Главная // Актуальные документы // МетодикаСПРАВКА
Источник публикации
Документ опубликован не был
Примечание к документу
Документ утратил силу с 01.03.2024 для учреждений Росгидромета, осуществляющих работы по определению массовой концентрации нефтепродуктов в воде, в связи с изданием
Приказа Росгидромета от 23.12.2022 N 900. Взамен введен в действие
РД 52.24.476-2022.
Действие данного документа продлено до 01.03.2024
Приказом Росгидромета от 02.12.2022 N 771.
Документ
введен в действие с 20.02.2007.
Взамен РД 52.24.476-95.
Название документа
"РД 52.24.476-2007. Руководящий документ. Массовая концентрация нефтепродуктов в водах. Методика выполнения измерений ИК-фотометрическим методом"
(утв. Росгидрометом 26.01.2007)
"РД 52.24.476-2007. Руководящий документ. Массовая концентрация нефтепродуктов в водах. Методика выполнения измерений ИК-фотометрическим методом"
(утв. Росгидрометом 26.01.2007)
Заместителем
Руководителя Росгидромета
26 января 2007 года
РУКОВОДЯЩИЙ ДОКУМЕНТ
МАССОВАЯ КОНЦЕНТРАЦИЯ НЕФТЕПРОДУКТОВ В ВОДАХ.
МЕТОДИКА ВЫПОЛНЕНИЯ ИЗМЕРЕНИЙ ИК-ФОТОМЕТРИЧЕСКИМ МЕТОДОМ
РД 52.24.476-2007
Дата введения
20 февраля 2007 года
1. Разработан ГУ "Гидрохимический институт".
2. Разработчики: А.Г. Страдомская, д-р х.н., Л.В. Боева, к.х.н, И.А. Рязанцева.
3. Согласован с Начальником УМЗА и ГУ "НПО "Тайфун" Росгидромета.
4. Утвержден Заместителем Руководителя Росгидромета 26.01.2007.
5. Аттестован ГУ "Гидрохимический институт",
свидетельство об аттестации N 131.24-2006 от 01.08.2006.
6. Зарегистрирован ГУ ЦКБ ГМП за номером РД 52.24.476-2007 от 14.02.2007.
7. Взамен РД 52.24.476-95 "Методические указания. Методика выполнения измерений массовой концентрации нефтепродуктов в водах ИК-фотометрическим методом".
Нефтепродукты относятся к числу наиболее распространенных в глобальном масштабе опасных веществ, вызывающих тяжелые экологические последствия при загрязнении ими водных объектов.
Основными источниками поступления нефтепродуктов в водные объекты являются сточные воды предприятий нефтеперерабатывающей, нефтедобывающей, химической, металлургической и других отраслей промышленности; нефтепродукты часто попадают в воду в результате аварий при перевозке их водным путем и в результате интенсивного судоходства, а также с хозяйственно-бытовыми сточными водами.
В водных объектах нефтепродукты представляют собой чрезвычайно сложную, непостоянную и разнообразную смесь веществ, основными группами которой являются углеводороды, обычно составляющие преобладающую часть нефтепродуктов (70% - 90%), смолы (1% - 30%) и асфальтены (0% - 8%). В незначительных количествах (0,001% - 5%) в них присутствуют также другие специфические классы веществ. Эти группы веществ обладают разными устойчивостью, опасностью для экосистемы и физико-химическими свойствами, определяющими особенности их поведения в водном объекте. Содержание нефтепродуктов в природных водах колеблется в широких пределах - от отсутствия до 1 - 2 мг/дм3 и более в загрязненных водах.
Рутинный контроль нефтяного загрязнения, особенно свежего, обычно осуществляется по преобладающей углеводородной фракции. Основную долю углеводородной фракции составляют, как правило, парафины, изопарафины, нафтены и ароматические углеводороды, содержащие алифатические радикалы. Наиболее универсальным методом их определения, а для суммы низкомолекулярных углеводородов - практически единственным, является ИК-фотометрия после отделения других органических компонентов вод на колонке, с оксидом алюминия, который и положен в основу настоящей методики.
Многие компоненты нефти и нефтепродуктов обладают высокой токсичностью, а также проявляют мутагенные и канцерогенные свойства, что губительно сказываются на условиях обитания всего гидробиологического сообщества. Этим обусловлены довольно жесткие требования к содержанию их в природных водах.
Для водных объектов рыбохозяйственного назначения предельно допустимая концентрация (ПДК) нефти и нефтепродуктов в растворенном и эмульгированном состоянии составляет 0,05 мг/дм3.
Для водных объектов рыбохозяйственного назначения ПДК нефти и нефтепродуктов в растворенном и эмульгированном состоянии составляет 0,05 мг/дм3. Для водных объектов хозяйственно-питьевого и культурно-бытового назначения установлены ПДК на нефть многосернистую 0,1 мг/дм3, прочие нефти - 0,3 мг/дм3.
При определении нефтяных углеводородов в незагрязненных природных водах следует иметь в виду возможность включения в их состав биогенных углеводородов, образующихся в процессе прижизненного и посмертного выделения из растительных и животных водных организмов.
1.1. Настоящий руководящий документ устанавливает методику выполнения измерений (далее - методика) массовой концентрации нефтепродуктов в пробах природных и очищенных сточных вод в диапазоне от 0,04 до 2,00 мг/дм3 ИК-фотометрическим методом. Допускается анализ проб воды с массовой концентрацией нефтепродуктов превышающей 2,00 мг/дм3 при соответствующем разбавлении элюата или отбора уменьшенной аликвоты пробы.
1.2. Настоящий руководящий документ предназначен для использования в лабораториях, осуществляющих анализ природных и очищенных сточных вод.
В настоящем руководящем документе использованы ссылки на следующие нормативные документы:
ГОСТ 12.1.005-88 ССБТ. Общие санитарно-гигиенические требования к воздуху рабочей зоны
ГОСТ 12.1.007-76 ССБТ. Вредные вещества. Классификация и общие требования безопасности
ГОСТ 17.1.5.04-81 Охрана природы. Гидросфера. Приборы и устройства для отбора, первичной обработки и хранения проб природных вод. Общие технические условия
ГОСТ 17.1.5.05-85 Охрана природы. Гидросфера. Общие требования к отбору проб поверхностных и морских вод, льда и атмосферных осадков
ГОСТ Р ИСО 5725-6-2002 Точность (правильность и прецизионность) методов и результатов измерений. Часть 6. Использование значений точности на практике
МИ 2881-2004 Рекомендация. ГСИ. Методики количественного химического анализа. Процедуры проверки приемлемости результатов анализа.
