Главная // Актуальные документы // НормыСПРАВКА
Источник публикации
М.: ОАО "Гипроречтранс", 2002
Примечание к документу
Взамен Временных
норм технологического проектирования портов и пристаней (утверждены Минречфлотом РСФСР 25.12.1975);
Руководства по проектированию речных портов (утверждено Минречфлотом РСФСР 19.11.1982), допускается использование Руководства в той части, которая не противоречит настоящим нормам.
Название документа
"Нормы технологического проектирования портов на внутренних водных путях"
(утв. Службой речного флота Минтранса России 01.12.1997)
"Нормы технологического проектирования портов на внутренних водных путях"
(утв. Службой речного флота Минтранса России 01.12.1997)
Заместитель руководителя
Службы речного флота
Минтранса России
А.М.ЗАЙЦЕВ
декабрь 1997 года
НОРМЫ
ТЕХНОЛОГИЧЕСКОГО ПРОЕКТИРОВАНИЯ ПОРТОВ
НА ВНУТРЕННИХ ВОДНЫХ ПУТЯХ
Генеральный директор Д.В. Чимбуров.
Главный инженер, к.т.н. В.Ф. Самарин.
Главный инженер проекта В.А. Кузнецов.
1. Разработаны Открытым акционерным обществом "ГИПРОРЕЧТРАНС".
В разработке настоящего нормативного документа участвовали:
- от Гипроречтранса - Д.В. Чимбуров;
В.А. Кузнецов (руководитель темы), к.т.н. В.Ф. Самарин, В.З. Востоков, Б.А. Садков, В.П. Филатов, А.Л. Ренковский, В.Д. Смирнов, Л.В. Сысоев, В.И. Плотникова, В.Е. Ристлакки, В.И. Федоряк, В.А. Большаков, Е.Н. Кузин;
- от Росречфлота - В.И. Никишин.
Внесены Службой речного флота Минтранса России (Отдел развития водных путей Департамента внутренних водных путей; Отдел портов Департамента регулирования производственной деятельности речного транспорта).
2. Утверждены и введены в действие Службой речного флота Минтранса России.
3. Взамен:
- Руководства по проектированию речных портов (утверждено Минречфлотом РСФСР 19.11.1982), допускается использование Руководства в той части, которая не противоречит настоящим нормам.
4. Согласованы:
- Государственным комитетом Российской Федерации по охране окружающей среды (Письмо от 06.12.1996 N 02-12/32-4331);
- Госкомсанэпиднадзором России (Письмо от 09.01.1996 N 01-13/9-11);
- Госстроем России (Письмо Главгосэкспертизы при Госстрое России от 04.07.1995 N 24-7-1/5-106; корректировка по заключению N 7-1/5-106-II);
- Главным управлением Государственной противопожарной службы МВД России (Письмо от 19.06.1995 N 20/2.2/1160);
- Центральным комитетом Профсоюза работников водного транспорта Российской Федерации (Письмо от 25.07.1996 N 3.06/171).
5. Подготовлены к изданию и изданы ОАО "Гипроречтранс" на основании директивного указания Заместителя министра транспорта Российской Федерации от 26.03.2002 N НС-26-565.
Настоящие нормы технологического проектирования речных портов разработаны с целью создания единого нормативного документа и установления необходимых нормативных положений, соблюдение которых позволит обеспечить:
соответствие транспортных услуг и строительной продукции своему назначению и требованиям потребителя (заказчика);
рациональное использование материальных и трудовых ресурсов, повышение эффективности капитальных вложений без снижения необходимого уровня надежности строительных конструкций и систем инженерного оборудования зданий и сооружений речных портов.
Основная направленность норм и технических требований - защита прав и охраняемых законом интересов потребителей строительной продукции и повышение ее качества, а также оптимизация проектных решений, принимаемых на всех этапах создания и эксплуатации объектов речного транспорта.
Учитывая возросшие требования в области охраны окружающей среды, необходимость соблюдения действующих нормативных актов и документов, которые необходимо учитывать с целью уменьшения наносимого природной среде ущерба при строительстве и эксплуатации речных портов, а также обеспечения экологической безопасности населения, одновременно с разработкой настоящих Норм, Гипроречтрансом при участии Ленморниипроекта были разработаны разделы "Оценка воздействия на окружающую среду" и "Охрана окружающей среды", подлежащие использованию при обосновании инвестиций в строительство и в проектах на строительство. Эти разделы оформлены в виде отдельного документа (
п. 6.65, Приложение 1), поэтому в настоящих Нормах в
подразделе 4.9 приведена только необходимая ссылка.
В настоящее время существенно возросли международные связи России с зарубежными странами, что привело к увеличению объема перевозок экспортно-импортных грузов, пассажиров, въезжающих (или выезжающих) в Россию. Кроме того, из-за распада СССР существенно изменился также порядок перевозок пассажиров между Россией и рядом стран СНГ, прием и оформление которых должны осуществляться по международным стандартам, т.е. с пограничным, таможенным и другими видами контроля не только в морских, но и в речных портах.
В связи с необходимостью интеграции внутреннего водного транспорта в общеевропейскую водно-транспортную сеть, важностью участия России в едином Европейском рынке по предоставлению на внутренних водных путях транспортных услуг Минтрансом России приняты соответствующие решения о подготовке к открытию ряда устьевых портов для приема и обработки в них иностранных судов. Среди первоочередных задач, как одной из обязательных и достаточно сложных, является необходимость создания в портах, которые будут открыты для захода иностранных невоенных судов, режимных зон, таможенных складов и др. зданий и сооружений, включая их обустройство и оборудование.
С учетом изложенных выше обстоятельств необходимо учитывать действующие нормативные документы, регламентирующие нормативные требования по проектированию и строительству зданий и сооружений, предназначенных для пропуска грузов и пассажиров через государственную границу иностранных и российских судов заграничного плавания, членов экипажа, грузов и пассажиров, отражающие специфику пограничного, таможенного и др. видов контроля в речных и морских портах.
Основные положения и специфические требования, касающиеся условий пограничного и других видов контроля в речных портах, приведены в (в
подразделе 4.6).
Нормативные требования, включенные в настоящий документ, отражают отраслевую специфику, которую необходимо учитывать с целью достижения наилучшей эффективности при строительстве и эксплуатации зданий, сооружений и транспортного флота на внутренних водных путях Российской Федерации.
Дополнительные цели и задачи, если таковые ставятся при разработке проектной документации (например: использование зданий и сооружений порта в межнавигационный период, т.е. не только по их прямому назначению; деятельность порта в кооперации с другими предприятиями и т.п.), в настоящих нормах не регламентируются и могут быть отражены и реализованы Заказчиками (инвесторами), проектными организациями и др. участниками инвестиционного процесса.
Настоящий нормативный документ устанавливает нормы и технические требования на проектирование речных портов, портовых районов и участков, а также отдельных причалов на внутренних водных путях Российской Федерации.
Положения, нормы и технические требования настоящего документа полежат применению расположенными на территории Российской Федерации предприятиями и объединениями предприятий, в том числе: союзами, ассоциациями, концернами, акционерными обществами, научно-исследовательскими и проектно-конструкторскими организациями, межотраслевыми, региональными и другими объединениями, независимо от форм собственности и подчинения (принадлежности к системе Минтранса России).
Нормативные акты и руководящие документы, на которые даны ссылки в тексте настоящего нормативного документа, а также основные документы, требования которых следует учитывать при разработке предпроектной и проектной документации, приведены в
Приложении 1.
В настоящем нормативном документе применены термины и определения в соответствии с
Приложением 2.
4. НОРМЫ И ТЕХНИЧЕСКИЕ ТРЕБОВАНИЯ
4.1. Грузооборот и пассажирооборот, классификация
4.1.1. Грузооборот и пассажирооборот при строительстве, расширении, реконструкции и техническом перевооружении речного порта принимают на основании специальных экономических изысканий, выполняемых по заданию организации-заказчика, или непосредственно по данным заказчика проектной документации.
4.1.2. Категорию порта (грузового района, участка, причала) следует принимать в соответствии с его основными характеристиками по табл. 4.1.1
(СНиП 2.06.01-86), где среднесуточный грузооборот (пассажирооборот) определяется отношением грузооборота (пассажирооборота) порта к эксплуатационному периоду навигации.
Таблица 4.1.1
┌─────────┬───────────────────────────┬───────────────────────────────────┐
│Категория│Среднесуточный грузооборот,│ Среднесуточный пассажирооборот, │
│ порта │ условные т │ условные пассажиры │
├─────────┼───────────────────────────┼───────────────────────────────────┤
│ 1 │ Более 15000 │ Более 2000 │
│ 2 │ 3501 - 15000 │ 501 - 2000 │
│ 3 │ 751 - 3500 │ 201 - 500 │
│ 4 │ 750 и менее │ 200 и менее │
└─────────┴───────────────────────────┴───────────────────────────────────┘
4.1.3. Среднесуточный грузооборот и среднесуточный пассажирооборот в условных единицах следует определять умножением величины заданных (фактических) грузооборота по видам грузов и количества пассажиров на соответствующие коэффициенты приведения, принимаемые по табл. 4.1.2 и
4.1.3.
Таблица 4.1.2
┌─────────────────────────────────────────────────────────────┬───────────┐
│ Вид груза │Коэффициент│
│ │приведения │
├─────────────────────────────────────────────────────────────┼───────────┤
│1. Тарно-штучные и упаковочные │ 5,0 │
│2. Металлогрузы, оборудование, железобетонные изделия │ 3,8 │
│3. Контейнеры: │ │
│ - универсальные среднетоннажные │ 3,3 │
│ - то же, крупнотоннажные │ 2,2 │
│ - специальные │ 3,5 │
│4. Лесные грузы: │ │
│ - пакетированные │ 2,6 │
│ - россыпью │ 3,4 │
│5. Уголь │ 1,0 │
│6. Руда │ 1,1 │
│7. Соль: │ │
│ - молотая │ 2,4 │
│ - комовая │ 1,6 │
│8. Щебень, гравий │ 1,1 │
│9. Камень строительный │ 2,0 │
│10. Песок и песчано-гравийная смесь: │ │
│ - выгружаемые средствами гидромеханизации │ 0,6 │
│ - выгружаемые другими средствами механизации │ 0,8 │
│11. Апатитовый концентрат, минеральные удобрения насыпью │ 1,9 │
│12. Цемент насыпью │ 4,0 │
│13. Зерновые грузы насыпью │ 2,5 │
│14. Нефтегрузы наливом │ 1,1 │
└─────────────────────────────────────────────────────────────┴───────────┘
┌─────────────────────────────────────────────────────────────┬───────────┐
│ Характеристика пассажирооборота │Коэффициент│
│ │приведения │
├─────────────────────────────────────────────────────────────┼───────────┤
│1. Пассажиры местных линий │ 1,00 │
│2. Пассажиры транзитных линий │ │
│3. Пассажиры пригородных и внутригородских линий │ 0,15 │
└─────────────────────────────────────────────────────────────┴───────────┘
4.1.4. При размещении грузовых и пассажирских причалов в общем причальном фронте категорию порта следует принимать по наибольшему значению из определенных отдельно среднесуточных грузооборота и пассажирооборота.
4.1.5. Категорию входящих в состав порта отдельных районов, участков или причалов, расположенных на обособленной территории и не входящих в состав общего причального фронта, следует устанавливать исходя из грузооборота или пассажирооборота только этих структурных подразделений, а не всего порта.
4.1.6. При реконструкции или расширении действующего порта, связанных с увеличением грузооборота (пассажирооборота), его категорию следует определять с учетом нового возросшего грузооборота (пассажирооборота).
4.1.7. Основные характеристики транспортного флота в зависимости от использования на различных участках судоходных путей приведены в табл. 4.1.4.
Таблица 4.1.4
Основные характеристики водных путей и транспортного флота
В метрах
┌──────────────────────┬────────────────────┬───────────────────┬─────────┐
│ Класс водного пути │ Глубина судового │ Расчетные │Расчетная│
│ (участка) │хода на перспективу │ ширина/длина │надводная│
│ │ │ состава │ высота │
│ ├────────┬───────────┼─────────┬─────────┤ судна │
│ │Гаранти-│Средненави-│судового │плотового│ │
│ │рованная│гационная │ │ │ │
├──────────────────────┼────────┼───────────┼─────────┼─────────┼─────────┤
│1 - сверхмагистральные│Св. 3,2 │ Св. 3,4 │ 36/220 │ 110/830 │ 15,2 │
│ │ │ │ или │ или │ │
│ │ │ │ 29/280 │ 75/950 │ │
│ │ │ │ │ │ │
│2 - то же │Св. 2,5 │ Св. 2,9 │ 36/220 │ 75/950 │ 13,7 │
│ │ до 3,2 │ до 3,4 │ │ │ │
│ │ │ │ │ │ │
│3 - магистральные │Св. 1,9 │ Св. 2,3 │ 21/180 │ 75/680 │ 12,8 │
│ │ до 2,5 │ до 2,9 │ │ │ │
│ │ │ │ │ │ │
│4 - то же │Св. 1,5 │ Св. 1,7 │ 16/160 │ 50/590 │ 10,4 │
│ │ до 1,9 │ до 2,3 │ │ │ │
│ │ │ │ │ │ │
│5 - местного значения │Св. 1,1 │ Св. 1,3 │ 16/160 │ 50/590 │ 9,6 │
│ │ до 1,5 │ до 1,7 │ │ │ │
│ │ │ │ │ │ │
│6 - то же │Св. 0,7 │ Св. 0,9 │ 14/140 │ 30/470 │ 9,0 │
│ │ до 1,1 │ до 1,3 │ │ │ │
│ │ │ │ │ │ │
│7 - то же │ 0,7 и │ От 0,6 │ 10/100 │ 20/300 │ 6,6 │
│ │ менее │ до 0,9 │ │ │ │
└──────────────────────┴────────┴───────────┴─────────┴─────────┴─────────┘
Примечания. 1. В таблице не приведены характеристики судов пассажирского и технического флота (земснаряды, плавкраны и др.), судовых составов, используемых для перевозок крупногабаритного и другого спецоборудования, которые следует учитывать дополнительно, исходя из конкретных условий проектируемого порта.
2. Расчетные значения габаритов плотового состава приведены без учета габаритов вспомогательного буксира-плотовода.
4.2.1. Типы грузовых судов при определении судооборота порта следует выбирать на основе анализа гидрологических особенностей водного объекта, перспективного грузооборота по номенклатуре и объемам, корреспонденции и партионности перевозок грузов, отправляемых из порта и прибывающих в порт, и условий судоходства на участках водных путей, корреспондирующих с портом.
4.2.2. Для определения характеристик выбранных типов судов следует руководствоваться действующей проектной документацией серийных транспортных судов и новых судов, документами Российского Речного Регистра, а также официальными справочниками по серийным транспортным судам отечественного и зарубежного производства.
4.2.3. Для определения судооборота на расчетный срок

следует перспективный грузооборот распределять по направлениям перевозок грузов (отправление, прибытие) и принятым типам судов. Судооборот порта по прибытию и отправлению груженых и порожних судов устанавливают по видам грузов с учетом типов судов и обратной их загрузки и определяют по формуле:

, (4.1)
где M - количество видов грузов;

- перспективный грузооборот по каждому виду груза, т;

- эксплуатационная грузоподъемность судна, принятая для перевозки каждого вида груза, т
<*>.
--------------------------------
<*> В расчетах допускается принимать по диспетчерским справочникам.
Судооборот в наиболее напряженные сутки

определяют по формуле

, (4.2)
где

- коэффициент неравномерности перевозок грузов;

- эксплуатационный период навигации по отправлению или прибытию, сут.
4.2.4. Коэффициенты неравномерности перевозок грузов следует определять для реконструируемых портов на основе анализа объема отправления и прибытия грузов по порту по месяцам, а для реконструируемых портов для перегрузки новых видов грузов и для вновь проектируемых портов - на основе анализа объема отправления и прибытия грузов по одному из действующих портов, который по условиям работы и грузообороту приближается к проектируемому.
Расчет коэффициента неравномерности перевозок отдельных видов грузов следует выполнять в следующем порядке:
Определяют на основе установленного эксплуатационного периода навигации среднее количество месяцев

по перевозкам грузов за отчетные годы по формуле

, (4.3)
где

- эксплуатационный период навигации, сут.;
30,5 - среднее количество суток в месяце.
Рассчитывают количество грузов, перевозимых в среднем за один месяц

по формуле

. (4.4)
Находят коэффициент неравномерности перевозок грузов по формуле

, (4.5)
где

- максимальный объем перевозок за месяц.
4.2.5. Пассажирские линии на расчетный срок для проектируемого порта по видам сообщения, частота отправления и типы пассажирских судов устанавливаются на основе перспективного пассажирооборота и анализа существующих расписаний работы пассажирского флота.
Основные характеристики пассажирских судов принимаются по действующей проектной документации серийных и новых судов, документам Российского Речного Регистра, а также официальным справочникам по серийным транспортным судам.
4.3. Технология перегрузочных работ,
обработки и обслуживания флота
4.3.1. В технологической части проекта порта должны быть разработаны технологические схемы производства перегрузочных работ, определены состав, типы и количество перегрузочного оборудования и приспособлений, количество и специализация причалов, длина причального фронта, вместимость и площади складов по видам грузов, количество, протяженность и оснащение грузовых фронтов для обработки железнодорожных вагонов и автомобилей, штаты персонала (по специальностям и должностям), занятого на перегрузочных работах.
4.3.2. Технологические решения по причалам должны обеспечивать безопасные условия труда производственного персонала, сохранность грузов, а также защиту окружающей среды от загрязнения. Они должны обеспечивать перегрузку заданного объема груза, базироваться на применении высокопроизводительного оборудования и передовых методов производства перегрузочных работ, обеспечивающих сокращение количества ручных операций и соответствовать требованиям технических условий погрузки, выгрузки и размещения грузов в судах, вагонах, автомобилях и на складах.
4.3.3. На основе анализа исходных данных о природных условиях территории в районе размещения порта (геолого-географических, геоморфологических и др.), информации о современных способах перегрузочных работ выполняют экспертную оценку возможных технологических решений и выбирают варианты технологических схем, намечаемых для последующей разработки. Оптимальный вариант технологии и механизации перегрузочных работ следует выбирать путем сравнения технико-экономических показателей вариантов технологических решений и оценки их экологической безопасности.
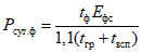
4.3.4. Расчет количества причалов

для каждого из вариантов их механовооруженности следует производить по формуле:

, (4.6)
где

- грузооборот, т,

- коэффициент неравномерности перевозок,

- эксплуатационный период навигации, сут,

- суточный фонд рабочего времени причала принимают равным 23 ч,

- коэффициент учета дополнительных работ, не предусмотренных нормами, для смены длительностью 7 часов

,

- коэффициент, учитывающий время на техническое обслуживание перегрузочных машин и принимаемый: для кранов, работающих в грейферном режиме, перегружателей, поточно-транспортных систем и вилочных погрузчиков - 1,25, для кранов, работающих в крюковом режиме - 1,20,

- количество перегрузочных машин в прикордонной зоне, занятых на погрузке (выгрузке) одного судна, ед.,
Z - коэффициент снижения производительности машин, одновременно занятых на погрузке (разгрузке) судна, учитывающий взаимные помехи в работе, принимают по табл. 4.3.1.
Таблица 4.3.1
┌────────────────────┬────────────────┬───────────────────────────────────┐
│ Тип флота │Грузоподъемность│ Значение Z при числе кранов │
│ │ судна, т │(эта ), обрабатывающих одно судно│
│ │ │ маш │
│ │ ├────────┬────────┬────────┬────────┤
│ │ │ 2 │ 3 │ 4 │ 5 │
├────────────────────┼────────────────┼────────┼────────┼────────┼────────┤
│1. Самоходные суда │ 3750 - 5000 │ 1,00 │ 0,95 │ 0,90 │ 0,80 │
│ │ 2000 - 2700 │ 1,00 │ 0,90 │ 0,80 │ - │
│ │ 1000 - 1800 │ 1,00 │ 0,95 │ 0,85 │ - │
├────────────────────┼────────────────┼────────┼────────┼────────┼────────┤
│2. Несамоходные суда│ 1000 - 2800 │ 1,00 │ 0,95 │ - │ - │
├────────────────────┼────────────────┼────────┼────────┼────────┼────────┤
│3. То же │ 600 - 1000 │ 1,00 │ 0,90 │ - │ - │
│ │ 600 │ 0,95 │ 0,90 │ - │ - │
│ │ 300 │ 0,90 │ - │ - │ - │
└────────────────────┴────────────────┴────────┴────────┴────────┴────────┘
Для неповоротных кранов или специальных перегрузочных машин коэффициент Z необходимо определять отдельным расчетом. При одновременной работе двух кранов в одном трюме с люком длиной до 16 м необходимо также учитывать требования, приведенные в Общих положениях Единых комплексных норм выработки и времени на перегрузочные работы, выполняемые в речных портах и на пристанях (ЕКНВиВ),

- комплексная норма выработки (эксплуатационная производительность) одной технологической линии, принимаемая по ЕКНВиВ, т/см,
Д - грузоподъемность судна, т,

- коэффициент использования грузоподъемности судна,

- дополнительное время занятости причала маневровыми вспомогательными операциями судна, ч (зависит от грузоподъемности судна, рода груза, направления грузопотока; см.
Приложение 3).
4.3.5. При суммировании расчетного количества причалов проектируемого порта необходимо учитывать условия специализации причалов по видам грузов и возможность совместной перегрузки и хранения на одном причале различных видов грузов.
4.3.6. Количество причалов по условиям их специализации следует уточнить (скорректировать) путем применения коэффициента специализации

, учитывающего снижение пропускной способности причала в зависимости от количества показателей назначения по табл. 4.3.2.
Таблица 4.3.2
| | ИС МЕГАНОРМ: примечание. Обозначения коэффициентов в таблице даны в соответствии с официальным текстом документа. | |
┌─────────────────────────┬─────────────────────┬─────────────────────────┐
│ Количество показателей │ Коэффициент │Коэффициент корректировки│
│ назначения причала │ специализации, К │ колич. причалов, К │
│ │ с │ с │
├─────────────────────────┼─────────────────────┼─────────────────────────┤
│ 3 │ 1,00 │ 1,0 │
│ 4 │ 0,91 │ 1,1 │
│ 5 │ 0,83 │ 1,2 │
│ 6 и более │ 0,77 │ 1,3 │
└─────────────────────────┴─────────────────────┴─────────────────────────┘
Показатели назначения причала, приведенные в данной таблице, устанавливают по трем качественным параметрам:
- виду груза,
- направлению грузопотока,
- виду транспорта, взаимодействующего с речным (по отправлению или прибытию).
Например, при трех показателях назначения (один вид груза, одно направление грузопотока, один вид транспорта, взаимодействующего с речным), причал следует считать полностью специализированным. Уровень специализации такого причала определяется коэффициентом

.
При четырех показателях назначения (двух видах груза, одном направлении грузопотока и одном виде транспорта) и более коэффициент специализации снижается, что приводит к необходимости увеличивать количество причалов.
Сортировочные операции с универсальными контейнерами приравнивают к двум показателям назначения.
При двух причалах, специализированных на грузе одного наименования, корректировку допускается производить по одному из этих причалов, при трех - пяти причалах корректировку следует производить не более чем по двум причалам, при шести и более причалах - не более чем по трем причалам, специализированным на грузе одного наименования.
4.3.7. Расчетное количество тыловых перегрузочных машин

, (4.7)
где

- расчетный коэффициент неравномерности грузопотоков (вагонопотоков).
Для вариантов работ по внутрискладской перегрузке грузов (склад-склад, склад-рампа, укладка (разборка) штабеля и т.д.)

