Главная // Актуальные документы // НормыСПРАВКА
Источник публикации
М.: Стройиздат, 1976
Примечание к документу
Название документа
"Руководство по проектированию и устройству зенитных фонарей для естественного освещения производственных зданий промпредприятий"
"Руководство по проектированию и устройству зенитных фонарей для естественного освещения производственных зданий промпредприятий"
ПО ПРОЕКТИРОВАНИЮ И УСТРОЙСТВУ ЗЕНИТНЫХ ФОНАРЕЙ
ДЛЯ ЕСТЕСТВЕННОГО ОСВЕЩЕНИЯ ПРОИЗВОДСТВЕННЫХ
ЗДАНИЙ ПРОМПРЕДПРИЯТИЙ
Рекомендовано к изданию решением секции ограждающих конструкций научно-технического совета ЦНИИПромзданий от 25 июня 1974 г.
Руководство содержит материалы по проектированию и устройству зенитных фонарей со светопропускающими заполнениями из силикатного стекла и полимерных материалов и может быть использовано инженерно-техническими работниками проектных и строительных организаций, научно-исследовательских и учебных институтов, служб эксплуатации зданий.
Руководство разработано на основе результатов научно-исследовательских и проектно-экспериментальных работ, выполненных ЦНИИПромзданий, НИИСФ, Промстройпроектом и другими организациями.
Руководство составлено канд. техн. наук Ю.П. Александровым и Ф.Л. Шехтером. В работе над руководством также принимали участие кандидаты техн. наук В.К. Савин, Э.А. Наргизян, А.А. Романов, инженеры В.М. Сорокин, В.П. Тарасов, арх. Л.А. Скроб.
1.1. Настоящее Руководство распространяется на проектирование и устройство зенитных фонарей с применением в качестве светопропускающих заполнений изделий из силикатного стекла и полимерных материалов.
Примечание. При проектировании и устройстве зенитных фонарей необходимо также учитывать соответствующие требования нормативных документов, утвержденных или согласованных Госстроем СССР.
1.2. Зенитные фонари рекомендуется применять для устройства естественного освещения помещений зданий с сухим и нормальным влажностным режимом в производствах с содержанием пыли, копоти и других аэрозолей в воздушной среде не более 0,1 мН/м3 и избыточными тепловыделениями до 25 Вт/м3.
Зенитные фонари могут быть использованы в сочетании со светопроводными шахтами для устройства естественного освещения производственных помещений с подвесными потолками.
1.3. При проектировании естественного освещения с помощью зенитных фонарей и выборе их размеров необходимо учитывать высоту помещений. Для освещения помещений высотой до 8 м следует принимать зенитные фонари с площадью световых проемов до 2,5 м
2. При большей высоте помещений площади световых проемов фонарей могут быть увеличены, но не превышать при этом 20 м
2.
1.4. Зенитные фонари со светопропускающими заполнениями из сгораемых полимерных материалов (органического стекла, его сополимеров, полиэфирных стеклопластиков, поливинилхлорида и т.п.) разрешается применять для устройства естественного освещения помещений зданий промышленных предприятий не ниже II степени огнестойкости, в которых размещаются производства, относимые по пожарной опасности к категории "Г" и "Д".
1.5. Зенитные фонари, как правило, следует проектировать открывающимися с кровли для обеспечения возможности очистки внутренних поверхностей светопропускающего заполнения.
Зенитные фонари могут проектироваться глухими при условии обеспечения свободного доступа к внутренним поверхностям остекления со стороны помещения.
1.6. В зданиях с вибрационными нагрузками, а также с кранами тяжелого и весьма тяжелого режима работы зенитные фонари со светопропускающими заполнениями из листового силикатного стекла и изделий из него применять не рекомендуется.
2.1. Проектирование естественного освещения помещений с помощью зенитных фонарей включает:
выбор типа фонарей;
определение необходимого количества фонарей с целью обеспечения требуемого значения коэффициента естественной освещенности (к.е.о.);
размещение фонарей в покрытии.
Выбор типа фонарей следует производить с учетом указаний, изложенных в
пп. 1.3 -
1.6 настоящего Руководства, светотехнических, теплотехнических и прочностных качеств фонарей, а также требований пожарной безопасности и особенностей технологического процесса.
Примечание. Зенитные фонари, применяемые для естественного освещения помещений производственных зданий, даны в
прил. 1.
2.2. Основными элементами зенитных фонарей являются опорный контур и светопропускающее заполнение
(рис. 1).
Рис. 1. Схема зенитного фонаря
1 - светопропускающее заполнение; 2 - опорный контур;
3 - утеплитель; 4 - водоизоляционный ковер; 5 - покрытие
2.3. Для изготовления опорных контуров зенитных фонарей рекомендуется применять тонколистовую сталь и стальные холодногнутые профили. Возможно также применение алюминиевых сплавов, асбестоцементных листов, керамзитобетона и других материалов.
2.4. Конструкции опорных контуров зенитных фонарей должны обеспечивать независимость их работы от других элементов покрытий.
В зданиях с покрытиями из сборных железобетонных плит опорные контуры зенитных фонарей могут устанавливаться на специальные плиты, имеющие световые проемы, или непосредственно на несущие конструкции покрытий (балки, фермы); в зданиях с покрытием из профилированного стального настила опорные контуры устанавливаются на стальные прогоны.
2.5. Опорные контуры зенитных фонарей должны возвышаться над уровнем кровли не менее чем на 250 мм. В стенках опорных контуров фонарей могут быть выполнены проемы для аэрации помещений, снабженные жалюзийными решетками, открывающимися створками или вентиляционными установками.
2.6. Грани опорных контуров зенитных фонарей, а также светопроводных шахт рекомендуется выполнять наклонными. При этом угол наклона граней к вертикали при высоте контура до 1000 мм не должен превышать 30°, а при большей высоте - 15°.
2.7. Внутренние поверхности граней опорных контуров или светопроводных шахт рекомендуется отделывать материалами, имеющими коэффициент отражения не менее 0,7.
2.8. Опорные контуры зенитных фонарей должны быть утеплены и защищены от коррозии и других разрушающих воздействий. Материалы, применяемые для антикоррозионных покрытий, должны отвечать требованиям главы СНиП по защите строительных конструкций от коррозии.
2.9. Для теплоизоляции опорных контуров зенитных фонарей рекомендуется применять плитные эффективные утеплители из несгораемых или трудносгораемых материалов с объемной массой не более 400 кг/м3.
2.10. Гидроизоляционный ковер в местах примыкания к опорному контуру зенитных фонарей должен быть приподнят по периметру контура над уровнем кровли не менее чем на 200 мм.
2.11. Для устройства светопропускающих заполнений зенитных фонарей могут использоваться:
| | ИС МЕГАНОРМ: примечание. Постановлением Госстроя СССР от 18.12.1990 N 108 введен в действие ГОСТ 111-90. ГОСТ 111-90 утратил силу с 01.01.2003 в связи с введением в действие ГОСТ 111-2001 (Постановление Госстроя России от 07.05.2002 N 22). | |
листовое оконное (ГОСТ 111-65*), теплопоглощающее (ТУ 21-23-2-68) и витринное неполированное стекло (ГОСТ 7380-68*);
стеклопакеты (ТУ 21-01-321-70);
профильное стекло (ТУ 21-23-21-71);
криволинейные элементы в виде куполов, оболочек двоякой кривизны и т.п. из полимерных материалов: органического стекла
(ГОСТ 17622-72), полиэфирных стеклопластиков, винипласта;
волнистые и гофрированные листы из полимерных материалов.
Физико-технические свойства и основные расчетные сопротивления светопропускающих материалов и изделий представлены в
табл. 1.
Материал | Коэффициент светопропускания | Коэффициент теплопроводности, Вт/м·К | Коэффициент линейного расширения, 1/К | Коэффициент Пуассона | Модуль упругости, МПа | Расчетное сопротивление, МПа | Объемная масса, кг/м3 |
на растяжение | на сжатие | на растяжение при изгибе | на скалывание при изгибе |
Стекло листовое оконное | 0,84 - 0,85 | 0,81 | 9 x 10-6 | 0,22 | 6,5 x 104 | 15 | 50 | 15 | 15 | 2500 |
Стекло профильное швеллерное | 0,75 - 0,8 | 0,81 | 9 x 10-6 | 0,22 | 6,5 x 104 | - | - | 13 | 4,5 | 2500 |
Стекло органическое | 0,92 | 0,12 - 0,18 | 70 x 10-6 | 0,3 | 1 x 103 | 10,5 | 14 | 17,5 | 10 | 1200 |
Стеклопластик полиэфирный | 0,7 - 0,8 | 0,23 - 0,35 | 25 x 10-6 | 0,4 | 2,4 x 103 | 10 | 10 | 10 | 6 | 1400 |
Примечание. Значения модулей упругости и расчетных сопротивлений для стекла органического и стеклопластика даны с учетом влияния периодического увлажнения и нагрева в процессе эксплуатации.
2.12. Светопропускающее заполнение следует крепить к опорному контуру через эластичные прокладки.
2.13. Конструкция крепления светопропускающего заполнения зенитных фонарей должна предусматривать возможность свободных температурных деформаций. Крепление может быть выполнено кляммерами, шурупами или накладками и предусматривать плотное, без зазоров прилегание светопропускающих элементов к опорному контуру.
2.14. Стыки между элементами светопропускающего заполнения должны устраиваться вдоль ската и перекрываться нащельниками. Крепление нащельников следует производить с наружной стороны фонаря.
| | ИС МЕГАНОРМ: примечание. Постановлением Госстандарта СССР от 13.06.1990 N 1528 с 01.07.1991 введен в действие ГОСТ 7338-90. | |
2.15. Для устройства прокладок между светопропускающим заполнением и опорным контуром зенитных фонарей и уплотнения стыков между элементами светопропускающего заполнения может применяться губчатая резина (ТУ 38-005-204-71), резиновые профили (ТУ 38-105-376-72), техническая листовая резина (ГОСТ 7338-65**). Для уплотнения стыков может также использоваться пороизол (ГОСТ 19177-73) или гернит (ТУ 480-1-119-71). Наклейку прокладок и уплотнителей рекомендуется производить клеем N 88-Н (МРТУ 38-5-80-66).
2.16. Для герметизации стыков между элементами светопропускающего заполнения следует применять тиоколовые герметики марок УТ-32 (ТУ 38-105-462-72), АМ-0,5 (ТУ 84246-71) или ТМ-0,5 (ТУ 38-ЗГ-355-69). Герметизация стыков между стеклопакетами, закрытыми накладками или нащельниками, может производиться нетвердеющими мастиками типа "Бутэпрол".
2.17. Резиновые уплотнители, прокладки, герметики и тому подобные материалы, применяемые в конструкциях зенитных фонарей, а также клеевые швы стеклопакетов должны быть защищены от прямого солнечного облучения.
2.18. В зенитных фонарях со светопропускающими заполнениями из листового силикатного стекла, стеклопакетов или профильного стекла под плоскостью остекления должна быть установлена защитная съемная сетка. Размеры сторон ячеек защитной сетки должны быть не более 50 мм.
2.19. Светопропускающее заполнение зенитных фонарей, выполняемое из листового стекла, стеклопакетов или профильного стекла, должно иметь уклон не менее 5°.
2.20. Зенитные фонари в неутепленных покрытиях из волнистых асбестоцементных или профилированных металлических листов целесообразно выполнять в виде светопропускающих вставок из профилированного листового стеклопластика, органического стекла или винипласта, размеры и форма которого соответствуют листам основной кровли.
2.21. Крепление профилированных светопропускающих листов к прогонам осуществляется оцинкованными болтами или шурупами, устанавливаемыми по гребням.
Требования пожарной безопасности
2.22. Общая площадь светопропускающего заполнения зенитных фонарей, выполняемого из полимерных сгораемых материалов (органического стекла, полиэфирных стеклопластиков, винипласта и т.п.), должна составлять не более 15% площади покрытия; при этом площадь светопропускающего заполнения одного зенитного фонаря не должна превышать 10 м2, а вес - 200 Н/м2.
2.23. Расстояние (в свету) между зенитными фонарями со светопропускающими заполнениями из полимерных материалов должно приниматься:
при площади световых проемов до 5 м2 - не менее 3 м;
при площади световых проемов от 5 до 10 м2 - не менее 4,5 м.
Примечание. Расстояние между зенитными фонарями с площадью световых проемов от 5 до 10 м2, размещаемыми в покрытии в продольном направлении с шагом 6 м и более, в поперечном направлении может быть уменьшено до 3 м.
При этом через каждые четыре фонаря в поперечном направлении должны быть устроены разрывы шириной (в свету) не менее 6 м.
2.24. Зенитные фонари разрешается совмещать в группы, принимая их за один фонарь, причем общая площадь элементов светопропускающего заполнения этих фонарей не должна превышать 10 м
2. Расстояние между группами фонарей принимается в соответствии с
п. 2.23 в зависимости от суммарной площади их светопропускающего заполнения.
2.25. Между зенитными фонарями со светопропускающими заполнениями из полимерных материалов в продольном и поперечном направлении покрытия здания через каждые 54 м должны устраиваться противопожарные разрывы шириной не менее 6 м.
Расстояние по горизонтали от противопожарных стен до зенитных фонарей со светопропускающими заполнениями из полимерных материалов должно составлять не менее 5 м.
2.26. Утепление покрытий, в которых устанавливаются зенитные фонари со светопропускающими заполнениями из полимерных материалов, должно выполняться из несгораемых или трудносгораемых материалов.
2.27. Покрытия с зенитными фонарями со светопропускающими заполнениями из полимерных материалов и рулонными кровлями должны иметь защитный слой по всей кровле из мелкого гравия толщиной 10 - 15 мм с крупностью зерен 5 - 10 мм.
Примечание. В покрытиях с рулонными кровлями, имеющих уклон 10% и более, где в соответствии с нормами проектирования кровель защитный слой может не выполняться, светопропускающее заполнение следует предусматривать из несгораемых материалов.
2.28. Часть зенитных фонарей с общей площадью световых проемов не менее 0,6% площади пола должна быть оборудована специальными устройствами и механизмами для автоматического открывания с целью удаления дыма из помещений в случае пожара. Такие фонари должны быть равномерно размещены по площади покрытия.
2.29. Количество фонарей в покрытии здания, необходимое для обеспечения нормированного значения коэффициента естественной освещенности (к.е.о.) при верхнем освещении, определяется по формуле

