проведения его мониторинга установлены в ГОСТ Р 1.16-2011 (разделы 5 и 6).
Федеральное агентство по техническому регулированию и метрологии собирает сведения о практическом применении настоящего стандарта. Данные сведения, а также замечания и предположения по содержанию стандарта можно направить не позднее чем за четыре месяца до истечения срока его действия разработчику настоящего стандарта по адресу: 107140, Москва, ул. Малая Красносельская, д. 2/8 и/или в Федеральное агентство по техническому регулированию и метрологии по адресу: 123112 Москва, Пресненская набережная, д. 10, стр. 2.
В случае отмены настоящего стандарта соответствующая информация будет опубликована в ежемесячном информационном указателе "Национальные стандарты" и также будет размещена на официальном сайте Федерального агентства по техническому регулированию и метрологии в сети Интернет (www.gost.ru)
1.1 Настоящий стандарт устанавливает требования к расчету на прочность оборудования и трубопроводов блоков атомных станций с водо-водяным энергетическим реактором, реактором большой мощности канальным и энергетическим гетерогенным петлевым реактором с температурой металла до 350 °C.
1.2 Настоящий стандарт распространяется на оборудование и трубопроводы блоков атомных станций, удерживающие давление (включая детали разъемных соединений), соответствующие федеральным нормам и правилам в области использования атомной энергии
[1],
[2],
[3] и относящиеся к 1 - 3-му классам безопасности, нарушение целостности и/или недопустимое деформирование которых может приводить к попаданию теплоносителя в смежные контуры или во внешнюю среду и/или к нарушению их функционирования, и устанавливает требования к расчетам на прочность.
1.3 Настоящий стандарт не распространяется на следующие компоненты оборудования и трубопроводов атомных станций:
- трубы, дистанционирующие решетки из циркониевых сплавов и переходники сталь-цирконий технологических каналов реакторов большой мощности канальных, каналов системы управления и защиты и специальных каналов;
- обечайки и сварные швы корпусов водо-водяных энергетических реакторов, облучаемые флюенсом нейтронов с энергией более 0,5 МэВ, превышающим 1022 нейтрон/м2.
1.4 Настоящий стандарт не регламентирует методы расчета, применяемые для определения расчетных нагрузок, внутренних силовых факторов, перемещений, напряжений и деформаций рассматриваемых элементов (компонентов).
1.5 Настоящий стандарт предназначен для обоснования остаточного ресурса оборудования и трубопроводов блоков атомной станции с учетом результатов оценки их прочности на стадии эксплуатации блоков атомной станции, включая эксплуатацию за пределами назначенного срока службы и при подготовке блока атомной станции к выводу из эксплуатации.
1.6 Настоящий стандарт действует до утверждения комплекса стандартов, регламентирующих обоснование прочности оборудования и трубопроводов атомных энергетических установок, но не более трех лет.
В настоящем стандарте использована нормативная ссылка на следующий стандарт:
ГОСТ Р 58328 Трубопроводы атомных станций. Концепция "течь перед разрушением"
Примечание - При пользовании настоящим стандартом целесообразно проверить действие ссылочных стандартов в информационной системе общего пользования - на официальном сайте Федерального агентства по техническому регулированию и метрологии в сети Интернет или по ежегодному информационному указателю "Национальные стандарты", который опубликован по состоянию на 1 января текущего года, и по выпускам ежемесячного информационного указателя "Национальные стандарты" за текущий год. Если заменен ссылочный стандарт, на который дана недатированная ссылка, то рекомендуется использовать действующую версию этого стандарта с учетом всех внесенных изменений в данную версию изменений. Если заменен ссылочный стандарт, на который дана датированная ссылка, то рекомендуется использовать версию этого стандарта с указанным выше годом утверждения (принятия). Если после утверждения настоящего стандарта в ссылочный стандарт, на который дана датированная ссылка, внесено изменение, затрагивающее положение, на которое дана ссылка, то это положение рекомендуется применять без учета данного изменения. Если ссылочный стандарт отменен без замены, то положение, в котором дана ссылка на него, рекомендуется применять в части, не затрагивающей эту ссылку.
3 Термины, определения, сокращения, обозначения
3.1 Термины и определения
В настоящем стандарте применены следующие термины с соответствующими определениями:
3.1.1 амплитуда напряжений (деформаций): Половина от разности максимального и минимального напряжения (деформации), возникающего в цикле изменения напряжений (деформаций).
3.1.2 группа категорий напряжений: Совокупность категорий таких напряжений, которые способны при неограниченном росте привести к возникновению одного или нескольких предельных состояний.
3.1.3 дилатационные нагрузки: Нагрузки, обусловленные стеснением относительных перемещений компонентов или элемента в целом.
Примечание - Температурные нагрузки и нагрузки вследствие радиационного распухания являются дилатационными нагрузками.
3.1.4 дополнительный срок службы элемента: Календарная продолжительность эксплуатации элемента сверх назначенного срока службы.
3.1.5 допускаемое напряжение: Нормативно установленное максимальное значение, которое может принимать приведенное напряжение, определяемое совокупностью напряжений, входящих в одну группу категорий напряжений.
3.1.6 затяг шпилек или болтов: Нагружение компонентов, возникающее при сборке резьбовых соединений.
3.1.7 категория напряжений: Составная часть поля напряжений элемента (компонента), выделенная по установленному нормативному признаку (по виду эпюры, по протяженности зоны действия, по виду нагружающего воздействия и т.п.).
3.1.8 компонент: Часть элемента, границы которого проходят по одному или нескольким неразъемным и/или разъемным соединениям.
3.1.9 макротрещина: Трещина, наличие которой учитывается в расчетах на прочность и размеры которой устанавливаются нормативными документами.
3.1.10 максимальное (минимальное) напряжение цикла: Максимальное (минимальное) алгебраическое значение напряжения для одного цикла их изменения.
3.1.11
местные мембранные напряжения
, МПа: Напряжения, вызываемые действием механических нагрузок, возникающие в зоне неоднородности.
Примечание - В частности, мембранные напряжения относятся к категории местных, если размеры зоны, в пределах которой напряжения превосходят

, не превышают в меридиональном направлении

(где
RK - минимальный радиус кривизны срединной поверхности рассматриваемой зоны), и эта зона расположена не ближе, чем на

в меридиональном направлении от любой другой зоны, в которой местные мембранные напряжения превышают

. При различии в значениях
RK и
s для указанных зон для определения допустимого расстояния между ними используют средние арифметические значения
RK и
s для этих зон.
3.1.12
местные температурные напряжения
, МПа: Напряжения, возникающие от неравномерного распределения температур по объему элемента или из-за различия температурного коэффициента линейного расширения материалов, которые не могут вызывать недопустимых остаточных изменений формы и размеров конструкции.
3.1.13 механические нагрузки: Давление, весовые и инерционные силы и моменты (сосредоточенные и распределенные), действующие на компоненты конструкции.
Примечание - Усилие затяжки резьбовых соединений условно относится к механическим нагрузкам.
3.1.14 монтажная растяжка: Натяг трубопровода, который может применяться при монтаже или ремонте.
3.1.15 накопленная деформация: Необратимая деформация в рассматриваемой зоне компонента.
3.1.16
напряжения компенсации
, МПа: Напряжения, возникающие вследствие стеснения свободного температурного расширения трубопроводов.
Примечание - В число этих напряжений входят средние напряжения

, изгибные напряжения

, а также напряжения кручения

. Напряжения компенсации являются частным случаем общих температурных напряжений.
3.1.17 несущая способность: Способность элемента или компонента воспринимать возрастающие нагрузки без достижения предельного состояния его материалов или соединений, а также без образования механизма прогрессирующего изменения форм и размеров.
3.1.18 номинальное допускаемое напряжение: Допускаемое напряжение, значение которого определяется по значениям временного сопротивления и предела текучести материала и служит базовой величиной при назначении допускаемых напряжений для различных видов нормативных расчетов на прочность.
3.1.19
общие изгибные напряжения
, МПа: Напряжения, вызываемые действием давления и механических нагрузок, меняющиеся от максимального положительного значения до минимального отрицательного значения по всему сечению и приводящие к изгибу корпуса сосуда или трубопровода в целом.
3.1.20
общие мембранные напряжения
, МПа: Напряжения, вызываемые действием механических нагрузок, нормальные к рассматриваемому сечению, распределенные по всему сечению и равные среднему значению напряжений в данном сечении.
3.1.21
общие напряжения кручения 
,
МПа: Касательные напряжения, вызываемые действием механических нагрузок.
3.1.22
общие температурные напряжения
, МПа: Напряжения, возникающие от неравномерного распределения температур по объему элемента или из-за различия температурного коэффициента линейного расширения материалов, приводящие в предельном случае к недопустимым остаточным изменениям формы и размеров компонента.
3.1.23 опорная конструкция (опорно-подвесная система): Изделие, предназначенное для размещения, ориентации и закрепления опираемого (поддерживаемого или подвешенного) элемента, воспринимающее нагрузки со стороны опираемого элемента и передающее их на строительные конструкции.
Примечание - Опорная конструкция не является границей давления.
3.1.24 остаточные напряжения: Напряжения, существующие в деталях при отсутствии внешних воздействий (силовых и температурных).
3.1.25 полуцикл изменения напряжения (деформации): Изменение напряжений от максимального (минимального) значения до минимального (максимального) значения в рассматриваемом цикле.
3.1.26 предельный расчет (расчет по несущей способности): Упругопластический расчет в целях проверки несущей способности элемента или компонента, выполняемый в предположении идеального упругопластического поведения материала при выборе основных размеров и расчете на статическую прочность.
3.1.27 предельное состояние: Состояние элемента или его компонента, при котором его дальнейшая эксплуатация с учетом нормативных коэффициентов запаса недопустима.
Примечание - При переходе элемента или компонента в предельное состояние эксплуатация его должна быть временно или окончательно прекращена - он подлежит ремонту или выводится из эксплуатации.
3.1.28 приведенное напряжение (деформация): Эквивалентное, с позиции прочности, значение напряжения (деформации), приводящее многоосное напряженное состояние к условиям одноосного напряженного состояния.
3.1.29
приведенное истинное напряжение
, МПа: Приведенное напряжение, вычисленное в рассматриваемой точке с учетом концентрации и пластического деформирования (если оно имеется).
3.1.30 размах напряжений: Разность значений максимального и минимального напряжений за рассматриваемую историю изменения напряжений расчетного режима.
3.1.31 расчетный дефект: Используемый в расчетах на прочность дефект, форма, размеры и пространственное положение которого в металле компонента определяется нормативными требованиями с учетом данных дефектоскопии либо без них.
3.1.32 режим нагружения элемента (компонента): Совокупность параметров нагружения (значение нагрузок, температур, доза облучения, количества циклов приложения нагрузок и т.д.) элемента (компонента), реализующаяся на стадии монтажа, сооружения или эксплуатации.
3.1.33 сечение приведения: Сечение, по которому проводится линеаризация.
3.1.34 температурные воздействия: Воздействия, обусловленные стеснением температурных перемещений элемента или его компонента.
3.1.35 техническое состояние: Совокупность подверженных изменению в процессе производства или эксплуатации свойств объекта, характеризуемая в определенный момент признаками, установленными технической документацией на этот объект.
3.1.36 трубопровод: Элемент, состоящий из оборудования и изделий (труб, отводов, тройников и пр.), соединенных между собой разъемными или неразъемными соединениями, и предназначенный для транспортирования рабочей среды.
3.1.37 упругий расчет: Расчет по определению напряженно-деформированного состояния компонента в предположении упругого поведения материала.
3.1.38 упругопластический расчет: Расчет по определению напряженно-деформированного состояния компонента в предположении упругопластического поведения материала.
3.1.39 условные упругие напряжения: Напряжения, значения которых определяются по соотношениям закона Гука путем замены в них компонентов деформаций упругости на суммы соответствующих компонентов деформаций упругости, пластичности и ползучести.
3.1.40 цикл напряжений (деформаций): Изменение напряжения (деформации) от исходного значения до конечного, равного исходному, при котором достигаются одно максимальное и одно минимальное значения напряжения (деформации).
В настоящем стандарте применены следующие сокращения:
АС - атомная станция;
ВВЭР - водо-водяной энергетический реактор;
КИН - коэффициент интенсивности напряжений;
ЛП - линия приведения;
МКЭ - метод конечных элементов;
МРЗ - максимальное расчетное землетрясение;
НДС - напряженно-деформированное состояние;
ННУЭ - нарушение нормальных условий эксплуатации;
НУЭ - нормальные условия эксплуатации;
ПЗ - проектное землетрясение;
РБМК - реактор большой мощности канальный;
РУ - реакторная установка;
СУЗ - система управления и защиты;
СП - сечение приведения;
УИ - условия испытаний;
УПА - условия проектной аварии;
ЭГП - энергетический графитовый паровой реактор.
В настоящем стандарте применены следующие обозначения:
Da - номинальный наружный диаметр цилиндрической части корпуса, днища, крышки или трубопровода, мм;
D - номинальный внутренний диаметр цилиндрической части корпуса, крышки, днища или трубопровода, мм;
Dm - средний диаметр цилиндрической части корпуса, крышки, днища или трубопровода, мм;
s - номинальная толщина стенки, мм;
sR - расчетная толщина стенки, мм;
sf - фактическая толщина стенки, мм;
c - суммарная прибавка к толщине стенки, мм;
c2 - прибавка к толщине стенки, учитывающая утонение стенки за счет общей (равномерной) коррозии за срок службы изделия, мм;
c2f - фактическая прибавка к толщине стенки, учитывающая утонение стенки за счет общей (равномерной) коррозии за срок службы изделия, мм;
p - давление, МПа;
T - температура, К (°C);
t - время, с (ч);

- ожидаемый срок службы, лет;
N - число циклов нагружения компонента;
[N] - допускаемое число циклов нагружения компонента;
f0 - частота нагружения, Гц;
f - частота высокочастотных циклов нагружения, Гц;

- минимальное значение предела прочности при температуре, МПа;

- минимальное значение предела текучести при температуре, МПа;
ZT - относительное сужение поперечного сечения образца при статическом разрушении при растяжении при температуре, %;

- средний коэффициент линейного температурного расширения для интервала температур от 273 до
T 1/К (20 до
T 1/°C);
ET - модуль упругости при температуре, МПа;

- коэффициент Пуассона;

- предел выносливости при симметричном цикле при температуре, МПа;

- предел пропорциональности при температуре, МПа;
F - совокупность нагрузок;

- общие мембранные напряжения, МПа;

- местные мембранные напряжения, МПа;

- общие изгибные напряжения, МПа;

- местные изгибные напряжения, МПа;

- напряжения кручения, МПа;

- общие температурные напряжения, МПа;

- местные температурные напряжения, МПа;

- напряжения компенсации, МПа;

- мембранные напряжения компенсации, МПа;

- изгибные напряжения компенсации, МПа;

- напряжения компенсации кручения, МПа;

- средние напряжения растяжения по сечению болта или шпильки, вызываемые механическими нагрузками (с учетом затяга), МПа;

- напряжения изгиба по сечению болта или шпильки, вызываемые механическими нагрузками (с учетом затяга), МПа;

- напряжения кручения в болте или шпильке, МПа;

- напряжения среза резьбы, МПа;

,

,

- главные напряжения, МПа;

,

- приведенные напряжения групп категорий, МПа;

,

- приведенные напряжения групп категорий для болтов и шпилек, МПа;

- размах приведенных напряжений, МПа;

,

,

- напряжения на главных площадках
i,
j,
k, МПа;

,

,

,

- приведенные напряжения без учета концентрации, МПа;

,

,

,

- местные приведенные напряжения, рассчитанные с учетом концентрации напряжений, МПа;

,

,

,

- местные условные упругие приведенные напряжения, рассчитанные с учетом концентрации напряжений, МПа;

- амплитуда приведенных напряжений без учета концентрации, МПа;

- амплитуда условных упругих приведенных напряжений с учетом коэффициента концентрации условных упругих напряжений, МПа;

- максимальные местные условные упругие приведенные напряжения, рассчитанные с учетом концентрации напряжений, МПа;

- приведенное истинное напряжение, МПа;

- номинальное допускаемое напряжение, МПа;

- номинальное допускаемое напряжение для болтов и шпилек, МПа;

- показатель упрочнения кривой деформирования;

- теоретический коэффициент концентрации напряжений;

- теоретический коэффициент концентрации приведенных напряжений;
Kef - эффективный коэффициент концентрации напряжений;
aN - накопленное усталостное повреждение;

- деформация, %;

- скорость деформации, с
-1;

- сдвиг критической температуры хрупкости, К (°C);

- амплитуда вибронапряжения, МПа;

- коэффициент запаса прочности по условным местным приведенным напряжениям при расчетах на циклическую прочность;
nN - коэффициент запаса прочности по числу циклов при расчетах на циклическую прочность;
a - глубина поверхностной или половина размера подповерхностной расчетной трещины, мм;
c - полудлина расчетной трещины, мм;
KI - КИН для трещины нормального отрыва, МПа·м1/2;
Klc - критический КИН, МПа·м1/2;
Kmin, Kmax - минимальное, максимальное значения КИН, МПа·м1/2;

- размах КИН, МПа·м
1/2;