,

- расчетный навигационный объем перегрузки грузов по вариантам складских работ и типам перегрузочного оборудования, т.
Для вариантов работ, связанных с обработкой вагонов и автомобилей

определяют, исходя из навигационного грузооборота причала и коэффициента прохождения груза через склад, принимаемого по
табл. 4.3.4 настоящих Норм.
Для вариантов работ по внутрискладской перегрузке грузов

определяют отдельным расчетом на основе принятой технологической схемы перегрузочных работ.
4.3.8. Суточный фонд рабочего времени

перегрузочных машин, работающих в тыловой зоне, должен соответствовать фонду рабочего времени причала при работе по вариантам: "судно-склад", "судно-вагон", "склад-судно", "вагон-судно", "судно-автомобиль" и "автомобиль-судно".
4.3.9. При расчете количества перегрузочных машин и их расстановке в тыловой зоне по технологическим линиям необходимо учитывать зависимость количества оборотов склада от зон складирования.
4.3.10. Количество механизаторов, портовых рабочих, необходимых для производства перегрузочных работ, определяют расчетом, исходя из производительности оборудования, состава звена, суточного фонда рабочего времени по каждому из вариантов перегрузочных работ;
штатную численность инженерно-технических работников и служащих, относящихся к перегрузочным работам (штатную численность оперативно-распорядительного и инженерно-технического персонала по каждому грузовому району), принимают по аналогам действующих речных портов с учетом местных и других условий для конкретного порта.
4.3.11. Потребность в причалах определяют отдельно для водоизмещающих судов транзитных и местных линий, туристских линий, экскурсионно-прогулочных линий, пригородных и внутригородских линий;
скоростных судов всех линий видов сообщений;
судов, обслуживающих переправы.
При этом возможно совмещение на одном причале обслуживания судов двух или более видов сообщений.
Для судов на подводных крыльях, воздушной подушке, а также туристских и экскурсионных судов следует предусматривать отдельные причалы.
4.3.12. При компоновке пассажирского причального фронта необходимо учитывать конкретные условия технологии обработки судов. Причалы для скоростных судов, судов внутригородских линий и переправ следует размещать крайними и предусматривать устройство для безопасного перехода пассажиров с судов на берег и с берега на суда.
На пассажирских причалах необходимо предусматривать средства малой механизации для погрузки-выгрузки багажа, постельного белья, продовольственных и других грузов. Для снабжения пассажирских судов питьевой водой и для обеспечения их на стоянке электроэнергией и подключения к городской телефонной сети на пассажирских причалах предусматривают соответствующие устройства.
При разработке проектов речных вокзалов необходимо предусмотреть требования по обеспечению жизнедеятельности маломобильных групп населения (на путях передвижения инвалидов на колясках внутри здания вокзала и на его территории). С учетом этого необходимо учитывать соответствующее оснащение сооружений, пассажирских причалов и объектов социальной инфраструктуры планировочными, архитектурно-строительными элементами и техническими средствами, обеспечивающими создание "безбарьерной среды" для передвижения престарелых и инвалидов, специально оборудованные пешеходные пути, пандусы, подземные переходы, подъемники, лифты, места на автостоянках, необходимые поручни, ограждения и т.д., состав и характеристики которых следует принимать в соответствии с действующими стандартами, нормативно-техническими документами и заданием на проектирование конкретного порта, пассажирского комплекса, паромного комплекса. (
Постановление Правительства Российской Федерации от 07.12.1996 N 1449;
ВСН 62-91*; Постановление Минстроя России и Минсоцзащиты России от 11.11.1994 N 18-27/14405-15 и др. НТД).
4.3.13. Количество пассажирских причалов

определяют по формуле

, (4.8)
где

- количество судозаходов в течение суток определяется на основе перспективного пассажирооборота по видам сообщений, характеристики проектируемых линий и типов судов;

- продолжительность работы причала в течение суток, ч;

- время занятости причала одним судном для посадки (высадки) пассажиров, швартовными и другими операциями, ч.
Продолжительность работы причалов в течение суток

и время их занятости

определяют на основании анализа действующих расписаний движения пассажирского флота, местных норм и фактических данных о времени обработки пассажирского флота в портах, аналогичных проектируемым по условиям эксплуатации.
В отдельных случаях, когда нет указанных данных, продолжительность работы причалов в течение суток и время занятости их обработкой одного судна принимают по табл. 4.3.3.
Таблица 4.3.3
┌───────────────────────────────────┬─────────────────┬───────────────────┐
│ Наименование линий │Продолжительность│ Время занятости │
│ │работы причалов в│причалов обработкой│
│ │течение суток, ч │ одного судна, ч │
├───────────────────────────────────┼─────────────────┼───────────────────┤
│1. Транзитные │ 18 - 20 │ 1,5 - 2,0 │
│2. Местные │ 18 - 20 │ 1,0 - 1,5 │
│3. Туристские │ 18 - 20 │ 2,0 - 4,0 │
│4. Скоростные │ 14 - 16 │ 0,2 - 0,5 │
│5. Пригородные, внутригородские, │ 18 - 20 │ 0,25 - 0,50 │
│переправы │ │ │
└───────────────────────────────────┴─────────────────┴───────────────────┘
Примечание. Приведенные в таблице данные не относятся к начальным и конечным пунктам линий. Для этих пунктов, в зависимости от конкретных условий, предусматривают (дополнительно к расчетным) причалы для межрейсовой стоянки пассажирских судов.
В. Причалы комплексного обслуживания флота
4.3.14. Для выполнения операций по комплексному обслуживанию флота (КОФ) в проекте следует, как правило, в соответствии с заданием на проектирование предусматривать:
специализированные причалы по приему с судов хозяйственно-бытовых стоков, пищевых отходов и сухого мусора, оборудованные средствами механизации;
служебные причалы;
причалы снабжения флота.
В крупных портах при соответствующем технико-экономическом обосновании необходимо предусматривать специализированные береговые причалы или плавучие очистительные станции для зачистки транспортного флота.
Для размещения перечисленных в настоящем пункте причалов следует, как правило, отводить участки причального фронта, которые по условиям общей компоновки и технологической планировки порта не могут быть использованы в качестве грузовых причалов.
4.3.15. Количество причалов по приему хозяйственно-бытовых стоков и сухого мусора в порту

определяют по формуле

, (4.9)
| | ИС МЕГАНОРМ: примечание. Текст дан в соответствии с официальным текстом документа. | |
где

- суточный объем хозяйственно-бытовых стоков, подлежащих

- суточная пропускная способность по приему стоков одного причала, м3/сут, определяемая по формуле

, (4.10)
где

- время работы причала в течение суток, ч, при трехсменной работе причала

,

- суммарная вместимость цистерн для хозяйственно-бытовых стоков самоходной очистительной станции, м3,
1,1 - коэффициент, учитывающий затраты времени, не предусмотренные нормами,

- время перекачки стоков фекальными насосами плавучей очистительной станции, ч

, (4.11)
где

- эксплуатационная производительность фекального насоса очистительной станции, м3/ч, принимаемая по техническим характеристикам оборудования,

- время занятости причала вспомогательными операциями, принимаемое (с учетом шланговки и расшланговки) при подходе к причалу самоходной очистительной станции: снизу - 0,53 ч, сверху - 0,7 ч, отход от причала вверх или вниз - 0,25 ч.
4.3.16. Объем хозяйственно-бытовых стоков и сухого мусора, подлежащих приему в течение суток, рассчитывают на основе определения суточного судооборота порта с выделением количества зачищаемых судов по формулам:
а) при расчете суточных объемов хозяйственно-бытовых стоков

, (4.12)
где

- общая вместимость фекальных и сточных цистерн каждого типа судна, м3,

- количество судов каждого типа, подлежащих освобождению от хозяйственно-бытовых стоков в течение суток, ед.;
б) при расчете суточных объемов сухого мусора и твердых пищевых отбросов

, (4.13)
где: mi - количество людей на судне данного типа, чел.,

- норма накопления сухого мусора и твердых пищевых отбросов на одного человека в сутки, принимаемые, соответственно, 0,002 м3 и 300 г для всех типов судов
<*>,

- интервал между зачистками каждого типа судна, равный времени, в течение которого фекальные и сточные цистерны полностью заполняются, сут,

,
где

- норма накопления хозяйственно-бытовых стоков на одного человека в сутки, принимаемая:
для крупных пассажирских и туристских судов с индивидуальными душами и умывальниками - 230 л/сут,
для крупных пассажирских и туристских судов с умывальниками в каютах и общими душевыми - 180 л/сут,
для средних пассажирских судов с умывальниками в каютах - 150 л/сут, для крупного грузового (2000 т и более) и буксирного (свыше 600 л.с.) флота - 150 л/сут,
для среднего грузового (менее 2000 т) и буксирного (301 - 600 л.с.) флота - 100 л/сут.,
для мелкого буксирного (300 л.с. и менее) флота - 1 гр. - 70 л/сут,
для скоростных и маломерных пассажирских судов внутригородских линий - 3 л/сут,
для технического флота - 100 л/сут.
--------------------------------
<*> Принято в соответствии с п. 23 Директивного письма МРФ от 10.08.1988 N 111.
4.3.17. При определении объемов хозяйственно-бытовых стоков и сухого мусора, подлежащих приему в порту, учитывают все суда пассажирского, грузового, буксирного, рейдово-маневрового, служебно-вспомогательного, стоечного и технического флота, а также средства плавучей механизации, с учетом коэффициентов неравномерности прибытия и отправления транспортных судов.
4.3.18. В комплекс служебных причалов КОФ входят:
причальное сооружение,
служебно-производственное здание,
средства связи с судами и береговыми подразделениями КОФ,
оперативный склад навигационных материалов и инвентаря,
склад материально-технического снабжения флота,
склад продовольственных и промышленных товаров,
сети водопровода, канализации, связи, тепло- и электроснабжения,
подъемно-транспортные средства для механизации складских работ и экипировки флота,
открытые площадки с твердым покрытием.
4.3.19. Требования к зданиям и сооружениям служебных причалов КОФ определяются заданием на разработку проекта.
4.3.20. Служебные причалы КОФ должны быть оборудованы устройствами для снабжения судов от береговых сетей:
- электроэнергией от электропитательных пунктов, устанавливаемых по длине причала через 25 - 30 м;
- питьевой водой от пунктов подачи воды, оборудованных счетчиками и устанавливаемых не далее 50 м друг от друга; напор в сети водопровода должен быть не менее 20 м.
Кроме того, на причалах, как правило, должны быть устройства для подключения судовых телефонов к городской телефонной сети.
Точки подключения для судов вдоль кордона следует предусматривать, как правило, для электроснабжения - через 25 - 30 м; сетей водопровода, пожарного и теплоносителя через 50 м.
4.3.21. Снабжение судов топливом и смазочными материалами должно осуществляться у бункеровочных станций или судами-бункеровщиками.
Прием и очистка подсланевых вод должны осуществляться плавучими зачистными станциями, а также станциями по сбору и очистке подсланевых вод.
При проектировании грузовых складов, складов материально-технического снабжения, предназначенных для нормального функционирования порта, следует руководствоваться действующими нормативными документами, прямо или косвенно связанными со строительством и эксплуатацией различных типов и назначений складских помещений, а также действующей типовой проектной документацией на склады, область распространения которых удовлетворяет общим требованиям по перевозке и хранению грузов в речных портах.
4.3.22. Склады должны обеспечивать раздельное хранение несовместимых грузов.
Категория складов и класс зоны или участков по взрывопожарной и пожарной опасности хранящихся в них грузов следует определять в соответствии с
НПБ 105-95 "Определение категорий помещений и зданий по взрывопожарной и пожарной опасности",
ГОСТ 12.1.004-91,
ГОСТ 12.1.044-89, Правил устройства электроустановок
(ПУЭ) и др. действующих нормативно-технических документов по вопросам противопожарной безопасности.
4.3.23. Минимальную вместимость грузовых оперативных складов

и коэффициент прохождения грузов через склад

для базовых условий следует принимать по
табл. 4.3.4. Если длительность эксплуатационного периода навигации

отличается от 200 сут, а коэффициент неравномерности

от 1, то грузовместимость склада

следует корректировать по формуле

. (4.14)
┌────────────────────────────────────┬────────────────┬───────────────────┐
│ Наименование груза │ Вместимость │Средний коэффициент│
│ │ оперативных │ прохождения груза │
│ │грузовых складов│ через оперативный │
│ │ от расчетного │ склад, K │
│ │ навигационного │ но │
│ │грузооборота, %,│ │
│ │ E │ │
│ │ но │ │
├────────────────────────────────────┼────────────────┼───────────────────┤
│1. Тарно-упаковочные и штучные грузы│ 2,5 │ 1,0 │
│2. Контейнеры универсальные │ 2,5 │ 1,0 │
│(средне-тоннажные, крупнотоннажные) │ │ │
│и специальные │ │ │
│3. Металлогрузы (металлические │ 2,5 │ 1,0 │
│изделия и оборудование) │ │ │
│4. Сборные железобетонные изделия │ 2,5 │ 1,0 │
│и конструкции │ │ │
│5. Лес круглый, пиломатериалы │ 4,5 │ 0,6 │
│6. Уголь: - при одной марке │ 9,0 │ 0,8 │
│ - при двух марках │ 7,0 │ 0,9 │
│ - при трех марках │ 4,0 │ 0,8 │
│7. Руда: │ │ │
│ - при одной марке │ 13,0 │ 0,8 │
│ - при двух марках │ 11,0 │ 0,8 │
│ - при трех марках │ 8,0 │ 0,8 │
│8. Щебень, гравий, камень │ 7,0 │ 0,8 │
│9. Песок и песчано-гравийная смесь │ 12,0 │ 0,8 │
│10. Соль │ 10,0 │ 0,8 │
└────────────────────────────────────┴────────────────┴───────────────────┘
При этом вместимость склада причала, специализированного на перегрузке одного вида (марки, сорта, фракции) груза, не должна быть меньше грузоподъемности двух расчетных судов для лесных и навалочных грузов и не меньше грузоподъемности одного расчетного судна для остальных грузов.
4.3.24. Расчетная вместимость склада причала, на котором предусматривается перегрузка нескольких видов (марок, сортов, фракций) лесных или навалочных грузов открытого хранения, должна соответствовать значениям, приведенным в
табл. 4.3.4 (с учетом корректировки), и быть достаточной для хранения объема каждого из видов груза, прибывающего или отправляемого в одном наиболее характерном для данного груза расчетном судне.
4.3.25. Если технологической схемой склада для его отдельных зон предусматривается возможность раздельной обработки штабелей грузов, то такие зоны следует дифференцировать по интенсивности оборачиваемости грузов.
4.3.26. Вместимость хранилищ специального назначения (элеваторов, холодильников, лесных барж, резервуаров нефтебаз, баз материально-технического снабжения, перевалочных баз и др.) определяют на основе отдельного технико-экономического обоснования (в зависимости от конкретных условий перевозок грузов и особых требований к работе порта).
Нормативы, приведенные в
табл. 4.3.4, на указанные в настоящем пункте склады не распространяются.
4.3.27. При разработке проектов расширения, реконструкции или технического перевооружения действующих портов грузовместимость складов допускается принимать по данным обследования конкретного порта.
4.3.28. Вместимость складов межнавигационного хранения грузов должна определяться заданием на проектирование либо отдельным технико-экономическим расчетом с учетом преимуществ доставки водным транспортом грузов в объеме круглогодовой потребности (по сравнению с доставкой межнавигационной потребности этих грузов другими видами транспорта) и использования в межнавигационный период на вагонных, автомобильных и складских операциях портовых сооружений, средств механизации и производственного персонала.
4.3.29. Количество грузов, укладываемых на 1 м2 площади открытых и закрытых складов, определяется условиями складских работ, допускаемыми нагрузками на пол (покрытие) склада и требованиями сохранности груза и его упаковки. Средняя масса груза, укладываемого на 1 м2 площади склада, занятой под складирование, приведена в
Приложении 4.
Масса грузов, укладываемых на 1 м2, не приведенных в
Приложении 4, устанавливается при проектировании, исходя из характеристики груза и возможной высоты складирования.
При хранении смешанных мелкопартионных тарно-штучных грузов расчетную массу груза, укладываемого на 1 м2 в открытых (закрытых) складах, рекомендуется принимать равной 1,5 т.
4.3.30. Коэффициент использования основной площади открытых и закрытых складов необходимо принимать по данным
Приложения 5.
При этом за основную площадь склада следует принимать: для закрытых складов - полезную площадь склада за вычетом площади встроенных подсобных и вспомогательных помещений,
для открытых складов - полезную площадь открытой площадки за вычетом площадей, занимаемых внутрискладскими автомобильными и железными дорогами, крановыми путями, оперативными площадками для передачи грузов с одной перегрузочной машины на другую и для приема (сдачи) груза, площадками под погрузку (разгрузку) автомобилей, площадками для размещения торцевальных машин, смены грейферов, строповки зачистных и трюмных машин.
4.3.31. Организация в порту базисного склада должна быть обоснована отдельным заданием заказчика или технико-экономическим расчетом. При этом, наряду с другими факторами, следует учитывать преимущества, возникающие вследствие доставки водным транспортом грузов в объемах круглогодовой потребности (по сравнению с доставкой межнавигационной потребности этих грузов другими видами транспорта) и использования в межнавигационный период на вагонных, автомобильных и внутрискладских операциях портовых сооружений, средств механизации и производственного персонала.
4.3.32. Продолжительность хранения грузов на базисных складах должна отвечать требованиям по обеспечению сохранности, качества и физико-химических свойств грузов.
4.3.33. Потребную площадь закрытых и открытых базисных складов определяют исходя из установленной грузовместимости по действующим нормативам использования основной площади склада под чистое складирование, количества груза, укладываемого на 1 м2 площади склада, требований по обеспечению противопожарной безопасности и др.
4.3.34. Если необходимость организации в порту базисных складов ожидается после первых нескольких лет его эксплуатации, то в тыловой части портовой территории следует резервировать соответствующие площади.
б) Склады материально-технического снабжения
4.3.35. Склады материально-технического снабжения в речных портах предназначены для хранения сменно-запасных частей, инструмента, оборудования и навигационных материалов, необходимых для нормального и надежного функционирования порта.
4.3.36. Нормативную производственную площадь закрытых складов материально-технического снабжения портов в зависимости от суммы годовых эксплуатационных расходов порта рекомендуется принимать по табл. 4.3.5.
Таблица 4.3.5
┌────────────────────────┬────────────────────────────────────────────────┐
│ Сумма годовых │ Нормативная суммарная площадь складов │
│ эксплуатационных │ материально-технического снабжения, м2 │
│ расходов порта, ├───────────────────────┬────────────────────────┤
│ тыс. руб. │ для портов, состоящих │ для портов с грузовыми │
│ (в ценах 1991 года) │ из грузовых районов, │районами, расположенными│
│ │ расположенных │ на одной площадке или │
│ │на отдельных площадках │ на отдельных площадках │
│ │ при расстоянии между │ при расстоянии между │
│ │ ними более 2 км │ ними менее 2 км │
├────────────────────────┼───────────────────────┼────────────────────────┤
│ 800 │ 210 │ 170 │
│ 1560 │ 400 │ 300 │
│ 2400 │ 550 │ 400 │
│ 3100 │ 670 │ 480 │
│ 3900 │ 780 │ 550 │
│ 4700 │ 870 │ 630 │
│ 5500 │ 910 │ 690 │
│ 6200 │ 1050 │ 750 │
│ 7000 │ 1130 │ 800 │
│ 7800 │ 1200 │ 860 │
│ 8600 │ 1270 │ 900 │
│ 9400 │ 1340 │ 950 │
│ 10100 │ 1410 │ 1000 │
│ 10900 │ 1470 │ 1040 │
│ 11700 │ 1530 │ 1080 │
│ 12500 │ 1590 │ 1120 │
│ 13300 │ 1640 │ 1160 │
│ 14000 │ 1700 │ 1200 │
│ 14800 │ 1750 │ 1240 │
│ 15600 │ 1800 │ 1270 │
│ 16400 │ 1860 │ 1310 │
│ 17200 │ 1910 │ 1340 │
│ 17900 │ 1950 │ 1380 │
│ 18700 │ 2000 │ 1410 │
└────────────────────────┴───────────────────────┴────────────────────────┘
4.3.37. В нормативную суммарную площадь закрытых складов материально-технического снабжения входит площадь складов, расположенных во всех грузовых районах порта.
В портах, имеющих приписные пристани, на которых перегрузочные работы выполняются средствами самого порта, производственную площадь складов материально-технического снабжения необходимо увеличить на каждую пристань на 25 - 30 м2. Площадь складов материально-технического снабжения, размещаемых на пристанях, следует учитывать в суммарной площади складов материально-технического снабжения порта.
4.3.38. Минимальная производственная площадь закрытого склада материально-технического снабжения для порта или пристани, находящихся на самостоятельном балансе и выполняющих перегрузочные операции собственными средствами или осуществляющих перевозки приписанным к ним флотом, должна быть не менее 75 м2.
4.3.39. Распределение суммарной площади складов материально-технического снабжения по отдельным районам и приписным пристаням порта следует выполнять при конкретном проектировании. При этом площадь каждого отдельного склада следует округлять в большую сторону до размеров полезной площади ближайшего в ряду повторно применяемого проекта.
4.4. Территория, акватория и водные подходы
4.4.1. Для речных портов за расчетную отметку территории следует принимать:
- при вертикальном профиле набережной - отметку кордона набережной (без учета высоты колесоотбойного устройства),
- при откосном (с бычками, без бычков) или полуоткосном профиле набережной - отметку верхней бровки откоса.
4.4.2. Отметку территории портов определяют в зависимости от их категории, режима уровней рек или водохранилища и уровней ледохода.
4.4.3. Отметку территории портов, расположенных на незарегулированных реках, следует назначать на уровне пика половодья с расчетной вероятностью превышения уровня:
- для портов 1 категории - 1%,
- для портов 2 и 3 категории - 5%,
- для портов 4 категории и пристаней - 10%.
Примечания. 1. При реконструкции или расширении действующего порта и соответствующем технико-экономическом обосновании допускается принимать существующие отметки территории и дна акватории.
2. Отметку территории портов и причалов промышленных предприятий, являющихся их неотъемлемым технологическим звеном и расположенным на общей территории, при соответствующем технико-экономическом обосновании допускается принимать равной отметке территории предприятия.
3. Отметку территории служебных причалов комплексного обслуживания флота, причалов для приема с судов хозяйственно-бытовых стоков, пищевых отходов и сухого мусора следует назначать по категории порта, который они обслуживают.
4.4.4. Отметки территории портов, оснащенных береговым перегрузочным оборудованием, а также застроенных зданиями и сооружениями, должны быть на 0,2 м выше отметки наивысшего уровня ледохода 2% обеспеченности с учетом заторных явлений.
В случае невозможности или экономической нецелесообразности повышения отметки территории должны быть предусмотрены меры, гарантирующие защиту от повреждения ледоходом оборудования, зданий и сооружений.
4.4.5. При выборе отметки территории портов (за исключением территорий причалов с навигационным грузооборотом 5,0 тыс. т и менее), кроме требований, изложенных в
пункте 4.4.3, необходимо, чтобы перерыв в грузовых работах на причалах в период прохождения расчетного паводка не превышал 2% расчетной продолжительности навигационного периода.
4.4.6. Для портов, на открытых площадках которых складируются грузы, допускающие их кратковременное затопление, допускается снижать отметку территории у кордона, принимая ее по следующей за ней категории. Снижение отметки территории для четвертой категории порта не допускается.
4.4.7. Причалы с навигационным грузооборотом 5 тыс. т и менее допускается устраивать с пониженной площадкой. При этом отметку следует назначать с учетом вида грузов и продолжительности навигационного периода.
Затопляемую площадку необходимо ограждать стационарными или плавучими навигационными знаками.
4.4.8. Для портов и пристаней, расположенных на водохранилищах, отметку территории следует устанавливать, как правило, на 2 м выше нормального подпорного уровня (НПУ). Принятая отметка должна быть не ниже определенной в соответствии с
пп. 4.4.3 -
4.4.6 настоящих Норм.
При надлежащем технико-экономическом обосновании (с учетом эксплуатации инженерных сетей, покрытий, сооружений) превышение отметки территории над НПУ может быть принято не менее 2 м.
4.4.9. В отдельных случаях с учетом рельефа площадки, характера летне-осенних паводков или эксплуатационных условий (типы судов, вид перегрузочных механизмов, возможность подъезда наземного транспорта и др.) отметки территории у кордона причалов портов могут быть выше установленных
пп. 4.4.3 -
4.4.7. Такое повышение должно быть в каждом случае обосновано.
4.4.10. Отметка пола закрытых складов, служебных зданий порта в зависимости от его категории должна быть не ниже уровня пика половодья с вероятностью превышения:
- при категории порта - 1 - 0,5%
- при категории порта - 2 и 3 - 1,0%
- при категории порта - 4 и пристаней - 5,0%.
4.4.11. С целью обеспечения поверхностного стока территория порта должна быть спланирована в сторону водоприемных или водоотводных устройств. При этом уклоны открытых площадок для складирования грузов принимают не менее 5 и не более 20 промилле.
При этом отметки полов складов и служебных зданий не должны быть ниже отметки территории.
4.4.12. Уклоны пандусов не должны превышать 120 промилле.
4.4.13. Ширина территории порта принимается из условия размещения на ней перегрузочных механизмов, крановых и железнодорожных путей, площадок для складирования грузов, проездов и площадок для стоянки и маневрирования автотранспорта, закрытых складов, производственных, вспомогательных и пассажирских зданий с соблюдением действующих стандартов, санитарных, противопожарных и других норм.
4.4.14. Территория порта должна иметь ограждение.
Въезд в порт должен иметь помещение-проходную; при территории порта более 5 га необходимо предусматривать не менее двух въездов.
Режим охраны и пропускной системы на проходной и въезде-выезде должен исключать возможность доступа на территорию порта и его объекта посторонних лиц, а также ввоза или вывоза (выноса) грузов и других материальных ценностей без пропусков установленной формы.
4.4.15. Все внутрипортовые и пристанские грузовые площадки, дороги и проезды, как правило, должны иметь твердые покрытия, тип которых устанавливается с учетом климатических условий, в зависимости от рода груза, наличия местных строительных материалов и характеристики безрельсового транспорта.
4.4.16. Покрытие площадок причалов соли и химических грузов должно удовлетворять требованиям действующих нормативно-технических документов по проектированию антикоррозийной защиты железобетонных речных причальных сооружений, открытых грузовых площадок, предназначенных для перегрузки и хранения химических грузов.
Для складов угля, оснащенных специализированным оборудованием с автоматическим ограничением нижнего уровня зачерпывания, допускается применять шлакоглинистые покрытия, а в некоторых случаях при соответствующем обосновании - из мелкого угля.
Расчетные нагрузки КВ-35, КВ-70 соответствуют нагрузке на ось 350 кН контейнеровоза портального типа, автопогрузчика с боковым захватом и 700 кН - от автопогрузчика с фронтальным (передним) захватом груза.
4.4.17. Для уменьшения портовой территории, протяженности инженерных сетей, внутрипортовых автодорог и проездов здания, сооружения и другие элементы порта необходимо размещать компактно с максимальной блокировкой зданий.
4.4.18. Площадь застройки определяют как сумму площадей, занятых зданиями и сооружениями, навесами, открытыми технологическими санитарно-техническими и энергетическими установками, открытыми складами и площадками для хранения груза, эстакадами и галереями, подземными сооружениями (резервуары, погреба, убежища, тоннели, проходные каналы инженерных коммуникаций, над которыми не могут быть размещены здания и сооружения), крановыми путями, площадками перегрузочных устройств, грузовыми площадками в зоне работы средств прикордонной и тыловой механизации, включая проезды и проходы между складируемыми грузами, внутрипортовыми железнодорожными путями и станциями.
При ковшовом варианте расположения порта площадь акватории ковша следует включать в площадь застройки и в общую площадь порта.
В площадь застройки портовой территории не включают отмостки вокруг зданий и сооружений, тротуары, автомобильные дороги, открытые спортивные площадки, площадки для озеленения и для отдыха трудящихся, открытые стоянки индивидуального автотранспорта, а также открытые водоотводные канавы.
4.4.19. В составе порта следует различать следующие территориально-технологические зоны:
- прикордонная зона, на которой размещают причальные сооружения, перегрузочное оборудование, склады, прикордонные и тыловые железнодорожные и крановые пути. Ширина указанной зоны должна определяться принятой технологией производства перегрузочных работ;
- тыловая зона, примыкающая непосредственно к прикордонной, включает в себя районные железнодорожные парки, склады длительного хранения грузов, сооружения и здания производственно-вспомогательного и бытового назначения;
- предпортовая зона, на которой размещают портоуправление, пожарное депо, столовую, магазин, здания, связанные с обслуживанием судоходства и клиентуры порта, площадки для стоянки грузового и легкового (государственного и личного) автотранспорта.
4.4.20. Территория пассажирского района делится на следующие функциональные зоны:
- перрон с причальными сооружениями для посадки и высадки пассажиров,
- вокзал или павильон,
- привокзальная площадь с организацией пешеходных подходов, подъездов, остановочных пунктов и стоянок всех видов транспорта,
- зеленая зона для отдыха и ожидания.
4.4.21. С целью обеспечения противопожарных мероприятий и забора из акватории воды пожарными автомобилями необходимо обеспечить возможность их удобного подъезда к линии кордона через каждые 200 - 250 м причального фронта.
При разнице в отметках территории и минимального уровня воды более 6 м следует разрабатывать специальные мероприятия по забору воды (съезды, установку противопожарных резервуаров и пр.); при разнице в отметках менее 6 м - предусматривать подъезды пожарных автомобилей к линии кордона.
4.4.22. На грузовых и пассажирских районах порта следует предусматривать озеленение и благоустройство территории.
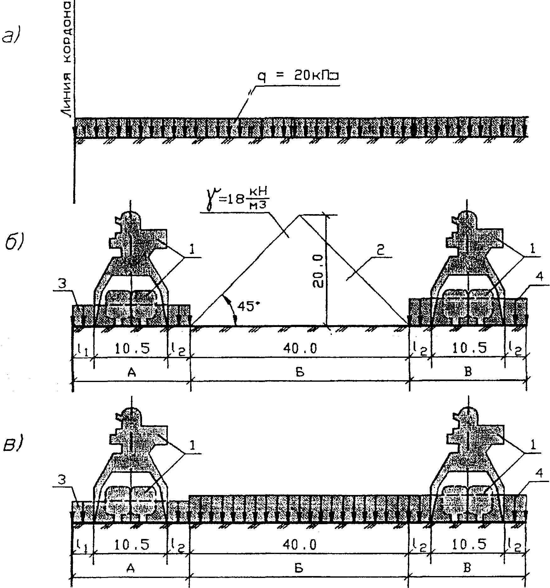
4.4.23. Размеры площадок для стоянки автотранспорта перед въездом в порт и перед погрузочными (разгрузочными) фронтами определяют из расчета 30% часовой потребности и в среднем 25 м2 на один грузовой автомобиль, а для стоянки личного автотранспорта - из расчета 7 - 10 автомобилей на 100 работающих в двух смежных сменах.
Места стоянки грузовых автомобилей в прикордонной зоне, у проходных и других местах следует располагать за пределами проезжей части дорог в виде специально отведенных полос или площадок.
Размеры полос и площадок определяют расчетом в зависимости от количества и типа грузовых автомобилей с учетом принятой схемы
(рис. 4.4.1).
Рисунок 4.4.1. Схемы площадок
для стоянки грузовых автомобилей
а) - параллельно оси дороги; б) - перпендикулярно
оси дороги; в) - под углом к оси дороги
Размеры площадок для одного грузового автомобиля следует принимать в зависимости от типа автотранспортного средства:
а) при ширине автомобиля до 2,75 м
- для одиночного грузового автомобиля L - 12,0 м, B - 3,50 м;
- для автомобиля с полуприцепом - 20,0 м, B - 3,50 м;
- для автомобиля с прицепом L - 24,0 м, B - 3,50 м;
б) при ширине автомобиля более 2,75 м, B принимают равной - 4,50 м; длину площадок L принимают в соответствии с указанными выше.
4.4.24. В состав акватории порта входят акватории причалов, а также, при необходимости, акватории рейдов.
4.4.25. Акваторию причалов, как правило, располагают вне границ транзитного судового хода.
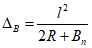
4.4.26. Длину акватории

