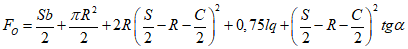
(1)
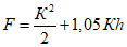
(2)
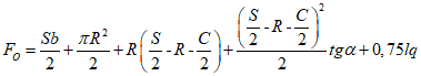
(5)
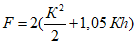
(12)
- постоянное число.N позиции | Наименование работы и тип производства | N карты и позиции | Время, мин. | Значение коэффициента |
1 | Установка и снятие изделий вручную, масса - 10 кг | 0,41 | - | |
2 | Зачистка кромок перед сваркой | 0,79 | - | |
3 | - | 1,30 | ||
4 | Сварка | 3,3 | - | |
5 | - | 1,33 | ||
6 | Зачистка околошовной зоны от брызг | 0,80 | - | |
7 | Положение шва - горизонтальное, угол - 90° | - | 1,32 | |
8 | Рабочее место в цехе на площадке | - | 1,02 | |
9 | Шов прямолинейный | - | 1,10 | |
10 | Тип производства - мелкосерийное | - | 1,0 | |
Индекс | а | б | в | |


N позиции | Наименование работы и тип производства | N карты и позиции | Время, мин. | Значение коэффициента |
1 | Установка и снятие изделия вручную, масса - 5 кг | 0,32 | - | |
2 | Поворот изделия вручную | 0,15 | - | |
3 | Сварка с подогревом до 200 °C | 0,061 | - | |
4 | - | 0,868 | ||
5 | - | 1,28 | ||
6 | Зачистка околошовной зоны от брызг | 0,0043 | - | |
7 | Вид крепления изделия - поворотное, угол - 80° | - | 1,22 | |
8 | Клеймение шва | 0,26 | - | |
9 | Тип производства - крупносерийное | - | - | 0,75 |
Индекс | а | б | в | |



Дуговая сварка 1 м шва | |||||||||
КАРТА 1, лист 1 | |||||||||
Тип шва: С1, С2, С3, С4, С5, С6, С7, С8, С9, С10, С11, С12, С13, С14, С15, С16, С17, С18, С19, С20, С21, С23, С24, С25, С26, С27, С28, С39, С40, С42, С43, С45 | |||||||||
N позиции | Тип шва | Толщина металла, мм | |||||||
число десятков | единицы | ||||||||
0 | 1 | 2 | 3 | 4 | 6 | 8 | |||
Неполное штучное время на 1 м шва, мин. | |||||||||
1 | С1 ![]() | 0 | - | 3,1 | 4,7 | 5,0 | 7,0 | - | - |
2 | С2 ![]() | - | 2,9 | 3,0 | 4,5 | 5,2 | 6,2 | ||
3 | С3 ![]() | - | 3,5 | 5,1 | 6,4 | 8,7 | - | - | |
4 | С4 ![]() | - | 3,2 | 4,2 | 4,9 | 6,8 | 8,4 | 9,9 | |
5 | С5 ![]() | - | 2,9 | 3,0 | 3,3 | 4,5 | 5,2 | - | |
6 | С6 ![]() | - | 2,9 | 3,0 | 3,3 | 4,5 | - | - | |
Индекс | а | б | в | г | д | е | ж | ||
Швы стыковых соединений - основной шов | Дуговая сварка 1 м шва | ||||||||
КАРТА 1, лист 2 | |||||||||
N позиции | Тип шва | Толщина металла, мм | |||||||
число десятков | единицы | ||||||||
0 | 1 | 2 | 3 | 4 | 6 | 8 | |||
Неполное штучное время на 1 м шва, мин. | |||||||||
7 | С7 ![]() | 0 | - | - | 2,6 | 2,9 | 3,2 | 3,5 | - |
8 | С8 ![]() | - | - | - | 5,2 | 7,4 | 11,9 | 17,3 | |
9 | 1 | 25,6 | 30,3 | 35,3 | 41,3 | 47,3 | 74,9 | ||
10 | 2 | 91,2 | 100,0 | 108,9 | 118,2 | 128,0 | 148,4 | 170,2 | |
11 | 3 | 193,3 | 205,4 | 217,8 | 230,1 | 243,5 | 271,3 | 299,6 | |
12 | 4 | 329,2 | 345,1 | 360,7 | 376,4 | 392,8 | 426,9 | 462,2 | |
13 | 5 | 498,0 | 516,1 | 535,8 | 553,6 | 574,8 | 615,0 | 656,4 | |
14 | 6 | 699,0 | - | - | - | - | - | - | |
15 | С9 ![]() | 0 | - | - | - | 8,6 | 11,6 | 17,2 | 24,1 |
16 | 1 | 36,5 | 43,1 | 50,1 | 57,6 | 65,4 | 81,4 | 99,6 | |
17 | 2 | 119,3 | 129,8 | 140,4 | 151,8 | 162,8 | 186,6 | 212,4 | |
18 | 3 | 238,7 | 251,8 | 266,3 | 280,6 | 295,8 | 325,7 | 357,6 | |
19 | 4 | 390,0 | 407,4 | 424,1 | 441,8 | 459,4 | 495,0 | 532,5 | |
20 | 5 | 571,1 | 590,6 | 610,7 | 626,7 | 651,4 | 693,2 | 736,0 | |
21 | 6 | 779,7 | - | - | - | - | - | - | |
22 | С10 ![]() | 0 | - | - | - | 7,5 | 10,3 | 16,0 | 23,1 |
23 | 1 | 35,4 | 42,1 | 48,7 | 50,1 | 63,7 | 79,4 | 97,5 | |
24 | 2 | 117,0 | 127,6 | 137,8 | 149,0 | 160,1 | 183,7 | 209,3 | |
25 | 3 | 235,6 | 250,1 | 263,0 | 278,0 | 292,5 | 322,5 | 353,6 | |
Индекс | а | б | в | г | д | е | ж | ||
Швы стыковых соединений - основной шов | Дуговая сварка 1 м шва | ||||||||
КАРТА 1, лист 3 | |||||||||
N позиции | Тип шва | Толщина металла, мм | |||||||
число десятков | единицы | ||||||||
0 | 1 | 2 | 3 | 4 | 6 | 8 | |||
Неполное штучное время на 1 м шва, мин. | |||||||||
26 | С10 | 4 | 386,7 | 405,7 | 420,9 | 438,6 | 455,6 | 492,1 | 530,0 |
27 | 5 | 566,6 | 587,8 | 608,5 | 627,4 | 649,4 | 691,5 | 734,6 | |
28 | 6 | 778,8 | - | - | - | - | - | - | |
29 | С11 ![]() | 0 | - | - | - | 9,0 | 12,4 | 19,0 | 27,0 |
30 | 1 | 39,8 | 47,9 | 54,3 | 62,0 | 70,4 | 88,1 | 107,0 | |
31 | 2 | 128,0 | 139,6 | 150,0 | 162,0 | 173,3 | 198,0 | 224,0 | |
32 | 3 | 252,0 | 266,3 | 280,4 | 295,2 | 310,0 | 341,5 | 373,5 | |
33 | 4 | 407,3 | 425,3 | 442,2 | 457,1 | 477,5 | 514,6 | 552,8 | |
34 | 5 | 592,0 | 612,1 | 632,3 | 657,6 | 673,5 | 715,8 | 759,1 | |
35 | 6 | 803,4 | - | - | - | - | - | ||
36 | С12 ![]() | 0 | - | - | - | 5,2 | 7,4 | 11,9 | 17,3 |
37 | 1 | 25,6 | 30,1 | 35,3 | 41,1 | 47,3 | 60,0 | 75,0 | |
38 | 2 | 91,2 | 100,0 | 109,0 | 118,6 | 128,0 | 148,4 | 170,2 | |
39 | 3 | 193,3 | 205,1 | 217,8 | 230,4 | 243,5 | 271,3 | 299,6 | |
40 | 4 | 329,2 | 345,1 | 360,7 | 376,1 | 392,8 | 427,0 | 462,2 | |
41 | 5 | 498,0 | 516,1 | 535,8 | 554,9 | 574,8 | 615,0 | 656,4 | |
42 | 6 | 699,0 | - | - | - | - | - | - | |
43 | С13 ![]() | 1 | - | - | - | - | - | 55,0 | 65,0 |
44 | 2 | 74,4 | 79,8 | 85,0 | 87,1 | 89,2 | 101,4 | 115,0 | |
45 | 3 | 129,1 | 136,4 | 143,2 | 150,9 | 158,6 | 174,5 | 191,1 | |
Индекс | а | б | в | г | д | е | ж | ||
Швы стыковых соединений - основной шов | Дуговая сварка 1 м шва | ||||||||
КАРТА 1, лист 4 | |||||||||
N позиции | Тип шва | Толщина металла, мм | |||||||
число десятков | единицы | ||||||||
0 | 1 | 2 | 3 | 4 | 6 | 8 | |||
Неполное штучное время на 1 м шва, мин. | |||||||||
46 | С13 | 4 | 207,5 | 216,4 | 225,1 | 234,0 | 243,3 | 262,0 | 281,3 |
47 | 5 | 301,1 | 311,8 | 321,4 | 332,6 | 342,2 | 363,5 | 385,3 | |
48 | 6 | 407,5 | 417,8 | 428,6 | 440,3 | 453,5 | 477,6 | 502,1 | |
49 | 7 | 518,4 | 536,8 | 552,0 | 570,8 | 587,6 | 603,4 | 630,1 | |
50 | 8 | 657,4 | 671,3 | 685,8 | 699,0 | 713,2 | 740,6 | 770,0 | |
51 | 9 | 790,1 | 810,6 | 829,2 | 849,1 | 870,8 | 890,1 | 921,8 | |
52 | 10 | 952,6 | - | - | - | - | - | - | |
53 | С14 ![]() | 1 | - | - | - | - | - | 46,4 | 56,0 |
54 | 2 | 67,0 | 73,1 | 78,0 | 84,1 | 90,3 | 102,5 | 116,2 | |
55 | 3 | 130,5 | 137,5 | 144,6 | 152,1 | 160,1 | 176,1 | 192,7 | |
56 | 4 | 210,0 | 218,1 | 227,0 | 235,0 | 245,1 | 264,0 | 283,2 | |
57 | 5 | 303,0 | 313,4 | 323,4 | 333,6 | 344,2 | 365,5 | 387,3 | |
58 | 6 | 409,6 | 416,8 | 435,8 | 444,8 | 455,6 | 480,1 | 504,2 | |
59 | 7 | 514,1 | 525,2 | 534,0 | 556,1 | 579,4 | 606,1 | 632,8 | |
60 | 8 | 659,3 | 674,0 | 690,8 | 703,8 | 715,0 | 743,1 | 772,4 | |
61 | 9 | 788,0 | 810,6 | 830,7 | 850,8 | 871,6 | 891,4 | 926,1 | |
62 | 10 | 953,7 | - | - | - | - | - | - | |
63 | С15 ![]() | 0 | - | - | - | - | - | - | 7,8 |
64 | 1 | 10,0 | 11,3 | 12,6 | 14,0 | 15,3 | 18,3 | 23,3 | |
65 | 2 | 27,8 | 30,0 | 32,8 | 35,1 | 38,1 | 44,5 | 50,6 | |
66 | 3 | 57,0 | 61,8 | 64,5 | 68,1 | 71,6 | 79,1 | 87,6 | |
67 | 4 | 95,7 | 100,1 | 104,9 | 109,1 | 113,7 | 122,8 | 133,0 | |
Индекс | а | б | в | г | д | е | ж | ||
Швы стыковых соединений - основной шов | Дуговая сварка 1 м шва | ||||||||
КАРТА 1, лист 5 | |||||||||
N позиции | Тип шва | Толщина металла, мм | |||||||
число десятков | единицы | ||||||||
0 | 1 | 2 | 3 | 4 | 6 | 8 | |||
Неполное штучное время на 1 м шва, мин. | |||||||||
68 | С15 | 5 | 142,7 | 147,9 | 153,5 | 158,6 | 163,8 | 175,3 | 186,3 |
69 | 6 | 198,3 | 204,8 | 210,1 | 216,8 | 222,6 | 235,4 | 248,0 | |
70 | 7 | 258,1 | 266,3 | 275,4 | 284,6 | 294,3 | 303,2 | 318,1 | |
71 | 8 | 332,2 | 339,6 | 346,7 | 355,1 | 363,1 | 378,5 | 394,4 | |
72 | 9 | 405,6 | 416,5 | 427,6 | 438,5 | 449,4 | 461,8 | 478,8 | |
73 | 10 | 496,5 | - | - | - | - | - | - | |
74 | С16 ![]() | 3 | 50,6 | 52,9 | 55,7 | 58,1 | 61,0 | 67,1 | 72,7 |
75 | 4 | 78,5 | 82,1 | 85,2 | 88,0 | 91,2 | 97,4 | 103,8 | |
76 | 5 | 111,1 | 114,0 | 117,7 | 121,1 | 124,5 | 132,2 | 139,3 | |
77 | 6 | 147,2 | 151,2 | 155,8 | 158,8 | 162,0 | 170,1 | 178,1 | |
78 | 7 | 183,4 | 188,9 | 194,7 | 200,0 | 205,3 | 211,7 | 219,9 | |
79 | 8 | 228,5 | 232,6 | 237,8 | 241,9 | 246,4 | 255,8 | 265,0 | |
80 | 9 | 270,3 | 276,9 | 283,7 | 290,3 | 296,9 | 303,0 | 312,6 | |
81 | 10 | 322,8 | 330,0 | 337,3 | 344,5 | 352,7 | 359,0 | 366,2 | |
82 | 11 | 373,5 | 381,2 | 388,9 | 396,6 | 404,3 | 412,0 | 419,7 | |
83 | 12 | 427,5 | - | - | - | - | - | - | |
84 | С17 ![]() | 0 | - | - | - | 5,1 | 7,2 | 11,6 | 16,7 |
85 | 1 | 24,4 | 28,9 | 33,6 | 39,8 | 45,0 | 57,0 | 71,1 | |
86 | 2 | 86,5 | 94,5 | 102,5 | 111,3 | 120,5 | 139,8 | 160,3 | |
87 | 3 | 182,1 | 194,0 | 205,1 | 217,8 | 230,0 | 255,4 | 282,0 | |
88 | 4 | 309,8 | 325,1 | 339,5 | 354,1 | 369,6 | 401,6 | 434,0 | |
Индекс | а | б | в | г | д | е | ж | ||
Швы стыковых соединений - основной шов | Дуговая сварка 1 м шва | ||||||||
КАРТА 1, лист 6 | |||||||||
N позиции | Тип шва | Толщина металла, мм | |||||||
число десятков | единицы | ||||||||
0 | 1 | 2 | 3 | 4 | 6 | 8 | |||
Неполное штучное время на 1 м шва, мин. | |||||||||
89 | С17 | 5 | 468,3 | 480,6 | 503,8 | 521,6 | 539,6 | 577,3 | 616,1 |
90 | 6 | 656,0 | - | - | - | - | - | - | |
91 | С18 ![]() | 0 | - | - | - | 8,5 | 11,5 | 17,2 | 24,2 |
92 | 1 | 36,0 | 42,8 | 49,1 | 56,0 | 63,7 | 79,1 | 96,5 | |
93 | 2 | 115,3 | 125,6 | 135,4 | 145,3 | 156,7 | 179,2 | 203,0 | |
94 | 3 | 227,7 | 240,1 | 254,4 | 257,5 | 261,5 | 309,7 | 339,6 | |
95 | 4 | 370,0 | 386,7 | 402,0 | 418,0 | 434,2 | 468,2 | 503,2 | |
96 | 5 | 538,5 | 556,8 | 575,4 | 593,6 | 613,3 | 652,1 | 692,0 | |
97 | 6 | 732,5 | - | - | - | - | - | - | |
98 | С19 ![]() | 0 | - | - | - | - | - | 26,3 | 34,6 |
99 | 1 | 42,5 | 47,2 | 52,0 | 57,8 | 63,4 | 74,6 | 87,0 | |
100 | 2 | 99,0 | 95,3 | 112,0 | 133,8 | 153,4 | 172,4 | 192,1 | |
101 | 3 | 212,4 | 222,6 | 233,4 | 244,5 | 255,0 | 277,0 | 299,6 | |
102 | 4 | 322,8 | 334,1 | 346,5 | 358,6 | 370,7 | 396,2 | 421,4 | |
103 | 5 | 447,1 | 460,3 | 473,2 | 486,8 | 500,5 | 527,5 | 555,0 | |
104 | 6 | 583,6 | 597,1 | 611,0 | 625,8 | 640,7 | 670,8 | 700,1 | |
105 | 7 | 720,1 | 740,8 | 761,1 | 782,1 | 801,5 | 823,5 | 955,6 | |
106 | 8 | 887,5 | 903,5 | 919,6 | 936,1 | 953,0 | 987,1 | 1019,7 | |
107 | 9 | 1042,6 | 1065,5 | 1088,6 | 1111,5 | 1134,4 | 1158,1 | 1194,1 | |
108 | 10 | 1229,7 | - | - | - | - | - | - | |
109 | С20 | 0 | - | - | - | 8,3 | 11,4 | 17,5 | 25,2 |
Индекс | а | б | в | г | д | е | ж | ||
Швы стыковых соединений - основной шов | Дуговая сварка 1 м шва | ||||||||
КАРТА 1, лист 7 | |||||||||
N позиции | Тип шва | Толщина металла, мм | |||||||
число десятков | единицы | ||||||||
0 | 1 | 2 | 3 | 4 | 6 | 8 | |||
Неполное штучное время на 1 м шва, мин. | |||||||||
110 | С20 ![]() | 1 | 37,0 | 44,1 | 50,5 | 57,8 | 65,5 | 81,2 | 99,0 |
111 | 2 | 118,2 | 128,1 | 138,6 | 149,3 | 160,3 | 183,1 | 207,2 | |
112 | 3 | 233,2 | 246,8 | 259,5 | 273,9 | 287,0 | 316,2 | 345,8 | |
113 | 4 | 377,2 | 392,6 | 408,8 | 425,6 | 442,2 | 476,0 | 511,2 | |
114 | 5 | 547,6 | 565,1 | 585,0 | 601,8 | 622,4 | 661,5 | 701,6 | |
115 | 6 | 742,6 | - | - | - | - | - | - | |
116 | С21 ![]() | 0 | - | - | - | 5,1 | 7,2 | 11,6 | 16,7 |
117 | 1 | 24,4 | 29,1 | 33,6 | 39,1 | 45,0 | 57,0 | 71,1 | |
118 | 2 | 86,5 | 94,1 | 102,5 | 111,4 | 120,5 | 139,8 | 160,3 | |
119 | 3 | 182,1 | 194,5 | 205,1 | 217,4 | 230,0 | 255,4 | 282,0 | |
120 | 4 | 309,8 | 314,8 | 339,5 | 354,8 | 369,6 | 401,6 | 434,0 | |
121 | 5 | 468,3 | 487,5 | 503,8 | 521,6 | 539,6 | 577,3 | 616,1 | |
122 | 6 | 656,0 | - | - | - | - | - | - | |
123 | С23 ![]() | 1 | - | - | - | - | - | 92,0 | 109,0 |
124 | 2 | 126,6 | 135,4 | 144,4 | 154,2 | 163,6 | 183,5 | 204,0 | |
125 | 3 | 225,1 | 236,1 | 247,0 | 258,3 | 269,2 | 292,8 | 316,2 | |
126 | 4 | 340,2 | 352,6 | 364,6 | 377,6 | 389,5 | 415,0 | 441,6 | |
127 | 5 | 468,0 | 481,5 | 494,7 | 508,5 | 522,6 | 550,3 | 578,3 | |
128 | 6 | 607,5 | 621,4 | 635,0 | 650,9 | 665,6 | 695,4 | 726,0 | |
129 | 7 | 747,1 | 767,8 | 788,0 | 799,1 | 830,0 | 851,3 | 882,3 | |
130 | 8 | 916,8 | 932,9 | 948,8 | 966,1 | 983,0 | 1017,8 | 1050,3 | |
Индекс | а | б | в | г | д | е | ж | ||
Швы стыковых соединений - основной шов | Дуговая сварка 1 м шва | ||||||||
КАРТА 1, лист 8 | |||||||||
N позиции | Тип шва | Толщина металла, мм | |||||||
число десятков | единицы | ||||||||
0 | 1 | 2 | 3 | 4 | 6 | 8 | |||
Неполное штучное время на 1 м шва, мин. | |||||||||
131 | С23 | 9 | 1073,4 | 1096,5 | 1119,1 | 1143,8 | 1166,9 | 1189,0 | 1225,0 |
132 | 10 | 1261,0 | - | - | - | - | - | - | |
133 | С24 ![]() | 1 | - | - | - | - | - | 49,2 | 59,3 |
134 | 2 | 71,0 | 77,1 | 82,4 | 88,5 | 95,4 | 109,1 | 122,7 | |
135 | 3 | 137,7 | 145,6 | 153,3 | 161,4 | 169,5 | 185,6 | 203,0 | |
136 | 4 | 221,0 | 230,4 | 239,6 | 249,4 | 258,7 | 278,4 | 298,6 | |
137 | 5 | 319,3 | 329,9 | 340,6 | 351,4 | 362,4 | 384,7 | 407,5 | |
138 | 6 | 430,8 | 442,8 | 454,9 | 467,0 | 479,6 | 503,4 | 529,5 | |
139 | 7 | 546,1 | 563,8 | 581,4 | 599,0 | 617,9 | 636,0 | 665,8 | |
140 | 8 | 692,1 | 706,1 | 721,1 | 734,0 | 750,0 | 779,1 | 809,2 | |
141 | 9 | 829,9 | 850,1 | 870,7 | 891,8 | 912,4 | 933,9 | 964,8 | |
142 | 10 | 998,8 | - | - | - | - | - | - | |
143 | С25 ![]() | 0 | - | - | - | - | - | - | 7,9 |
144 | 1 | 9,5 | 10,9 | 12,4 | 13,8 | 15,0 | 19,5 | 24,0 | |
145 | 2 | 27,8 | 29,2 | 30,1 | 32,8 | 35,0 | 40,3 | 46,7 | |
146 | 3 | 52,8 | 55,8 | 59,1 | 62,8 | 66,6 | 73,6 | 81,0 | |
147 | 4 | 89,4 | 93,5 | 97,4 | 102,2 | 106,5 | 115,2 | 124,2 | |
148 | 5 | 134,2 | 139,0 | 143,8 | 148,9 | 154,5 | 164,7 | 176,0 | |
149 | 6 | 187,0 | 193,4 | 199,1 | 205,6 | 211,0 | 225,8 | 235,6 | |
150 | 7 | 243,4 | 252,0 | 261,4 | 270,2 | 279,4 | 288,3 | 302,4 | |
151 | 8 | 317,2 | 325,1 | 332,5 | 339,5 | 346,5 | 362,1 | 377,7 | |
Индекс | а | б | в | г | д | е | ж | ||
Швы стыковых соединений - основной шов | Дуговая сварка 1 м шва | ||||||||
КАРТА 1, лист 9 | |||||||||
N позиции | Тип шва | Толщина металла, мм | |||||||
число десятков | единицы | ||||||||
0 | 1 | 2 | 3 | 4 | 6 | 8 | |||
Неполное штучное время на 1 м шва, мин. | |||||||||
152 | С25 | 9 | 387,2 | 398,9 | 409,3 | 419,4 | 431,1 | 442,8 | 459,4 |
153 | 10 | 476,4 | 489,8 | 503,0 | 515,9 | 528,9 | 542,0 | 555,1 | |
154 | 11 | 568,1 | 582,0 | 596,0 | 610,0 | 624,0 | 637,7 | 652,6 | |
155 | 12 | 665,6 | - | - | - | - | - | - | |
156 | С26 ![]() | 3 | 89,8 | 93,8 | 98,0 | 102,6 | 107,0 | 115,4 | 124,1 |
157 | 4 | 133,7 | 138,1 | 142,8 | 147,9 | 152,8 | 162,2 | 172,5 | |
158 | 5 | 182,2 | 187,5 | 192,8 | 197,8 | 202,8 | 213,7 | 224,0 | |
159 | 6 | 235,2 | 240,2 | 245,8 | 251,9 | 257,3 | 268,9 | 280,0 | |
160 | 7 | 287,2 | 296,0 | 303,0 | 310,5 | 318,2 | 326,6 | 338,9 | |
161 | 8 | 350,6 | 356,6 | 362,8 | 370,0 | 376,0 | 382,5 | 401,0 | |
162 | 9 | 409,4 | 417,0 | 426,3 | 435,6 | 443,1 | 452,2 | 465,8 | |
163 | 10 | 478,5 | 488,3 | 498,1 | 507,9 | 517,7 | 527,4 | 537,2 | |
164 | 11 | 547,0 | 557,0 | 567,1 | 577,1 | 587,1 | 597,1 | 607,2 | |
165 | 12 | 617,2 | 627,6 | 638,1 | 648,6 | 659,0 | 669,5 | 680,0 | |
166 | 13 | 690,4 | 701,1 | 711,7 | 722,4 | 733,0 | 743,7 | 754,4 | |
167 | 14 | 765,0 | 776,1 | 787,1 | 798,2 | 809,3 | 820,4 | 831,4 | |
168 | 15 | 842,5 | 853,8 | 865,2 | 876,6 | 887,9 | 899,3 | 910,6 | |
169 | 16 | 922,0 | 933,0 | 945,2 | 956,8 | 968,4 | 980,0 | 991,6 | |
170 | 17 | 1003,2 | 1011,6 | 1020,0 | 1028,4 | 1036,8 | 1045,0 | - | |
171 | С27 ![]() | 3 | 43,5 | 46,1 | 49,1 | 52,1 | 55,0 | 61,3 | 68,6 |
172 | 4 | 75,5 | 78,5 | 82,8 | 87,2 | 91,1 | 99,1 | 108,1 | |
173 | 5 | 116,7 | 121,6 | 126,4 | 131,0 | 135,7 | 145,3 | 156,0 | |
Индекс | а | б | в | г | д | е | ж | ||
Швы стыковых соединений - основной шов | Дуговая сварка 1 м шва | ||||||||
КАРТА 1, лист 10 | |||||||||
N позиции | Тип шва | Толщина металла, мм | |||||||
число десятков | единицы | ||||||||
0 | 1 | 2 | 3 | 4 | 6 | 8 | |||
Неполное штучное время на 1 м шва, мин. | |||||||||
174 | С27 | 6 | 166,3 | 172,1 | 177,8 | 183,5 | 189,3 | 202,3 | 213,0 |
175 | 7 | 221,3 | 229,5 | 237,8 | 246,6 | 255,3 | 264,1 | 278,1 | |
176 | 8 | 292,4 | 299,6 | 306,8 | 314,1 | 321,3 | 336,4 | 351,5 | |
177 | 9 | 362,2 | 372,9 | 383,7 | 394,8 | 406,0 | 417,2 | 434,0 | |
178 | 10 | 451,3 | 464,5 | 477,8 | 491,0 | 504,3 | 517,5 | 530,7 | |
179 | 11 | 544,0 | 558,3 | 572,6 | 586,9 | 601,2 | 615,5 | 629,8 | |
180 | 12 | 644,1 | 659,1 | 675,4 | 691,0 | 706,6 | 722,3 | 737,9 | |
181 | 13 | 753,6 | 770,3 | 787,0 | 803,7 | 820,4 | 837,1 | 853,8 | |
182 | 14 | 870,4 | 888,3 | 906,3 | 924,2 | 942,2 | 960,1 | 978,0 | |
183 | 15 | 996,0 | 1015,0 | 1034,0 | 1054,0 | 1073,0 | 1092,0 | 1111,0 | |
184 | 16 | 1130,2 | 1150,0 | 1171,0 | 1191,0 | 1211,0 | 1232,0 | 1252,0 | |
185 | 17 | 1272,3 | 1288,0 | 1303,0 | 1319,0 | 1334,0 | 1350,0 | - | |
186 | С28 ![]() | 0 | - | 2,5 | 5,3 | 6,5 | 10,5 | 20,5 | 34,5 |
187 | 1 | 50,1 | 60,1 | 69,3 | - | - | - | - | |
188 | С39 ![]() | 1 | - | - | 20,4 | 23,3 | 26,3 | 31,8 | 37,7 |
189 | 2 | 44,4 | 48,1 | 52,5 | 57,0 | 61,2 | 71,3 | 81,3 | |
190 | 3 | 92,6 | 98,2 | 103,8 | 109,9 | 116,4 | 129,5 | 142,5 | |
191 | 4 | 156,8 | 164,2 | 171,6 | 179,0 | 186,3 | 202,4 | 219,0 | |
192 | 5 | 236,1 | 245,0 | 253,8 | 263,0 | 272,1 | 290,1 | 309,5 | |
193 | 6 | 329,4 | 340,0 | 350,0 | 360,1 | 370,8 | 393,0 | 414,4 | |
194 | 7 | 430,1 | 445,4 | 460,8 | 477,0 | 493,0 | 508,5 | 533,4 | |
Индекс | а | б | в | г | д | е | ж | ||
Швы стыковых соединений - основной шов | Дуговая сварка 1 м шва | ||||||||
КАРТА 1, лист 11 | |||||||||
N позиции | Тип шва | Толщина металла, мм | |||||||
число десятков | единицы | ||||||||
0 | 1 | 2 | 3 | 4 | 6 | 8 | |||