Примечание. Ссылки на остальные нормативные документы приведены в
разделах 4,
А.3.
3. Приписанные характеристики погрешности измерений
3.1. При соблюдении всех регламентируемых методикой условий проведения измерений характеристики погрешности результата измерения с вероятностью 0,95 не должны превышать значений, приведенных в таблице 1.
Таблица 1
Диапазон измерений, значения характеристик
погрешности и ее составляющих
Диапазон измерений массовой концентрации нефтепродуктов X, мг/дм3 | Показатель повторяемости (средне квадратическое отклонение повторяемости)  , мг/дм3 | Показатель воспроизводимости (средне квадратическое отклонение воспроизводимости)  , мг/дм3 | Показатель правильности (границы систематической погрешности при вероятности P = 0,95)  , мг/дм3 | Показатель точности (границы погрешности при вероятности P = 0,95)  , мг/дм3 |
От 0,04 до 2,00 включ. | 0,01 + 0,05 X | 0,01 + 0,08 X | 0,09 X | 0,01 + 0,19 X |
При выполнении измерений в пробах с массовой концентрацией нефтепродуктов свыше 2,0 мг/дм3 погрешность измерения не превышает величины, рассчитанной по зависимости, приведенной в
таблице 1.
Предел обнаружения нефтепродуктов ИК-фотометрическим методом при объеме анализируемой пробы не менее 0,8 дм3 составит 0,02 мг/дм3.
Значения показателя точности методики используют при:
- оформлении результатов измерений, выдаваемых лабораторией;
- оценке деятельности лабораторий на качество проведения измерений;
- оценке возможности использования результатов измерений при реализации методики в конкретной лаборатории.
4. Средства измерений, вспомогательные
устройства, реактивы, материалы
4.1. Средства измерений, вспомогательное оборудование, реактивы
При выполнении измерений применяют следующие средства измерений и другие технические средства:
4.1.1. ИК-спектрофотометр или ИК-фотометр, обеспечивающий измерения при длине волны 3,42 мкм в кюветах с толщиной поглощающего слоя не менее 40 мм (спектрофотометр ИК-40 или фотометр, входящий в комплект анализаторов АН-1, АН-2, КН-2 и др.).
4.1.3. Государственный стандартный образец состава раствора нефтепродуктов (смесь гексадекана, изооктана и бензола) в четыреххлористом углероде ГСО 7424-97 (далее - ГСО).
4.1.4. Колбы мерные 2-го класса точности исполнения 2 по
ГОСТ 1770-74
вместимостью: 25 см3 - 7 шт.
50 см3 - 4 шт.
100 см3 - 1 шт.
4.1.5. Пробирки градуированные исполнения 2, ХС, по
ГОСТ 1770-74 с
притертой пробкой вместимостью: 5 - 10 см3 - 1 шт.
25 см3 - 10 шт.
4.1.6. Пробирки градуированные конические (исполнения 1) по
4.1.7. Пипетки градуированные 2-го класса точности исполнения 1, 2 по
2 см3 - 2 шт.
5 см3 - 1 шт.
10 см3 - 1 шт.
4.1.8. Пипетки с одной отметкой 2-го класса точности исполнения 2 по
10 см3 - 1 шт.
вместимостью: 25 см3 - 1 шт.
50 см3 - 1 шт.
1000 см3 - 1 шт.
4.1.10. Колбы типа Кн исполнения 1, со взаимозаменяемым конусами 14/23,
вместимостью: 50 см3 - 10 шт.
250 см3 - 1 шт.
4.1.11. Установка из стекла для перегонки растворителей (круглодонная колба типа К-1 взаимозаменяемым конусом 29/32, ТС, вместимостью 1 дм3, елочный дефлегматор длиной не менее 350 мм со взаимозаменяемыми конусами 19/26 и 29/32, насадка Н1 с взаимозаменяемыми конусами 19/26-14/23-14/23, холодильник типа ХПТ-1, аллонж АИ-14/23) по
ГОСТ 25336-82, термометр лабораторный по
ГОСТ 29224-91 с диапазоном измеряемых температур от 0 °C до 100 °C.
4.1.12. Воронки делительные ВД исполнения 1, 3 ХС по
ГОСТ 25336-82
вместимостью 1 дм3 - 4 шт.
4.1.13. Колонки хроматографические с внутренним диаметром 10 мм и
длиной 250 мм - 4 шт.
25 - 36 мм - 4 шт.
4.1.15. Стакан, тип В исполнение 1, ТС по
ГОСТ 25336-82 вместимостью 250 см3.
4.1.16. Стакан, тип Н исполнение 2, ТХС по
ГОСТ 25336-82 вместимостью 50 см3.
4.1.17. Стаканчик для взвешивания (бюкс) СВ-19/9 по
ГОСТ 25336-82.
4.1.18. Стеклянная палочка длиной 12 - 15 см.
4.1.19. Чашка выпарительная N 3 по
ГОСТ 9147-80 вместимостью 100 - 150 см3.
4.1.20. Эксикатор исполнения 2, диаметром корпуса 250 мм по
ГОСТ 25336-82.
4.1.21. Флаконы стеклянные с притертыми пробками для хранения растворов и экстрактов вместимостью 50 см3 и 100 см3.
4.1.22. Посуда стеклянная с притертыми стеклянными (или корковыми или полиэтиленовыми пробками, обернутыми алюминиевой фольгой и двойным слоем тонкой тефлоновой пленки) для хранения проб вместимостью 1 дм3.
4.1.23. Склянки темного стекла для хранения растворителей вместимостью 1 дм3.
4.1.24. Склянка толстостенная с притертой пробкой для хранения хромовой смеси.
4.1.24. Сито с диаметром отверстий 0,1 мм.
4.1.25. Шпатель металлический.
4.1.26. Штатив для пробирок.
4.1.27. Штатив для делительных воронок.
4.1.28. Шкаф сушильный общелабораторного назначения.
4.1.29. Печь муфельная по ТУ 79 РСФСР 337-82.
4.1.30. Электроплитка с закрытой спиралью и регулируемой мощностью нагрева по
ГОСТ 14919-83.
4.1.31. Холодильник бытовой.
Допускается использование других типов средств измерений, вспомогательного оборудования, в том числе импортных, с характеристиками не хуже, чем у приведенных в
4.1.
4.2. Реактивы и материалы
При выполнении измерений применяют следующие реактивы и материалы:
4.2.1. н-Гексадекан по ТУ 6-09-3659-74, ч.; изооктан для хроматографии по ТУ 6-09-921-76, х.ч.; бензол по ТУ 6-09-779-76, х.ч. (при отсутствии ГСО).
4.2.2. Углерод четыреххлористый по
ГОСТ 20288-74, х.ч., или ТУ 6-09-3219-84, ос.ч.
4.2.5. Натрий сернокислый, безводный (натрия сульфат) по
ГОСТ 4166-76, ч.
4.2.6. Алюминий оксид по ТУ 6-09-426-75, ч.д.а.
4.2.9. Калий двухромовокислый (дихромат калия) по
ГОСТ 4220-75, х.ч.
Допускается использование реактивов, изготовленных по другой нормативно-технической документации, в том числе импортных, с квалификацией не ниже указанной в
4.2.
Выполнение измерений массовой концентрации нефтепродуктов ИК-фотометрическим методом основано на выделении нефтяных компонентов из воды экстракцией четыреххлористым углеродом, хроматографическом отделении углеводородов от соединений других классов в колонке с оксидом алюминия и количественном их определении по интенсивности поглощения C-H связей метиленовых

