Главная // Актуальные документы // НаставлениеСПРАВКА
Источник публикации
М.: ФГБУ "Гидрометцентр России", 2019
Примечание к документу
Документ
введен в действие с 01.10.2019.
Название документа
"РД 52.27.724-2019. Руководящий документ. Наставление по краткосрочным прогнозам погоды общего назначения"
(введен в действие Приказом Росгидромета от 25.06.2019 N 297)
"РД 52.27.724-2019. Руководящий документ. Наставление по краткосрочным прогнозам погоды общего назначения"
(введен в действие Приказом Росгидромета от 25.06.2019 N 297)
Руководителем Росгидромета
11 апреля 2019 года
Введен в действие
от 25 июня 2019 г. N 297
РУКОВОДЯЩИЙ ДОКУМЕНТ
НАСТАВЛЕНИЕ ПО КРАТКОСРОЧНЫМ ПРОГНОЗАМ ПОГОДЫ
ОБЩЕГО НАЗНАЧЕНИЯ
РД 52.27.724-2019
Дата введения
1 октября 2019 года
1 РАЗРАБОТАН Федеральным государственным бюджетным учреждением "Гидрометеорологический научно-исследовательский центр России" (ФГБУ "Гидрометцентр России")
2 РАЗРАБОТЧИКИ А.М. Кабак (руководитель разработки); А.А. Алексеева, канд. геогр. наук; А.А. Васильев, д-р геогр. наук; А.Д. Голубев; В.И. Лукьянов
3 СОГЛАСОВАН с Управлением государственной наблюдательной сети (УГНС) Росгидромета 10.04.2019
4 ОДОБРЕН Центральной методической комиссией по гидрометеорологическим и гелиогеофизическим прогнозам Росгидромета 26.09.2018
5 УТВЕРЖДЕН Руководителем Росгидромета 11.04.2019
ВВЕДЕН В ДЕЙСТВИЕ
приказом Росгидромета от 25.06.2019 N 297
6 ЗАРЕГИСТРИРОВАН головной организацией по стандартизации Росгидромета ФГБУ "НПО "Тайфун" 03.07.2019
ОБОЗНАЧЕНИЕ РУКОВОДЯЩЕГО ДОКУМЕНТА РД 52.27.724-2019
7 ВЗАМЕН
РД 52.27.724-2009 "Наставление по краткосрочным прогнозам погоды общего назначения"
8 СРОК ПЕРВОЙ ПРОВЕРКИ 2024 год
ПЕРИОДИЧНОСТЬ ПРОВЕРКИ 5 лет
Настоящее наставление по краткосрочным прогнозам погоды общего назначения (далее - руководящий документ) является шестым изданием. При подготовке настоящего руководящего документа учтены положения:
- Федерального
закона от 19.07.1998 N 113-Ф3 "О гидрометеорологической службе" (ред. от 03.08.2018);
-
постановления Правительства Российской Федерации от 15.11.1997 N 1425 "Об информационных услугах в области гидрометеорологии и мониторинга загрязнения окружающей природной среды" (в ред. постановления Правительства РФ от 28.03.2008 N 214);
-
РД 52.88.699-2008 Положение о порядке действий учреждений и организаций при угрозе возникновения и возникновении опасных природных явлений.
В настоящий руководящий документ внесены изменения, направленные на улучшение качества составляемых прогнозов погоды общего назначения и штормовых предупреждений и доступности для понимания этой продукции потребителями и населением:
- уточнены термины, используемые в прогнозах погоды, с учетом современных подходов к прогностической продукции общего назначения;
- изменен подход к формулировке прогноза осадков для улучшения понимания потребителями и населением;
- представлен типовой перечень неблагоприятных метеорологических явлений;
- даны примеры формулировки и оценки выпускаемых прогнозов погоды общего назначения и штормовых предупреждений;
- уточнены методики оценки успешности (качества) прогнозов погоды и штормовых предупреждений.
1.1 Настоящий руководящий документ предназначен для оперативно-прогностических подразделений, функционирующих на базе управлений по гидрометеорологии и мониторингу окружающей среды (УГМС), научно-исследовательских учреждений и других организаций Росгидромета, осуществляющих выпуск краткосрочных прогнозов погоды общего назначения и уточнений к ним, штормовых предупреждений об опасных явлениях (ОЯ) погоды.
1.2 Настоящий руководящий документ устанавливает:
- порядок составления краткосрочных прогнозов погоды общего назначения (далее - прогнозы погоды) и уточнений к ним, штормовых предупреждений об ОЯ (далее - штормовые предупреждения);
- терминологию, применяемую для описания ожидаемой погоды и развития атмосферных процессов, диапазон (градации), а также качественные характеристики (при необходимости) прогнозируемых метеорологических величин и явлений погоды;
- методику оценки успешности (качества) прогнозов погоды и штормовых предупреждений;
- методику расчета показателей успешности (качества) прогнозов погоды и штормовых предупреждений за календарные сроки (месяц, квартал, сезон, год).
1.3 Прогнозы погоды и штормовые предупреждения предоставляются органам государственной власти, отраслям экономики и населению
[1],
[2].
1.4 Прогнозы погоды должны выпускаться своевременно, а штормовые предупреждения - с максимально возможной заблаговременностью, независимо от того, предусматривались ОЯ или нет в ранее разработанных прогнозах погоды.
1.5 Прогнозы погоды, штормовые предупреждения, другая информация об ожидаемых погодных условиях и предназначенная для их распространения продукция (бюллетени, справки, пресс-релизы и т.п.) должны подготавливаться с использованием четких, кратких и однозначных формулировок, понятных пользователям (потребителям).
В настоящем руководящем документе использованы нормативные ссылки на следующие руководящие документы:
РД 52.27.284-91 Методические указания. Проведение производственных (оперативных) испытаний новых и усовершенствованных методов гидрометеорологических и гелиогеофизических прогнозов
РД 52.27.723-2009 Базовые требования к технологии подготовки краткосрочных прогнозов погоды
РД 52.88.699-2008 Положение о порядке действий учреждений и организаций при угрозе возникновения и возникновении опасных природных явлений
3 Термины, определения и сокращения
3.1 В настоящем руководящем документе использованы следующие термины с соответствующими определениями:
3.1.1 заблаговременность штормового предупреждения: Период времени от момента передачи штормового предупреждения до момента возникновения ОЯ.
3.1.2
краткосрочный прогноз погоды: Прогноз метеорологических величин и явлений погоды на период от 12 до 72 ч
[5].
3.1.3 критерий опасного (неблагоприятного) явления: Количественное значение характеристики метеорологической величины, сочетание (комплекс) метеорологических явлений и временной промежуток, при достижении которых явление считается опасным (неблагоприятным).
3.1.4
метеорологические величины (элементы): Характеристики состояния атмосферы и атмосферные процессы, которые непосредственно наблюдаются на метеорологических станциях (атмосферное давление, температура и влажность воздуха, направление и скорость ветра, количество и форма облачности, количество и вид выпадающих осадков, метеорологическая дальность видимости, температура почвы и ее состояние, высота снежного покрова и пр.)
[3].
3.1.5
наблюдательное подразделение; НП: Структурное или обособленное подразделение организации наблюдательной сети, непосредственно выполняющее наблюдения за состоянием окружающей среды, ее загрязнением в одном или нескольких закрепленных стационарных или подвижных пунктах наблюдений, а также первичную обработку результатов наблюдений и передачу их в установленные адреса по утвержденной схеме. |
3.1.6
неблагоприятное метеорологическое явление; НЯ: Метеорологическое явление, которое значительно затрудняет или препятствует деятельности отдельных отраслей экономики и может нанести материальный ущерб, но по своим количественным значениям не достигает критериев опасного метеорологического явления. Примечание - Информация о прогнозируемом неблагоприятном метеорологическом явлении подготавливается оперативно-прогностическим подразделением и передается пользователю (потребителю) по договорам на услуги по информационному обеспечению в соответствии с утвержденным порядком и по утвержденной схеме [4]. |
3.1.7 опасное метеорологическое явление; ОЯ: Природный процесс (явление), возникающий в атмосфере и/или у поверхности Земли, который по своей интенсивности (силе), масштабу распространения и продолжительности оказывает или может оказать поражающее воздействие на людей, сельскохозяйственных животных и растения, объекты экономики и окружающую среду и привести к значительному материальному ущербу.
Примечание - К ОЯ также относится комплекс метеорологических явлений (КМЯ), каждое из которых по интенсивности (силе) и/или продолжительности не достигает критерия отдельного ОЯ, но близко к нему.
3.1.8 оперативно-прогностическое подразделение; ОПП: Структурное подразделение организации наблюдательной сети Росгидромета, ответственное за выпуск и доведение до пользователей (потребителей) прогнозов погоды, штормовых предупреждений (оповещений) в соответствии с установленной технологией подготовки краткосрочных прогнозов погоды.
3.1.9 оправдываемость прогноза метеорологической величины: Степень соответствия диапазона (градации) прогнозируемого значения метеорологической величины (с учетом допуска) фактически наблюдавшемуся значению метеорологической величины, выраженная в процентах.
3.1.10 оправдываемость прогноза погоды: Осредненное значение (в процентах) оправдываемости прогнозов метеорологических величин и прогноза (отсутствия прогноза) явлений погоды.
3.1.11 оправдываемость прогноза явления погоды: Степень соответствия прогноза явления погоды (отсутствия прогноза явления погоды) факту возникновения этого явления, выраженная в процентах.
3.1.12 оправдываемость штормового предупреждения: Степень соответствия прогноза (отсутствия прогноза) опасного метеорологического явления факту возникновения ОЯ, выраженная в процентах.
3.1.13
организация наблюдательной сети; ОНС: Некоммерческая с правом юридического лица организация Росгидромета, выполняющая оперативно-производственные (производство наблюдений за гидрометеорологическими процессами и загрязнением окружающей среды, сбор, обработку и передачу информации, техническое и сервисное обслуживание средств измерений, обеспечение потребителей информацией о фактическом и прогнозируемом состоянии окружающей среды, ее загрязнении) и специальные (исполнительные, контрольные) функции в области гидрометеорологии и смежных с ней областях на территории своей деятельности. |
3.1.14 оценка успешности прогноза погоды (штормового предупреждения): Количественное сопоставление прогностических значений метеорологических величин и прогноза (отсутствия прогноза) явлений погоды фактически наблюдавшимся в период действия прогноза погоды (штормового предупреждения) значениям метеорологических величин и явлениям погоды.
3.1.15 период действия прогноза погоды (срок прогноза): Период времени, на который составляется прогноз погоды.
3.1.16 предупрежденность опасного метеорологического явления: Отношение количества успешно спрогнозированных ОЯ к количеству наблюдавшихся случаев ОЯ, выраженное в процентах.
3.1.17
прогноз погоды: Научно обоснованное предположение о будущем состоянии погоды
[3].
3.1.18
прогноз погоды общего назначения: Прогноз погоды по центрам и территориям субъектов Российской Федерации, разработанный в соответствии с государственным заданием, не имеющий определенной специфики, публикуемый в гидрометеорологическом бюллетене и размещенный на официальном сайте
[4].
3.1.19
сверхкраткосрочный прогноз погоды: Прогноз метеорологических величин и явлений погоды на период до 12 ч
[5].
3.1.20
штормовое оповещение: Информация о начавшемся опасном природном явлении
[1].
3.1.21
штормовое предупреждение: Информация о прогнозируемом опасном природном явлении
[1].
3.1.22
штормовое сообщение: Сообщение, передаваемое наблюдательными подразделениями, в котором содержатся сведения о возникновении и развитии (усилении и окончании) метеорологических ОЯ и НЯ, и значениях характеризующих их метеорологических величин. |
3.1.23 эффективность штормового предупреждения: Комплексная характеристика успешности штормового предупреждения, учитывающая его оправдываемость и заблаговременность.
3.1.24
явления погоды (атмосферные явления): Физические явления, визуально наблюдаемые в атмосфере, на поверхности Земли и предметов (гидрометеоры, литометеоры, гроза, зарница, шквал, смерч, мираж и т.п.)
[3],
[6].
3.2 В настоящем руководящем документе применены следующие сокращения:
ВМО - Всемирная метеорологическая организация;
КМЯ - комплекс метеорологических явлений;
УГМС - Управление по гидрометеорологии и мониторингу окружающей среды;
ФГБУ "Северо-Кавказское УГМС" - Федеральное государственное бюджетное учреждение "Северо-Кавказское управление по гидрометеорологии и мониторингу окружающей среды".
4 Порядок составления краткосрочных прогнозов погоды
4.1 Прогнозы погоды оперативно-прогностические подразделения (ОПП) составляют по территории ответственности, а также по пункту.
Под территорией ответственности следует понимать территорию субъекта Российской Федерации, под пунктом - его административный центр.
4.2 Прогнозы погоды составляются ОПП ежедневно в период с 8 до 12 ч местного времени. Конкретный срок, к которому составляются прогнозы погоды, устанавливается УГМС Росгидромета.
4.3 В прогнозы погоды общего назначения включается информация о количественных и качественных характеристиках следующих метеорологических величин: облачность, осадки (с характеристикой фазового состояния и, при необходимости, продолжительности), направление и скорость ветра, минимальная температура воздуха ночью, максимальная температура воздуха днем, а также в прогнозах погоды по пункту аномальный ход температуры, превышающий 5 °C.
Последовательность представления в прогнозе погоды метеорологических величин и явлений погоды определяется ОПП исходя из сложившейся практики и природно-климатических особенностей региона.
4.4 В прогнозы погоды общего назначения включается информация о следующих явлениях погоды: гроза, град, шквал, туман (мгла), гололед, изморозь, налипание (отложение) мокрого снега на проводах и деревьях, метель (в том числе низовая), пыльная (песчаная) буря, гололедица, снежные заносы, заморозки в воздухе и/или на поверхности почвы, сильная жара, сильный мороз, аномально жаркая (холодная) погода.
4.5 Наличие условий для возникновения смерчей в прогнозе погоды характеризуют термином: "имеется опасность возникновения (формирования) смерчей".
4.6 Прогноз погоды на первые сутки составляют раздельно на ночь и на день. Если характер погоды в течение прогнозируемого периода ожидается однородным, то допускается прогноз погоды на сутки давать общим текстом, при этом указав раздельно прогнозируемые значения минимальной температуры воздуха ночью и максимальной температуры воздуха днем. Если ожидается, что температура воздуха в период действия прогноза погоды на сутки не будет изменяться более чем на 2 °C, то разрешается указывать одно прогнозируемое значение температуры в течение суток.
Период действия прогноза погоды на ночь и на день ограничивается, соответственно, временем утреннего и вечернего измерения осадков.
4.7 На основании поступившей в течение ночи информации не позднее 7 ч местного времени составляется уточнение прогноза погоды (сверхкраткосрочный прогноз) на текущий день, который распространяется в соответствии с утвержденным порядком и по утвержденной схеме.
Если анализ вновь поступившей информации показывает, что прогноз погоды на ближайшую ночь нуждается в уточнении, то такое уточнение должно быть составлено не позднее, чем за 2 ч до начала срока действия прогноза погоды на первые сутки
4.8 Прогнозы погоды на первые сутки и текущий день по территории и прогноз погоды по пункту на этот же период составляются раздельно.
4.9 Прогноз погоды на вторые и третьи сутки составляют для каждых суток раздельно. Если характер погоды в течение этого периода ожидается однородным, то разрешается составлять один прогноз погоды на двое суток.
4.10 Прогноз погоды на вторые и третьи сутки составляется раздельно по пункту и территории, при этом прогнозируемая температура воздуха указывается в градациях, применяемых для прогноза соответственно по пункту и по территории.
4.11 Детализация по времени особенностей ожидаемой в течение суток погоды производится с использованием терминов, приведенных в
таблице 1.
Таблица 1
Характеристика времени суток
Характеристика | Период, ч (время местное) |
Утро | С 5 до 9 |
Первая половина дня | С 9 до 13 |
Середина дня | С 11 до 15 |
Вторая половина дня | С 13 до 17 |
Вечер | С 17 до 21 |
Первая половина ночи | С 21 до 1 |
Середина ночи | С 23 до 3 |
Вторая половина ночи | С 1 до 5 |
4.12 Если предполагается, что не более чем на половине территории из-за особенностей ожидаемого синоптического процесса и/или физико-географических условий прогнозируемые значения метеорологических величин (их качественные характеристики), а также явления погоды будут значительно отличаться, то прогноз должен быть детализирован.
Для детализации прогноза погоды необходимо использовать:
- указание на географическое положение - запад, юг, северная половина, центральные районы, правобережье, побережье, пригороды и т.п., а также районирование в соответствии с административно-территориальным делением;
- описание особенностей рельефа местности - пониженные места, низины, долины, предгорья, перевалы, горы, наветренные склоны гор, подветренные склоны гор и т.п.
4.13 Детализация прогноза погоды по территории или пункту, в которых располагаются не менее двух наблюдательных подразделений (НП) и данные наблюдений которых используются для оценки прогнозов, допускается с использованием одной дополнительной градации и терминов "в отдельных районах" или "местами", если по условиям прогнозируемой погоды не представляется возможным выделить определенную часть территории, как правило - при атмосферных процессах мезометеорологического масштаба:
- осадках, связанных с развитием конвекции, грозе, граде, шквале;
- тумане и температуре воздуха (включая заморозки в воздухе и на поверхности почвы), обусловленных влиянием особенностей рельефа местности, термического режима больших городов, радиационными факторами;
- ветре, обусловленном физико-географическими особенностями территории (местном ветре).
4.14 Употребление в прогнозе погоды термина "местами" или "в отдельных районах" для детализации прогнозируемых метеорологических величин и/или явлений погоды подразумевает, что в этом случае прогнозируемое явление погоды и/или значение метеорологической величины (с учетом допуска) будет подтверждено данными наблюдений не более чем 50% НП, информация которых используется для оценки прогнозов.
4.15 Если в прогнозе погоды отсутствует детализация прогноза явлений погоды и/или метеорологических величин, то считается, что прогноз относится к площади более 50%, в том числе и ко всей территории. При этом явления погоды и/или метеорологические величины в прогнозируемой и