(1)
где N - количество зенитных фонарей;
Sф - площадь светового проема фонаря, м2;
Sп - площадь пола помещения, м2;
eн - нормированное значение к.е.о. (%) при верхнем освещении помещения, определяемое в соответствии с п. 2.1 главы СНиП по проектированию естественного освещения;

- световая характеристика фонаря, определяемая по табл. 14 главы СНиП по проектированию естественного освещения;

- световая характеристика светопроводной шахты (для зданий с подвесными потолками), принимаемая по графикам
рис. 2;
r2 - коэффициент, учитывающий повышение к.е.о. за счет отражения от внутренних поверхностей помещения, принимается по табл. 9 главы СНиП по проектированию естественного освещения;

- общий коэффициент светопропускания заполнения, определяемый по формуле

(2)
где

,

,

,

- коэффициенты, соответственно учитывающие светопропускание материала (с поправкой на старение для полимерных материалов), потери света в переплетах светового проема, слое загрязнения остекления и несущих конструкциях (принимаются по табл. 7 главы СНиП по проектированию естественного освещения);

- коэффициент, учитывающий потери света в солнцезащитных устройствах (принимается по
табл. 2 настоящего Руководства);

- коэффициент, учитывающий потери света в защитной сетке, принимаемый равным 0,9.
Рис. 2. Графики световой активности светопроводных шахт
1 - с вертикальными стенками и с отношением размеров
светового проема в плане a:b = 1:1; 2 - то же, со стенками,
имеющими угол наклона 15°; 3 - то же, со стенками, имеющими
угол наклона 30°; 4 - с вертикальными стенками
и с отношением размеров сторон светового проема в плане
a:b = 1:3; 5 - то же, со стенками, имеющими угол наклона
15°; 6 - то же, со стенками, имеющими угол наклона 30°;
a - меньшая сторона светового проема; h - высота шахты
Солнцезащитное устройство | Схема конструкции | Рекомендуемый район применения <*> | Коэффициент пропускания радиации солнцезащитным устройством  | Коэффициент, учитывающий потери света в защитном устройстве  |
А. Стационарные | | | | |
Ориентировочный опорный контур | | III | 0,3 | 0,75 |
Светопроводные шахты | | III - IV | 0,4 | 0,70 |
Солнцезащитное светопрозрачное заполнение | | IV | |  (см. табл. 7 главы СНиП по проектированию естественного освещения) |
Жалюзи | | IV | 0,6 | 0,65 |
Решетчатые подвесные потолки | | IV | 0,6 | 0,6 |
Б. Регулируемые | | | | |
Веерные жалюзи | | III - IV | 0,2 | 1 |
Сдвигаемые жалюзи или шторы | | III - IV | 0,6 | 1 |
Примечание. Приведенные в таблице значения

и

даны для зенитных фонарей, внутренние поверхности опорных конструкций которых покрыты материалами, имеющими коэффициент отражения не менее 0,7.
--------------------------------
<*> Районы даны в соответствии с п. 4.1 главы СНиП по строительной климатологии и геофизике.
При комбинированном естественном освещении влияние бокового света необходимо учитывать в соответствии с требованиями пп. 3.3 и 3.4 главы СНиП по проектированию естественного освещения.
2.30. Зенитные фонари рекомендуется располагать равномерно по площади покрытия. При этом расстояние от ендов до грани фонаря должно составлять не менее 1,5 м.
2.31. Зенитные фонари в местах перепада высот покрытия и расположения парапетов следует размещать от них на расстоянии не менее двойной высоты перепада (парапета), но не более чем на 12 м.
2.32. Зенитные фонари рекомендуется располагать на возможно большем расстоянии от вентиляционных устройств и других приспособлений для удаления пыли и копоти из помещений.
2.33. Количество слоев в элементах светопропускающего заполнения зенитных фонарей выбирается в зависимости от условия образования конденсата на их поверхности со стороны помещения
tп > tр, (3)
где tп - температура поверхности светопропускающего заполнения со стороны помещения;
tр - температура точки росы внутреннего воздуха.
Температура поверхности светопропускающего заполнения зенитных фонарей со стороны помещения определяется по формуле

(4)
где tн - средняя температура наиболее холодной пятидневки, принимаемая по табл. 1 главы СНнП по строительной климатологии и геофизике;
tп.ф - температура в подфонарном пространстве;

- коэффициент теплоотдачи внутренней поверхности зенитного фонаря, принимаемый равным

;
R0 - сопротивление теплопередаче светопропускающего заполнения зенитного фонаря

, принимаемое по
табл. 3.
Вид светопропускающего заполнения | Количество слоев остекления | R0,  |
Швеллерное профильное и листовое силикатное стекло | 1 | 0,16 |
2 | 0,28 |
Стеклопакеты | 2 | 0,29 |
Купола и панели из органического стекла | 1 | 0,18 |
2 | 0,35 |
Профилированные листы из полимерных материалов | 1 | 0,16 |
Температура в подфонарном пространстве определяется по формуле

(5)
где
tв - расчетная температура в рабочей зоне помещения, принимаемая по
табл. 5 СН 245-71 "Санитарные нормы проектирования промышленных предприятий";

- температурный градиент по высоте помещения (для производств с технологическими тепловыделениями от 10 до 25 Вт/м
3·ч составляет 0,2 - 1 град/м);
H - высота помещения.
Температура точки росы внутреннего воздуха
tр определяется по
табл. 4 в зависимости от относительной влажности

и температуры
tв в рабочей зоне помещения.
tв, °C | tр, °C |
| | | |
16 | 2,4 | 5,6 | 8,2 | 10,5 |
17 | 3,3 | 6,5 | 9,2 | 11,5 |
18 | 4,2 | 7,4 | 10,1 | 12,5 |
19 | 5,1 | 8,4 | 11,1 | 13,4 |
20 | 6,0 | 9,3 | 12,0 | 14,4 |
21 | 6,9 | 10,2 | 12,9 | 15,3 |
22 | 7,8 | 11,1 | 13,9 | 16,3 |
23 | 8,7 | 12,0 | 14,8 | 17,2 |
24 | 9,6 | 13,0 | 15,8 | 18,2 |
25 | 10,5 | 13,8 | 16,7 | 19,1 |
Примечание. В зимнее время относительная влажность воздуха внутри помещения (при некондиционированном режиме) может быть принята на 10 - 20% ниже нормируемой.
2.34. В тех случаях, когда температура поверхности светопропускающего заполнения со стороны помещения ниже температуры точки росы внутреннего воздуха, количество слоев заполнения следует увеличить. Для борьбы с образованием конденсата на внутренних поверхностях фонаря может также применяться дополнительный обогрев подфонарного пространства трубчатыми нагревателями, расположенными вдоль нижнего периметра опорного контура фонаря. При этом температура поверхностей нагревателей не должна превышать 80 °C.
2.35. В неотапливаемых помещениях промышленных зданий зенитные фонари могут иметь однослойное светопропускающее заполнение независимо от разности температур внутреннего и наружного воздуха.
2.36. Потери тепла через глухие зенитные фонари определяются по формуле

(6)
где F - площадь светового проема зенитного фонаря, м2.
Потери тепла через открывающиеся зенитные фонари определяются по формуле

(7)
где G - количество воздуха, кг/ч, проходящего через притворы открывающихся элементов фонаря, определяемое согласно выражению
G = G0l, (8)
где
G0 - количество воздуха, проходящего через 1 м притвора, определяемое по
табл. 5, кг/ч;
l - протяженность притвора, м.
Средняя расчетная скорость ветра в январе, м/с | 1 | 2 | 3 | 4 | 5 |
G0, кг/ч | 3,8 | 6 | 7,4 | 8,4 | 11,8 |
Примечания: 1. Расчетная скорость ветра определяется из табл. 7 главы СНиП по строительной климатологии и геофизике.
2. Для промежуточных значений средних скоростей ветра показатели G0 определяют интерполяцией.
2.37. Расход дополнительного тепла, необходимого для устранения образования конденсата с внутренней поверхности светопропускающего заполнения зенитных фонарей, определяется по формуле
где
qдоп - расход дополнительного тепла, Вт/м
2, поверхности светопропускающего заполнения, определяемый по графикам, приведенным на
рис. 3;
F - площадь светового проема фонаря, м2.
Рис. 3. Графики для определения расхода дополнительного
тепла в подфонарном пространстве с целью устранения
образования конденсата на внутренней поверхности зенитного
фонаря с однослойным (1а, 2а, 3а, 4а) и двухслойным
(1, 2, 3, 4, 5) светопропускающим заполнением
при относительной влажности внутреннего воздуха 
1, 1а - 40%; 2, 2а - 50%; 3, 3а - 60%; 4, 4а - 70%; 5 - 80%
2.38. Требуемая поверхность и диаметр трубчатых нагревательных приборов определяются по формулам:

(10)

(11)
где t0 - температура на поверхности нагревательных приборов;
L - общая длина нагревательных приборов;
t'п.ф - температура воздуха в подфонарном пространстве с учетом дополнительного обогрева, определяемая по формуле

(12)

- коэффициент теплоотдачи излучением нижней поверхности фонаря, определяемый по формуле

(13)

- коэффициент теплоотдачи поверхностью нагревательного прибора, определяемый по формуле

(14)
2.39. Нагревательные приборы, устанавливаемые в подфонарном пространстве, следует размещать от поверхности светопропускающего заполнения, выполняемого из силикатного стекла, на расстоянии не менее 40 см, а из полимерных материалов - не менее 60 см.
2.40. Толщину теплоизолирующего слоя опорных контуров следует определять в соответствии с требованиями главы СНиП по строительной теплотехнике предъявляемыми к покрытиям.
Защита помещений от инсоляции
2.41. При применении зенитных фонарей в зданиях, расположенных в районах, где теплопоступления от суммарной солнечной радиации на горизонтальную поверхность за летний период между равноденствиями составляют более 35 x 10
4 кДж/м
2, и выполнении в производственных помещениях этих зданий зрительных работ I - IV разрядов (табл. 1 главы СНиП по проектированию естественного освещения) следует предусматривать солнцезащитные устройства, схемы которых приведены в
табл. 2.
Величина теплопоступлений на горизонтальную поверхность за летний период между равноденствиями определяется по формуле

(15)
где

- сумма часовых значений суммарной радиации, поступающей на горизонтальную поверхность за дневную смену (от 7 до 17 ч) в течение 6 месяцев (с I по IX), кДж/м
2 (определяется по табл. 10 раздела 1 части 1 "Справочника по климату СССР"
<*>);
S - средняя величина продолжительности солнечного сияния в течение 6 месяцев (с V по IX) за время от 7 до 17 ч (определяется по табл. 4 раздела 2 части 1 "Справочника по климату СССР").
--------------------------------
<*> Л., Гидрометеоиздат, 1966.
2.42. При использовании в качестве солнцезащитных экранов опорных контуров зенитных фонарей, светопроводных шахт, жалюзи или решетчатых подвесных потолков высоту экранирующих элементов следует определять по формуле
H = Ptgh0, (16)
где
P - расстояние между нижней точкой облучаемой поверхности и проекцией верхней точки экранирующей грани
(рис. 4);
h0 - расчетная высота стояния солнца (в град), определяемая по табл. 11 главы СНиП по строительной климатологии и геофизике.
Рис. 4. Схемы экранирования прямых солнечных лучей
солнцезащитными устройствами
2.43. Теплопоступления от солнечной радиации через световые проемы зенитных фонарей определяют по формуле

(17)
где Qпад - количество тепла от суммарной солнечной радиации, поступающей на горизонтальную поверхность, Вт/м2 (определяется по табл. 8 главы СНиП по строительной климатологии и геофизике);

- коэффициент, учитывающий снижение пропускания солнечной радиации солнцезащитным устройством, принимаемый по
табл. 2;

,

, ...

- коэффициенты пропускания солнечной радиации отдельных слоев светопропускающего заполнения зенитного фонаря, принимаемые по
табл. 6;
m - количество слоев светопропускающего заполнения зенитного фонаря;
n - коэффициент, учитывающий повышение пропускания солнечной радиации за счет многократного отражения лучей в многослойной конструкции. Для однослойной конструкции n = 1;
для многослойной
где

,

, ...

- коэффициенты отражения солнечной радиации слоев светопропускающего заполнения, принимаемые по
табл. 6.
Материал светопропускающего заполнения | Коэффициент пропускания солнечной радиации  | Коэффициент отражения солнечной радиации  |
Листовое оконное стекло  | 0,8 | 0,08 |
Теплопоглощающее стекло  | 0,4 - 0,5 | 0,08 - 0,17 |
Швеллерное профильное стекло | 0,78 | 0,08 |
Органическое стекло  | 0,86 | 0,07 |
Полиэфирный стеклопластик  | 0,75 | 0,1 |
Светопропускающий винипласт  | 0,86 | 0,08 |
Расчеты на прочность и деформации
2.44. Элементы светопропускающего заполнения зенитных фонарей должны быть рассчитаны на прочность и деформации от действия нагрузок, принимаемых в соответствии с главой
СНиП по нагрузкам и воздействиям.
2.45. Листовое стекло и стеклопакеты рассчитываются только на прочность. Проверка прочности листового стекла производится по формуле

(18)
где q - интенсивность равномерно распределенной нагрузки, Н/м2;

- толщина стекла, мм;
Rи - расчетное сопротивление на растяжение при изгибе, МПа (см.
табл. 1);

- отношение большого размера (
b) к меньшему размеру (
a) стекла;
Проверку прочности стеклопакетов следует производить в соответствии с "Инструкцией по проектированию, монтажу и эксплуатации стеклопакетов"
СН 481-75.
Примечание. Независимо от расчета толщина стекол, применяемых в конструкциях зенитных фонарей, должна быть не менее 5 мм.
2.46. Предельное значение относительного прогиба элементов, служащих основанием для листового стекла (переплеты, стенки опорного контура и т.п.), не должно превышать 1/200, а для стеклопакетов - 1/500.
2.47. Проверку прочности и деформативности профильного стекла, применяемого в конструкциях зенитных фонарей, следует производить в соответствии с "Указаниями по проектированию, монтажу и эксплуатации конструкций из профильного стекла"
СН 428-74.
2.48. Относительный прогиб элементов светопропускающего заполнения зенитных фонарей из профильного стекла не должен превышать 1/400.
2.49. Расчет профилированных листов из полимерных материалов и проектирование конструкций из них следует производить, руководствуясь "Указаниями по проектированию и расчету строительных конструкций с применением пластмасс" (М., Стройиздат, 1963).
2.50. Толщина оболочек криволинейных светопропускающих элементов зенитных фонарей определяется расчетом. Для элементов из органического стекла и винипласта, независимо от расчета, она должна быть не менее 4 мм для наружных и 2,5 мм - для внутренних слоев, а для элементов из полиэфирного стеклопластика - соответственно 3 и 1,5 мм.
2.51. Экономическую оценку эффективности применения зенитных фонарей для устройства естественного освещения помещений промышленных зданий следует производить по показателям приведенных затрат на 1 м2 покрытия здания по формуле
где Eн - нормативный коэффициент экономической эффективности, принимаемый равным 0,12;
К - капитальные затраты на устройство покрытия, руб./м2;
Э - годовые эксплуатационные расходы, руб./м2.
Капитальные затраты определяются по формуле
К = Кстр + Кот + Квент, (20)
где Кстр - общестроительные капитальные затраты (стоимость устройства покрытия и фонарей), руб./м2;
Кот - капитальные затраты на устройство систем отопления здания, руб./м2;
Квент - то же, на устройство систем вентиляции, руб./м2.
Если конструкции зенитных фонарей оказывают влияние на стоимость других элементов здания (ферм, колонн и т.п.), то при сопоставлении вариантов должны быть учтены и эти затраты.
Годовые эксплуатационные расходы определяются по формуле
Э =
Эам +
Эт.р +
Эот +
Эвент +
Эпр +
Эсн, (21)
где Эам - эксплуатационные расходы на амортизацию конструкции, руб./м2, определяемые по формуле

(22)
где
Нрен - нормы отчислений на полное восстановление конструкций (реновационные отчисления)
(приложение 2);
Нк.р - нормы отчислений на капитальный ремонт конструкций
(приложение 2);
Эт.р - эксплуатационные затраты на текущий ремонт, определяемые по формуле

(23)
где
Нт.р - нормы отчислений на текущий ремонт конструкций
(приложение 2);
Эот - годовые расходы на отопление, определяемые по формуле