Неполное штучное время на 1 м шва, мин. | |||||||||
195 | С39 | 8 | 558,4 | 571,6 | 584,7 | 597,8 | 611,1 | 638,0 | 665,0 |
196 | 9 | 683,9 | 703,0 | 721,8 | 741,4 | 761,0 | 780,5 | 810,9 | |
197 | 10 | 841,3 | 867,0 | 892,7 | 918,4 | 944,1 | 969,8 | 995,5 | |
198 | 11 | 1002,2 | 1028,0 | 1054,0 | 1079,0 | 1105,0 | 1131,0 | 1156,0 | |
199 | 12 | 1175,4 | - | - | - | - | - | - | |
200 | С40 ![]() | 1 | - | - | 45,4 | 50,0 | 55,0 | 65,7 | 76,1 |
201 | 2 | 87,6 | 93,5 | 98,7 | 105,6 | 110,8 | 122,4 | 135,1 | |
202 | 3 | 148,0 | 154,0 | 160,4 | 167,3 | 173,8 | 186,7 | 200,5 | |
203 | 4 | 214,6 | 221,4 | 228,1 | 235,1 | 242,5 | 257,1 | 272,0 | |
204 | 5 | 286,2 | 293,7 | 301,3 | 309,0 | 316,7 | 331,4 | 347,0 | |
205 | 6 | 362,8 | 372,5 | 382,3 | 391,0 | 394,1 | 410,4 | 426,7 | |
206 | 7 | 437,8 | 449,0 | 460,0 | 471,0 | 482,0 | 492,8 | 510,0 | |
207 | 8 | 527,0 | 535,5 | 544,0 | 552,5 | 561,0 | 578,5 | 596,1 | |
208 | 9 | 608,0 | 620,0 | 631,7 | 644,0 | 656,0 | 667,8 | 685,7 | |
209 | 10 | 703,6 | 717,0 | 730,2 | 743,5 | 756,7 | 770,0 | 783,2 | |
210 | 11 | 796,6 | 808,1 | 819,7 | 831,2 | 843,0 | 854,3 | 865,9 | |
211 | 12 | 891,4 | - | - | - | - | - | - | |
212 | С42 ![]() | 0 | - | - | - | - | - | 10,0 | 12,2 |
213 | 1 | 13,8 | 15,3 | 16,7 | - | - | - | - | |
214 | С43 ![]() | 1 | - | - | 17,0 | 20,0 | 23,0 | 29,1 | 36,0 |
215 | 2 | 44,0 | 48,1 | 52,1 | 56,5 | 61,0 | 71,0 | 81,0 | |
Индекс | а | б | в | г | д | е | ж | ||
Швы стыковых соединений - основной шов | Дуговая сварка 1 м шва | ||||||||
КАРТА 1, лист 12 | |||||||||
N позиции | Тип шва | Толщина металла, мм | |||||||
число десятков | единицы | ||||||||
0 | 1 | 2 | 3 | 4 | 6 | 8 | |||
Неполное штучное время на 1 м шва, мин. | |||||||||
216 | С43 | 3 | 92,4 | 98,0 | 103,6 | 109,9 | 116,2 | 129,4 | 142,5 |
217 | 4 | 157,0 | 164,5 | 172,0 | 179,4 | 186,8 | 203,0 | 219,8 | |
218 | 5 | 237,1 | 246,1 | 255,1 | 264,1 | 273,6 | 292,6 | 311,5 | |
219 | 6 | 331,7 | 342,2 | 352,7 | 363,3 | 373,8 | 396,0 | 418,8 | |
220 | 7 | 434,3 | 450,0 | 465,3 | 481,5 | 497,8 | 514,0 | 539,7 | |
221 | 8 | 565,5 | 578,7 | 592,0 | 605,2 | 618,4 | 644,0 | 674,2 | |
222 | 9 | 693,5 | 713,0 | 732,2 | 752,2 | 772,2 | 792,2 | 823,0 | |
223 | 10 | 854,3 | - | - | - | - | - | - | |
224 | С45 ![]() | 0 | - | - | - | - | - | - | 10,7 |
225 | 1 | 15,5 | 18,5 | 22,4 | 25,7 | 29,4 | 37,4 | 39,4 | |
226 | 2 | 48,6 | 53,0 | 58,0 | 63,1 | 68,8 | 79,8 | 92,3 | |
227 | 3 | 105,6 | 112,1 | 119,0 | 126,6 | 133,8 | 149,5 | 165,2 | |
228 | 4 | 182,4 | - | - | - | - | - | - | |
Индекс | а | б | в | г | д | е | ж | ||
Дуговая сварка 1 м шва | ||||||
КАРТА 2, лист 1 | ||||||
Тип шва: С12, С13, С14, С21, С23, С24, С39, С40, С42, С43, С45 | ||||||
N позиции | Тип шва | Толщина металла, мм | ||||
3 - 8 | 9 - 14 | 15 - 32 | 33 - 60 | 61 - 100 | ||
Неполное штучное время на 1 м шва, мин. | ||||||
1 | С12 ![]() | 3,0 | 3,4 | 4,1 | 4,8 | - |
2 | С13 ![]() | 3,0 | 3,4 | 7,4 | ||
3 | С14 ![]() | - | - | |||
4 | С21 ![]() | 3,0 | 3,4 | - | ||
5 | С23 ![]() | - | - | 7,4 | ||
6 | С24 ![]() | - | - | |||
N позиции | Тип шва | Толщина металла, мм | |||||
число десятков | единицы | ||||||
0 | 2 | 4 | 6 | 8 | |||
Неполное штучное время на 1 м шва, мин. | |||||||
7 | С39 ![]() | 1 | - | 6,8 | 7,8 | 12,6 | 12,9 |
8 | 2 | 13,0 | 14,7 | 17,0 | 19,5 | 23,0 | |
9 | 3 | 25,7 | 28,6 | 31,7 | 35,0 | 38,2 | |
10 | 4 | 42,5 | 46,1 | 49,8 | 53,7 | 57,8 | |
11 | 5 | 62,0 | 67,0 | 71,4 | 76,0 | 80,6 | |
12 | 6 | 86,1 | 91,0 | 96,0 | 101,4 | 107,2 | |
13 | 7 | 102,8 | 118,1 | 124,1 | 130,3 | 136,2 | |
14 | 8 | 142,1 | 149,0 | 155,2 | 161,0 | 168,7 | |
15 | 9 | 175,6 | 182,0 | 189,0 | 196,3 | 206,1 | |
Индекс | а | б | в | г | д | ||
Швы стыковых соединений - шов с противоположной стороны | Дуговая сварка 1 м шва | ||||||
КАРТА 2, лист 2 | |||||||
N позиции | Тип шва | Толщина металла, мм | |||||
число десятков | единицы | ||||||
0 | 2 | 4 | 6 | 8 | |||
Неполное штучное время на 1 м шва, мин. | |||||||
16 | С39 | 10 | 211,2 | 218,7 | 226,4 | 234,0 | 241,5 |
17 | 11 | 249,1 | 256,7 | 264,3 | 271,8 | 279,4 | |
18 | С40 ![]() | 1 | - | 6,3 | 8,3 | 10,6 | 13,2 |
19 | 2 | 16,2 | 19,4 | 23,7 | 27,6 | 31,7 | |
20 | 3 | 36,2 | 41,0 | 46,8 | 52,1 | 57,8 | |
21 | 4 | 64,5 | 70,8 | 77,4 | 85,1 | 92,2 | |
22 | 5 | 99,7 | 108,3 | 116,4 | 125,5 | 134,3 | |
23 | 6 | 143,3 | 153,0 | 163,0 | 172,8 | 183,8 | |
24 | 7 | 196,0 | 206,0 | 218,0 | 230,0 | 242,0 | |
25 | 8 | 254,4 | 267,3 | 280,1 | 293,2 | 307,0 | |
26 | 9 | 322,0 | 336,0 | 350,1 | 365,2 | 380,1 | |
27 | 10 | 396,4 | 412,8 | 429,2 | 445,5 | 461,9 | |
28 | 11 | 478,3 | 495,3 | 512,4 | 529,3 | 546,2 | |
29 | С42 ![]() | 0 | - | - | - | 17,1 | 17,1 |
30 | 1 | 26,4 | 32,5 | - | - | - | |
31 | С43 ![]() | 1 | - | 9,6 | 11,7 | 13,8 | 16,4 |
32 | 2 | 18,1 | 20,5 | 23,6 | 26,1 | 26,7 | |
33 | 3 | 30,0 | 33,4 | 37,0 | 40,6 | 45,2 | |
34 | 4 | 49,3 | 53,4 | 57,8 | 62,2 | 67,6 | |
35 | 5 | 72,3 | 77,2 | 82,3 | 88,2 | 93,5 | |
36 | 6 | 99,0 | 105,0 | 111,0 | 117,0 | 122,8 | |
37 | 7 | 129,0 | 136,0 | 143,0 | 149,6 | 156,2 | |
38 | 8 | 163,0 | 170,3 | 177,6 | 185,2 | 192,8 | |
39 | 9 | 200,3 | 207,7 | 215,8 | 223,8 | 231,1 | |
40 | 10 | 240,4 | - | - | - | - | |
41 | С45 ![]() | 0 | - | - | - | - | 30,3 |
42 | 1 | 29,7 | 30,0 | 30,1 | 30,3 | 31,1 | |
43 | 2 | 51,1 | 51,1 | 51,1 | 51,1 | 51,1 | |
44 | 3 | 75,4 | 75,4 | 75,4 | 75,4 | 75,4 | |
Индекс | а | б | в | г | д | ||
Дуговая сварка 1 м шва | |||||||||
КАРТА 3, лист 1 | |||||||||
Тип шва: У1, У2, У4, У5, У6, У7, У8, У9, У10 | |||||||||
N позиции | Тип шва | Толщина металла, мм | |||||||
число десятков | единицы | ||||||||
0 | 1 | 2 | 3 | 4 | 6 | 8 | |||
Неполное штучное время на 1 м шва, мин. | |||||||||
1 | У1 ![]() | 0 | - | 3,3 | 4,8 | 5,7 | 6,9 | - | - |
2 | У2 ![]() | 0 | - | 3,1 | 4,2 | 7,5 | 9,1 | 11,7 | 26,6 |
1 | 39,5 | 43,2 | 46,9 | - | - | - | - | ||
3 | У4 ![]() | 0 | - | 1,4 | 2,6 | 3,8 | 5,4 | 12,1 | - |
4 | У5 ![]() | 0 | - | - | 3,8 | 4,7 | 5,1 | 6,4 | 7,8 |
Индекс | а | б | в | г | д | е | ж | ||
Швы угловых соединений - основное измерение "Толщина металла" | Дуговая сварка 1 м шва | ||||||||
КАРТА 3, лист 2 | |||||||||
N позиции | Тип шва | Толщина металла, мм | |||||||
число десятков | единицы | ||||||||
0 | 1 | 2 | 3 | 4 | 6 | 8 | |||
Неполное штучное время на 1 м шва, мин. | |||||||||
5 | У6 ![]() | 0 | - | - | - | 5,6 | 7,3 | 12,0 | 18,5 |
6 | 1 | 26,1 | 30,6 | 35,0 | 41,0 | 47,0 | 59,5 | 74,5 | |
7 | 2 | 91,0 | 99,9 | 108,7 | 118,4 | 128,0 | 148,6 | 170,5 | |
8 | 3 | 194,0 | 206,3 | 218,6 | 231,6 | 244,6 | 272,0 | 301,5 | |
9 | 4 | 331,5 | 347,6 | 363,6 | 380,0 | 396,2 | 362,0 | 467,0 | |
5 | 504,2 | 523,1 | 541,9 | 561,8 | 581,7 | 622,8 | 665,1 | ||
10 | |||||||||
6 | 708,6 | - | - | - | - | - | - | ||
11 | |||||||||
12 | У7 ![]() | 0 | - | - | - | 5,3 | 7,5 | 12,1 | 17,5 |
13 | 1 | 25,8 | 30,7 | 35,6 | 41,7 | 47,7 | 60,4 | 75,5 | |
14 | 2 | 92,0 | 101,0 | 109,8 | 119,4 | 155,2 | 149,6 | 171,5 | |
15 | 3 | 194,8 | 207,1 | 219,4 | 232,3 | 245,2 | 273,3 | 301,8 | |
16 | 4 | 331,5 | 347,5 | 363,4 | 379,5 | 395,6 | 430,0 | 465,6 | |
17 | 5 | 91,0 | 520,6 | 539,6 | 559,3 | 579,0 | 619,4 | 661,1 | |
18 | 6 | 704,0 | - | - | - | - | - | - | |
19 | У8 ![]() | 0 | - | - | - | - | - | - | 8,1 |
20 | 1 | 9,9 | 10,8 | 11,7 | 13,4 | 15,1 | 19,0 | 24,1 | |
21 | 2 | 28,7 | 31,2 | 33,7 | 36,4 | 39,0 | 45,6 | 51,7 | |
22 | 3 | 58,1 | 62,0 | 65,8 | 69,4 | 72,9 | 80,3 | 89,0 | |
23 | 4 | 97,0 | 101,7 | 106,3 | 110,7 | 115,0 | 124,1 | 134,3 | |
24 | 5 | 144,0 | 149,4 | 154,8 | 160,0 | 165,0 | 176,5 | 187,3 | |
25 | 6 | 199,4 | 207,4 | 215,4 | 219,4 | 223,4 | 236,1 | 248,7 | |
26 | 7 | 262,4 | 269,2 | 276,0 | 289,7 | 296,6 | 303,4 | 317,7 | |
27 | 8 | 332,0 | 342,2 | 352,4 | 357,5 | 362,6 | 378,0 | 393,4 | |
28 | 9 | 409,8 | 418,0 | 426,1 | 442,6 | 450,8 | 459,0 | 476,5 | |
29 | 10 | 494,0 | - | - | - | - | - | - | |
30 | У9 ![]() | 0 | - | - | - | 5,6 | 7,2 | 11,7 | 17,9 |
31 | 1 | 25,1 | 29,1 | 33,1 | 38,8 | 44,4 | 56,3 | 70,4 | |
30 | 2 | 86,0 | 94,0 | 101,8 | 111,0 | 120,0 | 139,4 | 160,1 | |
33 | 3 | 182,0 | 193,7 | 205,3 | 217,6 | 229,8 | 256,4 | 283,3 | |
34 | 4 | 311,5 | 326,6 | 341,7 | 357,0 | 372,3 | 405,0 | 438,0 | |
35 | 5 | 473,0 | 491,2 | 509,3 | 528,0 | 546,7 | 584,3 | 624,1 | |
36 | 6 | 665,0 | - | - | - | - | - | - | |
37 | У10 ![]() | 0 | - | - | - | 5,3 | 7,4 | 11,8 | 16,9 |
38 | 1 | 24,7 | 29,4 | 34,0 | 39,7 | 45,4 | 57,5 | 71,7 | |
39 | 2 | 87,3 | 95,3 | 103,2 | 112,3 | 121,4 | 140,8 | 161,5 | |
40 | 3 | 183,4 | 195,0 | 206,5 | 219,2 | 231,8 | 257,3 | 284,1 | |
41 | 4 | 312,0 | 327,0 | 342,0 | 357,1 | 372,2 | 404,5 | 437,1 | |
42 | 5 | 471,7 | 490,0 | 507,4 | 525,4 | 543,4 | 581,4 | 620,5 | |
43 | 6 | 660,6 | - | - | - | - | - | - | |
Индекс | а | б | в | г | д | е | ж | ||
Дуговая сварка 1 м шва | |||||||||
КАРТА 4 | |||||||||
Тип шва: У8 | |||||||||
N позиции | Тип шва | Толщина металла, мм | |||||||
число десятков | единицы | ||||||||
0 | 1 | 2 | 3 | 4 | 6 | 8 | |||
Неполное штучное время на 1 м шва, мин. | |||||||||
1 | У8 ![]() | 0 | - | - | - | - | - | - | 12,0 |
2 | 1 | 15,4 | 18,7 | 22,0 | 25,0 | 27,9 | 34,4 | 41,4 | |
3 | 2 | 49,8 | 53,7 | 57,6 | 63,0 | 68,3 | 79,0 | 91,1 | |
4 | 3 | 103,2 | 110,1 | 117,0 | 124,2 | 131,3 | 145,6 | 161,5 | |
5 | 4 | 178,1 | 186,8 | 195,4 | 204,5 | 213,5 | 232,2 | 250,8 | |
6 | 5 | 270,9 | 281,4 | 291,8 | 302,6 | 313,3 | 336,4 | 359,3 | |
7 | 6 | 383,0 | 399,4 | 415,8 | 424,0 | 432,2 | 458,6 | 485,0 | |
8 | 7 | 512,4 | 526,1 | 539,7 | 568,8 | 583,4 | 597,9 | 628,4 | |
9 | 8 | 658,8 | 680,0 | 701,2 | 711,8 | 722,8 | 755,5 | 788,5 | |
10 | 9 | 823,0 | 840,2 | 857,3 | 893,5 | 911,6 | 929,6 | 966,6 | |
11 | 10 | 1003,6 | - | - | - | - | - | - | |
Индекс | а | б | в | г | д | е | ж | ||
Дуговая сварка 1 м шва | |||||||||
КАРТА 5, лист 1 | |||||||||
Тип шва: Т2, Т5, Т6, Т7, Т8, Т9 | |||||||||
N позиции | Тип шва | Толщина металла, мм | |||||||
число десятков | единицы | ||||||||
0 | 1 | 2 | 3 | 4 | 5 | 8 | |||
Неполное штучное время на 1 м шва, мин. | |||||||||
1 | Т2 ![]() | 1 | - | - | - | - | - | 84,8 | 99,6 |
2 | 2 | 116,0 | 124,4 | 132,8 | 141,6 | 150,4 | 1684 | 186,5 | |
3 | 3 | 205,8 | 215,7 | 225,6 | 235,8 | 245,9 | 266,8 | 288,1 | |
4 | 4 | 309,8 | 321,0 | 332,0 | 343,4 | 354,7 | 378,6 | 402,1 | |
5 | 5 | 426,0 | 438,1 | 450,2 | 462,6 | 475,0 | 500,0 | 526,2 | |
6 | 6 | 552,0 | 600,6 | 649,2 | 673,5 | 697,7 | 733,6 | 769,4 | |
7 | 7 | 807,0 | 825,8 | 844,5 | 883,3 | 902,7 | 922,1 | 961,7 | |
8 | 8 | 1001,3 | 1028,8 | 1056,3 | 1070,1 | 1083,8 | 1126,3 | 1168,7 | |
9 | 9 | 1212,8 | 1234,8 | 1256,8 | 1301,6 | 1324,0 | 1346,3 | - | |
10 | Т5 ![]() | 3 | 83,2 | 88,0 | 92,8 | 97,4 | 102,0 | 112,1 | 122,0 |
11 | 4 | 132,8 | 138,0 | 143,2 | 149,0 | 154,7 | 165,7 | 177,8 | |
12 | 5 | 190,3 | 196,2 | 202,1 | 208,6 | 215,1 | 227,5 | 241,1 | |
13 | 6 | 255,0 | 264,2 | 273,4 | 278,0 | 282,5 | 296,8 | 311,1 | |
14 | 7 | 326,4 | 334,0 | 341,6 | 357,0 | 364,6 | 372,2 | 388,4 | |
15 | 8 | 404,6 | 415,5 | 426,4 | 431,8 | 437,2 | 454,4 | 471,5 | |
18 | 11 | 675,6 | 692,6 | 709,5 | 7264 | 743,4 | 760,4 | 769,0 | |
19 | 12 | 777,3 | - | - | - | - | - | - | |
Индекс | а | б | в | г | д | е | ж | ||
Швы тавровых соединений - основное измерение "Толщина металла" | Дуговая сварка 1 м шва | ||||||||
КАРТА 5, лист 2 | |||||||||
N позиции | Тип шва | Толщина металла, мм | |||||||
число десятков | единицы | ||||||||
0 | 1 | 2 | 3 | 4 | 6 | 8 | |||
Неполное штучное время на 1 м шва, мин. | |||||||||
20 | Т6 ![]() | 0 | - | - | - | 5,3 | 7,6 | 13,8 | 24,1 |
21 | 1 | 35,0 | 42,3 | 49,5 | 58,0 | 66,4 | 85,4 | 106,5 | |
22 | 2 | 129,8 | 142,5 | 155,2 | 169,0 | 182,7 | 213,1 | 244,7 | |
23 | 3 | 279,2 | 297,5 | 315,7 | 334,6 | 353,4 | 394,0 | 436,4 | |
24 | 4 | 481,6 | 505,0 | 528,1 | 552,3 | 576,4 | 627,6 | 679,8 | |
25 | 5 | 734,8 | 763,0 | 791,0 | 820,4 | 849,7 | 910,4 | 973,1 | |
26 | 6 | 1037,6 | - | - | - | - | - | - | |
27 | Т7 ![]() | 0 | - | - | - | 4,9 | 7,6 | 14,5 | 24,4 |
28 | 1 | 34,5 | 41,5 | 48,0 | 55,2 | 62,3 | 85,8 | 107,1 | |
29 | 2 | 130,4 | 143,2 | 156,0 | 169,7 | 183,4 | 213,8 | 245,4 | |
30 | 3 | 280,0 | 298,2 | 316,4 | 335,3 | 354,1 | 394,5 | 437,0 | |
31 | 4 | 482,2 | 505,4 | 528,5 | 552,7 | 576,8 | 627,9 | 680,0 | |
32 | 5 | 735,0 | 763,0 | 790,8 | 820,2 | 849,5 | 910,0 | 972,4 | |
33 | 6 | 1036,7 | - | - | - | - | - | - | |
34 | Т8 ![]() | 0 | - | - | - | - | - | - | 12,0 |
35 | 1 | 15,4 | 18,7 | 22,0 | 25,0 | 27,8 | 34,3 | 41,3 | |
36 | 2 | 49,7 | 53,6 | 57,4 | 62,8 | 68,1 | 78,7 | 90,8 | |
37 | 3 | 103,0 | 110,0 | 116,6 | 123,8 | 130,9 | 145,2 | 161,0 | |
38 | 4 | 177,6 | 186,2 | 194,8 | 203,8 | 212,8 | 231,5 | 250,0 | |
39 | 5 | 270,1 | 280,6 | 291,0 | 301,7 | 312,4 | 335,3 | 358,2 | |
40 | 6 | 381,7 | 398,1 | 414,5 | 422,7 | 430,8 | 457,2 | 483,5 | |
Индекс | а | б | в | г | д | е | ж | ||
Швы тавровых соединений - основное измерение "Толщина металла" | Дуговая сварка 1 м шва | ||||||||
КАРТА 5, лист 3 | |||||||||
N позиции | Тип шва | Толщина металла, мм | |||||||
число десятков | единицы | ||||||||
0 | 1 | 2 | 3 | 4 | 6 | 8 | |||
Неполное штучное время на 1 м шва, мин. | |||||||||
41 | Т8 | 7 | 510,8 | 524,4 | 538,0 | 567,1 | 581,6 | 596,1 | 626,4 |
42 | 8 | 656,7 | 677,8 | 699,0 | 709,6 | 720,1 | 753,1 | 786,1 | |
43 | 9 | 820,4 | 837,5 | 854,6 | 890,7 | 908,7 | 926,7 | 963,6 | |
44 | 10 | 1000,4 | - | - | - | - | - | - | |
45 | Т9 ![]() | 1 | - | - | 14,1 | 16,2 | 18,3 | 23,7 | 29,0 |
46 | 2 | 34,4 | 37,4 | 40,4 | 44,1 | 47,7 | 54,5 | 61,8 | |
47 | 3 | 70,3 | 74,3 | 78,3 | 83,0 | 87,6 | 96,5 | 106,5 | |
48 | 4 | 116,1 | 121,5 | 126,9 | 132,1 | 137,3 | 148,8 | 160,0 | |
49 | 5 | 172,1 | 178,1 | 184,0 | 190,5 | 197,0 | 210,2 | 223,0 | |
50 | 6 | 237,0 | 246,4 | 255,8 | 260,5 | 265,2 | 280,4 | 295,5 | |
51 | 7 | 311,0 | 318,7 | 326,3 | 342,8 | 351,0 | 359,2 | 376,0 | |
52 | 8 | 392,6 | 410,4 | 419,3 | 423,7 | 428,1 | 446,5 | 464,8 | |
53 | 9 | 483,8 | 493,3 | 502,7 | 522,0 | 531,6 | 541,1 | 561,3 | |
54 | 10 | 581,5 | - | - | - | - | - | - | |
Индекс | а | б | в | г | д | е | ж | ||
Дуговая сварка 1 м шва | |||||||||
КАРТА 6, лист 1 | |||||||||
Тип шва: У4, У5, У7, У10, Т1, Т2, Т3, Т7, Н1, Н2 | |||||||||
N позиции | Тип шва | Катет шва, мм | |||||||
число десятков | единицы | ||||||||
0 | 1 | 2 | 3 | 4 | 6 | 8 | |||
Неполное штучное время на 1 м шва, мин. | |||||||||
1 | У4 ![]() | 0 | - | 1,3 | 2,5 | 3,7 | 5,4 | 12,3 | 20,1 |
2 | У5 ![]() | 1 | 29,6 | 35,1 | 40,6 | 47,2 | 53,8 | 68,6 | 84,8 |
3 | У7 ![]() | 2 | 101,8 | 116,9 | 132,1 | 147,3 | 162,4 | 177,6 | 192,7 |
4 | У10 ![]() | 3 | 207,9 | - | - | - | - | - | - |
Индекс | а | б | в | г | д | е | ж | ||
Швы угловых, тавровых и нахлесточных соединений - основное измерение "Катет шва" | Дуговая сварка 1 м шва | ||||||||
КАРТА 6, лист 2 | |||||||||
N позиции | Тип шва | Катет шва, мм | |||||||
число десятков | единицы | ||||||||
0 | 1 | 2 | 3 | 4 | 6 | 8 | |||
Неполное штучное время на 1 м шва, мин. | |||||||||
5 | Т1 ![]() | 0 | - | 1,3 | 2,5 | 3,7 | 5,4 | 12,3 | 20,1 |
6 | Т2 ![]() | 1 | 29,6 | 35,1 | 40,6 | 47,2 | 53,8 | 68,6 | 84,8 |
Т3 ![]() | |||||||||
7 | Т7 ![]() | 2 | 101,8 | 116,9 | 132,1 | 147,3 | 162,4 | 177,6 | 192,7 |
Н1 ![]() | |||||||||
8 | Н2 ![]() | 3 | 207,9 | - | - | - | - | - | - |
Индекс | а | б | в | г | д | е | ж | ||
Сварка труб | ||||||||
КАРТА 7, лист 1 | ||||||||
Тип шва: С2, С4, С5, С8, С10, С17, С18, С19, С46, С49, С50, С52, С53, С54, С55, С56 | ||||||||
N позиции | Тип шва | Толщина металла, мм | Площадь поперечного сечения шва, мм2 | Диаметр трубы, мм | ||||
30 | 75 | 140 | 250 | 251 и более | ||||
Неполное штучное время на 1 мм диаметра, мин. | ||||||||
1 | С2 ![]() | 2 | 6,5 | 0,015 | 0,014 | 0,013 | 0,012 | 0,012 |
2 | 3 | 8,8 | 0,018 | 0,018 | 0,017 | 0,016 | 0,015 | |
3 | 4 | 12,1 | 0,021 | 0,020 | 0,019 | 0,019 | 0,018 | |
4 | 5 | 13,9 | 0,023 | 0,022 | 0,021 | 0,020 | 0,019 | |
5 | С4 ![]() | 2 | 10,6 | 0,021 | 0,020 | 0,019 | 0,019 | 0,018 |
6 | 3 | 13,1 | 0,025 | 0,024 | 0,023 | 0,022 | 0,021 | |
7 | С5 ![]() | 2 | 10,6 | 0,021 | 0,020 | 0,019 | 0,019 | 0,018 |
8 | 3 | 13,1 | 0,025 | 0,024 | 0,023 | 0,022 | 0,021 | |
9 | С8 ![]() | 3 | 18,9 | 0,035 | 0,034 | 0,032 | 0,031 | 0,029 |
10 | 4 | 26,3 | 0,042 | 0,041 | 0,039 | 0,037 | 0,035 | |
11 | 5 | 33,8 | 0,053 | 0,051 | 0,049 | 0,047 | 0,044 | |
12 | 6 | 42,5 | 0,070 | 0,068 | 0,065 | 0,062 | 0,059 | |
13 | 8 | 70,4 | 0,109 | 0,105 | 0,100 | 0,096 | 0,091 | |
14 | 10 | 109,0 | 0,161 | 0,158 | 0,152 | 0,146 | 0,138 | |
15 | 12 | 146,0 | 0,217 | 0,211 | 0,199 | 0,191 | 0,182 | |
Индекс | а | б | в | г | д | |||
Швы стыковых соединений - основной шов | Сварка труб | |||||||
КАРТА 7, лист 2 | ||||||||
N позиции | Тип шва | Толщина металла, мм | Площадь поперечного сечения шва, мм2 | Диаметр трубы, мм | ||||
30 | 75 | 140 | 250 | 251 и более | ||||
Неполное штучное время на 1 мм диаметра, мин. | ||||||||
16 | С8 | 14 | 186,5 | 0,278 | 0,266 | 0,254 | 0,243 | 0,231 |
17 | 16 | 233,0 | - | 0,331 | 0,317 | 0,302 | 0,288 | |
18 | 18 | 283,1 | - | 0,371 | 0,359 | 0,339 | 0,323 | |
19 | 20 | 340,1 | - | 0,447 | 0,432 | 0,408 | 0,389 | |
20 | С10 ![]() | 2 | 21,7 | - | 0,039 | 0,038 | 0,036 | 0,034 |
21 | 3 | 30,7 | - | 0,046 | 0,044 | 0,042 | 0,040 | |
22 | 4 | 38,3 | - | 0,058 | 0,056 | 0,053 | 0,050 | |
23 | 5 | 49,0 | - | 0,076 | 0,073 | 0,069 | 0,066 | |