- эффективный размах КИН, МПа·м
1/2;
Kst - значение КИН при статическом нагружении, МПа·м1/2;
C0, m - характеристики кинетической диаграммы усталостного разрушения;
Cst, n - характеристики диаграммы коррозионно-статического разрушения;
naN, ncN - коэффициенты запаса при расчете роста размера трещины a и c соответственно при циклическом нагружении;
nas, ncs - коэффициенты запаса при расчете роста размера трещины a и c соответственно при статическом нагружении.
4.1 Расчеты на прочность на стадии эксплуатации должны быть проведены с учетом положений федеральных норм и правил в области использования атомной энергии
[1],
[4],
[5] -
[8].
4.2 Поверочный расчет на стадии эксплуатации необходимо провести:
- на момент обоснования прочности;
- на конец назначенного срока службы.
4.3 Режимы нагружения НУЭ, ННУЭ, УПА, УИ определяются проектной документацией или уточняются путем внесения изменений в проектную документацию.
5 Принципы, положенные в основу расчета на прочность на стадии эксплуатации
5.1 Расчет на прочность по предельным состояниям:
а) пластическая деформация по всему сечению компонента;
в) кратковременное разрушение (вязкое или хрупкое);
г) циклическое накопление пластической деформации, которое приводит к недопустимому изменению размеров или разрушению;
д) возникновение макротрещин при циклическом нагружении, включая вибрационное, следует проводить с использованием значений кратковременных характеристик прочности, пластичности и сопротивления деформированию материала.
5.2 Расчет на прочность компонентов оборудования и трубопроводов должен быть проведен путем поверочного расчета.
Поверочный расчет включает следующие разделы:
- расчет на статическую прочность;
- расчет на устойчивость;
- расчет на сопротивление разрушению;
- расчет на сопротивление прогрессирующему формоизменению;
- расчет на циклическую прочность;
- расчет на сейсмические воздействия и внешние динамические воздействия.
5.3 В качестве характеристик материалов, используемых при определении значений допускаемых напряжений, необходимо принимать предел прочности и предел текучести на рассматриваемый момент времени в соответствии с
4.2.
Допускаемые напряжения устанавливают по указанным характеристикам введением соответствующих запасов прочности.
5.4 При поверочном расчете должны быть учтены все механические и дилатационные нагрузки, в том числе перемещения в соответствии с требованием федеральных
норм и правил в области использования атомной энергии
[1] (фактически реализованные и прогнозируемые на конец срока службы), влияющие на результаты расчетов. Рассматриваются все режимы нагружения в условиях эксплуатации и испытаний.
5.5 Расчет на статическую прочность проводят для подтверждения того, что при всех значениях механических и дилатационных нагрузок в регламентированных проектом, фактических реализованных и прогнозируемых на конец срока службы режимах нагружения в условиях эксплуатации и испытаний компонентов оборудования и трубопроводов напряжения (нагрузки) не превышают допускаемых значений, определенных по предельным состояниям
перечислений а) и
в) 5.1.
Расчет может проводиться как в линейно-упругой постановке, так и в упругопластической.
5.6 Расчет на устойчивость заключается в определении допускаемых расчетных нагрузок, превышение которых может привести к потере устойчивости (предельное состояние
перечисления б) 5.1). При расчете на устойчивость должны быть рассмотрены все нагрузки, способные вызвать потерю устойчивости рассматриваемого элемента (компонента).
Расчет может проводиться как в линейной постановке, так и в нелинейной постановке.
5.7 Расчет на сопротивление разрушению проводят в форме обоснования невозможности инициирования разрушения в условиях НУЭ, ННУЭ, УИ и УПА при наличии в элементе конструкции выявленных несплошностей (предельное состояние, приведенное в
перечислении в) 5.1).
Расчет может проводиться как в линейно-упругой постановке (расчет КИН), так и в упругопластической (расчет J-интеграла).
5.8 Расчет на сопротивление прогрессирующему формоизменению проводят с целью подтверждения, что при всех значениях нагрузок и температур в регламентированных проектом и фактических реализованных и прогнозируемых режимах НУЭ не происходит накопления недопустимых изменений форм и размеров компонентов (предельное состояние, приведенное в
перечислении г) 5.1).
Расчет может проводиться как в линейно-упругой постановке, так и в упругопластической.
5.9 Расчет на циклическую прочность выполняют в форме обоснования невозможности появления макротрещин вследствие циклического нагружения (предельное состояние, приведенное в
перечислении д) 5.1).
Допускаемые амплитуды напряжений определяют исходя из характеристик сопротивления усталостному разрушению материала с введением запасов прочности по числу циклов и напряжениям.
В результате расчета на циклическую прочность определяется допускаемое число повторений режимов нагружения для заданных эксплуатационных нагрузок.
5.10 Расчет компонентов конструкции на сопротивление циклическому разрушению при наличии несплошностей проводится в случае обнаружения при контроле несплошностей либо если в результате расчета на циклическую прочность установлено, что предельное состояние, приведенное в
перечислении д) 5.1, достигнуто (при этом размеры начальной постулируемой трещины принимают в соответствии с
8.10.2.1).
При расчете определяют развитие несплошности при циклическом и/или статическом нагружении.
5.11 Расчет компонентов оборудования и трубопроводов на сейсмические и внешние динамические воздействия проводят при совместном действии эксплуатационных и сейсмических нагрузок или внешних динамических воздействиях, предусмотренных проектом АС.
Оценку прочности оборудования и трубопроводов следует выполнять по допускаемым напряжениям, по допускаемым перемещениям и по критериям циклической прочности.
5.12 Проверку условия отстройки собственных частот колебаний элемента (компонента) от детерминированных частот возмущения проводят на стадиях проектирования, монтажа и пусконаладки.
5.13 Приведенные напряжения, полученные по результатам упругого расчета, сопоставляемые с допускаемыми, определяют по компонентам напряженного состояния по теории наибольших касательных напряжений Треска либо по энергетической теории Мизеса.
В расчете на сопротивление разрушению при определении КИН используется теория наибольших нормальных напряжений.
5.14 При оценке циклической прочности за пределами упругости используется напряжение, называемое условным упругим. Это напряжение определяют по значению упругопластической деформации в рассматриваемой точке в соответствии с законом Гука.
5.15 В поверочном расчете влияние рабочих сред на значения характеристик прочности, а также на изменение размеров конструкций должно учитываться на основе экспериментальных данных, полученных в том числе методами неразрушающего контроля.
6 Факторы, подлежащие учету при проведении расчетов
При расчете на прочность компонентов оборудования и трубопроводов на стадии эксплуатации, включая эксплуатацию за пределами назначенного срока службы и при подготовке блока АС к выводу из эксплуатации, должны быть учтены:
- фактические (измеренные) размеры компонентов оборудования и трубопроводов;
- выявленные на стадии монтажа и эксплуатации несплошности и дефекты;
- данные об изменении физических и механических характеристик материалов на стадии эксплуатации по результатам контроля состояния металла по программам, согласно требованиям федеральных норм и правил в области использования атомной энергии
[1],
[4],
[5];
- параметры фактических и прогнозируемых режимов нагружения компонентов оборудования и трубопроводов в условиях эксплуатации, включая эксплуатацию за пределами проектного срока службы и при подготовке блока к выводу из эксплуатации и испытаний, в том числе:
а) изменение значений нагрузок и изменение истории нагружения по сравнению с проектными;
б) прогнозируемые режимы эксплуатации компонентов оборудования и трубопроводов на этапе продления срока службы и подготовке блока к выводу из эксплуатации;
в) дополнительные нагрузки, изменение усилий и моментов затяжки резьбовых соединений;
г) условия крепления и фактические перемещения элементов (компонентов) оборудования и трубопроводов;
д) монтажные и ремонтные натяги (растяжки);
е) изменения конструкций оборудования и трубопроводов, вызванные ремонтом, модернизацией, изменение типа и/или материала прокладок;
ж) планируемые изменения конструкции на этапе подготовки к выводу из эксплуатации блока АС;
- влияние рабочей среды на циклическую прочность компонентов оборудования и трубопроводов;
- непроектные условия нагружения компонентов оборудования и трубопроводов, связанные с авариями и последствиями аварий (если они имели место или включены дополнительно в перечень анализируемых событий).
7 Номинальные допускаемые напряжения
7.1 Номинальные допускаемые напряжения рассчитывают по минимальному пределу текучести

и минимальному пределу прочности

при рассматриваемой температуре, которые принимаются по данным соответствующих документов по стандартизации.
7.2 Номинальное допускаемое напряжение для компонентов оборудования и трубопроводов рассчитывают по соотношению

(7.1)
7.3 Номинальное допускаемое напряжение для болтов или шпилек рассчитывают по соотношению

(7.2)
8.1.1 При поверочном расчете на стадии эксплуатации оборудования и трубопроводов блоков АС и при обосновании продления назначенного срока службы толщина стенки компонента принимается равной:
- номинальному значению, если установлено, что утонение толщины стенки за счет сплошной (равномерной) коррозии не превышает значения прибавки c2, использованного при проведении расчета на прочность на стадии проектирования;
- фактическому (измеренному) значению
sf на момент окончания срока службы
t, если установленное средствами эксплуатационного контроля в соответствии с федеральными
нормами и правилами в области использования атомной энергии
[5] фактическое (измеренное) утонение толщины стенки за счет сплошной (равномерной) коррозии
c2f за срок службы
t превышает значение
c2, установленное проведенным на стадии проектирования расчетом на прочность
<1>;
-

на момент окончания ожидаемого срока службы

(отсчитываемого от момента времени
t), если
c2f >
c2;
- измеренному аттестованными системами неразрушающего контроля значению толщины стенки и с учетом требований федеральных
норм и правил в области использования атомной энергии
[5] для зон с локальным износом.
--------------------------------
<1> Если в проектном расчете на прочность значение прибавки
c2 отсутствует, то для его определения используют данные
[3].
8.1.2 Поверочный расчет на прочность следует проводить с учетом
5.4. В один расчетный режим допускается включать группу режимов, если значения параметров нагрузок и температуры (в градусах Цельсия) этих режимов не отличаются более чем на 5% от принятых расчетных значений. При этом в качестве расчетного режима принимается режим с максимальными значениями параметров.
8.1.3 При проведении поверочного расчета напряжения в оборудовании и трубопроводе необходимо подразделять на категории. Напряжения, относящиеся к различным категориям, объединяются в группы категорий напряжений. Приведенные напряжения для группы категорий напряжений должны быть сопоставлены с соответствующими допускаемыми напряжениями.
На основании анализа напряжений от механических нагрузок и температурных воздействий для оценок прочности должны быть выбраны наиболее напряженные области оборудования и трубопроводов, а также области с изменением физических и механических характеристик материалов и области интенсивного коррозионного воздействия среды, причем для различных расчетных случаев эти области могут быть различными.
8.1.4 Допускается проведение раздельных поверочных расчетов взаимодействующих оборудования и/или трубопроводов, при этом должны быть учтены условия воздействия сопряженных частей.
8.1.5 В поверочном расчете напряженно-деформированное состояние рассматриваемой конструкции должно быть определено расчетным путем. Экспериментальное определение параметров деформирования должно сопровождаться расчетным анализом.
В обоснованных случаях для анализа прочности допускается использовать результаты расчетов напряженно-деформированного состояния, выполненных на стадии проектирования оборудования и трубопроводов блока АС.
8.1.6 Напряженно-деформированное состояние, используемое в расчетах на прочность, следует определять с учетом всех факторов, влияющих на результаты расчетов на прочность.
8.1.7 Выбранный метод расчета должен учитывать все расчетные нагрузки для всех расчетных случаев и давать возможность определить все необходимые расчетные группы категорий напряжений.
8.2 Схематизация выявленных несплошностей и отклонений геометрических параметров от проектных значений
8.2.1 Виды несплошностей и отклонений геометрических размеров от проектных значений, для которых проводятся расчеты на прочность на стадии эксплуатации и при продлении срока службы:
а) отклонения геометрических размеров сварных соединений (свариваемых компонентов) свыше установленных проектной (конструкторской) и/или технологической документацией допусков (далее - несовершенства формы);
б) объемные и плоскостные несплошности в основном металле, сварных соединениях и наплавке, размеры которых не соответствуют требованиям федеральных норм и правил в области использования атомной энергии
[5] (раздел XI), включая приложения, на которые даны ссылки в указанном разделе;
в) утонение толщины стенки (локальные и протяженные) вследствие:
1) местной или общей коррозии;
2) эрозии;
3) механической обработки (удаления поверхностных трещин и рисок).
8.2.2 Должны быть рассмотрены следующие отклонения геометрических размеров сварных соединений, приведенных в
перечислении а) 8.2.1, которые были зафиксированы по результатам выполненных ремонтов или замены компонентов:
- несоосность компонентов конструкции после выполнения сварочных работ;
- смещение сварочных кромок;
- расточка и/или раздача концов сваренных компонентов;
- выборки в сварных швах (вследствие устранения поверхностных несплошностей);
- фактическая (измеренная) геометрия сварного шва.
8.2.3 Должны быть рассмотрены следующие объемные и плоскостные несплошности в основном металле, сварных швах и наплавке по
перечислению б) 8.2.1:
- протяженные плоскостные несплошности;
- непровары корня шва, несплавления по разделке, подрезы;
- поры, включения.
8.2.4 Выявленные системами неразрушающего контроля трещины должны быть схематизированы как одиночные расчетные трещины или скопление расчетных трещин в рассматриваемой зоне компонента, для которого выполняется расчет на прочность.
8.2.5 Схематизация несплошностей в соответствии с
перечислением б) 8.2.1 должна быть основана на следующих принципах:
- для всех объемных и плоскостных несплошностей (в виде пор, включений, непроваров, подрезов и т.д. в основном металле, сварных швах и наплавке) в качестве расчетного дефекта принимается трещина;
- в качестве расчетных трещин различают подповерхностные и поверхностные (в том числе угловые) трещины;
- схематизируются геометрические параметры компонента конструкции, размеры, ориентация и местоположение расчетной трещины, а также параметры напряженного состояния компонента.
8.2.6 Подповерхностная расчетная трещина - схематизированная несплошность, расположенная внутри толщи металла компонента конструкции на расстоянии h до ближайшей свободной поверхности, составляющем не менее чем 0,4a, где a - половина высоты трещины. Подповерхностная расчетная трещина представляется в виде эллиптической трещины высотой 2a и протяженностью 2c (2a - длина малой оси эллипса, 2c - длина большой оси эллипса).
Несплошность, расположенная внутри компонента, для которого h < 0,4a, схематизируется в виде поверхностной расчетной трещины.
8.2.7 Поверхностная расчетная трещина - схематизированная несплошность, выходящая на поверхность компонента конструкции (h = 0). Поверхностная расчетная трещина представляется в виде полуэллиптической трещины глубиной a и протяженностью 2c (2a - длина малой оси эллипса, 2c - длина большой оси эллипса).
8.2.8 Угловая расчетная трещина - схематизированная несплошность, расположенная в зоне компонента, имеющей угловую форму (например, в углах патрубка, фланца и пр.). Угловая расчетная трещина представляется в виде четвертьэллиптической трещины глубиной a и протяженностью c (2a - длина малой оси эллипса, 2c - длина большой оси эллипса).
8.2.9 Схематизация выявленных отклонений геометрических параметров конструкций от проектных значений, типа указанных в
перечислении в) 8.2.1, выполняется соответствующим уменьшением толщины стенки.
8.2.10 Рекомендации по определению значений теоретического коэффициента концентрации напряжений для сварных стыковых соединений труб (по
перечислению а) 8.2.1 и
8.2.2) приведены в
приложении А.
8.3 Классификация напряжений
8.3.1 Напряжения, возникающие в компонентах конструкций, подразделяют на категории и группы категорий.
8.3.2 При проведении поверочного расчета используют следующие категории напряжений - общие и местные мембранные (

и

), общие и местные изгибные (

и

), напряжения кручения

, общие и местные температурные (

и

), напряжения компенсации

, а также напряжения растяжения

, изгиба

и кручения

в болтах и шпильках.
Дополнительные категории напряжений, используемые при проведении расчетов, входящих в состав поверочного расчета, указаны в соответствующих подразделах.
Из указанных категорий формируют расчетные группы категорий напряжений, которые используют для оценки прочности.
Для удобства проведения расчетов ниже приведены примеры разделения напряжений по категориям.
8.3.3 Примером напряжений, относящихся к категории

, являются средние напряжения растяжения (или сжатия) по толщине стенки цилиндрической, конической, эллиптической или сферической оболочки, вызываемые действием внутреннего или наружного давления.
8.3.4 Примерами напряжений, относящихся к категории

, являются:
- мембранные напряжения от механических нагрузок в зонах соединения оболочек и фланцев;
- мембранные напряжения от механических нагрузок в зонах присоединения патрубков и опор к сосудам.
8.3.5 Примерами напряжений, относящихся к категории

, являются:
- напряжения изгиба, вызываемые действием механических нагрузок, действующих на сосуд или трубопровод в целом;
- напряжения изгиба, вызываемые действием давления на плоские крышки;
- напряжения изгиба в нажимных кольцах и фланцах разъемных соединений, вызываемые затягом болтов и шпилек.
8.3.6 Примерами напряжений, относящихся к категории

, являются:
- напряжения изгиба, вызванные действием давления, в зонах соединения различных компонентов (фланец и цилиндрическая обечайка корпуса, соединение обечайки корпуса и днища и т.п.);
- напряжения изгиба в трубопроводах в зоне присоединения фланцев, вызванные действием затяжки болтов и шпилек.
8.3.7 Примером напряжений, относящихся к категории

, являются касательные напряжения, вызываемые действием механических нагрузок, действующих на сосуд или трубопровод в целом.
8.3.8 Примерами напряжений, относящихся к категории

, являются:
а) напряжения, вызываемые перепадом температур в цилиндрической обечайке в осевом (продольном) направлении;
б) линейная часть напряжений в компонентах в зонах соединения (фланец и цилиндрическая часть сосуда, патрубок и корпус сосуда, трубопровод и фланец, трубная доска и присоединяемые к ней трубы и т.п.);
в) линейная часть напряжений, вызываемых перепадом температур по толщине плоских днищ и крышек;
г) напряжения в зоне стыка цилиндрических обечаек и трубопроводов, выполненных из материалов с различными коэффициентами линейного температурного расширения.
8.3.9 Примерами напряжений, относящихся к категории

, являются:
- напряжения в центральной части длинных цилиндрических или сферических оболочек, вызываемые перепадом температур по толщине стенки, за исключением линейной составляющей напряжений, указанной в
перечислении б) 8.3.8;
- напряжения на небольших участках перегрева (или охлаждения) в стенке сосуда или трубопровода;
- напряжения в антикоррозионной наплавке и корпусе, вызванные разностью коэффициентов линейного температурного расширения материалов.
8.3.10 Примером напряжения, относящегося к категории

, является напряжение растяжения (сжатия), кручения и изгиба в трубопроводах, вызванное стеснением свободного расширения (сжатия) трубопровода.
8.3.11 Примерами напряжений, относящихся к категории