(24)
где

и

- соответственно нормы амортизационных отчислений и затрат на текущий ремонт отопительных систем, принимаются по
табл. 9;
Q' - потери тепла через покрытие и фонари, Вт/м2;
tв - температура в рабочей зоне помещения, определяемая по
табл. 5 СН 245-71;
tн - средняя температура наиболее холодной пятидневки, определяемая по табл. 1 главы СНиП по строительной климатологии и геофизике;

- коэффициент, учитывающий эксплуатационные характеристики, принимаемый по
табл. 7 <*>;
Эвент - годовые расходы на вентиляцию, определяемые по формуле

(25)
где Сзар - зарплата обслуживающего персонала, руб.;
Сэ - стоимость электроэнергии, руб.;
--------------------------------
<*> Приняты по "Методике и нормативам для определения стоимости эксплуатации промышленных зданий на стадии их проектирования". М., ЦНИИПромзданий, 1971.
При других тарифах на тепловую энергию значения коэффициента

, приведенные в
табл. 7, умножаются на коэффициенты, указанные в
табл. 8.
Температура в рабочей зоне, °C | Количество смен |  (при тарифе на тепловую энергию 1,2 руб./г·Дж) |
Средняя температура наиболее холодной пятидневки, °C |
10 | 20 | 30 | 40 | 50 |
15 | 1 | 0,08 | 0,20 | 0,39 | 0,61 | 0,84 |
2 | 0,12 | 0,25 | 0,46 | 0,69 | 0,92 |
3 | 0,17 | 0,31 | 0,53 | 0,76 | 1,00 |
17 | 1 | 0,09 | 0,21 | 0,41 | 0,63 | 0,86 |
2 | 0,14 | 0,28 | 0,49 | 0,72 | 0,95 |
3 | 0,19 | 0,35 | 0,57 | 0,81 | 1,05 |
19 | 1 | 0,01 | 0,22 | 0,42 | 0,64 | 0,88 |
2 | 0,16 | 0,30 | 0,51 | 0,75 | 0,98 |
3 | 0,22 | 0,38 | 0,61 | 0,85 | 1,10 |
Примечание. Для промежуточных значений расчетных температур значения