24 | 6 | 60,5 | - | 0,082 | 0,079 | 0,075 | 0,071 | |
25 | 8 | 107,5 | - | 0,159 | 0,153 | 0,145 | 0,138 | |
26 | 10 | 144,5 | - | 0,207 | 0,200 | 0,189 | 0,180 | |
27 | 12 | 203,9 | - | 0,292 | 0,282 | 0,267 | 0,254 | |
28 | 14 | 253,5 | - | 0,362 | 0,350 | 0,331 | 0,315 | |
29 | 16 | 309,2 | - | 0,439 | 0,424 | 0,401 | 0,382 | |
30 | 18 | 368,2 | - | 0,524 | 0,506 | 0,479 | 0,456 | |
31 | 20 | 435,3 | - | 0,618 | 0,596 | 0,564 | 0,537 | |
32 | С17 ![]() | 3 | 17,2 | 0,029 | 0,028 | 0,026 | 0,025 | 0,024 |
33 | 4 | 22,9 | 0,037 | 0,036 | 0,034 | 0,033 | 0,031 | |
34 | 5 | 31,1 | 0,054 | 0,052 | 0,050 | 0,047 | 0,045 | |
35 | 6 | 40,7 | 0,067 | 0,064 | 0,062 | 0,059 | 0,056 | |
36 | 8 | 63,3 | 0,100 | 0,095 | 0,091 | 0,087 | 0,083 | |
Индекс | а | б | в | г | д | |||
Швы стыковых соединений - основной шов | Сварка труб | |||||||
КАРТА 7, лист 3 | ||||||||
N позиции | Тип шва | Толщина металла, мм | Площадь поперечного сечения шва, мм2 | Диаметр трубы, мм | ||||
30 | 75 | 140 | 250 | 251 и более | ||||
Неполное штучное время на 1 мм диаметра, мин. | ||||||||
37 | С17 | 10 | 97,1 | 0,146 | 0,140 | 0,134 | 0,128 | 0,122 |
38 | 12 | 127,6 | 0,193 | 0,185 | 0,177 | 0,169 | 0,161 | |
39 | 14 | 164,4 | 0,247 | 0,237 | 0,227 | 0,216 | 0,206 | |
40 | 16 | 209,3 | - | 0,300 | 0,287 | 0,274 | 0,261 | |
41 | 18 | 255,6 | - | 0,365 | 0,349 | 0,333 | 0,317 | |
42 | 20 | 304,9 | - | 0,434 | 0,415 | 0,396 | 0,377 | |
43 | С18 ![]() | 2 | 17,8 | 0,034 | 0,032 | 0,031 | 0,029 | 0,028 |
44 | 3 | 25,3 | 0,041 | 0,039 | 0,037 | 0,036 | 0,034 | |
45 | 4 | 31,1 | 0,055 | 0,053 | 0,051 | 0,048 | 0,046 | |
46 | 5 | 40,2 | 0,066 | 0,063 | 0,061 | 0,058 | 0,055 | |
47 | 6 | 59,3 | 0,094 | 0,090 | 0,086 | 0,082 | 0,078 | |
48 | 8 | 82,0 | 0,130 | 0,124 | 0,119 | 0,113 | 0,108 | |
49 | 10 | 111,9 | 0,172 | 0,164 | 0,157 | 0,150 | 0,143 | |
50 | 12 | 147,7 | 0,224 | 0,215 | 0,206 | 0,196 | 0,187 | |
51 | 14 | 207,7 | 0,311 | 0,298 | 0,285 | 0,272 | 0,259 | |
52 | 16 | 263,7 | - | 0,376 | 0,360 | 0,343 | 0,327 | |
53 | 18 | 302,1 | - | 0,430 | 0,411 | 0,393 | 0,374 | |
54 | 20 | 347,1 | - | 0,493 | 0,472 | 0,450 | 0,429 | |
55 | 22 | 389,2 | - | 0,551 | 0,527 | 0,503 | 0,479 | |
56 | 24 | 536,2 | - | 0,758 | 0,725 | 0,692 | 0,659 | |
57 | 26 | 608,1 | - | 0,864 | 0,826 | 0,789 | 0,751 | |
Индекс | а | б | в | г | д | |||
Швы стыковых соединений - основной шов | Сварка труб | |||||||
КАРТА 7, лист 4 | ||||||||
N позиции | Тип шва | Толщина металла, мм | Площадь поперечного сечения шва, мм2 | Диаметр трубы, мм | ||||
30 | 75 | 140 | 250 | 251 и более | ||||
Неполное штучное время на 1 мм диаметра, мин. | ||||||||
58 | С18 | 28 | 685,6 | - | 0,973 | 0,931 | 0,888 | 0,846 |
59 | 30 | 771,5 | - | 1,095 | 1,047 | 1,000 | 0,952 | |
60 | 32 | 849,4 | - | 1,206 | 1,153 | 1,100 | 1,048 | |
61 | 34 | 953,3 | - | 1,358 | 1,299 | 1,240 | 1,181 | |
62 | 36 | 1048,4 | - | 1,486 | 1,422 | 1,358 | 1,293 | |
63 | 38 | 1152,1 | - | - | 1,564 | 1,493 | 1,422 | |
64 | 40 | 1261,2 | - | - | 1,708 | 1,631 | 1,553 | |
65 | С19 ![]() | 2 | 17,7 | 0,035 | 0,033 | 0,032 | 0,030 | 0,029 |
66 | 3 | 25,6 | 0,047 | 0,045 | 0,043 | 0,041 | 0,039 | |
67 | 4 | 33,4 | 0,048 | 0,055 | 0,053 | 0,050 | 0,048 | |
68 | 5 | 41,0 | 0,070 | 0,067 | 0,064 | 0,061 | 0,058 | |
69 | 6 | 56,7 | 0,092 | 0,089 | 0,085 | 0,081 | 0,077 | |
70 | 8 | 89,5 | 0,139 | 0,133 | 0,128 | 0,122 | 0,116 | |
71 | 10 | 127,5 | 0,188 | 0,181 | 0,173 | 0,165 | 0,157 | |
72 | 12 | 170,3 | 0,256 | 0,245 | 0,234 | 0,224 | 0,213 | |
73 | 14 | 217,6 | 0,324 | 0,310 | 0,297 | 0,284 | 0,270 | |
74 | 16 | 268,9 | - | 0,386 | 0,370 | 0,353 | 0,336 | |
75 | 18 | 324,2 | - | 0,463 | 0,443 | 0,423 | 0,403 | |
76 | 20 | 383,2 | - | 0,541 | 0,517 | 0,493 | 0,470 | |
77 | С46 | 4 | 26,1 | 0,048 | 0,046 | 0,044 | 0,042 | 0,040 |
78 | 5 | 34,0 | 0,058 | 0,055 | 0,053 | 0,050 | 0,048 | |
Индекс | а | б | в | г | д | |||
Швы стыковых соединений - основной шов | Сварка труб | |||||||
КАРТА 7, лист 5 | ||||||||
N позиции | Тип шва | Толщина металла, мм | Площадь поперечного сечения шва, мм2 | Диаметр трубы, мм | ||||
30 | 75 | 140 | 250 | 251 и более | ||||
Неполное штучное время на 1 мм диаметра, мин. | ||||||||
79 | С46 ![]() | 6 | 42,3 | 0,070 | 0,067 | 0,064 | 0,061 | 0,058 |
80 | 8 | 63,0 | 0,098 | 0,094 | 0,090 | 0,086 | 0,082 | |
81 | 10 | 95,2 | 0,152 | 0,145 | 0,139 | 0,132 | 0,120 | |
82 | 12 | 126,5 | 0,191 | 0,183 | 0,175 | 0,167 | 0,159 | |
83 | 14 | 160,0 | 0,241 | 0,231 | 0,221 | 0,211 | 0,201 | |
84 | 16 | 205,3 | - | 0,294 | 0,282 | 0,269 | 0,256 | |
85 | 18 | 250,6 | - | 0,359 | 0,343 | 0,328 | 0,312 | |
86 | 20 | 301,6 | - | 0,429 | 0,410 | 0,392 | 0,373 | |
87 | С49 ![]() | 6 | 75,5 | - | 0,113 | 0,108 | 0,103 | 0,098 |
88 | 8 | 99,2 | - | 0,144 | 0,137 | 0,131 | 0,125 | |
89 | 10 | 149,6 | - | 0,214 | 0,205 | 0,195 | 0,186 | |
90 | 12 | 184,4 | - | 0,263 | 0,252 | 0,240 | 0,229 | |
91 | 14 | 248,2 | - | 0,355 | 0,340 | 0,324 | 0,309 | |
92 | 16 | 294,8 | - | 0,421 | 0,403 | 0,384 | 0,366 | |
93 | 18 | 349,1 | - | 0,500 | 0,479 | 0,456 | 0,435 | |
94 | 20 | 407,9 | - | 0,577 | 0,552 | 0,527 | 0,502 | |
95 | С50 ![]() | 6 | 88,9 | - | 0,130 | 0,124 | 0,119 | 0,113 |
96 | 8 | 112,0 | - | 0,164 | 0,157 | 0,150 | 0,143 | |
97 | 10 | 164,7 | - | 0,238 | 0,228 | 0,217 | 0,207 | |
98 | 12 | 203,5 | - | 0,292 | 0,279 | 0,267 | 0,254 | |
99 | 14 | 242,0 | - | 0,347 | 0,332 | 0,317 | 0,302 | |
Индекс | а | б | в | г | д | |||
Швы стыковых соединений - основной шов | Сварка труб | |||||||
КАРТА 7, лист 6 | ||||||||
N позиции | Тип шва | Толщина металла, мм | Площадь поперечного сечения шва, мм2 | Диаметр трубы, мм | ||||
30 | 75 | 140 | 250 | 251 и более | ||||
Неполное штучное время на 1 мм диаметра, мин. | ||||||||
100 | С50 | 16 | 286,7 | - | 0,409 | 0,392 | 0,374 | 0,356 |
101 | 18 | 332,7 | - | 0,474 | 0,453 | 0,433 | 0,412 | |
102 | 20 | 390,0 | - | 0,558 | 0,534 | 0,509 | 0,485 | |
103 | С52 ![]() | 7 | 120 | - | 0,175 | 0,167 | 0,160 | 0,152 |
104 | 8 | 144 | - | 0,206 | 0,197 | 0,188 | 0,179 | |
105 | 10 | 162 | - | 0,235 | 0,224 | 0,214 | 0,204 | |
106 | 12 | 180 | - | 0,258 | 0,246 | 0,235 | 0,224 | |
107 | 14 | 201 | - | 0,290 | 0,277 | 0,265 | 0,252 | |
108 | 16 | 226 | - | 0,322 | 0,308 | 0,294 | 0,280 | |
109 | 18 | 258 | - | 0,365 | 0,349 | 0,333 | 0,317 | |
110 | 20 | 312 | - | 0,443 | 0,424 | 0,404 | 0,385 | |
111 | 22 | 403 | - | 0,570 | 0,546 | 0,521 | 0,496 | |
112 | 24 | 473 | - | 0,670 | 0,641 | 0,612 | 0,583 | |
113 | 26 | 528 | - | 0,751 | 0,718 | 0,686 | 0,653 | |
114 | 28 | 580 | - | 0,827 | 0,791 | 0,755 | 0,719 | |
115 | 30 | 608 | - | 0,864 | 0,826 | 0,789 | 0,751 | |
116 | 32 | 682 | - | 0,969 | 0,927 | 0,885 | 0,843 | |
117 | 34 | 746 | - | 1,057 | 1,011 | 0,965 | 0,919 | |
118 | 36 | 810 | - | 1,149 | 1,099 | 1,049 | 0,999 | |
119 | 38 | 875 | - | 1,243 | 1,189 | 1,135 | 1,081 | |
120 | 40 | 945 | - | 1,339 | 1,280 | 1,222 | 1,164 | |
Индекс | а | б | в | г | д | |||
Швы стыковых соединений - основной шов | Сварка труб | |||||||
КАРТА 7, лист 7 | ||||||||
N позиции | Тип шва | Толщина металла, мм | Площадь поперечного сечения шва, мм2 | Диаметр трубы, мм | ||||
30 | 75 | 140 | 250 | 251 и более | ||||
Неполное штучное время на 1 мм диаметра, мин. | ||||||||
121 | С52 | 42 | 1022 | - | 1,448 | 1,385 | 1,322 | 1,259 |
122 | 44 | 1106 | - | 1,563 | 1,495 | 1,427 | 1,359 | |
123 | 46 | 1165 | - | 1,643 | 1,572 | 1,500 | 1,429 | |
124 | 48 | 1233 | - | 1,741 | 1,665 | 1,590 | 1,514 | |
125 | 50 | 1328 | - | 1,878 | 1,796 | 1,715 | 1,633 | |
126 | 52 | 1405 | - | 1,992 | 1,905 | 1,819 | 1,732 | |
127 | 54 | 1500 | - | 2,124 | 2,032 | 1,939 | 1,847 | |
128 | 56 | 1581 | - | 2,234 | 2,137 | 2,040 | 1,943 | |
129 | 58 | 1650 | - | 2,337 | 2,235 | 2,134 | 2,032 | |
130 | 60 | 1717 | - | 2,433 | 2,328 | 2,222 | 2,116 | |
131 | С53 ![]() | 16 | 188 | - | 0,268 | 0,256 | 0,245 | 0,233 |
132 | 18 | 232 | - | 0,334 | 0,319 | 0,305 | 0,290 | |
133 | 20 | 284 | - | 0,406 | 0,388 | 0,371 | 0,353 | |
134 | 22 | 366 | - | 0,522 | 0,499 | 0,477 | 0,454 | |
135 | 24 | 430 | - | 0,616 | 0,587 | 0,563 | 0,532 | |
136 | 26 | 480 | - | 0,680 | 0,661 | 0,622 | 0,588 | |
137 | 28 | 528 | - | 0,753 | 0,719 | 0,688 | 0,652 | |
138 | 30 | 553 | - | 0,789 | 0,755 | 0,722 | 0,684 | |
139 | 32 | 620 | - | - | 0,844 | 0,808 | 0,763 | |
140 | 34 | 678 | - | - | 0,925 | 0,885 | 0,837 | |
141 | 36 | 736 | - | - | 1,005 | 0,958 | 0,907 | |
142 | 38 | 797 | - | - | 1,079 | 1,032 | 0,976 | |
Индекс | а | б | в | г | д | |||
Швы стыковых соединений - основной шов | Сварка труб | |||||||
КАРТА 7, лист 8 | ||||||||
N позиции | Тип шва | Толщина металла, мм | Площадь поперечного сечения шва, мм2 | Диаметр трубы, мм | ||||
30 | 75 | 140 | 250 | 251 и более | ||||
Неполное штучное время на 1 мм диаметра, мин. | ||||||||
143 | С53 | 40 | 859 | - | - | 1,161 | 1,112 | 1,052 |
144 | 42 | 931 | - | - | 1,265 | 1,210 | 1,142 | |
145 | 44 | 1008 | - | - | 1,371 | 1,311 | 1,241 | |
146 | 46 | 1063 | - | - | 1,440 | 1,377 | 1,309 | |
147 | 48 | 1120 | - | - | 1,522 | 1,443 | 1,377 | |
148 | 50 | 1209 | - | - | 1,638 | 1,564 | 1,482 | |
149 | 52 | 1279 | - | - | 1,772 | 1,696 | 1,605 | |
150 | 54 | 1366 | - | - | 1,852 | 1,771 | 1,675 | |
151 | 56 | 1438 | - | - | 1,919 | 1,832 | 1,734 | |
152 | 58 | 1501 | - | - | - | 1,945 | 1,841 | |
153 | 60 | 1561 | - | - | - | 2,082 | 1,951 | |
154 | С54 ![]() | 3 | 23,0 | - | - | 0,034 | 0,033 | 0,031 |
155 | 4 | 30,4 | - | 0,046 | 0,044 | 0,041 | ||
156 | 5 | 41,0 | - | - | 0,062 | 0,059 | 0,056 | |
157 | 6 | 49,8 | - | - | 0,073 | 0,070 | 0,066 | |
158 | 8 | 72,6 | - | - | 0,107 | 0,102 | 0,097 | |
159 | 10 | 113,0 | - | - | 0,159 | 0,152 | 0,144 | |
160 | 12 | 147,6 | - | - | 0,206 | 0,197 | 0,186 | |
161 | 14 | 185,9 | - | - | 0,254 | 0,243 | 0,230 | |
162 | 16 | 245,7 | - | - | 0,337 | 0,322 | 0,306 | |
163 | 18 | 295,2 | - | - | 0,403 | 0,386 | 0,366 | |
Индекс | а | б | в | г | д | |||
Швы стыковых соединений - основной шов | Сварка труб | |||||||
КАРТА 7, лист 9 | ||||||||
N позиции | Тип шва | Толщина металла, мм | Площадь поперечного сечения шва, мм2 | Диаметр трубы, мм | ||||
30 | 75 | 140 | 250 | 251 и более | ||||
Неполное штучное время на 1 мм диаметра, мин. | ||||||||
164 | С54 | 20 | 349,4 | - | - | 0,472 | 0,452 | 0,428 |
165 | 22 | 407,0 | - | - | 0,552 | 0,528 | 0,500 | |
166 | 24 | 467,1 | - | - | 0,633 | 0,606 | 0,574 | |
167 | 25 | 505,2 | - | - | 0,690 | 0,660 | 0,624 | |
168 | С55 ![]() | 3 | 25,7 | - | - | 0,038 | 0,036 | 0,034 |
169 | 4 | 34,1 | - | - | 0,053 | 0,051 | 0,048 | |
170 | 5 | 45,5 | - | - | 0,068 | 0,065 | 0,062 | |
171 | 6 | 58,2 | - | - | 0,084 | 0,080 | 0,076 | |
172 | 8 | 84,3 | - | - | 0,121 | 0,116 | 0,110 | |
173 | 10 | 121,4 | - | - | 0,169 | 0,162 | 0,154 | |
174 | 12 | 184,5 | - | - | 0,253 | 0,242 | 0,229 | |
175 | 14 | 230,5 | - | - | 0,318 | 0,304 | 0,288 | |
176 | 16 | 277,6 | - | - | 0,379 | 0,365 | 0,345 | |
177 | 18 | 330,8 | - | - | 0,452 | 0,434 | 0,410 | |
178 | 20 | 390,3 | - | - | 0,531 | 0,507 | 0,480 | |
179 | 22 | 451,5 | - | - | 0,616 | 0,588 | 0,557 | |
180 | 24 | 520,1 | - | - | 0,708 | 0,677 | 0,642 | |
181 | 25 | 549,0 | - | - | 0,750 | 0,718 | 0,678 | |
182 | С56 ![]() | 3 | 14,5 | - | 0,023 | 0,022 | 0,021 | 0,020 |
183 | 4 | 20,8 | - | 0,035 | 0,033 | 0,031 | 0,030 | |
184 | 5 | 27,4 | - | 0,047 | 0,044 | 0,043 | 0,040 | |
Индекс | а | б | в | г | д | |||
Швы стыковых соединений - основной шов | Сварка труб | |||||||
КАРТА 7, лист 10 | ||||||||
N позиции | Тип шва | Толщина металла, мм | Площадь поперечного сечения шва, мм2 | Диаметр трубы, мм | ||||
30 | 75 | 140 | 250 | 251 и более | ||||
Неполное штучное время на 1 мм диаметра, мин. | ||||||||
185 | С56 | 6 | 34,4 | - | 0,056 | 0,053 | 0,051 | 0,048 |
186 | 8 | 65,0 | - | 0,098 | 0,093 | 0,089 | 0,084 | |
187 | 10 | 94,2 | - | 0,137 | 0,131 | 0,126 | 0,119 | |
188 | 12 | 127,6 | - | 0,186 | 0,178 | 0,170 | 0,161 | |
189 | 14 | 164,8 | - | 0,238 | 0,228 | 0,218 | 0,206 | |
190 | 16 | 205,7 | - | 0,298 | 0,284 | 0,272 | 0,257 | |
191 | 18 | 250,2 | - | 0,359 | 0,343 | 0,328 | 0,310 | |
192 | 20 | 298,0 | - | 0,427 | 0,408 | 0,390 | 0,369 | |
193 | 22 | 348,0 | - | 0,497 | 0,474 | 0,453 | 0,429 | |
194 | 24 | 400,3 | - | 0,569 | 0,544 | 0,520 | 0,493 | |
195 | 26 | 441,5 | - | 0,633 | 0,604 | 0,578 | 0,546 | |
196 | 28 | 496,2 | - | 0,707 | 0,676 | 0,646 | 0,612 | |
197 | 30 | 644,2 | - | 0,924 | 0,884 | 0,844 | 0,798 | |
198 | 32 | 698,1 | - | 0,992 | 0,948 | 0,907 | 0,858 | |
199 | 34 | 859,3 | - | 1,218 | 1,167 | 1,115 | 1,055 | |
200 | 36 | 911,0 | - | - | 1,241 | 1,187 | 1,122 | |
201 | 38 | 999,6 | - | - | 1,357 | 1,298 | 1,228 | |
202 | 40 | 1088,1 | - | - | 1,475 | 1,410 | 1,334 | |
Индекс | а | б | в | г | д | |||
Сварка труб | |||||
КАРТА 8, лист 1 | |||||
Тип шва: С7, С12, С15, С21, С25, С39, С43, С54, С56 | |||||
N позиции | Тип шва | Толщина металла S, мм | Диаметр трубы D, мм | ||
140 | 250 | 251 и более | |||
Неполное штучное время на 1 мм толщины стенки и диаметра трубы (tнш), мин. | |||||
1 | С7 ![]() | 5 | 0,015 | 0,014 | 0,013 |
2 | 10 | 0,024 | 0,022 | 0,021 | |
3 | 20 и более | 0,036 | 0,034 | 0,031 | |
4 | С12 ![]() | 5 | 0,018 | 0,017 | 0,016 |
5 | 10 | 0,029 | 0,026 | 0,025 | |
6 | 20 и более | 0,043 | 0,041 | 0,037 | |
7 | С15 ![]() | 5 | 0,021 | 0,019 | 0,018 |
8 | 10 | 0,034 | 0,031 | 0,029 | |
9 | 20 и более | 0,050 | 0,048 | 0,043 | |
10 | С21 ![]() | 5 | 0,018 | 0,017 | 0,016 |
11 | 10 | 0,029 | 0,026 | 0,025 | |
12 | 20 и более | 0,043 | 0,041 | 0,037 | |
13 | С25 ![]() | 5 | 0,025 | 0,024 | 0,022 |
14 | 10 | 0,041 | 0,038 | 0,036 | |
15 | 20 и более | 0,061 | 0,058 | 0,053 | |
Индекс | а | б | в | ||
Швы стыковых соединений с двух сторон | Сварка труб | ||||
КАРТА 8, лист 2 | |||||
N позиции | Тип шва | Толщина металла S, мм | Диаметр трубы D, мм | ||
140 | 250 | 251 и более | |||
Неполное штучное время на 1 мм толщины стенки и диаметра трубы (tнш), мин. | |||||
16 | С39 ![]() | 5 | 0,022 | 0,021 | 0,019 |
17 | 10 | 0,036 | 0,033 | 0,031 | |
18 | 20 и более | 0,054 | 0,051 | 0,046 | |
19 | С43 ![]() | 5 | 0,019 | 0,018 | 0,017 |
20 | 10 | 0,031 | 0,029 | 0,027 | |
21 | 20 и более | 0,047 | 0,044 | 0,040 | |
22 | С54 ![]() | 5 | 0,016 | 0,015 | 0,014 |
23 | 10 | 0,026 | 0,024 | 0,023 | |
24 | 20 и более | 0,039 | 0,037 | 0,034 | |
25 | С56 ![]() | 5 | 0,021 | 0,019 | 0,018 |
26 | 10 | 0,029 | 0,026 | 0,025 | |
27 | 20 и более | 0,050 | 0,048 | 0,043 | |
Индекс | а | б | в | ||
Сварка труб | ||||||||
КАРТА 9 | ||||||||
Тип шва: Н1, Н3, Н4 | ||||||||
N позиции | Тип шва | Катет шва, мм | Площадь поперечного сечения шва, мм2 | Диаметр трубы, мм | ||||
30 | 75 | 140 | 250 | 251 и более | ||||
Неполное штучное время на 1 мм диаметра, мин. | ||||||||
1 | Н1 ![]() | 1 | 1,4 | 0,008 | 0,007 | 0,006 | - | - |
2 | 2 | 4,2 | 0,013 | 0,012 | 0,011 | - | - | |
3 | 3 | 7,8 | 0,017 | 0,016 | 0,015 | 0,014 | - | |
4 | 4 | 12,1 | 0,024 | 0,023 | 0,022 | 0,021 | 0,020 | |
5 | 5 | 17,1 | 0,027 | 0,026 | 0,025 | 0,024 | 0,023 | |
6 | 6 | 30,9 | 0,053 | 0,051 | 0,049 | 0,046 | 0,044 | |
7 | Н3 ![]() | 7 | 40,7 | 0,066 | 0,064 | 0,058 | 0,055 | |
8 | 8 | 51,8 | 0,081 | 0,078 | 0,075 | 0,071 | 0,067 | |
9 | 9 | 64,0 | 0,098 | 0,094 | 0,090 | 0,086 | 0,081 | |
10 | 10 | 77,4 | 0,122 | 0,116 | 0,111 | 0,106 | 0,100 | |
11 | 11 | 92,4 | 0,141 | 0,135 | 0,130 | 0,124 | 0,117 | |
12 | 12 | 107,4 | - | 0,159 | 0,154 | 0,146 | 0,138 | |
13 | Н4 ![]() | 13 | 124,6 | - | 0,182 | 0,174 | 0,161 | 0,157 |
14 | 14 | 141,8 | - | 0,205 | 0,196 | 0,187 | 0,177 | |
15 | 15 | 160,4 | - | 0,233 | 0,225 | 0,214 | 0,202 | |
16 | 16 | 180,2 | - | 0,259 | 0,248 | 0,236 | 0,224 | |
17 | 17 | 201,5 | - | 0,292 | 0,278 | 0,266 | 0,252 | |
18 | 18 | 222,8 | - | 0,320 | 0,305 | 0,292 | 0,276 | |
19 | 19 | 246,0 | - | 0,354 | 0,338 | 0,323 | 0,306 | |
20 | 20 | 269,0 | - | 0,384 | 0,367 | 0,351 | 0,332 | |
21 | 21 | 293,6 | - | - | 0,400 | 0,382 | 0,362 | |
22 | 22 | 318,3 | - | - | 0,429 | 0,412 | 0,389 | |
23 | 23 | 341,2 | - | - | 0,466 | 0,446 | 0,412 | |
24 | 24 | 364,0 | - | - | 0,502 | 0,480 | 0,454 | |
25 | 25 | 392,7 | - | - | 0,535 | 0,512 | 0,485 | |
26 | 26 | 420,2 | - | - | - | 0,530 | 0,503 | |
27 | 27 | 450,3 | - | - | - | 0,582 | 0,550 | |
28 | 28 | 480,1 | - | - | - | 0,624 | 0,590 | |
29 | 29 | 512,4 | - | - | - | 0,668 | 0,632 | |
30 | 30 | 545,4 | - | - | - | 0,708 | 0,670 | |
Индекс | а | б | в | г | д | |||
Сварка труб | ||||||||
КАРТА 10 | ||||||||
Тип шва: У5, У7, У15, У16, У17 | ||||||||
N позиции | Тип шва | Катет шва, мм | Площадь поперечного сечения шва, мм2 | Диаметр трубы, мм | ||||
30 | 75 | 140 | 250 | 251 и более | ||||
Неполное штучное время на 1 мм диаметра, мин. | ||||||||
1 | У5 ![]() | 1 | 1,7 | 0,010 | 0,009 | 0,008 | - | - |
2 | 2 | 5,1 | 0,015 | 0,014 | 0,013 | - | - | |
3 | 3 | 9,4 | 0,021 | 0,020 | 0,019 | 0,018 | - | |
4 | У7 ![]() | 4 | 14,5 | 0,027 | 0,026 | 0,025 | 0,024 | 0,022 |
5 | У15 ![]() | 5 | 20,5 | 0,036 | 0,035 | 0,033 | 0,032 | 0,030 |
6 | 6 | 37,0 | 0,069 | 0,066 | 0,064 | 0,061 | 0,058 | |
7 | У16 ![]() | 7 | 48,7 | 0,086 | 0,083 | 0,079 | 0,075 | 0,072 |
8 | 8 | 62,3 | 0,106 | 0,102 | 0,098 | 0,094 | 0,089 | |
9 | 9 | 76,7 | - | 0,129 | 0,123 | 0,118 | 0,112 | |