, являются напряжения в зонах отверстий, галтелей, резьб и т.п. от механических нагрузок и температурных воздействий, определяемые с учетом эффекта концентрации напряжений.
8.3.12 При проведении поверочного расчета должны быть определены напряжения каждой расчетной группы категорий напряжений, по которым определяют приведенные напряжения, сопоставляемые с соответствующими допускаемыми напряжениями.
8.3.13 В
таблице 8.1 приведены правила определения групп категорий напряжений по категориям напряжений.
Таблица 8.1
Определение групп категорий напряжений по категориям
напряжений в компонентах
Тип компонента | Категории напряжений | Группа категории напряжений |
Корпуса оборудования, крышки, трубные доски | | |
| |
| |
с учетом концентрации напряжений | |
Трубопроводы | | |
| |
| |
с учетом концентрации напряжений | |
Компенсаторы (торовые, сильфонные и др.) | | |
с учетом концентрации напряжений | |
Болты и шпильки | | |
| |
| |
с учетом концентрации напряжений | |
Примечание - Знак  обозначает, что суммирование напряжений при формировании приведенных групп категорий напряжений проводится с использованием выбранной теории прочности (Треска или Мизеса). |
8.3.14 Примеры категорий напряжений применительно к различным типам компонентов конструкций приведены в
таблице 8.2.
Таблица 8.2
Примеры классификации напряжений по категориям
Компонент | Зона компонента | Нагрузка | Вид распределения напряжений | Категория напряжений |
Цилиндрическая, коническая, эллиптическая или сферическая обечайка (крышка) | Гладкая часть | Механические нагрузки | Средние напряжения по сечению | |
Изгибные напряжения по сечению | |
Напряжения кручения, равномерно по сечению | |
Температурный перепад по длине | Линейная часть распределения по толщине | |
Изменение температуры на локальном участке | Нелинейная часть распределения по толщине | |
Зона соединения гладкой части с фланцем или другим компонентом | Механические нагрузки | Средние напряжения по толщине | |
Изгибные напряжения по толщине | |
Температурный перепад | Линейная часть распределения по толщине | |
Зона приварки патрубка или коллектора | Механические нагрузки | Средние напряжения по сечению | |
Изгибные напряжения по толщине | |
Температурный перепад | Линейная часть распределения по толщине | |
Нагрузки от стеснения свободного расширения трубопроводов | Линейная часть распределения по толщине | |
Торосферическая крышка | | Давление | Средние напряжения по толщине | |
Изгибные напряжения по толщине | |
Плоская крышка или днище | Центральная зона | Механические нагрузки | Средние напряжения по толщине | |
Изгибные напряжения по толщине | |
Температурный перепад по толщине | Линейная часть распределения по толщине | |
Зона соединения гладкой части с фланцем или обечайкой | Механические нагрузки | Средние напряжения по толщине | |
Изгибные напряжения по толщине | |
Температурный перепад | Линейная часть распределения | |
Зона приварки патрубка | Механические нагрузки | Средние напряжения по сечению | |
Изгибные напряжения по толщине | |
Температурный перепад | Линейная часть распределения по толщине | |
Нагрузки от стеснения свободного расширения трубопроводов | Линейная часть распределения по толщине | |
Патрубки, коллекторы | Гладкая часть | Механические нагрузки | Средние напряжения по сечению | |
Изгибные напряжения по сечению | |
Напряжения кручения, равномерно по сечению | |
Нагрузки от стеснения свободного расширения трубопроводов | Линейная часть распределения по толщине | |
Зона приварки к обечайке | Механические нагрузки | Средние напряжения по сечению | |
Изгибные напряжения по сечению | |
Напряжения кручения, равномерно по сечению | |
Изгибные напряжения по толщине | |
Температурный перепад | Линейная часть распределения по толщине | |
Нагрузки от стеснения свободного расширения трубопроводов | Линейная часть распределения по толщине | |
Нажимное кольцо | - | Механические нагрузки | Изгибные напряжения по толщине | |
Температурные нагрузки | Линейная часть распределения по толщине | |
Трубные доски | Центральная зона | Механические нагрузки | Средние напряжения по толщине | |
Изгибные напряжения по толщине | |
Температурный перепад по толщине | Линейная часть распределения по толщине | |
Зона приварки к обечайке | Механические нагрузки | Средние напряжения по толщине | |
Изгибные напряжения по толщине | |
Температурный перепад | Линейная часть распределения по толщине | |
Трубопроводы | Гладкая часть трубопроводов | Механические нагрузки | Средние напряжения по сечению | |
Изгибные напряжения по сечению | |
Напряжения кручения, равномерно по сечению | |
Нагрузки от стеснения свободного расширения трубопроводов | Средние напряжения по сечению | |
Изгибные напряжения по сечению | |
Напряжения кручения, равномерно по сечению | |
<*> Классификация напряжений в других зонах аналогично сферической крышке. <**> Учитывается только при определении  и  , но не учитывается -  и  . |
8.3.15 Правила по обработке распределения напряжений по сечению и по толщине стенки с целью выделения средних (мембранных) и изгибных составляющих распределения приведены в
приложении Б.
8.4 Порядок определения напряжений
8.4.1 Общие положения
8.4.1.1 Для рассматриваемого компонента конструкции устанавливают последовательность реализованных и планируемых режимов нагружения.
8.4.1.2 Для принятой последовательности режимов нагружения расчетами определяют напряженно-деформированное состояние в рассматриваемой зоне компонента.
8.4.1.3 На
рисунке 8.1 приведена схема порядка определения напряжений и формирования расчетных циклов (полуциклов) изменения напряжений.
Рисунок 8.1 - Схема определения напряжений и формирования
расчетных циклов (полуциклов) изменения напряжений
8.4.2 Расчет истории приведенных напряжений с использованием теории максимальных касательных напряжений Треска
8.4.2.1 По шести составляющим тензора напряжений рассчитывают в упругой постановке значения главных напряжений. Максимальному за всю историю главному напряжению присваивают индекс
i, двум другим при том же моменте времени - индексы
j и
k 
. Соответствующие данному моменту времени площадки считаются зафиксированными для всей истории нагружения. Для всех других моментов времени главные напряжения условно относятся к зафиксированным площадкам
i,
j и
k следующим образом - значения главных напряжений должны быть соответственно отнесены к тем площадкам
i,
j и
k, которые наклонены к реальным главным площадкам под наименьшим углом.
8.4.2.2 На выбранных зафиксированных главных площадках для всей принятой последовательности режимов нагружения определяют зависимости изменения главных напряжений

,

,
.
8.4.2.3 Значения приведенных напряжений

определяют для моментов времени
t1,
t2, ...,
tl, ...,
tm, в которых увеличение (уменьшение) абсолютного значения любого из главных напряжений сменяется его уменьшением (увеличением). В случае если расчет напряжений проведен без учета концентрации напряжений, то

(8.1)
где

,

,

- главные напряжения тензора напряжений для момента времени
tl, определенные без учета концентрации напряжений;

,

,

- приведенные напряжения для момента времени
tl.
Если расчет напряжений проведен с учетом концентрации напряжений, то

(8.2)
где

,

,

- главные напряжения тензора местных напряжений для момента времени
tl, определенные с учетом концентрации напряжений;

,

,

- местные приведенные напряжения для момента времени
tl.
Для начального
t1 и конечного
tm моментов времени

или равны постоянным напряжениям, например от веса или монтажного натяга.
Пример изменения одного из местных приведенных напряжений приведен на
рисунке 8.2.
Рисунок 8.2 - График изменения
местных приведенных напряжений

и

8.4.2.4 Размах напряжений

определяют с учетом всей истории изменения приведенных напряжений как наибольшее из следующих значений:

(8.3)
где

,

,

- алгебраически максимальные приведенные напряжения за рассматриваемую историю изменения приведенных напряжений расчетного режима;

,

,

- алгебраически минимальные приведенные напряжения за рассматриваемую историю изменения приведенных напряжений расчетного режима.
8.4.2.5 По рассчитанным значениям приведенных напряжений

или

определяются значения местных условных упругих приведенных напряжений

с учетом возможной поправки на упругопластическое деформирование материала в соответствии с требованиями
8.4.4.
8.4.3 Расчет истории изменения приведенных напряжений с использованием энергетической теории Мизеса
8.4.3.1 Для определения значений приведенных напряжений определяют приращения компонентов тензора напряжений от начального состояния
t1 (

или равны постоянным напряжениям, например от веса или технологического деформирования при изготовлении и монтаже) до момента времени
t по формулам:

(8.4)

(8.5)
8.4.3.2 Приращения приведенных напряжений вычисляют по формулам:

(8.6)

(8.7)
8.4.3.3 После расчета

для нескольких последующих моментов времени
t >
t1 определяется момент времени
tl, когда значение

в первый раз достигает максимума

, которому придается знак "плюс", если

, или "минус" в противном случае, и фиксируются значения составляющих напряжений в этот момент времени

,

,

,

,

,

, которые становятся начальными в следующем полуцикле.
Приведенные напряжения в момент времени
t1 принимаются

.
8.4.3.4 Расчет по
8.4.3.1 -
8.4.3.3 проводят для последующего изменения нагрузок (
t >
t1) и определяют момент времени
t2, при котором достигается максимум приращения приведенных напряжений

. Вновь фиксируются значения

, которые для следующего полуцикла являются начальными. Разности приведенных напряжений

придают знак, противоположный знаку

.
Приведенное напряжение в момент времени
t2 равно

.
Расчет проводят таким образом для всей истории нагружения компонента, и в результате получается зависимость приведенных напряжений

или

от времени для всей истории нагружения.
8.4.3.5 Размах напряжений

определяют по графику изменений приведенных напряжений

для всей истории изменения напряжений по формуле

(8.8)
где

,

- алгебраически максимальные и, соответственно, минимальные приведенные напряжения для всей истории напряжений.
8.4.3.6 По рассчитанным значениям приведенных напряжений

или

определяют значения местных условных упругих приведенных напряжений

с учетом возможной поправки на упругопластическое деформирование материала в соответствии с требованиями
8.4.4. При этом вместо трех представленных там рассматривается один график изменения

.
8.4.4 Определение местных условных упругих приведенных напряжений
8.4.4.1 Значения местных условных упругих приведенных напряжений

определяют на основании значений

(индексы
ij,
jk и
ki здесь и далее для краткости опущены) с учетом возможной поправки на упругопластическое деформирование материала. Учет пластических деформаций выполняют с помощью упрощенного (см.
8.4.4.2) или полного (см.
8.4.4.3) упругопластического расчета.
При использовании эффективного коэффициента концентрации
Kef для определения местных условных упругих приведенных напряжений

учет возможной поправки на упругопластическое деформирование материала не требуется. Правила определения местных условных упругих напряжений с использованием эффективного коэффициента концентрации приведены в
8.4.4.4.
Правила определения местных условных упругих напряжений в резьбах приведены в
8.4.4.5.
8.4.4.2 Методика упрощенного упругопластического расчета
Поправку на упругопластическое деформирование материала проводят с использованием параметров

и

степенной аппроксимации диаграммы растяжения материала, вычисляемые по формулам:

(8.9)

(8.10)
Если в рассматриваемой зоне расположен сварной шов, то значения

и

принимаются минимальными из значений для металла шва и основного металла.
При переменной в течение полуцикла температуре вычисление значений

и

проводят для максимальной и минимальной температур полуцикла по соответствующим значениям

,

,
ZT,
ET. Расчетное значение

принимают равным полусумме соответствующих значений для максимальной и минимальной температур полуцикла. Расчетное значение

принимают равным минимальному из его значений в интервале температур полуцикла. Допускается использовать в качестве расчетных значений

и

, соответствующие максимальной температуре полуцикла. Можно также принимать

при условии использования в качестве расчетного значения

либо полусуммы пределов текучести

при максимальной и минимальной температурах полуцикла, либо значения

при максимальной температуре полуцикла.
Графики изменения напряжений

строятся путем последовательной обработки точек графиков

для моментов времени
t1, ...,
tl, ...,
tm. При этом используются вспомогательные параметры

и

, а также характерные значения моментов времени
th и
tb, порядок определения которых изложен ниже. Общая последовательность расчетов следующая:
а) в начале расчета полагается:
th =
tb =
t1,
tl =
t2,

;

;
б) в случае если значение

принадлежит отрезку

(что соответствует упругому деформированию в полуцикле нагружения), принимается:

(8.11)
При выходе значения

за границы отрезка

происходит упругопластическое деформирование, для которого

рассчитывают по формуле

(8.12)
При этом если выход значения

произошел со стороны граничного значения

, а в предыдущие моменты времени хотя бы раз уже возникало упругопластическое деформирование, то принимается

и
th =
tb. Если же выход значения

произошел со стороны граничного значения

или если раньше ни разу не возникло упругопластического деформирования, то момент времени
th, соответствующие ему напряжения

и

, а также значения параметра

остаются без изменения (т.е. теми, которыми они сложились на предшествующих этапах расчета).
Расчет по
формуле (8.12) применяется только для зоны концентратора напряжений при выполнении следующего условия:

(8.13)
где

- теоретический коэффициент концентрации приведенных напряжений, равный максимальному из

, входящих в компонент напряжений.
Также допускается выполнять расчет по
формуле (8.11) для разнородных сварных соединений и металла с наплавкой при

.
Допускается при определении

вместо применения
формулы (8.11) проводить полный упругопластический расчет компонента конструкции в соответствии с требованиями
8.4.4.3;
в) после определения

при упругопластическом деформировании по
формуле (8.11) или по данным упругопластического расчета принимается
tb =
tl,

;
г) если
tl <
tm, то необходимо перейти к рассмотрению следующего момента времени
tl+1 в соответствии с порядком, изложенным в
перечислениях б) -
г) 8.4.4.2. При
tl =
tm расчет напряжений

завершается.
Для удобства расчетов графики изменения напряжений

могут быть разбиты на блоки. Пример подобного разбиения показан на
рисунке 8.2.
8.4.4.3 Методика полного упругопластического расчета
Рекомендации по использованию модели упругопластического деформирования материала приведены в
приложении В.
Допускается использование других моделей упругопластического деформирования материалов, основанных на представительных экспериментальных данных.
В результате полного упругопластического расчета с учетом концентрации напряжений для каждого требуемого момента времени
tl определяют деформации

,

,

,

,

,

.
Значения условных упругих напряжений определяют с помощью зависимостей:

(8.14)
где коэффициент Пуассона

соответствует упругому деформированию материала.
По найденным таким образом компонентам напряженного состояния находят приведенные напряжения по теории Мизеса в соответствии с положениями
8.4.3. Найденные значения являются приведенными местными условными упругими напряжениями

, соответствующими моменту времени
t1.
8.4.4.4 Методика определения местных условных упругих напряжений в элементах с использованием эффективного коэффициента концентрации
Местные условные упругие приведенные напряжения

при использовании эффективного коэффициента концентрации
Kef вычисляют по формуле

(8.15)
или по формуле

(8.16)
Эффективный коэффициент концентрации Kef местных приведенных напряжений определяют по результатам испытаний на усталость.
Геометрия, состояние поверхности, номинальные напряжения и градиенты местных напряжений в зоне концентрации испытуемого компонента, модели или образца, их материал и термообработка, условия нагружения должны соответствовать элементу (компоненту) конструкции.
В расчете при

эффективный коэффициент концентрации напряжений вычисляют по формуле

(8.17)
где q - коэффициент чувствительности материала к концентрации напряжений (Kef <= 1).
Если

, то коэффициент
q вычисляется по формуле

(8.18)
а если

, то
q принимается равным
q0, где
q0 - коэффициент чувствительности материала к концентрации напряжений, определенный при амплитуде местных напряжений, равной пределу выносливости

и выбираемый в соответствии с
таблицей 8.3.
Таблица 8.3
Значения коэффициента чувствительности
q0
| q0 | Зона концентрации напряжений в компонентах опорных конструкций |
0,4 - 0,8 | 1,0 | Опорные устройства сосудов, отверстия для шпилек при радиусе скругления более 40 мм |
0,4 | 0,9 | Угловой переход при радиусе скругления от 10 до 40 мм |
0,6 | 0,95 |
0,8 | 1,0 |
0,4 | 0,7 | Скругления в вершинах пазов и опорных буртов при радиусе скругления от 4 до 10 мм |
0,6 | 0,8 |
0,8 | 0,9 |
0,4 | 0,3 | Метрическая резьба резьбовых компонентов при радиусе скругления менее 1 мм |
0,6 | 0,6 |
0,8 | 0,8 |
Примечание - При промежуточном значении  значение q0 определяется путем линейной интерполяции. |
8.4.4.5 Методика определения местных условных упругих напряжений в резьбах
Местное условное упругое напряжение

в резьбе резьбового соединения определяется в соответствии с
8.4.4.2. Напряжение

рассчитывается с учетом коэффициента

, определяемого для метрической резьбы по формуле

(8.19)
где Ks - коэффициент, зависящий от типа гайки;
sz - шаг резьбы;
R - радиус закругления в основании витка.
Для стандартной гайки сжатия коэффициент Ks равен 1, а для гайки растяжения-сжатия при длине растянутой зоны, равной диаметру резьбовой части, Ks = 0,75.
Коэффициент Ks для промежуточных длин растянутой зоны гайки растяжения-сжатия устанавливается линейной интерполяцией.
При увеличении высоты гайки сжатия от 0,8 диаметра резьбовой части до 1,25 и выше Ks уменьшается от 1 до 0,9.
При расчете резьбовой части шпильки или болта, вворачиваемой во фланец, учитывается влияние на Ks различия механических свойств материалов шпильки или болта и фланца. При этом при длине ввернутой части шпильки, равной ее диаметру и более, коэффициент Ks = 0,75.
В случае различия значений предела прочности материалов шпильки или болта

и фланца

коэффициент концентрации вычисляют по формуле

(8.20)
где значение коэффициента
Kw определяется по
таблице 8.4.
Таблица 8.4
| 0,5 | 0,6 | 0,7 | 0,8 | 0,9 | 1,0 |
Kw | 0,7 | 0,8 | 0,87 | 0,95 | 0,97 | 1,0 |
Если напряжение

не выходит за пределы упругости, то коэффициент
Kef определяется по
формуле (8.17). Если напряжение

выходит за пределы упругости, то для резьбового соединения с метрической резьбой из стали с
ZT >= 30% при контролируемом профиле резьбы с радиусом закругления в основании витка
R допускается принимать

.
Для контролируемых метрических резьб с впадиной без закругления из сталей с
ZT >= 30% значение

, где

- значение коэффициента концентрации напряжений в резьбе с шагом
sz и радиусом закругления
R = 0,11
sz.
8.4.5 Формирование расчетных циклов (полуциклов) изменения напряжений для расчета на циклическую прочность
8.4.5.1 При формировании расчетных циклов (полуциклов) используется метод "теней". Пример формирования расчетных циклов напряжений методом "теней" приведен в
приложении Г.
8.4.5.2 Если приведенные местные условные упругие напряжения были рассчитаны с применением теории наибольших касательных напряжений Треска, то формирование расчетных циклов (полуциклов) изменения напряжений для расчета на циклическую прочность проводят в порядке, изложенном в
8.4.5.3. Если приведенные местные условные упругие напряжения рассчитывались с применением энергетической теории Мизеса, то формирование расчетных циклов (полуциклов) изменения напряжений проводят согласно
8.4.5.4.
8.4.5.3 По трем графикам местных приведенных напряжений устанавливают наибольшее по абсолютному значению условное упругое напряжение

для всего процесса изменения напряжений.
Формирование расчетных циклов или полуциклов напряжений выполняется на основе полной истории нагружения за период от
t1 до
tm. При этом каждый раз при выделении очередного полуцикла из участков трех графиков изменения напряжений

,

,

должна быть получена наибольшая возможная амплитуда местного приведенного напряжения.
Для формирования расчетных циклов (полуциклов) напряжений каждый из графиков

,

,

во временном диапазоне от
t1 до
tm должен быть замкнут, то есть в нем должны совпадать начальное (в момент времени
t1) и конечное (в момент времени
tm) значения напряжений. В противном случае графики необходимо искусственно замкнуть, введя в них соответствующие фиктивные участки изменения напряжений в интервале времени от
tm до некоторого фиктивного значения
tф.
Эти фиктивные участки истории нагружения вносят дополнительное усталостное повреждение, что делает последующую оценку циклической прочности консервативной. Результаты расчета допускается уточнять путем вычитания величины повреждения от фиктивных участков из суммарного усталостного повреждения.
В процессе формирования расчетных циклов (полуциклов) предполагается, что каждый из трех графиков многократно освещается потоком света, лучи которого направлены вдоль горизонтальной оси времени. Освещения являются парными; при первом освещении из каждой пары рассматриваются только возрастающие, а при втором - только убывающие участки, соединяющие соседние локальные максимумы и минимумы. Считается, что свет не проходит сквозь рассматриваемые участки графиков (возрастающие либо убывающие), вследствие чего на каждом графике при любом освещении образуется вертикальное пятно тени.
Порядок формирования расчетных циклов следующий:
а) выполняется первый этап основного парного освещения: на всех трех графиках освещаются возрастающие участки. Образующиеся на трех графиках пятна тени сравнивают по величине (выбирают "пятно тени" максимальной протяженности). Если при одном освещении на каком-либо графике образуется два или больше пятен, то в сравнении каждое пятно участвует независимо. Из всех пятен тени, образующихся на трех графиках, выбирается пятно максимального размера. Если несколько пятен имеют одинаковый размер, то выбирается то, у которого верхняя граница расположена выше;
б) по выбранному пятну тени формируется расчетный возрастающий полуцикл напряжений следующим образом: его минимальное и максимальное значения принимаются равными, соответственно, нижней и верхней границам выбранного пятна;
в) на графике, на котором был сформирован этот возрастающий полуцикл, выполняется второй этап основного парного освещения: освещаются убывающие участки. Образующееся при этом пятно тени совпадает с пятном от возрастающих участков и на тех же принципах формирует расчетный убывающий полуцикл.
Сформированные таким образом расчетные возрастающий и убывающий полуциклы имеют одинаковые минимальные и максимальные значения. Такие полуциклы называются парными расчетными полуциклами.
Парные расчетные полуциклы могут быть объединены в один расчетный цикл;
г) после того, как выполнено основное парное освещение и сформированы парные расчетные полуциклы напряжений, графики