и метильных

групп в инфракрасной области спектра (

или 3,42 мкм). Учет входящих в состав нефтепродуктов ароматических углеводородов, не поглощающих в этой области, осуществляется с помощью специального искусственного стандарта, содержащего 25% бензола.
6. Требования безопасности, охраны окружающей среды
6.1. При выполнении измерений массовой концентрации нефтепродуктов в пробах природных и очищенных сточных вод соблюдают требования безопасности, установленные в национальных стандартах и соответствующих нормативных документах.
6.2. По степени воздействия на организм вредные вещества, используемые при выполнении измерений, относятся к 2, 3, 4 классам опасности по
ГОСТ 12.1.007.
6.3. Содержание используемых вредных веществ в воздухе рабочей зоны не должно превышать установленных ПДК в соответствии с
ГОСТ 12.1.005.
6.4. Выполнение измерений следует проводить при наличии вытяжной вентиляции.
6.5. Сливы растворителя (четыреххлористого углерода), а также неиспользованные растворы нефтепродуктов запрещается выливать в канализацию. Их собирают в специальную тару и утилизируют в соответствии с действующими правилами.
7. Требования к квалификации операторов
К выполнению измерений и обработке их результатов допускаются лица с высшим профессиональным образованием или со средним профессиональным образованием и стажем работы в лаборатории не менее 2 лет, освоившие методику.
8. Условия выполнения измерений
При выполнении измерений в лаборатории должны быть соблюдены следующие условия:
- температура окружающего воздуха (20 +/- 5) °C;
- атмосферное давление от 84,0 до 106,7 кПа (от 630 до 800 мм рт. ст.);
- влажность воздуха не более 80% при 25 °C;
- напряжение в сети (220 +/- 10) В;
- частота переменного тока в сети питания (50 +/- 1) Гц.
При отборе должен быть исключен захват поверхностной пленки воды. Пробы помещают в стеклянную посуду, которая закрывается притертыми стеклянными, либо корковыми или полиэтиленовыми (не резиновыми!) пробками, обернутыми алюминиевой фольгой и двойным слоем тонкой тефлоновой пленки. Пробу для определения нефтяных компонентов помещают в отдельную посуду и используют целиком. Объем отбираемой пробы зависит от концентрации нефтепродуктов в воде и должен составлять не менее 0,5 дм3 для проб очищенных сточных вод и от 0,8 до 1 дм3 для проб природных вод. При отборе заведомо загрязненных проб природных вод допускается отбор пробы объемом 0,5 дм3.
Экстракция пробы должна быть выполнена в течение 1 сут после отбора. Если это невозможно, пробы консервируют, добавляя 5 см3 четыреххлористого углерода на 1 дм3 воды. Хранят законсервированные пробы в холодильнике не более двух недель, экстракты в плотно закрытой посуде - до 1 мес.
10. Подготовка к выполнению измерений
10.1. Приготовление растворов и реактивов
10.1.1. Оксид алюминия
Оксид алюминия просеивают через сито с размером отверстий 0,1 мм, используют фракцию, пропущенную через сито. Перед употреблением оксид алюминия прокаливают при температуре 600 °C в течение 4 ч. Хранят в эксикаторе в колбе с притертой пробкой 1 мес.
10.1.2. Углерод четыреххлористый
Проверяют чистоту каждой партии четыреххлористого углерода, выполняя измерение концентрации соединений, поглощающих в ИК-области (см.
11.4), используя для сравнения очищенный четыреххлористый углерод. Если концентрация этих соединений превышает 0,002 мг/см3, выполняют очистку четыреххлористого углерода следующим образом.
В делительную воронку вместимостью 1 дм3 помещают 0,4 дм3 четыреххлористого углерода, добавляют 0,5 дм3 дистиллированной воды и встряхивают в течение 3 мин. Слой четыреххлористого углерода сливают в колбу. Процедуру повторяют с новой порцией дистиллированной воды. К промытому четыреххлористому углероду добавляют около 10 г безводного сульфата натрия, встряхивают и оставляют на 10 мин. Обезвоженный четыреххлористый углерод декантируют в перегонную колбу и перегоняют, отбирая фракцию с температурой кипения 76,7 - 76,8 °C. Хранят в склянке из темного стекла с притертой пробкой до повышения значения холостого опыта.
10.1.3. Натрия сульфат (безводный)
Для удаления органических примесей сульфат натрия прокаливают при температуре 400 °C в течение 8 ч. Хранят в эксикаторе 1 мес.
10.1.4. Стеклоткань или стекловата, очищенная
Волокна стеклоткани или стекловату замочить на сутки в дистиллированной воде, затем слить воду и залить хромовой смесью на 2 - 3 ч. Если раствор станет зеленым, заменить его свежей порцией хромовой смеси на один час, затем промыть стекловату водопроводной водой 10 - 15 раз, ополоснуть дистиллированной водой и высушить. Хранить в бюксе или в склянке с притертой пробкой.
10.1.5. Дистиллированная вода, очищенная четыреххлористым углеродом
Дистиллированную воду экстрагируют в делительной воронке четыреххлористым углеродом из расчета 20 см3 растворителя на 1 дм3 воды. После расслоения фаз четыреххлористый углерод отбрасывают в специальную емкость для слива, а дистиллированную воду выливают в чистую склянку. Используется только свежеочищенная дистиллированная вода.
10.1.6. Хромовая смесь
Для приготовления хромовой смеси 5 - 6 г дихромата калия помещают в термостойкий стакан вместимостью 250 см3 смачивают 10 - 12 см3 дистиллированной воды, а затем при непрерывном перемешивании палочкой приливают 100 см3 концентрированной серной кислоты. После охлаждения переносят в толстостенную склянку.