градациях должны быть отмечены более чем в половине НП, информация которых используется для оценки прогнозов, в остальных НП они могут быть отмечены в меньших градациях либо их может не быть вообще.
4.16 Не допускается применять термины "в отдельных районах" и "местами" при прогнозе отсутствия осадков и явлений погоды.
5 Порядок составления штормовых предупреждений об опасных явлениях
5.1 Типовой
перечень и критерии метеорологических опасных явлений (ОЯ), разработанный с учетом рекомендаций ВМО
[2], приведен в приложении А.
5.2 Типовой
перечень и критерии явлений погоды и метеорологических величин, входящих в комплекс метеорологических явлений (КМЯ), сочетание которых образует ОЯ, приведен в приложении Б.
5.3 Штормовые предупреждения составляются и передаются потребителям при выявлении угрозы возникновения ОЯ с максимально возможной заблаговременностью.
5.4 Штормовое предупреждение в соответствии с
РД 52.88.699 должно содержать:
а) порядковый номер штормового предупреждения с начала года;
б) дату и прогнозируемый период времени, в течение которого ожидается возникновение ОЯ или КМЯ;
в) место возникновения (распространения) ОЯ (пункт, территория, трасса и т.п.);
г) наименование ОЯ, его максимальную интенсивность и продолжительность.
5.5 Для более полной характеристики погодных условий, наряду с информацией об ОЯ, штормовое предупреждение может содержать информацию о прогнозируемых явлениях, которые к ОЯ не относятся или не достигают критериев ОЯ.
5.6 Штормовое предупреждение составляется независимо от того, предусматривалось или не предусматривалось в ранее составленном прогнозе погоды значение метеорологической величины или явление погоды, по величине (интенсивности) и/или продолжительности достигающее критерия ОЯ.
5.7 Если ОЯ не было предусмотрено штормовым предупреждением (возникло внезапно), то немедленно составляется штормовое оповещение, в котором следует указать время возникновения и величину (интенсивность) ОЯ, а также штормовое предупреждение, содержащее информацию о прогнозируемых интенсивности, продолжительности ОЯ и, при необходимости, о распространении на другие районы обслуживаемой территории.
5.8 При необходимости уточнения времени возникновения, интенсивности, продолжительности, района распространения ОЯ составляется уточнение к штормовому предупреждению.
5.9 Если ОЯ прекратилось (ослабело), а затем вновь возникло (усилилось) и перерыв (ослабление) продолжался менее 6 ч (для следующих ОЯ "сильная жара", "сильный мороз", "заморозки", "аномально холодная (жаркая) погода" - менее 24 ч), то считается, что ОЯ продолжается и новое штормовое предупреждение не составляется.
Если перерыв (ослабление) продолжался 6 ч и более (для следующих ОЯ "сильная жара", "сильный мороз", "заморозки", "аномально холодная (жаркая) погода" - 24 ч и более), а предполагается, что это же ОЯ возникнет вновь, то следует составить новое штормовое предупреждение.
5.10 Если ожидается возникновение одновременно или в течение прогнозируемого периода времени нескольких ОЯ, в штормовом предупреждении указывают время возникновения, название, интенсивность и продолжительность каждого из них, либо составляются отдельные штормовые предупреждения о возникновении каждого из ОЯ.
5.11 Если последующий анализ развития синоптической ситуации и данных наблюдений за фактической погодой показывает, что ожидаемое в штормовом предупреждении ОЯ не возникнет, то дается отмена штормового предупреждения с максимально возможной заблаговременностью.
5.12 Если ожидается, что ОЯ возникнет (усилится) не ранее чем через 6 ч, то в штормовых предупреждениях прогнозируемый период времени возникновения (усиления) ОЯ указывается в часах в интервале 3 - 4 ч или с указанием характеристики времени суток в соответствии с
таблицей 1. В штормовых предупреждениях, составляемых с заблаговременностью более 12 ч, могут также применяться слова "ночью" и "днем".
5.13 Если ожидается, что ОЯ возникнет (усилится) в ближайшие 6 ч, то в штормовых предупреждениях прогнозируемый период времени возникновения (усиления) ОЯ указывается в часах в интервале 1 - 2 ч.
5.14 Для обозначения территории, на которой ожидаются (или на которую распространятся) ОЯ, в штормовых предупреждениях используется районирование в соответствии с административно-территориальным делением или указывается географическое положение (особенности рельефа) в соответствии с
4.12.
5.15 В штормовых предупреждениях об ОЯ и КМЯ термины "местами", "в отдельных районах" применяются при прогнозе конвективных явлений: сильных (очень сильных) осадков, грозы, шквала, града, смерча, а также сильного тумана и заморозков в воздухе и на поверхности почвы.
5.16 В штормовых предупреждениях не разрешается применять формулировки, включающие слова "возможно", "вероятно", "маловероятно".
6 Терминология, применяемая в прогнозах погоды и штормовых предупреждениях
6.1.1 В прогнозах погоды и/или штормовых предупреждениях следует использовать терминологию, понятную для потребителей этой информации и в наибольшей степени отражающую развитие атмосферных процессов и ожидаемые условия погоды. При прогнозировании температуры воздуха и скорости ветра указывают их количественные характеристики (при прогнозе скорости ветра допускается наряду с количественными характеристиками применять соответствующие им качественные характеристики).
6.1.2 В
таблицах 2 -
7 приведены термины, применяемые при прогнозировании метеорологических величин и явлений погоды, а также соответствующие им количественные характеристики.
6.2 Термины, применяемые в прогнозах облачности
6.2.1 В прогнозах облачности используют термины и соответствующие терминам количественные значения облачности в баллах, приведенные в
таблице 2.
6.2.2 Если в течение периода действия прогноза ожидается значительное изменение количества облаков, то следует использовать две характеристики облачности из терминологии, приведенной в
таблице 2, а также применять слова "уменьшение" или "увеличение".
Таблица 2
Термины, применяемые в прогнозах облачности
Термин | Количество (изменение) облаков |
Ясно, ясная погода, малооблачно, малооблачная погода, небольшая облачность, солнечная погода | До 3 баллов облачности среднего и/или нижнего яруса или любое количество облаков верхнего яруса |
Переменная (меняющаяся) облачность | От 1 - 3 до 4 - 7 баллов нижнего и/или среднего яруса |
Облачно с прояснениями, облачная погода с прояснениями | 4 - 7 баллов нижнего и/или среднего яруса |
Облачно, облачная погода, значительная облачность, пасмурно, пасмурная погода | 8 - 10 баллов нижнего и/или среднего яруса |
6.3 Термины, применяемые в прогнозах осадков
6.3.1 В прогнозах погоды используют термины, характеризующие факт наличия или отсутствия осадков, при наличии осадков - их качественную характеристику, вид (фазовое состояние), при необходимости - количество, время начала и/или их продолжительность.
6.3.2 Термины, применяемые в прогнозах осадков, и соответствующие им количественные характеристики для жидких и приравненных к ним смешанных осадков приведены в
таблице 3, для твердых - в
таблице 4.
Таблица 3
Термины, применяемые при прогнозировании жидких
и приравненных к ним смешанных осадков, и соответствующие им
количественные характеристики
Термин | Количество осадков за 12 ч, мм |
Без осадков | - |
Преимущественно без осадков, без существенных осадков, слабый дождь, слабые осадки <*> | 0,0 - 0,2 |
Небольшой дождь, морось, моросящие осадки, небольшие осадки (мокрый снег, дождь со снегом, дождь и снег, дождь, переходящий в снег) | 0,3 - 2 |
Дождь (умеренный дождь), дождливая погода, осадки (умеренные осадки) (мокрый снег, дождь со снегом, дождь и снег, дождь, переходящий в снег) | 3 - 14 |
Кратковременный дождь (для осадков конвективного характера) | 0,3 - 14 |
Сильный дождь, ливневый дождь (ливень), сильные осадки (мокрый снег, дождь со снегом, дождь и снег, дождь, переходящий в снег) | 15 - 49 |
То же в селеопасных районах | 15 - 29 |
То же для Черноморского побережья Кавказа | В соответствии с критериями, установленными ФГБУ "Северо-Кавказское УГМС" |
Очень сильный дождь, очень сильные осадки (мокрый снег, дождь со снегом, дождь и снег, дождь, переходящий в снег) | >= 50 |
То же в селеопасных районах | >= 30 |
То же для Черноморского побережья Кавказа | В соответствии с критериями, установленными ФГБУ "Северо-Кавказское УГМС" |
Сильный ливень (сильные ливни) | >= 30 мм за период <= 1 ч |
То же для Черноморского побережья Кавказа | В соответствии с критериями, установленными ФГБУ "Северо-Кавказское УГМС" |
<*> Термины "слабый дождь" и "слабые осадки" (в прогнозе по территории) применяются только с одновременным использованием термина "в отдельных районах" или "местами". |
Таблица 4
Термины, применяемые при прогнозировании твердых осадков,
и соответствующие им количественные характеристики
Термин | Количество осадков за 12 ч, мм |
Без осадков | - |
Преимущественно без осадков, без существенных осадков, слабый снег <*> | 0,0 - 0,1 |
Небольшой снег | 0,2 - 1 |
Снег (умеренный снег, снегопад) | 2 - 5 |
Сильный снег (снегопад) | 6 - 19 |
Очень сильный снег (снегопад) | >= 20 |
<*> Термин "слабый снег" (в прогнозе по территории) применяются только с одновременным использованием термина "в отдельных районах" или "местами". |
6.3.3 Для детализации ожидаемого распределения количества осадков по территории в прогнозе разрешается использовать дополнительную (