определяют интерполированием.
Стоимость тепла, руб./г·Дж | Значение коэффициентов |
Средняя температура наиболее холодной пятидневки, °C |
-10 | -20 | от -30 до -50 |
0,5 | 0,89 | 0,84 | 0,80 |
0,6 | 0,91 | 0,87 | 0,84 |
0,7 | 0,93 | 0,89 | 0,87 |
0,8 | 0,95 | 0,92 | 0,90 |
1,0 | 0,97 | 0,95 | 0,93 |
1,1 | 0,98 | 0,97 | 0,96 |
1,2 | 1,0 | 1,0 | 1,0 |
1,3 | 1,02 | 1,03 | 1,0 |
1,4 | 1,04 | 1,05 | 1,07 |
1,6 | 1,05 | 1,08 | 1,10 |
1,7 | 1,07 | 1,10 | 1,13 |
Характеристика производства | Нормы амортизационных отчислений <*>, %,  | Нормы затрат на текущий ремонт <*>, %,  |
Производство химической промышленности: | | |
хлорные, сернокислотные, суперфосфатные | 22 | 4,4 |
азотные и анилино-красочные | 10,9 | 2,2 |
прочие | 8,4 | 1,7 |
Все остальные отрасли промышленности | 12,1 | 2,4 |
--------------------------------
<*> Приняты по "Нормам амортизационных отчислений по основным фондам народного хозяйства СССР". М., "Экономика", 1974.
3.1. Конструкции зенитных фонарей должны поставляться на строительную площадку совместно с комплектующими деталями согласно рабочим чертежам. Опорные контуры фонарей, как правило, должны иметь полную заводскую готовность.
3.2. При транспортировании и хранении элементов зенитных фонарей следует предусматривать меры по их защите от повреждений. При этом необходимо руководствоваться требованиями действующих стандартов и технических условий на транспортирование соответствующих изделий и материалов.
3.3. Элементы зенитных фонарей должны иметь хорошо видимую маркировку, нанесенную несмываемой краской. Для определения правильного положения при перевозке, складировании и монтаже элементы должны иметь соответствующие надписи или указатели.
3.4. Элементы зенитных фонарей, поступающие на строительную площадку или приобъектный склад, должны быть снабжены паспортом, гарантирующим соответствие изделий требованиям ТУ или стандартов, а также рабочим чертежам.
3.5. Способы складирования конструкций и элементов зенитных фонарей должны исключать возможность их повреждения.
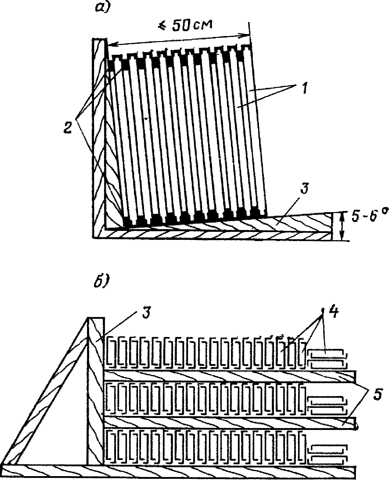
При хранении стеклопакеты должны устанавливаться в стеллажи в положении "на ребро". Плоскость, на которую опираются стеклопакеты в стеллажах, должна иметь уклон в 5 - 6°
(рис. 5). При хранении стеклопакеты должны быть уложены в стопы толщиной не более 50 см.
Рис. 5. Складирование светопропускающих элементов
а - стеклопакетов; б - профильного стекла; 1 - стеклопакеты;
2 - упругие прокладки; 3 - стеллаж; 4 - профильное стекло;
5 - деревянные прокладки
Профильное стекло следует хранить и транспортировать в положении "на ребро" с укладкой в штабеля. Швеллерное профильное стекло складируется попарно, полками внутрь. Число рядов по высоте штабеля не должно превышать четырех. Между отдельными рядами обязательна установка деревянных прокладок, располагаемых на расстоянии
1/
4 длины изделия от торцов стекла (см.
рис. 5).
Криволинейные секции и купола из полимерных материалов должны транспортироваться и храниться в специальной таре завода-изготовителя.
3.6. Утеплитель опорных контуров зенитных фонарей при транспортировании, хранении и монтаже должен быть защищен от увлажнения атмосферными осадками.
3.7. Монтаж конструкций зенитных фонарей следует выполнять в соответствии с требованиями главы СНиП по технике безопасности в строительстве и "Правилами пожарной безопасности при производстве строительно-монтажных работ", а также руководствуясь рабочими чертежами и проектом производства работ.
3.8. В проекте производства работ на монтаж зенитных фонарей должны быть указаны:
а) доставка (очередность и сроки) на строительную площадку;
б) технологическая последовательность монтажа с учетом конструктивных особенностей;
в) методы укрупнительной сборки с указанием максимальных размеров и веса элементов;
г) мероприятия по обеспечению пространственной жесткости и неизменяемости конструкций при монтаже;
д) порядок промежуточной приемки отдельных узлов конструкций, а также скрытых работ;
е) мероприятия по технике безопасности;
ж) мероприятия по пожарной безопасности.
3.9. Монтаж зенитных фонарей следует производить после технической приемки несущих конструкций.
3.10. Монтаж конструкций зенитных фонарей, как правило, должен осуществляться непосредственно с транспортных средств - "с колес" или мест укрупнения элементов.
3.11. Работы по установке опорных контуров, их утеплению и гидроизоляции должны производиться одновременно с устройством конструкций покрытия.
3.12. Монтаж светопропускающих элементов зенитных фонарей разрешается производить только после окончания работ по устройству кровли.
3.13. Работы по устройству гидроизоляции и заделке стыков зенитных фонарей следует производить в теплое время года при температуре не ниже 5 °C и в условиях, исключающих их увлажнение.
3.14. Конструкции зенитных фонарей, установленные в покрытии, должны быть приняты комиссией с участием представителей заказчика, генерального подрядчика и субподрядчика. Приемка оформляется актом за подписью членов комиссии.
При приемке проверяется;
правильность установки элементов конструкций;
качество заделки стыков и швов;
сохранность элементов и их отделки;
выполнение специальных требований проекта.
3.15. Приемка конструкций зенитных фонарей оформляется составлением актов за подписью представителей заказчика, генерального подрядчика и субподрядчика.
4.1. В процессе эксплуатации необходимо осуществлять систематический контроль за состоянием конструкций зенитных фонарей. Осмотр зенитных фонарей следует производить не реже 2 раз в год.
4.2. При осмотре конструкций проверяется состояние элементов светопропускающего заполнения, антикоррозионных покрытий, уплотнения стыков, исправность приборов открывания и т.п.
По результатам осмотра должна быть составлена ведомость дефектов и намечен план мероприятий по их устранению.
4.3. Светопропускающее заполнение зенитных фонарей должно, как правило, очищаться от загрязнения не реже одного-двух раз в год, в зависимости от степени загрязнения. Для очистки рекомендуется применять синтетические моющие средства с последующей промывкой поверхностей теплой водой.
Светопропускающие заполнения из полимерных материалов запрещается очищать органическими растворителями (ацетоном и т.п.).
4.4. Поврежденные элементы светопропускающего заполнения, имеющие трещины, пробоины или выколы, должны быть заменены новыми.
Элементы светопропускающего заполнения из полимерных материалов с незначительными механическими повреждениями разрешается ремонтировать, заклеивая трещины и пробоины.
Для выполнения ремонтных работ необходимо иметь запас светопропускающих элементов.
4.5. Работы по ремонту зенитных фонарей следует выполнять, руководствуясь проектом производства работ, в котором должны быть предусмотрены способы и механизмы для выполнения работ и мероприятия по технике безопасности.
4.6. Ремонт зенитных фонарей, как правило, следует производить в летний период. При неблагоприятных метеорологических условиях ремонтные работы должны выполняться под тентами.
4.7. При выполнении ремонтных работ следует предусматривать мероприятия по защите помещений от атмосферных осадков и случайного падения элементов светопропускающего заполнения.
4.8. При производстве работ по ремонту кровли и т.п. зенитные фонари должны быть ограждены или закрыты щитами.
4.9. На элементы светопропускающего заполнения зенитных фонарей запрещается укладывать или опирать инструменты, приспособления, строительные материалы и т.п.
4.10. Скалывание наледей и уборка смерзшегося снега с поверхности зенитных фонарей запрещается. Рыхлый снег с элементов светопропускающего заполнения фонарей следует удалять скребками с резиновыми или деревянными кромками.
4.11. На покрытие зданий с зенитными фонарями посторонние лица могут допускаться только в сопровождении сотрудников службы эксплуатации зданий.
ЗЕНИТНЫЕ ФОНАРИ, ПРИМЕНЯЕМЫЕ ДЛЯ ЕСТЕСТВЕННОГО ОСВЕЩЕНИЯ
ПОМЕЩЕНИЙ ПРОИЗВОДСТВЕННЫХ ЗДАНИЙ <*>
--------------------------------
<*> Использованы а.с. N 220462, 252573, 280830, 407019.