Посуду, используемую для приготовления растворов и выполнения измерений массовой концентрации нефтяных компонентов в пробах воды, промывают раствором концентрированной серной кислоты, затем отмывают водопроводной водой и ополаскивают дистиллированной водой. Раствор кислоты используют многократно.
Сильно загрязненную посуду допускается мыть хромовой смесью, после чего тщательно отмывать водой.
Для проверки чистоты посуды на присутствие примесей, поглощающих в ИК-области ее ополаскивают небольшими порциями четыреххлористого углерода (5 - 10 см3) и измеряют концентрацию поглощающих в ИК-области примесей в смыве. Посуда является чистой, если измеренная концентрация не превышает 0,001 мг/см3.
10.3. Подготовка хроматографических колонок
В нижнюю часть вымытой хромовой смесью, затем тщательно отмытой водой и высушенной колонки помещают комочек стеклоткани или стекловаты и промывают колонку четыреххлористым углеродом. После его стекания закрывают кран и вносят в колонку 3 - 4 см3 четыреххлористого углерода. Помещают в стакан вместимостью 50 см3 6 г прокаленного оксида алюминия, добавляют 5 - 6 см3 четыреххлористого углерода, тщательно перемешивают и в виде суспензии переносят в колонку. Поверх оксида алюминия вносят слой сульфата натрия высотой около 1 см.
При использовании колонки без крана очистку экстракта (см.
11.3) осуществляют сразу после заполнения колонки, не допуская стекания четыреххлористого углерода ниже уровня оксида алюминия.
В качестве колонки допустимо использовать бюретки с прямым краном вместимостью 25 см3 с отрезанной верхней частью, так чтобы их длина была около 25 см.
10.4. Подготовка ИК-фотометра
Включение и вывод прибора на режим осуществляется в соответствии с инструкцией по его эксплуатации.
10.5. Приготовление градуировочных растворов
10.5.1. Градуировочные растворы углеводородов для выполнения измерений ИК-фотометрическим методом готовят из ГСО с массовой концентрацией смеси углеводородов 50,0 мг/см3. Вскрывают ампулу и ее содержимое переносят в сухую чистую коническую пробирку вместимостью 5 см3. Отбирают 1,0 см3 образца с помощью чистой сухой пипетки вместимостью 1 см3 и переносят в мерную колбу вместимостью 50 см3. Доводят объем в колбе до метки четыреххлористым углеродом и перемешивают. Массовая концентрация углеводородов в полученном растворе составляет 1,00 мг/см3. Полученный раствор допускается хранить в плотно закрытой посуде в холодильнике в течение 3 месяцев.
Для приготовления градуировочного раствора с массовой концентрацией 0,100 мг/см3 отбирают пипеткой с одной отметкой 5,0 см3 раствора с массовой концентрацией 1,00 мг/см3 и помещают его в мерную колбу вместимостью 50 см3. Доводят объем в колбе до метки четыреххлористым углеродом и перемешивают. При хранении в плотно закрытой посуде в холодильнике раствор устойчив не более 1 месяца.
10.5.2. При отсутствии ГСО допускается использовать аттестованные смеси углеводородов (гексадекана, изооктана, бензола). Методика приготовления аттестованных смесей приведена в
Приложении А.
10.6. Установление градуировочной зависимости
Для приготовления градуировочных образцов градуированными пипетками вместимостью 1 и 5 см3 и пипеткой с одной отметкой вместимостью 10 см3 отбирают 0,025; 0,5; 1,0; 2,5; 5,0; 10; 15 см3 градуировочного раствора с концентрацией 0,100 мг/см3 и переносят в мерные колбы вместимостью 25 см3. Доводят объем в колбе до метки четыреххлористым углеродом и перемешивают. Массовая концентрация углеводородов в полученных образцах составляет 0,0010; 0,0020; 0,0040; 0,0100; 0,0200; 0,0400; 0,0600 мг/см3. В качестве последнего градуировочного образца используют градуировочный раствор с концентрацией 0,100 мг/см3.
Установление градуировочной зависимости (градуировку измерительного прибора) осуществляют в соответствии с инструкцией по эксплуатации применяемого ИК-фотометра с использованием одного или нескольких градуировочных образцов, приготовление которых описано выше.
Установление градуировочной зависимости проводят при замене измерительного прибора либо при использовании новой партии четыреххлористого углерода.
10.7. Контроль стабильности градуировочной характеристики
10.7.1. Контроль стабильности градуировочной характеристики проводят каждый раз перед анализом серии проб. Средствами контроля являются образцы, используемые для установления градуировочной зависимости по
10.6. Градуировочная характеристика считается стабильной при выполнении следующих условий:
где X - результат контрольного измерения массовой концентрации нефтепродуктов в образце, мг/см3;
C - приписанное значение массовой концентрации нефтепродуктов в образце, мг/см3;
d - допускаемое расхождение между измеренным и приписанным значениями массовой концентрации в образце, мг/см3 (таблица 2).
Таблица 2
Допускаемые расхождения между измеренным и приписанным
значениями массовой концентрации нефтепродуктов в образцах
Массовая концентрация нефтяных компонентов в образце C, мг/см3 | 0,0010 | 0,0020 | 0,0040 | 0,0100 | 0,0200 | 0,0400 | 0,0600 | 0,1000 |
Допускаемое расхождение d, мг/см3 | 0,0004 | 0,0004 | 0,0006 | 0,0011 | 0,0019 | 0,0035 | 0,0051 | 0,0083 |