по сравнению с основной) градацию, допускается также применение в этом случае терминов "в отдельных районах" и "местами" (в соответствии с
4.12,
4.13).
Примеры
1 Небольшой снег, на западе умеренный снег.
2 Кратковременные дожди, местами ливни.
6.3.4 Для качественной характеристики продолжительности осадков рекомендуется применять термины, приведенные в
таблице 5.
Таблица 5
Термины, применяемые при прогнозировании
продолжительности осадков
Термин | Общая продолжительность осадков, ч |
Кратковременный (кратковременные) | <= 3 |
Временами | > 3 с перерывами |
Продолжительный (продолжительные) | > 6 без перерыва |
6.3.5 Для характеристики вида (фазового состояния) осадков (жидкие, твердые, смешанные) применяют термины: "дождь", "снег", "осадки".
Термины "небольшие (умеренные, сильные, очень сильные) осадки" разрешается применять только с обязательным дополнением одного из терминов, приведенных в
таблице 6, или с указанием фазового состояния преобладающего вида осадков, например: "осадки (преимущественно снег (дождь))".
Таблица 6
Характеристика смешанных осадков
Термин | Характеристика смешанных осадков |
Дождь со снегом | Дождь и снег одновременно, но преобладает дождь |
Мокрый снег | Тающий снег, выпадающий при положительной температуре, иногда вместе с дождем |
Снег, переходящий в дождь | Сначала ожидается снег, а затем дождь |
Дождь, переходящий в снег | Сначала ожидается дождь, а затем снег |
Снег с дождем | Снег и дождь, но преобладает снег |
6.3.6 Для детализации времени начала (прекращения) осадков следует использовать характеристики времени суток, приведенные в
таблице 1.
6.3.7 Если облачность прогнозируется с использованием терминов "ясно (ясная погода)", "малооблачно (малооблачная погода)", "небольшая облачность", "солнечная погода", то термин "без осадков" разрешается не использовать.
6.4 Термины, применяемые в прогнозах явлений погоды
6.4.1 В соответствии с
4.4, в прогнозы погоды необходимо включать следующие из ожидаемых явлений погоды: гроза, град, шквал, туман (мгла), гололед, изморозь, налипание (отложение) мокрого снега на проводах и деревьях, метель (в том числе низовая), пыльная (песчаная) буря, гололедица, снежные заносы, заморозки в воздухе и/или на поверхности почвы, сильная жара, сильный мороз, аномально жаркая (холодная) погода.
6.4.2 В прогнозах погоды для характеристики интенсивности явлений погоды термин "слабый" не указывается.
6.4.3 При наличии методик прогноза количественных характеристик гололедно-изморозевых отложений и града указывается их величина (размер).
6.4.4 При прогнозе шквала указывается максимальная скорость ветра.
6.4.5 В прогнозах явлений погоды при необходимости применяются термины "усиление", "ослабление", "прекращение" с использованием характеристик времени суток ("день", "ночь" или приведенных в
таблице 1).
6.5 Термины, применяемые в прогнозах ветра
6.5.1 В прогнозах погоды и штормовых предупреждениях указывается направление и скорость ветра. Детализация прогноза характеристик ветра (направления, скорости) по частям обслуживаемой территории производится в соответствии с
4.12,
4.13.
6.5.2 Направление ветра (откуда дует ветер) указывается в следующих восьми румбах: северный, северо-восточный, восточный, юго-восточный, южный, юго-западный, западный и северо-западный
[6].
Если в течение суток ожидается изменение направления ветра в пределах одной четверти горизонта (северной, восточной, южной и западной), то указываются два направления ветра в пределах этой четверти либо указывается четверть горизонта.
Примеры
1 Ветер юго-восточный и южный.
2 Ветер западной четверти.
Для характеристики изменения направления ветра более чем на четверть горизонта используются слова "с переходом" и по возможности указанием времени суток, когда этот переход ожидается.
Примеры
1 Ветер южный с переходом ночью на северо-западный.
2 Ветер юго-восточный с переходом во второй половине дня на северный.
6.5.3 В прогнозах погоды и штормовых предупреждениях указывается максимальная скорость ветра в метрах в секунду при порывах (далее - максимальная скорость ветра) или максимальная средняя скорость ветра, если порывы ветра не ожидаются.
Примечание - Максимальная средняя скорость ветра - это наибольшая средняя скорость ветра, которая ожидается в любой 10-минутный интервал времени периода действия прогноза или штормового предупреждения.
6.5.4 В прогнозах погоды и штормовых предупреждениях скорость ветра указывается градациями с интервалом не более 5 м/с.
Примеры
1 Ветер западный 5 - 10 м/с (в течение прогнозируемого периода средняя скорость ветра достигнет 5 - 10 м/с).
2 Ветер северный 7 - 12 м/с с порывами до 17 м/с.
3 Ветер южный с порывами 15 - 20 м/с.
6.5.5 Разрешается в прогнозе погоды наряду с количественной характеристикой ожидаемой скорости ветра применять качественную характеристику в соответствии с
таблицей 7.
Таблица 7
Качественная характеристика скорости ветра
и соответствующие количественные характеристики
Качественная характеристика скорости ветра | Диапазон максимальной скорости ветра, м/с |
Слабый | 1 - 5 |
Умеренный | 6 - 14 |
Сильный | 15 - 24 |
Очень сильный | 25 - 32 |
Ураганный | 33 и более |
6.5.6 Не рекомендуется в одном интервале указывать значения скорости ветра, относящиеся к следующим качественным характеристикам: умеренный и сильный, сильный и очень сильный.
Пример - Если ожидается, что при средней скорости ветра 5 - 10 м/с, порывы ветра достигнут 18 м/с, то формулировка прогноза скорости ветра должна быть такой: "Ветер 5 - 10 м/с с порывами 15 - 18 м/с или ветер 5 - 10 м/с с порывами до 18 м/с".
6.5.7 При слабом (неустойчивом) ветре (скоростью <= 5 м/с) разрешается использовать термин "слабый" без указания направления и скорости ветра или формулировку "переменных направлений (неустойчивый) до 5 м/с".
6.5.8 Если ожидается, что в период действия прогноза скорость ветра будет значительно меняться, следует указать на эти изменения с помощью терминов "ослабление" или "усиление" с добавлением характеристик времени суток из
таблицы 1.
Пример - Ветер южный 3 - 8 м/с с переходом во второй половине дня на северо-западный и усилением до 20 м/с (т.е. максимальная скорость ветра при порывах достигнет 15 - 20 м/с).
6.5.9 При прогнозировании шквала направление ветра не указывается. В прогнозах следует указывать лишь максимальную скорость ветра при шквале градацией с интервалом не более 5 м/с.
6.6 Термины, применяемые в прогнозах температуры воздуха
6.6.1 В прогнозах погоды указывают минимальную температуру воздуха ночью и максимальную температуру воздуха днем или изменение температуры воздуха при аномальном ходе, составляющем 5 °C и более за ночь (день).
6.6.2 Ожидаемую минимальную и максимальную температуру воздуха указывают градациями с интервалами для пункта 2 °C, а для территории - не более 5 °C.
Рекомендуется в прогнозе максимальной температуры воздуха за верхний предел интервала принимать наибольшее ожидаемое значение максимальной температуры по территории (в пункте), соответственно, в прогнозе минимальной температуры за нижний предел интервала - наименьшее ожидаемое значение минимальной температуры.
Примеры
1 По территории ожидается наиболее высокая максимальная температура воздуха плюс 27 °C, в этом случае рекомендуется указывать прогнозируемый интервал максимальной температуры 22 - 27 °C.
2 Ожидается, что предстоящей ночью в пункте минимальная температура воздуха будет минус 18 °C. Прогнозируемый интервал минимальной температуры минус 16 - 18 °C.
6.6.3 В прогнозах температуры воздуха по пункту или для части территории допускается указывать температуру одним числом с использованием предлога "до" и наибольшего прогнозируемого значения максимальной температуры (наименьшего прогнозируемого значения минимальной температуры).
Примеры
1 Формулировка прогноза температуры в пункте "днем максимальная температура воздуха до 2 °C" означает, что в пункте ожидается температура от 0 до плюс 2 °C.
2 По области прогнозируется температура ночью минус 14 - 19 °C, в северных районах (в горах) до минус 25 °C. Это означает, что на севере области (в горах) ожидаемая минимальная температура ночью минус 20 - 25 °C.
6.6.4 Если ожидаемое распределение температуры по территории не укладывается в интервал, равный 5 °C, а в пункте - в интервал, равный 2 °C, то рекомендуется применять дополнительные градации температуры, с использованием детализации прогноза в соответствии с
4.12,
4.13. При этом разница между основной и дополнительной градацией не должна быть менее 5 °C для территории и 3 °C для пункта, за исключением случаев, когда в дополнительной градации прогнозируются заморозки, сильный мороз (сильная жара).
Примеры
1 Температура воздуха днем 18 - 23 °C, в предгорьях 12 - 17 °C.
2 Температура воздуха ночью минус 5 - 10 °C, при прояснениях до минус 15 °C.
3 Температура воздуха ночью в городе плюс 1 - 3 °C, в пригородах до минус 2 °C.
6.6.5 В случае, если минимальная (максимальная) температура воздуха по территории (в пункте) ожидается близкой к 0 °C, и при этом она может быть как положительной, так и отрицательной, то вместо указания конкретного интервала прогнозируемой температуры разрешается использовать формулировку "около 0 °C".
6.6.6 Прогнозируемая градация температуры воздуха по пункту не должна выходить за пределы основной или дополнительной градации прогноза температуры воздуха по территории, на которой располагается пункт.
6.6.7 Если ожидается аномальный ход температуры воздуха, то в прогнозе указывается наиболее низкое (высокое) ее значение в течение ночи (дня) с использованием характеристик времени суток, приведенных в
таблице 1, и дается словесное описание тенденции изменения температуры, а также указывается то значение температуры, которое будет достигнуто в результате этого изменения.
При использовании терминов "повышение" ("потепление") или "понижение" ("похолодание"), "усиление" ("ослабление") морозов (жары), прогнозируемый интервал температуры допускается указывать с предлогом "до".
Примеры
1 Температура воздуха вечером минус 10 - 12 °C, к утру мороз ослабеет до минус 2 °C.
2 Температура воздуха ночью минус 7 - 12 °C, днем понижение температуры до минус 15 - 20 °C.
6.6.8 Если ожидается понижение (повышение) температуры воздуха по сравнению с предыдущими сутками на 10 °C и более, то перед прогнозом температуры рекомендуется давать словесную характеристику предполагаемого изменения температуры: "сильное (резкое) похолодание (потепление)".
6.6.9 Если в период активной вегетации растений или уборки урожая в прогнозируемый интервал температуры воздуха попадают значения ниже 0 °C, то в прогнозе погоды для значений температуры воздуха ниже 0 °C должен применяться термин "заморозки". Термин "заморозки" также должен применяться, когда прогнозируется положительная температура воздуха, а температура ниже 0 °C ожидается на поверхности почвы и в приземном слое воздуха (травостое).
Примеры
1 Прогноз температуры в градации минус 2 плюс 3 °C в период активной вегетации растений формулируется следующим образом: "Температура от 0 °C до плюс 3 °C, в отдельных районах (местами, в пониженных местах, на востоке и т.п.) заморозки до минус 2 °C".
2 Прогноз температуры в градации от 0 °C до минус 5 °C в период активной вегетации растений формулируется следующим образом: "Заморозки до минус 5 °C".
3 Прогноз температуры в градации от 0 °C до плюс 5 °C и ожидаемой температуре минус 2 °C на поверхности почвы в период активной вегетации растений формулируется следующим образом: "Температура 0 плюс 5 °C, в отдельных районах (местами, в пониженных местах, на востоке и т.п.) на поверхности почвы заморозки до минус 2 °C".
6.6.10 Если ожидается, что минимальная (максимальная) температура воздуха достигнет значений ОЯ, т.е. в прогнозируемый интервал попадут значения температуры, соответствующие критериям ОЯ "сильный мороз (сильная жара)", то перед прогнозом температуры рекомендуется давать словесную характеристику температурного режима в следующей формулировке: "Ожидается сильный мороз (сильная жара)".
Пример - Температура воздуха 34 - 39 °C, в восточных районах области ожидается сильная жара 40 - 42 °C.
6.6.11 Если в течение прошедших трех суток средняя суточная температура воздуха в период с октября по март соответствует критерию ОЯ "Аномально холодная погода" и в период с апреля по сентябрь соответствует критерию ОЯ "Аномально жаркая погода" и ожидается, что такая температура сохранится в последующие двое суток и более, то рекомендуется перед текстом прогнозов погоды помещать словесную характеристику температурного режима в следующей формулировке: "Ожидается аномально холодная (жаркая) погода".
7 Оценка успешности прогнозов погоды
7.1 Показатели успешности прогнозов погоды
7.1.1 Прогнозы погоды общего назначения подлежат обязательной оценке с целью определения их успешности и совершенствования методик прогнозирования метеорологических величин и явлений погоды.
Оценка новых и усовершенствованных методик прогнозирования метеорологических величин и явлений погоды производится в соответствии с
РД 52.27.284.
7.1.2 Успешность прогноза погоды определяется путем сопоставления прогнозируемых значений метеорологических величин и прогноза (отсутствия прогноза) явлений погоды фактически наблюдавшимся значениям метеорологических величин и явлениям погоды и расчета на основании сопоставления определенных статистических показателей.
7.1.3 Основным показателем успешности прогноза погоды является оправдываемость.
Прогноз всех метеорологических величин, кроме прогноза осадков (их количества), оценивается в альтернативной форме: "прогноз оправдался (оправдываемость прогноза 100%)" или "прогноз не оправдался (оправдываемость прогноза 0%)".
Прогноз явления погоды оценивается в альтернативной форме по факту наличия или отсутствия явления: "прогноз оправдался (оправдываемость прогноза 100%)" или "прогноз не оправдался (оправдываемость прогноза 0%)". Оценке подлежит также явление погоды, которое не прогнозировалось, но наблюдалось (не предусмотренное явление погоды).
7.1.4 Прогноз погоды по пункту и территории оценивается раздельно для дня и ночи. Оправдываемость прогноза на сутки определяется как среднее из значений оправдываемости прогнозов на ночь и на день.
7.1.5 Перед началом календарного года устанавливается единый перечень НП, данные наблюдений которых привлекаются к оценке прогнозов погоды на ближайшие сутки (уточнение прогноза на день) и последующие двое суток. В перечень в первую очередь должны быть включены НП, расположенные в населенных пунктах или в непосредственной близости от них, а также другие НП, данные наблюдений которых в наибольшей степени характеризуют особенности погодно-климатических условий территории, по которой составляются прогнозы погоды и штормовые предупреждения. Программа наблюдений этих НП составляется исходя из потребностей оперативно-прогностических подразделений в метеорологической информации и штормовых сообщениях.
7.1.6 Для оценки успешности прогнозов погоды по территории и штормовых предупреждений, содержащих метеорологические величины и/или явления погоды, достигающие критериев ОЯ, могут привлекаться данные метеорологических радиолокаторов и других технических средств измерений состояния природной среды, данные наблюдений имеющих соответствующую лицензию ведомственных наблюдательных структур, не принадлежащих Росгидромету, но производящих наблюдения за погодой, а также сообщения об ОЯ и их последствиях, полученные в результате обследования специалистами Росгидромета района, в котором наблюдалось ОЯ.
7.1.7 Прогноз погоды по пункту оценивается по данным НП, располагающегося в этом пункте или ближайших окрестностях (на расстоянии не более чем 20 км от пункта). Если в пункте и в ближайших окрестностях располагаются два и более НП, производящих регулярные наблюдения за погодой, то прогнозы погоды по пункту могут оцениваться аналогично прогнозам погоды по территории. Решение об этом принимается перед началом календарного года.
7.1.8 Для оценки успешности прогноза погоды, детализированного по территории в соответствии с
4.12, в ОПП заранее производят районирование обслуживаемой территории с установлением перечня НП для каждого из районов.
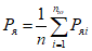
7.1.9 Для оценки успешности прогноза метеорологических величин и явлений погоды по территории, который дан без использования дополнительной градации, определяется оправдываемость прогноза
Pтер, %, по следующей формуле с учетом
4.15 настоящего руководящего документа:

(1)
где N - общее количество НП, данные наблюдений которых используются для оценки прогноза погоды по территории;
Pi - оправдываемость прогноза метеорологической величины (явления погоды) по каждому НП, %.
Оценка оправдываемости
Pi прогноза метеорологической величины и явления погоды по НП производится в соответствии с
разделом 7.2 настоящего руководящего документа.
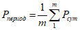
7.1.10 Для оценки успешности прогноза метеорологических величин и явлений погоды по территории с использованием дополнительной градации, оправдываемость прогноза Pтер, %, рассчитывают по формуле

(2)
где Pio - оправдываемость прогноза основной градации метеорологической величины (явления погоды) по каждому НП, %;
nо - количество НП, данные наблюдений которых используются для оценки основной градации;
Piд - оправдываемость прогноза дополнительной градации метеорологической величины (явления погоды) по каждому НП, %;
nд - количество НП, данные наблюдений которых используются для оценки дополнительной градации, в соответствии с
4.12 -
4.14 nд <=
N/2.
7.1.11 Если метеорологическая величина и/или явление погоды прогнозировались с использованием дополнительной градации в терминах "местами" или "в отдельных районах", но при этом метеорологическая величина и/или явление погоды в дополнительной градации не были отмечены ни одним НП, то оправдываемость прогноза такой метеорологической величины (явления погоды) принимается равной 75%.
7.1.12 Для определения успешности прогноза погоды в целом (всех метеорологических величин и явлений погоды) рассчитывается их общая оправдываемость отдельно по пункту и по территории.
7.1.13 Общая оправдываемость прогноза погоды по пункту

, %, определяется как среднее из значений оправдываемости прогнозов по пункту температуры, количества осадков, явлений погоды (если явления погоды прогнозировались или если явления погоды не прогнозировались, но наблюдались) и скорости ветра по формуле

, (3)
где Pt - оправдываемость прогноза температуры;
Ppr - оправдываемость прогноза количества осадков;
Pя - оправдываемость прогноза явления (явлений) погоды;
Pw - оправдываемость прогноза скорости ветра.
Если в пункте прогнозировалось и/или наблюдалось несколько явлений погоды, то Pя, %, определяется как средняя оправдываемость прогноза явлений погоды по формуле

, (4)
где n - количество прогнозируемых и/или наблюдавшихся явлений погоды;
Pяi - оправдываемость каждого прогнозируемого и/или наблюдавшегося явления погоды.
Если явления погоды не прогнозировались и не наблюдались, то общая оправдываемость прогноза погоды по пункту

, %, определяется по формуле

. (5)
7.1.14 Общая оправдываемость прогноза погоды по территории

, %, определяется по формуле

, (6)
где nя - количество явлений погоды, которые не прогнозировались, но наблюдались (не предусмотренные явления погоды).
Общая оправдываемость прогноза погоды по территории

, %, для случаев, когда явления погоды не прогнозировались, но наблюдались определяется по формуле

. (7)
7.1.15 Для характеристики точности прогноза максимальной и минимальной температуры воздуха по пункту дополнительно рассчитывают абсолютную ошибку

(с точностью 0,1 °C) отдельно для максимальной и минимальной температуры по формуле