,

,

должны быть для дальнейшего анализа преобразованы следующим образом:
1) на графике, на котором были сформированы очередные парные расчетные полуциклы, удаляют те участки, тень от которых вошла в выбранные пятна тени для этих полуциклов;
2) на двух остальных графиках части, расположенные в тех же интервалах времени, что и удаленные участки первого графика, подвергают дополнительному парному освещению. При этом остальные части этих двух графиков игнорируют. На каждом из двух графиков сравнивают пятна тени от возрастающих и убывающих участков. Если эти пятна совпадают полностью или какой-либо своей областью, то части возрастающих и убывающих участков рассматриваемого графика, создавшие эту общую область тени, удаляют. Если совпадающих областей тени образуется несколько, то удаляют только те освещенные участки, размер области тени от которых больше, а при равенстве - у которых область тени размещена выше;
д) процесс формирования циклов (полуциклов) повторяется по
перечислениям а) -
г) 8.4.5.3 до тех пор, пока не окажутся удаленными все участки рассматриваемых графиков.
Каждый из сформированных расчетных циклов (полуциклов) напряжений должен для выполнения последующего расчета на циклическую прочность сопровождаться информацией об условиях эксплуатации (о температуре, параметрах среды и флюенсе нейтронов, длительности реализации), соответствующих всем тем частям графиков напряжений, из которых он был составлен.
8.4.5.4 Формирование расчетных циклов или полуциклов напряжений проводится аналогично изложенному в
8.4.5.3 с учетом того, что вместо трех рассматривается один график изменения

.
8.4.5.5 Допускается применять другие методы формирования расчетных циклов напряжений при условии, что для выбранной последовательности по времени эксплуатационных режимов работы и нагружения из остающихся участков получена наибольшая возможная амплитуда местного приведенного напряжения.
8.5 Расчет на статическую прочность
8.5.1 Общие положения
8.5.1.1 При расчете на статическую прочность проверяют выполнение условий прочности применительно к расчетным механическим и дилатационным нагрузкам, во всех условиях эксплуатации, регламентированных проектом, за исключением внешних динамических (включая сейсмические) и вибрационных нагрузок.
8.5.1.2 Компоненты конструкции удовлетворяют требованию по обеспечению статической прочности, если удовлетворены требования
8.5.2 либо
8.5.3.
8.5.1.3 Проверку условий статической прочности по группам категорий напряжений, отличных от

и

, а также проверку статической прочности для болтов и шпилек проводят только упругим расчетом в соответствии с требованиями
8.5.2.
8.5.2 Расчет в упругой постановке
8.5.2.1 Значения расчетных групп категорий напряжений, определенные при расчете на статическую прочность элементов (компонентов) конструкции, не должны превышать значений, указанных в
таблицах 8.5 и
8.6. Значение коэффициента формы
k, используемого в
таблице 8.5, принимается равным 1,5 для пластин и 1,3 для компонентов прочей геометрической формы. Допускаемые напряжения категории

определяют в соответствии с
8.8.2.
Таблица 8.5
Допускаемые напряжения для компонентов, за исключением
болтов и шпилек
Режим | | | Режим | | |
НУЭ | | | УПА | | |
ННУЭ | | | УИ | | |
Примечание - Категории режимов применяют в соответствии с проектом. |
Таблица 8.6
Допускаемые напряжения для болтов и шпилек
Режим | | | | Режим | | | |
НУЭ | | | | УПА | | | |
ННУЭ | | | | УИ | | | |
Примечание - Категории режимов применяют в соответствии с проектом. |
8.5.2.2 Значения допускаемых напряжений

и

определяют в соответствии с указаниями
раздела 7.
8.5.2.3 Средние напряжения смятия не должны превышать

. В случае, если расстояние от края зоны приложения нагрузки до свободной кромки превышает размеры зоны, на которой действует нагрузка, допускаемые напряжения могут быть увеличены на 25%.
8.5.2.4 Средние касательные напряжения, вызванные действием механических нагрузок в резьбах, не должны превышать

при НУЭ,

при ННУЭ,

при УПА,

при УИ.
8.5.2.5 Средние касательные напряжения, вызванные действием механических нагрузок и температурных воздействий в резьбах, не должны превышать

при НУЭ,

при ННУЭ,

при УПА,

при УИ.
8.5.3 Расчет в упругопластической постановке
8.5.3.1 Расчет допускается выполнять в качестве альтернативы проверки условий статической прочности по группам категорий напряжений

и

для компонентов конструкции, за исключением болтов и шпилек.
8.5.3.2 Расчет выполняется, если на рассматриваемый компонент конструкции действуют только совокупность механических нагрузок
F, изменяющихся пропорционально одному параметру - коэффициенту нагрузки. В прочих случаях расчет должен быть выполнен согласно
8.5.2.
8.5.3.3 Используются следующие положения:
- диаграмма растяжения материала считается идеальной упругопластической (см.
рисунок 8.3) с пределом текучести, равным

;
- критерий начала текучести - критерий Мизеса, согласно которому текучесть начинается при достижении приведенным напряжением

значения

.
Рисунок 8.3 - Идеальная упругопластическая диаграмма
растяжения материала
8.5.3.4 Предельная нагрузка (совокупность нагрузок) FL - нагрузка (совокупность нагрузок), при достижении которой элемент рассматривается как механизм (образуется пластический шарнир).
8.5.3.5 Значение действующей нагрузки (совокупности нагрузок) F должно быть не выше значения предельной нагрузки (совокупности нагрузок) FL, деленной на коэффициент запаса

(8.21)
где
nPL - коэффициент запаса, зависящий от режима нагружения конструкции, определяется в соответствии с
таблицей 8.7.
Таблица 8.7
Значения коэффициента запаса
nPL
Режим | nPL | Режим | nPL |
НУЭ | 1,5 | УПА | 1,1 |
ННУЭ | 1,25 | УИ | 1,1 |
Примечание - Категории режимов устанавливаются проектом блока АС. |
8.6 Расчет на устойчивость
8.6.1 Расчет в упругой постановке
8.6.1.1 Методика расчета на устойчивость цилиндрической оболочки под действием наружного давления
Расчет проводят для гладких цилиндрических оболочек, находящихся под действием всестороннего или бокового наружного давления. При боковом давлении отсутствует давление на торцевые поверхности оболочки.
Рассматривается гладкая цилиндрическая оболочка на расчетной длине. Если цилиндрическая оболочка с торцов закрыта приварными выпуклыми днищами, за расчетную длину принимают длину цилиндрической оболочки, увеличенную на длину отбортованного цилиндрического участка и на Hm/3 каждого днища.
Для цилиндрической оболочки, закрытой фланцевыми соединениями или плоскими днищами, за расчетную длину принимают длину оболочки между фланцами или между плоскими днищами. Продольные или спиральные ребра жесткости под углом менее 30° к образующей не рассматриваются как укрепление от действия наружного давления.
Формулы применимы при выполнении следующих условий:

(8.22)

(8.23)
a <= 2%, (8.24)
где sf - фактическая толщина стенки;
Da max, Da min - максимальный и минимальный наружные диаметры, измеренные в одном поперечном сечении цилиндрической оболочки.
Критическую длину вычисляют по формуле

(8.25)
Критическое напряжение вычисляют по формуле

для
L >=
Lkr, (8.26)

для

(8.27)
Критическое давление вычисляют по формуле

(8.28)
Допускаемое наружное давление вычисляют по формуле

(8.29)
где

- поправочный коэффициент;

.
Устойчивость цилиндрической оболочки обеспечена, если выполняется условие
pa <= [pa]. (8.30)
8.6.1.2 Методика расчета на устойчивость цилиндрической оболочки под действием осевой силы
Формулы применимы для расчета гладких цилиндрических оболочек без продольных ребер жесткости.
Спиральные ребра жесткости под углом более 60° к образующей не рассматриваются как укрепление от действия осевой силы.
Формулы применимы при выполнении следующих условий:

(8.31)
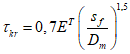
Расчетное осевое напряжение сжатия вычисляют по формуле

(8.32)
Для определения значения допускаемого напряжения находят два значения критического напряжения:
- напряжение первого рода - из условия общей потери устойчивости цилиндрического компонента как длинного стержня;
- напряжение второго рода - из условия местной потери устойчивости цилиндрической тонкостенной оболочки.
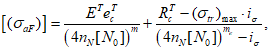
Критическое напряжение первого рода рассчитывают по формуле

(8.33)
где

, если оба конца цилиндрической оболочки шарнирно оперты;

, если оба конца оболочки жестко заделаны;

, если один конец оболочки шарнирно оперт, а другой жестко заделан.
Критическое напряжение второго рода рассчитывают по формуле

(8.34)
Допускаемое осевое напряжение сжатия

(8.35)
где

,

- поправочные коэффициенты;

, где

;

где

.
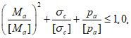
Устойчивость цилиндрической оболочки обеспечена, если выполняется условие

(8.36)
8.6.1.3 Методика расчета на устойчивость цилиндрической оболочки под действием наружного давления и осевой силы
Формулы применимы для гладких цилиндрических оболочек без кольцевых, спиральных или продольных ребер жесткости и других видов укрепления (гофры и др.).
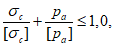
Устойчивость цилиндрической оболочки обеспечена, если выполняется условие

(8.37)
где допускаемое наружное давление и допускаемое напряжение сжатия определяются по методикам, приведенным выше.
8.6.1.4 Методика расчета на устойчивость цилиндрической оболочки под действием крутящего момента
Формулы применимы при выполнении условий, оговоренных в
8.6.1.1.
Критическую длину вычисляют по формуле

(8.38)
Критическое касательное напряжение вычисляют по формуле

для
L >=
Lkr, (8.39)

для

(8.40)
Критический крутящий момент вычисляют по формуле

(8.41)
Допускаемый крутящий момент вычисляют по формуле

(8.42)
где

- поправочный коэффициент;

.
Устойчивость цилиндрической оболочки обеспечена, если выполняется условие
Ma <= [Ma]. (8.43)
8.6.1.5 Методика расчета на устойчивость цилиндрической оболочки под действием крутящего момента, наружного давления и осевой силы
Формулы применимы для гладких цилиндрических оболочек без кольцевых, спиральных или продольных ребер жесткости и других видов укрепления (гофры и др.).
Устойчивость цилиндрической оболочки обеспечена, если выполняется условие

(8.44)
где допускаемое наружное давление, допускаемое напряжение сжатия и допускаемый крутящий момент определяют по методикам, приведенным выше.
8.6.1.6 Методика расчета на устойчивость цилиндрической оболочки под действием перерезывающей силы
Формулы применимы при выполнении условий, оговоренных в
8.6.1.2 для случая нагружения осевой силой.
Критическую длину вычисляют по формуле

(8.45)
Критическое изгибающее напряжение вычисляют по формуле

для
L >=
Lkr, (8.46)

для

(8.47)
Критический изгибающий момент вычисляют по формуле

(8.48)
Допускаемый изгибающий момент вычисляют по формуле

(8.49)
где

- поправочный коэффициент;

.
Устойчивость цилиндрической оболочки при изгибе обеспечена, если выполняется условие
Mb <= [Mb]. (8.50)
8.6.1.7 Методика расчета на устойчивость выпуклого днища под действием наружного давления
Формулы предназначены для расчета выпуклых днищ полусферической и эллиптической форм, находящихся под действием давления, равномерно распределенного по наружной поверхности.
Допускается применение формул для выпуклых днищ сферической формы. В сферических (тарельчатых) днищах поверхность имеет форму сегмента сферы.
Формулы применимы при выполнении следующих условий:

(8.51)

(8.52)
Критическое напряжение

(8.53)
Критическое давление

(8.54)
Допускаемое наружное давление

(8.55)
где

- поправочный коэффициент;

.
Устойчивость выпуклого днища обеспечена, если выполняется условие
pa <= [pa]. (8.56)
8.6.1.8 Методика расчета на устойчивость конического перехода под действием наружного давления
Формулы применимы для расчета на наружное давление гладких конических переходов с углом конусности

, удовлетворяющих условиям

(8.57)

(8.58)

(8.59)
где D0m и Dm (D0m < Dm) - средние диаметры оснований конического перехода, мм.
При

конический переход можно считать цилиндрической оболочкой, длина которой равна высоте конуса, а средний диаметр равен диаметру большего основания. Толщину стенки цилиндрической оболочки принимают равной толщине стенки конического перехода.
Критическое напряжение вычисляют по формуле

(8.60)
где
Cx определяется по графику на
рисунке 8.4 в зависимости от значения

или по формуле
Cx = 17 + 7,3
x + 130
x9 при 0 <
x < 0,8.
Рисунок 8.4 - График для определения
Cx
Критическое давление вычисляют по формуле

(8.61)
Допускаемое наружное давление вычисляют по формуле

(8.62)
где

- поправочный коэффициент;

.
Устойчивость конического перехода обеспечена, если выполняется условие
pa <= [pa]. (8.63)
8.6.1.9 Методика расчета на устойчивость конического перехода под действием осевой силы
Формулы применимы для расчета гладких конических переходов, находящихся под действием осевой силы, удовлетворяющих условиям:

(8.64)

(8.65)

(8.66)
При

конический переход можно считать цилиндрической оболочкой, длина которой равна высоте конуса, а средний диаметр равен диаметру большего основания. Толщину стенки цилиндрической оболочки принимают равной толщине стенки конического перехода.
Расчетное осевое напряжение сжатия вычисляют по формуле

(8.67)
Критическое напряжение рассчитывают по формуле

(8.68)
Допускаемое напряжение сжатия вычисляют по формуле

(8.69)
где

- поправочный коэффициент;

.
Устойчивость конического перехода обеспечена, если выполняется условие

(8.70)
8.6.1.10 Методика расчета на устойчивость конического перехода под действием наружного давления и осевой силы
Устойчивость конического перехода обеспечена, если выполняется условие

(8.71)
где допускаемое наружное давление и допускаемое напряжение сжатия определяют по методикам, приведенным в
8.6.1.8 и
8.6.1.9, соответственно.
8.6.1.11 Методика расчета на устойчивость подкрепленной равномерно расположенными шпангоутами цилиндрической оболочки под действием внешнего давления
Формулы применимы при выполнении условий
8.6.1.1 и дополнительных условий:

(8.72)
l <= 0,13L, (8.73)
где l - расстояние между шпангоутами.
Критическое давление

(8.74)
где Jxl - момент инерции сечения шпангоута с прикрепленным к нему участком оболочки длиной l.
Давление начала текучести

(8.75)
где Aш - площадь сечения шпангоута.
Допускаемое наружное давление определяется как

(8.76)
где

- поправочный коэффициент;

.
Устойчивость цилиндрической оболочки обеспечена, если выполняется условие
pa <= [pa]. (8.77)
8.6.1.12 Для вычисления
pkr,

допускается использовать численные методы, например, МКЭ.
8.6.2 Расчет в упругопластической постановке
Расчетом компонента конструкции в упругопластической постановке должно быть показано, что критический уровень комплекса нагрузок, при котором достигается предельное состояние, превышает действующий на компонент конструкции уровень нагрузок в рассматриваемом режиме не менее чем в два раза.
Расчет следует проводить с использованием фактических размеров (измеренных значений) с учетом возможного утонения в последующий период эксплуатации.
Отклонения геометрических размеров конструкции от проектных должны быть отражены в расчетных схемах.
8.7 Расчет на сопротивление разрушению
8.7.1 Выбор постулируемого дефекта
Выбор постулируемого дефекта с целью оценки сопротивления разрушению на стадии эксплуатации проводят в соответствии с требованиями настоящего стандарта по расчету конкретных компонентов конструкций либо технических решений.
В качестве постулируемого дефекта необходимо принимать поверхностную полуэллиптическую трещину глубиной a = 0,25s (s - толщина стенки) с соотношением полуосей a/c = 2/3 (c - полудлина трещины).
8.7.2 Оценка прочности
8.7.2.1 Сопротивление хрупкому разрушению обеспечивается, если выполняется следующее условие:
KI <= [KI]. (8.78)
Зависимость [
Kl] от [
T -
Tk], где
Tk - критическая температура хрупкости материала, получается как огибающая двух кривых, определяемых по исходной температурной зависимости
KlC. Одна из этих кривых получается делением ординат исходной кривой на коэффициент запаса
nk; другая - смещением исходной кривой вдоль оси абсцисс на значение температурного запаса

. Методика расчета критической температуры хрупкости
Tk приведена в
подразделе 5.8 [3].
Значения коэффициентов запаса
nk и температурного запаса

для различных режимов нагружения элемента (компонента) приведены в
таблице 8.8.
Таблица 8.8
Режим | nk |  , °C |
НУЭ | 2 | 30 |
ННУЭ | 1,5 | 30 |
УИ | 1,5 | 30 |
УПА | 1,0 | 0 |
Примечание - Категории режимов применяют в соответствии с проектом блока АС. |
Для вычисления значений КИН допускается использовать численные методы, например МКЭ. Допускается определять КИН для компонентов с различным расположением постулируемого дефекта по зависимостям, приведенным в
приложении Д.
8.7.2.2 Если для оценки сопротивления хрупкому разрушению используется J-интеграл, то сопротивление хрупкому разрушению обеспечено, если выполняется условие
J <= [J], (8.79)
где

- допускаемое значение
J-интеграла.
Значения коэффициентов запаса
nJ для различных режимов нагружения элемента (компонента) приведены в
таблице 8.9.
Таблица 8.9
Значения коэффициента запаса
nJ
Режим | nJ | Режим | nJ |
НУЭ | 4,0 | УИ | 2,3 |
ННУЭ | 2,3 | УПА | 1,0 |
Примечание - Категории режимов применяют в соответствии с проектом блока АС. |
8.7.2.3 Расчет на сопротивление хрупкому разрушению допускается не проводить для элементов, не подвергающихся нейтронному облучению (или подвергающихся облучению при температурах 250 °C - 350 °C до переноса не более 1022 нейтрон/м2 с энергией E >= 0,5 МэВ), в следующих случаях:
- элементы изготовлены из коррозионно-стойких сталей аустенитного класса;
- материалы элементов (включая сварные соединения) имеют предел текучести при температуре 20 °C менее 300 МПа, а толщины стенок элемента составляют не более 25 мм;
- материалы элементов (включая сварные соединения) имеют предел текучести при температуре 20 °C менее 600 МПа, а толщины стенок элемента составляют не более 16 мм.
8.8 Расчет на сопротивление прогрессирующему формоизменению
8.8.1 Общие положения
8.8.1.1 При расчете на сопротивление прогрессирующему формоизменению проверяется выполнение условия прочности для всех расчетных нагрузок, указанных в
8.1.2, применительно к режиму нагружения НУЭ.
8.8.1.2 Компоненты конструкции удовлетворяют требованию по сопротивлению прогрессирующему формоизменению, если удовлетворены требования
8.8.2 либо
8.8.3.
8.8.1.3 Расчет на сопротивление прогрессирующему формоизменению не проводится для болтов и шпилек.
8.8.2 Расчет в упругой постановке
Максимальное значение размаха приведенных напряжений

в режиме НУЭ не должно превышать минимального из значений

и

.
8.8.3 Расчет в упругопластической постановке
8.8.3.1 Методами упругопластического расчета должно быть продемонстрировано, что после нескольких циклов нагружения произошла приспособляемость материала компонента конструкции, т.е. отсутствует дальнейшее циклическое накопление пластических деформаций во всех точках компонента конструкции.
8.8.3.2 Линеаризованная по толщине стенки накопленная главная пластическая деформация

не должна превышать 1,5%.