Если условие стабильности не выполняется для одного градуировочного образца, необходимо выполнить повторное измерение этого образца для исключения результата, содержащего грубую погрешность. При повторном невыполнении условия, выясняют причины нестабильности, устраняют их и повторяют измерение с использованием других образцов, предусмотренных методикой. Если градуировочная характеристика вновь не будет удовлетворять
условию (1), устанавливают новую градуировочную зависимость.
10.7.2. При выполнении
условия (1) учитывают знак разности между измеренными и приписанными значениями массовой концентрации нефтепродуктов в образцах. Эта разность должна иметь как положительное, так и отрицательное значение, если же все значения имеют один знак, это говорит о наличии систематического отклонения. В таком случае требуется установить новую градуировочную зависимость.
11.1. Холостое измерение
500 - 1000 см3 очищенной дистиллированной воды (см.
10.1.5) помещают в делительную воронку и обрабатывают ее, как описано в
11.2 -
11.4 одновременно с анализом проб воды. Результат холостого измерения вычитают из результата анализа пробы.
Если при измерении анализируемой пробы проводилось разбавление элюата, то аналогичным образом разбавляют холостую пробу и проводят ее повторное измерение.
При высокой величине холостого измерения (более 0,040 мг/дм3 нефтепродуктов) повторно проверяют на чистоту используемые реактивы и материалы и, в случае необходимости, находят и устраняют причину загрязнения.
Пробу воды из транспортной склянки целиком переносят в делительную воронку (не допускается отбор аликвоты пробы из склянки!).
В склянку приливают четыреххлористый углерод с таким расчетом, чтобы его объем вместе с использованным для консервации пробы составил 15 см3. Тщательно ополаскивают четыреххлористым углеродом стенки склянки, в которой находилась проба, и переносят его в делительную воронку. Выполняют экстракцию, энергично встряхивая воронку в течение 3 мин. После расслоения фаз нижний слой (четыреххлористый углерод) сливают в колбу с притертой пробкой вместимостью 50 см3. Затем добавляют в делительную воронку еще 5 см3 четыреххлористого углерода и выполняют повторную экстракцию. Экстракты объединяют и подвергают обработке, как описано в
11.3 или оставляют на хранение в темном месте. После отделения экстракта измеряют объем пробы воды мерным цилиндром.
Допускается выполнять экстракцию нефтепродуктов в экстракторах, входящих в комплект анализаторов, в соответствии с инструкцией по их эксплуатации, при условии сохранения соотношения объемов водной фазы и четыреххлористого углерода, приведенных выше.
Экстракты обезвоживают сульфатом натрия, добавляя его в колбу небольшими порциями при перемешивании содержимого стеклянной палочкой или встряхиванием. Добавление сульфата натрия прекращают после полного исчезновения эмульсии. Открывают кран колонки, подготовленной в соответствии с
10.3, и устанавливают скорость протекания четыреххлористого углерода около 1 см3/мин. Когда уровень растворителя опустится до слоя сульфата натрия, переносят в нее обезвоженный экстракт порциями и пропускают его с той же скоростью.
Первые 3 - 4 см3 элюата (мертвый объем колонки) собирают отдельно в градуированную пробирку вместимостью 10 см3, а основную порцию - в градуированную пробирку с пришлифованной пробкой вместимостью 25 см3. Сульфат натрия и стенки колбы, в которой проводилась осушка экстракта, промывают первыми 3 - 4 см3 элюата и после того, как уровень экстракта в колонке опустится до слоя сульфата натрия, переносят промывную порцию четыреххлористого углерода в колонку. Повторяют промывание колбы еще 1 - 2 раза (в зависимости от количества использованного для осушки сульфата натрия) порциями по 2 - 2,5 см3 чистого четыреххлористого углерода и пропускают смывы через колонку, собирая их в ту же пробирку вместимостью 25 см3. Измеряют объем собранного элюата, закрывают пробирку пробкой и перемешивают. Общий объем элюата не должен превышать 25 см3. При очистке экстракта необходимо следить, чтобы уровень четыреххлористого углерода в колонке не опускался ниже поверхности сульфата натрия.
Предварительно через одну из колонок пропускают 25 см3 четыреххлористого углерода, который в дальнейшем используют в качестве раствора сравнения при измерении концентрации нефтепродуктов в элюатах (см. 11.4). Оксид алюминия в колонке используют один раз.
Перед выполнением измерений на ИК-фотометре необходимо промыть кювету несколько раз четыреххлористым углеродом. Промывание продолжают до тех пор пока показания прибора перестанут уменьшаться.
Помещают элюат в чистую кювету ИК-фотометра и производят измерение концентрации нефтепродуктов в соответствии с инструкцией по эксплуатации конкретного прибора.
Если оптическая плотность элюата и соответственно концентрация нефтепродуктов в нем выходит за пределы диапазона, в котором проводилась градуировка, разбавляют элюат и повторяют измерение. Разбавление элюатов следует проводить таким образом, чтобы концентрация нефтепродуктов после разбавления находилась в пределах 0,05 - 0,1 мг/см3.
12. Вычисление и оформление результатов измерений
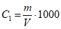
12.1. Массовую концентрацию нефтепродуктов в анализируемой пробе воды X, мг/дм3, находят по формуле