, (8)
где
tп - прогностическое значение максимальной (минимальной) температуры воздуха (в соответствии с
6.6.2);
tф - фактическое значение максимальной (минимальной) температуры воздуха на каждом НП, находящемся в пункте.
7.1.16 Оценка оправдываемости прогноза явлений погоды и количества осадков производится с учетом допусков по времени (отклонений фактического времени возникновения (начала) и окончания явлений погоды и осадков от прогнозируемого времени в соответствии с
4.6,
4.9,
4.11):
- для прогноза погоды на первые сутки минус 2, плюс 2 ч от границ периода времени, указанного в прогнозе;
- для прогнозов погоды на вторые и третьи сутки минус 3, плюс 3 ч от границ периода времени, указанного в прогнозе.
7.2 Оценка оправдываемости прогнозов метеорологических величин и явлений погоды по пункту и территории
7.2.1 Оценка оправдываемости прогноза количества осадков
7.2.1.1 Оценка оправдываемости прогноза количества осадков производится путем сравнения качественных характеристик прогнозируемых осадков с количеством фактически выпавших осадков либо их отсутствием по данным каждого из НП, данные наблюдений которых используются для оценки прогноза.
7.2.1.2 Помимо оценки оправдываемости прогноза количества осадков, осадки как явление погоды оцениваются, если они прогнозировались в градациях "сильные осадки" и "очень сильные осадки" или если осадки в этих градациях не прогнозировались, но фактически наблюдались.
7.2.1.3 Оправдываемость прогноза количества осадков по пункту
Ppr П определяется с помощью
таблицы 8 (для жидких и приравненных к ним смешанных осадков) и
таблицы 9 (для твердых осадков).
Таблица 8
Оправдываемость
Ppr П прогноза количества
жидких и приравненных к ним смешанных осадков
Прогноз | Ppr П, %, при количестве фактически выпавших осадков за 12 ч, мм |
Качественная характеристика | Количественное значение за 12 ч, мм | Без осадков | 0,0 - 0,2 | 0,3 - 2 | 3 - 14, в том числе | 15 - 49 (15 - 29) <**>, в том числе | >= 50 |
3 - 9 | 10 - 14 | | |
Без осадков | - | 100 | 75 | 50 | 0 | 0 | 0 |
Преимущественно без осадков, без существенных осадков, слабый дождь, слабые осадки <*> | 0,0 - 0,2 | 100 | 100 | 75 | 0 | 0 | 0 |
Небольшой дождь, небольшие осадки <*> | 0,3 - 2 | 50 | 100 | 100 | 50 | 0 | 0 |
(Умеренный) дождь, (умеренные) осадки <*> | 3 - 14 | 0 | 0 | 50 | 100 | 50 | 0 |
Кратковременный дождь (для осадков конвективного характера) | 0,3 - 14 | 0 | 50 | 100 | 100 | 50 | 0 |
Сильный дождь, ливневый дождь, сильные осадки <*> | 15 - 49 | 0 | 0 | 0 | 50 | 100 | 100 | 0 |
Очень сильный дождь, очень сильные осадки <*> | >= 50 | 0 | 0 | 0 | 0 | 0 | 100 | 100 |
Сильный ливень | >= 30 за <= 1 ч | 0 при < 24 мм за <= 1 ч 100 при >= 24 мм за <= 1 ч |
<**> В селеопасных районах. |
Таблица 9
Оправдываемость
Ppr П прогноза количества твердых осадков
Прогноз | Ppr П, %, при количестве фактически выпавших осадков за 12 ч, мм |
Качественная характеристика | Количественное значение за 12 ч, мм | Без осадков | 0,0 - 0,1 | 0,2 - 1 | 2 - 5, в том числе | 6 - 19, в том числе | >= 20 |
2 - 3 | 4 - 5 | 6 - 15 | 16 - 19 |
Без осадков | - | 100 | 75 | 50 | 0 | 0 | 0 |
Преимущественно без осадков, без существенных осадков, слабый снег | 0,0 - 0,1 | 100 | 100 | 75 | 0 | 0 | 0 |
Небольшой снег | 0,2 - 1 | 50 | 100 | 100 | 50 | 0 | 0 |
(Умеренный) снег, снегопад | 2 - 5 | 0 | 0 | 50 | 100 | 50 | 0 |
Сильный снег, сильный снегопад | 6 - 19 | 0 | 0 | 0 | 50 | 100 | 100 | 0 |
Очень сильный снег, очень сильный снегопад | >= 20 | 0 | 0 | 0 | 0 | 0 | 100 | 100 |
7.2.1.4 Оправдываемость прогноза количества осадков по территории
Ppr тер в случае отсутствия дополнительной градации определяется по
формуле (1) с учетом требований
4.15.
7.2.1.5 Оправдываемость прогноза количества осадков по территории
Ppr тер в случае использования дополнительной градации определяется по
формуле (2) с учетом требований, изложенных в
4.12 -
4.14 и
7.1.11.
Далее приведены примеры расчета оправдываемости прогнозов метеорологических величин и явлений погоды по территории исходя из предположения, что на территории располагается десять НП, данные наблюдений которых используются для оценки оправдываемости.
Примеры
1 По области прогнозировался (умеренный) дождь.
Фактически шесть НП отметили 3 - 9 мм осадков (здесь и далее количество выпавших осадков дано за 12 ч), в трех НП выпало 0,5 - 2 мм, в одном НП дождя не было. Дождь в прогнозируемой градации отметили более половины НП, в остальных НП осадки наблюдались в меньшей градации (небольшой дождь) или осадков не было. В соответствии с 4.15 Ppr тер = 100%.
2 По области прогнозировалась погода без осадков.
Фактически в шести НП осадков не было, в одном НП отмечен небольшой дождь 2 мм, еще в трех НП выпало 3 - 6 мм (умеренный дождь). Оправдываемость прогноза количества осадков по области
.
3 По области прогнозировался небольшой снег.
Фактически шесть НП отметили 0,0 - 1 мм осадков, в одном НП выпал умеренный снег 4 мм (
градация), в одном НП отмечен сильный снег 6 мм, в двух НП снега не было (меньшая градация). Снег в прогнозируемой градации (небольшой снег) отмечен более чем в половине НП, в меньшей градации (без осадков) - еще в двух НП. В соответствии с 4.15 прогноз по этим восьми НП оправдался на 100%, снег в
градациях (умеренный и сильный) отмечен в двух НП, прогноз по тому из них, где выпал умеренный снег оправдался на 50%, по тому, где выпал сильный снег - на 0%. Оправдываемость прогноза количества осадков по области
.
4 По области прогнозировался небольшой дождь.
Фактически небольшой дождь отмечен в пяти НП, в остальных пяти НП осадков не было. Так как осадки в прогнозируемой градации выпали не более чем в половине НП области, то в этом случае расчет оправдываемости прогноза осадков по области производится без применения 4.15. Оправдываемость прогноза количества осадков по области
.
5 По области прогнозировался местами небольшой дождь.
Фактически осадки были отмечены более чем в половине НП области, а именно: в шести НП выпал небольшой дождь 0,3 - 1 мм, в одном НП умеренный дождь 5 мм; осадков не было лишь в трех НП. В соответствии с 4.14 оправдываемость основной градации (без осадков) определяется по данным не менее чем половины НП, в нашем случае это пять НП, поэтому к основной градации (без осадков) должны быть отнесены три НП, на которых осадков не было (оправдываемость 100%), а также два НП, где был отмечен небольшой дождь (оправдываемость 50%). Оправдываемость прогноза по остальным пяти НП, входящим в дополнительную градацию (небольшой дождь), следующая: по четырем НП, где выпал небольшой дождь - 100% и по одному НП, где был умеренный дождь - 50%. Оправдываемость прогноза количества осадков по области
.
6 По области прогнозировался дождь, на побережье (три НП) сильный дождь.
Фактически на побережье в двух НП выпало 16 - 21 мм осадков (сильный дождь) и в одном НП 12 мм (умеренный дождь); в остальных семи НП области осадки распределились следующим образом: в четырех НП отмечен умеренный дождь 4 - 11 мм, в двух - небольшой дождь 0,5 - 2 мм, в одном НП осадков не было. Расчет оправдываемости прогноза осадков в основной градации производится без применения 4.15, так как прогноз осадков был дан с детализацией. Оправдываемость прогноза количества осадков по области
.
При этом количество осадков на одном НП побережья, где выпало 12 мм, оценивается на 100% с учетом допуска, предусмотренного таблицей 8.
7 По области прогнозировался местами кратковременный дождь.
Фактически в трех НП выпало 0,5 - 10 мм, в одном НП 0,2 мм и еще в одном НП 16 мм, в остальных пяти НП осадков не отмечено. В соответствии с 4.14 оправдываемость основной градации (без осадков) в пяти НП составляет 100%, оправдываемость дополнительной градации (кратковременный дождь) определяется по каждому из остальных пяти НП, где были отмечены осадки, а именно по трем НП, где выпало 0,5 - 10 мм - 100%, по двум НП, где выпало 0,2 и 16 мм - 50%. Оправдываемость прогноза количества осадков по области
.
8 По области прогнозировалась погода без существенных осадков.
Фактически в пяти НП выпал дождь с количеством осадков 0,0 - 0,2 мм, в двух НП выпало 0,5 - 0,7 мм, в остальных трех НП осадков не было. Согласно таблице 8, прогноз осадков в пяти НП, где выпало 0,0 - 0,2 мм, и в трех НП, где осадков не было, оправдался на 100%, в двух НП, где выпало 0,5 - 0,7 мм, - на 75%. Оправдываемость прогноза количества осадков по области
.
9 По области прогнозировался местами небольшой снег.
Фактически осадки не отмечены ни в одном НП области. В этом случае оправдываемость прогноза количества осадков по области в соответствии с 7.1.11 составляет 75%.
10 По области прогнозировался снег, местами сильный.
Фактически на всех десяти НП выпало 2 - 3 мм осадков. В этом случае оправдываемость прогноза количества осадков по области в соответствии с 7.1.11 составляет 75%.
11 По области прогнозировался дождь, местами сильный.
Фактически сильного дождя в области не было, при этом в пяти НП выпало 3 - 9 мм осадков, в двух НП 10 - 13 мм и еще в трех НП выпал небольшой дождь 0,5 - 2 мм.
К основной градации должны быть отнесены пять НП, где выпало 3 - 9 мм осадков, оправдываемость прогноза 100%, а также три НП, где выпало 0,5 - 2 мм, оправдываемость прогноза 50%. С учетом допуска, предусмотренного таблицей 8, два НП, на которых выпало 10 - 13 мм, могут быть отнесены к дополнительной градации "сильный дождь" с оправдываемостью прогноза 100%.
.
7.2.2 Оценка оправдываемости прогноза скорости ветра
7.2.2.1 Оценка оправдываемости прогноза скорости ветра производится путем сравнения прогностических значений скорости ветра с фактически наблюдавшейся максимальной скоростью ветра по данным каждого из НП, наблюдения которых используются для оценки прогноза.
7.2.2.2 Оценке как явления погоды подлежит скорость ветра в случае, если прогнозировалась максимальная скорость ветра не меньше значений, соответствующих качественной характеристике "сильный ветер", либо если фактическая максимальная скорость ветра достигла этих значений, а прогнозировался ветер с меньшей скоростью.
7.2.2.3 Прогноз скорости ветра по пункту считается оправдавшимся (Pw = 100%), если фактическая максимальная скорость ветра находится в пределах прогнозируемой градации или отличается от крайних значений градации не более чем на 2 м/с. Если фактическая максимальная скорость ветра отличается от крайних значений прогнозируемой градации более чем на 2 м/с, то прогноз считается не оправдавшимся (Pw = 0%).
Примеры
1 В прогнозе предусматривалась максимальная скорость ветра 7 - 12 м/с. Прогноз считается оправдавшимся, если фактические значения максимальной скорости находятся в интервале от 5 до 14 м/с.
2 В прогнозе предусматривалась скорость ветра 15 - 20 м/с с порывами до 25 м/с. В соответствии с 6.5.3, оценку прогноза скорости ветра следует производить по максимальной скорости при порыве 25 м/с. Прогноз считается оправдавшимся, если фактическая скорость ветра была не менее 23 м/с.
3 В прогнозе предусматривалась скорость ветра 5 - 10 м/с с порывами до 15 м/с. Оценку прогноза скорости ветра следует производить по максимальной скорости ветра (15 м/с при порыве). Фактически наблюдалась максимальная скорость ветра 12 м/с. Оправдываемость прогноза скорости ветра Pw = 0%.
7.2.2.4 Оправдываемость прогноза скорости ветра по территории
Pw тер в случае отсутствия дополнительной градации определяется по
формуле (1).
Примеры
1 По области прогнозировалась максимальная скорость ветра 15 - 20 м/с ("сильный ветер").
Фактически пять НП зафиксировали максимальную скорость ветра в пределах от 13 до 21 м/с (прогноз оправдался с учетом допуска), еще в двух НП максимальная скорость ветра была 23 м/с (прогноз не оправдался). В трех НП максимальная скорость ветра была менее 10 м/с, но так как максимальная скорость ветра в градации "сильный ветер" (с учетом допуска) отмечена в половине НП, то в соответствии с 4.15 прогноз по трем НП, где максимальная скорость ветра была менее 10 м/с, считается оправдавшимся. Оправдываемость прогноза максимальной скорости ветра по области
.
Одновременно, в соответствии с 7.2.2.2, прогноз максимальной скорости ветра, данный в градации "сильный ветер", оценивается как явление погоды, т.е. Pя тер = 80% при отсутствии прогноза других явлений погоды, подлежащих оценке.
2 По области прогнозировалась максимальная скорость ветра 15 - 20 м/с ("сильный ветер").
Фактически четыре НП зафиксировали максимальную скорость ветра в пределах от 13 до 18 м/с (прогноз оправдался с учетом допуска), в остальных шести НП максимальная скорость ветра была 10 м/с и менее. Так как максимальная скорость ветра в градации "сильный ветер" (с учетом допуска) отмечена менее, чем в половине НП, то в этом случае расчет оправдываемости прогноза максимальной скорости ветра производится без применения 4.15. Оправдываемость прогноза максимальной скорости ветра по области, данного в градации "сильный ветер"
.
Одновременно, в соответствии с 7.2.2.2, прогноз максимальной скорости ветра, данный в градации "сильный ветер", оценивается как явление погоды, т.е. Pя тер = 40% при отсутствии прогноза других явлений погоды, подлежащих оценке.
3 По области прогнозировалась максимальная скорость ветра 5 - 10 м/с.
Фактически в семи НП наблюдался слабый и умеренный ветер, по этим НП прогноз максимальной скорости ветра оправдался на 100%, в трех НП отмечена максимальная скорость ветра 15 - 16 м/с (сильный ветер), оправдываемость прогноза максимальной скорости ветра по этим НП Pw = 0%.
Оправдываемость прогноза максимальной скорости ветра по области
.
По трем НП, где сильный ветер прогнозом не предусмотрен, оценка не предусмотренного сильного ветра как явления погоды производится при определении общей оправдываемости прогноза по территории в соответствии с 7.1.14.
7.2.2.5 Оправдываемость прогноза скорости ветра по территории
Pw тер с использованием дополнительной градации определяется по
формуле (2).
Примеры
1 По области прогнозировалась максимальная скорость ветра 7 - 12 м/с, на побережье (три НП) 15 - 20 м/с.
Фактически в двух НП побережья отмечена максимальная скорость ветра 13 и 18 м/с (прогноз оправдался, по одному НП - с учетом допуска), в одном НП побережья скорость ветра была 11 м/с (прогноз не оправдался). В остальных НП области наблюдался слабый и умеренный ветер (прогноз оправдался). Оправдываемость прогноза скорости ветра по области
.
Одновременно в соответствии с 7.2.2.2 прогноз максимальной скорости ветра, данный с применением дополнительной градации "сильный ветер", оценивается как явление погоды, т.е. Pя тер = 90% при отсутствии прогноза других явлений погоды, подлежащих оценке.
2 По области прогнозировалась максимальная скорость ветра 5 - 10 м/с, местами порывы 15 - 18 м/с.
Фактически в шести НП порывы ветра достигали 15 - 20 м/с, в одном НП 22 м/с, в трех НП отмечен слабый и умеренный ветер. В соответствии с 4.14, при оценке прогноза к основной градации (слабый и умеренный ветер) должны быть отнесены не менее чем половина НП, в нашем случае - три НП, в которых был отмечен слабый и умеренный ветер, с оправдываемостью 100%, а также два НП, в которых ветер был в градации "сильный ветер", с оправдываемостью 0%. Остальные пять НП оцениваются в дополнительной градации "сильный ветер" со следующей оправдываемостью: по четырем НП, где скорость ветра была 15 - 20 м/с, - 100% и еще по одному НП, где ветер достигал 22 м/с, - 0%. Оправдываемость прогноза скорости ветра по области
.
Одновременно, в соответствии с 7.2.2.2, прогноз максимальной скорости ветра, данный с применением дополнительной градации "сильный ветер", оценивается как явление погоды, т.е. Pя тер = 70% при отсутствии прогноза других явлений погоды, подлежащих оценке.
3 По области местами прогнозировались грозы, максимальная скорость ветра 5 - 10 м/с, при грозе порывы 15 - 18 м/с.
Фактически наблюдался слабый и умеренный ветер с максимальной скоростью менее 13 м/с, при этом гроза отмечена одним НП, других явлений погоды не было. В соответствии с 7.1.11 оправдываемость прогноза максимальной скорости, данного в дополнительной градации "сильный ветер", принимается равной 75%.
В соответствии с 7.2.2.2 прогноз максимальной скорости ветра, данный с применением дополнительной градации "сильный ветер", одновременно оценивается как прогноз явления погоды и оправдываемость его составляет 75%. Прогноз явления погоды "гроза" оправдался на 100%. Общая оправдываемость прогноза явлений погоды по территории, определяемая согласно 7.1.13 как среднее между оправдываемостью прогноза максимальной скорости ветра, данной в градации "сильный ветер", и гроз, т.е. Pя тер = 87,5%.
7.2.3 Оценка оправдываемости прогноза температуры воздуха