Схема фонаря | Размеры светового проема, м | Материал светопропускающего заполнения | Наименование проектной документации | Год выпуска | Организация-разработчик |
| | ИС МЕГАНОРМ: примечание. Постановлением Госстроя СССР от 18.12.1990 N 108 введен в действие ГОСТ 111-90. ГОСТ 111-90 утратил силу с 01.01.2003 в связи с введением в действие ГОСТ 111-2001 (Постановление Госстроя России от 07.05.2002 N 22). | |
|
| 3 x 6 | Листовое оконное стекло (ГОСТ 111-65*) | Зенитные фонари с применением стекла для покрытий производственных зданий (серия 2502-Э) | 1974 | Промстройпроект |
| 1 x 1,5 | Стеклопакеты (ТУ 21-01-321-70) | Фонари зенитные для производственных зданий из легких металлических конструкций (серия 1.464-10) | 1973 | |
| 3 x 3 | ЦНИИПромзданий |
| 1,5 x 1,5 | Профильное стекло швеллерного сечения (ТУ 21-23-21-71) | ЦНИИПроектстальконструкция, Промстальконструкция |
1,5 x 3 |
1,5 x 6 |
| 3 x 6 | Стеклопакеты | Конструкции кровельных плафонов (серия 3160, раздел 85) | 1967 | Промстройпроект |
3 x 12 |
| 1,2 x 1,4 | Купола и панели из органического стекла (ТУ 6-05-1486-72, ТУ 400-1-477-73, ТУ 6-05-1487-71) | Фонари зенитные для естественного освещения промышленных зданий (серия 1.464-1) | 1969 | ЦНИИпромзданий |
| 1,5 x 6 |
НОРМЫ ОТЧИСЛЕНИЙ ОТ КАПИТАЛЬНЫХ ЗАТРАТ НА РЕНОВАЦИЮ,
КАПИТАЛЬНЫЙ И ТЕКУЩИЙ РЕМОНТЫ КОНСТРУКЦИЙ ЗДАНИЙ
Условия эксплуатации | Реновационные отчисления Нрен, % | Отчисления на капитальный ремонт Нк.р, % | Отчисления на текущий ремонт Нт.р, % |
В неагрессивной среде | 2,5 | 2,2 | 2,3 |
В агрессивной среде | 3,8 | 3,3 | 3,5 |
Примечание. Нк.р и Нт.р принимаются равными 1,4, если Кстр включает только стоимость покрытий и фонарей.
ГОДОВЫЕ РАСХОДЫ НА ОЧИСТКУ ОСТЕКЛЕНИЯ
Количество пыли, копоти и других аэрозолей, содержащихся в воздушной среде помещений, мН/м3 | Величина расходов Эпр, руб./10 м2 |
Менее 0,05 | 3,1 |
От 0,05 до 0,1 | 4,6 |
Примечания: 1. Годовые расходы на очистку остекления даны для I территориального района. Для других районов указанные значения умножаются на коэффициенты, приведенные в
прил. 5.
2. Годовые расходы на очистку остекления даны для двухсменного режима работы предприятий. При односменном режиме работы значения, указанные в таблице, умножаются на коэффициент 0,7, а при трехсменном - на 1,3.
ГОДОВЫЕ РАСХОДЫ НА УБОРКУ СНЕГА С КРОВЛИ
Тип здания | Тип покрытий с зенитными фонарями | Расстояние перемещения снега по кровле, м | Величина расходов, Рсн, руб./10 м2 |
Снеговой район |
I | II | III | IV | V | VI |
Однопролетные | Односкатные и двухскатные прямолинейного очертания | 10 | 0,35 | 0,40 | 0,46 | 0,56 | 0,68 | 1,11 |
30 | 0,37 | 0,42 | 0,50 | 0,61 | 0,75 | 1,20 |
То же, криволинейного очертания | 10 | 0,48 | 0,55 | 0,63 | 0,77 | 0,95 | 1,52 |
30 | 0,53 | 0,60 | 0,70 | 0,85 | 1,03 | 1,68 |
Многопролетные | Односкатные, двухскатные и криволинейные | 10 | 0,68 | 0,78 | 0,91 | 1,11 | 1,36 | 2,18 |
30 | 0,76 | 0,87 | 1,00 | 1,21 | 1,48 | 2,40 |
50 | 0,82 | 0,93 | 1,08 | 1,32 | 1,62 | 2,61 |
70 | 0,90 | 1,02 | 1,18 | 1,45 | 1,77 | 2,85 |
90 | 0,96 | 1,08 | 1,26 | 1,53 | 1,87 | 3,02 |
110 | 1,02 | 1,16 | 1,35 | 1,65 | 2,02 | 3,23 |
Однопролетные и многопролетные | Плоские | 10 | 0,28 | 0,32 | 0,37 | 0,45 | 0,55 | 0,89 |
30 | 0,30 | 0,34 | 0,40 | 0,49 | 0,60 | 0,96 |
50 | 0,33 | 0,38 | 0,44 | 0,54 | 0,66 | 1,06 |
70 | 0,36 | 0,40 | 0,47 | 0,57 | 0,70 | 1,13 |
90 | 0,39 | 0,44 | 0,51 | 0,62 | 0,76 | 1,22 |
110 | 0,41 | 0,46 | 0,54 | 0,66 | 0,81 | 1,20 |
Примечания: 1. Районирование территории СССР по снеговому покрову принято в соответствии с главой
СНиП по нагрузкам и воздействиям.
2. Годовые расходы на уборку снега с кровли даны для I территориального района. Для других районов указанные значения умножаются на коэффициенты, приведенные в
прил. 5.
ТЕРРИТОРИАЛЬНЫЕ КОЭФФИЦИЕНТЫ Kт К ГОДОВЫМ РАСХОДАМ
НА СНЕГОУБОРОЧНЫЕ РАБОТЫ И РАБОТЫ ПО ОЧИСТКЕ ОСТЕКЛЕНИЯ
Территориальные районы | Кт |
I - VI, X | 1,0 |
VIII, IX, XII, XIII, XIX | 1,1 |
VII, XI, XIV, XV, XVIII | 1,15 |
XVI | 1,25 |
XVII | 1,35 |
РАЗДЕЛЕНИЕ ОБЛАСТЕЙ, КРАЕВ И РЕСПУБЛИК СССР
ПО ТЕРРИТОРИАЛЬНЫМ РАЙОНАМ
I район |
Брянская область |
Владимирская " |
Вологодская " |
Ивановская " |
Калининская " |
Костромская " |
Ленинградская " |
Московская " |
Новгородская " |
Орловская " |
Псковская " |
II район |
Белорусская ССР |
Калининградская область |
Латвийская ССР |
Литовская ССР |
Эстонская ССР |
Кировская область |
Куйбышевская " |
Марийская АССР |
Мордовская АССР |
Пензенская область |
Саратовская " |
Татарская АССР |
III район |
Винницкая область |
Волынская " |
Днепропетровская область |
Донецкая " |
Житомирская " |
Закарпатская " |
Запорожская " |
Ивано-Франковская область |
Киевская область |
Кировоградская область |
Крымская " |
Луганская " |
Николаевская область |
Рязанская " |
Смоленская " |
Тульская " |
Ярославская " |
IV район |
Башкирская АССР |
Горьковская область |
V район |
Астраханская область |
Белгородская " |
Воронежская " |
Калмыцкая АССР |
Курская область |
Липецкая " |
Одесская " |
Полтавская " |
Ровенская " |
Сумская " |
Тернопольская " |
Харьковская " |
Херсонская " |
Хмельницкая " |
Черкасская " |
Черниговская " |
Черновицкая " |
Ульяновская " |
Чувашская АССР |
VI район |
Дагестанская АССР |
Кабардино-Балкарская АССР |
Краснодарский край |
Ростовская область |
Северо-Осетинская АССР |
Ставропольский край |
Чечено-Ингушская АССР |
VII район |
Архангельская область (южнее Полярного круга) |
Карельская АССР |
VIII район |
Пермская область |
Удмуртская АССР |
IX район |
Курганская область |
Оренбургская " |
Свердловская " |
Тамбовская " |
X район |
Азербайджанская ССР |
Армянская АССР |
Грузинская ССР |
Львовская область |
Молдавская ССР |
XI район |
Киргизская ССР |
Таджикская ССР |
Узбекская ССР |
XII район |
Актюбинская область |
Гурьевская " |
Джамбулская " |
Кзыл-Ординская " |
Уральская " |
Чимкентская " |
XIII район |
Алма-Атинская область |
Восточно-Казахстанская область |
Карагандинская область |
Кустанайская " |
Павлодарская " |
Семипалатинская " |
Северо-Казахстанская область |
Целиноградская " |
Тюменская область (южнее 60-й параллели) |
Челябинская область |
XIV район |
Красноярский край (южнее 60-й параллели) |
XV район |
Бурятская АССР |
Иркутская область (южнее 60-й параллели) |
Читинская область |
XVI район |
Амурская область |
Приморский край |
Хабаровский край (южнее 55-й параллели) |
XVII район |
Мурманская область |
XVIII район |
Коми АССР (южнее Полярного круга) |
XIX район |
Алтайский край |
Кемеровская область |
Новосибирская " |
Омская " |
Томская область (южнее 60-й параллели) |
ОПРЕДЕЛЕНИЕ НЕОБХОДИМОГО КОЛИЧЕСТВА ЗЕНИТНЫХ ФОНАРЕЙ
ДЛЯ ЕСТЕСТВЕННОГО ОСВЕЩЕНИЯ ПОМЕЩЕНИЯ
ПРОИЗВОДСТВЕННОГО ЗДАНИЯ
Требуется определить необходимое количество зенитных фонарей для естественного освещения помещения, проектируемого для строительства в г. Джезказгане в многопролетном производственном здании с пролетами 24 м и высотой помещений 9 м, где предполагается выполнение зрительных работ IV разряда. Для освещения здания используются зенитные фонари с размером световых проемов 3 x 6 м, взаимозаменяемые с железобетонными плитами покрытия. Элементами светопропускающего заполнения фонарей являются двухслойные стеклопакеты.
Расчет естественного освещения производим для участка помещения здания, ограниченного размером 24 x 72 м. Необходимое количество фонарей определяем по
формуле (1)
Нормируемое значение к.е.о. eн определяем с учетом особенностей светового климата района строительства
eн = emC,
где e - значение к.е.о., %, с учетом характера зрительной работы, определяемое по табл. 1 главы СНиП по проектированию естественного освещения. Для IV разряда зрительных работ e = 4;
m - коэффициент светового климата. Для района г. Джезказгана m = 0,9;
C - коэффициент солнечности климата. Для указанного района строительства C = 0,85.
Согласно указаниям главы СНиП по проектированию естественного освещения (табл. 14) световая характеристика проемов фонарей