, (2)
где C - концентрация нефтепродуктов в элюате, найденная по показаниям прибора или градуировочной зависимости, мг/см3;

- объем элюата, см3;
V - объем пробы воды, дм3;

- степень разбавления элюата; если разбавление не проводилось

.
12.2. Результат измерений в документах, предусматривающих его использование, представляют в виде:

, мг/дм3 (P = 0,95), (3)
где

- границы характеристики погрешности измерений для данной массовой концентрации нефтепродуктов
(таблица 1).
Численные значения результата измерений должны оканчиваться цифрой того же разряда, что и значения характеристики погрешности; значения характеристики погрешности не должны содержать более двух значащих цифр.
12.3. Допустимо представлять результат в виде:

(P = 0,95) при условии

, (4)
где

- границы характеристики погрешности измерений, установленные при реализации методики в лаборатории и обеспечиваемые контролем стабильности результатов измерений.
Примечание. Допустимо характеристику погрешности результатов измерений при внедрении методики в лаборатории устанавливать на основе выражения

с последующим уточнением по мере накопления информации в процессе контроля стабильности результатов измерений.
12.4. Результаты измерения оформляют протоколом или записью в журнале, по формам, приведенным в Руководстве по качеству лаборатории.
13. Контроль качества результатов измерений
при реализации методики в лаборатории
13.1. Общие положения
13.1.1. Контроль качества результатов измерений при реализации методики в лаборатории предусматривает:
- оперативный контроль исполнителем процедуры выполнения измерений (на основе оценки погрешности при реализации отдельно взятой контрольной процедуры);
- контроль стабильности результатов измерений (на основе контроля стабильности среднеквадратического отклонения внутрилабораторной прецизионности, погрешности).
13.1.2. Периодичность оперативного контроля и процедуры контроля стабильности результатов выполнения измерений регламентируют в Руководстве по качеству лаборатории.
13.2. Алгоритм оперативного контроля процедуры выполнения измерений с использованием метода добавок
13.2.1. Контроль исполнителем процедуры выполнения измерений проводят путем сравнения результатов отдельно взятой контрольной процедуры

с нормативом контроля K. Для реализации контрольной процедуры в две чистые склянки (проверка на чистоту по
10.2) наливают по 0,8 - 1,0 дм3 анализируемой воды. В одну из склянок вводят добавку градуировочного раствора смеси н-гексадекана, изооктана и бензола. Выполняют измерение массовой концентрации нефтепродуктов в обеих склянках согласно
разделу 11.
13.2.2. Результат контрольной процедуры

, мг/дм3, рассчитывают по формуле

, (5)
где X' - результат контрольного измерения массовой концентрации нефтепродуктов в пробе с известной добавкой, мг/дм3;
X - результат контрольного измерения массовой концентрации нефтепродуктов в пробе без добавки, мг/дм3;
C - величина добавки, мг/дм3.
13.2.3. Норматив контроля погрешности K, мг/дм3, рассчитывают по формуле

, (6)
где

- значения характеристики погрешности результатов измерений, установленные при реализации методики в лаборатории, соответствующие массовой концентрации нефтепродуктов в пробе с добавкой, мг/дм3;

- значения характеристики погрешности результатов измерений, установленные при реализации методики в лаборатории, соответствующие массовой концентрации нефтепродуктов в пробе без добавки, мг/дм3.
Примечание. Допустимо для расчета норматива контроля использовать значения характеристик погрешности, полученные расчетным путем по формулам

, и

.
13.2.4. Если результат контрольной процедуры удовлетворяет условию

, (7)
процедуру признают удовлетворительной.
При невыполнении условия (7) контрольную процедуру повторяют. При повторном невыполнении условия (7) норматива выясняют причины, приводящие к неудовлетворительным результатам, и устраняют их.
14. Проверка приемлемости результатов,
полученных в условиях воспроизводимости
Расхождение между результатами измерений, полученными в двух лабораториях, не должно превышать предела воспроизводимости R. При выполнении этого условия приемлемы оба результата измерений и в качестве окончательного может быть использовано их общее среднее значение. Значение предела воспроизводимости рассчитывают по формуле