7.2.3.1 Оценка оправдываемости прогноза температуры воздуха производится путем сравнения прогностических значений температуры воздуха (днем - максимальной, ночью - минимальной) с фактически измеренными значениями максимальной и минимальной температуры воздуха на тех НП, данные наблюдений которых используются для оценки прогноза.
7.2.3.2 Помимо оценки прогноза температуры воздуха как явление погоды оцениваются заморозки в воздухе и на поверхности почвы, сильная жара и сильный мороз, если они прогнозировались или если эти явления погоды не прогнозировались, но фактически наблюдались.
7.2.3.3 Прогноз температуры воздуха по пункту считается оправдавшимся (Pt П = 100%), если фактическая температура воздуха (днем - максимальная, ночью - минимальная) находится в пределах прогнозируемой градации или отличается от крайних значений градации не более чем на 2 °C. Если фактическая максимальная (минимальная) температура отличается от крайних значений прогнозируемой градации более чем на 2 °C, то прогноз считается не оправдавшимся, т.е. Pt П = 0%.
7.2.3.4 Допустимое отклонение фактической температуры не более чем на 2 °C от прогнозируемой градации не применяется при оценке минимальной температуры воздуха, отнесенной к категории заморозков, если фактическая температура воздуха была 0 °C и выше, а также в случае, если в вегетационный период минимальная температура воздуха понижалась до отрицательных значений, а заморозки не прогнозировались.
Примеры
1 По пункту прогнозировались заморозки от минус 1 до минус 3 °C. Фактическая минимальная температура воздуха составила 0,2 °C. Оправдываемость прогноза минимальной температуры воздуха Pt п = 0%.
2 По пункту в вегетационный период прогнозировалась минимальная температура воздуха плюс 1 - 3 °C. Фактическая минимальная температура воздуха была минус 0,8 °C. Оправдываемость прогноза минимальной температуры воздуха Pt п = 0%.
7.2.3.5 Оправдываемость прогноза температуры воздуха по территории
Pt тер в случае отсутствия дополнительной градации определяется по
формуле (1).
Примеры
1 По пункту прогнозировалась минимальная температура воздуха ночью 5 - 7 °C, максимальная температура днем 14 - 16 °C. Фактически наблюдалась минимальная температура ночью 4,4 °C, максимальная температура днем 11,3 °C. Оправдываемость прогноза минимальной температуры Pt п = 100%, так как она отличается от крайнего значения прогнозируемого интервала менее чем на 2 °C.
Оправдываемость прогноза максимальной температуры Pt п = 0%, так как она отличается от крайнего значения прогнозируемого интервала более чем на 2 °C.
2 По области прогнозировалась минимальная температура воздуха минус 10 - 15 °C. Фактически восемь НП зафиксировали минимальную температуру в пределах минус 8,1 - 16,6 °C (прогноз оправдался с учетом допуска), в одном НП минимальная температура была минус 7,4 °C (прогноз не оправдался), и еще в одном НП минус 17,8 °C (прогноз не оправдался). Оправдываемость прогноза минимальной температуры по области
.
3 В вегетационный период по области прогнозировалась минимальная температура плюс 1 - 6 °C.
Фактически в шести НП минимальная температура воздуха была от плюс 0,2 до плюс 6,5 °C, прогноз оправдался с учетом допуска. В четырех НП отмечены заморозки минус 0,1 - 0,9 °C, в соответствии с 7.2.3.4 прогноз минимальной температуры по этим НП не оправдался. Оправдываемость прогноза минимальной температуры по области
.
Одновременно температура воздуха ниже 0 °C как не предусмотренное явление погоды (заморозки) оценивается в соответствии с 7.1.14.
7.2.3.6 Оправдываемость прогноза температуры воздуха по территории
Pt тер в случае использования дополнительной градации определяется по
формуле (2).
Примеры
1 По области прогнозировалась максимальная температура воздуха 9 - 14 °C, на юге до 22 °C (т.е. 17 - 22 °C). На юге области располагаются три из десяти НП, данные наблюдений которых используются для оценки прогнозов.
Фактически в пяти НП области максимальная температура была в пределах 7,1 - 15,5 °C (прогноз оправдался с учетом допуска), в одном НП 6,3 °C (прогноз не оправдался) и еще в одном НП 16,6 °C (прогноз не оправдался); на юге области два НП зафиксировали максимальную температуру 18,5 °C и 20,2 °C (прогноз оправдался), в одном НП юга области максимальная температура была 14,2 °C (прогноз не оправдался). Оправдываемость прогноза максимальной температуры
.
2 В вегетационный период по области прогнозировалась минимальная температура от плюс 1 до плюс 6 °C, на севере области заморозки до минус 2 °C. На севере области располагаются четыре из десяти НП, данные наблюдений которых используются для оценки прогнозов.
Фактически в двух НП севера области минимальная температура воздуха была от минус 0,2 до минус 2,3 °C (прогноз заморозков оправдался), в одном НП минимальная температура была плюс 0,3 °C, а температура на поверхности почвы минус 1 °C (прогноз заморозков оправдался), и еще в одном НП отмечена минимальная температура воздуха плюс 0,6 °C (в соответствии с 7.2.3.4 прогноз не оправдался, так как прогнозируемых заморозков не было). На остальной территории области в пяти НП минимальная температура воздуха была от плюс 0,5 до плюс 7,8 °C (прогноз оправдался с учетом допуска), а еще в одном НП зафиксирована температура воздуха минус 0,2 °C, в соответствии с 7.2.3.4 прогноз температуры в этом НП не оправдался, так как не предусмотрены заморозки. Оправдываемость прогноза минимальной температуры
.
Одновременно заморозки как явление погоды оцениваются в соответствии с 7.1.14.
3 По области прогнозировалась максимальная температура 34 - 39 °C, на юго-востоке (два НП) 40 - 45 °C (ОЯ "сильная жара").
Фактически в девяти НП отмечена максимальная температура 32,2 - 37,9 °C, в одном из НП юго-востока области 38,8 °C (прогноз ОЯ "сильная жара" оправдался с учетом допуска), в другом НП юго-востока максимальная температура была 37,3 °C (прогноз не оправдался). Оправдываемость прогноза максимальной температуры
.
Одновременно оценивается как оправдавшееся явление погоды "сильная жара".
4 По области прогнозировалась минимальная температура минус 30 - 35 °C, на севере (три НП) до минус 40 °C (ОЯ сильный мороз).
Фактически в двух НП отмечена минимальная температура минус 36,1 °C и минус 37,0 °C, а в остальных минус 37,6 - 39,6 °C, на трех НП, расположенных на севере области, минус 38,2 - 41,6 °C. В этом случае прогноз минимальной температуры (с учетом допуска) оправдался по трем НП севера области и по двум НП на остальной территории. Оправдываемость прогноза минимальной температуры
.
Одновременно оценивается как оправдавшееся явление погоды "сильный мороз".
7.2.3.7 Оценку прогноза температуры воздуха при аномальном ее ходе, превышающем 5 °C, выполняют только по пункту. В этом случае оценка прогноза температуры производится:
- по значению температуры в утренние часы при аномальном ходе ночью;
- по значению температуры в вечерние часы при аномальном ходе днем.
При этом значения минимальной (максимальной) температуры при оценке прогноза не учитываются.
Примеры
1 Прогнозом предусматривалось понижение температуры от плюс 2 - 4 °C в первую половину дня до минус 8 - 10 °C к вечеру.
Утром температура воздуха была 5,2 °C, в течение дня температура воздуха понизилась более чем на 5 °C и вечером составляла минус 7,2 °C. Прогноз температуры днем (аномальный ход, превышающий 5 °C), оправдался с учетом допуска, т.е. Pt п = 100%.
2 Прогнозировалось повышение температуры воздуха в течение ночи от минус 15 - 17 °C до минус 3 - 5 °C к утру.
Фактически температура воздуха повысилась от минус 14,5 °C в начале ночи до минус 8,3 °C утром. Аномальный ход температуры воздуха на 5 °C и более был спрогнозирован, но поскольку значение температуры утром отличается от интервала прогнозируемой в утренние часы температуры воздуха (минус 3 - 5 °C) более чем на 2 °C, то прогноз температуры не оправдался, т.е. Pt п = 0%.
3 Прогнозировалась максимальная температура воздуха днем в пункте 6 - 8 °C.
Фактически температура воздуха понизилась с 6,6 °C в первой половине дня до минус 3,5 °C к вечеру. Аномальный ход температуры воздуха в течение дня превысил 5 °C и он не был предусмотрен прогнозом. Прогноз температуры воздуха не оправдался, т.е. Pt п = 0%.
7.2.4 Оценка оправдываемости прогноза явлений погоды
7.2.4.1 В соответствии с
7.1.3, прогноз явления погоды по пункту и по территории оценивается по факту наличия или отсутствия явления. Характеристикой успешности прогноза явления погоды является оправдываемость.
7.2.4.2 Не оценивается факт отсутствия явлений погоды, когда явления погоды не прогнозировались и не наблюдались.
7.2.4.3 В прогнозе погоды на первые сутки подлежат оценке следующие явления погоды: метель (в том числе низовая), пыльная (песчаная) буря, шквал, гроза, град, туман, гололед, изморозь, налипание (отложение) мокрого снега на проводах и деревьях, а также сильный и очень сильный (ураганный) ветер, сильные и очень сильные осадки, заморозки (согласно
6.6.9), сильная жара, сильный мороз.
7.2.4.4 В прогнозе погоды на вторые и третьи сутки оценке подлежат следующие явления погоды: метель (в том числе низовая), пыльная (песчаная) буря, а также сильный и очень сильный (ураганный) ветер, сильные и очень сильные осадки, заморозки (согласно
6.6.9), сильная жара, сильный мороз.
7.2.4.5 Оправдываемость прогноза явления погоды
Pя по пункту и территории определяется по
формулам (1),
(2) и
(4) с учетом требований, изложенных в
4.12 -
4.15 и
7.1.11.
7.2.4.6 Если явления погоды по территории не прогнозировались, а они наблюдались, то не предусмотренные прогнозом явления погоды оцениваются при определении общей оправдываемости прогноза погоды по
формуле (6).
Примеры
1 По пункту прогнозировались максимальная скорость ветра 15 - 20 м/с, гроза, град.
Фактически в пункте отмечена максимальная скорость ветра 19 м/с (прогноз сильного ветра как явления погоды оправдался, оправдываемость 100%), наблюдалась гроза (оправдываемость 100%), град не наблюдался (оправдываемость 0%), также отмечена пыльная буря, которая прогнозом предусмотрена не была (оправдываемость 0%). Общая оправдываемость прогноза явлений погоды по пункту определяется по формуле (4) и составляет
.
2 По области прогнозировались местами заморозки до минус 3°.
Фактически заморозки наблюдались менее чем в половине НП, прогноз явления погоды "заморозки" оправдался, Pя = 100%. Кроме того, в двух НП был отмечен туман, который прогнозом не предусматривался. Предположим, что оправдываемость прогноза температуры по области составила Pt = 90%, прогноза количества осадков Ppr = 80%, прогноза скорости ветра Pw = 100%. Общая оправдываемость прогноза погоды по области определяется по формуле (6) и составляет
.
3 По области ожидалась погода без осадков, явления погоды не прогнозировались.
Фактически в одном НП была отмечена гроза и ливневый дождь, при этом выпало 19 мм осадков, на остальных НП осадков не было, еще в двух НП ветер усиливался до 17 - 18 м/с. Таким образом, всего наблюдалось четыре явления погоды (два из них - гроза и ливневый дождь в одном НП), которые не были предусмотрены прогнозом. Оправдываемость прогноза скорости ветра по области Pw = 80%, предположим, что оправдываемость прогноза температуры по области составила Pt = 100%, прогноз осадков Ppr оправдался на 90%. Общая оправдываемость прогноза погоды по области с учетом того, что явления погоды не прогнозировались, но наблюдались определяется по формуле (7) и составляет
.
8 Оценка успешности штормовых предупреждений
8.1.1 Перечень НП, по данным наблюдений которых производится оценка успешности штормовых предупреждений, определяется в соответствии с требованиями
7.1.5 -
7.1.8.
8.1.2 Оценке подлежат все штормовые предупреждения, а также штормовые оповещения о не предусмотренных ОЯ.
8.1.3 Оценку успешности штормовых предупреждений, составленных для территории или ее части, производят по территории (пункт включается в территорию). Оценка успешности штормовых предупреждений, составленных только для пункта, оценивается по пункту.
8.1.4 Показателями успешности штормовых предупреждений являются их оправдываемость PОЯ и эффективность ЭОЯ.
8.1.5 Время возникновения ОЯ определяется моментом времени, когда явление погоды или метеорологическая величина достигли соответствующего критерия ОЯ в первом НП.
8.1.6 Штормовое предупреждение о сохранении успешно предусмотренного ранее ОЯ (продление срока действия штормового предупреждения) не оценивается.
8.1.7 Если штормовое предупреждение было отменено не позднее чем за 2 ч до ожидаемого возникновения ОЯ, а штормовое предупреждение, связанное с развитием конвекции (грозе, граде и шквале), - не позднее, чем за 30 мин, и ОЯ (КМЯ) не наблюдалось, то данное штормовое предупреждение не оценивается.
8.1.8 Штормовое оповещение о не предусмотренном ОЯ учитывается как не оправдавшееся штормовое предупреждение.
8.2 Методика оценки успешности штормовых предупреждений
8.2.1 Штормовое предупреждение оценивается с учетом допусков, приведенных в
приложении В, альтернативно: оправдалось (100%), не оправдалось (0%).
8.2.2 При использовании в штормовом предупреждении терминов, приведенных в
таблице 1, оценка оправдываемости штормового предупреждения, если оно было составлено с заблаговременностью 6 - 24 ч, производится с учетом допусков по времени (отклонений фактического времени возникновения ОЯ от прогнозируемого), составляющих минус 2 ч, плюс 2 ч от крайних границ периода времени, в течение которого ожидается возникновение ОЯ. Если заблаговременность штормового предупреждения составляет менее 6 ч, то временные допуски при оценке оправдываемости этого штормового предупреждения не применяются.
8.2.3 Если штормовое предупреждение было составлено с заблаговременностью более 24 ч, то оценка оправдываемости штормового предупреждения производится с учетом допусков по времени (отклонений фактического времени возникновения ОЯ от прогнозируемого), составляющих минус 3 ч, плюс 3 ч от крайних границ периода времени, в течение которого ожидается возникновение ОЯ.
8.2.4 Штормовое предупреждение считается успешным (PОЯ = 100%), если наблюдалось (с учетом допусков по интенсивности, времени возникновения и продолжительности) хотя бы одно ОЯ из нескольких указанных в предупреждении.
8.2.5 Штормовое предупреждение об одном из следующих ОЯ: смерч, крупный град, сильное гололедно-изморозевое отложение считается успешным (PОЯ = 100%), если это явление погоды наблюдалось в любой интенсивности хотя бы в одном НП в течение периода времени, указанного в штормовом предупреждении (с учетом допусков по времени возникновения).
8.2.6 Штормовое предупреждение о КМЯ, сочетание которых образует ОЯ, считается успешным (
PОЯ = 100%), если не менее двух перечисленных в нем явлений погоды (метеорологических величин) достигли установленных в
приложении Б критериев и наблюдались хотя бы в одном НП в течение периода времени, указанного в штормовом предупреждении (с учетом допусков по времени возникновения).
8.2.7 Штормовое предупреждение считается не оправдавшимся (PОЯ = 0%), в случаях, когда:
- ни одно из указанных в штормовом предупреждении ОЯ (КМЯ) фактически не наблюдалось, т.е. не достигло установленных в
приложении А критериев ОЯ и в
приложении Б критериев КМЯ (с учетом допусков по интенсивности, времени возникновения и продолжительности);
- прогнозировалось одно ОЯ (КМЯ), а наблюдалось другое ОЯ (КМЯ);
- ОЯ (КМЯ) не было предусмотрено штормовым предупреждением, а наблюдалось хотя бы в одном НП.
8.2.8 Штормовое предупреждение считается эффективным (
ЭОЯ = 100%), если оно оправдалось и составлено с заблаговременностью:
- об ОЯ (КМЯ), связанных с развитием конвекции (гроза в комплексе с другими конвективными явлениями, град и шквал), - не менее чем 1 ч;
- о заморозках в воздухе, на поверхности почвы и в приземном слое воздуха (травостое), сильной жаре, сильном морозе, аномально жаркой (холодной) погоде - не менее чем 6 ч;
- об остальных ОЯ (КМЯ) - не менее чем 2 ч.
8.2.9 Оправдавшееся штормовое предупреждение, но составленное с заблаговременностью меньшей, чем указано в
8.2.8, а также не оправдавшееся штормовое предупреждение и штормовое оповещение о непредусмотренном ОЯ считается не эффективным (
ЭОЯ = 0%).
8.2.10 Не определяется эффективность штормового предупреждения, составленного с заблаговременностью, предусмотренной
8.2.8, но оправдавшегося только лишь с учетом допуска по интенсивности.
9 Расчет показателей успешности прогнозов погоды и штормовых предупреждений за период (месяц, квартал, сезон, год)
9.1 Расчет показателей успешности прогнозов погоды за период (месяц, квартал, сезон, год)
9.1.1 Оценка успешности прогнозов погоды на сутки (первые, вторые и третьи) за календарный период (месяц, квартал, сезон, год) по пункту, а также прогнозов погоды, не детализированных по территории, заключается в вычислении их средней оправдываемости за период Pпериод, %, по формуле