определяется как первая главная деформация тензора, компоненты которого вычисляют по формуле

(8.80)
где

- компонента

тензора пластических деформаций.
8.9 Расчет на циклическую прочность
8.9.1 Расчет на циклическую прочность без учета влияния среды
8.9.1.1 Метод расчета на циклическую прочность применим для деталей из сталей перлитного класса (углеродистых, легированных хромомолибденовых, легированных хромомолибденванадиевых), хромоникелевых коррозионно-стойких сталей аустенитного класса и железоникелевых сплавов.
8.9.1.2 Определение допускаемого числа циклов по заданным амплитудам условных упругих напряжений или допускаемых амплитуд условных упругих напряжений для заданного числа циклов проводится:
а) по расчетным кривым усталости, характеризующим в пределах их применения зависимость между допускаемыми амплитудами условных упругих напряжений и допускаемыми числами циклов;
б) по формулам, связывающим допускаемые амплитуды условных упругих напряжений и допускаемые числа циклов (уточненный расчет).
8.9.1.3 Амплитуда условного упругого напряжения не должна превышать допускаемую амплитуду напряжения

, получаемую для заданного числа циклов
N и приведенного истинного напряжения цикла

.
Если заданы амплитуда условного упругого напряжения и приведенное истинное напряжение цикла, то эксплуатационное число циклов
N не должно превышать допускаемого числа циклов [
N0]. Если процесс нагружения состоит из ряда циклов, характеризуемых амплитудами напряжений

, приведенными напряжениями

и соответствующими числами циклов
Ni, то должно выполняться условие прочности по накопленному усталостному повреждению.
8.9.1.4 Для сталей перлитного класса (углеродистых) в интервале температур от 20 °C до 350 °C при значениях

,

,

,
ZT >= 30% и
ET >= 180 ГПа, расчетная кривая усталости приведена на
рисунке 8.5.
Рисунок 8.5 - Расчетная кривая усталости сталей перлитного
класса (углеродистых) при

,

,

,
ZT >= 30% и
ET >= 180 ГПа до
T = 350 °C
Для сталей перлитного класса (легированных хромомолибденванадиевых) в интервале температур от 20 °C до 350 °C при значениях

,

,

,
ZT >= 45% и
ET >= 200 ГПа, расчетная кривая усталости приведена на
рисунке 8.6.
Рисунок 8.6 - Расчетная кривая усталости для сталей
перлитного класса (хромомолибденванадиевых)
ZT >= 45% и ET >= 200 ГПа до T = 350 °C
Для сталей перлитного класса (углеродистых) в интервале температур от 20 °C до 350 °C при значениях

,

,

,
ZT >= 38% и
ET >= 175 ГПа расчетная кривая усталости приведена на
рисунке 8.7.
Рисунок 8.7 - Расчетная кривая усталости для сталей
перлитного класса (углеродистых) при

,

,

,
ZT >= 38% и
ET >= 175 ГПа
до T = 350 °C
Для сталей перлитного класса (легированных хромомолибденовых) в интервале температур от 20 °C до 350 °C при значениях

,

,

,
ZT >= 30% и
ET >= 190 ГПа расчетная кривая усталости приведена на
рисунке 8.8.
Рисунок 8.8 - Расчетная кривая усталости для сталей
перлитного класса (легированных хромомолибденовых)
ZT >= 30% и ET >= 190 ГПа до T = 350 °C
Для высоколегированных хромоникелевых коррозионно-стойких сталей аустенитного класса в интервале температур от 20 °C до 350 °C при значениях

,

,

,
ZT >= 40% и
ET >= 175 ГПа расчетная кривая усталости приведена на
рисунке 8.9.
Рисунок 8.9 - Расчетная кривая усталости
для коррозионно-стойких сталей аустенитного класса
ZT >= 40% и ET >= 175 ГПа до T = 350 °C
Расчетные кривые на
рисунках 8.5 -
8.9 получены с учетом

;

- график 1,

,

- график 2 и коэффициентов запаса

и
nN = 10.
8.9.1.5 Допускаемая амплитуда условного упругого напряжения для температур ниже максимальных определяется путем умножения значений

по расчетным кривым на
рисунках 8.5 -
8.9 на отношение модуля упругости при рассматриваемой температуре к модулю упругости при максимальной температуре применения соответствующей расчетной кривой (350 °C).
Допускаемую амплитуду условного упругого напряжения для модуля упругости, отличающегося от указанного значения, необходимо определять путем умножения значений

по расчетным кривым на
рисунках 8.5 -
8.9 на отношение модулей упругости.
8.9.1.6 Допускаемая амплитуда условного упругого напряжения

или допускаемое число циклов [
N0] при приведенном истинном напряжении цикла

для сталей при [
N] <= 10
12 равны минимальному значению из двух, определяемых по
формулам (8.81) и
(8.82).
Приведенное истинное напряжение цикла

определяют по диаграмме деформирования материала путем полного расчета по
8.4.4.3 или, в случае упрощенного расчета по
8.4.4.2, принимают равным местному условному упругому приведенному напряжению, рассчитанному по
формулам (8.11),
(8.12).

(8.81)
где должны быть приняты:

при

;

при

.

(8.82)
где должны быть приняты:

при

;

при

;

,
nN - коэффициенты запаса прочности по напряжениям и по числу циклов;
m, me - характеристики материала;

- характеристика прочности, принимаемая равной

(8.83)

- характеристика пластичности, зависящая от значения

, вычисляемая по формулам:

(8.84)

(8.85)
Расчет

или [
N0] с учетом максимального влияния асимметрии цикла напряжений проводят по
формулам (8.81) при

и
(8.82) при

.
При использовании данных о характеристиках механических свойств, взятых из
приложения 1 [3], при
ZT <= 50% необходимо принимать

. При
ZT > 50% необходимо принимать

.
Если характеристику пластичности

определяют по фактическому (измеренному) значению
ZT, полученному путем испытаний на статическое растяжение, то используют формулы:

(8.86)

(8.87)
Характеристики
ET,
ZT,

,

в расчетах принимают равными минимальным значениям в интервале рабочих температур с учетом старения. Коэффициент запаса прочности по напряжениям

, а по числу циклов
nN = 10.
При расчете компонентов, которые нагружены только температурными воздействиями (например, тепловые экраны и подобные детали) или температурными воздействиями и механическими нагрузками при ограничении их деформации другими упругими несущими компонентами (например, антикоррозионная наплавка), разрушение которых не приводит к выходу теплоносителя за пределы несущих компонентов, коэффициенты запаса прочности по напряжениям

и по числу циклов
nN принимают равными 1,5 и 3,0, соответственно.
При расчете с учетом эффективного коэффициента концентрации сварных соединений с неполным проплавлением, выполненных аустенитными электродами (присадочными материалами) и примененных в указанных выше компонентах, коэффициенты запаса прочности принимают равными

и
nN = 2,1, если разрушение сварных соединений не приводит к выходу теплоносителя за пределы несущего компонента конструкции.
При расчете сварных соединений с неполным проплавлением, выполненных аустенитными электродами (присадочными материалами), в указанных выше компонентах с учетом эффективного коэффициента концентрации, коэффициенты запаса прочности принимают равными

и
nN = 5,0, если разрушение сварных соединений приводит к выходу теплоносителя за пределы несущего компонента конструкции.
Показатели степени
m,
me и предел выносливости

принимают по
таблице 8.10.
Таблица 8.10
Значения показателей степени
m,
me и предела
выносливости

Если допускаемое число циклов [
N0] меньше или равно 10
6, то определение допускаемой амплитуды условного упругого напряжения

или допускаемого числа циклов [
N0] допускается проводить по
формулам (8.88) и
(8.89):

(8.88)

(8.89)
Из двух значений [
N0] или

, определенных по
формулам (8.88) и
(8.89), в качестве допускаемого выбирают наименьшее.
8.9.1.7 Значение

для сталей принимают по свойствам при минимальной температуре цикла

(8.90)
Допускается принимать Tmin = 20 °C.
8.9.1.8 Остаточное напряжение учитывают в том случае, если оно является растягивающим и в рассматриваемой зоне компонента амплитуда местного условного упругого напряжения от механических нагрузок и температурных воздействий ни при одном из типов циклов нагружения не превышает предела текучести при температуре 20 °C. Допускается принимать остаточное напряжение равным пределу текучести при температуре 20 °C.
8.9.1.9 При определении зависимости изменения напряжений в соответствии с
8.4 остаточное напряжение учитывается алгебраическим суммированием его составляющих с составляющими напряжений от эксплуатационных механических нагрузок и температурных воздействий.
В расчете нетермообработанных сварных соединений с неполным проплавлением напряжение

принимается равным пределу текучести при температуре 20 °C.
8.9.1.10 Допускаемую амплитуду напряжений для сварного соединения

исключая сварное соединение с неполным проплавлением, вычисляют по формуле

(8.91)
где

- амплитуда допускаемых условных упругих напряжений, определяемая по расчетной кривой усталости или соответствующей формуле для основного материала при заданном числе циклов;

- коэффициент, зависящий от вида сварки свариваемых материалов и термообработки после сварки

.
Значения

для ряда сварных соединений приведены в
таблице 8.11. Коэффициент

используется совместно с расчетной кривой усталости того основного материала, по отношению к которому определен

.
Для других методов сварки, сварочных и свариваемых материалов, не указанных в
таблице 8.11, значение

определяют экспериментальным путем в соответствии с требованиями
[3].
Таблица 8.11
Значения коэффициента

Основной металл | Метод сварки | Сварочный материал | Вид термообработки после сварки | |
Стали марок 20, 22К, 20К | Ручная | Электроды марок УОНИ 13/45; УОНИ 13/45А | Без термообработки; отпуск; нормализация и отпуск | 1,0 |
Электрод марки УОНИ 13/55 | Без термообработки; отпуск до 10 ч | |
Отпуск более 15 ч | 1,0 |
Автоматическая под флюсом | Сварочная проволока марок Св 08А, Св 08ГСМТ, ЭП458 | Без термообработки | 0,9 |
Отпуск | 1,0 |
Электрошлаковая | Сварочная проволока марок Св 10Г2, Св 08ГСМТ | Нормализация и отпуск; закалка и отпуск | 1,0 |
Стали марок 12Х2МФА, 15Х2МФА, 15Х2МФА-А | Ручная | Электроды марок Н 3, Н 6, Н 10 | Отпуск | 1,0 |
Автоматическая под флюсом | Сварочная проволока марок Св 10ХМФТ, Св 10ХМФТУ | Отпуск | |
Электрошлаковая | Сварочная проволока марки Св 13Х2МФТ | Закалка и отпуск | 0,8 |
Автоматическая наплавка ленточным электродом под флюсом | Электроды марок Св 07Х25Н13, Св 08Х19Н10Г2Б | Отпуск | 0,8 |
Ручная наплавка электродами | Электроды марок ЗИО 8, ЭА 898/21Б | Отпуск | 0,8 |
Стали марок 15Х2НМФА, 15Х3НМФА, 15Х2НМФА-А, 15Х3НМФА-А | Ручная | Электрод марки Н 23 | Отпуск | 1,0 |
Автоматическая под флюсом | Сварочная проволока марки Св 09ХГНМТА | Отпуск | 1,0 |
Электрошлаковая | Сварочная проволока марки Св 16Х2НМФТА | Закалка и отпуск | 1,0 |
Высоколегированные хромоникелевые стали аустенитного класса | Ручная | Электрод марки ЭА 395/9 | Без термообработки | 1,0 |
Электроды марок ЭА 400 10У, ЭА 898 21Б, ЭИО 8 | Аустенизация | 0,8 |
Аргоно-дуговая | Сварочная проволока марки Св 04Х19Н11М3 | Без термообработки; аустенизация | 1,0 |
При отсутствии экспериментальных данных о значении

могут быть использованы данные
таблицы 8.12.
Таблица 8.12
Значения коэффициента

Основной материал |  для сварного соединения |
после отпуска (аустенизации для аустенитной стали) | без отпуска |
Сталь углеродистая, кремнемаргановистая, легированная,  | 0,75 | 0,75 |
Сталь легированная  | 0,70 | 0,65 |
Сталь легированная  | 0,60 | 0,50 |
Сталь аустенитная | 0,70 | 0,60 |
8.9.1.11 При расчетах корпусов с антикоррозионной наплавкой оценку циклической прочности проводят раздельно для основного металла и металла наплавки по кривым или расчетным формулам настоящего раздела с учетом коэффициента

.
Коэффициент

для наплавок используется для расчета наплавок корпуса совместно с расчетной кривой усталости основного металла по
8.9.1.6.
Значения

для ручной сварки высоколегированной хромоникелевой стали аустенитного класса электродами марок ЭА 395/9 и ЭА 400/10У из
таблицы 8.11 можно применять при расчете разнородного сварного соединения для сталей перлитного класса со сталью аустенитного класса для слоя, наплавленного на сталь перлитного класса, с использованием расчетной кривой усталости стали аустенитного класса.
8.9.1.12 Для резьбовых участков шпилек, болтов из сталей перлитного класса (легированных хромомолибденванадиевых) и высоколегированных (высокохромистых) сталей при температурах от 20 °C до 350 °C используются расчетные кривые усталости (см.
рисунки 8.10 и
8.11), полученные с учетом максимального влияния асимметрии цикла напряжений и коэффициентов запаса

и
nN = 5,0.
Рисунок 8.10 - Расчетная кривая усталости для резьбовых
участков шпилек и болтов из сталей перлитного класса
и высоколегированных (высокохромистых) сталей
ZT >= 40% и ET >= 195 ГПа до T = 350 °C
Рисунок 8.11 - Расчетная кривая усталости для резьбовых
участков шпилек и болтов из сталей перлитного класса
(высоколегированных высокохромистых сталей)
ZT >= 40% и ET >= 195 ГПа до T = 350 °C
| | ИС МЕГАНОРМ: примечание. Текст дан в соответствии с официальным текстом документа. | |
Расчетная кривая на
рисунке 8.10 применяется при значениях:

,

,

,
ZT >= 40% и
ET >= 195 ГПа.
Расчетная кривая на
рисунке 8.11 применяется при значениях:

,

,

,
ZT >= 40% и
ET >= 195 ГПа.
8.9.1.13 Уточненный расчет резьбовых участков шпилек, болтов проводится по
формулам (8.81),
(8.82) или
(8.88),
(8.89). При этом коэффициенты запаса

и
nN принимаются равными 1,5 и 5,0 соответственно.
8.9.1.14 В тех случаях, когда низкочастотные циклические напряжения, связанные с пуском, остановом, изменением мощности, срабатыванием аварийной защиты или другими защитами, сопровождаются наложением высокочастотных напряжений, например, вызванных вибрацией, пульсацией температур при перемешивании потоков теплоносителя с различной температурой, расчет на циклическую прочность следует проводить с учетом высокочастотного напряжения.
8.9.1.15 Исходные данные о высокочастотном нагружении (амплитуда

, частота
f) получаются путем анализа результатов измерений при эксплуатации компонента конструкции или путем их расчета.
8.9.1.16 Условие прочности при наличии различных циклических нагрузок проверяется по формуле

(8.92)
где Ni - число низкочастотных циклов i-го типа за время эксплуатации;
k - общее число типов низкочастотных циклов;
[N0]i - допускаемое число низкочастотных циклов i-го типа;
a - накопленное усталостное повреждение, предельное значение которого [aN] = 1.
В общем случае
aN = {a1 + a2 + a3} <= [aN], (8.93)
где a1 - повреждение от низкочастотных циклов напряжения, на которые не наложены высокочастотные напряжения;
a2 - повреждения от высокочастотных напряжений при постоянных эксплуатационных напряжениях (стационарные режимы);
a3 - повреждения от высокочастотных напряжений в течение циклов низкочастотных напряжений на переходных эксплуатационных режимах

и при прохождении резонансных частот

в тех же циклах.
В этом случае

(8.94)
8.9.1.17 Сочетания низкочастотного циклического напряжения с амплитудой

и частотой
f0 и наложенного высокочастотного напряжения с амплитудой

и частотой
f вызывает снижение допускаемого числа циклов низкочастотного напряжения от [
N0] до [
N], вычисляемого по формуле

(8.95)
где

- коэффициент снижения долговечности при наложении высокочастотных циклов, используемых при определении повреждения

.
Для цикла низкочастотного напряжения
i-го типа повреждение

вычисляют по формуле

(8.96)
Коэффициент

независимо от степени концентрации напряжений, остаточных напряжений, максимального напряжения цикла, значения номинальных напряжений и температуры определяют по номограммам, приведенным на
рисунках 8.12 и
8.13, или вычисляется по формуле

(8.97)
где
f0 = 1/(
t1 +
t2) - частота цикла низкочастотных напряжений, определяемая без учета периода времени, в течение которого происходит наложение высокочастотных напряжений на постоянные напряжения (см.
рисунок 8.14);

- амплитуда приведенных напряжений низкочастотного цикла без учета концентрации напряжений;

- коэффициент, зависящий от материала, принимаемый по
таблице 8.13.
При отсутствии экспериментальных данных для предварительных оценок значение

применяется равным 2.
Рисунок 8.12 - Значения

для сталей перлитного класса
и их сварных соединений с

Рисунок 8.13 - Значения

для высоколегированных
хромоникелевых сталей аустенитного класса
и их сварных соединений с

Рисунок 8.14 - Форма цикла при двухчастотном нагружении
Таблица 8.13
Значения коэффициента

Вид материала | Углеродистая сталь  | Высоколегированная хромоникелевая сталь аустенитного класса  | Сталь легированная |
| |
| 1,30 | 1,54 | 1,80 | 1,90 |
8.9.1.18 Метод расчета при двухчастотном циклическом нагружении применим при выполнении всех следующих условий:
- отношение амплитуды высокочастотных напряжений

к амплитуде низкочастотных напряжений

находится в интервале

(8.98)
- абсолютное значение максимального и минимального низкочастотных напряжений при двухчастотном нагружении не превышает значения

при рассматриваемой температуре;
- отношение f/f0 не превышает 5·106;
- число высокочастотных циклов с амплитудой