причала следует назначать в зависимости от длины расчетного судна (состава) и способов его обработки. За расчетное принимается судно (состав), имеющее наибольшую габаритную длину для данного причала.
Углы разворота акваторий (кроме ковшовых)
(рис. 4.4.2) следует назначать, как правило, не менее 150°. Для стесненных и сложных условий угол разворота принимают не менее 135°.
1 - причалы, расположенные в непосредственной близости
от судового хода; 2 - причал, расположенный в стороне
от судового хода; 3 - акватория причалов; 4 - транзитный
или местный судовой ход; 5 - водные подходы к акватории
причалов; 6 - береговая полоса; 7 - направление течения
Рисунок 4.4.2. Схема акваторий причалов и водных
подходов к ним при расположении причалов в русле реки
4.4.27. Ширина акватории причалов

до кромки судового хода или водных подходов при расположении причалов вдоль берега и отсутствии необходимости выполнения оборота судна при отвале его от причала должна быть равна не менее трех ширин расчетного судна B. В случае наличия прижимного течения или криволинейности судового хода это значение может быть увеличено до пяти ширин расчетного судна.
При необходимости выполнения оборота судна при отвале его от причала ширину акватории причала принимают равной 1,5L, где L - длина расчетного судна (без учета буксира-толкача). При этом в отдельных случаях при специальном обосновании допускается использовать для выполнения оборота судна акваторию транзитного судового хода.
За расчетные принимают суда, имеющие наибольшие габаритные ширину и длину для данных причалов.
Ширину акватории причалов, расположенных в ковше, на уровне навигационной глубины, устанавливают равной:
1 - причалы; 2 - акватория причалов; 3 - маневровый рейд;
4 - направление течения; 5 - ось судового хода; 6 - кромка
судового хода; 7 - судно; 8 - береговая полоса
Рисунок 4.4.3. Схемы акватории причалов,
расположенных в ковшах, при размещении причалов:
а) - на одной стороне широкого ковша, допускающего разворот
судов; б) - на обеих сторонах широкого ковша, допускающего
разворот судов; в) - на одной стороне узкого ковша,
не допускающего разворот судна; г) - на обеих сторонах
узкого ковша, не допускающего разворот судов
Если в ковше на каждой из его сторон расположено не более одного причала, ширину ковша с учетом выхода из него самоходных судов задним ходом допускается принимать равной: трем ширинам расчетного судна при расположении причала на одной стороне ковша
(рис. 4.4.3 в), пяти ширинам расчетного судна при их размещении на обеих сторонах ковша
(рис. 4.4.3 г). В этом случае следует предусматривать создание свободной акватории для маневрирования судов (маневрового рейда), в которую вписывается полуокружность радиусом, равным полуторной длине расчетного судна с центром, находящимся в районе входа в ковш.
При отсутствии места для выполнения оборота судов и составов непосредственно в районе причалов или ковша допускается размещать маневровые рейды выше и (или) ниже по течению.
4.4.28. Навигационную глубину акватории у причалов отсчитывают от низкого судоходного уровня воды (НСУ) на перспективу и определяют по формуле:

, (4.15)
где

- максимальная эксплуатационная осадка расчетного судна в грузу или плота. За расчетное принимают судно (плот), имеющие наибольшую осадку для данного порта с учетом перспективы;

- навигационный запас под днищем расчетного судна (плота), устанавливаемый в зависимости от характера грунтов, слагающих дно, и расчетной осадки судна (плота), принимаемый по
табл. 4.4.1;

- запас глубины на дифферент судна, связанный с его разгрузкой и загрузкой, и на засорение акватории, принимают равным 0,30 м для грузовых причалов и 0,15 м для пассажирских причалов;

- запас глубины на волнение
| | ИС МЕГАНОРМ: примечание. Формула дана в соответствии с официальным текстом документа. | |

,
здесь h - расчетная высота волны на акватории, обеспеченностью 1% в системе волн для судов класса "Л", "Р" и "О" и 3% для судов класса "М", во время расчетного шторма, обеспеченностью 4% (1 раз в 25 лет) при НСУ, при этом она не должна превышать значения, при котором допускается плавание расчетных судов правилами Российского Речного Регистра, т.е. 0,6 м для судов класса "Л", 1,2 м - класса "Р", 2,0 м - класса "О" и 3,0 м - класса "М". На защищенных акваториях высота волны должна определяться с учетом дифракции.
┌─────────────┬───────────────────────────────────────────────────────────┐
│ Расчетная │ Навигационный запас под днищем, м │
│ осадка, м ├──────────────────────────────────────────────┬────────────┤
│ │ для судов и составов на грунтах │ для плотов │
│ ├─────────┬───────────────────┬────────────────┤ │
│ │ илистом │глинистом, песчаном│ скальном и │ │
│ │ │ и галечниковом │крупнообломочном│ │
├─────────────┼─────────┼───────────────────┼────────────────┼────────────┤
│Менее 1,5 │ 0,1 │ 0,1 │ 0,2 │ 0,2 │
│1,5 - 3,0 │ 0,1 │ 0,2 │ 0,2 │ 0,3 │
│Более 3,0 │ 0,1 │ 0,2 │ 0,3 │ 0,3 │
└─────────────┴─────────┴───────────────────┴────────────────┴────────────┘
Примечание. Для причалов, в конструкции которых имеется каменная постель или каменное крепление, выступающее в сторону акватории от линии кордона на 2 м и более, значение навигационного запаса следует принимать как для скальных грунтов.
Запас глубины на волнение не учитывается при

;

- запас глубины на сгон, если он не учитывается при выборе НСУ. Этот запас принимают равным максимальному понижению уровня воды. При установлении запасов глубин на волнение и сгон следует учитывать наиболее неблагоприятное сочетание этих величин. При отсутствии условий для сложения

и

в расчет принимают величину, имеющую большее значение.
4.4.29. Проектную глубину акватории у причалов следует определять по формуле:

, (4.16)
где

- запас глубины на заносимость, принимаемый лишь для акваторий, подверженных заносимости. Величину

определяют исходя из ожидаемой интенсивности отложения наносов в период между ремонтными черпаниями. При этом запас должен приниматься не менее 0,2 м, но не более 1,0 м. Не следует предусматривать ремонтные черпания чаще одного раза в навигацию.
4.4.30. За низкий судоходный уровень для портов принимают уровень воды, имеющий следующую среднемноголетнюю обеспеченность за навигационный период по кривой обеспеченности ежедневных уровней или расходов воды, в зависимости от категории порта: 1 и 2 - 99%, 3 - 97%, 4 - 95%. При этом продолжительность снижения уровня воды ниже НСУ в среднемаловодную навигацию (75% обеспеченности по водности) не должна превышать соответственно 5, 7 и 10 суток.
При определении НСУ следует руководствоваться следующими положениями:
1) НСУ следует определять с учетом возможного изменения уровней воды в перспективе вследствие водоотбора, переброски части стока других бассейнов, разработки русловых карьеров нерудных строительных материалов, интенсивного производства землечерпательных работ и др.
2) НСУ необходимо принимать не выше утвержденного проектного уровня воды на прилегающих участках судоходного пути с учетом перспективы его изменения.
3) В отдельных случаях при определении отметки проектного дна акватории для снижения капитальных затрат на дноуглубительные работы по созданию акватории допускается принимать за НСУ утвержденный проектный уровень воды на прилегающих участках водного пути по программе гарантированных габаритов судовых ходов. При этом при расчете набережной отметку НСУ следует принимать только в зависимости от категории порта.
4) При специальном обосновании допускается понижать обеспеченность НСУ до величины, рекомендуемой для смежной категории порта, а для портов 4 категории, расположенных на свободных реках, - до 85%.
5) При продленной или зимней навигации, а также для портов, в которых предусматривается зимняя или преднавигационная загрузка, отметку НСУ следует принимать с учетом соответствующих зимних или преднавигационных уровней, обеспеченность их устанавливается технико-экономическим расчетом.
6) НСУ для портов, расположенных в зоне влияния суточного регулирования гидроэлектростанций, приливно-отливных явлений, определяют с учетом суточных колебаний уровней.
7) Для портов, расположенных на водохранилищах, отметка НСУ должна быть не выше установленной расчетной отметки наибольшей навигационной сработки уровней.
8) НСУ устанавливают с учетом дат открытия и закрытия навигации в корреспондирующих портах.
9) В случае, если в районе проектируемого причала наблюдается или наблюдалось ранее понижение (посадка) уровней воды, НСУ определяют на основании среднемноголетней обеспеченности ежедневных расходов воды и установленной зависимости уровней от расходов воды за последний год наблюдений.
4.4.31. Если акваторию используют для зимнего отстоя флота, ее проектную глубину (отметку проектного дна) проверяют в соответствии с требованиями Указаний по проектированию судоремонтных предприятий речного флота и Норм технологического проектирования цехов и сооружений судоремонтно-судостроительных предприятий.
В случае, когда отметка проектного дна акватории для зимнего отстоя флота получается ниже, чем для условий эксплуатации порта в навигационный период, акваторию, как правило, следует углублять, отступая от причальной набережной на расстояние, обеспечивающее ее устойчивость.
Если акваторию используют для зимней загрузки флота, глубину ее следует устанавливать с учетом осадки в грузу, навигационного запаса под днищем расчетного судна, а также запаса на дифферент судна, связанный с его погрузкой, и на засорение акватории.
Целесообразность использования причалов или акватории для зимней загрузки флота должна быть обоснована технико-экономическими расчетами.
4.4.32. Проектную глубину акватории у причалов, отметки заложения низа причальных стенок для портов 1 и 2 категорий следует определять с учетом максимально возможной осадки расчетного судна в грузу на смежных участках судоходного пути на перспективу.
В тех случаях, когда причалы проектируют для обслуживания специализированных судов, которые не полностью используют транзитную глубину судового хода, допускают повышение отметки проектного дна акватории в соответствии с расчетной осадкой судов.
Для неосвоенных и малых рек с неустановленными гарантированными габаритами судового хода, на которых намечается строительство причалов, выбору отметок проектного дна должно предшествовать определение оптимальных габаритов судового хода по минимуму приведенных затрат по пути и транспортному флоту.
4.4.33. При проектировании акватории следует учитывать, что перегрузочные работы на акватории по условию волнения допускается производить при высоте волны, не превышающей допустимую

в соответствии с требованиями СНиП 2.06.04-82*
(п. 4.7* табл. 21б*). При этом расчетную продолжительность перерывов в перегрузочных работах следует определять по суммарной обеспеченности высоты волны по всем волноопасным направлениям за навигационный период (5% обеспеченности в системе волн), равной

и выше.
4.4.34. При размещении причалов на открытых водоемах, подверженных воздействию волн с высотами более

, следует предусматривать сокращение навигационного периода или устройство оградительных сооружений. При этом необходимо учитывать ограничения работы перегрузочного оборудования по скорости ветра. Во всех случаях строительство оградительных сооружений должно быть обосновано технико-экономическими расчетами.
4.4.35. Рейды располагают вне границ акватории береговых причалов порта и транзитного судового хода.
В зависимости от рода грузов, перевозимых в судах, должны быть организованы рейды прибытия и отправления, которые следует размещать: для сухогрузных судов с неогнеопасными грузами - ближе к грузовым причалам порта (по сравнению с другими рейдами), для сухогрузных судов с легковоспламеняющимися и огнеопасными грузами - отдельно и ниже по течению других сухогрузных рейдов; для нефтеналивных судов - отдельно и ниже по течению всех других рейдов, рейды формирования, расформирования и ремонта плотов - на участках водных путей, защищенных от волнения и имеющих пониженные скорости течения. При этом рейды ремонта плотов, как правило, располагают на отдельных специально отведенных акваториях.
При необходимости следует предусматривать рейды для отстоя собственного (принадлежащего порту) флота как в навигационный, так и межнавигационный период. При этом следует учитывать все необходимые условия безопасного отстоя применительно к действующим ведомственным нормам, регламентирующим эти положения. В межнавигационный период допускается для отстоя судов использовать акваторию причалов.
4.4.36. Количество судов, составов и плотов, на которое рассчитывается рейд, определяют исходя из суточного судооборота по видам флота (сухогрузные теплоходы, сухогрузные составы, танкеры, нефтеналивные составы, плоты) и должно быть не менее половины суточного судооборота по прибытию и отправлению несамоходных, четверти судооборота по прибытию самоходных грузовых судов и суточного оборота по прибытию или отправлению плотов.
При больших объемах перевозок отдельных грузов на коротких расстояниях количество отстаивающихся на рейдах составов следует принимать равным количеству проектируемых причалов.
4.4.37. Навигационную и проектную глубину рейда следует отсчитывать от низкого судоходного уровня воды и определять аналогично глубине акватории причалов.
Примечание. Запас на дифферент и засорение следует учитывать только для рейдов, где могут производиться перегрузочные работы по варианту "судно-судно".
НСУ определяют в соответствии с требованиями
п. 4.4.30.
4.4.38. При проектировании рейдов следует учитывать, что перегрузочные работы на рейде по условию волнения допускается производить при высоте волны, не превышающей

.
Для рейдов судов, на которых не производятся перегрузочные работы, может быть допущена высота волны на 50% больше значений

, а для рейдов плотов - не более 0,6 м.
Указанные высоты волн (5%-й обеспеченности в системе) должны иметь обеспеченность за эксплуатационный период навигации:
- не более 2% на сверхмагистральных и магистральных водных путях;
- не более 5% - на водных путях местного значения.
4.4.39. При определении размеров акватории рейдов расстановку судов (составов) на рейдах следует предусматривать линиями, т.е. в кильватер, как правило, параллельно судовому ходу или берегу.
Расстояние между смежными линиями должно быть не менее полутора ширин расчетного судна (состава) для сухогрузных судов с неогнеопасными грузами, 70 м - для сухогрузных судов с легковоспламеняющимися и огнеопасными грузами, 100 м - для судов с нефтегрузами 1 и 2 классов.
Расстояние между поперечными рядами судов должно быть не менее: 50 м - для сухогрузных судов, 70 м - для нефтеналивных судов, 100 м - для судовых составов.
Нефтеналивные суда с грузами 1 класса следует расставлять в шахматном порядке.
На участках водных путей с озерными условиями плавания расстояние между судами первой линии и границей проектных глубин со стороны берега, если стоянка осуществляется на якорях (швартовных бочках) или у обоих бортов понтонов, а также между крайними судами и кромкой транзитного судового хода, должно быть не менее трех ширин расчетного судна (состава). На участках с речными условиями плавания допускается снижение указанных выше расстояний до полутора ширин расчетного судна (состава).
4.4.40. Расстояние между рейдами для нефтеналивных судов и другими рейдами должно быть не менее 300 м, а между рейдами судов с огнеопасными сухогрузами и другими рейдами (кроме рейдов для нефтеналивных судов) - не менее 150 м.
Расстояние от рейдов до нефтеналивных причалов должно быть не менее 1000 м при расположении причалов ниже по течению и не менее 5000 м - выше по течению.
4.4.41. При определении размеров акваторий плотовых рейдов размещение плотов следует предусматривать, как правило, в одну линию с интервалом между ними не менее: в аванпортах гидроузлов - 60 м, на свободных реках - длины плота, на водохранилищах - половины длины плота.
4.4.42. В отдельных случаях при устройстве судовых и плотовых рейдов в стесненных условиях допускается отступление от указанных норм в сторону их уменьшения по согласованию с судоходной инспекцией соответствующего бассейна.
4.4.43. Потребность в рейдовом флоте определяют как частное от деления суммарных затрат времени рейдовой тяги (перестановка судов с рейдов к причалам и обратно) на время работы рейдовых судов в течение суток.
В. Водные подходы к акватории порта
4.4.44. Навигационную глубину водных подходов к акватории порта (причала) следует отсчитывать от НСУ на перспективу и определять для всех случаев, кроме подходных каналов с незатопленными бровками, по формуле:

, (4.17)
где

;

;

;

- определяют по аналогии с
п. 4.4.28 настоящих норм,

- скоростной запас (не учитывают для несамоходных судов буксируемых составов) определяют по формуле:

, (4.18)
где V - максимально возможная скорость движения груженых судов, составов на водных подходах, км/ч,
К - коэффициент, принимаемый в зависимости от длины судна или состава: до 85 м - 0,017, св. 85 до 125 м - 0,022, св. 125 до 165 м - 0,027 и св. 165 м - 0,033.
4.4.45. Проектную глубину водных подходов следует определять по формуле:

. (4.19)
Запас глубины на заносимость подводных прорезей при расположении их на водохранилищах и озерах при отсутствии данных наблюдений может быть определен ориентировочно по формуле:

, (4.20)
где

- коэффициент: для участков прорези, проложенных у берегов, где существуют условия для полного насыщения потока наносами, равный для илов - 0,5, для заиленных песков - 0,4, для песков - 0,3, для участков прорези, существующих в условиях дефицита наносов или проложенных под очень острым углом к берегу, равный 0,15;

- расчетная высота волн в месте выхода прорези на естественные глубины обеспеченностью 1% в системе при скорости ветра расчетного шторма обеспеченностью 4% (1 раз в 25 лет), м;

- глубина прорези, м;
H - глубина на водных подходах средняя за навигацию, м.
4.4.46. Низкий судоходный уровень на водных подходах следует принимать в соответствии с требованиями
п. 4.4.30.
4.4.47. Водные подходы должны, как правило, обеспечивать двухстороннее движение судов и судовых составов. Допускается также одностороннее движение с устройством разъездов. Количество разъездов и расстояние между ними следует определять технико-экономическими расчетами путем сопоставления дополнительных затрат по организации разъездов с экономией затрат по флоту.
4.4.48. Ширину судового хода на подходах к акватории порта на отметке, соответствующей навигационной глубине -

(на уровне навигационного дна) при одностороннем движении на прямолинейных участках

следует определять по формулам:
- при отсутствии дрейфа

; (4.21)
- при наличии дрейфа

, (4.22)
где

и

- соответственно длина и ширина расчетного состава, м;

- угол дрейфа

. (4.23)
Здесь: W - максимальная из нормальных составляющих к оси судового хода скоростей ветра по направлениям с вероятностью превышения, равной 1% в многолетнем разрезе для периода навигации по ежедневным данным, м/с, для плотовых составов расчетная скорость ветра не должна превышать допускаемой по Правилам сплотки, формирования и оснастки плотов для буксировки в речных бассейнах;
C - коэффициент парусности судна, определяемый по табл. 4.4.2;

- минимально возможная скорость движения судна или состава, м/с;

- нормальная к оси судового хода составляющая скорости течения воды, м/с.
Таблица 4.4.2
┌──────────────────────────────┬──────────────────────────┬───────────────┐
│ Тип судна (плавсредства) │ Характеристика │ Коэффициент │
├──────────────────────────────┼──────────────────────────┼───────────────┤
│1. Пассажирское и │Трех- и четырехдечное │ 0,085 │
│грузопассажирское │Двухдечное │ 0,075 │
│2. Грузовое самоходное │С грузом в трюме │ 0,030 │
│ │С грузом на палубе │ 0,050 │
│ │С балластом │ 0,075 │
│3. Грузовое несамоходное │С грузом в трюме │ 0,025 │
│ │С грузом на палубе │ 0,070 │
│ │Порожнем │ 0,075 │
│4. Плот │- │ 0,015 │
└──────────────────────────────┴──────────────────────────┴───────────────┘
4.4.49. Независимо от результатов расчета ширина судового хода при одностороннем движении должна быть равна не менее полутора ширин расчетного судна или состава.
4.4.50. Ширину судового хода на подходах к акватории порта, как правило, следует принимать при двухстороннем движении (на уровне навигационного дна) равной удвоенной ширине, установленной по
п. 4.4.48 и
4.4.49. В отдельных случаях ширина судового хода для двухстороннего движения может быть определена сложением вычисленных по формулам, приведенным в
п. 4.4.48, значений ширины отдельно для расчетных судов и составов, входящих на акваторию порта и выходящих из нее.
4.4.51. Минимальный радиус закругления оси судового хода следует определять по формуле:

, (4.24)
где l - длина расчетного самоходного судна, максимального судна в буксируемом судовом составе, толкаемого судового состава, секции плота при секционной сплотке и плота при несекционной сплотке;

- коэффициент, принимаемый в зависимости от типа судна и состава по табл. 4.4.3.
Таблица 4.4.3
┌─────────────────────────────────────────────────────────────┬───────────┐
│ Типы судов, составов и плотов │Коэффициент│
├─────────────────────────────────────────────────────────────┼───────────┤
│1. Судовые составы: │ │
│ - буксируемые │ 3,0 │
│ - толкаемые с жестким счалом │ 2,5 │
│2. Самоходные суда: │ │
│ - одиночные, с приставками и составные теплоходы с жестким│ 2,5 │
│счалом │ │
│ - составные теплоходы с изгибающим устройством │ 1,7 │
│3. Плоты: │ │
│ - секционной сплотки │ 4,0 │
│ - несекционной сплотки │ 1,5 │
└─────────────────────────────────────────────────────────────┴───────────┘
В особых случаях с целью уменьшения объемов и стоимости дноуглубительных работ коэффициент

допускается уменьшать: для плотов секционной и несекционной сплотки, соответственно, до 3,5 и 1,0; для буксируемых составов до 2,0, а для толкаемых судовых составов с жестким счалом и самоходных судов без изгибающих устройств до 1,5.
4.4.52. Ширину судового хода на криволинейных участках следует увеличить по сравнению с ее значением на прямолинейных участках.
Размер уширения при одностороннем движении определяют по формуле:

, (4.25)
где R - радиус закругления оси судового хода.
При двустороннем движении уширение принимают равным

. Уширение на криволинейных участках не предусматривают, если

,
где

- коэффициент кривизны,

- угол поворота, град.
4.4.53. Надводные габариты судового хода на водных подходах следует определять в соответствии с требованиями
ГОСТ 26775-97.
4.4.54. Габариты судового хода на водных подходах к акватории порта, расположенного на канале с незатопленными бровками, следует определять в соответствии с требованиями Указаний по проектированию судоходных каналов.
4.5. Причалы и их оборудование
4.5.1. Проектную длину причала определяют как расстояние между границами причала, измеряемое по линии кордона, и устанавливают исходя из требований обеспечения безопасного подхода, стоянки и отхода (отвода) судов, а также рационального выполнения грузовых или пассажирских операций.