10 | У17 ![]() | 11 | 92,8 | - | 0,152 | 0,145 | 0,139 | 0,132 |
11 | 12 | 129,4 | - | 0,209 | 0,200 | 0,191 | 0,182 | |
12 | 14 | 169,8 | - | 0,295 | 0,283 | 0,270 | 0,256 | |
13 | 16 | 216,3 | - | 0,347 | 0,333 | 0,317 | 0,309 | |
14 | 18 | 273,5 | - | - | 0,422 | 0,403 | 0,382 | |
15 | 20 | 323,6 | - | - | 0,498 | 0,486 | 0,453 | |
16 | 22 | 382,1 | - | - | 0,582 | 0,554 | 0,526 | |
17 | 24 | 437,9 | - | - | 0,669 | 0,637 | 0,606 | |
18 | 26 | 504,7 | - | - | 0,767 | 0,732 | 0,695 | |
19 | 28 | 576,5 | - | - | 0,861 | 0,822 | 0,780 | |
20 | 30 | 654,1 | - | - | 0,998 | 0,948 | 0,900 | |
Индекс | а | б | в | г | д | |||
Сварка труб | ||||||||
КАРТА 11, лист 1 | ||||||||
Тип шва: У18, У19, У20, У21 | ||||||||
N позиции | Тип шва | Толщина металла, мм | Площадь поперечного сечения шва, мм2 | Диаметр трубы, мм | ||||
30 | 75 | 140 | 250 | 251 и более | ||||
Неполное штучное время на 1 мм диаметра, мин. | ||||||||
1 | У18 ![]() | 2 | 14,6 | 0,027 | 0,026 | 0,025 | - | - |
2 | 3 | 21,3 | 0,037 | 0,035 | 0,034 | 0,032 | - | |
3 | 4 | 29,2 | 0,059 | 0,057 | 0,054 | 0,052 | - | |
4 | 6 | 59,4 | 0,104 | 0,098 | 0,094 | 0,090 | 0,085 | |
5 | 8 | 101,1 | 0,172 | 0,164 | 0,158 | 0,151 | 0,143 | |
6 | 10 | 183,2 | 0,304 | 0,295 | 0,282 | 0,270 | 0,256 | |
7 | 12 | 231,3 | 0,388 | 0,372 | 0,356 | 0,340 | 0,322 | |
8 | 14 | 309,6 | - | 0,504 | 0,484 | 0,462 | 0,438 | |
9 | 16 | 398,6 | - | 0,634 | 0,606 | 0,578 | 0,550 | |
10 | 18 | 498,2 | - | 0,805 | 0,782 | 0,736 | 0,697 | |
11 | 20 | 608,1 | - | 0,970 | 0,928 | 0,886 | 0,842 | |
12 | У19 ![]() | 4 | 44,3 | 0,084 | 0,080 | 0,077 | 0,073 | 0,070 |
13 | 5 | 58,3 | 0,104 | 0,098 | 0,094 | 0,090 | 0,085 | |
14 | 6 | 91,4 | 0,161 | 0,154 | 0,147 | 0,141 | 0,134 | |
15 | 8 | 179,6 | 0,306 | 0,293 | 0,280 | 0.268 | 0,254 | |
16 | 10 | 254,5 | 0,394 | 0,376 | 0,360 | 0,344 | 0,326 | |
17 | 12 | 338,4 | 0,560 | 0,538 | 0,515 | 0,493 | 0,466 | |
18 | 14 | 430,6 | - | 0,694 | 0,664 | 0,634 | 0,602 | |
19 | 16 | 530,5 | - | 0,841 | 0,806 | 0,768 | 0,730 | |
Индекс | а | б | в | г | д | |||
Швы угловых соединений - основное измерение "Толщина металла" | Сварка труб | |||||||
КАРТА 11, лист 2 | ||||||||
N позиции | Тип шва | Толщина металла, мм | Площадь поперечного сечения шва, мм2 | Диаметр трубы, мм | ||||
30 | 75 | 140 | 250 | 251 и более | ||||
Неполное штучное время на 1 мм диаметра, мин. | ||||||||
20 | У19 | 18 | 637,8 | - | 1,021 | 0,968 | 0,924 | 0,876 |
21 | 20 | 751,9 | - | 1,192 | 1,142 | 1,089 | 1,035 | |
22 | 22 | 872,6 | - | 1,385 | 1,322 | 1,260 | 1,200 | |
23 | 24 | 996,3 | - | 1,582 | 1,515 | 1,447 | 1,375 | |
24 | 25 | 1053,8 | - | 1,672 | 1,602 | 1,532 | 1,451 | |
25 | У20 ![]() | 4 | 67,2 | 0,115 | 0,110 | 0,106 | 0,101 | 0,096 |
26 | 5 | 77,4 | 0,139 | 0,134 | 0,128 | 0,122 | 0,116 | |
27 | 6 | 119,3 | 0,208 | 0,200 | 0,192 | 0,183 | 0,174 | |
28 | 8 | 203,9 | 0,344 | 0,330 | 0,316 | 0,302 | 0,287 | |
29 | 10 | 321,5 | 0,528 | 0,507 | 0,486 | 0,464 | 0,440 | |
30 | 12 | 401,9 | 0,664 | 0,636 | 0,608 | 0,582 | 0,552 | |
31 | 14 | 482,6 | - | 0,756 | 0,725 | 0,690 | 0,656 | |
32 | 16 | 569,3 | - | 0,905 | 0,866 | 0,827 | 0,785 | |
33 | 18 | 671,8 | - | 1,020 | 0,980 | 0,935 | 0,888 | |
34 | 20 | 798,6 | - | 1,230 | 1,162 | 1,110 | 1,053 | |
35 | 22 | 912,6 | - | 1,446 | 1,382 | 1,320 | 1,252 | |
36 | У21 ![]() | 4 | 68,6 | 0,130 | 0,125 | 0,119 | 0,114 | 0,108 |
37 | 5 | 78,8 | 0,142 | 0,137 | 0,131 | 0,125 | 0,118 | |
38 | 6 | 119,3 | 0,211 | 0,203 | 0,194 | 0,185 | 0,176 | |
39 | 8 | 203,9 | 0,343 | 0,329 | 0,315 | 0,301 | 0,285 | |
40 | 10 | 324,7 | 0,537 | 0,516 | 0,494 | 0,472 | 0,448 | |
41 | 12 | 431,6 | 0,719 | 0,690 | 0,660 | 0,630 | 0,598 | |
42 | 14 | 549,1 | - | 0,874 | 0,835 | 0,795 | 0,756 | |
43 | 16 | 676,3 | - | 1,072 | 1,028 | 0,983 | 0,932 | |
44 | 18 | 812,8 | - | 1,287 | 1,230 | 1,175 | 1,118 | |
45 | 20 | 958,1 | - | 1,568 | 1,468 | 1,400 | 1,330 | |
Индекс | а | б | в | г | д | |||
Сварка труб | ||||||
КАРТА 12, лист 1 | ||||||
N позиции | Тип шва | Диаметр трубы D, мм | ||||
30 | 75 | 140 | 250 | 251 и более | ||
Неполное штучное время на 1 мм толщины стенки и диаметра трубы (tнш), мин. | ||||||
1 | ![]() | 0,018 | 0,017 | 0,016 | 0,015 | 0,014 |
2 | ![]() | 0,045 | 0,043 | 0,042 | 0,040 | 0,038 |
3 | ![]() | 0,027 | 0,026 | 0,025 | 0,024 | 0,023 |
4 | ![]() | 0,036 | 0,035 | 0,033 | 0,032 | 0,031 |
Индекс | а | б | в | г | д | |
Швы тавровых соединений (приварка труб к плоской поверхности) | Сварка труб | |||||
КАРТА 12, лист 2 | ||||||
N позиции | Тип шва | Диаметр трубы D, мм | ||||
30 | 75 | 140 | 250 | 251 и более | ||
Неполное штучное время на 1 мм толщины стенки и диаметра трубы (tнш), мин. | ||||||
5 | ![]() | 0,055 | 0,052 | 0,050 | 0,048 | 0,046 |
6 | ![]() | 0,055 | 0,052 | 0,050 | 0,048 | 0,046 |
7 | ![]() | 0,071 | 0,068 | 0,066 | 0,063 | 0,060 |
Индекс | а | б | в | г | д | |
КАРТА 13 | |||||
N позиции | Тип шва | Диаметр профиля, мм | |||
30 | 75 | 140 | 141 и более | ||
Неполное штучное время на 1 мм диаметра профиля, мин. | |||||
1 | ![]() | 0,10 | 0,09 | 0,08 | 0,07 |
2 | ![]() | 0,52 | 0,48 | 0,44 | 0,40 |
3 | ![]() | 0,78 | 0,72 | 0,66 | 0,60 |
4 | ![]() | 1,56 | 1,44 | 1,32 | 1,20 |
5 | ![]() | 0,58 | 0,54 | 0,50 | 0,45 |
6 | ![]() | 0,11 | 0,10 | 0,09 | 0,08 |
7 | ![]() | 0,39 | 0,36 | 0,33 | 0,30 |
8 | ![]() | 1,17 | 1,08 | 0,99 | 0,90 |
Индекс | а | б | в | г | |
(18)КАРТА 14 | ||||||
N позиции | Наименование изделия | Тип шва | Вид кромки | Площадь поперечного сечения шва, мм2 | Неполное штучное время, мин. | |
на 1 м шва | на 1 мм диаметра трубы | |||||
1 | Изделия из листового или профильного проката | Стыковой | Без разделки | 15 | 6,1 | - |
2 | С разделкой | 20 | 7,9 | - | ||
3 | Тавровый, угловой | Без разделки | 25 | 9,8 | - | |
4 | С разделкой | 30 | 11,8 | - | ||
5 | Изделия из труб | Стыковой | Без разделки | 18 | - | 0,024 |
6 | С разделкой | 24 | - | 0,031 | ||
7 | Угловой | Без разделки | 30 | - | 0,039 | |
8 | С разделкой | 36 | - | 0,045 | ||
Индекс | а | б | ||||
КАРТА 15 | |||||
N позиции | Наименование изделия | Тип шва | Площадь поперечного сечения, мм2 | Неполное штучное время, мин. | |
на 1 м шва | на 1 мм диаметра трубы | ||||
1 | Изделия из листового или профильного проката | Стыковой, нахлесточный | 25 | 9,8 | - |
2 | Тавровый, угловой | 36 | 13,8 | - | |
3 | Изделия из труб | Стыковой, нахлесточный | 30 | - | 0,0344 |
4 | Угловой | 43 | - | 0,0533 | |
Индекс | а | б | |||
КАРТА 16 | ||||||
N позиции | Наименование изделий | Тип шва | Вид разделки кромки | |||
без скоса | со скосом | |||||
Количество проходов, шт. | ||||||
1 | 2 и более | 1 | 2 и более | |||
Время на 1 м шва за один проход, мин. | ||||||
1 | Изделия из листового или профильного проката | Стыковой | 0,20 | 0,36 | 0,22 | 0,40 |
2 | Тавровый | 0,22 | 0,41 | 0,24 | 0,44 | |
3 | Угловой | 0,24 | 0,44 | 0,26 | 0,48 | |
4 | Нахлесточный | 0,21 | 0,39 | 0,29 | 0,42 | |
5 | Изделия из труб | Стыковой | 0,30 | 0,54 | 0,33 | 0,60 |
6 | Угловой | 0,36 | 0,66 | 0,39 | 0,72 | |
7 | Нахлесточный | 0,31 | 0,58 | 0,44 | 0,63 | |
Индекс | а | б | в | г | ||
КАРТА 17 | ||
N позиции | Наименование изделий | Время на 1 м шва за один проход, мин. |
1 | Изделия из листового или профильного проката | 0,132 |
Индекс | а | |
КАРТА 18 | ||||||
N позиции | Наименование изделий | Тип шва | Вид разделки кромки | |||
без скоса | со скосом | |||||
Количество проходов, шт. | ||||||
1 | 2 и более | 1 | 2 и более | |||
Время на 1 м шва за один проход, мин. | ||||||
1 | Изделия из листового или профильного проката | Стыковой | 0,16 | 0,24 | 0,18 | 0,26 |
2 | Тавровый | 0,18 | 0,27 | 0,19 | 0,29 | |
3 | Угловой | 0,19 | 0,28 | 0,22 | 0,31 | |
4 | Нахлесточный | 0,17 | 0,25 | 0,13 | 0,28 | |
5 | Изделия из труб | Стыковой | 0,24 | 0,36 | 0,27 | 0,39 |
6 | Угловой | 0,29 | 0,42 | 0,33 | 0,46 | |
7 | Нахлесточный | 0,26 | 0,37 | 0,20 | 0,42 | |
Индекс | а | б | в | г | ||
КАРТА 19 | |||||
N позиции | Наименование изделий | Тип шва | |||
стыковой | тавровый | угловой | нахлесточный | ||
Время на 1 м шва, мин. | |||||
1 | Изделия из листового или профильного проката | 0,20 | 0,30 | 0,25 | 0,22 |
2 | Изделия из труб | 0,30 | - | 0,37 | 0,33 |
Индекс | а | б | в | г | |
КАРТА 20, лист 1 | |||||||||
N позиции | Вид обрабатываемой поверхности кромок | Толщина зачищаемой кромки, мм | |||||||
число десятков | единицы | ||||||||
0 | 1 | 2 | 3 | 4 | 6 | 8 | |||
Время на 1 м кромки, мин. | |||||||||
1 | После тепловой машинной резки | 0 | - | 0,54 | 0,60 | 0,66 | 0,72 | 0,78 | 0,84 |
2 | 1 | 0,96 | 1,02 | 1,08 | 1,14 | 1,20 | 1,26 | 1,32 | |
3 | 2 | 1,38 | 1,44 | 1,50 | 1,56 | 1,62 | 1,68 | 1,80 | |
4 | 3 | 1,86 | 1,92 | 1,98 | 2,04 | 2,10 | 2,16 | 2,22 | |
5 | 4 | 2,28 | 2,34 | 2,40 | 2,46 | 2,52 | 2,58 | 2,70 | |
6 | 5 | 2,76 | 2,82 | 2,88 | 2,94 | 3,00 | 3,06 | 3,12 | |
7 | 6 | 3,24 | 3,30 | 3,36 | 3,42 | 3,48 | 3,54 | 3,60 | |
8 | 7 | 3,66 | 3,72 | 3,78 | 3,84 | 3,90 | 3,96 | 4,02 | |
9 | 8 | 4,14 | 4,20 | 4,26 | 4,32 | 4,38 | 4,44 | 4,50 | |
10 | 9 | 4,56 | 4,62 | 4,68 | 4,74 | 4,80 | 4,92 | 4,98 | |
11 | 10 | 5,04 | 5,10 | 5,16 | 5,22 | 5,28 | 5,34 | 5,40 | |
12 | 11 | 5,52 | 5,58 | 5,64 | 5,70 | 5,76 | 5,82 | 5,88 | |
13 | 12 | 5,94 | 6,00 | 6,06 | 6,12 | 6,18 | 6,24 | 6,30 | |
14 | 13 | 6,42 | 6,48 | 6,54 | 6,60 | 6,66 | 6,72 | 6,78 | |
15 | 14 | 6,84 | 6,90 | 6,96 | 7,02 | 7,08 | 7,14 | 7,20 | |
16 | 15 | 7,32 | 7,38 | 7,44 | 7,50 | 7,56 | 7,62 | 7,68 | |
17 | 16 | 7,74 | 7,80 | 7,86 | 7,92 | 7,98 | 8,04 | 8,10 | |
Индекс | а | б | в | г | д | е | ж | ||
Зачистка кромок изделий из листового или профильного проката перед сваркой от налета ржавчины и окисной пленки | КАРТА 20, лист 2 | ||||||||
N позиции | Вид обрабатываемой поверхности кромок | Толщина зачищаемой кромки, мм | |||||||
число десятков | единицы | ||||||||
0 | 1 | 2 | 3 | 4 | 6 | 8 | |||
Время на 1 м кромки, мин. | |||||||||
18 | После тепловой машинной резки | 17 | 8,22 | 8,28 | 8,34 | 8,40 | 8,46 | 8,52 | - |
19 | После тепловой ручной резки | 0 | - | 0,65 | 0,72 | 0,79 | 0,86 | 0,94 | 1,01 |
20 | 1 | 1,15 | 1,22 | 1,29 | 1,37 | 1,44 | 1,51 | 1,58 | |
21 | 2 | 1,65 | 1,73 | 1,80 | 1,87 | 1,94 | 2,01 | 2,16 | |
22 | 3 | 2,23 | 2,30 | 2,37 | 2,45 | 2,52 | 2,59 | 2,66 | |
23 | 4 | 2,74 | 2,81 | 2,88 | 2,95 | 3,02 | 3,09 | 3,24 | |
24 | 5 | 3,31 | 3,38 | 3,45 | 3,53 | 3,60 | 3,67 | 3,74 | |
25 | 6 | 3,89 | 3,96 | 4,03 | 4,10 | 4,17 | 4,25 | 4,32 | |
26 | 7 | 4,39 | 4,46 | 4,53 | 4,61 | 4,68 | 4,75 | 4,82 | |
27 | 8 | 4,96 | 5,04 | 5,11 | 5,18 | 5,25 | 5,33 | 5,40 | |
28 | 9 | 5,47 | 5,54 | 5,61 | 5,69 | 5,76 | 5,90 | 5,97 | |
29 | 10 | 6,05 | 6,12 | 6,19 | 6,26 | 6,33 | 6,41 | 6,48 | |
30 | 11 | 6,62 | 6,70 | 6,77 | 6,84 | 6,91 | 6,98 | 7,05 | |
31 | 12 | 7,13 | 7,20 | 7,27 | 7,34 | 7,42 | 7,49 | 7,56 | |
32 | 13 | 7,70 | 7,77 | 7,85 | 7,92 | 7,99 | 8,06 | 8,14 | |
33 | 14 | 8,21 | 8,28 | 8,35 | 8,42 | 8,49 | 8,57 | 8,64 | |
34 | 15 | 8,78 | 8,85 | 8,93 | 9,00 | 9,07 | 9,14 | 9,22 | |
35 | 16 | 9,29 | 9,36 | 9,43 | 9,50 | 9,57 | 9,65 | 9,72 | |
36 | 17 | 9,86 | 9,94 | 10,01 | 10,10 | 10,15 | 10,22 | - | |
Индекс | а | б | в | г | д | е | ж | ||
Зачистка кромок изделий из листового или профильного проката перед сваркой от налета ржавчины и окисной пленки | КАРТА 20, лист 3 | ||||||||
N позиции | Вид обрабатываемой поверхности кромок | Толщина зачищаемой кромки, мм | |||||||
число десятков | единицы | ||||||||
0 | 1 | 2 | 3 | 4 | 6 | 8 | |||
Время на 1 м кромки, мин. | |||||||||
37 | После механической обработки | 0 | - | 0,35 | 0,39 | 0,43 | 0,47 | 0,50 | 0,54 |
38 | 1 | 0,62 | 0,66 | 0,70 | 0,74 | 0,78 | 0,82 | 0,86 | |
39 | 2 | 0,89 | 0,93 | 0,97 | 1,01 | 1,05 | 1,09 | 1,16 | |
40 | 3 | 1,20 | 1,24 | 1,28 | 1,32 | 1,36 | 1,40 | 1,44 | |
41 | 4 | 1,48 | 1,51 | 1,56 | 1,59 | 1,63 | 1,67 | 1,75 | |
42 | Прокат | 0 | - | 0,22 | 0,24 | 0,27 | 0,29 | 0,32 | 0,34 |
43 | 1 | 0,39 | 0,41 | 0,44 | 0,46 | 0,49 | 0,51 | 0,54 | |
44 | 2 | 0,56 | 0,58 | 0,61 | 0,64 | 0,66 | 0,68 | 0,73 | |
45 | 3 | 0,76 | 0,78 | 0,81 | 0,83 | 0,86 | 0,88 | 0,90 | |
46 | 4 | 0,93 | 0,95 | 0,98 | 1,00 | 1,03 | 1,05 | 1,10 | |
47 | 5 | 1,12 | 1,14 | 1,17 | 1,19 | 1,22 | 1,24 | 1,27 | |
48 | 6 | 1,31 | 1,34 | 1,36 | 1,39 | 1,41 | 1,44 | 1,46 | |
49 | 7 | 1,48 | 1,51 | 1,53 | 1,56 | 1,58 | 1,61 | 1,63 | |
50 | 8 | 1,68 | 1,71 | 1,73 | 1,75 | 1,78 | 1,80 | 1,83 | |
51 | 9 | 1,85 | 1,87 | 1,90 | 1,92 | 1,95 | 1,99 | 2,02 | |
52 | 10 | 2,04 | 2,07 | 2,09 | 2,12 | 2,14 | 2,17 | 2,19 | |
53 | 11 | 2,24 | 2,26 | 2,29 | 2,31 | 2,34 | 2,36 | 2,39 | |
54 | 12 | 2,41 | 2,44 | 2,46 | 2,48 | 2,51 | 2,53 | 2,55 | |
55 | 13 | 2,61 | 2,63 | 2,66 | 2,68 | 2,70 | 2,73 | 2,75 | |
56 | 14 | 2,78 | 2,80 | 2,83 | 2,85 | 2,87 | 2,90 | 2,92 | |
57 | 15 | 2,97 | 2,99 | 3,02 | 3,04 | 3,07 | 3,09 | 3,12 | |
58 | 16 | 3,14 | 3,17 | 3,19 | 3,22 | 3,24 | 3,26 | 3,29 | |
59 | 17 | 3,34 | 3,36 | 3,39 | 3,41 | 3,44 | 3,46 | - | |
Индекс | а | б | в | г | д | е | ж | ||
КАРТА 21, лист 1 | |||||||
N позиции | Вид обрабатываемой поверхности кромок | Толщина зачищаемой кромки, мм | Диаметр трубы, мм | ||||
30 | 75 | 140 | 250 | 251 и более | |||
Время на 1 мм диаметра трубы, мин. | |||||||
1 | После тепловой машинной резки | 2 | 0,0025 | 0,0024 | 0,0023 | 0,0022 | 0,0021 |
2 | 4 | 0,0030 | 0,0029 | 0,0028 | 0,0026 | 0,0025 | |
3 | 6 | 0,0033 | 0,0031 | 0,0030 | 0,0028 | 0,0027 | |
4 | 8 | 0,0035 | 0,0034 | 0,0032 | 0,0031 | 0,0029 | |
5 | 10 | 0,0040 | 0,0039 | 0,0037 | 0,0035 | 0,0034 | |
6 | 14 | 0,0051 | 0,0048 | 0,0046 | 0,0044 | 0,0042 | |
7 | 18 | 0,0054 | 0,0052 | 0,0050 | 0,0048 | 0,0046 | |
8 | 22 | 0,0063 | 0,0061 | 0,0058 | 0,0055 | 0,0053 | |
9 | 26 | 0,0071 | 0,0068 | 0,0065 | 0,0061 | 0,0059 | |
10 | 30 | 0,0078 | 0,0075 | 0,0072 | 0,0068 | 0,0065 | |
11 | 34 | 0,0088. | 0,0084 | 0,0081 | 0,0077 | 0,0074 | |
12 | 36 | 0,0091 | 0,0087 | 0,0083 | 0,0079 | 0,0076 | |
13 | 38 | 0,0093 | 0,0089 | 0,0086 | 0,0082 | 0,0078 | |
14 | 40 | 0,0096 | 0,0092 | 0,0088 | 0,0084 | 0,0080 | |
15 | 44 | 0,0106 | 0,0102 | 0,0097 | 0,0093 | 0,0088 | |
16 | 50 | 0,0116 | 0,0111 | 0,0106 | 0,0102 | 0,0097 | |
17 | 54 | 0,0126 | 0,0121 | 0,0116 | 0,0110 | 0,0105 | |
18 | 60 | 0,0136 | 0,0131 | 0,0125 | 0,0119 | 0,0113 | |
19 | После тепловой ручной резки | 2 | 0,0030 | 0,0028 | 0,0027 | 0,0025 | |
20 | 4 | 0,0036 | 0,0035 | 0,0033 | 0,0031 | 0,0030 | |
21 | 6 | 0,0039 | 0,0037 | 0,0036 | 0,0033 | 0,0032 | |
Индекс | а | б | в | г | д | ||
Зачистка кромок изделий из труб перед сваркой от налета ржавчины и окисной пленки | КАРТА 21, лист 2 | ||||||
N позиции | Вид обрабатываемой поверхности кромок | Толщина зачищаемой кромки, мм | Диаметр трубы, мм | ||||
30 | 75 | 140 | 250 | 251 и более | |||
Время на 1 мм диаметра трубы, мин. | |||||||
22 | После тепловой ручной резки | 8 | 0,0042 | 0,0041 | 0,0038 | 0,0037 | 0,0035 |
23 | 10 | 0,0048 | 0,0046 | 0,0044 | 0,0042 | 0,0041 | |
24 | 14 | 0,0061 | 0,0057 | 0,0055 | 0,0053 | 0,0050 | |
25 | 18 | 0,0065 | 0,0062 | 0,0060 | 0,0057 | 0,0055 | |
26 | 22 | 0,0076 | 0,0073 | 0,0069 | 0,0066 | 0,0064 | |
27 | 26 | 0,0085 | 0,0081 | 0,0078 | 0,0074 | 0,0071 | |
28 | 30 | 0,0093 | 0,0090 | 0,0086 | 0,0081 | 0,0078 | |
29 | 34 | 0,0106 | 0,0101 | 0,0097 | 0,0092 | 0,0088 | |
30 | 36 | 0,0109 | 0,0104 | 0,0099 | 0,0095 | 0,0091 | |
31 | 38 | 0,0112 | 0,0107 | 0,0103 | 0,0098 | 0,0094 | |
32 | 40 | 0,0115 | 0,0110 | 0,106 | 0,0101 | 0,0096 | |
33 | 44 | 0,0127 | 0,0122 | 0,0116 | 0,0112 | 0,0105 | |
34 | 50 | 0,0139 | 0,0133 | 0,0127 | 0,0122 | 0,0116 | |
35 | 54 | 0,0151 | 0,0145 | 0,0139 | 0,0132 | 0,0126 | |
36 | 60 | 0,0163 | 0,0157 | 0,0150 | 0.0143 | 0,0135 | |
37 | Прокат | 2 | 0,0011 | 0,0010 | 0,0009 | 0,0008 | 0,0007 |
38 | 4 | 0,0013 | 0,0012 | 0,0011 | 0,0010 | 0,0009 | |
39 | 6 | 0,0014 | 0,0013 | 0,0012 | 0,0011 | 0,0010 | |
40 | 8 | 0,0015 | 0,0014 | 0,0013 | 0,0012 | 0,0011 | |
41 | 10 | 0,0017 | 0,0016 | 0,0015 | 0,0014 | 0,0013 | |
42 | 14 | 0,0020 | 0,0019 | 0,0018 | 0,0017 | 0,0016 | |
Индекс | а | б | в | г | д | ||
Зачистка кромок изделий из труб перед сваркой от налета ржавчины и окисной пленки | КАРТА 21, лист 3 | ||||||
N позиции | Вид обрабатываемой поверхности кромок | Толщина зачищаемой кромки, мм | Диаметр трубы, мм | ||||
30 | 75 | 140 | 250 | 251 и более | |||
Время на 1 мм диаметра трубы, мин. | |||||||
43 | Прокат | 18 | 0,0022 | 0,0021 | 0,0020 | 0,0019 | 0,0018 |
44 | 22 | 0,0025 | 0,0024 | 0,0023 | 0,0022 | 0,0021 | |
45 | 26 | 0,0028 | 0,0027 | 0,0026 | 0,0024 | 0,0023 | |
46 | 30 | 0,0031 | 0,0030 | 0,0028 | 0,0027 | 0,0025 | |
47 | 34 | 0,0035 | 0,0033 | 0,0032 | 0,0030 | 0,0029 | |
48 | 36 | 0,0037 | 0,0035 | 0,0033 | 0,0031 | 0,0030 | |
49 | 38 | 0,0038 | 0,0036 | 0,0034 | 0,0032 | 0,0031 | |
50 | 40 | 0,0039 | 0,0037 | 0,0035 | 0,0033 | 0,0032 | |
51 | 44 | 0,0042 | 0,0041 | 0,0038 | 0,0037 | 0,0035 | |
52 | 50 | 0,0046 | 0,0044 | 0,0042 | 0,0041 | 0,0038 | |
53 | 54 | 0,0050 | 0,0048 | 0,0046 | 0,0044 | 0,0042 | |
54 | 60 | 0,0054 | 0,0052 | 0,0050 | 0,0047 | 0,0045 | |
55 | После механической обработки | 2 | 0,0017 | 0,0016 | 0,0015 | 0,0014 | 0,0013 |
56 | 4 | 0,0020 | 0,0019 | 0,0018 | 0,0016 | 0,0014 | |
57 | 6 | 0,0021 | 0,0020 | 0,0019 | 0,0018 | 0,0017 | |
58 | 8 | 0,0023 | 0,0022 | 0,0021 | 0,0020 | 0,0018 | |
59 | 10 | 0,0026 | 0,0025 | 0,0024 | 0,0023 | 0,0022 | |