в пределах времени
t1 +
t2 превышает 10 (см.
рисунок 8.14).
8.9.1.19 Если при расчете циклической прочности элемента конструкции не обеспечиваются требуемые коэффициенты запаса прочности, то оценку циклической прочности проводят на основе экспериментальных кривых усталости, полученных в соответствии с методом испытаний на усталость (
приложение 2 [3]) для рассматриваемых условий нагружения и состояния металла конструкции с учетом соответствующих коэффициентов запаса прочности

и
nN или по результатам испытаний натурных элементов или их моделей, спроектированных и изготовленных в соответствии с требованиями, предъявляемыми к штатным конструкциям.
Геометрическое подобие моделей должно быть обеспечено по крайней мере в зоне проверки циклической прочности и примыкающих к ней участков, оказывающих влияние на значение и распределение напряжений в испытуемой зоне.
Режим испытаний по характеру изменения нагрузок и температур должен соответствовать условиям эксплуатации.
Коэффициенты запаса прочности принимают по значению приведенного местного условного упругого напряжения в зоне, определяющей долговечность, или по числу циклов нагружения, или по напряжению и числу циклов одновременно.
Запасы прочности по условному напряжению и числу циклов N <= 104 вычисляют по формулам:

(8.99)
nN = 3,5 - 0,14x, (8.100)
где x - число испытанных объектов.
При этом запасы

и
nN по моменту образования трещин при циклическом нагружении натурных элементов конструкций или их моделей должны быть не ниже 1,25 и 2,1 соответственно.
Условия мало- и многоцикловых испытаний по напряжению и числу циклов при одновременном применении коэффициентов запаса

и
nN определяют с использованием расчетной кривой усталости для основного металла или сварного соединения при соответствующих асимметрии цикла нагружения и температуре. Для этого определяют наклон
m0 расчетной кривой усталости в точке с [
N0] =
Ne, где
Ne - заданное в эксплуатации число циклов. Отрезок, соединяющий точки с координатами

и

, является сочетанием эквивалентных режимов испытаний.
При испытании геометрически подобных моделей коэффициент запаса прочности по приведенному местному условному упругому напряжению вычисляют по формуле

(8.101)
где lM, lk - линейные размеры модели и натурной конструкции в испытываемой зоне.
Коэффициент запаса по числу циклов при испытании модели

(8.102)
где m0 - наклон расчетной кривой усталости.
Результаты испытаний на циклическую прочность не могут служить основанием для повышения допускаемых значений категорий напряжений, используемых при расчете на статическую прочность.
8.9.2 Расчет на циклическую прочность с учетом влияния среды
8.9.2.1 Влияние водной среды на циклическую прочность учитывается при температуре водной среды T > 150 °C.
Приведенные ниже формулы распространяются на оборудование и трубопроводы из сталей перлитного класса (углеродистых, легированных хромомолибденовых и легированных хромомолибденованадиевых) и хромоникелевых коррозионно-стойких сталей аустенитного класса, работающие при температурах до 350 °C в контакте с водной средой легководных реакторов.
Расчет с учетом влияния водной среды проводится с целью выявления потенциально опасных зон конструкции для контроля в процессе эксплуатации и при продлении срока эксплуатации.
Факторами, влияющими на циклическую прочность углеродистых и низколегированных сталей и их сварных соединений, являются:
- содержание серы в металле S;
- температура цикла T (водной среды);
- скорость деформации

в полуцикле растяжения приведенных напряжений;
- концентрация кислорода (KO) в водной среде.
Факторами, влияющими на циклическую прочность хромоникелевых коррозионно-стойких сталей аустенитного класса и их сварных соединений, являются:
- температура цикла T (водной среды);
- скорость деформации

в полуцикле растяжения приведенных напряжений;
- концентрация кислорода в водной среде.
Расчет проводят по
формулам (8.81) и
(8.82) с учетом коэффициента снижения циклической прочности в водной среде
Fpn (
Fpn >= 1).
Для условий нагружения в контакте с водной средой с различными циклическими нагрузками и наложения высокочастотных напряжений применение указаний
8.9.1.14 -
8.9.1.18 является условным и подлежит экспериментальному подтверждению.
8.9.2.2 Допускаемая амплитуда условного упругого напряжения

или допускаемое число циклов [
N0] при приведенном истинном напряжении цикла

для сталей при [
N0] <= 10
12 равны минимальному их значению из определенных по
формулам (8.103),
(8.104) и
формулам (8.81),
(8.82):

(8.103)

при

;

при

;
Fpn - коэффициент снижения циклической прочности в водной среде.

(8.104)
где

при

;

при

;

,

.
Расчет с учетом максимального влияния среднего напряжения цикла проводят по
формулам (8.81),
(8.82) при

с выполнением условий для

, где значение

определяется по
8.9.1.7.

(8.105)
meF = 0,132 lg[2,5(1 + 0,014ZF)], (8.106)
где

(8.107)
при использовании значений Z20, принятых в соответствии с документами по стандартизации;

(8.108)
при использовании фактических значений Z20.
Коэффициент Fpn вычисляют по формулам:
- для углеродистых сталей

(8.109)
- для легированных и легированных хромомолибденованадиевых сталей

(8.110)
где | S* = 0,015 при KO > 1,0 мг/кг; |
| S* = S% при KO <= 1,0 мг/кг и 0 < S <= 0,015%; |
| S* = 0,015 при KO < 1,0 мг/кг и S > 0,015%; |
| T* = T - 150 °C; | (8.111) |
| O* = 0 при KO <= 0,04 мг/кг; |
|  при 0,04 < KO <= 0,5 мг/кг; |
| O* = ln 12,5 при KO > 0,5 мг/кг; |
|  при  ; |
|  при  ; |
|  при  ; |
- для хромоникелевых коррозионно-стойких сталей аустенитного класса

(8.112)
где |  при T < 325 °C; | (8.113) |
| T* = 1 при T > 325 °C; |
| O* = 0,281 при всех значениях KO; | (8.114) |
|  при  ; |
|  при  ; |
|  при  . |
Содержание серы
S в стали перлитного класса принимают по сертификату или техническим условиям, температуру
T принимают равной максимальной температуре в полуцикле растяжения на участке изменения приведенных напряжений

, при асимметричном цикле

и

при симметричном, скорость деформаций

- равной минимальному значению в полуцикле растяжения приведенных напряжений на том же участке, что и при определении
T, концентрация кислорода
KO - равной ее максимальному значению на режимах, определяющих полуцикл растяжения.
Для сварного соединения допускаемая амплитуда напряжений равна

(8.115)
Допускаемое число циклов [
N0] для заданной амплитуды напряжений

составляет
[N0] = min[N0] (8.116)
8.9.2.3 Расчетные кривые усталости сталей перлитного класса (углеродистых и легированных хромомолибденовых, хромомолибденованадиевых) для температур до 300 °C, с учетом максимального влияния среднего напряжения цикла и водной среды, приведены на
рисунках 8.15 -
8.18. При этом принято
S >= 0,015%,
T = 300 °C,
KO <= 0,05 мг/кг,

. Механические характеристики указаны в подрисуночных подписях.
Рисунок 8.15 - Расчетная кривая усталости сталей
перлитного класса (углеродистых) при

,

,

,
ZT >= 30%,
ET >= 180 ГПа,
Z20 >= 35%, KO <= 0,05 мг/кг до T <= 300 °C
Рисунок 8.16 - Расчетная кривая усталости сталей
перлитного класса (легированных хромомолибденованадиевых)
ET >= 200 ГПа, Z20 >= 50%, KO <= 0,05 мг/кг до T <= 300 °C
Рисунок 8.17 - Расчетная кривая усталости сталей
перлитного класса (углеродистых) при

,

,

,
ZT >= 38%,
ET >= 180 ГПа,
Z20 >= 38%, KO <= 0,05 мг/кг до T <= 300 °C
Рисунок 8.18 - Расчетная кривая усталости сталей
перлитного класса (легированных хромомолибденовых)
ET >= 190 ГПа, Z20 >= 30%, KO <= 0,05 мг/кг до T <= 300 °C
Расчетная кривая хромоникелевых коррозионно-стойких сталей аустенитного класса для температуры 350 °C при значениях

,

,

,
Z20 >= 40%,
ZT >= 40% и
ET >= 175 ГПа с учетом максимального влияния среднего напряжения цикла и водной среды приведена на
рисунке 8.19. При этом принято
T = 350 °C,

.
Рисунок 8.19 - Расчетная кривая усталости хромоникелевых
коррозионно-стойких сталей аустенитного класса
ET >= 175 ГПа, Z20 >= 40%, KO <= 0,05 мг/кг до T <= 350 °C
8.10 Обоснование допускаемых к эксплуатации несплошностей, зафиксированных при неразрушающем контроле
8.10.1 Общие положения
8.10.1.1 Расчет проводят применительно к несплошностям, выявляемым при неразрушающем контроле в процессе эксплуатации в соответствии с требованиями федеральных
норм и правил в области использования атомной энергии
[5]. Несплошности характеризуются показателями, отражающими их размеры, форму и координаты.
8.10.1.2 Целью расчета является определение подрастания размеров несплошности, которая рассматривается как расчетная трещина, при заданных циклических напряжениях и числе циклов нагружения, статических напряжениях и времени их действия.
8.10.1.3 Расчет проводят методами линейной механики разрушения. Условия циклического нагружения при заданных начальных размерах расчетной трещины определяются размахом коэффициента интенсивности напряжений

, коэффициентом асимметрии цикла КИН и числом циклов
N, условия статического нагружения - коэффициентом интенсивности напряжений
Kst и длительностью нагружения
t.
8.10.1.4 Сопротивление разрушению определяется диаграммами статического и/или усталостного роста трещины, устанавливающими зависимость скорости роста трещин

или

от
Kst и/или

или

от

при заданном значении
R.
Диаграмма статического роста трещины в общем случае представляется ломаной линией, участки которой аппроксимируются уравнением

(8.117)
где
Cst,
n - характеристики материала, зависящие от условий нагружения (класс и состояние металла, температура, состав рабочей среды,
Kst, см.
таблицу 8.14).
Таблица 8.14
Значения характеристик
Cst,
n
Класс материала | Cst | n |
Хромоникелевые коррозионно-стойкие стали аустенитного класса типа 18-8 и их сварные соединения (содержание кислорода в водной среде >= 0,1 мг/кг) | 1,28·10-13 | 2,16 |
Примечание - Легированные стали типов Cr-Mo-V, Cr-Ni-Mo-V и их сварные соединения подлежат экспериментальному определению. |
Диаграмма циклического роста трещины в общем случае представляется ломаной линией, участки которой аппроксимируются уравнением

(8.118)
где
C0,
m - характеристики материала, зависящие от условий нагружения (класс и состояние металла, температура, состав рабочей среды, частота циклов,

, см.
таблицу 8.15)
При
R >= 0,75 необходимо принимать

.
Таблица 8.15
Значения характеристик
C0,
m (развитие трещин на воздухе)
Класс материала | m | C0 |
Легированные стали типов Cr-Mo-V, Cr-Ni-Mo-V и их сварные соединения | 2,7 | 2,8·10-11 |
Углеродистые стали и их сварные соединения | 3,1 | 1,5·10-11 |
Хромоникелевые коррозионно-стойкие стали аустенитного класса 18-8 и их сварные соединения | 3,3 | 5,2·10-12 |
8.10.1.5 В расчете не учитывается торможение (ускорение) роста трещин от перегрузок различного знака, а также вследствие пересечения линий сплавления сварных швов, наплавок, границ слоев в многослойных материалах.
8.10.2 Расчет кинетики трещины
8.10.2.1 Для процесса фактического эксплуатационного нагружения, рассматриваемого в хронологической последовательности в течение всего времени эксплуатации и включающего все стационарные режимы с постоянными параметрами теплоносителя и переходные режимы с переменными давлением и/или температурой теплоносителя, а также условия испытаний, определяется зависимость изменения коэффициента
K с учетом размеров, координат и ориентации трещины или ее проекций в рассматриваемой точке ее фронта. При расчете значений
K учитывается распределение главного (одного из двух, действующих в плоскости стенки) напряжения в рассматриваемой зоне конструкции, перпендикулярного к трещине или ее проекции, от эксплуатационных нагрузок и с учетом действующей по направлению рассматриваемого главного напряжения составляющей остаточного напряжения.
В зависимости от формы, расположения трещины, распределения напряжений необходимо определить значение
K. Для определения значения
K допускается использование численных методов, например МКЭ, соответствующих зависимостей из
приложения Д.
На зависимости значений K от времени в рассматриваемой точке фронта трещины, рассчитанных для начальных размеров трещины (a0, c0), выделяется ряд последовательных значений Kmin, Kmax, Kst. Рассматриваются точки фронта трещины, где происходит наибольший рост размера трещин, в результате могут быть достигнуты предельное состояние или течь.
Когда при эксплуатационном контроле поверхностная трещина выявлена методами визуального или капиллярного контроля, но не обнаруживается методом объемного неразрушающего контроля или когда трещина не обнаружена методами, применяемыми при эксплуатационном контроле, но необходимо оценить опасность появления и развития трещин, значение a0 может быть принято равным 0,25 мм (c0 = 3a0). В этом случае после определения размеров трещины a'k, c'k, определенных в результате циклического и статического нагружения при начальных размерах a0, c0 за время эксплуатации, рассмотренное в расчете, для дальнейшего анализа используют размеры ak = ak - a0, ck = ck - c0.
Далее проводится формирование циклов изменения КИН по методу, аналогичному методу формирования циклов местных напряжений при расчете на циклическую прочность. Первый тип цикла КИН с размахом

, где
Kmax 1 - наибольшее значение из всех значений
Kmax;
Kmin 1 - минимальное значение из всех значений. Последующие типы циклов (
l = 1, 2, 3, ...) с размахом

образуются таким же образом из оставшейся части зависимости КИН от времени. На хронологической зависимости
K от времени сформированные таким образом циклы располагаются в моменты времени, которым соответствуют
Kmax.
Интервалам времени статического нагружения

придается индекс

. Нагружение считается статическим длительностью

, если в пределах

значения и распределение напряжений в стенке остается постоянным. Интервалы статического нагружения при
Kst <= 0 из расчета исключаются.
В общем случае, когда происходит поворот главных площадок, непрерывность зависимости
K от времени не нарушается при смене направления, определяющего рост трещины главного напряжения, лишь изменяется расчетная проекция трещины и, следовательно, расчетные размеры трещины с учетом нового направления главного напряжения и его распределения, определяющих

,
R и рост трещины.
Критерием выбора определяющего главного напряжения в цикле или в интервале

могут служить значения

или

, определенные с учетом соответствующих

, коэффициента асимметрии
R или
Kst и размеров расчетной проекции трещины. Если напряжения, определяющие
Kmax, выходят за пределы упругости, то для уточненного расчета значения
Kmax должен быть проведен упругопластический расчет соответствующего распределения напряжений, в условиях нейтронного облучения - с учетом изменения диаграммы деформирования металла в результате облучения.
8.10.2.2 Коэффициент асимметрии l-го цикла Rl определяют по формуле

(8.119)
Для циклов нагружения, которые характеризуются
R < 0, принимается
R = 0, для циклов нагружения, которые характеризуются
R > 1, принимается

.
8.10.2.3 Расчет проводят при фиксированных значениях
R с использованием размахов КИН от времени (см.
8.10.2.1) до достижения приращения размера трещины

, после этого проводят корректировку зависимости КИН от времени для неохваченной предшествующей стадией расчета зависимости
K от времени при размерах трещины

,

. Проводят возможную корректировку значений
Rl, проверку знака
Kst на интервалах статического нагружения, а затем следующий цикл расчета до приращения размера трещины

. Эта процедура повторяется до тех пор, пока не будет исчерпана реализованная при эксплуатации история нагружения. Аналогично проводят расчет роста трещин при проверке допустимости дальнейшей эксплуатации оборудования и трубопроводов с несплошностями, обнаруженными при эксплуатационном контроле, с прогнозируемой последующей историей нагружения.
8.10.2.4 При расчете роста подповерхностных расчетных трещин переход к поверхностной расчетной трещине проводят при достижении соответствующих предельных значений размеров подповерхностной расчетной трещины.
8.10.2.5 Расчет циклического роста трещины от значения
al-1 до значения
ak при
l-м цикле проводят в соответствии с хронологией нагружения (см.
8.10.2.1) по уравнению

(8.120)
Значения характеристик
C0,
m в области

приведены в
таблице 8.15 для температур до 350 °C (

в м/цикл,

в МПа·м
1/2). При

(8.121)

(8.122)
При расчете роста трещины в сварных узлах (в основном металле и металле сварных соединений) из легированных сталей типов Cr-Mo-V и Cr-Ni-Mo-V при воздействии обескислороженной водной среды (температура до 350 °C) и содержании в металле серы S < 0,016% допускается использовать
уравнение (8.118) и данные
таблицы 8.15 для указанных сталей, увеличив значение
C0 в три раза.
При расчете циклического роста трещины в сварных узлах (в основном металле и металле сварных соединений) из легированных сталей типов Cr-Mo-V и Cr-Ni-Mo-V при воздействии кислородосодержащей водной среды или при содержании в металле серы S >= 0,016% (температура до 350 °C) используют кинетическую диаграмму усталостного разрушения, которая представляется в двойных логарифмических координатах двумя прямыми, которым соответствует
уравнение (8.118) со следующими характеристиками:
- на первом участке до точки пересечения прямых

,
C01 = 4,9·10
-17,
m1 = 7,2;
- на втором участке -

,
C02 = 1,1·10
-8,
m2 = 1,4.
При 0 <=
R <= 0,75

и

при
R > 0,75.
Для упрощенного расчета развития трещин в этих сталях и их сварных соединениях в условиях воздействия кислородосодержащей водной среды (до 350 °C) или при содержании в металле серы S > 0,016% допускается использовать данные
таблицы 8.15 для этих сталей, увеличив значение C
0 в 10 раз.
При расчете циклического роста трещин в сварных узлах (в основном металле, металле сварных соединений и наплавках) из хромоникелевых коррозионно-стойких сталей аустенитного класса типа 18-8 в условиях воздействия водной среды допускается использовать данные
таблицы 8.15 для этих сталей. При этом:
- для кислородосодержащей водной среды (вода, пар, пароводяная смесь) значение C0 необходимо увеличить в 10 раз;
- для обескислороженной водной среды (вода) значение C0 необходимо увеличить в два раза.
| | ИС МЕГАНОРМ: примечание. Текст дан в соответствии с официальным текстом документа. | |
8.10.2.6 Расчет роста трещин при статическом нагружении проводится в хронологическом порядке действия статических нагрузок от значения

до значения

в интервале

статического нагружения по уравнению

(8.123)
где a - величина, измеряемая в метрах;
Kst - величина, измеряемая в МПа·м1/2.
Значения характеристик
Cst,
n для
Kst <= 35 МПа·м
1/2 приведены в
таблице 8.14 для температур до 350 °C (