. (8)
При превышении предела воспроизводимости могут быть использованы методы оценки приемлемости результатов измерений согласно
раздела 5 ГОСТ Р ИСО 5725-6 или
МИ 2881.
Примечание. Проверка приемлемости проводится при необходимости сравнения результатов измерений, полученных двумя лабораториями.
(обязательное)
ПРИГОТОВЛЕНИЯ АТТЕСТОВАННЫХ СМЕСЕЙ УГЛЕВОДОРОДОВ
АС1-УВ, АС2-УВ, АС3-УВ ДЛЯ УСТАНОВЛЕНИЯ ГРАДУИРОВОЧНОЙ
ХАРАКТЕРИСТИКИ ПРИБОРОВ И КОНТРОЛЯ ТОЧНОСТИ ИЗМЕРЕНИЙ
МАССОВОЙ КОНЦЕНТРАЦИИ НЕФТЕПРОДУКТОВ
ИК-ФОТОМЕТРИЧЕСКИМ МЕТОДОМ
А.1. Назначение и область применения
Настоящая методика регламентирует процедуру приготовления аттестованных смесей углеводородов, предназначенных для установления градуировочных характеристик приборов и контроля точности результатов измерений массовых концентраций нефтепродуктов ИК-фотометрическим методом в природных и очищенных сточных водах.
А.2. Метрологические характеристики
Метрологические характеристики аттестованных смесей приведены в таблице А.1.
Таблица А.1
Метрологические характеристики
аттестованных растворов углеводородов
Наименование характеристики | Значение характеристики для аттестованного раствора |
АС1-УВ | АС2-УВ | АС3-УВ |
Аттестованное значение массовых концентраций углеводородов, мг/см3 | 10,00 | 1,000 | 0,1000 |
Границы погрешности аттестованного значения концентрации углеводородов (P = 0,95), мг/см3 | 0,270 | 0,028 | 0,0028 |
А.3. Средства измерений, вспомогательные устройства, реактивы
А.3.2. Колбы мерные 2-го класса точности исполнения 2 по
ГОСТ 1770-74
вместимостью: 50 см3 - 2 шт.
100 см3 - 1 шт.
А.3.3. Пипетки градуированные 2-го класса точности исполнения 1, 2 по
2,0 см3 - 3 шт.
10,0 см3 - 1 шт.
А.3.4. Пипетки с одной отметкой 2-го класса точности исполнения 2 по
А.3.5. Пробирка исполнения 2, ХС, с притертыми стеклянными пробками по
А.3.6. Стаканчик для взвешивания (бюкс) СВ - 19/9 по
36 мм - 1 шт.
А.3.8. Стеклянная палочка диаметром 3 - 4 мм.
А.3.9. Углерод четыреххлористый, предварительно проверенный на отсутствие примесей, поглощающих в ИК-области спектра.
А.3.10. Изооктан для хроматографии по ТУ 6-09-921-76, х.ч.
А.3.11. н-Гексадекан по ТУ 6-09-3659-74, ч.
А.3.12. Бензол по ТУ 6-09-779-76, х.ч.
А.4. Процедура приготовления аттестованных смесей углеводородов
А.4.1. Приготовление аттестованной смеси АС1-УВ
Отбирают 1,36 см3 изооктана, 1,20 см3 н-гексадекана и 0,70 см3 бензола с помощью чистых сухих пипеток вместимостью 2 см3 и 1 см3, помещают их в пробирку с притертой пробкой вместимостью 5 - 10 см3 и тщательно перемешивают.
Отвешивают в бюксе с крышкой 1,00 г полученной смеси углеводородов, приливая их с помощью пипетки, с точностью до четвертого знака после запятой. Затем приливают в бюкс 7 - 10 см3 четыреххлористого углерода. Перемешивают тонкой стеклянной палочкой и переносят полученный раствор осторожно по палочке через воронку в мерную колбу вместимостью 100 см3, ополаскивают бюкс два-три раза по 5 см3 четыреххлористого углерода, переносят его в ту же колбу, доводят объем раствора до метки на колбе четыреххлористым углеродом и перемешивают.
Полученному раствору приписывают массовую концентрацию углеводородов равную 10,0 мг/см3.
А.4.2. Приготовление аттестованной смеси АС2-УВ
Отбирают 5,0 см3 раствора АС1-УВ пипеткой с одной отметкой вместимостью 5,0 см3 и помещают его в мерную колбу вместимостью 50 см3, доводят объем раствора до метки четыреххлористым углеродом и перемешивают.
Полученному раствору приписывают массовую концентрацию углеводородов 1,00 мг/см3.
А.4.3. Приготовление аттестованной смеси АС3-УВ
Отбирают пипеткой с одной отметкой 5,0 см3 раствора АС2-УВ, помещают его в мерную колбу вместимостью 50 см3, доводят объем раствора до метки четыреххлористым углеродом и перемешивают.
Полученному раствору приписывают массовую концентрацию углеводородов 0,100 мг/см3.
А.5. Расчет метрологических характеристик аттестованных растворов
А.5.1. Расчет метрологических характеристик аттестованной смеси АС1-УВ
Аттестованное значение массовой концентрации углеводородов в аттестованной смеси АС1-УВ,

, мг/см3, рассчитывают по формуле

, (А.1)
где m - масса навески углеводородов, г;
V - вместимость мерной колбы, см3.
Расчет погрешности приготовления аттестованной смеси АС1-УВ,

мг/см3 выполняют по формуле
| | ИС МЕГАНОРМ: примечание. Формула дана в соответствии с официальным текстом документа. | |

, (А.2)
где

- приписанное смеси углеводородов АС1-УВ значение массовой концентрации, мг/см3;

- предельное значение возможного отклонения массовой доли основного вещества в реактиве (изооктан) от приписанного значения

, %;

- массовая доля изооктана, приписанная реактиву квалификации "х.ч.", %;

- предельное значение возможного отклонения массовой доли основного вещества в реактиве (н-гексадекан) от приписанного значения

, %;

- массовая доля н-гексадекана, приписанная реактиву квалификации "ч.", %;

- предельное значение возможного отклонения массовой доли основного вещества в реактиве (бензол) от приписанного значения

, %;

- массовая доля бензола, приписанная реактиву квалификации "х.ч.", %;

- предельная возможная погрешность взвешивания, г;
m - масса навески смеси углеводородов г;

- предельное значение возможного отклонения вместимости мерной колбы от номинального значения, см3;
V - вместимость мерной колбы, см3;

- предельное значение возможного отклонения объема изооктана, отобранного пипеткой, от номинального значения, см3;

- объем изооктана, отбираемый пипеткой, см3;

- предельное значение возможного отклонения объема гексадекана, отобранного пипеткой, от номинального значения, см3;

- объем н-гексадекана, отбираемый пипеткой, см3;

- предельное значение возможного отклонения объема бензола, отобранного пипеткой, от номинального значения, см3;

- объем бензола, отбираемый пипеткой, см3.
Погрешность приготовления аттестованного раствора углеводородов, равна:
А.5.2. Расчет метрологических характеристик аттестованной смеси АС2-УВ
Аттестованное значение массовой концентрации углеводородов в аттестованной смеси АС2-УВ,

, мг/см3, рассчитывают по формуле

, (А.3)
где

- приписанное смеси углеводородов АС1-УВ значение массовой концентрации, мг/см3;

- объем раствора АС1-УВ, отбираемый пипеткой, см3;

- вместимость мерной колбы, см3.
Расчет погрешности приготовления аттестованного раствора АС2-УВ,

, мг/см3, выполняют по формуле

, (А.4)
где

- приписанное аттестованной смеси углеводородов АС2-УВ значение массовой концентрации, мг/см3;