60 | 14 | 0,0033 | 0,0031 | 0,0030 | 0,0028 | 0,0027 | |
61 | 18 | 0,0035 | 0,0033 | 0,0032 | 0,0031 | 0,0029 | |
62 | 22 | 0,0040 | 0,0039 | 0,0037 | 0,0036 | 0,0034 | |
63 | 26 | 0,0046 | 0,0044 | 0,0042 | 0,0040 | 0,0038 | |
Индекс | а | б | в | г | д | ||
Зачистка кромок изделий из труб перед сваркой от налета ржавчины и окисной пленки | КАРТА 21, лист 4 | ||||||
N позиции | Вид обрабатываемой поверхности кромок | Толщина зачищаемой кромки, мм | Диаметр трубы, мм | ||||
30 | 75 | 140 | 250 | 251 и более | |||
Время на 1 мм диаметра трубы, мин. | |||||||
64 | После механической обработки | 30 | 0,0050 | 0,0048 | 0,0046 | 0,0044 | 0,0042 |
65 | 34 | 0,0057 | 0,0054 | 0,0052 | 0,0049 | 0,0048 | |
66 | 44 | 0,0061 | 0,0056 | 0,0053 | 0,0051 | 0,0049 | |
67 | 50 | 0,0063 | 0,0058 | 0,0055 | 0,0053 | 0,0050 | |
Индекс | а | б | в | г | д | ||
КАРТА 22 | ||||||
N позиции | Тип шва | Толщина металла, мм | ||||
5 | 20 | 40 | 175 | |||
Время на 1 м шва, мин. | ||||||
1 | Стыковой или нахлесточный | 0,96 | 1,12 | 1,28 | ||
2 | Тавровый или угловой | 0,96 | 1,15 | 1,34 | 1,54 | |
Индекс | а | б | в | г | ||
КАРТА 23 | ||||||
N позиции | Тип шва | Диаметр трубы, мм | Толщина металла, мм | |||
5 | 10 | 20 | 60 | |||
Время на 1 мм диаметра трубы, мин. | ||||||
1 | Стыковой или нахлесточный | 30 | 0,0040 | 0,0048 | - | - |
2 | 31 - 75 | 0,0038 | 0,0045 | 0,0053 | - | |
3 | 76 - 140 | 0,0036 | 0,0050 | 0,0057 | ||
4 | 141 - 250 | 0,0035 | 0,0042 | 0,0049 | 0,0056 | |
5 | 251 и более | 0,0033 | 0,0039 | 0,0046 | 0,0053 | |
6 | Угловой | 30 | 0,0048 | 0,0057 | - | - |
7 | 31 - 75 | 0,0045 | 0,0054 | 0,0063 | - | |
8 | 76 - 140 | 0,0043 | 0,0051 | 0,0060 | 0,0069 | |
9 | 141 - 250 | 0,0042 | 0,0050 | 0,0059 | 0,0067 | |
10 | 251 и более | 0,0039 | 0,0047 | 0,0055 | 0,0062 | |
Индекс | а | б | в | г | ||
КАРТА 24 | |||
N позиции | Тип шва | Наименование профиля | |
листовой или профильный | трубы | ||
Время на 1 м шва, мин. | Время на 1 мм диаметра трубы, мин. | ||
1 | Стыковой или нахлесточный | 0,35 | 0,0027 |
2 | Тавровый или угловой | 0,43 | 0,0030 |
Индекс | а | б | |
КАРТА 25 | |||||||
N позиции | Наименование операции | Положение шва в пространстве | Трубы | ||||
нижнее | вертикальное или горизонтальное | потолочное | наклонное | ||||
нижнее | потолочное | ||||||
Время на одно клеймение или на один знак, мин. | |||||||
1 | Клеймение | 0,21 | 0,23 | 0,32 | 0,22 | 0,29 | |
2 | Маркирование | 0,10 | 0,11 | 0,15 | 0,11 | 0,14 | 0,13 |
Индекс | а | б | в | г | д | е | |
КАРТА 26 | |||||
N позиции | Количество щитов, шт. | ||||
1 | 2 | 3 | 4 | 5 | |
Время на один комплект щитов, мин. | |||||
1 | 0,85 | 1,19 | 1,52 | 1,86 | 2,21 |
Индекс | а | б | в | г | д |
КАРТА 27 | |||||||
N позиции | Расстояние перемещения, м | Характер перемещения | |||||
без препятствий | с препятствием | ||||||
через одну горловину | через две горловины | через другие препятствия | с помощью | ||||
лестниц | других устройств | ||||||
Время на одно перемещение, мин. | Время на 1 м перемещения, мин. | ||||||
1 | - | - | 0,30 | 0,64 | 0,09 | 0,13 | 0,11 |
2 | 5 | 0,15 | 0,45 | 0,79 | 0,24 | - | - |
3 | 10 | 0,29 | 0,59 | 0,93 | 0,38 | - | - |
4 | 15 | 0,44 | 0,74 | 1,08 | 0,53 | - | - |
5 | 20 | 0,58 | 0,88 | 1,22 | 0,67 | - | - |
6 | 25 | 0,72 | 1,02 | 1,36 | 0,81 | - | - |
7 | 30 | 0,86 | 1,16 | 1,50 | 0,95 | - | - |
8 | 35 | 0,98 | 1,28 | 1,62 | 1,07 | - | - |
9 | 40 | 1,12 | 1,42 | 1,76 | 1,21 | - | - |
10 | 45 | 1,24 | 1,54 | 1,88 | 1,33 | - | - |
11 | 50 | 1,36 | 1,66 | 2,00 | 1,45 | - | - |
12 | 55 | 1,48 | 1,78 | 2,12 | 1,57 | - | - |
13 | 60 | 1,60 | 1,90 | 2,24 | 1,69 | - | - |
14 | 65 | 1,72 | 2,02 | 2,36 | 1,81 | - | - |
15 | 70 | 1,83 | 2,13 | 2,47 | 1,92 | - | - |
Индекс | а | б | в | г | д | е | |
КАРТА 28 | ||||
N позиции | Масса изделия, кг | Наименование операции | ||
установка и снятие | поворот | |||
на стол или стенд | в приспособление | |||
Время на изделие, мин. | ||||
1 | 0,3 | 0,12 | 0,17 | 0,06 |
2 | 0,5 | 0,15 | 0,20 | 0,07 |
3 | 0,8 | 0,17 | 0,24 | 0,08 |
4 | 1,0 | 0,18 | 0,26 | 0,09 |
5 | 1,5 | 0,22 | 0,31 | 0,11 |
6 | 2,0 | 0,23 | 0,34 | 0,12 |
7 | 3,0 | 0,28 | 0,40 | 0,13 |
8 | 5,0 | 0,47 | ||
9 | 8,0 | 0,38 | 0,56 | 0,18 |
10 | 10,0 | 0,60 | 0,20 | |
11 | 15,0 | 0,49 | 0,71 | 0,24 |
12 | 20,0 | 0,53 | 0,78 | 0,26 |
13 | 30,0 | 0,58 | 0,86 | 0,28 |
Индекс | а | б | в | |
КАРТА 29 | ||||||
N позиции | Способ крепления | Длина завертывания, мм | ||||
20 | 30 | 40 | 50 | 60 | ||
Время на одно крепление и открепление, мин. | ||||||
1 | Стационарным винтовым прижимом | 0,30 | 0,40 | 0,50 | 0,60 | 0,70 |
2 | Пневмоприжимом | 0,10 | 0,10 | 0,10 | 0,10 | 0,10 |
3 | Струбциной съемной | 0,40 | 0,50 | 0,60 | 0,70 | 0,80 |
4 | Струбциной откидной (односторонняя) | 0,36 | 0,48 | 0,58 | 0,68 | 0,78 |
5 | Струбциной откидной (двусторонняя) | 0,41 | 0,55 | 0,67 | 0,78 | 0,90 |
6 | Барашек | 0,15 | 0,18 | 0,23 | - | - |
7 | Ручными тисками | 0,27 | 0,36 | 0,45 | 0,54 | 0,63 |
Индекс | а | б | в | г | д | |
КАРТА 30 | ||||||
N позиции | Вид установки | Способ застроповки | Количество точек крепления | |||
1 | 2 | 3 | 4 | |||
Время на изделие, мин. | ||||||
1 | Горизонтально на стенд | Струбцинами | 3,23 | 5,43 | 7,56 | 9,72 |
2 | Крюками | 2,23 | 3,43 | 4,56 | 5,69 | |
3 | Лапами | 2,43 | 3,83 | 5,16 | 6,49 | |
4 | Тросами | 2,63 | 4,23 | 5,76 | 7,29 | |
5 | Вертикально на стенд | Струбцинами | 5,49 | 9,23 | - | - |
6 | Крюками | 3,79 | 5,83 | - | - | |
7 | Лапами | 4,13 | 6,51 | - | - | |
8 | Тросами | 4,47 | 7,19 | - | - | |
9 | Наклонно на стенд | Струбцинами | 6,14 | 10,32 | - | - |
10 | Крюками | 4,24 | 6,52 | - | - | |
11 | Лапами | 4,62 | 7,28 | - | - | |
12 | Тросами | 5,00 | 8,04 | - | - | |
13 | Горизонтально на подставки | Струбцинами | 4,20 | 7,06 | 9,83 | 12,64 |
14 | Крюками | 2,90 | 4,46 | 5,93 | 7,40 | |
15 | Лапами | 3,16 | 4,98 | 6,71 | 8,44 | |
16 | Тросами | 3,42 | 5,50 | 7,49 | 9,48 | |
Индекс | а | б | в | г | ||
КАРТА 31 | ||||||||||
N позиции | Угол поворота, град. | Скорость вращения, м/ч | Диаметр изделия, м | |||||||
0,5 | 0,75 | 1,0 | 1,5 | 2,0 | 2,5 | 3,0 | 4,0 | |||
Время одного поворота, мин. | ||||||||||
1 | 90 | 15 | 1,75 | 2,61 | 3,50 | 5,25 | 6,10 | 8,74 | 10,49 | 14,00 |
2 | 20 | 1,30 | 1,96 | 2,62 | 3,94 | 5,24 | 6,56 | 7,87 | 10,49 | |
3 | 30 | 0,87 | 1,31 | 1,74 | 2,62 | 3,49 | 4,37 | 5,24 | 6,10 | |
4 | 45 | 0,58 | 0,87 | 1,17 | 1,75 | 2,33 | 2,91 | 3,50 | 4,66 | |
5 | 180 | 15 | 3,52 | 5,26 | 7,05 | 10,58 | 14,11 | 17,64 | 21,17 | 28,22 |
6 | 20 | 2,64 | 3,96 | 5,29 | 7,94 | 10,58 | 13,22 | 15,87 | 21,16 | |
7 | 30 | 1,76 | 2,64 | 3,53 | 5,29 | 7,05 | 8,81 | 10,57 | 14,10 | |
8 | 45 | 1,17 | 1,76 | 2,35 | 3,53 | 4,70 | 5,88 | 7,06 | 9,41 | |
9 | 270 | 15 | 5,27 | 7,87 | 10,55 | 15,83 | 21,10 | 26,38 | 31,66 | 42,21 |
10 | 20 | 3,95 | 5,92 | 7,91 | 11,87 | 15,82 | 19,78 | 23,74 | 31,65 | |
11 | 30 | 2,64 | 3,95 | 5,27 | 7,91 | 10,54 | 13,18 | 15,82 | 21,09 | |
12 | 45 | 1,75 | 2,63 | 3,51 | 5,27 | 7,03 | 8,79 | 10,55 | 14,07 | |
13 | 360 | 15 | 7,03 | 10,52 | 14,07 | 21,10 | 28,13 | 35,17 | 42,20 | 56,27 |
14 | 20 | 5,27 | 7,90 | 10,55 | 15,82 | 21,10 | 26,37 | 31,65 | 42,20 | |
15 | 30 | 3,52 | 5,27 | 7,03 | 10,55 | 14,07 | 17,58 | 21,10 | 28,13 | |
16 | 45 | 2,34 | 3,51 | 4,69 | 7,03 | 9,37 | 11,72 | 14,06 | 18,75 | |
Индекс | а | б | в | г | д | е | ж | з | ||
КАРТА 32 | |||||
N позиции | Измерительный инструмент | Положение размечаемых участков | |||
нижнее | вертикальное | горизонтальное | потолочное | ||
Время на разметку одного участка, мин. | |||||
1 | Метр, рулетка, линейка | 0,20 | 0,30 | 0,26 | 0,40 |
2 | Шаблон | 0,10 | 0,15 | 0,13 | 0,20 |
Индекс | а | б | в | г | |
КАРТА 33, лист 1 | |||||||
I. Углеродистые и низколегированные стали марок: ВСт3сп; 09Г2; 10ХСНД; Ст3; Ст5; 20Л; 25Л; 15; Ст4; 08ГДН и аналогичные | |||||||
N позиции | Марка электродов | Коэффициент наплавки электродов, г/А·ч | Диаметр электрода, мм | ||||
2 | 3 | 4 | 5 | 6 | |||
Значение коэффициентов | |||||||
1 | МР-3 | 7,5 | 2,517 ----- 2,366 | 1,557 ----- 1,507 | 1,133 ----- 1,133 | 0,740 ----- 0,752 | 0,664 ----- 0,679 |
2 | ОМА-2 | 8,0 | 2,359 ----- 2,217 | 1,460 ----- 1,412 | 1,062 ----- 1,062 | 0,693 ----- 0,705 | 0,622 ----- 0,636 |
3 | ОЗШ-1 АНО-4 ОЭС-12 УОНИ-13/45А УОНИ-13/45 АНО-14 ОЗС-2 ОЗС-23 ИР-3 ИТС-4 АНО-4 | 8,5 | 2,222 ----- 2,088 | ----- 1,330 | 1,000 ----- 1,000 | 0,653 ----- 0,664 | 0,586 ----- 0,599 |
Индекс | а | б | в | г | д | ||
Коэффициент, учитывающий диаметр, марку электрода и свариваемый металл | КАРТА 33, лист 2 | ||||||
N позиции | Марка электродов | Коэффициент наплавки электродов, г/А·ч | Диаметр электрода, мм | ||||
2 | 3 | 4 | 5 | 6 | |||
Значение коэффициентов | |||||||
4 | ОЗС-4 УОНИ-13/55 ВФС-75У Э-138/50Н | 9,0 | 2,089 ----- 1,971 | 1,298 ----- 1,256 | 0,944 ----- 0,944 | 0,616 ----- 0,627 | 0,553 ----- 0,565 |
5 | НИАТ-3М ВЦС-4 ВЦС-4А ЦУ-5 АНО-11 УОНИ-13/55К УОНИ-13/65 ОЗС-17Н ОЗС-18 ТМУ-21У ОЗС-224 ОЗС-24 ОЗС-25 СК2-50 ВФС-65У АНО-9 | 9,5 | 1,986 ----- 1,867 | 1,229 ----- 1,189 | 0,894 ----- 0,894 | 0,584 ----- 0,594 | 0,524 ----- 0,536 |
6 | АНО-6 ОЗС-6 СМ-11 УОНИ-13/55У УОНИ-13/85 АНО-18 ОЗС-22Р ДСК-50 ВСЦ-60 | 10,0 | 1,889 ----- 1,775 | 1,169 ----- 1,131 | 0,850 ----- 0,850 | 0,555 ----- 0,564 | 0,498 ----- 0,509 |
7 | АНО-5 ВН-48 | 11,0 | 1,718 ----- 1,614 | 1,063 ----- 1,028 | 0,773 ----- 0,773 | 0,505 ----- 0,513 | 0,453 ----- 0,463 |
Индекс | а | б | в | г | д | ||
Коэффициент, учитывающий диаметр, марку электрода и свариваемый металл | КАРТА 33, лист 3 | ||||||
II. Высоколегированные жаропрочные стали и сплавы марок: 15Х11МФ; 15Х12ВНМФ; 14Х12В2МФ; ЭИ395; ЗОХГСНА; ХН77ТЮ; 12Х18Н9Т; 12Х18Н10Т; 0818Н12Т; 20Х25Н20С2 и аналогичные | |||||||
N позиции | Марка электродов | Коэффициент наплавки электродов, г/А·ч | Диаметр электрода, мм | ||||
2 | 3 | 4 | 5 | 6 | |||
Значение коэффициентов | |||||||
8 | ОЗЛ-25Б | 11,0 | 2,018 ----- 1,955 | 1,278 ----- 1,241 | 0,946 ----- 0,946 | 0,615 ----- 0,624 | 0,548 ----- 0,559 |
9 | КТИ-10 КТИ-9 ЦЛ-25 ЦЛ-32 УОНИИ/10Х13 УОНИИ/10Х17Т ОЗЛ-6 ЛМЗ-1 ЗИФ-1 УЛ-28 УЛ-22 | 11,5 | 1,990 ----- 1,870 | 1,230 ----- 1,191 | 0,880 ----- 0,880 | 0,580 ----- 0,594 | 0,524 ----- 0,536 |
10 | ОЗЛ-4 ОЗЛ-2 ВИИМ-1 | 12,0 | 1,928 ----- 1,812 | 1,192 ----- 1,153 | ----- 0,868 | 0,567 ----- 0,577 | 0,511 ----- 0,522 |
11 | ИМЕТ-10 | 15,0 | 1,525 ----- 1,435 | 0,943 ----- 0,923 | 0,686 ----- 0,686 | 0,448 ----- 0,456 | 0,402 ----- 0,411 |
Индекс | а | б | в | г | д | ||
Коэффициент, учитывающий диаметр, марку электрода и свариваемый металл | КАРТА 33, лист 4 | ||||||
III. Высоколегированные жаростойкие стали и сплавы марок: 10Х23Н13; 10Х23Н18; Х25Т; Х28; Х28АИ; 08Х18Н10; 12Х18Н9Т; 08Х18Н12Б; 20Х25Н20С2 и аналогичные | |||||||
N позиции | Марка электродов | Коэффициент наплавки электродов, г/А·ч | Диаметр электрода, мм | ||||
2 | 3 | 4 | 5 | 6 | |||
Значение коэффициентов | |||||||
12 | ГС-1 | 10,5 | 2,280 ----- 2,140 | 1,400 ----- 1,362 | 1,021 ----- 1,021 | 0,668 ----- 0,682 | 0,602 ----- 0,615 |
13 | ОЗЛ-25 | 11,0 | 2,178 ----- 2,041 | 1,348 ----- 1,300 | 0,978 ----- 0,978 | 0,640 ----- 0,650 | 0,574 ----- 0,588 |
14 | ЭА-400/10У ЭА-606/11 ЭА-400/13 ОЗЛ-6 | 11,5 | 2,080 ----- 1,955 | 1,288 ----- 1,245 | 0,936 ----- 0,936 | 0,612 ----- 0,620 | 0,548 ----- 0,560 |
15 | ЦЛ-9 ЦЛ-11 ЦЛ-33 ОЗЛ-3 ОЗЛ-4 ОЗЛ-8 ОЗЛ-11 ОЗЛ-14 | 12,0 | 1,990 ----- 1,873 | 1,230 ----- 1,193 | 0,896 ----- 0,896 | 0,585 ----- 0,600 | 0,525 ----- 0,538 |
16 | КТИ-5-62 КТИ-4-62 ЭНТУ-3М ЦТ-1 ЦТ-7 ЦТ-15 ЦТ-15-1 ЦТ-16-1 ЗИО-3 ЗИО-7 НЖ-13 УОНИИ-13/НЖ ВИИМ-1 ОЗЛ-2 | 12,0 | 1,990 ----- 1,873 | 1,230 ----- 1,193 | 0,896 ----- 0,896 | 0,585 ----- 0,600 | 0,525 ----- 0,538 |
17 | ОЗЛ-5 ОЗЛ-19 | 12,5 | 1,930 ----- 1,800 | 1,182 ----- 1,147 | 0,862 ----- 0,862 | 0,564 ----- 0,572 | 0,505 ----- 0,515 |
18 | ОЗЛ-35 | 13,0 | 1,835 ----- 1,750 | 1,138 ----- 1,100 | 0,827 ----- 0,827 | 0,539 ----- 0,548 | 0,480 ----- 0,494 |
Индекс | а | б | в | г | д | ||
Коэффициент, учитывающий диаметр, марку электрода и свариваемый металл | КАРТА 33, лист 5 | ||||||
N позиции | Марка электродов | Коэффициент наплавки электродов, г/А·ч | Диаметр электрода, мм | ||||
2 | 3 | 4 | 5 | 6 | |||
Значение коэффициентов | |||||||
19 | ОЗЛ-9А | 13,5 | 1,770 ----- 1,665 | 1,086 ----- 1,053 | 0,795 ----- 0,795 | 0,521 ----- 0,530 | 0,466 ----- 0,477 |
20 | ИМЕТ-10 | 15,0 | 1,494 ----- 1,398 | 0,988 ----- 0,953 | 0,717 ----- 0,717 | 0,468 ----- 0,475 | 0,420 ----- 0,431 |
21 | ОЗЛ-29 | 15,5 | 1,542 ----- 1,460 | 0,955 ----- 0,923 | 0,694 ----- 0,694 | 0,452 ----- 0,460 | 0,407 ----- 0,416 |
IV. Высоколегированные коррозионно-стойкие стали и сплавы марок: 10Х17Н13М2Т; 06Х23Н28; М3Д3Т; 20Х13; 14Х17Н2; 08Х17Н6Т; 09Х17Н7Ю; 08Х15Н4Г3; 0818Н10; 06Х28МДТ; Н70МФ и аналогичные | |||||||
N позиции | Марка электродов | Коэффициент наплавки электродов, г/А·ч | Диаметр электрода, мм | ||||
2 | 3 | 4 | 5 | 6 | |||
Значение коэффициентов | |||||||
22 | ЭА-898/21Б | 10,5 | 2,375 ----- 2,258 | 1,470 ----- 1,422 | 1,061 ----- 1,061 | 0,698 ----- 0,710 | 0,625 ----- 0,640 |
23 | УОНИИ-13/НЖ ОЗЛ-14А ЦЛ-11 ЦЛ-9 АНВ-20 ЭА-395/9 ЭА-902/14 ЭА-48М/22 | 11,0 | 2,267 ----- 2,168 | 1,402 ----- 1,360 | 1,017 ----- 1,017 | 0,665 ----- 0,678 | 0,597 ----- 0,615 |
24 | ЭА-400/10 ЭА-400/10У ЭА-400/10Т ЭА-400/13 | 11,5 | 2,162 ----- 2,040 | 1,342 ----- 1,298 | 0,976 ----- 0,976 | 0,635 ----- 0,648 | 0,570 ----- 0,596 |
Индекс | а | б | в | г | д | ||
Коэффициент, учитывающий диаметр, марку электрода и свариваемый металл | КАРТА 33, лист 6 | ||||||
N позиции | Марка электродов | Коэффициент наплавки электродов, г/А·ч | Диаметр электрода, мм | ||||
2 | 3 | 4 | 5 | 6 | |||
Значение коэффициентов | |||||||
25 | ОЗЛ-7 ОЗЛ-3 | 12,0 | 2,062 ----- 1,950 | 1,282 ----- 1,242 | 0,934 ----- 0,934 | 0,611 ----- 0,562 | 0,548 ----- 0,560 |
26 | ЭА-606/10 | 12,5 | 1,992 ----- 1,875 | 1,232 ----- 1,104 | 0,896 ----- 0,896 | 0,585 ----- 0,600 | 0,525 ----- 0,538 |
27 | ОЗЛ-22 ОЗЛ-8 НЖ-13 | 13,0 | 1,934 ----- 1,804 | 1,185 ----- 1,040 | 0,863 ----- 0,860 | 0,564 ----- 0,570 | 0,505 ----- 0,516 |
28 | ОЗЛ-36 ОЗЛ-20 | 13,5 | 1,830 ----- 1,744 | 1,140 ----- 1,104 | 0,830 ----- 0,830 | 0,537 ----- 0,550 | 0,485 ----- 0,494 |
29 | ОЗЛ-37-1 | 13,5 | 1,830 ----- 1,744 | 1,140 ----- 1,104 | 0,830 ----- 0,830 | 0,537 ----- 0,550 | 0,485 ----- 0,494 |
30 | ОЗЛ-17У ОЗЛ-25Б | 14,0 | 1,680 ----- 1,573 | 1,101 ----- 1,068 | 0,801 ----- 0,801 | 0,522 ----- 0,531 | 0,469 ----- 0,478 |
31 | ОЗЛ-21 | 16,0 | 1,556 ----- 1,463 | 0,963 ----- 0,932 | 0,701 ----- 0,701 | 0,458 ----- 0,465 | 0,410 ----- 0,420 |
32 | ОЗЛ-23 | 17,0 | 1,464 ----- 1,376 | 0,906 ----- 0,877 | 0,659 ----- 0,659 | 0,430 ----- 0,438 | 0,386 ----- 0,395 |
Индекс | а | б | в | г | д | ||
Коэффициент, учитывающий диаметр, марку электрода и свариваемый металл | КАРТА 33, лист 7 | ||||||
V. Легированные теплоустойчивые стали марок: 15ХМ; 12Х1МФ; 15ХМФКР; 16ГНМ; 20ХМФ; 12Х1М1Ф; 15Х2М2ФБС; 34ХМ; 12МХ; ЭИ10; Х5 и аналогичные | |||||||
N позиции | Марка электродов | Коэффициент наплавки электродов, г/А·ч | Диаметр электрода, мм | ||||
2 | 3 | 4 | 5 | 6 | |||
Значение коэффициентов | |||||||
33 | ОЗЛ-11 | 8,5 | 2,562 ----- 2,420 | 1,590 ----- 1,535 | 1,155 ----- 1,155 | 0,752 ----- 0,767 | 0,677 ----- 0,602 |
34 | ТМЛ-1У | 9,0 | 2,422 ----- 2,270 | 1,493 ----- 1,448 | 1,081 ----- 1,081 | 0,700 ----- 0,710 | 0,630 ----- 0,645 |
35 | ТМЛ-4В ЦЛ-39 ТМЛ-3У | 9,5 | 2,298 ----- 1,158 | 1,420 ----- 1,375 | 1,029 ----- 1,029 | 0,675 ----- 0,686 | 0,605 ----- 0,620 |
36 | ЦЛ-26М-63 ЦЛ-14 ЦЛ-17-63 ЦЛ-20-63 ЛМЗ-3 ЛМЗ-4 | 10,5 | 2,063 ----- 1,950 | 1,285 ----- 1,240 | 0,934 ----- 0,934 | 0,611 ----- 0,562 | 0,548 ----- 0,560 |
Индекс | а | б | в | г | д | ||
Коэффициент, учитывающий диаметр, марку электрода и свариваемый металл | КАРТА 33, лист 8 | ||||||
VI. Стали марок типа АК, ЮЗ | |||||||
N позиции | Марка электродов | Коэффициент наплавки электродов, г/А·ч | Диаметр электрода, мм | ||||
2 | 3 | 4 | 5 | 6 | |||
Значение коэффициентов | |||||||
37 | 48Н-1 | 9,0 | 2,937 ----- 2,759 | 1,817 ----- 1,758 | 1,322 ----- 1,322 | 0,862 ----- 0,877 | 0,774 ----- 0,791 |
38 | 48Н-11 48Н-13 48Н-15 | 9,5 | 2,780 ----- 2,614 | 1,721 ----- 1,665 | 1,252 ----- 1,252 | 0,818 ----- 0,832 | 0,734 ----- 0,750 |
39 | ЭА-395/9 | 10,0 | 2,645 ----- 2,485 | 1,637 ----- 1,583 | 1,190 ----- 1,190 | 0,777 ----- 0,790 | 0,697 ----- 0,713 |
40 | ЭА-48М/22 ЭА-981/15 | 11,0 | 2,405 ----- 2,260 | 1,488 ----- 1,439 | 1,082 ----- 1,082 | 0,707 ----- 0,718 | 0,634 ----- 0,648 |
41 | ЭА-606/11 | 11,5 | 2,3 ----- 2,161 | 1,423 ----- 1,376 | 1,035 ----- 1,035 | 0,675 ----- 0,686 | 0,565 ----- 0,578 |
Индекс | а | б | в | г | д | ||
КАРТА 34 | |||||||
N позиции | Положение шва в пространстве | Условное обозначение шва на изделии | Угол между изделием и горизонтальной плоскостью, град. | ||||
180 | 30 | 50 | 80 | 90 | |||
Значение коэффициента К2 | |||||||
1 | Нижнее вертикальное | ![]() | 1,00 | 1,04 | 1,08 | 1,15 | 1,18 |
2 | Нижнее горизонтальное | ![]() | 1,00 | 1,10 | 1,15 | 1,25 | |
3 | Потолочное вертикальное | ![]() | 1,50 | 1,40 | 1,35 | 1,25 | 1,18 |
4 | Потолочное горизонтальное | ![]() | 1,50 | 1,45 | 1,40 | 1,36 | 1,32 |
Индекс | а | б | в | г | д | ||
КАРТА 35, лист 1 | |||||||