принимается равной 1,62.
Коэффициент r2 = 1,15, учитывающий повышение к.е.о. при верхнем освещении, благодаря свету отраженному от поверхностей помещения принят по табл. 9 главы СНиП по проектированию естественного освещения.
Общий коэффициент светопропускания

определен в соответствии с п. 3.3 СНиП II-А.8-72 по формуле

,
где

- коэффициент светопропускания двухслойного стеклопакета;

- коэффициент, учитывающий снижение светопропускания переплетами;

- коэффициент, учитывающий снижение светопропускания за счет загрязнения;

- коэффициент, учитывающий потери света в несущих конструкциях покрытия;

- коэффициент, учитывающий снижение светопропускания в предохранительной сетке.
Для определения

выявляем необходимость устройства солнцезащиты помещений в зависимости от величины теплопоступлений.
По
формуле (15) находим величину теплопоступлений в г. Джезказгане за летний период между равноденствиями
Сумма часовых значений суммарной радиации

на горизонтальную поверхность за дневную смену в течение 6 летних месяцев (с V по IX) составляет 23 800 кДж/м
2 (табл. 10 раздела 1 первой части "Справочника по климату СССР"). Средняя величина продолжительности солнечного сияния в течение 6 летних месяцев за дневную смену составляет 257,5 ч (табл. 4 раздела 1 первой части "Справочника по климату СССР").
Таким образом,