- предел возможных значений погрешности приготовления аттестованного раствора АС1-УВ, мг/см3;

- приписанное смеси углеводородов АС1-УВ значение массовой концентрации, мг/см3;

- предельное значение возможного отклонения объема

от номинального значения, см3;

- объем раствора АС1-УВ, отбираемый пипеткой, см3;

- предельное значение возможного отклонения вместимости мерной колбы от номинального значения, см3;

- вместимость мерной колбы, см3.
Погрешность приготовления аттестованной смеси АС2-УВ равна

.
А.5.3. Расчет метрологических характеристик аттестованной смеси АС3-УВ
Аттестованное значение массовой концентрации углеводородов в аттестованной смеси АС3-УВ,

, мг/см3, рассчитывают по формуле

, (А.5)
где

- приписанное аттестованной смеси углеводородов АС2-УВ значение массовой концентрации, мг/см3;

- объем смеси АС2-УВ, отбираемый пипеткой, см3;

- вместимость мерной колбы, см3.
| | ИС МЕГАНОРМ: примечание. Обозначение погрешности дано в соответствии с официальным текстом документа. | |
Расчет погрешности приготовления аттестованной смеси АС3-УВ

, мг/см3, выполняют по формуле

, (А.6)
где

- приписанное аттестованной смеси АС3-УВ значение массовой концентрации углеводородов, мг/см3;

- предел возможных значений погрешности приготовления аттестованного раствора АС2-УВ, мг/см3;

- приписанное аттестованной смеси углеводородов АС2-УВ значение массовой концентрации, мг/см3;

- предельное значение возможного отклонения объема

от номинального значения, см3;

- объем смеси АС2-УВ, отбираемый пипеткой, см3;

- предельное значение возможного отклонения вместимости мерной колбы от номинального значения, см3.

- вместимость мерной колбы, см3.
Погрешность приготовления аттестованной смеси АС3-УВ равна
А.6. Требования безопасности
При приготовлении аттестованных смесей необходимо соблюдать требования техники безопасности при работе с вредными веществами в химических лабораториях.
По степени воздействия на организм вредные вещества, используемые при выполнении измерений относятся к 2, 3, 4 классам опасности.
Содержание используемых вредных веществ в воздухе рабочей зоны не должно превышать установленных предельно допустимых концентраций в соответствии с
ГОСТ 12.1.005. Приготовление растворов следует проводить при наличии вытяжной вентиляции.
А.7. Требования к квалификации операторов
Аттестованные смеси может готовить инженер или лаборант со средним профессиональным образованием, прошедший специальную подготовку и имеющий стаж работы в химической лаборатории не менее 6 мес.
А.8. Требования к маркировке
На склянки с аттестованными смесями должны быть наклеены этикетки с указанием условного обозначения аттестованной смеси массовой концентрации углеводородов, погрешности ее установления и даты приготовления.
А.9. Условия хранения
Аттестованные смеси следует хранить в стеклянной склянке с притертой стеклянной пробкой в холодильнике.
Сроки хранения смесей, мес, не более
АС1-УВ - 6;
АС2-УВ - 3;
АС3-УВ - 1.
ФЕДЕРАЛЬНАЯ СЛУЖБА ПО ГИДРОМЕТЕОРОЛОГИИ
И МОНИТОРИНГУ ОКРУЖАЮЩЕЙ СРЕДЫ
ГОСУДАРСТВЕННОЕ УЧРЕЖДЕНИЕ "ГИДРОХИМИЧЕСКИЙ ИНСТИТУТ"
СВИДЕТЕЛЬСТВО N 131.24-2006
ОБ АТТЕСТАЦИИ МЕТОДИКИ ВЫПОЛНЕНИЯ ИЗМЕРЕНИЙ
Методика выполнения измерений массовой концентрации нефтепродуктов в водах ИК-фотометрическим методом, разработанная ГУ "Гидрохимический институт" и регламентированная в РД 52.24.476-2007, аттестована в соответствии с
ГОСТ Р 8.563-96 с изменениями 2002 г.
Аттестация осуществлена по результатам экспериментальных исследований.
В результате аттестации установлено, что методика соответствует предъявляемым к ней метрологическим требованиям и обладает следующими основными метрологическими характеристиками:
1. Диапазон измеряемых концентраций, значения показателей точности и ее составляющих
Диапазон измерений массовой концентрации нефтепродуктов X, мг/дм3 | Показатель повторяемости (средне квадратическое отклонение повторяемости)  , мг/дм3 | Показатель воспроизводимости (средне квадратическое отклонение воспроизводимости)  , мг/дм3 | Показатель правильности (границы систематической погрешности при вероятности P = 0,95)  , мг/дм3 | Показатель точности (границы погрешности при вероятности P = 0,95)  , мг/дм3 |
От 0,04 до 2,00 включ. | 0,01 + 0,05 X | 0,01 + 0,08 X | 0,09 X | 0,01 + 0,19 X |
2. Диапазон измерений, значения пределов воспроизводимости при доверительной вероятности P = 0,95
Диапазон измерений массовой концентрации нефтепродуктов X, мг/дм3 | Предел воспроизводимости (значение допускаемого расхождения между двумя результатами измерений, полученными в разных лабораториях, при вероятности P = 0,95) R, мг/дм3 |
От 0,04 до 2,00 включ. | |
3. При реализации методики в лаборатории обеспечивают:
- оперативный контроль исполнителем процедуры выполнения измерений (на основе оценки погрешности при реализации отдельно взятой контрольной процедуры);
- контроль стабильности результатов измерений (на основе контроля стабильности среднеквадратического отклонения повторяемости, среднеквадратического отклонения внутрилабораторной прецизионности, погрешности).
Алгоритм контроля исполнителем процедуры выполнения измерений приведен в РД 52.24.476-2007.
Периодичность оперативного контроля и процедуры контроля стабильности результатов выполнения измерений регламентируют в Руководстве по качеству лаборатории.
Дата выдачи свидетельства 1 августа 2006 г.
Главный метролог ГУ ГХИ
А.А.НАЗАРОВА