N позиции | Условное обозначение шва на изделии | Вид крепления изделия | Угол между изделием и горизонтальной плоскостью, град. | ||||
180 | 30 | 50 | 80 | 90 | |||
Значение коэффициента К12 | |||||||
1 | ![]() | Неповоротный | 1,50 | 1,44 | 1,39 | 1,35 | 1,32 |
2 | Поворотный | 1,00 | 1,06 | 1,13 | 1,32 | ||
3 | ![]() | Неповоротный | 1,50 | 1,44 | 1,39 | 1,35 | 1,32 |
4 | Поворотный | 1,65 | 1,52 | 1,42 | 1,35 | 1,32 | |
5 | ![]() | Неповоротный | 1,40 | 1,25 | 1,18 | 1,10 | 1,00 |
6 | Поворотный | 1,22 | 1,15 | 1,09 | 1,04 | 1,00 | |
Индекс | а | б | в | г | д | ||
Коэффициент, учитывающий положение шва в пространстве при сварке изделий из труб и профиля круглого сечения (К12) | КАРТА 35, лист 2 | ||||||
N позиции | Условное обозначение шва на изделии | Вид крепления изделия | Угол между изделием и горизонтальной плоскостью, град. | ||||
180 | 30 | 50 | 80 | 90 | |||
Значение коэффициента К12 | |||||||
7 | ![]() | Неповоротный | 1,40 | 1,42 | 1,45 | 1,49 | 1,55 |
8 | Поворотный | 1,22 | 1,25 | 1,32 | 1,42 | 1,55 | |
9 | ![]() | Неповоротный | 1,45 | 1,30 | 1,23 | 1,14 | 1,00 |
10 | Поворотный | 1,27 | 1,19 | 1,13 | 1,08 | 1,00 | |
11 | ![]() | Неповоротный | 1,45 | 1,48 | 1,51 | 1,55 | 1,60 |
12 | Поворотный | 1,27 | 1,30 | 1,37 | 1,48 | 1,60 | |
Индекс | а | б | в | г | д | ||
КАРТА 36 | ||||||
N позиции | Условие и место выполнения работы | Температура воздуха, °C | ||||
до +25 | выше +25 | 0...-10 | ниже -10 | |||
Значение коэффициента К5 | ||||||
1 | Стационарное рабочее место в цехе | 1,00 | 1,10 | 1,15 | 1,20 | |
2 | В цехе на рабочих площадках | 1,12 | - | - | ||
3 | На открытой площадке вне цеха | 1,05 | 1,16 | 1,21 | 1,26 | |
4 | Лежа | на спине | 1,10 | 1,21 | 1,26 | 1,32 |
5 | на боку | 1,08 | 1,19 | 1,24 | 1,30 | |
6 | на груди | 1,06 | 1,17 | 1,22 | 1,27 | |
7 | Движение ограничено дополнительными конструктивными элементами | 1,03 | 1,13 | 1,18 | 1,24 | |
8 | В закрытых помещениях объемом | 1 м3 | 1,10 | 1,21 | 1,26 | 1,32 |
9 | 2 м3 | 1,06 | 1,17 | 1,22 | 1,27 | |
10 | более 2 м3 | 1,03 | 1,13 | 1,18 | 1,24 | |
11 | На высоте | 3 м | 1,07 | 1,18 | 1,23 | 1,28 |
12 | 6 м и более | 1,10 | 1,21 | 1,26 | 1,32 | |
13 | В аппаратах диаметром | 0,8 м | 1,15 | 1,26 | 1,32 | 1,38 |
14 | 1,0 м | 1,10 | 1,21 | 1,26 | 1,32 | |
15 | 1,2 м | 1,05 | 1,16 | 1,21 | 1,26 | |
16 | 1,4 м | 1,03 | 1,13 | 1,18 | 1,24 | |
17 | С помощью | зеркала | 1,15 | 1,26 | 1,32 | 1,38 |
18 | лестниц | 1,10 | 1,21 | 1,26 | 1,32 | |
19 | подмостей | 1,05 | 1,16 | 1,21 | 1,26 | |
20 | лесов | 1,06 | 1,17 | 1,22 | 1,27 | |
21 | подвесных устройств | 1,08 | 1,19 | 1,24 | 1,30 | |
Индекс | а | б | в | г | ||
КАРТА 37, лист 1 | ||||||||
N позиции | Вид сварки | Вид шва | Длина шва, мм | |||||
94 | 236 | 440 | 785 | Свыше 785 | ||||
Значение коэффициента К3 | ||||||||
1 | Без подогрева или охлаждения | Прямолинейный | 1,20 | 1,15 | 1,05 | 1,00 | ||
2 | Криволинейный, кроме труб | 1,26 | 1,21 | 1,15 | 1,10 | 1,05 | ||
3 | Стыки труб или прутков | 1,00 | 1,00 | 1,00 | 1,00 | 1,00 | ||
4 | Прерывистый | вразброс | 1,10 | 1,10 | 1,10 | 1,10 | 1,10 | |
5 | обратноступенчатый | 1,05 | 1,05 | 1,05 | 1,05 | 1,05 | ||
6 | последовательный | 0,90 | 0,90 | 0,90 | 0,90 | 0,90 | ||
7 | С охлаждением | Прямолинейный | 1,32 | 1,27 | 1,21 | 1,15 | 1,10 | |
8 | Криволинейный, кроме труб | 1,39 | 1,33 | 1,26 | 1,21 | 1,15 | ||
9 | Стыки труб или прутков | 1,10 | 1,10 | 1,10 | 1,10 | 1,10 | ||
10 | Прерывистый | вразброс | 1,21 | 1,21 | 1,21 | 1,21 | 1,21 | |
11 | обратноступенчатый | 1,16 | 1,16 | 1,16 | 1,16 | 1,16 | ||
12 | последовательный | 0,99 | 0,99 | 0,99 | 0,99 | 0,99 | ||
Индекс | а | б | в | г | д | |||
Коэффициент, учитывающий вид сварки, шва и его длину (К3) | КАРТА 37, лист 2 | |||||||
N позиции | Вид сварки | Вид шва | Длина шва, мм | |||||
94 | 236 | 440 | 785 | Свыше 785 | ||||
Значение коэффициента К3 | ||||||||
13 | С подогревом до 200 °C | Прямолинейный | 1,44 | 1,38 | 1,32 | 1,26 | 1,20 | |
14 | Криволинейный, кроме труб | 1,51 | 1,45 | 1,38 | 1,32 | 1,26 | ||
15 | Стыки труб или прутков | 1,28 | 1,28 | 1,28 | 1,28 | |||
16 | Прерывистый | вразброс | 1,38 | 1,38 | 1,38 | 1,38 | 1,38 | |
17 | обратноступенчатый | 1,31 | 1,31 | 1,31 | 1,31 | 1,31 | ||
18 | последовательный | 1,13 | 1,13 | 1,13 | 1,13 | 1,13 | ||
19 | С подогревом свыше 200 °C | Прямолинейный | 1,56 | 1,49 | 1,43 | 1,36 | 1,30 | |
20 | Криволинейный, кроме труб | 1,64 | 1,57 | 1,49 | 1,43 | 1,36 | ||
21 | Стыки труб или прутков | 1,38 | 1,38 | 1,38 | 1,38 | 1,38 | ||
22 | Прерывистый | вразброс | 1,49 | 1,49 | 1,49 | 1,49 | 1,49 | |
23 | обратноступенчатый | 1,42 | 1,42 | 1,42 | 1,42 | 1,42 | ||
24 | последовательный | 1,22 | 1,22 | 1,22 | 1,22 | 1,22 | ||
Индекс | а | б | в | г | д | |||
КАРТА 38 | ||||||||
N позиции | Способ зачистки | ![]() | ![]() | ![]() | ![]() | ![]() | ![]() | ![]() |
Значение коэффициента К6 | ||||||||
1 | Пневматической машиной с наждачным кругом | 1,00 | 1,35 | 1,40 | 1,45 | 1,50 | 1,55 | |
2 | Пневматической машиной с дисковым кругом | - | 1,10 | 1,15 | 1,20 | 1,25 | 1,30 | 1,35 |
3 | Пневматической машиной с проволочной щеткой | 0,70 | 0,90 | 0,95 | 1,00 | 1,05 | 1,10 | 1,15 |
4 | Машиной с ленточным кругом | 0,50 | - | - | - | - | - | - |
5 | Стационарная машина | - | 0,50 | 0,55 | 0,60 | 0,65 | 0,70 | 0,75 |
6 | Ручным инструментом - щеткой | 0,70 | 0,75 | 0,80 | 0,85 | 0,90 | 0,95 | 1,00 |
7 | Ручным инструментом - напильником | 1,30 | 1,50 | 1,55 | 1,60 | 1,70 | 1,80 | 1,85 |
Индекс | а | б | в | г | д | е | ж | |
КАРТА 39 | |||||||||
N позиции | Толщина металла, мм | Вид разделки кромок | |||||||
без скоса | со скосом | ||||||||
Шаг электроприхваток, мм | |||||||||
30 | 100 | 200 | 300 | 30 | 100 | 200 | 300 | ||
Значение коэффициента К7 | |||||||||
1 | 1 | 0,230 | 0,135 | 0,090 | - | - | - | - | - |
2 | 2 | 0,217 | 0,110 | 0,075 | - | - | - | - | - |
3 | 4 | 0,080 | 0,075 | 0,050 | 0,040 | 0,101 | 0,090 | 0,060 | 0,048 |
4 | 8 | 0,090 | 0,050 | 0,040 | 0,030 | 0,075 | 0,060 | 0,048 | 0,036 |
5 | 12 | 0,075 | 0,040 | 0,030 | 0,020 | 0,062 | 0,048 | 0,036 | 0,024 |
6 | 16 | 0,061 | 0,030 | 0,020 | 0,015 | 0,051 | 0,036 | 0,024 | 0,018 |
7 | 20 | - | - | - | - | 0,034 | 0,024 | 0,012 | 0,006 |
8 | 40 | - | - | - | - | - | 0,012 | 0,005 | 0,004 |
9 | 60 | - | - | - | - | - | 0,005 | 0,004 | 0,003 |
10 | 80 | - | - | - | - | - | 0,004 | 0,003 | 0,002 |
11 | 100 и более | - | - | - | - | - | 0,003 | 0,002 | 0,001 |
Индекс | а | б | в | г | д | е | ж | з | |
КАРТА 40 | |||||||
N позиции | Тип шва | Угол между деталями, град. | |||||
свыше 180 ![]() | 180 ![]() | менее 180 ![]() | свыше 90 ![]() | 90 ![]() | менее 90 ![]() | ||
Значение коэффициента К8 | |||||||
1 | Стыковой | 1,3 | 1,0 | 0,9 | - | - | - |
2 | Тавровый, угловой | - | - | - | 1,3 | 1,0 | 0,9 |
Индекс | а | б | в | г | д | е | |
ПРИЛОЖЕНИЕ 1 | ||||||
N позиции | Толщина металла, мм | Диаметр электрода, мм | ||||
2 | 3 | 4 | 5 | 6 | ||
Значение силы тока, А | ||||||
1 | 1 | 58 | - | 130 | - | - |
2 | 2 | 63 | 102 | 140 | - | - |
3 | 4 | 72 | 116 | 160 | - | - |
4 | 6 | - | 120 | 165 | 252 | - |
5 | 8 | - | ||||
6 | 10 | 170 | 260 | 290 | ||
7 | 11 и более | |||||
Индекс | а | б | в | г | д | |
Коэффициент для расчета силы тока в зависимости от типа стали (К9) | ||||||
Стали | ||||||
углеродистые и низколегированные | высоколегированные | легированные теплоустойчивые стали | типа АК, ЮЗ | |||
жаропрочные стали и сплавы | жаростойкие стали и сплавы | коррозионно-стойкие стали и сплавы | ||||
Значение коэффициента К9 | ||||||
1,00 | 0,817 | 0,782 | 0,751 | 0,857 | 0,714 | |
ПРИЛОЖЕНИЕ 2, лист 1 | |||||||||
N позиции | Тип шва | Толщина металла, мм | |||||||
число десятков | единицы | ||||||||
0 | 1 | 2 | 3 | 4 | 6 | 8 | |||
Площадь поперечного сечения шва, мм2 | |||||||||
1 | С1 | 0 | - | 5,2 | 9,3 | 11,3 | 16,7 | - | - |
2 | С2 | - | 4,8 | 5,2 | 6,7 | 10,1 | 11,8 | 16,3 | |
3 | С3 | - | 6,0 | 10,0 | 15,0 | 21,0 | - | - | |
4 | С4 | - | 5,4 | 8,0 | 11,0 | 16,2 | 20,1 | 24,0 | |
5 | С5 | - | 4,8 | 5,2 | 6,7 | 10,1 | 11,8 | - | |
6 | С6 | - | 4,8 | 5,2 | 6,7 | 10,0 | - | - | |
7 | С7 | - | 4,0 | 5,0 | 5,8 | 6,5 | 7,4 | - | |
8 | С8 | 0 | - | - | - | 11,7 | 17,3 | 30,0 | 44,3 |
9 | 1 | 66,2 | 79,6 | 93,0 | 108,3 | 123,7 | 158,6 | 197,3 | |
10 | 2 | 240,0 | 263,3 | 286,5 | 311,6 | 336,7 | 390,7 | 448,3 | |
11 | 3 | 509,6 | 542,1 | 574,5 | 608,8 | 643,0 | 715,0 | 790,5 | |
12 | 4 | 869,5 | 910,7 | 952,0 | 995,0 | 1037,8 | 1127,2 | 1220,0 | |
13 | 5 | 1316,0 | 1365,7 | 1415,4 | 1466,8 | 1518,1 | 1624,2 | 1733,5 | |
14 | 6 | 1846,2 | - | - | - | - | - | - | |
15 | С9 | 0 | - | - | - | 20,5 | 28,2 | 44,1 | 60,5 |
16 | 1 | 96,3 | 114,0 | 131,5 | 151,4 | 171,2 | 215,1 | 263,0 | |
17 | 2 | 315,0 | 343,0 | 370,7 | 400,4 | 430,1 | 493,2 | 559,8 | |
18 | 3 | 629,8 | 666,6 | 703,3 | 741,7 | 780,1 | 860,1 | 943,4 | |
19 | 4 | 1029,8 | 1074,6 | 1119,3 | 1165,7 | 1212,0 | 1307,6 | 1406,3 | |
20 | 5 | 1508,0 | 1560,2 | 1612,5 | 1666,2 | 1720,0 | 1830,2 | 1943,3 | |
21 | 6 | 2059,2 | - | - | - | - | - | - | |
Индекс | а | б | в | г | д | е | ж | ||
ПЛОЩАДЬ ПОПЕРЕЧНОГО СЕЧЕНИЯ ОСНОВНОГО ШВА СТЫКОВЫХ СОЕДИНЕНИЙ | ПРИЛОЖЕНИЕ 2, лист 2 | ||||||||
N позиции | Тип шва | Толщина металла, мм | |||||||
число десятков | единицы | ||||||||
0 | 1 | 2 | 3 | 4 | 6 | 8 | |||
Площадь поперечного сечения шва, мм2 | |||||||||
22 | С10 | 0 | - | - | - | 17,6 | 25,0 | 40,8 | 57,8 |
23 | 1 | 93,1 | 110,4 | 127,6 | 147,1 | 166,5 | 209,8 | 257,1 | |
24 | 2 | 308,4 | 336,0 | 363,6 | 393,1 | 422,5 | 485,2 | 551,4 | |
25 | 3 | 621,2 | 658,0 | 694,5 | 732,8 | 771,1 | 851,1 | 934,5 | |
26 | 4 | 1021,0 | 1066,0 | 1110,8 | 1157,3 | 1203,7 | 1299,8 | 1399,0 | |
27 | 5 | 1501,1 | 1553,7 | 1606,3 | 1660,4 | 1714,5 | 1825,6 | 1939,6 | |
28 | 6 | 2056,6 | - | - | - | - | - | - | |
29 | С11 | 0 | - | - | - | 21,7 | 30,3 | 48,7 | 68,2 |
30 | 1 | 105,3 | 124,2 | 143,0 | 164,1 | 185,1 | 231,5 | 282,0 | |
31 | 2 | 336,5 | 365,7 | 394,8 | 425,8 | 456,8 | 522,4 | 591,5 | |
32 | 3 | 664,0 | 702,0 | 740,0 | 779,5 | 819,0 | 901,3 | 986,8 | |
33 | 4 | 1075,4 | 1121,2 | 1167,1 | 1214,4 | 1261,7 | 1359,3 | 1459,8 | |
34 | 5 | 1563,2 | 1616,3 | 1669,4 | 1724,0 | 1778,4 | 1890,2 | 2004,7 | |
35 | 6 | 2121,9 | - | - | - | - | - | - | |
36 | С12 | 0 | - | - | - | 11,7 | 17,3 | 30,0 | 44,3 |
37 | 1 | 66,2 | 79,6 | 93,0 | 108,3 | 128,7 | 158,6 | 193,3 | |
38 | 2 | 240,0 | 263,3 | 286,5 | 311,6 | 336,7 | 390,7 | 448,3 | |
39 | 3 | 509,6 | 542,1 | 574,5 | 608,8 | 643,0 | 715,0 | 790,5 | |
40 | 4 | 869,5 | 910,7 | 952,0 | 995,0 | 1037,8 | 1127,2 | 1220,0 | |
41 | 5 | 1316,0 | 1365,7 | 1415,4 | 1466,8 | 1518,1 | 1624,2 | 1733,5 | |
42 | 6 | 1846,2 | - | - | - | - | - | - | |
Индекс | а | б | в | г | д | е | ж | ||
ПЛОЩАДЬ ПОПЕРЕЧНОГО СЕЧЕНИЯ ОСНОВНОГО ШВА СТЫКОВЫХ СОЕДИНЕНИЙ | ПРИЛОЖЕНИЕ 2, лист 3 | ||||||||
N позиции | Тип шва | Толщина металла, мм | |||||||
число десятков | единицы | ||||||||
0 | 1 | 2 | 3 | 4 | 6 | 8 | |||
Площадь поперечного сечения шва, мм2 | |||||||||
43 | С13 | 1 | - | - | - | - | - | 144,8 | 170,0 |
44 | 2 | 196,0 | 219,0 | 223,0 | 229,0 | 234,4 | 267,8 | 303,0 | |
45 | 3 | 339,8 | 359,0 | 378,3 | 399,0 | 418,4 | 460,2 | 503,5 | |
46 | 4 | 548,3 | 571,0 | 594,6 | 605,0 | 642,5 | 691,8 | 742,5 | |
47 | 5 | 794,7 | 811,0 | 848,2 | 875,0 | 903,2 | 959,5 | 1017,0 | |
48 | 6 | 1076,1 | 1106,2 | 1136,3 | 1170,1 | 1198,1 | 1261,5 | 1325,0 | |
49 | 7 | 1388,0 | 1420,0 | 1452,0 | 1499,0 | 1546,0 | 1594,4 | 1641,0 | |
50 | 8 | 1736,4 | 1772,0 | 1808,0 | 1844,0 | 1883,1 | 1958,0 | 2034,6 | |
51 | 9 | 2112,0 | 2151,0 | 2190,7 | 2243,0 | 2283,0 | 2351,4 | 2406,0 | |
52 | 10 | 2516,0 | - | - | - | - | - | - | |
53 | С14 | 1 | - | - | - | - | - | 121,3 | 147,5 |
54 | 2 | 175,6 | 190,6 | 205,6 | 221,6 | 237,4 | 271,0 | 306,4 | |
55 | 3 | 343,0 | 363,0 | 382,0 | 402,0 | 422,6 | 464,6 | 507,9 | |
56 | 4 | 553,0 | 576,3 | 599,6 | 623,6 | 647,4 | 697,0 | 747,7 | |
57 | 5 | 800,0 | 820,8 | 853,6 | 881,2 | 908,7 | 965,0 | 1023,0 | |
58 | 6 | 1082,0 | 1125,0 | 1154,0 | 1182,0 | 1231,0 | 1267,0 | 1331,0 | |
59 | 7 | 1404,0 | 1434,0 | 1462,0 | 1531,0 | 1562,0 | 1599,0 | 1670,0 | |
60 | 8 | 1741,0 | 1790,0 | 1822,0 | 1855,0 | 1887,0 | 1963,0 | 2038,0 | |
61 | 9 | 2125,0 | 2159,0 | 2194,0 | 2274,0 | 2314,0 | 2354,0 | 2436,0 | |
62 | 10 | 2519,0 | - | - | - | - | - | - | |
Индекс | а | б | в | г | д | е | ж | ||
ПЛОЩАДЬ ПОПЕРЕЧНОГО СЕЧЕНИЯ ОСНОВНОГО ШВА СТЫКОВЫХ СОЕДИНЕНИЙ | ПРИЛОЖЕНИЕ 2, лист 4 | ||||||||
N позиции | Тип шва | Толщина металла, мм | |||||||
число десятков | единицы | ||||||||
0 | 1 | 2 | 3 | 4 | 6 | 8 | |||
Площадь поперечного сечения шва, мм2 | |||||||||
63 | С15 | 0 | - | - | - | - | - | - | 19,1 |
64 | 1 | 25,7 | 29,2 | 32,8 | 36,5 | 40,2 | 48,5 | 60,0 | |
65 | 2 | 72,5 | 79,3 | 86,0 | 93,3 | 100,6 | 116,2 | 132,8 | |
66 | 3 | 150,3 | 159,5 | 168,8 | 178,5 | 188,3 | 208,7 | 230,0 | |
67 | 4 | 252,3 | 263,8 | 275,4 | 287,5 | 299,5 | 324,4 | 350,2 | |
68 | 5 | 377,0 | 390,7 | 404,5 | 418,7 | 433,0 | 462,1 | 492,3 | |
69 | 6 | 523,2 | 544,6 | 559,0 | 573,3 | 587,6 | 621,5 | 655,4 | |
70 | 7 | 702,2 | 714,5 | 726,3 | 763,4 | 782,0 | 800,5 | 839,2 | |
71 | 8 | 878,0 | 904,7 | 922,6 | 940,6 | 958,5 | 1001,0 | 1042,0 | |
72 | 9 | 1091,0 | 1109,0 | 1129,0 | 1174,0 | 1196,0 | 1219,0 | 1265,0 | |
73 | 10 | 1311,0 | - | - | - | - | - | - | |
74 | С16 | 3 | 133,0 | 139,0 | 147,0 | 154,0 | 161,0 | 176,0 | 191,0 |
75 | 4 | 207,2 | 215,3 | 223,4 | 231,7 | 240,0 | 257,0 | 274,5 | |
76 | 5 | 292,4 | 301,5 | 310,6 | 320,0 | 329,2 | 348,2 | 362,6 | |
77 | 6 | 387,4 | 401,0 | 414,4 | 421,1 | 428,0 | 449,0 | 470,0 | |
78 | 7 | 498,8 | 506,0 | 513,2 | 535,0 | 546,7 | 558,0 | 580,8 | |
79 | 8 | 603,8 | 619,5 | 635,3 | 643,0 | 651,0 | 675,0 | 699,0 | |
80 | 9 | 732,0 | 741,0 | 749,0 | 774,0 | 787,0 | 800,0 | 826,0 | |
81 | 10 | 852,0 | 872,0 | 890,0 | 910,0 | 929,0 | 938,5 | 967,7 | |
82 | 11 | 987,0 | 1007,0 | 1028,0 | 1048,0 | 1068,0 | 1088,0 | 1109,0 | |
83 | 12 | 1129,0 | - | - | - | - | - | - | |
Индекс | а | б | в | г | д | е | ж | ||
ПЛОЩАДЬ ПОПЕРЕЧНОГО СЕЧЕНИЯ ОСНОВНОГО ШВА СТЫКОВЫХ СОЕДИНЕНИЙ | ПРИЛОЖЕНИЕ 2, лист 5 | ||||||||
N позиции | Тип шва | Толщина металла, мм | |||||||
число десятков | единицы | ||||||||
0 | 1 | 2 | 3 | 4 | 6 | 8 | |||
Площадь поперечного сечения шва, мм2 | |||||||||
84 | С17 | 0 | - | - | - | 11,6 | 17,0 | 29,2 | 42,7 |
85 | 1 | 63,0 | 75,7 | 92,3 | 102,9 | 117,5 | 150,4 | 187,0 | |
86 | 2 | 227,2 | 249,1 | 271,0 | 294,7 | 318,3 | 369,0 | 423,3 | |
87 | 3 | 481,0 | 511,3 | 542,0 | 573,0 | 606,0 | 674,0 | 745,0 | |
88 | 4 | 819,0 | 857,0 | 896,0 | 936,0 | 976,0 | 1060,0 | 1147,0 | |
89 | 5 | 1237,0 | 1283,0 | 1330,0 | 1377,0 | 1425,0 | 1524,0 | 1626,0 | |
90 | 6 | 1732,4 | - | - | - | - | - | - | |
91 | С18 | 0 | - | - | - | 20,3 | 28,0 | 44,0 | 60,7 |
92 | 1 | 94,6 | 111,6 | 128,6 | 147,7 | 166,7 | 208,8 | 254,6 | |
93 | 2 | 304,0 | 330,5 | 357,0 | 385,2 | 413,3 | 473,0 | 535,8 | |
94 | 3 | 601,8 | 636,4 | 670,9 | 707,0 | 743,1 | 818,1 | 896,1 | |
95 | 4 | 977,0 | 1018,8 | 1060,6 | 1104,0 | 1147,1 | 1236,2 | 1328,1 | |
96 | 5 | 1422,6 | 1471,2 | 1519,7 | 1570,0 | 1619,5 | 1721,8 | 1826,6 | |
97 | 6 | 1934,0 | - | - | - | - | - | - | |
98 | С19 | 0 | - | - | - | - | - | 66,4 | 88,4 |
99 | 1 | 110,5 | 123,4 | 136,2 | 151,0 | 165,8 | 196,5 | 228,3 | |
100 | 2 | 261,1 | 278,0 | 294,8 | 350,0 | 404,2 | 454,3 | 506,2 | |
101 | 3 | 560,0 | 587,6 | 615,2 | 643,7 | 672,1 | 730,6 | 790,6 | |
102 | 4 | 852,1 | 883,6 | 915,0 | 947,2 | 979,3 | 1045,0 | 1112,0 | |
103 | 5 | 1180,3 | 1215,1 | 1250,0 | 1285,3 | 1320,7 | 1392,7 | 1466,0 | |
104 | 6 | 1540,3 | 1591,0 | 1641,8 | 1667,2 | 1692,5 | 1770,8 | 1849,1 | |
105 | 7 | 1956,4 | 1983,2 | 2010,0 | 2092,6 | 2134,0 | 2175,1 | 2259,7 | |
Индекс | а | б | в | г | д | е | ж | ||
ПЛОЩАДЬ ПОПЕРЕЧНОГО СЕЧЕНИЯ ОСНОВНОГО ШВА СТЫКОВЫХ СОЕДИНЕНИЙ | ПРИЛОЖЕНИЕ 2, лист 6 | ||||||||
N позиции | Тип шва | Толщина металла, мм | |||||||
число десятков | единицы | ||||||||
0 | 1 | 2 | 3 | 4 | 6 | 8 | |||
Площадь поперечного сечения шва, мм2 | |||||||||
106 | С19 | 8 | 2344,3 | 2402,0 | 2460,0 | 2488,7 | 2517,4 | 2606,0 | 2694,3 |
107 | 9 | 2814,8 | 2845,0 | 2875,0 | 2967,2 | 3013,3 | 3059,3 | 3153,3 | |
108 | 10 | 3247,2 | - | - | - | - | - | - | |
109 | С20 | 0 | - | - | - | 19,7 | 27,7 | 45,0 | 63,3 |
110 | 1 | 97,7 | 115,1 | 132,5 | 152,1 | 171,6 | 194,6 | 261,3 | |
111 | 2 | 311,8 | 338,8 | 365,7 | 394,4 | 423,1 | 483,7 | 547,6 | |
112 | 3 | 614,7 | 650,0 | 684,8 | 721,4 | 758,0 | 834,1 | 913,1 | |
111 | 4 | 995,0 | 1037,3 | 1079,6 | 1123,4 | 1167,1 | 1257,2 | 1350,1 | |
114 | 5 | 1445,5 | 1494,6 | 1543,6 | 1595,5 | 1644,3 | 1747,5 | 1853,3 | |
115 | 6 | 1961,5 | - | - | - | - | - | - | |
116 | С21 | 0 | - | - | - | 11,6 | 17,0 | 29,2 | 42,7 |
117 | 1 | 63,0 | 75,7 | 92,3 | 103,0 | 117,5 | 150,4 | 187,0 | |
118 | 2 | 227,2 | 249,1 | 271,0 | 294,7 | 318,3 | 369,0 | 423,3 | |
119 | 3 | 481,0 | 511,3 | 542,0 | 573,0 | 606,0 | 674,0 | 745,0 | |
120 | 4 | 819,0 | 857,0 | 896,0 | 936,0 | 976,0 | 1060,0 | 1147,0 | |
121 | 5 | 1237,0 | 1283,0 | 1330,0 | 1377,0 | 1425,0 | 1524,0 | 1626,0 | |
122 | 6 | 1732,4 | - | - | - | - | - | - | |
123 | С23 | 1 | - | - | - | - | - | 242,0 | 286,0 |
124 | 2 | 333,0 | 357,0 | 381,0 | 407,0 | 432,0 | 485,0 | 539,0 | |
125 | 3 | 595,0 | 624,0 | 652,0 | 681,0 | 711,0 | 772,0 | 834,0 | |