, (9)
где m - число суток в календарном периоде (месяц, квартал, сезон, год);
Pсут - оправдываемость прогноза погоды за каждые (первые, вторые и третьи) сутки рассматриваемого календарного периода.
9.1.2 Кроме средней оправдываемости прогнозов погоды по пункту рассчитывают среднюю абсолютную ошибку прогноза температуры за период

. Расчеты производятся по формуле

, (10)
где

- абсолютная ошибка прогноза максимальной (минимальной) температуры воздуха по пункту за каждые сутки (первые, вторые и третьи) данного периода (месяца, квартала, сезона, года).
9.1.3 Оценка успешности прогнозов погоды на сутки (первые, вторые и третьи) за календарный период (месяц, квартал, сезон, год), детализированных по территории с установлением перечня НП для каждого из районов в соответствии с
7.1.8, заключается в вычислении их средней оправдываемости за период
Pпериод, %, по формуле

, (11)
где k - число районов;
Pk период - оправдываемость прогноза погоды по району за календарный период, вычисленная по
формуле (9);
nk - количество НП, данные наблюдений которых используются для оценки прогноза погоды по району.
Если количество НП, данные наблюдений которых используются для оценки прогноза погоды по району, в каждом из районов одинаковое, то средняя оправдываемость прогноза погоды по территории за период Pпериод определяется как среднее из значений оправдываемости прогнозов погоды за этот период по каждому из районов.
9.2 Расчет показателей успешности штормовых предупреждений за период (месяц, квартал, сезон, год)
9.2.1 Для характеристики успешности штормовых предупреждений за календарный период времени (месяц, квартал, сезон, год) производят расчет следующих показателей:
- оправдываемость PОЯ;
- эффективность ЭОЯ;
- предупрежденность ПОЯ.
9.2.2 Расчет оправдываемости
PОЯ и предупрежденности
ПОЯ за период времени (месяц, квартал, сезон, год) производится с помощью не замкнутой таблицы сопряженности
(таблица 10).
Таблица 10
Таблица сопряженности (не замкнутая)
Штормовое предупреждение | Количество случаев | Сумма |
с ОЯ | без ОЯ |
Дано | k11 | k12 | k10 |
Не дано | k21 | |
Сумма | k01 |
k11 - количество оправдавшихся штормовых предупреждений;
k12 - количество штормовых предупреждений, когда они выпускались, но ОЯ не наблюдались ("лишние" штормовые предупреждения или "ложные тревоги");
k10 - общее количество выпущенных штормовых предупреждений за период времени (месяц, квартал, сезон, год);
k21 - количество оповещений о не предусмотренных штормовыми предупреждениями ОЯ;
k01 - количество наблюдавшихся ОЯ за период времени (месяц, квартал, сезон, год).
9.2.3 Оправдываемость штормовых предупреждений за период времени (месяц, квартал, сезон, год) PОЯ, %, рассчитывается как отношение количества оправдавшихся штормовых предупреждений к общему количеству выпущенных штормовых предупреждений и штормовых оповещений о не предусмотренных ОЯ за период по формуле

. (12)
9.2.4 Эффективность штормовых предупреждений за период времени (месяц, квартал, сезон, год) с учетом их заблаговременности
ЭОЯ, %, рассчитывается как отношение количества эффективных штормовых предупреждений (т.е. выпущенных с заблаговременностью, установленной
8.2.8) к общему количеству выпущенных штормовых предупреждений и штормовых оповещений о не предусмотренных ОЯ за соответствующий период по формуле

, (13)
где kэ - количество эффективных штормовых предупреждений.
9.2.5 Предупрежденность ОЯ за период времени (месяц, квартал, сезон, год) ПОЯ, %, рассчитывается как отношение количества ОЯ, предусмотренных оправдавшимися штормовыми предупреждениями к общему количеству наблюдавшихся ОЯ за соответствующий период по формуле