в м/с,
Kst в МПа·м
1/2) (для сталей типа 18-8 и их сварных соединений при росте трещин по типу межкристаллитного коррозионного растрескивания под напряжением). Для приближенных оценок роста поверхностной трещины при межкристаллитном растрескивании в кислородосодержащей водной среде в направлении толщины стенки (15 - 30 мм) в пришовной зоне нетермообработанных V-образных стыковых сварных соединений стабилизированной стали типа 08Х18Н10Т при температуре до 350 °C за время эксплуатации, включающее стадию образования трещины, можно использовать среднюю скорость 2,9·10
-10 м/с, а в точке фронта трещины на поверхности стенки - 6,3·10
-10 м/с.
Влияние нейтронного облучения на характеристики диаграмм разрушения не учитывается.
8.10.2.7 Расчет увеличения размеров трещин для обоснования сроков (периодичности) эксплуатационного контроля проводят с коэффициентами запаса на рост ее размеров при циклическом нагружении naN = ncN = 2m, но не более 10, при статическом нагружении nast = ncs = 1,5m, но не более 3.
8.10.2.8 Допускается расчет роста расчетной трещины для компонентов трубопроводов проводить по методике, изложенной в
ГОСТ Р 58328.
8.10.2.9 Допускается по согласованию с головной материаловедческой организацией применение других экспериментально обоснованных диаграмм коррозионно-статического и усталостного разрушения (на воздухе и в водной среде заданных параметров) или диаграмм, описываемых
уравнениями (8.117) и
(8.118) с характеристиками, отличающимися от приведенных в данном стандарте.
8.10.2.10 Определение допускаемых размеров трещиноподобных расчетных дефектов
Допускаемая глубина поверхностной (или полувысота для подповерхностной) [a] и допускаемая полудлина [c] схематизированной расчетной трещины определяются из соотношений:

(8.124)

(8.125)
где [a]l, [c]l - допускаемые размеры трещин, рассчитанные по предельным состояниям;

,

- увеличения размеров трещины при циклическом и статическом нагружении, рассчитанные в соответствии с
8.10.2.
Расчет [
a]
l, [
c]
l проводят по методике, изложенной в
8.7, в предположении равенства рассчитываемой характеристики сопротивления хрупкому разрушению ее допускаемому значению.
Дополнительно, для определенных [
a]
l, [
c]
l должно быть проверено выполнение требований по статической прочности, приведенных в
8.5, с использованием нетто-сечения компонента (т.е. за вычетом площади трещины).
При расчете на статическую прочность расчетная трещина [a]l, [c]l ориентируется и помещается в зону, наиболее опасную с точки зрения статической прочности. При этом сочетание и направление приложения эксплуатационных нагрузок должно обеспечивать наибольший консерватизм.
8.11 Расчет на сейсмические и внешние динамические воздействия
8.11.1 Методы расчета оборудования и трубопроводов АС I и II категорий сейсмостойкости, попадающих под действие федеральных
норм и правил в области использования атомной энергии
[2].
Исходными данными для расчета являются:
- сейсмическое воздействие (в частности, ПЗ и/или МРЗ) для точек опирания рассматриваемой системы в виде:
а) зависимости их движения от времени (перемещения, скорости или ускорения);
б) спектров ответа ускорений (допускается использование спектров перемещений или скоростей);
- нагрузки при эксплуатационных режимах нагружения.
8.11.2 Допускаемые перемещения (прогиб, сдвиг, смещение и т.п.) следует определять для эксплуатационных условий для оборудования и трубопроводов (выбор зазоров, недопустимые соударения, недопустимые перекосы, разуплотнение герметичных стыков и т.п.).
8.11.3 Сейсмическое воздействие на оборудование и трубопроводы должно задаваться с учетом его пространственного характера по трем поступательным направлениям (двум горизонтальным и вертикальному). Угловые составляющие сейсмического воздействия допускается не учитывать.
8.11.4 При расчете рассматриваемого оборудования и трубопроводов значения относительного вязкого демпфирования

(в % от критического) при отсутствии дополнительных данных должны быть приняты в соответствии с
таблицей 8.16.
Таблица 8.16
Характерные значения относительного вязкого демпфирования

при колебаниях оборудования и трубопроводов
Вид конструкции | Уровень расчетных напряжений  ,  |
 и/или  |  и/или  |
Сварные конструкции | 2,0 | 4,0 |
Конструкции на болтах, работающих только на растяжение (срез обеспечивает сила трения покоя) | 3,0 | 4,0 |
Конструкции на болтах, работающих на растяжение и сдвиг | 4,0 | 7,0 |
Оборудование и трубопроводные системы большого диаметра (более 300 мм) | 2,0 | 3,0 |
Оборудование и трубопроводные системы малого диаметра (не более 300 мм) | 1,0 | 2,0 |
Резервуар, частично заполненный жидкостью | 0,5 | 0,5 |
Железобетонные конструкции обычные | 4,0 | 7,0 |
Железобетонные конструкции преднапряженные | 2,0 | 5,0 |
Примечание - В интервале значений расчетных напряжений  от  до  значения  должны быть приняты по линейной интерполяции в зависимости от значения  . |
8.11.5 Расчет на сейсмопрочность протяженных элементов оборудования и трубопроводов следует выполнять с учетом возможного различия сейсмического воздействия в точках их опирания.
8.11.6 Сейсмостойкость оборудования (резервуаров), частично наполненного жидкостью, должна быть обоснована с учетом гидродинамических явлений, связанных с сейсмическими колебаниями жидкости.
8.11.7 Расчет выполняют линейно-спектральным методом (по спектрам ответа) и/или методом динамического анализа (по акселерограммам).
При расчетах по линейно-спектральному методу или динамическому методу с использованием собственных форм и частот колебаний (модальное интегрирование) должны быть определены все собственные формы, частоты которых не превышают частоту ускорения нулевого периода. Вклад высших (не определяемых явно) форм колебаний должен быть оценен по методу учета высших форм

(8.126)
где K - матрица жесткости системы;
M - матрица масс системы;
XSTAT - вклад высших форм в суммарное перемещение;
UB - вектор направляющих косинусов;
Lk - модальные коэффициенты участия;

- формы (моды) колебаний;

- максимальное ускорение основания во времени.
8.11.8 Напряжения в компонентах конструкции не должны превосходить допускаемых значений, приведенных в
таблицах 8.17 -
8.20. Значение коэффициента формы
k, используемого в
таблице 8.17, принимается равным 1,5 для пластин и 1,3 для компонентов прочей геометрической формы.
Таблица 8.17
Сочетания нагрузок и допускаемые напряжения для оборудования
и трубопроводов, за исключением болтов и шпилек
Категория сейсмостойкости | Сочетание нагрузок | Расчетная группа категорий напряжений | Допускаемое напряжение |
I | НУЭ + МРЗ | | |
| |
НУЭ + ПЗ | | |
| |
II | НУЭ + ПЗ | | |
| |
Таблица 8.18
Значения допускаемых напряжений для болтов и шпилек
Категория сейсмостойкости | Сочетание нагрузок | Расчетная группа категорий напряжений | Допускаемое напряжение |
I | НУЭ + МРЗ | | |
| |
НУЭ + ПЗ | | |
| |
II | НУЭ + ПЗ | | |
| |
Таблица 8.19
Значения допускаемых напряжений смятия

Категория сейсмостойкости | Сочетание нагрузок | Категория напряжений | Допускаемое напряжение |
I | НУЭ + МРЗ | | |
НУЭ + ПЗ | | |
II | НУЭ + ПЗ | | |
Таблица 8.20
Значения допускаемых напряжений среза
Категория сейсмостойкости | Сочетание нагрузок | Допускаемое напряжение |
для болтов и шпилек | для компонентов, кроме шпилек и болтов |
I | НУЭ + МРЗ | | |
НУЭ + ПЗ | | |
II | НУЭ + ПЗ | | |
Номинальные допускаемые напряжения

и

определяют согласно
разделу 7 в соответствии с рассматриваемой температурой конкретного компонента конструкции.
8.11.9 Расчет на циклическую прочность от сейсмических воздействий проводят с использованием кратковременных механических характеристик в соответствии с положениями
8.9.
Расчет необходимо проводить, используя максимальную амплитуду напряжений, определенную с учетом воздействий уровня ПЗ. При этом число циклов нагружения следует принимать равным 50.
Указанный расчет допускается не проводить, если суммарное повреждение от нагрузок, действующих на конструкцию без учета сейсмических воздействий, не превышает 0,8.
8.11.10 При расчете элемента (компонента) на устойчивость при сейсмических воздействиях допускаемые напряжения принимаются

при

(8.127)

при

(8.128)
8.11.11 Оценку трубопроводов по допускаемым напряжениям устойчивости допускается не проводить.
8.11.12 Оценку прочности элемента (компонента) при расчете на сочетание нагрузок нормальной эксплуатации и внешних динамических воздействий следует проводить как на сочетание нагрузок НУЭ + МРЗ.
(рекомендуемое)
РАСЧЕТ МЕСТНЫХ НАПРЯЖЕНИЙ В ОБОРУДОВАНИИ И ТРУБОПРОВОДАХ
А.1 Рекомендации по определению местных приведенных напряжений с учетом теоретических коэффициентов концентрации для сварных стыковых соединений труб
А.1.1 Определение местных приведенных напряжений с учетом концентрации 
Для сварных стыковых соединений труб местные приведенные напряжения упругого решения с учетом концентрации

выражаются для опасных с точки зрения прочности точек на поверхности трубы формулами:

(А.1)

(А.2)

(А.3)
где

- осевые напряжения в опасной точке без учета концентрации;

- окружные напряжения в опасной точке без учета концентрации;

,

- теоретические коэффициенты концентрации осевых и окружных напряжений;
r,
z,

- соответственно, радиальное, осевое и окружное напряжения цилиндрической системы координат.
Учет воздействия давления p на поверхность стыкового соединения

(А.4)

(А.5)
При определении значений местных напряжений

и

необходимо учитывать влияние фактических геометрических параметров сварного стыка труб (смещения срединных поверхностей труб, усиления сварного шва и др.). При отсутствии данных о реальной геометрии стыка необходимо ориентироваться на сочетание размерных параметров, определяющих наиболее опасную ситуацию, и их допускаемых отклонений, определяемых конструкторской документацией.
Значения коэффициентов

и

необходимо выбирать в соответствии с рекомендациями
А.1.2.
При превышении местным напряжением с учетом концентрации

границ упругого деформирования необходимо выполнить корректировку (упрощенный упругопластический расчет) в соответствии с требованиями
8.4. Тем самым будут определены условные упругие напряжения с учетом концентрации

.
Приведенные ниже рекомендации по значениям теоретических коэффициентов концентрации напряжений для кольцевых стыковых соединений труб относятся к одностороннему кольцевому поперечному сварному стыковому соединению цилиндрических труб, показанному на
рисунке А.1.
s', s" - толщины стенок труб; e, g - ширина и высота
усиления шва; e1, g1 - ширины и высота выпуклости корня шва
(обратного валика);

,

- наружное и внутреннее
смещение кромок; u - глубина вогнутости корня шва;
А', А", Б', Б", В - точки соединения
Рисунок А.1 - Сварное стыковое соединение труб
Значения указанных геометрических параметров сварного стыка труб необходимо принимать по результатам измерений. При отсутствии данных о реальной геометрии стыка необходимо ориентироваться на сочетание размерных параметров, определяющих наиболее опасную ситуацию, и их допускаемых отклонений, определяемых конструкторской документацией.
А.1.2 Теоретический коэффициент концентрации осевых напряжений 
А.1.2.1 Приведены рекомендации по определению

в опасных с точки зрения прочности точках соединения А
', А
", Б
', Б
" и В, изображенных на
рисунке А.1. Значения радиуса скругления
rc в этих точках необходимо принимать равными фактическим. При отсутствии данных о фактических значениях для точек А
', А
", Б
', Б
" допускается использовать формулу

(А.6)
где

- максимальное значение временного сопротивления материала за все время эксплуатации, МПа.
А.1.2.2 Место перехода от усиления шва к основному металлу:
для точки А'

(А.7)
для точки А"

(А.8)
А.1.2.3 Место перехода от обратного валика шва к основному металлу:
для точки Б'

(А.9)
для точки Б"

(А.10)
А.1.2.4 Вогнутость корня шва с внутренней стороны сварного соединения
При наличии вогнутости корня шва с внутренней стороны сварного соединения необходимо вместо концентрации в точках Б
' и Б
", вызываемой переходом от обратного валика к основному металлу и рассмотренной в
А.1.2.3, учитывать концентрацию напряжений от вогнутости в точке В.
Следует учитывать фактическую форму вогнутости и использовать соответствующие ей формулы для теоретического коэффициента концентрации осевых напряжений

.
При отсутствии необходимых данных допускается использовать формулу

(А.11)
где u - максимальная глубина вогнутости, допускаемая конструкторской документацией;
s - минимальная толщина стенки труб сварного соединения.
А.1.3 Теоретический коэффициент концентрации окружных напряжений 
Теоретический коэффициент концентрации окружных напряжений вычисляют по формуле

(А.12)
где

- коэффициент Пуассона.
(рекомендуемое)
ПРОЦЕДУРА ПРИВЕДЕНИЯ РАСПРЕДЕЛЕНИЯ НАПРЯЖЕНИЙ ОБЩЕГО ВИДА
К ЭКВИВАЛЕНТНОМУ ПОСТОЯННОМУ И ЛИНЕЙНО
ИЗМЕНЯЮЩЕМУСЯ РАСПРЕДЕЛЕНИЮ
Б.1 Общие положения
Линеаризация распределения напряжений общего вида проводится либо по всему сечению, либо по толщине стенки (т.е. вдоль линии). Примеры выбора ЛП приведены на
рисунке Б.1.
| | ИС МЕГАНОРМ: примечание. Текст дан в соответствии с официальным текстом документа. | |
Рисунок Б.1 - Пример выбора СП и Л
Напряженное состояние в каждой точке СП и ЛП характеризуется тензором напряжений

. Целью процедуры линеаризации является нахождение эквивалентного с точки зрения главного вектора силы и главного вектора момента линейного распределения напряжений по СП или ЛП.
Б.2 Линеаризация по сечению приведения
Если СП - плоское, то напряженное состояние в каждой точке сечения можно представить как сумму тензоров средних, изгибных и нелинейных составляющих напряжений

. При этом величины
a и
b, характеризующие среднюю (мембранную) и изгибную составляющие напряжений постоянны для всех точек СП

(Б.1)
где a и b - коэффициенты, характеризующие изгибную и среднюю (мембранную) составляющие (постоянны для всех точек СП);
x - расстояние от центральной оси, относительно которой происходит общий изгиб СП.
Тензор средних напряжений

- тензор, компоненты которого постоянны и равны

(Б.2)
где A - площадь СП.
Тензор изгибных напряжений

- тензор, компоненты которого линейно изменяются по сечению и равны

(Б.3)
где

- момент инерции СП относительно центральной оси.
Тензор нелинейных напряжений

определяется как тензор, компоненты которого равны разнице составляющих тензоров

и

.
Б.3 Линеаризация по линии приведения
Напряженное состояние

в каждой точке, лежащей на ЛП, также представляется (см.
рисунок Б.2) как сумма тензоров средних, изгибных и нелинейных составляющих напряжений

. При этом величины, характеризующие мембранную и изгибную составляющие напряжений постоянны для всех точек ЛП

(Б.4)
где a и b - коэффициенты, характеризующие изгибную и мембранную составляющие;
x - расстояние от срединной поверхности до рассматриваемой точки, лежащей на ЛП.
1 - компонент тензора напряжений; 2 - изгибная составляющая
компонента тензора напряжений; 3 - мембранная составляющая
компонента тензора напряжений; 4 - линия приведения
Рисунок Б.2 - Разделение суммарных напряжений на среднюю,
изгибную и нелинейную составляющие для ЛП
Тензор средних напряжений

- тензор, компоненты которого постоянны и равны:

(Б.5)
где s - длина ЛП.
Тензор изгибных напряжений

- тензор, компоненты которого линейно изменяются по сечению и равны:

(Б.6)
где x - расстояние от точки, лежащей на ЛП, до срединной поверхности.
На концах ЛП изгибные напряжения принимают значения:

(Б.7)
Составляющие тензора

определяются как

(Б.8)
Компоненты тензоров напряжений алгебраически суммируются с последующим определением в соответствии с используемой теорией расчета приведенных напряжений средних и средних плюс изгибных (линейных) приведенных напряжений для последующей проверки прочности по соответствующим допускаемым напряжениям.
(рекомендуемое)
РЕКОМЕНДАЦИИ ПО ПРОВЕДЕНИЮ
ПОЛНОГО УПРУГОПЛАСТИЧЕСКОГО РАСЧЕТА
ЦИКЛИЧЕСКОЙ ПРОЧНОСТИ
При проведении полного упругопластического расчета циклической прочности рекомендуется:
- материал компонентов принимать изотропным;
- в качестве условия начала текучести использовать условие Мизеса;
- в качестве теории пластичности материала использовать теорию пластического течения;
- использовать кинематическую модель деформирования материала либо модель Шабоша (Chaboche).
(справочное)
ПРИМЕР ФОРМИРОВАНИЯ РАСЧЕТНЫХ ЦИКЛОВ НАПРЯЖЕНИЙ
ПО МЕТОДУ ТЕНЕЙ
В настоящем приложении приведен пример формирования расчетных циклов нагружения в соответствии с требованиями
8.4.5.
Порядок формирования расчетных циклов проиллюстрирован ниже для истории нагружения, определяемой графиками изменения условных упругих приведенных напряжений

,

,

, показанными на
рисунке Г.1.
Рисунок Г.1 - Пример анализа полной истории нагружения.
Исходные графики изменения напряжений
Поскольку исходные графики незамкнуты (что может являться следствием одностороннего накопления деформаций в условиях пластичности), то они искусственно замыкаются введением соответствующих фиктивных участков на интервале времени от tm до tф (на рисунках эти участки показаны пунктиром).
Возрастающие участки графиков образуют при первом основном освещении пятна тени, показанные на
рисунке Г.2. Выбирается пятно с максимальным размахом; оно возникает на графике для

и имеет размах 6000 МПа. Освещение убывающих участков этого графика дает такое же пятно тени. По этому пятну из двух парных расчетных полуциклов формируется 1-й расчетный цикл, имеющий минимальное напряжение минус 3000 МПа и максимальное - 3000 МПа. Тонким пунктиром на
рисунке Г.2 показано дополнительное парное освещение участков (местами вспомогательное освещение совпадает с основным).
Рисунок Г.2 - Пример анализа полной истории нагружения.
Формирование 1-го расчетного цикла напряжений
На
рисунке Г.3 показаны оставшиеся участки графиков после того, как из графика для

были удалены части, освещенные основным парным освещением, а из двух других графиков удалены части, освещенные дополнительным парным освещением и соответствующие по времени удаленным частям графика

.
Рисунок Г.3 - Пример анализа полной истории нагружения.
Формирование 2-го расчетного цикла напряжений
При втором основном парном освещении этих оставшихся возрастающих участков максимальное пятно возникает на графике для

и имеет размах 6000 МПа. Такое же пятно возникает при освещении убывающих участков этого графика и определяет 2-й расчетный цикл с напряжениями: минимальным - 0 МПа и максимальным - 5000 МПа.
Поскольку после выполнения дополнительного освещения и удаления освещенных участков никаких других участков на графиках не остается, то процесс формирования расчетных циклов на этом завершается.
При необходимости для снижения консерватизма может быть учтено введенное фиктивное нагружение, замыкающее исходные графики изменения напряжений. Для данного примера максимальный размах имеет фиктивный полуцикл, введенный на графике