126 | 4 | 898,0 | 930,0 | 963,0 | 996,0 | 1029,0 | 1096,0 | 1165,0 | |
127 | 5 | 1235,0 | 1271,0 | 1307,0 | 1342,0 | 1343,0 | 1453,0 | 1527,0 | |
Индекс | а | б | в | г | д | е | ж | ||
ПЛОЩАДЬ ПОПЕРЕЧНОГО СЕЧЕНИЯ ОСНОВНОГО ШВА СТЫКОВЫХ СОЕДИНЕНИЙ | ПРИЛОЖЕНИЕ 2, лист 7 | ||||||||
N позиции | Тип шва | Толщина металла, мм | |||||||
число десятков | единицы | ||||||||
0 | 1 | 2 | 3 | 4 | 6 | 8 | |||
Площадь поперечного сечения шва, мм2 | |||||||||
128 | С23 | 6 | 1603,0 | 1650,0 | 1704,0 | 1731,0 | 1758,0 | 1838,0 | 1917,0 |
129 | 7 | 2026,0 | 2054,0 | 2081,0 | 2165,0 | 2207,0 | 2248,0 | 2334,0 | |
130 | 8 | 2420,0 | 2478,0 | 25 36,0 | 2566,0 | 2595,0 | 2684,0 | 2773,0 | |
131 | 9 | 2895,0 | 2925,0 | 2956,0 | 3048,0 | 3095,0 | 3141,0 | 3236,0 | |
132 | 10 | 3331,0 | - | - | - | - | - | - | |
133 | С24 | 1 | - | - | - | - | - | 129,0 | 157,0 |
134 | 2 | 186,0 | 202,0 | 217,0 | 234,0 | 251,0 | 286,0 | 323,0 | |
135 | 3 | 362,0 | 383,0 | 403,0 | 423,0 | 446,0 | 490,0 | 535,0 | |
136 | 4 | 583,0 | 607,0 | 632,0 | 657,0 | 682,0 | 734,0 | 787,0 | |
137 | 5 | 842,0 | 870,0 | 898,0 | 927,0 | 956,0 | 1015,0 | 1075,0 | |
138 | 6 | 1137,0 | 1175,0 | 1220,0 | 1242,0 | 1265,0 | 1331,0 | 1398,0 | |
139 | 7 | 1490,0 | 1513,0 | 1536,0 | 1607,0 | 1643,0 | 1679,0 | 1753,0 | |
140 | 8 | 1827,0 | 1878,0 | 1929,0 | 1954,0 | 1980,0 | 2058,0 | 2137,0 | |
141 | 9 | 2246,0 | 2273,0 | 2300,0 | 2383,0 | 2425,0 | 2467,0 | 2553,0 | |
142 | 10 | 2638,0 | - | - | - | - | - | - | |
143 | С25 | 0 | - | - | - | - | - | - | 19,2 |
144 | 1 | 24,4 | 28,2 | 32,1 | 35,7 | 39,2 | 51,6 | 61,7 | |
145 | 2 | 72,4 | 75,5 | 78,6 | 85,4 | 92,2 | 106,7 | 122,2 | |
146 | 3 | 138,7 | 147,4 | 156,1 | 165,3 | 174,5 | 193,7 | 214,0 | |
147 | 4 | 235,0 | 246,0 | 257,0 | 268,0 | 280,0 | 303,6 | 323,0 | |
148 | 5 | 354,0 | 367,0 | 380,0 | 393,0 | 407,0 | 436,0 | 464,0 | |
149 | 6 | 494,0 | 514,0 | 536,0 | 546,0 | 556,0 | 589,0 | 621,0 | |
Индекс | а | б | в | г | д | е | ж | ||
ПЛОЩАДЬ ПОПЕРЕЧНОГО СЕЧЕНИЯ ОСНОВНОГО ШВА СТЫКОВЫХ СОЕДИНЕНИЙ | ПРИЛОЖЕНИЕ 2, лист 8 | ||||||||
N позиции | Тип шва | Толщина металла, мм | |||||||
число десятков | единицы | ||||||||
0 | 1 | 2 | 3 | 4 | 6 | 8 | |||
Площадь поперечного сечения шва, мм | |||||||||
150 | С25 | 7 | 662,0 | 673,0 | 690,0 | 726,0 | 744,0 | 761,0 | 799,0 |
151 | 8 | 837,0 | 863,0 | 889,0 | 902,0 | 915,0 | 956,0 | 991,0 | |
152 | 9 | 1052,0 | 1066,0 | 1080,0 | 1125,0 | 1146,0 | 1168,0 | 1214,0 | |
153 | 10 | 1259,4 | 1299,4 | 1339,4 | 1379,5 | 1419,5 | 1459,6 | 1479,6 | |
154 | 11 | 1499,6 | 1542,8 | 1586,0 | 1629,2 | 1672,4 | 1715,6 | 1737,2 | |
155 | 12 | 1758,8 | - | - | - | - | - | - | |
156 | С26 | 3 | 236,0 | 247,0 | 258,0 | 269,0 | 281,0 | 304,0 | 328,0 |
157 | 4 | 352,0 | 365,0 | 377,0 | 389,0 | 402,0 | 423,0 | 454,0 | |
158 | 5 | 481,0 | 495,0 | 508,0 | 521,0 | 536,0 | 563,0 | 592,0 | |
159 | 6 | 620,0 | 639,0 | 659,0 | 669,0 | 677,0 | 709,0 | 738,0 | |
160 | 7 | 779,0 | 789,0 | 799,0 | 831,0 | 847,0 | 863,0 | 894,0 | |
161 | 8 | 926,0 | 948,0 | 970,0 | 981,0 | 991,0 | 1025,0 | 1028,0 | |
162 | 9 | 1103,0 | 1114,0 | 1126,0 | 1160,0 | 1177,0 | 1194,0 | 1229,0 | |
163 | 10 | 1264,0 | 1290,0 | 1316,0 | 1341,0 | 1367,0 | 1392,0 | 1418,0 | |
164 | 11 | 1444,0 | 1471,0 | 1497,0 | 1524,0 | 1550,0 | 1577,0 | 1603,0 | |
165 | 12 | 1630,0 | 1657,0 | 1685,0 | 1712,0 | 1740,0 | 1767,0 | 1795,0 | |
166 | 13 | 1822,0 | 1851,0 | 1879,0 | 1907,0 | 1936,0 | 1964,0 | 1992,0 | |
167 | 14 | 2021,0 | 2050,0 | 2079,0 | 2108,0 | 2137,0 | 2166,0 | 2196,0 | |
168 | 15 | 2225,0 | 2250,0 | 2284,0 | 2314,0 | 2345,0 | 2374,0 | 2404,0 | |
169 | 16 | 2434,0 | 2465,0 | 2496,0 | 2526,0 | 2557,0 | 2588,0 | 2619,0 | |
170 | 17 | 2649,0 | 2677,0 | 2703,0 | 2731,0 | 2745,0 | 2758,0 | - | |
Индекс | а | б | в | г | д | е | ж | ||
ПЛОЩАДЬ ПОПЕРЕЧНОГО СЕЧЕНИЯ ОСНОВНОГО ШВА СТЫКОВЫХ СОЕДИНЕНИЙ | ПРИЛОЖЕНИЕ 2, лист 9 | ||||||||
N позиции | Тип шва | Толщина металла, мм | |||||||
число десятков | единицы | ||||||||
0 | 1 | 2 | 3 | 4 | 6 | 8 | |||
Площадь поперечного сечения шва, мм2 | |||||||||
171 | С27 | 3 | 113,0 | 121,0 | 128,0 | 136,0 | 145,0 | 163,0 | 180,0 |
172 | 4 | 199,0 | 209,0 | 219,0 | 229,0 | 239,0 | 261,0 | 284,0 | |
173 | 5 | 308,0 | 320,0 | 332,0 | 345,0 | 358,0 | 384,0 | 411,0 | |
174 | 6 | 439,0 | 459,0 | 479,0 | 492,0 | 498,0 | 529,0 | 561,0 | |
175 | 7 | 605,0 | 616,0 | 628,0 | 662,0 | 680,0 | 697,0 | 734,0 | |
176 | 8 | 771,0 | 796,0 | 822,0 | 835,0 | 848,0 | 888,0 | 928,0 | |
177 | 9 | 984,0 | 998,0 | 1013,0 | 1056,0 | 1078,0 | 1100,0 | 1146,0 | |
178 | 10 | 1191,0 | 1227,0 | 1261,0 | 1291,0 | 1332,0 | 1366,0 | 1401,0 | |
179 | 11 | 1436,0 | 1474,0 | 1511,0 | 1549,0 | 1588,0 | 1626,0 | 1663,0 | |
180 | 12 | 1701,0 | 1743,0 | 1788,0 | 1825,0 | 1866,0 | 1907,0 | 1948,0 | |
181 | 13 | 1989,0 | 2034,0 | 2073,0 | 2122,0 | 2167,0 | 2211,0 | 2256,0 | |
182 | 14 | 2299,0 | 2347,0 | 2399,0 | 2441,0 | 2489,0 | 2511,0 | 2584,0 | |
183 | 15 | 2631,0 | 2681,0 | 2732,0 | 2782,0 | 2833,0 | 2883,0 | 2934,0 | |
184 | 16 | 2984,0 | 3038,0 | 3092,0 | 3146,0 | 3194,0 | 3299,0 | 3305,0 | |
185 | 17 | 3359,0 | 3408,0 | 3457,0 | 3506,0 | 3531,0 | 3555,0 | - | |
186 | С28 | 0 | - | 4,0 | 10,5 | 15,2 | 25,5 | 52,8 | 88,4 |
187 | 1 | 131,8 | 157,3 | 182,8 | - | - | - | - | |
188 | С39 | 1 | - | - | 54,2 | 58,0 | 68,3 | 83,4 | 99,5 |
189 | 2 | 116,0 | 126,1 | 138,0 | 149,8 | 162,0 | 187,5 | 215,0 | |
190 | 3 | 244,0 | 260,1 | 274,5 | 290,1 | 306,8 | 340,8 | 376,3 | |
191 | 4 | 413,5 | 433,6 | 452,6 | 472,0 | 492,5 | 534,3 | 577,7 | |
192 | 5 | 622,5 | 645,8 | 669,0 | 693,0 | 717,1 | 766,6 | 817,6 | |
Индекс | а | б | в | г | д | е | ж | ||
ПЛОЩАДЬ ПОПЕРЕЧНОГО СЕЧЕНИЯ ОСНОВНОГО ШВА СТЫКОВЫХ СОЕДИНЕНИЙ | ПРИЛОЖЕНИЕ 2, лист 10 | ||||||||
N позиции | Тип шва | Толщина металла, мм | |||||||
число десятков | единицы | ||||||||
0 | 1 | 2 | 3 | 4 | 6 | 8 | |||
Площадь поперечного сечения шва, мм2 | |||||||||
193 | С39 | 6 | 870,6 | 897,6 | 924,5 | 951,4 | 979,5 | 1006,0 | 1094,0 |
194 | 7 | 1154,0 | 1185,0 | 1215,0 | 1257,0 | 1299,0 | 1342,0 | 1385,0 | |
195 | 8 | 1475,0 | 1509,0 | 1543,0 | 1577,0 | 1613,0 | 1685,0 | 1757,0 | |
196 | 9 | 1827,0 | 1864,0 | 1906,0 | 1957,0 | 2014,0 | 2061,0 | 2113,0 | |
197 | 10 | 2221,0 | 2274,0 | 2320,0 | 2376,0 | 2433,0 | 2486,0 | 2539,0 | |
198 | 11 | 2646,0 | 2703,0 | 2760,0 | 2817,0 | 2874,0 | 2931,0 | 2989,0 | |
199 | 12 | 3104,0 | - | - | - | - | - | - | |
200 | С40 | 1 | - | - | 122,4 | 132,4 | 144,8 | 172,2 | 200,7 |
201 | 2 | 230,1 | 240,4 | 260,4 | 275,3 | 291,5 | 323,4 | 356,0 | |
202 | 3 | 389,0 | 400,0 | 423,0 | 440,0 | 458,0 | 493,0 | 529,0 | |
203 | 4 | 565,0 | 582,0 | 602,0 | 621,0 | 640,0 | 670,0 | 717,0 | |
204 | 5 | 756,0 | 775,0 | 795,0 | 815,0 | 835,0 | 876,0 | 916,0 | |
205 | 6 | 958,0 | 979,0 | 999,0 | 1020,0 | 1041,0 | 1080,0 | 1126,0 | |
206 | 7 | 1170,0 | 1191,0 | 1213,0 | 1242,0 | 1271,0 | 1301,0 | 1331,0 | |
207 | 8 | 1391,0 | 1414,0 | 1436,0 | 1459,0 | 1482,0 | 1528,0 | 1574,0 | |
208 | 9 | 1621,0 | 1644,0 | 1668,0 | 1699,0 | 1731,0 | 1762,0 | 1794,0 | |
209 | 10 | 1859,0 | 1889,0 | 1920,0 | 1950,0 | 1981,0 | 2011,0 | 2042,0 | |
210 | 11 | 2103,0 | 2134,0 | 2169,0 | 2197,0 | 2228,0 | 2260,0 | 2291,0 | |
211 | 12 | 2354,0 | - | - | - | - | - | - | |
212 | С42 | 0 | - | - | - | - | - | 24,8 | 30,7 |
213 | 1 | 36,1 | 38,3 | 41,3 | - | - | - | - | |
Индекс | а | б | в | г | д | е | ж | ||
ПЛОЩАДЬ ПОПЕРЕЧНОГО СЕЧЕНИЯ ОСНОВНОГО ШВА СТЫКОВЫХ СОЕДИНЕНИЙ | ПРИЛОЖЕНИЕ 2, лист 11 | ||||||||
N позиции | Тип шва | Толщина металла, мм | |||||||
число десятков | единицы | ||||||||
0 | 1 | 2 | 3 | 4 | 6 | 8 | |||
Площадь поперечного сечения шва, мм2 | |||||||||
214 | С43 | 1 | - | - | 51,0 | 55,0 | 59,0 | 76,0 | 95,0 |
215 | 2 | 115,0 | 126,0 | 137,0 | 149,0 | 161,0 | 187,0 | 214,0 | |
216 | 3 | 243,0 | 260,0 | 274,0 | 292,0 | 306,0 | 341,0 | 377,0 | |
217 | 4 | 414,0 | 430,0 | 453,0 | 470,0 | 493,0 | 536,0 | 580,0 | |
218 | 5 | 626,0 | 649,0 | 672,0 | 693,0 | 721,0 | 772,0 | 823,0 | |
219 | 6 | 877,0 | 905,0 | 932,0 | 960,0 | 988,0 | 1046,0 | 1105,0 | |
220 | 7 | 1166,0 | 1197,0 | 1228,0 | 1271,0 | 1314,0 | 1357,0 | 1402,0 | |
221 | 8 | 1492,0 | 1527,0 | 1562,0 | 1597,0 | 1633,0 | 1706,0 | 1780,0 | |
222 | 9 | 1856,0 | 1894,0 | 1932,0 | 1985,0 | 2038,0 | 2091,0 | 2145,0 | |
223 | 10 | 2255,0 | - | - | - | - | - | - | |
224 | С45 | 0 | - | - | - | - | - | - | 27,0 |
225 | 1 | 41,0 | 49,0 | 58,0 | 67,0 | 77,0 | 99,0 | 104,0 | |
226 | 2 | 128,0 | 140,0 | 153,0 | 167,0 | 181,0 | 211,0 | 243,0 | |
227 | 3 | 277,0 | 295,0 | 314,0 | 334,0 | 353,0 | 394,0 | 437,0 | |
228 | 4 | 482,0 | - | - | - | - | - | - | |
Индекс | а | б | в | г | д | е | ж | ||
ПРИЛОЖЕНИЕ 3, лист 1 | |||||||||
N позиции | Тип шва | Толщина металла, мм | |||||||
единицы | |||||||||
3 - 8 | 9 - 14 | 15 - 32 | 33 - 60 | 61 - 100 | |||||
Площадь поперечного сечения шва, мм2 | |||||||||
1 | С12 | 6,0 | 7,5 | 9,4 | 11,4 | - | |||
2 | С13 | 18,6 | |||||||
3 | С14 | - | - | ||||||
4 | С21 | 6,0 | 7,5 | - | |||||
5 | С23 | - | - | 18,6 | |||||
6 | С24 | - | - | ||||||
N позиции | Тип шва | Толщина металла, мм | |||||||
число десятков | единицы | ||||||||
0 | 2 | 4 | 6 | 8 | |||||
Площадь поперечного сечения шва, мм2 | |||||||||
7 | С39 | 1 | - | 16,9 | 19,7 | 25,8 | 31,8 | ||
8 | 2 | 35,5 | 38,5 | 44,8 | 51,7 | 58,9 | |||
9 | 3 | 66,5 | 74,5 | 82,9 | 91,7 | 100,9 | |||
10 | 4 | 110,5 | 120,4 | 130,7 | 141,4 | 152,4 | |||
11 | 5 | 163,8 | 175,6 | 187,6 | 200,1 | 212,9 | |||
12 | 6 | 226,0 | 243,2 | 252,0 | 270,0 | 282,0 | |||
13 | 7 | 297,0 | 312,0 | 327,0 | 343,0 | 350,2 | |||
14 | 8 | 375,4 | 387,0 | 409,1 | 427,0 | 444,1 | |||
15 | 9 | 462,1 | 480,4 | 493,0 | 517,8 | 535,8 | |||
16 | 10 | 556,5 | 576,3 | 596,8 | 616,0 | 636,8 | |||
17 | 11 | 658,0 | 673,2 | 698,7 | 724,0 | 760,0 | |||
Индекс | а | б | в | г | д | ||||
ПЛОЩАДЬ ПОПЕРЕЧНОГО СЕЧЕНИЯ ПОДВАРОЧНОГО ШВА СТЫКОВЫХ СОЕДИНЕНИЙ | ПРИЛОЖЕНИЕ 3, лист 2 | ||||||
N позиции | Тип шва | Толщина металла, мм | |||||
число десятков | единицы | ||||||
0 | 2 | 4 | 6 | 8 | |||
Площадь поперечного сечения шва, мм2 | |||||||
18 | С40 | 1 | - | 17,5 | 20,9 | 27,3 | 34,5 |
19 | 2 | 42,5 | 51,4 | 61,1 | 71,7 | 83,1 | |
20 | 3 | 95,3 | 108,4 | 122,3 | 137,0 | 152,6 | |
21 | 4 | 169,0 | 186,2 | 204,2 | 223,1 | 242,8 | |
22 | 5 | 263,4 | 284,7 | 306,9 | 330,0 | 353,8 | |
23 | 6 | 378,5 | 403,3 | 430,4 | 451,8 | 485,5 | |
24 | 7 | 515,8 | 544,0 | 574,8 | 605,8 | 642,8 | |
25 | 8 | 670,8 | 704,8 | 739,2 | 774,2 | 810,9 | |
26 | 9 | 845,8 | 885,8 | 925,6 | 964,1 | 1005,6 | |
27 | 10 | 1045,6 | 1089,4 | 1133,6 | 1177,8 | 1221,6 | |
28 | 11 | 1263,9 | 1321,3 | 1379,4 | 1437,5 | 1295,1 | |
29 | С42 | 0 | - | - | - | 43,8 | 43,8 |
30 | 1 | 68,4 | 85,2 | - | - | - | |
31 | С43 | 1 | - | 24,6 | 30,2 | 36,0 | 43,1 |
32 | 2 | 47,8 | 54,4 | 61,0 | 67,6 | 69,5 | |
33 | 3 | 78,3 | 87,6 | 97,4 | 107,5 | 118,1 | |
34 | 4 | 129,1 | 140,5 | 152,4 | 164,6 | 177,2 | |
35 | 5 | 190,3 | 203,7 | 217,3 | 231,7 | 246,2 | |
36 | 6 | 261,2 | 272,4 | 292,2 | 307,3 | 324,6 | |
37 | 7 | 341,7 | 358,5 | 376,8 | 393,8 | 411,6 | |
38 | 8 | 430,5 | 449,6 | 468,6 | 486,6 | 508,1 | |
39 | 9 | 528,2 | 548,8 | 569,8 | 591,7 | 611,4 | |
40 | 10 | 634,4 | - | - | - | - | |
41 | С45 | 0 | - | - | - | - | 76,8 |
42 | 1 | 77,6 | 78,2 | 80,3 | 83,6 | 105,4 | |
43 | 2 | 134,0 | 134,0 | 134,0 | 134,0 | 134,0 | |
44 | 3 | 198,6 | 198,6 | 198,6 | 198,6 | 198,6 | |
Индекс | а | б | в | г | д | ||
ПРИЛОЖЕНИЕ 4, лист 1 | |||||||||
N позиции | Тип шва | Толщина металла, мм | |||||||
число десятков | единицы | ||||||||
0 | 1 | 2 | 3 | 4 | 6 | 8 | |||
Площадь поперечного сечения шва, мм2 | |||||||||
1 | У1 | 0 | - | 5,3 | 9,2 | 12,7 | 16,0 | - | - |
2 | У2 | 0 | - | 4,9 | 7,9 | 17,5 | 21,6 | 29,3 | 66,5 |
3 | 1 | 104,0 | 113,0 | 122,1 | - | - | - | - | |
4 | У4 | 0 | - | 3,0 | 4,2 | 7,8 | 12,1 | 30,3 | 50,9 |
5 | 1 | 76,0 | 90,8 | 105,5 | 122,4 | 139,3 | 177,1 | 218,9 | |
6 | 2 | 264,6 | 289,4 | 314,1 | 341,0 | 367,8 | 424,3 | 485,2 | |
7 | 3 | 549,4 | - | - | - | - | - | - | |
8 | У5 | 0 | - | 3,0 | 4,2 | 7,8 | 12,1 | 30,3 | 50,9 |
9 | 1 | 76,0 | 90,8 | 105,5 | 122,4 | 139,3 | 177,1 | 218,9 | |
10 | 2 | 264,6 | 289,4 | 314,1 | 341,0 | 367,8 | 424,3 | 485,2 | |
11 | 3 | 549,4 | - | - | - | - | - | - | |
12 | У6 | 0 | - | - | - | 12,4 | 16,9 | 29,9 | 47,0 |
13 | 1 | 66,9 | 79,0 | 91,0 | 106,3 | 121,5 | 156,1 | 194,7 | |
14 | 2 | 237,2 | 260,4 | 283,6 | 308,7 | 333,8 | 387,8 | 445,6 | |
15 | 3 | 507,1 | 539,7 | 572,3 | 606,8 | 641,2 | 713,7 | 789,8 | |
16 | 4 | 869,5 | 911,1 | 952,7 | 996,1 | 1039,5 | 1129,8 | 1223,6 | |
17 | 5 | 1321,0 | 1371,3 | 1421,6 | 1473,7 | 1525,8 | 1633,5 | 1744,5 | |
18 | 6 | 1859,0 | - | - | - | - | - | - | |
Индекс | а | б | в | г | д | е | ж | ||
ПЛОЩАДЬ ПОПЕРЕЧНОГО СЕЧЕНИЯ ШВА УГЛОВЫХ СОЕДИНЕНИЙ | ПРИЛОЖЕНИЕ 4, лист 2 | ||||||||
N позиции | Тип шва | Толщина металла, мм | |||||||
число десятков | единицы | ||||||||
0 | 1 | 2 | 3 | 4 | 6 | 8 | |||
Площадь поперечного сечения шва, мм2 | |||||||||
19 | У7 | 0 | - | - | - | 12,4 | 16,9 | 29,9 | 47,0 |
20 | 1 | 66,9 | 79,0 | 91,0 | 106,3 | 121,5 | 156,1 | 194,7 | |
21 | 2 | 237,2 | 260,4 | 283,6 | 308,7 | 333,8 | 387,8 | 445,6 | |
22 | 3 | 507,1 | 539,7 | 572,3 | 606,8 | 641,2 | 713,7 | 789,8 | |
23 | 4 | 869,5 | 911,1 | 952,7 | 996,1 | 1039,5 | 1129,8 | 1223,6 | |
24 | 5 | 1321,0 | 1371,3 | 1421,6 | 1473,7 | 1525,8 | 1633,5 | 1744,5 | |
25 | 6 | 1859,0 | - | - | - | - | - | - | |
26 | У8 | 0 | - | - | - | - | - | - | 19,6 |
27 | 1 | 25,0 | 27,4 | 29,8 | 34,5 | 39,2 | 49,8 | 61,4 | |
28 | 2 | 74,0 | 81,0 | 88,0 | 95,2 | 102,4 | 118,0 | 134,6 | |
29 | 3 | 152,2 | 161,5 | 170,7 | 180,5 | 190,2 | 210,5 | 231,8 | |
30 | 4 | 254,0 | 265,5 | 277,0 | 289,0 | 300,8 | 325,6 | 351,2 | |
31 | 5 | 377,6 | 391,3 | 405,0 | 419,0 | 433,0 | 462,0 | 491,6 | |
32 | 6 | 522,2 | 543,4 | 564,6 | 575,2 | 585,7 | 619,0 | 652,3 | |
33 | 7 | 687,2 | 704,7 | 722,1 | 758,6 | 776,8 | 795,0 | 833,0 | |
34 | 8 | 871,0 | 897,3 | 923,6 | 936,7 | 949,8 | 990,8 | 1031,7 | |
35 | 9 | 1074,2 | 1095,4 | 1116,6 | 1160,5 | 1182,5 | 1204,4 | 1249,8 | |
36 | 10 | 1295,1 | - | - | - | - | - | - | |
37 | У9 | 0 | - | - | - | 12,3 | 16,6 | 29,0 | 45,4 |
38 | 1 | 64,1 | 75,1 | 86,0 | 100,4 | 114,7 | 147,2 | 183,5 | |
39 | 2 | 223,5 | 245,3 | 267,1 | 290,7 | 314,3 | 365,1 | 419,4 | |
40 | 3 | 477,1 | 507,1 | 538,3 | 570,7 | 603,0 | 671,0 | 742,4 | |
Индекс | а | б | в | г | д | е | ж | ||
ПЛОЩАДЬ ПОПЕРЕЧНОГО СЕЧЕНИЯ ШВА УГЛОВЫХ СОЕДИНЕНИЙ | ПРИЛОЖЕНИЕ 4, лист 3 | ||||||||
N позиции | Тип шва | Толщина металла, мм | |||||||
число десятков | единицы | ||||||||
0 | 1 | 2 | 3 | 4 | 6 | 8 | |||
Площадь поперечного сечения шва, мм2 | |||||||||
41 | У9 | 4 | 817,1 | 856,2 | 895,2 | 936,0 | 976,5 | 1061,2 | 1149,1 |
42 | 5 | 1240,3 | 1287,5 | 1334,6 | 1383,4 | 1432,2 | 1533,0 | 1637,0 | |
43 | 6 | 1744,2 | - | - | - | - | - | - | |
44 | У10 | 0 | - | - | - | 12,3 | 16,6 | 29,0 | 45,4 |
45 | 1 | 64,1 | 75,1 | 86,0 | 100,4 | 114,7 | 147,2 | 183,5 | |
46 | 2 | 223,5 | 245,3 | 267,1 | 290,7 | 314,3 | 365,1 | 419,4 | |
47 | 3 | 477,1 | 507,1 | 538,3 | 570,7 | 603,0 | 671,0 | 742,4 | |
48 | 4 | 817,1 | 856,2 | 895,2 | 936,0 | 976,5 | 1061,2 | 1149,1 | |
49 | 5 | 1240,3 | 1287,5 | 1334,6 | 1383,4 | 1432,2 | 1533,0 | 1637,0 | |
50 | 6 | 1744,2 | - | - | - | - | - | - | |
Индекс | а | б | в | г | д | е | ж | ||
ПРИЛОЖЕНИЕ 5 | |||||||||
N позиции | Тип шва | Толщина металла, мм | |||||||
число десятков | единицы | ||||||||
0 | 1 | 2 | 3 | 4 | 6 | 8 | |||
Площадь поперечного сечения шва, мм2 | |||||||||
1 | У8 | 0 | - | - | - | - | - | - | 29,8 |
2 | 1 | 40,0 | 47,9 | 55,7 | 63,8 | 71,8 | 89,5 | 108,8 | |
3 | 2 | 129,5 | 140,1 | 150,7 | 164,2 | 177,7 | 206,7 | 237,7 | |
4 | 3 | 270,8 | 288,4 | 306,0 | 324,6 | 343,1 | 382,2 | 423,3 | |
5 | 4 | 466,4 | 489,0 | 511,4 | 535,0 | 558,4 | 607,3 | 658,1 | |
6 | 5 | 711,0 | 738,3 | 765,5 | 793,8 | 822,1 | 880,6 | 941,0 | |
7 | 6 | 1003,2 | 1046,5 | 1090,0 | 1111,6 | 1133,2 | 1202,0 | 1270,7 | |
8 | 7 | 1343,2 | 1379,4 | 1415,6 | 1491,8 | 1530,0 | 1568,0 | 1647,7 | |
9 | 8 | 1727,4 | 1783,0 | 1838,6 | 1866,4 | 1894,2 | 1981,2 | 2068,2 | |
10 | 9 | 2158,8 | 2204,1 | 2249,3 | 2343,5 | 2390,6 | 2437,6 | 2535,3 | |
11 | 10 | 2633,0 | - | - | - | - | - | - | |
Индекс | а | б | в | г | д | е | ж | ||
ПРИЛОЖЕНИЕ 6, лист 1 | |||||||||
N позиции | Тип шва | Толщина металла, мм | |||||||
число десятков | единицы | ||||||||
0 | 1 | 2 | 3 | 4 | 6 | 8 | |||
Площадь поперечного сечения шва, мм2 | |||||||||
1 | Т2 | 1 | - | - | - | - | - | 238,2 | 271,9 |
2 | 2 | 306,0 | 325,0 | 343,9 | 364,3 | 384,7 | 426,5 | 469,2 | |
3 | 3 | 512,8 | 525,5 | 538,1 | 567,7 | 597,3 | 659,0 | 723,2 | |
4 | 4 | 789,9 | 824,5 | 859,1 | 895,0 | 930,7 | 1004,6 | 1080,9 | |
5 | 5 | 1159,5 | 1200,0 | 1240,5 | 1282,1 | 1323,7 | 1409,1 | 1496,8 | |
6 | 6 | 1586,7 | 1648,8 | 1711,0 | 1742,0 | 1772,9 | 1870,4 | 1967,8 | |
7 | 7 | 2103,4 | 2137,3 | 2171,1 | 2277,0 | 2330,0 | 2382,7 | 2492,6 | |
8 | 8 | 2602,5 | 2678,4 | 2754,4 | 2792,4 | 2830,3 | 2948,2 | 3066,1 | |
9 | 9 | 3228,5 | 3269,1 | 3309,7 | 3435,4 | 3498,2 | 3561,0 | 3690,5 | |
10 | Т5 | 3 | 438,0 | 462,0 | 486,0 | 511,0 | 536,0 | 587,6 | 641,2 |
11 | 4 | 696,4 | 725,0 | 753,4 | 782,7 | 812,0 | 872,2 | 934,2 | |
12 | 5 | 997,6 | 1030,2 | 1062,8 | 1096,1 | 1129,4 | 1197,4 | 1267,2 | |