. (14)
9.2.6 Для проведения дополнительного анализа успешности штормовых предупреждений за период времени (месяц, квартал, сезон, год) может быть рассчитана:
а) процентная доля не предусмотренных штормовыми предупреждениями случаев с ОЯ от общего количества наблюдавшихся ОЯ за соответствующий период ПРОЯ, %, по формуле

, (15)
б) процентная доля "лишних" штормовых предупреждений ("ложных тревог") от общего количества выпущенных штормовых предупреждений за соответствующий период ЛТОЯ, %, по формуле

. (16)
(рекомендуемое)
ТИПОВОЙ ПЕРЕЧЕНЬ МЕТЕОРОЛОГИЧЕСКИХ ОЯ И ИХ КРИТЕРИИ
Наименование ОЯ | Характеристика и критерий или определение ОЯ |
А.1 Очень сильный ветер | Ветер с максимальной скоростью 25 м/с и более, на побережьях морей и горных районах 35 м/с и более |
А.2 Ураганный ветер | Ветер с максимальной скоростью 33 м/с и более |
А.3 Шквал | Резкое кратковременное (в течение нескольких минут, но не менее 1 мин усиление ветра до 25 м/с и более |
А.4 Смерч | Сильный маломасштабный вихрь в виде столба (воронки), направленного от облака к подстилающей поверхности |
А.5 Очень сильный дождь и приравненные к нему смешанные осадки | Дождь и приравненные к нему смешанные осадки с количеством 50 мм и более, в селеопасных горных районах с количеством 30 мм и более за период времени 12 ч и менее; для Черноморского побережья Кавказа - в соответствии с критериями, установленными ФГБУ "Северо-Кавказское УГМС" |
А.6 Сильный ливень | Сильный ливневый дождь с количеством выпавших осадков 30 мм и более за 1 ч и менее; для Черноморского побережья Кавказа - в соответствии с критериями, установленными ФГБУ "Северо-Кавказское УГМС" |
А.7 Продолжительный сильный дождь | Дождь с количеством осадков 100 мм и более (в селеопасных горных районах с количеством осадков 60 мм и более) за период времени 48 ч и менее или 120 мм и более за период времени более 48 ч |
А.8 Очень сильный снег (снегопад) | Снег (снегопад) с количеством 20 мм и более за период времени 12 ч и менее |
А.9 Крупный град | Град диаметром 20 мм и более |
А.10 Сильная метель | Перенос снега с подстилающей поверхности, часто сопровождаемый выпадением снега из облаков, сильным (со средней скоростью не менее 15 м/с) ветром и с метеорологической дальностью видимости не более 500 м продолжительностью не менее 12 ч |
| | ИС МЕГАНОРМ: примечание. Нумерация пунктов дана в соответствии с официальным текстом документа. | |
|
А.12 Сильный туман (сильная мгла) | Сильное помутнение воздуха за счет скопления мельчайших частиц воды (пыли, продуктов горения), с метеорологической дальностью видимости не более 50 м продолжительностью не менее 12 ч |
А.13 Сильное гололедно-изморозевое отложение | Диаметр отложения на проводах гололедного станка: - гололеда - не менее 20 мм; - сложного отложения или мокрого (замерзающего) снега - не менее 35 мм; - изморози - не менее 50 мм |
А.14 Сильный мороз | В период с ноября по март значение минимальной температуры воздуха достигает установленного для данной территории опасного значения или ниже его |
А.15 Сильная жара | В период с мая по август значение максимальной температуры воздуха достигает установленного для данной территории опасного значения или выше его |
А.16 Аномально холодная погода | В период с октября по март в течение пяти дней и более значение среднесуточной температуры воздуха ниже климатической нормы на 7 °C и более (либо другого установленного для данной территории критерия) |
А.17 Аномально жаркая погода | В период с апреля по сентябрь в течение 5 дней и более значение среднесуточной температуры воздуха выше климатической нормы на 7 °C и более (либо другого установленного для данной территории критерия) |
А.18 Заморозок | Понижение температуры воздуха и/или поверхности почвы (травостоя) до значений ниже 0 °C на фоне положительных средних суточных температур воздуха в периоды активной вегетации сельскохозяйственных культур или уборки урожая, приводящее к повреждению и/или частичной гибели урожая сельскохозяйственных культур |
А.19 Чрезвычайная пожарная опасность | Пятый класс показателя пожарной опасности (10000 °C и более), рассчитанного по формуле Нестерова |
А.20 Сход снежных лавин | Сход крупных лавин, наносящих значительный ущерб хозяйственным объектам или создающий опасность населенным пунктам |
(рекомендуемое)
ТИПОВОЙ ПЕРЕЧЕНЬ И КРИТЕРИИ ЯВЛЕНИЙ ПОГОДЫ
И МЕТЕОРОЛОГИЧЕСКИХ ВЕЛИЧИН, ВХОДЯЩИХ В КОМПЛЕКС
МЕТЕОРОЛОГИЧЕСКИХ ЯВЛЕНИЙ (КМЯ), СОЧЕТАНИЕ
КОТОРЫХ ОБРАЗУЕТ ОЯ
Наименование явлений, сочетания которых образуют ОЯ | Характеристика и критерий или определение метеорологических явлений, сочетания которых образуют ОЯ |
Б.1 Сильный ветер, в том числе шквал | Ветер с максимальной скоростью не менее 80% от установленного критерия ОЯ по скорости ветра |
Б.2 Гололедно-изморозевое отложение | Менее значений критерия ОЯ, но диаметр отложения на проводах гололедного станка: - гололеда - не менее 10 мм; - изморози - не менее 18 мм; - мокрого (замерзающего) снега - не менее 25 мм |
Б.3 Низкая температура | Значение температуры воздуха устанавливается территориальным управлением Росгидромета |
Б.4 Сильный дождь и приравненные к нему смешанные осадки | Количество выпадающих осадков 35 - 49 мм (в селеопасных горных районах 15 - 29 мм) за период времени не более 12 ч |
Б.5 Ливень | Ливневый дождь с количеством выпавших осадков 20 - 29 мм за 1 ч и менее в комплексе с другими конвективными явлениями |
Б.6 Сильный снег | Количество выпадающих осадков 6 - 19 мм за период времени 12 ч |
Б.7 Метель | Перенос выпадающего сильного снега и снега с подстилающей поверхности умеренным и сильным ветром, в результате чего образуются снежные заносы на дорогах |
Б.8 Град | Град диаметром менее 20 мм |
Б.9 Гроза | В комплексе с другими конвективными явлениями |
(обязательное)
ЗНАЧЕНИЯ МЕТЕОРОЛОГИЧЕСКИХ ВЕЛИЧИН, ПРИ КОТОРЫХ
ШТОРМОВОЕ ПРЕДУПРЕЖДЕНИЕ СЧИТАЮТ УСПЕШНЫМ
Наименование ОЯ | Допустимое значение метеорологической величины |
В.1 Очень сильный ветер (в том числе шквал) | Максимальная скорость ветра не менее 90% от установленного критерия ОЯ |
В.2 Смерч | При обнаружении, в том числе не достигший подстилающей поверхности |
В.3 Очень сильный дождь и приравненные к нему смешанные осадки | Дождь и приравненные к нему смешанные осадки, с количеством выпавших осадков не менее 80% установленного критерия ОЯ |
В.4 Сильный ливень | Сильный ливневый дождь с количеством выпавших осадков не менее 80% установленного критерия ОЯ |
В.5 Продолжительный сильный дождь | Дождь с количеством выпавших осадков не менее 80% установленного критерия ОЯ |
В.6 Очень сильный снег | Снег с количеством выпавших осадков не менее 80% установленного критерия ОЯ |
В.7 Крупный град | Град любой величины |
В.8 Сильная метель | Перенос снега с подстилающей поверхности, часто сопровождаемый выпадением снега из облаков, ветром со средней скоростью не менее 12 м/с и с метеорологической дальностью видимости не более 1000 м продолжительностью не менее 8 ч |
В.9 Сильная пыльная (песчаная) буря | Перенос пыли (песка) ветром со средней скоростью не менее 12 м/с и с метеорологической дальностью видимости не более 1000 м продолжительностью не менее 8 ч |
В.10 Сильный туман (сильная мгла) | Сильное помутнение воздуха за счет скопления мельчайших частиц воды (пыли, продуктов горения), с метеорологической дальностью видимости не более 200 м продолжительностью не менее 8 ч |
В.11 Сильное гололедно-изморозевое отложение | Гололедно-изморозевое отложение любого диаметра |
В.12 Сильный мороз | В период с ноября по март значение минимальной температуры воздуха выше установленного для данной территории критерия ОЯ не более чем на 2 °C |
В.13 Сильная жара | В период с мая по август значение максимальной температуры воздуха ниже установленного для данной территории критерия ОЯ не более чем на 2 °C |
В.14 Аномально холодная погода | В период с октября по март в течение трех дней значение среднесуточной температуры воздуха ниже климатической нормы на 7 °C и более (либо другого установленного для данной территории критерия) |
В.15 Аномально жаркая погода | В период с апреля по сентябрь в течение не менее трех дней значение среднесуточной температуры воздуха выше климатической нормы на 7 °C и более (либо другого установленного для данной территории критерия) |
В.16 Чрезвычайная пожарная опасность | Четвертый класс показателя пожарной опасности, рассчитанного по формуле Нестерова |
В.17 Заморозки | Минимальная температура воздуха и/или поверхности почвы (в травостое) не выше 0 °C |
(рекомендуемое)
ТИПОВОЙ ПЕРЕЧЕНЬ МЕТЕОРОЛОГИЧЕСКИХ НЯ И ИХ КРИТЕРИИ
Наименование НЯ | Характеристика и критерий или определение НЯ |
Г.1 Сильный ветер (максимальная скорость ветра) | Ветер с максимальной скоростью от 15 м/с и до достижения критерия ОЯ |
Г.2 Шквал | Резкое кратковременное (в течение нескольких минут, но не менее 1 мин) усиление ветра до 15 - 24 м/с |
Г.3 Пыльная (песчаная) буря | Перенос пыли (песка) ветром при максимальной скорости 15 - 24 м/с и при метеорологической дальности видимости 2000 м и менее продолжительностью менее 12 ч |
Г.4 Метель (низовая метель, общая метель) | Перенос снега с подстилающей поверхности, часто сопровождаемый выпадением снега из облаков, ветром при максимальной скорости от 15 м/с и до достижения критерия ОЯ и при метеорологической дальности видимости 2000 м и менее продолжительностью менее 12 ч |
Г.5 Ухудшение видимости при осадках, из-за дымки, дыма, тумана, мглы | При метеорологической дальности видимости 1000 м и менее до достижения критерия ОЯ |
Г.6 Гололедица | При возникновении |
Г.7 Гололед, сложное отложение, изморозь, налипание мокрого снега | При возникновении и до достижения критерия ОЯ |
Г.8 Сильный дождь и приравненные к нему смешанные осадки | Количество осадков 15 - 49 мм за период 12 ч и менее |
Г.9 Ливень | Количество осадков 15 - 29 мм за период 1 ч и менее |
Г.10 Ледяной дождь | При возникновении |
Г.11 Сильный снег | Количество осадков 6 - 19 мм за период 12 ч и менее |
Г.12 Град | При возникновении и до достижения критерия ОЯ |
Г.13 Гроза на станции, в окрестности | При возникновении |
Г.14 Высокая пожарная опасность | Четвертый класс показателя пожарной опасности, рассчитанного по формуле Нестерова |
[1] Федеральный
закон от 19.07.1998 N 113-ФЗ "О гидрометеорологической службе" (ред. от 03.08.2018).
[2] ВМО N 834. Руководство по практике метеорологического обслуживания населения. Второе издание. - Женева - Швейцария: Секретариат Всемирной Метеорологической Организации, 2000.
[3] Российский гидрометеорологический энциклопедический словарь. - СПб.; М.: Летний сад, 2009.
[4]
Постановление Правительства Российской Федерации от 15.11.1997 N 1425 "Об информационных услугах в области гидрометеорологии и мониторинга загрязнения окружающей природной среды" (в ред. постановления Правительства РФ от 28.03.2008 N 214).
[5] ВМО N 485. Наставление по глобальной системе обработки данных. Т. 1. - Глобальные аспекты. Т. 2. - Региональные аспекты. - Женева, Швейцария. 2003.
[6]. Наставление гидрометеорологическим станциям и постам. Вып. 3. Ч. I. Метеорологические наблюдения на станциях. - Л.: Гидрометеоиздат, 1985.