, (4.26)
где

- габаритная длина расчетного (наибольшего по длине) судна;
d - расстояние между стоящими у смежных причалов судами, необходимое для безопасного подхода, стоянки и отхода судов.
Рисунок 4.5.1. Схемы размещения судов у причала
а) - при прямолинейном причальном фронте;
б) - при расположении концевого причала под прямым
(или близким к нему) углом к берегу; в) - при изгибе
причального фронта под прямым углом в сторону территории;
г) - при изгибе причального фронта под прямым углом
в сторону акватории; д) - при изгибе причального
фронта под углом 120 - 150° в сторону акватории;
е) - у одиночных причалов
4.5.3. При необходимости перемещения судна вдоль причалов в процессе перегрузочных работ, например, при гидромеханизированной разгрузке, загрузке стационарными конвейерными установками и т.п.
(рис. 4.5.1-а) проектную длину причала следует определять по формуле:

, (4.27)
где

- суммарное расстояние, на которое перемещается судно вдоль причала в процессе загрузки или разгрузки.
4.5.4. Расстояния между судами d, необходимые для безопасного подхода судов к причалам или отхода от них в зависимости от габаритной длины и типа расчетного судна, профиля (типа) причального сооружения, а также от принятого планировочного решения следует принимать по табл. 4.5.1 и
рис. 4.5.1.
Таблица 4.5.1
┌───────────────────────────┬─────────────────────────────────────────────┐
│ Профиль или тип │ Значения d для габаритной длины судов, м │
│ причального сооружения ├──────────────────────┬──────────────────────┤
│ │ самоходных │ несамоходных │
│ ├──────┬────────┬──────┼──────┬────────┬──────┤
│ │более │100 - 65│менее │более │100 - 65│менее │
│ │ 100 │ │ 65 │ 100 │ │ 65 │
├───────────────────────────┼──────┼────────┼──────┼──────┼────────┼──────┤
│1. Вертикальная или │ 15 │ 10 │ 8 │ 20 │ 15 │ 10 │
│полуоткосная набережная │ │ │ │ │ │ │
│2. Откосная набережная │ 20 │ 15 │ 10 │ 25 │ 20 │ 15 │
│с отдельными опорами │ │ │ │ │ │ │
│3. Плавучий причал │ 25 │ 20 │ 15 │ 25 │ 20 │ 15 │
└───────────────────────────┴──────┴────────┴──────┴──────┴────────┴──────┘
4.5.5. При расположении причала под прямым (или близким к нему) углом к берегу к длине причала, определяемой по
формулам (4.26) и
(4.27), следует добавлять величину l, равную d/2 в сторону берега, если на примыкающем берегу нет причального фронта
(рис. 4.5.1-б), или добавлять ширину расчетного судна

, если примыкающий берег является причальным фронтом
(рис. 4.5.1-г).
4.5.6. При изломе причальной линии в пределах 120 - 150° в сторону акватории
(рис. 4.5.1-д) расстояние m, необходимое для безопасного подхода судов к причалу и отхода от него, следует принимать равным 1,2d, а при изломе причальной линии в обратную сторону - величину m следует принимать равной d.
В случае расположения на прямолинейном участке причального фронта двух судов, относимых по типу и длине к разным группам, расстояние между ними (d) следует определять как среднее арифметическое от значений, установленных для каждого из типов судов.
4.5.7. Расстояние между двумя нефтяными причалами и расстояние между нефтяным, сухогрузным или пассажирским, служебным причалами (за исключением причалов для пожарных судов) должно быть не менее 300 м при перегрузке легковоспламеняющихся и не менее 200 м при перегрузке горючих нефти и нефтепродуктов, но во всех случаях - не менее длины наибольшего расчетного судна на причалах (береговых) и не менее расстояния, равного сумме длины и двух ширин наибольшего расчетного судна на пирсах.
Нефтяные причалы на судоходных реках и каналах, как правило, следует располагать ниже по течению на расстоянии:
- не менее 1000 м от рейдов и мест постоянной стоянки флота,
- не менее 300 м от мостов, водозаборов и других причалов.
Нефтяные причалы допускается располагать выше по течению:
- не менее 5000 м от рейдов и мест постоянной стоянки флота,
- не менее 3000 м от мостов, водозаборов и других причалов.
Минимальные расстояния от зданий и сооружений складов нефти и нефтепродуктов со взрывопожароопасными и пожароопасными производствами до других объектов следует принимать в соответствии с
СНиП 2.11.03-93.
В случае расположения на прямолинейном участке причального фронта двух судов, относимых по типу и длине к разным группам, расстояние между ними

следует определить как среднее арифметическое от значений, установленных для каждого из типов судов.
4.5.8. Расстояние между специализированными причалами для сухогрузов, а также причалами для перегрузки сухогрузов и пассажирскими причалами следует устанавливать в соответствии с санитарными, противопожарными и другими специальными требованиями. В этих случаях между грузовыми причалами, имеющими ограничения по взаимному расположению, допускается размещать другие причалы, не имеющие таких ограничений.
4.5.9. Длина причального сооружения (причальной стенки, ряда бычков или пал) должна назначаться с учетом размещения перегрузочного оборудования, швартовных и отбойных устройств.
Длину причального сооружения допускается принимать меньше длины судна. При этом расстояние от конца причального сооружения до оконечности судна не должно превышать 1/6 габаритной длины расчетного судна.
4.5.10. Длина причального сооружения одиночного причала, как правило, должна составлять не менее 2/3 длины расчетного судна.
4.5.11. Если в процессе грузовой обработки судно необходимо перемещать вдоль причальной линии, длину причального сооружения увеличивают на величину перемещения судна.
4.5.12. Для причальных сооружений в виде бычков или пал расстояние в свету между бычками или палами необходимо принимать не более 15 м для судов длиной до 50 м и не более 25 м - для судов длиной свыше 50 м.
Для причалов тяжеловесов и других причалов кратковременного пользования расстояние в свету между бычками и палами может быть увеличено и принято равным:

, где

- ширина (длина по причальному фронту) бычка или пала.
4.5.13. Проектную длину причалов, определенную в соответствии с
п. 4.4.2 -
4.5.5 -
4.5.11, допускается увеличивать в случае особых технологических и планировочных условий (например, подход по кривой ж/д путей на концевых причалах, размещение прикордонных конвейерных линий и перегрузочных узлов на специализированных грузовых причалах, при применении бесповоротных перегрузочных механизмов).
Б. Размещение оборудования, швартовных и прочих устройств
4.5.14. Швартовные устройства на вертикальных набережных грузовых причалов должны располагаться в плане на расстоянии 15 - 20 м друг от друга в зависимости от длины причаливающих судов, а по высоте - в один или более ярусов в зависимости от амплитуды колебания уровня воды в навигационный период.
На набережных с возвышением кордона над низким судоходным уровнем до 6 м на кордоне устанавливаются швартовные тумбы, а под ними в углублении (нише) рымы с шагом по высоте 1,5 - 2,0 м.
На набережных с возвышением кордона над НСУ 6 м и более кроме тумб, устанавливаемых на кордоне, следует устраивать тумбовые ниши не реже чем через 50 м, в которых тумбы размещать на площадках через 2,0 - 3,5 м по высоте. В промежутках между тумбовыми нишами следует предусматривать рымы с шагом по высоте 1,5 - 2,0 м.
Крайние тумбы (и рымы под ними) следует располагать по возможности ближе к концам набережной, но не более чем в 5 м от них.
4.5.15. Лестничные сходы для выхода судовых команд на вертикальных набережных грузовых причалов необходимо предусматривать при возвышении кордона над НСУ более чем на 2,5 м. Лестничные сходы должны быть на каждом причале, но не реже чем через 50 м. Угол наклона лестниц к горизонту не более 55°.
Высоту проходов на площадках лестничных сходов и тумбовых ниш принимают не менее 1,8 м. Каждая площадка должна иметь леерное ограждение высотой 1,1 м.
На набережных тумбовые ниши используют в качестве лестничных сходов.
4.5.16. Нижняя площадка тумбовой ниши или лестничного схода и нижний рым должны находиться не выше 2 м от палубы расчетного судна (в грузу) при НСУ. За расчетное следует принимать судно, имеющее в грузу наименьшую высоту надводного борта.
От нижней площадки до НСУ следует предусматривать стремянку или скоб-трап. При отсутствии тумбовых ниш и лестничных сходов стремянки или скоб-трапы (от верха набережной до НСУ) располагают через 50 м.
Стремянки и скоб-трапы не должны выступать за линию кордона набережной.
4.5.17. На набережных причалов, к которым возможен подход судов с причальным брусом, возвышающимся над кордоном, необходимо предусматривать специальные отдельно стоящие надстройки. Расстояние между надстройками принимается аналогично расстоянию между палами по
п. 4.5.12.
Верх надстроек следует назначать на уровне привального бруса судна (порожнем, а для балластирующихся судов - в балласте) при максимально возможном во время его подхода уровне воды.
4.5.18. Тамбуры лестничных сходов, электропитательные пункты и т.д. при наличии крановых путей следует размещать на минимальных расстояниях от линии кордона и с учетом
п. 4.7.20.
4.5.19. На набережных откосного профиля расстояние между швартовными тумбами в плане должно быть не более 50 м. На одиночных и концевых причалах крайние тумбы должны устанавливаться за границами причалов и отстоять на 20 - 50 м от оконечностей судна (в зависимости от удаления судна от бровки откоса). Тумбы следует располагать на бровке откоса.
4.5.20. На набережных пассажирских причалов необходимо предусматривать площадки с лестничными сходами или специальные устройства для посадки и высадки пассажиров. Разность между отметками палубы судна и площадки не должна превышать +/- 0,75 м. Постоянные лестничные сходы следует проектировать с уклоном не более 1:2,5 м, а переходные мосты и пандусы - с уклоном не более 1:8.
Надежная расчалка судна, удобная и безопасная посадка и высадка пассажиров должны быть обеспечены при любом навигационном уровне воды.
В. Эксплуатационные нагрузки
4.5.21. Эксплуатационные нагрузки на причальные сооружения состоят из нагрузок от перегрузочных и транспортных средств, складируемых грузов и от судов.
4.5.22. Нагрузки от перегрузочных и транспортных средств, складируемых грузов, а также зоны их действия определяют проектом. При расчетах сооружений нагрузки на прикордонной территории принимают в соответствии с проектом, но не менее указанных в табл. 4.5.2.
┌────────────────┬───────────────────────────────┬────────────────────────┐
│ Наименование │ Нагрузки от перегрузочных │ Нагрузки q от │
│ причалов │ и транспортных средств │складируемых грузов, кПа│
│ ├────────────┬─────────┬────────┼──────┬──────────┬──────┤
│ │ портальные │подвижной│безрель-│в зоне│ в зоне │в зоне│
│ │ краны │ состав │совый │ А │ Б │ В │
│ │ │ ж/д │трансп. │ │ │ │
├────────────────┼────────────┼─────────┼────────┼──────┼──────────┼──────┤
│ 1 │ 2 │ 3 │ 4 │ 5 │ 6 │ 7 │
├────────────────┼────────────┼─────────┼────────┼──────┼──────────┼──────┤
│1. Пассажирские,│ - │ - │ А8 │ 20 │ 20 │ 20 │
│служебные, для │ │ │ │ │ │ │
│перегрузки зерна│ │ │ │ │ │ │
│(без кранов и │ │ │ │ │ │ │
│железных дорог) │ │ │ │ │ │ │
│и им подобные │ │ │ │ │ │ │
│2. Причалы для │ Определяются при проектировании │
│наливных грузов │ │
│3. Причалы │ От крана │ С14 │ А11 │ 40 │От штабеля│ 60 │
│для навалочных │ КПП16 │ │ │ │ по │ │
│4. Причалы │ От крана │ С14 │ А11 │ 40 │ 60 │ 60 │
│для всех грузов,│ КПП16 │ │ │ │ │ │
│кроме │(20)-30-1,05│ │ │ │ │ │
│перечисленных │ │ │ │ │ │ │
│в
п. 1,
2, 3 │ │ │ │ │ │ │
└────────────────┴────────────┴─────────┴────────┴──────┴──────────┴──────┘
Примечания. 1. Схемы нормативных эксплуатационных нагрузок на причальные сооружения с границами зон даны на
рис. 4.5.2.
2. Нагрузки от подвижного состава железных дорог и безрельсового транспорта принимаются по
СНиП 2.05.03-84 "Мосты и трубы".
а) - для пассажирских и служебных причалов;
б) - для причалов навалочных грузов; в) - для причалов
тарно-штучных и других грузов, кроме наливных и навалочных;
1 - кран КПП 16(20)-30-10.5 и подвижной состав железных
дорог; 2 - штабель навалочного груза;
3 - равномерно-распределенная нагрузка q = 40 кПа;
4 - равномерно-распределенная нагрузка q = 60 кПа
Примечания. 1. По всем схемам для каждой зоны должны рассматриваться варианты нагрузок от безрельсового транспорта (по
табл. 4.5.2), а по схемам "б" и "в" - раздельно варианты нагрузок 1 и 3 (4).
2. Размеры

и

определяются при проектировании с учетом требований безопасности.
3. Для пассажирских и служебных причалов, на которых движение автотранспорта невозможно, допускается равномерно-распределенную нагрузку от складируемых грузов (от толпы) принимать равной 4 кПа.
Рисунок 4.5.2. Схемы нормативных эксплуатационных
4.5.23. Нагрузки от судов следует определять в соответствии с требованиями главы
СНиП 2.06.04-82* "Нагрузки и воздействия на гидротехнические сооружения (волновые, ледовые и от судов)".
4.6. Производственные и служебно-вспомогательные здания
В состав производственных и служебно-вспомогательных зданий порта включаются: грузовые склады, склад материально-технического снабжения, управление порта с узлом связи, пассажирский вокзал или павильон с комплексом подсобных помещений, грузовая и районная конторы, блоки портовых бытовых и вспомогательных помещений, столовая или буфет, портовые ремонтно-механические и такелажные мастерские, гаражи для электропогрузчиков (с зарядной станцией) и для служебных машин, котельная, насосные станции, трансформаторные подстанции, пожарное депо (пост), уборные с курительными, караульное помещение военизированной охраны (ВОХР), проходные.
А. Ремонтно-механические мастерские
4.6.1. Портовые ремонтно-механические мастерские (РММ) должны обеспечивать ремонт средств портовой механизации, текущие и навигационные ремонты собственного и приписанного флота, ремонт энергетического и сантехнического оборудования объектов портово-пристанского хозяйства, надлежащего качества и в оптимальные сроки.
4.6.2. Для разработки технологической части проекта РММ принимают следующие исходные данные:
- состав, количество и технические характеристики портовых перегрузочных машин и портовой механизации и механизмов;
- годовое время отработки каждого механизма (в часах);
- примерную номенклатуру изделий по программе "прочие работы";
- состав, количество, N проектов и характеристики собственного (принадлежащего порту) и приписанного флота.
4.6.3. Нормативы трудоемкости на ремонт портовых перегрузочных машин, коэффициенты цикличности ремонта, расход основных материалов, рекомендуемый минимально необходимый комплект технологического оборудования и распределение трудоемкости ремонта по профессиям следует принимать в соответствии с данными, приведенными в Основных положениях к Типовым проектам блоков портовых РММ и в действующих типовых проектах. Трудоемкости, расход материалов и стоимости ремонта серийных судов принимаются по действующим отраслевым нормативам.
4.6.4. Площади производственных участков определяют планом расположения технологического оборудования с учетом Нормативов технологического проектирования цехов и сооружений судоремонтно-судостроительных предприятий - ВНТП 01-89.
Для укрупненных расчетов допускается определение площадей по удельным показателям на единицу оборудования или на одного производственного рабочего (ВНТП 01-89).
4.6.5. В состав производственных подразделений ремонтно-механических мастерских рекомендуется включать следующие участки:
- слесарно-механический (с помещением ремонта и регулировки топливной аппаратуры),
- котельно-сварочный,
- кузнечный и трубопроводный,
- ремонта грейферов,
- ремонта контейнеров,
- такелажный,
- краскоприготовительный,
- столярно-плотничный,
- аккумуляторную, в составе которой должны быть:
- агрегатная, помещение зарядки и хранения кислотных аккумуляторов, помещение зарядки и хранения щелочных аккумуляторов, кладовые кислот и щелочей, электролитная и участок ремонта аккумуляторов;
- материальная и инструментальная кладовые.
4.6.6. Количество производственных рабочих принимают на основании трудоемкости работ и фонда времени рабочего. Фонды времени рабочих и процент вспомогательных рабочих и ИТР принимают по ВНТП 01-89.
4.6.7. Количество основного оборудования определяют на основании трудоемкости работ и фондов времени оборудования (ВНТП 01-89).
Минимальный комплект оборудования определяют в каждом конкретном случае в зависимости от объемов работ.
4.6.8. При определении технико-экономических показателей РММ следует руководствоваться
СНиП 11-01-95 с учетом ТЭП порта, приведенных в
п. 4.10.1.
Б. Административные, служебно-вспомогательные
и бытовые здания
4.6.9. На территории порта с учетом необходимости ее оптимальной компоновки по грузовым районам следует размещать производственные и служебно-вспомогательные здания и сооружения.
Состав и размеры административных, служебно-вспомогательных и бытовых зданий устанавливают в зависимости от следующих факторов: проектируемого грузо- и пассажирооборота, районирования причалов, протяженности и оснащенности причального фронта, штатов административно-технического и производственного персонала (включая персонал прочих организаций, оперативно связанных с деятельностью порта, размещаемых в портовых служебных зданиях), требований к отдельным зданиям, согласованных с местными организациями.
В случае расположения порта вне границы населенного пункта на территории порта, в зависимости от его категории и номенклатуры грузов, следует, как правило, предусматривать по согласованию с местными органами Государственного пожарного надзора, здание пожарного депо (поста).
При расположении порта в черте населенного пункта необходимо, по согласованию с местными органами Государственного пожарного надзора, предусматривать в порту здание пожарного депо (поста) в тех случаях, когда имеющиеся средства не обеспечивают пожаротушение объектов порта.
4.6.10. При проектировании портов, в которых предусматриваются линии международного судоходства, необходимо на территории порта предусматривать специальные здания (помещения) для размещения служб таможенного, пограничного и других (при необходимости) видов контроля. В том числе, например, помещения для санитарно-карантинной службы, консигнационный склад и склад конфиската, рентгеноустановки для проверки грузов, сторожевые посты и пр.
Объемно-планировочные решения, состав зданий и сооружений и другие характеристики специальных помещений, а также технологическое оборудование и обустройство пунктов пропуска через государственную границу определяют при конкретном проектировании с учетом следующих факторов: объема экспортно-импортных грузовых перевозок, количества иностранных и российских судов заграничного плавания, членов экипажа, пассажиров, грузов и товаров, подвергаемых таможенному и др. видам контроля (включая, при необходимости, иммиграционный), требований местных органов таможенных, пограничных и др. контрольных служб, наличия резервных площадей для размещения различных служб государственного контроля и пр.
4.6.11. Проектирование зданий и сооружений следует производить в соответствии с указаниями действующих отраслевых требований, обязательных при проектировании речных портов, и других нормативных правовых актов и нормативно-технических документов, регламентирующих вопросы организации государственного контроля иностранных и российских судов заграничного плавания при осуществлении в пунктах пропуска пограничного, таможенного и других видов контроля на государственной границе в речных и морских портах Российской Федерации, СНиПов и др. нормативных документов, утвержденных в установленном порядке.
4.6.12. Пассажирские вокзалы и павильоны следует проектировать исходя из пассажировместимости в зависимости от суточного пассажирооборота и расписания движения пассажирского флота.
4.6.13. При проектировании блока бытовых и вспомогательных помещений и складов в дополнение к настоящим нормам следует руководствоваться требованиями соответствующих нормативных документов, утвержденных Минстроем России и другими ведомствами.
4.6.14. При проектировании служебно-производственного здания следует предусматривать в них помещения для АСУ, устройство проводной связи, радиосвязи, электрорадионавигации и других специальных служб в соответствии с заданием на разработку проекта.
Состав, площади и размещение этих помещений должны устанавливаться проектами согласно требованиям специальных норм.
4.6.15. Требования к объемно-планировочным решениям:
а) архитектурно-планировочные решения зданий и сооружений следует выбирать с учетом размещения в них функциональных подразделений, места расположения в увязке с окружающей застройкой наземного пункта, порта;
б) здания и сооружения необходимо проектировать с учетом максимальной экономии земельного участка;
в) вспомогательные здания и помещения следует объединять в более крупные здания (блоки) во всех случаях, когда это не противоречит технологическим, санитарно-гигиеническим и противопожарным требованиям. Рекомендуемая блокировка вспомогательных зданий и помещений приведена в табл. 4.6.1.
Таблица 4.6.1
┌─────────────────┬───────────────────────────────────────────────────────┐
│ Блоки │ Блокируемые помещения │
├─────────────────┼───────────────────────────────────────────────────────┤
│1. Портовый блок │Управление порта, столовая, магазин плавсостава, │
│ │грузовая контора, узел связи, АСУ │
│2. Блок бытовых │Бытовые помещения для механизаторов и портовых рабочих,│
│и вспомогательных│районная контора, помещения для оперативных работников │
│помещений │железной дороги и автотранспортной экспедиционной │
│ │конторы, комната досуга, буфет (комната приема пищи), │
│ │здравпункт, санузел │
│3. Проходная │Проходной пункт, бюро пропусков, караульное помещение │
│порта │ВОХР │
│4. Уборная │Помещения для обогревания работающих, курительные, │
│с курительной │уборные │
└─────────────────┴───────────────────────────────────────────────────────┘
4.7. Внутрипортовые железнодорожные пути,
автодороги, крановые пути
А. Внутрипортовые железнодорожные пути
4.7.1. Внутрипортовые железнодорожные пути следует проектировать с учетом требований
СНиП 2.05.07-85 и размещения их в прикордонной или тыловой зоне причала.
4.7.2. Пропускную способность и количество внутрипортовых погрузочно-разгрузочных железнодорожных путей определяют расчетом: расчетные значения должны превышать проектную пропускную способность причала не менее чем на 10%, а в особых случаях соответствовать ей.
4.7.3. При оснащении грузовых фронтов портальными кранами погрузочно-разгрузочные пути укладывают, как правило, между рельсами крановых путей и при необходимости - за порталом крана (с тыловой стороны).
4.7.4. Для маневровых операций, связанных с подачей и уборкой вагонов без нарушения работы смежных причалов, необходимо устройство съездов. Съезды следует предусматривать с учетом объединения причалов по родам грузов и приема совмещенных подач.
4.7.5. Внутрипортовые прикордонные железнодорожные пути следует, как правило, проектировать тупиковыми. Схему кольцевого движения вагонов предусматривают при условии значительного объема перевалки и при соответствующем технико-экономическом обосновании.
4.7.6. При русловом расположении порта с длиной причального фронта не более 700 м рекомендуется устройство уступов, объединяющих 5 - 6 причалов таким образом, чтобы железнодорожный путь, проходящий через тыл предыдущего уступа, являлся прикордонным на последующем уступе.
4.7.7. Причал или группу причалов, требующих наибольшего количества железнодорожных путей, следует при тупиковой схеме располагать последним с тем, чтобы ходовой путь использовать как грузовой. Примеры схем внутрипортовых прикордонных железнодорожных путей приведены на
рис. 4.7.1.
1 - причальный фронт; 2 - крановые пути;
3 - железнодорожные пути; 4 - стрелочные переводы
Рисунок 4.7.1. Схемы прикордонных
и тыловых железнодорожных путей при оборудовании причалов
портальными кранами
а) - один погрузочно-разгрузочный путь на причалах
N 1 и N 2, два - на причалах N 3 - N 5;
б) - два погрузочно-разгрузочных пути на всех причалах;
в) - два погрузочно-разгрузочных пути
на причалах N 1 и N 2, три пути на причалах N 3 - N 5;
г) - три погрузочно-разгрузочных пути на всех причалах;
д) - тыловые пути, проходящие через тыловую зону
причалов N 1 - N 5, являются прикордонными
для причалов N 6 - N 10
4.7.8. К складам закрытого хранения грузов, расположенным в одну линию, следует прокладывать два пути: грузовой и ходовой (обгонный). Укладка одного пути допускается только к отдельно стоящим складам. Для более полного использования и сокращения длины железнодорожных путей, обслуживающих два и более последовательно расположенных складов, склады вместе с рампами рекомендуется размещать по отношению к основному железнодорожному пути под углом стрелочного перевода (рис. 4.7.2).
1. Подъездной ж.д. путь;
2. Погрузочно-разгрузочный ж.д. путь;
3. Склады; 4. Рампы складов
Рисунок 4.7.2. Схемы железнодорожных путей
для обслуживания складов, оборудованных рампами
4.7.9. Расстояние между осями железнодорожных путей, расположенных между рельсами крановых путей, следует принимать равным 4,8 м, а проходящих вне порталов - не менее 5,3 м в нормальных условиях и 4,8 м - в стесненных.
4.7.10. При подходе железнодорожных путей к линии кордона следует применять радиус кривой 200 м и использовать криволинейный участок для укладки крановых путей. В стесненных условиях допускается уменьшать радиус в соответствии с действующими строительными нормами и правилами. Наименьший допускаемый радиус кривой железнодорожных путей - 160 м.
4.7.11. При работе портальных кранов на криволинейных участках пути с радиусом закругления не менее 200 м расстояние между осями железнодорожных путей следует принимать равным 4,8 м, расстояние от оси кранового рельса - 2,85 м.
4.7.12. Головки рельсов внутрипортовых железнодорожных путей, как правило, следует принимать на одном уровне с покрытием территории. Укладка внутрипортовых путей в насыпи и выемке может быть допущена в случаях, обусловленных технологией перевалки грузов (подходы к разгрузочным эстакадам, вагоноопрокидывателям, бункерным галереям и т.д.).
Пересечения пешеходных и железных дорог с интенсивным движением следует выполнять в двух уровнях.
4.7.13. Параметры автомобильных дорог порта должны соответствовать требованиям
СНиП 2.05.02-85.
4.7.14. При трассировании подъездной автомобильной дороги следует избегать пересечения с подъездными железнодорожными путями. Если такие пересечения неизбежны, их следует выполнять в соответствии с требованиями
СНиП 2.05.07-91.
4.7.15. Внутрипортовую автодорогу следует трассировать магистральной, соединяющей все причалы, производственные и административно-хозяйственные здания.
При устройстве тупиковых дорог в конце тупика должен быть предусмотрен петлевой объезд или площадка размером не менее 12 x 12 метров для разворота автомобилей. Размеры площадки следует уточнять в зависимости от габаритных размеров автомобилей и перевозимых грузов.
4.7.16. Пересечение внутрипортовых автомобильных и железных дорог следует выполнять, как правило, в одном уровне с оборудованием их сигнализацией по действующим ГОСТам.
4.7.17. Пешеходные дороги должны быть не менее чем на 15 см над покрытием проезжей части автомобильных дорог или отделены полосой озеленения.
4.7.18. Схему движения транспорта по внутрипортовым автомобильным дорогам следует выполнять в соответствии с требованиями действующих
Правил дорожного движения.
4.7.19. Расстояние от кордона до оси ближайшего кранового рельса следует назначать равным 2 - 3 м в зависимости от конструкций набережной, используемых кранов и с учетом требований безопасности.
4.7.20. Расстояние по горизонтали между выступающими частями крана, расположенными на высоте до 2 м от уровня земли или рабочих площадок и строениями, штабелями грузов, тамбурами, электропитательными пунктами и другими устройствами должно быть не менее 0,7 м.
4.7.21. Расстояние между осями прикордонных и тыловых крановых путей портальных кранов следует определять по формуле:

, (4.28)
где

и

- максимальные вылеты стрелы портальных кранов, используемых, соответственно, в прикордонной и тыловых зонах;
d - перекрытие рабочих зон портальных кранов, принимаемое для всех грузов, кроме навалочных, равным 3,5 метра. Для навалочных грузов размер перекрытия может быть менее 3,5 м, который следует устанавливать в каждом конкретном случае.
4.7.22. На путях для перегружателей, козловых кранов и передвижных конвейерных погрузочных машин (кроме консольно-поворотных) не допускается устройство криволинейных участков. На путях для отечественных портальных кранов радиус криволинейных участков следует принимать равным не менее 200 м. Для импортных портальных кранов минимальный радиус крановых путей следует определять по данным предприятия-изготовителя.
4.7.23. Допускаемые отклонения размеров на укладку крановых путей следует принимать в соответствии с
Правилами устройства и безопасной эксплуатации грузоподъемных кранов.
4.7.24. При строительстве крановых путей с утопленными рельсами вдоль пути симметрично оси каждого рельса в покрытии следует устраивать канавки. Размеры канавки для путей портальных кранов следует принимать: ширина 380 мм, глубина от уровня головки рельса - 70 мм, возвышенные головки кранового рельса над территорией - 30 мм.
Для путей причальных перегружателей, козловых кранов и конвейерных погрузочных машин размеры канавок необходимо принимать по данным заводов-изготовителей.
4.7.25. При установке на одном прямолинейном участке причальной линии различного оборудования (портальные краны, перегружатели, передвижные конвейерные погрузочные машины), а также при расположении на одной линии причалов различной специализации, планировку крановых и железнодорожных путей необходимо решать в зависимости от конкретных условий с учетом требований настоящих норм.
4.8. Инженерное оборудование и сети
А. Электроснабжение и электроосвещение порта
4.8.1. Резервирование питания электроприемников должно предусматриваться с минимальными затратами средств и электрооборудования.
Для этого особое внимание должно быть обращено на:
а) правильность определения категории электроприемников. Определять категории следует по электроприемникам, а не по объектам в целом.
Если объект электроснабжения имеет ограниченное число электроприемников I и II категории, вопросы обеспечения их надежного питания следует рассматривать особо, не допуская необоснованного отношения других электроприемников к более высоким категориям.
Отдельные объекты и группы электроприемников, требующие разной степени надежности питания электроэнергией, следует рассматривать как объекты с разными условиями резервирования, что должно учитываться при построении схем электроснабжения;
б) полное использование перегрузочной способности трансформаторов, кабелей и другого электрооборудования при послеаварийных режимах. При этом выбор коммутационных аппаратов должен производиться так, чтобы их параметры не лимитировали полное использование перегрузочной способности электрооборудования;
в) возможность использования взаимно резервируемых параллельных технологических потоков с питанием от независимых источников или резервных технологических агрегатов (насосов, компрессоров и т.п.) с отдельным питанием электроэнергией;
г) автоматическую (или ручную) разгрузку при аварии и в часы максимума энергосистемы от неответственных потребителей с выделением питания нагрузок III категории для возможности их отключения по аварийному графику.
4.8.2. Трансформаторные подстанции следует предусматривать, как правило, однотрансформаторными внутриобъектовыми, встроенными в здания или пристроенными к ним. Также могут применяться отдельно стоящие комплектные распределительные устройства (КРУ) и подстанции (КТП), расположенные в центре нагрузок.
Взаимное резервирование на однотрансформаторных подстанциях следует осуществлять при помощи перемычек напряжением до 1000 В для тех подстанций, где оно необходимо по условиям надежности питания.
4.8.3. Трансформаторные подстанции следует проектировать по простейшим схемам без применения силовых выключателей на вводах. Распределительное устройство выше 1000 В, как правило, должно иметь одну систему шин.
4.8.4. Питание силовых и осветительных нагрузок низкого напряжения следует осуществлять при напряжении 380/220 В от общих трансформаторов с заземленной нейтралью.
4.8.5. Вопросы питания электроэнергией объектов речного флота должны решаться заказчиком проектов с привлечением, в случае необходимости, проектной организации совместно с районным управлением энергосистемы с учетом обеспечения надежности питания, резервирования и перспективы развития данного района.
Основными источниками питания должны служить электростанции и сети районных энергосистем.
4.8.6. Определяющими факторами при проектировании электроснабжения должны являться характеристики источников питания и потребителей электроэнергии. Основным документом, характеризующим внешние источники питания и требования энергосистемы, являются технические условия, выдаваемые электроснабжающей организацией.
4.8.7. При проектировании строительной и технологической частей проекта, составлении генплана необходимо учитывать требования рационального размещения электрооборудования и предусматривать технические зоны для прохождения электротехнических коммуникаций и расстановки трансформаторных подстанций.
4.8.8. Проектирование электроснабжения следует вести исходя из перспектив развития порта на ближайшие 10 лет таким образом, чтобы осуществление I очереди не приводило к значительным затратам, связанным с последующими очередями строительства.
4.8.9. Вопросы выбора схемы питания и распределения электрической энергии, выбора напряжения и конфигурации питающих и распределительных высоковольтных и низковольтных сетей, а также выбора количества, мощности, местоположения и типа подстанций должны решаться комплексно.
4.8.10. Исполнение электрических машин, аппаратов, проводок, шинопроводов и прочих элементов силового электрооборудования по условиям их защиты от воздействия окружающей среды, выбор технических параметров, сечений элементов сети, установок аппаратов защиты, а также прочие решения по вопросам силового электрооборудования должны удовлетворять общим требованиям Указаний по проектированию силового электрооборудования промышленных предприятий.
4.8.11. Распределение электроэнергии следует выполнять по радиальной, магистральной или смешанной схемам в зависимости от территориального размещения нагрузок, величины потребляемой мощности, компоновки генерального плана, надежности питания и других характерных особенностей проектируемого объекта. Магистральным схемам следует, как правило, отдавать предпочтение, как более экономичным. Для порта с учетом специфики компоновки их территории подстанции следует размещать вдоль линий причальных сооружений.
Число трансформаторов напряжением до 10 кВ, присоединяемых к одной магистрали, следует принимать, как правило, 2 - 3 при их мощности 1000 - 2500 кВА и 3 - 4 меньших мощностей.
4.8.12. Определение электрических нагрузок электроприемников с переменным графиком нагрузки на всех ступенях питающих и распределительных сетей следует выполнять, как правило, по методу коэффициента использования и коэффициента максимума в соответствии с действующими указаниями по определению электрических нагрузок в промышленных установках и Руководящего технического материала по расчету и проектированию электроснабжения речных портов, при этом расчетные нагрузки на трансформаторы следует корректировать с учетом нагрузок, определяемых по удельным расходам электроэнергии, а мощности трансформаторов выбирать по средней нагрузке за наиболее загруженную смену. Максимальная нагрузка требуется для расчета компенсации реактивной мощности и сечения сетей.
4.8.13. Категория надежности электроснабжения речных объектов определяется согласно
ПУЭ и представлена в табл. 4.8.1.
Таблица 4.8.1
Категория надежности электроснабжения
┌────────────────────────┬───────────────────────┬──────────┬─────────────┐
│ Наименование объекта │ Наименование │Категория │ Примечание │
│ │ оборудования │надежности│ │
├────────────────────────┼───────────────────────┼──────────┼─────────────┤
│1. Речные порты: │Портальные краны, │ │ │
│ 1 и 2 категории │конвейерные линии, │ II │ - │
│ │подсобные здания, │ │ │
│ │склады, высоковольтные │ │ │
│ │гидроперегружатели │ │ │
│ 3 и 4 категории │То же │ III │ - │
│2. Специализированные │Портальные краны, │ II │ - │
│грузовые причалы │пневматические │ │ │
│для зерна, цемента, │устройства, насосные │ │ │
│генеральных и скоро- │станции │ │ │
│портящихся грузов: │ │ │ │
│ нефтепродуктов │Шлангующие устройства, │ I │ - │
│I категории │освещение │ │ │
│ остальных │То же │ II │ - │
│нефтепродуктов │ │ │ │
│ угля, леса, песка, │Портальные краны, │ III │ - │
│гравия │конвейеры │ │ │
│3. Причалы для отстоя │Электроприемники судов,│ III │ - │
│флота, местного │судов, подключаемых │ │ │
│грузопассажирского │к береговой сети, │ │ │
│сообщения и │освещение │ │ │
│вспомогательные │ │ │ │
│4. Причалы пассажирские │Аварийное освещение, │ I │ - │
│для вокзалов │средства пожаротушения │ │ │
│вместимостью более │охранной и пожарной │ │ │
│500 пассажиров │сигнализации, средства │ │ │
│ │связи и оповещения, │ │ │
│ │автоматические │ │ │
│ │устройства регистрации │ │ │
│ │и продажи билетов │ │ │
│ │Средства механизации, │ III │ - │
│ │освещение, оборудование│ │ │
│ │общественного питания, │ │ │
│ │кондиционеры, вентиля- │ │ │
│ │торы, холодильники │ │ │
│ │Прочие токоприемники │ III │ - │
│5. Пассажирские │Освещение, вентиляция │ III │ - │
│павильоны и конторско- │ │ │ │
│бытовые помещения │ │ │ │
│6. АТС, радиоцентры, │Оборудование станций │ I │ - │
│приемные и передающие │ │ │ │
│радиолокационные │ │ │ │
│станции │ │ │ │
│7. Вспомогательные │Освещение, вентиляция, │ III │АТС, распо- │
│здания и сооружения: │различные бытовые │ │ложенные │
│портоуправления, │электроприборы │ │в указанных │
│управления районов, │ │ │зданиях, │
│блоки служебно-бытовых │ │ │относятся │
│помещений │ │ │к I кат. │
│ столовые, буфеты, │Оборудование кухонных │ II │ - │
│медпункты │блоков, лифты, │ │ │
│ │медоборудование, │ │ │
│ │вентиляция, освещение │ │ │
│ склады крытые портовые│ │ II │ │
│для генеральных │ │ │ │
│и скоропортящихся │ │ │ │
│грузов, зерно- │ │ │ │
│перегружатели, портовые │ │ │ │
│холодильники, │ │ │ │
│помещения пожаро- │ │ │ │
│и взрывоопасные │ │ │ │
│ вспомогательные │Грузовое │ III │ - │
│портовые склады │электрооборудование, │ │ │
│и другие складские │вентиляция, освещение │ │ │
│помещения, непожаро- │ │ │ │
│и невзрывоопасные │ │ │ │
│8. Преобразовательные │Преобразовательные │ III │или │
│и зарядные станции │зарядные агрегаты, │ │зависимости │
│ │вентиляция, освещение │ │от степени │
│ │ │ │участия в │
│ │ │ │общем технич.│
│ │ │ │процессе │
│9. Отопительные │Насосы, вентиляторы, │ II │ - │
│котельные │освещение │ │ │
│ │Насосы, сетевые │ I │ - │
│ │и подпиточные │ │ │
│10. Ремонтно- │Станки, сварочное, │ III │ - │
│механические │подъемно-транспортное, │ │ │
│мастерские │прочее оборудование, │ │ │
│ │освещение │ │ │
│11. Гаражи и депо │Подъемно-транспортное, │ III │ - │
│ │различное оборудование,│ │ │
│ │вентиляция, освещение │ │ │
│12. Насосные станции │Насосы, освещение │ I │ - │
│противопожарного │ │ │ │
│водоснабжения │ │ │ │
│13. Насосные станции │То же │II или III│В зависимости│
│технического │ │ │от ответст- │
│водоснабжения и │ │ │венности их │
│канализационные │ │ │установки и │
│ │ │ │производи- │
│ │ │ │тельности │
│14. Наружное освещение │- │ III │ │
│портов, плотовых │ │ │ │
│рейдов │ │ │ │
└────────────────────────┴───────────────────────┴──────────┴─────────────┘
Примечание. По степени обеспечения надежности электроснабжения электроприемники противопожарных устройств (системы автоматической пожарной сигнализации и пожаротушения, противодымной защиты, пожарные насосы и др.) следует относить к I категории.
4.8.14. Число трансформаторов на подстанциях следует выбирать с учетом категорий надежности, а также сезонности работы основной части потребителей.
Для объектов с ярко выраженной сезонностью работы и при концентрированном расположении электроприемников с суммарной мощностью более 630 кВА рекомендуется проектирование двухтрансформаторных подстанций.
Для электрообеспечения потребителей прикордонной зоны рекомендуется предусматривать одну трансформаторную подстанцию на два причала.
4.8.16. Подключение портальных кранов к распределительной сети напряжением до 1000 В следует предусматривать с помощью специальных электрических питательных пунктов (ЭПП - сборка низшего напряжения на два подключения в защитном исполнении) либо с использованием троллейного питания (подземный канал, перекрытый поверх металлических крышек сплошной резиновой лентой на специальных замках), как правило, для причалов тарно-штучных грузов и контейнеров.
4.8.17. Проектирование системы электроснабжения судов с берега при их стоянках в портах необходимо производить в соответствии с Руководящим техническим материалом по электроснабжению судов от береговой сети.
Для подключения судов к береговой сети рекомендуется использовать питательные колонки ЭПП, предназначенные для подключения портальных кранов, и однопостовые типа ЭПС.
4.8.18. Подвод питания к ЭПП и троллейному шинопроводу следует предусматривать по кабельным линиям с прокладкой кабелей, как правило, в траншеях в грунте.
При прокладке кабелей в траншеях под твердыми верхними покрытиями территории следует предусматривать съемные плиты над кабельной траншеей.
Вдоль причальной стенки прокладку кабеля следует предусматривать в канале.
В районах многолетнемерзлых грунтов прокладка кабельных линий осуществляется в виде: надземной - по конструкциям зданий и сооружений, на эстакадах, в коробах, по стойкам водовода, по коробу теплосети, под пешеходными мостками, подземной - в теле насыпи автодорог и траншеях с соблюдением дополнительных мер по засыпке и обваловке траншей.
4.8.19. При расчете сетей напряжением свыше 1000 В подлежат выбору по экономической плотности тока в зависимости от времени использования максимума нагрузки