(см.
рисунок Г.1). Поэтому расчетный фиктивный полуцикл имеет параметры: минимальное напряжение - минус 2000 МПа; максимальное напряжение - 0 МПа.
Результат: для графиков изменения условных упругих приведенных напряжений

,

,

, показанных на
рисунке Г.1, сформированы следующие расчетные циклы:
- 1-й расчетный цикл: минимальное напряжение - минус 3000 МПа; максимальное напряжение - 3000 МПа;
- 2-й расчетный цикл: минимальное напряжение - 0 МПа; максимальное напряжения - 5000 МПа;
- фиктивный расчетный полуцикл (используется при необходимости): минимальное напряжение - минус 2000 МПа; максимальное напряжение - 0 МПа.
(справочное)
ОПРЕДЕЛЕНИЕ КОЭФФИЦИЕНТОВ ИНТЕНСИВНОСТИ НАПРЯЖЕНИЙ
Д.1 Общие положения
Расчет КИН проводят по формуле

(Д.1)
где Y - коэффициент формы;

- напряжение, приведенное к равномерному, МПа;
a - размер трещины (малая полуось эллиптической или полуэллиптической трещины), мм.
Значения коэффициента формы и приведенного напряжения вычисляют в зависимости от типа трещины и точки ее контура.
Д.2 Подповерхностные эллиптические трещины
Д.2.1 Формулы для экспресс-оценки КИН
Коэффициент формы вычисляют по формуле

(Д.2)
где a <= c, a <= 9h, h + a <= s/2;
c - большая полуось;
h - глубина расположения трещины;
s - толщина компонента конструкции.
Для ближайшей к свободной поверхности точки
A контура трещины (см.
рисунок Д.1)

(Д.3)
Рисунок Д.1 - Подповерхностная эллиптическая трещина
Для дальней от свободной поверхности точки C

(Д.4)
При равномерном по толщине распределении напряжений


(Д.5)
При линейно изменяющемся по толщине компонента конструкции распределении напряжений, приведенное напряжение в точках A и C вычисляют по формулам:

(Д.6)

(Д.7)
При близком к параболическому закону изменения напряжений по координате x

(Д.8)

(Д.9)
Д.2.2 Формулы для уточненного расчета при произвольном распределении напряжений
Коэффициент формы вычисляют по формуле

(Д.10)
При a <= c, a <= 9h, h + a <= s/2

(Д.11)

(Д.12)
При распределении напряжений, заданном в виде полинома по координате
x' =
x - (
h +
a) на участке
-a <=
x' <=
a (

- напряжение в любой характерной точке)

(Д.13)
Значения

и

вычисляют по формулам:

(Д.14)

(Д.15)
где
Ai,
Bi - коэффициенты, устанавливаемые по
таблице Д.1.
Таблица Д.1
i | Ai | Bi | Ci | Di | Ei | Fi |
1 | 0,500 | 0,167 | 0,608 | 0,111 | -0,282 | 0,177 |
2 | 0,500 | 0,100 | 0,469 | 0,131 | -0,319 | 0,067 |
3 | 0,375 | 0,139 | 0,393 | 0,136 | -0,313 | 0,035 |
4 | 0,375 | 0,104 | 0,345 | 0,134 | -0,301 | 0,022 |
5 | 0,313 | 0,123 | 0,311 | 0,131 | -0,288 | 0,015 |
6 | 0,313 | 0,100 | 0,285 | 0,128 | -0,275 | 0,011 |
7 | 0,273 | 0,113 | 0,265 | 0,125 | -0,263 | 0,008 |
8 | 0,273 | 0,097 | 0,248 | 0,122 | -0,252 | 0,006 |
Для распределений напряжений

, заданных в произвольной форме (аппроксимирующая функция или несколько функций на различных участках оси
x, таблица и т.д., см.
рисунок Д.2), вычисляется координата
xj =
h +
aj/10, где
j = 0, 1, 2, ..., 20.
Рисунок Д.2 - Распределение напряжений в зоне трещины
В каждой точке
xj определяется напряжение

.
Значения

и

вычисляют по формулам:

(Д.16)

(Д.17)
Таблица Д.2
i | Aj | Bj | Cj | Dj | Ej | Fj |
0 | 0,1888 | 0,0843 | 0,0189 | -0,0085 | 0,0278 | 0,270 |
1 | 0,1538 | 0,0433 | 0,0373 | -0,0165 | 0,0548 | 0,198 |
2 | 0,0972 | 0,0136 | 0,0370 | -0,0160 | 0,0510 | 0,112 |
3 | 0,0764 | 0,0036 | 0,0368 | -0,0155 | 0,0472 | 0,080 |
4 | 0,0640 | -0,0018 | 0,0367 | -0,0149 | 0,0431 | 0,062 |
5 | 0,0533 | -0,0050 | 0,0366 | -0,0142 | 0,0390 | 0,050 |
6 | 0,04487 | -0,0073 | 0,0367 | -0,0134 | 0,0347 | 0,041 |
7 | 0,0434 | -0,0088 | 0,0368 | -0,0125 | 0,0303 | 0,035 |
8 | 0,0390 | -0,0099 | 0,0371 | -0,0115 | 0,0257 | 0,029 |
9 | 0,0352 | -0,0106 | 0,0376 | -0,0105 | 0,0207 | 0,025 |
10 | 0,0319 | -0,0111 | 0,0382 | -0,0093 | 0,0155 | 0,021 |
11 | 0,0288 | -0,0113 | 0,0391 | -0,0080 | 0,0100 | 0,018 |
12 | 0,0260 | -0,0114 | 0,0402 | -0,0063 | 0,0042 | 0,015 |
13 | 0,0234 | -0,0114 | 0,0418 | -0,0045 | -0,0023 | 0,012 |
14 | 0,0208 | -0,0110 | 0,0438 | -0,0020 | -0,0094 | 0,010 |
15 | 0,0184 | -0,0106 | 0,0466 | 0,0010 | -0,0175 | 0,008 |
16 | 0,0159 | -0,0100 | 0,0507 | 0,0051 | -0,0273 | 0,006 |
17 | 0,0134 | -0,0092 | 0,0571 | 0,0108 | -0,0405 | 0,004 |
18 | 0,0134 | -0,0079 | 0,0685 | 0,0209 | -0,0595 | 0,003 |
19 | 0,0106 | -0,0058 | 0,1022 | 0,0477 | -0,0948 | 0,001 |
20 | 0,0019 | -0,0017 | 0,1203 | 0,0781 | -0,1527 | 0,000 |
Коэффициент формы и приведенное напряжение для точки D контура трещины допускается рассчитывать по следующим формулам:

(Д.18)

(Д.19)
Д.3 Подповерхностные полуэллиптические и угловые четвертьэллиптические трещины
Д.3.1 Формулы для экспресс-оценки КИН
Коэффициент формы вычисляют по формуле

(Д.20)
При
a <=
c,
a <= 0,7
s, где для полуэллиптической трещины [см.
рисунок Д.3 б)]

(Д.21)

(Д.22)
Для четвертьэллиптической (угловой) трещины [см.
рисунок Д.3 в)]

(Д.23)

(Д.24)
При равномерном распределении напряжений [см.
рисунок Д.3 а)]

(Д.25)

(Д.26)
Рисунок Д.3 - Параметры трещины и распределение напряжений
в зоне трещины
При линейно изменяющемся по толщине компонента конструкции распределении напряжений приведенное напряжение для точек C и D полуэллиптической или угловой трещины вычисляют по формулам:

(Д.27)

(Д.28)
При нелинейном законе изменения напряжений по координате x приведенное напряжение для полуэллиптической или угловой трещины вычисляют по формулам:

(Д.29)

(Д.30)
Д.3.2 Уточненный расчет КИН для поверхностной полуэллиптической трещины при произвольном распределении напряжений
Коэффициент формы вычисляют по формуле

(Д.31)
при a <= c, a <= 0,7s,

(Д.32)

(Д.33)
При распределении напряжений, заданном в виде полинома по координате
x на участке 0 <=
x <=
a (

- напряжение в любой характерной точке)

(Д.34)
Значения

и

вычисляют по формулам:

(Д.35)

(Д.36)

(Д.37)
где коэффициенты
Ci,
Di,
Ei,
Fi определяют по
таблице Д.1.
Для распределения напряжений, заданных в произвольной форме, вычисляют координату
xj =
aj/20, где
j = 0, 1, 2, ..., 20. В каждой точке
xj (см.
рисунок Д.4) определяют напряжение

.
Рисунок Д.4 - Параметры трещины и распределение напряжений
в зоне трещины
Значения

и

вычисляют по формулам:

(Д.38)

(Д.39)
где коэффициенты
Cj,
Dj,
Ej,
Fj определяют по
таблице Д.2.
Д.3.3 Расчет КИН по контуру полуэллиптической трещины
Для расчета КИН в произвольной точке
A' фронта трещины (см.
рисунок Д.5) с относительной глубиной
a/
s <= 1,25(
a/
c + 0,6) при соотношении полуосей 0 <
a/
c <= 0,2 и
a/
s < 1 при 0,2 <
a/
c <= 2 используют следующие формулы:

(Д.40)
M1 = 1,13 - 0,09a/c;

- угол, характеризующий точку контура трещины.
Рисунок Д.5 - Параметры трещины
Приведенное напряжение при a/c <= 1 для линейного распределения напряжений по толщине стенки вычисляют по формуле

или (Д.41)

(Д.42)
где

- напряжение от продольного усилия
P;

- напряжение от изгибающего момента
M;

;
d = 0,2 + a/c + 0,6a/s;
HD = 1 - 0,34a/S - 0,11·(a/c)·(a/s);
HC = 1 + G1a/s + G2·(s)2;
G1 = -1,22 - 0,12a/c;
G2 = 0,55 - 1,05·(a/c)0,75 + 0,47·(a/c)1,5.

;
M2 = 0,2·(c/a)4;
M3 = -0,11·(c/a)4;

;

;

.
Значение H при 1 <= a/c <= 2 вычисляют по формулам:
d = 0,2 + c/a + 0,6a/s;
HD = 1 + G11a/s + G12·(a/s)2;
HC = 1 + G21a/s + G22·(s)2;
G11 = -0,04 - 0,41c/a;
G12 = 0,55 - 1,93·(c/a)0,75 + 1,38·(c/a)1,5;
G21 = -2,11 + 0,77c/a;
G22 = 0,55 - 0,72·(c/a)0,75 + 0,14·(c/a)1,5.
При распределении напряжений, заданном в виде полинома третьей степени по координате
x на участке 0 <=
x <=
a (

- напряжение в любой характерной точке)

(Д.43)
Y = fQ, (Д.44)

(Д.45)
Таблица Д.3
Значения коэффициентов
Gi
G | | a/c = 0,2 | a/c = 0,4 | a/c = 1 |
a/S | a/S | a/S |
0,2 | 0,5 | 0,8 | 0,2 | 0,5 | 0,8 | 0,2 | 0,5 | 0,8 |
G0 | 0 | 0,611 | 0,816 | 1,262 | 0,784 | 0,965 | 1,283 | 1,150 | 1,247 | 1,400 |
0,25 | 0,748 | 0,967 | 1,382 | 0,818 | 0,979 | 1,222 | 1,076 | 1,148 | 1,233 |
0,50 | 0,958 | 1,240 | 1,670 | 0,951 | 1,112 | 1,287 | 1,039 | 1,090 | 1,106 |
0,75 | 1,090 | 1,432 | 1,840 | 1,051 | 1,220 | 1,372 | 1,025 | 1,068 | 1,090 |
1,00 | 1,134 | 1,498 | 1,861 | 1,086 | 1,258 | 1,388 | 1,021 | 1,062 | 1,086 |
G1 | 0 | 0,080 | 0,145 | 0,275 | 0,127 | 0,185 | 0,275 | 0,200 | 0,229 | 0,268 |
0,25 | 0,208 | 0,278 | 0,400 | 0,248 | 0,301 | 0,371 | 0,362 | 0,384 | 0,406 |
0,50 | 0,426 | 0,519 | 0,646 | 0,445 | 0,498 | 0,549 | 0,543 | 0,559 | 0,558 |
0,75 | 0,609 | 0,726 | 0,866 | 0,612 | 0,670 | 0,728 | 0,671 | 0,686 | 0,701 |
1,00 | 0,680 | 0,807 | 0,948 | 0,676 | 0,736 | 0,800 | 0,717 | 0,733 | 0,756 |
G2 | 0 | 0,023 | 0,055 | 0,113 | 0,044 | 0,073 | 0,112 | 0,075 | 0,089 | 0,104 |
0,25 | 0,076 | 0,110 | 0,165 | 0,098 | 0,124 | 0,155 | 0,154 | 0,165 | 0,174 |
0,50 | 0,239 | 0,285 | 0,342 | 0,258 | 0,284 | 0,306 | 0,334 | 0,341 | 0,338 |
0,75 | 0,432 | 0,491 | 0,561 | 0,443 | 0,472 | 0,504 | 0,514 | 0,522 | 0,531 |
1,00 | 0,518 | 0,583 | 0,662 | 0,526 | 0,556 | 0,596 | 0,589 | 0,597 | 0,615 |
G3 | 0 | 0,010 | 0,029 | 0,060 | 0,022 | 0,038 | 0,059 | 0,038 | 0,046 | 0,054 |
0,25 | 0,032 | 0,052 | 0,082 | 0,045 | 0,060 | 0,077 | 0,076 | 0,082 | 0,086 |
0,50 | 0,147 | 0,173 | 0,205 | 0,162 | 0,177 | 0,188 | 0,219 | 0,223 | 0,219 |
0,75 | 0,334 | 0,369 | 0,411 | 0,348 | 0,364 | 0,384 | 0,417 | 0,421 | 0,427 |
1,00 | 0,431 | 0,470 | 0,522 | 0,442 | 0,460 | 0,488 | 0,513 | 0,516 | 0,530 |
Д.3.4 Расчет КИН по контуру угловой (четвертьэллиптической) трещины
Для расчета КИН в произвольной точке A' фронта трещины с относительной глубиной a/S < 1, при 0,2 <= a/S <= 2 используют следующие формулы:

(Д.46)
M1 = 1,08 - 0,03a/c;

;
M3 = -0,5 + 0,25·(a/c) + 14,8·(1 - a/c)15;

;

;

;

- угол, характеризующий точку контура трещины (см.
рисунок Д.6).
Рисунок Д.6 - Параметры трещины
Приведенное напряжение при a/c <= 1 для линейного распределения напряжений по толщине стенки определяется по формуле

или (Д.47)

(Д.48)
где

- напряжение от продольного усилия
P;

- напряжение от изгибающего момента
M;

;
d = 0,2 + a/c + 0,6a/S;
HD = 1 - 0,34a/S - 0,11·(a/c)·(a/S);
HC = 1 + G1a/S + G2·(a/S)2;
G1 = -1,22 - 0,12a/c;
G2 = 0,64 - 1,05·(a/c)0,75 + 0,47·(a/c)1,5.

;
M2 = 0,375·(c/a)2;
M3 = -0,25·(c/a)2;

;

;

.
Значение H при 1 <= a/c <= 2 вычисляют по формулам:
d = 0,2 + c/a + 0,6a/S;
HD = 1 + G11a/S + G12·(a/S)2;
HC = 1 + G21a/S + G22·(S)2;
G11 = -0,04 - 0,41c/a;
G12 = 0,55 - 1,93·(c/a)0,75 + 1,38·(c/a)1,5;
G21 = -2,11 + 0,77c/a;
G22 = 0,64 - 0,72·(c/a)0,75 + 0,14·(c/a)1,5.
Д.3.5 Учет кривизны поверхностей компонента конструкции
Коэффициенты интенсивности напряжений для цилиндрических, сферических, торосферических и эллиптических компонентов сосудов давления, трубопроводов, арматуры и т.д., а также для отверстий в компонентах конструкций определяются с учетом кривизны. Частичный учет кривизны свободных поверхностей достигается использованием в расчетах распределений напряжений, зависящих от этого фактора. При этом значения КИН для толстостенных труб и сосудов давления, определенные по
Д.3.1,
Д.3.2 оказываются несколько завышенными.
Уточнение КИН проводят для дефектов, расположенных на внутренних поверхностях при замкнутом характере этих поверхностей (например, уточнение не приводят для толстостенного цилиндра, разрезанного вдоль образующей или для бруса большой кривизны).
Для свободных поверхностей, имеющих кривизну в направлении
Z (трещина расположена вдоль образующей,
Rz =
Rj, см.
рисунок Д.7):
Y(Rz) = m(Rz)·Y, (Д.49)
где Y(RZ) - коэффициент формы с учетом кривизны в направлении Z;

;
mD(Rz) = 1;
Rz - радиус кривизны в направлении Z.
Рисунок Д.7 - Параметры трещины
Для свободных поверхностей, имеющих кривизну в направлении
y (трещина расположена вдоль направляющей,
Ry =
Ri, см.
рисунок Д.8)
Y(Ry) = m(Ry)·Y, (Д.50)
где Y(Ry) - коэффициент формы с учетом кривизны в направлении y;
;
mD(Ry) = 1;
Ry - радиус кривизны в направлении y.
Рисунок Д.8 - Параметры трещины
Если дефект расположен на внутренней поверхности с кривизной в двух направлениях (например, на внутренней поверхности сферического компонента сосуда давления), то в качестве расчетного принимается минимальное значение m, определенное по формулам настоящего пункта.
Д.4 Учет внутреннего давления, проникающего в дефект
Если среда, передающая давление, проникает в дефект (см.
рисунок Д.9), то приведенное напряжение вычисляют по следующей формуле:

(Д.51)
где

- приведенное напряжение с учетом проникающего в полость трещины давления, МПа;

- приведенное напряжение, вычисленное по формулам настоящего стандарта, МПа;
p - внутреннее давление, МПа.
Рисунок Д.9 - Параметры трещины
| Федеральные нормы и правила в области использования атомной энергии | Правила устройства и безопасной эксплуатации оборудования и трубопроводов атомных энергетических установок |
| Федеральные нормы и правила в области использования атомной энергии | Нормы проектирования сейсмостойких атомных станций |
| Правила и нормы в атомной энергетике | Нормы расчета на прочность оборудования и трубопроводов атомных энергетических установок |
| Федеральные нормы и правила в области использования атомной энергии | Основные требования к продлению срока эксплуатации блока атомной станции |
| Федеральные нормы и правила в области использования атомной энергии | Правила контроля основного металла, сварных соединений и наплавленных поверхностей при эксплуатации оборудования, трубопроводов и других элементов атомных станций |
[6] | Федеральные нормы и правила в области использования атомной энергии | Правила устройства и эксплуатации локализующих систем безопасности атомных станций |
[7] | Федеральные нормы и правила в области использования атомной энергии | Правила оценки соответствия продукции, для которой устанавливаются требования, связанные с обеспечением безопасности в области использования атомной энергии, а также процессов ее проектирования (включая изыскания), производства, строительства, монтажа, наладки, эксплуатации, хранения, перевозки, реализации, утилизации и захоронения |
| Федеральные нормы и правила в области использования атомной энергии | Требования к управлению ресурсом оборудования и трубопроводов атомных станций. Основные положения |
УДК 621.039:531:006.352 | |
Ключевые слова: оборудование, трубопроводы, прочность |