.
W превышает нормируемую величину теплопоступлений (35 x 10
4 кДж/м
2), что требует применения солнцезащитных устройств. Тип солнцезащитного устройства - ориентированный опорный контур, для которого

, выбираем по
табл. 2.
Площадь светового проема фонаря Sф = 18 м2, а площадь освещаемого помещения Sп = 24·72 = 1728 м2. Для освещения указанной площади необходимо следующее число зенитных фонарей:
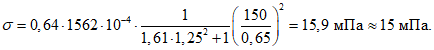
ТЕПЛОТЕХНИЧЕСКИЙ РАСЧЕТ СВЕТОПРОПУСКАЮЩЕГО ЗАПОЛНЕНИЯ
ЗЕНИТНОГО ФОНАРЯ
Требуется проверить возможность выпадения конденсата на нижней поверхности светопропускающего заполнения зенитного фонаря, установленного в покрытии производственного здания, расположенного в Москве, и при необходимости определить количество дополнительного тепла в подфонарном пространстве и вид нагревательных устройств, требуемых для удаления конденсата. Размеры светового проема фонаря 1,2 x 1,4 м. Светопропускающее заполнение выполнено из двухслойного стеклопакета. Высота помещения
H = 6 м; градиент повышения температуры по высоте помещения

. Относительная влажность внутреннего воздуха в помещении

; температура в рабочей зоне помещения
tв = 18 °C.
Средняя температура наиболее холодной пятидневки (табл. 1 главы СНиП по строительной климатологии и геофизике) для Москвы составляет tн = -25 °C.
По
формуле (5) определяем температуру в подфонарном пространстве
По
формуле (4) находим температуру поверхности светопропускающего заполнения зенитного фонаря со стороны помещения
Принимаем, что в помещении влажность в зимнее время снижается на 12%;
по
табл. 4 для
tв = 18 °C и

находим
tр = 6,8 °C.
Температура поверхности светопропускающего заполнения со стороны помещения ниже температуры точки росы внутреннего воздуха (
tр >
tп), что указывает на возможность образования конденсата. Для его устранения необходим дополнительный обогрев подфонарного пространства. Для этой цели используются трубчатые нагреватели, размещаемые по нижнему периметру опорного контура фонаря. Общая длина нагревателей 5 м. По графику рис. 3 при

и
tн = -25 °C определяем расход дополнительного тепла на 1 м
2, необходимого для устранения образования конденсата
qдоп = 370 Вт/м2.
По
формуле (9) находим расход дополнительного тепла на один фонарь
Qдоп = qдопF = 370·1,2·1,4 = 620 Вт.
По
формуле (12) определяем температуру в подфонарном пространстве с учетом дополнительного обогрева
Принимаем температуру нагревателей 80 °C и по
формулам (13) и
(14) находим коэффициенты теплоотдачи нижней поверхности фонаря и поверхности нагревательного прибора
Площадь теплоотдающей поверхности нагревателей определяем по
формуле (10)
Для уменьшения диаметра трубчатых нагревателей устанавливаем их в два ряда. Общая длина нагревателей составит 10 м. Тогда
СТАТИЧЕСКИЙ РАСЧЕТ СВЕТОПРОПУСКАЮЩЕГО ЗАПОЛНЕНИЯ
ЗЕНИТНОГО ФОНАРЯ
Требуется определить толщину стекла, имеющего размер 1,2 x 1,5 м, применяемого для устройства светопропускающего заполнения зенитного фонаря производственного здания, строящегося в Москве.
Определяем расчетную снеговую нагрузку на стекло в соответствии с
пп. 5.2 и
5.7 главы СНиП по нагрузкам и воздействиям.
Нормативная снеговая нагрузка составляет
qн = 1000 Н/м2, расчетная qр = 1400 Н/м2.
Принимаем толщину стекла равной 6,5 мм.

;
Rи = 15 мПа;
m' = 1;
Стекло удовлетворяет условию прочности.
ОПРЕДЕЛЕНИЕ ПРИВЕДЕННЫХ ЗАТРАТ НА УСТРОЙСТВО
ПОКРЫТИЯ С ЗЕНИТНЫМИ ФОНАРЯМИ
Требуется определить приведенные затраты на устройство покрытия промышленного здания в Москве с зенитными фонарями, имеющими размер светового проема 1,2 x 1,4 м. Для устройства светопропускающего заполнения использованы двухслойные купола из органического стекла. Покрытие здания двухскатное и состоит из железобетонных плит размером 3 x 6 м; утеплитель - керамзитобетонные плиты толщиной 110 мм; гидроизоляция - трехслойный рулонный ковер по цементной стяжке.
Принятое количество зенитных фонарей обеспечивает в рабочей зоне помещений к.е.о. = 3%.
Расчет производим для участка помещения, имеющего размер 18 x 72 м, на котором установлено 54 фонаря.
Капитальные затраты на строительно-монтажные работы и сантехнические устройства на 1 м2 здания определены на основании сметных расчетов, составленных по действующим нормативным документам для I территориального района.
Капитальные затраты составили на устройство покрытия с фонарями - Кстр = 18,1 руб./м2, воздушного отопления - Кот = 0,2 руб./м2, приточной вентиляции - Квент = 3,3 руб./м2.
Таким образом:
К = Кстр + Кот + Квент = 18,1 + 0,2 + 3,3 руб./м2.
Э = Эам + Эт.р + Эот + Эвент + Эпр + Эсн руб./м2.
Эксплуатационные расходы на амортизацию конструкций находим по
формуле (22). При этом принимаем
Нрен = 2,5% и
Нк.р = 2,2%
(приложение 2)
Эксплуатационные расходы на отопление определяем по
формуле (24)
Нормы амортизационных отчислений

и затрат на текущий ремонт

находим из
табл. 9 как для производств, не относящихся к химической промышленности:

;

.
Нормируемую температуру внутреннего воздуха для данного производства определяем из
табл. 5 СН 245-71 "Санитарные нормы".
tв = 17 °C.
Расчетную температуру наружного воздуха tн находим по табл. 1 главы СНиП по строительной климатологии и геофизике. Для г. Москвы она составляет - 25 °C.
С учетом двухсменной работы предприятия и температуры внутреннего и наружного воздуха определяем по
табл. 7
Потери тепла через 1 м2 глухого участка покрытия определяются по формуле
Принимаем сопротивление теплопередаче покрытия

.
Потери тепла через 1 м2 покрытия с фонарями составляют
Q' = [64(72·18 - 1,2·1,4·54) + 264·54]:(72·18) = 70 Вт/м2.
Эксплуатационные затраты на отопление находим по
формуле (24)
Эксплуатационные расходы на вентиляцию определяются по
формуле (25)
Согласно сметным расчетам Сзар = 0,48 руб./м2; Сэ = 0,78 руб./м2.
Откуда Эвент = 1,3[3,3(0,12 + 0,024) + 0,48] + 0,78 = 2 руб./м2.
Эксплуатационные расходы на очистку остекления от загрязнения на 1 м2 покрытия (Эпр) определяем по формуле
Принимаем величину расходов на очистку 1 м
2 остекления от загрязнения

как для производств с количеством аэрозолей в воздухе менее 0,05 мН - 0,31 руб./м
2 (приложение 3). Тогда
Согласно
приложению 4 определяем эксплуатационные расходы на очистку кровли от снега. Для многопролетных зданий с двухскатными кровлями и зенитными фонарями, строящихся в г. Москве (III снеговой район),
Эсн = 0,135 руб./м
2.
Таким образом, среднегодовые эксплуатационные расходы на покрытие и сантехнические устройства составляют
Э = 0,85 + 0,42 + 0,02 + 0,135 + 0,7 + 2 = 4,13 руб./м2.
Приведенные затраты на 1 м
2 покрытия определяем по
формуле (19)
П = EнК + Э = 0,12·21,6 + 4,13 = 6,72 руб./м2.