. Сети напряжением до 1000 В подлежат выбору по экономической плотности тока при использовании максимума нагрузки более 4000 - 5000 ч в год. Экономическая плотность тока принимается по
ПУЭ.
Допустимые нагрузки на провода, шины следует принимать, исходя из условий их прокладки, по таблицам, приведенным в
ПУЭ.
При определении расчетных токов линий, питающих портальные краны, необходимо учитывать возможность временной концентрации их на отдельных причалах в количествах, превышающих нормальное расчетное число кранов на данном причале, и расчет сети вести исходя из практически возможных и вероятных наихудших условий (коэффициент концентрации обычно составляет 1,5 - 1,3).
Пропускная способность крановых сетей выбирается по расчетному максимальному среднеквадратичному значению тока.
Для линий, питающих портальные краны и аналогичные им перегрузочные машины, следует проверять допустимую потерю напряжения при пиковых токах, определяемых пусковыми режимами машин. При определении пикового тока одной машины в пусковом режиме следует принимать один наибольший по мощности двигатель.
Потеря напряжения при пиковых токах от подстанции до наиболее удаленного электропитательного пункта не должна превышать 10 - 12%.
Как правило, следует принимать нижний предел. Потеря напряжения чаще всего является определяющей при выборе сечения крановых сетей.
4.8.20. Мероприятия по искусственному повышению коэффициента мощности должны предусматриваться в соответствии с Указаниями по компенсации реактивной мощности в распределительных сетях после того, как приняты меры по повышению естественного коэффициента мощности, не связанным с применением компенсирующих устройств. В качестве искусственных компенсирующих устройств должны применяться статические конденсаторы. В случае поставки заводом-изготовителем кранов со статическими конденсаторами следует этот метод компенсации реактивной энергии считать основным. Мощность батарей необходимо принимать по паспортным данным. В тех случаях, когда краны не имеют батарей, последние следует устанавливать в первую очередь на наиболее мощных и загруженных кранах, какими обычно являются грейферные, работающие на навалочных грузах. В остальных случаях рекомендуется проектировать компенсацию реактивной энергии, располагая батареи у силовых распределительных пунктов стационарных установок.
В системе электроснабжения рекомендуется применять следующие способы компенсации:
индивидуальный и групповой - для электроприемников перегрузочных машин и механизмов;
групповой - для электроприемников вспомогательных производств, складов и зданий;
централизованный - на трансформаторных подстанциях для приведения значений реактивной мощности в соответствии с требованиями энергосистемы.
4.8.21. Все металлические нетоковедущие части электрооборудования, нормально не находящиеся под напряжением, но могущие оказаться под таковым при неисправности изоляции, должны быть в соответствии с
ПУЭ заземлены и занулены. Для заземления используются нулевой провод сети, оболочки питающих кабелей, стальные трубы электропроводок и искусственный контур заземления. Заземление и зануление электроустановок следует выполнять в соответствии с требованиями
РД 34.21.122-87.
Для заземления кранов следует использовать рельсы крановых путей, которые должны быть соединены на стыках стальными перемычками.
Рельсы крановых путей следует заземлять по торцам. Кроме этого, оба крановых рельса следует соединить между собой стальными перемычками на сварке с расстояниями одна от другой не более 100 м.
4.8.22. При проектировании причальных сооружений должна быть предусмотрена возможность использования стальной арматуры свай, стального замка или стального шпунта в качестве заземляющих устройств.
4.8.23. Для портовых территорий, пристаней и сооружений следует предусматривать:
общее освещение как с одинаковой нормируемой по всей территории освещенностью (например, освещение пассажирских причалов), так и различной нормируемой освещенностью по отдельным участкам территории (например, освещение грузовых причалов и открытых складов),
комбинированное освещение, состоящее из общего и местного (ремонтного) освещения (например, освещение рейдов для ремонта плотов, рамп закрытых складов, эстакад и тому подобных объектов).
4.8.24. Для наружного освещения портов и причалов следует предусматривать:
рабочее освещение - для причальных линий, открытых складов, перегрузочных площадок, рейдов плотов, автодорог и предпортовых площадок,
охранное освещение - по периметру территории, за исключением специализированных причалов по выгрузке песка песчано-гравийной смеси, где устройство охранного освещения необязательно.
4.8.25. Нормы искусственного освещения объектов речного порта следует принимать в соответствии со
СНиП 23-05-95. Нормы горизонтальной освещенности приведены в табл. 4.8.2.
Таблица 4.8.2
┌────────────────────────────────────────────┬────────────────────────────┐
│ Наименование участков │Горизонтальная освещенность,│
│ │ лк │
│ ├─────────┬──────────────────┤
│ │от одного│суммарная с учетом│
│ │ общего │ локализованного │
│ │освещения│ освещения │
├────────────────────────────────────────────┼─────────┼──────────────────┤
│1. Причалы штучных грузов: │ │ │
│ - вся территория причала │ 5 │ - │
│ - под стрелой крана во время производства│ - │ 30 │
│работ или в зоне работы перегрузочных │ │(комбинированное) │
│механизмов │ │ │
│2. Причалы для навалочных и сыпучих грузов: │ │ │
│ - вся территория причала │ 5 │ - │
│ - под стрелой крана во время производства│ - │ 20 │
│работ или в зоне работы перегрузочных │ │(комбинированное) │
│механизмов │ │ │
│3. Причалы служебные, бункеровочные │ │ │
│и нефтеналивные │ │ │
│ - вся территория причала │ 3 │ 25 │
│ │ │(комбинированное) │
│4. Причалы пассажирские: │ │ │
│ - для портов 1 и 2 категории │ 5 │ 30 │
│ │ │(комбинированное) │
│ - для портов 3 и 4 категории │ 3 │ 25 │
│ │ │(комбинированное) │
│5. Рейды плотов: │ │ │
│ - вся акватория │ 3 │ - │
│ - зона работы во время ремонта │ - │ 10 (местное │
│ │ │ переносное) │
│6. Открытые склады: │ │ │
│ - вся территория │ 3 │ - │
│ - под стрелой крана во время производства│ - │ 25 │
│работ или в зоне работы перегрузочных │ │(комбинированное) │
│механизмов для штучных и лесных грузов │ │ │
│ - то же, для навалочных грузов │ 5 │ - │
│7. Товарные платформы, рампы, эстакады │ │ │
│и т.п. │ │ │
│ - вся площадь │ 5 │ - │
│ - зона перегрузочных механизмов во время │ - │ 30 │
│производства работ │ │(комбинированное, │
│ │ │включая стационар-│
│ │ │ное и переносное │
│ │ │местное) │
│8. Закрытые склады: │ 20 │ - │
│ - штучных грузов │ 15 │ - │
│ - навалочных зерновых грузов │ 30 │ - │
│при стеллажном хранении │ │ │
│ - с разливкой на складе (склады кислот, │ 30 │ - │
│щелочей, лаков, красок и т.п.) │ │ │
│ - рампы, товарные платформы (зоны │ 25 │ - │
│перегрузочных механизмов во время работы) │ │ │
│9. Трюмы судов в местах грузовых операций │ │ Нормированные │
│при перегрузке грузов: │ │ освещенности │
│ - штучных и лесных │ 30 │ создаются │
│ - навалочных и зерновых │ 20 │ локализованным │
│ │ │ и переносным │
│ │ │ освещением │
│10. Закрытые грузовые железнодорожные вагоны│ │ │
│во время грузовых операций в порту │ │ │
│при перегрузке грузов: │ │ │
│ - штучных и лесных │ 25 │ - │
│ - навалочных и зерновых │ 20 │ - │
│11. Лестницы, трапы, мостики для переходов │ 5 │ - │
│по причальной набережной │ │ │
│12. Предпортовые и привокзальные площадки: │ │ │
│ - в городских районах │ 5 │ - │
│ - в районах поселков │ 2 │ - │
│ - вне населенных пунктов │ 0,5 │ - │
│13. Места работы весовщиков │ - │ 50 │
│ │ │(комбинированное) │
│ │ │ включая │
│ │ │ стационарное и │
│ │ │переносное местное│
│14. Участки железнодорожных парков и путей │ 3 │ - │
│на переездах в речных портах │ │ │
│15. Главные проходы и проезды с интенсивным │ 3 │ - │
│движением людских и грузовых потоков │ │ │
│со средним движением людских и грузовых │ │ │
│потоков, в том числе пожарные проезды │ │ │
│16. Прочие проходы и проезды, а также │ 0,5 │ - │
│участки, на которых работы не производятся │ │ │
│17. Охранное освещение │ 0,5 │ - │
└────────────────────────────────────────────┴─────────┴──────────────────┘
Примечания. 1. Уровни освещенности во время производства работ, нормированные для причалов, у которых производится обработка судов, должны быть предусмотрены также и на грузовых площадках палуб судов.
2. Уровни освещенности при выгрузке леса с воды должны быть предусмотрены также и на поверхности воды.
3. При производстве работ по выгрузке грузов в зимнее время в портах и на пристанях, расположенных в районе Крайнего Севера и распространения вечной мерзлоты, нормируемые уровни освещенности следует повышать на одну ступень по шкале освещенности, но не более чем до 30 лк.
4.8.26. На участках портовой территории, где используются установки промышленного телевидения, требующие повышенной освещенности (25 лк и более), рекомендуется применять спаривание передающих камер телеустановки с прожекторами, оси которых параллельны осям телекамер.
4.8.27. Освещение участков территории порта необходимо выполнять согласно табл. 4.8.3.
Таблица 4.8.3
┌───────────────────────────────┬──────────────────┬──────────────────────┐
│ Наименование участка порта │Рабочее освещение │ Охранное освещение │
├───────────────────────────────┼──────────────────┼──────────────────────┤
│1. Грузовые причальные линии, │Ксеноновые лампы, │Лампы накаливания │
│открытые склады, перегрузочные │прожекторы │на опорах и стойках, │
│площадки, рейды плотов │на мачтах │прикрепленных к ограде│
│2. Дороги, предпортовые │Ртутные лампы │ │
│площадки, пассажирские причалы │на опорах │ │
└───────────────────────────────┴──────────────────┴──────────────────────┘
4.8.28. Внутри вагонов и на причалах следует предусматривать возможность использования переносных светильников местного освещения.
Для подключения переносных светильников местного (ремонтного) освещения рекомендуется использовать штепсельные розетки, устанавливаемые внутри электропитательных пунктов.
4.8.29. Для наружного рабочего и охранного освещения следует предусматривать напряжение 380/220 В, для сети местного освещения вагонов, грузовых складов и т.п. объектов - 36 В и для сети ремонтного освещения (для переносных светильников) вдоль линии причальной стенки грузовых причалов и т.п. объектов - 12 В.
4.8.30. Питание установок наружного рабочего и охранного освещения следует предусматривать от общих трансформаторов с силовыми электроприемниками.
4.8.31. Сети наружного рабочего и охранного освещения должны быть предусмотрены независимыми от сети электросилового оборудования.
4.8.32. Дистанционное централизованное управление наружным освещением следует устраивать для всех наружных осветительных установок, исходя из соображений эксплуатационного характера и с учетом требований ГО. Рекомендуется предусматривать возможность перехода от ручного дистанционного управления на автоматическое.
Централизованное управление наружным освещением должно, как правило, осуществляться из одного пункта управления, где постоянно находится или может при необходимости находиться дежурный персонал (из помещения диспетчерского пункта, центрально расположенной на объекте обслуживаемой подстанции, проходной, пожарного поста и тому подобных мест).
Для портов с протяженной территорией (3 км и более), а также для портов, разделенных на отдельные обоснованные районы или участки, допускается иметь 2 - 3 пункта управления.
Для объектов, не имеющих диспетчерских пунктов, рекомендуется предусматривать автоматическое управление наружным освещением в зависимости от естественной освещенности. Наряду с этим необходимо предусматривать местное ручное управление.
4.8.33. В зоне работы перегрузочных передвижных механизмов предусматривать выполнение сети наружного освещения кабельными линиями, а в остальных случаях - воздушными с кабельными вставками.
Б. Теплоснабжение, отопление и вентиляция
4.8.34. Теплоснабжение может осуществляться как от котельной речного порта, так и от магистральных тепловых сетей котельной или ТЭЦ, расположенных вне площадки проектируемого объекта.
Теплоснабжение обособленно расположенных вне территории порта зданий или небольшой группы зданий (например, радиостанции со стоянкой, гаражом и т.д.) допускается осуществлять от встроенных в эти здания котельных. Теплоснабжение небольших зданий и помещений, расположенных вдали от тепловых сетей (например, пультов управления, помещений для курения и обогрева и т.п.), допускается осуществлять от электрических сетей, если суммарная нагрузка для отопления и вентиляция не превышает 10 кВт.
4.8.35. Проектирование котельных должно осуществляться в соответствии с требованиями
СНиП II-35-76.
При разработке мероприятий по снижению концентрации выбросов (золы, сернистого ангидрида, двуокиси азота, окиси углерода) из дымовой трубы котельной до предельно допустимых значений необходимо руководствоваться
ОНД 86 "Методика расчета концентрации в атмосферном воздухе вредных веществ, содержащихся в выбросах предприятий" и Методическими указаниями по расчету выбросов загрязняющих веществ при сжигании топлива в котлах производительностью до 30 т/ч.
4.8.36. Вид топлива (основной и резервный) для котельной и способ его доставки устанавливаются заказчиком в задании на проектирование.
Емкость склада топлива для котельной при доставке его водным транспортом должна быть рассчитана на работу котельной в межнавигационный период.
4.8.37. Проектирование тепловых сетей в портах должно осуществляться в соответствии с требованиями
СНиП 2.04.07-86.
4.8.38. Проектирование тепловых пунктов, водоподогревательных установок и узлов управления должно осуществляться в соответствии с требованиями Руководства по проектированию тепловых пунктов.
4.8.39. При проектировании отопления и вентиляции зданий и сооружений порта следует руководствоваться
СНиП 2.04.05-91 и Санитарными нормами проектирования промышленных предприятий с учетом требований, предъявляемых к отоплению и вентиляции отдельных производственных цехов и помещений соответствующих отраслей промышленности, а также указаниями настоящих норм.
4.8.40. При проектировании систем водяного отопления с местными нагревательными приборами в зданиях портоуправления, бытовых помещениях и т.п. следует предусматривать однотрубные системы отопления.
4.8.41. Необходимость устройства отопления в аппаратных залах узлов связи следует определять с учетом тепловыделения минимального количества одновременно работающих передатчиков. При недостаточном тепловыделении для поддержания температуры +10 °C в помещениях необходимо предусматривать дежурное отопление.
4.8.42. При проектировании горячего водоснабжения в зданиях и сооружениях речного порта следует руководствоваться
СНиП 2.04.01-85.
В. Водоснабжение и канализация
4.8.43. При проектировании водоснабжения и канализации порта следует руководствоваться требованиями, регламентируемыми
СНиП 2.04.01-85,
СНиП 2.04.02-84* и
СНиП 2.04.03-85, а также требованиями строительных норм и правил, предъявляемыми к проектированию водоснабжения и канализации отдельных производственных зданий и сооружений, расположенных на территории порта.
Для отдельных зданий и сооружений порта, удаленных от канализационной сети, по согласованию с органами санитарного надзора и при соответствующем технико-экономическом обосновании допускается устройство выгребов.
4.8.44. В портах, как правило, следует проектировать две системы водоснабжения: хозяйственно-питьевую и производственно-противопожарную.
Для охлаждения технологического оборудования следует предусматривать системы оборотного водоснабжения.
4.8.45. Расходы воды на снабжение судов и производственные нужды следует принимать в соответствии с технологическими требованиями.
4.8.46. Нормы водопотребления на хозяйственно-питьевые нужды пассажиров в речных вокзалах следует принимать:
1) на вокзалах на одного пассажира линий дальнего следования - 15 л/сут;
2) на вокзалах и павильонах на одного пассажира местных линий - 5 л/сут.
Примечание. Максимальные часовые расходы воды следует определять по количеству пассажиров, одновременно прибывающих на вокзал.
4.8.47. Напор в наружных сетях водопровода следует принимать: в пунктах снабжения судов - не менее 20 м, для производственных нужд - по технологическому заданию.
4.8.48. Водопроводные сети на территории порта следует предусматривать кольцевыми с подачей воды от источника водоснабжения по двум водоводам.
4.8.49. На водопроводной сети причалов необходимо предусматривать пункты для подачи воды питьевого качества на суда, питьевые фонтанчики и колодцы для присоединения киосков с сатураторными установками.
4.8.50. Бытовые сточные воды с транспортных судов подлежат отводу в береговые системы бытовой канализации на специальных причалах в портах, как правило, с помощью плавучих очистительных станций.
Количество бытовых сточных вод с судов и режим их сбора определяются в технологической части проекта.
4.8.51. Проектирование водозабора из подземных вод выполняется на основании гидрологического заключения и разрешения на бурение скважин на воду, выдаваемых территориальными геологическими управлениями.
Водозаборы подземных вод должны располагаться в местах, имеющих необходимые санитарные условия.
4.8.52. Сооружения для очистки поверхностных сточных вод с территорий портов необходимо проектировать в соответствии с материалами Водгео "Временные
рекомендации по проектированию сооружений для очистки поверхностного стока с территорий промышленных предприятий и расчету условий выпуска его в водные объекты".
4.8.53. С территории причалов порта, предназначенных для перегрузки и хранения тарно-штучных грузов, леса, оборудования, контейнеров, железобетонных и металлических изделий, инертных минерально-строительных материалов (гравий, песок и пр.), очистку поверхностных сточных вод, при соответствующем обосновании, допускается не предусматривать.
4.8.54. Вертикальную планировку территории причалов, предназначенных для перегрузки и хранения поваренной соли, минеральных удобрений и других химических грузов, хорошо растворимых в воде, следует выполнять таким образом, чтобы предотвратить возможность попадания поверхностных стоков с этих территорий в дождевую канализацию.
4.8.55. Очистке от нефтепродуктов и взвешенных веществ подлежат все загрязненные поверхностные стоки с территорий открытых складов и подъездных дорог грузовых причалов порта.
4.8.56. Очищенные дождевые стоки следует, как правило, использовать на полив территории и другие технологические нужды.
4.8.57. Средства и системы связи для портов следует применять с учетом технологических норм оснащенности средствами электросвязи предприятий речного флота.
Речной порт в зависимости от его категории следует оснащать необходимыми видами связи и сигнализации, в соответствии с
Приложением 6.
Виды связи и сигнализации для конкретного порта приводят в задании на проектирование.
4.8.58. Состав видов связи и сигнализации, а также их количественные показатели при проектировании порта должны изменяться в зависимости от местных условий, наличия на территории порта или вблизи его узла связи департамента речного транспорта, наличия общегосударственных средств связи.
4.8.59. Технические средства связи и сигнализации по
пунктам 1.5 -
1.10,
1.13,
2.4, приведенные в Приложении 6, должны размещаться как в специально выделенных помещениях (аппаратные помещения) или непосредственно в служебных помещениях здания управления порта, так в отдельном здании узла связи, размещаемого либо на территории порта, либо вне его границ.
4.8.60. Прокладка кабелей и проводов связи, радиофикации, оповещения, производственного телевидения, сигнализации и т.п. по зданиям должна быть скрытой.
4.8.61. Оборудование и кабельные сети по территории, на причалах и в зданиях порта следует размещать в соответствии с технологическими нормами оснащенности средствами электросвязи предприятий речного флота, а также с учетом действующих норм, правил технологического проектирования и других руководящих указаний о связи и сигнализации.
4.8.62. Антенные устройства УКВ радиостанций необходимо располагать на отдельно стоящих мачтах или на крыше здания, в котором находится радиостанция.
4.8.63. Для проектирования средств связи и сигнализации следует использовать следующие исходные данные:
ситуационный план местности с размещением проектируемого порта, нанесенными трассами и точками подключения внешних линий связи и радиофикации,
штатное расписание порта с распределением персонала по зданиям и помещениям зданий,
структура управления портом и схема взаимосвязи диспетчерских служб и пунктов их размещения,
список абонентов различных видов связи и сигнализации,
технические условия узла связи речного транспорта, в зоне которого размещается проектируемый порт, по организации местной и дальней технологической связи, утвержденных администрацией порта, и технические условия местных предприятий Министерства связи РФ,
требования действующих нормативных документов по проектированию систем автоматической противопожарной защиты зданий и сооружений порта,
технические условия, предъявляемые владельцами искусственных сооружений (мосты, путепроводы, телефонная канализация, гидроузлы и т.д.), по которым намечается трасса линий связи, с приложением основных чертежей этих сооружений и схем прокладки по ним линий связи,
генеральный план порта,
планы проектируемых инженерных сетей порта, необходимые для увязки при разработке планов сетей связи порта,
технические условия электроснабжения порта с указанием категории электроснабжения,
материалы инженерных изысканий (топография и геология) по трассам внешних и магистральных линий связи и радиофикации от границ проектируемого порта до точек подключения,
типовые и индивидуальные проекты зданий.
| | ИС МЕГАНОРМ: примечание. В официальном тексте документа, видимо, допущена опечатка: пункт 4.9.63 отсутствует. Возможно, имеется в виду пункт 4.8.63. | |
4.8.64. При реконструкции средств связи и сигнализации действующего порта, кроме исходных данных по
п. 4.9.63, следует использовать обмерные и исполнительные чертежи зданий с материалами инженерных обследований этих зданий, с указанием расчетной нагрузки на перекрытия и высоты помещений, а также исполнительная документация по существующим в порту линейным и станционным сооружениям связи.
4.8.65. При проектировании в составе порта отдельно стоящего узла связи вне территории порта, следует использовать материалы по выбору и отводу участков и материалы инженерных изысканий в объеме, необходимом для проектирования здания узла связи и инженерных сетей.
4.8.66. При выносе из зоны строительства порта существующих линий и сооружений следует использовать технические условия, предъявляемые владельцами линий и сооружений по выносу их из зоны строительства, а также чертежи трасс с необходимыми материалами инженерных изысканий.
Д. Автоматизация и контроль
4.8.67. Основными объектами автоматизации в портах являются:
технологическое подъемно-транспортное оборудование, включая поточно-транспортные системы,
котельные установки и тепловые пункты,
приточно-вытяжная вентиляция основных и вспомогательных помещений, зданий и сооружений,
насосные станции различного назначения (хозяйственно-питьевые, противопожарные, канализационные) и очистные сооружения, зарядные станции,
компрессорные и кислородные станции,
автоматические системы противопожарной защиты.
Примечание. Проекты автоматического пожаротушения должны разрабатываться специализированными организациями.
4.8.68. Степень автоматизации (полная, комплексная или частичная) электроприводов и технологических процессов следует устанавливать в зависимости от назначения, расположения и условий эксплуатации объектов автоматизации с учетом технической и экономической целесообразности.
4.8.69. Проектирование систем автоматизации подъемно-транспортного оборудования и поточно-транспортных линий следует производить в соответствии с ДС-14-79.
4.8.70. При проектировании систем автоматизации приточно-вытяжной вентиляции следует руководствоваться требованиями главы СНиП "Отопление, вентиляция и кондиционирование воздуха".
4.8.71. При проектировании систем автоматизации котельных установок необходимо руководствоваться требованиями глав
СНиП II-35-76 и
СНиП 2.04.07-86.
4.8.73. При проектировании систем автоматизации следует руководствоваться действующими типовыми проектами, документацией на типовые и закладные конструкции, а также конструктивными и руководящими материалами организаций и заводов - изготовителей приборов и средств автоматизации.
4.8.74. Для решения схем автоматизации следует выбирать приборы и аппаратуру, серийно выпускаемую отечественной промышленностью. Аппаратуру регулирования, управления и сигнализации, как правило, следует комплектовать в щиты, шкафы и пульты управления.
4.9. Гигиена труда, производственная экология
и охрана окружающей среды
4.9.1. Гигиенические условия труда в портах должны соответствовать требованиям основополагающих нормативных документов:
- "Гигиеническим нормам проектирования промышленных объектов"
<*>,
- "Гигиеническим требованиям к технологическому оборудованию, производственным процессам и рабочему инструменту" <*>,
- "Санитарным
правилам для морских и речных портов СССР" <*>,
другим документам, принятым Госкомэпиднадзором России.
--------------------------------
<*> Нормативные документы по состоянию на 1997 г. находятся в процессе пересмотра и утверждения, в связи с чем их обозначение не приводится.
4.9.2. Гигиенические условия для временного пребывания пассажиров и работы персонала вокзалов речных портов должны быть созданы путем соблюдения оптимальных и допустимых гигиенических нормативов, в частности:
- предельно допустимых величин удельной площади и объема помещений, приходящихся на одного пассажира,
- микроклимата в местах ожидания и нормативной кратности воздухообмена,
- нормативных параметров физических факторов (шум, вибрация, электромагнитные поля радиочастот),
- организация питания, водоснабжения и бытового обеспечения пассажиров и персонала в соответствии с гигиеническими правилами и нормами.
4.9.3. Оптимальные и допустимые условия труда должны быть обеспечены:
- при всех видах перегрузочных работ, в особенности при перемещении цемента, минеральных удобрений, строительных материалов, поваренной соли и других химически активных материалов, нефтепродуктов, легковоспламеняющихся и огнеопасных грузов;
- при работах в стационарных производственных помещениях при выполнении операций механической обработки, сварки, штамповки, окраски, в помещениях аккумуляторных, гаражей, кладовых химических веществ.
4.9.4. При любом перемещении опасных и вредных грузов должны быть предусмотрены эффективные меры по устранению и уменьшению в воздухе пыли, паров вредных веществ, в частности:
- ограничения применения ручного труда на основных и вспомогательных операциях за счет максимальной механизации и автоматизации работ, дистанционного управления процессом;
- герметизации и применения устройств для улавливания пыли;
- выполнения правил работы, уменьшающих пылевыделение при работах на кранах, конвейерах и применения пневмотранспорта;
- контроля содержания вредных веществ в воздухе.
Непосредственно на рабочих местах, как правило, должна быть обеспечена возможность соблюдения работающими правил личной гигиены (наличие умывальников, санузлов, средств индивидуальной защиты органов дыхания, глаз, кожи).
4.9.5. Гигиенические параметры воздушной среды в производственных помещениях в части микроклимата и предельного содержания вредных веществ должны соответствовать санитарным нормам и требованиям санитарного законодательства: санитарным
нормам микроклимата производственных помещений,
предельно допустимым концентрациям вредных веществ в воздухе рабочей зоны.
4.9.6. Бытовое обеспечение всех объектов порта следует предусматривать в соответствии со
СНиП 2.09.04-87* с обоснованием отнесения работающих к группам соответствующих производственных процессов.
4.9.7. В проектах строительства, расширения, реконструкции и технического перевооружения портов необходимо учитывать требования, изложенные в Санитарных
правилах для морских и речных портов в части выбора и обустройства площадки, выделения существующей территории для переработки пылящих и токсичных грузов, соблюдения санитарно-защитных зон
(СанПиН 2.2.1/2.1.1.567-96) и др. НТД, приведенных в
Приложении 1).
4.9.8. Для очистки акватории порта от нефтесодержащих сточных вод, представляющих одну из главных гигиенических и экологических проблем, следует предусматривать средства сбора и переработки (плавучие нефтемусоросборщики и береговые сооружения) или обработку водной поверхности нетоксичными химическими средствами, имеющими гигиенический сертификат.
4.9.9. В целях уменьшения наносимого природной среде ущерба при строительстве и эксплуатации порта или отдельных элементов его инфраструктуры при проектировании новых, расширении и техническом перевооружении действующих портов, необходимо руководствоваться действующими законодательными актами, руководящими материалами и нормативно-методическими документами по охране окружающей среды и рациональному использованию природных ресурсов, с учетом положений соответствующих СНиПов, ГОСТов и др. документов, которые регламентируют требования по охране природы при строительстве и эксплуатации промышленных и транспортных объектов
<*>.
--------------------------------
<*> Перечень основных нормативных актов и руководящих документов, требования которых следует учитывать при разработке проектной документации, приведен в нормативном документе, указанном в
Приложении 1.
4.9.10. Нормы и требования к составу и содержанию обосновывающих материалов, расчетов, сопоставления и мероприятий по уменьшению вредных воздействий и других необходимых сведений, которые следует включать в раздел "Оценка воздействия на окружающую среду" при разработке предпроектной документации и в раздел "Охрана окружающей среды" при разработке проектной документации строительства порта, приведены в специальном выпуске - "Нормы проектирования морских и речных портов". Разделы: "Оценка воздействия на окружающую среду", "Охрана окружающей среды" (ОАО "Гипроречтранс", ОАО "Ленморниипроект"; 1996 г.).
4.10. Основные технико-экономические показатели
4.10.1. Состав (перечень) технико-экономических показателей следует принимать в соответствии с
СНиП 11-01-95 и следующими рекомендациями:
1) Наименование и местонахождение порта (район, пункт).
2) Вид строительства (новое, расширение, реконструкция, техническое перевооружение), очередь.
3) Мощность (объем перегрузочных работ) в тыс. тонн.
4) Общая численность работающих, человек.
5) Производительность труда в год, тыс. тонн.
6) Себестоимость перегрузочных работ, тыс. рублей.
7) Расчетная стоимость строительства, млн. рублей, в т.ч. строительно-монтажные работы, млн. рублей.
8) Трудоемкость строительства, тыс. чел.-дн.
9) Продолжительность строительства, лет.
10) Срок окупаемости, лет.
11) Годовая потребность порта в энергоносителях и др. ресурсах:
- электроэнергия, млн. кВт x ч;
- теплоэнергия со стороны, млн. Гкал;
- уголь, тыс. т;
- газ, тыс. м3;
- нефтепродукты, тыс. т;
- вода, тыс. м3.
4.10.2. Расчетные технико-экономические показатели, полученные в проектах строительства, расширения, реконструкции и технического перевооружения речных портов должны быть не ниже нормативных или аналогичных прогрессивных показателей.
4.10.3. Определение нормативных технико-экономических показателей, а также приведение их к расчетным условиям проектируемого объекта, следует производить в соответствии с "Базовыми технико-экономическими показателями проектирования речных портов и пристаней".
4.10.4. Грузооборот, приведенный в табл. 4.10.1, определен для базовых условий: эксплуатационный период навигации 200 сут, работа в три смены при 41-часовой рабочей неделе, коэффициенте загрузки причала 100% и коэффициенте неравномерности грузопотоков и пассажиропотоков - I.
Таблица 4.10.1
┌──────────────────────────────────────────────┬──────────┬───────────────┐
│ Специализация причала │ Длина │ Грузооборот │
│ │причала, м│причала, тыс. т│
├──────────────────────────────────────────────┼──────────┼───────────────┤
│1. Тарно-штучных грузов │ 110 │ 150,0 │
│2. Металлогрузов │ 110 │ 200,0 │
│3. Железобетонных изделий │ 110 │ 170,0 │
│4. Оборудования и самоходной техники │ 110 │ 140,0 │
│5. Контейнеров: среднетоннажных │ 110 │ 220,0 │
│ крупнотоннажных │ 110 │ 350,0 │
│6. Угля: отправление │ 110 │ 850,0 │
│ │ 160 │ 1320,0 │
│ прибытие │ 110 │ 800,0 │
│ │ 160 │ 1300,0 │
│7. Руды: отправление │ 110 │ 800,0 │
│ │ 160 │ 1300,0 │
│ прибытие │ 110 │ 700,0 │
│ │ 160 │ 1150,0 │
│8. Лесных грузов, перевозимых: │ │ │
│ в пакетах │ 110 │ 305,0 │
│ │ 160 │ 500,0 │
│ россыпью │ 110 │ 230,0 │
│ │ 160 │ 380,0 │
│9. Минерально-строительных грузов, │ │ │
│перегружаемых кранами: │ │ │
│ щебня и гравия │ 110 │ 750,0 │
│ камня │ 110 │ 330,0 │
│ песчано-гравийной смеси и песка │ 110 │ 850,0 │
│ песчано-гравийной смеси и песка │ 140 │ 900,0 │
│ при выгрузке средствами гидромеханизации │ 140 │ 1600,0 │
│10. Соли: молотой │ 110 │ 330,0 │
│ комовой │ 110 │ 500,0 │
│11. Апатитового концентрата (прибытие) │ 125 │ 500,0 │
│12. Минеральных удобрений (отправление) │ 140 │ 700,0 │
│13. Причалы с малым грузооборотом, тыс. т: │ │ │
│ до 75,0 │ 60 │ 75,0 │
│ до 50,0 │ 60 │ 50,0 │
│ до 25,0 │ 60 │ 25,0 │
│14. Зерна: отправление │ 170 │ 600,0 │
│ прибытие │ 160 │ 450,0 │
│15. Цемента: отправление │ 140 │ 500,0 │
│ прибытие │ 160 │ 245,0 │
│16. Нефтегрузов: отправление │ 130 │ 1000,0 │
│ прибытие │ 130 │ 800,0 │
└──────────────────────────────────────────────┴──────────┴───────────────┘
4.10.5. В соответствии со
СНиП 11-01-95 оценку эффективности инвестиционных проектов рекомендуется определять по Методическим
рекомендациям, утвержденным Госстроем России, Минэкономики России, Минфином России, Госкомпромом России (N 7-12/47 от 31.03.1994); рекомендуется также использовать методику "Коммерческая оценка инвестиционных проектов", разработанную Исследовательско-консультационной фирмой "Альт" (г. Санкт-Петербург, 1993 г.).
| | ИС МЕГАНОРМ: примечание. В официальном тексте документа, видимо, допущена опечатка: имеется в виду СП 11-101-95, а не СН 11-101-95. | |
При разработке обоснований инвестиций необходимо руководствоваться законодательными и нормативными актами Российской Федерации, субъектов Российской Федерации и другими государственными документами, регулирующим инвестиционную деятельность
(СН 11-101-95).
--------------------------------
<*> Состав документов, их обозначение и пр., приведены по состоянию на 07.1997.
НОРМАТИВНЫЕ АКТЫ И РУКОВОДЯЩИЕ ДОКУМЕНТЫ,
ИСПОЛЬЗОВАННЫЕ В НАСТОЯЩЕМ НОРМАТИВНОМ ДОКУМЕНТЕ,
А ТАКЖЕ ДРУГИЕ ОСНОВНЫЕ ДОКУМЕНТЫ, ТРЕБОВАНИЯ КОТОРЫХ
СЛЕДУЕТ УЧИТЫВАТЬ ПРИ РАЗРАБОТКЕ ПРОЕКТНОЙ ДОКУМЕНТАЦИИ
РЕЧНЫХ ПОРТОВ
1. ЗАКОНЫ
1.1. "Об охране окружающей природной среды" (
Закон РСФСР от 19.12.1991 N 2061-1)
1.2. Земельный
кодекс РСФСР. 1991 г.
| | ИС МЕГАНОРМ: примечание. В официальном тексте документа, видимо, допущена опечатка: Закон N 4730-1 принят 01.04.1993, а не 01.04.1994. | |
1.3.
Закон о Государственной границе Российской Федерации (от 01.04.1994 N 4730-1)
| | ИС МЕГАНОРМ: примечание. В официальном тексте документа, видимо, допущена опечатка: Закон N 23-ФЗ принят 10.08.1994, а не 10.08.1995. | |
1.4.
Закон "О внесении изменений и дополнений в Закон Российской Федерации "О Государственной границе Российской Федерации" (от 10.08.1995 N 23-ФЗ)
1.5. "О защите населения и территорий от чрезвычайных ситуаций природного и техногенного характера" (от 21.12.1994
N 68-ФЗ)
1.6. Водный
кодекс Российской Федерации (от 16.11.1995 N 167-ФЗ)
1.7. О безопасности гидротехнических сооружений (от 21.07.1997
N 117-ФЗ)
1.8. О промышленной безопасности опасных производственных объектов (от 21.07.1997
N 116-ФЗ)
| | ИС МЕГАНОРМ: примечание. В официальном тексте документа, видимо, допущена опечатка: Федеральный закон о пожарной безопасности принят 21.12.1994, а не 29.12.1994, и имеет номер 69-ФЗ, а не номер 647 пр. | |
1.9. Федеральный
закон о пожарной безопасности (от 29.12.1994 N 647 пр).
2. УКАЗЫ ПРЕЗИДЕНТА РОССИЙСКОЙ ФЕДЕРАЦИИ
2.1. "О государственной стратегии Российской Федерации по охране окружающей среды и обеспечению устойчивого развития" (от 04.02.1994
N 236)
2.2. "О концепции перехода Российской Федерации к устойчивому развитию" (от 09.04.1996 N 440)
2.3. "О мерах по обеспечению устойчивого функционирования внутренних водных путей России" (от 14.08.1997 N 881).
3. НОРМАТИВНЫЕ АКТЫ, УТВЕРЖДЕННЫЕ ПРАВИТЕЛЬСТВОМ
| | ИС МЕГАНОРМ: примечание. В официальном тексте документа, видимо, допущена опечатка: Положение о порядке осуществления государственного контроля за использованием и охраной земель в Российской Федерации утверждено Постановлением N 1362 от 23.12.1993, а не от 23.12.1992. | |
3.1.
Положение о порядке осуществления государственного контроля за использованием и охраной земель в Российской Федерации (Утв. Постановлением Совета Министров Правительства Российской Федерации от 23.12.1992 N 1362)
3.2.
Положение о порядке возмещения убытков собственникам земли, землевладельцам, землепользователям, арендаторам и потерь сельскохозяйственного производства (Утв. Постановлением Правительства Российской Федерации от 28.01.1993 N 77)
3.3.
Положение о декларации безопасности промышленного объекта Российской Федерации (Утв. Постановлением Правительства Российской Федерации от 01.07.1995 N 675)
3.4. Федеральная целевая
программа "Внутренние водные пути России" на 1996 - 2000 годы (Утв. Постановлением Правительства от 15.04.1996 N 464)
3.5. О порядке разработки, согласования, государственной экспертизы, утверждения и реализации схем комплексного использования и охраны водных ресурсов (
Постановление Правительства России от 13.09.1996 N 1097)
3.6.
Положение о водоохранных зонах водных объектов и их прибрежных защитных зонах (Утв. Постановлением Правительства Российской Федерации от 23.11.1996 N 1404)
3.7. О порядке образования и использования средств резервного фонда Министерства транспорта Российской Федерации для обеспечения безопасного функционирования транспортных систем и ликвидации последствий чрезвычайных ситуаций в транспортном комплексе (от 21.07.1997
N 921).
4. СТРОИТЕЛЬНЫЕ НОРМЫ И ПРАВИЛА
4.1.
СНиП 2.06.01-86. Гидротехнические сооружения. Основные положения проектирования
4.3.
СНиП 3.07.02-87. Гидротехнические морские и речные транспортные сооружения
4.4.
СНиП 2.06.04-82*. Нагрузки и воздействия на гидротехнические сооружения (волновые, ледовые, от судов)
4.10.
СНиП 2.11.03-93. Склады нефти и нефтепродуктов. Противопожарные нормы
4.14.
СНиП 3.05.05-84. Технологическое оборудование и технологические трубопроводы
4.15.
СНиП 2.11.06-91. Склады лесных материалов. Противопожарные нормы проектирования
4.16.
СНиП 2.07.01-89. Градостроительство. Планировка и застройка городских и сельских поселений
4.20.
СНиП 1.04.03-85*. Нормы продолжительности строительства и задела в строительстве предприятий, зданий и сооружений (изд. 1991 г.)
4.23.
СНиП 5.01.09-84. Нормы расхода материалов, изделий и труб на 1 млн. руб. сметной стоимости строительно-монтажных работ
| | ИС МЕГАНОРМ: примечание. Текст дан в соответствии с официальным текстом документа. | |
4.25.
СНиП 2.11.06-91. Склады лесных материалов. Противопожарные нормы проектирования
| | ИС МЕГАНОРМ: примечание. В официальном тексте документа, видимо, допущена опечатка: нормы имеют номер СНиП II-108-78, а не СНиП 1.08-78. | |
4.26.
СНиП 1.08-78. Склады сухих минеральных удобрений и химических средств защиты растений
4.33.
СНиП 2.06.15-85. Инженерная защита территории от затопления, подтопления
4.34.
СНиП II-35-76. Котельные установки. Инструкция по проектированию котельных
4.37.
СНиП 11-01-95. Инструкция о порядке разработки, согласования, утверждения и составе проектной документации на строительство предприятий, зданий и сооружений
| | ИС МЕГАНОРМ: примечание. В официальном тексте документа, видимо, допущена опечатка: имеется в виду СП 11-101-95, а не СН 11-101-95. | |
4.38.
СН 11-101-95. Порядок разработки, согласования, утверждения и состав обоснований инвестиций в строительство предприятий, зданий и сооружений (Минстрой России, 1995).
5. ГОСУДАРСТВЕННЫЕ СТАНДАРТЫ
5.1.
ГОСТ 19185-73. Гидротехника. Основные понятия. Термины и определения
| | ИС МЕГАНОРМ: примечание. ГОСТ 23867-79 утратил силу на территории Российской Федерации с 1 июля 2014 года в связи с введением в действие ГОСТ Р 55507-2013 (Приказ Росстандарта от 20.08.2013 N 526-ст). | |
5.2. ГОСТ 23867-79. Эксплуатация речных портов. Термины и определения
5.3. ГОСТ 23903-79. Пути водные внутренние и их навигационное оборудование. Термины и определения
5.4.
ГОСТ 26600-98. Знаки навигационные внутренних судоходных путей. Общие технические условия
| | ИС МЕГАНОРМ: примечание. Взамен ГОСТ 12.4.026-76 Постановлением Госстандарта России от 19.09.2001 N 387-ст на территории Российской Федерации с 1 января 2003 года введен в действие ГОСТ Р 12.4.026-2001. | |
5.6. ГОСТ 12.4.026-76. Цвета сигнальные и знаки безопасности
| | ИС МЕГАНОРМ: примечание. Взамен ГОСТ 25695-83 Постановлением Госстандарта СССР от 29.12.1991 N 2307 введен в действие с 1 января 1993 года ГОСТ 25695-91. | |
5.8. ГОСТ 25695-83. Светофоры дорожные. Общие технические условия
5.9.
ГОСТ 8442-65. Знаки путевые и сигнальные железных дорог
5.10.
ГОСТ 51090-97. Средства общественного пассажирского транспорта. Общие технические требования доступности и безопасности для инвалидов
5.11.
ГОСТ 26775-97. Габариты подмостовые судоходных пролетов мостов на внутренних водных путях. Нормы и технические требования
5.12.
ГОСТ 21.204-93. Условные графические обозначения и изображения элементов генеральных планов и сооружений транспорта
5.13.
ГОСТ 21.508-93. Правила выполнения рабочей документации генеральных планов предприятий, сооружений и жилищно-гражданских объектов
5.14.
ГОСТ 12.4.009-83. Пожарная техника для защиты объектов. Основные виды. Размещение и обслуживание
5.15.
ГОСТ 27990-88. Средства охранной, пожарной и охранно-пожарной сигнализации. Общие технические требования
5.16.
ГОСТ 12.0.004-90. Организация обучения безопасности труда. Общие положения
5.18.
ГОСТ 12.1.005-88. Общие санитарно-гигиенические требования к воздуху рабочей зоны
5.19.
ГОСТ 12.1.019-79. Электробезопасность. Общие требования и номенклатура видов защиты
5.20.
ГОСТ 12.2.003-91. Оборудование производственное. Общие требования безопасности
5.21.
ГОСТ 17.2.3.02-78. Охрана природы. Атмосфера. Правила установления допустимых выбросов вредных веществ промышленными предприятиями
5.22.
ГОСТ 17.4.2.01-81. Охрана природы. Почвы. Номенклатура показателей санитарного состояния
5.23.
ГОСТ 17.1.3.05-82. Охрана природы. Общие требования к охране поверхностных и подземных вод от загрязнения нефтью и нефтепродуктами
5.24.
ГОСТ 17.1.3.06-82. Охрана природы. Гидросфера. Общие требования к охране подземных вод
5.25.
ГОСТ 17.5.3.04-83. Охрана природы. Земли. Общие требования к рекультивации земель
5.26. ГОСТ 12.1.042-84. Вибрация. Методы измерения на рабочих местах
5.27. ГОСТ 17.1.3.11-84. Охрана природы. Гидросфера. Общие требования охраны поверхностных и подземных вод от загрязнения минеральными удобрениями
5.28.
ГОСТ 17.4.3.02-85. Охрана природы. Почвы. Требования к охране плодородного слоя почвы при производстве земляных работ
5.29.
ГОСТ 17.4.3.04-85. Охрана природы. Почвы. Общие требования к контролю и охране от загрязнения
5.32.
ГОСТ 12.1.023-80. Шум. Методы установления значений шумовых характеристик стационарных машин
5.33.
ГОСТ 12.1.044-84. Пожаровзрывоопасность веществ и материалов. Номенклатура показателей и методы их определения.
6. ОТРАСЛЕВЫЕ НОРМАТИВНЫЕ И РУКОВОДЯЩИЕ ДОКУМЕНТЫ,
РЕКОМЕНДАЦИИ, УКАЗАНИЯ И ДРУГИЕ ДОКУМЕНТЫ
<*>
--------------------------------
<*> Приведенные в разделе 6 отраслевые документы с учетом достаточно давнего срока их разработки и утверждения, а также при отсутствии своевременной корректировки (внесения изменений и поправок) могут быть использованы только в той части, которая не противоречит действующим нормативно-правовым актам.
6.1. Временные
рекомендации по проектированию сооружений для очистки поверхностного стока с территорий промышленных предприятий и расчету условий выпуска его в водные объекты. ВНИИ Водгео Госстроя СССР и ВНИИВО Минводхоза СССР. М., 1983 г.
6.2. ВСН 30-83. Инструкция по проектированию гидротехнических сооружений в районах распространения вечномерзлых грунтов. Минэнерго СССР, Л., 1983
6.3. Указания по проектированию установок компенсации реактивной мощности в электрических сетях промышленных предприятий. РТМ 36.18.32.6-92. ВНИИПИ Тяжпромэлектропроект
6.4. РТМ 212.0119-81. Расчет и проектирование электроснабжения речных портов. Л., Транспорт, 1982
6.5. РТМ 212.0051-75. Электроснабжение судов от береговых сетей. Л., Транспорт, 1976
6.6.
ТП 101-81. Технические правила по экономному расходованию основных строительных материалов. М., Стройиздат, 1982
6.7. Указания по проектированию судоходных каналов. ВСН 3-70. Л., Транспорт, 1971
6.8. Технические условия размещения штучных грузов в закрытых складах. Утв. Минречфлотом РСФСР, М., 1990
| | ИС МЕГАНОРМ: примечание. В официальном тексте документа, видимо, допущена опечатка: Положение о таможенных складах утверждено Приказом N 314 ГТК России от 10.08.1993, а не от 10.08.1994. | |
6.9.
Положение о таможенных складах (Утв. ГТК России; Приказ от 10.08.1994 N 314)
6.10. Указания по проектированию судоремонтных предприятий речного флота. Л., Ленгипроречтранс, 1978
6.11. Руководство по проектированию тепловых пунктов. Стройиздат, 1983
6.12. Инструкция по устройству молниезащиты зданий и сооружений.
РД 34.21.122-87 ГНИЭМ им. Г.М. Кржижановского, Минэнерго СССР
6.13. Нормы технологического проектирования цехов и сооружений судоремонтно-судостроительных предприятий Минречфлота РСФСР. Ленгипроречтранс, ВНТП 01-89
6.14. Нормативы трудоемкости, расхода материалов и стоимости ремонта серийных судов МРФ, Ленгипроречтранс, Л., 1985
6.15.
Правила ремонта судов МРФ. Минтранс России, С-П, 1993
6.16.
Правила безопасности труда на промышленных предприятиях Минречфлота РСФСР. Транспорт, Л., 1984
6.17. Технологические нормы оснащенности средствами электросвязи предприятий Министерства речного флота РСФСР, Приказ N 94 от 03.06.1986
6.18. Нормы государственной противопожарной службы
- Определение категории помещений и зданий по взрывопожарной и пожарной опасности.
НПБ 105-95. Утв. ГУ ГПС МВД России 31.10.1995;
- Определение категорий наружных установок по пожарной опасности.
НПБ 107-97;
- Пожарная охрана предприятий. Общие требования.
НПБ 201-96;
- Муниципальная пожарная служба. Общие требования.
НПБ 202-96;
- Перечень зданий, сооружений, помещений и оборудования, подлежащих защите автоматическими установками тушения и обнаружения пожара.
НПБ 110-96. Утв. ГУ ГПС МВД России 30.09.1996
6.19. Проектирование систем оповещения людей о пожаре в зданиях и сооружениях.
НПБ 104-95. Утв. ГУ ГПС МВД России 18.08.1995
6.20. Правила пожарной безопасности на судах и береговых объектах Министерства речного флота РСФСР. Часть I. Суда. Утв. Приказом Минречфлота РСФСР от 10.02.1982 N 10. Л., Транспорт, Ленинградское отделение, 1983
6.21. Правила пожарной безопасности на судах и береговых объектах Министерства речного флота РСФСР. Часть 2. Береговые объекты. Утв. Приказом Минречфлота РСФСР от 10.07.1982 N 78, Л., Транспорт, Ленинградское отделение, 1983
6.22.
Правила технической эксплуатации портовых сооружений. Утв. Минречфлотом РСФСР от 27.06.1985 и введ. в действие с 01.01.1986, Л., Транспорт, Ленинградское отделение, 1986
6.23. Правила технической эксплуатации перегрузочных машин речных портов. Утв. Минречфлотом РСФСР от 16.09.1982 и введены в действие с 01.01.1984, Л., Транспорт, Ленинградское отделение, 1983
6.24.
Правила устройства и безопасной эксплуатации грузоподъемных кранов. НПО ОБТ, Москва, 1993
6.25.
Правила технической эксплуатации речного транспорта. М., Транспорт, 1974
6.26. Требования техники безопасности при проектировании речных портов и пристаней. Утв. Минречфлотом РСФСР от 20.09.1990, М., Гипроречтранс, 1990
6.27. Охрана труда на речном транспорте. Правила безопасности труда на перегрузочных работах в речных портах. Утв. Минречфлота РСФСР от 26.06.1989. М., Транспорт, 1989
6.28. Гигиенические нормы проектирования промышленных объектов (документ находится на утверждении)
6.29. Гигиенические требования к технологическому оборудованию, производственным процессам и рабочему инструменту (документ находится на утверждении)
6.30. Методика расчета пропускной способности грузовых причалов речных портов. Минречфлот РСФСР, М., 1987
6.31. Единые комплексные нормы выработки и времени на перегрузочные работы, выполняемые в речных портах и на пристанях. Части 1 и 2. Утв. и введ. в действие Постановлением Госкомитета СССР по труду и социальным вопросам и Секретариата ВЦСПС от 27.07.1987 до 01.01.1993, М., ВНИИ труда, 1988
6.32. Ведомственные комплексные нормы выработки и времени на погрузочно-разгрузочные работы, выполняемые в речных портах и на пристанях. Изд. 3, перераб. и доп. Утв. Минречфлота РСФСР от 28.06.1981, М., Транспорт, 1983
6.33. Единые
нормы выработки времени на вагонные, автотранспортные и складские погрузочно-разгрузочные работы. М., Экономика, 1987
6.34. Судо-часовые нормы загрузки-разгрузки судов Министерства речного флота РСФСР и правила их применения. Утв. Приказом Минречфлота РСФСР от 08.07.1987 N 130 и введ. в действие с 01.01.1988, М., ЦБНТИ Минречфлота, 1987
6.35. Нормативы времени на погрузочно-разгрузочные работы, выполняемые в речных портах и на пристанях. Изд. 3-е, перераб. и доп. Утв. Минречфлота РСФСР от 28.04.1979, М., Транспорт, 1980
6.36. Нормативы времени на погрузочно-разгрузочные работы, выполняемые в речных портах и на пристанях (дополнение к нормативам времени, изданным в 1980 г.). Утв. Минречфлота от 17.01.1983. М., Транспорт, 1984
6.37. Типовые проекты блоков портовых РММ I - III категорий. Основные положения. Гипроречтранс, арх. N 14918, М., 1982
6.38. Справочник диспетчера речного флота. Минречфлот РСФСР, М., 1990
6.39. РТМ 212.0105-81. Отраслевые требования научной организации труда, обязательные при проектировании речных портов. Утв. Минречфлота РСФСР от 17.12.1981 и введ. в действие 01.01.1982
6.40. Типовые технологические процессы перегрузочных работ в речных портах (Сборник). Утв. Минречфлота РСФСР от 29.05.1979. М., Транспорт, 1980
6.41. Типовые технологические процессы перегрузочных работ в речных портах. Сборник (дополнение к типовым технологическим процессам погрузочно-разгрузочных работ в речных портах, изд. 1980). Утв. Минречфлота РСФСР от 04.10.1983. М., Транспорт, 1985
6.42. Базовые технико-экономические показатели проектирования речных портов и пристаней. Утв. Минречфлотом РСФСР от 31.08.1987, М., Гипроречтранс, 1987
6.43. Нормативы численности и нормы обслуживания вспомогательных рабочих речных портов (пристаней). Утв. Минречфлота РСФСР от 29.04.1985. М., ЦПКБ, 1985
6.44. Правила, положения и инструкции по контейнерным и пакетным перевозкам (Сборник). М., Транспорт, 1985
6.45.
Устав внутреннего водного транспорта Союза ССР. Переиздание (с изменениями и дополнениями по состоянию на 1 августа 1984). М., Транспорт, 1985
(В настоящее время взамен Устава разрабатывается Кодекс внутреннего водного транспорта Российской Федерации)
6.46. Правила устройства электроустановок
(ПУЭ). М., Энергоатомиздат, 1985
6.47. Ведомственные указания по противопожарному проектированию предприятий, зданий и сооружений нефтеперерабатывающей и нефтехимической промышленности.
ВУПП-88
6.48. Санитарные
правила для морских и речных портов СССР. Утв. Министерством здравоохранения СССР. Одесса, 1989 (примеч.: документ в части морских портов в настоящее время - в стадии пересмотра)
6.49.
СанПиН 4630-88. Санитарные правила нормы охраны поверхностных вод от загрязнения. М., 1988
6.50. СанПиН 4631-88. Санитарные правила и нормы охраны прибрежных вод морей от загрязнения в местах водопользования населения. М., 1988
6.51. СанПиН 4946-89. Санитарные правила по охране атмосферного воздуха населенных мест. М., 1989
6.53. Методика расчета предельно допустимых сбросов (ПДС) веществ в водные объекты со сточными водами (действие продлено Письмом Минприроды России от 15.04.1993 N 07-37/65-1177). Харьков, 1990