13 | 6 | 1338,2 | 1387,1 | 1436,1 | 1460,6 | 1485,0 | 1561,1 | 1637,2 | |
14 | 7 | 1742,6 | 1769,0 | 1795,2 | 1877,0 | 1917,8 | 1958,6 | 2043,0 | |
15 | 8 | 2127,4 | 2185,3 | 2243,3 | 2272,3 | 2301,2 | 2390,8 | 2480,4 | |
16 | 9 | 2603,2 | 2634,0 | 2664,6 | 2759,1 | 2806,4 | 2853,6 | 2950,6 | |
17 | 10 | 3047,6 | 3120,0 | 3192,2 | 3264,4 | 3334,7 | 3407,6 | 3480,8 | |
18 | 11 | 3553,4 | 3629,8 | 3706,2 | 3782,6 | 3859,0 | 3935,4 | 4011,8 | |
19 | 12 | 4088,2 | - | - | - | - | - | - | |
20 | Т6 | 0 | - | - | - | 11,6 | 17,6 | 34,6 | 59,8 |
21 | 1 | 91,3 | 110,2 | 129,1 | 151,0 | 172,9 | 222,7 | 278,5 | |
Индекс | а | б | в | г | д | е | ж | ||
ПЛОЩАДЬ ПОПЕРЕЧНОГО СЕЧЕНИЯ ШВА ТАВРОВЫХ СОЕДИНЕНИЙ | ПРИЛОЖЕНИЕ 6, лист 2 | ||||||||
N позиции | Тип шва | Толщина металла, мм | |||||||
число десятков | единицы | ||||||||
0 | 1 | 2 | 3 | 4 | 6 | 8 | |||
Площадь поперечного сечения шва, мм2 | |||||||||
22 | Т6 | 2 | 340,0 | 373,7 | 407,4 | 444,0 | 480,5 | 559,2 | 643,6 |
23 | 3 | 733,5 | 781,3 | 829,0 | 879,5 | 930,0 | 1036,5 | 1148,4 | |
24 | 4 | 1265,7 | 1327,0 | 1388,3 | 1452,4 | 1516,4 | 1649,7 | 1788,4 | |
25 | 5 | 1932,3 | 2007,0 | 2081,4 | 2158,6 | 2235,8 | 2395,5 | 2560,3 | |
26 | 6 | 2730,2 | - | - | - | - | - | - | |
27 | Т7 | 0 | - | - | - | 19,4 | 29,7 | 65,5 | 111,6 |
28 | 1 | 168,7 | 202,6 | 236,5 | 275,6 | 314,7 | 402,9 | 501,3 | |
29 | 2 | 609,2 | 643,0 | 676,6 | 713,2 | 749,7 | 828,4 | 912,8 | |
30 | 3 | 1002,7 | 1050,5 | 1098,2 | 1148,7 | 1199,2 | 1305,7 | 1417,6 | |
31 | 4 | 1535,0 | 1596,3 | 1657,5 | 1721,6 | 1785,6 | 1919,0 | 2057,6 | |
32 | 5 | 2201,5 | 2276,1 | 2350,6 | 2427,8 | 2505,0 | 2664,7 | 2829,5 | |
33 | 6 | 2999,4 | - | - | - | - | - | - | |
34 | Т8 | 0 | - | - | - | - | - | - | 59,6 |
35 | 1 | 80,0 | 95,7 | 111,4 | 127,5 | 143,6 | 179,0 | 217,6 | |
36 | 2 | 259,0 | 280,2 | 301,4 | 328,4 | 355,4 | 413,4 | 475,4 | |
37 | 3 | 541,6 | 576,7 | 611,8 | 649,0 | 686,2 | 764,4 | 846,6 | |
38 | 4 | 932,8 | 977,8 | 1022,8 | 1069,8 | 1116,8 | 1214,6 | 1316,2 | |
39 | 5 | 1421,8 | 1476,4 | 1531,0 | 1587,6 | 1644,2 | 1761,2 | 1881,8 | |
40 | 6 | 2006,4 | 2093,1 | 2179,8 | 2223,1 | 2266,4 | 2404,0 | 2541,4 | |
41 | 7 | 2734,6 | 2783,0 | 2831,2 | 2983,5 | 3059,7 | 3135,8 | 3295,3 | |
42 | 8 | 3454,8 | 3566,0 | 3677,2 | 3732,8 | 3788,4 | 3962,4 | 4136,4 | |
43 | 9 | 4378,0 | 4438,3 | 4498,6 | 4687,0 | 4781,1 | 4875,2 | 5070,6 | |
44 | 10 | 5266,0 | - | - | - | - | - | - | |
Индекс | а | б | в | г | д | е | ж | ||
ПЛОЩАДЬ ПОПЕРЕЧНОГО СЕЧЕНИЯ ШВА ТАВРОВЫХ СОЕДИНЕНИЙ | ПРИЛОЖЕНИЕ 6, лист 3 | ||||||||
N позиции | Тип шва | Толщина металла, мм | |||||||
число десятков | единицы | ||||||||
0 | 1 | 1 | 3 | 4 | 6 | 8 | |||
Площадь поперечного сечения шва мм2 | |||||||||
45 | Т9 | 1 | - | - | 73,0 | 84,4 | 95,8 | 121,4 | 149,4 |
46 | 2 | 179,8 | 196,2 | 212,6 | 230,2 | 247,8 | 285,4 | 325,2 | |
47 | 3 | 367,2 | 389,3 | 411,4 | 434,6 | 457,8 | 506,2 | 556,8 | |
48 | 4 | 609,4 | 636,8 | 664,2 | 692,5 | 720,8 | 779,6 | 840,2 | |
49 | 5 | 902,8 | 935,1 | 967,4 | 1000,7 | 1034,0 | 1102,4 | 1172,6 | |
50 | 6 | 1244,8 | 1294,7 | 1344,7 | 1369,7 | 1394,6 | 1473,2 | 1551,8 | |
51 | 7 | 1661,3 | 1688,7 | 1716,0 | 1801,7 | 1844,6 | 1887,4 | 1976,7 | |
52 | 8 | 2066,0 | 2187,7 | 2189,5 | 2220,4 | 2251,2 | 2347,3 | 2443,4 | |
53 | 9 | 2576,1 | 2609,3 | 2642,4 | 2745,2 | 2796,6 | 2848,0 | 2954,2 | |
54 | 10 | 3060,4 | - | - | - | - | - | - | |
Индекс | а | б | в | г | д | е | ж | ||
ПРИЛОЖЕНИЕ 7 | ||||||||||
N позиции | Тип шва | Катет шва, мм | ||||||||
число десятков | единицы | |||||||||
0 | 1 | 2 | 3 | 4 | 6 | 8 | 9 | |||
Площадь поперечного сечения шва, мм2 | ||||||||||
1 | У4 У5 | 0 | - | 1,4 | 4,2 | 7,8 | 12,1 | 30,9 | 51,8 | 64,0 |
2 | У7 У10 | 1 | 77,4 | 92,4 | 107,4 | 124,6 | 141,8 | 180,2 | 222,8 | 246,0 |
3 | Т1 Т2 Т3 Т7 | 2 | 269,2 | 289,0 | 311,0 | 330,0 | 364,0 | 418,0 | 475,5 | 510,0 |
4 | Н1 Н2 | 3 | 544,4 | - | - | - | - | - | - | - |
Индекс | а | б | в | г | д | е | ж | з | ||
ПРИЛОЖЕНИЕ 8 | |||
N позиции | Наименование изделий | Площадь поперечного сечения шва, мм2 | |
первого прохода F1 | последующих проходов F2 | ||
1 | Изделия из листового или профильного проката | 30 | 55 |
2 | Изделия из труб | 25 | 40 |
Индекс | а | б | |
ПРИЛОЖЕНИЕ 9 | ||||||||||
N позиции | Диаметр кольцевого стыка, мм | Диаметр кольцевого стыка, мм | ||||||||
- | 10 | 20 | 30 | 40 | 50 | 60 | 70 | 80 | ||
Значение длины кольцевого стыка, м, до | ||||||||||
1 | - | - | 0,031 | 0,063 | 0,094 | 0,120 | 0,160 | 0,190 | 0,220 | 0,250 |
2 | 90 | 0,280 | - | - | - | - | - | - | - | - |
3 | 100 | 0,314 | 0,340 | 0,370 | 0,410 | 0,440 | 0,470 | 0,503 | 0,530 | 0,560 |
4 | 200 | 0,63 | 0,66 | 0,69 | 0,73 | 0,75 | 0,79 | 0,81 | 0,85 | 0,88 |
5 | 300 | 0,94 | 0,97 | 1,00 | 1,03 | 1,07 | 1,10 | 1,13 | 1,16 | 1,19 |
6 | 400 | 1,26 | 1,29 | 1,32 | 1,35 | 1,38 | 1,42 | 1,44 | 1,48 | 1,50 |
7 | 500 | 1,57 | 1,60 | 1,63 | 1,66 | 1,69 | 1,73 | 1,76 | 1,79 | 1,82 |
8 | 600 | 1,88 | 1,91 | 1,95 | 1,97 | 2,00 | 2,04 | 2,10 | 2,12 | 2,14 |
9 | 700 | 2,20 | 2,23 | 2,26 | 2,29 | 2,32 | 2,35 | 2,39 | 2,42 | 2,45 |
10 | 800 | 2,51 | 2,54 | 2,57 | 2,60 | 2,63 | 2,67 | 2,70 | 2,73 | 2,76 |
11 | 900 | 2,83 | 2,86 | 2,89 | 2,92 | 2,95 | 2,98 | 3,02 | 3,05 | 3,08 |
12 | 1000 | 3,14 | - | - | - | - | - | - | - | - |
Индекс | а | б | в | г | д | е | ж | з | и | |
ПРИЛОЖЕНИЕ 10, лист 1 | |||
Тип шва | Наименование шва | Эскиз | Формула расчета площади поперечного сечения шва |
С1 | Стыковые соединения с отбортовкой кромок односторонние | ![]() | F = biспр + 0,75 l q |
С2 | Стыковые соединения без скоса кромок односторонние | ![]() | F = Sb + 0,75 lq |
С3 | Стыковые соединения с отбортовкой кромки односторонние | ![]() | F = Sb + 0,75 (q + i) |
НАИМЕНОВАНИЕ, ТИП, ВИД ШВА И ФОРМУЛЫ РАСЧЕТА ПЛОЩАДИ ПОПЕРЕЧНОГО СЕЧЕНИЯ ШВОВ | ПРИЛОЖЕНИЕ 10, лист 2 | ||
Тип шва | Наименование шва | Эскиз | Формула расчета площади поперечного сечения шва |
С4 | Стыковые соединения без скоса односторонние на съемной подкладке | ![]() | F = Sb + 0,75 lq |
С5 | Стыковые соединения без скоса кромок односторонние на остающейся подкладке | ![]() | F = Sb + 0,75 lq + 0,75 l1q1 |
С6 | Стыковые соединения без скоса кромок односторонние замковые | ![]() | F = Sb + 0,75 lq |
НАИМЕНОВАНИЕ, ТИП, ВИД ШВА И ФОРМУЛЫ РАСЧЕТА ПЛОЩАДИ ПОПЕРЕЧНОГО СЕЧЕНИЯ ШВОВ | ПРИЛОЖЕНИЕ 10, лист 3 | ||
Тип шва | Наименование шва | Эскиз | Формула расчета площади поперечного сечения шва |
С7 | Стыковые соединения без скоса кромок двусторонние | ![]() | ![]() |
С8 | Стыковые соединения со скосом одной кромки односторонние | ![]() | ![]() |
С9 | Стыковые соединения со скосом одной кромки односторонние на съемной подкладке | ![]() | ![]() |
НАИМЕНОВАНИЕ, ТИП, ВИД ШВА И ФОРМУЛЫ РАСЧЕТА ПЛОЩАДИ ПОПЕРЕЧНОГО СЕЧЕНИЯ ШВОВ | ПРИЛОЖЕНИЕ 10, лист 4 | ||
Тип шва | Наименование шва | Эскиз | Формула расчета площади поперечного сечения шва |
С10 | Стыковые соединения со скосом одной кромки односторонние на остающейся подкладке | ![]() | ![]() |
С11 | Стыковые соединения со скосом одной кромки односторонние замковые | ![]() | ![]() |
С12 | Стыковые соединения со скосом одной кромки двусторонние | ![]() | ![]() Fп = 0,75 l1q1 |
НАИМЕНОВАНИЕ, ТИП, ВИД ШВА И ФОРМУЛЫ РАСЧЕТА ПЛОЩАДИ ПОПЕРЕЧНОГО СЕЧЕНИЯ ШВОВ | ПРИЛОЖЕНИЕ 10, лист 5 | ||
Тип шва | Наименование шва | Эскиз | Формула расчета площади поперечного сечения шва |
С13 | Стыковые соединения с криволинейным скосом одной кромки двусторонние | ![]() | ![]() Fп = 0,75 l1q1 |
С14 | Стыковые соединения с ломаным скосом одной кромки двусторонние | ![]() | ![]() Fп = 0,75 l1q1 |
С15 | Стыковые соединения с двумя симметричными скосами одной кромки | ![]() | ![]() Fо = Fп |
НАИМЕНОВАНИЕ, ТИП, ВИД ШВА И ФОРМУЛЫ РАСЧЕТА ПЛОЩАДИ ПОПЕРЕЧНОГО СЕЧЕНИЯ ШВОВ | ПРИЛОЖЕНИЕ 10, лист 6 | ||
Тип шва | Наименование шва | Эскиз | Формула расчета площади поперечного сечения шва |
С16 | Стыковые соединения с двумя симметричными криволинейными скосами одной кромки | ![]() | ![]() Fо = Fп |
С17 | Стыковые соединения со скосом двух кромок односторонние | ![]() | ![]() |
С18 | Стыковые соединения со скосом двух кромок односторонние на съемной подкладке | ![]() | ![]() |
НАИМЕНОВАНИЕ, ТИП, ВИД ШВА И ФОРМУЛЫ РАСЧЕТА ПЛОЩАДИ ПОПЕРЕЧНОГО СЕЧЕНИЯ ШВОВ | ПРИЛОЖЕНИЕ 10, лист 7 | ||
Тип шва | Наименование шва | Эскиз | Формула расчета площади поперечного сечения шва |
С19 | Стыковые соединения со скосом двух кромок односторонние на остающейся подкладке | ![]() | ![]() |
С20 | Стыковые соединения со скосом двух кромок односторонние замковые | ![]() | ![]() |
С21 | Стыковые соединения со скосом двух кромок двусторонние | ![]() | ![]() Fп = 0,75 l1q1 |
НАИМЕНОВАНИЕ, ТИП, ВИД ШВА И ФОРМУЛЫ РАСЧЕТА ПЛОЩАДИ ПОПЕРЕЧНОГО СЕЧЕНИЯ ШВОВ | ПРИЛОЖЕНИЕ 10, лист 8 | ||
Тип шва | Наименование шва | Эскиз | Формула расчета площади поперечного сечения шва |
С23 | Стыковые соединения с криволинейным скосом двух кромок двусторонние | ![]() | ![]() Fп = 0,75 l1q1 |
С24 | Стыковые соединения с ломаным скосом двух кромок двусторонние | ![]() | ![]() Fп = 0,75 l1q1 |
НАИМЕНОВАНИЕ, ТИП, ВИД ШВА И ФОРМУЛЫ РАСЧЕТА ПЛОЩАДИ ПОПЕРЕЧНОГО СЕЧЕНИЯ ШВОВ | ПРИЛОЖЕНИЕ 10, лист 9 | ||
Тип шва | Наименование шва | Эскиз | Формула расчета площади поперечного сечения шва |
С25 | Стыковые соединения с двумя симметричными скосами двух кромок двусторонние | ![]() | ![]() Fо = Fп |
С26 | Стыковые соединения с двумя симметричными криволинейными скосами двух кромок двусторонние | ![]() | ![]() Fо = Fп |
НАИМЕНОВАНИЕ, ТИП, ВИД ШВА И ФОРМУЛЫ РАСЧЕТА ПЛОЩАДИ ПОПЕРЕЧНОГО СЕЧЕНИЯ ШВОВ | ПРИЛОЖЕНИЕ 10, лист 10 | ||
Тип шва | Наименование шва | Эскиз | Формула расчета площади поперечного сечения шва |
С27 | Стыковые соединения с двумя симметричными ломаными скосами двух кромок | ![]() | ![]() Fо = Fп |
С28 | Стыковые соединения с отбортовкой кромок односторонние | ![]() | ![]() |
НАИМЕНОВАНИЕ, ТИП, ВИД ШВА И ФОРМУЛЫ РАСЧЕТА ПЛОЩАДИ ПОПЕРЕЧНОГО СЕЧЕНИЯ ШВОВ | ПРИЛОЖЕНИЕ 10, лист 11 | ||
Тип шва | Наименование шва | Эскиз | Формула расчета площади поперечного сечения шва |
С39 | Стыковые соединения с двумя симметричными скосами кромок двусторонние | ![]() | ![]() ![]() |
С40 | Стыковые соединения с двумя несимметричными скосами кромок двусторонние | ![]() | ![]() ![]() |
НАИМЕНОВАНИЕ, ТИП, ВИД ШВА И ФОРМУЛЫ РАСЧЕТА ПЛОЩАДИ ПОПЕРЕЧНОГО СЕЧЕНИЯ ШВОВ | ПРИЛОЖЕНИЕ 10, лист 12 | ||
Тип шва | Наименование шва | Эскиз | Формула расчета площади поперечного сечения шва |
С42 | Стыковые соединения без скоса кромок с последующей строжкой двусторонние | ![]() | Fо = Sb + 0,75 lq ![]() |
С43 | Стыковые соединения с двумя несимметричными скосами одной кромки двусторонние | ![]() | ![]() ![]() |
НАИМЕНОВАНИЕ, ТИП, ВИД ШВА И ФОРМУЛЫ РАСЧЕТА ПЛОЩАДИ ПОПЕРЕЧНОГО СЕЧЕНИЯ ШВОВ | ПРИЛОЖЕНИЕ 10, лист 13 | ||
Тип шва | Наименование шва | Эскиз | Формула расчета площади поперечного сечения шва |
С45 | Стыковые соединения со скосом кромок с последующей строжкой двусторонние | ![]() | ![]() ![]() |
С46 | Стыковые соединения труб со скосом кромок односторонние с расплавляемой вставкой | ![]() | ![]() |
НАИМЕНОВАНИЕ, ТИП, ВИД ШВА И ФОРМУЛЫ РАСЧЕТА ПЛОЩАДИ ПОПЕРЕЧНОГО СЕЧЕНИЯ ШВОВ | ПРИЛОЖЕНИЕ 10, лист 14 | ||
Тип шва | Наименование шва | Эскиз | Формула расчета площади поперечного сечения шва |
С49 | Стыковые соединения труб со скосом кромок с расточкой односторонние на остающейся цилиндрической подкладке | ![]() | ![]() |
С50 | Стыковые соединения труб со скосом кромок с расточкой односторонние на остающейся конической подкладке | ![]() | ![]() |
С52 | Стыковые соединения труб с криволинейным скосом кромок с расточкой односторонние на остающейся цилиндрической подкладке | ![]() | ![]() |
НАИМЕНОВАНИЕ, ТИП, ВИД ШВА И ФОРМУЛЫ РАСЧЕТА ПЛОЩАДИ ПОПЕРЕЧНОГО СЕЧЕНИЯ ШВОВ | ПРИЛОЖЕНИЕ 10, лист 15 | ||
Тип шва | Наименование шва | Эскиз | Формула расчета площади поперечного сечения шва |
С53 | Стыковые соединения труб с криволинейным скосом кромок с расточкой односторонние на остающейся подкладке | ![]() | ![]() |
С54 | Стыковые соединения секторов колен со скосом кромок двусторонние | ![]() | ![]() Fп = 0,75 l1q1 |
НАИМЕНОВАНИЕ, ТИП, ВИД ШВА И ФОРМУЛЫ РАСЧЕТА ПЛОЩАДИ ПОПЕРЕЧНОГО СЕЧЕНИЯ ШВОВ | ПРИЛОЖЕНИЕ 10, лист 16 | ||
Тип шва | Наименование шва | Эскиз | Формула расчета площади поперечного сечения шва |
С55 | Стыковые соединения секторов колен со скосом кромок односторонние на съемной подкладке | ![]() | ![]() |
С56 | Стыковые соединения труб с несимметричными скосами двух кромок двусторонние | ![]() | ![]() Fп = 0,75 l1q1 |
НАИМЕНОВАНИЕ, ТИП, ВИД ШВА И ФОРМУЛЫ РАСЧЕТА ПЛОЩАДИ ПОПЕРЕЧНОГО СЕЧЕНИЯ ШВОВ | ПРИЛОЖЕНИЕ 10, лист 17 | ||
Тип шва | Наименование шва | Эскиз | Формула расчета площади поперечного сечения шва |
У1 | Угловые соединения с отбортовкой одной кромки односторонние | ![]() | F = biспр + 0,75 lq |
У2 | Угловые соединения с отбортовкой одной кромки односторонние | ![]() | ![]() |
НАИМЕНОВАНИЕ, ТИП, ВИД ШВА И ФОРМУЛЫ РАСЧЕТА ПЛОЩАДИ ПОПЕРЕЧНОГО СЕЧЕНИЯ ШВОВ | ПРИЛОЖЕНИЕ 10, лист 18 | ||
Тип шва | Наименование шва | Эскиз | Формула расчета площади поперечного сечения шва |
У4 | Угловые соединения без скоса кромок односторонние | ![]() | ![]() |
![]() | F = Sb + 0,75 lq | ||
У5 | Угловые соединения без скоса кромок двусторонние | ![]() | Fо = Sb + 0,75 lq ![]() |
![]() | ![]() ![]() | ||
НАИМЕНОВАНИЕ, ТИП, ВИД ШВА И ФОРМУЛЫ РАСЧЕТА ПЛОЩАДИ ПОПЕРЕЧНОГО СЕЧЕНИЯ ШВОВ | ПРИЛОЖЕНИЕ 10, лист 19 | ||
Тип шва | Наименование шва | Эскиз | Формула расчета площади поперечного сечения шва |
У6 | Угловые соединения со скосом одной кромки односторонние | ![]() | ![]() |
У7 | Угловые соединения со скосом одной кромки двусторонние | ![]() | ![]() ![]() |
НАИМЕНОВАНИЕ, ТИП, ВИД ШВА И ФОРМУЛЫ РАСЧЕТА ПЛОЩАДИ ПОПЕРЕЧНОГО СЕЧЕНИЯ ШВОВ | ПРИЛОЖЕНИЕ 10, лист 20 | ||
Тип шва | Наименование шва | Эскиз | Формула расчета площади поперечного сечения шва |
У8 | Угловые соединения с двумя симметричными скосами одной кромки двусторонние | ![]() | ![]() Fо = Fп |
У9 | Угловые соединения со скосом двух кромок односторонние | ![]() | ![]() |
НАИМЕНОВАНИЕ, ТИП, ВИД ШВА И ФОРМУЛЫ РАСЧЕТА ПЛОЩАДИ ПОПЕРЕЧНОГО СЕЧЕНИЯ ШВОВ | ПРИЛОЖЕНИЕ 10, лист 21 | ||
Тип шва | Наименование шва | Эскиз | Формула расчета площади поперечного сечения шва |
У10 | Угловые соединения со скосом двух кромок двусторонние | ![]() | ![]() ![]() |
У15 | Угловые соединения фланцев с трубой со скосом одной кромки односторонние с раздачей и развальцовкой | ![]() | ![]() |
НАИМЕНОВАНИЕ, ТИП, ВИД ШВА И ФОРМУЛЫ РАСЧЕТА ПЛОЩАДИ ПОПЕРЕЧНОГО СЕЧЕНИЯ ШВОВ | ПРИЛОЖЕНИЕ 10, лист 22 | ||
Тип шва | Наименование шва | Эскиз | Формула расчета площади поперечного сечения шва |
У16 | Угловые соединения отростков с трубой равных размеров | ![]() | ![]() |
У17 У18 | Угловые соединения отростка, ответвительного штуцера или приварыша с трубой без скоса кромок односторонние | ![]() | ![]() |
НАИМЕНОВАНИЕ, ТИП, ВИД ШВА И ФОРМУЛЫ РАСЧЕТА ПЛОЩАДИ ПОПЕРЕЧНОГО СЕЧЕНИЯ ШВОВ | ПРИЛОЖЕНИЕ 10, лист 23 | ||
Тип шва | Наименование шва | Эскиз | Формула расчета площади поперечного сечения шва |
У19 | Угловые соединения отростка, ответвительного штуцера или приварыша с трубой со скосом одной кромки односторонние | ![]() | ![]() |
У20 | Угловые соединения ответвительного штуцера или приварыша с трубой со скосом одной кромки односторонние на цилиндрическом усе | ![]() | ![]() |
НАИМЕНОВАНИЕ, ТИП, ВИД ШВА И ФОРМУЛЫ РАСЧЕТА ПЛОЩАДИ ПОПЕРЕЧНОГО СЕЧЕНИЯ ШВОВ | ПРИЛОЖЕНИЕ 10, лист 24 | ||
Тип шва | Наименование шва | Эскиз | Формула расчета площади поперечного сечения шва |
У21 | Угловые соединения ответвительного штуцера или приварыша с трубой со скосом одной кромки односторонние на съемной подкладке | ![]() | ![]() |
Т1 Н1 Н3 | Тавровые и нахлесточные соединения без скоса кромок односторонние | ![]() | ![]() |
НАИМЕНОВАНИЕ, ТИП, ВИД ШВА И ФОРМУЛЫ РАСЧЕТА ПЛОЩАДИ ПОПЕРЕЧНОГО СЕЧЕНИЯ ШВОВ | ПРИЛОЖЕНИЕ 10, лист 25 | ||
Тип шва | Наименование шва | Эскиз | Формула расчета площади поперечного сечения шва |
Т3 Н2 Н4 | Тавровые и нахлесточные соединения без скоса кромок двусторонние | ![]() | ![]() |
НАИМЕНОВАНИЕ, ТИП, ВИД ШВА И ФОРМУЛЫ РАСЧЕТА ПЛОЩАДИ ПОПЕРЕЧНОГО СЕЧЕНИЯ ШВОВ | ПРИЛОЖЕНИЕ 10, лист 26 | ||
Тип шва | Наименование шва | Эскиз | Формула расчета площади поперечного сечения шва |
Т2 | Тавровые соединения с криволинейным скосом одной кромки двусторонние | ![]() | ![]() ![]() |
Т5 | Тавровые соединения с симметричными криволинейными скосами одной кромки двусторонние | ![]() | ![]() Fо = Fп |
НАИМЕНОВАНИЕ, ТИП, ВИД ШВА И ФОРМУЛЫ РАСЧЕТА ПЛОЩАДИ ПОПЕРЕЧНОГО СЕЧЕНИЯ ШВОВ | ПРИЛОЖЕНИЕ 10, лист 27 | ||
Тип шва | Наименование шва | Эскиз | Формула расчета площади поперечного сечения шва |
Т6 | Тавровые соединения со скосом одной кромки односторонние | ![]() | ![]() |
Т7 | Тавровые соединения со скосом одной кромки двусторонние | ![]() | ![]() |
НАИМЕНОВАНИЕ, ТИП, ВИД ШВА И ФОРМУЛЫ РАСЧЕТА ПЛОЩАДИ ПОПЕРЕЧНОГО СЕЧЕНИЯ ШВОВ | ПРИЛОЖЕНИЕ 10, лист 28 | ||
Тип шва | Наименование шва | Эскиз | Формула расчета площади поперечного сечения шва |
Т8 | Тавровые соединения с двумя симметричными скосами одной кромки двусторонние | ![]() | ![]() Fо = Fп |
Т9 | Тавровые соединения с двумя симметричными скосами одной кромки двусторонние | ![]() | ![]() Fо = Fп |