6.54. Временные
рекомендации по проектированию сооружений для очистки поверхностного стока с территорий промышленных предприятий и расчету условий выпуска его в водные объекты. ВНИИ ВОДГЕО Госстроя СССР и ВНИИВО Минводхоза СССР. М., 1983
6.55. МУ 50.022-89. Временные методические указания по расчету выбросов от флота в городах и местах скопления флота. Минречфлот, 1989
6.56. Методические
указания по расчету выбросов загрязняющих веществ (пыли) в атмосферу при складировании и перегрузке сыпучих материалов на предприятиях речного транспорта. Минтранс России, 1993
6.57.
Положение об оценке воздействия на окружающую среду в Российской Федерации. Введено Приказом Минприроды России от 18 июля 1994 г. N 222 (зарегистрировано Минюстом от 22.09.1994 N 695)
6.58. Правила по предотвращению загрязнения с судов внутреннего плавания. Российский Речной Регистр, М., 1993
6.59. Международная Конвенция по предотвращению загрязнения с судов, 1973 г., и Протокол 1978 г., М., 1981 г. (МАРПОЛ-73 и Протокол 1978 г. к ней)
6.60. Положение о порядке выдачи разрешений на право производства дноуглубительных работ и сброса грунта в водоемы. Госспецинспекция по охране моря и смежных водных путей. С-Пб., 1993
6.61. Положение об организации работ по ликвидации разливов нефти и нефтепродуктов. М., 1986
6.62. Инструкция о порядке и организации взаимодействия при ликвидации разливов нефти и нефтепродуктов. М., 1986
6.63. Типовое
положение о порядке выдачи исходных данных и технических условий на проектирование, согласование документации на строительство, а также оплаты оказанных услуг. Минстрой России, 1996
6.64. МУ 50.018-87. Расчет параметров и проектирование гидромеханизированных причалов речных портов. 1987
6.65. Нормы проектирования морских и речных портов. Разделы: Оценка воздействия на окружающую среду; Охрана окружающей среды. (Согласованы Государственным комитетом Российской Федерации по охране окружающей среды: Письмо от 06.12.1996 N 02-12/32-4331); ОАО "Гипроречтранс", ОАО Ленморниипроект
6.66. Действующие нормативные правовые акты и нормативно-технические документы, касающиеся организации государственного контроля иностранных и российских судов заграничного плавания, членов экипажа, пассажиров, грузов и товаров; ОАО "Гипроречтранс"; документы, издаваемые соответствующими министерствами и ведомствами
6.67.
Пособие по проектированию вокзалов (к СНиП II-85-80). М., Стройиздат, 1987
6.68.
ВСН 62-91*. Проектирование среды жизнедеятельности с учетом потребления инвалидов и маломобильных групп населения. М., изд. 1994.
(справочное)
В настоящих Нормах применены следующие термины.
| | ИС МЕГАНОРМ: примечание. ГОСТ 23867-79 утратил силу на территории Российской Федерации с 1 июля 2014 года в связи с введением в действие ГОСТ Р 55507-2013 (Приказ Росстандарта от 20.08.2013 N 526-ст). | |
1. Водно-транспортный узел - место пересечения или стыка водных и сухопутных путей сообщения, используемое для грузовых и пассажирских операций, а также для ремонта и обслуживания флота (ГОСТ 23867-79).
2. Речной порт - транспортное предприятие на внутренних судоходных путях, имеющее в своем составе один или несколько причалов с прилегающей территорией и акваторией.
3. Грузовой район порта - производственное подразделение порта, специализированное по видам перегружаемых грузов, грузовым операциям.
4. Причал - комплекс сооружений, предназначенный для безопасной стоянки, обработки и обслуживания судна
(ГОСТ 19185-73).
5. Территория порта - прибрежная территория в установленных границах, занимаемая портом, с расположенными на ней портовыми сооружениями, оборудованием и устройствами.
6. Причальный фронт - участок береговой линии, оборудованный устройствами для швартовки и стоянки судов (ГОСТ 23867-79).
7. Причальное сооружение - плавучее средство или гидротехническое сооружение для швартовки судов.
8. Кордон - верхняя краевая грань причала, обращенная в сторону акватории.
9. Прикордонная зона - часть территории порта, прилегающая к причальной набережной, в пределах которой производится непосредственная перегрузка грузов с сухопутных транспортных средств в суда и в обратном направлении.
10. Колесоотбойное устройство - устройство вдоль кордона причальной набережной, края рампы склада, устанавливаемое для предотвращения съезда и падения автомобилей и машин напольного транспорта с причальной набережной и рампы склада (ГОСТ 23867-79).
11. Отбойное устройство - устройство, предназначенное для предохранения от повреждения причального сооружения и корпуса судна при подходе его к причалу или во время его стоянки при волнении.
Примечание. Отбойное устройство может быть в виде отбойной рамы, отбойной сваи, отбойного пала, кранцев. (ГОСТ 23867-79).
12. Швартовное устройство - устройство на причальном сооружении, предназначенное для швартовки и удержания судна.
13. Акватория порта (рис. 1,
2) - участок водоема или водотока в установленных границах, обеспечивающий маневрирование и стоянку судов в порту.
1 - причалы; 2 - акватория причалов; 3 - рейды; 4 - ось
судового хода; 5 - кромка судового хода; 6 - ось водного
подхода к рейду; 7 - ось водного подхода к акватории
причалов; 8 - береговая пола; 9 - направление течения
Рисунок 1. Схема расположения порта на реке
1 - причалы; 2 - акватория причалов; 3 - рейды; 4 - ось
судового хода; 5 - ось водного подхода к рейду;
6 - ось водного подхода к акватории причалов;
7 - оградительные сооружения; 8 - береговая полоса
Рисунок 2. Схема расположения порта на водохранилище
14. Акватория рейда (рейд) (
рис. 1, 2) - часть акватории порта для якорной стоянки судов.
Примечание. Акватория рейда может быть использована для межнавигационного отстоя судов.
15. Внутренний водный путь - (ВВП) - реки, озера, водохранилища и каналы, пригодные для судоходства и лесосплава (ГОСТ 23903-79,
ГОСТ 26775-97).
16. Судовой ход (рис. 3) - пространство (подводное и надводное) на судоходном пути, предназначенное для судоходства и обозначаемое на местности или на карте
(ГОСТ 26775-97).
1 - ось основного транзитного судового хода;
2 - ось дополнительного транзитного судового
хода; 3 - ось местного судового хода; 4 - ось
водных подходов; 5 - причал; 6 - береговая полоса
Рисунок 3. Схема судовых ходов и водных подходов
к акваториям портов, расположенных на водохранилище
17. Транзитный судовой ход (рис. 3) - судовой ход, по которому на данном внутреннем судоходном пути осуществляется основной объем дальнопробежных перевозок грузов и пассажиров преимущественно в крупнотоннажных судах и составах.
18. Основной судовой ход (рис. 3) - транзитный судовой ход, используемый, как правило, в течение всего навигационного периода.
19. Дополнительный судовой ход
(рис. 3) - транзитный судовой ход, предназначенный для сокращения пути следования судов и составов или для их защиты от ветроволнового воздействия при определенных гидрологических и метеорологических условиях.
20. Местный судовой ход
(рис. 3) - судовой ход, по которому осуществляются местные перевозки грузов и пассажиров. Предназначен для связи пунктов, расположенных на притоках водоема, с транзитным судовым ходом, а также отдельных пунктов водоема друг с другом.
21. Водные подходы (
рис. 1,
2,
3) - участки внутренних судоходных путей, соединяющие транзитный или местный судовые ходы с акваториями портов, и других воднотранспортных предприятий, а также отдельные их акватории друг с другом.
22. Нормальный подпорный уровень (НПУ) - наивысший проектный подпорный уровень верхнего бьефа, который может поддерживаться в нормальных условиях эксплуатации гидротехнических сооружений
(ГОСТ 19185-73).
23. Форсированный подпорный уровень - подпорный уровень выше нормального, временно допускаемый в верхнем бьефе в чрезвычайных условиях эксплуатации гидротехнических сооружений
(ГОСТ 19185-73).
24. Низкий судоходный уровень воды (НСУ) - расчетный уровень воды, от которого отсчитываются навигационная и проектная глубины, определяемый в зависимости от категории порта.
25. Проектный уровень воды (ПУ) - расчетный низкий судоходный уровень воды с заданной обеспеченностью.
Примечание. Применяется при работах на внутренних судоходных путях, необходимых для судоходства, и установлении нормированных габаритов судового хода.
26. Навигационная глубина - определяемая расчетом глубина акватории порта или водного подхода, обеспечивающая безопасность движения маневров и отстоя расчетного судна (состава) и производства перегрузочных операций.
27. Проектная глубина - определяемая расчетом глубина акватории порта или водного подхода, равная сумме навигационной глубины и запаса на заносимость.
28. Сверхмагистральные водные пути (сверхмагистрали) - внутренние судоходные пути, обеспечивающие перевозку транзитных грузов и пассажиров в общегосударственных сообщениях. К ним относят водные пути 1 и 2 классов.
29. Магистральные водные пути (магистрали) - внутренние судоходные пути, обеспечивающие транспортные связи в межрайонных сообщениях между крупными экономическими районами. К ним относятся водные пути 3 и 4 классов.
30. Водные пути местного значения - внутренние водные пути, предназначенные для перевозок внутри экономических районов и имеющие выход на смежные магистрали. К ним относятся водные пути 5 - 7 классов.
| | ИС МЕГАНОРМ: примечание. ГОСТ 23867-79 утратил силу на территории Российской Федерации с 1 июля 2014 года в связи с введением в действие ГОСТ Р 55507-2013 (Приказ Росстандарта от 20.08.2013 N 526-ст). | |
31. Комплексное обслуживание флота - комплекс операций по эксплуатационно-техническому обслуживанию и навигационному обеспечению флота (ГОСТ 23867-79).
32. Причал комплексного обслуживания флота - причал, предназначенный для эксплуатационного, навигационного, материально-технического, санитарно-технического, культурно-бытового и медицинского обслуживания флота (ГОСТ 23867-79).
33. Перегрузочные работы - перемещение груза из одного транспортного средства в другое непосредственно или через склад и внутрискладское перемещение груза (ГОСТ 23867-79).
34. Бункеровка судна - пополнение судна запасом топлива и смазочными материалами (ГОСТ 23867-79).
35. Оперативный грузовой склад - портовый склад для краткосрочного хранения грузов (ГОСТ 23867-79).
36. Фронт обработки вагонов - участок железнодорожного пути, на котором выполняются работы по загрузке и разгрузке вагонов (ГОСТ 23867-79).
37. Вариант перегрузочных работ - завершенное перемещение груза независимо от расстояния и производимых при этом дополнительных операций.
Примечание. Примерами вариантов перегрузочных работ являются "судно-склад" и обратно, "судно-вагон" и обратно, "склад-склад", "судно-судно", "судно-машина" и обратно (ГОСТ 23867-79).
38. Коэффициент прохождения груза через склад - отношение количества груза, перегружаемого через склад, к общему количеству перегружаемого на причале груза (ГОСТ 23867-79).
39. Коэффициент использования грузоподъемности судна - отношение количества груза, перевозимого судном, к его грузоподъемности (ГОСТ 23867-79).
40. Коэффициент использования площади склада - отношение площади, непосредственно занятой под складирование груза, к общей площади склада (ГОСТ 23867-79).
41. Грузооборот порта - количество тонн груза, перегружаемого через причальный фронт порта за определенный интервал времени (изм. N 1 ГОСТ 23867-79).
42. Пассажирооборот порта - количество пассажиров, прибывших в порт и отправленных из порта за определенный интервал времени (изм. N 1 ГОСТ 23867-79).
43. Судооборот порта - количество судов, определяемое расчетом с учетом грузооборота (пассажирооборота), видов грузов и грузоподъемности (пассажировместимости) судов, по их прибытию и отправлению.
44. Пропускная способность порта - количество тонн груза, которое порт может погрузить в суда и выгрузить из них за определенный интервал времени (изм. N 1 ГОСТ 23867-79).
45. Расчетная перспектива - период, исчисляемый в годах после ввода объекта в эксплуатацию.
46. Судо-часовая норма - нормативное количество тонн груза, подлежащего погрузке в судно или выгрузке из него в течение часа (изм. N 1 ГОСТ 23867-79).
47. Период физической навигации (физическая навигация) - интервал времени от начала очищения водного пути ото льда до начала устойчивого ледообразования
(ГОСТ 26775-97).
48. Эксплуатационный период навигации - интервал времени работы флота на перевозках
(ГОСТ 26775-97).
49. Межнавигационный период - интервал времени от конца эксплуатационного периода навигации одного года до начала эксплуатационного периода навигации следующего года
(ГОСТ 26775-97).
50. Тыловая зона - часть производственной территории причала за пределами прикордонной зоны.
51. Категория порта - классификация порта в зависимости от грузооборота и пассажирооборота.
(справочное)
ДОПОЛНИТЕЛЬНОЕ ВРЕМЯ ЗАНЯТОСТИ ПРИЧАЛА
МАНЕВРОВЫМИ И ВСПОМОГАТЕЛЬНЫМИ ОПЕРАЦИЯМИ СУДНА
┌────────────────────────┬───────────┬──────────────┬─────────────────────────────┐
│ Вид груза │Направление│Совмещение │ Нормы времени на выполнение │
│ │грузопотока│вспомогатель- │ операций (ч-мин) судами │
│ │ │ных операций │ при их грузоподъемности, т │
│ │ │по открыванию ├──────┬───────┬───────┬──────┤
│ │ │и закрыванию │1000 и│ свыше │ свыше │свыше │
│ │ │люков, подъему│менее │ 1000 │ 2700 │ 5000 │
│ │ │и спуску │ │до 2700│до 5000│ │
│ │ │погрузчиков │ │ │ │ │
│ │ │с маневровыми │ │ │ │ │
│ │ │операциями │ │ │ │ │
├────────────────────────┼───────────┼──────────────┼──────┼───────┼───────┼──────┤
│1. Тарно-штучные грузы, │Прибытие, │Без совмещения│ 2-45 │ 3-10 │ 3-35 │ 4-40 │
│металлогрузы, │отправление│С совмещением │ 1-40 │ 2-05 │ 2-30 │ 3-35 │
│железобетонные изделия, │ │ │ │ │ │ │
│оборудование, │ │ │ │ │ │ │
│контейнеры, │ │ │ │ │ │ │
│пиломатериалы в пакетах,│ │ │ │ │ │ │
│за исключением цемента и│ │ │ │ │ │ │
│других пылевидных грузов│ │ │ │ │ │ │
│в мешках │ │ │ │ │ │ │
│2. Цемент и другие пыле-│Прибытие, │Без совмещения│ 3-15 │ 3-40 │ 4-05 │ 5-10 │
│видные грузы в мешках │отправление│С совмещением │ 2-10 │ 2-35 │ 3-00 │ 4-05 │
│ │ │ │ │ │ │ │
│3. Цемент, сульфат, │Прибытие │Без совмещения│ 4-05 │ 4-55 │ 5-30 │ 6-35 │
│алебастр, соль, апатито-│ │С совмещением │ 3-30 │ 4-20 │ 4-55 │ 6-00 │
│вый концентрат навалом │ │ │ │ │ │ │
│ │ │ │ │ │ │ │
│То же │Отправление│Без совмещения│ 2-05 │ 2-45 │ 3-15 │ 4-25 │
│ │ │С совмещением │ 1-30 │ 2-10 │ 2-40 │ 3-50 │
│ │ │ │ │ │ │ │
│4. Песок │Прибытие │Без совмещения│ 3-15 │ 4-05 │ 4-40 │ 5-45 │
│ │ │С совмещением │ 2-40 │ 3-30 │ 4-05 │ 3-10 │
│ │ │ │ │ │ │ │
│ │Отправление│Без совмещения│ 2-05 │ 2-45 │ 3-15 │ 4-20 │
│ │ │С совмещением │ 1-30 │ 2-10 │ 2-40 │ 3-45 │
│ │ │ │ │ │ │ │
│5. Зерновые грузы │Прибытие │Без совмещения│ 3-45 │ 4-40 │ 5-10 │ 6-15 │
│насыпью │ │С совмещением │ 3-10 │ 4-05 │ 4-45 │ 5-50 │
│ │ │ │ │ │ │ │
│ │Отправление│Без совмещения│ 2-15 │ 3-05 │ 3-55 │ 5-00 │
│ │ │С совмещением │ 1-40 │ 2-30 │ 3-20 │ 4-25 │
│ │ │ │ │ │ │ │
│6. Остальные навалочные │Прибытие │Без совмещения│ 3-35 │ 4-20 │ 5-00 │ 6-05 │
│грузы │ │С совмещением │ 3-00 │ 3-45 │ 4-25 │ 5-30 │
│ │ │ │ │ │ │ │
│ │Отправление│Без совмещения│ 2-05 │ 2-40 │ 3-15 │ 4-20 │
│ │ │С совмещением │ 1-30 │ 2-05 │ 2-40 │ 3-45 │
│ │ │ │ │ │ │ │
│7. Круглый лес россыпью │Прибытие │Без совмещения│ 3-20 │ 4-05 │ 4-45 │ 5-50 │
│ │ │С совмещением │ 2-45 │ 3-30 │ 4-10 │ 5-15 │
│ │ │ │ │ │ │ │
│ │Отправление│Без совмещения│ 2-05 │ 2-40 │ 3-15 │ 4-20 │
│ │ │С совмещением │ 1-30 │ 2-05 │ 2-40 │ 3-50 │
│ │ │ │ │ │ │ │
│8. Пиломатериалы │Прибытие │Без совмещения│ 3-05 │ 3-50 │ 4-30 │ 5-35 │
│россыпью │ │С совмещением │ 2-30 │ 3-15 │ 3-55 │ 5-00 │
│ │ │ │ │ │ │ │
│ │Отправление│Без совмещения│ 2-05 │ 2-40 │ 3-15 │ 4-20 │
│ │ │С совмещением │ 1-30 │ 2-05 │ 2-40 │ 3-45 │
│ │ │ │ │ │ │ │
│9. Остальные грузы │ │Без совмещения│ 2-45 │ 3-10 │ 3-35 │ 4-40 │
│ │ │С совмещением │ 1-40 │ 2-05 │ 2-30 │ 3-35 │
└────────────────────────┴───────────┴──────────────┴──────┴───────┴───────┴──────┘
Примечания. 1. Для барж-площадок и судов, в которых груз перевозится с открытыми люками, вспомогательное время сокращается на 35 мин.
2. Повышенную трудоемкость зачистки судов после выгрузки навалочных, насыпных и пылевидных грузов, следует учитывать увеличением приведенного времени на 5 ч 20 мин для грузовых теплоходов проекта N 11, на 4 ч 50 мин - проекта N 576.
(справочное)
СРЕДНЯЯ МАССА ГРУЗА, УКЛАДЫВАЕМОГО НА 1 М2 ПЛОЩАДИ СКЛАДА
┌─────────────────┬────────┬────────────────────┬──────────────┬──────────┐
│ Вид упаковки │ Класс │ Условия │Рекомендуемая │Средняя │
│ Наименование │груза по│ складирования │ высота │масса гру-│
│ груза │ ЕКНВиВ │ │складирования │за, укла- │
│ │ ├────────┬───────────┼──────┬───────┤дываемого │
│ │ │ Тип │ Способ │ в │ в │на 1 м2 │
│ │ │ склада │ хранения │ярусах│метрах │площади │
│ │ │ │ │ │ │склада, │
│ │ │ │ │ │ │занятой │
│ │ │ │ │ │ │под скла- │
│ │ │ │ │ │ │дирование,│
│ │ │ │ │ │ │т │
├─────────────────┼────────┼────────┼───────────┼──────┼───────┼──────────┤
│1. Мешки │ │ │ │ │ │ │
│Мука, зерно, │ М-50 │закрытый│на поддонах│ 3 │ - │ 2,7 │
│крупа │ │ │ │ │ │ │
│Сахар-песок │ М-102 │ то же │ то же │ 4 │ - │ 3,8 │
│Сахар-рафинад │ │ │ │ │ │ │
│Сахар-сырец │ М-102, │ " │ " │ 3 │ - │ 2,5 │
│ │ М-125 │ │ │ │ │ │
│Химические │ М-102 │ " │ " │ 3 │ - │ 3,1 │
│удобрения │ │ │ │ │ │ │
│Цемент │ М-50 │ " │ " │ 3 │ - │ 3,0 │
│Цемент в мешках, │ТП-2-1,4│открытый│на поддонах│ 4 │ - │ 3,1 │
│пакетированных │ │ │ │ │ │ │
│в термоусадочную │ │ │ │ │ │ │
│пленку │ │ │ │ │ │ │
│ │ │ │ │ │ │ │
│2. Кипы │ │ │ │ │ │ │
│Картон │ К-О │закрытый│ то же │ 3 │ - │ 1,5 │
│Каучук │ К-О │ то же │ " │ 3 │ - │ 1,7 │
│Ткани │ К-500 │закрытый│на поддонах│ 3 │ - │ 1,5 │
│Хлопок │ К-ОО │ " │ " │ 4 │ - │ 2,4 │
│ │ К-500 │ │ │ │ │ │
│Целлюлоза │ К-250 │ " │ " │ 3 │ - │ 2,7 │
│ │ │ │ │ │ │ │
│3. Кабель │ Б-165 │открытый│отдельными │ 2 │от 2,1 │ 1,5 │
│ │ │ │ местами │ │до 3,5 │ │
│ │ Б-300 │ │ │ 1 │3,5 - │ 3,5 │
│ │ Б-500 │ │ │ │ 6,1│ │
│ │ │ │ │ │ │ │
│4. Краски, белила│ Б-300 │закрытый│на поддонах│ - │ 3 │ 4,5 │
│в бочках │ Б-500 │ │ │ │ │ │
│ │ │ │ │ │ │ │
│5. Бумага │Б-БР-300│ " │на поддонах│ - │ 4,5 │ 2,5 │
│в рулонах │ │ │ или │ │ │ │
│ │ │ │отдельными │ │ │ │
│ │ │ │ местами │ │ │ │
│ │Б-БР-500│ " │ " │ - │ 4,5 │ 2,5 │
│ │ │ │ │ │ │ │
│6. Рыба соленая │ Б-30 │ " │ " │3 - 4 │ - │ 3,3 │
│в бочках │ │ │ │ │ │ │
│ │ │ │ │ │ │ │
│7. Трос │ Б-185 │открытый│отдельными │ 1 │ - │ 1,5 │
│металлический │ Б-300 │ │ местами │ │ │ │
│в бухтах │ Б-500 │ │ │ │ │ │
│ │ │ │ │ │ │ │
│8. Резина │ │закрытый│на поддонах│ - │ 3 │ 1,8 │
│листовая │ │ │ │ │ │ │
│в рулонах │ │ │ │ │ │1,5 - 1,8 │
│ │ │ │ │ │ │ │
│9. Ящики: │ │ │ │ │ │ │
│Продукты │ Я-50, │закрытый│на поддонах│ 2 │ - │ 2,5 │
│ │ Я-80, │ │ │ │ │ │
│ │ Я-00, │ │ │ │ │ │
│ │ ЯО-50 │ │ │ │ │ │
│Метизы │ Я-50, │ " │ " │ - │ 3 │ 5,0 │
│ │ Я-80, │ │ │ │ │ │
│ │ Я-250 │ │ │ │ │ │
│Электрооборудо- │ Я-50, │ " │ " │ 2 │ - │ 1,3 │
│вание и │ Я-80, │ │ │ │ │ │
│электроприборы │ Я-250, │ │ │ │ │ │
│ │ Я-Л │ │ │ │ │ │
│Радиаторы │ Я-50, │открытый│ " │ - │ 2 │ 1,4 │
│ │ Я-80 │ │ │ │ │ │
│Кирпич (всякий) │ Я-К │ " │ " │ 2 │ - │ 3,0 │
│ │ │ │ │ │ │ │
│10. Автомашины │ Т-АЛ │ " │ - │ - │ - │ 0,13 │
│легковые │ │ │ │ │ │ │
│ │ │ │ │ │ │ │
│11. Автомашины │ Т-АЗ │ " │ - │ - │ - │ 0,4 │
│грузовые │ │ │ │ │ │ │
│ │ │ │ │ │ │ │
│12. Контейнеры │ Т-КГ │ " │ - │ до 6 │ - │1,2 - 2,3 │
ИС МЕГАНОРМ: примечание.
Сноски даны в соответствии с официальным текстом документа.
│среднетоннажные │ │ │ │ <*> │ │ │
│ │ │ │ │ │ │ │
│13. Контейнеры │ Т-КГ │ " │ - │ до 6 │ - │1,9 - 3,8 │
│крупнотоннажные │ │ │ │ <*> │ │ │
│ │ │ │ │ │ │ │
│14. Поддоны │ ТК-ОГ │ " │ - │4 - 6 │ - │2,6 - 2,9 │
│ящичные специа- │ │ │ │ │ │ │
│лизированные │ │ │ │ │ │ │
│для картофеля, │ │ │ │ │ │ │
│овощей, фруктов и│ │ │ │ │ │ │
│бахчевых культур │ │ │ │ │ │ │
│ │ │ │ │ │ │ │
│15. Контейнеры │ Т-1 │открытый│на поддонах│1 - 4 │ - │2,8 - 6,2 │
│мягкие специа- │ │ │ │ │ │ │
│лизированные для │ │ │ │ │ │ │
│сыпучих продуктов│ │ │ │ │ │ │
│ │ │ │ │ │ │ │
│16. Контейнеры │ Т-КП │открытый│ - │ 2 │ - │ 0,4 │
│малотоннажные и │ │ │ │ │ │ │
│среднетоннажные │ │ │ │ │ │ │
│порожние │ │ │ │ │ │ │
│ │ │ │ │ │ │ │
│17. Железобетон- │Т-ЖБ-1, │ " │ на │ - │ 2,5 │ 2,5 │
│ные изделия │Т-ЖБ-2, │ │подкладках │ │ │ │
│ │Т-ЖБ-3, │ │ │ │ │ │
│ │Т-ЖБ-5 │ │ │ │ │ │
│ │ │ │ │ │ │ │
│18. Металлогрузы:│ │ │ │ │ │ │
│Пакеты и россыпью│ ММ-Л │ " │ " │ - │ 1,5 │ 10 │
│Сталь листовая │ ММ-250 │ │ │ │ │ │
│Сталь полосовая │ ММ-Л, │ " │ " │ - │ 1,5 │ 6,0 │
│ │ ММ-50 │ │ │ │ │ │
│круглая │ ММ-250,│ │ │ │ │ │
│квадратная │ ММД-8 │ │ │ │ │ │
│Сталь профильная │ ММД-8 │ " │ " │ - │ 1,5 │ 4,0 │
│Трубы стальные и │ ММТ-8 │ " │ " │ - │до 6,0 │1,5 - 10,0│
│чугунные │ │ │ │ │ │ │
│Разные металлы и │ ММ-Р │ " │на поддонах│ - │ 3 │3,0 - 5,0 │
│металлоизделия │ │ │ или │ │ │ │
│ │ │ │подкладках │ │ │ │
│Металлолом │ ММ-Р │открытый│ штабель │ - │ 3 │3,0 - 4,0 │
│ │ │ │ │ │ │ │
│19. Пакеты и │ │ │ │ │ │ │
│россыпью: │ │ │ │ │ │ │
│Лес круглый │ ЛК-6 │ " │ " │8 - 10│3,0 - │ - │
│ │ │ │ │ │ 4,0│ │
│То же │ ЛБ-1, │открытый│ штабель │8 - 10│ 4,0 │ 2,0 │
│ │ ЛБ-2, │ │ │ │ │ │
│ │ ЛБ-3 │ │ │ │ │ │
│Пиломатериалы │ ЛП-25, │ " │ штабель │ - │ 10 │ 3,0 │
│в пакетах │ ЛП-26 │ │на поддонах│ │ │ │
│20. Навалом: │ │ │ │ │ │ │
│Уголь │ Н-УМ, │ " │ штабель │ - │до 10 │ 9,0 │
│ │ Н-УК, │ │ │ │(в │ │
│ │ Н-УГР │ │ │ │зависи-│ │
│ │ │ │ │ │мости │ │
│ │ │ │ │ │от │ │
│ │ │ │ │ │группы)│ │
│Руда │ НР, │ " │ то же │ - │ до 15 │ до 13 │
│ │ Н-РК, │ │ │ │ │ │
│ │ Н-РС │ │ │ │ │ │
│Щебень, гравий, │Н-Г, НК │ " │ " │ - │ до 18 │ до 8 │
│камень │ │ │ │ │ │ │
│Песок и песчано- │ Н-П │ " │ " │ - │ до 18 │ до 12 │
│гравийная смесь │ │ │ │ │ │ │
│Соль │ Н-СЗ, │ " │ " │ - │ до 15 │ 7,0 │
│ │ Н-СМ │ │ │ │ │ │
└─────────────────┴────────┴────────┴───────────┴──────┴───────┴──────────┘
(справочное)
КОЭФФИЦИЕНТ ИСПОЛЬЗОВАНИЯ ОСНОВНОЙ ПЛОЩАДИ СКЛАДА
┌────────────────────┬────────────────────────────────────────────────────┐
│ Вид груза │ Нормативный коэффициент использования основной │
│ │ площади склада │
│ ├──────────────────────────────────┬─────────────────┤
│ │ Закрытый склад шириной, м │Открытый склад │
│ ├──────┬──────┬──────┬──────┬──────┼─────────┬───────┤
│ │ 12 │ 18 │ 24 │ 30 │ 60 │При │ При │
│ │ │ │ │ │ │работе │работе │
│ │ │ │ │ │ │кранами │только │
│ │ │ │ │ │ │и погруз-│кранами│
│ │ │ │ │ │ │чиками │ │
├────────────────────┼──────┼──────┼──────┼──────┼──────┼─────────┼───────┤
│1. Тарно-штучные │0,30 -│0,30 -│0,30 -│0,35 -│0,35 -│0,35 - │0,40 - │
│грузы │ 0,50│ 0,55│ 0,60│ 0,65│ 0,75│ 0,40│ 0,55│
│2. Металлогрузы │ - │ - │ - │ - │ - │ 0,40 │ 0,55 │
│3. Оборудование │ - │ - │ - │ - │ - │ 0,40 │ 0,55 │
│4. Железобетонные │ - │ - │ - │ - │ - │ 0,40 │ 0,55 │
│изделия │ │ │ │ │ │ │ │
│5. Контейнеры │ │ │ │ │ │ │ │
│среднетоннажные │ - │ - │ - │ - │ - │ 0,40 │ 0,55 │
│крупнотоннажные │ │ │ │ │ │0,25 - │ 0,75 │
│ │ │ │ │ │ │ 0,40│ │
│специальные (мягкие)│ │ │ │ │ │ 0,50 │ 0,70 │
│6. Лес круглый │ - │ - │ - │ - │ - │ - │ 0,70 │
│7. Пиломатериалы │ - │ - │ - │ - │ - │ - │ 0,80 │
│8. Навалочные грузы │ │ │ │ │ │ │ │
│одна марка │ - │ - │ - │ - │ - │ - │ 1,00 │
│две марки │ - │ - │ - │ - │ - │ - │ 0,85 │
│три - пять марок │ - │ - │ - │ - │ - │ - │ 0,70 │
│9. Самоходная │ - │ - │ - │ - │ - │ - │0,60 - │
│техника │ │ │ │ │ │ │ 0,70│
└────────────────────┴──────┴──────┴──────┴──────┴──────┴─────────┴───────┘
(обязательное)
ВИДЫ СВЯЗИ ПО КАТЕГОРИИ ПОРТОВ
┌───────────────────────────────┬───────────────┬─────────────────────────┐
│ Вид связи │ Необходимость │ Примечание │
│ │вида связи при │ │
│ │категории порта│ │
│ ├───┬───┬───┬───┤ │
│ │ 1 │ 2 │ 3 │ 4 │ │
├───────────────────────────────┴───┴───┴───┴───┴─────────────────────────┤
│ 1. Средства технологической связи, сигнализации, оповещения │
├───────────────────────────────┬───┬───┬───┬───┬─────────────────────────┤
│1.1. Дальняя телефонная, │ + │ + │ + │ - │От узла связи речного │
│телеграфная и факсимильная │ │ │ │ │транспорта, │
│связь речного бассейна, │ │ │ │ │расположенного вблизи или│
│передача данных │ │ │ │ │на территории порта │
│1.2. Участковая диспетчерская │ + │ + │ + │ + │От ближайшего узла, линии│
│связь и связь диспетчера │ │ │ │ │связи речного транспорта │
│на пристанях │ │ │ │ │ │
│1.3. Распорядительная │ + │ + │ - │ - │ │
│диспетчерская связь │ │ │ │ │ │
│пароходства │ │ │ │ │ │
│1.4. Магистральная │ + │ + │ + │ - │ │
│и внутрибассейновая связь │ │ │ │ │ │
│совещаний │ │ │ │ │ │
│1.5. Производственная │ + │ + │ + │ + │От собственной АТС узла │
│и внутрипортовая телефонная │ │ │ │ │связи речного транспорта,│
│связь с выходом на сеть │ │ │ │ │расположенного вблизи │
│связи населенного пункта │ │ │ │ │порта │
│1.6. Оперативная телефонная │ │ │ │ │ │
│связь: │ │ │ │ │ │
│ а) начальника порта │ + │ + │ + │ + │ │
│ б) главного инженера │ + │ + │ - │ - │ │
│1.7. Диспетчерская │ + │ + │ + │ + │ │
│внутрипортовая телефонная связь│ │ │ │ │ │
│1.8. Диспетчерская УКВ │ + │ + │ + │ + │ │
│радиосвязь с флотом на подходах│ │ │ │ │ │
│и рейдах │ │ │ │ │ │
│1.9. Громкоговорящая связь │ + │ + │ + │ + │ │
│оповещения │ │ │ │ │ │
│1.10. Диспетчерская УКВ │ + │ + │ + │ - │ │
│радиосвязь с портальными │ │ │ │ │ │
│кранами и другими погрузочными │ │ │ │ │ │
│механизмами │ │ │ │ │ │
│1.11. Тревожная (пожарная │ + │ + │ + │ + │ │
│и охранная) │ │ │ │ │ │
│1.12. Электрочасофикация │ + │ + │ + │ - │ │
│1.13. Производственное │ + │ + │ - │ - │ │
│телевидение │ │ │ │ │ │
├───────────────────────────────┴───┴───┴───┴───┴─────────────────────────┤
│ 2. Средства общегосударственной связи и радиофикации │
├───────────────────────────────┬───┬───┬───┬───┬─────────────────────────┤
│2.1. Местная телефонная связь │ + │ + │ + │ + │Прямые телефоны АТС │
│для руководящего состава порта │ │ │ │ │населенного пункта │
│2.2. Местная телефонная связь │ + │ + │ + │ + │Таксофоны телефонной сети│
│для пассажиров │ │ │ │ │населенного пункта │
│2.3. Радиофикация служебных │ + │ + │ + │ - │ │
│помещений │ │ │ │ │ │
│2.4. Междугородная телефонная │ + │ + │ + │ - │Отделение почты, │
│и телеграфная связь, почтовое │ │ │ │ │телеграфа │
│обслуживание пассажиров │ │ │ │ │ │
└───────────────────────────────┴───┴───┴───┴───┴─────────────────────────┘
Примечание. Знаками "+" и "-" обозначено:
+ наличие данного вида связи,
- отсутствие данного вида связи.